- Tổng quan
- Nội dung
- Tiêu chuẩn liên quan
- Lược đồ
- Tải về
Tiêu chuẩn TCVN 14433:2025 Thức ăn công thức cho trẻ sơ sinh và sản phẩm dinh dưỡng dành cho người lớn - Xác định fructan
| Số hiệu: | TCVN 14433:2025 | Loại văn bản: | Tiêu chuẩn Việt Nam |
| Cơ quan ban hành: | Bộ Khoa học và Công nghệ | Lĩnh vực: | Thực phẩm-Dược phẩm |
| Trích yếu: | ISO 22579:2020 Thức ăn công thức dành cho trẻ sơ sinh và sản phẩm dinh dưỡng dành cho người lớn - Xác định fructan - Phương pháp sắc ký trao đổi anion hiệu năng cao với detector đo dòng xung (HPAEC-PAD) sau khi xử lý bằng enzym | ||
|
Ngày ban hành:
Ngày ban hành là ngày, tháng, năm văn bản được thông qua hoặc ký ban hành.
|
05/06/2025 |
Hiệu lực:
|
Đã biết
|
| Người ký: | Đang cập nhật |
Tình trạng hiệu lực:
Cho biết trạng thái hiệu lực của văn bản đang tra cứu: Chưa áp dụng, Còn hiệu lực, Hết hiệu lực, Hết hiệu lực 1 phần; Đã sửa đổi, Đính chính hay Không còn phù hợp,...
|
Đã biết
|
TÓM TẮT TIÊU CHUẨN VIỆT NAM TCVN 14433:2025
Tiêu chuẩn quốc gia xác định fructan trong thực phẩm công thức và sản phẩm dinh dưỡng
Ngày 05/06/2025, Bộ Khoa học và Công nghệ đã công bố Tiêu chuẩn quốc gia TCVN 14433:2025 ISO 22579:2020 quy định về phương pháp xác định fructan trong thức ăn công thức dành cho trẻ sơ sinh và sản phẩm dinh dưỡng dành cho người lớn. Tiêu chuẩn này có hiệu lực ngay sau ngày công bố.
Tiêu chuẩn này quy định phương pháp xác định các loại fructan, bao gồm inulin, trong các sản phẩm dinh dưỡng từ 0,03 g/100 g đến 5,0 g/100 g fructan. Đối tượng áp dụng bao gồm thức ăn công thức cho trẻ sơ sinh và sản phẩm dinh dưỡng uống liền cho người lớn.
Cảnh báo an toàn hóa chất
Phương pháp trong tiêu chuẩn có sử dụng một số chất ăn mòn và độc hại, cần chú ý đến việc xử lý và thải bỏ chất thải theo quy định an toàn.
Phương pháp xác định fructan
Tiêu chuẩn mô tả chi tiết quy trình xác định fructan, bao gồm các bước xử lý mẫu, thủy phân enzym, chiết xuất và phân tích bằng sắc ký. Nguyên tắc chính là pha loãng mẫu để thu được nồng độ fructan thích hợp cho phân tích.
Các hóa chất cần thiết
Danh mục hóa chất được yêu cầu để thực hiện phương pháp bao gồm natri hydroxide, acid acetic, các enzym như sucrase và fructanase, cùng với các dung dịch cần thiết như nước khử ion. Tất cả các hóa chất này phải đạt chất lượng phân tích.
Thiết bị và dụng cụ
Các thiết bị cần thiết để thực hiện phương pháp bao gồm cân phân tích, máy đo pH, thiết bị sắc ký lỏng hiệu năng cao (HPAEC-PAD) và cột chiết hóa chất đặc biệt. Các dụng cụ như ống ly tâm cũng được đề cập để chuẩn bị mẫu thử.
Chuẩn bị mẫu thử
Quy trình chuẩn bị mẫu được thiết lập cụ thể dựa toán loại sản phẩm dinh dưỡng và cách của nó, từ các sản phẩm dạng bột tới thức ăn uống liền.
Giao thức phân tích
Giao thức phân tích cho việc định lượng glucose và fructose từ fructan được mô tả cụ thể với hướng dẫn từng bước về cách thực hiện trong môi trường phòng thí nghiệm, từ việc chuẩn bị mẫu đến điều kiện sắc ký.
Tính toán kết quả
Phần tính toán đưa ra các công thức cụ thể để tính hàm lượng glucose và fructose từ fructan trong mẫu, đảm bảo kết quả được trình bày chính xác và có thể kiểm ver.
Tiêu chuẩn này là cơ sở quan trọng để đảm bảo chất lượng và an toàn cho thực phẩm công thức và các sản phẩm dinh dưỡng thiết yếu cho trẻ sơ sinh và người lớn.
Tải tiêu chuẩn Việt Nam TCVN 14433:2025
TIÊU CHUẨN QUỐC GIA
TCVN 14433:2025
ISO 22579:2020
THỨC ĂN CÔNG THỨC DÀNH CHO TRẺ SƠ SINH VÀ SẢN PHẨM DINH DƯỠNG DÀNH CHO NGƯỜI LỚN - XÁC ĐỊNH FRUCTAN - PHƯƠNG PHÁP SẮC KÝ TRAO ĐỔI ANION HIỆU NĂNG CAO VỚI DETECTOR ĐO DÒNG XUNG (HPAEC-PAD) SAU KHI XỬ LÝ BẰNG ENZYM
Infant formula and adult nutritionals - Determination of fructans - High performance anion exchange chromatography with pulsed amperometric detection (HPAEC-PAD) after enzymatic treatment
Lời nói đầu
TCVN 14433:2025 hoàn toàn tương đương với ISO 22579:2020*);
TCVN 14433:2025 do Ban kỹ thuật tiêu chuẩn quốc gia TCVN/TC/F6 Dinh dưỡng và thức ăn kiêng biên soạn, Viện Tiêu chuẩn Chất lượng Việt Nam đề nghị, Ủy ban Tiêu chuẩn Đo lường Chất lượng quốc gia thẩm định, Bộ Khoa học và Công nghệ công bố.
THỨC ĂN CÔNG THỨC DÀNH CHO TRẺ SƠ SINH VÀ SẢN PHẨM DINH DƯỠNG DÀNH CHO NGƯỜI LỚN - XÁC ĐỊNH FRUCTAN - PHƯƠNG PHÁP SẮC KÝ TRAO ĐỔI ANION HIỆU NĂNG CAO VỚI DETECTOR ĐO DÒNG XUNG (HPAEC-PAD) SAU KHI XỬ LÝ BẰNG ENZYM
Infant formula and adult nutritionals - Determination of fructans - High performance anion exchange chromatography with pulsed amperometric detection (HPAEC-PAD) after enzymatic treatment
CẢNH BÁO - Phương pháp mô tả trong tiêu chuẩn này sử dụng các chất ăn mòn (natri hydroxide, acid acetic) và chất độc (natri azide). Tham khảo các dữ liệu an toàn vật liệu và thực hiện các biện pháp phòng ngừa an toàn bổ sung thích hợp để xử lý và thải bỏ chất thải.
1 Phạm vi áp dụng
Tiêu chuẩn này quy định phương pháp xác định các fructan loại inulin (bao gồm oligofructose, fructooligosacarid) trong thức ăn công thức dành cho trẻ sơ sinh và sản phẩm dinh dưỡng dành cho người lớn (cả dạng bột và dạng lỏng) có chứa từ 0,03 g/100 g đến 5,0 g/100 g fructan trong sản phẩm đã được chuẩn bị sẵn để tiêu thụ.
Phương pháp này đã được xác nhận giá trị sử dụng trong nghiên cứu liên phòng thử nghiệm [1] sử dụng chất chuẩn so sánh (SRM) đã pha lại (hoàn nguyên), thức ăn công thức dành cho trẻ sơ sinh/sản phẩm dinh dưỡng dành cho người lớn ở mức 0,204 g/100 g, sản phẩm dinh dưỡng uống liền (RTF) dành cho người lớn ở mức 1,28 g/100 g và 2,67 g/100 g, thức ăn công thức uống liền dành cho trẻ sơ sinh ở mức 0,300 g/100 g, thức ăn công thức hoàn nguyên dành cho trẻ ăn dặm ở mức từ 0,209 g/100 g đến 0,275 g/100 g, thức ăn công thức hoàn nguyên dành cho trẻ sơ sinh ở mức từ 0,030 8 g/100 g đến 0,264 g/100 g. Trong nghiên cứu xác nhận giá trị sử dụng tại phòng thử nghiệm đơn lẻ[2], các thử nghiệm về độ thu hồi bằng cách thêm chuẩn đã được thực hiện ở mức 5 g/100 g trong thức ăn công thức hoàn nguyên dạng bột (nguồn gốc từ sữa, nguồn gốc từ sữa thủy phân một phần và nguồn gốc từ bột đậu nành) dành cho trẻ sơ sinh, sản phẩm dinh dưỡng uống liền dành cho người lớn và bột dinh dưỡng hoàn nguyên dành cho người lớn.
