- Tổng quan
- Nội dung
- VB gốc
- Tiếng Anh
- Hiệu lực
- VB liên quan
- Lược đồ
-
Nội dung hợp nhất
Tính năng này chỉ có tại LuatVietnam.vn. Nội dung hợp nhất tổng hợp lại tất cả các quy định còn hiệu lực của văn bản gốc và các văn bản sửa đổi, bổ sung, đính chính... trên một trang. Việc hợp nhất văn bản gốc và những văn bản, Thông tư, Nghị định hướng dẫn khác không làm thay đổi thứ tự điều khoản, nội dung.
Khách hàng chỉ cần xem Nội dung hợp nhất là có thể nắm bắt toàn bộ quy định hiện hành đang áp dụng, cho dù văn bản gốc đã qua nhiều lần chỉnh sửa, bổ sung.
- Tải về
Quyết định 02/2022/QĐ-TTg quy định nguyên tắc, định mức phân bổ vốn NSTW và tỷ lệ vốn đối ứng của ngân sách địa phương
| Cơ quan ban hành: | Thủ tướng Chính phủ |
Số công báo:
Số công báo là mã số ấn phẩm được đăng chính thức trên ấn phẩm thông tin của Nhà nước. Mã số này do Chính phủ thống nhất quản lý.
|
Đã biết
|
| Số hiệu: | 02/2022/QĐ-TTg | Ngày đăng công báo: |
Đã biết
|
| Loại văn bản: | Quyết định | Người ký: | Phạm Bình Minh |
|
Ngày ban hành:
Ngày ban hành là ngày, tháng, năm văn bản được thông qua hoặc ký ban hành.
|
18/01/2022 |
Ngày hết hiệu lực:
Ngày hết hiệu lực là ngày, tháng, năm văn bản chính thức không còn hiệu lực (áp dụng).
|
Đang cập nhật |
|
Áp dụng:
Ngày áp dụng là ngày, tháng, năm văn bản chính thức có hiệu lực (áp dụng).
|
Đã biết
|
Tình trạng hiệu lực:
Cho biết trạng thái hiệu lực của văn bản đang tra cứu: Chưa áp dụng, Còn hiệu lực, Hết hiệu lực, Hết hiệu lực 1 phần; Đã sửa đổi, Đính chính hay Không còn phù hợp,...
|
Đã biết
|
| Lĩnh vực: | Tài chính-Ngân hàng , Chính sách |
TÓM TẮT QUYẾT ĐỊNH 02/2022/QĐ-TTG
Ngày 18/01/2022, Thủ tướng Chính phủ ban hành Quyết định 02/2022/QĐ-TTg về việc quy định nguyên tắc, tiêu chí, định mức phân bổ vốn ngân sách trung ương và tỷ lệ vốn đối ứng của ngân sách địa phương thực hiện Chương trình mục tiêu quốc gia giảm nghèo bền vững giai đoạn 2021 – 2025.
Theo đó, đối với Dự án hỗ trợ đầu tư phát triển hạ tầng kinh tế-xã hội các huyện nghèo, phân bổ vốn ngân sách trung ương của Dự án tối thiểu 85% cho các địa phương, tối đa 15% để triển khai Đề án hỗ trợ một số huyện nghèo thoát khỏi tình trạng nghèo, đặc biệt khó khăn. Phân bổ vốn ngân sách trung ương của Dự án đa dạng hóa sinh kế, phát triển mô hình giảm nghèo tối đa 15% cho các bộ, cơ quan trung ương, tối thiểu 85% cho các địa phương;…
Hằng nằm, ngân sách địa phương đối ứng tối thiểu bằng 3% tổng ngân sách trung ương hỗ trợ thực hiện Chương trình đối với các địa phương nhận hỗ trợ từ ngân sách trung ương từ 70% trở lên. Địa phương nhận hỗ trợ từ ngân sách trung ương từ 50% đến 70%, ngân sách địa phương đối ứng tối thiểu bằng 10% tổng ngân sách trung ương hỗ trợ thực hiện Chương trình.
Bên cạnh đó, các địa phương nhận hỗ trợ từ ngân sách trung ương dưới 50% và tỉnh Quảng Ngãi, Quảng Nam, hằng năm, ngân sách địa phương đối ứng tối thiểu bằng 15% tổng ngân sách trung ương hỗ trợ thực hiện Chương trình
Quyết định có hiệu lực kể từ ngày 08/3/2022.
Xem chi tiết Quyết định 02/2022/QĐ-TTg có hiệu lực kể từ ngày 08/03/2022
Tải Quyết định 02/2022/QĐ-TTg
|
THỦ TƯỚNG CHÍNH PHỦ __________ Số: 02/2022/QĐ-TTg |
CỘNG HÒA XÃ HỘI CHỦ NGHĨA VIỆT NAM Độc lập - Tự do - Hạnh phúc _________________________ Hà Nội, ngày 18 tháng 01 năm 2022 |
QUYẾT ĐỊNH
Quy định nguyên tắc, tiêu chí, định mức phân bổ vốn ngân sách trung ương và tỷ lệ vốn đối ứng của ngân sách địa phương thực hiện Chương trình mục tiêu quốc gia giảm nghèo bền vững giai đoạn 2021 – 2025
______________
Căn cứ Luật Tổ chức Chính phủ ngày 19 tháng 6 năm 2015; Luật sửa đổi, bổ sung một số điều của Luật Tổ chức Chính phủ và Luật Tổ chức chính quyền địa phương ngày 22 tháng 11 năm 2019;
Căn cứ Luật Đầu tư công ngày 13 tháng 6 năm 2019;
Căn cứ Luật Ngân sách nhà nước ngày 25 tháng 6 năm 2015;
Căn cứ Nghị quyết số 24/2021/QH15 ngày 28 tháng 7 năm 2021 của Quốc hội khóa XV về việc phê duyệt chủ trương đầu tư chương trình mục tiêu quốc gia giảm nghèo bền vững giai đoạn 2021 - 2025;
Căn cứ Nghị định số 40/2020/NĐ-CP ngày 06 tháng 4 năm 2020 của Chính phủ hướng dẫn thi hành Luật Đầu tư công;
Căn cứ Nghị định số 163/2016/NĐ-CP ngày 21 tháng 12 năm 2016 của Chính phủ quy định chi tiết một số điều của Luật Ngân sách nhà nước;
Theo đề nghị của Bộ trưởng Bộ Lao động - Thương binh và Xã hội;
Thủ tướng Chính phủ quy định nguyên tắc, tiêu chí, định mức phân bổ vốn ngân sách trung ương và tỷ lệ vốn đối ứng của ngân sách địa phương thực hiện Chương trình mục tiêu quốc gia giảm nghèo bền vững giai đoạn 2021 -2025.
Chương I
NHỮNG QUY ĐỊNH CHUNG
Điều 1. Phạm vi điều chỉnh
Quyết định này quy định các nguyên tắc, tiêu chí, định mức phân bổ vốn ngân sách trung ương và tỷ lệ vốn đối ứng của ngân sách địa phương thực hiện Chương trình mục tiêu quốc gia giảm nghèo bền vững giai đoạn 2021 - 2025 (sau đây viết tắt là Chương trình).
Điều 2. Đối tượng áp dụng
1. Bộ, cơ quan ngang bộ, cơ quan thuộc Chính phủ, các cơ quan trung ương khác; các tỉnh, thành phố trực thuộc trung ương và đơn vị sử dụng kinh phí Chương trình (sau đây gọi tắt là bộ, cơ quan trung ương và địa phương).
2. Cơ quan, tổ chức, cá nhân tham gia hoặc có liên quan đến việc lập, thực hiện kế hoạch đầu tư công trung hạn và hằng năm từ nguồn ngân sách nhà nước thuộc Chương trình.
