- Tổng quan
- Nội dung
- VB gốc
- Tiếng Anh
- Hiệu lực
- VB liên quan
- Lược đồ
-
Nội dung hợp nhất
Tính năng này chỉ có tại LuatVietnam.vn. Nội dung hợp nhất tổng hợp lại tất cả các quy định còn hiệu lực của văn bản gốc và các văn bản sửa đổi, bổ sung, đính chính... trên một trang. Việc hợp nhất văn bản gốc và những văn bản, Thông tư, Nghị định hướng dẫn khác không làm thay đổi thứ tự điều khoản, nội dung.
Khách hàng chỉ cần xem Nội dung hợp nhất là có thể nắm bắt toàn bộ quy định hiện hành đang áp dụng, cho dù văn bản gốc đã qua nhiều lần chỉnh sửa, bổ sung.
- Tải về
Quyết định 56/QĐ-BYT 2024 Hướng dẫn phương pháp đo lường hài lòng của người dân đối với dịch vụ y tế công
| Cơ quan ban hành: | Bộ Y tế |
Số công báo:
Số công báo là mã số ấn phẩm được đăng chính thức trên ấn phẩm thông tin của Nhà nước. Mã số này do Chính phủ thống nhất quản lý.
|
Đang cập nhật |
| Số hiệu: | 56/QĐ-BYT | Ngày đăng công báo: | Đang cập nhật |
| Loại văn bản: | Quyết định | Người ký: | Trần Văn Thuấn |
|
Ngày ban hành:
Ngày ban hành là ngày, tháng, năm văn bản được thông qua hoặc ký ban hành.
|
08/01/2024 |
Ngày hết hiệu lực:
Ngày hết hiệu lực là ngày, tháng, năm văn bản chính thức không còn hiệu lực (áp dụng).
|
Đang cập nhật |
|
Áp dụng:
Ngày áp dụng là ngày, tháng, năm văn bản chính thức có hiệu lực (áp dụng).
|
Đã biết
|
Tình trạng hiệu lực:
Cho biết trạng thái hiệu lực của văn bản đang tra cứu: Chưa áp dụng, Còn hiệu lực, Hết hiệu lực, Hết hiệu lực 1 phần; Đã sửa đổi, Đính chính hay Không còn phù hợp,...
|
Đã biết
|
| Lĩnh vực: | Y tế-Sức khỏe |
TÓM TẮT QUYẾT ĐỊNH 56/QĐ-BYT
Ngày 08/01/2024, Bộ Y tế đã ra Quyết định 56/QĐ-BYT ban hành Hướng dẫn về phương pháp đo lường hài lòng của người dân đối với dịch vụ y tế công giai đoạn 2024-2030. Cụ thể như sau:
1. Phấn đấu đến 2025, mức độ hài lòng của người dân đối với dịch vụ y tế công lập đạt tối thiểu 85% và đến 2030 đạt tối thiểu 90%.
2. Đối tượng đo lường bao gồm:
- Đối với dịch vụ khám, chữa bệnh:
- Với người bệnh nội trú: người bệnh (bao gồm sản phụ) thuộc danh sách chuẩn bị xuất viện (trước ngày ra viện 01 ngày hoặc trong ngày xuất viện) hoặc người chăm sóc người bệnh/sản phụ từ 18 tuổi trở lên, đủ điều kiện về sức khỏe để trả lời và đồng ý tham gia;
- Với người bệnh ngoại trú: người bệnh (bao gồm phụ nữ mang thai) từ 18 tuổi trở lên, có đủ điều kiện về sức khỏe để trả lời khảo sát, sau khi đã cơ bản hoàn thành quy trình khám bệnh, đang chờ thanh toán hoặc chờ nhận thuốc hoặc nhận thẻ bảo hiểm y tế đồng ý tham gia.
- Đối với dịch vụ tiêm chủng mở rộng: Phụ nữ mang thai đi tiêm phòng và người đưa trẻ đi tiêm chủng mở rộng đã sử dụng xong dịch vụ và đồng ý tham gia khảo sát.
3. Chỉ số hài lòng của người dân đối với dịch vụ y tế công cần được công bố công khai, kịp thời qua trang thông tin điện tử hoặc tại trụ sở của cơ quan, đơn vị.
Quyết định này có hiệu lực kể từ ngày ký.
Xem chi tiết Quyết định 56/QĐ-BYT có hiệu lực kể từ ngày 08/01/2024
Tải Quyết định 56/QĐ-BYT
|
BỘ Y TẾ |
CỘNG HÒA XÃ HỘI CHỦ NGHĨA VIỆT NAM |
|
Số: 56/QĐ-BYT |
Hà Nội, ngày 08 tháng 01 năm 2024 |
QUYẾT ĐỊNH
Ban hành hướng dẫn về phương pháp đo lường hài lòng của người dân
đối với dịch vụ y tế công giai đoạn 2024-2030
____________
BỘ TRƯỞNG BỘ Y TẾ
Căn cứ Nghị định số 95/2022/NĐ-CP ngày 15/11/2022 của Chính phủ quy định chức năng, nhiệm vụ, quyền hạn và cơ cấu tổ chức của Bộ Y tế;
Căn cứ Nghị quyết số 76/NQ-CP ngày 15/7/2021 của Chính phủ ban hành Chương trình tổng thể cải cách hành chính nhà nước giai đoạn 2021-2030;
Căn cứ Công văn số 3791/VPCP-KSTT ngày 26/5/2023 của Văn phòng Chính phủ thông báo ý kiến chỉ đạo của Phó thủ tướng Chính phủ Trần Hồng Hà về việc giao Bộ trưởng Bộ Y tế tổ chức xây dựng tiêu chí, phương pháp đo lường sự hài lòng của người dân đối với dịch vụ y tế công;
Theo đề nghị của Vụ trưởng Vụ Tổ chức cán bộ.
QUYẾT ĐỊNH:
Điều 1. Ban hành kèm theo Quyết định này hướng dẫn về phương pháp đo lường sự hài lòng của người dân đối với dịch vụ y tế công giai đoạn 2024-2030.
Điều 2. Quyết định này có hiệu lực kể từ ngày ký ban hành.
Bãi bỏ Quyết định số 4448/QĐ-BYT ngày 06/01/2013 của Bộ trưởng Bộ Y tế phê duyệt và ban hành Đề án “Xác định phương pháp đo lường sự hài lòng của người dân đối với dịch vụ y tế công”; mẫu phiếu số 1, mẫu phiếu số 2 tại Quyết định số 3869/QĐ-BYT ngày 28/8/2019 của Bộ trưởng Bộ Y tế về ban hành các mẫu phiếu và hướng dẫn khảo sát hài lòng người bệnh và nhân viên y tế.
Điều 3. Các ông/bà: Chánh Văn phòng Bộ, Vụ trưởng Vụ Tổ chức cán bộ, Cục trưởng Cục Quản lý Khám chữa bệnh, Cục trưởng Cục Y tế dự phòng, Thủ trưởng các đơn vị thuộc và trực thuộc Bộ Y tế; Giám đốc Sở Y tế các tỉnh, thành phố trực thuộc Trung ương và Thủ trưởng các đơn vị có liên quan chịu trách nhiệm thi hành Quyết định này./.
|
Nơi nhận: |
KT. BỘ TRƯỞNG |
HƯỚNG DẪN
Phương pháp đo lường sự hài lòng của người dân
đối với dịch vụ y tế công giai đoạn 2024-2030
(Ban hành kèm theo Quyết định số 56/QĐ-BYT ngày 08/01/2024
của Bộ trưởng Bộ Y tế)
I. MỤC TIÊU, YÊU CẦU, PHẠM VI ĐIỀU CHỈNH
1. Mục tiêu
a) Mục tiêu chung
Tổ chức thực hiện đo lường mức độ hài lòng của người dân đối với dịch vụ y tế công (sau đây gọi tắt là đo lường hài lòng) thường xuyên, nhằm góp phần đánh giá khách quan thực trạng chất lượng dịch vụ y tế công, đồng thời giúp các cơ sở y tế công lập xác định những vấn đề chưa hài lòng của người sử dụng dịch vụ, làm căn cứ xây dựng kế hoạch và triển khai các giải pháp cải tiến chất lượng dịch vụ y tế ngày càng tốt hơn, bảo đảm quyền được bảo vệ, chăm sóc và nâng cao sức khỏe cho mọi người.
b) Mục tiêu cụ thể
- Xây dựng phương pháp, bộ công cụ, cách tiến hành đo lường hài lòng.