2 Tài liệu viện dẫn
Trong tiêu chuẩn này không có tài liệu nào được viện dẫn.
3 Thuật ngữ và định nghĩa
Trong tiêu chuẩn này áp dụng các thuật ngữ và định nghĩa sau:
3.1
Sản phẩm dinh dưỡng dành cho người lớn (adult nutritional)
Thực phẩm có công thức đặc biệt, hoàn chỉnh về mặt dinh dưỡng, được tiêu thụ ở dạng lỏng, có thể tạo thành nguồn dinh dưỡng duy nhất, được làm từ bất kỳ sự kết hợp nào của sữa, đậu nành, gạo, whey, protein thủy phân, tinh bột và acid amin, có hoặc không có protein nguyên vẹn.
3.2
Thức ăn công thức dành cho trẻ sơ sinh (infant formula)
Sản phẩm thay thế sữa mẹ được chế biến đặc biệt đáp ứng được các nhu cầu về dinh dưỡng của trẻ trong những tháng đầu sau khi sinh đến giai đoạn ăn thức ăn bổ sung thích hợp.
[NGUỒN: TCVN 7108 (CODEX STAN 72-1981)].
3.3
Thức ăn công thức dành cho trẻ từ 6 tháng đến 36 tháng tuổi (follow-up formula)
Thực phẩm khi dùng ở dạng lỏng được sử dụng làm chế độ ăn bổ sung cho trẻ từ 6 tháng đến 36 tháng tuổi.
CHÚ THÍCH 1: Thức ăn công thức dành cho trẻ từ 6 tháng đến 36 tháng tuổi bao gồm thức ăn công thức dành cho trẻ nhỏ và thức ăn công thức dành cho trẻ ăn dặm.
[NGUỒN: TCVN 7403 (CODEX STAN 156-1987)].
4 Nguyên tắc
Mẫu được pha trong nước (nếu cần) và pha loãng tiếp cho đến khi nồng độ của các fructan trong dung dịch mà sau khi thủy phân, tạo ra fructose và glucose có nồng độ nằm trong khoảng đường chuẩn. Mẫu đã pha loãng được xử lý bằng hỗn hợp của sucrase và α-glucanase đặc hiệu cao để thủy phân sacarose và α-glucooligosaccarid thành phần tử monosaccarid. Mẫu được đi qua cột chiết pha rắn (SPE) nhồi carbon graphit hóa. Các muối và monosaccarid đi qua và được rửa ra khỏi cột, trong khi giữ lại fructan. Rửa giải fructan khỏi cột, sử dụng dung dịch acetonitrile. Fructan giải phóng được thủy phân bằng hỗn hợp fructanase, glucose và fructose giải phóng được phân tích bằng sắc ký trao đổi anion hiệu năng cao có detector dòng xung (HPAEC-PAD). Hàm lượng fructan tính được bằng tổng của glucose và 0,9 lần hàm lượng fructose đo được. Trong một số nền mẫu, có thể cần và áp dụng phép hiệu chính mẫu trắng.
5 Thuốc thử và hóa chất
5.1 Danh mục thuốc thử và hóa chất
Chỉ sử dụng thuốc thử đạt chất lượng phân tích, trừ khi có quy định khác. Dung môi phải đạt chất lượng dùng cho phân tích HPLC, trừ khi có quy định khác.
5.1.1 Nước khử ion, đã tinh sạch có điện trở ≥ 18 MΩ.
5.1.2 Acid maleic, độ tinh khiết ≥ 99,0 %.
5.1.3 Acetonitrile.
5.1.4 Acid acetic, băng 100 %, dạng khan.
5.1.5 Kali hexacyanoferrat(ll) trihydrat, tùy chọn.
5.1.6 Kẽm acetat, tùy chọn.
5.1.7 Acid trifluoroacetic (TFA).
5.1.8 Acid hydrochloric, nồng độ c = 1 mol/L
5.1.9 Natri acetat khan, độ tinh khiết ≥ 99,0 %, chỉ dùng khi sử dụng cột B (6.13.2) cho HPAEC-PAC.
5.1.10 Dung dịch natri hydroxide, 50 % phần khối lượng.
5.1.11 Natri hydroxide, dạng viên
5.1.12 Natri chloride.
5.1.13 Natri azide, tùy chọn.
5.1.14 D-(-)-fructose, độ tinh khiết ≥ 99,0 % (tính theo khối lượng chất khô).
5.1.15 D-(+)-glucose, độ tinh khiết ≥ 99,5 % (tính theo khối lượng chất khô).
5.1.16 N,N’-diacetylchitobiose, độ tinh khiết > 90 %.
5.1.17 Hỗn hợp của sucrase, β-amylase, pullulanase và maltase có độ tinh sạch cao, từ bộ Kit Fructan K-FRUC1). 200 μl dung dịch làm việc của hỗn hợp enzym (5.2.10) có thể thủy phân hoàn toàn 2 mg sucrase trong các điều kiện mô tả trong phương pháp (90 min ở 40 °C) mà không làm thủy phân bất kỳ fructan nào.
5.1.18 Hỗn hợp của exo- và endo-inulinase tái tổ hợp và endo-levanase tái tổ hợp có độ tinh sạch cao, từ bộ Kit Fructan K-FRUC1). 100 μl dung dịch làm việc của hỗn hợp enzym (5.2.11) có thể thủy phân 70 μg fructan trong các điều kiện của phương pháp (40 min ở 40 °C).
5.2 Chuẩn bị thuốc thử
5.2.1 Dung dịch natri hydroxide, c = 2 mol/L.
Hòa tan 40 g ± 1 g natri hydroxide dạng viên trong 250 ml nước khử ion đựng trong bình định mức 500 ml. Sau khi làm nguội đến nhiệt độ phòng, thêm nước khử ion đến vạch và trộn kỹ. Dung dịch này bền trong sáu tháng ở nhiệt độ phòng.
5.2.2 Dung dịch đệm natri maleat, c = 0,100 mol/L, pH = 6,5.
Cân 5,8 g acid maleic cho vào cốc có mỏ lớn (> 500 ml) và hòa tan bằng 450 ml nước khử ion, sử dụng que khuấy từ. Chỉnh đến pH = 6,5 bằng dung dịch natri hydroxide (5.2.1). Chuyển dung dịch vào bình định mức 500 ml và thêm nước khử ion đến vạch. Dung dịch này bền trong ba tháng ở nhiệt độ 4 °C.
5.2.3 Dung dịch đệm natri acetat, c = 0,100 mol/L, pH = 4,5.
Cho 450 ml nước khử ion vào cốc có mỏ lớn (> 500 ml), dùng pipet thêm 2,9 ml acid acetic băng. Chỉnh đến pH = 4,5 bằng dung dịch natri hydroxide (5.2.1). Chuyển dung dịch vào bình định mức 500 ml và thêm nước khử ion đến vạch. Dung dịch này bền trong ba tháng ở nhiệt độ 4 °C.
5.2.4 Dung dịch nội chuẩn N,N’ diacetylchitobiose, nồng độ khối lượng ρ = 600 μg/ml.
Cân 15 mg N,N’ diacetylchitobiose cho vào bình định mức 25 ml và thêm nước khử Ion đến vạch. Dung dịch này bền trong một năm ở nhiệt độ - 20 °C.
5.2.5 Dung dịch chuẩn gốc glucose, ρ = 5 mg/ml.
Cân 125 mg glucose cho vào bình định mức 25 ml và thêm nước khử ion đến vạch. Dung dịch này bền trong một năm ở nhiệt độ -20 °C.
5.2.6 Dung dịch chuẩn gốc fructose, ρ = 10 mg/ml.
Cân 250 mg fructose cho vào bình định mức 25 ml và thêm nước khử ion đến vạch. Dung dịch này bền một năm ở nhiệt độ -20 °C.
