- Tổng quan
- Nội dung
- VB gốc
- Tiếng Anh
- Hiệu lực
- VB liên quan
- Lược đồ
-
Nội dung hợp nhất
Tính năng này chỉ có tại LuatVietnam.vn. Nội dung hợp nhất tổng hợp lại tất cả các quy định còn hiệu lực của văn bản gốc và các văn bản sửa đổi, bổ sung, đính chính... trên một trang. Việc hợp nhất văn bản gốc và những văn bản, Thông tư, Nghị định hướng dẫn khác không làm thay đổi thứ tự điều khoản, nội dung.
Khách hàng chỉ cần xem Nội dung hợp nhất là có thể nắm bắt toàn bộ quy định hiện hành đang áp dụng, cho dù văn bản gốc đã qua nhiều lần chỉnh sửa, bổ sung.
- Tải về
Thông tư 36/2024/TT-BTC Chuẩn mực thẩm định giá Việt Nam về Thẩm định giá doanh nghiệp
| Cơ quan ban hành: | Bộ Tài chính |
Số công báo:
Số công báo là mã số ấn phẩm được đăng chính thức trên ấn phẩm thông tin của Nhà nước. Mã số này do Chính phủ thống nhất quản lý.
|
Đã biết
|
| Số hiệu: | 36/2024/TT-BTC | Ngày đăng công báo: |
Đã biết
|
| Loại văn bản: | Thông tư | Người ký: | Lê Tấn Cận |
|
Ngày ban hành:
Ngày ban hành là ngày, tháng, năm văn bản được thông qua hoặc ký ban hành.
|
16/05/2024 |
Ngày hết hiệu lực:
Ngày hết hiệu lực là ngày, tháng, năm văn bản chính thức không còn hiệu lực (áp dụng).
|
Đang cập nhật |
|
Áp dụng:
Ngày áp dụng là ngày, tháng, năm văn bản chính thức có hiệu lực (áp dụng).
|
Đã biết
|
Tình trạng hiệu lực:
Cho biết trạng thái hiệu lực của văn bản đang tra cứu: Chưa áp dụng, Còn hiệu lực, Hết hiệu lực, Hết hiệu lực 1 phần; Đã sửa đổi, Đính chính hay Không còn phù hợp,...
|
Đã biết
|
| Lĩnh vực: | Tài chính-Ngân hàng, Doanh nghiệp, Thương mại-Quảng cáo |
TÓM TẮT THÔNG TƯ 36/2024/TT-BTC
Ngày 16/5/2024, Bộ Tài chính đã ra Thông tư 36/2024/TT-BTC ban hành Chuẩn mực thẩm định giá Việt Nam về Thẩm định giá doanh nghiệp. Dưới đây là một số nội dung đáng chú ý của Thông tư này:
1. Sử dụng báo cáo tài chính trong thẩm định giá doanh nghiệp được quy định như sau:
- Việc sử dụng báo cáo tài chính trong thẩm định giá doanh nghiệp căn cứ vào cách tiếp cận, phương pháp thẩm định giá doanh nghiệp được lựa chọn, thời điểm thẩm định giá và đặc điểm của doanh nghiệp cần thẩm định giá, đồng thời ưu tiên sử dụng báo cáo tài chính đã được kiểm toán, soát xét bởi đơn vị kiểm toán độc lập;
- Đối chiếu, kiểm tra tính hợp lý của báo cáo tài chính để bảo đảm độ tin cậy; trường hợp cần thiết, đề nghị doanh nghiệp được thẩm định giá điều chỉnh lại số liệu tài chính có trên báo cáo tài chính trước khi đưa số liệu tài chính này vào phân tích thông tin, áp dụng các cách tiếp cận và phương pháp thẩm định giá để phục vụ thẩm định giá doanh nghiệp;
- Trường hợp sử dụng số liệu từ báo cáo tài chính chưa được kiểm toán, soát xét, hoặc báo cáo tài chính được kiểm toán, soát xét nhưng có ý kiến không phải là ý kiến chấp nhận toàn phần thì phải nêu rõ hạn chế này trong phần hạn chế tại báo cáo thẩm định giá và chứng thư thẩm định giá hoặc thông báo kết quả thẩm định giá để tổ chức, cá nhân yêu cầu thẩm định giá và người sử dụng kết quả thẩm định giá được biết;
- Đối với các phương pháp thẩm định giá trong cách tiếp cận từ thị trường: khi sử dụng số liệu từ báo cáo tài chính của doanh nghiệp cần thẩm định giá, doanh nghiệp so sánh để tính toán các chỉ tiêu: thu nhập trên một cổ phiếu, lợi nhuận trước thuế, lãi vay và khấu hao trong tính toán các tỷ số thị trường nhằm mục đích thẩm định giá,...
2. Các cách tiếp cận trong thẩm định giá doanh nghiệp bao gồm:
- Cách tiếp cận từ thị trường: Giá trị doanh nghiệp được xác định thông qua giá trị của doanh nghiệp so sánh với doanh nghiệp cần thẩm định giá tương đồng về các yếu tố:
- Quy mô;
- Ngành nghề kinh doanh chính;
- Rủi ro kinh doanh, rủi ro tài chính;
- Các chỉ số tài chính hoặc giá giao dịch đã thành công của chính doanh nghiệp cần thẩm định giá.
- Cách tiếp cận từ chi phí: Giá trị doanh nghiệp được xác định thông qua giá trị các tài sản của doanh nghiệp.
- Cách tiếp cận từ thu nhập: Giá trị doanh nghiệp được xác định thông qua việc quy đổi dòng tiền thuần trong tương lai có thể dự báo được về thời điểm thẩm định giá.
Thông tư này có hiệu lực kể từ ngày 01/7/2024.
Xem chi tiết Thông tư 36/2024/TT-BTC có hiệu lực kể từ ngày 01/07/2024
Tải Thông tư 36/2024/TT-BTC
|
BỘ TÀI CHÍNH |
CỘNG HÒA XÃ HỘI CHỦ NGHĨA VIỆT NAM |
|
Số: 36/2024/TT-BTC |
Hà Nội, ngày 16 tháng 5 năm 2024 |
THÔNG TƯ
Ban hành Chuẩn mực thẩm định giá Việt Nam về
Thẩm định giá doanh nghiệp
Theo đề nghị của Cục trưởng Cục Quản lý giá;
Bộ trưởng Bộ Tài chính ban hành Thông tư ban hành Chuẩn mực thẩm định giá Việt Nam về Thẩm định giá doanh nghiệp.
Điều 1. Ban hành kèm theo Thông tư này Chuẩn mực thẩm định giá Việt Nam về Thẩm định giá doanh nghiệp.
Điều 2. Hiệu lực thi hành
1. Thông tư này có hiệu lực thi hành kể từ ngày 01 tháng 7 năm 2024.
2. Thông tư số 28/2021/TT-BTC ngày 27/04/2021 của Bộ trưởng Bộ Tài chính ban hành Tiêu chuẩn thẩm định giá Việt Nam số 12 hết hiệu lực kể từ ngày Thông tư này có hiệu lực thi hành.
Điều 3. Tổ chức thực hiện
1. Các tổ chức, cá nhân có liên quan chịu trách nhiệm thực hiện Chuẩn mực thẩm định giá Việt Nam ban hành kèm theo Thông tư này.
2. Trong quá trình thực hiện, nếu có vướng mắc, đề nghị các tổ chức, cá nhân phản ánh kịp thời về Bộ Tài chính để nghiên cứu, giải quyết./.
|
Nơi nhận: |
KT. BỘ TRƯỞNG
|
|
BỘ TÀI CHÍNH |
CỘNG HÒA XÃ HỘI CHỦ NGHĨA VIỆT NAM |
CHUẨN MỰC THẨM ĐỊNH GIÁ VIỆT NAM
VỀ THẨM ĐỊNH GIÁ DOANH NGHIỆP
(Kèm theo Thông tư số 36/2024/TT-BTC ngày 16 tháng 5 năm 2024
của Bộ trưởng Bộ Tài chính)
Chương I
QUY ĐỊNH CHUNG
Điều 1. Phạm vi điều chỉnh
Chuẩn mực thẩm định giá Việt Nam này quy định và hướng dẫn thực hiện thẩm định giá doanh nghiệp khi thẩm định giá theo quy định của pháp luật về giá.
Điều 2. Đối tượng áp dụng
1. Thẩm định viên về giá, doanh nghiệp thẩm định giá thực hiện hoạt động cung cấp dịch vụ thẩm định giá theo quy định của pháp luật về giá.
2. Tổ chức, cá nhân thực hiện hoạt động thẩm định giá của Nhà nước theo quy định của pháp luật về giá.
3. Tổ chức, cá nhân yêu cầu thẩm định giá, bên thứ ba sử dụng báo cáo thẩm định giá theo hợp đồng thẩm định giá (nếu có).
Điều 3. Giải thích từ ngữ
Trong Chuẩn mực thẩm định giá Việt Nam này, các từ ngữ dưới đây được hiểu như sau:
1. Tài sản hoạt động là những tài sản sử dụng trong quá trình hoạt động sản xuất, kinh doanh của doanh nghiệp và góp phần tạo ra doanh thu bán hàng và cung cấp dịch vụ hoặc giúp tiết giảm chi phí hoạt động sản xuất, kinh doanh chính của doanh nghiệp.
2. Tài sản phi hoạt động là những tài sản không tham gia vào hoạt động sản xuất, kinh doanh của doanh nghiệp, bao gồm: khoản đầu tư vào công ty khác (trừ trường hợp các doanh nghiệp cần thẩm định giá là các công ty đầu tư tài chính); các khoản đầu tư tài chính ngắn hạn; tiền mặt và các khoản tương đương tiền; tài sản thuộc quyền sở hữu, sử dụng của doanh nghiệp không đóng góp vào việc tạo ra thu nhập cho doanh nghiệp nhưng vẫn có giá trị (tài sản chưa khai thác, bằng sáng chế chưa sử dụng, quyền sử dụng đất, quyền thuê đất chưa khai thác theo kế hoạch kinh doanh của doanh nghiệp, hoặc dự kiến chuyển nhượng/bán do không có nhu cầu sử dụng); tài sản thuộc quyền sở hữu, sử dụng của doanh nghiệp có tạo ra thu nhập cho doanh nghiệp nhưng không góp phần tạo ra doanh thu bán hàng và cung cấp dịch vụ hoặc không giúp tiết giảm chi phí hoạt động sản xuất, kinh doanh của doanh nghiệp cần thẩm định giá theo ngành nghề kinh doanh chính của doanh nghiệp (quyền sử dụng đất, quyền thuê đất khai thác không đúng với ngành nghề kinh doanh của doanh nghiệp) và tài sản phi hoạt động khác.
3. Giá trị doanh nghiệp hoạt động liên tục là giá trị doanh nghiệp đang hoạt động với giả thiết doanh nghiệp sẽ tiếp tục hoạt động sau thời điểm thẩm định giá.