- Xác định chỉ số hài lòng của người dân đối với dịch vụ y tế công.
- Công bố chỉ số hài lòng về dịch vụ y tế công hằng năm trên phạm vi toàn quốc và tại các địa phương.
c) Chỉ tiêu thực hiện
- Hằng năm, 100% các cơ quan quản lý ngành y tế công bố tỷ lệ hài lòng của người dân đối với dịch vụ sự nghiệp y tế công.
- Hằng năm, 100% các cơ sở khám chữa bệnh công lập và trạm y tế thực hiện đo lường hài lòng của người dân đối với dịch vụ y tế do đơn vị cung cấp có sử dụng kết quả đo lường triển khai các giải pháp cải tiến chất lượng cung cấp dịch vụ.
- 100% các cơ sở y tế công lập đã thực hiện đo lường hài lòng công khai kết quả trên trang tin điện tử của đơn vị hoặc tại trụ sở đơn vị.
- Đến năm 2025, mức độ hài lòng của người dân đối với dịch vụ y tế công lập đạt tối thiểu 85% và đến năm 2030 đạt tối thiểu 90%.
2. Yêu cầu
a) Phương pháp đo lường bảo đảm tính khoa học, phù hợp với thực tiễn trong nước và tiếp cận với xu hướng trên thế giới, dễ áp dụng, phù hợp với nguồn lực thực hiện của các đơn vị sự nghiệp y tế công lập, hiệu quả, tiết kiệm, tránh lãng phí.
b) Nội dung tiêu chí đo lường hài lòng bao trùm các khía cạnh dịch vụ y tế công, phù hợp với mục tiêu, yêu cầu của cải cách hành chính, quy định của pháp luật hiện hành.
c) Bộ câu hỏi đơn giản, dễ hiểu, dễ trả lời, phù hợp với trình độ dân trí, thuận tiện trong việc áp dụng công nghệ thông tin, có thể đăng tải trên các kênh thông tin.
d) Kết quả đo lường hài lòng bảo đảm độ tin cậy, tính chính xác, phản ánh đúng thực chất, xác định được những vấn đề người dân chưa hài lòng; giúp cơ sở y tế xác định vấn đề tồn tại, hạn chế để triển khai giải pháp cải tiến, nâng cao chất lượng dịch vụ y tế công.
đ) Kết quả đo lường hài lòng được công bố công khai trong và ngoài các đơn vị sự nghiệp y tế công lập.
3. Phạm vi điều chỉnh về dịch vụ y tế công
Tổ chức triển khai đo lường sự hài lòng của người dân đối với dịch vụ khám bệnh, chữa bệnh và dịch vụ tiêm chủng mở rộng tại các cơ sở y tế công lập.
II. PHƯƠNG PHÁP TIẾN HÀNH
2.1. Đối tượng đo lường
a) Đối với dịch vụ khám, chữa bệnh
Với người bệnh nội trú: người bệnh (bao gồm sản phụ) thuộc danh sách chuẩn bị xuất viện (trước ngày ra viện 01 ngày hoặc trong ngày xuất viện) hoặc người chăm sóc người bệnh/sản phụ từ 18 tuổi trở lên, đủ điều kiện về sức khỏe để trả lời và đồng ý tham gia.
Với người bệnh ngoại trú: người bệnh (bao gồm phụ nữ mang thai) từ 18 tuổi trở lên, có đủ điều kiện về sức khỏe để trả lời khảo sát, sau khi đã cơ bản hoàn thành quy trình khám bệnh, đang chờ thanh toán hoặc chờ nhận thuốc hoặc nhận thẻ bảo hiểm y tế đồng ý tham gia.
b) Đối với dịch vụ tiêm chủng mở rộng
Phụ nữ mang thai đi tiêm phòng và người đưa trẻ đi tiêm chủng mở rộng đã sử dụng xong dịch vụ và đồng ý tham gia khảo sát.
2.2. Cỡ mẫu đo lường
- Đối với dịch vụ khám chữa bệnh
Cỡ mẫu phỏng vấn người bệnh nội trú và người bệnh ngoại trú của mỗi cơ sở khám chữa bệnh được xác định theo công thức tính cỡ mẫu một tỷ lệ trong nghiên cứu cắt ngang, có hiệu chỉnh theo quy mô cung cấp dịch vụ/ngày của từng cơ sở và tỷ lệ từ chối trả lời.
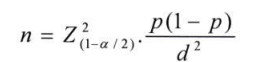
Bước 1: Áp dụng công thức tính cỡ mẫu trong nghiên cứu cắt ngang:

- n: Số người bệnh ngoại trú/nội trú cần khảo sát của mỗi cơ sở chưa hiệu chỉnh theo quy mô/số lượt điều trị nội trú hoặc khám ngoại trú/ngày.
- z: Hệ số tin cậy (với độ tin cậy 95% thì giá trị của z(1-α/2) là 1,96).
- p: Tỷ lệ người bệnh hài lòng về dịch vụ y tế (Tỷ lệ ước tính đạt 85% người dân hài lòng với dịch vụ khám chữa bệnh tại các cơ sở y tế công lập: p=0,85).
- d: Sai số chấp nhận/độ chính xác tuyệt đối mong muốn, d=0,05.
Bước hai: hiệu chỉnh cỡ mẫu (n) theo quy mô/số lượt điều trị nội trú hoặc khám ngoại trú/ngày theo công thức n/(1 + (n - 1)/N).
(trong đó: N là số lượt điều trị nội trú/ngày hoặc số lượt khám ngoại trú/ngày).
Như vậy, ước tính tỷ lệ từ chối trả lời là 10%, cỡ mẫu khảo sát của mỗi đơn vị tương thích với số lượt cung cấp dịch vụ tại thời điểm khảo sát như sau:
|
Số lượt người bệnh nội trú/ngày số người bệnh ngoại trú/ngày của cơ sở y tế |
Cỡ mẫu (nội trú/ngoại trú) cần khảo sát |
|
Dưới 50 |
43 |
|
Từ 50-79 |
44-62 |
|
Từ 80-89 |
63-68 |
|
Từ 90-99 |
69-73 |
|
Từ 100-199 |
74-109 |
|
Từ 200-399 |
110-145 |
|
Từ 400-599 |
146-163 |
|
Từ 600-699 |
164-169 |
|
Từ 700-999 |
170-181 |
|
Từ 1.000-1999 |
182-197 |
|
Từ 2.000-3999 |
198-207 |
|
>=4000 |
>=208 |
- Đối với dịch vụ tiêm chủng mở rộng
Đối với trạm y tế có dưới 50 lượt tiêm/tháng, mỗi lần khảo sát sẽ phỏng vấn toàn bộ số lượt sử dụng dịch vụ cho đến đủ 30 lượt người.
Đối với trạm y tế có từ 50 đến dưới 100 lượt tiêm/tháng, mỗi lần khảo sát sẽ phỏng vấn tối thiểu 30 lượt người.
Đối với trạm y tế có từ 100 đến dưới 300 lượt tiêm/tháng, mỗi lần khảo sát sẽ phỏng vấn tối thiểu 40 lượt người.
