- Tổng quan
- Nội dung
- VB gốc
- Tiếng Anh
- Hiệu lực
- VB liên quan
- Lược đồ
-
Nội dung hợp nhất
Tính năng này chỉ có tại LuatVietnam.vn. Nội dung hợp nhất tổng hợp lại tất cả các quy định còn hiệu lực của văn bản gốc và các văn bản sửa đổi, bổ sung, đính chính... trên một trang. Việc hợp nhất văn bản gốc và những văn bản, Thông tư, Nghị định hướng dẫn khác không làm thay đổi thứ tự điều khoản, nội dung.
Khách hàng chỉ cần xem Nội dung hợp nhất là có thể nắm bắt toàn bộ quy định hiện hành đang áp dụng, cho dù văn bản gốc đã qua nhiều lần chỉnh sửa, bổ sung.
- Tải về
Thông tư 03/2006/TT-NHNN của Ngân hàng Nhà nước Việt Nam về việc hướng dẫn một số nội dung tại Nghị định số 89/1999/NĐ-CP ngày 01/9/1999 về bảo hiểm tiền gửi và Nghị định số 109/2005/NĐ-CP ngày 24/8/2005 của Chính phủ về việc sửa đổi, bổ sung một số điều của Nghị định số 89/1999/NĐ-CP
| Cơ quan ban hành: | Ngân hàng Nhà nước Việt Nam |
Số công báo:
Số công báo là mã số ấn phẩm được đăng chính thức trên ấn phẩm thông tin của Nhà nước. Mã số này do Chính phủ thống nhất quản lý.
|
Đã biết
|
| Số hiệu: | 03/2006/TT-NHNN | Ngày đăng công báo: |
Đã biết
|
| Loại văn bản: | Thông tư | Người ký: | Đặng Thanh Bình |
|
Ngày ban hành:
Ngày ban hành là ngày, tháng, năm văn bản được thông qua hoặc ký ban hành.
|
25/04/2006 |
Ngày hết hiệu lực:
Ngày hết hiệu lực là ngày, tháng, năm văn bản chính thức không còn hiệu lực (áp dụng).
|
Đã biết
|
|
Áp dụng:
Ngày áp dụng là ngày, tháng, năm văn bản chính thức có hiệu lực (áp dụng).
|
Đã biết
|
Tình trạng hiệu lực:
Cho biết trạng thái hiệu lực của văn bản đang tra cứu: Chưa áp dụng, Còn hiệu lực, Hết hiệu lực, Hết hiệu lực 1 phần; Đã sửa đổi, Đính chính hay Không còn phù hợp,...
|
Đã biết
|
| Lĩnh vực: | Tài chính-Ngân hàng |
TÓM TẮT THÔNG TƯ 03/2006/TT-NHNN
* Bảo hiểm tiền gửi - Ngày 25/4/2006, Ngân hàng Nhà nước đã ban hành Thông tư số 03/2006/TT-NHNN về việc hướng dẫn một số nội dung tại Nghị định số 89/1999/NĐ-CP về bảo hiểm tiền gửi và 109/2005/NĐ-CP về việc sửa đổi, bổ sung một số điều của Nghị định số 89/1999/NĐ-CP. Theo đó, tổ chức tham gia bảo hiểm tiền gửi bị thu hồi chứng nhận bảo hiểm tiền gửi có thể được phục hồi việc tham gia bảo hiểm tiền gửi và được cấp lại chứng nhận bảo hiểm tiền gửi trong trường hợp nộp đủ phí bảo hiểm theo quy định hoặc đã được Ngân hàng Nhà nước Việt Nam cho phép phục hồi việc nhận tiền gửi. Trường hợp này tổ chức tham gia bảo hiểm tiền gửi có văn bản đề nghị được phục hồi việc tham gia bảo hiểm tiền gửi cho Bảo hiểm tiền gửi Việt Nam và có trách nhiệm thông báo việc cấp lại chứng nhận bảo hiểm tiền gửi trên phương tiện thông tin đại chúng... Hàng năm, tổ chức tham gia bảo hiểm tiền gửi phải nộp cho Bảo hiểm tiền gửi Việt Nam một khoản phí bằng 0,15%/năm tính trên toàn bộ số dư tiền gửi bình quân của các loại tiền gửi được bảo hiểm tại tổ chức tham gia bảo hiểm tiền gửi... Tổ chức tham gia bảo hiểm tiền gửi vi phạm thời hạn nộp phí bảo hiểm theo quy định thì ngoài việc nộp đủ số phí còn thiếu, phải chịu phạt mỗi ngày nộp chậm bằng 0,1% số tiền chậm nộp... Bảo hiểm tiền gửi Việt Nam chỉ hỗ trợ tài chính cho tổ chức tham gia bảo hiểm tiền gửi sau khi Ngân hàng Nhà nước có văn bản xác định rằng việc giải thể, phá sản của tổ chức tham gia bảo hiểm tiền gửi có thể gây ảnh hưởng nghiêm trọng đến sự an toàn của hệ thống tài chính, ngân hàng và sự ổn định chính trị, kinh tế và xã hội... Thông tư này có hiệu lực sau 15 ngày, kể từ ngày đăng Công báo.