4. Giá trị doanh nghiệp hoạt động có thời hạn là giá trị doanh nghiệp đang hoạt động với giả thiết tuổi đời của doanh nghiệp là hữu hạn do doanh nghiệp buộc phải chấm dứt hoạt động sau một thời điểm được xác định trong tương lai.
5. Giá trị doanh nghiệp thanh lý là giá trị doanh nghiệp với giả thiết các tài sản của doanh nghiệp sẽ được bán riêng lẻ và doanh nghiệp sẽ sớm chấm dứt hoạt động sau thời điểm thẩm định giá.
Điều 4. Cơ sở giá trị
Cơ sở giá trị thẩm định giá doanh nghiệp được xác định trên cơ sở mục đích thẩm định giá, đặc điểm pháp lý, đặc điểm kinh tế - kỹ thuật và đặc điểm thị trường của doanh nghiệp cần thẩm định giá, yêu cầu của khách hàng thẩm định giá tại hợp đồng thẩm định giá (nếu phù hợp với mục đích thẩm định giá) và quy định của pháp luật có liên quan. Các nội dung khác thực hiện theo quy định tại Chuẩn mực thẩm định giá Việt Nam về Cơ sở giá trị thẩm định giá.
Điều 5. Tình trạng hoạt động, tình trạng giao dịch của doanh nghiệp cần thẩm định giá sau thời điểm thẩm định giá
Tình trạng hoạt động, tình trạng giao dịch (thực tế hoặc giả thiết) của doanh nghiệp cần thẩm định giá sau thời điểm thẩm định giá được xác định trên cơ sở thông tin thu thập được về triển vọng hoạt động khả thi của doanh nghiệp, thị trường kinh doanh của doanh nghiệp, mục đích thẩm định giá và quy định của pháp luật.
Giá trị của doanh nghiệp thường là giá trị doanh nghiệp hoạt động liên tục hoặc giá trị doanh nghiệp hoạt động có thời hạn hoặc giá trị doanh nghiệp thanh lý.
Điều 6. Sử dụng báo cáo tài chính trong thẩm định giá doanh nghiệp
1. Việc sử dụng báo cáo tài chính trong thẩm định giá doanh nghiệp căn cứ vào cách tiếp cận, phương pháp thẩm định giá doanh nghiệp được lựa chọn, thời điểm thẩm định giá và đặc điểm của doanh nghiệp cần thẩm định giá, đồng thời ưu tiên sử dụng báo cáo tài chính đã được kiểm toán, soát xét bởi đơn vị kiểm toán độc lập.
2. Đối chiếu, kiểm tra tính hợp lý của báo cáo tài chính để bảo đảm độ tin cậy; trường hợp cần thiết, đề nghị doanh nghiệp được thẩm định giá điều chỉnh lại số liệu tài chính có trên báo cáo tài chính trước khi đưa số liệu tài chính này vào phân tích thông tin, áp dụng các cách tiếp cận và phương pháp thẩm định giá để phục vụ thẩm định giá doanh nghiệp. Trường hợp doanh nghiệp cần thẩm định giá không điều chỉnh thì xác định chênh lệch và có phân tích rõ nội dung, căn cứ điều chỉnh và ghi rõ trong báo cáo thẩm định giá.
3. Trường hợp sử dụng số liệu từ báo cáo tài chính chưa được kiểm toán, soát xét, hoặc báo cáo tài chính được kiểm toán, soát xét nhưng có ý kiến không phải là ý kiến chấp nhận toàn phần thì phải nêu rõ hạn chế này trong phần hạn chế tại báo cáo thẩm định giá và chứng thư thẩm định giá hoặc thông báo kết quả thẩm định giá để tổ chức, cá nhân yêu cầu thẩm định giá và người sử dụng kết quả thẩm định giá được biết.
4. Đối với các phương pháp thẩm định giá trong cách tiếp cận từ thị trường: khi sử dụng số liệu từ báo cáo tài chính của doanh nghiệp cần thẩm định giá, doanh nghiệp so sánh để tính toán các chỉ tiêu: thu nhập trên một cổ phiếu (EPS), lợi nhuận trước thuế, lãi vay và khấu hao (EBITDA) trong tính toán các tỷ số thị trường nhằm mục đích thẩm định giá, cần điều chỉnh để loại trừ thu nhập và chi phí của các tài sản phi hoạt động, các khoản chi phí, thu nhập bất thường, không mang tính thường xuyên.
5. Đối với các phương pháp thẩm định giá trong cách tiếp cận từ thu nhập: khi sử dụng số liệu về lợi nhuận từ báo cáo tài chính trong các năm gần nhất của doanh nghiệp cần thẩm định giá nhằm mục đích dự báo dòng thu nhập hàng năm trong tương lai của doanh nghiệp cần thẩm định giá, cần loại trừ các khoản chi phí, thu nhập bất thường, không mang tính thường xuyên; loại trừ thu nhập và chi phí của các tài sản phi hoạt động.
6. Các khoản chi phí, lợi nhuận không mang tính thường xuyên bao gồm: các khoản chi phí liên quan đến việc tái cấu trúc doanh nghiệp; các khoản tăng, giảm ghi nhận khi bán tài sản; thay đổi các ước tính kế toán; ghi nhận giảm giá hàng tồn kho; suy giảm lợi thế thương mại; xóa sổ nợ; tổn thất hoặc lợi ích từ các quyết định của tòa án và các khoản lợi nhuận, chi phí không thường xuyên khác. Các khoản mục này khi điều chỉnh phải xem xét đến tác động của thuế thu nhập doanh nghiệp (nếu có).
Điều 7. Các cách tiếp cận và phương pháp thẩm định giá doanh nghiệp
Việc áp dụng các cách tiếp cận và phương pháp thẩm định giá doanh nghiệp phải phù hợp với cơ sở giá trị doanh nghiệp và nhận định về trạng thái hoạt động của doanh nghiệp tại và sau thời điểm thẩm định giá.
1. Cách tiếp cận từ thị trường
Giá trị doanh nghiệp được xác định thông qua giá trị của doanh nghiệp so sánh với doanh nghiệp cần thẩm định giá tương đồng về các yếu tố: quy mô; ngành nghề kinh doanh chính; rủi ro kinh doanh, rủi ro tài chính; các chỉ số tài chính hoặc giá giao dịch đã thành công của chính doanh nghiệp cần thẩm định giá. Phương pháp sử dụng trong cách tiếp cận từ thị trường để xác định giá trị doanh nghiệp là phương pháp tỷ số bình quân và phương pháp giá giao dịch.
2. Cách tiếp cận từ chi phí
Giá trị doanh nghiệp được xác định thông qua giá trị các tài sản của doanh nghiệp. Phương pháp sử dụng trong cách tiếp cận từ chi phí để xác định giá trị doanh nghiệp là phương pháp tài sản.
3. Cách tiếp cận từ thu nhập
Giá trị doanh nghiệp được xác định thông qua việc quy đổi dòng tiền thuần trong tương lai có thể dự báo được về thời điểm thẩm định giá. Phương pháp sử dụng trong cách tiếp cận từ thu nhập để xác định giá trị doanh nghiệp là phương pháp chiết khấu dòng tiền tự do của doanh nghiệp, phương pháp chiết khấu dòng cổ tức và phương pháp chiết khấu dòng tiền tự do vốn chủ sở hữu.
Khi xác định giá trị doanh nghiệp bằng cách tiếp cận từ thu nhập cần cộng giá trị của các tài sản phi hoạt động tại thời điểm thẩm định giá với giá trị chiết khấu dòng tiền có thể dự báo được của các tài sản hoạt động tại thời điểm thẩm định giá. Trong trường hợp không dự báo được một cách đáng tin cậy dòng tiền của một số tài sản hoạt động thì có thể không dự báo dòng tiền của tài sản hoạt động này và xác định riêng giá trị của tài sản hoạt động này để cộng vào giá trị doanh nghiệp. Riêng phương pháp chiết khấu cổ tức thì không cộng thêm phần tài sản phi hoạt động là tiền mặt và tương đương tiền.
Điều 8. Xác định giá trị vốn chủ sở hữu của doanh nghiệp
Giá trị vốn chủ sở hữu của doanh nghiệp được xác định thông qua việc tính bình quân có trọng số kết quả của các phương pháp thẩm định giá được áp dụng đối với trường hợp sử dụng 02 phương pháp thẩm định giá trở lên. Việc xác định trọng số dựa trên độ tin cậy của từng phương pháp, thông tin dữ liệu đầu vào, mục đích thẩm định giá và các yếu tố có liên quan.
Chương II
CÁCH TIẾP CẬN TỪ THỊ TRƯỜNG
Mục 1.
PHƯƠNG PHÁP TỶ SỐ BÌNH QUÂN
Điều 9. Phương pháp tỷ số bình quân
2. Các tỷ số thị trường xem xét để sử dụng trong phương pháp tỷ số bình quân bao gồm: tỷ số giá trên thu nhập bình quân
, tỷ số giá trên doanh thu bình quân
, tỷ số giá trên giá trị sổ sách của vốn chủ sở hữu bình quân
, tỷ số giá trị doanh nghiệp trên lợi nhuận trước thuế, lãi vay và khấu hao bình quân
, tỷ số giá trị doanh nghiệp trên doanh thu bình quân
, tỷ số giá trị doanh nghiệp trên lợi nhuận trước thuế và lãi vay bình quân
.
3. Doanh nghiệp so sánh là doanh nghiệp thỏa mãn các điều kiện sau:
a) Tương tự với doanh nghiệp cần thẩm định giá về các yếu tố:
- Ngành nghề kinh doanh chính;
- Rủi ro kinh doanh, rủi ro tài chính;
- Các chỉ số tài chính, bao gồm: Chỉ số phản ánh quy mô của doanh nghiệp: giá trị sổ sách vốn chủ sở hữu, doanh thu thuần, lợi nhuận gộp về bán hàng và cung cấp dịch vụ; Chỉ số phản ánh khả năng tăng trưởng của doanh nghiệp (tốc độ tăng trưởng lợi nhuận sau thuế thu nhập doanh nghiệp trung bình trong 03 năm gần nhất); Chỉ số phản ánh hiệu quả hoạt động của doanh nghiệp (tỷ suất lợi nhuận trên vốn chủ sở hữu (ROE), tỷ suất lợi nhuận trên tài sản (ROA));
b) Có thông tin về giá cổ phần được giao dịch thành công trên thị trường tại thời điểm thẩm định giá hoặc gần thời điểm thẩm định giá nhưng không quá 01 năm tính đến thời điểm thẩm định giá.
4. Điều kiện áp dụng phương pháp tỷ số bình quân
Có ít nhất 03 doanh nghiệp so sánh. Ưu tiên các doanh nghiệp so sánh là các doanh nghiệp đã niêm yết trên sàn chứng khoán hoặc đăng ký giao dịch trên UPCoM.