Đối với trạm y tế có từ 300 đến dưới 500 lượt tiêm/tháng, mỗi lần khảo sát sẽ phỏng vấn tối thiểu 50 lượt người.
2.3. Cách chọn mẫu
2.3.1. Đối với dịch vụ khám chữa bệnh
a) Phỏng vấn người bệnh nội trú
- Chọn khoa để khảo sát: theo 1 trong 2 cách sau cho mỗi đợt khảo sát:
Cách 1: chọn mẫu ở toàn bộ khoa lâm sàng có giường bệnh (trừ khoa cấp cứu) trong 1 lần đo lường.
Cách 2: chọn mẫu tại một số khoa lâm sàng trong một lần khảo sát, thay đổi sang các khoa lâm sàng khác ở lần khảo sát tiếp theo, bảo đảm mỗi khoa phải được khảo sát ít nhất 01 lần trong năm.
Cỡ mẫu của mỗi khoa được chọn tương thích với tỷ lệ số lượt điều trị nội trú của khoa trong tổng số lượt điều trị nội trú của cơ sở khám chữa bệnh tại thời điểm khảo sát.
- Chọn đối tượng để phỏng vấn:
Chọn ngẫu nhiên người bệnh/người nhà người bệnh trong danh sách người bệnh sắp ra viện tại mỗi khoa để khảo sát theo một trong hai cách sau:
+ Chọn ngẫu nhiên hệ thống: đối với những khoa có danh sách người bệnh sắp ra viện nhiều hơn số người bệnh cần phỏng vấn.
Xác định hệ số k: hệ số k được xác định bằng tổng số người bệnh sắp ra viện chia cho số người bệnh cần phỏng vấn. Sử dụng hệ số k làm bước nhảy để chọn người bệnh/người nhà người bệnh trong danh sách người bệnh sắp ra viện để phỏng vấn. Từ danh sách người bệnh sắp ra viện của đơn vị, người đầu tiên được lựa chọn phỏng vấn (i) được chọn ngẫu nhiên đơn, sau đó sử dụng bước nhảy k để chọn người tiếp theo với công thức: i+1k, i+2k,… i+(n-1)k.
+ Chọn ngẫu nhiên đơn: chọn ngẫu nhiên người bệnh/người nhà người bệnh bất kỳ trong danh sách người bệnh sắp ra viện của khoa đến đủ số mẫu.
b) Phỏng vấn người bệnh ngoại trú: áp dụng 1 trong 2 cách sau đây:
+ Chọn mẫu thuận tiện: chọn người bệnh đang chờ nhận thuốc, thanh toán hoặc chờ nhận thẻ bảo hiểm y tế để phỏng vấn cho đến khi đủ cỡ mẫu.
+ Chọn ngẫu nhiên hệ thống
Xác định hệ số k như trên. Từ danh sách người bệnh ngoại trú của đơn vị, chọn ngẫu nhiên người đầu tiên để phỏng vấn (i); sau đó sử dụng bước nhảy k để chọn người tiếp theo với công thức: i+1k, i+2k,… i+(n-1)k cho đến đủ số lượng.
2.3.2. Đối với dịch vụ tiêm chủng mở rộng
a) Đối với trạm y tế có từ 50 lượt tiêm trở lên trong một tháng:
- Lập danh sách chọn mẫu (khung mẫu) là danh sách lượt trẻ em, phụ nữ mang thai đến tiêm chủng do trạm y tế (hoặc cơ sở tiêm chủng mở rộng khác) quản lý, tính hệ số k rồi chọn ngẫu nhiên hệ thống theo hệ số k.
- Từ danh sách người tiêm chủng của đơn vị, chọn ngẫu nhiên người đầu tiên để phỏng vấn (i). Sau đó sử dụng bước nhảy k để chọn người tiếp theo với công thức: i+1k, i+2k,… i+ (n-1)k. Nếu trong thời điểm khảo sát, người được chọn không đến thì chọn người kế tiếp theo trong khung mẫu để thay thế.
b) Đối với các trạm y tế có số lượt tiêm dưới 50 lượt tiêm/tháng:
Chọn mẫu phỏng vấn là toàn bộ số người sử dụng dịch vụ cho tới khi đủ 30 lượt người. Nếu không đủ 30 lượt người thì phỏng vấn toàn bộ số người sử dụng dịch vụ.
2.4. Tiêu chí để đo lường hài lòng, thời điểm tiến hành
a) Các tiêu chí đo lường sự hài lòng đối với dịch vụ khám chữa bệnh và dịch vụ tiêm chủng mở rộng:
|
TT |
5 nhóm Chỉ số |
Dịch vụ Khám chữa bệnh nội trú |
Dịch vụ Khám chữa bệnh ngoại trú |
Dịch vụ Tiêm chủng mở rộng |
|
1 |
Chỉ số thành phần về tiếp cận |
5 tiêu chí |
5 tiêu chí |
4 tiêu chí |
|
2 |
Chỉ số thành phần về minh bạch thông tin, thủ tục hành chính |
7 tiêu chí |
10 tiêu chí |
8 tiêu chí |
|
3 |
Chỉ số thành phần về cơ sở vật chất, phương tiện phục vụ |
11 tiêu chí |
8 tiêu chí |
12 tiêu chí |
|
4 |
Chỉ số thành phần về thái độ ứng xử, năng lực chuyên môn của nhân viên y tế |
7 tiêu chí |
4 tiêu chí |
5 tiêu chí |
|
5 |
Chỉ số thành phần về kết quả cung cấp dịch vụ |
6 tiêu chí |
4 tiêu chí |
3 tiêu chí |
Các tiêu chí thuộc 5 nhóm chỉ số thành phần chi tiết tại các mẫu phiếu số 1, mẫu phiếu số 2, mẫu phiếu số 3.
b) Thang đo
Mức độ hài lòng của người sử dụng dịch vụ với từng chỉ số thành phần sẽ được đo lường theo thang đo Likert 5 mức, từ mức thấp đến mức cao nhất, cụ thể: (1) hoàn toàn không hài lòng, (2) không hài lòng, (3) bình thường, (4) hài lòng; (5) rất hài lòng.
c) Thời điểm tiến hành
- Đối với cơ sở khám chữa bệnh: thực hiện tự đo lường hài lòng thường quy tối thiểu 1 lần/quý, thực hiện trong khoảng 1-2 tuần.
- Đối với dịch vụ tiêm chủng mở rộng: thực hiện tự khảo sát thường quy 2 lần/năm, cách nhau 6 tháng giữa các lần. Lần đầu tiến hành vào tháng 3 hoặc tháng 4; lần tiếp theo tiến hành vào tháng 9 hoặc tháng 10 trong năm.
- Đối với cơ quan quản lý, tổ chức đo lường độc lập: các đoàn kiểm tra, giám sát có thể đo lường theo định kỳ hoặc đột xuất.
2.5. Nhân lực thực hiện khảo sát
a) Cơ sở y tế tự đo lường hài lòng tiến hành khảo sát, lựa chọn người thực hiện thuộc các nhóm nhân viên y tế sau:
- Cơ sở khám chữa bệnh:
Người thực hiện khảo sát có thể là: (1) nhân viên Phòng Quản lý chất lượng; (2) thành viên mạng lưới quản lý chất lượng; (3) nhân viên Phòng Công tác xã hội, Phòng Tổ chức cán bộ, nhân viên bộ phận chăm sóc khách hàng và nhân viên các phòng chức năng khác; (4) người đo lường chuyên nghiệp; (5) sinh viên các trường đại học, cao đẳng y, dược; (6) tình nguyện viên và các nhân viên khác có kỹ năng đo lường; (7) người bệnh/người chăm sóc người bệnh tự điền phiếu sau khi được hướng dẫn chi tiết.