Xem chi tiết Thông tư 03/2006/TT-NHNN có hiệu lực kể từ ngày 18/05/2006
Tải Thông tư 03/2006/TT-NHNN
THÔNG TƯ
CỦA NGÂN HÀNG NHÀ NƯỚC VIỆT NAM SỐ 03/2006/TT-NHNN NGÀY 25 THÁNG 4 NĂM 2006 VỀ VIỆC HƯỚNG DẪN MỘT SỐ
NỘI DUNG TẠI NGHỊ ĐỊNH SỐ 89/1999/NĐ-CP NGÀY 01/9/1999 CỦA CHÍNH PHỦ VỀ BẢO HIỂM TIỀN GỬI VÀ NGHỊ ĐỊNH SỐ 109/2005/NĐ-CP NGÀY 24/8/2005 CỦA CHÍNH PHỦ VỀ VIỆC SỬA ĐỔI, BỔ SUNG MỘT SỐ ĐIỀU CỦA NGHỊ ĐỊNH SỐ 89/1999/NĐ-CP
Căn cứ Nghị định số 89/1999/NĐ-CP ngày 01/9/1999 của Chính phủ về bảo hiểm tiền gửi (Nghị định số 89/1999/NĐ-CP của Chính phủ) và Nghị định số 109/2005/NĐ-CP ngày 24/8/2005 của Chính phủ về việc sửa đổi, bổ sung một số điều của Nghị định số 89/1999/NĐ-CP ngày 01/9/1999 (Nghị định số 109/2005/NĐ-CP của Chính phủ), Ngân hàng Nhà nước Việt Nam hướng dẫn thực hiện một số nội dung của các Nghị định này như sau:
MỤC I. QUY ĐỊNH CHUNG
1. Đối tượng áp dụng:
a) Tổ chức tín dụng, tổ chức không phải là tổ chức tín dụng được phép thực hiện một số hoạt động ngân hàng theo quy định của Luật Các tổ chức tín dụng hoạt động trên lãnh thổ nước Cộng hoà xã hội chủ nghĩa Việt Nam có nhận tiền gửi của tổ chức, cá nhân phải tham gia bảo hiểm tiền gửi bắt buộc (sau đây gọi là tổ chức tham gia bảo hiểm tiền gửi). Thông tư này không áp dụng đối với các đối tượng nhận tiền gửi được Chính phủ cho phép không phải tham gia bảo hiểm tiền gửi;
b) Khách hàng được bảo hiểm tiền gửi là các đối tượng được quy định tại khoản 2 Điều 1 Nghị định số 109/2005/NĐ-CP của Chính phủ có tiền gửi tại tổ chức tham gia bảo hiểm tiền gửi (sau đây gọi là người gửi tiền);
c) Bảo hiểm tiền gửi Việt Nam.
2. Tiền gửi được bảo hiểm là tiền gửi bằng đồng Việt Nam của người gửi tiền là cá nhân, hộ gia đình, tổ hợp tác, các doanh nghiệp tư nhân và công ty hợp danh gửi tại tổ chức tham gia bảo hiểm tiền gửi, trừ những trường hợp sau đây:
a) Tiền gửi của người gửi tiền là cổ đông sở hữu trên 10% vốn điều lệ hoặc nắm giữ trên 10% vốn cổ phần có quyền bỏ phiếu của tổ chức tham gia bảo hiểm tiền gửi đó;
b) Tiền gửi của người gửi tiền là thành viên Hội đồng quản trị, Ban kiểm soát, Tổng giám đốc (Giám đốc), Phó Tổng giám đốc (Phó Giám đốc) của tổ chức tham gia bảo hiểm tiền gửi đó;
c) Tiền gửi dùng để bảo đảm thực hiện nghĩa vụ của người gửi tiền;
d) Tiền mua giấy tờ có giá vô danh do tổ chức tham gia bảo hiểm tiền gửi phát hành.
MỤC II. CẤP VÀ THU HỒI CHỨNG NHẬN BẢO HIỂM TIỀN GỬI
3. Bảo hiểm tiền gửi Việt Nam cấp và thu hồi chứng nhận bảo hiểm tiền gửi cho tổ chức tham gia bảo hiểm tiền gửi.
4. Các tổ chức tham gia bảo hiểm tiền gửi phải hoàn tất thủ tục tham gia bảo hiểm tiền gửi trước khi bắt đầu tiến hành hoạt động nhận tiền gửi. Đối với các tổ chức đang hoạt động nhận tiền gửi nhưng chưa tham gia bảo hiểm tiền gửi thì phải hoàn tất thủ tục tham gia bảo hiểm tiền gửi trong thời hạn 30 ngày kể từ ngày Thông tư này có hiệu lực.
5. Hồ sơ đăng ký tham gia bảo hiểm tiền gửi gồm:
a) Phiếu đăng ký tham gia bảo hiểm tiền gửi theo mẫu quy định của Bảo hiểm tiền gửi Việt Nam;
b) Quyết định thành lập và giấy phép hoạt động ngân hàng hoặc giấy phép thành lập và hoạt động ngân hàng do cơ quan quản lý nhà nước có thẩm quyền cấp;
c) Giấy chứng nhận đăng ký kinh doanh;
d) Điều lệ tổ chức và hoạt động;
đ) Danh sách Hội đồng quản trị, Tổng Giám đốc (Giám đốc) và Ban kiểm soát được cơ quan quản lý nhà nước có thẩm quyền bổ nhiệm hoặc phê chuẩn;
e) Báo cáo tài chính của năm gần nhất có xác nhận của cơ quan quản lý Nhà nước có thẩm quyền hoặc đã được kiểm toán (nếu đã hoạt động từ một năm trở lên). Riêng đối với báo cáo tài chính của Quỹ tín dụng nhân dân cơ sở sẽ do Quỹ tín dụng nhân dân cơ sở tự chịu trách nhiệm về tính trung thực, chính xác của báo cáo.
g) Điều lệ hoặc Quy chế tổ chức và hoạt động của đơn vị chủ quản mà tổ chức tham gia bảo hiểm tiền gửi là thành viên.