5. Nguyên tắc thực hiện phương pháp tỷ số bình quân
a) Cách thức xác định các chỉ số tài chính, tỷ số thị trường phải nhất quán đối với tất cả các doanh nghiệp so sánh và doanh nghiệp cần thẩm định giá;
b) Các chỉ số tài chính, tỷ số thị trường của các doanh nghiệp so sánh được thu thập từ các nguồn khác nhau phải được rà soát, điều chỉnh để bảo đảm tính nhất quán về cách thức xác định trước khi đưa vào sử dụng trong thẩm định giá.
6. Phương thức thực hiện phương pháp tỷ số bình quân
a) Đánh giá, lựa chọn các doanh nghiệp so sánh theo quy định tại khoản 3 Điều này;
b) Xác định tỷ số thị trường được sử dụng để ước tính giá trị vốn chủ sở hữu của doanh nghiệp cần thẩm định giá;
c) Ước tính giá trị vốn chủ sở hữu của doanh nghiệp cần thẩm định giá trên cơ sở các tỷ số thị trường phù hợp để sử dụng và thực hiện các điều chỉnh khác biệt.
Điều 10. Xác định tỷ số thị trường được sử dụng để ước tính giá trị vốn chủ sở hữu của doanh nghiệp cần thẩm định giá Việc xác định tỷ số thị trường được sử dụng để ước tính giá trị vốn chủ sở hữu của doanh nghiệp cần thẩm định giá được thực hiện như sau:
1. Tính toán các tỷ số thị trường của doanh nghiệp so sánh, sau đó sử dụng tối thiểu 03 trong số các tỷ số thị trường sau: tỷ số giá trên thu nhập bình quân
, tỷ số giá trên doanh thu bình quân
, tỷ số giá trên giá trị sổ sách của vốn chủ sở hữu bình quân
, tỷ số giá trị doanh nghiệp trên lợi nhuận trước thuế, lãi vay và khấu hao bình quân
, tỷ số giá trị doanh nghiệp trên doanh thu thuần bình quân
, tỷ số giá trị doanh nghiệp trên lợi nhuận trước thuế và lãi vay bình quân
.
2. Lựa chọn tỷ số thị trường sử dụng để ước tính giá trị vốn chủ sở hữu, giá trị của doanh nghiệp cần thẩm định giá trên cơ sở xem xét sự phù hợp của các tỷ số thị trường trên cơ sở quy mô, đặc điểm của doanh nghiệp, ngành nghề kinh doanh, thị trường, tính tương đồng. Các tỷ số thị trường của các doanh nghiệp so sánh cần được đánh giá, cân nhắc điều chỉnh trước khi áp dụng vào tính toán giá trị vốn chủ sở hữu. Trong trường hợp điều chỉnh tỷ số thị trường, các điều chỉnh này được dựa trên số liệu (nếu có), kinh nghiệm và khảo sát thị trường hay các nghiên cứu thị trường.
3. Lưu ý khi xác định các tỷ số thị trường
a) Thu nhập trên mỗi cổ phiếu (EPS) được xác định trên cơ sở thu nhập của 01 năm gần nhất với thời điểm thẩm định giá, cần xem xét điều chỉnh cho tài sản phi hoạt động của các doanh nghiệp so sánh;
c) Giá trị sổ sách của cổ phần trong chỉ số
cần lưu ý trừ phần giá trị sổ sách của tài sản cố định vô hình (các tài sản cố định vô hình này không bao gồm quyền sử dụng đất, quyền khai thác tài sản trên đất) để hạn chế tác động của quy định về hạch toán kế toán đối với tài sản cố định vô hình có thể làm sai lệch kết quả thẩm định giá trong trường hợp các doanh nghiệp so sánh, doanh nghiệp cần thẩm định giá có tài sản cố định vô hình trong bảng cân đối kế toán. Trong trường hợp không trừ phần giá trị sổ sách của tài sản cố định vô hình phải nêu rõ lý do;
d) Tham số giá trị của các doanh nghiệp so sánh (EV) trong tỷ số thị trường
,
và
được tính theo công thức sau:
|
Giá trị của doanh nghiệp |
= |
Vốn hóa thị trường của cổ phần thường |
+ |
Giá trị các khoản nợ có chi phí sử dụng vốn |
+ |
Giá trị cổ phần ưu đãi (nếu có) |
+ |
Lợi ích của cổ đông không nắm quyền kiểm soát (nếu có) |
- |
Giá trị các tài sản phi hoạt động |
- Giá trị các khoản nợ có chi phí sử dụng vốn, giá trị cổ phần ưu đãi, lợi ích của cổ đông không kiểm soát, giá trị tiền và các khoản tương đương tiền được xác định theo giá trị sổ kế toán. Trong trường hợp không có đủ thông tin để xác định giá trị các khoản nợ có chi phí sử dụng vốn thì lấy giá trị các khoản vay và nợ thuê tài chính theo giá trị sổ kế toán;
- Trường hợp doanh nghiệp có phát hành chứng khoán chuyển đổi, chứng khoán quyền chọn, phải đánh giá, xem xét việc chuyển đổi các chứng khoán này sang cổ phần thường nếu phù hợp khi xác định vốn hóa thị trường của doanh nghiệp;
đ) EBITDA, EBIT của doanh nghiệp so sánh không bao gồm các khoản thu nhập từ tiền và các khoản tương đương tiền và không bao gồm các khoản thu nhập, chi phí phát sinh từ tài sản phi hoạt động.
Điều 11. Ước tính giá trị vốn chủ sở hữu của doanh nghiệp cần thẩm định giá
1. Xác định tỷ số thị trường bình quân cho từng tỷ số thị trường
Tỷ số thị trường bình quân được xác định bằng trung bình cộng tỷ số thị trường của các doanh nghiệp so sánh hoặc xác định bằng việc tính bình quân có trọng số tỷ số thị trường của các doanh nghiệp so sánh.
Việc xác định trọng số tỷ số thị trường cho từng doanh nghiệp so sánh dựa trên phân tích về tính tương đồng của doanh nghiệp so sánh so với doanh nghiệp cần thẩm định giá.
2. Xác định giá trị doanh nghiệp cần thẩm định giá, giá trị vốn chủ sở hữu của doanh nghiệp cần thẩm định giá theo từng tỷ số thị trường bình quân tính theo năm
|
Giá trị doanh nghiệp cần thẩm định giá |
= |
EBITDA của doanh nghiệp cần thẩm định giá |
x |
|
|
Giá trị doanh nghiệp cần thẩm định giá |
= |
EBIT của doanh nghiệp cần thẩm định giá |
x |
|
|
Giá trị doanh nghiệp cần thẩm định giá |
= |
Doanh thu thuần của doanh nghiệp cần thẩm định giá |
x |
|
|
Giá trị vốn chủ sở hữu của doanh nghiệp cần thẩm định giá |
= |
Giá trị doanh nghiệp cần thẩm định giá |
- |
Nợ có chi phí sử dụng vốn |
- |
Lợi ích cổ đông không kiểm soát (nếu có) |
- |
Giá trị của cổ phần ưu đãi (nếu có) |
+ |
Giá trị các tài sản phi hoạt động |
b) Xác định giá trị vốn chủ sở hữu của doanh nghiệp cần thẩm định giá theo tỷ số thị trường
:
|
Giá trị vốn chủ sở hữu của doanh nghiệp cần thẩm định giá |
= |
Lợi nhuận sau thuế thu nhập doanh nghiệp 01 năm gần nhất của doanh nghiệp cần thẩm định giá |
x |
|
|
Giá trị vốn chủ sở hữu của doanh nghiệp cần thẩm định giá |
= |
Giá trị sổ sách của vốn chủ sở hữu của doanh nghiệp cần thẩm định giá gần nhất thời điểm thẩm định giá |
x |
|
|
Giá trị vốn chủ sở hữu của doanh nghiệp cần thẩm định giá |
= |
Doanh thu thuần 01 năm gần nhất của doanh nghiệp cần thẩm định thẩm định giá |
x |
|
3. Ước tính giá trị vốn chủ sở hữu của doanh nghiệp cần thẩm định giá theo phương pháp tỷ số bình quân:
Giá trị vốn chủ sở hữu của doanh nghiệp cần thẩm định giá theo phương pháp tỷ số bình quân được xác định bằng trung bình cộng các kết quả giá trị vốn chủ sở hữu của doanh nghiệp cần thẩm định giá được xác định theo từng tỷ số thị trường bình quân được lựa chọn hoặc xác định bằng việc tính bình quân có trọng số của các kết quả. Việc xác định trọng số cho từng kết quả giá trị có thể dựa trên đánh giá mức độ tương đồng giữa các doanh nghiệp so sánh đối với từng loại tỷ số thị trường được sử dụng để tính toán kết quả giá trị đó theo nguyên tắc: tỷ số thị trường nào có mức độ tương đồng càng cao giữa các doanh nghiệp so sánh thì kết quả giá trị sử dụng tỷ số thị trường đó có trọng số càng lớn.
Mục 2.
PHƯƠNG PHÁP GIÁ GIAO DỊCH
Điều 12. Phương pháp giá giao dịch
1. Phương pháp giá giao dịch ước tính giá trị vốn chủ sở hữu của doanh nghiệp cần thẩm định giá thông qua giá giao dịch chuyển nhượng phần vốn góp hoặc chuyển nhượng cổ phần thành công trên thị trường của chính doanh nghiệp cần thẩm định giá.
2. Điều kiện áp dụng phương pháp giá giao dịch
Doanh nghiệp cần thẩm định giá có ít nhất 03 giao dịch chuyển nhượng phần vốn góp hoặc chuyển nhượng cổ phần thành công trên thị trường; đồng thời, thời điểm diễn ra giao dịch không quá 01 năm tính đến thời điểm thẩm định giá.
3. Nguyên tắc thực hiện: Cần đánh giá, xem xét việc điều chỉnh giá các giao dịch thành công cho phù hợp với thời điểm thẩm định giá nếu cần thiết.
Điều 13. Ước tính giá trị vốn chủ sở hữu theo phương pháp giá giao dịch
Giá trị vốn chủ sở hữu của doanh nghiệp cần thẩm định giá được tính theo giá bình quân theo khối lượng giao dịch của ít nhất 03 giao dịch thành công của việc chuyển nhượng phần vốn góp hoặc cổ phần gần nhất trước thời điểm thẩm định giá.
Trường hợp doanh nghiệp cần thẩm định giá là doanh nghiệp đã niêm yết cổ phần trên sàn chứng khoán hoặc đã đăng ký giao dịch trên UPCoM, giá cổ phần để tính giá thị trường vốn chủ sở hữu là giá giao dịch hoặc giá tham chiếu của cổ phần của doanh nghiệp cần thẩm định giá tại hoặc gần nhất với thời điểm thẩm định giá trong vòng 30 ngày kể từ thời điểm thẩm định giá về trước.
Chương III
CÁCH TIẾP CẬN TỪ CHI PHÍ
Điều 14. Phương pháp tài sản
1. Phương pháp tài sản là phương pháp ước tính giá trị của doanh nghiệp cần thẩm định giá thông qua tính tổng giá trị của các tài sản thuộc quyền sở hữu và sử dụng của doanh nghiệp cần thẩm định giá.