5.2.7 Dung dịch Carrez I
Hòa tan 10,6 g kali hexacyanoferrat(ll) trihydrat trong 100 ml nước khử ion và bảo quản trong chai màu nâu. Dung dịch này bền trong sáu tháng ở nhiệt độ phòng (thuốc thử tùy chọn).
5.2.8 Dung dịch Carrez II
Hòa tan 22,0 g kẽm acetat trong 90 ml nước khử ion và thêm 2,9 ml acid acetic băng cho vào bình định mức 100 ml. Thêm nước khử ion đến vạch và trộn. Dung dịch này bền trong sáu tháng ở nhiệt độ phòng (thuốc thử tùy chọn).
5.2.9 Dung dịch natri azide, ρ = 5 g/L
Hòa tan 1 g natri azide trong 200 ml nước khử ion (thuốc thử tùy chọn).
5.2.10 Dung dịch hỗn hợp của sucrase, β-amylase, pullulanase và maltase.
Hòa tan các lượng trong chai chứa sucrase, β-amylase, pullulanase và maltase dạng bột khô đông lạnh trong 22,0 ml dung dịch đệm natri maleat (5.2.2). Trộn kỹ và chia thành từng lượng mỗi lượng 2 ml và bảo quản lạnh ở -20 °C trong các ống polyprolylen cho đến khi sử dụng. Dung dịch này bền trong năm năm ở-20°C.
LƯU Ý - Để phát triển và xác nhận giá trị sử dụng của phương pháp này, sử dụng hỗn hợp enzym được chuẩn bị trước được bán sẵn từ công ty Megazyme2) (5.1.17). Khi sử dụng enzym từ các nguồn khác, thành phần đệm (loại, nồng độ và pH) có thể cần được điều chỉnh theo khuyến cáo của nhà cung cấp. Cũng cần bắt buộc phải đảm bảo hỗn hợp enzym được sử dụng sẽ thủy phân hoàn toàn bất kỳ sucrase nào trong sản phẩm mà không thủy phân fructan. Điều này có thể được kiểm tra bằng cách tiến hành phân tích với sucrase và fructan tinh khiết làm các chất phân tích. Khi phân tích sucrase thì phải không được đo fructan và khi phân tích fructan có độ tinh khiết đã biết (nên kiểm tra việc sử dụng cả inulin chuỗi dài và fructooligosaccarid chuỗi ngắn) thì độ thu hồi đạt được phải lớn hơn 90 %. Phép thử thay thế để kiểm tra độ phù hợp và hiệu năng của hỗn hợp enzym được nêu trong Phụ lục C.
5.2.11 Dung dịch fructanase (exo-/endo-inulinase và endo-levanase).
Hòa tan các lượng trong chai chứa exo- và endo-inulinase và endo-levanase dạng bột khô đông lạnh trong 22,0 ml dung dịch đệm natri acetat (5.2.3). Trộn kỹ và chia thành từng lượng mỗi lượng 2 ml và bảo quản lạnh ở -20 °C trong các ống polyprolylen cho đến khi sử dụng. Dung dịch này bền trong năm năm ở -20 °C
LƯU Ý - Để phát triển và xác nhận giá trị sử dụng của phương pháp này, sử dụng hỗn hợp enzym được chuẩn bị trước có bán sẵn từ công ty Megazyme2) (5.1.18). Khi sử dụng enzym từ các nguồn khác, thành phần đệm (loại, nồng độ và pH) có thể cần được điều chỉnh theo khuyến cáo của nhà cung cấp. Phải đảm bảo hỗn hợp enzym được sử dụng thủy phân hoàn toàn fructan mà không thủy phân bất kỳ glucose hoặc fructose khác chứa oligo- hoặc polysaccarid nào có mặt sau khi xử lý bằng hỗn hợp sucrase ở trên. Điều này có thể được kiểm tra bằng cách tiến hành phân tích với fructan tinh khiết làm các chất phân tích. Khi đo fructan có độ tinh khiết đã biết thì độ thu hồi đạt được phải lớn hơn 90 %.
5.2.12 Dung dịch rửa dùng cho cột chiết pha rắn (SPE) carbon graphit hóa, TFA 0,1 % trong acetonitrile, 80 % phần thể tích.
Lấy 80 ml acetonitrile và 100 μl TFA cho vào bình định mức 100 ml. Thêm nước khử ion đến vạch. Dung dịch này bền trong sáu tháng ở nhiệt độ phòng.
5.2.13 Dung dịch natri chloride, c = 1 mol/L, dùng cho cột SPE carbon graphit hóa.
Cân 5,8 g natri chloride cho vào bình định mức 100 ml và hòa tan với 90 ml nước khử ion. Thêm nước khử ion đến vạch. Dung dịch này bền trong sáu tháng ở nhiệt độ phòng.
5.2.14 Dung dịch rửa giải dùng cho cột SPE carbon graphit hóa, TFA 0,05 % trong acetonitrile, 25 % phần thể tích.
Cho 25 ml acetonitrile và 50 μl TFA vào bình định mức 100 ml. Thêm nước khử ion đến vạch. Dung dịch này bền trong sáu tháng ở nhiệt độ phòng.
5.3 Chuẩn bị pha động để sử dụng cho cột A (6.13.1) hoặc loại tương đương
Nếu sử dụng cột B (6.13.2), bỏ qua điều này và chuyển trực tiếp đến 5.4.
5.3.1 Dung dịch rửa giải A dùng cho cột A (6.13.1), dung dịch natri hydroxide, c = 0,600 mol/L.
Cho 970 ml nước khử ion vào chai rửa giải và khử khí bằng heli trong 20 min. Thêm 31,2 ml dung dịch natri hydroxide (5.1.10) (sử dụng pipet bằng chất dẻo dùng một lần). Khử khí bằng heli trong 20 min và tránh dịch rửa giải tiếp xúc với carbon dioxide cho đến khi sử dụng, bằng biện pháp thích hợp (ví dụ: bằng cách giữ dưới lớp phủ heli). Dung dịch này bền trong một tuần ở nhiệt độ phòng.
5.3.2 Dung dịch rửa giải B dùng cho cột A (6.13.1), nước khử ion có điện trở ≥ 18 MΩ.
Cho 2 000 ml nước khử ion (5.1.1) vào chai rửa giải và khử khí bằng heli trong 20 min. Tránh dịch rửa giải tiếp xúc với carbon dioxide cho đến khi sử dụng, bằng biện pháp thích hợp (ví dụ: bằng cách giữ dưới lớp phủ heli). Dung dịch này bền trong bốn ngày ở nhiệt độ phòng.
5.3.3 Dung dịch rửa giải C dùng cho cột A (6.13.1), dung dịch natri hydroxide, c = 0,030 mol/L
Cho 1 000 ml nước khử ion vào chai rửa giải và khử khí bằng heli trong 20 min. Thêm 1,6 ml dung dịch natri hydroxide (5.1.10) (sử dụng pipet bằng chất dẻo dùng một lần). Khử khí bằng heli trong 20 min và tránh dịch rửa giải tiếp xúc với carbon dioxide cho đến khi sử dụng, bằng biện pháp thích hợp (ví dụ: bằng cách giữ dưới lớp phủ heli). Dung dịch này bền trong một tuần ở nhiệt độ phòng.
5.3.4 Thuốc thử bổ sung sau cột, natri hydroxide, c = 0,300 mol/L.
Cho 985 ml nước khử ion vào chai rửa giải và thêm 15,6 ml dung dịch natri hydroxide (5.1.10) (sử dụng pipet bằng chất dẻo dùng một lần). Khuấy nhẹ để trộn đều dung dịch. Khử khí bằng heli trong 20 min. Dung dịch này bền trong một tháng ở nhiệt độ phòng. Khử khí trong ngày sử dụng.
5.4 Chuẩn bị pha động để sử dụng cho cột B (6.13.2) hoặc loại tương đương
Nếu sử dụng cột A (6.13.1), thì bỏ qua điều này.