- Trạm Y tế: người thực hiện khảo có thể là: (1) nhân viên trạm y tế; (2) nhân viên y tế thôn bản; (3) cộng tác viên dân số; (4) tình nguyện viên và các nhân viên khác có kỹ năng đo lường; (5) người sử dụng dịch vụ tiêm chủng tự điền phiếu sau khi được hướng dẫn chi tiết.
b) Tổ chức, đơn vị được giao tiến hành đo lường hài lòng độc lập.
c) Nhân lực thực hiện đo lường hài lòng cần được tập huấn nghiệp vụ.
2.6. Các hình thức đo lường
a) Cơ quan quản lý, cơ sở y tế có thể lựa chọn một hoặc nhiều phương thức để tiến hành tự đo lường hài lòng theo các hình thức sau:
- Phỏng vấn trực tiếp người sử dụng dịch vụ y tế (hoặc người chăm sóc người bệnh) tại cơ sở y tế trước khi kết thúc sử dụng dịch vụ tại cơ sở y tế.
- Phát phiếu cho người sử dụng dịch vụ y tế/người chăm sóc để tự điền.
- Hướng dẫn cho người sử dụng dịch vụ y tế/người chăm sóc để tự trả lời phiếu phỏng vấn trên các phương tiện công nghệ như điện thoại, máy tính bảng, máy tính để bàn, màn hình cảm ứng, ki-ốt khảo sát…được đăng tải trên trang thông tin điện tử (nếu có).
b) Đo lường hài lòng độc lập: cơ quan, tổ chức được cơ quan có thẩm quyền yêu cầu hoặc đề nghị tiến hành khảo sát, đo lường độc lập.
2.7. Mẫu phiếu
- Các cơ sở y tế áp dụng các mẫu phiếu thống nhất chung trên phạm vi toàn quốc: mẫu phiếu đối với dịch vụ khám chữa bệnh gồm 2 loại tương ứng 2 nhóm người bệnh: nội trú (mẫu phiếu số 1) và ngoại trú (mẫu phiếu số 2); mẫu phiếu đối với dụng dịch vụ tiêm chủng mở rộng (mẫu phiếu số 3).
- Phiếu khảo sát gồm nội dung thông tin chung về người trả lời và mức độ hài lòng theo 5 nhóm chỉ số thành phần.
- Phiếu khảo sát sau khi thu thập cần được làm sạch, nhập dữ liệu, tổng hợp và phân tích dữ liệu theo phần mềm thống kê phù hợp với yêu cầu, điều kiện của từng đơn vị (mức 0 là không sử dụng).
III. CÁCH XÁC ĐỊNH CHỈ SỐ VÀ CÔNG BỐ CHỈ SỐ HÀI LÒNG
1. Cách xác định chỉ số hài lòng
a) Chỉ số hài lòng ở cơ sở y tế
Cơ sở y tế công lập xác định chỉ số hài lòng theo thành phần và chỉ số hài lòng chung của đơn vị như sau:
- Xác định chỉ số thành phần
Xác định chỉ số hài lòng theo từng thành phần (A) được xác định bằng tổng số câu trả lời ở mức độ hài lòng và rất hài lòng theo từng thành phần chia cho tổng số người được khảo sát, phỏng vấn nhân với 100 (không bao gồm các trường hợp chọn phương án trả lời là: không sử dụng dịch vụ hoặc không có ý kiến):

Trong đó An là:
A1: Chỉ số thành phần về tiếp cận
A2: Chỉ số thành phần về minh bạch thông tin, thủ tục hành chính
A3: Chỉ số thành phần về cơ sở vật chất, trang thiết bị
A4: Chỉ số thành phần về nhân viên y tế
A5: Chỉ số thành phần về kết quả cung cấp dịch vụ
N: là tổng số người được khảo sát (không bao gồm các trường hợp chọn phương án trả lời: không sử dụng dịch vụ): N = n1+n2+n3+nn.
n: là số câu trả lời rất hài lòng và hài lòng (n1, n2, …n).
- Xác định chỉ số hài lòng chung (bao gồm nội trú và ngoại trú)
Cách thứ nhất: chỉ số hài lòng dịch vụ khám chữa bệnh/tiêm chủng là trung bình cộng của các chỉ số hài lòng theo thành phần của các đợt khảo sát.

Cách thứ hai: chỉ số hài lòng dịch vụ khám chữa bệnh/tiêm chủng được xác định bằng tổng số câu trả lời ở mức độ hài lòng và mức độ rất hài lòng chia cho tổng số người được hỏi (không bao gồm những người “không có ý kiến”) nhân với 100 của tất cả các đợt khảo sát trong năm.

- Ghi chú:
+ Các cơ sở y tế có thể xác định chỉ số hài lòng theo từng tiêu chí thuộc từng nhóm thành phần ở mỗi loại dịch vụ tiến hành đo lường.
+ Cơ sở cung cấp dịch vụ khám chữa bệnh có thể xác định chỉ số hài lòng đối với dịch vụ khám chữa bệnh riêng biệt ngoại trú và nội trú.
b) Chỉ số hài lòng ở cấp tỉnh
- Chỉ số hài lòng dịch vụ khám chữa bệnh cấp tỉnh (bao gồm nội trú và ngoại trú): là trị số trung bình cộng của chỉ số hài lòng trong các cơ sở khám chữa bệnh công lập trên địa bàn tỉnh, thành phố đã thực hiện đo lường.
- Chỉ số hài lòng dịch vụ tiêm chủng mở rộng là trị số trung bình cộng của chỉ số hài lòng đối với dịch vụ tiêm chủng mở rộng của tất cả các trạm y tế trên địa bàn tỉnh, thành phố đã thực hiện đo lường.
c) Chỉ số hài lòng ở phạm vi cả nước
- Chỉ số hài lòng của người dân đối với dịch vụ khám chữa bệnh là trị số trung bình các chỉ số hài lòng đối với dịch vụ khám chữa bệnh của các đơn vị y tế công lập được khảo sát trên toàn quốc; hoặc được tính theo cách: là trị số trung bình của chỉ số hài lòng đối với dịch vụ khám chữa bệnh cấp của các tỉnh, thành phố trực thuộc trung ương và chỉ số hài lòng đối với dịch vụ khám chữa bệnh tại các bệnh viện trực thuộc Bộ Y tế.
- Chỉ số hài lòng đối với dịch vụ tiêm chủng mở rộng là trị số trung bình của chỉ số hài lòng đối với dịch vụ tiêm chủng mở rộng của tất cả các trạm y tế trên toàn quốc; hoặc được tính theo cách: là trung bình của chỉ số hài lòng đối với dịch vụ tiêm chủng mở rộng của các tỉnh, thành phố trực thuộc trung ương.
d. Cách xác định một số chỉ tiêu đánh giá
- Tỷ lệ cơ sở khám chữa bệnh công lập thực hiện đo lường hài lòng đối với dịch vụ khám chữa bệnh là tổng số cơ sở khám chữa bệnh công lập thực hiện đo lường chia cho tổng số cơ sở khám chữa bệnh trên địa bàn tỉnh, thành phố nhân với 100.
- Tỷ lệ trạm y tế thực hiện đo lường đối với dịch vụ tiêm chủng mở rộng: là tổng số trạm y tế thực hiện đo lường chia cho tổng số trạm y tế trên địa bàn huyện/tỉnh/thành phố trực thuộc Trung ương nhân với 100.
- Tỷ lệ cơ sở y tế công áp dụng kết quả đo lường là tổng số cơ sở có giải pháp nhằm cải thiện dịch vụ chia cho tổng số cơ sở y tế công có thực hiện đo lường hài lòng nhân với 100.
