- Tổng quan
- Nội dung
- VB gốc
- Tiếng Anh
- Hiệu lực
- VB liên quan
- Lược đồ
-
Nội dung hợp nhất
Tính năng này chỉ có tại LuatVietnam.vn. Nội dung hợp nhất tổng hợp lại tất cả các quy định còn hiệu lực của văn bản gốc và các văn bản sửa đổi, bổ sung, đính chính... trên một trang. Việc hợp nhất văn bản gốc và những văn bản, Thông tư, Nghị định hướng dẫn khác không làm thay đổi thứ tự điều khoản, nội dung.
Khách hàng chỉ cần xem Nội dung hợp nhất là có thể nắm bắt toàn bộ quy định hiện hành đang áp dụng, cho dù văn bản gốc đã qua nhiều lần chỉnh sửa, bổ sung.
- Tải về
Thông tư 07/2016/TT-BNNPTNT quy định về phòng, chống dịch bệnh động vật trên cạn
| Cơ quan ban hành: | Bộ Nông nghiệp và Phát triển nông thôn |
Số công báo:
Số công báo là mã số ấn phẩm được đăng chính thức trên ấn phẩm thông tin của Nhà nước. Mã số này do Chính phủ thống nhất quản lý.
|
Đã biết
|
| Số hiệu: | 07/2016/TT-BNNPTNT | Ngày đăng công báo: |
Đã biết
|
| Loại văn bản: | Thông tư | Người ký: | Vũ Văn Tám |
|
Ngày ban hành:
Ngày ban hành là ngày, tháng, năm văn bản được thông qua hoặc ký ban hành.
|
31/05/2016 |
Ngày hết hiệu lực:
Ngày hết hiệu lực là ngày, tháng, năm văn bản chính thức không còn hiệu lực (áp dụng).
|
Đang cập nhật |
|
Áp dụng:
Ngày áp dụng là ngày, tháng, năm văn bản chính thức có hiệu lực (áp dụng).
|
Đã biết
|
Tình trạng hiệu lực:
Cho biết trạng thái hiệu lực của văn bản đang tra cứu: Chưa áp dụng, Còn hiệu lực, Hết hiệu lực, Hết hiệu lực 1 phần; Đã sửa đổi, Đính chính hay Không còn phù hợp,...
|
Đã biết
|
| Lĩnh vực: | Nông nghiệp-Lâm nghiệp |
TÓM TẮT THÔNG TƯ 07/2016/TT-BNNPTNT
Ngày 31/05/2016, Bộ Nông nghiệp và Phát triển nông thôn đã ban hành Thông tư số 07/2016/TT-BNNPTNT quy định về phòng, chống dịch bệnh động vật trên cạn.
Theo Thông tư, việc áp dụng các biện pháp tiêu hủy bắt buộc hoặc giết mổ bắt buộc phụ thuộc vào từng loại bệnh động vật, bao gồm: Bệnh Cúm gia cầm (áp dụng đối với thể độc lực cao hoặc chủng vi rút có khả năng truyền lây bệnh cho người); Bệnh Lở mồm long móng; Bệnh Tai xanh ở lợn; Bệnh Nhiệt thán; Bệnh Dịch tả lợn; Bệnh Xoắn khuẩn; Bệnh Dại động vật; Bệnh Niu-cát-xơn; Bệnh Liên cầu khuẩn lợn (típ 2); Bệnh Giun xoắn; Bệnh Lao bò; Bệnh Sảy thai truyền nhiễm.
Tổ chức, cá nhân khi phát hiện động vật mắc bệnh, chết, có dấu hiệu mắc bệnh truyền nhiễm hoặc động vật nuôi bị chết bất thường mà không rõ nguyên nhân phải thực hiện ngay việc khai báo dịch bệnh động vật cho nhân viên thú y cấp xã, UBND cấp xã hoặc cơ quan quản lý chuyên ngành thú y nơi gần nhất theo quy định; nội dung khai báo bao gồm: Tổ chức, cá nhân khai báo; Địa điểm, thời gian phát hiện dịch bệnh động vật; Loại động vật; Số lượng động vật; Mô tả dấu hiệu bệnh.
Thông tư này có hiệu lực kể từ ngày 15/07/2016.
Xem chi tiết Thông tư 07/2016/TT-BNNPTNT có hiệu lực kể từ ngày 15/07/2016
Tải Thông tư 07/2016/TT-BNNPTNT
|
BỘ NÔNG NGHIỆP Số: 07/2016/TT-BNNPTNT |
CỘNG HÒA XÃ HỘI CHỦ NGHĨA VIỆT NAM Hà Nội, ngày 31 tháng 5 năm 2016 |
THÔNG TƯ
QUY ĐỊNH VỀ PHÒNG, CHỐNG DỊCH BỆNH ĐỘNG VẬT TRÊN CẠN
Căn cứ Luật thú y ngày 19 tháng 6 năm 2015;
Căn cứ Nghị định số 199/2013/NĐ-CP ngày 26/11/2013 của Chính phủ quy định chức năng, nhiệm vụ, quyền hạn và cơ cấu tổ chức của Bộ Nông nghiệp và Phát triển nông thôn;
Theo đề nghị của Cục trưởng Cục Thú y;
Bộ trưởng Bộ Nông nghiệp và Phát triển nông thôn ban hành Thông tư quy định về phòng, chống dịch bệnh động vật trên cạn,
Chương I
NHỮNG QUY ĐỊNH CHUNG
Điều 1. Phạm vi điều chỉnh, đối tượng áp dụng
1. Thông tư này quy định chi tiết một số điều của Luật thú y về phòng, chống dịch bệnh động vật trên cạn, bao gồm:
a) Danh mục bệnh động vật phải công bố dịch, Danh mục bệnh truyền lây giữa động vật và người, Danh mục bệnh động vật cấm giết mổ, chữa bệnh;
b) Quy định các biện pháp phòng bệnh bắt buộc; yêu cầu vệ sinh thú y, vệ sinh môi trường trong chăn nuôi; điều kiện động vật, sản phẩm động vật được vận chuyển ra khỏi vùng có dịch;
c) Quy định việc sử dụng thuốc thú y chưa được lưu hành tại Việt Nam trong trường hợp khẩn cấp để kịp thời phòng, chống dịch bệnh động vật;
d) Khai báo, chẩn đoán, điều tra dịch bệnh động vật;
đ) Xử lý bắt buộc động vật mắc bệnh, có dấu hiệu mắc bệnh và sản phẩm động vật mang mầm bệnh thuộc Danh mục bệnh động vật phải công bố dịch, Danh mục bệnh truyền lây giữa động vật và người hoặc phát hiện có tác nhân gây bệnh truyền nhiễm mới;
e) Điều kiện để công bố hết dịch bệnh động vật.
2. Thông tư này áp dụng đối với tổ chức, cá nhân trong nước và tổ chức, cá nhân nước ngoài có liên quan đến hoạt động phòng, chống dịch bệnh động vật trên cạn trên lãnh thổ Việt Nam.
Điều 2. Danh mục bệnh động vật trên cạn phải công bố dịch, Danh mục bệnh truyền lây giữa động vật và người, Danh mục bệnh động vật cấm giết mổ, chữa bệnh
1. Danh mục bệnh động vật trên cạn phải công bố dịch theo quy định tại mục 1 của Phụ lục 01 ban hành kèm theo Thông tư này.
2. Danh mục bệnh truyền lây giữa động vật và người theo quy định tại mục 2 của Phụ lục 01 ban hành kèm theo Thông tư này.
3. Danh mục bệnh động vật cấm giết mổ, chữa bệnh theo quy định tại mục 3 của Phụ lục 01 ban hành kèm theo Thông tư này.
Chương II
QUY ĐỊNH VỀ PHÒNG, CHỐNG DỊCH BỆNH ĐỘNG VẬT TRÊN CẠN
Điều 3. Các biện pháp phòng bệnh bắt buộc cho động vật trên cạn
1. Các biện pháp phòng bệnh bắt buộc cho động vật trên cạn bao gồm:
a) Thực hiện vệ sinh, khử trùng tiêu độc định kỳ theo hướng dẫn tại Phụ lục 08 ban hành kèm theo Thông tư này;
b) Phòng bệnh bắt buộc cho động vật bằng vắc-xin được thực hiện đối với một số bệnh truyền nhiễm nguy hiểm theo quy định tại mục 1 của Phụ lục 07 ban hành kèm theo Thông tư này;
Căn cứ vào đặc điểm dịch tễ, sự lưu hành của các tác nhân gây bệnh truyền nhiễm nguy hiểm ở động vật trên địa bàn và hướng dẫn phòng bệnh bằng vắc-xin đối với từng bệnh tại các Phụ lục 09, 10, 12, 13, 15, 16, 21 và 22 ban hành kèm theo Thông tư này, cơ quan quản lý chuyên ngành thú y địa phương trình cấp có thẩm quyền quyết định việc phòng bệnh bắt buộc bằng vắc-xin đối với bệnh động vật cụ thể quy định tại mục 1.1 của Phụ lục 07 cho phù hợp với điều kiện của địa phương và cấp Giấy chứng nhận tiêm phòng theo mẫu quy định tại mục 3 của Phụ lục 07.
2. Các cơ sở chăn nuôi gia súc giống, gia cầm giống và bò sữa, ngoài việc thực hiện theo quy định tại khoản 1 Điều này phải thực hiện giám sát định kỳ đối với một số bệnh truyền lây giữa động vật và người theo quy định tại mục 2 của Phụ lục 07 ban hành kèm theo Thông tư này. Căn cứ bệnh động vật quy định tại mục 2.1 của Phụ lục 07 và Phụ lục 02 ban hành kèm theo Thông tư này, việc giám sát định kỳ được thực hiện như sau:
a) Cơ quan quản lý chuyên ngành thú y địa phương tổ chức giám sát bệnh định kỳ đối với các cơ sở chăn nuôi gia súc giống, gia cầm giống và bò sữa do địa phương quản lý;
b) Cục Thú y tổ chức giám sát bệnh định kỳ đối với cơ sở chăn nuôi gia súc giống, gia cầm giống và bò sữa có vốn đầu tư nước ngoài hoặc do Trung ương quản lý.
Điều 4. Yêu cầu vệ sinh thú y, vệ sinh môi trường trong chăn nuôi đối với cơ sở chăn nuôi tập trung
1. Cơ sở chăn nuôi động vật tập trung phải tuân thủ yêu cầu vệ sinh thú y, vệ sinh môi trường trong chăn nuôi theo quy định của pháp luật để phòng bệnh cho động vật.
2. Cơ sở chăn nuôi động vật tập trung bảo đảm yêu cầu vệ sinh thú y, vệ sinh môi trường và được cơ quan quản lý chuyên ngành thú y tổ chức lấy mẫu, xét nghiệm, nếu có kết quả âm tính đối với bệnh quy định tại mục 1 Phụ lục 07 ban hành kèm theo Thông tư này thì không phải thực hiện phòng bệnh bắt buộc bằng vắc-xin đối với bệnh đó.
Điều 5. Điều kiện động vật, sản phẩm động vật được vận chuyển ra khỏi vùng có dịch
1. Cơ sở chăn nuôi đã được công nhận an toàn dịch bệnh hoặc cơ sở chăn nuôi đã tham gia chương trình giám sát dịch bệnh, nếu có nhu cầu vận chuyển động vật mẫn cảm với bệnh được công bố dịch và sản phẩm của chúng ra khỏi vùng có dịch phải bảo đảm các điều kiện sau đây:
a) Được cơ quan quản lý chuyên ngành thú y địa phương tổ chức lấy mẫu, xét nghiệm và có kết quả xét nghiệm âm tính đối với mầm bệnh của bệnh được công bố dịch;
b) Được vận chuyển bằng phương tiện đáp ứng yêu cầu tại Quy chuẩn kỹ thuật quốc gia QCVN 01 - 100: 2012/BNNPTNT: Yêu cầu chung về vệ sinh thú y trang thiết bị, dụng cụ, phương tiện vận chuyển động vật, sản phẩm động vật tươi sống và sơ chế;
c) Phương tiện vận chuyển động vật, chứa đựng sản phẩm động vật phải được niêm phong, kẹp chì theo hướng dẫn của cơ quan quản lý chuyên ngành thú y địa phương.
2. Cơ quan quản lý chuyên ngành thú y cấp tỉnh tổ chức thực hiện việc lấy mẫu, xét nghiệm; vệ sinh, khử trùng tiêu độc phương tiện vận chuyển đối với động vật, sản phẩm động vật quy định tại khoản 1 Điều này và hướng dẫn tuyến đường vận chuyển ra khỏi vùng có dịch.
3. Việc kiểm dịch vận chuyển động vật, sản phẩm động vật quy định tại Điều này phải bảo đảm về hồ sơ, trình tự, thủ tục kiểm dịch theo quy định của Bộ Nông nghiệp và Phát triển nông thôn.
Điều 6. Quy định việc sử dụng thuốc thú y chưa được đăng ký lưu hành tại Việt Nam trong trường hợp khẩn cấp để phòng, chống dịch bệnh động vật trên cạn
1. Trong trường hợp có dịch bệnh đối với các bệnh động vật quy định tại Điều 2 Thông tư này hoặc bệnh truyền nhiễm mới mà trong nước chưa sẵn có thuốc thú y phù hợp để phòng, chống dịch bệnh, Cục Thú y trình Bộ trưởng Bộ Nông nghiệp và Phát triển nông thôn quyết định việc sử dụng thuốc thú y chưa được lưu hành tại Việt Nam để phòng, chống dịch bệnh khẩn cấp.
2. Việc nhập khẩu thuốc thú y quy định tại khoản 1 Điều này phải bảo đảm về hồ sơ, trình tự, thủ tục nhập khẩu theo quy định của Bộ Nông nghiệp và Phát triển nông thôn.
3. Việc sử dụng thuốc thú y quy định tại khoản 1 Điều này đề phòng, chống dịch bệnh động vật khẩn cấp phải theo đúng hướng dẫn của nhà sản xuất thuốc hoặc chỉ định của cơ quan quản lý chuyên ngành thú y.
Điều 7. Khai báo và báo cáo dịch bệnh động vật
1. Tổ chức, cá nhân khi phát hiện động vật mắc bệnh, chết, có dấu hiệu mắc bệnh truyền nhiễm hoặc động vật nuôi bị chết bất thường mà không rõ nguyên nhân phải thực hiện ngay việc khai báo dịch bệnh động vật cho nhân viên thú y cấp xã, Ủy ban nhân dân (UBND) cấp xã hoặc cơ quan quản lý chuyên ngành thú y nơi gần nhất theo quy định tại khoản 1 Điều 19 của Luật thú y bao gồm các thông tin sau đây:
a) Tổ chức, cá nhân khai báo;
b) Địa điểm, thời gian phát hiện dịch bệnh động vật;
c) Loại động vật;
d) Số lượng động vật;
đ) Mô tả dấu hiệu bệnh.
2. Việc báo cáo dịch bệnh động vật được thực hiện như sau:
a) Ở cấp xã: Nhân viên thú y cấp xã có trách nhiệm báo cáo dịch bệnh động vật cho Chủ tịch UBND cấp xã và cơ quan quản lý chuyên ngành thú y cấp huyện;
b) Ở cấp huyện: Cơ quan quản lý chuyên ngành thú y cấp huyện có trách nhiệm báo cáo dịch bệnh động vật cho UBND cấp huyện và cơ quan quản lý chuyên ngành thú y cấp tỉnh;
c) Ở cấp tỉnh: Cơ quan quản lý chuyên ngành thú y cấp tỉnh có trách nhiệm báo cáo dịch bệnh động vật cho Sở Nông nghiệp và Phát triển nông thôn, Cơ quan Thú y vùng, Cục Thú y;
d) Ở cấp trung ương: Cục Thú y có trách nhiệm báo cáo dịch bệnh động vật cho Bộ trưởng Bộ Nông nghiệp và Phát triển nông thôn và các tổ chức quốc tế mà Việt Nam là thành viên hoặc các quốc gia mà Việt Nam cam kết thực hiện báo cáo, chia sẻ thông tin dịch bệnh động vật;
đ) Trong trường hợp dịch bệnh truyền nhiễm nguy hiểm, có khả năng lây lan nhanh, ở phạm vi rộng, tổ chức, cá nhân quy định tại điểm a, b và c khoản này được phép báo cáo vượt cấp lên chính quyền và các cơ quan quản lý chuyên ngành thú y cấp cao hơn;
e) Trường hợp xuất hiện dịch bệnh động vật thuộc Danh mục bệnh truyền lây giữa động vật và người, nhân viên thú y cấp xã và cơ quan quản lý chuyên ngành thú y còn phải thực hiện việc báo cáo dịch bệnh động vật cho cơ quan y tế cùng cấp có liên quan theo các quy định hiện hành;
g) Việc kiểm tra, xác minh, thu thập thông tin và báo cáo dịch bệnh động vật quy định tại các điểm a, b, c, d, đ và e của khoản này phải được thực hiện trong vòng 24 giờ đối với vùng đồng bằng, trung du và 72 giờ đối với vùng sâu, vùng xa, biên giới, hải đảo kể từ khi nhận được thông tin khai báo dịch bệnh động vật từ các cá nhân, tổ chức có liên quan.
3. Trường hợp nghi ngờ xuất hiện bệnh động vật quy định tại Điều 2 của Thông tư này, nhân viên thú y cấp xã và cơ quan quản lý chuyên ngành thú y thực hiện ngay việc báo cáo ổ dịch bệnh động vật bao gồm các nội dung sau đây:
a) Về địa điểm nơi động vật mắc bệnh, chết, có dấu hiệu mắc bệnh: Tên chủ vật nuôi hoặc địa điểm nơi phát hiện động vật (địa chỉ cụ thể đến thôn, ấp, bản hoặc số nhà); số lượng tổ chức, cá nhân, hộ gia đình có động vật mắc bệnh; số lượng thôn, ấp, bản có động vật mắc bệnh;
b) Thời gian động vật bắt đầu có biểu hiện triệu chứng lâm sàng hoặc chết; diễn biến tình hình bệnh theo ngày;
c) Thông tin liên quan đến động vật mắc bệnh, chết, có dấu hiệu mắc bệnh: Loại động vật; nguồn gốc của động vật; tổng đàn động vật cảm nhiễm; số lượng từng loại động vật bị mắc bệnh, chết, tiêu hủy; triệu chứng, bệnh tích của động vật mắc bệnh; loại thuốc điều trị, vắc-xin, chế phẩm sinh học đã sử dụng và thời gian sử dụng; số động vật được điều trị, được sử dụng vắc-xin, số động vật khỏi bệnh;
d) Tác nhân gây bệnh (nếu biết), nguồn bệnh đang nghi ngờ hoặc đã được xác định, kết quả các chương trình giám sát bị động và giám sát chủ động đối với bệnh (nếu có);
đ) Nhận định tình hình, các biện pháp đã triển khai, các biện pháp sẽ áp dụng, đề xuất, kiến nghị.
4. Báo cáo cập nhật ổ dịch bệnh động vật
a) Báo cáo cập nhật ổ dịch được áp dụng trong trường hợp dịch bệnh động vật quy định tại Điều 2 của Thông tư này đã được cơ quan quản lý chuyên ngành thú y xác nhận;
b) Báo cáo cập nhật ổ dịch được nhân viên thú y cấp xã và cơ quan quản lý chuyên ngành thú y thực hiện vào trước 16 giờ hàng ngày cho đến khi kết thúc đợt dịch, kể cả ngày lễ và ngày nghỉ cuối tuần;
c) Biểu mẫu báo cáo cập nhật ổ dịch theo quy định tại mục 1 Phụ lục 03 ban hành kèm theo Thông tư này.
5. Báo cáo điều tra ổ dịch bệnh động vật
a) Báo cáo điều tra ổ dịch được áp dụng trong trường hợp dịch bệnh động vật quy định tại Điều 2 của Thông tư này đã được cơ quan quản lý chuyên ngành thú y xác nhận;
b) Báo cáo điều tra ổ dịch được cơ quan quản lý chuyên ngành thú y thực hiện trong vòng 07 ngày kể từ khi ổ dịch được cơ quan quản lý chuyên ngành thú y xác nhận;
c) Nội dung của báo cáo điều tra ổ dịch được thực hiện theo quy định tại khoản 2 Điều 9 của Thông tư này.
6. Báo cáo kết thúc ổ dịch bệnh động vật được cơ quan quản lý chuyên ngành thú y địa phương thực hiện trong vòng 07 ngày kể từ khi kết thúc ổ dịch theo quy định của pháp luật.
7. Báo cáo định kỳ dịch bệnh động vật
a) Báo cáo tháng được cơ quan quản lý chuyên ngành thú y thực hiện bằng hình thức báo cáo văn bản và qua thư điện tử, bao gồm các thông tin về dịch bệnh động vật được tính từ ngày 01 đến ngày cuối cùng của tháng;
b) Báo cáo quý, 6 tháng và báo cáo năm được cơ quan quản lý chuyên ngành thú y tổng hợp, báo cáo thông tin về dịch bệnh động vật trong kỳ báo cáo;
c) Báo cáo định kỳ được thực hiện trong tuần đầu tiên của kỳ báo cáo tiếp theo;
d) Nội dung báo cáo định kỳ được thực hiện theo biểu mẫu quy định tại mục 2 Phụ lục 03 của Thông tư này.
8. Cơ quan quản lý chuyên ngành thú y phải tổ chức lưu trữ, bảo mật thông tin dịch bệnh động vật trên địa bàn quản lý bằng văn bản và cơ sở dữ liệu máy tính theo các quy định hiện hành.
Điều 8. Chẩn đoán bệnh động vật
1. Tổ chức, cá nhân thực hiện việc lấy mẫu bệnh phẩm gửi xét nghiệm phải tuân thủ theo Quy chuẩn Việt Nam QCVN 01 - 83: 2011/BNNPTNT được ban hành theo Thông tư số 71/2011/TT-BNNPTNT ngày 25 tháng 10 năm 2011 của Bộ Nông nghiệp và Phát triển nông thôn.
2. Mẫu bệnh phẩm phải bảo đảm chất lượng cho việc thực hiện xét nghiệm, xác định tác nhân gây bệnh và phải được gửi kèm theo phiếu gửi bệnh phẩm xét nghiệm đến phòng thử nghiệm được cơ quan có thẩm quyền công nhận. Mẫu phiếu gửi bệnh phẩm xét nghiệm theo quy định tại Phụ lục 04 ban hành kèm theo Thông tư này.
3. Tổ chức, cá nhân thực hiện việc chẩn đoán, xét nghiệm bệnh động vật thực hiện theo các Quy chuẩn kỹ thuật quốc gia, Tiêu chuẩn quốc gia về quy trình chẩn đoán bệnh động vật, bảo đảm tuân thủ các quy định của Luật thú y, Luật phòng chống bệnh truyền nhiễm và Luật bảo vệ môi trường.
4. Phòng thử nghiệm phải tổ chức chẩn đoán, xét nghiệm mẫu bệnh phẩm ngay sau khi nhận được mẫu và trả lời kết quả theo Mẫu phiếu trả lời kết quả xét nghiệm theo quy định tại Phụ lục 04 ban hành kèm theo Thông tư này. Trường hợp chưa thực hiện chẩn đoán, xét nghiệm hoặc chưa xác định được bệnh, phòng thử nghiệm phải thông báo bằng văn bản cho tổ chức, cá nhân gửi mẫu bệnh phẩm và nêu rõ lý do.
5. Các phòng thử nghiệm chịu trách nhiệm báo cáo ngay kết quả xét nghiệm cho cơ quan quản lý chuyên ngành thú y có thẩm quyền.
6. Cục Thú y hướng dẫn việc lấy mẫu, chẩn đoán, xét nghiệm trong trường hợp xuất hiện tác nhân gây bệnh truyền nhiễm mới.
Điều 9. Điều tra ổ dịch
1. Nguyên tắc điều tra ổ dịch
a) Điều tra ổ dịch được thực hiện đối với các trường hợp nghi ngờ có ổ dịch bệnh động vật quy định tại Điều 2 của Thông tư này và phải được tiến hành trong vòng 24 giờ đối với vùng đồng bằng hoặc 72 giờ đối với vùng sâu, vùng xa kể từ khi nhận được thông tin về ổ dịch;
b) Trước khi điều tra tại ổ dịch phải thu thập đầy đủ thông tin về tình hình chăn nuôi, dịch bệnh động vật; chuẩn bị nguyên vật liệu, dụng cụ, trang thiết bị, hóa chất cần thiết cho điều tra ổ dịch; chuẩn bị dụng cụ lấy mẫu, bảo quản, vận chuyển mẫu, bảo hộ cá nhân; các quy định hiện hành về phòng chống dịch bệnh; nguồn lực, tài chính cần thiết; biểu mẫu, dụng cụ thu thập thông tin;
c) Thông tin về ổ dịch phải được thu thập chi tiết, đầy đủ, chính xác và kịp thời.
2. Nội dung điều tra ổ dịch
a) Thu thập thông tin ban đầu ở thời điểm trước và trong thời gian xảy ra ổ dịch, xác định các đặc điểm dịch tễ cơ bản và sự tồn tại của ổ dịch; truy xuất nguồn gốc ổ dịch;
b) Cập nhật thông tin về ổ dịch, bao gồm: kiểm tra, đối chiếu với những thông tin được báo cáo trước đó; kiểm tra lâm sàng, số lượng, loài, lứa tuổi, ngày phát hiện động vật mắc bệnh, xác định ca bệnh đầu tiên; số lượng động vật mắc bệnh; thuốc thú y, vắc-xin, hóa chất đã được sử dụng; xác định các yếu tố nguy cơ có liên quan;
c) Mô tả diễn biến của ổ dịch theo thời gian, địa điểm, động vật mắc bệnh, có dấu hiệu mắc bệnh; đánh giá về nguyên nhân ổ dịch;
d) Đề xuất tiến hành nghiên cứu các yếu tố nguy cơ;
đ) Tổng hợp, phân tích, đánh giá và đưa ra chẩn đoán xác định ổ dịch, xác định dịch bệnh, phương thức lây lan;
e) Báo cáo kết quả điều tra ổ dịch, nhận định, dự báo tình hình dịch bệnh trong thời gian tiếp theo, đề xuất các biện pháp phòng, chống dịch.
3. Trách nhiệm điều tra ổ dịch
a) Cơ quan quản lý chuyên ngành thú y cấp huyện khi nhận được thông báo có động vật mắc bệnh, chết, có dấu hiệu mắc bệnh truyền nhiễm có trách nhiệm thực hiện điều tra ổ dịch bệnh trên động vật;
b) Cơ quan quản lý chuyên ngành thú y cấp tỉnh có trách nhiệm chỉ đạo, tư vấn, hỗ trợ điều tra ổ dịch đối với cơ quan quản lý chuyên ngành thú y cấp huyện;
c) Ủy ban nhân dân các cấp có trách nhiệm chỉ đạo các cơ quan chức năng của địa phương hỗ trợ cơ quan quản lý chuyên ngành thú y thực hiện điều tra ổ dịch trên địa bàn quản lý;
d) Đối với dịch bệnh động vật có diễn biến phức tạp, xuất hiện yếu tố dịch tễ mới, cơ quan quản lý chuyên ngành thú y cấp tỉnh đề nghị Cơ quan Thú y vùng, Cục Thú y hỗ trợ công tác điều tra ổ dịch tại địa phương.
Điều 10. Xử lý bắt buộc động vật mắc bệnh, có dấu hiệu mắc bệnh và sản phẩm động vật mang mầm bệnh truyền nhiễm
1. Việc áp dụng các biện pháp tiêu hủy bắt buộc hoặc giết mổ bắt buộc phụ thuộc vào từng loại bệnh động vật được quy định chi tiết tại các Phụ lục ban hành kèm theo Thông tư này, bao gồm:
a) Bệnh Cúm gia cầm (áp dụng đối với thể độc lực cao hoặc chủng vi rút có khả năng truyền lây bệnh cho người) theo quy định tại Phụ lục 09;
b) Bệnh Lở mồm long móng theo quy định tại Phụ lục 10;
c) Bệnh Tai xanh ở lợn theo quy định tại Phụ lục 11;
d) Bệnh Nhiệt thán theo quy định tại Phụ lục 12;
đ) Bệnh Dịch tả lợn theo quy định tại Phụ lục 13;
e) Bệnh Xoắn khuẩn theo quy định tại Phụ lục 14;
g) Bệnh Dại động vật theo quy định tại Phụ lục 15;
h) Bệnh Niu-cát-xơn theo quy định tại Phụ lục 16;
i) Bệnh Liên cầu khuẩn lợn (típ 2) theo quy định tại Phụ lục 17;
k) Bệnh Giun xoắn theo quy định tại Phụ lục 18;
l) Bệnh Lao bò theo quy định tại Phụ lục 19;
m) Bệnh Sảy thai truyền nhiễm theo quy định tại Phụ lục 20.
2. Đối với động vật, sản phẩm động vật mang tác nhân gây bệnh truyền nhiễm mới, Cục Thú y trình Bộ Nông nghiệp và Phát triển nông thôn quyết định các biện pháp xử lý bắt buộc.
3. Các biện pháp kỹ thuật trong tiêu hủy, giết mổ động vật mắc bệnh, có dấu hiệu mắc bệnh, tiêu hủy sản phẩm động vật mang mầm bệnh truyền nhiễm được thực hiện theo quy định tại Phụ lục 06 và hướng dẫn tại các Phụ lục 09, 10, 11, 12, 13, 14, 15, 16, 17, 18, 19, 20, 21 và 22 ban hành kèm theo Thông tư này.
Điều 11. Điều kiện để công bố hết dịch bệnh động vật
Việc công bố hết dịch bệnh động vật bao gồm các điều kiện sau đây:
1. Trong thời gian 21 ngày kể từ ngày con vật mắc bệnh cuối cùng bị chết, bị tiêu hủy, giết mổ bắt buộc hoặc lành bệnh mà không có con vật nào bị mắc bệnh hoặc chết vì dịch bệnh động vật đã công bố.