2. Nguyên tắc thực hiện:
a) Tài sản được xem xét trong quá trình thẩm định giá là tất cả các tài sản của doanh nghiệp trên cơ sở số liệu kiểm kê của doanh nghiệp cần thẩm định giá; giá trị của các tài sản này được thẩm định giá theo hướng dẫn tại Chuẩn mực này và Chuẩn mực thẩm định giá Việt Nam khác; trường hợp không có thông tin, tài liệu để thẩm định giá thì phải phân tích, lập luận trong báo cáo thẩm định giá, sau đó xác định trên cơ sở chí phí thực tế phát sinh đang hạch toán trên sổ kế toán;
b) Khi thẩm định giá doanh nghiệp theo cơ sở giá trị thị trường thì giá trị các tài sản của doanh nghiệp là giá trị thị trường của tài sản đó tại thời điểm thẩm định giá và được thực hiện theo quy định tại Điều 15 của Chuẩn mực này;
c) Tài sản vô hình không thỏa mãn các điều kiện để được ghi nhận trên sổ kế toán (tên thương mại, nhãn hiệu, sáng chế, kiểu dáng công nghiệp…) và các tài sản khác không được ghi nhận trên sổ kế toán cần được áp dụng phương pháp thẩm định giá phù hợp để xác định;
d) Đối với tài sản được hạch toán bằng ngoại tệ: Tỷ giá ngoại tệ áp dụng theo hướng dẫn của Chuẩn mực kế toán Việt Nam khi lập và trình bày báo cáo tài chính.
3. Việc thực hiện phương pháp tài sản bao gồm:
a) Ước tính tổng giá trị các tài sản hữu hình và tài sản tài chính của doanh nghiệp cần thẩm định giá;
b) Ước tính tổng giá trị các tài sản vô hình của doanh nghiệp cần thẩm định giá;
c) Ước tính giá trị vốn chủ sở hữu của doanh nghiệp cần thẩm định giá.
Điều 15. Ước tính tổng giá trị các tài sản hữu hình và tài sản tài chính của doanh nghiệp cần thẩm định giá
Việc ước tính giá thị trường các tài sản hữu hình và tài sản tài chính của doanh nghiệp được thực hiện theo một trong các phương pháp thẩm định giá được quy định tại các Chuẩn mực thẩm định giá Việt Nam về cách tiếp cận từ thị trường, cách tiếp cận từ chi phí, cách tiếp cận từ thu nhập và các chuẩn mực thẩm định giá Việt Nam khác có liên quan.
Ngoài ra, việc ước tính giá thị trường các tài sản hữu hình và tài sản tài chính được thực hiện theo hướng dẫn sau:
1. Xác định giá trị tài sản bằng tiền
a) Tiền mặt được xác định theo biên bản kiểm quỹ của doanh nghiệp cần thẩm định giá;
b) Tiền gửi được xác định theo số dư đã đối chiếu xác nhận hoặc sổ phụ với ngân hàng nơi doanh nghiệp cần thẩm định giá mở tài khoản tại thời điểm thẩm định giá trị doanh nghiệp;
c) Tiền mặt và tiền gửi là ngoại tệ được xác định theo nguyên tắc tại điểm d khoản 2 Điều 14 Chuẩn mực này.
2. Xác định giá trị khoản đầu tư
Các khoản đầu tư của doanh nghiệp cần được xác định giá trị tại thời điểm thẩm định giá như sau:
a) Trường hợp doanh nghiệp (mà doanh nghiệp cần thẩm định giá đầu tư góp vốn, mua cổ phần) có các giao dịch chuyển nhượng vốn hoặc cổ phần thành công trên thị trường, giá trị các khoản đầu tư góp vốn, mua cổ phần được xác định theo giá trị thị trường vốn chủ sở hữu của doanh nghiệp mà doanh nghiệp cần thẩm định giá đã đầu tư. Trong đó giá trị thị trường vốn chủ sở hữu của doanh nghiệp mà doanh nghiệp cần thẩm định giá đã đầu tư được xác định theo các phương pháp nêu tại Chuẩn mực này hoặc được xác định như sau:
- Trường hợp cổ phần của các doanh nghiệp chưa niêm yết trên sàn chứng khoán hoặc chưa đăng ký giao dịch trên UPCoM, đồng thời các giao dịch chuyển nhượng vốn hoặc cổ phần thành công trên thị trường thỏa mãn cả 2 điều kiện: (i) trên 50% số vốn chủ sở hữu của doanh nghiệp được chuyển nhượng trong tổng các giao dịch; (ii) thời điểm các giao dịch không quá 01 năm tính đến thời điểm thẩm định giá thì giá trị các khoản đầu tư của doanh nghiệp cần thẩm định giá được xác định theo giá chuyển nhượng bình quân theo khối lượng của các giao dịch gần nhất trước thời điểm thẩm định giá.
- Trường hợp khoản đầu tư là cổ phần của các doanh nghiệp đã niêm yết trên sàn chứng khoán hoặc đã đăng ký giao dịch trên UPCoM thì giá trị các khoản đầu tư được xác định theo giá cổ phần là giá tham chiếu của cổ phần của doanh nghiệp cần thẩm định giá tại thời điểm thẩm định giá và phải có giao dịch của cổ phần này trong vòng 30 ngày trước thời điểm thẩm định giá hoặc tại thời điểm thẩm định giá.
- Trường hợp doanh nghiệp cần thẩm định giá nắm giữ 100% phần vốn của các doanh nghiệp được đầu tư, góp vốn: giá trị khoản đầu tư được xác định theo giá trị của doanh nghiệp được đầu tư, góp vốn và được xác định theo các phương pháp nêu tại Chuẩn mực này.
- Trường hợp doanh nghiệp cần thẩm định giá nắm giữ từ 50% đến dưới 100% phần vốn của các doanh nghiệp được đầu tư, góp vốn: Giá trị các khoản đầu tư được xác định theo giá trị vốn chủ sở hữu của các doanh nghiệp mà doanh nghiệp cần thẩm định giá đã đầu tư. Trong đó giá trị vốn chủ sở hữu của các doanh nghiệp mà doanh nghiệp cần thẩm định giá đã đầu tư được xác định theo các phương pháp nêu tại Chuẩn mực này, trường hợp không áp dụng được theo các phương pháp nêu tại Chuẩn mực này thì được xác định theo hướng sau:
(i) Đối với phương pháp chiết khấu dòng tiền vốn chủ sở hữu: chi phí sử dụng vốn chủ sở hữu được ước tính trên cơ sở tỷ suất lợi nhuận trên vốn chủ sở hữu bình quân 5 năm gần nhất, dòng tiền vốn chủ sở hữu có thể được dự báo trên cơ sở số liệu lợi nhuận dành cho chủ sở hữu, tốc độ tăng tỷ suất lợi nhuận trên vốn chủ sở hữu 5 năm gần nhất.
(ii) Đối với phương pháp tỷ số bình quân: cần ước tính tỷ số
và các các tỷ số
bình quân có thể được ước tính trên cơ sở tỷ số
của ít nhất 03 doanh nghiệp có cùng ngành nghề sản xuất, kinh doanh.
- Trường hợp doanh nghiệp cần thẩm định giá nắm giữ dưới 50% phần vốn của các doanh nghiệp được đầu tư, góp vốn: giá trị các khoản đầu tư được xác định theo các phương pháp nêu tại Chương II của Chuẩn mực hoặc theo hướng dẫn tại điểm (i), (ii), (iii); trường hợp thực hiện theo hướng dẫn tại điểm (iii) phải nêu rõ trong phần hạn chế của chứng thư thẩm định giá và báo cáo thẩm định giá.
3. Xác định giá trị các khoản phải thu, phải trả
a) Đối chiếu các khoản phải thu, phải trả được ghi nhận trên sổ kế toán với các tài liệu, hồ sơ liên quan được cung cấp và thu thập trong thời gian thực hiện thẩm định giá; trường hợp cần thiết yêu cầu doanh nghiệp cần thẩm định giá xác minh, xác nhận lại số liệu;
b) Giá trị các khoản phải thu, phải trả được xác định theo tế trên cơ sở các bằng chứng liên quan được cung cấp, trường hợp không có đủ bằng chứng thì cần phân tích, lập luận, đề xuất các giả thiết về khả năng thu hồi trên cơ sở số liệu tại sổ kế toán;
c) Trường hợp không được cung cấp hồ sơ, tài liệu liên quan như biên bản đối chiếu, xác nhận các khoản phải thu, phải trả hoặc hồ sơ về các khoản đã thu, đã trả phát sinh sau thời điểm khóa sổ lập báo cáo tài chính thì phải nêu rõ trong phần hạn chế của chứng thư thẩm định giá, báo cáo thẩm định giá để đối tượng sử dụng kết quả thẩm định giá đánh giá, xem xét khi sử dụng kết quả thẩm định giá.
4. Xác định giá trị đối với hàng tồn kho
a) Chi phí sản xuất kinh doanh dở dang được xác định theo chi phí thực tế phát sinh đang hạch toán trên sổ kế toán. Trường hợp doanh nghiệp cần thẩm định giá là chủ đầu tư dự án có chi phí sản xuất kinh doanh dở dang trong xây dựng cơ bản gắn liền với việc tạo ra các bất động sản hình thành trong tương lai thì cần xác định giá trị quyền sử dụng đất của doanh nghiệp cần thẩm định giá (nếu có bao gồm trong tài sản hình thành trong tương lai) theo các Chuẩn mực thẩm định giá Việt Nam về cách tiếp cận từ thị trường, cách tiếp cận từ thu nhập và thẩm định giá bất động sản; đối với các hạng mục xây dựng được xác định theo chí phí thực tế phát sinh đang hạch toán trên sổ kế toán;
b) Trường hợp hàng tồn kho là hàng hóa, thành phẩm bất động sản thì giá trị các bất động sản này được xác định theo các chuẩn mực thẩm định giá Việt Nam;
c) Trường hợp hàng tồn kho là nguyên vật liệu, công cụ, dụng cụ tồn kho lâu ngày do lỗi sản xuất, sản phẩm dở dang không tiếp tục hoàn thiện do không tiêu thụ được, do thay đổi sản phẩm sản xuất … dẫn đến kém phẩm chất cần yêu cầu doanh nghiệp lập bảng thống kê, phân loại và đề nghị để thẩm định giá theo giá trị thu hồi với nguyên tắc sử dụng tốt nhất và hiệu quả nhất;
d) Trường hợp hàng tồn kho là nguyên vật liệu, công cụ, dụng cụ tồn kho phục vụ nhu cầu hoạt động, sản xuất bình thường, đang luân chuyển được xác định bằng chi phí thực tế phát sinh trên sổ kế toán.