2. Công bố kết quả đo lường hài lòng
Chỉ số hài lòng của người dân đối với dịch vụ y tế công cần được công bố công khai, kịp thời qua trang thông tin điện tử hoặc tại trụ sở của cơ quan, đơn vị.
a) Các cơ sở y tế công lập
Các cơ sở y tế công lập tiến hành tự công bố chỉ số hài lòng của người dân đối với dịch vụ do đơn vị cung cấp theo đợt khảo sát và định kỳ hằng năm.
b) Sở Y tế các tỉnh/thành phố trực thuộc trung ương
- Sở Y tế các tỉnh, thành phố trực thuộc trung ương công bố chỉ số hài lòng của người dân đối với dịch vụ y tế công của địa phương.
- Một số tỷ lệ theo chỉ tiêu tại Quyết định này.
c) Bộ Y tế công bố chỉ số hài lòng của người dân đối với dịch vụ y tế công phạm vi cả nước, gồm những chỉ số sau:
- Chỉ số hài lòng của người dân đối với dịch vụ khám chữa bệnh tại cơ sở khám chữa bệnh trực thuộc Bộ Y tế.
- Chỉ số hài lòng của người dân đối với dịch vụ khám chữa bệnh tại cơ sở khám chữa bệnh trên toàn quốc và của các địa phương.
- Chỉ số hài lòng của người dân đối với dịch vụ tiêm chủng mở rộng trên toàn quốc và của các địa phương.
- Một số tỷ lệ theo chỉ tiêu tại Quyết định này.
IV. TRÁCH NHIỆM THỰC HIỆN
1. Bộ Y tế
a) Cục Quản lý Khám, chữa bệnh
- Chỉ đạo, hướng dẫn địa phương, đơn vị triển khai xác định chỉ số hài lòng của người dân đối với dịch vụ khám chữa bệnh.
- Đầu mối rà soát, hoàn thiện, cập nhật, xem xét mở rộng phạm vi dịch vụ khám chữa bệnh tiến hành đo lường sự hài lòng của người dân.
- Ứng dụng công nghệ thông tin trong triển khai khảo sát, đo lường sự hài lòng theo hình thức trực tuyến đảm bảo tính hiệu quả.
- Tổng hợp, báo cáo về chỉ số hài lòng của địa phương, đơn vị theo lĩnh vực quản lý.
- Phối hợp triển khai việc kiểm tra, giám sát các tổ chức, đơn vị trong tổ chức triển khai đo lường sự hài lòng của người dân đối với dịch vụ y tế công theo phạm vi trách nhiệm của đơn vị.
b) Cục Y tế dự phòng
- Chỉ đạo, hướng dẫn địa phương, đơn vị triển khai xác định chỉ số hài lòng của người dân đối với dịch vụ tiêm chủng mở rộng.
- Đầu mối rà soát, hoàn thiện, cập nhật, xem xét mở rộng phạm vi dịch vụ y tế dự phòng tiến hành đo lường sự hài lòng của người dân.
- Ứng dụng công nghệ thông tin trong triển khai khảo sát, đo lường sự hài lòng theo hình thức trực tuyến đảm bảo tính hiệu quả.
- Tổng hợp, báo cáo về chỉ số hài lòng của địa phương, đơn vị theo lĩnh vực quản lý.
- Phối hợp triển khai việc kiểm tra, giám sát các tổ chức, đơn vị trong tổ chức triển khai đo lường sự hài lòng của người dân đối với dịch vụ y tế công theo phạm vi trách nhiệm của đơn vị.
c) Vụ Tổ chức cán bộ
- Đầu mối tổng hợp về đề xuất mở rộng phạm vi dịch vụ y tế công để đo lường sự hài lòng của người dân; rà soát, hoàn thiện, tiếp nhận thông tin để báo cáo lãnh đạo Bộ để điều chỉnh, cập nhật phương pháp và cách xác định chỉ số hài lòng cho kịp thời.
- Phối hợp với Cục Quản lý Khám chữa bệnh và Cục Y tế dự phòng, Viện Chiến lược và Chính sách Y tế tổ chức hướng dẫn, đôn đốc các tổ chức, đơn vị triển khai đo lường sự hài lòng của người dân đối với dịch vụ y tế công.
- Tổ chức kiểm tra, giám sát việc triển khai đo lường sự hài lòng của người dân đối với dịch vụ y tế công của các tổ chức, đơn vị.
- Đầu mối công bố chỉ số hài lòng hằng năm về sự hài lòng của người dân đối với các dịch vụ y tế công trong toàn ngành.
- Ứng dụng công nghệ thông tin trong quản lý theo dõi, công bố về chỉ số hài lòng của người dân đối với dịch vụ y tế công của các đơn vị, địa phương.
- Đầu mối tổng kết, hoàn thiện bổ sung phương pháp và cách xác định chỉ số hài lòng trình cấp có thẩm quyền phê duyệt.
d) Vụ Kế hoạch - Tài chính:
- Bố trí kinh phí bảo đảm cho hoạt động hằng năm trong việc tổng hợp và công bố chỉ số hài lòng của toàn ngành; kiểm tra, giám sát việc thực hiện của các tổ chức, cơ quan, đơn vị và thực hiện đo lường độc lập theo yêu cầu.
- Phối hợp với các Vụ/Cục và đơn vị có liên quan hướng dẫn lập kế hoạch và xây dựng dự toán kinh phí cho việc tổng hợp chỉ số hài lòng của toàn ngành và triển khai đo lường sự hài lòng của người dân đối với dịch vụ y tế công.
e) Các Vụ/Cục/Văn phòng Bộ/Thanh tra Bộ:
- Tuyên truyền, hướng dẫn triển khai đo lường sự hài lòng của người dân đối với dịch vụ y tế công theo hướng dẫn của Bộ Y tế.
- Nghiên cứu, đề xuất dịch vụ y tế công theo phạm vi chức năng nhiệm vụ để bổ sung phạm vi đối tượng tiến hành đo lường sự hài lòng của người dân.
f) Các cơ sở y tế công lập; bệnh viện, viện trực thuộc Bộ Y tế
- Hằng năm, xây dựng kế hoạch và triển khai đo lường sự hài lòng của người dân đối với dịch vụ y tế công trong phạm vi dịch vụ y tế công tại Quyết định này, báo cáo về Sở Y tế, Bộ Y tế.
- Huy động nguồn lực để triển khai thực hiện có hiệu quả, không lãng phí nguồn lực.
- Hàng năm, công bố chỉ số hài lòng của người dân đối với dịch vụ y tế do đơn vị cung cấp; áp dụng giải pháp cải thiện chỉ số hài lòng của người dân của đơn vị và báo cáo về Sở Y tế, Bộ Y tế trước ngày 10/11.
g) Viện Chiến lược và Chính sách y tế
- Phối hợp với các đơn vị liên quan, hướng dẫn, tập huấn nghiệp vụ cho nhân lực thực hiện khảo sát.
- Phối hợp tổng hợp, xây dựng báo cáo của Bộ Y tế về chỉ số hài lòng của người dân đối với dịch vụ y tế công.
- Đầu mối thực hiện đánh giá độc lập, nghiên cứu đề xuất cập nhật, bổ sung hoàn thiện phương pháp, mở rộng phạm vi các dịch vụ y tế công được khảo sát đo lường sự hài lòng của người dân.
2. Đối với y tế các bộ, ngành, địa phương
a) Sở Y tế các tỉnh, thành phố trực thuộc trung ương
Tham mưu Ủy ban nhân dân các tỉnh, thành phố trực thuộc trung ương, chỉ đạo, thực hiện:
- Tổ chức triển khai đo lường sự hài lòng của người dân và công bố chỉ số hài lòng của người dân đối với dịch vụ y tế công thuộc phạm vi quản lý của địa phương.
- Chỉ đạo, hướng dẫn các cơ sở y tế công lập thuộc và trực thuộc sử dụng kết quả đo lường sự hài lòng để cải thiện chất lượng dịch vụ y tế công, nâng cao sự hài lòng của người dân.