2. Đã phòng bệnh bằng vắc-xin cho động vật mẫn cảm với bệnh dịch được công bố đạt tỷ lệ trên 90% số động vật trong diện tiêm trong vùng có dịch và trên 80% số động vật trong diện tiêm trong vùng bị dịch uy hiếp hoặc đã áp dụng biện pháp phòng bệnh bắt buộc khác cho động vật mẫn cảm với bệnh trong vùng có dịch, vùng bị dịch uy hiếp theo hướng dẫn của cơ quan quản lý chuyên ngành thú y.
3. Thực hiện tổng vệ sinh, khử trùng tiêu độc trong khoảng thời gian quy định tại khoản 1 Điều này đối với vùng có dịch, vùng bị dịch uy hiếp theo hướng dẫn tại mục 5 của Phụ lục 08 ban hành kèm theo Thông tư này, bảo đảm đạt yêu cầu vệ sinh thú y.
4. Có văn bản đề nghị công bố hết dịch bệnh động vật của cơ quan quản lý chuyên ngành thú y địa phương và văn bản chấp thuận công bố hết dịch gửi kèm theo biên bản thẩm định điều kiện công bố hết dịch của cơ quan quản lý chuyên ngành thú y cấp trên.
Chương III
TỔ CHỨC THỰC HIỆN
Điều 12. Trách nhiệm của Cục Thú y
1. Hướng dẫn, kiểm tra và giám sát việc triển khai các quy định tại Thông tư này và các quy định có liên quan khác về phòng, chống dịch bệnh động vật trên cạn.
2. Xem xét, đề xuất Bộ Nông nghiệp và Phát triển nông thôn bổ sung bệnh động vật vào danh mục quy định tại Điều 2 của Thông tư này khi có các bệnh nguy hiểm khác ở động vật mới xuất hiện.
3. Trình Bộ trưởng Bộ Nông nghiệp và Phát triển nông thôn quyết định việc nhập khẩu, sử dụng thuốc thú y chưa được lưu hành tại Việt Nam và hướng dẫn sử dụng thuốc thú y để chống dịch khẩn cấp.
4. Hướng dẫn chi tiết việc sử dụng các biểu mẫu báo cáo dịch bệnh động vật trên cạn.
5. Hướng dẫn các biện pháp kỹ thuật để phòng, chống dịch bệnh động vật trên cạn do tác nhân gây bệnh truyền nhiễm mới; hướng dẫn cụ thể việc giám sát bệnh định kỳ.
6. Tổ chức tập huấn cho các tổ chức, cá nhân có liên quan thực hiện các biện pháp phòng, chống dịch bệnh động vật trên cạn.
7. Phối hợp với các tổ chức, cá nhân có liên quan để nghiên cứu, rà soát, đề xuất sửa đổi, bổ sung các quy định tại Thông tư này cho phù hợp.
8. Tổ chức thông tin, tuyên truyền tới các tổ chức, cá nhân có liên quan về các quy định về phòng, chống dịch bệnh động vật trên cạn.
Điều 13. Trách nhiệm của cơ quan quản lý chuyên ngành thú y địa phương
1. Căn cứ quy định tại Thông tư này và hướng dẫn của Cục Thú y để tổ chức thực hiện; đồng thời hướng dẫn, kiểm tra, giám sát các tổ chức, cá nhân có liên quan trên địa bàn thực hiện.
2. Xây dựng kế hoạch chủ động phòng, chống dịch bệnh cho động vật nuôi trên địa bàn theo quy định tại Phụ lục 05 ban hành kèm theo Thông tư này, trình cấp có thẩm quyền phê duyệt để tổ chức thực hiện.
3. Tổ chức tập huấn cho các tổ chức, cá nhân có liên quan trên địa bàn thực hiện các biện pháp phòng, chống dịch bệnh động vật trên cạn.
4. Tổ chức thông tin, tuyên truyền tới các tổ chức, cá nhân có liên quan trên địa bàn về các quy định về phòng, chống dịch bệnh động vật trên cạn.
Điều 14. Trách nhiệm của các tổ chức, cá nhân có liên quan
1. Các tổ chức, cá nhân có liên quan đến hoạt động thú y căn cứ các quy định tại Thông tư này và các Phụ lục ban hành kèm theo để triển khai các biện pháp phòng, chống dịch bệnh động vật cho phù hợp.
2. Chấp hành các quy định về phòng, chống dịch bệnh động vật trên cạn theo quy định tại Thông tư này, các quy định khác có liên quan của pháp luật về thú y, bảo vệ môi trường, phòng chống bệnh truyền nhiễm và hướng dẫn của cơ quan quản lý chuyên ngành thú y nhằm bảo đảm an toàn dịch bệnh cho động vật nuôi trên địa bàn, an toàn vệ sinh thực phẩm.
3. Chấp hành sự kiểm tra, hướng dẫn của các cơ quan quản lý chuyên ngành thú y và cơ quan nhà nước có thẩm quyền.
Điều 15. Hiệu lực thi hành
1. Thông tư này có hiệu lực kể từ ngày 15 tháng 07 năm 2016.
2. Thông tư này thay thế các văn bản quy phạm pháp luật sau đây:
a) Quyết định số 63/2005/QĐ-BNN ngày 13/10/2005 của Bộ Nông nghiệp và Phát triển nông thôn về việc ban hành Quy định về tiêm phòng bắt buộc vắc-xin cho gia súc, gia cầm;
b) Quyết định số 64/2005/QĐ-BNN ngày 13/10/2005 của Bộ Nông nghiệp và Phát triển nông thôn về việc ban hành Danh mục các bệnh phải công bố dịch; các bệnh nguy hiểm của động vật; các bệnh phải áp dụng các biện pháp phòng bệnh bắt buộc;
c) Thông tư số 69/2005/TT-BNN ngày 07/11/2005 của Bộ Nông nghiệp và Phát triển nông thôn về việc Hướng dẫn thực hiện một số biện pháp cấp bách phòng chống dịch cúm (H5N1) ở gia cầm;
d) Quyết định số 38/2006/QĐ-BNN ngày 16/5/2006 của Bộ Nông nghiệp và Phát triển nông thôn về việc ban hành Quy định phòng chống bệnh Lở mồm long móng gia súc;
đ) Quyết định số 67/2006/QĐ-BNN ngày 12/9/2006 của Bộ Nông nghiệp và Phát triển nông thôn về việc sửa đổi Quyết định số 38/2006/QĐ-BNN ngày 16/5/2006 về việc Ban hành quy định phòng chống bệnh Lở mồm long móng gia súc;
e) Quyết định số 05/2007/QĐ-BNN ngày 22/01/2007 của Bộ Nông nghiệp và Phát triển nông thôn về việc sửa đổi Quyết định số 38/2006/QĐ-BNN ngày 16/5/2006 về việc Ban hành quy định phòng chống bệnh Lở mồm long móng gia súc;
g) Quyết định số 1037/QĐ-BNN-TY ngày 13/4/2007 của Bộ Nông nghiệp và Phát triển nông thôn về việc bổ sung Hội chứng rối loạn hô hấp và sinh sản ở lợn vào Danh mục các bệnh phải công bố dịch;
h) Quyết định số 80/2008/QĐ-BNN ngày 15/7/2008 của Bộ Nông nghiệp và Phát triển nông thôn về việc ban hành Quy định phòng, chống Hội chứng rối loạn sinh sản và hô hấp ở lợn (PRRS);
i) Thông tư số 48/2009/TT-BNNPTNT ngày 04/8/2009 của Bộ Nông nghiệp và Phát triển nông thôn về việc Hướng dẫn các biện pháp phòng, chống bệnh dại ở động vật;
k) Thông tư số 04/2011/TT-BNNPTNT ngày 24/01/2011 của Bộ Nông nghiệp và Phát triển nông thôn về việc Hướng dẫn các biện pháp phòng, chống bệnh dịch tả lợn;
l) Thông tư số 05/2011/TT-BNNPTNT ngày 24/01/2011 của Bộ Nông nghiệp và Phát triển nông thôn về việc Hướng dẫn các biện pháp phòng, chống bệnh Niu-cát-xơn ở gia cầm;
m) Thông tư số 53/2013/TT-BNNPTNT ngày 12/12/2013 của Bộ Nông nghiệp và Phát triển nông thôn về việc Quy định về báo cáo dịch bệnh động vật trên cạn;
n) Thông tư số 44/2014/TT-BNNPTNT ngày 01/12/2014 của Bộ Nông nghiệp và Phát triển nông thôn về việc Quy định các bệnh phải kiểm tra định kỳ đối với các cơ sở chăn nuôi gia súc giống, gia cầm giống và bò sữa.
Điều 16. Trách nhiệm thi hành
1. Thủ trưởng các đơn vị thuộc Bộ Nông nghiệp và Phát triển nông thôn, Thủ trưởng các cơ quan, tổ chức và cá nhân có liên quan trong phạm vi nhiệm vụ, quyền hạn được giao chịu trách nhiệm tổ chức triển khai thực hiện các quy định tại Thông tư này.
2. Trong quá trình thực hiện, nếu có vướng mắc hoặc cần sửa đổi, bổ sung, đề nghị các cơ quan, tổ chức, cá nhân phản ánh kịp thời về Bộ Nông nghiệp và Phát triển nông thôn để xem xét, giải quyết./.
|
Nơi nhận: |
KT. BỘ TRƯỞNG |
PHỤ LỤC 01
DANH MỤC BỆNH ĐỘNG VẬT TRÊN CẠN PHẢI CÔNG BỐ DỊCH; DANH MỤC BỆNH TRUYỀN LÂY GIỮA ĐỘNG VẬT VÀ NGƯỜI; DANH MỤC BỆNH ĐỘNG VẬT CẤM GIẾT MỔ, CHỮA BỆNH
(Ban hành kèm theo Thông tư số 07/2016/TT-BNNPTNT ngày 31 tháng 5 năm 2016 của Bộ trưởng Bộ Nông nghiệp và Phát triển nông thôn)
1.1. Bệnh Cúm gia cầm (thể độc lực cao và chủng vi rút có khả năng truyền lây bệnh cho người)
1.2. Bệnh Lở mồm long móng
1.3. Bệnh Tai xanh ở lợn (Hội chứng rối loạn sinh sản và hô hấp ở lợn)
1.4. Bệnh Nhiệt thán
1.5. Bệnh Dịch tả lợn
1.6. Bệnh Xoắn khuẩn
1.7. Bệnh Dại động vật
1.8. Bệnh Niu-cát-xơn
2.1. Bệnh Cúm gia cầm (thể độc lực cao và chủng vi rút có khả năng truyền lây bệnh cho người)
2.2. Bệnh Dại động vật
2.3. Bệnh Liên cầu khuẩn lợn (típ 2)
2.4. Bệnh Nhiệt thán
2.5. Bệnh Xoắn khuẩn
2.6. Bệnh Giun xoắn
2.7. Bệnh Lao bò
2.8. Bệnh Sảy thai truyền nhiễm
3. Danh mục bệnh động vật cấm giết mổ, chữa bệnh
3.1. Bệnh Nhiệt thán
3.2. Bệnh Dại động vật
3.3. Bệnh Cúm gia cầm (thể độc lực cao và chủng vi rút có khả năng truyền lây bệnh cho người)
Các Danh mục bệnh động vật quy định tại Phụ lục này được rà soát, điều chỉnh, bổ sung cho phù hợp với yêu cầu thực tiễn của công tác phòng chống dịch bệnh theo đề xuất của Cục Thú y.
PHỤ LỤC 02
HƯỚNG DẪN THỰC HIỆN GIÁM SÁT SAU TIÊM PHÒNG VÀ GIÁM SÁT BỆNH ĐỘNG VẬT
(Ban hành kèm theo Thông tư số 07/2016/TT-BNNPTNT ngày 31 tháng 5 năm 2016 của Bộ trưởng Bộ Nông nghiệp và Phát triển nông thôn)
1. Giám sát sau tiêm phòng
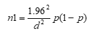
1.1. Số lượng gia súc, gia cầm phải lấy mẫu xét nghiệm để đánh giá đáp ứng miễn dịch sau tiêm phòng:
a) Công thức tính để đánh giá tỷ lệ bảo hộ có đạt mức 80% hay không:
|
|
n1 = Số mẫu huyết thanh cần lấy p = Tỷ lệ có kháng thể bảo hộ ước đoán d = Sai số ước lượng |
Bảng tính số lượng gia súc, gia cầm phải lấy mẫu để đánh giá tỷ lệ bảo hộ có đạt mức 80% hay không:
|
Tỷ lệ có kháng thể bảo hộ ước đoán |
Sai số ước lượng |
||
|
10% |
5% |
1% |
|
|
10% |
35 |
138 |
3457 |
|
20% |
61 |
246 |
6147 |
|
30% |
81 |
323 |
8067 |
|
40% |
92 |
369 |
9220 |
|
50% |
96 |
384 |
9604 |
|
60% |
92 |
369 |
9220 |
|
70% |
81 |
323 |
8067 |
|
80% |
61 |
246 |
6147 |
|
90% |
35 |
138 |
3457 |
Ghi chú: Yêu cầu số lượng mẫu huyết thanh cần lấy là 61 mẫu (dựa trên Tỷ lệ có kháng thể bảo hộ ước đoán là 80% và Sai số ước lượng là 10%).
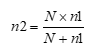
b) Trường hợp quy mô đàn dưới 2000 con thì tính số lượng gia súc, gia cầm phải lấy mẫu theo công thức sau:
|
|
n2: Số mẫu huyết thanh cần lấy N: Tổng đàn n1: Số mẫu huyết thanh cần lấy (theo công thức trên) |
1.2. Nội dung kiểm tra, phương pháp xét nghiệm
a) Nội dung kiểm tra: Chọn ngẫu nhiên động vật nuôi trong đàn được tiêm phòng để lấy mẫu huyết thanh đánh giá đáp ứng miễn dịch sau tiêm phòng; mẫu huyết thanh được lấy tại thời điểm sau 21 ngày kể từ khi kết thúc mũi tiêm cuối cùng của đợt tiêm phòng.
b) Phương pháp xét nghiệm: thực hiện theo các tiêu chuẩn, quy chuẩn kỹ thuật hiện hành đối với từng bệnh hoặc theo hướng dẫn của Cục Thú y đối với bệnh mới xuất hiện.
1.3. Xử lý kết quả xét nghiệm
a) Trường hợp tỷ lệ bảo hộ sau tiêm phòng đạt từ 70% trở lên, đàn động vật nuôi được đánh giá là có miễn dịch đạt tỷ lệ bảo hộ và cơ sở được sử dụng kết quả kiểm tra, xét nghiệm để đăng ký cơ sở an toàn dịch bệnh đối với bệnh đó hoặc làm thủ tục kiểm dịch vận chuyển động vật.
b) Trường hợp tỷ lệ bảo hộ sau tiêm phòng đạt dưới 70%, cơ quan quản lý chuyên ngành thú y địa phương hướng dẫn cơ sở tổ chức tiêm phòng lại.
2. Giám sát bệnh động vật
2.1. Số lượng gia súc, gia cầm phải lấy mẫu xét nghiệm để phát hiện mầm bệnh hoặc phát hiện kháng thể do nhiễm bệnh tự nhiên
a) Công thức tính số mẫu: Số lượng gia súc, gia cầm được lấy mẫu để xét nghiệm phải tính dựa trên tỷ lệ hiện mắc dự đoán là 10% theo công thức sau:
|
|
n: Số mẫu cần lấy p1: Xác suất để phát hiện được bệnh (0,95) d: Số con mắc bệnh (d=N x p2) p2: Tỷ lệ hiện mắc dự đoán (Ví dụ: 10%) N: Tổng đàn vật nuôi |
Riêng đối với bệnh Lao bò, kiểm tra bằng phản ứng tiêm nội bì đối với 100% động vật thuộc diện phải kiểm tra.
b) Bảng tính số lượng gia súc, gia cầm phải lấy mẫu để xác định bệnh động vật
|
Tổng đàn |
Tỷ lệ hiện mắc dự đoán |
||||||
|
0,1% |
0,5% |
1% |
2% |
5% |
10% |
20% |
|
|
10 |
10 |
10 |
10 |
10 |
10 |
10 |
7 |
|
20 |
20 |
20 |
20 |
20 |
19 |
15 |
10 |
|
30 |
30 |
30 |
30 |
30 |
26 |
18 |
11 |
|
40 |
40 |
40 |
40 |
39 |
31 |
20 |
11 |
|
50 |
50 |
50 |
50 |
48 |
35 |
22 |
12 |
|
100 |
100 |
100 |
96 |
78 |
45 |
25 |
13 |
|
200 |
200 |
190 |
155 |
105 |
51 |
27 |
14 |
|
500 |
500 |
349 |
225 |
129 |
56 |
28 |
14 |
|
1000 |
950 |
450 |
258 |
138 |
57 |
29 |
14 |
|
5000 |
2253 |
564 |
290 |
147 |
59 |
29 |
14 |
|
10000 |
2588 |
581 |
294 |
148 |
59 |
29 |
14 |
|
¥ |
2995 |
598 |
299 |
149 |
59 |
29 |
14 |
2.2. Nội dung, phương pháp kiểm tra, xét nghiệm
a) Nội dung kiểm tra: Kiểm tra lâm sàng và lấy mẫu để xét nghiệm mầm bệnh hoặc phát hiện kháng thể do nhiễm bệnh tự nhiên; riêng đối với bệnh Lao bò, kiểm tra bằng phản ứng tiêm nội bì.
b) Phương pháp kiểm tra: Kiểm tra lâm sàng được thực hiện dựa trên triệu chứng lâm sàng của từng bệnh. Lấy mẫu, xét nghiệm được thực hiện theo các tiêu chuẩn, quy chuẩn kỹ thuật hiện hành đối với từng bệnh hoặc theo hướng dẫn của Cục Thú y. Đối với bệnh Lao bò, tiến hành phản ứng tiêm nội bì và đánh giá kết quả phản ứng theo tiêu chuẩn Việt Nam hiện hành.
c) Tần suất kiểm tra: Định kỳ 01 năm kiểm tra một lần.
d) Mẫu phải được xét nghiệm tại các phòng thử nghiệm nông nghiệp được cơ quan có thẩm quyền công nhận.
2.3. Xử lý kết quả kiểm tra
a) Trường hợp không phát hiện bệnh: Động vật nuôi được đánh giá là không có mầm bệnh lưu hành đối với bệnh được kiểm tra và cơ sở được sử dụng kết quả kiểm tra, xét nghiệm để đăng ký cơ sở an toàn dịch bệnh đối với bệnh đó hoặc làm thủ tục kiểm dịch vận chuyển động vật.
b) Trường hợp phát hiện bệnh, thực hiện các biện pháp phòng, chống bệnh cụ thể đối với từng bệnh theo quy định tại Thông tư này.
PHỤ LỤC 03
BIỂU MẪU BÁO CÁO DỊCH BỆNH ĐỘNG VẬT
(Ban hành kèm theo Thông tư số 07/2016/TT-BNNPTNT ngày 31 tháng 5 năm 2016 của Bộ trưởng Bộ Nông nghiệp và Phát triển nông thôn)
1. Biểu mẫu báo cáo cập nhật ổ dịch hàng ngày
BÁO CÁO TỔNG HỢP TÌNH HÌNH DỊCH ……… TỈNH ………………….
(Đến 16h00, ngày …../ ……./20....)
|
TT |
Đơn vị hành chính |
Ngày xuất hiện ca bệnh đầu tiên |
Ngày có ca bệnh cuối cùng |
Số thôn có dịch |
Số hộ có dịch |
Số động vật mắc bệnh, chết và tiêu hủy phát sinh trong ngày báo cáo |
Tổng số động vật mắc bệnh, chết và tiêu hủy lũy kế đến ngày báo cáo |
Tổng đàn nguy cơ (con) |
Kết quả hoạt động phòng, chống dịch |
|||||||||||||||||||||
|
Số mắc bệnh |
Số chết, tiêu hủy |
Số mắc bệnh |
Số chết, tiêu hủy |
Tiêm phòng bao vây |
Hóa chất (lit) |
Vôi bột (kg) |
Chốt kiểm dịch (số chốt) |
|||||||||||||||||||||||
|
Tổng |
Trong đó |
Tổng |
Trong đó |
Tổng TL (kg) |
Tổng |
Trong đó |
Tổng |
Trong đó |
Tổng TL (kg) |
Loài (1) |
Loài (2) |
Loài (3) |
||||||||||||||||||
|
Loài* (1) |
Loài (2) |
Loài (3) |
Loài (1) |
Loài (2) |
Loài (3) |
Loài (1) |
Loài (2) |
Loài (3) |
Loài (1) |
Loài (2) |
Loài (3) |
|||||||||||||||||||
|
I |
Huyện M |
|
|
|
|
|
|
|
|
|
|
|
|
|
|
|
|
|
|
|
|
|
|
|
|
|
|
|
|
|
|
1 |
Xã X |
VD: 15/02/2016 |
|
|
|
|
|
|
|
|
|
|
|
|
|
|
|
|
|
|
|
|
|
|
|
|
|
|
|
|
|
2 |
Xã Y |
|
|
|
|
|
|
|
|
|
|
|
|
|
|
|
|
|
|
|
|
|
|
|
|
|
|
|
|
|
|
II |
Huyện N |
|
|
|
|
|
|
|
|
|
|
|
|
|
|
|
|
|
|
|
|
|
|
|
|
|
|
|
|
|
|
1 |
Xã T |
|
|
|
|
|
|
|
|
|
|
|
|
|
|
|
|
|
|
|
|
|
|
|
|
|
|
|
|
|
|
2 |
Xã S |
|
|
|
|
|
|
|
|
|
|
|
|
|
|
|
|
|
|
|
|
|
|
|
|
|
|
|
|
|
|
Tổng |
|
|
|
|
|
|
|
|
|
|
|
|
|
|
|
|
|
|
|
|
|
|
|
|
|
|
|
|
|
|
Kết quả xét nghiệm: Ghi rõ típ, subtype của vi rút gây bệnh (Ví dụ: LMLM típ O, A, Asial; Cúm gia cầm A/H5N1, A/H5N6,..).
Ghi chú:
* Loài: Đối với gia súc ghi rõ: trâu, bò, lợn, dê; lợn nái, lợn thịt, lợn con. Đối với gia cầm ghi rõ: gà, vịt, ngan, chim cút,....
2. Biểu mẫu báo cáo định kỳ tình hình dịch bệnh động vật
BÁO CÁO TỔNG HỢP TÌNH HÌNH DỊCH BỆNH ĐỘNG VẬT TỈNH ……………..
(Ví dụ: Từ ngày 01/01/20… đến ngày 31/01/20...)
|
Số huyện |
Số xã |
Số hộ có dịch |
Số mắc bệnh (con) |
Số chết, tiêu hủy (con) |
Tổng đàn nguy cơ (con) |
Tên bệnh |
Loài mắc bệnh |
Tiêm phòng trong tháng báo cáo (liều VX) |
Lũy kế tiêm phòng (liều VX) |
Ghi chú |
|
|
|
|
|
|
|
Tụ huyết trùng |
Trâu bò |
|
|
|
|
|
|
|
|
|
|
Lở mồm long móng |
Trâu bò |
|
|
|
|
|
|
|
|
|
|
Nhiệt thán |
Trâu bò |
|
|
|
|
|
|
|
|
|
|
………….. |
Trâu bò |
|
|
|
|
|
|
|
|
|
|
Dịch tả lợn |
Lợn |
|
|
|
|
|
|
|
|
|
|
Lở mồm long móng |
Lợn |
|
|
|
|
|
|
|
|
|
|
Tụ huyết trùng |
Lợn |
|
|
|
|
|
|
|
|
|
|
Phó thương hàn |
Lợn |
|
|
|
|
|
|
|
|
|
|
…………. |
Lợn |
|
|
|
|
|
|
|
|
|
|
Cúm gia cầm |
Gà (vịt,..) |
|
|
|
|
|
|
|
|
|
|
Niu-cát-xơn |
Gà |
|
|
|
|
|
|
|
|
|
|
Gumboro |
Gà |
|
|
|
|
|
|
|
|
|
|
Dịch tả vịt |
Vịt |
|
|
|
|
|
|
|
|
|
|
……… |
|
|
|
|
|
|
|
|
|
|
|
Các bệnh khác ………….. |
…….. |
|
|
|
Ghi chú: Báo cáo phải nêu rõ tình hình dịch bệnh động vật, kết quả giám sát dịch bệnh, nhận định tình hình dịch bệnh động vật, các biện pháp phòng, chống dịch đã triển khai, khó khăn, tồn tại, các biện pháp sẽ thực hiện, đề xuất, kiến nghị.
PHỤ LỤC 04
MẪU PHIẾU GỬI BỆNH PHẨM XÉT NGHIỆM VÀ MẪU PHIẾU TRẢ LỜI KẾT QUẢ XÉT NGHIỆM
(Ban hành kèm theo Thông tư số 07/2016/TT-BNNPTNT ngày 31 tháng 5 năm 2016 của Bộ trưởng Bộ Nông nghiệp và Phát triển nông thôn)
1. Mẫu Phiếu gửi bệnh phẩm xét nghiệm
|
|
CỘNG HÒA XÃ HỘI CHỦ NGHĨA VIỆT NAM |
|
Bệnh phẩm số: |
PHIẾU GỬI BỆNH PHẨM XÉT NGHIỆM
|
Kính gửi: ………………………………………………….
- Họ và tên người gửi bệnh phẩm*: ……………………………………………………………….
- Địa chỉ người gửi mẫu bệnh phẩm: ……………………………………………………………..
- Số CMND (nếu có): ………………..………………………………………………………………
- Số điện thoại: ……………………..………. Fax: …………………………………………………
- Email: ……………………………………………………………………………………………….
1. Thông tin về mẫu:
- Nơi lấy mẫu*: ………………………………………….
- Loài vật*: ………………………………………………….
- Lứa tuổi:……………………………… - Giống: …………………. - Tính biệt: ………………….
- Loại bệnh phẩm*: ……………………………………………………………………………………
- Số lượng*: ………………………………………………….. mẫu
- Ngày lấy mẫu*: ………………………………………………………………………………………
- Vắc-xin (chủng/ loại vắc-xin)*: …………………………………………………………………..
- Thời gian tiêm vắc-xin: ………………………………………………………………………………….
- Tình trạng bệnh phẩm: …………………………………………………………………………….
2. Diễn biến bệnh* (trong trường hợp nghi mắc bệnh):
- Ngày bị bệnh: ………………………………………………………………………….
- Tổng đàn: ………………… con - Số mắc bệnh: ………….. con - Số chết: ………………. con
- Thuốc điều trị: ………………………………………………………………………..
- Thời gian điều trị: …………………………………………………………………….
- Triệu chứng: …………………………………………………………………..
- Bệnh tích: ……………………………………………………………………….
3. Yêu cầu xét nghiệm*:
*: Các thông tin bắt buộc phải khai báo.
(Tôi xin đảm bảo các thông tin trên là đúng sự thật, nếu sai tôi xin hoàn toàn chịu trách nhiệm).
Thời gian dự kiến trả lời kết quả xét nghiệm:
Phương thức trả kết quả xét nghiệm:
|
|
Ngày …….. tháng …… năm ……. |
2. Mẫu Phiếu trả lời kết quả xét nghiệm
|
TÊN CƠ QUAN CẤP TRÊN |
CỘNG HÒA XÃ HỘI CHỦ NGHĨA VIỆT NAM |
|
Số: ………/…….... |
Địa danh, ngày ... tháng ... năm 20... |
|
Bệnh phẩm số: |
PHIẾU TRẢ LỜI KẾT QUẢ XÉT NGHIỆM |
Mã số phòng thử nghiệm |
Kính gửi: ……..……………………………………………………………….
I. Thông tin chung:
- Loài vật được lấy mẫu: ……………………………………………………………………….
- Số lượng mẫu: …………………………………….. mẫu
- Loại bệnh phẩm: …………………………………………………………………………………
- Vắc-xin (chủng/loại vắc-xin): …………………. - Ngày tiêm: ………………………………
- Ngày lấy mẫu: ……………………………………………………………………………………..
- Ngày nhận mẫu: …………………………………………………………………………………..
- Nơi gửi mẫu: ………………………………………………………………………………………
- Nơi lấy mẫu: ………………………………………………………………………………………..
- Tình trạng mẫu bệnh phẩm: ……………………………………………………………………………
II. Chỉ tiêu và phương pháp xét nghiệm:
- Chỉ tiêu xét nghiệm: ……………………………………………………………………………….
- Phương pháp xét nghiệm: …………………………………………………………………………
- Ngày xét nghiệm: ………………………………………………………………………………….
KẾT QUẢ
Ghi rõ kết quả của từng phép thử
“*”: Các phép thử được công nhận phù hợp ISO/IEC 17025:2005
III. Kết luận: ……………………………………………………………………………………………….
……………………………………………………………………………………………………………….
……………………………………………………………………………………………………………….
|
Nơi nhận: |
GIÁM ĐỐC |
PHỤ LỤC 05
MẪU KẾ HOẠCH CHỦ ĐỘNG PHÒNG, CHỐNG BỆNH ĐỘNG VẬT
(Ban hành kèm theo Thông tư số 07/2016/TT-BNNPTNT ngày 31 tháng 5 năm 2016 của Bộ trưởng Bộ Nông nghiệp và Phát triển nông thôn)
1. Mẫu kế hoạch
I. Tình hình dịch bệnh động vật trên địa bàn trong năm, nêu rõ nguyên nhân, nhận định tình hình, tồn tại, bất cập.
II. Kế hoạch chủ động phòng chống dịch bệnh động vật trong năm tiếp theo
1. Mục đích, yêu cầu
2. Nội dung kế hoạch
3. Giải pháp thực hiện kế hoạch
3.1. Về tổ chức, chỉ đạo, thanh tra, kiểm tra
3.2. Về nguồn lực
a) Dự trù vật tư, hóa chất, kinh phí và nguồn nhân lực để triển khai các biện pháp phòng, chống dịch, hỗ trợ cho chủ vật nuôi khi công bố dịch hoặc khi dịch bệnh xảy ra nhưng chưa đủ điều kiện công bố dịch ở địa phương;
b) Dự trù các trang thiết bị cần đầu tư, bổ sung, hiệu chỉnh để phục vụ công tác chẩn đoán xét nghiệm, giám sát, điều tra ổ dịch, xây dựng bản đồ dịch tễ và phân tích số liệu.