Điều 3. Nguyên tắc phân bổ vốn
1. Việc phân bổ vốn đầu tư phát triển và kinh phí sự nghiệp từ nguồn ngân sách nhà nước thuộc Chương trình phải tuân thủ các quy định của pháp luật về đầu tư công, ngân sách nhà nước và các quy định liên quan.
2. Bảo đảm công khai, minh bạch, quản lý tập trung, thống nhất về mục tiêu, cơ chế, chính sách; thực hiện phân cấp trong quản lý đầu tư theo quy định của pháp luật, tạo quyền chủ động cho các bộ, ngành trung ương và chính quyền địa phương.
3. Việc phân bổ vốn đầu tư phát triển và kinh phí sự nghiệp từ nguồn ngân sách nhà nước thuộc Chương trình nhằm thực hiện các mục tiêu, nhiệm vụ của Chương trình; đầu tư có trọng tâm, trọng điểm và bền vững, trọng tâm là các huyện nghèo, xã đặc biệt khó khăn vùng bãi ngang, ven biển và hải đảo.
4. Việc phân bổ cụ thể ngân sách trung ương và tỷ lệ đối ứng của ngân sách địa phương phải phù hợp với tình hình thực tế, khả năng cân đối của ngân sách nhà nước; mục tiêu, nhiệm vụ, dự kiến kết quả thực hiện kế hoạch hằng năm và tỷ lệ giải ngân vốn đầu tư công, kết quả thực hiện kế hoạch đầu tư công năm trước.
5. Không phân bổ vốn của Chương trình để chi cho các hoạt động thuộc nhiệm vụ quản lý nhà nước đã được bố trí đầy đủ từ nguồn vốn chi thường xuyên.
Chương II
NHỮNG QUY ĐỊNH CỤ THỂ
Mục 1
TIÊU CHÍ, HỆ SỐ, ĐỊNH MỨC VÀ PHƯƠNG PHÁP TÍNH, XÁC ĐỊNH PHÂN BỔ VỐN TỪNG DỰ ÁN
Điều 4. Quy định chung về tiêu chí phân bổ vốn
1. Quy mô dân số của các địa phương để tính hệ số được xác định căn cứ vào số liệu công bố của Tổng cục Thống kê năm 2021.
2. Số hộ nghèo, hộ cận nghèo và tỷ lệ hộ nghèo, hộ cận nghèo của các địa phương để tính hệ số được xác định căn cứ vào số liệu công bố kết quả rà soát hộ nghèo, hộ cận nghèo năm 2021 theo chuẩn nghèo đa chiều quốc gia giai đoạn 2022 - 2025 của Chủ tịch Ủy ban nhân dân cấp tỉnh.
3. Huyện khu vực miền núi, vùng cao, biên giới đất liền; đơn vị hành chính cấp xã của huyện, của tỉnh để tính hệ số được xác định căn cứ vào quyết định của cơ quan có thẩm quyền đến ngày 31 tháng 12 năm 2020.
4. Huyện nghèo, xã đặc biệt khó khăn vùng bãi ngang, ven biển và hải đảo do cấp có thẩm quyền phê duyệt theo chuẩn nghèo đa chiều giai đoạn 2022 - 2025.
5. Trường hợp địa bàn đáp ứng nhiều chỉ số trong cùng một tiêu chí phân bổ vốn thì áp dụng chỉ số có hệ số phân bổ vốn cao nhất.
Điều 5. Dự án 1: Hỗ trợ đầu tư phát triển hạ tầng kinh tế - xã hội các huyện nghèo, xã đặc biệt khó khăn vùng bãi ngang, ven biển và hải đảo
1. Hỗ trợ đầu tư phát triển hạ tầng kinh tế - xã hội các huyện nghèo
a) Phân bổ vốn ngân sách trung ương của Dự án: tối thiểu 85% cho các địa phương; tối đa 15% để triển khai Đề án hỗ trợ một số huyện nghèo thoát khỏi tình trạng nghèo, đặc biệt khó khăn.
(1) Tiêu chí 1: Quy mô dân số của huyện
|
Quy mô dân số của huyện |
Hệ số |
|
Dưới 10.000 hộ |
0,15 |
|
Từ 10.000 hộ đến dưới 15.000 hộ |
0,17 |
|
Từ 15.000 hộ trở lên |
0,2 |
|
Tổng tỷ lệ hộ nghèo và hộ cận nghèo |
Hệ số |
|
Dưới 45% |
0,3 |
|
Từ 45% đến dưới 50% |
0,33 |
|
Từ 50% đến dưới 55% |
0,37 |
|
Từ 55% đến dưới 60% |
0,41 |
|
Từ 60% đến dưới 65% |
0,46 |
|
Từ 65% trở lên |
0,5 |
|
Đặc điểm địa lý của huyện nghèo |
Hệ số |
|
Huyện có xã biên giới |
0,14 |
|
Huyện thuộc khu vực miền núi, vùng cao |
0,12 |
|
Huyện không có xã biên giới; huyện không thuộc khu vực miền núi, vùng cao |
0,10 |
|
Số đơn vị hành chính cấp xã của huyện |
Hệ số |
|
Dưới 10 xã |
0,1 |
|
Từ 10 đến dưới 20 xã |
0,12 |
|
Từ 20 xã trở lên |
0,14 |
(1) Vốn hỗ trợ đầu tư phát triển của ngân sách trung ương phân bổ cho từng huyện nghèo được tính theo công thức: Ai = Q.Xi
Trong đó:
Ai là vốn ngân sách trung ương phân bổ cho huyện thứ i.
Xi là tổng số các hệ số tiêu chí của huyện thứ i.
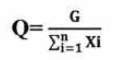
Q là vốn bình quân cho một huyện được tính theo công thức:

G là tổng số vốn đầu tư phát triển của ngân sách trung ương phân bổ cho các huyện nghèo để thực hiện Dự án 1 (trừ vốn ngân sách trung ương để triển khai Đề án hỗ trợ một số huyện nghèo thoát khỏi tình trạng nghèo, đặc biệt khó khăn).
(2) Vốn sự nghiệp duy tu bảo dưỡng: Bằng 10% vốn đầu tư phát triển của ngân sách trung ương theo kế hoạch vốn đầu tư phát triển trung hạn của từng địa phương.
2. Hỗ trợ đầu tư phát triển hạ tầng kinh tế - xã hội các xã đặc biệt khó khăn (sau đây viết tắt là ĐBKK) vùng bãi ngang, ven biển và hải đảo
| Xã đặc biệt khó khăn vùng bãi ngang, ven biển và hải đảo | Hệ số |
| Vùng hải đảo | 1,5 |
| Vùng bãi ngang, ven biển | 1 |
(1) Vốn đầu tư phát triển của ngân sách trung ương phân bổ cho xã ĐBKK vùng bãi ngang, ven biển và hải đảo được tính theo công thức: Bi = Q.Xi
Trong đó:
Bi là vốn ngân sách trung ương phân bổ cho xã thứ i.
Xi là hệ số tiêu chí của xã thứ i.
Q là vốn bình quân cho một xã được tính theo công thức:

G là tổng số vốn đầu tư phát triển của ngân sách trung ương phân bổ cho các xã ĐBKK vùng bãi ngang, ven biển và hải đảo để thực hiện Dự án 1.
(2) Vốn sự nghiệp duy tu bảo dưỡng: bằng 10% tổng vốn đầu tư phát triển của ngân sách trung ương theo kế hoạch vốn đầu tư phát triển trung hạn của từng địa phương.
Điều 6. Dự án 2: Đa dạng hóa sinh kế, phát triển mô hình giảm nghèo
1. Phân bổ vốn ngân sách trung ương của Dự án: tối đa 15% cho các bộ, cơ quan trung ương; tối thiểu 85% cho các địa phương.
