- Tổng quan
- Nội dung
- VB gốc
- Tiếng Anh
- Hiệu lực
- VB liên quan
- Lược đồ
-
Nội dung hợp nhất
Tính năng này chỉ có tại LuatVietnam.vn. Nội dung hợp nhất tổng hợp lại tất cả các quy định còn hiệu lực của văn bản gốc và các văn bản sửa đổi, bổ sung, đính chính... trên một trang. Việc hợp nhất văn bản gốc và những văn bản, Thông tư, Nghị định hướng dẫn khác không làm thay đổi thứ tự điều khoản, nội dung.
Khách hàng chỉ cần xem Nội dung hợp nhất là có thể nắm bắt toàn bộ quy định hiện hành đang áp dụng, cho dù văn bản gốc đã qua nhiều lần chỉnh sửa, bổ sung.
- Tải về
Thông tư 44/2014/TT-BNNPTNT các bệnh phải kiểm tra định kỳ
| Cơ quan ban hành: | Bộ Nông nghiệp và Phát triển nông thôn |
Số công báo:
Số công báo là mã số ấn phẩm được đăng chính thức trên ấn phẩm thông tin của Nhà nước. Mã số này do Chính phủ thống nhất quản lý.
|
Đã biết
|
| Số hiệu: | 44/2014/TT-BNNPTNT | Ngày đăng công báo: |
Đã biết
|
| Loại văn bản: | Thông tư | Người ký: | Vũ Văn Tám |
|
Ngày ban hành:
Ngày ban hành là ngày, tháng, năm văn bản được thông qua hoặc ký ban hành.
|
01/12/2014 |
Ngày hết hiệu lực:
Ngày hết hiệu lực là ngày, tháng, năm văn bản chính thức không còn hiệu lực (áp dụng).
|
Đã biết
|
|
Áp dụng:
Ngày áp dụng là ngày, tháng, năm văn bản chính thức có hiệu lực (áp dụng).
|
Đã biết
|
Tình trạng hiệu lực:
Cho biết trạng thái hiệu lực của văn bản đang tra cứu: Chưa áp dụng, Còn hiệu lực, Hết hiệu lực, Hết hiệu lực 1 phần; Đã sửa đổi, Đính chính hay Không còn phù hợp,...
|
Đã biết
|
| Lĩnh vực: | Nông nghiệp-Lâm nghiệp |
TÓM TẮT THÔNG TƯ 44/2014/TT-BNNPTNT
Kiểm tra bệnh cúm gia cầm 6 tháng/lần
Ngày 01/12/2014, Bộ Nông nghiệp và Phát triển nông thôn đã ban hành Thông tư số 44/2014/TT-BNNPTNT quy định các bệnh phải kiểm tra định kỳ đối với cơ sở chăn nuôi gia súc giống, gia cầm giống, bò sữa; trong đó có bệnh lở mồm long móng; sảy thai truyền nhiễm, lao, xoắn khuẩn ở trâu, bò; bệnh lở mồm long móng, dịch tả lợn, xoắn khuẩn ở lợn; lở mồm long móng, xoắn khuẩn ở dê và bệnh cúm gia cầm thể độc lực cao ở gia cầm.
Theo đó, các cơ sở chăn nuôi gia súc giống, gia cầm giống, bò sữa phải tiến hành kiểm tra các bệnh nêu trên định kỳ 06 tháng/lần. Riêng các cơ sở đã được công nhận hoặc thuộc vùng đã được công nhận an toàn dịch bệnh đối với các bệnh này và thời gian công nhận vẫn còn hiệu lực thi không phải thực hiện kiểm tra định kỳ đối với bệnh đó.
Việc kiểm tra có thể được tiến hành theo phương pháp kiểm tra lâm sàng hoặc lấy mẫu để xét nghiệm mầm bệnh hoặc phát hiện kháng thể do nhiễm bệnh tự nhiên. Nếu phát hiện bệnh, cơ sở chăn nuôi phải thực hiện các biện pháp phòng, chống bệnh theo quy định hiện hành đối với từng bệnh; những bệnh chưa có quy định biện pháp phòng, chống cụ thể phải giám sát, theo dõi và xử lý theo hướng dẫn của cơ quan quản lý chuyên ngành thú y trung ương. Trường hợp không phát hiện bệnh thì cơ sở chăn nuôi được sử dụng kết quả kiểm tra, xét nghiệm để làm thủ tục đăng ký cơ sở an toàn dịch bệnh đối với bệnh đã kiểm tra.
Thông tư này có hiệu lực thi hành kể từ ngày 18/01/2015.