3.3. Giải pháp kỹ thuật
a) Về tiêm phòng vắc xin;
b) Về giám sát dịch bệnh, giám sát sau tiêm phòng;
c) Điều tra ổ dịch, các biện pháp xử lý ổ dịch, chống dịch;
d) Về vệ sinh, khử trùng tiêu độc;
đ) Về kiểm dịch vận chuyển, kiểm soát giết mổ, kiểm tra vệ sinh thú y;
e) Về quản lý hoạt động kinh doanh thuốc thú y;
g) Quản lý người hành nghề thú y;
h) Về xây dựng vùng, cơ sở an toàn dịch bệnh động vật.
3.4. Giải pháp về thông tin, tuyên truyền cho các tổ chức, cá nhân có hoạt động thú y trên địa bàn; tập huấn cho người chăn nuôi, nhân viên thú y xã, công chức, viên chức, người lao động trong hệ thống thú y địa phương về chuyên môn, nghiệp vụ, chủ trương, chính sách, các quy định của nhà nước, các văn bản hướng dẫn của cơ quan quản lý chuyên ngành thú y.
4. Nguồn kinh phí và cơ chế tài chính
5. Tổ chức thực hiện: Phân công trách nhiệm cụ thể cho các cơ quan, đơn vị có liên quan để triển khai Kế hoạch; tổ chức thanh tra, kiểm tra việc thực hiện Kế hoạch.
2. Các bước xây dựng Kế hoạch
2.1. Đánh giá cụ thể về vai trò, tầm quan trọng, hiện trạng và xu hướng phát triển chăn nuôi của địa phương; tổng hợp, phân tích số liệu nuôi cho một số đối tượng nuôi trọng điểm tại địa phương; tổ chức rà soát những tồn tại, bất cập việc thực hiện Kế hoạch của năm trước và triển khai xây dựng Kế hoạch của năm tiếp theo cho phù hợp với thực tiễn tại địa phương.
2.2. Tổng hợp, phân tích và đánh giá kết quả giám sát dịch bệnh; tình hình dịch bệnh (mô tả chi tiết theo không gian, thời gian và đối tượng mắc bệnh); các yếu tố nguy cơ liên quan đến quá trình phát sinh, lây lan dịch bệnh ở địa phương; các chỉ tiêu dịch tễ và chỉ tiêu liên quan cần xét nghiệm nhằm xác định mức độ nguy cơ phát sinh, dự báo khả năng phát sinh, lây lan dịch bệnh tại địa phương.
2.3. Xác định các nguồn lực cần thiết, bao gồm: Nhân lực, vật lực, tài chính để triển khai các biện pháp phòng, chống, hỗ trợ chủ vật nuôi, giám sát dịch bệnh, cả khi dịch bệnh xảy ra nhưng chưa đủ điều kiện công bố dịch và khi công bố dịch.
2.4. Căn cứ các quy chuẩn kỹ thuật, tiêu chuẩn Việt Nam và văn bản hướng dẫn về giám sát, điều tra dịch bệnh, điều kiện vệ sinh thú y, số lượng trại, hộ chăn nuôi, đề xuất các nội dung giám sát dịch bệnh cụ thể.
2.5. Xây dựng dự thảo Kế hoạch gồm đầy đủ các nội dung và dự toán kinh phí thực hiện.
2.6. Báo cáo cơ quan có thẩm quyền phê duyệt Kế hoạch và dự toán kinh phí hàng năm.
2.7. Gửi Kế hoạch đã được phê duyệt đến Cơ quan Thú y vùng và Cục Thú y để phối hợp chỉ đạo và giám sát thực hiện.
2.8. Tổ chức triển khai Kế hoạch.
2.9. Trường hợp điều chỉnh Kế hoạch, cơ quan quản lý chuyên ngành thú y cấp tỉnh gửi Kế hoạch đã được điều chỉnh đến Cơ quan Thú y vùng và Cục Thú y.
PHỤ LỤC 06
HƯỚNG DẪN KỸ THUẬT TIÊU HỦY, GIẾT MỔ BẮT BUỘC ĐỘNG VẬT MẮC BỆNH VÀ SẢN PHẨM CỦA ĐỘNG VẬT MẮC BỆNH
(Ban hành kèm theo Thông tư số 07/2016/TT-BNNPTNT ngày 31 tháng 5 năm 2016 của Bộ trưởng Bộ Nông nghiệp và Phát triển nông thôn)
1. Tiêu hủy
1.1. Nguyên tắc tiêu hủy
a) Phải làm chết động vật bằng điện hoặc phương pháp khác (nếu có).
b) Địa điểm tiêu hủy: phải theo hướng dẫn của cơ quan nhà nước có thẩm quyền, ưu tiên chọn địa điểm tiêu hủy tại khu vực chăn nuôi có động vật mắc bệnh hoặc địa điểm thích hợp khác gần khu vực có ổ dịch.
1.2. Biện pháp tiêu hủy
a) Biện pháp chôn lấp;
b) Biện pháp đốt: Đốt bằng lò chuyên dụng hoặc đốt thủ công bằng cách đào hố, cho bao chứa xác động vật, sản phẩm động vật vào hố và đốt bằng củi, than, rơm, rạ, xăng, dầu,..; sau đó lắp đất và nện chặt. Riêng với bệnh Nhiệt thán, phải đổ bê tông hố chôn theo quy định tại Phụ lục số 12 ban hành kèm theo Thông tư này.
1.3. Vận chuyển xác động vật, sản phẩm động vật đến địa điểm tiêu hủy:
a) Trường hợp địa điểm tiêu hủy ở ngoài khu vực có ổ dịch, xác động vật, sản phẩm động vật phải được cho vào bao, buộc chặt miệng bao và tập trung bao chứa vào một chỗ để phun khử trùng trước khi vận chuyển; trường hợp động vật lớn không vừa bao chứa phải sử dụng tấm nilon hoặc vật liệu chống thấm khác để lót bên trong (đáy và xung quanh) thùng của phương tiện vận chuyển;
b) Phương tiện vận chuyển xác động vật, sản phẩm động vật phải có sàn kín để không làm rơi vãi các chất thải trên đường đi;
c) Phương tiện vận chuyển xác động vật, sản phẩm động vật phải được vệ sinh, khử trùng tiêu độc theo hướng dẫn của cơ quan quản lý chuyên ngành thú y ngay trước khi vận chuyển và sau khi bỏ bao chứa xuống địa điểm tiêu hủy hoặc dời khỏi khu vực tiêu hủy.
1.4. Quy cách hố chôn
a) Địa điểm: Hố chôn phải cách nhà dân, giếng nước, khu chuồng nuôi động vật tối thiểu 30m và có đủ diện tích; nên chọn nơi chôn trong vườn (tốt nhất là vườn cây ăn quả hoặc lấy gỗ).
b) Kích cỡ: Hố chôn phải đủ rộng phù hợp với khối lượng động vật, sản phẩm động vật và chất thải cần chôn. Ví dụ nếu cần chôn 01 tấn động vật thì hố chôn cần có kích thước là sâu 1,5 - 2m x rộng 1,5 - 2m x dài 1,5 - 2m.
1.5. Các bước chôn lấp
Sau khi đào hố, rải một lớp vôi bột xuống đáy hố theo tỷ lệ khoảng 01 kg vôi /m2, cho bao chứa xuống hố, phun thuốc sát trùng hoặc rắc vôi bột lên trên bề mặt, lấp đất và nện chặt; yêu cầu khoảng cách từ bề mặt bao chứa đến mặt đất tối thiểu là 0,5m, lớp đất phủ bên trên bao chứa phải dày ít nhất là 1 m và phải cao hơn mặt đất để tránh nước chảy vào bên trong gây sụt, lún hố chôn. Phun sát trùng khu vực chôn lấp để hoàn tất quá trình tiêu hủy.
1.6. Quản lý hố chôn
a) Hố chôn xác động vật phải có biển cảnh báo người ra vào khu vực;
b) Ủy ban nhân dân cấp xã có trách nhiệm quản lý, tổ chức kiểm tra định kỳ và xử lý kịp thời các sự cố sụt, lún, xói mòn, rò rỉ, bốc mùi của hố chôn;
c) Địa điểm chôn lấp phải được đánh dấu trên bản đồ của xã, ghi chép và lưu giữ thông tin tại Ủy ban nhân dân cấp xã.
1.7. Trường hợp thuê các tổ chức, cá nhân khác thực hiện tiêu hủy, cơ quan quản lý chuyên ngành thú y địa phương tổ chức giám sát việc thực hiện, bảo đảm tuân thủ kỹ thuật theo các quy định tại Phụ lục này.
2. Giết mổ bắt buộc
Việc giết mổ bắt buộc động vật theo quy định tại khoản 4 Điều 30 của Luật thú y được thực hiện như sau:
2.1. Đối với phương tiện vận chuyển động vật đến cơ sở giết mổ
a) Phương tiện phải có sàn kín hoặc phải có lót sàn bằng vật liệu chống thấm bảo đảm không làm thoát lọt chất thải trong quá trình vận chuyển; phải được vệ sinh, khử trùng tiêu độc trước khi vận chuyển động vật ra khỏi khu vực có dịch bệnh và sau khi cho động vật xuống cơ sở giết mổ;
b) Chất thải, chất độn phải được thu gom để đốt hoặc xử lý bằng hóa chất khử trùng trước khi chôn; lót sàn, vật dụng cố định, chứa đựng động vật nếu không đốt hoặc chôn thì phải được vệ sinh, khử trùng tiêu độc.
2.2. Đối với cơ sở giết mổ động vật
a) Cơ sở giết mổ phải bảo đảm không còn động vật lưu giữ chờ giết mổ;
b) Phải giết mổ toàn bộ số động vật được đưa đến để giết mổ bắt buộc và theo nguyên tắc động vật khỏe mạnh thì giết mổ trước, sau đó đến động vật có dấu hiệu mắc bệnh và động vật mắc bệnh;
c) Sau khi hoàn tất việc giết mổ động vật, xử lý thân thịt, phụ phẩm và sản phẩm khác của động vật, cơ sở giết mổ phải thực hiện thu gom toàn bộ chất thải để tiêu hủy và thực hiện vệ sinh, khử trùng tiêu độc; nước thải trong quá trình giết mổ phải được thu gom và xử lý bằng hóa chất khử trùng; dụng cụ giết mổ, chứa đựng sản phẩm động vật phải được vệ sinh, khử trùng tiêu độc.
2.3. Đối với thân thịt của động vật phải được xử lý nhiệt bằng cách làm giò chả hoặc luộc chín hoặc áp dụng các biện pháp khác bảo đảm không còn khả năng lây lan dịch bệnh.
2.4. Đối với phụ phẩm và sản phẩm khác của động vật phải được thu gom, phun hóa chất khử trùng trước khi cho vào bao kín hoặc dụng cụ chứa đựng, phun hóa chất khử trùng trước khi đưa đến địa điểm tiêu hủy.
Phương tiện vận chuyển phụ phẩm và sản phẩm khác đến địa điểm tiêu hủy phải có sàn kín; phải được vệ sinh, khử trùng tiêu độc trước và sau khi vận chuyển đến địa điểm tiêu hủy.
PHỤ LỤC 07
CÁC BỆNH TRUYỀN NHIỄM NGUY HIỂM Ở ĐỘNG VẬT PHẢI PHÒNG BỆNH BẮT BUỘC BẰNG VẮC XIN VÀ GIÁM SÁT BỆNH ĐỊNH KỲ
(Ban hành kèm theo Thông tư số 07/2016/TT-BNNPTNT ngày 31 tháng 5 năm 2016 của Bộ trưởng Bộ Nông nghiệp và Phát triển nông thôn)
1. Các bệnh truyền nhiễm nguy hiểm phải áp dụng biện pháp phòng bệnh bắt buộc bằng vắc xin cho động vật nuôi
1.1. Một số bệnh truyền nhiễm nguy hiểm theo loài động vật nuôi như sau:
a) Bệnh ở trâu bò: Lở mồm long móng, Nhiệt thán, Tụ huyết trùng;
b) Bệnh ở lợn: Lở mồm long móng, Tụ huyết trùng, Dịch tả lợn;
c) Bệnh ở dê, cừu: Lở mồm long móng, Nhiệt thán;
d) Bệnh ở gà, chim cút: Cúm gia cầm (thể độc lực cao), Niu cát xơn;
đ) Bệnh ở vịt, ngan: Cúm gia cầm (thể độc lực cao), Dịch tả vịt;
e) Bệnh ở chó, mèo: Dại động vật.
1.2. Căn cứ yêu cầu thực tiễn của công tác phòng, chống dịch bệnh động vật, đặc điểm dịch tễ và sự lưu hành của tác nhân gây bệnh truyền nhiễm nguy hiểm ở động vật, Cục Thú y trình Bộ Nông nghiệp và Phát triển nông thôn quyết định bổ sung bệnh động vật phải phòng bệnh bắt buộc bằng vắc-xin theo quy định tại mục 1.1 của Phụ lục này cho phù hợp.
2. Các bệnh truyền nhiễm nguy hiểm phải áp dụng biện pháp giám sát định kỳ
2.1. Các bệnh truyền lây giữa động vật và người phải giám sát định kỳ đối với động vật nuôi tại các cơ sở chăn nuôi gia súc giống, gia cầm giống và bò sữa:
a) Các bệnh ở trâu bò: Sảy thai truyền nhiễm, Lao bò, Xoắn khuẩn;
b) Các bệnh ở lợn: Xoắn khuẩn, Liên cầu khuẩn lợn (típ 2);
c) Các bệnh ở dê: Xoắn khuẩn;
d) Các bệnh ở gia cầm: Cúm gia cầm (thể độc lực cao hoặc chủng vi rút cúm có khả năng truyền lây bệnh cho người).
3. Mẫu giấy chứng nhận tiêm phòng
|
TÊN CƠ QUAN THÚ Y CẤP TỈNH |
CỘNG HÒA XÃ HỘI CHỦ NGHĨA VIỆT NAM |
GIẤY CHỨNG NHẬN TIÊM PHÒNG
Bệnh …………………………….
Chứng nhận động vật nuôi của: .......................(1)……………………………………….
Địa chỉ: ………………….. thôn/ ấp/ bản: ……………. xã/ phường/ thị trấn: …………………….
Loài động vật nuôi: …………………….(2)…………………………………………
Đã được phòng bệnh bằng vắc-xin: ……………(3)………………………………
Ngày phòng bệnh bằng vắc-xin: ………………………(4)…………………………………..
Số lượng động vật đã được phòng bệnh bằng vắc-xin: ………………………….con
Đặc điểm nhận dạng động vật/ đàn động vật: ……………………(5)……………………….
……………………………………………………………………………………………………………..
Giấy chứng nhận tiêm phòng này có hiệu lực đến ngày: ……………………..(6)……………………
|
NGƯỜI TIÊM PHÒNG |
CƠ QUAN THÚ Y CẤP HUYỆN |
_______________
(1): Ghi rõ tên chủ hộ gia đình hoặc tên của chủ trại/ tên trang trại chăn nuôi.
(2): Ghi rõ loài, giống động vật nuôi (trâu, bò, dê, cừu, lợn, chó, mèo, gà, vịt, ngan,...)
(3): Ghi rõ tên vắc-xin, số lô, ngày vắc-xin hết hạn.
(4) và (6): Ghi rõ ngày, tháng, năm
(5): Ghi tên vật nuôi/ số thẻ tai (nếu có), trọng lượng, màu lông, tuổi, tính biệt, mục đích nuôi (làm giống, lấy sữa, giết thịt,...) hoặc đặc điểm nhận diện khác.PHỤ LỤC 08
HƯỚNG DẪN CHUNG VỀ VỆ SINH, KHỬ TRÙNG TIÊU ĐỘC
(Ban hành kèm theo Thông tư số 07/2016/TT-BNNPTNT ngày 31 tháng 5 năm 2016 của Bộ trưởng Bộ Nông nghiệp và Phát triển nông thôn)
1. Nguyên tắc vệ sinh, khử trùng tiêu độc
1.1. Người thực hiện khử trùng tiêu độc phải sử dụng bảo hộ lao động phù hợp.
1.2. Hóa chất sát trùng ít độc hại đối với người, vật nuôi, môi trường; phải phù hợp với đối tượng khử trùng tiêu độc; có tính sát trùng nhanh, mạnh, kéo dài, hoạt phổ rộng, tiêu diệt được nhiều loại mầm bệnh.
1.3. Trước khi phun hóa chất sát trùng phải làm sạch đối tượng khử trùng tiêu độc bằng biện pháp cơ học (quét dọn, cạo, cọ rửa).
1.4. Pha chế và sử dụng hóa chất sát trùng theo hướng dẫn của nhà sản xuất, bảo đảm pha đúng nồng độ, phun đúng tỷ lệ trên một đơn vị diện tích.
2. Loại hóa chất sát trùng
2.1. Hóa chất sát trùng trong Danh mục thuốc thú y được phép lưu hành tại Việt Nam.
2.2. Vôi bột, vôi tôi, nước vôi, xà phòng, nước tẩy rửa.
2.3. Loại hóa chất sát trùng khác theo hướng dẫn của cơ quan quản lý chuyên ngành thú y địa phương.
3. Đối tượng vệ sinh, khử trùng tiêu độc
3.1. Cơ sở chăn nuôi động vật tập trung.
3.2. Hộ gia đình có chăn nuôi động vật.
3.3. Cơ sở ấp nở gia cầm, thủy cầm.
3.4. Cơ sở giết mổ động vật.
3.5. Cơ sở sơ chế, chế biến động vật, sản phẩm động vật.
3.6. Chợ buôn bán động vật sống và sản phẩm động vật ở dạng tươi sống.
3.7. Địa điểm thu gom động vật sống và sản phẩm động vật để buôn bán, kinh doanh, nơi cách ly kiểm dịch động vật.
3.8. Khu vực chôn lấp, xử lý, tiêu hủy động vật mắc bệnh, sản phẩm động vật mang mầm bệnh; khu vực thu gom, xử lý chất thải của động vật.
3.9. Trạm, chốt kiểm dịch động vật, chốt kiểm soát ổ dịch.
3.10. Phương tiện vận chuyển động vật và sản phẩm động vật.
Căn cứ đặc điểm cụ thể của địa phương, cơ quan quản lý chuyên ngành thú y địa phương xác định khu vực có ổ dịch cũ, địa bàn có nguy cơ cao cần phải vệ sinh, khử trùng tiêu độc.
4. Tần suất thực hiện vệ sinh, tiêu độc khử trùng
4.1. Đối với cơ sở chăn nuôi động vật tập trung: Định kỳ vệ sinh khu vực chăn nuôi, định kỳ thực hiện tiêu độc khử trùng theo lịch của cơ sở và theo các đợt phát động của địa phương.
4.2. Hộ gia đình có chăn nuôi động vật: Định kỳ vệ sinh khu vực chăn nuôi và thực hiện tiêu độc khử trùng theo các đợt phát động của địa phương.
4.3. Cơ sở ấp nở gia cầm, thủy cầm: Định kỳ vệ sinh, tiêu độc khử trùng sau mỗi đợt ấp nở và theo các đợt phát động của địa phương.
4.4. Cơ sở giết mổ động vật: Định kỳ vệ sinh, tiêu độc khử trùng sau mỗi ca giết mổ động vật.
4.5. Cơ sở sơ chế, chế biến động vật, sản phẩm động vật: Định kỳ vệ sinh, tiêu độc khử trùng sau mỗi ca sản xuất.
4.6. Địa điểm thu gom, chợ buôn bán động vật sống và sản phẩm động vật: Vệ sinh, tiêu độc khử trùng khu vực buôn bán động vật, sản phẩm động vật sau mỗi phiên chợ. Nơi cách ly kiểm dịch động vật phải định kỳ thực hiện vệ sinh và tiêu độc khử trùng ít nhất 01 lần trong tuần trong thời gian nuôi cách ly động vật.
4.7. Phương tiện vận chuyển động vật và sản phẩm động vật: Định kỳ vệ sinh, tiêu độc khử trùng sau mỗi lần vận chuyển.
4.8. Khu vực chôn lấp, xử lý, tiêu hủy động vật mắc bệnh, sản phẩm động vật mang mầm bệnh; khu vực thu gom, xử lý chất thải của động vật: Vệ sinh, tiêu độc khử trùng sau khi hoàn thành việc xử lý, chôn lấp và theo các đợt phát động của địa phương.
4.9. Trạm, chốt kiểm dịch động vật: Vệ sinh, tiêu độc khử trùng đối với phương tiện vận chuyển động vật, sản phẩm động vật đi qua trạm kiểm dịch.
4.10. Chốt kiểm soát ổ dịch: Vệ sinh, tiêu độc khử trùng hàng ngày đối với phương tiện vận chuyển đi qua chốt trong thời gian có dịch.
5. Trường hợp có dịch bệnh truyền nhiễm nguy hiểm ở động vật xảy ra trên địa bàn, cơ quan quản lý chuyên ngành thú y địa phương hướng dẫn cụ thể về đối tượng, tần suất vệ sinh, khử trùng tiêu độc trên địa bàn vùng có ổ dịch, vùng dịch và vùng bị dịch uy hiếp.
PHỤ LỤC 09
HƯỚNG DẪN PHÒNG, CHỐNG BỆNH CÚM GIA CẦM
(Ban hành kèm theo Thông tư số 07/2016/TT-BNNPTNT ngày 31 tháng 5 năm 2016 của Bộ trưởng Bộ Nông nghiệp và Phát triển nông thôn)
1. Giới thiệu về bệnh Cúm gia cầm
1.1. Khái niệm về bệnh
a) Bệnh Cúm gia cầm (Avian Influenza) là một bệnh truyền nhiễm ở loài chim (bao gồm cả gia cầm và chim hoang dã) và động vật có vú (bao gồm cả người); gây ra do vi rút cúm típ A thuộc họ Orthomyxoviridae, chứa ARN, có vỏ bọc bằng lipit. Trên vỏ bọc có hai loại kháng nguyên H (Hemagglutinin) và N (Neuraminidase). Kháng nguyên H có 16 subtype đánh số thứ tự từ H1 đến H16 và kháng nguyên N có 09 subtype được đánh số thứ tự từ N1 đến N9. Tùy theo chủng vi rút gây bệnh, ký hiệu của subtype H và N được chỉ định cho chủng vi rút đó. Ở Việt Nam hiện nay đã xác định chủng vi rút gây bệnh Cúm gia cầm thể độc lực cao là H5N1 và H5N6. Trong chăn nuôi, gà thường bị mắc bệnh rất nặng, vịt thường mang mầm bệnh nhưng ít khi có biểu hiện triệu chứng lâm sàng và là nguồn chủ yếu gieo rắc mầm bệnh ra môi trường. Một số chủng vi rút cúm gia cầm không gây bệnh cho gia cầm nhưng có thể lây truyền bệnh cho người và gây tử vong ở người (vi rút cúm A/H7N9).
b) Sức đề kháng của vi rút: Vi rút thường sống lâu hơn trong không khí ở độ ẩm thấp và trong phân ở điều kiện nhiệt độ thấp, độ ẩm cao. Vi rút có thể sống tới 35 ngày trong chuồng nuôi có nhiệt độ thấp, tới 3 tháng trong phân gia cầm mắc bệnh. Vi rút dễ dàng bị tiêu diệt ở nhiệt độ 70°C trong 05 phút. Trong tủ lạnh và tủ đá, vi rút có thể sống được vài tháng. Chất sát trùng thông thường như: xút 2%, phoóc-môn 3%, crezin 5%, chloramin B 3%, iodin 1%, halamid 20%, cồn 70° - 90°, vôi bột hoặc nước vôi 10%, nước xà phòng đặc,...
1.2. Nguồn bệnh và đường truyền lây
a) Loài mắc: Động vật mắc bệnh cúm gia cầm là các loài gia cầm như gà, gà tây, vịt, ngan, ngỗng, chim cút, bồ câu, đà điểu, chim hoang dã và động vật có vú thuộc mọi lứa tuổi. Đặc biệt vi rút có thể lây nhiễm và gây bệnh cho người.
b) Nguồn bệnh: Vi rút có trong hầu hết các cơ quan nội tạng của động vật mắc bệnh, có nhiều trong phân, dịch tiết như nước mũi và nước bọt của con vật mắc bệnh. Trong thiên nhiên, các loài chim di trú, thủy cầm hoang dã mang trùng vi rút cúm là nguồn lây lan dịch bệnh chủ yếu cho gia cầm nuôi. Trong chăn nuôi, thủy cầm mang trùng vi rút cúm được xem là nguồn lây nhiễm bệnh chính cho gia cầm nuôi nhốt.
c) Đường truyền lây: Trong cơ thể gia cầm mắc bệnh, vi rút cúm được nhân lên trong đường hô hấp và đường tiêu hóa, sau đó được bài thải qua phân, nước mũi và nước bọt. Thời kỳ lây truyền thường trong vòng từ 3 đến 5 ngày, có khi kéo dài đến 7 ngày kể từ khi có triệu chứng của bệnh. Sự truyền lây bệnh được thực hiện theo 2 phương thức là trực tiếp và gián tiếp.
- Lây trực tiếp: Do gia cầm mẫn cảm tiếp xúc với gia cầm mắc bệnh cúm hoặc động vật mắc bệnh, động vật mang trùng vi rút cúm, từ đó vi rút cúm xâm nhập vào cơ thể thông qua các chất bài tiết từ đường hô hấp hoặc qua phân, thức ăn và nước uống bị nhiễm vi rút cúm.
- Lây gián tiếp: Qua những dụng cụ chăn nuôi, thức ăn, nước uống, lồng nhốt, quần áo, phương tiện vận chuyển,... bị nhiễm phân, dịch tiết có chứa vi rút cúm của động vật mắc bệnh bài thải ra.
1.3. Triệu chứng lâm sàng
Gia cầm mắc bệnh Cúm gia cầm thể độc lực cao có thời gian ủ bệnh ngắn, thường từ 01 đến 03 ngày và có thể dài hơn tùy theo độc lực của vi rút. Do vậy, gia cầm mắc bệnh thường bị chết đột ngột và không có biểu hiện triệu chứng lâm sàng. Tỷ lệ chết có thể lên tới 100% tổng đàn trong vòng vài ngày; gia cầm đi không bình thường, loạng choạng, lắc đầu, run rẩy, mệt mỏi, nằm tụ tập từng đám; có các biểu hiện ở đường hô hấp như ho, khó thở, sổ mũi, chảy nước mũi, hắt hơi, thở khò khè, viêm xoang, sưng viêm mí mắt, chảy nhiều nước mắt, nhiều con sưng khớp; sưng phù đầu và mặt, sưng mí mắt, mào và tích tím tái; xuất huyết dưới da, đặc biệt ở những chỗ da không có lông; tiêu chảy, phân loãng màu trắng hoặc trắng xanh, ở những con đang đẻ năng suất trứng giảm rõ rệt, có trường hợp đẻ trứng không có vỏ.
1.4. Bệnh tích: Khí quản xuất huyết, đọng nhiều dịch rỉ viêm, túi khí dày đục, có ổ cazein, phổi viêm xuất huyết; dạ dày tuyến xuất huyết, manh tràng, ruột non xuất huyết, hậu môn xuất huyết, gan, lách, thận sưng hoặc xuất huyết; màng bao tim, cơ tim xuất huyết; tim nhão, bao tim chứa nhiều dịch thẩm xuất màu vàng; buồng trứng, dịch hoàn xuất huyết; màng não xung huyết, một số xuất huyết dưới da chân.
2. Phòng bệnh bắt buộc bằng vắc-xin
2.1. Đối tượng tiêm phòng
a) Trang trại, cơ sở nuôi gia cầm tập trung: Gia cầm giống, gia cầm trứng thương phẩm, gia cầm nuôi thịt với thời gian nuôi trên 45 ngày, trừ trường hợp được miễn tiêm phòng theo quy định tại khoản 2 Điều 4 của Thông tư này;
b) Đàn gia cầm nuôi nhỏ lẻ trong các hộ gia đình: Gà, vịt, ngan, chim cút và một số đối tượng gia cầm mẫn cảm khác do cơ quan quản lý chuyên ngành thú y địa phương xác định.
2.2. Phạm vi tiêm phòng
Khu vực có ổ dịch cũ, địa bàn có nguy cơ cao do cơ quan quản lý chuyên ngành thú y địa phương xác định.
2.3. Thời gian tiêm phòng
a) Tổ chức tiêm phòng theo quy trình nuôi và định kỳ tiêm phòng bổ sung cho đàn gia cầm nuôi mới, đàn gia cầm hết thời gian còn miễn dịch bảo hộ hoặc theo hướng dẫn của cơ quan quản lý chuyên ngành thú y địa phương;
b) Liều lượng, đường tiêm theo hướng dẫn của nhà sản xuất vắc-xin.
2.4. Căn cứ vào thông báo chủng vi rút lưu hành tại thực địa, cơ quan quản lý chuyên ngành thú y địa phương xác định đối tượng, phạm vi tiêm phòng và chủng loại vắc-xin sử dụng để phòng, chống bệnh Cúm gia cầm cho phù hợp.
2.5. Căn cứ vào điều kiện chăn nuôi, khí hậu thời tiết, đặc điểm của từng vùng, miền, cơ quan quản lý chuyên ngành thú y địa phương xây dựng và tổ chức thực hiện kế hoạch tiêm phòng cho phù hợp, đảm bảo hiệu quả tiêm phòng.
3. Tiêm phòng khẩn cấp khi có ổ dịch xảy ra
3.1. Khi có ổ dịch Cúm gia cầm xảy ra, tổ chức tiêm phòng cho gia cầm khỏe mạnh tại các thôn, ấp, bản nơi xảy ra dịch; đồng thời tổ chức tiêm phòng bao vây ổ dịch theo hướng từ ngoài vào trong đối với gia cầm mẫn cảm tại các thôn, ấp, bản chưa có dịch trong cùng xã và các xã tiếp giáp xung quanh xã có dịch.