6. Trong thời hạn 15 ngày kể từ ngày nhận đủ hồ sơ đăng ký tham gia bảo hiểm tiền gửi, Bảo hiểm tiền gửi Việt Nam có trách nhiệm cấp chứng nhận bảo hiểm tiền gửi cho tổ chức tham gia bảo hiểm tiền gửi. Đồng thời Bảo hiểm tiền gửi Việt Nam báo cáo bằng văn bản cho Ngân hàng Nhà nước Việt Nam. Tổ chức tham gia bảo hiểm tiền gửi phải đăng trên các báo hàng ngày bằng tiếng Việt 3 (ba) số báo liên tiếp (ít nhất trên một tờ báo Trung ương hoặc một tờ báo địa phương nơi đặt trụ sở chính, chi nhánh và phòng giao dịch của tổ chức được cấp chứng nhận bảo hiểm tiền gửi);
7. Chứng nhận bảo hiểm tiền gửi phải được niêm yết công khai. Nghiêm cấm tổ chức tham gia bảo hiểm tiền gửi làm giả, tẩy xoá, chuyển nhượng, cho thuê, cho mượn chứng nhận bảo hiểm tiền gửi.
8. Trong thời hạn 05 ngày làm việc kể từ khi có một trong các thay đổi dưới đây, tổ chức tham gia bảo hiểm tiền gửi phải gửi văn bản chấp thuận thay đổi (bản sao có công chứng) cho Bảo hiểm tiền gửi Việt Nam:
a) Nội dung và phạm vi hoạt động;
b) Giấy chứng nhận đăng ký kinh doanh;
c) Điều lệ tổ chức và hoạt động;
d) Điều lệ hoặc Quy chế tổ chức và hoạt động của đơn vị chủ quản mà tổ chức tham gia bảo hiểm tiền gửi là thành viên.
9. Tổ chức tham gia bảo hiểm tiền gửi bị thu hồi chứng nhận bảo hiểm tiền gửi trong các trường hợp sau:
a) Không nộp đủ phí bảo hiểm quá thời hạn 03 tháng kể từ ngày phải nộp. Trường hợp này Bảo hiểm tiền gửi Việt Nam phải có văn bản gửi Ngân hàng Nhà nước để báo cáo và đề nghị có ngay quyết định ngừng huy động tiền gửi của tổ chức tham gia bảo hiểm tiền gửi đó;
b) Ngân hàng Nhà nước có văn bản chấm dứt hoạt động nhận tiền gửi;
c) Cơ quan Nhà nước có thẩm quyền có văn bản yêu cầu tổ chức tham gia bảo hiểm tiền gửi chấm dứt các giao dịch để tiến hành thanh lý tài sản hoặc Toà án thông báo quyết định mở thủ tục thanh lý tài sản.
10. Trong thời hạn 03 ngày làm việc kể từ ngày ra quyết định thu hồi chứng nhận bảo hiểm tiền gửi, Bảo hiểm tiền gửi Việt Nam phải thu hồi chứng nhận bảo hiểm tiền gửi và thông báo trên các báo hàng ngày bằng tiếng Việt 03 (ba) số báo liên tiếp (ít nhất trên một tờ báo Trung ương hoặc một tờ báo địa phương nơi địa phương đặt trụ sở chính, chi nhánh và phòng giao dịch của tổ chức bị thu hồi chứng nhận bảo hiểm tiền gửi)
11. Tổ chức tham gia bảo hiểm tiền gửi bị thu hồi chứng nhận bảo hiểm tiền gửi có thể được phục hồi việc tham gia bảo hiểm tiền gửi và được cấp lại chứng nhận bảo hiểm tiền gửi trong trường hợp nộp đủ phí bảo hiểm theo quy định hoặc đã được Ngân hàng Nhà nước Việt Nam cho phép phục hồi việc nhận tiền gửi. Trường hợp này tổ chức tham gia bảo hiểm tiền gửi có văn bản đề nghị được phục hồi việc tham gia bảo hiểm tiền gửi cho Bảo hiểm tiền gửi Việt Nam và có trách nhiệm thông báo việc cấp lại chứng nhận bảo hiểm tiền gửi trên phương tiện thông tin đại chúng theo quy định tại Khoản 6 Thông tư này.
12. Bảo hiểm tiền gửi Việt Nam chịu trách nhiệm bảo hiểm đối với số tiền gửi đã được bảo hiểm trong 06 tháng kể từ ngày có quyết định thu hồi chứng nhận bảo hiểm tiền gửi của tổ chức tham gia bảo hiểm tiền gửi.
MỤC III. PHÍ BẢO HIỂM TIỀN GỬI
13. Hàng năm, tổ chức tham gia bảo hiểm tiền gửi phải nộp cho Bảo hiểm tiền gửi Việt Nam một khoản phí bằng 0,15%/năm tính trên toàn bộ số dư tiền gửi bình quân của các loại tiền gửi được bảo hiểm tại tổ chức tham gia bảo hiểm tiền gửi.