5. Xác định giá trị tài sản cố định hữu hình
a) Đối với tài sản cố định hữu hình là nhà cửa, vật kiến trúc, bất động sản đầu tư là các công trình cá biệt (không xác định được quy mô công trình hoặc đơn giá xây dựng, suất vốn đầu tư): có thể được ghi nhận theo nguyên giá sổ kế toán có tính đến yếu tố trượt giá trừ đi giá trị hao mòn tại thời điểm thẩm định giá;
b) Đối với tài sản cố định là máy móc, phương tiện vận tải, thiết bị truyền dẫn, thiết bị, dụng cụ quản lý:
Trường hợp không có tài sản tương đương giao dịch trên thị trường, không có đủ hồ sơ đầu tư, hồ sơ kỹ thuật: thu thập, lập luận và phân tích thông tin và lưu trữ các bằng chứng không có tài sản tương đương giao dịch trên thị trường, giá trị các tài sản này được xác định theo nguyên giá được ghi nhận trên sổ kế toán (có tính đến chênh lệch tỷ giá nếu là tài sản nhập khẩu tại thời điểm thẩm định giá) và trừ đi giá trị hao mòn tại thời điểm thẩm định giá.
Trường hợp xác định theo nguyên giá sổ sách theo hướng dẫn trên: nêu rõ trong phần hạn chế của chứng thư thẩm định giá và báo cáo thẩm định giá.
6. Xác định giá trị công cụ, dụng cụ đã xuất dùng:
Giá trị công cụ, dụng cụ được xác định theo giá giao dịch trên thị trường của tài sản so sánh tương đương. Trường hợp không thu thập được giá giao dịch trên thị trường của tài sản so sánh, thì giá trị công cụ, dụng cụ được xác định theo giá giao dịch của công cụ dụng cụ mới cùng loại hoặc có tính năng tương đương hoặc theo giá mua ban đầu theo dõi trên sổ kế toán trừ đi giá trị hao mòn tại thời điểm thẩm định giá.
Trường hợp giá trị công cụ, dụng cụ được xác định theo giá trị tại sổ kế toán: nêu rõ hạn chế này trong phần hạn chế của chứng thư thẩm định giá và báo cáo thẩm định giá.
7. Xác định các khoản ký quỹ, ký cược ngắn hạn và dài hạn theo sổ kế toán.
8. Giá trị tài sản tài chính dưới dạng hợp đồng được ưu tiên áp dụng phương pháp dòng tiền chiết khấu.
9. Giá trị xây dựng cơ bản dở dang: xác định tương tự như đối với chi phí sản xuất kinh doanh dở dang.
Điều 16. Ước tính tổng giá trị các tài sản vô hình của doanh nghiệp cần thẩm định giá
Giá trị tài sản vô hình của doanh nghiệp cần thẩm định giá được tính bằng tổng giá trị của các tài sản vô hình có thể xác định được và giá trị tài sản vô hình không xác định được. Tài sản vô hình của doanh nghiệp cần thẩm định giá bao gồm những tài sản cố định vô hình đã được ghi nhận trong sổ kế toán, các tài sản vô hình khác thỏa mãn điều kiện quy định tại Chuẩn mực thẩm định giá Việt Nam về Thẩm định giá tài sản vô hình và tài sản vô hình không xác định được.
Tổng giá trị các tài sản vô hình của doanh nghiệp cần thẩm định giá được xác định thông qua một trong các phương pháp sau:
1. Phương pháp 1: Ước tính tổng giá trị các tài sản vô hình của doanh nghiệp cần thẩm định giá thông qua việc ước tính giá trị của từng tài sản vô hình có thể xác định và giá trị của tài sản vô hình không xác định được (các tài sản vô hình còn lại).
Việc thực hiện xác định giá trị của từng tài sản vô hình có thể xác định được theo quy định tại Chuẩn mực thẩm định giá Việt Nam về thẩm định giá tài sản vô hình. Riêng giá trị quyền sử dụng đất, quyền thuê đất được xác định theo quy định tại Chuẩn mực thẩm định giá Việt Nam về cách tiếp cận từ thị trường, cách tiếp cận từ thu nhập và thẩm định giá bất động sản.
Việc xác định giá trị của tài sản vô hình không xác định được (bao gồm thương hiệu và tài sản vô hình không xác định được khác) thực hiện như sau:
a) Ước tính giá trị thị trường của các tài sản của doanh nghiệp thẩm định giá (không bao gồm tài sản vô hình không xác định được) tham gia vào quá trình tạo ra thu nhập cho doanh nghiệp cần thẩm định giá. Giá trị thị trường của các tài sản này được xác định theo quy định tại Điều 15 Chuẩn mực này và các hướng dẫn tại các chuẩn mực thẩm định giá Việt Nam;
b) Ước tính mức thu nhập mà doanh nghiệp cần thẩm định giá có thể đạt được hàng năm, thường được xác định thông qua giá trị FCFF quy định tại khoản 2 Điều 19 của chuẩn mực này. Mức thu nhập này là mức thu nhập trong điều kiện hoạt động bình thường của doanh nghiệp cần thẩm định giá, được ước tính trên cơ sở kết quả đạt được của doanh nghiệp cần thẩm định giá trong các năm gần nhất, có tính đến triển vọng phát triển của doanh nghiệp sau khi đã loại trừ các yếu tố bất thường ảnh hưởng đến thu nhập như: các khoản thu nhập tăng giảm từ thanh lý tài sản cố định, đánh giá lại tài sản tài chính, rủi ro tỷ giá;
c) Ước tính các tỷ suất lợi nhuận phù hợp cho các tài sản của doanh nghiệp thẩm định giá (không bao gồm tài sản vô hình không xác định được) tham gia vào quá trình tạo ra thu nhập cho doanh nghiệp cần thẩm định giá. Tỷ suất lợi nhuận của tài sản hữu hình không quá chi phí sử dụng vốn bình quân gia quyền của doanh nghiệp cần thẩm định giá. Tỷ suất lợi nhuận của các tài sản vô hình xác định được không thấp hơn chi phí sử dụng vốn bình quân gia quyền của doanh nghiệp cần thẩm định giá. Việc xác định chi phí sử dụng vốn bình quân gia quyền của doanh nghiệp cần thẩm định giá được thực hiện theo hướng dẫn tại Điều 20 Chuẩn mực này;
d) Ước tính thu nhập hàng năm do các tài sản (của doanh nghiệp thẩm định giá nhưng không bao gồm tài sản vô hình không xác định được) tham gia vào quá trình tạo ra thu nhập cho doanh nghiệp cần thẩm định giá bằng cách lấy giá trị các tài sản này đã được tính tại điểm a khoản này nhân với (x) các mức tỷ suất lợi nhuận tương ứng xác định tại điểm c khoản này;
đ) Ước tính thu nhập do tài sản vô hình không xác định được đem lại cho doanh nghiệp cần thẩm định giá bằng cách lấy thu nhập mà doanh nghiệp cần thẩm định giá có thể đạt được tính tại điểm b khoản này trừ đi (-) thu nhập do các tài sản (của doanh nghiệp thẩm định giá nhưng không bao gồm tài sản vô hình không xác định được) tham gia vào quá trình tạo ra thu nhập cho doanh nghiệp cần thẩm định giá tính tại điểm d khoản này;
e) Ước tính tỷ suất vốn hóa phù hợp cho thu nhập do tài sản vô hình không xác định được đem lại cho doanh nghiệp cần thẩm định giá. Tỷ suất vốn hóa này ít nhất phải bằng chi phí sử dụng vốn chủ sở hữu của doanh nghiệp cần thẩm định giá. Việc xác định chi phí sử dụng vốn chủ sở hữu của doanh nghiệp cần thẩm định giá theo quy định tại khoản 6, khoản 7, khoản 8, khoản 9 Điều 20 Chuẩn mực này;
g) Ước tính giá trị tài sản vô hình không xác định được của doanh nghiệp cần thẩm định giá bằng cách vốn hóa phần thu nhập do các tài sản vô hình này đem lại cho doanh nghiệp cần thẩm định giá.
2. Phương pháp 2: Ước tính tổng giá trị các tài sản vô hình của doanh nghiệp cần thẩm định giá thông qua vốn hóa dòng lợi nhuận do tất cả các tài sản vô hình đem lại cho doanh nghiệp cần thẩm định giá.
a) Ước tính giá trị thị trường của các tài sản của doanh nghiệp thẩm định giá (không bao gồm tài sản vô hình) tham gia vào quá trình tạo ra thu nhập cho doanh nghiệp cần thẩm định giá. Giá trị thị trường của các tài sản tài chính, tài sản hữu hình được xác định theo quy định tại Điều 15 Chuẩn mực này;
b) Ước tính mức thu nhập mà doanh nghiệp cần thẩm định giá có thể đạt được hàng năm, thường được xác định thông qua giá trị FCFF quy định tại khoản 2 Điều 19 của chuẩn mực này. Mức thu nhập này là mức thu nhập trong điều kiện hoạt động bình thường của doanh nghiệp cần thẩm định giá, được ước tính trên cơ sở kết quả đạt được của doanh nghiệp cần thẩm định giá trong các năm gần nhất, có tính đến triển vọng phát triển của doanh nghiệp sau khi đã loại trừ các yếu tố bất thường ảnh hưởng đến thu nhập như: các khoản thu nhập tăng giảm từ thanh lý tài sản cố định, đánh giá lại tài sản tài chính, rủi ro tỷ giá;
c) Ước tính các tỷ suất lợi nhuận phù hợp cho các tài sản (của doanh nghiệp thẩm định giá nhưng không bao gồm tài sản vô hình) tham gia vào quá trình tạo ra thu nhập cho doanh nghiệp cần thẩm định giá. Các tỷ suất lợi nhuận này phải không quá chi phí sử dụng vốn bình quân gia quyền của doanh nghiệp cần thẩm định giá. Việc xác định chi phí sử dụng vốn bình quân gia quyền của doanh nghiệp cần thẩm định giá theo hướng dẫn tại Điều 20 Chuẩn mực này;
d) Ước tính thu nhập hàng năm do các tài sản (của doanh nghiệp thẩm định giá nhưng không bao gồm tài sản vô hình) tham gia vào quá trình tạo ra thu nhập cho doanh nghiệp cần thẩm định giá bằng cách lấy giá trị các tài sản này được tính tại điểm a khoản này nhân với (x) các tỷ suất lợi nhuận tương ứng được tính tại điểm c khoản này;
đ) Ước tính thu nhập do tất cả các tài sản vô hình đem lại cho doanh nghiệp cần thẩm định giá bằng cách lấy thu nhập mà doanh nghiệp cần thẩm định giá có thể đạt được tính tại điểm b khoản này trừ (-) thu nhập do các tài sản đem lại cho doanh nghiệp cần thẩm định giá tính tại điểm d khoản này;
e) Ước tính tỷ suất vốn hóa phù hợp cho thu nhập do tất cả các tài sản vô hình đem lại cho doanh nghiệp cần thẩm định giá. Tỷ suất vốn hóa này ít nhất phải bằng chi phí sử dụng vốn chủ sở hữu của doanh nghiệp cần thẩm định giá. Việc xác định chi phí sử dụng vốn chủ sở hữu của doanh nghiệp cần thẩm định giá theo quy định tại khoản 6, khoản 7, khoản 8, khoản 9 Điều 20 Chuẩn mực này;
g) Ước tính tổng giá trị các tài sản vô hình của doanh nghiệp cần thẩm định giá bằng cách vốn hóa phần thu nhập do các tài sản vô hình đem lại cho doanh nghiệp cần thẩm định giá.
|
Giá trị tổng tài sản của doanh nghiệp cần thẩm định giá |
= |
Tổng giá trị các tài sản hữu hình và tài sản tài chính của doanh nghiệp cần thẩm định giá |
+ |
Tổng giá trị các tài sản vô hình của doanh nghiệp cần thẩm định giá |
|
Giá trị vốn chủ sở hữu của doanh nghiệp cần thẩm định giá |
= |
Giá trị tổng tài sản của doanh nghiệp cần thẩm định giá |
- |
Giá trị các khoản nợ phải trả |
Chương IV
CÁCH TIẾP CẬN TỪ THU NHẬP
Mục 1.
