- Tổng quan
- Nội dung
- Tiêu chuẩn liên quan
- Lược đồ
- Tải về
Tiêu chuẩn TCVN 14435:2025 Thực phẩm - Xác định ochratoxin A trong gia vị, cam thảo, cacao và sản phẩm cacao
| Số hiệu: | TCVN 14435:2025 | Loại văn bản: | Tiêu chuẩn Việt Nam |
| Cơ quan ban hành: | Bộ Khoa học và Công nghệ | Lĩnh vực: | Thực phẩm-Dược phẩm |
| Trích yếu: | BS EN 17250:2020 Thực phẩm - Xác định ochratoxin A trong gia vị, cam thảo, cacao và sản phẩm cacao bằng phương pháp làm sạch sử dụng cột ái lực miễn nhiễm (IAC) và sắc ký lỏng hiệu năng cao sử dụng detector huỳnh quang (HPLC–FLD) | ||
|
Ngày ban hành:
Ngày ban hành là ngày, tháng, năm văn bản được thông qua hoặc ký ban hành.
|
22/05/2025 |
Hiệu lực:
|
Đã biết
|
| Người ký: | Đang cập nhật |
Tình trạng hiệu lực:
Cho biết trạng thái hiệu lực của văn bản đang tra cứu: Chưa áp dụng, Còn hiệu lực, Hết hiệu lực, Hết hiệu lực 1 phần; Đã sửa đổi, Đính chính hay Không còn phù hợp,...
|
Đã biết
|
TÓM TẮT TIÊU CHUẨN VIỆT NAM TCVN 14435:2025
Tiêu chuẩn quốc gia TCVN 14435:2025: Hướng dẫn xác định ochratoxin A trong gia vị, cam thảo, cacao và sản phẩm cacao
Tiêu chuẩn quốc gia TCVN 14435:2025, ban hành theo giấy chứng nhận của Bộ Khoa học và Công nghệ, đề cập đến phương pháp xác định ochratoxin A (OTA) trong các mẫu gia vị, cam thảo, cacao và các sản phẩm cacao. Tiêu chuẩn này hoàn toàn tương đương với BS EN 17250:2020 và được soạn thảo bởi Ban kỹ thuật tiêu chuẩn quốc gia TCVN/TC/F13.
Đối tượng chính mà tiêu chuẩn này tác động là các cơ sở chế biến thực phẩm và phòng thí nghiệm kiểm tra thực phẩm, bởi lẽ việc áp dụng tiêu chuẩn này liên quan đến các sản phẩm dễ bị ô nhiễm OTA, một loại độc tố vi nấm ảnh hưởng nghiêm trọng đến sức khỏe con người. Dưới đây là một số điểm nổi bật của tiêu chuẩn:
Phạm vi áp dụng: Tiêu chuẩn quy định phương pháp xác định OTA với phương pháp sắc ký lỏng hiệu năng cao (HPLC) sử dụng detector huỳnh quang (FLD), bao gồm các loại gia vị như ớt cay, hạt tiêu, nhục đậu khấu, cam thảo, cacao và các sản phẩm cacao.
Nguyên tắc và quy trình thực hiện: Mẫu thử được chiết xuất bằng hỗn hợp methanol và dung dịch natri hydrocarbonat. Sau khi làm sạch bằng cột ái lực miễn nhiễm (IAC), độc tố OTA được tách ra và định lượng bằng HPLC–FLD. Quy trình này đã được xác nhận qua nhiều nghiên cứu liên phòng thử nghiệm với giá trị sử dụng cao.
Cảnh báo về sức khỏe: Ochratoxin A được phân loại là chất độc thận mạnh, có nguy cơ gây ung thư và được khuyến cáo là cần thực hiện các biện pháp an toàn khi làm việc với hóa chất này. Người sử dụng có trách nhiệm xác định các biện pháp bảo vệ theo đúng tiêu chuẩn phù hợp.
Điều kiện bảo quản và hiệu chuẩn: Các dung dịch chuẩn ochratoxin A, khi được bảo quản ở điều kiện thích hợp, có thể sử dụng trong khoảng thời gian nhất định, cụ thể là 6 tháng. Tiêu chuẩn cũng nêu rõ phương pháp chuẩn hóa và quy định chuẩn cho phép tối đa sự sai lệch khi phân tích.
Tiêu chuẩn này có hiệu lực từ ngày ban hành là 01/05/2025, không có văn bản thay thế nào khác. Bằng việc tuân thủ tiêu chuẩn này, các cơ sở sản xuất thực phẩm sẽ đảm bảo chất lượng an toàn thực phẩm, góp phần bảo vệ sức khỏe người tiêu dùng.
Như vậy, TCVN 14435:2025 không chỉ đặt ra yêu cầu kỹ thuật cho phòng thí nghiệm, mà còn thiết lập khuôn khổ cho các cơ sở sản xuất và chế biến thực phẩm trong việc kiểm soát ô nhiễm ochratoxin A, đồng thời đảm bảo hoạt động sản xuất an toàn và bền vững.
TIÊU CHUẨN QUỐC GIA
TCVN 14435:2025
BS EN 17250:2020
THỰC PHẨM - XÁC ĐỊNH OCHRATOXIN A TRONG GIA VỊ, CAM THẢO, CACAO VÀ SẢN PHẨM CACAO BẰNG PHƯƠNG PHÁP LÀM SẠCH SỬ DỤNG CỘT ÁI LỰC MIỄN NHIỄM (IAC) VÀ SẮC KÝ LỎNG HIỆU NĂNG CAO SỬ DỤNG DETECTOR HUỲNH QUANG (HPLC-FLD)
Foodstuffs - Determination of ochratoxin A in spices, liquorice, cocoa and cocoa products by IAC clean-up and HPLC-FLD
Lời nói đầu
TCVN 14435:2025 hoàn toàn tương đương với BS EN 17250:2020;
TCVN 14435:2025 do Ban kỹ thuật tiêu chuẩn quốc gia TCVN/TC/F13 Phương pháp phân tích và lấy mẫu biên soạn, Viện Tiêu chuẩn Chất lượng Việt Nam đề nghị, Ủy ban Tiêu chuẩn. Đo lường Chất lượng Quốc gia thẩm định, Bộ Khoa học và Công nghệ công bố.
Lời giới thiệu
Độc tố vi nấm ochratoxin A có cấu trúc hóa học gồm một gốc dihydrocoumarin liên kết với một phân tử L-P-phenylalanin bằng liên kết amide. Ochratoxin A được sản sinh bởi một số loài nấm thuộc các chi Penicillium và Aspergillus, chủ yếu là Penicillium verrucosum, Aspergillus ochraceus và các loài Aspergilli thuộc đoạn Nigri, đặc biệt là A. carbonarius. Các loại ngũ cốc như lúa mì đặc biệt chịu ảnh hưởng, cũng như nhiều loại thực phẩm khác như quả sấy, gia vị, cacao, cà phê, rượu vang, bia, cam thảo và sản phẩm của chúng.
CẢNH BÁO 1 Cần thực hiện các biện pháp phòng ngừa và bảo vệ thích hợp khi thực hiện các bước làm việc với hóa chất độc hại.
CẢNH BÁO 2 Việc sử dụng tiêu chuẩn này có thể liên quan đến các vật liệu, hoạt động và thiết bị nguy hiểm. Tiêu chuẩn này không nhằm mục đích giải quyết tất cả các vấn đề an toàn liên quan đến việc sử dụng chúng. Người sử dụng tiêu chuẩn này có trách nhiệm thiết lập các biện pháp thực hành an toàn và sức khỏe phù hợp cũng như xác định khả năng áp dụng các giới hạn quy định trước khi sử dụng.
CẢNH BÁO 3 Ochratoxin A là chất gây độc thận mạnh, chất gây ung thư và có đặc tính gây độc gen. Ochratoxin A đã được IARC phân loại thuộc Nhóm 2B.