3.2. Huy động lực lượng tại chỗ hỗ trợ tiêm phòng; người trực tiếp tham gia tiêm phòng phải là nhân viên thú y hoặc người đã qua tập huấn về tiêm phòng.
3.3. Cơ quan quản lý chuyên ngành thú y địa phương hướng dẫn, quản lý, thực hiện tiêm phòng và giám sát việc tiêm phòng.
4. Giám sát bệnh Cúm gia cầm
4.1. Giám sát lâm sàng phải được thực hiện thường xuyên, liên tục, đặc biệt đối với đàn gia cầm mới nuôi, đàn gia cầm trong vùng có ổ dịch cũ, địa bàn có nguy cơ cao do cơ quan quản lý chuyên ngành thú y địa phương xác định.
4.2. Giám sát lưu hành vi rút cúm (thể độc lực cao hoặc chủng vi rút có khả năng truyền lây bệnh cho người).
Lấy mẫu dịch ngoáy hầu họng, dịch ngoáy ổ nhớp, mẫu phân tươi, mẫu bệnh phẩm tổ chức để giám sát lưu hành vi rút và giám sát sự biến đổi của vi rút.
4.3. Giám sát sau tiêm phòng
a) Giám sát sau tiêm phòng để đánh giá kết quả tiêm phòng và khả năng đáp ứng miễn dịch của đàn gia cầm sau khi được tiêm vắc-xin;
b) Lấy mẫu huyết thanh để xét nghiệm kháng thể sau tiêm phòng;
c) Thời điểm lấy mẫu: Sau 21 ngày kể từ thời điểm tiêm phòng gần nhất.
4.4. Cơ quan quản lý chuyên ngành thú y xây dựng, trình cấp có thẩm quyền phê duyệt Kế hoạch chủ động phòng chống dịch bệnh Cúm gia cầm, trong đó có kế hoạch giám sát bệnh Cúm gia cầm, bao gồm: giám sát lâm sàng, giám sát lưu hành vi rút hoặc giám sát sau tiêm phòng. Việc giám sát được thực hiện theo hướng dẫn tại Phụ lục 02 ban hành kèm theo Thông tư này.
4.5. Trong quá trình giám sát, đàn gia cầm có kết quả xét nghiệm dương tính với vi rút cúm gia cầm A/H5N1, A/H5N6 hoặc chủng vi rút cúm có khả năng truyền lây bệnh và gây tử vong cho người thì xử lý như đối với ổ dịch Cúm gia cầm.
5. Xử lý gia cầm mắc bệnh
5.1. Gia cầm bị tiêu hủy trong các trường hợp sau đây:
a) Đàn gia cầm phát hiện mắc bệnh, chết, có dấu hiệu mắc bệnh Cúm gia cầm thể độc lực cao;
b) Đàn gia cầm nuôi thả rông xung quanh mà chưa được tiêm phòng vắc xin cúm và đã tiếp xúc với đàn gia cầm mắc bệnh hoặc tiếp xúc với đàn gia cầm có dấu hiệu mắc bệnh Cúm gia cầm thể độc lực cao;
5.2. Việc tiêu hủy gia cầm phải được thực hiện ngay khi có kết quả xét nghiệm dương tính vi rút cúm A/H5N1 hoặc vi rút cúm A/H5N6 hoặc chủng vi rút cúm có khả năng truyền lây bệnh và gây tử vong cho người hoặc được cơ quan quản lý chuyên ngành thú y địa phương kiểm tra, xác minh và kết luận là mắc bệnh cúm gia cầm.
5.3. Việc xử lý gia cầm mắc bệnh theo hướng dẫn tại Phụ lục 06 được ban hành kèm theo Thông tư này.
6. Chẩn đoán xét nghiệm bệnh
6.1. Mẫu bệnh phẩm dùng để phát hiện mầm bệnh Cúm gia cầm là dịch ngoáy hầu họng, dịch ngoáy ổ nhớp, mẫu phân tươi, mẫu bệnh phẩm tổ chức của gia cầm mắc bệnh hoặc nguyên con gia cầm mắc bệnh.
6.2. Mẫu bệnh phẩm phải được lấy, bao gói và bảo quản theo Quy chuẩn Việt Nam QCVN 01 - 83: 2011/BNNPTNT được ban hành theo Thông tư số 71/2011/TT-BNNPTNT ngày 25 tháng 10 năm 2011 của Bộ Nông nghiệp và Phát triển nông thôn; đối với mẫu dịch ngoáy hầu họng, dịch ngoáy ổ nhớp phải được bảo quản trong dung dịch bảo quản, bảo quản trong điều kiện lạnh khoảng 2°C đến 8°C và chuyển ngay về phòng thử nghiệm nông nghiệp được cơ quan có thẩm quyền công nhận.
6.3. Phương pháp xét nghiệm: Thực hiện theo quy trình chẩn đoán bệnh Cúm gia cầm quy định tại Tiêu chuẩn Việt Nam TCVN 8400-26:2014.
PHỤ LỤC 10
HƯỚNG DẪN PHÒNG, CHỐNG BỆNH LỞ MỒM LONG MÓNG
(Ban hành kèm theo Thông tư số 07/2016/TT-BNNPTNT ngày 31 tháng 5 năm 2016 của Bộ trưởng Bộ Nông nghiệp và Phát triển nông thôn)
1. Giới thiệu về bệnh Lở mồm long móng (LMLM)
1.1. Khái niệm bệnh
a) Bệnh Lở mồm long móng gia súc (Foot and Mouth Disease) là bệnh truyền nhiễm ở các loài động vật móng guốc chẵn, lây lan mạnh, gây ra bởi loài vi rút thuộc họ Picornaviridae, giống Aphthovirus. Vi rút có 7 típ là: A, O, C, Asia 1, SAT 1, SAT 2, SAT 3 với hơn 60 phân típ. Ở khu vực Đông Nam Á thường thấy 3 típ là O, A và Asia 1. Ở Việt Nam đã phát hiện típ O, A và Asia 1.
b) Sức đề kháng của vi rút: Vi rút LMLM dễ bị tiêu diệt bởi ánh nắng mặt trời, nhiệt độ cao (như đun sôi 100°C); vi rút tồn tại được nhiều tháng trong thịt đông lạnh, 5-15 phút ở 60°C, chết nhanh ở 100°C, 425 ngày ở 0-4°C; vi rút dễ bị tiêu diệt bởi các chất có độ toan cao (pH ≤ 3) và các chất kiềm mạnh như xút (pH ≥ 9); vi rút sống khoảng 07 ngày trong các chất thải hữu cơ ở chuồng nuôi và các chất có độ kiềm nhẹ (pH từ 7,2-7,8).
1.2. Nguồn bệnh và đường truyền lây
a) Loài mắc: Động vật mắc bệnh LMLM là các loài móng guốc chẵn như trâu, bò, lợn, dê, cừu, hươu, nai,...;
b) Nguồn bệnh: Vi rút có trong nước bọt, dịch mụn nước, sữa, tinh dịch, các chất bài xuất, bài tiết của con vật mắc bệnh. Theo Tổ chức Thú y thế giới (OIE), dịch tiết trong đường hô hấp trên của người có thể lưu giữ vi rút trong 24 đến 48 giờ. Một đặc điểm quan trọng là vi rút LMLM thường được bài xuất ra ngoài trước khi con vật có biểu hiện triệu chứng lâm sàng của bệnh. Phòng thí nghiệm tham chiếu LMLM quốc tế Pirbright (Anh quốc) đã chứng minh với típ O, lợn bài xuất vi rút trước khi có dấu hiệu lâm sàng đầu tiên là 10 ngày, bò và cừu là 05 ngày, trung bình là 2,5 ngày. Một số tài liệu cho rằng lợn mắc bệnh có thể bài thải 400 triệu đơn vị lây nhiễm vi rút LMLM trong ngày, trong khi đó loài nhai lại bài thải khoảng 120 ngàn đơn vị lây nhiễm.
c) Đường truyền lây
- Lây trực tiếp: Do tiếp xúc giữa động vật mẫn cảm và động vật mắc bệnh khi nhốt chung hoặc chăn thả chung trên đồng cỏ.
- Lây gián tiếp: Qua thức ăn, nước uống, máng ăn, máng uống, nền chuồng, dụng cụ chăn nuôi, tay chân, quần áo người chăn nuôi bị nhiễm vi rút. Bệnh lây lan từ vùng này sang vùng khác, lây từ nước này sang nước khác qua biên giới theo đường vận chuyển động vật, sản phẩm động vật ở dạng tươi sống có mang mầm bệnh (kể cả thịt ướp đông, da, xương, sừng, móng, sữa).
1.3. Triệu chứng lâm sàng
Thời kỳ ủ bệnh thường từ 2 đến 5 ngày, nhiều nhất là 21 ngày. Động vật mắc bệnh có triệu chứng sốt cao trên 40°C, kém ăn hoặc bỏ ăn, chảy nhiều nước bọt, chân đau, mụn nước xuất hiện ở lợi, lưỡi, vành mũi, vành móng, kẽ móng và đầu vú. Khi mụn nước vỡ ra làm lở loét mồm và dễ làm long móng, nhất là ở lợn.
Sau khi phát bệnh 10-15 ngày, con vật có thể khỏi về triệu chứng lâm sàng nhưng mầm bệnh vẫn tồn tại trong con vật (03 - 04 tuần đối với lợn, 02 - 03 năm đối với trâu bò, 09 tháng đối với cừu, 04 tháng đối với dê) và được bài thải ra môi trường làm phát sinh và lây lan dịch bệnh.
2. Phòng bệnh bắt buộc bằng vắc-xin
2.1. Đối tượng tiêm phòng
a) Các trang trại, cơ sở nuôi gia súc tập trung: Trâu, bò, lợn, dê, cừu trừ trường hợp được miễn tiêm phòng theo quy định tại khoản 2 Điều 4 của Thông tư này;
b) Đàn gia súc nuôi nhỏ lẻ trong các hộ gia đình: Trâu, bò, lợn nái, lợn đực giống và một số đối tượng gia súc mẫn cảm khác do cơ quan quản lý chuyên ngành thú y địa phương xác định.
2.2. Phạm vi tiêm phòng
Tiêm phòng theo kế hoạch của Bộ Nông nghiệp và Phát triển nông thôn và tại khu vực có ổ dịch cũ, địa bàn có nguy cơ cao do cơ quan quản lý chuyên ngành thú y địa phương xác định.
2.3. Thời gian tiêm phòng
a) Tổ chức tiêm phòng định kỳ theo quy trình nuôi, tiêm phòng bổ sung đối với gia súc mới phát sinh, đàn gia súc đã hết thời gian còn miễn dịch bảo hộ hoặc tiêm phòng theo kế hoạch của Bộ Nông nghiệp và Phát triển nông thôn, theo kế hoạch và hướng dẫn của cơ quan quản lý chuyên ngành thú y địa phương;
b) Liều lượng, đường tiêm theo hướng dẫn của nhà sản xuất vắc-xin.
2.4. Căn cứ vào thông báo chủng vi rút LMLM lưu hành tại thực địa, cơ quan quản lý chuyên ngành thú y địa phương xác định đối tượng, phạm vi tiêm phòng và chủng loại vắc-xin sử dụng để phòng, chống bệnh LMLM cho phù hợp.
2.5. Căn cứ vào điều kiện chăn nuôi, khí hậu thời tiết, đặc điểm của từng vùng, miền, cơ quan quản lý chuyên ngành thú y địa phương xây dựng và tổ chức thực hiện kế hoạch tiêm phòng cho phù hợp, bảo đảm hiệu quả tiêm phòng.
3. Tiêm phòng khẩn cấp khi có ổ dịch xảy ra
3.1. Khi có ổ dịch LMLM xảy ra, tổ chức tiêm phòng khẩn cấp cho gia súc khỏe mạnh tại các thôn, ấp, bản nơi xảy ra dịch; đồng thời tổ chức tiêm phòng bao vây ổ dịch theo hướng từ ngoài vào trong đối với gia súc mẫn cảm tại các thôn, ấp, bản chưa có dịch trong cùng xã và các xã tiếp giáp xung quanh xã có dịch.
3.2. Huy động lực lượng tại chỗ hỗ trợ tiêm phòng; người trực tiếp tham gia tiêm phòng phải là nhân viên thú y hoặc người đã qua tập huấn về tiêm phòng.
3.3. Cơ quan quản lý chuyên ngành thú y địa phương hướng dẫn, quản lý, thực hiện tiêm phòng và giám sát việc tiêm phòng.
4. Giám sát bệnh LMLM
4.1. Giám sát lâm sàng phải được thực hiện thường xuyên, liên tục, đặc biệt đối với gia súc mới đưa vào địa bàn, mới nuôi, gia súc trong vùng có ổ dịch cũ, địa bàn có nguy cơ cao do cơ quan quản lý chuyên ngành thú y địa phương xác định.
4.2. Giám sát lưu hành vi rút
Lấy mẫu bệnh phẩm, mẫu dịch hầu họng (probang) để giám sát lưu hành vi rút, giám sát biến đổi của vi rút hoặc lấy mẫu huyết thanh để giám sát lưu hành kháng thể do nhiễm bệnh tự nhiên.
4.3. Giám sát sau tiêm phòng
a) Giám sát sau tiêm phòng để đánh giá kết quả tiêm phòng và khả năng đáp ứng miễn dịch của đàn gia súc sau khi được tiêm vắc-xin;
b) Lấy mẫu huyết thanh để xét nghiệm kháng thể bảo hộ sau tiêm phòng;
c) Thời điểm lấy mẫu: Sau 21 ngày kể từ thời điểm tiêm phòng gần nhất.
4.4. Cơ quan quản lý chuyên ngành thú y xây dựng, trình cấp có thẩm quyền phê duyệt Kế hoạch chủ động phòng chống dịch bệnh Lở mồm long móng gia súc, trong đó có kế hoạch giám sát bệnh LMLM, bao gồm: giám sát lâm sàng, giám sát lưu hành vi rút hoặc giám sát sau tiêm phòng. Việc giám sát được thực hiện theo hướng dẫn tại Phụ lục 02 ban hành kèm theo Thông tư này.
4.5. Trong quá trình giám sát lưu hành vi rút, gia súc có kết quả xét nghiệm dương tính thì xử lý như đối với ổ dịch LMLM.
5. Xử lý gia súc mắc bệnh
5.1. Gia súc mắc bệnh LMLM được xử lý như sau:
a) Đối với trâu, bò dê, cừu, hươu, nai: Tiêu hủy bắt buộc gia súc chết, gia súc mắc bệnh trong ổ dịch đầu tiên khi mới xuất hiện tại thôn, ấp, bản hoặc gia súc mắc bệnh với típ vi rút LMLM mới hoặc típ vi rút không xuất hiện trên địa bàn trong thời gian 10 năm trở lại đây;
Đối với gia súc không thuộc diện nêu trên thì khuyến khích tiêu hủy; trường hợp không tiêu hủy thì được giết mổ tiêu thụ tại chỗ hoặc đánh dấu và nuôi giữ tại địa phương theo hướng dẫn của cơ quan quản lý chuyên ngành thú y địa phương trên cơ sở thời gian mang trùng của từng loài (02 năm đối với trâu bò, 09 tháng đối với cừu, 04 tháng đối với dê).
b) Đối với lợn: Tiêu hủy bắt buộc toàn bộ số lợn mắc bệnh trong ổ dịch với triệu chứng lâm sàng điển hình để giảm thiểu nguy cơ lây lan dịch, cách ly lợn khỏe mạnh trong cùng đàn với lợn mắc bệnh để theo dõi.
c) Đối với vùng, cơ sở đã được công nhận an toàn dịch bệnh LMLM, thực hiện tiêu hủy hoặc giết mổ bắt buộc gia súc mắc bệnh LMLM và xử lý ổ dịch theo quy định.
5.2. Việc xử lý gia súc mắc bệnh phải được thực hiện ngay khi có kết quả xét nghiệm dương tính với bệnh LMLM hoặc được cơ quan quản lý chuyên ngành thú y địa phương kiểm tra, xác minh và kết luận gia súc bị mắc bệnh LMLM.
5.3. Việc xử lý gia súc mắc bệnh theo hướng dẫn tại Phụ lục 06 được ban hành kèm theo Thông tư này.
6. Chẩn đoán xét nghiệm bệnh
6.1. Mẫu bệnh phẩm để xét nghiệm mầm bệnh là dịch mụn nước, niêm mạc xung quanh mụn nước, biểu mô, máu, mẫu dịch probang.
6.2. Mẫu bệnh phẩm phải được lấy, bao gói và bảo quản theo Quy chuẩn Việt Nam QCVN 01 - 83: 2011/BNNPTNT được ban hành theo Thông tư số 71/2011/TT-BNNPTNT ngày 25 tháng 10 năm 2011 của Bộ Nông nghiệp và Phát triển nông thôn; mẫu được giữ trong dung dịch bảo quản, trong điều kiện lạnh khoảng 2°C đến 8°C và chuyển ngay về phòng thử nghiệm nông nghiệp được cơ quan có thẩm quyền công nhận.
6.3. Phương pháp xét nghiệm: Thực hiện theo quy trình chẩn đoán bệnh LMLM quy định tại Tiêu chuẩn Việt Nam TCVN 8400-1:2010.
PHỤ LỤC 11
HƯỚNG DẪN PHÒNG, CHỐNG BỆNH TAI XANH
(Ban hành kèm theo Thông tư số 07/2016/TT-BNNPTNT ngày 31 tháng 5 năm 2016 của Bộ trưởng Bộ Nông nghiệp và Phát triển nông thôn)
1. Giới thiệu về bệnh Tai xanh (Hội chứng rối loạn sinh sản và hô hấp ở lợn)
1.1. Khái niệm bệnh
a) Bệnh Tai xanh (Porcine Reproductive and Respiratory Syndrome - PRRS) là bệnh truyền nhiễm nguy hiểm ở lợn. Tác nhân gây bệnh Tai xanh là do một loài vi rút PRRS thuộc giống Arterivirus, họ Arteriviridae, bộ Nidovirales, có cấu trúc vỏ bọc dạng chuỗi đơn RNA. Hiện nay, dựa trên việc phân tích cấu trúc gien và kháng nguyên đã xác định được 2 típ: típ I gồm những vi rút thuộc dòng Châu Âu và típ II gồm những vi rút thuộc dòng Bắc Mỹ. Vi rút típ II gây bệnh trầm trọng hơn ở các nước Châu Á. Những nghiên cứu gần đây cho thấy, vi rút gây bệnh Tai xanh tồn tại dưới hai dạng, dạng cổ điển có độc lực thấp và dạng biến thể có độc lực cao, gây nhiễm và chết nhiều lợn.
b) Sức đề kháng của vi rút: ở điều kiện môi trường có độ pH <5,5 hoặc >6,5 vi rút gần như mất tính gây bệnh; ở nhiệt độ 4°C vi rút tồn tại trong 120 giờ, 20°C tồn tại trong 20 giờ, 37°C tồn tại trong 3 giờ, 56°C tồn tại trong vòng 6 phút; vi rút dễ dàng bị tiêu diệt bởi ánh nắng mặt trời và các hóa chất sát trùng thông thường như: vôi bột, nước vôi 10%, chlorine, phoóc-môn, iodin...
c) Lợn nhiễm bệnh Tai xanh thường bị suy giảm miễn dịch, do đó tạo điều kiện cho nhiều loại bệnh khác kế phát như Dịch tả lợn, Phó thương hàn, Tụ huyết trùng, E. coli, Liên cầu khuẩn lợn, Mycoplasma,... từ đó làm chết nhiều lợn bệnh, gây ra những tổn thất lớn về kinh tế cho người chăn nuôi.
1.2. Nguồn bệnh và đường truyền lây
a) Loài mắc: Lợn thuộc mọi lứa tuổi.
b) Nguồn bệnh: Vi rút có trong dịch mũi, nước bọt, phân, nước tiểu của lợn mắc bệnh hoặc mang trùng và phát tán ra môi trường. Ở lợn mẫn cảm, vi rút có thời gian tồn tại và bài thải ra môi trường tương đối dài: ở lợn mang trùng và không có triệu chứng lâm sàng, vi rút có thể được phát hiện ở nước tiểu trong 14 ngày, ở phân khoảng 28-35 ngày, ở huyết thanh khoảng 21-23 ngày, ở dịch hầu họng khoảng 56-157 ngày, ở tinh dịch sau 92 ngày và đặc biệt ở huyết thanh của lợn bị nhiễm bệnh sau 210 ngày vẫn có thể tìm thấy vi rút.
c) Đường truyền lây
- Lây trực tiếp: Do tiếp xúc giữa lợn khỏe mạnh với lợn mắc bệnh, lợn mang trùng, hoặc phân, nước tiểu, bụi, nước bọt, tinh dịch có mang mầm bệnh;
- Lây gián tiếp: Qua dụng cụ chăn nuôi, phương tiện vận chuyển và dụng cụ bảo hộ lao động bị nhiễm vi rút gây bệnh.
1.3. Triệu chứng lâm sàng
Thời gian ủ bệnh từ 3 đến 40 ngày, thường trong khoảng 14 ngày.
a) Lợn nái giai đoạn cạn sữa: Lợn mắc bệnh biếng ăn hoặc bỏ ăn, sốt trên 40oC, ho và viêm phổi. Thường sảy thai vào giai đoạn cuối, đẻ non, động đực giả, bất dục hoặc chậm động dục trở lại sau khi đẻ;
b) Lợn nái giai đoạn đẻ và nuôi con: Biếng ăn, bỏ ăn, lười uống nước, lờ đờ hoặc hôn mê, mất sữa và viêm vú, đẻ sớm khoảng 2-3 ngày, thai gỗ, lợn con chết ngay sau khi sinh;
c) Lợn đực giống: Biếng ăn, bỏ ăn, sốt trên 40°C, đờ đẫn hoặc hôn mê, giảm hưng phấn, mất tính dục, lượng tinh dịch ít, chất lượng tinh kém và cho lợn con sinh ra nhỏ;
d) Lợn con theo mẹ: Nhiều con chết yểu sau khi sinh, những con sống sót sau có thể trạng gầy yếu, nhanh chóng rơi vào trạng thái tụt đường huyết do không bú được, mắt có dử màu nâu, trên da có vết phồng rộp, tiêu chảy nhiều, tăng nguy cơ mắc các bệnh về hô hấp, chân choãi ra, đi run rẩy;
đ) Lợn con cai sữa và lợn choai: Biếng ăn, bỏ ăn, sốt trên 40°C, ho nhẹ, lông xơ xác; ở một số đàn có thể không có triệu chứng.
1.4. Bệnh tích
Bệnh tích đặc trung nhất là ở phổi: phổi viêm hoại tử và thâm nhiễm đặc trưng bởi những đám chắc, đặc (nhục hóa) trên các thuỳ phổi, cuống phổi chứa nhiều dịch viêm, trên mặt cắt ngang của thùy bệnh lồi ra, khô, thùy bị bệnh có màu xám đỏ. Nhiều trường hợp viêm phế quản phổi hóa mủ ở mặt dưới thùy đỉnh. Ngoài ra, có thể thấy thận xuất huyết đinh ghim, hạch amidan sưng và sung huyết, não sung huyết, hạch màng treo ruột xuất huyết, loét van hồi manh tràng.
2. Phòng bệnh bằng vắc-xin
2.1. Đối tượng tiêm phòng
Lợn nái, lợn đực giống do cơ quan quản lý chuyên ngành thú y địa phương xác định.
2.2. Phạm vi tiêm phòng: Vùng có ổ dịch cũ, địa bàn có nguy cơ cao do cơ quan quản lý chuyên ngành thú y địa phương xác định.
2.3. Thời gian tiêm phòng
a) Tổ chức tiêm phòng định kỳ theo quy trình nuôi, tiêm phòng bổ sung đối với đàn mới phát sinh, đàn đã hết thời gian còn miễn dịch bảo hộ hoặc tiêm theo hướng dẫn của cơ quan quản lý chuyên ngành thú y địa phương;
b) Liều lượng, đường tiêm theo hướng dẫn của nhà sản xuất vắc-xin.
2.4. Căn cứ vào thông báo chủng vi rút Tai xanh lưu hành tại thực địa, cơ quan quản lý chuyên ngành thú y địa phương xác định đối tượng, phạm vi tiêm phòng và chủng loại vắc-xin sử dụng đề phòng, chống bệnh Tai xanh cho phù hợp.
2.5. Căn cứ vào điều kiện chăn nuôi, khí hậu thời tiết, đặc điểm của từng vùng, miền, cơ quan quản lý chuyên ngành thú y địa phương xây dựng và tổ chức thực hiện kế hoạch tiêm phòng cho phù hợp, đảm bảo hiệu quả tiêm phòng.
2.6. Trong quá trình thực hiện tiêm phòng, không được làm rơi vãi vắc-xin Tai xanh (đối với vắc-xin nhược độc) ra ngoài môi trường. Sau khi tiêm phòng, toàn bộ dụng cụ tiêm phòng phải được tiệt trùng, vỏ chai, lọ vắc xin phải được thu hồi, tiêu hủy.
3. Tiêm phòng khẩn cấp khi có ổ dịch xảy ra
3.1. Khi có ổ dịch Tai xanh xảy ra, tổ chức tiêm phòng cho lợn mẫn cảm với bệnh tại các thôn, ấp, bản nơi xảy ra dịch; đồng thời tổ chức tiêm phòng bao vây ổ dịch theo hướng từ ngoài vào trong đối với lợn mẫn cảm tại các thôn, ấp, bản chưa có dịch trong cùng xã và các xã tiếp giáp xung quanh với xã có dịch.
3.2. Huy động lực lượng tại chỗ hỗ trợ tiêm phòng; người trực tiếp tham gia tiêm phòng phải là nhân viên thú y hoặc người đã qua tập huấn về tiêm phòng.
3.3. Cơ quan quản lý chuyên ngành thú y địa phương hướng dẫn, quản lý, thực hiện tiêm phòng và giám sát việc tiêm phòng.
4. Giám sát bệnh Tai xanh
4.1. Giám sát lâm sàng phải được thực hiện thường xuyên, liên tục, đặc biệt đối với đàn lợn mới nuôi, đàn lợn trong vùng có ổ dịch cũ, địa bàn có nguy cơ cao do cơ quan quản lý chuyên ngành thú y địa phương xác định.
4.2. Giám sát lưu hành vi rút
Lấy mẫu dịch ngoáy mũi, dịch nước bọt, mẫu huyết thanh của lợn đang bị sốt cao hoặc phổi, lách, hạch của lợn mắc bệnh, chết, có dấu hiệu mắc bệnh để giám sát lưu hành và biến đổi của vi rút.
4.3. Giám sát sau tiêm phòng
a) Giám sát sau tiêm phòng để đánh giá kết quả tiêm phòng và khả năng đáp ứng miễn dịch của đàn lợn sau khi được tiêm vắc-xin;
b) Lấy mẫu huyết thanh để xét nghiệm kháng thể bảo hộ sau tiêm phòng;
c) Thời điểm lấy mẫu: Sau 21 ngày kể từ thời điểm tiêm phòng gần nhất.
4.4. Cơ quan quản lý chuyên ngành thú y địa phương xây dựng, trình cấp có thẩm quyền phê duyệt Kế hoạch chủ động phòng chống dịch bệnh Tai xanh ở lợn, trong đó có kế hoạch giám sát bệnh Tai xanh, bao gồm: giám sát lâm sàng, giám sát lưu hành vi rút hoặc giám sát sau tiêm phòng. Việc giám sát được thực hiện theo hướng dẫn tại Phụ lục 02 ban hành kèm theo Thông tư này.
4.5. Trong quá trình giám sát lưu hành vi rút, lợn có kết quả xét nghiệm dương tính thì xử lý như đối với ổ dịch Tai xanh.
5. Xử lý lợn mắc bệnh
5.1. Lợn bị mắc bệnh Tai xanh được xử lý như sau:
a) Tiêu hủy ngay lợn chết do bệnh;
b) Đối với các ổ dịch nhỏ lẻ mới xảy ra trên địa bàn: Khuyến khích tiêu hủy lợn mắc bệnh để giảm thiểu nguy cơ dịch lây lan rộng, cách ly triệt để lợn chưa bị mắc bệnh để theo dõi; khuyến khích giết mổ tiêu thụ tại chỗ đối với lợn khỏe mạnh trong cùng đàn với lợn mắc bệnh;
c) Đối với trường hợp dịch xảy ra ở diện rộng: Tiêu hủy số lợn mắc bệnh nặng (lợn mắc bệnh nặng là những lợn có bệnh, đã được chăm sóc tích cực, được hỗ trợ tăng cường sức đề kháng trong vòng 07 ngày nhưng không có khả năng bình phục), nuôi cách ly triệt để lợn mắc bệnh nhẹ để theo dõi chặt chẽ diễn biến bệnh; khuyến khích giết mổ tiêu thụ tại chỗ đối với lợn khỏe mạnh trong cùng đàn với lợn mắc bệnh, trường hợp không giết mổ phải nuôi cách ly để theo dõi.
5.2. Việc xử lý lợn mắc bệnh phải được thực hiện ngay khi có kết quả xét nghiệm dương tính với bệnh Tai xanh hoặc được cơ quan quản lý chuyên ngành thú y địa phương kiểm tra, xác minh và kết luận lợn bị mắc bệnh Tai xanh.
5.2. Việc xử lý lợn mắc bệnh theo hướng dẫn tại Phụ lục 06 được ban hành kèm theo Thông tư này.
6. Chẩn đoán xét nghiệm bệnh
6.1. Mẫu bệnh phẩm là dịch ngoáy mũi, dịch nước bọt, máu của lợn đang sốt cao, phổi, lách, hạch lâm ba của lợn mắc bệnh, chết, có dấu hiệu mắc bệnh.
6.2. Mẫu bệnh phẩm phải được lấy, bao gói và bảo quản theo Quy chuẩn Việt Nam QCVN 01 - 83: 2011/BNNPTNT được ban hành theo Thông tư số 71/2011/TT-BNNPTNT ngày 25 tháng 10 năm 2011 của Bộ Nông nghiệp và Phát triển nông thôn, mẫu được giữ trong dung dịch bảo quản, trong điều kiện lạnh khoảng 2°C đến 8°C và chuyển ngay về phòng thử nghiệm nông nghiệp được cơ quan có thẩm quyền công nhận.