PHƯƠNG PHÁP CHIẾT KHẤU DÒNG TIỀN TỰ DO
CỦA DOANH NGHIỆP
Điều 18. Phương pháp chiết khấu dòng tiền tự do của doanh nghiệp
1. Phương pháp chiết khấu dòng tiền tự do của doanh nghiệp xác định giá trị doanh nghiệp cần thẩm định giá thông qua ước tính tổng của giá trị chiết khấu dòng tiền tự do của doanh nghiệp cần thẩm định giá với giá trị hiện tại của các tài sản phi hoạt động của doanh nghiệp tại thời điểm thẩm định giá.
2. Nguyên tắc thực hiện
Trường hợp doanh nghiệp cần thẩm định giá là công ty cổ phần, phương pháp chiết khấu dòng tiền tự do của doanh nghiệp được sử dụng với giả định coi các cổ phần ưu đãi của doanh nghiệp cần thẩm định giá như cổ phần thường. Giả định này cần được nêu rõ trong phần hạn chế của chứng thư thẩm định giá và báo cáo thẩm định giá.
3. Việc thực hiện phương pháp chiết khấu dòng tiền tự do của doanh nghiệp bao gồm:
a) Dự báo dòng tiền tự do của doanh nghiệp cần thẩm định giá (FCFF);
b) Ước tính chi phí sử dụng vốn bình quân gia quyền của doanh nghiệp cần thẩm định giá (WACC);
c) Ước tính giá trị cuối kỳ dự báo (Vn);
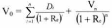
d) Ước tính giá trị vốn chủ sở hữu của doanh nghiệp cần thẩm định giá (V0).
Điều 19. Dự báo dòng tiền tự do của doanh nghiệp cần thẩm định giá
1. Việc ước tính giai đoạn dự báo dòng tiền được thực hiện căn cứ vào đặc điểm của doanh nghiệp, của lĩnh vực kinh doanh và bối cảnh kinh tế để lựa chọn các mô hình tăng trưởng phù hợp. Giai đoạn dự báo dòng tiền tối thiểu là 03 năm. Đối với các doanh nghiệp mới thành lập hoặc đang tăng trưởng nhanh thì giai đoạn dự báo dòng tiền có thể kéo dài đến khi doanh nghiệp bước vào giai đoạn tăng trưởng đều. Đối với doanh nghiệp hoạt động có thời hạn thì việc xác định giai đoạn dự báo dòng tiền cần đánh giá, xem xét đến tuổi đời của doanh nghiệp.
2. Công thức tính dòng tiền tự do hàng năm của doanh nghiệp là công thức sau đây và các công thức khác biến đổi tương đương từ công thức này:
FCFF = Lợi nhuận trước lãi vay sau thuế (EBIAT) + Khấu hao - Chi đầu tư vốn - Thay đổi vốn luân chuyển thuần ngoài tiền mặt và tài sản phi hoạt động ngắn hạn (chênh lệch vốn hoạt động thuần)
a) Lợi nhuận trước lãi vay sau thuế (EBIAT) là lợi nhuận trước lãi vay sau thuế đã loại trừ các khoản lợi nhuận từ tài sản phi hoạt động.
Công thức tính lợi nhuận trước lãi vay sau thuế (EBIAT) từ lợi nhuận trước lãi vay và thuế (EBIT) như sau:
EBIAT = EBIT x (1 - t)
Trong đó:
t: thuế suất thuế thu nhập doanh nghiệp
Trong giai đoạn đã có báo cáo tài chính, sử dụng mức thuế suất hiệu dụng để tính EBIAT: thiệu dụng = (Lợi nhuận trước thuế - Lợi nhuận sau thuế) ÷ Lợi nhuận trước thuế.
Trong giai đoạn dự báo dòng tiền, sử dụng thuế suất thuế thu nhập doanh nghiệp hiện hành để tính EBIAT;
b) Chi đầu tư vốn bao gồm: chi đầu tư tài sản cố định và tài sản dài hạn khác; chi đầu tư tài sản hoạt động nằm trong nhóm chi mua công cụ nợ của đơn vị khác và chi đầu tư tài sản hoạt động góp vốn vào đơn vị khác (nếu có);
c) Công thức tính vốn luân chuyển ngoài tiền mặt và tài sản phi hoạt động ngắn hạn:
Vốn luân chuyển ngoài tiền mặt và tài sản phi hoạt động ngắn hạn = (Các khoản phải thu ngắn hạn + Hàng tồn kho + Tài sản ngắn hạn khác) - Nợ ngắn hạn không bao gồm vay ngắn hạn.
Điều 20. Ước tính chi phí sử dụng vốn bình quân gia quyền của doanh nghiệp cần thẩm định giá
1. Chi phí sử dụng vốn bình quân gia quyền của doanh nghiệp cần thẩm định giá được ước tính cho từng khoảng thời gian hoặc cho toàn bộ giai đoạn dự báo dòng tiền trong tương lai để làm tỷ suất chiết khấu cho khoảng thời gian tương ứng khi chuyển đổi dòng tiền tự do và giá trị cuối kỳ dự báo (nếu có) về thời điểm thẩm định giá. Việc sử dụng một tỷ suất chiết khấu cho toàn bộ giai đoạn dự báo dòng tiền hoặc sử dụng các tỷ suất chiết khấu khác nhau cho từng giai đoạn dự báo dòng tiền cần được lập luận và nêu rõ trong báo cáo thẩm định giá.
2. Công thức chi phí sử dụng vốn bình quân gia quyền của doanh nghiệp:
WACC = Rd x Fd x (1 - t) + Re x Fe
Trong đó:
WACC: Chi phí sử dụng vốn bình quân gia quyền
Rd: Chi phí sử dụng nợ
Fd: Tỷ trọng nợ trên tổng nguồn vốn
t: Thuế suất thuế thu nhập doanh nghiệp
Re: Chi phí sử dụng vốn chủ sở hữu
Fe: Tỷ trọng vốn chủ sở hữu trên tổng nguồn vốn
Tổng nguồn vốn là các nguồn vốn tài trợ cho hoạt động của doanh nghiệp, gồm vốn chủ sở hữu và nợ phải trả có chi phí sử dụng vốn được dự kiến tài trợ cho hoạt động của doanh nghiệp trong giai đoạn dự báo dòng tiền. Khoản nợ này bao gồm cả nợ ngắn hạn và nợ dài hạn nhưng phải thỏa mãn 02 điều kiện: phải trả chi phí sử dụng vốn và được dự kiến tài trợ cho hoạt động của doanh nghiệp trong giai đoạn dự báo dòng tiền.
3. Ước tính tỷ trọng nợ trên tổng nguồn vốn Fd
a) Tỷ trọng nợ trên tổng nguồn vốn (Fd) là tỷ trọng nợ phải trả có chi phí sử dụng vốn được dự kiến tài trợ cho hoạt động của doanh nghiệp trong giai đoạn dự báo dòng tiền trên tổng nguồn vốn;
b) Cần căn cứ vào loại cơ sở giá trị thẩm định giá được sử dụng, thông tin do doanh nghiệp cần thẩm định giá cung cấp về kế hoạch sử dụng vốn để phân tích nhu cầu và khả năng vay vốn của doanh nghiệp trong thời gian tới, đánh giá cấu trúc vốn của các công ty cùng ngành để ước lượng tỷ trọng nợ phải trả chi phí sử dụng vốn được dự kiến tài trợ cho hoạt động của doanh nghiệp trong giai đoạn dự báo dòng tiền. Đồng thời, cần đánh giá, xem xét việc ước tính Rd dự kiến tương ứng với tỷ suất chiết khấu (WACC) của từng khoảng thời gian trong giai đoạn dự báo dòng tiền của doanh nghiệp cần thẩm định giá;
c) Tỷ trọng nợ trên tổng nguồn vốn (Fd) được xác định trên cơ sở xem xét, đánh giá tỷ trọng nợ phải trả chi phí sử dụng vốn trên tổng nguồn vốn của các doanh nghiệp có cùng ngành sản xuất, kinh doanh với doanh nghiệp cần thẩm định giá hoặc xác định theo tỷ trọng nợ phải trả chi phí sử dụng vốn trên tổng nguồn vốn của doanh nghiệp cần thẩm định giá trong các năm gần nhất có xem xét đến cơ cấu nguồn vốn trong tương lai.
Trường hợp doanh nghiệp cần thẩm định giá là doanh nghiệp được niêm yết trên thị trường chứng khoán Việt Nam không dưới 03 năm tính đến thời điểm thẩm định giá: đánh giá, xem xét việc căn cứ theo tỷ trọng nợ phải trả chi phí sử dụng vốn trên tổng nguồn vốn của doanh nghiệp thẩm định giá trong các năm gần nhất có xem xét đến cơ cấu vốn trong tương lai.
4. Ước tính chi phí sử dụng nợ (Rd)
Chi phí sử dụng nợ (Rd) được xác định theo chi phí sử dụng nợ của các khoản nợ phải trả có chi phí sử dụng vốn được dự kiến tài trợ cho hoạt động của doanh nghiệp cần thẩm định giá trong giai đoạn dự báo dòng tiền.
Trường hợp trong cơ cấu vốn của doanh nghiệp cần thẩm định giá không có khoản nợ phải trả có chi phí sử dụng vốn thì Rd được xác định theo mức lãi suất dự kiến. Mức lãi suất dự kiến là mức lãi suất ước tính trên cơ sở đánh giá khả năng thương thảo của doanh nghiệp cần thẩm định giá với các nhà cung cấp tín dụng hoặc lãi vay dài hạn của các doanh nghiệp cùng ngành nghề sản xuất kinh doanh với doanh nghiệp cần thẩm định giá.
Trường hợp doanh nghiệp cần thẩm định giá có khoản nợ phải trả chi phí sử dụng vốn thì Rd được xác định theo chi phí sử dụng vốn này hoặc lãi suất dự kiến nêu trên; đồng thời có đánh giá, xem xét để ước tính Rd cho phù hợp. Trường hợp doanh nghiệp có nhiều khoản nợ với chi phí sử dụng vốn khác nhau (như các mức lãi suất khác nhau) thì Rd được xác định bằng lãi suất bình quân gia quyền của các khoản nợ của doanh nghiệp.