THỰC PHẨM - XÁC ĐỊNH OCHRATOXIN A TRONG GIA VỊ, CAM THẢO, CACAO VÀ SẢN PHẨM CACAO BẰNG PHƯƠNG PHÁP LÀM SẠCH SỬ DỤNG CỘT ÁI LỰC MIỄN NHIỄM (IAC) VÀ SẮC KÝ LỎNG HIỆU NĂNG CAO SỬ DỤNG DETECTOR HUỲNH QUANG (HPLC-FLD)
Foodstuffs - Determination of ochratoxin A in spices, liquorice, cocoa and cocoa products by IAC clean-up and HPLC-FLD
1 Phạm vi áp dụng
Tiêu chuẩn này quy định phương pháp xác định ochratoxin A (OTA) trong ớt cay, ớt paprika, hạt tiêu đen và hạt tiêu trắng, nhục đậu khấu, hỗn hợp gia vị, cam thảo (rễ và chất chiết), cacao và sản phẩm cacao sử dụng sắc ký lỏng hiệu năng cao (HPLC) và sử dụng detector huỳnh quang (FLD) với bước làm sạch bằng cột ái lực miễn nhiễm.
Phương pháp này đã được xác nhận giá trị sử dụng trong các nghiên cứu liên phòng thử nghiệm qua việc phân tích các mẫu bị ô nhiễm tự nhiên và mẫu thêm chuẩn có dải hàm lượng từ 1,0 μg/kg đến 84,9 μg/kg đối với gia vị (ớt cay và ớt paprika [5], hạt tiêu đen và hạt tiêu trắng, nhục đậu khấu và hỗn hợp gia vị [6]), dải hàm lượng từ 7,7 μg/kg đến 96,8 μg/kg đối với cam thảo và sản phẩm cam thảo [7] và dải hàm lượng từ 2,1 μg/kg đến 26,3 μg/kg đối với cacao và sản phẩm cacao [6].
Để biết thêm thông tin về việc xác nhận giá trị sử dụng, xem Điều 10 và Phụ lục B.
2 Tài liệu viện dẫn
Các tài liệu viện dẫn sau rất cần thiết cho việc áp dụng tiêu chuẩn này. Đối với các tài liệu viện dẫn ghi năm công bố thì áp dụng phiên bản được nêu. Đối với các tài liệu viện dẫn không ghi năm công bố thì áp dụng phiên bản mới nhất, bao gồm cả các sửa đổi, bổ sung (nếu có).
TCVN 4851 (ISO 3696), Nước dùng để phân tích trong phòng thí nghiệm - Yêu cầu kỹ thuật và phương pháp thử
3 Thuật ngữ và định nghĩa
Trong tiêu chuẩn này không có thuật ngữ nào được định nghĩa.
4 Nguyên tắc
Gia vị hoặc cam thảo và sản phẩm cam thảo được chiết bằng hỗn hợp methanol và dung dịch natri hydro carbonat trong nước; cacao và sản phẩm cacao được chiết bằng dung dịch methanol trong nước. Dịch chiết được lọc, pha loãng với dung dịch muối đệm phosphat (PBS), polysorbat 20 (ngoại trừ cam thảo và sản phẩm cam thảo) và được đưa vào cột ái lực miễn nhiễm có chứa kháng thể đặc hiệu với ochratoxin A. Độc tố ochratoxin A được phân tách, tinh sạch và cô đặc trên cột, sau đó được tách ra bằng methanol. Dịch chiết đã tinh sạch được định lượng bằng sắc ký lỏng hiệu năng cao pha đảo (RP-HPLC) kết hợp với detector huỳnh quang (FLD).
5 Thuốc thử
Chỉ sử dụng thuốc thử tinh khiết phân tích đã được công nhận và nước phù hợp với loại 1 của TCVN 4851 (ISO 3696), trừ khi có quy định khác. Có thể sử dụng các dung dịch bán sẵn trên thị trường với các đặc tính tương tự các dung dịch được liệt kê.
5.1 Nitơ, độ tinh khiết tối thiểu 99,95 %.
5.2 Methanol, loại kỹ thuật.
5.3 Methanol, loại dùng cho HPLC.
5.4 Acetonitril, loại dùng cho HPLC.
5.5 Acid acetic băng, độ tinh khiết 99 %.
5.6 Toluen, loại dùng cho UV.
5.7 Natri hydro carbonat, độ tinh khiết tối thiểu 99,5 %.
5.8 Natri chloride (NaCI), độ tinh khiết tối thiểu 99 %.
5.9 Dinatri hydro phosphat dodecahydrat (Na2HPO4.12H2O), độ tinh khiết tối thiểu 99 %.
5.10 Kali dihydro phosphat (KH2PO4), độ tinh khiết tối thiểu 99 %.
5.11 Kali chloride (KCl), độ tinh khiết tối thiểu 99 %.
5.12 Natri hydroxide (NaOH), độ tinh khiết tối thiểu 99 %.
5.13 Dung dịch acid chlorhydric, phần thể tích φ(HCl) = 37 % (định phân acid).
5.14 Dung dịch acid chlorhydric, nồng độ chất c(HCl) = 0,1 mol/L
Pha loãng 8,28 mL dung dịch acid chlorhydric (5.13) bằng nước đến 1 L.
5.15 Dung dịch natri hydroxide, c(NaOH) = 0,2 mol/L
Hòa tan 8 g natri hydroxide (5.12) trong 1 L nước.
5.16 Dung dịch acid acetic, nồng độ khối lượng ρ(CH3COOH) = 10 g/L
Pha loãng 9,5 mL acid acetic băng (5.5) bằng nước đến 1 L.
5.17 Polysorbat 20.
5.18 Dung dịch polysorbat 20, ρ(Tween® 201)) = 20 g/L.
Hòa tan 20 g polysorbat 20 (5.17) trong 1 000 mL nước.
5.19 Dung dịch muối có đệm phosphat (PBS), pH = 7,4.
Hòa tan 8 g natri chloride (5.8), 2,9 g dinatri hydro phosphat (5.9), 0,2 g kali dihydro phosphat (5.10) và 0,2 g kali chloride (5.11) trong 900 mL nước. Sau khi hòa tan, điều chỉnh pH đến 7,4 bằng dung dịch acid chlorhydric (5.14) hoặc dung dịch natri hydroxide (5.15) nếu thích hợp, sau đó pha loãng bằng nước đến 1 L.
Cũng có thể chuẩn bị dung dịch PBS có các đặc tính tương đương từ PBS có bán trên thị trường.
5.20 Dung dịch natri hydro carbonat, ρ(NaHCO3) = 30 g/L
Pha loãng 30 g natri hydro carbonat (5.7) trong 1 000 mL nước.
5.21 Dung dịch chiết A (dùng cho gia vị, cam thảo và sản phẩm cam thảo)
Trộn methanol (5.2) với dung dịch natri hydro carbonat (5.20) (50+50, phần thể tích). Trộn đều.
5.22 Dung dịch chiết B (dùng cho cacao và sản phẩm cacao)
Trộn methanol (5.2) với nước (80+20, phần thể tích). Trộn đều.
5.23 Pha động A (dùng cho ớt cay và ớt paprika)
Trộn methanol (5.3) với acetonitril (5.4), nước và acid acetic băng (5.5) (35+35+29+1, phần thể tích).
5.24 Pha động B (dùng cho cam thảo và sản phẩm cam thảo)
Trộn methanol (5.3) với nước và acid acetic băng (5.5) (70+30+1, phần thể tích).
5.25 Pha động C (dùng cho hạt tiêu đen và hạt tiêu trắng, nhục đậu khấu, hỗn hợp gia vị, cacao và sản phẩm cacao)
Trộn methanol (5.3), acetonitril (5.4), nước và acid acetic băng (5.5) (28+28+39+1, phần thể tích tương ứng).
5.26 Pha động D (dung dịch rửa cột HPLG dùng cho cam thảo và sản phẩm cam thảo)
100 % methanol (5.3).
5.27 Cột ái lực miễn nhiễm
Cột ái lực miễn nhiễm chứa các kháng thể kháng lại ochratoxin A. Cột phải có dung lượng chứa không ít hơn 100 ng ochratoxin A và phải cho độ thu hồi không thấp hơn 85 % khi được sử dụng dung dịch chuẩn ochratoxin A trong hỗn hợp 15 phần thể tích methanol (5.2) và 85 phần thể tích dung dịch PBS (5.19) chứa 3 ng ochratoxin A.
5.28 Ochratoxin A, ở dạng tinh thể hoặc được bọc màng, đựng trong ống ampoule hoặc ở dạng dung dịch chuẩn đã được chứng nhận.