5.4.1 Dung dịch rửa giải A dùng cho cột B (6.13.1), dung dịch natri hydroxide, c = 0,200 mol/L.
Cân 1 923 g ± 2 g nước khử ion cho vào chai rửa giải và khử khí bằng heli trong 20 min. Thêm 20 ml dung dịch natri hydroxide (5.1.10) (sử dụng pipet bằng chất dẻo dùng một lần). Khử khí bằng heli trong 20 min và tránh dịch rửa giải tiếp xúc với carbon dioxide cho đến khi sử dụng, bằng biện pháp thích hợp (ví dụ: bằng cách giữ dưới lớp phủ heli). Dung dịch này bền trong một tuần ở nhiệt độ phòng.
5.4.2 Dung dịch rửa giải B dùng cho cột B (6.13.2), nước khử ion có điện trở suất ≥ 18 MΩ.
Đổ 2 000 ml nước khử ion vào chai rửa giải 2 L. Khử khí bằng heli trong 20 min và tránh dịch rửa giải tiếp xúc với carbon dioxide cho đến khi sử dụng, bằng biện pháp thích hợp (ví dụ: bằng cách giữ dưới lớp phủ heli). Dung dịch này bền trong bốn ngày.
Tùy chọn, có thể thêm dung dịch natri azide 5 g/L (5.2.9) vào pha động B để tạo thành dịch rửa giải có nồng độ cuối cùng là 0,125 g/L. Điều này để kéo dài hạn sử dụng của dịch rửa giải đến khoảng hai tuần và có thể cải thiện độ phân giải sắc ký xung quanh chitobiose trong trường hợp có vấn đề.
5.4.3 Dung dịch rửa giải C dùng cho cột B (6.13.2), dung dịch natri hydroxide, c = 1 mol/L
Cân 82,0 g natri acetat khan (5.1.9) cho vào bình định mức 1 000 ml và hòa tan bằng 800 ml nước khử ion và trộn. Thêm nước khử ion đến vạch và lọc qua bộ lọc màng nylon 0,20 pm vào chai rửa giải. Khử khí bằng heli trong 20 min và tránh dịch rửa giải tiếp xúc với carbon dioxide cho đến khi sử dụng, bằng phương pháp thích hợp (ví dụ: bằng cách giữ dưới lớp phủ heli). Dung dịch này bền trong một tuần ở nhiệt độ phòng.
5.4.4 Thuốc thử bổ sung sau cột, dung dịch natri hydroxide, c = 0,300 mol/L.
Cho 985 ml nước khử ion vào chai rửa giải và thêm 15,6 ml dung dịch natri hydroxide (5.1.10) (sử dụng pipet bằng chất dẻo dùng một lần). Khuấy nhẹ để trộn đều dung dịch. Khử khí bằng heli trong 20 min. Dung dịch này bền trong một tháng ở nhiệt độ phòng. Khử khí trong ngày sử dụng.
5.5 Chuẩn bị dung dịch chuẩn
Sử dụng các bình định mức, dựng đường chuẩn sáu mức bằng cách pha loãng dung dịch gốc glucose (5.2.5) và dung dịch gốc fructose (5.2.6), thêm nước khử ion đến vạch cuối cùng, như mô tả trong Bảng 1.
Bảng 1 - Sơ đồ pha loãng để dựng đường chuẩn
| Dung dịch định mức | Thể tích của dung dịch gốc fructose (5.2.6) μl | Thể tích của dung dịch gốc glucose (5.2.5) μl | Thể tích cuối cùng ml | Nồng độ fructose μg/ml | Nồng độ glucose μg/ml |
| Mức 1 | 200 | 40 | 100 | 20 | 2 |
| Mức 2 | 400 | 200 | 20 | 200 | 50 |
| Mức 3 | 800 | 400 | 20 | 400 | 100 |
| Mức 4 | 1 200 | 600 | 20 | 600 | 150 |
| Mức 5 | 1 600 | 800 | 20 | 800 | 200 |
| Mức 6 | 2 000 | 1 000 | 20 | 1 000 | 250 |
Xử lý từng dãy sáu dung dịch chuẩn như sau: cho vào ống ly tâm dung tích 1,5 ml: 200 μl dung dịch chuẩn (xem Bảng 1), 200 μl nước khử ion (5.1.1) và 100 μl dung dịch nội chuẩn N,N‘-diacetylchitobiose (5.2.4) và trộn kỹ. Sau đó chuyển 400 μl dung dịch này vào ống ly tâm dung tích 2 ml, thêm 1 200 μl dung dịch rửa giải dùng cho SPE (5.2.14) và trộn kỹ. Đối với 700 μl dung dịch này, thêm 300 μl dung dịch đệm acetat (5.2.3). Trộn kỹ sau đó ly tâm ở 10 000g trong 5 min. Chuyển 900 μl phần nổi phía trên vào lọ nhỏ thích hợp với bộ lấy mẫu tự động của thiết bị.
6 Thiết bị, dụng cụ
Sử dụng các thiết bị, dụng cụ phòng thử nghiệm thông thường và cụ thể như sau:
6.1 Cân phân tích, có thể đọc đến 0,1 mg.
6.2 Máy đo pH, có thể đo pH = 0,1.
6.3 Ống ly tâm, dung tích 1,5 ml và 2 ml.
6.4 Nồi cách thủy, ở 80 °C ± 1 °C, có sẵn que khuấy từ.
6.5 Nồi cách thủy, ở 40 °C ± 1 °C.
6.6 Máy ly tâm, dùng cho ống ly tâm dung tích 1,5 ml và 2 ml có thể vận hành ở 10 000g.
6.7 Micropipet có đầu hút, dung tích 0,1 ml đến 1 ml.
6.8 Máy trộn Vortex.
6.9 Pipet bằng chất dẻo dùng một lần, chia vạch, dung tích 2,10 ml và 25 ml.
6.10 Xyranh bằng chất dẻo dùng một lần, dung tích 2 ml.
6.11 Cột SPE carbon graphit hóa (100 mg, 1 ml) (Supelclean ™ ENVI-Carb ™3) hoặc tương đương).
6.12 Bộ lọc màng bằng nylon, cỡ lỗ 0,2 μm và đường kính 4,7 cm.
6.13 Cột phân tích.
6.13.1 Cột A, CarboPac™ 3) PA20, (150 mm × 3 mm, 6,5 μm) hoặc tương đương.
6.13.2 Cột B, CarboPac™ 3) PA1, (250 mm × 2 mm, 10 μm) có cột bảo vệ (50 mm × 2 mm, 10 μm) hoặc tương đương.
6.13.3 Sắc ký lỏng không chứa kim loại, gồm:
- bơm có thể phân phối gradient ba kênh với lưu lượng 0,5 ml/min đối với cột A (6.13.1) hoặc 0,25 ml/min đối với cột B (6.13.2);
- bộ lấy mẫu tự động (hệ thống làm mát được khuyến nghị), có thể bơm 25 μl đối với cột A (6.13.1) hoặc 20 μl đối với cột B (6.13.2);
- buồng cột có thể duy trì nhiệt độ 30 °C đối với cột A (6.13.1) hoặc 20 °C đối với cột B (6.13.2);
- detector điện hóa làm việc ở chế độ phát hiện điện cực dòng xung, gắn với điện cực làm việc bằng vàng;
- bơm đẳng dòng để phân phối sau cột, có bộ giảm xung, cuộn phản ứng 125 μl và miếng chữ T.
- hệ thống thu thập dữ liệu.
7 Cách tiến hành
7.1 Chuẩn bị mẫu thử
7.1.1 Các sản phẩm dạng bột hoặc dạng cô đặc dùng để pha uống liền (RTF) và sản phẩm dạng bột không đồng nhất có hàm lượng fructan dưới 1 g
Hoàn nguyên sản phẩm dạng bột hoặc dạng cô đặc theo hướng dẫn sử dụng. Đối với mẫu, cân chính xác 25 g (mR) thức ăn công thức dạng bột dành cho trẻ sơ sinh cho vào chai thích hợp, thêm 200 g nước khử ion (VR) và trộn kỹ ở nhiệt độ phòng để tạo huyền phù đồng nhất. Tiến hành như mô tả trong 7.1.2.
7.1.2 Các sản phẩm hoàn nguyên được chuẩn bị trong 7.1.1 hoặc sản phẩm dạng uống liền
Trộn kỹ đề đảm bảo đồng nhất phần mẫu thử. Cân 9 g (mA) mẫu cho vào bình định mức 50 ml (VA). Thêm 30 ml nước khử ion và khẳng định độ pH trong khoảng pH = 5 và pH = 9 (điều chỉnh nếu cần, sử dụng acid hydrochloric hoặc natri hydroxide). Đun nóng ở 80 °C và khuấy liên tục trong 20 min. Làm nguội đến nhiệt độ phòng và thêm nước khử ion đến vạch. Dung dịch này là dung dịch A. Tiến hành như mô tả trong 7.1.4.