2. Tiêu chí và hệ số phân bổ vốn cho địa phương
| Tổng tỷ lệ hộ nghèo và hộ cận nghèo của tỉnh | Hệ số |
| Dưới 8% | 0,4 |
| Từ 8% đến dưới 15% | 0,5 |
| Từ 15% đến dưới 25% | 0,6 |
| Từ 25% trở lên | 0,7 |
| Tổng số hộ nghèo và hộ cận nghèo của tỉnh | Hệ số |
| Dưới 20.000 hộ | 0,4 |
| Từ 20.000 đến dưới 40.000 hộ | 0,45 |
| Từ 40.000 đến dưới 60.000 hộ | 0,5 |
| Từ 60.000 đến dưới 80.000 hộ | 0,6 |
| Từ 80.000 đến dưới 100.000 hộ | 0,7 |
| Từ 100.000 đến dưới 150.000 hộ | 0,8 |
| Từ 150.000 hộ trở lên | 0,9 |
| Địa bàn khó khăn | Hệ số |
| Mỗi một huyện nghèo | 0,12 |
| Mỗi một xã ĐBKK vùng bãi ngang, ven biển và hải đảo | 0,015 |
| Số đơn vị hành chính cấp xã của tỉnh | Hệ số |
| Dưới 111 xã | 1 |
| Từ 111 đến 150 xã | 1,15 |
| Từ 151 đến 190 xã | 1,3 |
| Từ 191 đến 300 xã | 1,5 |
| Từ 301 xã trở lên | 2 |
Vốn ngân sách trung ương phân bổ cho từng tỉnh được tính theo công thức:
Ci = Q. Xi .Yi
Trong đó:
Ci là vốn ngân sách trung ương phân bổ cho tỉnh thứ i.
Xi là tổng số các hệ số tiêu chí tổng tỷ lệ hộ nghèo và hộ cận nghèo, tổng số hộ nghèo và hộ cận nghèo của tỉnh thứ i.
Yi là tổng hệ số tiêu chí vùng khó khăn, số đơn vị hành chính cấp xã của tỉnh thứ i theo công thức: Yi = (0,12.HNi + 0,015.XNi) x 2,5 + ĐVi.
HNi là số huyện nghèo của tỉnh thứ i.
XNi là số xã ĐBKK vùng bãi ngang, ven biển và hải đảo của tỉnh thứ i.
ĐVi là hệ số đơn vị hành chính cấp xã của tỉnh thứ i.
Q là vốn bình quân cho một tỉnh được tính theo công thức:

G là tổng số vốn ngân sách trung ương phân bổ cho các tỉnh để thực hiện Dự án 2 của Chương trình.
Điều 7. Dự án 3: Hỗ trợ phát triển sản xuất, cải thiện dinh dưỡng
1. Tiểu dự án 1: Hỗ trợ phát triển sản xuất trong lĩnh vực nông nghiệp
a) Phân bổ vốn ngân sách trung ương của Tiểu dự án: tối đa 2% cho các bộ, cơ quan trung ương; tối thiểu 98% cho các địa phương.
(1) Tiêu chí 1: Tổng tỷ lệ hộ nghèo và hộ cận nghèo của tỉnh
|
Tổng tỷ lệ hộ nghèo và hộ cận nghèo của tỉnh |
Hệ số |
|
Dưới 8% |
0,4 |
|
Từ 8% đến dưới 15% |
0,5 |
|
Từ 15% đến dưới 25% |
0,6 |
|
Từ 25% trở lên |
0,7 |
|
Tổng số hộ nghèo và hộ cận nghèo của tỉnh |
Hệ số |
|
Dưới 20.000 hộ |
0,4 |
|
Từ 20.000 đến dưới 40.000 hộ |
0,45 |
|
Từ 40.000 đến dưới 60.000 hộ |
0,5 |
|
Từ 60.000 đến dưới 80.000 hộ |
0,6 |
|
Từ 80.000 đến dưới 100.000 hộ |
0,7 |
|
Từ 100.000 đến dưới 150.000 hộ |
0,8 |
|
Từ 150.000 hộ trở lên |
0,9 |
|
Địa bàn khó khăn |
Hệ số |
|
Mỗi một huyện nghèo |
0,12 |
|
Mỗi một xã ĐBKK vùng bãi ngang, ven biển và hải đảo |
0,015 |
|
Số đơn vị hành chính cấp xã của tỉnh |
Hệ số |
|
Dưới 111 xã |
1 |
|
Từ 111 đến 150 xã |
1,15 |
|
Từ 151 đến 190 xã |
1,3 |
|
Từ 191 đến 300 xã |
1,5 |
|
Từ 301 xã trở lên |
2 |
Vốn ngân sách trung ương phân bổ cho từng tỉnh được tính theo công thức:
Đi = Q.Xi.Yi
Trong đó:
Đi là vốn ngân sách trung ương phân bổ cho tỉnh thứ i.
Xi là tổng số các hệ số tiêu chí tổng tỷ lệ hộ nghèo và hộ cận nghèo, tổng số hộ nghèo và hộ cận nghèo của tỉnh thứ i.
Yi là tổng hệ số tiêu chí vùng khó khăn, số đơn vị hành chính cấp xã của tỉnh thứ i theo công thức: Yi = (0,12.HNi + 0,015.XNi) x 2,5 + ĐVi.
HNi là số huyện nghèo của tỉnh thứ i.
XNi là số xã ĐBKK vùng bãi ngang, ven biển và hải đảo của tỉnh thứ i.
ĐVi là hệ số đơn vị hành chính cấp xã của tỉnh thứ i.
Q là vốn bình quân cho một tỉnh được tính theo công thức:

G là tổng số vốn ngân sách trung ương phân bổ cho các tỉnh để thực hiện Tiểu dự án 1 thuộc Dự án 3 của Chương trình.
2. Tiểu dự án 2: Cải thiện dinh dưỡng
a) Phân bổ vốn ngân sách trung ương của Tiểu dự án: tối đa 10% cho các bộ, cơ quan trung ương; tối thiểu 90% cho các địa phương.
(1) Tiêu chí 1: Địa bàn khó khăn
|
Địa bàn khó khăn |
Hệ số |
|
Mỗi một huyện nghèo |
0,12 |
|
Mỗi một xã ĐBKK vùng bãi ngang, ven biển và hải đảo |
0,015 |
|
Số đơn vị hành chính cấp xã của tỉnh |
Hệ số |
|
Dưới 111 xã |
1 |
|
Từ 111 đến 150 xã |
1,15 |
|
Từ 151 đến 190 xã |
1,3 |
|
Từ 191 đến 300 xã |
1,5 |
|
Từ 301 xã trở lên |
2 |
|
Tỷ lệ suy dinh dưỡng thấp còi của trẻ em dưới 5 tuổi của tỉnh |
Hệ số |
|
Trên 30% |
1,6 |
|
Từ 25% đến 30% |
1,4 |
|
Từ 20% đến dưới 25% |
1,2 |
|
Dưới 20% |
1 |
Vốn ngân sách trung ương phân bổ cho từng tỉnh được tính theo công thức:
Ei = Q.Yi.DDi
Trong đó:
Ei là vốn ngân sách trung ương phân bổ cho tỉnh thứ i.
DDi là hệ số tỷ lệ suy dinh dưỡng thấp còi trẻ em dưới 5 tuổi của tỉnh thứ i.
Yi là tổng hệ số tiêu chí địa bàn khó khăn, số đơn vị hành chính cấp xã của tỉnh thứ i theo công thức: Yi = (0,12.HNi + 0,015.XNi) x 3 + ĐVi.
HNi là số huyện nghèo của tỉnh thứ i.
XNi là số xã ĐBKK vùng bãi ngang, ven biển và hải đảo của tỉnh thứ i.
ĐVi là hệ số đơn vị hành chính cấp xã của tỉnh thứ i.