5. Ước tính tỷ trọng vốn chủ sở hữu
Tỷ trọng vốn chủ sở hữu được xác định theo công thức: Fe = (1 − Fd)
6. Uớc tính chi phí sử dụng vốn chủ sở hữu (Re)
Việc ước tính chi phí sử dụng vốn chủ sở hữu (Re) được thực hiện theo một trong ba phương pháp quy định tại khoản 7, khoản 8, khoản 9 Điều này.
7. Phương pháp 01 ước tính chi phí sử dụng vốn chủ sở hữu (Re)
a) Điều kiện áp dụng: Có ít nhất 03 doanh nghiệp cùng ngành nghề kinh doanh với doanh nghiệp cần thẩm định giá đã có cổ phiếu niêm yết hoặc đăng ký giao dịch trên thị trường chứng khoán Việt Nam; hoặc doanh nghiệp cần thẩm định giá là doanh nghiệp được niêm yết trên thị trường chứng khoán Việt Nam không dưới 03 năm tính đến thời điểm thẩm định giá;
b) Trường hợp không áp dụng phương pháp 01, phải nêu lập luận, căn cứ về việc không lựa chọn phương pháp này trong báo cáo thẩm định giá và lựa chọn phương pháp 02 hoặc phương pháp 03 theo quy định tại khoản 8, khoản 9 Điều 20 Chuẩn mực này;
c) Công thức tổng quát:
Re = Rf + βL x MRP
Trong đó:
Rf : Tỷ suất lợi nhuận phi rủi ro tại hoặc gần thời điểm thẩm định giá
MRP: Phần bù rủi ro thị trường
βL: Hệ số rủi ro hệ thống của doanh nghiệp cần thẩm định giá
- Tỷ suất lợi nhuận phi rủi ro (Rf) được ước tính trên cơ sở lãi suất trái phiếu Chính phủ kỳ hạn 10 năm hoặc kỳ hạn dài nhất tại hoặc gần thời điểm thẩm định giá.
- Phần bù rủi ro thị trường (MRP) được ước tính thông qua việc tính trung bình các hiệu số của tỷ suất lợi nhuận khi đầu tư trên thị trường chứng khoán (R’m) tại phiên giao dịch cuối cùng mỗi tháng và tỷ suất lợi nhuận phi rủi ro (R’f). R’f được xác định trên cơ sở lãi suất trái phiếu Chính phủ kỳ hạn 10 năm hoặc kỳ hạn dài nhất tại thời điểm tương ứng hoặc gần thời điểm xác định R’m. Tỷ suất lợi nhuận dự kiến khi đầu tư trên thị trường chứng khoán Việt Nam được ước tính theo phương pháp thống kê theo chỉ số VN-INDEX trong giai đoạn tối thiểu là 05 năm gần nhất thời điểm thẩm định giá. Chỉ số VN-INDEX được thống kê theo tháng, cụ thể là chỉ số đóng cửa của phiên giao dịch cuối cùng của tháng.
- Việc xác định Hệ số rủi ro hệ thống có tính đến ảnh hưởng của cơ cấu vốn (βL) được thực hiện theo phương pháp hồi quy biến động giá tham chiếu có điều chỉnh của cổ phiếu với biến động giá của thị trường;

Trong đó biến động giá được xác định theo tháng và tối thiểu là 5 năm (đối với doanh nghiệp không có số liệu đủ 5 năm thì tính kể từ ngày doanh nghiệp niêm yết hoặc đăng ký giao dịch), tỷ suất sinh lợi của thị trường được tính toán dựa trên chỉ số VN-INDEX. Trường hợp có căn cứ và bằng chứng về hệ số βL đã được công bố trên thị trường trong điều kiện cách tính được thực hiện tương tự như trên thì được sử dụng βL đã được công bố này;
đ) Hệ số rủi ro có tính đến ảnh hưởng của cơ cấu vốn (βL) được ước tính như sau:
- Trường hợp doanh nghiệp cần thẩm định giá là doanh nghiệp được niêm yết trên thị trường chứng khoán Việt Nam không dưới 03 năm tính đến thời điểm thẩm định giá: đánh giá, xem xét việc xác định βL từ giá giao dịch cổ phần của chính doanh nghiệp cần thẩm định giá trong các năm gần thời điểm thẩm định giá hoặc xác định βL theo các doanh nghiệp tương tự có cùng ngành nghề kinh doanh, đồng thời có lập luận về lý do lựa chọn cách tính này trong báo cáo thẩm định giá.
- Trong các trường hợp còn lại: lựa chọn ít nhất 03 doanh nghiệp có cùng ngành nghề kinh doanh với doanh nghiệp cần thẩm định giá trên thị trường chứng khoán và xác định hệ số βL của các doanh nghiệp cần thẩm định giá thông qua βL của các doanh nghiệp này;

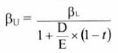
βU: Hệ số rủi ro phi đòn bẩy
: Tỷ trọng nợ phải trả có chi phí sử dụng vốn trên vốn chủ sở hữu của doanh nghiệp cùng ngành với doanh nghiệp cần thẩm định giá.
t: Thuế suất thuế thu nhập doanh nghiệp
- Tính toán hệ số rủi ro phi đòn bẩy bình quân của các doanh nghiệp có cùng ngành nghề kinh doanh với doanh nghiệp cần thẩm định giá.
- Ước tính hệ số rủi ro có tính đến ảnh hưởng của cơ cấu vốn (βL) của doanh nghiệp cần thẩm định giá theo công thức

βL thẩm định: Hệ số rủi ro có tính đến ảnh hưởng của cơ cấu vốn của doanh nghiệp cần thẩm định giá
βU bình quân: Hệ số rủi ro phi đòn bẩy bình quân
: Tỷ trọng nợ phải trả chi phí sử dụng vốn trên vốn chủ sở hữu của doanh nghiệp cần thẩm định giá.
t: Thuế suất thuế thu nhập doanh nghiệp
8. Phương pháp 2 ước tính chi phí sử dụng vốn chủ sở hữu (Re)
a) Công thức tổng quát:
Re = RfHK + βL x MRPHK + Phần bù rủi ro quốc gia + Phần bù rủi ro tỷ giá (nếu có)
Trong đó:
- RfHK: Tỷ suất lợi nhuận phi rủi ro được ước tính trên cơ sở lãi suất trái phiếu Chính phủ Hoa Kỳ kỳ hạn 10 năm hoặc kỳ hạn dài nhất và gần thời điểm thẩm định giá.
- MRPHK: Phần bù rủi ro thị trường chứng khoán tại Hoa Kỳ.
- βL: Hệ số rủi ro của các doanh nghiệp cùng ngành nghề kinh doanh với doanh nghiệp cần thẩm định giá tại thị trường Hoa Kỳ đã được điều chỉnh theo cơ cấu vốn của doanh nghiệp cần thẩm định giá.
b) Việc xác định Re được thực hiện trên cơ sở đánh giá, lập luận, điều chỉnh Re căn cứ quy mô, tính thanh khoản và các yếu tố khác có liên quan nhằm phản ánh được rủi ro của riêng doanh nghiệp cần thẩm định giá.
9. Phương pháp 3 ước tính chi phí sử dụng vốn chủ sở hữu (Re)
Công thức tổng quát:
Re = Rf + Rp
- Tỷ suất lợi nhuận phi rủi ro (Rf) được ước tính trên cơ sở lãi suất trái phiếu Chính phủ kỳ hạn 10 năm hoặc kỳ hạn dài nhất và gần thời điểm thẩm định giá.
- Phần bù rủi ro vốn chủ sở hữu (Rp) được xác định theo phần bù rủi ro vốn chủ sở hữu của Việt Nam được công bố tại các cơ sở dữ liệu tài chính quốc tế đáng tin cậy.
Việc xác định Re được thực hiện trên cơ sở đánh giá, lập luận, điều chỉnh Re căn cứ quy mô, tính thanh khoản và các yếu tố khác có liên quan nhằm phản ánh được rủi ro của riêng doanh nghiệp cần thẩm định giá.
Điều 21. Ước tính giá trị cuối kỳ dự báo
Công thức tính giá trị cuối kỳ dự báo:

FCFFn+1: Dòng tiền tự do của doanh nghiệp năm n + 1
Công thức tính giá trị cuối kỳ dự báo:

g: tốc độ tăng trưởng của dòng tiền
Tốc độ tăng trưởng của dòng tiền được xác định theo tốc độ tăng trưởng của lợi nhuận. Tốc độ tăng trưởng của lợi nhuận được dự báo trên cơ sở đánh giá triển vọng phát triển của doanh nghiệp, tốc độ tăng trưởng lợi nhuận trong quá khứ của doanh nghiệp, kế hoạch sản xuất kinh doanh, tỷ lệ tái đầu tư, tỷ lệ lợi nhuận giữ lại.
3. Trường hợp 3: Doanh nghiệp chấm dứt hoạt động vào cuối kỳ dự báo. Giá trị cuối kỳ dự báo được xác định theo giá trị thanh lý của doanh nghiệp cần thẩm định giá.
Điều 22. Ước tính giá trị vốn chủ sở hữu của doanh nghiệp cần thẩm định giá

2. Ước tính giá trị các tài sản phi hoạt động của doanh nghiệp theo hướng dẫn xác định giá trị tài sản hữu hình, tài sản vô hình, tài sản tài chính tại Chuẩn mực này và các chuẩn mực thẩm định giá Việt Nam có liên quan.
3. Ước tính giá trị vốn chủ sở hữu của doanh nghiệp cần thẩm định giá tại thời điểm thẩm định giá bằng cách cộng giá trị hiện tại của các dòng tiền tự do của doanh nghiệp và giá trị cuối kỳ dự báo với giá trị các tài sản phi hoạt động của doanh nghiệp cần thẩm định giá, trừ đi giá trị các khoản nợ phải trả có chi phí sử dụng vốn và khoản nợ phải trả không có chi phí sử dụng vốn đã ghi nhận trên báo cáo tài chính liên quan đến hình thành giá trị tài sản phi hoạt động tại thời điểm thẩm định giá (nếu có nhưng chưa thể hiện trong dòng tiền tự do hàng năm của doanh nghiệp).
Mục 2.
PHƯƠNG PHÁP CHIẾT KHẤU DÒNG TIỀN TỰ DO
VỐN CHỦ SỞ HỮU
Điều 23. Phương pháp chiết khấu dòng tiền tự do vốn chủ sở hữu
1. Phương pháp chiết khấu dòng tiền tự do vốn chủ sở hữu xác định giá trị vốn chủ sở hữu của doanh nghiệp cần thẩm định giá thông qua ước tính tổng của giá trị chiết khấu dòng tiền tự do vốn chủ sở hữu của doanh nghiệp cần thẩm định giá.