- Hằng năm, tổng hợp, báo cáo về kế hoạch, kết quả triển khai đo lường sự hài lòng của người dân đối với dịch vụ y tế công trong phạm vi địa phương gửi về Bộ Y tế trước ngày 15/11.
b) Y tế các Bộ, Ngành khác và cơ sở y tế tư nhân
Khuyến khích cơ sở y tế các bộ, ngành và cơ sở y tế tư nhân triển khai và công bố chỉ số hài lòng của người dân đối với dịch vụ y tế trong phạm vi trách nhiệm của đơn vị, có báo cáo gửi về Bộ Y tế trước ngày 15/11 hằng năm.
V. KINH PHÍ THỰC HIỆN
Kinh phí thực hiện được bảo đảm từ nguồn ngân sách nhà nước, nguồn tài trợ và các nguồn kinh phí hợp pháp khác theo quy định của pháp luật.
|
BỘ Y TẾ MẪU SỐ 1 |
Mã BV |
Mã BV |
Mã BV |
Mã BV |
Mã BV |
|
Mã đợt KS |
Mã phiếu |
Mã phiếu |
Mã phiếu |
Mã phiếu |
PHIẾU KHẢO SÁT SỰ HÀI LÒNG NGƯỜI BỆNH NỘI TRÚ
Nhằm nâng cao chất lượng khám, chữa bệnh, hướng tới sự hài lòng người bệnh, chúng tôi tiến hành khảo sát về mức độ hài lòng của Ông/Bà. Ý kiến của Ông/Bà sẽ giúp bệnh viện từng bước cải tiến chất lượng. Các thông tin sẽ được bảo mật và không ảnh hưởng đến việc điều trị của Ông/Bà. Xin trân trọng cảm ơn!
1. Tên, mã bệnh viện: ……………………………………….2. Ngày điền phiếu ……………………
3. Người phỏng vấn/điền phiếu: a. Người bệnh tự điền (hoặc người nhà)
b. Nhân viên của bệnh viện
c. Bộ Y tế, Sở Y tế hoặc các đoàn giám sát của cơ quan quản lý
d. Tổ chức độc lập
e. Đối tượng khác, ghi rõ...
4. Người trả lời là: a. Người bệnh b. Người nhà
5. Tên khoa nằm điều trị trước ra viện …………………………..6. Mã khoa (do BV ghi)…………..
THÔNG TIN NGƯỜI BỆNH
|
A1. Giới tính: 1. Nam 2. Nữ 3. Khác |
A2. a. Tuổi ……..b. Hoặc năm sinh…….. |
|
A3. Số di động liên hệ: |
A4. Số ngày đã nằm viện.. (ghi số ngày) |
|
A5. Ông/Bà có sử dụng thẻ BHYT cho lần điều trị này không? 1. Có 2. Không |
|
|
A6. Nơi sinh sống hiện nay: 1. Thành thị 2. Nông thôn 3. Vùng sâu, xa khó khăn |
|
|
A7. Phân loại mức sống của gia đình: 1. Nghèo 2. Cận nghèo 3. Khác |
|
|
A8 Đây là lần điều trị thứ mấy của Ông/Bà tại bệnh viện? Lần thứ ………..(ghi ……. số 1, 2….) |
|
ĐÁNH GIÁ VIỆC SỬ DỤNG DỊCH VỤ Y TẾ
Ông/Bà đánh dấu gạch chéo vào một số từ 1 đến 5, tương ứng với mức độ hài lòng hoặc nhận xét từ rất kém đến rất tốt cho từng câu hỏi dưới đây. Nếu không sử dụng dịch vụ hoặc không có ý kiến thì đánh dấu gạch chéo vào số 0.
|
① là: Rất không hài lòng hoặc: Rất kém |
② là: Không hài lòng hoặc: Kém |
③ là: Bình thường hoặc: Trung bình |
④ là: Hài lòng hoặc: Tốt |
⑤ là: Rất hài lòng hoặc: Rất tốt |
⓪ là: Không sử dụng |
|
A. Khả năng tiếp cận |
||||
|
A1. |
Các sơ đồ, biển báo chỉ dẫn đường đến các khoa, phòng và thông báo giờ khám, chữa bệnh, giờ vào thăm rõ ràng, dễ hiểu. |
①②③④⑤⓪ |
||
|
A2. |
Các tòa nhà, cầu thang bộ, thang máy, buồng bệnh được đánh số và hướng dẫn rõ ràng, dễ tìm. |
①②③④⑤⓪ |
||
|
A3. |
Các lối đi trong bệnh viện, hành lang bằng phẳng, an toàn, dễ đi. |
①②③④⑤⓪ |
||
|
A4. |
Thời gian chờ đợi thang máy, làm thủ tục và chờ đợi trong quá trình khám, chữa bệnh chấp nhận được. |
①②③④⑤⓪ |
||
|
A5. |
Người bệnh hỏi và gọi được nhân viên y tế khi cần thiết. |
①②③④⑤⓪ |
||
|
B. Sự minh bạch thông tin và thủ tục khám bệnh, điều trị |
||||
|
B1. |
Quy trình, thủ tục hành chính (nhập, xuất viện, chuyển viện, chuyển khoa.) rõ ràng, công khai, thuận tiện. |
①②③④⑤⓪ |
||
|
B2. |
Giá dịch vụ y tế được niêm yết, thông báo công khai ở vị trí dễ quan sát, dễ đọc, dễ hiểu và được tư vấn, giải thích các chi phí cao nếu có. |
①②③④⑤⓪ |
||
|
B3. |
Quy trình, thời gian làm thủ tục thanh toán viện phí khi ra viện rõ ràng, công khai, thuận tiện. |
①②③④⑤⓪ |
||
|
B4. |
Được phổ biến về nội quy và những thông tin cần thiết khi nằm viện rõ ràng, đầy đủ. |
①②③④⑤⓪ |
||
|
B5. |
Được giải thích về tình trạng bệnh, phương pháp và thời gian dự kiến điều trị rõ ràng, đầy đủ. |
①②③④⑤⓪ |
||
|
B6. |
Được giải thích, tư vấn trước khi yêu cầu làm các xét nghiệm, thăm dò, kỹ thuật cao rõ ràng, đầy đủ. |
①②③④⑤⓪ |
||
|
B7. |
Được công khai và cập nhật thông tin về dùng thuốc và chi phí điều trị. |
①②③④⑤⓪ |
||
|
C. Cơ sở vật chất và phương tiện phục vụ người bệnh |
||||
|
C1. |
Buồng bệnh khang trang, sạch sẽ, có đầy đủ các thiết bị điều chỉnh nhiệt độ phù hợp như quạt, máy sưởi, hoặc điều hòa. |
①②③④⑤⓪ |
||
|
C2. |
Buồng bệnh yên tĩnh, bảo đảm an toàn, an ninh, trật tự, phòng ngừa trộm cắp, yên tâm khi nằm viện. |
①②③④⑤⓪ |
||
|
C3. |
Giường bệnh, ga, gối đầy đủ cho mỗi người một giường, chắc chắn, sử dụng tốt. |
①②③④⑤⓪ |
||
|
C4. |
Được cung cấp quần áo đầy đủ, sạch sẽ. |
①②③④⑤⓪ |
||
|
C5. |
Nhà vệ sinh, nhà tắm thuận tiện, sạch sẽ, sử dụng tốt. |
①②③④⑤⓪ |
||
|
C6. |
Được cung cấp đầy đủ nước uống nóng, lạnh ngay tại khoa điều trị. |
①②③④⑤⓪ |
||
|
C7. |