Q là vốn bình quân cho một tỉnh được tính theo công thức:

G là tổng số vốn ngân sách trung ương để phân bổ cho các tỉnh để thực hiện Tiểu dự án 2 thuộc Dự án 3 của Chương trình.
Điều 8. Dự án 4: Phát triển giáo dục nghề nghiệp, việc làm bền vững
1. Tiểu dự án 1: Phát triển giáo dục nghề nghiệp vùng nghèo, vùng khó khăn
(1) Phân bổ 100% vốn đầu tư phát triển ngân sách trung ương của Tiểu dự án để đầu tư cho các tỉnh có huyện nghèo.
(2) Tiêu chí và hệ số phân bổ vốn cho địa phương Tiêu chí 1: Tổng tỷ lệ hộ nghèo và hộ cận nghèo của tỉnh
|
Tổng tỷ lệ hộ nghèo và hộ cận nghèo của tỉnh |
Hệ số |
|
Dưới 8% |
0,4 |
|
Từ 8% đến dưới 15% |
0,5 |
|
Từ 15% đến dưới 25% |
0,6 |
|
Từ 25% trở lên |
0,7 |
|
Tổng số hộ nghèo và hộ cận nghèo của tỉnh |
Hệ số |
|
Dưới 20.000 hộ |
0,4 |
|
Từ 20.000 đến dưới 40.000 hộ |
0,45 |
|
Từ 40.000 đến dưới 60.000 hộ |
0,5 |
|
Từ 60.000 đến dưới 80.000 hộ |
0,6 |
|
Từ 80.000 đến dưới 100.000 hộ |
0,7 |
|
Từ 100.000 đến dưới 150.000 hộ |
0,8 |
|
Từ 150.000 hộ trở lên |
0,9 |
|
Số trường cao đẳng, trung cấp giáo dục nghề nghiệp công lập trên địa bàn tỉnh có huyện nghèo |
Hệ số |
|
Có 01 trường |
0,5 |
|
Có 02 trường |
0,6 |
|
Có từ 03 trường trở lên |
0,7 |
Tiêu chí 4: số lượng tuyển sinh trên địa bàn tỉnh có huyện nghèo
|
Số lượng tuyển sinh trên địa bàn tỉnh có huyện nghèo |
Hệ số |
|
Dưới 10.000 người/năm |
0,5 |
|
Từ 10.000 người/năm đến dưới 20.000 người/năm |
0,6 |
|
Từ 20.000 người/năm trở lên |
0,7 |
Phương pháp tính, xác định phân bổ vốn: Vốn ngân sách trung ương phân bổ được tính theo công thức:
Hi = Q.Xi
Trong đó:
Hi là vốn ngân sách trung ương phân bổ cho tỉnh thứ i.
Xi là tổng số các hệ số tiêu chí của tỉnh thứ i theo công thức:
Xi = (TLi + QMi) x 3 + (TRi+ TSi)
TLi là hệ số tiêu chí tổng tỷ lệ hộ nghèo và hộ cận nghèo của tỉnh thứ i.
QMi là hệ số tiêu chí tổng số hộ nghèo và hộ cận nghèo của tỉnh thứ i.
TRi là hệ số tiêu chí số trường cao đẳng, trung cấp giáo dục nghề nghiệp công lập trên địa bàn tỉnh có huyện nghèo thứ i.
TSi là hệ số tiêu chí số lượng tuyển sinh trên địa bàn tỉnh có huyện nghèo thứ i.
Q là vốn bình quân cho một tỉnh được tính theo công thức:

G là tổng số vốn đầu tư phát triển của ngân sách trung ương để phân bổ Tiểu dự án 1 thuộc Dự án 4 của Chương trình.
(1) Phân bổ tối đa 20% tổng số vốn sự nghiệp ngân sách trung ương của Tiểu dự án cho các bộ, cơ quan trung ương.
(2) Phân bổ tối đa 40% tổng số vốn sự nghiệp ngân sách trung ương của Tiểu dự án cho các tỉnh có huyện nghèo để hỗ trợ một số cơ sở giáo dục nghề nghiệp công lập trên địa bàn.
Tiêu chí và hệ số phân bổ vốn
Tiêu chí 1: Tổng tỷ lệ hộ nghèo và hộ cận nghèo của tỉnh
|
Tổng tỷ lệ hộ nghèo và hộ cận nghèo của tỉnh |
Hệ số |
|
Dưới 8% |
0,4 |
|
Từ 8% đến dưới 15% |
0,5 |
|
Từ 15% đến dưới 25% |
0,6 |
|
Từ 25% trở lên |
0,7 |
|
Tổng số hộ nghèo và hộ cận nghèo của tỉnh |
Hệ số |
|
Dưới 20.000 hộ |
0,4 |
|
Từ 20.000 đến dưới 40.000 hộ |
0,45 |
|
Từ 40.000 đến dưới 60.000 hộ |
0,5 |
|
Từ 60.000 đến dưới 80.000 hộ |
0,6 |
|
Từ 80.000 đến dưới 100.000 hộ |
0,7 |
|
Từ 100.000 đến dưới 150.000 hộ |
0,8 |
|
Từ 150.000 hộ trở lên |
0,9 |
|
Cơ sở giáo dục nghề nghiệp công lập của tỉnh |
Hệ số |
|
Mỗi một trung tâm giáo dục nghề nghiệp |
0,1 |
|
Mỗi một trường trung cấp |
0,2 |
|
Mỗi một trường cao đẳng |
0,3 |
Tiêu chí 4: số lượng tuyển sinh trên địa bàn tỉnh có huyện nghèo
|
Số lượng tuyển sinh trên địa bàn tỉnh có huyện nghèo |
Hệ số |
|
Dưới 10.000 người/năm |
0,5 |
|
Từ 10.000 người/năm đến dưới 20.000 người/năm |
0,6 |
|
Từ 20.000 người/năm trở lên |
0,7 |
Phương pháp tính, xác định phân bổ vốn cho địa phương:
Vốn sự nghiệp ngân sách trung ương phân bổ cho tỉnh được tính theo công thức: li = Q.Xi
Trong đó:
li là vốn ngân sách trung ương phân bổ cho tỉnh thứ i.
Xi là tổng số các hệ số tiêu chí của tỉnh thứ i theo công thức: Xi = (TLi + QMi) x 3 + (TRi + TSi).
TLi là hệ số tiêu chí tổng tỷ lệ hộ nghèo và hộ cận nghèo của tỉnh thứ i.
QMi là hệ số tiêu chí tổng số hộ nghèo và hộ cận nghèo của tỉnh thứ i.
TRi là tổng hệ số tiêu chí số cơ sở giáo dục nghề nghiệp công lập của tỉnh có huyện nghèo thứ i được tính theo công thức:
TRi= 0,3 x CĐi + 0,2 x TCi + 0,1 x TTi
CĐi là số trường cao đẳng công lập của tỉnh thứ i.
TCi là số trường trung cấp công lập của tỉnh thứ i.
TTi là số trung tâm giáo dục nghề nghiệp công lập của tỉnh thứ i.
TSi là hệ số tiêu chí số lượng tuyển sinh trên địa bàn tỉnh có huyện nghèo thứ i.
Q là vốn bình quân cho một tỉnh được tính theo công thức:

G là tổng số vốn sự nghiệp ngân sách trung ương phân bổ để hỗ trợ một số cơ sở giáo dục nghề nghiệp công lập của tỉnh có huyện nghèo thực hiện Tiểu dự án 1 thuộc Dự án 4 của Chương trình.
(3) Phân bổ tối thiểu 40% tổng số vốn sự nghiệp ngân sách trung ương của Tiểu dự án cho các địa phương để hỗ trợ đào tạo nghề cho người lao động thuộc hộ nghèo, hộ cận nghèo, hộ mới thoát nghèo; người dân sinh sống trên địa bàn huyện nghèo, xã đặc biệt khó khăn vùng bãi ngang, ven biển và hải đảo.