5.29 Dung dịch gốc ochratoxin A, ρ(ochratoxin A) = 10 μg/mL.
Chuẩn bị dung dịch gốc chứa ochratoxin A (5.28) trong hỗn hợp của toluen (5.6) và acid acetic băng (5.5) theo tỷ lệ 99 + 1 (phần thể tích) với nồng độ danh nghĩa là 10 μg /mL.
Để xác định chính xác nồng độ, ghi lại phổ hấp thụ giữa bước sóng 300 nm và 370 nm với khoảng đo 5 nm trong cuvet thạch anh 1 cm của thiết bị đo phổ với hỗn hợp dung môi (toluen + acid acetic băng, 99 + 1, phần thể tích) làm mẫu đối chứng. Xác định bước sóng hấp thụ cực đại và tính nồng độ khối lượng của ochratoxin A, ρ, tính bằng microgam trên mililit (μg/mL), sử dụng Công thức (1):
|
| (1) |
Trong đó:
| Amax | là giá trị độ hấp thụ cực đại được xác định từ đường hấp thụ (ở đây: bước sóng 333 nm); |
| M | là khối lượng mol của ochratoxin A, tính bằng gam trên mol (ở đây: M = 403,8 g/mol); |
| ε | là hệ số hấp thụ mol của ochratoxin A trong hỗn hợp dung môi (toluen + acid acetic băng: 99+1, phần thể tích), tính bằng mét vuông trên mol (ở đây: 544 m2/mol); |
| b | là chiều dài đường quang của cuvet thạch anh, tính bằng centimet (cm). |
Dung dịch này có thể được sử dụng trong 6 tháng nếu được bảo quản ở khoảng -18 °C. Để ổn định đến nhiệt độ phòng trước khi mở. Khẳng định lại nồng độ khối lượng của dung dịch nếu để lâu hơn 6 tháng.
Bước này có thể được bỏ qua khi sử dụng dung dịch chuẩn đã được chứng nhận, với điều kiện là sản phẩm đi kèm với giấy chứng nhận, cung cấp đầy đủ bằng chứng về tính chính xác của phần khối lượng được công bố. Khi đó, sử dụng dung dịch chuẩn đã được chứng nhận làm dung dịch gốc.
Nồng độ khối lượng chính xác của ochratoxin A trong dung dịch chuẩn, dung dịch thêm chuẩn và hiệu chuẩn được tính từ nồng độ ban đầu của dung dịch gốc này và các thể tích tiếp theo được sử dụng.
5.30 Dung dịch chuẩn ochratoxin A, ρ(ochratoxin A) = 1 μg/mL.
Dùng pipet (6.4) lấy 100 μl dung dịch gốc ochratoxin A (5.29) cho vào bình định mức 1 mL (6.10), thổi nhẹ dòng khí nitơ (5.1) để làm khô, sau đó pha loãng bằng pha động thích hợp (5.23, 5.24 hoặc 5.25) đến 1 mL (đến vạch) và lắc mạnh. Dung dịch chuẩn này chứa nồng độ ochratoxin A 1 μg/mL. Dung dịch này có thể được sử dụng trong 6 tháng nếu được bảo quản ở khoảng -18 °C. Để dung dịch đạt đến nhiệt độ phòng trước khi mở. Khẳng định lại nồng độ khối lượng của dung dịch nếu để lâu hơn 6 tháng.
5.31 Dung dịch chuẩn ochratoxin A dùng để thêm vào mẫu, ρ(ochratoxin A) = 400 ng/mL
Dùng pipet lấy 1 mL dung dịch gốc ochratoxin A (5.29) cho vào bình định mức 25 mL (6.10) và pha loãng bằng hỗn hợp acetonitril (5.4) và acid acetic băng (5.5) theo tỷ lệ 99 + 1 (phần thể tích) đến vạch và lắc. Bước này tạo ra một dung dịch thêm chuẩn chứa nồng độ ochratoxin A 400 ng/mL.
Dung dịch này có thể được sử dụng trong 6 tháng nếu được bảo quản ở khoảng -18 °C. Để đến nhiệt độ phòng trước khi mở. Khẳng định lại nồng độ khối lượng của dung dịch nếu để lâu hơn 6 tháng.
5.32 Các dung dịch hiệu chuẩn
Chuẩn bị sáu dung dịch hiệu chuẩn từ dung dịch chuẩn (5.30) như sau:
Dùng pipet (6.4) thích hợp, chuyển các thể tích [ví dụ: dung dịch chuẩn ochratoxin A (5.30)] riêng rẽ vào các bình định mức như quy định trong Bảng 1. Đổ pha động thích hợp (5.23, 5.24 hoặc 5.25) vào từng bình định mức đến vạch, đóng nắp và lắc bằng tay. Kết quả có sáu dung dịch hiệu chuẩn ochratoxin A với nồng độ xấp xỉ như liệt kê trong Bảng 1.
Sáu dung dịch hiệu chuẩn này có dải nồng độ ochratoxin A từ khoảng 1,2 μg/kg đến khoảng 100 μg/kg đối với tất cả các loại gia vị, cacao và sản phẩm cacao và từ khoảng 2,4 μg/kg đến khoảng 200 μg/kg đối với cam thảo và sản phẩm cam thảo.
Để các dung dịch hiệu chuẩn này tránh ánh sáng. Các dung dịch này có thể được sử dụng trong 1 tháng nếu được bảo quản ở khoảng -18 °C.
Bảng 1 - Chuẩn bị dung dịch hiệu chuẩn
| Dung dịch hiệu chuẩn | Dung dịch chuẩn (5.30) | Thể tích cuối | Nồng độ khối lượng của dung dịch hiệu chuẩn |
|
| μL | mL | ng/mL |
| 1 | 15 | 50 | 0,3 |
| 2 | 15 | 25 | 0,6 |
| 3 | 25 | 25 | 1 |
| 4 | 50 | 10 | 5 |
| 5 | 150 | 10 | 15 |
| 6 | 250 | 10 | 25 |
Chuyển các dung dịch hiệu chuẩn này vào các lọ LC (6.9) trước khi bơm.
6 Thiết bị, dụng cụ
Sử dụng các thiết bị, dụng cụ của phòng thử nghiệm thông thường và cụ thể như sau:
6.1 Cân phòng thử nghiệm, độ chính xác đến 0,01 g.
6.2 Cân phân tích, độ chính xác đến 0,1 mg.
6.3 Máy lắc phòng thử nghiệm và máy lắc ống ly tâm.
6.4 Pipet, ví dụ: pipet định mức từ 100 μl đến 2 000 μl và 4 mL, thích hợp dùng cho dung môi hữu cơ.
6.5 Bình chứa xyranh dùng một lần, dung tích 100 mL và các bộ phận gắn liền với cột ái lực miễn nhiễm.
6.6 Giấy lọc vi sợi thủy tinh, cỡ hạt được giữ lại 1,6 μm, đường kính 150 mm, hoặc tương đương. Có thể thay bằng giấy lọc (6.7) khi đã được chứng minh là cho kết quả tương đương.
6.7 Giấy lọc cellulose, cỡ lỗ 11 μm, đường kính 150 mm.
6.8 Bơm chân không cho SPE/bộ rửa giải.
6.9 Lọ LC, dung tích khoảng 2 mL, hoặc lọ LC 2 mL có ống chèn, có nắp vặn hoặc tương đương.
6.10 Bình định mức, có các dung tích khác nhau (ví dụ: 1 mL, 2 mL, 5 mL, 10 mL, 25 mL, 50 mL).
6.11 Bình nón, dung tích 100 mL hoặc 500 mL có nắp vặn, hoặc bình chứa tương tự.
6.12 Hệ thống HPLC, bao gồm các bộ phận sau:
6.12.1 Bơm HPLC, có chế độ gradient, có khả năng duy trì tốc độ dòng ổn định không xung ở mức 0,8 mL/min và 1,0 mL/min.
6.12.2 Hệ thống bơm.
6.12.3 Tiền cột, có kích thước phù hợp, có vật liệu pha tĩnh giống hoặc tương tự như cột phân tích.
6.12.4 Cột HPLC pha đảo
Cột thích hợp và các điều kiện HPLC thích hợp [chế độ đẳng dòng hoặc chương trình gradient) có hệ số lưu giữ ít nhất là 2 để đảm bảo tách đường nền để phân biệt các pic của ochratoxin A với tất cả các tín hiệu khác.