14. Bảo hiểm tiền gửi Việt Nam hướng dẫn các tổ chức tham gia bảo hiểm tiền gửi việc lập bảng tính và nộp phí bảo hiểm tiền gửi theo các quy định về nộp phí bảo hiểm, như sau:
a) Phí bảo hiểm tiền gửi được tính và nộp làm bốn kỳ trong một năm theo định kỳ hàng quý và được nộp vào tài khoản của Bảo hiểm tiền gửi Việt Nam chậm nhất vào ngày 20 tháng đầu tiên của quý thu phí bảo hiểm tiền gửi.
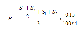
b) Cơ sở tính phí bảo hiểm tiền gửi là toàn bộ số dư tiền gửi bình quân của các loại tiền gửi được bảo hiểm của quý trước quý nộp phí bảo hiểm tiền gửi.

- P là số phí bảo hiểm tiền gửi phải nộp trong quý
- S0 là số dư tiền gửi thuộc đối tượng bảo hiểm đầu tháng thứ nhất của quý trước quý thu phí bảo hiểm tiền gửi.
- S1, S2, S3 là số dư tiền gửi thuộc đối tượng bảo hiểm ở cuối các tháng thứ nhất, thứ hai, thứ ba của quý trước sát với quý thu phí bảo hiểm tiền gửi;
-
là tỉ lệ phí bảo hiểm tiền gửi phải nộp cho một quý trong năm;
d) Bảo hiểm tiền gửi Việt Nam có trách nhiệm kiểm tra tình hình nộp phí bảo hiểm tiền gửi tại tổ chức tham gia bảo hiểm tiền gửi, nếu phát hiện thấy có sự thiếu chính xác trong việc tính và nộp phí, Bảo hiểm tiền gửi Việt Nam có trách nhiệm truy thu số phí còn thiếu hoặc thoái thu đối với số phí nộp thừa trong thời hạn 15 ngày làm việc kể từ ngày Bảo hiểm tiền gửi Việt Nam phát hiện. Tổ chức tham gia bảo hiểm tiền gửi vi phạm thời hạn nộp phí bảo hiểm theo quy định thì ngoài việc nộp đủ số phí còn thiếu, phải chịu phạt mỗi ngày nộp chậm bằng 0,1% (một phần nghìn) số tiền chậm nộp.
15. Sau thời hạn nộp phí bảo hiểm tiền gửi 30 ngày, tổ chức tham gia bảo hiểm tiền gửi chưa nộp đủ phí bảo hiểm tiền gửi kể cả tiền phạt, Bảo hiểm tiền gửi Việt Nam có quyền:
a) Đề nghị Ngân hàng Nhà nước (đối với tổ chức tín dụng), Kho bạc Nhà nước hoặc tổ chức tín dụng (đối với tổ chức khác được phép thực hiện một số hoạt động ngân hàng) nơi tổ chức tham gia bảo hiểm tiền gửi mở tài khoản, trích tài khoản để chuyển nộp phí bảo hiểm và tiền phạt.
b) Trong trường hợp trên tài khoản của tổ chức tham gia bảo hiểm tiền gửi không đủ số dư để thực hiện việc trích nộp nêu trên, Bảo hiểm tiền gửi Việt Nam có văn bản báo cáo Ngân hàng Nhà nước Việt Nam và nếu sau 03 tháng tổ chức tham gia bảo hiểm tiền gửi không nộp đủ phí bảo hiểm, Bảo hiểm tiền gửi Việt Nam xử lý theo quy định tại Khoản 9 Thông tư này.
16. Bảo hiểm tiền gửi Việt Nam hướng dẫn quy trình và thủ tục liên quan đến việc tính và nộp phí bảo hiểm tiền gửi (kể cả nộp tiền phạt) của các tổ chức tham gia bảo hiểm tiền gửi.
MỤC IV. KIỂM TRA, GIÁM SÁT CÁC TỔ CHỨC THAM GIA BẢO HIỂM TIỀN GỬI VÀ BIỆN PHÁP XỬ LÝ
17. Tổ chức tham gia bảo hiểm tiền gửi có trách nhiệm gửi đến Bảo hiểm tiền gửi Việt Nam các loại báo cáo theo quy định của Bảo hiểm tiền gửi Việt Nam.
18. Tổ chức tham gia bảo hiểm tiền gửi phải báo cáo ngay bằng văn bản với Bảo hiểm tiền gửi Việt Nam trong các trường hợp sau đây:
a) Khi gặp khó khăn về khả năng chi trả: báo cáo lý do phát sinh sự cố, dự kiến hậu quả có thể xảy ra và các biện pháp khắc phục; cơ cấu và số lượng tiền gửi được bảo hiểm; dự kiến số tiền chi trả tạm thời bị thiếu hụt; kiến nghị đối với Bảo hiểm tiền gửi Việt Nam và với các cơ quan quản lý Nhà nước có thẩm quyền để có biện pháp hỗ trợ (nếu thấy cần thiết).
b) Khi thay đổi các thành viên Hội đồng quản trị, Ban kiểm soát, Tổng giám đốc (Giám đốc).
19. Trong thời hạn 90 ngày kể từ ngày kết thúc năm tài chính, tổ chức tham gia bảo hiểm tiền gửi có trách nhiệm gửi cho Bảo hiểm tiền gửi Việt Nam các báo cáo tài chính năm.