Tiêu chí và hệ số phân bổ vốn cho địa phương: Tiêu chí 1: Tổng tỷ lệ hộ nghèo và hộ cận nghèo của tỉnh
|
Tổng tỷ lệ hộ nghèo và hộ cận nghèo của tỉnh |
Hệ số |
|
Dưới 8% |
0,4 |
|
Từ 8% đến dưới 15% |
0,5 |
|
Từ 15% đến dưới 25% |
0,6 |
|
Từ 25% trở lên |
0,7 |
|
Tổng số hộ nghèo và hộ cận nghèo của tỉnh |
Hệ số |
|
Dưới 20.000 hộ |
0,4 |
|
Từ 20.000 đến dưới 40.000 hộ |
0,45 |
|
Từ 40.000 đến dưới 60.000 hộ |
0,5 |
|
Từ 60.000 đến dưới 80.000 hộ |
0,6 |
|
Từ 80.000 đến dưới 100.000 hộ |
0,7 |
|
Từ 100.000 đến dưới 150.000 hộ |
0,8 |
|
Từ 150.000 hộ trở lên |
0,9 |
|
Địa bàn khó khăn |
Hệ số |
|
Mỗi một huyện nghèo |
0,12 |
|
Mỗi một xã ĐBKK vùng bãi ngang, ven biển và hải đảo |
0,015 |
|
Số đơn vị hành chính cấp xã của tỉnh |
Hệ số |
|
Dưới 111 xã |
1 |
|
Từ 111 đến 150 xã |
1,15 |
|
Từ 151 đến 190 xã |
1,3 |
|
Từ 191 đến 300 xã |
1,5 |
|
Từ 301 xã trở lên |
2 |
|
Số lượng tuyển sinh trên địa bàn tỉnh |
Hệ số |
|
Dưới 10.000 người/năm |
0,5 |
|
Từ 10.000 người/năm đến dưới 20.000 người/năm |
0,6 |
|
Từ 20.000 người/năm trở lên |
0,7 |
Phương pháp tính, xác định phân bổ vốn cho địa phương: Vốn ngân sách trung ương phân bổ cho từng tỉnh được tính theo công thức:
Ki = Q.Xi
Trong đó:
Ki là vốn ngân sách trung ương phân bổ cho tỉnh thứ i.
Xi là tổng số các hệ số tiêu chí của tỉnh thứ i theo công thức:
Xi = TLi + QM1 + 0,12.HNi + 0,015.XNi + ĐVi + TSi
TLi là hệ số tiêu chí tổng tỷ lệ hộ nghèo và hộ cận nghèo của tỉnh thứ i.
QMi là hệ số tiêu chí tổng số hộ nghèo và hộ cận nghèo của tỉnh thứ i.
HNi là số huyện nghèo của tỉnh thứ i. XNi là số xã ĐBKK vùng bãi ngang, ven biển và hải đảo của tỉnh thứ i.
ĐVi là hệ số đơn vị hành chính cấp xã của tỉnh thứ i.
TSi là hệ số tiêu chí số lượng tuyển sinh các đối tượng của Tiểu dự án trên địa bàn tỉnh thứ i.
Q là vốn bình quân cho một tỉnh được tính theo công thức:

G là tổng số vốn sự nghiệp ngân sách trung ương phân bổ cho các địa phương thực hiện Tiểu dự án 1 thuộc Dự án 4 của Chương trình để hỗ trợ đào tạo nghề cho người lao động thuộc hộ nghèo, hộ cận nghèo, hộ mới thoát nghèo; người dân sinh sống trên địa bàn huyện nghèo, xã đặc biệt khó khăn vùng bãi ngang, ven biển và hải đảo.
2. Tiểu dự án 2: Hỗ trợ người lao động đi làm việc ở nước ngoài theo hợp đồng
a) Phân bổ vốn ngân sách trung ương của Tiểu dự án: tối đa 18% cho các bộ, cơ quan trung ương; tối thiểu 82% cho các địa phương.
(1) Tiêu chí 1: Tổng tỷ lệ hộ nghèo và hộ cận nghèo của tỉnh
|
Tổng tỷ lệ hộ nghèo và hộ cận nghèo của tỉnh |
Hệ số |
|
Dưới 8% |
0,4 |
|
Từ 8% đến dưới 15% |
0,5 |
|
Từ 15% đến dưới 25% |
0,6 |
|
Từ 25% trở lên |
0,7 |
|
Tổng số hộ nghèo và hộ cận nghèo của tỉnh |
Hệ số |
|
Dưới 20.000 hộ |
0,4 |
|
Từ 20.000 đến dưới 40.000 hộ |
0,45 |
|
Từ 40.000 đến dưới 60.000 hộ |
0,5 |
|
Từ 60.000 đến dưới 80.000 hộ |
0,6 |
|
Từ 80.000 đến dưới 100.000 hộ |
0,7 |
|
Từ 100.000 đến dưới 150.000 hộ |
0,8 |
|
Từ 150.000 hộ trở lên |
0,9 |
|
Địa bàn khó khăn |
Hệ số |
|
Mỗi một huyện nghèo |
0,12 |
|
Mỗi một xã ĐBKK vùng bãi ngang, ven biển và hải đảo |
0,015 |
Vốn ngân sách trung ương phân bổ cho từng tỉnh được tính theo công thức:
Li = Q.Xi.Yi
Trong đó:
Li là vốn ngân sách trung ương phân bổ cho tỉnh thứ i.
Xi là tổng số các hệ số tiêu chí tổng tỷ lệ hộ nghèo và hộ cận nghèo, tổng số hộ nghèo và hộ cận nghèo của tỉnh thứ i.
Yi là tổng hệ số tiêu chí vùng khó khăn của tỉnh thứ i quy định tại theo công thức: Yi=0,12.HNi + 0,015.XNi.
HNi là số huyện nghèo của tỉnh thứ i.
XNi là số xã ĐBKK vùng bãi ngang, ven biển và hải đảo của tỉnh thứ i.
Q là vốn bình quân cho một tỉnh được tính theo công thức:

G là tổng số vốn ngân sách trung ương để phân bổ cho các tỉnh thực hiện Tiểu dự án 2 thuộc Dự án 4 của Chương trình.
3. Tiểu dự án 3: Hỗ trợ việc làm bền vững
a) Phân bổ vốn ngân sách trung ương của Tiểu dự án tối đa 10% cho các bộ, cơ quan trung ương; tối thiểu 90% cho các địa phương.
(1) Tiêu chí 1: Tổng tỷ lệ hộ nghèo và hộ cận nghèo của tỉnh
|
Tổng tỷ lệ hộ nghèo và hộ cận nghèo của tỉnh |
Hệ số |
|
Dưới 8% |
0,4 |
|
Từ 8% đến dưới 15% |
0,5 |
|
Từ 15% đến dưới 25% |
0,6 |
|
Từ 25% trở lên |
0,7 |
|
Tổng số hộ nghèo và hộ cận nghèo của tỉnh |
Hệ số |
|
Dưới 20.000 hộ |
0,4 |
|
Từ 20.000 đến dưới 40.000 hộ |
0,45 |
|
Từ 40.000 đến dưới 60.000 hộ |
0,5 |
|
Từ 60.000 đến dưới 80.000 hộ |
0,6 |
|
Từ 80.000 đến dưới 100.000 hộ |
0,7 |
|
Từ 100.000 đến dưới 150.000 hộ |
0,8 |
|
Từ 150.000 hộ trở lên |
0,9 |
|
Tỉnh có lực lượng lao động từ đủ 15 tuổi trở lên trên địa bàn tỉnh |
Hệ số |
|
Dưới 300.000 người |
1 |
|
Từ 300.000 đến dưới 600.000 người |
1,3 |
|
Từ 600.000 đến dưới 900.000 người |
1,6 |
|
Từ 900.000 đến dưới 1.200.000 người |
1,9 |
|
Từ 1.200.000 đến dưới 1.500.000 người |
2,2 |
|
Từ 1.500.000 người trở lên |
2,5 |
Vốn ngân sách trung ương phân bổ cho từng tỉnh được tính theo công thức:
Mi = Q.Xi.Yi
Trong đó:
Mi là vốn ngân sách trung ương phân bổ cho tỉnh thứ i.