Một số ví dụ về cột thích hợp được nêu trong Phụ lục A.
6.12.5 Bộ khử khí, tùy chọn, để khử khí cho pha động (5.23; 5.24; 5.25; 5.26).
6.12.6 Lò cột, có khả năng duy trì nhiệt độ không đổi.
6.12.7 Detector huỳnh quang.
6.12.8 Hệ thống đánh giá dữ liệu.
7 Cách tiến hành
7.1 Chuẩn bị mẫu thử
Trộn hoặc khuấy kỹ mẫu phòng thử nghiệm trước khi lấy phần mẫu thử. Cân phần mẫu thử cho vào bình nón hoặc bình hứng tương tự, dung tích 500 mL (6.11).
7.2 Chiết
Đối với gia vị, cacao và sản phẩm cacao, cân 12,5 g phần mẫu thử (m) chính xác đến 0,1 g, đối với cam thảo và sản phẩm cam thảo, cân 10 g (m) phần mẫu thử, chính xác đến 0,1 g.
Tỷ lệ dung môi của phần mẫu thử phải là 1:8, ngoại trừ cam thảo và sản phẩm cam thảo thì tỷ lệ dung môi là 1:20.
Đối với gia vị, thêm 100 mL (V1) dung dịch chiết A (5.21). Đối với cacao và sản phẩm cacao, thêm 100 mL (V1) dung dịch chiết B (5.22). Đối với cam thảo và sản phẩm cam thảo, thêm 200 mL (V1) dung dịch chiết A (5.21). Lắc bằng tay trong vài giây để thu được huyền phù đồng nhất, sau đó lắc 40 min bằng máy lắc phòng thử nghiệm (6.3).
Lọc ít nhất 10 mL dịch chiết qua giấy lọc sợi thủy tinh (hoặc cellulose) đường kính 150 mm (6.6, 6.7), đã được gấp dạng hình nón. Thu lấy dịch chiết đã lọc vào bình nón có nắp vặn (6.11) để phân tích tiếp.
Tiến hành ngay quy trình làm sạch bằng cột ái lực miễn nhiễm (7.3).
7.3 Làm sạch bằng cột ái lực miễn nhiễm
Nối cột ái lực miễn nhiễm (5.27) với ống chân không (6.8) và gắn bình chứa xyranh (6.5) vào cột ái lực miễn nhiễm.
Cột ái lực miễn nhiễm phải đạt đến nhiệt độ phòng trước khi sử dụng.
Đối với gia vị, cacao và sản phẩm cacao, chuyển 50 mL PBS (5.19) và 1 mL dung dịch polysorbat 20 nồng độ 2 % (5.18) vào bình chứa (6.5) và dùng pipet (6.4) chuyển 4 mL [V2] dịch chiết đã lọc thu được trong 7.2 vào bình và trộn.
Đối với cam thảo và sản phẩm cam thảo, chuyển 15 mL PBS (5.19) vào bình chứa (6.5) và dùng pipet chuyển 0,5 mL [V2] dịch chiết đã lọc thu được trong 7.2 vào bình và trộn.
Hút hỗn hợp (dịch chiết và PBS) qua cột bằng lực hút ở tốc độ dòng ổn định (tốc độ dòng phải sao cho thu được tốc độ nhỏ giọt là 1 giọt/s, tức là khoảng 3 mL/min) cho đến khi toàn bộ dịch chiết đi qua cột và phần dung môi cuối cùng chạm đến mép cột.
Nếu cần, quá trình này có thể được tăng tốc bằng cách dùng xyranh để tạo áp suất nhẹ lên cột ái lực miễn nhiễm hoặc bằng cách tạo ra một lực chân không nhỏ (ví dụ: sử dụng hệ thống chân không được mô tả trong 6.8). Trong cả hai trường hợp, phải chú ý không vượt quá tốc độ dòng 3 mL/min (= 1 giọt/s).
LƯU Ý: Nếu sử dụng ống chân không, phải cẩn thận để tránh làm tăng tốc độ dòng chảy qua cột vì có thể ảnh hưởng đến độ thu hồi.
7.4 Chuẩn bị dung dịch mẫu thử
Đối với ớt cay và ớt paprika, rửa cột bằng 10 mL nước ở tốc độ không quá 3 mL/min. Làm khô cột bằng cách dùng xyranh đẩy 50 mL không khí qua cột. Đối với các loại gia vị, cacao và sản phẩm cacao cũng như cam thảo và sản phẩm cam thảo, rửa cột bằng 1 mL dung dịch polysorbat 20 nồng độ 2 % (5.18), tiếp theo là 10 mL nước ở tốc độ không quá 3 mL/min. Đối với cam thảo và sản phẩm cam thảo, lặp lại các bước rửa. Làm khô cột bằng cách cho nitơ hoặc không khí đi qua cột trong khoảng 1 s đến 2 s và loại bỏ dịch rửa giải khỏi giai đoạn này của quy trình làm sạch.
Đối với gia vị, cacao và sản phẩm cacao, đặt bình định mức dung tích 2 mL (6.10) dưới cột và cho 0,5 mL methanol (5.3) đi qua cột, thu lấy dịch rửa giải. Sau khi giọt methanol cuối cùng đi qua cột, đợi khoảng 1 min. Sau đó thêm tiếp 0,5 mL methanol (5.3) vào cùng bình định mức và thu lấy dịch rửa giải. Cuối cùng thêm 0,5 mL methanol (5.3) và tiếp tục thu lấy dịch rửa giải, cẩn thận cho không khí đi qua cột để thu những giọt cuối cùng. Thêm dung dịch acid acetic (5.16) vào bình định mức đến vạch và lắc. Kết quả thu được thể tích cuối cùng chính xác là 2,0 mL [V3]. Chuyển một lượng dung dịch vừa đủ vào lọ LC (6.9) và đậy nắp.
Đối với cam thảo và sản phẩm cam thảo, đặt lọ dung tích 2 mL (6.9) dưới cột và cho 0,5 mL methanol (5.3) đi qua cột, thu lấy dịch rửa giải. Sau khi giọt methanol cuối cùng đi qua cột, đợi khoảng 1 min. Sau đó thêm tiếp 0,5 mL methanol (5.3) và thu lấy dịch rửa giải. Cuối cùng thêm 0,5 mL methanol (5.3) và tiếp tục thu lấy dịch rửa giải, cẩn thận cho không khí đi qua cột để thu những giọt cuối cùng.
Cho bay hơi dịch rửa giải trong methanol đến khô bằng dòng nitơ nhẹ (5.1) ở khoảng 30 °C đến 35 °C. Hòa tan lại cặn mẫu đã tinh sạch trong 200 μL [V3] pha động B (5.24), đậy nắp lọ và lắc trên máy lắc (6.3) trong ít nhất 15 s, đảm bảo phần đáy của lọ được rửa kỹ bằng dung môi. Chuyển dung dịch thử vào lọ LC (6.9) và phân tích.
LƯU Ý: Vì tất cả dịch rửa giải của cột ái lực miễn nhiễm đều được sử dụng để phân tích định lượng nên điều quan trọng là phải làm khô cột ái lực miễn nhiễm một cách hiệu quả bằng không khí sau bước rửa và sau khi rửa giải bằng methanol. Việc lắc lọ trước khi bơm cũng rất quan trọng để đảm bảo tính đồng nhất của dung dịch trước khi bơm.
7.5 Quy trình thêm chuẩn (tùy chọn, nếu không sử dụng mẫu chuẩn đã được chứng nhận (CRM))
Từ các mẫu trắng của gia vị, cacao và sản phẩm cacao, cân 12,5 g phần mẫu thử, chính xác đến 0,1 g và từ các mẫu trắng của cam thảo và sản phẩm cam thảo, cân 10 g phần mẫu thử, chính xác đến 0,1 g, cho vào bình nón hoặc bình hứng tương tự dung tích 500 mL (6.11). Dùng pipet lấy 40 μL dung dịch thêm chuẩn ochratoxin (5.31) cho vào nền mẫu trắng. Sau khi thêm dung dịch thêm chuẩn, để dung môi bay hơi trong tủ hút ít nhất 2 h trước khi chiết. Tiến hành theo 7.2, bắt đầu bằng việc thêm dung dịch chiết.