Người bệnh và người nhà người bệnh truy cập được mạng internet không dây (wifi) ngay tại buồng bệnh. |
①②③④⑤⓪ |
||
|
C8. |
Được bảo đảm sự riêng tư khi nằm viện như thay quần áo, khám bệnh, đi vệ sinh tại giường. có rèm che, vách ngăn hoặc nằm riêng. |
①②③④⑤⓪ |
||
|
C9. |
Căng-tin bệnh viện phục vụ ăn uống và nhu cầu sinh hoạt thiết yếu đầy đủ và chất lượng. |
①②③④⑤⓪ |
||
|
C10. |
Môi trường trong khuôn viên bệnh viện xanh, sạch, đẹp. |
①②③④⑤⓪ |
||
|
C11. |
Được cung cấp phương tiện vận chuyển nội viện như xe lăn, cáng, xe điện đầy đủ, kịp thời, sử dụng tốt khi có nhu cầu. |
①②③④⑤⓪ |
||
|
D. Thái độ ứng xử, năng lực chuyên môn của nhân viên y tế |
||||
|
D1. |
Bác sỹ, điều dưỡng có lời nói, thái độ, giao tiếp đúng mực. |
①②③④⑤⓪ |
||
|
D2. |
Nhân viên phục vụ (hộ lý, bảo vệ, kế toán.) có lời nói, thái độ, giao tiếp đúng mực. |
①②③④⑤⓪ |
||
|
D3. |
Được nhân viên y tế tôn trọng, đối xử công bằng, quan tâm, giúp đỡ. |
①②③④⑤⓪ |
||
|
D4. |
Bác sỹ, điều dưỡng hợp tác tốt và xử lý công việc thành thạo, kịp thời. |
①②③④⑤⓪ |
||
|
D5. |
Được bác sỹ thăm khám, động viên tại phòng điều trị. |
①②③④⑤⓪ |
||
|
D6. |
Được tư vấn chế độ ăn, vận động, theo dõi và phòng ngừa biến chứng. |
①②③④⑤⓪ |
||
|
D7. |
Không bị nhân viên y tế gợi ý bồi dưỡng. |
①②③④⑤⓪ |
||
|
E. Kết quả cung cấp dịch vụ |
||||
|
E1. |
Thời gian chờ đợi khi khám, chữa bệnh tại bệnh viện. |
①②③④⑤⓪ |
||
|
E2. |
Được cấp phát cho dùng 'thuốc đúng giờ, hướng dẫn sử dụng thuốc đầy đủ và các tác dụng phụ nếu có. |
①②③④⑤⓪ |
||
|
E3. |
Được nhắc lịch tái khám và hướng dẫn thực hành ăn uống, luyện tập, chăm sóc tại nhà trước khi ra viện. |
①②③④⑤⓪ |
||
|
E4. |
Trang thiết bị, vật tư y tế đầy đủ, hiện đại, đáp ứng nhu cầu khám chữa bệnh. |
①②③④⑤⓪ |
||
|
E5. |
Kết quả điều trị đáp ứng được nguyện vọng. |
①②③④⑤⓪ |
||
|
E6. |
Ông/Bà đánh giá mức độ tin tưởng về chất lượng dịch vụ y tế. |
①②③④⑤⓪ |
||
|
E7. |
Ông/Bà cho nhận xét về số tiền chi trả có tương xứng với chất lượng dịch vụ y tế không? |
1. Rất đắt so với chất lượng 2. Đắt hơn so với chất lượng 3. Tương xứng so với chất lượng 4. Rẻ hơn so với chất lượng 5. Không tự chi trả nên không biết (do BHYT hoặc người khác thanh toán) 6. Ý kiến khác, ghi rõ…………… |
||
|
G |
Thông tin bổ sung |
|||
|
G1 |
Đánh giá chung, bệnh viện đã đáp ứng được bao nhiêu % so với mong đợi của Ông/Bà trước khi nằm viện? (điền số từ 0% đến 100% hoặc có thể điền trên 100% nếu bệnh viện điều trị tốt, vượt quá mong đợi của Ông/Bà) |
……………% |
||
|
G2 |
Nếu có nhu cầu khám, chữa bệnh, Ông/Bà có quay trở lại hoặc giới thiệu cho người khác đến không? |
1. Chắc chắn không bao giờ quay lại 2. Không muốn quay lại nhưng có ít lựa chọn khác 3. Muốn chuyển sang bệnh viện khác 4. Có thể sẽ quay lại 5. Chắc chắn sẽ quay lại hoặc giới thiệu cho người khác 6. Khác (ghi rõ) ……………………….. |
||
|
G3 |
Đối với các câu hỏi có ý kiến chưa hài lòng, đề nghị Ông/Bà ghi rõ thêm lý do tại sao không hài lòng? |
|
||
|
G4 |
Ông/Bà có ý kiến hoặc nhận xét gì khác giúp bệnh viện và hệ thống khám, chữa bệnh phục vụ người bệnh được tốt hơn, xin ghi rõ? |
|
||
Xin trân trọng cảm ơn ông/bà!
|
BỘ Y TẾ MẪU SỐ 2 |
Mã BV |
Mã BV |
Mã BV |
Mã BV |
Mã BV |
|
Mã đợt KS |
Mã phiếu |
Mã phiếu |
Mã phiếu |
Mã phiếu |
PHIẾU KHẢO SÁT Ý KIẾN NGƯỜI BỆNH NGOẠI TRÚ
Nhằm nâng cao chất lượng khám, chữa bệnh, hướng tới sự hài lòng người bệnh, chúng tôi tiến hành khảo sát về mức độ hài lòng của Ông/Bà. Ý kiến của Ông/Bà sẽ giúp bệnh viện từng bước cải tiến chất lượng. Các thông tin sẽ được bảo mật và không ảnh hưởng đến việc điều trị của Ông/Bà. Xin trân trọng cảm ơn!
1. Tên, mã bệnh viện: ………………………………….2. Ngày điền phiếu………………
3. Người phỏng vấn/điền phiếu: a. Người bệnh tự điền (hoặc người nhà)
b. Nhân viên của bệnh viện
c. Bộ Y tế, Sở Y tế hoặc các đoàn giám sát của cơ quan quản lý
d. Tổ chức độc lập
e. Đối tượng khác, ghi rõ...
4. Người trả lời là: a. Người bệnh b. Người nhà
THÔNG TIN NGƯỜI BỆNH
|
A1. Giới tính: 1. Nam 2. Nữ 3. Khác |
A2. a. Tuổi ……. b. Hoặc năm sinh…….. |
|
A3. Số di động liên hệ: |
A4. Ước tính khoảng cách từ nơi sinh sống đến bệnh viện: ………..km |
|
A5. Ông/Bà có sử dụng thẻ BHYT cho lần điều trị này không? 1. Có 2. Không |
|
|
A6. Nơi sinh sống hiện nay: 1. Thành thị 2. Nông thôn 3. Vùng sâu, xa khó khăn |
|
|
A7. Phân loại mức sống của gia đình: 1. Nghèo 2. Cận nghèo 3. Khác |
|
|
A8. Đây là lần điều trị thứ mấy của Ông/Bà tại bệnh viện? Lần thứ ………..(ghi ……. số 1, 2….) |
|
ĐÁNH GIÁ VIỆC SỬ DỤNG DỊCH VỤ Y TẾ
Ông/Bà đánh dấu gạch chéo vào một số từ 1 đến 5, tương ứng với mức độ hài lòng hoặc nhận xét từ rất kém đến rất tốt cho từng câu hỏi dưới đây. Nếu không sử dụng dịch vụ hoặc không có ý kiến thì đánh dấu gạch chéo vào số 0.