7.1.3 Các sản phẩm dạng bột đồng nhất không cần hoàn nguyên trước
Cân 1 g (mA) bột cho vào bình định mức 50 ml (VA). Thêm 30 ml nước khử ion và khẳng định độ pH trong khoảng pH = 5 và pH = 9 (điều chỉnh nếu cần, sử dụng acid hydrochloric hoặc natri hydroxide). Đun nóng ở 80 °C và khuấy liên tục trong 20 min. Làm nguội đến nhiệt độ phòng và thêm nước khử ion đến vạch. Dung dịch này là dung dịch A. Tiến hành như mô tả trong 7.1.4.
7.1.4 Pha loãng
Pha loãng tiếp các dung dịch đã chuẩn bị ở trên tùy thuộc vào hàm lượng fructan dự kiến. Độ pha loãng đề xuất được nêu trong Bảng 2. Dung dịch tạo thành là dung dịch B.
Bảng 2 - Sơ đồ pha loãng mẫu tùy thuộc vào hàm lượng fructan dự kiến
| Hàm lượng fructan dự kiến g/100 g | Độ pha loãng | Hệ số pha loãng | ||
| Bột | RTF | Thể tích dung dịch A (7.1.2 hoặc 7.1.3) ml | Thể tích cuối cùng ml | |
| 0,2 đến 4,0 | 0,03 đến 0,45 | Không pha loãng | Không pha loãng | 1 |
| 2,5 đến 45 | 0,3 đến 4,5 | 5 | 50 | 10 |
| 25 đến 100 | 3,0 đến 45 | 0,5 | 50 | 100 |
7.1.5 Thủy phân sucrase và α-glucan
Chuyển 200 μl dung dịch B vào ống ly tâm 1,5 ml, thêm 100 μl dung dịch nội chuẩn N,N’-diacetylchitobiose (5.2.4) và 200 μl hỗn hợp enzym sucrase, β-amylase, pullulanase và maltase (5.2.10). Trộn kỹ, đặt ống ly tâm lên giá và ủ ấm ở 40 °C trong 90 min. Làm nguội đến nhiệt độ phòng.
LƯU Ý-Điều chỉnh các điều kiện này (thời gian và nhiệt độ) theo khuyến cáo của nhà sản xuất enzym.
7.1.6 Làm trong bằng Carrez (tùy chọn, sử dụng trong trường hợp khó đưa mẫu qua SPE)
Thêm 10 μl dung dịch Carrez I (5.2.7) vào mẫu và trộn kỹ. Sau đó thêm 10 μl dung dịch Carrez II (5.2.8) và trộn lại. Ly tâm ở 10 000g trong 10 min và sử dụng phần nổi phía trên cho bước tiếp theo.
7.1.7 Loại bỏ monosaccarid
Chuẩn bị cột SPE carbon graphit hóa (6.11) như sau (tránh để không khí đi qua cột SPE trước bước rửa giải cuối cùng vì điều này có thể dẫn đến kết quả phép đo mẫu trắng cao hơn):
- cho đi qua cột 3 lần, mỗi lần dùng 400 μl dung dịch rửa cho SPE (5.2.12);
- cho đi qua cột 3 lần, mỗi lần dùng 400 μl nước khử ion.
Sau đó tiến hành các bước sau, để dung dịch tự chảy, nếu có thể hoặc điều chỉnh tốc độ dòng rửa giải tối đa 2 ml/min, tăng nhẹ áp suất:
- dùng 400 μl dung dịch xử lý enzym (7.1.5 hoặc 7.1.6);
- rửa 2 lần, mỗi lần 1 000 μl dung dịch natri chloride (c = 1 mol/L) (5.2.13);
- rửa 4 lần, mỗi lần 1 000 μl nước khử ion;
- rửa giải fructan vào ống ly tâm 2 ml bằng 4 lần, mỗi lần 400 μl dung dịch rửa giải dùng cho SPE (5.2.14);
- tăng nhẹ áp suất để loại bỏ tất cả dung dịch ra khỏi cột;
- trộn kỹ dịch rửa giải thu được từ cột SPE.
7.1.8 Thủy phân fructan
Chuyển 700 μl dịch rửa giải từ cột SPE (xem 7.1.7) vào ống ly tâm 1,5 ml (đánh dấu “Mẫu thử”). Thêm 200 μl đệm natri acetat (5.2.3) và 100 μl hỗn hợp fructanase (5.2.11). Chuyển 700 μl dịch rửa giải (xem 7.1.7) vào ống ly tâm thứ hai (đánh dấu “Mẫu trắng”) và thêm 300 μl đệm natri acetat (5.2.3). Đối với tất cả các ống, trộn kỹ và ủ ấm ở 40 °C trong 40 min đến 45 min.
Chỉ cần dùng mẫu trắng cho một số nền mẫu và có thể bỏ qua nếu trong phòng thử nghiệm đã thiết lập phép đo mẫu trắng cho thấy có tác động không đáng kể đến kết quả của mẫu đó.
Sau khi nguội, ly tâm ở 10 000g trong 5 min. Sau đó chuyển 700 μl phần dịch nổi phía trên vào lọ nhỏ thích hợp với bộ lấy mẫu tự động của thiết bị.
7.2 Điều kiện sắc ký sử dụng cột A (6.13.1)
Nếu sử dụng cột B (6.13.2) (hoặc tương đương), thì bỏ qua điều này và tiến hành theo 7.3.
Hệ thống HPAEC-PAD được trang bị cột A (6.13.1) hoặc tương đương. Cột được giữ ở 30 °C và thể tích bơm là 25 μl. Dung dịch natri hydroxide (c = 0,300 mol/L) được thêm vào sau cột (trước detector PAD) ở tốc độ dòng 0,2 ml/min, sử dụng miếng chữ T và cuộn phản ứng 125 μl (hoặc tương đương). Fructose và glucose được tách ra bằng cách sử dụng gradient mô tả trong Bảng 3. Carbohydrat được phát hiện bằng máy do dòng xung, sử dụng điện cực làm việc bằng vàng, điện cực chuẩn phù hợp và dạng bước sóng thích hợp để phát hiện carbohydrat. Ví dụ về dạng bước sóng thích hợp nêu trong Bảng 4. Các dạng bước sóng khác có thể được áp dụng tùy thuộc vào các yêu cầu của thiết bị, do có sự khác nhau giữa các nhà sản xuất.
Bảng 3 - Gradient HPAEC-PAD cho cột A (6.13.1) hoặc tương đương
| Thời gian min | Lưu lượng ml/min | % A c(NaOH) = 0,600 mol/L | % B nước | %c c(NaOH) = 0,030 mol/L |
| 0,0 | 0,5 | 0 | 80 | 20 |
| 17,0 | 0,5 | 0 | 80 | 20 |
| 17,1 | 0,5 | 100 | 0 | 0 |
| 27,0 | 0,5 | 100 | 0 | 0 |
| 27,1 | 0,5 | 0 | 80 | 20 |
| 33,0 | 0,5 | 0 | 80 | 20 |
Bảng 4 - Ví dụ về dạng sóng PAD để phát hiện carbohydrat
| Thời gian s | Điện áp V | Vùng thu |
| 0,00 | +0,10 | Tắt |
| 0,20 | +0,10 | Mở |
| 0,40 | +0,10 | Tắt |
| 0,41 | -2,00 | Tắt |
| 0,42 | -2,00 | Tắt |
| 0,43 | +0,60 | Tắt |
| 0,44 | -0,10 | Tắt |
| 0,50 | -0,10 | Tắt |
7.3 Các điều kiện sắc ký sử dụng cột B (6.13.2)
Nếu sử dụng cột A (6.13.1) (hoặc tương đương), thì bỏ qua điều này.