6.3. Phương pháp xét nghiệm: Thực hiện theo quy trình chẩn đoán bệnh Tai xanh quy định tại Tiêu chuẩn Việt Nam TCVN 8400-21:2014.
PHỤ LỤC 12
HƯỚNG DẪN PHÒNG, CHỐNG BỆNH NHIỆT THÁN
(Ban hành kèm theo Thông tư số 07/2016/TT-BNNPTNT ngày 31 tháng 5 năm 2016 của Bộ trưởng Bộ Nông nghiệp và Phát triển nông thôn)
1. Giới thiệu về bệnh Nhiệt thán
1.1. Khái niệm bệnh
a) Bệnh Nhiệt thán (Anthrax) là bệnh truyền nhiễm cấp tính nguy hiểm của các loài động vật máu nóng (gia súc, động vật hoang dã) và con người. Bệnh gây ra bởi vi khuẩn Bacillus anthracis thuộc giống Bacillus, họ Bacillaceae. Khi gặp điều kiện bất lợi ở ngoài môi trường, vi khuẩn Bacillus anthracis sẽ sinh nha bào; nha bào Nhiệt thán có thể tồn tại nhiều năm trong môi trường tự nhiên;
b) Sức đề kháng của vi khuẩn: Vi khuẩn Nhiệt thán bị tiêu diệt ở 50°C- 55°C trong 15-40 phút, 75°C trong 01-02 phút, trong phủ tạng động vật chết 1-2 tuần. Nha bào của vi khuẩn Nhiệt thán có sức đề kháng rất cao, đun sôi ở 100°C tồn tại trong 15 phút, hấp ướt 121 °C trong 15 phút, sấy khô 150°C trong 60 phút. Các chất sát trùng có thể tiêu diệt vi khuẩn như beta-propiolactone, ethylene oxide hoặc chất sát trùng pha đặc như phoóc-môn 1% trong 2 giờ, axit fenic 5% trong 24 giờ, nước vôi đặc trong 48 giờ,...
1.2. Nguồn bệnh và đường truyền lây
a) Loài mắc: Các loài động vật ăn cỏ như trâu, bò, ngựa, dê, cừu, hươu, nai; động vật ăn tạp như lợn nhà, lợn rừng; động vật ăn thịt như chó, mèo cũng có thể bị mắc bệnh Nhiệt thán. Người có thể mắc bệnh do vi khuẩn Nhiệt thán hoặc nha bào Nhiệt thán xâm nhập vào cơ thể thông qua vết thương hở trên da hoặc ăn thịt gia súc mắc bệnh Nhiệt thán hoặc hít phải nha bào Nhiệt thán trong môi trường;
b) Nguồn bệnh: Các chất bài tiết, dịch tiết, máu từ hậu môn, mũi, miệng, phủ tạng, cơ quan sinh dục, dịch mật, nước tiểu, sữa của động vật mắc bệnh;
Ở ngoài môi trường, đặc biệt ở những nơi chôn động vật mắc bệnh Nhiệt thán hoặc nơi bị nhiễm chất bài tiết của động vật mắc bệnh, vi khuẩn Nhiệt thán sẽ sinh nha bào để tồn tại trong thời gian dài; giun đất ăn phải nha bào rồi đùn lên mặt đất theo phân; nha bào sẽ theo nước mưa phát tán đi xa, bám vào cây cỏ, động vật ăn cỏ và ăn phải nha bào; khi vào đường tiêu hóa, nha bào đi vào mạch máu thông qua niêm mạc đường tiêu hóa bị tổn thương (do ký sinh trùng hoặc ngoại vật), phát triển thành vi khuẩn và gây bệnh. Ngoài ra, động vật khỏe mạnh có thể hít phải bụi có nha bào Nhiệt thán, nha bào xâm nhập đường hô hấp, phát triển thành vi khuẩn Nhiệt thán, từ đó xâm nhập vào các cơ quan, tổ chức trong cơ thể gây bệnh;
c) Đường truyền lây: Chủ yếu qua đường tiêu hóa và hô hấp do động vật khỏe mạnh hít hoặc ăn phải nha bào Nhiệt thán trong quá trình chăn thả tự do ngoài bãi chăn.
1.3. Triệu chứng lâm sàng
Thời gian ủ bệnh trung bình từ 3 đến 7 ngày, một số trường hợp có thời gian ủ bệnh ngắn từ vài giờ đến 2 ngày; lợn ủ bệnh từ 1 đến 2 tuần. Gia súc mắc bệnh Nhiệt thán thường có biểu hiện lưỡi lè ra ngoài, phần bụng chướng to, lòi dom, các lỗ tự nhiên như mồm, mũi, hậu môn, cơ quan sinh dục chảy dịch nhầy lẫn máu sẫm màu khó đông hoặc không đông.
a) Loài nhai lại
- Thể quá cấp tính: Thể bệnh này thường gặp ở trâu, bò, dê, cừu. Con vật sốt cao từ 40,5°C đến 42,5°C, run rẩy, thở gấp hoặc khó thở, các niêm mạc đỏ ửng hay tím bầm, nghiến răng, thè lưỡi, đầu gục xuống, mắt đỏ, đi loạng choạng, đứng không vững, con vật co giật toàn thân. Một số trường hợp quan sát thấy con vật nhảy xuống ao hoặc đâm sầm vào bụi rậm, ngã quỵ rồi chết. Con vật chết nhanh sau khi xuất hiện triệu chứng từ một đến vài giờ. Nhiều trường hợp con vật chết khi chưa có triệu chứng của bệnh. Sau khi chết, các lỗ tự nhiên (miệng, lỗ mũi, hậu môn và cơ quan sinh dục) chảy máu đen và khó đông. Thường quan sát thấy xác chết cứng không hoàn toàn;
- Thể cấp tính: Thể bệnh này thường gặp ở trâu, bò, cừu, ngựa. Con vật sốt cao từ 40°C đến 42°C, tim đập nhanh, thở nhanh, niêm mạc đỏ thẫm. Trong thời gian sốt, con vật đi táo; khi thân nhiệt hạ, đi ỉa chảy, có thể quan sát thấy phân màu đen lẫn máu, nước tiểu lẫn máu; mồm, mũi có bọt màu hồng lẫn máu; hầu, ngực và bụng bị sưng, nóng; sản lượng sữa giảm, những con có chửa bị sảy thai. Chảy máu ở các lỗ tự nhiên như miệng, mũi, hậu môn và lỗ sinh dục; con vật thường chết sau 1 - 3 ngày;
- Thể á cấp tính: Thể bệnh này thường gặp ở chó, mèo và lợn. Con vật thường mắc bệnh qua đường tiêu hóa do ăn phải thức ăn nhiễm nha bào Nhiệt thán. Con vật sốt cao, biếng ăn hoặc bỏ ăn, nôn mửa, ỉa chảy hoặc táo bón; xuất hiện các ung sưng thủy thũng dưới da ở cổ, họng, vai, có thể lan rộng; những chỗ da mỏng thường sưng, nóng rồi cứng lại, không đau, về sau chỗ da sưng bị loét và chảy nước hơi vàng, có lẫn ít máu; niêm mạc mắt, miệng, hậu môn màu đỏ;
- Thể ngoài da: Thể bệnh này con vật có các ung Nhiệt thán ở vùng cổ, mông, ngực. Ban đầu trên da có các vùng sưng, nóng, đau, về sau lạnh dần, không đau, giữa ung nhiệt thán bị thối, có lúc thành mụn loét màu đỏ thẫm, chảy nước vàng;
b) Ngựa: Có biểu hiện sốt từ 41°C đến 42°C, đau bụng dữ dội, khó thở. Con vật run rẩy, nước tiểu lẫn máu, phân lẫn máu và mủ, mũi và miệng có thể chảy máu, con vật chết nhanh, sau khi chết bụng chướng to, lòi dom;
c) Lợn: Sưng hầu, có khi lan xuống cả ngực, bụng, lên mặt. Chỗ sưng có màu đỏ sẫm, tím bầm. Lợn khó nuốt, khó thở, không kêu được.
1.4. Bệnh tích
Bệnh tích chủ yếu là hạch hầu, hạch trước vai, hạch đùi sưng to và tụ máu; thịt tím tái thẫm máu; lách sưng to, tím sẫm và nát nhũn như bùn; máu đen, không đông ở các xoang cơ thể; da vùng cổ, ngực, hông có nhiều mụn loét màu đỏ thẫm, có dịch màu vàng.
2. Phòng bệnh bắt buộc bằng vắc-xin
2.1. Đối tượng tiêm phòng: Trâu, bò, ngựa, dê, cừu.
2.2. Phạm vi tiêm phòng: Thực hiện tiêm phòng vắc-xin Nhiệt thán cho gia súc tại vùng có ổ dịch cũ, vùng bị dịch uy hiếp và địa bàn có nguy cơ cao do cơ quan quản lý chuyên ngành thú y xác định; tiêm phòng trong vòng ít nhất 10 năm liên tục tính từ năm có ổ dịch Nhiệt thán cuối cùng.
2.3. Thời gian tiêm phòng
a) Tiêm phòng một lần trong một năm, ngoài ra cần thực hiện tiêm phòng bổ sung đối với gia súc mới phát sinh, đàn gia súc đã hết thời gian còn miễn dịch bảo hộ;
b) Liều lượng, đường tiêm theo hướng dẫn của nhà sản xuất vắc-xin.
2.4. Căn cứ vào điều kiện chăn nuôi, khí hậu thời tiết, đặc điểm của từng vùng, miền, cơ quan quản lý chuyên ngành thú y địa phương xây dựng và tổ chức thực hiện kế hoạch tiêm phòng cho phù hợp, đảm bảo hiệu quả tiêm phòng.
2.5. Trong quá trình thực hiện tiêm phòng, không được làm rơi vãi vắc-xin Nhiệt thán ra ngoài môi trường. Sau khi tiêm phòng, toàn bộ dụng cụ tiêm phòng phải được tiệt trùng, vỏ chai, lọ vắc xin phải được thu hồi, tiêu hủy.
3. Tiêm phòng khẩn cấp khi có ổ dịch xảy ra
3.1. Khi có ổ dịch Nhiệt thán xảy ra, tổ chức tiêm phòng vắc-xin Nhiệt thán cho trâu, bò, ngựa, dê, cừu tại các thôn, ấp, bản nơi xảy ra dịch; đồng thời tiêm phòng bao vây ổ dịch theo hướng từ ngoài vào trong đối với trâu, bò, ngựa, dê, cừu tại các thôn, ấp, bản chưa có dịch trong cùng xã và các xã tiếp giáp xung quanh với xã có dịch.
3.2. Huy động lực lượng tại chỗ hỗ trợ tiêm phòng; người trực tiếp tham gia tiêm phòng phải là nhân viên thú y hoặc người đã qua tập huấn về tiêm phòng.
3.3. Cơ quan quản lý chuyên ngành thú y địa phương hướng dẫn, quản lý, thực hiện tiêm phòng và giám sát việc tiêm phòng.
4. Giám sát bệnh Nhiệt thán
Chủ yếu là giám sát lâm sàng phát hiện sớm ca mắc bệnh Nhiệt thán; giám sát lâm sàng phải được thực hiện thường xuyên, liên tục, đặc biệt đối với đàn gia súc mới đưa vào địa bàn, gia súc mới nuôi, gia súc trong vùng có ổ dịch cũ, địa bàn có nguy cơ cao do cơ quan quản lý chuyên ngành thú y địa phương xác định.
5. Xử lý động vật mắc bệnh
5.1. Không được phép mổ xác chết hoặc giết mổ đối với động vật mắc bệnh, có dấu hiệu mắc bệnh Nhiệt thán.
5.2. Động vật mẫn cảm với bệnh Nhiệt thán trong cùng đàn với động vật mắc bệnh phải được nuôi cách ly để theo dõi.
5.3. Tiêu hủy bắt buộc gia súc bị chết, bị mắc bệnh, có dấu hiệu mắc bệnh Nhiệt thán theo hướng dẫn tại Phụ lục 06 được ban hành kèm theo Thông tư này và theo các bước như sau:
a) Trước khi đưa xác gia súc đi tiêu hủy phải đốt và nút kỹ các lỗ tự nhiên; bọc kín xác gia súc để ngăn không cho dịch tiết thoát ra ngoài môi trường; rắc vôi bột để khử trùng;
b) Chọn hố chôn ở nơi cao ráo, cách xa bãi chăn, nguồn nước, đường giao thông, khu dân cư;
c) Đổ một lớp vôi, tốt nhất là vôi cục chưa tôi xuống đáy hố chôn trước khi cho xác gia súc vào hố;
d) Đốt xác gia súc trong hố chôn; sử dụng nguyên liệu chất đốt đảm bảo xác gia súc chết được đốt cháy hết; đổ một lớp vôi, tốt nhất là vôi cục chưa tôi lên trên xác gia súc đã bị đốt;
đ) Xây mả gia súc mắc bệnh Nhiệt thán: Sau khi đốt xác gia súc, phải đổ bê tông vào hố chôn, đánh dấu cảnh báo “Mả gia súc mắc bệnh Nhiệt thán! Cấm chăn thả gia súc”, ngăn chặn gia súc cẩn thận bằng rào chắn xung quanh mả.
6. Chẩn đoán xét nghiệm bệnh
6.1. Mẫu bệnh phẩm là máu, mẩu tai hoặc mẩu lách của con vật nghi mắc bệnh.
6.2. Mẫu bệnh phẩm phải được lấy, bao gói và bảo quản theo Quy chuẩn Việt Nam QCVN 01 - 83: 2011/BNNPTNT được ban hành theo Thông tư số 71/2011/TT-BNNPTNT ngày 25 tháng 10 năm 2011 của Bộ Nông nghiệp và Phát triển nông thôn; bảo đảm không rò rỉ ra môi trường, bảo quản trong điều kiện lạnh khoảng 2°C đến 8°C và chuyển ngay về phòng thử nghiệm nông nghiệp được cơ quan có thẩm quyền công nhận.
6.3. Phương pháp xét nghiệm: Thực hiện theo quy trình chẩn đoán bệnh Nhiệt thán quy định tại Tiêu chuẩn Việt Nam TCVN 5274: 2010.
PHỤ LỤC 13
HƯỚNG DẪN PHÒNG, CHỐNG BỆNH DỊCH TẢ LỢN
(Ban hành kèm theo Thông tư số 07/2016/TT-BNNPTNT ngày 31 tháng 5 năm 2016 của Bộ trưởng Bộ Nông nghiệp và Phát triển nông thôn)
1. Giới thiệu về bệnh Dịch tả lợn
1.1. Khái niệm bệnh
a) Bệnh Dịch tả lợn (Classical Swine Fever) là bệnh truyền nhiễm của loài lợn, gây ra bởi một loại vi rút có cấu trúc ARN thuộc giống Pestis vi rút, họ Flaviridae, có quan hệ mật thiết với vi rút gây bệnh tiêu chảy ở bò và vi rút gây bệnh Border ở cừu. Cho đến nay chỉ có một serotype của vi rút Dịch tả lợn đã được xác định. Bệnh chỉ xảy ra ở loài lợn (kể cả lợn nhà và lợn rừng) với các thể cấp tính, á cấp tính, mạn tính hoặc dạng không điển hình. Mức độ trầm trọng của bệnh tùy thuộc vào độc lực của vi rút, tuổi của động vật mẫn cảm và thời gian nhiễm bệnh. Lợn trưởng thành thường bị bệnh ít trầm trọng hơn và cùng có nhiều cơ hội phục hồi hơn so với lợn con. Bệnh Dịch tả lợn có tốc độ lây lan rất nhanh và tỷ lệ chết đến 90% và thường ghép với bệnh khác như bệnh Phó thương hàn, Tụ huyết trùng, Đóng dấu lợn, bệnh do Mycoplasma;
b) Sức đề kháng của vi rút: Vi rút Dịch tả lợn có sức đề kháng yếu, có khả năng tồn tại lâu ở ngoài môi trường. Trong phân gia súc vi rút có thể sống sót trong vài ngày, vi rút có thể sống vài tháng đến vài năm trong thịt đông lạnh. Vi rút dễ bị tiêu diệt ở nhiệt độ cao và các chất sát trùng thông thường như xút (NaOH) 2%, nước vôi 5%,...
1.2. Nguồn bệnh và đường truyền lây
a) Loài mắc: Lợn mọi lứa tuổi, đặc biệt là lợn con 2-3 tháng tuổi;
b) Nguồn bệnh: Các chất bài tiết, dịch tiết, máu, hạch lâm ba, lách lợn mắc bệnh có chứa vi rút. Lợn khỏi bệnh sau 2 tháng vẫn bài thải mầm bệnh ra ngoài môi trường;
c) Đường truyền lây
- Lây trực tiếp qua tiếp xúc giữa lợn mắc bệnh và lợn khỏe mạnh.
- Lây gián tiếp qua các chất bài tiết, qua thức ăn, nước uống, dụng cụ chăn nuôi, phương tiện vận chuyển hay do các động vật khác có mang mầm bệnh.
1.3. Triệu chứng lâm sàng
Thời gian nung bệnh từ 3 - 7 ngày và bệnh có thể xuất hiện ở một trong 3 thể:
a) Thể quá cấp tính (còn gọi là bệnh Dịch tả lợn trắng): Bệnh xuất hiện đột ngột, không có triệu chứng ban đầu, lợn ủ rũ, bỏ ăn, sốt cao trên 41°C, chết nhanh trong vòng 24-48 giờ, tỷ lệ chết có thể lên tới 100%.
b) Thể cấp tính: Lợn ủ rũ, biếng ăn hoặc bỏ ăn, sốt cao kéo dài đến lúc gần chết, mắt viêm đỏ có dử, chảy nước mũi, miệng có loét phủ bựa vàng ở lợi, chân răng, hầu; lợn nôn mửa, thở khó, nhịp thở rối loạn. Lúc đầu táo bón sau đó tiêu chảy, phân có mùi thối khắm và có thể lẫn máu tươi. Trên da có nhiều điểm xuất huyết lấm tấm ở tai, mõm, bụng và 04 chân. Vào cuối kỳ bệnh, lợn bị bại 2 chân sau, đi loạng choạng hoặc không đi được. Nếu ghép với các bệnh khác thì có triệu chứng trầm trọng hơn;
c) Thể mạn tính: Lợn tiêu chảy, gầy yếu, chết do kiệt sức; lợn khỏi bệnh có thể mang trùng vi rút.
1.4. Bệnh tích
a) Thể cấp tính: Bại huyết; xuất huyết nặng ở các cơ quan nội tạng, hạch amidan; có nốt loét ở niêm mạc miệng, lưỡi, đường tiêu hóa; tụ huyết, xuất huyết phổi, gan, túi mật, dạ dày, đặc biệt ở đường cong lớn của dạ dày; van hồi manh tràng có những vết loét hình cúc áo, có vòng tròn đồng tâm, bờ vết loét cao phủ bựa vàng; xuất huyết mỡ vành tim, ngoại tâm mạc; lách có hiện tượng nhồi huyết ở rìa làm cho lách có hình răng cưa; thận có nhiều điểm xuất huyết lấm tấm như đầu chim ở vỏ thận và tủy thận, bể thận ứ máu hoặc có cục máu; niêm mạc bàng quang bị tụ huyết, xuất huyết;
b) Thể mạn tính: Thường thấy có những vết loét lõm sâu ở ruột, phủ bựa vàng; phổi có thể bị viêm dính vào lồng ngực.
Trường hợp bệnh ghép với các bệnh truyền nhiễm khác thì triệu chứng, bệnh tích có thể thay đổi.
2. Phòng bệnh bắt buộc bằng vắc-xin
2.1. Đối tượng tiêm phòng
a) Lợn trong các trang trại, cơ sở nuôi tập trung, trừ trường hợp được miễn tiêm phòng theo quy định tại khoản 2 Điều 4 của Thông tư này;
b) Đàn lợn nuôi nhỏ lẻ trong các hộ gia đình: Lợn nái, lợn đực giống do cơ quan quản lý chuyên ngành thú y địa phương xác định.
2.2. Phạm vi tiêm phòng: Khu vực có ổ dịch cũ, địa bàn có nguy cơ cao do cơ quan quản lý chuyên ngành thú y địa phương xác định.
2.3. Thời gian tiêm phòng
a) Tổ chức tiêm phòng định kỳ theo quy trình nuôi, tiêm phòng bổ sung đối với đàn lợn mới phát sinh, đàn lợn đã hết thời gian còn miễn dịch bảo hộ hoặc hướng dẫn của cơ quan quản lý chuyên ngành thú y địa phương;
b) Liều lượng, đường tiêm theo hướng dẫn của nhà sản xuất vắc-xin.
2.4. Căn cứ vào điều kiện chăn nuôi, khí hậu thời tiết, đặc điểm của từng vùng, miền, cơ quan quản lý chuyên ngành thú y địa phương xây dựng và tổ chức thực hiện kế hoạch tiêm phòng cho phù hợp đảm bảo hiệu quả tiêm phòng.
2.5. Trong quá trình thực hiện tiêm phòng, không được làm rơi vãi vắc-xin Dịch tả lợn ra ngoài môi trường. Sau khi tiêm phòng, toàn bộ dụng cụ tiêm phòng phải được tiệt trùng, vỏ chai, lọ vắc xin phải được thu hồi, tiêu hủy.
3. Tiêm phòng khẩn cấp khi có ổ dịch xảy ra
3.1. Khi có ổ dịch xảy ra, tổ chức tiêm phòng cho lợn mẫn cảm với bệnh tại các thôn, ấp, bản nơi xảy ra dịch; đồng thời tổ chức tiêm phòng bao vây ổ dịch theo hướng từ ngoài vào trong đối với lợn mẫn cảm tại các thôn, ấp, bản chưa có dịch trong cùng xã và các xã tiếp giáp xung quanh với xã có dịch.
3.2. Huy động lực lượng tại chỗ hỗ trợ tiêm phòng; người trực tiếp tham gia tiêm phòng phải là nhân viên thú y hoặc người đã qua tập huấn về tiêm phòng.
3.3. Cơ quan quản lý chuyên ngành thú y địa phương hướng dẫn, quản lý thực hiện tiêm phòng và giám sát việc tiêm phòng.
4. Giám sát bệnh Dịch tả lợn
4.1. Giám sát lâm sàng phải được thực hiện thường xuyên, liên tục, đặc biệt đối với đàn lợn mới nuôi, trong khu vực có ổ dịch cũ, địa bàn có nguy cơ cao do cơ quan quản lý chuyên ngành thú y địa phương xác định.
4.2. Giám sát lưu hành vi rút
Mẫu xét nghiệm là máu, huyết thanh của lợn đang sốt cao hoặc thận, lách, hạch amidan, van hồi manh tràng của lợn mắc bệnh, chết, có dấu hiệu mắc bệnh.
4.3. Giám sát sau tiêm phòng
a) Giám sát sau tiêm phòng để đánh giá kết quả tiêm phòng và khả năng đáp ứng miễn dịch của đàn lợn sau khi được tiêm vắc-xin;
b) Lấy mẫu huyết thanh để xét nghiệm kháng thể bảo hộ sau tiêm phòng;
c) Thời điểm lấy mẫu: Sau 21 ngày kể từ thời điểm tiêm phòng gần nhất.
4.4. Cơ quan quản lý chuyên ngành thú y địa phương xây dựng, trình cấp có thẩm quyền phê duyệt Kế hoạch chủ động phòng chống dịch bệnh Dịch tả lợn, trong đó có kế hoạch giám sát bệnh Dịch tả, bao gồm: giám sát lâm sàng, giám sát lưu hành vi rút hoặc giám sát sau tiêm phòng. Việc giám sát được thực hiện theo hướng dẫn tại Phụ lục 02 ban hành kèm theo Thông tư này.
4.5. Trong quá trình giám sát lưu hành vi rút, lợn có kết quả xét nghiệm dương tính thì xử lý như đối với ổ dịch Dịch tả lợn.
5. Xử lý lợn mắc bệnh
5.1. Lợn bị mắc bệnh Dịch tả được xử lý như sau:
a) Tiêu hủy ngay lợn chết do bệnh;
b) Đối với các ổ dịch nhỏ lẻ mới xảy ra trên địa bàn: Khuyến khích tiêu hủy lợn mắc bệnh, cách ly triệt để lợn chưa bị mắc bệnh để theo dõi; khuyến khích giết mổ để tiêu thụ tại chỗ đối với lợn khỏe mạnh trong cùng ô chuồng với lợn mắc bệnh;
c) Đối với trường hợp dịch xảy ra ở diện rộng: Khuyến khích tiêu hủy số lợn mắc bệnh nặng (lợn mắc bệnh nặng là những lợn có bệnh, đã được chăm sóc tích cực, được hỗ trợ tăng cường sức đề kháng trong vòng 07 ngày nhưng không có khả năng bình phục), nuôi cách ly lợn mắc bệnh nhẹ để theo dõi chặt chẽ diễn biến bệnh; khuyến khích giết mổ tiêu thụ tại chỗ đối với lợn khỏe mạnh chưa được tiêm phòng vắc xin Dịch tả lợn trong cùng ô chuồng với lợn mắc bệnh, trường hợp không giết mổ phải nuôi cách ly để theo dõi.
5.2. Việc xử lý lợn mắc bệnh phải được thực hiện ngay khi có kết quả xét nghiệm dương tính với bệnh Dịch tả lợn hoặc được cơ quan quản lý chuyên ngành thú y địa phương kiểm tra, xác minh và kết luận lợn bị mắc bệnh Dịch tả lợn.
5.3. Việc xử lý lợn mắc bệnh theo hướng dẫn tại Phụ lục 06 được ban hành kèm theo Thông tư này.
6. Chẩn đoán xét nghiệm bệnh
6.1. Mẫu bệnh phẩm là máu, huyết thanh của lợn đang sốt cao hoặc thận, lách, hạch amidan, van hồi manh tràng của lợn mắc bệnh, chết, có dấu hiệu mắc bệnh.
6.2. Mẫu bệnh phẩm phải được lấy, bao gói và bảo quản theo Quy chuẩn Việt Nam QCVN 01 - 83: 2011/BNNPTNT được ban hành theo Thông tư số 71/2011/TT-BNNPTNT ngày 25 tháng 10 năm 2011 của Bộ Nông nghiệp và Phát triển nông thôn; bảo quản trong điều kiện lạnh khoảng 2°C đến 8°C và chuyển ngay về phòng thử nghiệm nông nghiệp được cơ quan có thẩm quyền công nhận.
6.3. Phương pháp xét nghiệm: Thực hiện theo quy trình chẩn đoán bệnh Dịch tả lợn quy định tại Tiêu chuẩn Việt Nam TCVN 5273:2010.
PHỤ LỤC 14
HƯỚNG DẪN PHÒNG, CHỐNG BỆNH XOẮN KHUẨN
(Ban hành kèm theo Thông tư số 07/2016/TT-BNNPTNT ngày 31 tháng 5 năm 2016 của Bộ trưởng Bộ Nông nghiệp và Phát triển nông thôn)
1. Giới thiệu về bệnh Xoắn khuẩn
1.1. Khái niệm bệnh
a) Bệnh Xoắn khuẩn (Leptospirosis) là bệnh truyền lây giữa động vật và người. Đây là bệnh truyền nhiễm ở gia súc do xoắn khuẩn Leptospira thuộc loài L. interrogans gây ra. Ổ chứa mầm bệnh nguyên thủy là loài gặm nhấm, chuột có thể mang khuẩn suốt đời. Đặc điểm của bệnh là sốt, vàng da, vàng niêm mạc, nước tiểu có máu; viêm gan, thận; rối loạn tiêu hóa; động vật mang thai có thể bị sảy thai.
b) Sức đề kháng của vi khuẩn: Ở điều kiện thích hợp xoắn khuẩn có thể tồn tại ở ngoài môi trường vài tháng hoặc vài năm. Xoắn khuẩn có sức đề kháng yếu, nhạy cảm với nhiệt độ, xoắn khuẩn bị tiêu diệt ở nhiệt độ 50°C trong 10 phút, 60°C trong 5 phút. Các chất sát trùng thông thường có thể diệt được xoắn khuẩn nhanh chóng.
1.2. Nguồn bệnh và đường truyền lây
a) Loài mắc: Động vật mắc bệnh là trâu bò, ngựa, dê cừu, lợn, chó mèo, động vật hoang dã, chuột, thỏ, người...
b) Nguồn bệnh: Chuột mang trùng; gia súc mắc bệnh; nguồn nước đọng, đất bị nhiễm nước tiểu của chuột và gia súc mắc bệnh.
c) Đường lây truyền
- Lây trực tiếp: Qua đường tiêu hóa, qua da, niêm mạc bị tổn thương; niêm mạc miệng, mắt và qua giao phối.
- Lây gián tiếp: Qua vật chủ trung gian như côn trùng, ve, mòng, ruồi, muỗi, đỉa đốt gia súc mang bệnh và truyền cho gia súc khỏe.
1.3. Triệu chứng lâm sàng
a) Thể cấp tính
- Đối với trâu bò, dê, cừu:
+ Bê thường mắc bệnh ở thể cấp tính, triệu chứng ban đầu sốt cao (40,5 °C - 41°C), bỏ ăn, nước tiểu có máu, khó thở do xung huyết phổi, có chứng thiếu máu, suy kiệt dần rồi chết. Nước tiểu màu vàng.
+ Trâu, bò trưởng thành có biểu hiện triệu chứng rất khác nhau và khó chẩn đoán. Con cái đang trong thời kỳ tiết sữa bị giảm sản lượng sữa. Sữa thường có màu vàng, có các vệt máu hoặc cục máu. Bầu vú thường mềm và nhão.
- Đối với chó: Thời gian nung bệnh từ 4-12 ngày, nhưng cũng có thể ngắn khoảng 2 ngày. Con vật sốt 40°C - 41°C, trước khi chó chết thân nhiệt hạ xuống 36°C - 36,5°C; ủ rũ, nôn mửa, run rẩy, lưng cong, bỏ ăn, lười vận động, đầu lưỡi loét và hoại tử, tiêu chảy, trong phân có lẫn máu.