20. Bảo hiểm tiền gửi Việt Nam được quyền tiến hành kiểm tra việc chấp hành các quy định tại Nghị định 89/1999/NĐ-CP, Nghị định 109/2005/NĐ-CP của Chính phủ đối với các tổ chức tham gia bảo hiểm tiền gửi.
21. Trong quá trình giám sát và kiểm tra đối với tổ chức tham gia bảo hiểm tiền gửi, nếu phát hiện tổ chức tham gia bảo hiểm tiền gửi vi phạm các quy định về an toàn trong hoạt động ngân hàng, Bảo hiểm tiền gửi Việt Nam có quyền yêu cầu tổ chức tham gia bảo hiểm tiền gửi phải có biện pháp khắc phục ngay tình trạng vi phạm đó, đồng thời báo cáo ngay bằng văn bản với Ngân hàng Nhà nước để có biện pháp theo dõi, xử lý.
22. Trong trường hợp xét thấy hoạt động của tổ chức tham gia bảo hiểm tiền gửi có nguy cơ dẫn đến mất khả năng chi trả, thất thoát lớn về tài sản hoặc có tác động nghiêm trọng tới các tổ chức tín dụng khác thì Bảo hiểm tiền gửi Việt nam báo cáo ngay bằng văn bản cho Ngân hàng Nhà nước và đồng thời yêu cầu tổ chức tham gia bảo hiểm tiền gửi có biện pháp chấn chỉnh kịp thời.
23. Trong thời hạn tối đa 90 ngày kể từ ngày tổ chức tham gia bảo hiểm tiền gửi bị thu hồi chứng nhận bảo hiểm tiền gửi quy định tại Điểm a hoặc Điểm b Khoản 9 Thông tư này, Thanh tra Ngân hàng có trách nhiệm tổ chức thanh tra để có kết luận về sai phạm và làm cơ sở để Bảo hiểm tiền gửi Việt Nam tham gia hỗ trợ hoặc giải quyết chi trả bảo hiểm tiền gửi theo quy định tại Mục V, Mục VI Thông tư này.
MỤC V. HỖ TRỢ CỦA BẢO HIỂM TIỀN GỬI VIỆT NAM ĐỐI VỚI TỔ CHỨC THAM GIA BẢO HIỂM TIỀN GỬI
24. Bảo hiểm tiền gửi Việt Nam chỉ hỗ trợ tài chính cho tổ chức tham gia bảo hiểm tiền gửi sau khi Ngân hàng Nhà nước có văn bản xác định rằng việc giải thể, phá sản của tổ chức tham gia bảo hiểm tiền gửi có thể gây ảnh hưởng nghiêm trọng đến sự an toàn của hệ thống tài chính, ngân hàng và sự ổn định chính trị, kinh tế và xã hội. Bảo hiểm tiền gửi Việt Nam hỗ trợ tài chính cho tổ chức tham gia bảo hiểm tiền gửi có thể dưới các hình thức: cho vay, bảo lãnh, mua lại các khoản nợ của các khách hàng tại tổ chức tham gia bảo hiểm tiền gửi và các hình thức khác phù hợp với quy định của pháp luật.
25. Hội đồng quản trị Bảo hiểm tiền gửi Việt Nam xem xét, quyết định hình thức hỗ trợ tài chính.
26. Khoản hỗ trợ tài chính của Bảo hiểm tiền gửi Việt Nam được ưu tiên hoàn trả trước tất cả các khoản nợ khác của tổ chức tham gia bảo hiểm tiền gửi.
MỤC VI. CHI TRẢ CHO NGƯỜI GỬI TIỀN ĐƯỢC BẢO HIỂM
27. Đối với các tổ chức tham gia bảo hiểm tiền gửi bị cơ quan nhà nước có thẩm quyền xác định là không có khả năng thanh toán được các khoản nợ đến hạn, trong vòng 60 ngày kể từ ngày cơ quan nhà nước có thẩm quyền có văn bản yêu cầu tổ chức tham gia bảo hiểm tiền gửi chấm dứt các giao dịch để tiến hành thanh lý hoặc kể từ ngày Toà án quyết định mở thủ tục thanh lý tài sản của tổ chức tham gia bảo hiểm tiền gửi theo quy định của pháp luật về phá sản, Bảo hiểm tiền gửi Việt Nam có trách nhiệm tiến hành chi trả tiền bảo hiểm cho người gửi tiền tại tổ chức tham gia bảo hiểm tiền gửi.