Hệ thống HPAEC-PAD được trang bị cột B (6.13.2) hoặc tương đương, mắc nối tiếp. Cột được giữ ở 20 °C và thể tích bơm là 20 μl. Dung dịch natri hydroxide (c = 0,300 mol/L) được thêm vào sau cột (trước detector PAD) ở tốc độ dòng 0,13 ml/min, sử dụng miếng chữ T và cuộn phản ứng 125 μl (hoặc tương đương). Fructose và glucose được tách ra bằng cách sử dụng gradient mô tả trong Bảng 5. Carbohydrat được phát hiện bằng máy đo dòng xung, sử dụng điện cực làm việc bằng vàng, điện cực chuẩn phù hợp và dạng bước sóng thích hợp để phát hiện carbohydrat. Ví dụ về dạng bước sóng thích hợp nêu trong Bảng 4. Các dạng bước sóng khác có thể được áp dụng tùy thuộc vào các yêu cầu của thiết bị, do có sự khác nhau giữa các nhà sản xuất.
Bảng 5 - Gradient HPAEC-PAD cho cột B (6.13.2) hoặc tương đương
| Thời gian min | Lưu lượng ml/min | % A c(NaOH) = 0,200 mol/L | %B nước | %c c(NaOH) = 1 mol/L |
| 0,0 | 0,25 | 7,5 | 92,5 | 0,0 |
| 13,0 | 0,25 | 7,5 | 92,5 | 0,0 |
| 14,1 | 0,25 | 25,0 | 75,0 | 0,0 |
| 20,0 | 0,25 | 25,0 | 75,0 | 0,0 |
| 21,0 | 0,25 | 40,0 | 30,0 | 30,0 |
| 28,0 | 0,25 | 40,0 | 30,0 | 30,0 |
| 30,0 | 0,25 | 40,0 | 60,0 | 0,0 |
| 31,0 | 0,25 | 7,5 | 92,5 | 0,0 |
| 43,0 | 0,25 | 7,5 | 92,5 | 0,0 |
7.4 Phép thử sự phù hợp của hệ thống
Để hệ thống sắc ký cân bằng trong ít nhất 1 h ở các điều kiện ban đầu. Đảm bảo áp suất hệ thống và đường nền ổn định và không có rò rỉ. Bắt đầu loạt bơm mẫu, lần lượt bơm nước khử ion (để kiểm tra đường nền), sau đó bơm ít nhất ba lần dung dịch chuẩn làm việc và kiểm tra độ ổn định của thời gian lưu pic và độ đáp ứng. Độ lệch chuẩn tương đối (RSD, %) của thời gian lưu phải ≤ 1 % và RSD (%) của diện tích pic phải ≤ 3 %. Nếu không đạt được các tiêu chí này thì cần tiếp tục cân bằng hệ thống. Kiểm tra sự phân tách bằng cách so sánh với phép phân tích có sẵn trước đó. Ví dụ về sắc ký đồ và đường chuẩn phù hợp nêu trong Phụ lục A.
7.5 Hiệu chuẩn
Nên sử dụng phép hiệu chuẩn theo nhóm, bơm 3 chất chuẩn sau đó bơm 10 mẫu tiếp theo 3 chất chuẩn v.v...Ví dụ, bơm chất chuẩn ở mức 1, 3 và 5, sau đó bơm 10 mẫu, tiếp theo bơm chất chuẩn ở mức 2, 4 và 6, sau đó bơm 10 mẫu, tiếp theo bơm chất chuẩn 1, 3, 5, v.v... Đối với mỗi chất phân tích (glucose và fructose), sử dụng phần mềm của thiết bị để dựng đường chuẩn sáu điểm của [độ đáp ứng của thiết bị đối với chất phân tích (diện tích)/độ đáp ứng của thiết bị đối với chất nội chuẩn chuẩn (diện tích)] so với nồng độ của chất phân tích trong chất chuẩn. Dựng đường cong bậc hai khớp với dữ liệu mà không bắt buộc phải đi qua điểm zero. Sử dụng đường hiệu chuẩn để tính nồng độ glucose và fructose trong dung dịch B. Đối với phép đo mẫu trắng, bỏ qua mọi tín hiệu nếu chúng nhỏ hơn 10 lần tỷ lệ tín hiệu trên nhiễu.
8 Tính kết quả
Tính phần khối lượng của glucose giải phóng ra khỏi fructan, wG, biểu thị bằng g/100 g RTF hoặc sản phẩm đã hoàn nguyên (mẫu chuẩn bị theo 7.1.2) hoặc sản phẩm dạng bột (mẫu chuẩn bị theo 7.1.3), sử dụng Công thức (1):
|
| (1) |
Trong đó:
| ρGB | là nồng độ khối lượng của glucose trong dung dịch B, tính bằng microgam trên mililit (μg/ml); |
| D | là hệ số pha loãng giữa dung dịch A và dung dịch B (từ Bảng 2); |
| VA | là tổng thể tích của dung dịch A, tính bằng mililit (ml); |
| mA | là khối lượng của mẫu đã cân để chuẩn bị dung dịch A, tính bằng gam (g); |
| 0,000 1 | là hệ số chuyển đổi nồng độ khối lượng chất phân tích trong dung dịch [tính bằng microgam trên mililit (μg/ml)] thành phần khối lượng chất phân tích trong mẫu [tính bằng gam trên 100 g (g/100g)]. |
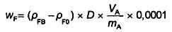
Tính phần khối lượng của fructose giải phóng ra khỏi fructan, wF, trong g/100 g RTF hoặc sản phẩm đã hoàn nguyên (chuẩn bị mẫu theo 7.1.2) hoặc sản phẩm dạng bột (chuẩn bị theo 7.1.3), sử dụng Công thức (2):
|
| (2) |
Trong đó:
| ρFB | là nồng độ khối lượng của fructose trong dung dịch B, tính bằng microgam trên mililit (μg/ml); |
| D | là hệ số pha loãng giữa dung dịch A và dung dịch B (từ Bảng 2); |
| VA | là tổng thể tích của dung dịch A, tính bằng mililit (ml); |
| mA | là khối lượng của mẫu đã cân để chuẩn bị dung dịch A, tính bằng gam (g); |
| 0,000 1 | là hệ số chuyển đổi nồng độ khối lượng chất phân tích trong dung dịch [tính bằng microgam trên mililit (μg/ml)] thành phần khối lượng chất phân tích trong mẫu [tính bằng gam trên 100 g (g/100g)]. |
Tính phần khối lượng của tổng fructan trong mẫu, wTF, tính bằng g/100 g của RTF hoặc sản phẩm đã hoàn nguyên (chuẩn bị mẫu theo 7.1.2) hoặc sản phẩm dạng bột (chuẩn bị theo 7.1.3), sử dụng Công thức (3):
| wTF = (wF × 0,9) + wG | (3) |
Trong đó:
| wF | là phần khối lượng của fructose giải phóng ra khỏi fructan, tính bằng g/100 g; |
| 0,9 | là hệ số hiệu chính đối với sự hấp thu nước trong quá trình thủy phân fructan; |
| wG | là phần khối lượng của glucose giải phóng ra khỏi fructan, tính bằng g/100 g. |
Nếu cần hiệu chính mẫu trắng, điều chỉnh Công thức (1) và Công thức (2) theo Công thức (4) và Công thức (5):
|
| (4) |
|
| (5) |
Trong đó:
| ρG0 | là nồng độ khối lượng của glucose trong dung dịch mẫu trắng B, tính bằng microgam trên mililit (μg/ml); |
| ρF0 | là nồng độ khối lượng của frutose trong dung dịch mẫu trắng B, tính bằng microgam trên mililit (μg/ml). |
Đối với các mẫu yêu cầu kết quả tính bằng g/100 g sản phẩm ban đầu (dạng bột hoặc dạng cô đặc) đã hoàn nguyên như mô tả trong 7.1.1, cần điều chỉnh Công thức (1), (2), (4) và (5) theo Công thức (6), (7), (8) và (9):
|
| (6) |
|
| (7) |
|
| (8) |
|
| (9) |
Trong đó:
mR là khối lượng của mẫu đã cân để chuẩn bị hoàn nguyên (ví dụ: 25 g), tính bằng gam (g);
VR là khối lượng của nước đã cân để chuẩn bị hoàn nguyên (ví dụ: 200 g), tính bằng gam (g).
9 Báo cáo kết quả
Báo cáo các kết quả tính bằng g/100 g sản phẩm (dạng uống liền, dạng đã hoàn nguyên, dạng lỏng cô đặc hoặc dạng bột), đến ba chữ số có nghĩa.