Xem chi tiết Thông tư 44/2014/TT-BNNPTNT có hiệu lực kể từ ngày 18/01/2015
Tải Thông tư 44/2014/TT-BNNPTNT
|
BỘ NÔNG NGHIỆP VÀ PHÁT TRIỂN NÔNG THÔN -------------------------- Số: 44/2014/TT-BNNPTNT |
CỘNG HOÀ XÃ HỘI CHỦ NGHĨA VIỆT NAM Độc lập – Tự do – Hạnh phúc ----------------------------- Hà Nội, ngày 01 tháng 12 năm 2014 |
THÔNG TƯ
Quy định các bệnh phải kiểm tra định kỳ đối với cơ sở chăn nuôi
gia súc giống, gia cầm giống, bò sữa
Căn cứ Nghị định số 199/2013/NĐ-CP ngày 26/11/2013 của Chính phủ Quy định chức năng, nhiệm vụ, quyền hạn và cơ cấu tổ chức của Bộ Nông nghiệp và Phát triển nông thôn;
Căn cứ Pháp lệnh Thú y ngày 29 tháng 4 năm 2004;
Căn cứ Pháp lệnh Giống vật nuôi ngày 24 tháng 3 năm 2004;
Căn cứ Nghị định số 33/2005/NĐ-CP ngày 15/3/2005 của Chính phủ Quy định chi tiết thi hành một số điều của Pháp lệnh Thú y và Nghị định số 119/2008/NĐ-CP ngày 28/11/2008 của Chính phủ sửa đổi, bổ sung một số Điều của Nghị định số 33/2005/NĐ-CP ngày 15/3/2005 của Chính phủ;
Theo đề nghị của Cục trưởng Cục Thú y;
Bộ trưởng Bộ Nông nghiệp và Phát triển nông thôn ban hành Thông tư quy định các bệnh phải kiểm tra định kỳ đối với cơ sở chăn nuôi gia súc giống, gia cầm giống, bò sữa.
CHƯƠNG I
QUY ĐỊNH CHUNG
Điều 1. Phạm vi điều chỉnh và đối tượng áp dụng
1. Thông tư này quy định về các bệnh phải kiểm tra định kỳ; nội dung, phương pháp kiểm tra; xử lý kết quả kiểm tra đối với các bệnh phải kiểm tra định kỳ.
2. Thông tư này áp dụng đối với các các cơ sở chăn nuôi gia súc giống, gia cầm giống, bò sữa trên lãnh thổ Việt Nam; các cơ quan nhà nước có liên quan.
Điều 2. Giải thích từ ngữ
Trong Thông tư này, các từ ngữ dưới đây được hiểu như sau:
1. Cơ sở chăn nuôi gia súc giống, gia cầm giống, bò sữa là cơ sở chăn nuôi của nhà nước và cơ sở chăn nuôi tập trung để sản xuất con giống, tinh, phôi, trứng giống hoặc khai thác sữa.
2. Kiểm tra định kỳ là sau một khoảng thời gian nhất định thực hiện việc kiểm tra lâm sàng, lấy mẫu xét nghiệm hoặc các biện pháp kiểm tra khác để phát hiện, xác định mầm bệnh hoặc phát hiện kháng thể do nhiễm bệnh tự nhiên đối với các bệnh thuộc diện phải kiểm tra định kỳ.
CHƯƠNG II
QUY ĐỊNH VỀ KIỂM TRA ĐỊNH KỲ
Điều 3. Các bệnh phải kiểm tra định kỳ
1. Bệnh ở trâu, bò: Lở mồm long móng, Sảy thai truyền nhiễm, Lao, Xoắn khuẩn.
2. Bệnh ở lợn: Lở mồm long móng, Dịch tả lợn, Xoắn khuẩn.
3. Bệnh ở dê: Lở mồm long móng, Xoắn khuẩn.
4. Bệnh ở gia cầm: Cúm gia cầm thể độc lực cao.
Điều 4. Nội dung, phương pháp kiểm tra
1. Nội dung kiểm tra: Kiểm tra lâm sàng và kiểm tra phản ứng tiêm nội bì (đối với bệnh Lao) hoặc lấy mẫu để xét nghiệm mầm bệnh hoặc phát hiện kháng thể do nhiễm bệnh tự nhiên.
2. Phương pháp kiểm tra: Kiểm tra lâm sàng được thực hiện dựa trên triệu chứng lâm sàng của từng bệnh. Kiểm tra phản ứng tiêm nội bì và lấy mẫu xét nghiệm được thực hiện theo các tiêu chuẩn, quy chuẩn kỹ thuật hiện hành đối với từng bệnh hoặc theo hướng dẫn của cơ quan quản lý chuyên ngành thú y trung ương.
3. Số lượng gia súc, gia cầm được lựa chọn ngẫu nhiên để lấy mẫu xét nghiệm, kiểm tra phản ứng nội bì theo Phụ lục ban hành kèm theo Thông tư này.
4. Tần suất kiểm tra: Định kỳ 6 tháng kiểm tra một lần. Các cơ sở đã được công nhận hoặc thuộc vùng đã được công nhận an toàn dịch bệnh đối với bệnh thuộc diện phải kiểm tra định kỳ và thời gian công nhận vẫn còn hiệu lực thì không phải thực hiện kiểm tra định kỳ đối với bệnh đó.
5. Mẫu phải được xét nghiệm tại các phòng thử nghiệm nông nghiệp được cơ quan có thẩm quyền chỉ định.
Điều 5. Xử lý kết quả kiểm tra
1. Trường hợp không phát hiện bệnh: Cơ sở được sử dụng kết quả kiểm tra, xét nghiệm để làm thủ tục đăng ký cơ sở an toàn dịch bệnh đối với bệnh được kiểm tra định kỳ.