28. Việc chi trả tiền bảo hiểm cho người gửi tiền được thực hiện như sau:
28.1. Bảo hiểm tiền gửi Việt Nam có trách nhiệm thu hồi ngay chứng nhận bảo hiểm tiền gửi;
28.2. Trong thời hạn 10 ngày làm việc kể từ ngày có văn bản của cơ quan quản lý nhà nước có thẩm quyền hoặc của Toà án, tổ chức tham gia bảo hiểm tiền gửi phải nộp Hồ sơ đề nghị chi trả tiền bảo hiểm cho Bảo hiểm tiền gửi Việt Nam. Hồ sơ gồm danh sách và số tiền gửi của từng người gửi tiền tại tổ chức tham gia bảo hiểm tiền gửi; danh sách và số tiền của người gửi tiền đề nghị Bảo hiểm tiền gửi Việt Nam chi trả bảo hiểm;
28.3. Trong thời hạn 05 ngày làm việc kể từ ngày tổ chức tham gia bảo hiểm tiền gửi nộp đủ Hồ sơ đề nghị chi trả tiền bảo hiểm tiền gửi, Bảo hiểm tiền gửi Việt Nam tiến hành kiểm tra các chứng từ, sổ sách để xác định chính xác số tiền chi trả;
28.4. Trong thời hạn 10 ngày làm việc kể từ ngày kết thúc kiểm tra theo điểm 28.3 khoản này, Bảo hiểm tiền gửi Việt Nam phải có phương án chi trả tiền bảo hiểm cho người gửi tiền và thông báo công khai việc chi trả tiền bảo hiểm cho người gửi tiền trên các báo hàng ngày (ít nhất trên một tờ báo Trung ương hoặc một tờ báo địa phương nơi đặt Trụ sở chính, các chi nhánh và phòng giao dịch của tổ chức tham gia bảo hiểm tiền gửi) bằng Tiếng Việt 03 (ba) số liên tiếp, đồng thời niêm yết danh sách người gửi tiền thuộc đối tượng bảo hiểm được chi trả tiền bảo hiểm tại Trụ sở chính, các chi nhánh và phòng giao dịch của tổ chức tham gia bảo hiểm tiền gửi và các điểm chi trả tiền bảo hiểm. Nội dung thông báo nêu rõ: địa điểm, thời gian, phương thức tiến hành chi trả tiền bảo hiểm.
28.5. Việc chi trả tiền bảo hiểm cho người gửi tiền do Bảo hiểm tiền gửi Việt Nam trực tiếp tiến hành hoặc ủy quyền cho tổ chức tín dụng thực hiện trên cơ sở hợp đồng ủy quyền theo quy định của pháp luật.
28.6. Hợp đồng ủy quyền chi trả bảo hiểm giữa Bảo hiểm tiền gửi Việt Nam và tổ chức tín dụng phải được ký kết phù hợp với quy định của pháp luật. Trong đó, hợp đồng ủy quyền phải nêu rõ trách nhiệm của tổ chức tín dụng trong việc sử dụng số tiền mà Bảo hiểm tiền gửi Việt Nam chuyển sang để chi trả đúng hạn và đúng số lượng. Tổ chức tín dụng được Bảo hiểm tiền gửi Việt Nam ủy quyền chi trả tiền bảo hiểm phải đáp ứng các điều kiện sau:
a) Là tổ chức tham gia bảo hiểm tiền gửi;
b) Đáp ứng được các chỉ tiêu an toàn trong hoạt động ngân hàng ít nhất trong thời gian 06 tháng gần nhất;
c) Có trụ sở chính hoặc chi nhánh, phòng giao dịch đặt ở địa điểm thích hợp cho việc chi trả tiền bảo hiểm.
29. Mức tiền tối đa mà một người gửi tiền tại một tổ chức tham gia bảo hiểm tiền gửi được Bảo hiểm tiền gửi Việt Nam chi trả là 50 triệu đồng (gồm cả gốc và lãi) và được xác định như sau:
a) Toàn bộ số dư các khoản tiền gửi (gồm cả gốc và lãi) của một cá nhân hoặc một tổ chức đủ tiêu chuẩn được bảo hiểm tiền gửi theo quy định của pháp luật tại một tổ chức tham gia bảo hiểm tiền gửi được cộng gộp lại để xác định số tiền chi trả bảo hiểm tiền gửi;
b) Khoản tiền gửi được bảo hiểm của các đồng chủ tài khoản (bao gồm: nhiều cá nhân, một hoặc nhiều cá nhân và tổ chức, nhiều tổ chức) được coi là khoản tiền gửi của một người gửi tiền và mức chi trả bảo hiểm tiền gửi tối đa (cả gốc và lãi) là 50 triệu đồng, sẽ được chia theo tỷ lệ bằng nhau cho các đồng chủ tài khoản (trừ trường hợp các đồng chủ tài khoản có các cam kết và thoả thuận khác phù hợp với quy định của pháp luật về sử dụng tài khoản). Nếu một trong các đồng chủ tài khoản nêu trên có các khoản tiền gửi khác được bảo hiểm tại cùng một tổ chức tham gia bảo hiểm tiền gửi thì các khoản tiền đó sẽ được cộng với phần được chi trả bảo hiểm theo tài khoản đồng sở hữu để xác định mức chi trả bảo hiểm cho tổ chức, cá nhân đó;
c) Người gửi tiền có tổng số tiền gửi được bảo hiểm (gồm cả gốc và lãi) tại một tổ chức tham gia bảo hiểm tiền gửi bằng hoặc nhỏ hơn 50 triệu đồng sẽ được Bảo hiểm tiền gửi Việt Nam chi trả toàn bộ số tiền gửi. Người gửi tiền có tổng số tiền gửi được bảo hiểm (gồm cả gốc và lãi) lớn hơn 50 triệu đồng thì phần vượt trên 50 triệu đồng sẽ được trả trong quá trình thanh lý tài sản của tổ chức tham gia bảo hiểm tiền gửi phù hợp với quy định của pháp luật về giải thể, phá sản;
d) Trường hợp người gửi tiền có nghĩa vụ trả nợ đối với tổ chức tham gia bảo hiểm tiền gửi, số tiền gửi được bảo hiểm của người gửi tiền đó sẽ là số tiền chênh lệch giữa số tiền gửi và số tiền mà người gửi tiền còn nợ tổ chức tham gia bảo hiểm tiền gửi.