- Đối với lợn: Bệnh thường xảy ra ở đàn lợn con và lợn nái. Lợn con đẻ ra có triệu chứng sốt, co giật, gày còm, ốm yếu. Lợn nái sảy thai, bỏ ăn bất thường hoặc ăn ít, mệt mỏi, thích nằm ở xó chuồng; phù nề, đầu to, mắt híp; tiếng kêu yếu, khản đặc hay mất hẳn, lông dựng; nước tiểu vàng, hơi sánh, có thể có màu cà phê, có lẫn máu; niêm mạc và da vàng, lợn bị bệnh nặng da toàn thân có màu vàng; mắt đau có dử, màu hồng, có khi mù mắt; lợn nái sau khi sảy thai 3-6 tuần thường chịu đực mà không có biểu hiện chung của động dục.
b) Thể mạn tính
Gia súc sốt nhẹ 39°C - 39,5°C, gia súc mang thai có hiện tượng sảy thai, đẻ non, bất dục, nếu sinh con thì con non đẻ ra yếu; gia súc đực có hiện tượng viêm khớp, sưng dịch hoàn, tinh dịch loãng, tỷ lệ tinh trùng dị hình cao.
1.4. Bệnh tích
Ở gia súc mắc bệnh, tổ chức liên kết dưới da có màu vàng; phổi thủy thũng, trong phế quản và phế nang có tích nhiều nước màu vàng; mỡ vành tim có màu vàng; bàng quang căng, niêm mạc xuất huyết nặng, chứa đầy nước tiểu màu vàng, đỏ hoặc đỏ sẫm, có khi bàng quang xẹp, không chứa nước tiểu; gan sưng, nâu vàng, bở nát, hoại tử, thâm nhiễm tế bào lympho và đơn nhân lớn, tế bào ống dẫn mật tăng sinh, hoại tử ống dẫn mật, túi mật teo hoặc căng, dịch mật sánh lại như kẹo mạch nha; hạch lâm ba ruột sưng, thủy thũng; trường hợp bệnh nặng, màng treo ruột thoái hóa biến thành tổ chức nhầy có màu vàng; thận nhạt màu hoặc có màu vàng, sưng to có điểm hoại tử trắng hoặc điểm xuất huyết nhỏ trên bề mặt. Đối với bào thai bị sảy có các điểm hoại tử như đầu đinh ghim trên gan, dịch trong cơ thể có màu vàng. Đối với lợn mắc bệnh nặng, khi mổ ra có mùi khét.
2. Phòng bệnh và chống dịch bằng vắc-xin
2.1. Cơ quan quản lý chuyên ngành thú y địa phương xác định khu vực có ổ dịch cũ, địa bàn có nguy cơ cao và hướng dẫn cụ thể việc tiêm phòng vắc-xin cho phù hợp.
2.2. Khi có ổ dịch xảy ra, cơ quan quản lý chuyên ngành thú y địa phương xác định đối tượng, phạm vi tiêm phòng bao vây ổ dịch cho phù hợp.
3. Giám sát bệnh Xoắn khuẩn
3.1. Giám sát lâm sàng phải được thực hiện thường xuyên, liên tục, đặc biệt đối với động vật mới nuôi, trong khu vực có ổ dịch cũ, địa bàn có nguy cơ cao do cơ quan quản lý chuyên ngành thú y địa phương xác định.
3.2. Giám sát bệnh Xoắn khuẩn
a) Giám sát định kỳ được áp dụng đối với trâu bò giống, dê giống, dê sữa, bò sữa và lợn giống. Mẫu xét nghiệm là máu, huyết thanh của động vật để kiểm tra kháng thể do nhiễm bệnh tự nhiên.
b) Việc giám sát bệnh được thực hiện theo hướng dẫn tại Phụ lục 02 ban hành kèm theo Thông tư này.
3.3. Cơ quan quản lý chuyên ngành thú y xây dựng, trình cấp có thẩm quyền phê duyệt Kế hoạch chủ động phòng chống dịch bệnh Xoắn khuẩn, trong đó có kế hoạch giám sát bệnh Xoắn khuẩn.
3.4. Trong quá trình giám sát bệnh Xoắn khuẩn, gia súc có kết quả xét nghiệm dương tính thì xử lý theo quy định.
4. Xử lý gia súc mắc bệnh
4.1. Động vật mắc bệnh Xoắn khuẩn được xử lý như sau:
a) Tiêu hủy ngay động vật chết do bệnh.
b) Đối với động vật mắc bệnh: Cách ly, điều trị theo hướng dẫn của cơ quan quản lý chuyên ngành thú y. Trường hợp động vật mắc bệnh nặng, không có khả năng bình phục thì phải tiêu hủy.
c) Động vật khỏe mạnh trong cùng đàn phải được cách ly để chăm sóc, theo dõi diễn biến bệnh.
4.2. Việc xử lý động vật mắc bệnh phải được thực hiện ngay khi có kết quả xét nghiệm dương tính với bệnh Xoắn khuẩn hoặc được cơ quan quản lý chuyên ngành thú y địa phương kiểm tra, xác minh và kết luận động vật bị mắc bệnh Xoắn khuẩn.
4.3. Việc xử lý tiêu hủy động vật mắc bệnh theo hướng dẫn tại Phụ lục 06 được ban hành kèm theo Thông tư này.
5. Chẩn đoán xét nghiệm bệnh
5.1. Mẫu bệnh phẩm là huyết thanh của động vật hoặc máu, nước tiểu, gan, thận của động vật mắc bệnh, chết, có dấu hiệu mắc bệnh.
5.2. Bệnh phẩm phải được lấy, bao gói và bảo quản theo Quy chuẩn Việt Nam QCVN 01 - 83: 2011/BNNPTNT được ban hành theo Thông tư số 71/2011/TT-BNNPTNT ngày 25 tháng 10 năm 2011 của Bộ Nông nghiệp và Phát triển nông thôn; đựng trong lọ vô trùng đóng kín nắp, dán nhãn, ghi rõ bệnh phẩm đã lấy, bảo quản trong điều kiện lạnh khoảng 2°C đến 8°C và được chuyển đến phòng thử nghiệm nông nghiệp được cơ quan có thẩm quyền công nhận càng nhanh càng tốt.
5.3. Phương pháp xét nghiệm: Thực hiện theo quy trình chẩn đoán bệnh Xoắn khuẩn quy định tại Tiêu chuẩn Việt Nam TCVN 8400-15:2011.
PHỤ LỤC 15
HƯỚNG DẪN PHÒNG, CHỐNG BỆNH DẠI ĐỘNG VẬT
(Ban hành kèm theo Thông tư số 07/2016/TT-BNNPTNT ngày 31 tháng 5 năm 2016 của Bộ trưởng Bộ Nông nghiệp và Phát triển nông thôn)
1. Giới thiệu về bệnh Dại
1.1. Khái niệm bệnh
a) Bệnh Dại (Rabies) là bệnh lây truyền giữa động vật và người. Đây là bệnh truyền nhiễm cấp tính ở động vật máu nóng gây ra do vi rút Lyssa và Vesiculo thuộc họ Rhabdoviridae. Động vật sau khi nhiễm vi rút dại có thời gian ủ bệnh khác nhau tùy thuộc loài, độc lực của vi rút và vị trí vết cắn. Vi rút xâm nhập vào cơ thể được nhân lên và hướng tới hệ thần kinh, phá hủy mô thần kinh, gây nên những kích động điên dại và kết thúc bằng cái chết. Thời gian ủ bệnh ở động vật có thể kéo dài từ vài ngày đến vài tháng, có thể lâu hơn, nhưng trước 10 ngày phát bệnh, vi rút có thể gây nhiễm cho người và động vật khác. Vi rút dại có nhiều trong nước bọt của chó, mèo và động vật mắc bệnh, kể cả khi con vật chưa có dấu hiệu lâm sàng.
b) Sức đề kháng của vi rút dại: Vi rút có sức đề kháng yếu, dễ bị bất hoạt ở nhiệt độ 56°C trong vòng 30 phút, ở 60°C trong 5-10 phút và ở 70°C trong 2 phút. Vi rút bị mất độc lực dưới ánh nắng mặt trời và các chất sát trùng thông thường ở nồng độ 2-5%. Trong điều kiện lạnh 4°C, vi rút sống được từ vài tuần đến 12 tháng, ở nhiệt độ dưới 0°C vi rút sống được từ 3 đến 4 năm. Vi rút dại được bảo tồn chủ yếu trong cơ thể vật chủ.
1.2. Nguồn bệnh và đường truyền lây
a) Loài mắc: Động vật máu nóng, chủ yếu là chó, mèo.
b) Nguồn bệnh: Nguồn mang mầm bệnh chủ yếu là chó (trên 90%), mèo nuôi và động vật hoang dã như chó sói, chó rừng, ngoài ra còn ở mèo, chồn, cầy, cáo và một số loài động vật có vú khác như gấu trúc, các loài dơi hút máu, dơi ăn sâu bọ.
c) Đường lây truyền: Vi rút xâm nhập qua các vết cắn, vết liếm, vết cào, da, niêm mạc bị tổn thương, vết thương hở.
1.3. Triệu chứng lâm sàng
a) Thời kỳ ủ bệnh: Thời kỳ ủ bệnh dại có thể thay đổi từ vài ngày đến vài tháng tùy thuộc vào vị trí của vết cắn. Đa số bệnh phát ra trong vòng từ 21 đến 30 ngày sau khi con vật nhiễm vi rút.
b) Các biểu hiện lâm sàng: thường được chia làm 02 thể là thể dại điên cuồng và thể dại câm (bại liệt). Trong thực tế, nhiều con chó mắc bệnh dại biểu hiện cả 2 thể này một cách xen kẽ nhau, thời gian đầu có biểu hiện điên cuồng, bị kích động rồi sau đó chuyển sang dạng bị ức chế và bại liệt.
- Thể dại điên cuồng: được chia làm 3 thời kỳ
+ Thời kỳ tiền lâm sàng: Chó bị dại có dấu hiệu khác thường như trốn vào góc tối, kín đáo, đến gần chủ miễn cưỡng hoặc trái lại, tỏ ra vồn vã thái quá, thỉnh thoảng sủa vu vơ, tru lên từng hồi; hoặc bồn chồn, nhảy lên đớp không khí.
+ Thời kỳ điên cuồng: các phản xạ vận động bị kích thích mạnh, cắn sủa người lạ dữ dội, quá vồ vập khi chủ gọi, chỉ cần có tiếng động nhẹ cùng nhảy lên sủa từng hồi dài. Vết thương nơi bị cắn ngứa, chó liếm hoặc tự cắn, cào đến rụng lông, chảy máu. Chó bỏ ăn, nuốt khó, sốt, dãn đồng tử, con vật có biểu hiện khát nước, muốn uống nhưng không nuốt được; chó bắt đầu chảy nước dải, sùi bọt mép, tỏ vẻ bồn chồn, cảnh giác, sợ sệt, cắn vu vơ, hay giật mình, đi lại không có chủ định, trở nên dữ tợn, điên cuồng (2 - 3 ngày sau khi phát bệnh). Con vật bỏ nhà ra đi và thường không trở về; trên đường đi, gặp vật gì lạ nó cũng cắn gặm, ăn bừa bãi, tấn công chó khác, kể cả người.
+ Thời kỳ bại liệt: chó bị liệt, không nuốt được thức ăn, nước uống, liệt hàm dưới và lưỡi nên trễ hàm, thè lưỡi ra ngoài, nước dãi chảy ra, chân sau liệt ngày càng rõ; chó chết trong khoảng từ 3 - 7 ngày sau khi có triệu chứng đầu tiên, do liệt cơ hô hấp và do kiệt sức vì không ăn uống được.
Thể dại điên cuồng chỉ chiếm khoảng 1/4 các trường hợp chó dại, số còn lại là thể dại câm.
- Thể dại câm: là dạng bệnh không có các biểu hiện lên cơn dại điên cuồng như thường thấy; chó chỉ có biểu hiện buồn rầu. Con vật có thể bị bại ở một phần cơ thể, nửa người hoặc 2 chân sau, nhưng thường là liệt cơ hàm, hàm trễ xuống, lưỡi thè ra; nước dãi chảy lòng thòng, con vật không cắn, sủa được, chỉ gầm gừ trong họng. Quá trình này tiến triển từ 2 - 3 ngày.
Nhìn chung, thể dại câm tiến triển nhanh hơn thể dại điên cuồng, thông thường chỉ từ 2 - 3 ngày vì hành tủy của con vật bệnh bị vi rút tác động làm rối loạn hệ tuần hoàn và hô hấp sớm hơn.
Mèo ít bị mắc dại hơn chó, bệnh dại ở mèo cùng tiến triển như ở chó, mèo hay núp mình vào chỗ vắng hoặc hay kêu, bồn chồn như khi động dục; khi người chạm vào thì nó cắn mạnh và hăng, tạo vết thương sâu.
1.4. Bệnh tích: Bệnh tích đại thể ở chó dại ít điển hình; chỉ thấy dạ dày trống rỗng hoặc có vật lạ. Bệnh tích vi thể ở sừng Amon của não với các tiểu thể Negri đặc trưng cho bệnh dại, có thể được phát hiện qua kính hiển vi huỳnh quang.
2. Quy định về quản lý chó, mèo nuôi để phòng bệnh Dại
2.1. Đối với chủ nuôi chó, mèo (gọi chung là chủ vật nuôi)
a) Phải đăng ký việc nuôi chó với Ủy ban nhân dân cấp xã tại các đô thị, nơi đông dân cư;
b) Xích, nhốt hoặc giữ chó trong khuôn viên gia đình; bảo đảm vệ sinh môi trường, không ảnh hưởng xấu tới người xung quanh. Khi đưa chó ra nơi công cộng phải bảo đảm an toàn cho người xung quanh bằng cách đeo rọ mõm cho chó hoặc xích giữ chó và có người dắt;
c) Nuôi chó tập trung phải bảo đảm điều kiện vệ sinh thú y, không gây ồn ào, ảnh hưởng xấu tới những người xung quanh;
d) Chấp hành tiêm vắc-xin phòng bệnh Dại cho chó, mèo theo quy định;
đ) Chịu mọi chi phí trong trường hợp có chó thả rông bị bắt giữ, kể cả chi phí cho việc nuôi dưỡng và tiêu hủy chó. Trường hợp chó, mèo cắn, cào người thì chủ vật nuôi phải bồi thường vật chất cho người bị hại theo quy định của pháp luật.
2.2. Đối với Ủy ban nhân dân cấp xã
a) Lập sổ quản lý chó nuôi trên địa bàn bao gồm các thông tin sau đây:
- Họ tên và địa chỉ của chủ vật nuôi;
- Số lượng chó nuôi;
- Ngày, tháng, năm tiêm phòng vắc-xin dại.
b) Hằng năm trước đợt tiêm phòng phải rà soát, thống kê, cập nhập thông tin về đàn chó nuôi trên địa bàn;
c) Quy định cụ thể việc bắt giữ chó thả rông ở nơi công cộng thuộc địa bàn quản lý; thành lập các đội chuyên trách để bắt chó thả rông và động vật mắc bệnh Dại, có dấu hiệu mắc bệnh Dại; thông báo trên các phương tiện thông tin đại chúng về địa điểm tạm giữ chó bị bắt để chủ vật nuôi đến nhận; áp dụng các biện pháp xử phạt vi phạm hành chính đối với chủ vật nuôi; quyết định biện pháp xử lý chó bị bắt giữ trong trường hợp sau 48 giờ kể từ khi có thông báo mà không có người nhận;
d) Phối hợp với cơ quan quản lý chuyên ngành thú y địa phương tổ chức tập huấn kỹ năng bắt chó thả rông và bắt động vật mắc bệnh Dại hoặc có dấu hiệu mắc bệnh Dại cho các thành viên của đội chuyên trách;
đ) Phối hợp với cơ quan y tế tổ chức được tiêm vắc-xin phòng bệnh Dại cho các thành viên của đội chuyên trách theo quy định của ngành y tế.
3. Phòng bệnh bắt buộc bằng vắc-xin
3.1. Đối tượng tiêm phòng bắt buộc: Chó, mèo.
3.2. Thời gian tiêm phòng
a) Hàng năm triển khai chiến dịch tiêm phòng đợt chính vào tháng 3 - 4. Ngoài ra, hàng tháng phải tiêm phòng bổ sung cho đàn chó, mèo mới phát sinh hoặc chó, mèo đã hết thời gian còn miễn dịch bảo hộ.
b) Liều lượng, cách sử dụng theo hướng dẫn của nhà sản xuất vắc-xin.
3.3. Phạm vi tiêm phòng: Tiêm phòng cho đàn chó, mèo thuộc diện tiêm phòng do cơ quan quản lý chuyên ngành thú y địa phương xác định, bảo đảm tỷ lệ tiêm phòng đạt ít nhất 70% tổng đàn.
3.4. Ủy ban nhân dân cấp xã có trách nhiệm phối hợp với cơ quan quản lý chuyên ngành thú y địa phương để tổ chức đợt tiêm phòng vắc xin Dại cho chó, mèo trên địa bàn. Trong vòng 07 ngày trước đợt tiêm phòng và trong thời gian triển khai tiêm phòng, Ủy ban nhân dân cấp xã thông báo hằng ngày trên các phương tiện truyền thông cho cộng đồng dân cư trên địa bàn về địa điểm và ngày tiêm phòng.
3.5. Cơ quan quản lý chuyên ngành thú y địa phương hướng dẫn cụ thể việc tiêm phòng vắc-xin Dại trên địa bàn, thực hiện tiêm phòng và giám sát việc tiêm phòng và cấp Giấy chứng nhận tiêm phòng bệnh Dại cho chủ vật nuôi có chó, mèo được tiêm phòng vắc xin Dại.
4. Xử lý khẩn cấp ổ dịch Dại động vật
4.1. Cơ quan có thẩm quyền thực hiện công bố dịch theo quy định tại Điều 26 của Luật thú y.
4.2. Tiêm phòng khẩn cấp bao vây ổ dịch
a) Tiêm phòng khẩn cấp vắc-xin dại cho toàn bộ đàn chó, mèo khỏe mạnh trong xã có ổ dịch Dại và các xã tiếp giáp với xã có dịch.
b) Huy động lực lượng tại chỗ hỗ trợ tiêm phòng; người trực tiếp tham gia tiêm phòng phải là nhân viên thú y hoặc người đã qua tập huấn về tiêm phòng Dại.
c) Cơ quan quản lý chuyên ngành thú y địa phương hướng dẫn, quản lý, thực hiện tiêm phòng và giám sát việc tiêm phòng.
d) Ủy ban nhân dân cấp xã tổ chức tiêm phòng vắc-xin Dại cho chó, mèo để bao vây ổ dịch.
4.3. Ủy ban nhân dân các cấp có trách nhiệm thực hiện nhiệm vụ quy định tại Điều 9 của Luật thú y. Các tổ chức, cá nhân có liên quan có trách nhiệm triển khai các biện pháp phòng, chống dịch theo quy định tại Điều 25, Điều 27, Điều 28, Điều 29 và Điều 30 của Luật thú y.
4.4. Người tham gia xử lý ổ dịch Dại phải sử dụng bảo hộ cá nhân phù hợp (bao gồm kính bảo vệ mắt, khẩu trang y tế, găng tay, ủng và quần áo bảo hộ) theo hướng dẫn của cơ quan y tế.
5. Giám sát bệnh Dại
5.1. Giám sát lâm sàng là biện pháp chủ yếu nhằm phát hiện sớm các ca bệnh dại ở động vật.
5.2. Đối tượng giám sát chủ yếu là đàn chó nuôi ở vùng có ổ dịch cũ, địa bàn có nguy cơ cao, địa bàn có chó nghi mắc bệnh Dại cắn người gây tử vong do lên cơn Dại.
5.3. Chủ vật nuôi có trách nhiệm thường xuyên theo dõi, giám sát chó, mèo nuôi của gia đình, nếu phát hiện con vật vô cớ cắn, cào người hoặc tấn công động vật khác thì phải cách ly và báo ngay cho chính quyền địa phương hoặc cơ quan thú y nơi gần nhất.
5.4. Cơ quan quản lý chuyên ngành thú y địa phương xác định vùng có ổ dịch cũ, địa bàn có nguy cơ cao phát bệnh Dại, phối hợp với các cơ quan chức năng của ngành y tế xây dựng, trình cấp có thẩm quyền phê duyệt và thực hiện Kế hoạch giám sát bệnh dại trên địa bàn.
6. Xử lý động vật khi có ổ dịch Dại xảy ra
6.1. Động vật mắc bệnh Dại, có dấu hiệu mắc bệnh Dại được xử lý như sau:
a) Tiêu hủy bắt buộc động vật chết, động vật mắc bệnh Dại.
b) Khuyến khích tiêu hủy chó, mèo có dấu hiệu mắc bệnh Dại; trường hợp không tiêu hủy phải nuôi cách ly để theo dõi trong vòng 14 ngày, nếu phát bệnh Dại thì phải tiêu hủy theo quy định;
c) Khuyến khích tiêu hủy chó, mèo chưa được tiêm phòng vắc xin Dại nhưng đã tiếp xúc với chó, mèo mắc bệnh Dại; trường hợp không tiêu hủy phải nuôi cách ly để theo dõi trong vòng 14 ngày, nếu phát bệnh Dại thì phải tiêu hủy theo quy định;
d) Chó, mèo vô cớ cắn, cào người phải nuôi cách ly để theo dõi trong vòng 14 ngày, nếu phát bệnh Dại thì phải tiêu hủy theo quy định.
6.2. Đối với chó, mèo khỏe mạnh trong vùng có dịch bệnh Dại phải thực hiện nuôi nhốt trong thời gian có dịch.
6.3. Việc xử lý động vật mắc bệnh phải được thực hiện ngay khi có kết quả xét nghiệm dương tính với bệnh Dại hoặc được cơ quan quản lý chuyên ngành thú y địa phương kiểm tra, xác minh và kết luận động vật bị mắc bệnh Dại.
6.4. Việc xử lý tiêu hủy động vật mắc bệnh Dại theo hướng dẫn tại Phụ lục 06 được ban hành kèm theo Thông tư này.
7. Chẩn đoán xét nghiệm bệnh
7.1. Loại bệnh phẩm: Đầu của chó, mèo mắc bệnh, chết.
7.2. Kỹ thuật lấy mẫu bệnh phẩm
a) Người lấy mẫu bệnh phẩm xét nghiệm bệnh dại phải sử dụng bảo hộ cá nhân gồm găng tay dày hoặc đeo 3 lớp găng tay, kính bảo vệ mắt, khẩu trang y tế, tạp dề, ủng cao su;
b) Cố định phần đầu của xác chó, mèo, dùng dao cắt đầu ở vị trí đốt Atlas đầu tiên sau gáy.
7.3. Bao gói và bảo quản: Bọc 3 lớp nilon và cho vào hộp bảo ôn có đá lạnh để bảo quản; dán nhãn, ghi rõ bệnh phẩm đã lấy. Chuyển ngay bệnh phẩm đến phòng thử nghiệm được cơ quan có thẩm quyền công nhận. Bệnh phẩm phải được gửi kèm theo phiếu gửi Mẫu bệnh phẩm, ghi rõ bệnh sử, triệu chứng, đặc điểm dịch tễ. Nếu chưa gửi đi xét nghiệm ngay thì giữ trong ngăn mát tủ lạnh từ 2°C đến 8°C tối đa trong 48 giờ.
7.4. Cục Thú y hướng dẫn cụ thể quy trình lấy mẫu và chẩn đoán, xét nghiệm bệnh Dại.
PHỤ LỤC 16
HƯỚNG DẪN PHÒNG, CHỐNG BỆNH NIU-CÁT-XƠN
(Ban hành kèm theo Thông tư số 07/2016/TT-BNNPTNT ngày 31 tháng 5 năm 2016 của Bộ trưởng Bộ Nông nghiệp và Phát triển nông thôn)
1. Giới thiệu về bệnh Niu-cát-xơn
1.1. Khái niệm về bệnh
a) Bệnh Niu-cát-xơn (Newcastle) là bệnh truyền nhiễm nguy hiểm ở loài gia cầm (gà, các loại chim), ở mọi lứa tuổi đều có thể mắc bệnh, bệnh thường ghép với nhiều bệnh gia cầm khác gây ra tỷ lệ chết cao, thiệt hại kinh tế lớn. Bệnh Niu-cát-xơn được phát hiện đầu tiên năm 1926 tại thành phố Newcastle, vùng Đông Bắc nước Anh. Bệnh đã xuất hiện khắp các châu lục trên thế giới trong đó có Việt Nam.
b) Bệnh Niu-cát-xơn do một loài vi rút thuộc giống Avulavirus, họ Paramyxoviridae gây ra. Vi rút gây bệnh Niu-cát-xơn có cấu trúc gen ARN xoắn đơn. Hệ gen của vi rút chứa khoảng 16.000 nu-clê-ô-tít. Vi rút được nhân lên trong tế bào chất của vật chủ.
c) Dựa vào các biểu hiện về triệu chứng lâm sàng, có thể phân loại bệnh Niu-cát-xơn thành 4 thể bệnh chính, bao gồm: thể độc lực cao hướng nội tạng (Viscerotropic velogenic), thể độc lực cao hướng thần kinh (Neurotropic velogenic), thể độc lực trung bình (Mesogenic) và thể độc lực thấp (Lentogenic). Vi rút gây bệnh Niu-cát-xơn độc lực cao có thể gây chết gia cầm trong thời gian ngắn khi gia cầm chưa xuất hiện triệu chứng lâm sàng. Đàn gia cầm chưa được phòng bệnh bằng vắc-xin thì khi nhiễm bệnh có thể chết đến 100%.
d) Sức đề kháng của vi rút: Vi rút Niu-cát-xơn dễ bị tiêu diệt ở nhiệt độ cao, ở nhiệt độ 70°C trong 30 phút, 75°C trong 5 phút và 80°C trong vòng 1 phút. Trong môi trường kiềm hoặc a-xít hoặc dưới tác động trực tiếp của ánh sáng mặt trời, vi rút dễ bị phá hủy. Trong điều kiện nhiệt độ thấp, vi rút có thể tồn tại trong thời gian dài tới nhiều tuần trong môi trường hữu cơ như phân, các chất bài tiết hoặc trên lông của gia cầm mắc bệnh. Các loại hóa chất sát trùng thông thường dễ dàng tiêu diệt được vi rút.
1.2. Nguồn bệnh và đường truyền lây
a) Loài mắc: Gà các loại, chim cút.
b) Đường truyền lây
- Lây trực tiếp: Vi rút Niu-cát-xơn thường lây truyền qua đường tiếp xúc trực tiếp giữa gia cầm mắc bệnh và gia cầm khỏe mạnh. Vi rút được bài thải qua phân, dịch tiết ở mắt, mũi, miệng hoặc qua hơi thở của gia cầm bệnh.
- Lây gián tiếp: Vi rút có thể lây truyền thông qua xác gia cầm bị bệnh chết, vỏ trứng, dụng cụ chăn nuôi, thức ăn nước uống, chất thải chăn nuôi, ủng hoặc quần áo của người chăn nuôi có mang mầm bệnh.
1.3. Triệu chứng lâm sàng
Thời kỳ ủ bệnh: Thời kỳ ủ bệnh trung bình từ 5 - 6 ngày, nhưng có thể thay đổi từ 2 - 15 ngày.
Mức độ bệnh phụ thuộc vào nhiều yếu tố như độc lực của chủng vi rút gây bệnh, loài mắc, tuổi, sức đề kháng. Các triệu chứng lâm sàng chủ yếu bao gồm:
a) Thể bệnh nhẹ, thể hô hấp: Thường gặp các triệu chứng như hắt hơi, khó thở, ho, chảy nước mũi, tổ chức vùng mắt và cổ sưng, ỉa chảy, phân có màu trắng xanh hoặc màu trắng;
b) Thể bệnh nặng: Thường gặp các triệu chứng như suy nhược thần kinh, suy nhược cơ thể, run cơ, sã cánh, ngoẹo đầu và cổ, quay tròn, liệt chân, liệt toàn thân, giảm đẻ, trứng bị mỏng vỏ, chết đột ngột; tỷ lệ tử vong có thể lên đến 100%.
1.4. Bệnh tích
Viêm túi khí dày đục, viêm và xuất huyết khí quản, có các đám hoại tử ở dạ dày tuyến, ruột và hạch manh tràng; xuất huyết điểm ở dạ dày tuyến, tập trung ở xung quanh lỗ đổ ra của tuyến tiêu hóa; phù, xuất huyết hoặc thoái hóa ống dẫn trứng ở gà đẻ.
2. Phòng bệnh bắt buộc bằng vắc-xin
2.1. Đối tượng phòng bệnh bắt buộc bằng vắc-xin: gà các loại, chim cút;
a) Trang trại, cơ sở nuôi gà, chim cút tập trung, trừ trường hợp được miễn tiêm phòng theo quy định tại khoản 2 Điều 4 của Thông tư này.
b) Đàn gia cầm nuôi nhỏ lẻ trong các hộ gia đình: Gà và chim cút do cơ quan quản lý chuyên ngành thú y địa phương xác định.
2.2. Phạm vi phòng bệnh: Khu vực có ổ dịch cũ, địa bàn có nguy cao do cơ quan quản lý chuyên ngành thú y địa phương xác định.
2.3. Thời gian tiêm phòng
a) Tổ chức tiêm phòng theo quy trình nuôi và định kỳ tiêm phòng bổ sung cho đàn gia cầm nuôi mới, đàn gia cầm hết thời gian còn miễn dịch bảo hộ hoặc theo hướng dẫn của cơ quan quản lý chuyên ngành thú y địa phương;
b) Liều lượng, đường tiêm hoặc nhỏ vắc-xin theo hướng dẫn của nhà sản xuất vắc-xin.