10 Độ chụm
10.1 Yêu cầu chung
Chi tiết của phép thử liên phòng thử nghiệm về độ chụm của phương pháp được nêu trong Phụ lục B. Các giá trị thu được từ phép thử liên phòng thử nghiệm có thể không áp dụng cho các dải nồng độ phân tích và/hoặc nền mẫu khác với dải nồng độ và nền mẫu trong Phụ lục B.
10.2 Độ lặp lại
Chênh lệch tuyệt đối giữa hai kết quả thử nghiệm đơn lẻ, thu được trên vật liệu thử giống hệt nhau, do cùng một người thực hiện, sử dụng cùng thiết bị, trong một khoảng thời gian ngắn, không được quá 5 % các trường hợp vượt quá 12,3 % giới hạn lặp lại r.
Các giá trị là:
|
| r = 0,021 6g/100g | NISTSRM 1869 |
|
| r = 0,275 g/100 g | Sản phẩm dinh dưỡng uống liền dành cho người lớn (1) |
|
| r = 0,276 g/100 g | Sản phẩm dinh dưỡng uống liền dành cho người lớn (2) |
|
| r = 0,019 0g/100g | Thức ăn công thức uống liền dành cho trẻ sơ sinh |
|
| r = 0,029 3 g/100 g | Thức ăn công thức dạng bột dành cho trẻ nhỏ |
|
| r = 0,024 9 g/100 g | Thức ăn công thức dạng bột từ sữa dành cho trẻ ăn dặm |
|
| r = 0,003 10 g/100 g | Thức ăn công thức dạng bột có nguồn gốc từ FOS/GOS dành cho trẻ sơ sinh |
|
| r = 0,038 9 g/100 g | Thức ăn công thức dạng bột từ sữa dành cho trẻ sơ sinh |
10.3 Độ tái lập
Chênh lệch tuyệt đối giữa hai kết quả thử nghiệm đơn lẻ, thu được trên vật liệu thử giống hệt nhau, được báo cáo bởi hai phòng thử nghiệm khác nhau, không quá 5 % các trường hợp vượt quá 30,7 % giới hạn tái lập R.
|
| R = 0,033 7 g/100 g | NIST SRM 1869 |
|
| R = 0,461 g/100 g | Sản phẩm dinh dưỡng uống liền dành cho người lớn (1) |
|
| R = 0,786 g/100 g | Sản phẩm dinh dưỡng uống liền dành cho người lớn (2) |
|
| R = 0,127 g/100 g | Thức ăn công thức uống liền dành cho trẻ sơ sinh |
|
| R = 0,064 4 g/100 g | Thức ăn công thức dạng bột dành cho trẻ nhỏ |
|
| R = 0,058 2 g/100 g | Thức ăn công thức dạng bột từ sữa dành cho trẻ ăn dặm |
|
| R = 0,010 1 g/100 g | Thức ăn công thức sinh dạng bột có nguồn gốc từ FOS/GOS dành cho trẻ sơ |
|
| R = 0,108 g/100 g | Thức ăn công thức dạng bột từ sữa dành cho trẻ sơ sinh |
11 Báo cáo thử nghiệm
Báo cáo thử nghiệm phải bao gồm các thông tin sau:
a) mọi thông tin cần thiết cho việc nhận biết đầy đủ về mẫu thử (loại mẫu, nguồn gốc và ký hiệu mẫu);
b) viện dẫn tiêu chuẩn này;
c) dữ liệu và loại quy trình lấy mẫu (nếu biết);
d) ngày nhận mẫu;
e) ngày thử nghiệm;
f) các kết quả thử nghiệm và đơn vị biểu thị kết quả;
g) mọi điều kiện thao tác không quy định trong tiêu chuẩn này hoặc được xem là tùy chọn có thể ảnh hưởng đến kết quả.
Phụ lục A
(Quy định)
Ví dụ về sắc ký đồ và đường chuẩn

| a) Dung dịch chuẩn mức 4 (fructose: 600 μg/ml, glucose:150 μg/ml) | b) Thức ăn công thức dành cho trẻ nhỏ (FOS = 0,275 g/100 g) |
CHÚ DẪN:
| X thời gian, min Y nC 1 glucose | 2 fructose 3 chitobiose |
Hình A.1 - Ví dụ sắc ký đồ trên dung dịch chuẩn và sản phẩm thu được bằng cột CarboPac PA20 và các điều kiện

| a) Dung dịch chuẩn mức 4 (fructose: 600 μg/ml, glucose: 150 μg/ml) | b) Thức ăn công thức dành cho trẻ nhỏ (FOS = 0,275 g/100 g) |
CHÚ DẪN:
| X thời gian, min Y nC 1 glucose | 2 fructose 3 chitobiose |
Hình A.2 - Ví dụ sắc ký đồ trên dung dịch chuẩn và sản phẩm thu được bằng cột CarboPac PA1 và các điều kiện

CHÚ DẪN
X lượng, ng/ml
Y diện tích, liên quan đến chất nội chuẩn
Hình A.3 - Ví dụ về đường chuẩn thu được với cột CarboPac PA20 có bổ sung sau cột

CHÚ DẪN:
X lượng, ng/ml
Y diện tích, liên quan đến chất nội chuẩn
Hình A.4 - Ví dụ về đường chuẩn thu được với cột CarboPac PA20 và các điều kiện, không bổ sung sau cột làm giảm dải định lượng
Phụ lục B
(Tham khảo)
Dữ liệu về độ chụm
Dữ liệu nêu trong Bảng B.1 thu được từ nghiên cứu liên phòng thử nghiệm quốc tế [2] được công ty Société des produits Nestlé tổ chức năm 2018 phù hợp với TCVN 6910-2 (ISO 5725-2)[3] và Thỏa thuận hài hòa AOAC-IUPAC đối với các quy trình nghiên cứu cộng tác để xác nhận giá trị sử dụng của các đặc tính của phương pháp phân tích [4].
Bảng B.1 - Dữ liệu độ chụm đối với fructan
| Mẫu | 1 | 2 | 3 | 4 | 5 | 6 | 7 | 8 |
| Năm thử nghiệm liên phòng | 2018 | 2018 | 2018 | 2018 | 2018 | 2018 | 2018 | 2018 |
| Số phòng thử nghiệm còn lại sau khi trừ ngoại lệ | 11 | 12 | 12 | 12 | 12 | 12 | 10 | 12 |
| Số ngoại lệ (phòng thử nghiệm) | 1 | 0 | 0 | 0 | 0 | 0 | 2 | 0 |
| Số kết quả được chấp nhận | 22 | 24 | 24 | 24 | 24 | 24 | 20 | 24 |
| Giá trị trung bình, | 0,204 | 1,28 | 2,67 | 0,300 | 0,275 | 0,209 | 0,030 8 | 0,264 |
| Độ lệch chuẩn lặp lại sr, g/100 g | 0,007 73 | 0,098 2 | 0,0987 | 0,006 79 | 0,010 5 | 0,008 89 | 0,001 11 | 0,013 9 |
| Độ lêch chuẩn tái lập sR, g/100 g | 0,012 0 | 0,164 6 | 0,280 7 | 0,045 3 | 0,023 0 | 0,020 8 | 0,003 61 | 0,038 6 |
| Hê số biến thiên lăp lai, CV,r, % | 3,78 | 7,65 | 3,70 | 2,27 | 3,80 | 4,25 | 3,60 | 5,26 |
| Hê số biến thiên tái lập, CV,R, % | 5,90 | 12,8 | 10,5 | 15,1 | 8,35 | 9,94 | 11,7 | 14,6 |
| Giới hạn lặp lại, r, [r = 2,8 × sr], g/100 g | 0,0216 | 0,275 | 0,276 | 0,019 0 | 0,029 3 | 0,024 9 | 0,003 10 | 0,038 9 |
| Giới hạn tái lập, R, [R = 2,8 × sR], g/100 g | 0,033 7 | 0,461 | 0,786 | 0,127 | 0,064 4 | 0,058 2 | 0,010 1 | 0,108 |
| Độ thu hồi, % | 96,2 | - | - | - | - | - | - | - |
| Giá trị HorRat | 1,16 | 3,33 | 3,05 | 3,15 | 1,72 | 1,96 | 1,74 | 2,99 |
| CHÚ DẪN: 1 NISTSRM1869 2 Sản phẩm dinh dưỡng uống liền dành cho người lớn (1) 3 Sản phẩm dinh dưỡng uống liền dành cho người lớn (2) 4 Thức ăn công thức uống liền dành cho trẻ sơ sinh 5 Thức ăn công thức dạng bột dành cho trẻ nhỏ 6 Thức ăn công thức dạng bột từ sữa dành cho trẻ ăn dặm 7 Thức ăn công thức dành cho trẻ sơ sinh dạng bột có nguồn gốc từ FOS/GOS 8 Thức ăn công thức dạng bột từ sữa | ||||||||
Phụ lục C
(Tham khảo)
Kiểm tra hỗn hợp enzym thử nghiệm của sucrase, β-amylase, pullulanase và maltase
Đề kiểm tra hiệu năng và tính phù hợp của hỗn hợp enzym sucrase, thử nghiệm các lượng bằng nhau (100 μl) dung dịch sucrase (0,75 mg/ml) và dung dịch thành phần fructooligosacarid (FOS) (0,75 mg/ml) được trộn và xử lý bằng hỗn hợp enzym sucrase (200 μl). Nước được thêm vào (100 μl) và hỗn hợp này được ủ ở 40 °C trong 90 min (hoặc các điều kiện liên quan để thử nghiệm). Sau khi ly tâm (5 min ở 10 000g), chuyển phần lỏng nổi phía trên (100 μl) vào lọ nhỏ phù hợp với thiết bị lấy mẫu tự động, pha loãng bằng nước (400 μl) và trộn. Dung dịch này được bơm lên thiết bị HPAEC-PAD sử dụng sắc ký đã cài đặt nêu trong Bảng C.1 và gradient nêu trong Bảng C.2. Mẫu sắc đồ thu được được so sánh với một mẫu thu được từ cùng dung dịch (sucrase/FOS) không xử lý bằng hỗn hợp enzym (200 μl nước thay cho hỗn hợp enzym).