Xi là tổng số các hệ số tiêu chí tổng tỷ lệ hộ nghèo và hộ cận nghèo, tổng số hộ nghèo và hộ cận nghèo của tỉnh thứ i.
Yi là hệ số lực lượng lao động từ 15 tuổi trở lên của tỉnh thứ i.
Q là vốn bình quân cho một tỉnh được tính theo công thức:

G là tổng số vốn ngân sách trung ương để phân bổ cho các tỉnh thực hiện Tiểu dự án 3 thuộc Dự án 4 của Chương trình.
Điều 9. Dự án 5: Hỗ trợ nhà ở cho hộ nghèo, hộ cận nghèo trên địa bàn các huyện nghèo
1. Vốn sự nghiệp ngân sách trung ương phân bổ cho các địa phương trên cơ sở kế hoạch hằng năm căn cứ nhu cầu xây mới, sửa chữa nhà ở của hộ nghèo, hộ cận nghèo trên địa bàn các huyện nghèo và đề xuất kinh phí hỗ trợ thực hiện, quản lý của Ủy ban nhân dân cấp tỉnh.
2. Định mức hỗ trợ: nhà xây mới 40.000.000 đồng/hộ; sửa chữa nhà 20.000.000 đồng/hộ từ vốn sự nghiệp ngân sách trung ương.
Điều 10. Dự án 6: Truyền thông và giảm nghèo về thông tin
1. Tiểu dự án 1: Giảm nghèo về thông tin
a) Phân bổ vốn ngân sách trung ương của Tiểu dự án: tối đa 30% cho các bộ, cơ quan trung ương; tối thiểu 70% cho các địa phương.
(1) Tiêu chí 1: Tổng tỷ lệ hộ nghèo và hộ cận nghèo của tỉnh
|
Tổng tỷ lệ hộ nghèo và hộ cận nghèo của tỉnh |
Hệ số |
|
Dưới 8% |
0,4 |
|
Từ 8% đến dưới 15% |
0,5 |
|
Từ 15% đến dưới 25% |
0,6 |
|
Từ 25% trở lên |
0,7 |
|
Tổng số hộ nghèo và hộ cận nghèo của tỉnh |
Hệ số |
|
Dưới 20.000 hộ |
0,4 |
|
Từ 20.000 đến dưới 40.000 hộ |
0,45 |
|
Từ 40.000 đến dưới 60.000 hộ |
0,5 |
|
Từ 60.000 đến dưới 80.000 hộ |
0,6 |
|
Từ 80.000 đến dưới 100.000 hộ |
0,7 |
|
Từ 100.000 đến dưới 150.000 hộ |
0,8 |
|
Từ 150.000 hộ trở lên |
0,9 |
|
Địa bàn khó khăn |
Hệ số |
|
Mỗi một huyện nghèo |
0,12 |
|
Mỗi một xã ĐBKK vùng bãi ngang, ven biển và hải đảo |
0,015 |
|
Số đơn vị hành chính cấp xã của tỉnh |
Hệ số |
|
Dưới 111 xã |
1 |
|
Từ 111 đến 150 xã |
1,15 |
|
Từ 151 đến 190 xã |
1,3 |
|
Từ 191 đến 300 xã |
1,5 |
|
Từ 301 xã trở lên |
2 |
Vốn ngân sách trung ương phân bổ cho từng tỉnh được tính theo công thức:
Ni = Q.Xi.Yi + Di
Trong đó:
Ni là vốn ngân sách trung ương phân bổ cho tỉnh thứ i.
Xi là tổng số các hệ số tiêu chí tổng tỷ lệ hộ nghèo và hộ cận nghèo, tổng số hộ nghèo và hộ cận nghèo của tỉnh thứ i.
Yi là tổng hệ số tiêu chí vùng khó khăn, số đơn vị hành chính cấp xã của tỉnh thứ i quy định tại theo công thức: Yi = 0,12.HNi + 0,015.XNi + ĐVi.
HNi là số huyện nghèo của tỉnh thứ i.
XNi là số xã ĐBKK vùng bãi ngang, ven biển và hải đảo của tỉnh thứ i.
ĐVi là hệ số đơn vị hành chính cấp xã của tỉnh thứ i.
Di là nhu cầu kinh phí thực hiện nội dung đặc thù giảm nghèo thông tin theo hướng dẫn của cơ quan chủ trì Tiểu dự án của tỉnh thứ i.
Q là vốn bình quân cho một tỉnh được tính theo công thức:

Trong đó: G là tổng số vốn ngân sách trung ương phân bổ cho các tỉnh để thực hiện Tiểu dự án 1 thuộc Dự án 6; D là tổng nhu cầu kinh phí thực hiện nội dung đặc thù giảm nghèo thông tin của các tỉnh.
2. Tiểu dự án 2: Truyền thông về giảm nghèo đa chiều
a) Phân bổ vốn ngân sách trung ương của Tiểu dự án: tối đa 35% cho các bộ, cơ quan trung ương; tối thiểu 65% cho các địa phương.
(1) Tiêu chí 1: Tổng tỷ lệ hộ nghèo và hộ cận nghèo của tỉnh
|
Tổng tỷ lệ hộ nghèo và hộ cận nghèo của tỉnh |
Hệ số |
|
Dưới 8% |
0,4 |
|
Từ 8% đến dưới 15% |
0,5 |
|
Từ 15% đến dưới 25% |
0,6 |
|
Từ 25% trở lên |
0,7 |
|
Tổng số hộ nghèo và hộ cận nghèo của tỉnh |
Hệ số |
|
Dưới 20.000 hộ |
0,4 |
|
Từ 20.000 đến dưới 40.000 hộ |
0,45 |
|
Từ 40.000 đến dưới 60.000 hộ |
0,5 |
|
Từ 60.000 đến dưới 80.000 hộ |
0,6 |
|
Từ 80.000 đến dưới 100.000 hộ |
0,7 |
|
Từ 100.000 đến dưới 150.000 hộ |
0,8 |
|
Từ 150.000 hộ trở lên |
0,9 |
|
Địa bàn khó khăn |
Hệ số |
|
Mỗi một huyện nghèo |
0,12 |
|
Mỗi một xã ĐBKK vùng bãi ngang, ven biển và hải đảo |
0,015 |
|
Số đơn vị hành chính cấp xã của tỉnh |
Hệ số |
|
Dưới 111 xã |
1 |
|
Từ 111 đến 150 xã |
1,15 |
|
Từ 151 đến 190 xã |
1,3 |
|
Từ 191 đến 300 xã |
1,5 |
|
Từ 301 xã trở lên |
2 |
Vốn ngân sách trung ương phân bổ cho từng tỉnh được tính theo công thức:
Pi = Q.Xi.Yi
Trong đó:
Pi là vốn ngân sách trung ương phân bổ cho tỉnh thứ i.
Xi là tổng số các hệ số tiêu chí tổng tỷ lệ hộ nghèo và hộ cận nghèo, tổng số hộ nghèo và hộ cận nghèo của tỉnh thứ i.
Yi là tổng hệ số tiêu chí vùng khó khăn, số đơn vị hành chính cấp xã của tỉnh thứ i quy định tại theo công thức: Yi = 0,12.HNi + 0,015.XNi + ĐVi
HNi là số huyện nghèo của tỉnh thứ i.