30. Người gửi tiền thuộc đối tượng bảo hiểm được nhận tiền bảo hiểm khi đủ các điều kiện sau:
a) Có tên trong Danh sách người gửi tiền thuộc đối tượng bảo hiểm được Hội đồng quản trị Bảo hiểm tiền gửi Việt Nam phê duyệt;
b) Có giấy đề nghị kèm các giấy tờ chứng minh quyền sở hữu hợp pháp đối với các khoản tiền gửi của mình tại tổ chức tham gia bảo hiểm tiền gửi cùng với giấy chứng minh nhân dân hoặc hộ chiếu;
c) Trường hợp chi trả tiền bảo hiểm cho người đại diện (người đại diện theo pháp luật hoặc người đại diện theo ủy quyền), người thừa kế của người gửi tiền, người thất lạc phải có các giấy tờ chứng minh quyền sở hữu hợp pháp của mình đối với các khoản tiền gửi được bảo hiểm; người nhận tiền bảo hiểm tiền gửi phải xuất trình đầy đủ các giấy tờ chứng minh quyền nhận tiền bảo hiểm, chứng minh quyền sở hữu hợp pháp đối với số tiền gửi được bảo hiểm, phải xuất trình hộ chiếu; chứng minh nhân dân …khi nhận tiền.
d) Bảo hiểm tiền gửi Việt Nam quy định cụ thể hồ sơ, thủ tục, trình tự chi trả bảo hiểm tiền gửi cho người gửi tiền.
31. Sau thời gian mười năm kể từ ngày tổ chức bảo hiểm tiền gửi có thông báo đầu tiên về việc chi trả tiền bảo hiểm, những khoản tiền bảo hiểm tiền gửi không có người nhận và không có lý do chính đáng sẽ được bổ sung vào nguồn vốn hoạt động của tổ chức bảo hiểm tiền gửi và người có quyền sở hữu khoản tiền gửi được bảo hiểm sẽ không có quyền đòi tổ chức bảo hiểm tiền gửi chi trả số tiền bảo hiểm đó.
32. Bảo hiểm tiền gửi Việt Nam trở thành chủ nợ của tổ chức tham gia bảo hiểm tiền gửi với số tiền bảo hiểm đã chi trả. Bảo hiểm tiền gửi Việt Nam được phân chia giá trị tài sản theo thứ tự thanh toán như đối với người gửi tiền trong trường hợp tổ chức tham gia bảo hiểm tiền gửi bị giải thể, phá sản theo quy định của pháp luật về giải thể, phá sản. Bảo hiểm tiền gửi Việt Nam được quyền tham gia vào quá trình quản lý, thanh lý tài sản của tổ chức tham gia bảo hiểm tiền gửi theo quy định của pháp luật.
MỤC VII. PHỐI HỢP TRAO ĐỔI THÔNG TIN VÀ THANH TRA, GIÁM SÁT GIỮA BẢO HIỂM TIỀN GỬI VIỆT NAM VÀ NGÂN HÀNG NHÀ NƯỚC
33. Phối hợp trong lĩnh vực trao đổi thông tin:
a) Bảo hiểm tiền gửi Việt Nam có trách nhiệm cung cấp cho Ngân hàng Nhà nước các thông tin liên quan đến tình hình hoạt động của các tổ chức tham gia bảo hiểm tiền gửi, gồm:
- Cung cấp định kỳ hàng quý các thông tin liên quan đến tình hình hoạt động của các tổ chức tham gia bảo hiểm tiền gửi.
- Thông tin về việc các tổ chức tham gia bảo hiểm tiền gửi chấp hành các quy định về bảo hiểm tiền gửi và an toàn trong hoạt động ngân hàng theo định kỳ hàng quý.
- Định kỳ 06 tháng, thông tin về việc hỗ trợ tài chính và việc chi trả tiền bảo hiểm đối với các tổ chức tham gia bảo hiểm tiền gửi.
- Kế hoạch kiểm tra việc các tổ chức tham gia bảo hiểm tiền gửi thực hiện các quy định của Chính phủ về bảo hiểm tiền gửi theo định kỳ năm.
- Kết quả phân loại, đánh giá việc các tổ chức tham gia bảo hiểm tiền gửi chấp hành bảo hiểm tiền gửi theo định kỳ năm.
- Thông tin đột xuất khi phát hiện tổ chức tham gia bảo hiểm tiền gửi có nguy cơ mất khả năng chi trả hoặc có thất thoát lớn về vốn, tài sản và có tác động xấu nghiêm trọng tới các tổ chức tín dụng khác.
- Các thông tin khác về tình hình hoạt động và tuân thủ pháp luật của các tổ chức tham gia bảo hiểm tiền gửi nếu thấy cần thiết.
b) Ngân hàng Nhà nước cung cấp cho Bảo hiểm tiền gửi Việt Nam các thông tin liên quan đến các tổ chức tham gia bảo hiểm tiền gửi, cụ thể:
- Thanh tra Ngân hàng Nhà nước có trách nhiệm cung cấp kết quả thanh tra, giám sát các tổ chức tham gia bảo hiểm tiền gửi, gồm:
+ Thông báo về tổ chức tham gia bảo hiểm tiền gửi có vi phạm quy định về an toàn trong hoạt động ngân hàng theo định kỳ quý.
+ Kết quả phân loại hàng năm đối với các tổ chức tham gia bảo hiểm tiền gửi.