2.4. Căn cứ vào điều kiện chăn nuôi, khí hậu thời tiết, đặc điểm của từng vùng, miền, cơ quan quản lý chuyên ngành thú y địa phương xây dựng và tổ chức thực hiện kế hoạch phòng bệnh bằng vắc-xin cho phù hợp, đảm bảo hiệu quả.
3. Sử dụng vắc-xin phòng bệnh khẩn cấp khi có ổ dịch xảy ra
3.1. Tổ chức sử dụng vắc-xin phòng bệnh cho gia cầm tại các thôn, ấp, bản nơi xảy ra dịch; đồng thời sử dụng vắc xin bao vây ổ dịch theo hướng từ ngoài vào trong đối với gia cầm tại các thôn, ấp, bản chưa có dịch trong cùng xã và các xã xung quanh tiếp giáp với xã có dịch.
3.2. Huy động lực lượng tại chỗ hỗ trợ tiêm phòng; người trực tiếp tham gia tiêm phòng phải là nhân viên thú y hoặc người đã qua tập huấn về tiêm phòng.
3.3. Cơ quan quản lý chuyên ngành thú y địa phương hướng dẫn, quản lý, thực hiện và giám sát việc phòng bệnh bằng vắc xin.
4. Giám sát bệnh Niu-cát-xơn
4.1. Giám sát lâm sàng phải được thực hiện thường xuyên, liên tục, đặc biệt đối với gia cầm mới nuôi, gia cầm trong vùng có ổ dịch cũ, vùng có nguy cơ cao.
4.2. Giám sát lưu hành vi rút: Lấy mẫu dịch ngoáy hầu họng, dịch ngoáy ổ nhớp, mẫu phân tươi, mẫu bệnh phẩm để giám sát lưu hành vi rút Niu-cát-xơn.
4.3. Giám sát sau tiêm phòng (chủ yếu được áp dụng ở các trại giống)
a) Giám sát sau tiêm phòng để đánh giá kết quả tiêm phòng và khả năng đáp ứng miễn dịch của đàn gia cầm sau khi được tiêm vắc-xin;
b) Lấy mẫu huyết thanh để xét nghiệm kháng thể bảo hộ sau tiêm phòng.
c) Thời điểm lấy mẫu: Sau 21 ngày kể từ thời điểm tiêm phòng gần nhất.
4.4. Cơ quan quản lý chuyên ngành thú y địa phương xây dựng, trình cấp có thẩm quyền phê duyệt Kế hoạch chủ động phòng chống dịch bệnh Niu-cát-xơn trong đó có kế hoạch giám sát bệnh Niu-cát-xơn. Việc giám sát lưu hành vi rút và giám sát sau tiêm phòng được thực hiện theo hướng dẫn tại Phụ lục 02 ban hành kèm theo Thông tư này.
5. Xử lý gia cầm mắc bệnh
5.1. Gia cầm mắc bệnh Niu-cát-xơn được xử lý như sau:
a) Tiêu hủy ngay gia cầm chết, gia cầm mắc bệnh; cách ly gia cầm khỏe mạnh trong cùng đàn để chăm sóc nuôi dưỡng;
b) Khuyến khích giết mổ tiêu thụ tại chỗ đối với gia cầm khỏe mạnh trong cùng đàn với gia cầm mắc bệnh, trường hợp không giết mổ phải nuôi cách ly để theo dõi.
5.2. Việc xử lý gia cầm mắc bệnh phải được thực hiện ngay khi có kết quả xét nghiệm dương tính với bệnh Niu-cát-xơn hoặc được cơ quan quản lý chuyên ngành thú y địa phương kiểm tra, xác minh và kết luận gia cầm bị mắc bệnh Niu-cát-xơn.
5.3. Việc xử lý tiêu hủy gia cầm mắc bệnh theo hướng dẫn tại Phụ lục 06 được ban hành kèm theo Thông tư này.
6. Chẩn đoán xét nghiệm bệnh
6.1. Mẫu bệnh phẩm dùng để phát hiện mầm bệnh Niu-cát-xơn là dịch ngoáy hầu họng, dịch ngoáy ổ nhớp, mẫu phân tươi, đầu, cơ quan nội tạng của gia cầm mắc bệnh hoặc nguyên con gia cầm mắc bệnh.
6.2. Mẫu bệnh phẩm phải được lấy, bao gói và bảo quản theo Quy chuẩn Việt Nam QCVN 01 - 83: 2011/BNNPTNT được ban hành theo Thông tư số 71/2011/TT-BNNPTNT ngày 25 tháng 10 năm 2011 của Bộ Nông nghiệp và Phát triển nông thôn; bảo quản ở nhiệt độ mát từ 2°C đến 8°C và chuyển ngay về phòng thử nghiệm nông nghiệp được cơ quan có thẩm quyền công nhận.
6.3. Bệnh Niu-cát-xơn cần được chẩn đoán phân biệt với các bệnh gia cầm khác như cúm gia cầm, CRD, viêm thanh khí quản, viêm phế quản truyền nhiễm, nấm do Mycoplasma, đậu gia cầm (thể bạch hầu), hội chứng giảm đẻ (EDS-76).
6.4. Phương pháp xét nghiệm: Thực hiện theo quy trình chẩn đoán bệnh Niu-cát-xơn quy định tại Tiêu chuẩn Việt Nam TCVN 8400-4: 2011.
PHỤ LỤC 17
HƯỚNG DẪN PHÒNG, CHỐNG BỆNH LIÊN CẦU KHUẨN LỢN
(Ban hành kèm theo Thông tư số 07/2016/TT-BNNPTNT ngày 31 tháng 5 năm 2016 của Bộ trưởng Bộ Nông nghiệp và Phát triển nông thôn)
1. Giới thiệu về bệnh Liên cầu khuẩn lợn
1.1. Khái niệm bệnh
a) Bệnh Liên cầu khuẩn lợn (Streptoccocus suis) là bệnh lây truyền giữa động vật và người. Ở lợn, bệnh do vi khuẩn Streptoccocus suis (Str. suis) gây ra. Đặc trưng lâm sàng của bệnh là nhiễm trùng huyết, viêm màng não, viêm khớp và viêm phế quản phổi. Có hai típ gây bệnh là Str. suis típ 1 và Str. suis típ 2. Vi khuẩn Str. suis típ 2 có khả năng gây bệnh cho người. Vi khuẩn Str. suis típ 2 còn gây ra nhiều ổ dịch viêm màng não ở lợn con 10-14 ngày sau cai sữa. Gần đây, bệnh hay xảy ra ở lợn sau cai sữa chăn nuôi tập trung với mật độ cao. Nhiều trường hợp bệnh xảy ra đối với lợn sau cai sữa và lợn vỗ béo do liên quan đến yếu tố stress như vận chuyển, xáo trộn đàn, mật độ quá cao và không đủ thông gió.
b) Sức đề kháng của vi khuẩn: Vi khuẩn Str.suis có thể tồn tại lâu trong phân, nước, rác; có thể sống trong phân ở nhiệt độ 0°C tới 104 ngày, ở 9°C trong 10 ngày, ở 22°C đến 25°C trong 8 ngày. Vi khuẩn bị vô hoạt nhanh chóng bằng các thuốc sát trùng dùng phổ biến ở các trại chăn nuôi, nước xà phòng nồng độ 1/500 có thể diệt vi khuẩn trong vòng 1 phút. Vi khuẩn có thể sống trong xác lợn chết ở 40°C trong 6 tuần.
1.2. Nguồn bệnh và đường truyền lây
a) Loài mắc: Lợn ở mọi lứa tuổi đều có thể mắc bệnh, hay gặp nhất là lợn con từ 5 đến 10 tuần tuổi.
b) Nguồn bệnh: Phân, sản phẩm của lợn sau giết mổ, đường sinh dục của lợn cái mắc bệnh có chứa vi khuẩn.
c) Đường truyền lây
- Bệnh lây lan trong đàn do tiếp xúc giữa lợn khỏe và lợn bệnh. Lợn mẹ bị bệnh truyền sang con. Bệnh còn có thể lây qua đường hô hấp, đây là đường lây truyền có ý nghĩa quan trọng do số lượng vi khuẩn trong môi trường rất lớn. Ngoài ra bệnh còn có thể lây truyền qua dụng cụ chăn nuôi và một số nhân tố trung gian như ruồi, một số loài chim và vật mang khác.
- Vi khuẩn khu trú ở đường hô hấp trên của lợn khỏe mạnh, các hốc của hạch amidan, sau đó xâm nhập vào hệ tuần hoàn và gây bệnh. Lợn con thường bị chết do nhiễm trùng máu cấp tính, lợn lớn hơn thì vi khuẩn có thể khu trú ở các xoang hoạt dịch, nội tâm mạc, mắt, màng não. Thời gian nhiễm khuẩn huyết là giai đoạn quan trọng trong quá trình phát sinh viêm màng não do Str. suis (típ 2). Những mẫu vi khuẩn Str. suis (típ 2) gây bệnh phân lập được là loại có vỏ bọc và đề kháng khá cao với thực bào. Vi khuẩn có thể sống và nhân lên trong đại thực bào, có thể xâm nhập vào dịch não tủy thông qua bạch cầu đơn nhân di chuyển qua lưới mao mạch.
1.3. Triệu chứng lâm sàng
a) Lợn 2 đến 6 tuần tuổi thường mắc bệnh thể viêm màng não và viêm khớp xảy ra riêng rẽ hoặc kết hợp; lợn con bị nhiễm trong cùng một ô chuồng thường mắc bệnh nặng hơn. Con vật sốt cao, thường sốt tới 42,5°C. Bỏ ăn, sưng hầu, mệt mỏi, ủ rũ, khó nuốt và cơ thể suy sụp. Giai đoạn đầu của bệnh, con vật có triệu chứng thần kinh, co giật cơ, mất cân bằng, hoạt động khó khăn, đi lại loạng choạng, xiêu vẹo, bước đi cứng nhắc, tai xuôi ép về phía thân, nằm nghiêng một bên, chân đạp bơi chèo rồi chết. Mắt có thể bị mù, co giật cầu mắt. Một số trường hợp viêm rốn, viêm nội tâm mạc.
b) Trong các đợt dịch viêm màng não do Str. suis (típ 2), có một hoặc nhiều con có biểu hiện chết đột ngột mà không có triệu chứng của bệnh, những con còn sống đi lại loạng choạng hoặc không đứng được. Ngoài ra còn thấy viêm van tim ở lợn 13 tuần tuổi nuôi vỗ béo ở trại lợn đã từng có bệnh viêm màng não do Str.suis.
Vi khuẩn có thể nuôi cấy từ dịch khớp, dịch não tủy, máu, mô não, phổi, mẫu swab đường hô hấp trên và từ hạch amidan của lợn khỏe.
1.4. Bệnh tích
Lợn chết do Str. suis (típ 2) có bệnh tích đại thể và vi thể bao gồm bại huyết, viêm khớp, viêm phổi và màng phổi xuất huyết hoặc viêm tơ huyết, viêm màng não mủ, viêm cơ tim thoái hóa xuất huyết, viêm van tim hai lá, viêm nội tâm mạc hóa mủ, ngoài ra còn viêm âm đạo và sảy thai. Trong trường hợp viêm màng não, dịch não tủy bị đục, xung huyết và viêm màng não tích tụ thể trắng, ổ mủ ở vùng dưới nhện. Hầu hết các trường hợp lưới võng mạc nội mô bị ảnh hưởng nặng, các mạch máu ở tâm thất, não và tủy sống bị tắc nghẽn do dịch thẩm xuất, nhiều khi gây ra phù não. Mô thần kinh của tủy sống, tiểu não và cuống não có thể bị thoái hóa dạng lỏng.
2. Phòng bệnh bằng vắc-xin
Hiện chưa có vắc-xin phòng bệnh Liên cầu khuẩn lợn, biện pháp phòng bệnh chủ yếu là vệ sinh thú y, chăm sóc, nuôi dưỡng và quản lý đàn.
3. Giám sát bệnh Liên cầu khuẩn lợn (típ 2)
3.1. Đối tượng giám sát bệnh định kỳ: Lợn nái, đực giống do cơ quan quản lý chuyên ngành thú y xác định.
3.2. Chủ yếu là giám sát lâm sàng và lấy mẫu dịch ngoáy mũi hoặc amidan để phân lập vi khuẩn; lấy mẫu hạch, phủ tạng (tim, phổi, gan, lách), máu, não, khớp và dịch rỉ viêm của lợn bị chết nghi do mắc bệnh Liên cầu khuẩn để giám sát vi khuẩn.
3.3. Khi phát hiện có vi khuẩn Liên cầu khuẩn lợn (típ 2) phải báo ngay cho cơ quan quản lý chuyên ngành thú y địa phương để tiến hành xác minh, truy xuất nguồn gốc lợn và giám sát bổ sung.
3.4. Cơ quan quản lý chuyên ngành thú y xây dựng, trình cấp có thẩm quyền phê duyệt Kế hoạch giám sát bệnh Liên cầu khuẩn lợn (típ 2). Việc giám sát được thực hiện theo hướng dẫn tại Phụ lục 02 ban hành kèm theo Thông tư này.
4. Xử lý lợn mắc bệnh
4.1. Lợn bị mắc bệnh Liên cầu khuẩn lợn (típ 2) được xử lý như sau:
a) Tiêu hủy lợn chết; cách ly, điều trị đối với lợn mắc bệnh theo hướng dẫn của chuyên môn thú y.
b) Khuyến khích giết mổ đối với lợn khỏe mạnh trong cùng ô chuồng với lợn mắc bệnh Liên cầu khuẩn lợn (típ 2), trường hợp không giết mổ phải nuôi cách ly để theo dõi.
4.2. Việc xử lý lợn mắc bệnh phải được thực hiện ngay khi có kết quả xét nghiệm dương tính với Liên cầu khuẩn lợn (típ 2).
4.3. Việc xử lý tiêu hủy lợn mắc bệnh theo hướng dẫn tại Phụ lục 06 được ban hành kèm theo Thông tư này.
5. Chẩn đoán xét nghiệm bệnh
5.1. Mẫu bệnh phẩm là các phủ tạng (tim, phổi, gan, lách), máu (thể nhiễm trùng huyết), não, khớp và dịch rỉ viêm của lợn nghi mắc bệnh.
5.2. Mẫu bệnh phẩm phải được lấy, bao gói và bảo quản theo Quy chuẩn Việt Nam QCVN 01 - 83: 2011/BNNPTNT được ban hành theo Thông tư số 71/2011/TT-BNNPTNT ngày 25 tháng 10 năm 2011 của Bộ Nông nghiệp và Phát triển nông thôn; bảo quản ở nhiệt độ mát từ 2°C đến 8°C và chuyển ngay về phòng thử nghiệm nông nghiệp được cơ quan có thẩm quyền công nhận.
5.3. Phương pháp xét nghiệm: Thực hiện theo quy trình chẩn đoán bệnh Liên cầu khuẩn lợn quy định tại Tiêu chuẩn Việt Nam TCVN 8400-2:2010.
PHỤ LỤC 18
HƯỚNG DẪN PHÒNG, CHỐNG BỆNH GIUN XOẮN
(Ban hành kèm theo Thông tư số 07/2016/TT-BNNPTNT ngày 31 tháng 5 năm 2016 của Bộ trưởng Bộ Nông nghiệp và Phát triển nông thôn)
1. Giới thiệu về bệnh Giun xoắn (còn gọi là bệnh Giun bao)
1.1. Khái niệm bệnh
a) Bệnh Giun xoắn (Trichinelliasis) là một bệnh chung giữa lợn, lợn rừng, chó, chuột và người. Bệnh phân bố rộng ở hầu hết các nước trên thế giới. Bệnh gây ra do loài giun tròn Trichinella spiralis ký sinh ở ruột non của lợn và ấu trùng ký sinh ở cơ và tổ chức của lợn. Ấu trùng giun xoắn ký sinh tại các tổ chức cơ, được bọc bởi màng bao tạo thành kén (giun bao). Màng kén của ấu trùng có 2 lớp, màu trong, hình bầu dục hoặc hình tròn tùy loại vật chủ khác nhau.
b) Sức đề kháng: Ấu trùng giun xoắn có khả năng tồn tại ở môi trường bên ngoài; ở trong kén, ấu trùng giun xoắn có sức đề kháng rất cao; trong thịt súc vật đã thối rửa, ấu trùng có thể sống được từ 2 đến 5 tháng trong kén. Nếu ra khỏi kén, ấu trùng sẽ chết nhanh chóng ở nhiệt độ 45°C đến 70°C. Ở nhiệt độ - 20°C, ấu trùng chết sau 20 ngày.
1.2. Nguồn bệnh và đường truyền lây
a) Loài mắc: Lợn, lợn rừng, chó, mèo, hổ, báo, cầy, chuột và người ở các lứa tuổi đều có thể nhiễm giun xoắn nếu như ăn phải nang kén của ấu trùng giun xoắn còn sống có trong thịt lợn, thịt thú rừng, sản phẩm thịt chưa qua chế biến kỹ như nem, chạo, thịt hun khói.
b) Nguồn bệnh: Thịt lợn, thịt thú rừng, sản phẩm thịt chưa qua chế biến kỹ như nem, chạo, thịt hun khói có mang nang kén của ấu trùng giun xoắn còn sống.
c) Đường truyền lây
Bệnh lây truyền qua đường tiêu hóa do ăn phải kén giun xoắn trong thịt, phân của động vật mắc bệnh. Người, lợn, chó, chuột ăn phải thịt có ấu trùng giun xoắn không nấu chín như nem chua, chạo, thịt tai thì ấu trùng vào đến ruột sẽ chui ra khỏi bao kén, phát triển thành giun trưởng thành. Lợn, chó, chuột và người vừa là vật chủ trung gian khi mang nang kén của giun xoắn, vừa là vật chủ cuối cùng khi có giun xoắn trưởng thành ký sinh trong ruột non.
1.3. Triệu chứng lâm sàng
Giun xoắn trưởng thành ký sinh trong ruột, chui vào niêm mạc, khi sinh sản gây tổn thương niêm mạc làm cho vật chủ đau bụng dữ dội, kích thích nhu động dạ dày, ruột làm cho vật chủ nôn mửa, ỉa chảy. Có thể có viêm ruột cấp. Giun xoắn trong quá trình ký sinh tiết ra độc tố, kích thích thần kinh trung ương và kích thích niêm mạc ruột, làm cho quá trình viêm ruột trầm trọng thêm. Ấu trùng giun xoắn tạo thành các nang kén trong cơ, chèn ép và gây tắc các mạch máu nhỏ, gây các u máu nhỏ chèn ép thần kinh vận động, gây liệt cơ. Nếu giun xoắn có ở não sẽ gây ra trạng thái bại liệt cho động vật hoặc người bị nhiễm giun xoắn. Các trường hợp nặng thường gây tử vong cho động vật và người.
1.4. Bệnh tích
a) Giun xoắn trưởng thành ký sinh ở niêm mạc ruột gây tổn thương niêm mạc ruột và gây viêm ruột cấp, làm bong tróc niêm mạc.
b) Ấu trùng giun xoắn ký sinh ở các tổ chức cơ, tạo ra các nang kén, gây chèn ép mạch máu và tắc mạch máu, gây chèn ép thần kinh vận động có thể làm liệt từng bộ phận trong cơ thể.
2. Phòng bệnh
2.1. Áp dụng các biện pháp vệ sinh phòng bệnh là chủ yếu.
2.2. Không nuôi lợn thả rông và định kỳ tẩy giun theo hướng dẫn của cơ quan quản lý chuyên ngành thú y.
2.3. Diệt loại gặm nhấm xung quanh chuồng nuôi lợn.
2.4. Xử lý phân gia súc để tiêu diệt Giun xoắn.
3. Giám sát bệnh Giun xoắn
3.1. Chủ yếu là giám sát lâm sàng, đặc biệt đối với lợn mới nuôi, lợn trong vùng có ổ dịch cũ, vùng có nguy cơ cao có dấu hiệu của bệnh.
3.2. Lấy mẫu cơ hoành để giám sát bệnh tại các cơ sở giết mổ lợn hoặc lấy huyết thanh lợn để xét nghiệm kháng thể do nhiễm bệnh tự nhiên trong vùng có ổ dịch cũ, khu vực có nguy cơ cao do cơ quan quản lý chuyên ngành thú y địa phương xác định.
3.3. Cơ quan quản lý chuyên ngành thú y địa phương xây dựng, trình cấp có thẩm quyền phê duyệt Kế hoạch giám sát bệnh Giun xoắn trong vùng có ổ dịch cũ, khu vực có nguy cơ cao. Việc giám sát được thực hiện theo hướng dẫn tại Phụ lục 02 ban hành kèm theo Thông tư này.
4. Xử lý động vật mắc bệnh
4.1. Động vật bị mắc bệnh Giun xoắn được xử lý như sau:
a) Tiêu hủy bắt buộc động vật chết, động vật mắc bệnh Giun xoắn;
b) Gia súc nghi mắc bệnh Giun xoắn phải giết mổ bắt buộc hoặc nuôi cách ly để theo dõi.
c) Khuyến khích giết mổ đối với gia súc khỏe mạnh trong cùng đàn với gia súc mắc bệnh Giun xoắn, trường hợp không giết mổ phải nuôi cách ly để theo dõi.
4.2. Việc xử lý động vật mắc bệnh phải được thực hiện ngay khi có kết quả xét nghiệm dương tính với bệnh Giun xoắn hoặc được cơ quan quản lý chuyên ngành thú y địa phương kiểm tra, xác minh và kết luận mắc bệnh Giun xoắn.
4.3. Việc xử lý động vật mắc bệnh theo hướng dẫn tại Phụ lục 06 được ban hành kèm theo Thông tư này.
5. Chẩn đoán xét nghiệm bệnh
5.1. Mẫu bệnh phẩm là cơ hoành, cơ thăn, cơ mông hoặc mẫu huyết thanh.
5.2. Mẫu bệnh phẩm phải được lấy, bao gói và bảo quản theo Quy chuẩn Việt Nam QCVN 01 - 83: 2011/BNNPTNT được ban hành theo Thông tư số 71/2011/TT-BNNPTNT ngày 25 tháng 10 năm 2011 của Bộ Nông nghiệp và Phát triển nông thôn; bảo quản ở nhiệt độ mát từ 2°C đến 8°C và chuyển ngay về phòng thử nghiệm nông nghiệp được cơ quan có thẩm quyền công nhận.
5.3. Phương pháp xét nghiệm: Thực hiện theo quy trình chẩn đoán bệnh Giun xoắn quy định tại Tiêu chuẩn Việt Nam TCVN 8400-3:2010.
PHỤ LỤC 19
HƯỚNG DẪN PHÒNG, CHỐNG BỆNH LAO BÒ
(Ban hành kèm theo Thông tư số 07/2016/TT-BNNPTNT ngày 31 tháng 5 năm 2016 của Bộ trưởng Bộ Nông nghiệp và Phát triển nông thôn)
1. Giới thiệu về bệnh Lao
1.1. Khái niệm bệnh
a) Bệnh Lao (Tuberculosis) là một bệnh truyền nhiễm mạn tính của nhiều loài động vật và người gây ra do trực khuẩn lao Mycobacterium tuberculosis. Khi động vật mắc bệnh, trong phủ tạng thường có những hạt viêm đặc biệt gọi là hạt lao. Vi khuẩn lao có 3 típ như sau:
- Típ gây bệnh lao ở người: Mycobacterium tuberculosis gây bệnh lao ở người nhưng cũng có thể gây bệnh lao cho bò, chó, mèo.
- Típ gây bệnh lao cho bò: Mycobacterium bovis gây bệnh lao cho bò nhưng cũng có thể gây bệnh cho người, lợn, chó, mèo.
- Típ gây bệnh lao cho loài chim: Mycobacterium avium gây bệnh lao cho loài chim nói chung và gia cầm; vi khuẩn cũng có thể gây bệnh cho người và lợn, bò ít mẫn cảm hơn.
b) Sức đề kháng của vi khuẩn: Vi khuẩn có thể sống được 1 tháng trong đờm dãi ẩm, sống được nhiều tuần trong sữa, 6 tháng trong phân gia súc khô. Vi khuẩn mẫn cảm với tia tử ngoại và nhiệt độ; ánh sáng mặt trời tiêu diệt vi khuẩn trong 8 giờ; các chất sát trùng như phoóc-môn 10%, xút 2% và vôi bột dễ dàng tiêu diệt vi khuẩn.
1.2. Nguồn bệnh và đường truyền lây
a) Loài mắc: Trong tự nhiên các loài gia súc, gia cầm, thú rừng, chim trời và người đều mắc bệnh. Tuy nhiên mỗi loài động vật lại mẫn cảm với một trong 03 típ vi khuẩn lao khác nhau: lao người, lao bò và lao gia cầm. Động vật non thường mẫn cảm hơn động vật trưởng thành.
b) Nguồn bệnh: Trong cơ thể động vật mắc bệnh, máu, sữa và các tổ chức bị lao đều có mầm bệnh. Nếu lao ở phổi và đường tiêu hóa, thì nước mũi, nước bọt, phân chứa nhiều mầm bệnh.
c) Đường lây truyền: Bệnh có thể lây trực tiếp từ con ốm sang con khỏe và lây gián tiếp qua các nhân tố trung gian. Thông thường vi khuẩn xâm nhập vào cơ thể qua các đường sau:
- Đường hô hấp: Vi khuẩn từ cơ thể bệnh bài xuất ra ngoài qua nước bọt do ho, hắt hơi, khạc nhổ... hoặc theo phân. Khi phân và đờm khô, mầm bệnh dính vào hạt bụi lơ lửng trong không khí. Động vật khỏe hít phải sẽ bị lây bệnh.
- Đường tiêu hóa: Phổ biến nhất là bê và lợn. Bê bú sữa mẹ có bệnh lao sẽ bị lây bệnh. Nếu thức ăn, nước uống bị ô nhiễm mầm bệnh, động vật khỏe ăn phải sẽ bị lây bệnh.
Ngoài ra bệnh có thể lấy qua núm nhau, qua đường sinh dục.
1.3. Triệu chứng lâm sàng, bệnh tích
a) Triệu chứng lâm sàng: Lao bò thường thấy ở những thể sau:
- Lao phối: Thể này hay gặp. Biểu hiện rõ nhất là ho, lúc đầu là ho khan, sau ho ướt, ho từng cơn. Con vật thường phát ho khi gõ lồng ngực, bị đuổi chạy, uống nước lạnh, nằm xuống hay đứng lên. Khi ho đờm bắn ra nhưng con vật lại nuốt vào; đờm có thể lẫn mủ, máu; đôi khi thấy máu chảy ra ở lỗ mũi. Bò gầy yếu, lông dựng, da khô, uể oải, ăn ít, thở khó ngày càng tăng. Nghe và gõ vùng phổi có âm đục phân tán, âm bùng hơi và âm ran ướt hay âm kim khí.
- Lao hạch: Thể này khá phổ biến. Nếu lao ở phổi thì hạch cũng bị lao. Hạch bị sưng thành những cục cứng, có khi sờ thấy lổn nhổn. Các hạch hay bị lao là hạch dưới hàm, hạch tuyến nước bọt, hạch trước vai, hạch trước đùi và hạch ruột.
- Lao vú: Tùy mức độ bệnh mà bầu vú hoặc núm vú có thể bị biến dạng. Sờ vào cảm thấy những hạt lao lổn nhổn, hạch vú sưng to, cứng nổi cục. Sản lượng sữa giảm rõ rệt.
- Lao đường tiêu hóa: Phổ biến ở ruột, gan. Gia súc ỉa chảy liên miên, gầy yếu, có chướng hơi nhẹ và rối loạn tiêu hóa.
b) Bệnh tích: thường có 3 dạng: hạt lao, khối tăng sinh thượng bì và đám viêm bã đậu.
- Hạt lao: Tùy theo giai đoạn phát triển của bệnh mà biểu hiện hạt lao khác nhau. Các hạt lao thấy rõ ở phổi, hạch màng treo ruột; lúc đầu hạt nhỏ và cứng gọi là lao hạt kê. Ở phổi có giới hạn rõ, màu xám, khó bóc; nếu hạt nhiều, nắn phổi sẽ có cảm giác như phổi bị trộn cát; cắt có tiếng kêu lạo xạo. Hạt lao này gọi là hạt xám. Các hạt xám lớn dần bằng hạt đậu xanh, hạt ngô, thân bị thoái hóa thành bã đậu màu vàng nên gọi là hạt vàng. Các hạt trên to lên và vỡ ra, những hạt không vỡ thì tổ chức tăng sinh bao bọc lại gọi là hạt xơ.
- Khối tăng sinh thượng bì: Hạt xơ tăng sinh mạnh có khi to bằng hạt dẻ, quả ổi, bị bã đậu hóa hoặc can-xi hóa.
- Đám viêm bã đậu: Ở giai đoạn sau các hạt lao vỡ ra biến tổ chức lao đó thành đám viêm bã đậu, nát, thẩm dịch.
2. Phòng bệnh bằng vắc-xin
Hiện nay chỉ có một loại vắc-xin duy nhất phòng bệnh Lao bò là vắc-xin nhược độc BCG (Bacillus Calmette - Guerin). Tuy nhiên, vắc-xin BCG ít được sử dụng do gây trở ngại trong việc chẩn đoán bệnh Lao.
3. Giám sát bệnh Lao bò
3.1. Đối tượng giám sát bệnh định kỳ: Trâu bò giống, bò sữa do cơ quan quản lý chuyên ngành thú y xác định.
3.2. Giám sát lâm sàng thông qua việc quan sát, phát hiện những triệu chứng lâm sàng, bệnh tích điển hình của gia súc bệnh, chết và những đặc điểm về dịch tễ học của bệnh Lao.
3.3. Giám sát phát hiện bệnh: Định kỳ kiểm tra phát hiện bệnh Lao bò bằng phản ứng tiêm nội bì. Thực hiện kiểm tra bệnh Lao bò đối với 100% số trâu bò giống, bò sữa thuộc diện phải kiểm tra.
3.4. Cơ quan quản lý chuyên ngành thú y xây dựng, trình cấp có thẩm quyền phê duyệt Kế hoạch giám sát bệnh Lao bò.
4. Xử lý gia súc mắc bệnh
4.1. Khi phát hiện gia súc mắc bệnh Lao, phải cách ly để điều trị gia súc mắc bệnh theo hướng dẫn của cơ quan quản lý chuyên ngành thú y địa phương.