XNi là số xã ĐBKK vùng bãi ngang, ven biển và hải đảo của tỉnh thứ i.
ĐVi là hệ số đơn vị hành chính cấp xã của tỉnh thứ i.
Q là vốn bình quân cho một tỉnh được tính theo công thức:

G là tổng số vốn ngân sách trung ương phân bổ cho các tỉnh để thực hiện Tiểu dự án 2, thuộc Dự án 6.
Điều 11. Dự án 7: Nâng cao năng lực và giám sát, đánh giá Chương trình
1. Phân bổ vốn ngân sách trung ương của Tiểu dự án: tối đa 25% cho các bộ, cơ quan trung ương; tối thiểu 75% cho các địa phương.
2. Tiêu chí và hệ số phân bổ vốn cho địa phương
| Tổng tỷ lệ hộ nghèo và hộ cận nghèo của tỉnh | Hệ số |
| Dưới 8% | 0,4 |
| Từ 8% đến dưới 15% | 0,5 |
| Từ 15% đến dưới 25% | 0,6 |
| Từ 25% trở lên | 0,7 |
| Tổng số hộ nghèo và hộ cận nghèo của tỉnh | Hệ số |
| Dưới 20.000 hộ | 0,4 |
| Từ 20.000 đến dưới 40.000 hộ | 0,45 |
| Từ 40.000 đến dưới 60.000 hộ | 0,5 |
| Từ 60.000 đến dưới 80.000 hộ | 0,6 |
| Từ 80.000 đến dưới 100.000 hộ | 0,7 |
| Từ 100.000 đến dưới 150.000 hộ | 0,8 |
| Từ 150.000 hộ trở lên | 0,9 |
| Địa bàn khó khăn | Hệ số |
| Mỗi một huyện nghèo | 0,12 |
| Mỗi một xã ĐBKK vùng bãi ngang, ven biển và hải đảo | 0,015 |
| Số đơn vị hành chính cấp xã của tỉnh | Hệ số |
| Dưới 111 xã | 1 |
| Từ 111 đến 150 xã | 1,15 |
| Từ 151 đến 190 xã | 1,3 |
| Từ 191 đến 300 xã | 1,5 |
| Từ 301 xã trở lên | 2 |
Vốn ngân sách trung ương phân bổ cho từng tỉnh được tính theo công thức:
Ri = Q.Xi.Yi
Trong đó:
Ri là vốn ngân sách trung ương phân bổ cho tỉnh thứ i.
Xi là tổng số các hệ số tiêu chí tổng tỷ lệ hộ nghèo và hộ cận nghèo, tổng số hộ nghèo và hộ cận nghèo của tỉnh thứ i.
Yi là tổng hệ số tiêu chí vùng khó khăn, số đơn vị hành chính cấp xã của tỉnh thứ i quy định tại theo công thức: Yi = 0,12.HNi + 0,015.XNi + ĐVi
HNi là số huyện nghèo của tỉnh thứ i.
XNi là số xã ĐBKK vùng bãi ngang, ven biển và hải đảo của tỉnh thứ i.
ĐVi là hệ số đơn vị hành chính cấp xã của tỉnh thứ i.
Q là vốn bình quân cho một tỉnh được tính theo công thức:

G là tổng số vốn ngân sách trung ương phân bổ cho các tỉnh để thực hiện Dự án 7.
Mục 2
TỶ LỆ VỐN ĐỐI ỨNG CỦA NGÂN SÁCH ĐỊA PHƯƠNG THỰC HIỆN CHƯƠNG TRÌNH
Điều 12. Các tỉnh, thành phố trực thuộc trung ương tự cân đối được ngân sách (trừ tỉnh Quảng Ngãi, tỉnh Quảng Nam)
1. Trung ương hỗ trợ có mục tiêu vốn đầu tư cơ sở hạ tầng và duy tu bảo dưỡng từ ngân sách trung ương cho các huyện nghèo và xã đặc biệt khó khăn vùng bãi ngang, ven biển và hải đảo được cấp có thẩm quyền phê duyệt.
2. Bố trí nguồn vốn thực hiện Chương trình từ ngân sách địa phương và các nguồn vốn huy động hợp pháp khác đảm bảo thực hiện được các mục tiêu, chỉ tiêu, nhiệm vụ của Chương trình trên địa bàn.
Điều 13. Đối với các tỉnh, thành phố trực thuộc trung ương nhận hỗ trợ từ ngân sách trung ương và tỉnh Quảng Nam, tỉnh Quảng Ngãi
1. Căn cứ vào tình hình thực tế, khả năng cân đối ngân sách, các địa phương phải ưu tiên bố trí đủ vốn ngân sách địa phương theo quy định tại Nghị quyết số 24/2021/QH15 để triển khai thực hiện Chương trình theo kế hoạch hằng năm và 5 năm đã được cấp có thẩm quyền phê duyệt. Trong đó, ưu tiến vốn bố trí thêm nguồn vốn cho các huyện nghèo, xã đặc biệt khó khăn vùng bãi ngang, ven biển và hải đảo được cấp có thẩm quyền phê duyệt.
2. Tỷ lệ đối ứng từ ngân sách địa phương
a) Các địa phương nhận hỗ trợ từ ngân sách trung ương từ 70% trở lên: Hằng năm, ngân sách địa phương đối ứng tối thiểu bằng 3% tổng ngân sách trung ương hỗ trợ thực hiện Chương trình.
b) Các địa phương nhận hỗ trợ từ ngân sách trung ương từ 50% đến dưới 70%: Hằng năm, ngân sách địa phương đối ứng tối thiểu bằng 10% tổng ngân sách trung ương hỗ trợ thực hiện Chương trình.
c) Các địa phương nhận hỗ trợ từ ngân sách trung ương dưới 50% và tỉnh Quảng Ngãi, Quảng Nam: Hằng năm, ngân sách địa phương đối ứng tối thiểu bằng 15% tổng ngân sách trung ương hỗ trợ thực hiện Chương trình.
Chương III
ĐIỀU KHOẢN THI HÀNH
Điều 14. Bộ Lao động - Thương binh và Xã hội
1. Chủ trì, hướng dẫn các bộ, ngành trung ương, địa phương xây dựng kế hoạch và đề xuất phân bổ ngân sách trung ương thực hiện Chương trình giai đoạn 5 năm và hằng năm.
2. Chủ trì, tổng hợp kế hoạch và đề xuất phân bổ ngân sách trung ương thực hiện Chương trình giai đoạn 5 năm và hằng năm của các bộ, ngành, địa phương và thống nhất với Bộ Kế hoạch và Đầu tư, Bộ Tài chính trình cấp có thẩm quyền phê duyệt.
3. Hướng dẫn các bộ, ngành, địa phương tổ chức thực hiện Chương trình trên cơ sở nguồn vốn ngân sách trung ương đã được cấp có thẩm quyền quyết định phân bổ.
Điều 15. Bộ Kế hoạch và Đầu tư
1. Chủ trì, thống nhất với Bộ Lao động - Thương binh và Xã hội, Bộ Tài chính đề xuất phương án cân đối vốn đầu tư phát triển nguồn ngân sách trung ương thực hiện Chương trình.
2. Chủ trì, trình cấp có thẩm quyền phê duyệt mục tiêu thực hiện Chương trình và phương án phân bổ vốn đầu tư phát triển nguồn ngân sách trung ương trung hạn và hằng năm trong giai đoạn 2021 - 2025 để thực hiện Chương trình mục tiêu quốc gia về giảm nghèo.
Điều 16. Bộ Tài chính
1. Chủ trì, thống nhất với Bộ Lao động - Thương binh và Xã hội, Bộ Kế hoạch và Đầu tư đề xuất phương án cân đối kinh phí sự nghiệp nguồn ngân sách trung ương thực hiện Chương trình.