2. Nguyên tắc thực hiện
Trường hợp doanh nghiệp cần thẩm định giá là công ty cổ phần, phương pháp chiết khấu dòng tiền tự do vốn chủ sở hữu được sử dụng với giả định coi các cổ phần ưu đãi của doanh nghiệp cần thẩm định giá như cổ phần thường. Giả định này cần được nêu rõ trong phần hạn chế của chứng thư thẩm định giá và báo cáo thẩm định giá.
3. Việc thực hiện phương pháp chiết khấu dòng tiền tự do vốn chủ sở hữu bao gồm:
a) Dự báo dòng tiền tự do vốn chủ sở hữu của doanh nghiệp cần thẩm định giá (FCFE);
b) Ước tính chi phí sử dụng vốn chủ sở hữu của doanh nghiệp cần thẩm định giá (Re);
c) Ước tính giá trị vốn chủ sở hữu cuối kỳ dự báo (Vn);
d) Ước tính giá trị vốn chủ sở hữu của doanh nghiệp cần thẩm định giá (V0).
Điều 24. Dự báo dòng tiền tự do vốn chủ sở hữu của doanh nghiệp cần thẩm định giá
1. Việc ước tính giai đoạn dự báo dòng tiền căn cứ vào đặc điểm của doanh nghiệp, của lĩnh vực kinh doanh và bối cảnh kinh tế để lựa chọn các mô hình tăng trưởng phù hợp. Giai đoạn dự báo dòng tiền tối thiểu là 03 năm. Đối với các doanh nghiệp mới thành lập hoặc đang tăng trưởng nhanh thì giai đoạn dự báo dòng tiền có thể kéo dài đến khi doanh nghiệp bước vào giai đoạn tăng trưởng đều. Đối với doanh nghiệp hoạt động có thời hạn thì việc xác định giai đoạn dự báo dòng tiền cần đánh giá, xem xét đến tuổi đời của doanh nghiệp.
2. Công thức tính dòng tiền tự do vốn chủ sở hữu của doanh nghiệp
FCFE = Lợi nhuận sau thuế + Khấu hao - Chi đầu tư vốn - Thay đổi vốn luân chuyển thuần ngoài tiền mặt và tài sản phi hoạt động ngắn hạn (chênh lệch vốn hoạt động thuần) - Các khoản trả nợ gốc + Các khoản nợ mới phát hành
a) Lợi nhuận sau thuế là lợi nhuận sau thuế đã loại trừ các khoản lợi nhuận từ tài sản phi hoạt động;
b) Chi đầu tư vốn bao gồm: chi đầu tư tài sản cố định và tài sản dài hạn tương tự khác nhưng không đủ điều kiện ghi nhận là tài sản cố định theo quy định của chế độ kế toán doanh nghiệp; chi đầu tư tài sản hoạt động dài hạn khác nằm trong nhóm chi mua công cụ nợ của đơn vị khác và chi đầu tư góp vốn vào đơn vị khác (nếu có);
c) Công thức tính vốn luân chuyển ngoài tiền mặt và tài sản phi hoạt động ngắn hạn:
Vốn luân chuyển ngoài tiền mặt và tài sản phi hoạt động ngắn hạn = (Các khoản phải thu ngắn hạn + Hàng tồn kho + Tài sản ngắn hạn khác) - Nợ ngắn hạn không bao gồm vay ngắn hạn.
Điều 25. Ước tính chi phí sử dụng vốn chủ sở hữu của doanh nghiệp cần thẩm định giá
Việc ước tính chi phí sử dụng vốn chủ sở hữu của doanh nghiệp cần thẩm định giá theo hướng dẫn tại khoản 6, khoản 7, khoản 8, khoản 9 Điều 20 Chuẩn mực này.
Điều 26. Ước tính giá trị vốn chủ sở hữu cuối kỳ dự báo

FCFEn+1: Dòng tiền vốn chủ sở hữu năm n + 1.

g: tốc độ tăng trưởng của dòng tiền vốn chủ sở hữu.
Tốc độ tăng trưởng của dòng tiền vốn chủ sở hữu được dự báo trên cơ sở tốc độ tăng trưởng của lợi nhuận hoạt động sau thuế, triển vọng phát triển của doanh nghiệp, tốc độ tăng trưởng dòng tiền trong quá khứ của doanh nghiệp, kế hoạch sản xuất kinh doanh, tỷ lệ tái đầu tư.
3. Trường hợp 3: Doanh nghiệp chấm dứt hoạt động tại cuối kỳ dự báo. Giá trị cuối kỳ dự báo được xác định theo giá trị thanh lý của doanh nghiệp cần thẩm định giá.
Điều 27. Ước tính giá trị vốn chủ sở hữu của doanh nghiệp cần thẩm định giá

2. Ước tính giá trị các tài sản phi hoạt động của doanh nghiệp theo hướng dẫn xác định giá trị tài sản hữu hình, tài sản vô hình, tài sản tài chính tại Chuẩn mực này và các chuẩn mực thẩm định giá Việt Nam có liên quan.
3. Ước tính giá trị vốn chủ sở hữu của doanh nghiệp cần thẩm định giá bằng cách cộng giá trị hiện tại thuần của dòng tiền tự do vốn chủ sở hữu và giá trị hiện tại vốn chủ sở hữu cuối kỳ dự báo với giá trị các tài sản phi hoạt động, sau đó trừ đi giá trị các khoản nợ phải trả không có chi phí sử dụng vốn đã ghi nhận trên báo cáo tài chính liên quan đến hình thành giá trị tài sản phi hoạt động tại thời điểm thẩm định giá (nếu có nhưng chưa thể hiện tại dòng tiền tự do vốn chủ sở hữu của doanh nghiệp).
Mục 3.
PHƯƠNG PHÁP CHIẾT KHẤU DÒNG CỔ TỨC
Điều 28. Phương pháp chiết khấu dòng cổ tức
1. Phương pháp chiết khấu dòng cổ tức xác định giá trị vốn chủ sở hữu của doanh nghiệp cần thẩm định giá thông qua ước tính tổng của giá trị chiết khấu dòng cổ tức của doanh nghiệp cần thẩm định giá. Phương pháp chiết khấu dòng cổ tức thường được áp dụng trong trường hợp dự báo được dòng cổ tức của doanh nghiệp cần thẩm định giá.
2. Nguyên tắc thực hiện
Trường hợp doanh nghiệp cần thẩm định giá là công ty cổ phần, phương pháp chiết khấu dòng tiền cổ tức của doanh nghiệp được sử dụng với giả định coi các cổ phần ưu đãi của doanh nghiệp cần thẩm định giá như cổ phần thường. Giả định này cần được nêu rõ trong phần hạn chế của chứng thư thẩm định giá và báo cáo thẩm định giá.
3. Việc thực hiện phương pháp chiết khấu dòng cổ tức bao gồm
a) Dự báo dòng cổ tức của doanh nghiệp cần thẩm định giá (D);
b) Ước tính chi phí sử dụng vốn chủ sở hữu của doanh nghiệp cần thẩm định giá (Re);
c) Ước tính giá trị vốn chủ sở hữu cuối kỳ dự báo (Vn);
d) Ước tính giá trị vốn chủ sở hữu của doanh nghiệp cần thẩm định giá (V0).
Điều 29. Dự báo dòng cổ tức của doanh nghiệp cần thẩm định giá
1. Dự báo dòng cổ tức của doanh nghiệp cần thẩm định giá gồm dự báo tỷ lệ chia cổ tức và tỷ lệ tăng trưởng cổ tức của doanh nghiệp cần thẩm định giá.
2. Căn cứ để ước tính giai đoạn dự báo dòng cổ tức: đặc điểm của doanh nghiệp, của lĩnh vực kinh doanh và bối cảnh kinh tế để lựa chọn các mô hình tăng trưởng phù hợp.
3. Giai đoạn dự báo dòng cổ tức tối thiểu là 03 năm.
4. Đối với các doanh nghiệp mới thành lập hoặc đang tăng trưởng nhanh thì giai đoạn dự báo dòng cổ tức có thể kéo dài đến khi doanh nghiệp bước vào giai đoạn tăng trưởng đều. Đối với doanh nghiệp hoạt động có thời hạn thì giai đoạn dự báo dòng cổ tức được xác định theo tuổi đời của doanh nghiệp.
Điều 30. Ước tính chi phí sử dụng vốn chủ sở hữu của doanh nghiệp cần thẩm định giá
Việc ước tính chi phí sử dụng vốn chủ sở hữu thực hiện theo hướng dẫn tại tiết khoản 6, khoản 7, khoản 8, khoản 9 Điều 20 Chuẩn mực này.
Điều 31. Ước tính giá trị vốn chủ sở hữu cuối kỳ dự báo


Dn+1: Dòng cổ tức của doanh nghiệp năm n + 1
g: tốc độ tăng trưởng của dòng cổ tức
Tốc độ tăng trưởng của dòng cổ tức được dự báo trên cơ sở tỷ lệ lợi nhuận sau thuế để lại để bổ sung vốn, tỷ suất lợi nhuận trên vốn chủ sở hữu.
3. Trường hợp 3: Doanh nghiệp chấm dứt hoạt động vào cuối kỳ dự báo, giá trị cuối kỳ dự báo được xác định theo giá trị thanh lý của doanh nghiệp cần thẩm định giá.
Điều 32. Ước tính giá trị vốn chủ sở hữu của doanh nghiệp cần thẩm định giá

2. Ước tính giá trị các tài sản phi hoạt động của doanh nghiệp theo hướng dẫn xác định giá trị tài sản hữu hình, tài sản vô hình, tài sản tài chính tại Chuẩn mực này và các chuẩn mực thẩm định giá Việt Nam có liên quan.
3. Ước tính giá trị vốn chủ sở hữu của doanh nghiệp cần thẩm định giá bằng cách cộng giá trị hiện tại thuần của các dòng cổ tức của doanh nghiệp và giá trị hiện tại vốn chủ sở hữu cuối kỳ dự báo với giá trị các tài sản phi hoạt động, sau đó trừ đi giá trị các khoản nợ phải trả không có chi phí sử dụng vốn đã ghi nhận trên báo cáo tài chính liên quan đến hình thành giá trị tài sản phi hoạt động tại thời điểm thẩm định giá (nếu có).
Đối với nội dung chưa có quy định cụ thể tại Chuẩn mực này thì thực hiện theo quy định tại Chuẩn mực thẩm định giá Việt Nam về Cách tiếp cận từ thu nhập./.
BỘ TÀI CHÍNH
Bạn chưa Đăng nhập thành viên.
Đây là tiện ích dành cho tài khoản thành viên. Vui lòng Đăng nhập để xem chi tiết. Nếu chưa có tài khoản, vui lòng Đăng ký tại đây!
Bạn chưa Đăng nhập thành viên.
Đây là tiện ích dành cho tài khoản thành viên. Vui lòng Đăng nhập để xem chi tiết. Nếu chưa có tài khoản, vui lòng Đăng ký tại đây!