4.2. Tiêu hủy hoặc giết mổ bắt buộc gia súc mắc bệnh Lao không có khả năng phục hồi.
4.3. Việc xử lý động vật mắc bệnh theo hướng dẫn tại Phụ lục 06 được ban hành kèm theo Thông tư này.
5. Chẩn đoán xét nghiệm bệnh
5.1. Chẩn đoán bệnh Lao bò bằng phản ứng tiêm nội bì hoặc lấy mẫu bệnh phẩm là các mô nghi ngờ hoặc có bệnh tích với lượng từ 10 g đến 200 g và đựng vào lọ miệng rộng hoặc túi ni lon để gửi xét nghiệm.
5.2. Mẫu bệnh phẩm phải được lấy, bao gói và bảo quản theo Quy chuẩn Việt Nam QCVN 01 - 83: 2011/BNNPTNT được ban hành theo Thông tư số 71/2011/TT-BNNPTNT ngày 25 tháng 10 năm 2011 của Bộ Nông nghiệp và Phát triển nông thôn; phải được lấy vô trùng, bảo quản trong điều kiện lạnh từ 2°C đến 8°C và gửi về phòng thử nghiệm nông nghiệp được cơ quan có thẩm quyền công nhận chậm nhất 24h sau khi lấy mẫu.
5.3. Phương pháp chẩn đoán, xét nghiệm: Thực hiện theo quy trình chẩn đoán bệnh Lao bò quy định tại Tiêu chuẩn Việt Nam TCVN 8400-10: 2010.
PHỤ LỤC 20
HƯỚNG DẪN PHÒNG, CHỐNG BỆNH SẢY THAI TRUYỀN NHIỄM
(Ban hành kèm theo Thông tư số 07/2016/TT-BNNPTNT ngày 31 tháng 5 năm 2016 của Bộ trưởng Bộ Nông nghiệp và Phát triển nông thôn)
1. Giới thiệu về bệnh Sảy thai truyền nhiễm
1.1. Khái niệm bệnh
a) Bệnh Sảy thai truyền nhiễm (Bucellosis) là bệnh truyền nhiễm chung cho nhiều loài gia súc và người. Bệnh thường xuất hiện quá trình viêm, hoại tử ở một số cơ quan phủ tạng, đường sinh dục rồi lan ra nhau thai gây ra hiện tượng sảy thai, sát nhau. Vi khuẩn gây bệnh được chia thành 3 nhóm chính:
- Bucella abortus gây bệnh ở trâu bò;
- Brucella suis gây bệnh ở lợn;
- Bucella melitensis gây bệnh ở dê, cừu;
Ngoài ra còn có Bucella ovis chỉ gây bệnh cho cừu, Brucella cannis gây bệnh cho chó và một số chủng vi khuẩn gây bệnh cho loài khác.
b) Sức đề kháng của vi khuẩn: Ở nhiệt độ thường, vi khuẩn tồn tại 4 tháng trong sữa, nước tiểu và đất ẩm ướt. Ở nhiệt độ hấp ướt 70°C trong 30 phút. Các chất sát trùng thông thường như: a xít phenic, phoóc-môn 4%, nước vôi 5% có thể diệt vi khuẩn sau 1-2 giờ.
1.2. Nguồn bệnh và đường truyền lây
a) Loài mắc: Động vật mắc bệnh Sảy thai truyền nhiễm là dê, cừu, bò, trâu, lợn, chó, động vật hoang dã và người. Loài chim và chuột có mang mầm bệnh.
b) Nguồn bệnh: Ở con cái mang bệnh, vi khuẩn có nhiều ở núm nhau, nước ối, nước nhờn và chất nhờn âm đạo, sữa; ở con đực, vi khuẩn có nhiều trong tinh dịch. Hầu hết các cơ quan phủ tạng như máu, gan, lách, tủy xương, dịch hoàn đều chứa một lượng lớn vi khuẩn. Trong máu, vi khuẩn xuất hiện từng thời kỳ, nhiều nhất khi gia súc đẻ hoặc sảy thai. Trong thai sảy như bọc thai, phủ tạng của thai có rất nhiều vi khuẩn.
c) Đường truyền lây
- Lây trực tiếp: Qua đường tiêu hóa do thức ăn, nước uống có nhiễm vi khuẩn gây bệnh hoặc do bú sữa mẹ; qua đường sinh dục do giao phối thụ tinh và dịch cơ quan sinh dục; qua da, niêm mạc và vết thương hở; qua đường hô hấp do hít phải bụi có mang vi khuẩn, lây trực tiếp. Thai đẻ non, nước ối, nhau thai là nguồn lây chính của B.abortus ở bò và B.melitensis ở dê và cừu trong khi đó dịch và thai sảy là nguồn lây chính của B.suis và B. Cannis.
- Lây gián tiếp: Qua dụng cụ chăn nuôi có mang mầm bệnh. Côn trùng cũng có thể truyền bệnh và làm lưu cữu mầm bệnh trong bầy đàn. Ruồi làm lây bệnh qua phân.
1.3. Triệu chứng
a) Triệu chứng ở bò: Bò thường mắc bệnh do chủng vi khuẩn B.abortus, ngoài ra còn có thể mắc bệnh do chủng B.suis và B. Melitensis. Thời gian nung bệnh từ 1 tuần đến 7 tháng, có trường hợp chỉ 72 giờ.
- Bò cái bị bệnh chủ yếu xảy ra ở những con cái chửa tháng thứ 5,6,7. Bò có hiện tượng như sắp đẻ: âm hộ sưng đỏ, chảy nước nhớt, vú căng, có hiện tượng sụp mông. Bò sốt nhưng không cao, ít vận động. Thai có thể chết trước hay sau khi sảy thai, có hiện tượng thai ra cả bọc hoặc sát nhau, nước ối màu đục, bẩn, không có mùi nhưng lẫn màng nhau màu trắng.
- Bò đực thì triệu chứng rõ hơn: Dịch hoàn sưng đỏ gấp 2-3 lần, sau 2-3 ngày dịch hoàn lạnh dần và bắt đầu teo, sau con vật sốt và bỏ ăn. Chất lượng tinh trùng giảm đáng kể, tỷ lệ tinh dị hình tăng cao, tinh dịch chuyển từ màu trắng đục sang ánh vàng. Con vật lười vận động, thích nằm hoặc đứng một chỗ, bỏ ăn.
- Cả bò đực và bò cái đều có hiện tượng viêm khớp: khớp háng, khớp chậu (con cái) và khớp gối (con đực). Khớp sưng, khớp vẹo lệch làm cho bò đi lại khó khăn, sờ khớp thấy mềm, có nhiều dịch viêm.
b) Triệu chứng ở dê, cừu: Bệnh thường do chủng B. Melitensis gây ra, ở cừu còn do B. Ovis. Thời gian nung bệnh từ 2-18 tuần. Triệu chứng đặc trưng là con vật bị sảy thai. Trước khi sảy thai 1 tuần, con vật sốt cao, mệt lả, giảm cân, bỏ ăn, uống nước nhiều, viêm vú, nằm một chỗ, không thích vận động. Dê bị viêm âm đạo, viêm âm hộ, chảy nhiều nước nhờn. Cừu đực có triệu chứng giống bò đực, viêm dịch hoàn. Nếu cừu mắc bệnh do chủng B. Ovis, có hiện tượng viêm khớp mạn tính, viêm màng dịch hoàn và có các triệu chứng thần kinh.
c) Triệu chứng ở lợn: Bệnh thường do chủng Brucella suis gây ra, thời gian nung bệnh từ 2-18 tuần. Lợn cái bị sảy thai, thai ra cả bọc. Lợn ỉa chảy, viêm thủy thũng các đầu vú, mệt mỏi, biếng ăn, bỏ ăn. Sảy thai thường ở tuần thứ 4-12. Khi sảy thai, lợn bị liệt chân sau, viêm khớp, sau 10-15 ngày hồi phục trở lại. Con đực bị viêm sưng dịch hoàn.
1.4. Bệnh tích
a) Ở bào thai của động vật bị sảy thai: Vỏ bọc thai dày lên, có nhiều điểm xuất huyết và phủ một lớp dịch nhớt, bẩn. Nước ối bẩn, đục, lẫn máu và màng giả. Trên núm nhau có nhiều điểm hoại tử, sưng to, đen, mềm. Nhau thai có những điểm hoại tử dạng hạt màu vàng trắng, bờ mặt đục. Cuống rốn có mủ, điểm hoại tử lấm tấm. Gan, lách, thận của thai bị viêm, xuất huyết và hoại tử.
b) Ở con cái: Hạch vú bị viêm sưng. Trên bề mặt da mỏng của bầu vú có những điểm hoại tử màu trắng xám, sữa có màu vàng.
c) Con đực: Dịch hoàn vùng thượng hoàn sưng to gấp 2 - 3 lần bình thường, màng ngoài đường sinh dục dày, có khi bị viêm khớp u mềm có mủ, xoang bao khớp có nhiều dịch nhày, đục, hơi sánh. Giai đoạn sau dịch hoàn teo, có những hạt hoại tử lổn nhổn.
d) Cơ quan phủ tạng: Gan lách bị sưng hay hoại tử.
2. Phòng bệnh
Chủ yếu là áp dụng các biện pháp vệ sinh phòng bệnh. Việc tiêm phòng theo hướng dẫn của cơ quan quản lý chuyên ngành thú y.
3. Giám sát bệnh Sảy thai truyền nhiễm
3.1. Đối tượng giám sát bệnh định kỳ: Trâu bò giống, bò sữa do cơ quan quản lý chuyên ngành thú y xác định.
3.2. Giám sát lâm sàng thông qua việc quan sát, phát hiện những triệu chứng lâm sàng, bệnh tích điển hình của gia súc mắc bệnh, chết và những đặc điểm về dịch tễ học.
3.3. Giám sát phát hiện bệnh: Định kỳ kiểm tra phát hiện bệnh Sảy thai truyền nhiễm bằng phản ứng dị ứng hoặc kiểm tra sữa (phản ứng MRT) hoặc kiểm tra kháng thể trong huyết thanh (phản ứng RBT, CFT,...).
3.4. Cơ quan quản lý chuyên ngành thú y xây dựng, trình cấp có thẩm quyền phê duyệt Kế hoạch giám sát bệnh Sảy thai truyền nhiễm. Việc giám sát được thực hiện theo hướng dẫn tại Phụ lục 02 ban hành kèm theo Thông tư này.
4. Xử lý gia súc mắc bệnh
4.1. Khi phát hiện gia súc mắc bệnh Sảy thai truyền nhiễm, phải cách ly để điều trị theo hướng dẫn của cơ quan quản lý chuyên ngành thú y.
4.2. Tiêu hủy gia súc chết hoặc gia súc mắc bệnh không có khả năng phục hồi.
4.3. Việc xử lý động vật mắc bệnh theo hướng dẫn tại Phụ lục 06 được ban hành kèm theo Thông tư này.
5. Chẩn đoán xét nghiệm bệnh
5.1. Mẫu bệnh phẩm là máu, sữa, tinh dịch, lách, gan, hoạch lympho, nước ối, thai bị sảy,.. đựng vào lọ miệng rộng hoặc túi nilon.
5.2. Mẫu bệnh phẩm phải được lấy, bao gói và bảo quản theo Quy chuẩn Việt Nam QCVN 01 - 83: 2011/BNNPTNT được ban hành theo Thông tư số 71/2011/TT-BNNPTNT ngày 25 tháng 10 năm 2011 của Bộ Nông nghiệp và Phát triển nông thôn; được lấy vô trùng, bảo quản trong điều kiện lạnh từ 2°C đến 8°C và gửi về phòng thử nghiệm nông nghiệp được cơ quan có thẩm quyền công nhận chậm nhất 24h sau khi lấy mẫu.
5.3. Phương pháp xét nghiệm: Thực hiện theo quy trình chẩn đoán bệnh Sảy thai truyền nhiễm quy định tại Tiêu chuẩn Việt Nam TCVN 8400-13: 2011.
PHỤ LỤC 21
HƯỚNG DẪN PHÒNG, CHỐNG BỆNH TỤ HUYẾT TRÙNG GIA SÚC
(Ban hành kèm theo Thông tư số 07/2016/TT-BNNPTNT ngày 31 tháng 5 năm 2016 của Bộ trưởng Bộ Nông nghiệp và Phát triển nông thôn)
1. Giới thiệu chung về bệnh
1.1. Khái niệm bệnh
a) Bệnh Tụ huyết trùng (Pasteurellosis) gia súc là bệnh truyền nhiễm phổ biến ở trâu, bò, lợn; bệnh gây ra tỷ lệ mắc cao, ảnh hưởng đến kinh tế cho người chăn nuôi. Bệnh do vi khuẩn Pasteurella multocida gây ra, đây là loại cầu trực khuẩn Gram âm với đặc trưng là gây tụ huyết và xuất huyết ở các vùng đặc biệt trên cơ thể. Vi khuẩn vào máu gây nhiễm trùng máu gây bại xuất huyết toàn thân. Vi khuẩn thường sống trên niêm mạc mũi, hầu, hạch amidan của một số gia súc khỏe mạnh, nhất là ở những con không được tiêm phòng. Vi khuẩn có thể sống được hàng tháng ở trong phân, rơm rác, trong đất chuồng nuôi. Khi gặp điều kiện thuận lợi thì những vi khuẩn này tăng độc lực và gây bệnh cho gia súc.
b) Sức đề kháng của vi khuẩn: Vi khuẩn có sức đề kháng không cao nên tồn tại không lâu ngoài cơ thể trâu bò; vi khuẩn có thể tồn tại từ 1 đến 3 tháng trong đất ẩm và thiếu ánh sáng, đầm lầy, ao bẩn có nhiều chất hữu cơ, trong chuồng trại,.. Vi khuẩn dễ bị diệt bằng nước nóng 60°C trong 20 phút, ánh sáng mặt trời trong 12 giờ, nước vôi 10% hoặc phoóc-môn 1% trong thời gian từ 1 đến 3 phút. Các chất sát trùng thông thường cùng dễ tiêu diệt được vi khuẩn.
1.2. Nguồn bệnh và đường truyền lây
a) Loài mắc: Trâu, bò, lợn, gà.
b) Đường truyền lây
- Vi khuẩn gây bệnh xâm nhập, lây lan theo đường tiêu hóa là chính, ngoài ra còn qua hô hấp (chủ yếu là hô hấp trên), đặc biệt khi niêm mạc bị tổn thương. Bệnh lan truyền trực tiếp từ con mang mầm bệnh sang con khỏe, hoặc gián tiếp qua đường thức ăn, nước uống, chuồng trại vệ sinh kém.
- Bệnh có thể lây truyền từ trâu, bò sang lợn, gia cầm và ngược lại.
1.3. Triệu chứng lâm sàng
Thời gian ủ bệnh rất ngắn, chỉ từ 1-3 ngày, tuy nhiên có thể kéo dài đến 02 tuần.
a) Thể quá cấp tính: Con vật sốt cao trên 41°C, đột ngột trở nên hung dữ, điên cuồng, chạy lung tung, chết trong vòng 24 giờ. Thể này ít có biểu hiện gì đặc trưng.
b) Thể cấp tính: Thể này rất phổ biến, con vật sốt cao trên 41°C, bỏ ăn, lờ đờ, nước mũi nước mắt chảy nhiều. Niêm mạc mắt, mũi, miệng đỏ sẫm rồi tái tím. Vùng hầu sưng to làm lưỡi thè ra ngoài. Hạch bên cổ sưng to, thở khó và nặng nề, đi lại khó khăn. Lúc đầu táo bón, sau lại ỉa lỏng, phân có lẫn máu và niêm mạc ruột, bụng chướng to. Con vật nằm liệt, đái ra máu, lịm yếu dần rồi chết trong 1 - 2 ngày. Tỷ lệ chết cao nếu không chữa bệnh kịp thời.
c) Thể mạn tính: Một số trâu, bò, lợn vượt qua được giai đoạn cấp tính thường chuyển sang thể mãn tính. Con vật có biểu hiện mệt mỏi, khó thở, thở nhanh, khò khè, gầy yếu, ho từng hồi, kéo dài, ho nhiều khi vận động, mũi khô hoặc có dịch mũi đặc, đi lại khó khăn do viêm khớp, viêm phổi, viêm phế quản. Rối loạn tiêu hóa (phân lúc táo lúc lỏng), giảm ăn uống, gầy yếu. Một số con mắc bệnh bị chết do suy kiệt. Một số ít có sức chịu đựng thì những biểu hiện này nhẹ dần và khỏi, nhưng phải hàng tháng sau mới hồi phục.
1.4. Bệnh tích
a) Hạch sưng to, tụ máu ở cơ quan phủ tạng, ruột và dạ dày bị viêm, niêm mạc và các tổ chức liên kết dưới da xuất huyết lấm tấm, thịt nhão.
b) Bao tim và vùng xoang bụng tích đầy nước có khi xuất huyết.
c) Gan và thận bị viêm, tụ máu.
d) Viêm phổi thùy lớn, phổi có nhiều vùng bị gan hóa. Khí quản và phế quản tụ máu, xuất huyết, màng phổi xuất huyết lốm đốm, dày lên và dính vào thành mạch ngực.
2. Phòng bệnh bắt buộc bằng vắc-xin
2.1. Đối tượng tiêm phòng
a) Các trang trại, cơ sở chăn nuôi gia súc tập trung; trừ trường hợp được miễn tiêm phòng theo quy định tại khoản 2 Điều 4 của Thông tư này;
b) Đàn gia súc nuôi nhỏ lẻ trong các hộ gia đình: Trâu, bò, lợn nái, lợn đực giống do cơ quan quản lý chuyên ngành thú y địa phương xác định.
2.2. Phạm vi tiêm phòng: Tại khu vực có ổ dịch cũ, địa bàn có nguy cơ cao do cơ quan quản lý chuyên ngành thú y địa phương xác định
2.3. Thời gian tiêm phòng
a) Tổ chức tiêm phòng định kỳ theo quy trình nuôi, tiêm phòng bổ sung đối với gia súc mới phát sinh, đàn gia súc đã hết thời gian còn miễn dịch bảo hộ hoặc tiêm phòng theo hướng dẫn của cơ quan quản lý chuyên ngành thú y địa phương;
b) Liều lượng, đường tiêm theo hướng dẫn của nhà sản xuất vắc-xin.
2.4. Căn cứ vào điều kiện chăn nuôi, khí hậu thời tiết, đặc điểm của từng vùng, miền, cơ quan quản lý chuyên ngành thú y địa phương xây dựng và tổ chức thực hiện kế hoạch tiêm phòng cho phù hợp, bảo đảm hiệu quả tiêm phòng.
3. Tiêm phòng khẩn cấp khi có ổ dịch xảy ra
3.1. Khi có ổ dịch xảy ra, tổ chức tiêm phòng ngay cho gia súc khỏe mạnh tại các thôn, ấp, bản nơi xảy ra dịch; đồng thời tổ chức tiêm phòng bao vây ổ dịch đối với gia súc mẫn cảm tại các thôn, ấp, bản chưa có dịch trong cùng xã và các xã tiếp giáp xung quanh xã có dịch.
3.2. Huy động lực lượng tại chỗ hỗ trợ tiêm phòng; người trực tiếp tham gia tiêm phòng phải là nhân viên thú y hoặc người đã qua tập huấn về tiêm phòng.
3.3. Cơ quan quản lý chuyên ngành thú y địa phương hướng dẫn, quản lý, thực hiện tiêm phòng và giám sát việc tiêm phòng.
4. Giám sát bệnh Tụ huyết trùng
Thực hiện giám sát lâm sàng là chủ yếu để chủ động phát hiện bệnh: Quan sát, phát hiện gia súc mắc bệnh dựa trên những triệu chứng lâm sàng, bệnh tích điển hình của bệnh. Lấy mẫu xét nghiệm gia súc bị chết nghi do mắc bệnh Tụ huyết trùng để phân lập vi khuẩn gây bệnh.
5. Xử lý gia súc mắc bệnh
5.1. Cách ly và điều trị gia súc mắc bệnh theo hướng dẫn của cơ quan quản lý chuyên ngành thú y địa phương.
5.2. Tiêu hủy gia súc chết do mắc bệnh Tụ huyết trùng theo hướng dẫn tại Phụ lục 06 được ban hành kèm theo Thông tư này.
6. Chẩn đoán xét nghiệm
6.1. Mẫu bệnh phẩm là máu tim, dịch xoang bao tim, phổi, xương ống,.. đựng vào lọ miệng rộng hoặc túi nilon.
6.2. Mẫu bệnh phẩm phải được lấy, bao gói và bảo quản theo Quy chuẩn Việt Nam QCVN 01 - 83: 2011/BNNPTNT được ban hành theo Thông tư số 71/2011/TT-BNNPTNT ngày 25 tháng 10 năm 2011 của Bộ Nông nghiệp và Phát triển nông thôn; được lấy vô trùng, bảo quản trong điều kiện lạnh từ 2°C đến 8°C và gửi về phòng thử nghiệm nông nghiệp được cơ quan có thẩm quyền công nhận chậm nhất 24h sau khi lấy mẫu.
6.3. Phương pháp xét nghiệm: Thực hiện theo quy trình chẩn đoán bệnh Tụ huyết trùng quy định tại Tiêu chuẩn Việt Nam TCVN 8400-14:2011.
PHỤ LỤC 22
HƯỚNG DẪN PHÒNG, CHỐNG BỆNH DỊCH TẢ VỊT
(Ban hành kèm theo Thông tư số 07/2016/TT-BNNPTNT ngày 31 tháng 5 năm 2016 của Bộ trưởng Bộ Nông nghiệp và Phát triển nông thôn)
1. Giới thiệu về bệnh Dịch tả vịt
1.1. Khái niệm bệnh
a) Bệnh Dịch tả vịt là bệnh truyền nhiễm cấp tính nguy hiểm ở vịt. Tác nhân gây bệnh là do vi rút thuộc nhóm Herpes trong họ Alphaherpesvirinae. Vi rút gây bệnh có cấu trúc ADN. Bệnh Dịch tả vịt có tỷ lệ mắc bệnh và chết cao, có thể từ 70% đến 80% nếu bị nhiễm lần đầu ở trại không tiêm phòng vắc-xin Dịch tả vịt thường xuyên, kết hợp với vệ sinh không đảm bảo.
b) Sức đề kháng của vi rút: Vi rút bị tiêu diệt trong dung dịch phoóc-môn 3%, chlorin 3% và các hóa chất sát trùng mạnh khác. Vi rút bị tiêu diệt ở nhiệt độ 56°C trong 10 phút, 50°C trong 90 đến 120 phút, nhiệt độ 22°C được 30 ngày.
1.2. Nguồn bệnh và đường truyền lây
a) Loài mắc: Động vật mắc bệnh Dịch tả vịt là vịt, ngan, ngỗng ở mọi lứa tuổi đều bị mắc bệnh, đặc biệt là từ 07 ngày tuổi cho đến trưởng thành.
b) Nguồn bệnh: Phân, dịch tiết từ mũi, miệng và mắt của gia cầm mắc bệnh có chứa vi rút.
c) Đường truyền lây: Đường truyền lây chủ yếu qua tiếp xúc trực tiếp giữa các gia cầm khỏe mạnh và gia cầm bị nhiễm bệnh. Ngoài ra, bệnh có thể lây lan dễ dàng qua các phương tiện cơ học như giày dép và quần áo mang từ một đàn bị nhiễm đến. Bệnh lây lan nhanh và trầm trọng trong khoảng 2-3 ngày.
1.3. Triệu chứng lâm sàng
Thời gian ủ bệnh thường từ 3 - 7 ngày tùy theo độc lực của vi rút.
Vịt, ngan, ngỗng bị bệnh có hiện tượng bỏ ăn, sợ nước, tiêu chảy nhiều, phân trắng xanh hoặc vàng nhớt, xù lông, chảy nước mũi, mắt có dử, mí mắt sưng, niêm mạc mắt đỏ, ngoẹo đầu, mắt thăng bằng, ngoẹo cổ, bại liệt, chết nhanh.
1.4. Bệnh tích
Tùy theo trường hợp có thể thấy một hoặc nhiều trong những bệnh tích sau:
a) Ở vịt trưởng thành có hiện tượng gan bị bạc màu hoặc xuất huyết điểm. Con cái có thể thấy các nang trứng bị xuất huyết.
b) Mạch máu bị tổn thương. Hệ bạch huyết bị tổn thương và thoái hóa nhu mô.
c) Đường tiêu hóa bị viêm, ruột xuất huyết thành từng mảng, có nhiều chất nhờn. Đây là bệnh tích đặc trưng của bệnh dịch tả vịt.
d) Kiểm tra vi thể thấy tổn thương mạch máu và các cơ quan phủ tạng. Xuất hiện các thể vùi nội nhân, thể vùi tế bào chất trong các tế bào biểu mô của hệ thống tiêu hóa. Đây là biến đổi vi thể điển hình của bệnh.
2. Phòng bệnh bắt buộc bằng vắc-xin
2.1. Đối tượng phòng bệnh bằng vắc-xin: vịt, ngan, ngỗng.
2.2. Phạm vi tiêm phòng: Vùng có ổ dịch cũ, địa bàn có nguy cơ cao do cơ quan quản lý chuyên ngành thú y địa phương xác định.
2.3. Thời gian tiêm phòng
a) Tổ chức tiêm phòng định kỳ theo quy trình nuôi hoặc hướng dẫn của cơ quan quản lý chuyên ngành thú y địa phương;
b) Liều lượng, đường tiêm theo hướng dẫn của nhà sản xuất vắc-xin.
2.4. Căn cứ vào điều kiện chăn nuôi, khí hậu thời tiết, đặc điểm của từng vùng, miền, cơ quan quản lý chuyên ngành thú y địa phương xây dựng và tổ chức thực hiện kế hoạch tiêm phòng cho phù hợp đảm bảo hiệu quả tiêm phòng.
3. Tiêm phòng khẩn cấp khi có ổ dịch xảy ra
3.1. Khi có ổ dịch xảy ra, tổ chức tiêm phòng cho vịt, ngan, ngỗng tại các thôn, ấp, bản nơi xảy ra dịch; đồng thời tổ chức tiêm phòng bao vây ổ dịch theo hướng từ ngoài vào trong đối với vịt, ngan, ngỗng tại các thôn, ấp, bản chưa có dịch trong cùng xã và các xã xung quanh tiếp giáp với xã có dịch.
3.2. Huy động lực lượng tiêm phòng và hỗ trợ tiêm phòng; người trực tiếp tham gia tiêm phòng phải là nhân viên thú y hoặc người đã qua tập huấn.
3.3. Cơ quan quản lý chuyên ngành thú y địa phương hướng dẫn, quản lý, thực hiện tiêm phòng và giám sát việc tiêm phòng.
4. Giám sát bệnh Dịch tả vịt
4.1. Giám sát lâm sàng phải được thực hiện thường xuyên, liên tục, đặc biệt đối với vịt, ngan, ngỗng mới nuôi, vịt, ngan, ngỗng trong vùng có ổ dịch cũ, vùng có nguy cơ cao do cơ quan quản lý chuyên ngành thú y địa phương xác định.
4.2. Giám sát lưu hành vi rút: Lấy mẫu gan, lách thận của vịt, ngan, ngỗng nghi mắc bệnh để xét nghiệm vi rút.
4.3. Giám sát sau tiêm phòng (áp dụng ở các trại giống)
a) Giám sát sau tiêm phòng để đánh giá kết quả tiêm phòng và khả năng đáp ứng miễn dịch của đàn sau khi được tiêm vắc-xin;
b) Lấy mẫu huyết thanh để xét nghiệm kháng thể bảo hộ sau tiêm phòng;
c) Thời điểm lấy mẫu: Sau 21 ngày kể từ thời điểm tiêm phòng gần nhất.
4.4. Cơ quan quản lý chuyên ngành thú y địa phương xây dựng, trình cấp có thẩm quyền phê duyệt Kế hoạch giám sát bệnh Dịch tả vịt. Việc giám sát được thực hiện theo hướng dẫn tại Phụ lục 02 ban hành kèm theo Thông tư này.
5. Xử lý gia cầm mắc bệnh
5.1. Cách ly gia cầm mắc bệnh để chăm sóc, hỗ trợ phục hồi; cách ly gia cầm khỏe mạnh trong cùng đàn để chăm sóc nuôi dưỡng hoặc khuyến khích giết mổ tiêu thụ tại chỗ;
5.2. Tiêu hủy gia cầm chết do mắc bệnh Dịch tả vịt theo hướng dẫn tại Phụ lục 06 được ban hành kèm theo Thông tư này.
6. Chẩn đoán xét nghiệm bệnh
6.1. Mẫu bệnh phẩm là gan, lách, thận của gia cầm nghi mắc bệnh.
6.2. Mẫu bệnh phẩm phải được lấy, bao gói và bảo quản theo Quy chuẩn Việt Nam QCVN 01 - 83: 2011/BNNPTNT được ban hành theo Thông tư số 71/2011/TT-BNNPTNT ngày 25 tháng 10 năm 2011 của Bộ Nông nghiệp và Phát triển nông thôn; được bảo quản ở nhiệt độ lạnh từ 2°C đến 8°C và chuyển ngay về phòng thử nghiệm nông nghiệp được cơ quan có thẩm quyền công nhận.
6.3. Phương pháp xét nghiệm: Thực hiện theo quy trình chẩn đoán bệnh Dịch tả vịt quy định tại Tiêu chuẩn Việt Nam TCVN 8400-11:2011.
Bạn chưa Đăng nhập thành viên.
Đây là tiện ích dành cho tài khoản thành viên. Vui lòng Đăng nhập để xem chi tiết. Nếu chưa có tài khoản, vui lòng Đăng ký tại đây!
Bạn chưa Đăng nhập thành viên.
Đây là tiện ích dành cho tài khoản thành viên. Vui lòng Đăng nhập để xem chi tiết. Nếu chưa có tài khoản, vui lòng Đăng ký tại đây!