8 Phân tích HPLC
8.1 Điều kiện vận hành HPLC
8.1.1 Yêu cầu chung
Bơm các thể tích bằng nhau của dung dịch thử mẫu và từng dung dịch hiệu chuẩn vào hệ thống HPLC-FLD.
8.1.2 Ớt cay và ớt paprika (pha động A)
Khi sử dụng cột loại RP-C18 như quy định trong 6.12.4 và pha động A như quy định trong 5.23, các thông số cài đặt sau đây được cho là thích hợp:
Tốc độ dòng: 0,8 mL/min
Thể tích bơm: 20 μL
Nhiệt độ lò cột (bao gồm cả cột bảo vệ): 22 °C ± 1 °C
Nhiệt độ bộ lấy mẫu tự động (tùy chọn): 15 °C đến 20 °C
Bước sóng kích thích: 332 nm
Bước sóng phát xạ: 476 nm
Ochratoxin A có thời gian lưu xấp xỉ 6,6 min. Kích thước cột khác có thể được sử dụng miễn là đạt được độ phân giải yêu cầu. Điều này phải được chứng minh (sự chồng lấp tối đa của ochratoxin A với bất kỳ pic nào khác nếu có phải nhỏ hơn 10 %). Tốc độ dòng có thể được điều chỉnh theo kích thước cột. Sắc ký đồ điển hình của ớt paprika được nêu trong Phụ lục A, Hình A.1.
8.1.3 Cam thảo và sản phẩm cam thảo (pha động B)
Khi sử dụng cột loại RP-C18 như quy định trong 6.12.4 và pha động B quy định trong 5.24, các thông số cài đặt sau đây được cho là thích hợp:
| Tốc độ dòng: | 1,0 mL/min |
| Thể tích bơm: | 20 μL |
| Nhiệt độ lò cột (bao gồm cả cột bảo vệ): | 22 °C ± 1 °C |
| Nhiệt độ bộ lấy mẫu tự động (tùy chọn): | 15 °C đến 20 °C |
| Bước sóng kích thích: | 332 nm |
| Bước sóng phát xạ: | 476 nm |
Ochratoxin A có thời gian lưu xấp xỉ 10 min. Sắc ký đồ điển hình của bột chiết cam thảo được nêu trong Phụ lục A, Hình A.2.
Sau khi làm sạch bằng cột ái lực miễn nhiễm, dịch chiết đã tinh sạch vẫn có thể chứa các chất có thể rửa giải sau đó hoặc trong các lần chạy sắc ký tiếp theo xuất hiện dưới dạng pic chân rộng. Để tránh điều này, rửa cột trong 10 min bằng pha động D làm dung dịch rửa (5.26) sau đó cân bằng lại cột 10 min bằng pha động B (5.24) trước lần chạy tiếp theo. Sự cần thiết của bước rửa thay đổi tùy theo loại mẫu khác nhau và có thể được bỏ qua nếu không có nhiễu nào từ các pic rửa giải muộn.
8.1.4 Gia vị, cacao và sản phẩm cacao (pha động C)
Khi sử dụng cột phenyl-hexyl như quy định trong 6.12.4 và pha động C quy định trong 5.25, các thông số cài đặt sau đây được cho là thích hợp:
| Tốc độ dòng: | 1,0mL/min |
| Thể tích bơm: | 20 μL |
| Nhiệt độ lò cột (bao gồm cả cột bảo vệ): | 50 °C ± 1 °C |
| Nhiệt độ bộ lấy mẫu tự động (tùy chọn): | 15 °C đến 20 °C |
| Bước sóng kích thích: | 332 nm |
| Bước sóng phát xạ: | 476 nm |
Ochratoxin A có thời gian lưu xấp xỉ 5,7 min. Sắc ký đồ điển hình của hạt tiêu trắng và hạt nhục khấu lần lượt được nêu trong Phụ lục A, Hình A.3 và Hình A.4.
8.2 Đường chuẩn
Chuẩn bị đường chuẩn bằng cách bơm 20 μL của sáu dung dịch hiệu chuẩn ochratoxin A (xem Bảng 1) vào đầu mỗi ngày phân tích.
Dựng đồ thị các tín hiệu píc theo diện tích hoặc chiều cao píc (trục y) so với nồng độ khối lượng của dung dịch hiệu chuẩn ochratoxin A (5.32) [ng/mL] (trục x) và tính đường chuẩn bằng phương pháp hồi quy tuyến tính.
8.3 Nhận dạng
Bơm 20 μL dung dịch thử mẫu vào HPLC sử dụng cùng điều kiện được sử dụng cho việc chuẩn bị đường chuẩn.
Xác định pic ochratoxin A trong dung dịch mẫu thử bằng cách so sánh thời gian lưu của mẫu với thời gian lưu của dung dịch hiệu chuẩn. Thời gian lưu của chất phân tích trong dung dịch chiết mẫu phải tương ứng với thời gian lưu trung bình của các chất chuẩn hiệu chuẩn được đo theo cùng một trình tự với sai số ± 0,2 min hoặc 50 % chiều rộng pic ở nửa chiều cao, nêu trong Tài liệu tham khảo [8].
9 Tính kết quả
Tính nồng độ khối lượng của ochratoxin A, ρ, biểu thị bằng nanogam trên mililit (ng/mL), trong dung dịch mẫu thử bằng cách sử dụng phương trình hồi quy (y = ax + b) với Công thức (2):
|
| (2) |
Trong đó:
S là tín hiệu của pic ochratoxin A thu được từ sắc ký đồ của dung dịch mẫu thử;
a là giá trị độ dốc của hàm tuyến tính;
b là giao điểm của đường chuẩn với trục y.
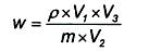
Tính hàm lượng ochratoxin A trong mẫu thử, w, tính bằng microgam trên kilogam (μg/kg), sử dụng Công thức (3):
|
| (3) |
Trong đó:
| ρ | là nồng độ khối lượng của ochratoxin A trong dung dịch mẫu thử được bơm và tương ứng với diện tích pic ochratoxin A, tính bằng nanogam trên mililit (ng/mL); |
| V1 | là thể tích dung dịch chiết dùng để chiết mẫu thử, tính bằng mililit (mL); |
| V2 | là thể tích dịch chiết mẫu được đưa lên cột ái lực miễn nhiễm, tính bằng mililit (mL); |
| V3 | là thể tích cuối cùng của dung dịch mẫu thử, tính bằng mililit (mL); |
| m | là khối lượng phần mẫu thử được chiết, tính bằng gam (g). |
Nồng độ khối lượng của ochratoxin A trong dung dịch mẫu thử phải nằm trong dải hiệu chuẩn. Trong trường hợp nồng độ khối lượng của ochratoxin A trong dung dịch mẫu thử nằm ngoài dải hiệu chuẩn, thì cần pha loãng dung dịch mẫu thử đến nồng độ khối lượng của ochratoxin A thích hợp với đường chuẩn đã thiết lập. Hệ số pha loãng phải được đưa vào tất cả các công thức tính tiếp theo.
10 Độ chụm
10.1 Yêu cầu chung
Chi tiết về các phép thử liên phòng thử nghiệm về độ chụm của phương pháp được tóm tắt trong Phụ lục B. Các giá trị thu được từ các phép thử liên phòng thử nghiệm này có thể không áp dụng được cho các dải nồng độ và nền mẫu khác với các dải nồng độ và nền mẫu được nêu trong Phụ lục B.
10.2 Độ lặp lại
Chênh lệch tuyệt đối giữa các kết quả của hai phép thử độc lập, đơn lẻ thu được khi sử dụng cùng một phương pháp, trên vật liệu thử giống hệt nhau, do một người thực hiện, sử dụng cùng thiết bị, thực hiện trong khoảng thời gian ngắn, không quá 5 % các trường hợp vượt quá giới hạn lặp lại r trong Bảng 2.
10.3 Độ tái lập
Chênh lệch tuyệt đối giữa các kết quả của hai phép thử đơn lẻ thu được khi sử dụng cùng một phương pháp, trên vật liệu thử giống hệt nhau bởi hai phòng thử nghiệm, không quá 5 % các trường hợp vượt quá giới hạn tái lập R trong Bảng 2.