2. Chủ trì, trình cấp có thẩm quyền phê duyệt phương án phân bổ kinh phí sự nghiệp nguồn ngân sách trung ương để thực hiện Chương trình theo đúng nguyên tắc, tiêu chí và định mức quy định tại Quyết định này.
Điều 17. Bộ Nông nghiệp và Phát triển nông thôn, Bộ Thông tin và Truyền thông, Bộ Y tế, Bộ Xây dựng
1. Chủ trì, phối hợp với các bộ, cơ quan trung ương và địa phương xây dựng phương án phân bổ kế hoạch vốn ngân sách trung ương thực hiện dự án, tiểu dự án thuộc Chương trình do bộ, cơ quan trung ương quản lý theo đúng nguyên tắc, tiêu chí và định mức quy định tại Quyết định này gửi Bộ Lao động - Thương binh và Xã hội tổng hợp.
2. Chịu trách nhiệm về tính chính xác của các thông tin, số liệu và mức vốn phân bổ cho các dự án, tiểu dự án thuộc Chương trình do bộ, cơ quan trung ương được giao chủ trì, quản lý.
Điều 18. Các bộ, cơ quan trung ương và tổ chức liên quan
1. Phối hợp với Bộ Lao động - Thương binh và Xã hội, các bộ được giao chủ trì, quản lý các dự án, tiểu dự án thuộc Chương trình xây dựng kế hoạch, đề xuất kinh phí triển khai các hoạt động thuộc ngành, lĩnh vực theo chức năng, nhiệm vụ của bộ, ngành, cơ quan, tổ chức.
2. Cung cấp cho Bộ Lao động - Thương binh và Xã hội thông tin, số liệu thuộc ngành, lĩnh vực phụ trách phục vụ cho việc xây dựng các nguyên tắc, tiêu chí phân bổ vốn ngân sách trung ương thuộc Chương trình.
3. Chịu trách nhiệm trước Thủ tướng Chính phủ và các cơ quan thanh tra, kiểm tra, kiểm toán về tính chính xác các thông tin, số liệu và mức vốn phân bổ cho các hoạt động trong các dự án, tiểu dự án, nội dung thành phần thuộc Chương trình liên quan đến lĩnh vực do bộ, ngành, cơ quan, tổ chức quản lý.
4. Hằng năm, lập báo cáo kết quả thực hiện mục tiêu và kế hoạch vốn ngân sách trung ương được phân bổ thực hiện Chương trình gửi Bộ Lao động - Thương binh và Xã hội trước ngày 15 tháng 11 để tổng hợp, báo cáo Thủ tướng Chính phủ.
Điều 19. Ủy ban nhân dân các tỉnh, thành phố trực thuộc trung ương
1. Căn cứ Quy định nguyên tắc, tiêu chí, định mức phân bổ vốn ngân sách trung ương và tỷ lệ vốn đối ứng của ngân sách địa phương, khả năng tài chính và đặc điểm tình hình của địa phương, bố trí vốn đối ứng, lồng ghép các nguồn lực khác, xây dựng các nguyên tắc, tiêu chí, định mức phân bổ vốn ngân sách nhà nước cho các ngành, các cấp của địa phương để thực hiện Chương trình và trình Hội đồng nhân dân tỉnh, thành phố trực thuộc trung ương quyết định.
2. Xây dựng kế hoạch và đề xuất phân bổ vốn ngân sách trung ương thực hiện Chương trình giai đoạn 5 năm và hằng năm theo hướng dẫn của Bộ Lao động - Thương binh và Xã hội, bảo đảm đúng các nguyên tắc, tiêu chí và định mức theo quy định.
3. Chịu trách nhiệm trước Thủ tướng Chính phủ và các cơ quan thanh tra, kiểm tra, kiểm toán về tính chính xác các thông tin, số liệu và mức vốn phân bổ cho các dự án trong kế hoạch đầu tư phát triển và sự nghiệp nguồn ngân sách nhà nước trung hạn và hằng năm thuộc Chương trình do địa phương quản lý.
4. Hằng năm, lập báo cáo về kết quả thực hiện mục tiêu và kế hoạch vốn ngân sách trung ương được phân bổ và vốn đối ứng của địa phương, nguồn huy động hợp pháp thực hiện Chương trình gửi Bộ Lao động - Thương binh và Xã hội trước ngày 15 tháng 11 để tổng hợp, báo cáo Thủ tướng Chính phủ.
Điều 20. Hiệu lực thi hành
1. Quyết định này có hiệu lực từ ngày 08 tháng 3 năm 2022.
2. Quyết định số 48/2016/QĐ-TTg ngày 31 tháng 10 năm 2016 của Thủ tướng Chính phủ ban hành quy định nguyên tắc, tiêu chí, định mức phân bổ vốn ngân sách trung ương và tỷ lệ vốn đối ứng của ngân sách địa phương thực hiện Chương trình mục tiêu quốc gia giảm nghèo bền vững giai đoạn 2016 - 2020 hết hiệu lực kể từ ngày Quyết định này có hiệu lực thi hành.
3. Nguyên tắc, tiêu chí, định mức phân bổ vốn ngân sách trung ương và tỷ lệ vốn đối ứng của ngân sách địa phương thực hiện Chương trình mục tiêu quốc gia giảm nghèo bền vững giai đoạn 2021 - 2025 quy định tại Quyết định này áp dụng cho các năm ngân sách giai đoạn 2021 - 2025.
Điều 21. Trách nhiệm thi hành
Các Bộ trưởng, Thủ trưởng cơ quan ngang bộ, Thủ trưởng cơ quan thuộc Chính phủ, Chủ tịch Ủy ban nhân dân các tỉnh, thành phố trực thuộc trung ương và Thủ trưởng các cơ quan, đơn vị sử dụng vốn ngân sách nhà nước thuộc Chương trình mục tiêu quốc gia giảm nghèo bền vững giai đoạn 2021 - 2025 chịu trách nhiệm thi hành Quyết định này./.
|
Nơi nhận: - Ban Bí thư Trung ương Đảng; - Thủ tướng, các Phó Thủ tướng Chính phủ; - Các bộ, cơ quan ngang bộ, cơ quan thuộc Chính phủ; - HĐND, UBND các tỉnh, thành phố trực thuộc trung ương; - Văn phòng Trung ương Đảng và các Ban của Đảng; - Văn phòng Tổng Bí thư; - Văn phòng Chủ tịch nước; - Hội đồng Dân tộc và các Ủy ban của Quốc hội; - Văn phòng Quốc hội; - Tòa án nhân dân tối cao; - Viện kiểm sát nhân dân tối cao; - Kiểm toán nhà nước; - Ủy ban giám sát tài chính Quốc gia; - Ngân hàng Chính sách Xã hội; - Ngân hàng Phát triển Việt Nam; - Ủy ban trung ương Mặt trận Tổ quốc Việt Nam; - Cơ quan trung ương của các đoàn thể; - VPCP: BTCN, các PCN, Trợ lý TTg, TGĐ cổng TTĐT, các Vụ, Cục đơn vị trực thuộc, Công báo; - Lưu: VT, KTTH (2b) |
KT. THỦ TƯỚNG PHÓ THỦ TƯỚNG
Phạm Bình Minh
|
Bạn chưa Đăng nhập thành viên.
Đây là tiện ích dành cho tài khoản thành viên. Vui lòng Đăng nhập để xem chi tiết. Nếu chưa có tài khoản, vui lòng Đăng ký tại đây!
Bạn chưa Đăng nhập thành viên.
Đây là tiện ích dành cho tài khoản thành viên. Vui lòng Đăng nhập để xem chi tiết. Nếu chưa có tài khoản, vui lòng Đăng ký tại đây!