Rất cần thực hiện thử nghiệm này với thành phần FOS có DP thấp (trung bình từ 3 đến 5) được tạo thành bằng cách thủy phân một phần inulin, chúng thường rất nhạy với các hoạt độ hoặc tạp chất của sucrase.
Bảng C.1 - Các điều kiện sắc ký
| Pha động A | 300 mmol NaOH/L |
| Pha động B | Nước được tinh sạch có điện trở ≥ 18 MΩ |
| Pha động C | NaOAc 500 mmol/L + NaOH 150 mmol/L |
| Tốc độ dòng | 1,0 ml/min |
| Cột | CarbPac PA1, 250 mm × 4 mm, 10 μm (ThermoFisher Scientific hoặc tương đương)a |
| Nhiệt độ lò | 30 °C |
| Thể tích bơm | 25 μl |
| Thông số detector | Dạng bước sóng PAD nêu trong Bảng 4, điện cực làm việc bằng vàng, và điện cực so sánh Ag/AgCI hoặc tương đương |
| a Đây là ví dụ về sản phẩm thích hợp có bán sẵn. Thông tin đưa ra tạo thuận tiện cho người sử dụng tiêu chuẩn và không ấn định phải sử dụng chúng. Có thể sử dụng các sản phẩm tương tự nếu cho các kết quả tương đương. | |
Bảng C.2 - Gradient rửa giải
| Thời gian min | Tốc độ dòng ml/min | NaOH 300 mmol/L % A | Nước % B | NaOAc 500 mmol/L + NaOH 150 mmol/L % C |
| 0,0 | 1,0 | 30,0 | 60,0 | 10,0 |
| 15,0 | 1,0 | 30,0 | 41,0 | 29,0 |
| 40,0 | 1,0 | 16,6 | 22,7 | 60,7 |
| 40,1 | 1,0 | 0,0 | 0,0 | 100,0 |
| 45,0 | 1,0 | 0,0 | 0,0 | 100,0 |
| 45,1 | 1,0 | 100,0 | 0,0 | 0,0 |
| 50,0 | 1,0 | 100,0 | 0,0 | 0,0 |
| 50,1 | 1,0 | 30,0 | 0,0 | 10,0 |
| 60,0 | 1,0 | 30,0 | 60,0 | 10,0 |
Trong Hình C.1, đường đậm là sắc ký của dung dịch sucrase/FOS chưa xử lý. Đường không đậm là dung dịch sucrase/FOS đã xử lý bằng hỗn hợp enzym sucrase hoạt động như dự kiến trong các điều kiện nghiên cứu. Sucrase được thủy phân hoàn toàn trong đó có ít sự thay đổi mẫu thành phần FOS.

CHÚ DẪN:
| X thời gian, min | 3 1,1-kestotetraose |
| Y nC | 4 inulotriose |
| 1 sucrase | 5 1,1,1-kestopentaose |
| 2 1-kestose |
|
Hình C.1 - Ví dụ về sắc ký đồ 1
Trong Hình C.2, đường đậm là sắc ký của dung dịch sucrase/FOS được xử lý bằng hỗn hợp enzym sucrase hoạt động như dự kiến trong các điều kiện nghiên cứu. Đường không đậm là dung dịch sucrase/FOS được xử lý bằng hỗn hợp enzym sucrase không hoạt động như dự kiến trong các điều kiện nghiên cứu. Sucrase được thủy phân hoàn toàn nhưng mẫu thành phần FOS đã bị thay đổi đáng kể chứng tỏ enzym cũng đã thủy phân thành phần fructan trong các điều kiện được sử dụng.

CHÚ DẪN:
| X thời gian, min | 3 1,1-kestotetraose |
| Y nC | 4 inulotriose |
| 1 glucose/fructose | 5 1,1,1-kestopentaose |
| 2 1-kestose |
|
Hình C.2 - Ví dụ về sắc ký đồ 2
Thư mục tài liệu tham khảo
[1] Brunt K., Sanders P., Spichtig V., Ernste-Nota V., Sawicka P., Iwanoff K., Van Joest J., Kong Thoo Lin P., Austin S., Dual-Laboratory Validation of a Method for the Determination of Fructans in Infant Formula and Adult Nutritionals: First Action 2016.14. J.AOAC Int. 2017, 100, pp. 753-767. DOI: 10.5740/jaoacint. 17-0007
[2] Spichtig V., Austin S., Brunt K., Van Soest J., Sanders P., Determination of Fructans in Infant Formula and Adult/Pediatric Nutritional Formula by Anion-Exchange Chromatography with Pulsed Amperometric Detection after Enzymatic Treatment: Collaborative study, Final Action 2016.14. J.AOAC Int. 2020. DOI: 10.1093/jaoacint/qsaa064
[3] TCVN 6910-2 (ISO 5725-2), Độ chính xác (độ đúng và độ chụm) của phương pháp đo và kết quả đo - Phần 2: Phương pháp cơ bản xác định độ lặp lại và độ tái lập của phương pháp đo tiêu chuẩn
[4] AOAC INTERNATIONAL. AOAC Official Methods Program, Associate Referee's Manual on development, study, Review, and Approval Process. Part IV AOAC Guidelines for Collaborative Studies, 1995, pp. 23-51
*) Phương pháp nêu trong ISO 22579:2020 tương đương với AOAC 2016.14 Fructans in infant formula and adult nutrition.
1) Ví dụ về sản phẩm của công ty Megazyme International Ireland Ltd thích hợp có bán sẵn. Thông tin đưa ra tạo thuận tiện cho người sử dụng tiêu chuẩn này và không ấn định phải sử dụng chúng. Có thể sử dụng các sản phẩm tương tự nếu cho các kết quả tương đương.
2) Ví dụ về sản phẩm thích hợp có bán sẵn. Thông tin đưa ra tạo thuận tiện cho người sử dụng tiêu chuẩn và không ấn định phải sử dụng chúng. Có thể sử dụng các sản phẩm khác nếu cho các kết quả tương đương.
3) Ví dụ về sản phẩm thích hợp có bán sẵn. Thông tin đưa ra tạo thuận tiện cho người sử dụng tiêu chuẩn và không ấn định phải sử dụng chúng. Có thể sử dụng các sản phẩm khác nếu cho các kết quả tương đương.
Bạn chưa Đăng nhập thành viên.
Đây là tiện ích dành cho tài khoản thành viên. Vui lòng Đăng nhập để xem chi tiết. Nếu chưa có tài khoản, vui lòng Đăng ký tại đây!