Bảng 2 - Dữ liệu xác nhận giá trị sử dụng đối với ochratoxin A
| Mẫu |
| r, μg/kg | R, μg/kg |
| Ớt cay, bị ô nhiễm tự nhiên | 1,8 | 0,7 | 1,4 |
| Ớt cay, bị ô nhiễm tự nhiên | 23,5 | 3,0 | 6,8 |
| Ớt cay, thêm chuẩn | 45,0 | 2,2 | 14,7 |
| Ớt paprika, bị ô nhiễm tự nhiên | 6,1 | 1,2 | 2,4 |
| Ớt paprika, thêm chuẩn | 11,2 | 1,5 | 3,8 |
| Ớt paprika, bị ô nhiễm tự nhiên | 19,9 | 3,8 | 8 1 |
| Ớt paprika, thêm chuẩn | 45,5 | 7,3 | 11,6 |
| Ớt paprika, bị ô nhiễm tự nhiên | 84,9 | 20,8 | 29,5 |
| Hạt tiêu đen, thêm chuẩn | 2,4 | 0,6 | 0,6 |
| Hạt tiêu đen, thêm chuẩn | 22,6 | 3,5 | 6,3 |
| Hạt tiêu trắng, thêm chuẩn | 7,8 | 1,7 | 2,6 |
| Hạt tiêu trắng, thêm chuẩn | 24,9 | 7,2 | 9,0 |
| Hạt nhục đậu khấu, thêm chuẩn | 2,1 | 0,6 | 1,3 |
| Hạt nhục đậu khấu, bị ô nhiễm tự nhiên | 9,8 | 3,7 | 6,1 |
| Hạt nhục đậu khấu, thêm chuẩn | 22,6 | 5,3 | 10,7 |
| Hỗn hợp gia vị, bị ô nhiễm tự nhiên | 1,0 | 0,3 | 0,4 |
| Hỗn hợp gia vị, bị ô nhiễm tự nhiên | 2,4 | 1,1 | 1,1 |
| Hỗn hợp gia vị, thêm chuẩn | 8,5 | 1,4 | 1,8 |
| Hỗn hợp gia vị, thêm chuẩn | 23,8 | 4,7 | 7,6 |
| Rễ cam thảo, bị ô nhiễm tự nhiên | 7,7 | 1,9 | 4,8 |
| Rễ cam thảo, bị ô nhiễm tự nhiên | 22,0 | 5,7 | 9,2 |
| Rễ cam thảo, thêm chuẩn | 26,1 | 4,4 | 11,2 |
| Rễ cam thảo, thêm chuẩn | 51,9 | 8,1 | 15,3 |
| Bột chiết cam thảo, bị ô nhiễm tự nhiên | 25,7 | 4,3 | 8,6 |
| Bột chiết cam thảo, thêm chuẩn | 34,2 | 7,2 | 14,0 |
| Bột chiết cam thảo, bị ô nhiễm tự nhiên | 59,6 | 6,4 | 18,6 |
| Bột chiết cam thảo, thêm chuẩn | 71,8 | 16,2 | 26,3 |
| Dịch chiết cam thảo, bị ô nhiễm tự nhiên | 96,8 | 16,2 | 347 |
| Dịch chiết cam thảo, bị ô nhiễm tự nhiên | 27,4 | 6,9 | 12,9 |
| Dịch chiết cam thảo, bị ô nhiễm tự nhiên | 64,3 | 10,1 | 23,5 |
| Dịch chiết cam thảo, thêm chuẩn | 141,4 | 17,6 | 38,4 |
| Cacao, bị ô nhiễm tự nhiên | 2,1 | 2,2 | 1,5 |
| Cacao, bị ô nhiễm tự nhiên | 7,2 | 2,7 | 4,6 |
| Cacao, thêm chuẩn | 25,4 | 3,2 | 16,7 |
| Sản phẩm cacao, bị ô nhiễm tự nhiên | 2,8 | 0,8 | 2,3 |
| Sản phẩm cacao, thêm chuẩn | 8,8 | 1,6 | 6,3 |
| Sản phẩm cacao, thêm chuẩn | 26,3 | 5,3 | 10,0 |
11 Báo cáo thử nghiệm
Báo cáo thử nghiệm phải tuân theo TCVN ISO/IEC 17025 và phải chứa ít nhất các dữ liệu sau:
a) mọi thông tin cần thiết để nhận biết mẫu (loại mẫu, ký hiệu);
b) viện dẫn tiêu chuẩn này
c) ngày và loại quy trình lấy mẫu (nếu biết);
d) ngày nhận mẫu;
e) ngày thử nghiệm;
f) các kết quả thử nghiệm và đơn vị biểu thị, khi cần thiết độ thu hồi phải được công bố cùng với các kết quả thử nghiệm và các kết quả thử nghiệm có được hiệu chính với các độ thu hồi đó hay không;
g) mọi đặc điểm cụ thể quan sát được trong quá trình thử nghiệm;
h) mọi thao tác không được quy định trong phương pháp này hoặc được coi là tùy chọn có thể ảnh hưởng đến kết quả.
Phụ lục A
(tham khảo)
Sắc ký đồ điển hình
Sắc ký đồ điển hình nêu trong Hình A.1, Hình A.2, Hình A.3 và Hình A.4
Điều kiện vận hành đối với Hình A.1:
| Cột: | RP-C182), kích thước 250 mm × đường kính trong 4,6 mm, pha tĩnh có cỡ hạt 5 μm |
| Tốc độ dòng: | 0,8 mL/min |
| Pha động A: | xem 5.23 |
| Nhiệt độ cột: | được kiểm soát ở 22 °C |
| Thể tích bơm: | 20 μL |
| Detector | Huỳnh quang, bước sóng kích thích 332 nm, bước sóng phát xạ 476 nm, băng thông ≤ 16 nm |

CHÚ DẪN
t thời gian, tính bằng min
Y đơn vị đo quang, LU
1 pic ochratoxin A ở thời gian t khoảng 6,6 min
Hình A.1 - Bột ớt paprika (hàm lượng ochratoxin A khoảng 30 μg/kg)
Điều kiện vận hành đối với Hình A.2:
| Cột: | Zorbax® SB-C183), kích thước 250 mm × đường kính trong 4,6 mm, pha tĩnh có cỡ hạt 5 μm |
| Tốc độ dòng: | 1 mL/min |
| Pha động A: | xem 5.24 |
| Nhiệt độ cột: | được kiểm soát ở 22 °C |
| Thể tích bơm: | 20 μL |
| Detector | Huỳnh quang, bước sóng kích thích 332 nm, bước sóng phát xạ 476 nm, băng thông ≤ 16 nm |

CHÚ DẪN
t thời gian, tính bằng min
Y đơn vị đo quang, LU
1 pic ochratoxin A ở 10 min (độ phân giải: > 3 với cả hai pic trước và sau)
Hình A.2 - Bột chiết cam thảo (hàm lượng ochratoxin A khoảng 80 μg/kg)
Điều kiện vận hành đối với Hình A.3
| Cột: | cột HPLC Phenyl-hexyl4), kích thước 100 mm × đường kính trong 4,6 mm, pha tĩnh có cỡ hạt 2,7 μm |
| Tốc độ dòng : | 1,0 mL/min |
| Pha động A: | xem 5.25 |
| Nhiệt độ cột: | được kiểm soát ở 50 °C |
| Thể tích bơm: | 20 μL |
| Detector | Huỳnh quang, bước sóng kích thích 332 nm, bước sóng phát xạ 476 nm, băng thông ≤ 16 nm |

CHÚ DẪN
t thời gian, tính bằng min
Y đơn vị phát quang, LU
1 pic ochratoxin A ở 5,7 min
Hình A.3 - Hạt tiêu trắng (hàm lượng ochratoxin A khoảng 5 μg/kg)
Điều kiện vận hành đối với Hình A.4:
| Cột: | cột HPLC Phenyl-hexyl5), 100 mm × đường kính trong 4,6 mm, pha tĩnh có cỡ hạt 2,7 μm |
| Tốc độ dòng chảy: | 1,0 mL/min |
| Pha động A: | xem 5.25 |
| Nhiệt độ cột: | được kiểm soát ở 50 °C |
| Thể tích bơm: | 20 μL |
| Detector | Huỳnh quang, bước sóng kích thích 332 nm, bước sóng phát xạ 476 nm, băng thông ≤ 16 nm |

CHÚ DẪN
t thời gian, tính bằng min
Y đơn vị đo quang, LU
1 pic ochratoxin A ở 5,7 min
Hình A.4 - Hạt nhục đậu khấu (hàm lượng ochratoxin A khoảng 5 μg/kg)
Phụ lục B
(tham khảo)
Dữ liệu độ chụm
Phương pháp này đã được thử nghiệm trong một loạt các phép thử liên phòng thử nghiệm theo bộ tiêu chuẩn TCVN 6910 (ISO 5725). Dữ liệu cho trong Bảng B.1, Bảng B.2, Bảng B.3 và Bảng B.4 thu được trong các phép thử liên phòng thử nghiệm và độ thu hồi thu được với nền mẫu thêm chuẩn.