+ Thông tin đột xuất về tổ chức tham gia bảo hiểm tiền gửi có nguy cơ mất khả năng chi trả, có tỷ lệ nợ quá hạn cao hoặc có thất thoát lớn về vốn, tài sản và có tác động xấu nghiêm trọng tới các tổ chức tín dụng khác, chậm nhất 10 ngày sau khi có kết luận của Thanh tra và được Thống đốc Ngân hàng Nhà nước cho phép.
Việc cung cấp thực hiện theo phân cấp trách nhiệm thanh tra, giám sát đối với trụ sở chính của tổ chức tín dụng được quy định tại Thông tư số 04/2000/TT-NHNN3 ngày 28/3/2000 hướng dẫn thực hiện Nghị định số 91/1999/NĐ-CP của Chính phủ.
- Vụ Các Ngân hàng, Vụ Các tổ chức tín dụng hợp tác và Ngân hàng Nhà nước chi nhánh tỉnh, thành phố có trách nhiệm cung cấp:
+ Thông báo về việc thành lập, thu hồi giấy phép hoạt động của tổ chức tham gia bảo hiểm tiền gửi (trong thời hạn 03 ngày làm việc kể từ ngày có quyết định);
+ Thông báo về việc chấm dứt một phần hoặc toàn bộ nội dung hoạt động của các tổ chức tham gia bảo hiểm tiền gửi (trong thời hạn 03 ngày làm việc kể từ ngày có quyết định);
+ Thông báo về việc chia, tách, hợp nhất, sáp nhập và mua lại tổ chức tham gia bảo hiểm tiền gửi.
+ Thông báo việc đặt tổ chức tham gia bảo hiểm tiền gửi vào kiểm soát đặc biệt.
+ Cung cấp toàn bộ hồ sơ liên quan đến tổ chức tham gia bảo hiểm tiền gửi khi tổ chức này bị Ngân hàng Nhà nước thu hồi giấy phép hoạt động.
- Vụ Chính sách tiền tệ và Cục công nghệ tin học Ngân hàng:
+ Phối hợp cung cấp các số liệu về tình hình hoạt động của các tổ chức tín dụng trong phạm vi Thống đốc Ngân hàng Nhà nước cho phép.
+ Phối hợp cung cấp các số liệu liên quan đến tổ chức tham gia bảo hiểm tiền gửi bị đánh giá có nguy cơ mất khả năng chi trả.
34. Trong trường hợp đặc biệt, nếu xét thấy cần thiết khi phát hiện tổ chức tham gia bảo hiểm tiền gửi có nguy cơ mất khả năng chi trả hoặc thất thoát lớn về tài sản, Thanh tra Ngân hàng sẽ phối hợp với Bảo hiểm tiền gửi Việt Nam thanh tra tại chỗ đối với tổ chức tham gia bảo hiểm tiền gửi đó.
MỤC VIII. ĐIỀU KHOẢN THI HÀNH
35. Thông tư này có hiệu lực thi hành sau 15 ngày kể từ ngày đăng công báo và thay thế Thông tư số 03/2000/TT-NHNN5 ngày 16/3/2000 của Thống đốc Ngân hàng Nhà nước hướng dẫn thi hành Nghị định số 89/1999/NĐ-CP ngày 01/9/1999 của Chính phủ về bảo hiểm tiền gửi, Quyết định số 1077/2001/QĐ-NHNN ngày 27/8/2001 của Thống đốc Ngân hàng Nhà nước về việc sửa đổi, bổ sung một số nội dung tại Thông tư số 03/2000/TT-NHNN5 ngày 16/3/2000 của Ngân hàng Nhà nước và Thông tư số 12/2003/TT-NHNN ngày 23/12/2003 của Thống đốc Ngân hàng Nhà nước sửa đổi, bổ sung Thông tư số 03/2000/TT-NHNN5 ngày 16/3/2000 của Thống đốc Ngân hàng Nhà nước hướng dẫn thi hành Nghị định số 89/1999/NĐ-CP ngày 01/9/1999 của Chính phủ về bảo hiểm tiền gửi.
36. Chánh Văn phòng, Vụ trưởng Vụ các Ngân hàng và Tổ chức tín dụng phi ngân hàng, Thủ trưởng các đơn vị thuộc Ngân hàng Nhà nước, Giám đốc Ngân hàng Nhà nước chi nhánh tỉnh, thành phố trực thuộc Trung ương, Chủ tịch Hội đồng quản trị, Tổng Giám đốc Bảo hiểm tiền gửi Việt Nam, Chủ tịch Hội đồng quản trị, Tổng Giám đốc (Giám đốc) các tổ chức tham gia bảo hiểm tiền gửi trong phạm vi chức năng, nhiệm vụ của mình có trách nhiệm tổ chức, hướng dẫn, triển khai thực hiện Thông tư này.
37. Việc bổ sung, sửa đổi Thông tư này do Thống đốc Ngân hàng Nhà nước quyết định.
KT.THỐNG ĐỐC
PHÓ THỐNG ĐỐC
Đã ký : Đặng Thanh Bình
Bạn chưa Đăng nhập thành viên.
Đây là tiện ích dành cho tài khoản thành viên. Vui lòng Đăng nhập để xem chi tiết. Nếu chưa có tài khoản, vui lòng Đăng ký tại đây!
Bạn chưa Đăng nhập thành viên.
Đây là tiện ích dành cho tài khoản thành viên. Vui lòng Đăng nhập để xem chi tiết. Nếu chưa có tài khoản, vui lòng Đăng ký tại đây!