2. Trường hợp phát hiện bệnh:
a) Thực hiện các biện pháp phòng, chống bệnh theo quy định hiện hành đối với từng bệnh;
b) Đối với các bệnh chưa có quy định biện pháp phòng, chống cụ thể: Thực hiện giám sát, theo dõi và xử lý theo hướng dẫn của cơ quan quản lý chuyên ngành thú y trung ương.
CHƯƠNG III
TỔ CHỨC THỰC HIỆN
Điều 6. Trách nhiệm của các tổ chức, cá nhân
1. Cục Thú y:
a) Xây dựng kế hoạch, thông báo cho cơ sở và tổ chức kiểm tra định kỳ đối với các cơ sở chăn nuôi gia súc, gia cầm giống và bò sữa do Trung ương quản lý hoặc có vốn đầu tư nước ngoài;
b) Giám sát việc kiểm tra định kỳ đối với các cơ sở chăn nuôi gia súc, gia cầm giống trên phạm vi toàn quốc;
c) Hướng dẫn việc kiểm tra, lấy mẫu và xử lý kết quả kiểm tra.
2. Sở Nông nghiệp và Phát triển nông thôn: Chỉ đạo Chi cục Thú y và các đơn vị liên quan: Xây dựng kế hoạch, thông báo cho cơ sở và tổ chức kiểm tra định kỳ đối với các cơ sở chăn nuôi gia súc giống, gia cầm giống, bò sữa do địa phương quản lý.
3. Ủy ban nhân dân các cấp có trách nhiệm chỉ đạo, đôn đốc, kiểm tra việc thực hiện Thông tư này.
4. Chủ cơ sở chăn nuôi gia súc giống, gia cầm giống, bò sữa:
a) Phối hợp với cơ quan thú y thực hiện kiểm tra định kỳ;
b) Chi trả kinh phí kiểm tra, lấy mẫu, gửi mẫu và xét nghiệm mẫu theo quy định tại Thông tư số 04/2012/TT-BTC ngày 05/01/2014 của Bộ Tài chính;
c) Thực hiện các biện pháp phòng, chống bệnh theo quy định và hướng dẫn của cơ quan quản lý chuyên ngành thú y.
5. Các phòng thử nghiệm nông nghiệp được cơ quan có thẩm quyền chỉ định chịu trách nhiệm về kết quả xét nghiệm và trả lời kết quả theo quy định.
Điều 7. Hiệu lực thi hành
1. Thông tư này có hiệu lực thi hành kể từ ngày 18 tháng 01 năm 2015.
2. Trong quá trình thực hiện, nếu có vướng mắc, các tổ chức, cá nhân phản ánh kịp thời về Bộ Nông nghiệp và Phát triển nông thôn để xem xét, giải quyết./.
|
Nơi nhận: - Văn phòng Chính phủ; |
KT. BỘ TRƯỞNG |
PHỤ LỤC
TÍNH SỐ MẪU
(Ban hành kèm theo Thông tư số 44 /2014/TT-BNNPTNT ngày 01 tháng 12 năm 2014 của Bộ Nông nghiệp và Phát triển nông thôn )
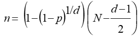
1. Số mẫu được lấy để xét nghiệm hoặc kiểm tra phản ứng tiêm nội bì (đối với bệnh Lao) phải tính dựa trên tỷ lệ hiện mắc dự đoán là 10% theo công thức sau:

n: số mẫu cần lấy
p: xác suất để phát hiện được bệnh (0,95)
d: số con mắc bệnh (d = N x P)
P: tỷ lệ hiện mắc dự đoán
N: tổng đàn
2. Bảng tham khảo tính số mẫu
|
Tổng đàn |
Tỷ lệ hiện mắc dự đoán |
||||||
|
0,1% |
0,5% |
1% |
2% |
5% |
10% |
20% |
|
|
50 |
50 |
50 |
50 |
48 |
35 |
22 |
12 |
|
100 |
100 |
100 |
96 |
78 |
45 |
25 |
13 |
|
200 |
200 |
190 |
155 |
105 |
51 |
27 |
14 |
|
500 |
500 |
349 |
225 |
129 |
56 |
28 |
14 |
|
1000 |
950 |
450 |
258 |
138 |
57 |
29 |
14 |
|
5000 |
2253 |
564 |
290 |
147 |
59 |
29 |
14 |
|
10000 |
2588 |
581 |
294 |
148 |
59 |
29 |
14 |
|
∞ |
2995 |
598 |
299 |
149 |
59 |
29 |
14 |
Bạn chưa Đăng nhập thành viên.
Đây là tiện ích dành cho tài khoản thành viên. Vui lòng Đăng nhập để xem chi tiết. Nếu chưa có tài khoản, vui lòng Đăng ký tại đây!
Bạn chưa Đăng nhập thành viên.
Đây là tiện ích dành cho tài khoản thành viên. Vui lòng Đăng nhập để xem chi tiết. Nếu chưa có tài khoản, vui lòng Đăng ký tại đây!