Bảng B.1 - Dữ liệu về độ chụm đối với ớt cay và ớt paprika
| Thông số | Ớt cay Số 1 | Ớt cay Số 2 | Ớt cay Số 3 | Ớt paprika số 1 | Ớt paprika số 2 | Ớt paprika số 3 | Ớt paprika số 4 | Ớt paprika số 5 |
| Năm thử nghiệm liên phòng | 2012 | 2012 | 2012 | 2012 | 2012 | 2012 | 2012 | 2012 |
| Số phòng thử nghiệm tham gia | 21 | 21 | 11 | 21 | 21 | 21 | 21 | 10 |
| Số kết quả không phù hợp | 1 | 1 | 1 | 1 | 1 | 1 | 1 | 0 |
| Số ngoại lệ | 0 | 0 | 0 | 2 | 0 | 1 | 0 | 0 |
| Số kết quả được chấp nhận | 20 | 20 | 10 | 18 | 20 | 19 | 20 | 10 |
| Giá trị trung bình | 1,8 | 23,5 | 45,0 | 6,1 | 19,9 | 84,9 | 11,2 | 45,5 |
| Độ lệch chuẩn lặp lại sr, μg/kg | 0,3 | 1,1 | 0,8 | 0,4 | 1,3 | 7,4 | 0,5 | 2,6 |
| Độ lệch chuẩn lặp lại tương đối, RSDr, % | 14,3 | 4,6 | 1,7 | 6,9 | 6,8 | 8,7 | 4,7 | 5,7 |
| Giới hạn lặp lại, r, μg/kg | 0,7 | 3 | 2,2 | 1,2 | 3,8 | 20,8 | 1,5 | 7,3 |
| Độ lệch chuẩn tái lập, sR, μg/kg | 0,5 | 2,4 | 5,2 | 0,9 | 2,9 | 10,5 | 1,4 | 4,1 |
| Độ lệch chuẩn tái lập tương đối, RSDR, % | 27,5 | 10,4 | 11,6 | 14,0 | 14,5 | 12,4 | 12,2 | 9,1 |
| Giới hạn tái lập, R, μg/kg | 1,4 | 6,8 | 14,7 | 2,4 | 8,1 | 29,5 | 3,8 | 11,6 |
| Mức thêm chuẩn, μg/kg | - | - | 51,7 | - | - | - | 12,9 | 51,7 |
| Độ thu hồi, % | Không áp dụng | Không áp dụng | 84 | Không áp dụng | Không áp dụng | Không áp dụng | 87 | 88 |
| Giá trị HorRat | 1,3 | 0,5 | 0,5 | 0,6 | 0,7 | 0,6 | 0,6 | 0,4 |
Bảng B.2 - Dữ liệu độ chụm đối với hạt tiêu đen, hạt tiêu trắng, nhục đậu khấu và hỗn hợp gia vị
| Thông số | Hạt tiêu đen số 1 | Hạt tiêu đen số 2 | Hạt tiêu trắng số 1 | Hạt tiêu trắng số 1 | Nhục đậu khấu số 1 | Nhục đậu khấu số 2 | Nhục đậu khấu số 3 | Hỗn hợp gia vị số 1 | Hỗn hợp gia vị số 2 | Hỗn hợp gia vị số 3 | Hỗn hợp gia vị số 4 |
| Năm thử nghiệm liên phòng | 2016 | 2016 | 2016 | 2016 | 2016 | 2016 | 2016 | 2016 | 2016 | 2016 | 2016 |
| Số phòng thử nghiệm tham gia | 14 | 14 | 14 | 14 | 14 | 14 | 14 | 14 | 14 | 14 | 14 |
| Số kết quả không phù hợp | 2 | 0 | 1 | 0 | 0 | 0 | 0 | 0 | 1 | 0 | 0 |
| Số ngoại lệ | 0 | 0 | 0 | 0 | 0 | 0 | 0 | 0 | 0 | 0 | 0 |
| Số kết quả được chấp nhận | 12 | 14 | 13 | 14 | 14 | 14 | 14 | 14 | 13 | 14 | 14 |
| Giá trị trung bình, | 2,4 | 22,6 | 7,8 | 24,9 | 2,1 | 22,6 | 9,8 | 8,5 | 23,8 | 1,0 | 2,4 |
| Độ lệch chuẩn lặp lại sr, μg/kg | 0,2 | 1,3 | 0,6 | 2,6 | 0,2 | 1,9 | 1,3 | 0,5 | 1,7 | 0,1 | 0,4 |
| Độ lệch chuẩn lặp lại tương đối, RSDr, % | 8,7 | 5,6 | 7,9 | 10,5 | 11,1 | 8,5 | 13,7 | 5,9 | 7,1 | 11,4 | 16,7 |
| Giới hạn lặp lại r, μg/kg | 0,6 | 3,5 | 1,7 | 7,2 | 0,6 | 5,3 | 3,7 | 1,4 | 4,7 | 0,3 | 1,1 |
| Độ lệch chuẩn tái lập sR, μg/kg | 0,2 | 2,3 | 0,9 | 3,2 | 0,5 | 3,8 | 2,2 | 0,7 | 2,7 | 0,2 | 0,4 |
| Độ lệch chuẩn tái lập tương đối, RSDR, % | 9,5 | 10,0 | 11,8 | 13,0 | 22,2 | 17,1 | 22,6 | 7,7 | 11,5 | 16,0 | 16,7 |
| Giới hạn tái lập R, μg/kg | 0,6 | 6,3 | 2,6 | 9,0 | 1,3 | 10,7 | 6,1 | 1,8 | 7,6 | 0,4 | 1,1 |
| Mức thêm chuẩn, μg/kg | 3 | 30 | 10 | 30 | 3 | 30 | - | 10 | 30 | - | - |
| Độ thu hồi, % | 80 | 75 | 78 | 83 | 71 | 75 | không áp dụng | 85 | 79 | không áp dụng | không áp dụng |
| Giá trị HorRat | 0,6 | 0,8 | 0,7 | 0,8 | 0,5 | 0,8 | 0,7 | 0,7 | 0,8 | 0,5 | 0,6 |
Bảng B.3 - Độ chụm đối với bột chiết cam thảo, dịch chiết cam thảo và rễ cam thảo
| Thông số | Bột chiết số 1 | Bột chiết số 2 | Bột chiết số 3 | Bột chiết số 4 | Bột chiết số 5 | Dịch chiết số 1 | Dịch chiết số 2 | Dịch chiết số 3 | Rễ cam thảo số 1 | Rễ cam thảo số 2 | Rễ cam thảo số 3 | Rễ cam thảo số 4 |
| Năm thử nghiệm liên phòng | 2010 | 2010 | 2010 | 2010 | 2010 | 2010 | 2010 | 2010 | 2010 | 2010 | 2010 | 2010 |
| Số phòng thử nghiệm tham gia | 20 | 20 | 20 | 20 | 20 | 20 | 20 | 20 | 20 | 20 | 20 | 20 |
| Số kết quả không phù hợp | 1 | 1 | 1 | 1 | 1 | 1 | 1 | 1 | 4 | 1 | 2 | 1 |
| Số ngoại lệ | 0 | 0 | 0 | 2 | 0 | 0 | 1 | 2 | 1 | 0 | 1 | 2 |
| Số kết quả được chấp nhận | 19 | 19 | 19 | 17 | 19 | 19 | 18 | 17 | 15 | 19 | 17 | 17 |
| Giá trị trung bình, | 25,7 | 34,2 | 71,8 | 59,6 | 96,8 | 27,4 | 141,4 | 64,3 | 7,7 | 26,1 | 51,9 | 22,0 |
| Độ lệch chuẩn lặp lại sr, μg/kg | 1,5 | 2,6 | 5,8 | 2,3 | 5,8 | 2,4 | 6,3 | 3,6 | 0,7 | 1,6 | 2,9 | 2,0 |
| Độ lệch chuẩn lặp lại tương đối, RSDr, % | 5,8 | 7,6 | 8,1 | 3,9 | 6,0 | 8,8 | 4,5 | 5,6 | 9,1 | 6,1 | 5,6 | 9,1 |
| Giới hạn lặp lại r, μg/kg | 4,3 | 7,2 | 16,2 | 6,4 | 16,2 | 6,9 | 17,6 | 10,1 | 1,9 | 4,4 | 8,1 | 5,7 |
| Độ lệch chuẩn tái lập sR, μg/kg | 3,1 | 5,0 | 9,4 | 6,6 | 12,4 | 4,6 | 13,7 | 8,4 | 1,7 | 4,0 | 5,5 | 3,3 |
| Độ lệch chuẩn tái lập tương đối, RSDR, % | 12,1 | 14,6 | 13,1 | 11,1 | 12,8 | 16,8 | 9,7 | 13,1 | 22,1 | 15,3 | 10,6 | 15,0 |
| Giới hạn tái lập R, μg/kg | 8,6 | 14,0 | 26,3 | 18,6 | 34,7 | 12,9 | 38,4 | 23,5 | 4,8 | 11,2 | 15,3 | 9,2 |
| Mức thêm chuẩn, μg/kg | - | 36,5 | 81,5 | - | - | - | 160,0 | - |
| 30,0 | 60,0 | - |
| Độ thu hồi, % | không áp dụng | 86 | 84 | không áp dụng | không áp dụng | không áp dụng | 88 | không áp dụng | không áp dụng | 87 | 87 | không áp dụng |
| Giá trị HorRat | 0,5 | 0,7 | 0,6 | 0,5 | 0,6 | 0,8 | 0,5 | 0,6 | 1,0 | 0,7 | 0,5 | 0,7 |
Bảng B4 - Dữ liệu về độ chụm đối với cacao và sản phẩm cacao
| Thông số | Cacao số 1 | Cacao số 2 | Cacao số 3 | Sản phẩm cacao số 1 | Sản phẩm cacao số 2 | Sản phẩm cacao số 3 |
| Năm thử nghiệm liên phòng | 2016 | 2016 | 2016 | 2016 | 2016 | 2016 |
| Số phòng thử nghiệm tham gia | 15 | 15 | 15 | 15 | 15 | 15 |
| Số kết quả được chấp nhận | 14 | 15 | 14 | 15 | 15 | 15 |
| Số kết quả không phù hợp | 1 | 0 | 1 | 0 | 0 | 0 |
| Số ngoại lệ | 0 | 0 | 0 | 0 | 0 | 0 |
| Giá trị trung bình, | 25,4 | 2,1 | 7,2 | 8,8 | 26,3 | 2,8 |
| Độ lệch chuẩn lặp lại, sr, μg/kg | 1,1 | 0,4 | 1,0 | 0,6 | 1,9 | 0,3 |
| Độ lệch chuẩn lặp lại tương đối, RSDr, % | 4,5 | 18,7 | 13,5 | 6,7 | 7,3 | 10,6 |
| Giới hạn lặp lại, r, μg/kg | 3,2 | 1,1 | 2,7 | 1,6 | 5,3 | 0,8 |
| Độ lệch chuẩn tái lập, sR, μg/kg | 6,0 | 0,6 | 1,7 | 2,3 | 3,6 | 0,8 |
| Độ lệch chuẩn tái lập tương đối, RSDR, % | 23,7 | 26,1 | 23,1 | 25,9 | 13,7 | 30,7 |
| Giới hạn tái lập, R, μg/kg | 16,7 | 1,5 | 4,6 | 6,3 | 10,0 | 2,3 |
| Mức thêm chuẩn, μg/kg | 30,0 | - | - | 10,0 | 30,0 | - |
| Độ thu hồi, % | 85 | Không áp dụng | Không áp dụng | 88 | 88 | Không áp dụng |
| Giá trị HorRat | 0,8 | 0,5 | 0,7 | 0,7 | 0,8 | 0,6 |
Thư mục tài liệu tham khảo
[1] TCVN ISO/IEC 17025, Yêu cầu chung về năng lực của các phòng thử nghiệm và hiệu chuẩn
[2] TCVN 6910 (ISO 5725) (tất cả các phần), Độ chính xác (độ đúng và độ chụm) của phương pháp đo và kết quả đo
[3] Regulation EC No 1907/2006 of the European Parliament and of the Council, Official Journal Of the European Union Corrigendum in L 136/3 of 29 May 2007 in its current version
[4] DEUTSCHE FORSCHUNGSGEMEINSCHAFT. Maximum workplace concentration and biological tolerance values, “Mitteilung der Senatskommission zur Prüfung gesundheitsschädlicher Arbeitsstoffe” as amended; Kennedyallee 40, 53175 Bonn accessible under https://onlinelibrary.wiley.com/book/10.1002/9783527682027
[5] KUNSAGI Z., STROKA J. Determination of ochratoxin A in Capsicum spp. (paprika and chili) by immunoaffinity column cleanup and liquid chromatography: Collaborative study. J. AOAC Int. 2014, 97, pp. 876-883
[6] CUBERO-LEON E., BOUTEN K., SENYUVA H., STROKA J. Determination Of ochratoxin A in black and white pepper, nutmeg, spice Mix, cocoa and drinking chocolate by high-performance liquid chromatography couμled with fluorescence detection: Collaborative study. J. AOAC Int. 2017 Apr 22
[7] LERDA D., AMBROSIO M., KUNSAGI Z., STROKA J. Determination of ochratoxin A in licorice and licorice extracts by high-performance liquid chromatography couμled with fluorescence detection: Collaborative study.J. AOAC Int. 2013, 96 pp. 331-340
[8] EUROPEAN COMMISSION. Guidance document on identification of mycotoxins in food and feed SANTE/12089/2016 Imμlemented by 01/01/2017. Weblink (accessed 14.11.2018): https://ec.europa.eu/food/sites/food/files/safew/docs/cs_contaminants_sampling_guid-doc-ident- mycotoxins.pdf
1) Tween® 20 là tên thương mại của chất hoạt động bề mặt không ion loại polysorbate 20 có sẵn từ các nhà cung cấp khác nhau. Thông tin này đưa ra tạo thuận tiện cho người sử dụng tiêu chuẩn và không ấn định phải sử dụng sản phẩm này. Có thể sử dụng các sản phẩm tương tự nếu cho kết quả tương đương.
2) Tất cả các cột được sử dụng làm ví dụ. Thông tin này đưa ra tạo thuận tiện cho người sử dụng tiêu chuẩn và không ấn định sử dụng các sản phẩm này. Các sản phẩm tương tự có thể sử dụng nếu cho kết quả tương đương.
3) Tất cả các cột được sử dụng làm ví dụ. Thông tin này đưa ra tạo thuận tiện cho người sử dụng tiêu chuẩn và không ấn định sử dụng các sản phẩm này. Các sản phẩm tương tự có thể sử dụng nếu cho kết quả tương đương.
4) Tất cả các cột được sử dụng làm ví dụ. Thông tin này được đưa ra nhằm tạo thuận tiện cho người sử dụng tiêu chuẩn này và không ấn định sử dụng các sản phẩm được nêu tên. Có thể sử dụng các sản phẩm tương tự nếu cho kết quả tương đương.
5) Tất cả các cột được sử dụng làm ví dụ. Thông tin này đưa ra tạo thuận tiện cho người sử dụng tiêu chuẩn và không ấn định sử dụng các sản phẩm này. Các sản phẩm tương tự có thể sử dụng nếu cho kết quả tương đương.
Bạn chưa Đăng nhập thành viên.
Đây là tiện ích dành cho tài khoản thành viên. Vui lòng Đăng nhập để xem chi tiết. Nếu chưa có tài khoản, vui lòng Đăng ký tại đây!