|
① là: Rất không hài lòng hoặc: Rất kém |
② là: Không hài lòng hoặc: Kém |
③ là: Bình thường hoặc: Trung bình |
④ là: Hài lòng hoặc: Tốt |
⑤ là: Rất hài lòng hoặc: Rất tốt |
⓪ là: Không sử dụng |
|
A. Khả năng tiếp cận |
|||
|
A1. |
Các biển báo, chỉ dẫn đường đến bệnh viện rõ ràng, dễ nhìn, dễ tìm. |
①②③④⑤⓪ |
|
|
A2. |
Các sơ đồ, biển báo chỉ dẫn đường đến các khoa, phòng trong bệnh viện rõ ràng, dễ hiểu, dễ tìm. |
①②③④⑤⓪ |
|
|
A3. |
Các khối nhà, cầu thang được đánh số rõ ràng, dễ tìm. |
①②③④⑤⓪ |
|
|
A4. |
Các lối đi trong bệnh viện, hành lang bằng phẳng, dễ đi. |
①②③④⑤⓪ |
|
|
A5. |
Có thể tìm hiểu các thông tin và đăng ký khám qua điện thoại, trang tin điện tử của bệnh viện (website) thuận tiện. |
①②③④⑤⓪ |
|
|
B. Sự minh bạch thông tin và thủ tục khám bệnh, điều trị |
|||
|
B1. |
Quy trình khám bệnh được niêm yết rõ ràng, công khai, dễ hiểu. |
①②③④⑤⓪ |
|
|
B2. |
Các quy trình, thủ tục khám bệnh đơn giản, thuận tiện. |
①②③④⑤⓪ |
|
|
B3. |
Giá dịch vụ y tế niêm yết rõ ràng, công khai. |
①②③④⑤⓪ |
|
|
B4. |
Nhân viên y tế tiếp đón, hướng dẫn người bệnh làm các thủ tục niềm nở, tận tình. |
①②③④⑤⓪ |
|
|
B5. |
Được xếp hàng theo thứ tự trước sau khi làm các thủ tục đăng ký, nộp tiền, khám bệnh, xét nghiệm, chiếu chụp. |
①②③④⑤⓪ |
|
|
B6. |
Đánh giá thời gian chờ đợi làm thủ tục đăng ký khám. |
①②③④⑤⓪ |
|
|
B7. |
Đánh giá thời gian chờ tới lượt bác sỹ khám. |
①②③④⑤⓪ |
|
|
B8. |
Đánh giá thời gian được bác sỹ khám và tư vấn. |
①②③④⑤⓪ |
|
|
B9. |
Đánh giá thời gian chờ làm xét nghiệm, chiếu chụp. |
①②③④⑤⓪ |
|
|
B10. |
Đánh giá thời gian chờ nhận kết quả xét nghiệm, chiếu chụp. |
①②③④⑤⓪ |
|
|
C. Cơ sở vật chất và phương tiện phục vụ người bệnh |
|||
|
C1. |
Có phòng/sảnh chờ khám sạch sẽ, thoáng mát vào mùa hè; kín gió và ấm áp vào mùa đông. |
①②③④⑤⓪ |
|
|
C2. |
Phòng chờ có đủ ghế ngồi cho người bệnh và sử dụng tốt. |
①②③④⑤⓪ |
|
|
C3. |
Phòng chờ có quạt (điều hòa) đầy đủ, hoạt động thường xuyên. |
①②③④⑤⓪ |
|
|
C4. |
Phòng chờ có các phương tiện giúp người bệnh có tâm lý thoải mái như ti-vi, tranh ảnh, tờ rơi, nước uống... |
①②③④⑤⓪ |
|
|
C5. |
Được bảo đảm sự riêng tư khi khám bệnh, chiếu chụp, làm thủ thuật. |
①②③④⑤⓪ |
|
|
C6. |
Nhà vệ sinh thuận tiện, sử dụng tốt, sạch sẽ. |
①②③④⑤⓪ |
|
|
C7. |
Môi trường trong khuôn viên bệnh viện xanh, sạch, đẹp. |
①②③④⑤⓪ |
|
|
C8. |
Khu khám bệnh bảo đảm an ninh, trật tự, phòng ngừa trộm cắp cho người dân. |
①②③④⑤⓪ |
|
|
D. Thái độ ứng xử, năng lực chuyên môn của nhân viên y tế |
|||
|
D1. |
Nhân viên y tế (bác sỹ, điều dưỡng) có lời nói, thái độ, giao tiếp đúng mực. |
①②③④⑤⓪ |
|
|
D2. |
Nhân viên phục vụ (hộ lý, bảo vệ, kế toán...) có lời nói, thái độ, giao tiếp đúng mực. |
①②③④⑤⓪ |
|
|
D3. |
Được nhân viên y tế tôn trọng, đối xử công bằng, quan tâm, giúp đỡ. |
①②③④⑤⓪ |
|
|
D4. |
Năng lực chuyên môn của bác sỹ, điều dưỡng đáp ứng mong đợi. |
①②③④⑤⓪ |
|
|
E. Kết quả cung cấp dịch vụ |
|||
|
E1. |
Kết quả khám bệnh đã đáp ứng được nguyện vọng của Ông/Bà. |
①②③④⑤⓪ |
|
|
E2. |
Các hóa đơn, phiếu thu, đơn thuốc và kết quả khám bệnh được cung cấp đầy đủ, rõ ràng, minh bạch và được giải thích nếu có thắc mắc. |
①②③④⑤⓪ |
|
|
E3. |
Đánh giá mức độ tin tưởng về chất lượng dịch vụ y tế. |
①②③④⑤⓪ |
|
|
E4. |
Đánh giá mức độ hài lòng về giá cả dịch vụ y tế. |
①②③④⑤⓪ |
|
|
E5. |
Ông/Bà cho nhận xét về số tiền chi trả có tương xứng với chất lượng dịch vụ y tế không? |
1. Rất đắt so với chất lượng 2. Đắt hơn so với chất lượng 3. Tương xứng so với chất lượng 4. Rẻ hơn so với chất lượng 5. Không tự chi trả nên không biết (do BHYT hoặc người khác thanh toán) 6. Ý kiến khác, ghi rõ ……………… |
|
|
G |
Thông tin bổ sung |
|
|
|
G1 |
Đánh giá chung, bệnh viện đã đáp ứng được bao nhiêu % so với mong đợi của Ông/Bà trước khi đi khám bệnh? (điền số từ 0% đến 100% hoặc có thể điền trên 100% nếu vượt quá mong đợi của Ông/Bà) |
………….% |
|
|
G2 |
Nếu có nhu cầu khám, chữa bệnh, Ông/Bà có quay trở lại hoặc giới thiệu cho người khác đến không? |
1. Chắc chắn không bao giờ quay lại 2. Không muốn quay lại nhưng có ít lựa chọn khác 3. Muốn chuyển sang bệnh viện khác 4. Có thể sẽ quay lại 5. Chắc chắn sẽ quay lại hoặc giới thiệu cho người khác 6. Khác (ghi rõ) …………… |
|
|
G3 |
Đối với các câu hỏi có ý kiến chưa hài lòng, đề nghị Ông/Bà ghi rõ thêm lý do tại sao không hài lòng?
|
|
|
|
G4 |
Ông/Bà có ý kiến hoặc nhận xét gì khác giúp bệnh viện và hệ thống khám, chữa bệnh phục vụ người bệnh được tốt hơn, xin ghi rõ?
|
|
|
Xin trân trọng cảm ơn!
|
BỘ Y TẾ MẪU SỐ 3 |
Mã đơn vị |
TYT |
TYT |
TYT |
TYT |
|
Mã đợt KS |
Mã phiếu |
Mã phiếu |
Mã phiếu |
Mã phiếu |
PHIẾU KHẢO SÁT SỰ HÀI LÒNG CỦA
NGƯỜI SỬ DỤNG DỊCH VỤ TIÊM CHỦNG MỞ RỘNG
Để nâng cao chất lượng dịch vụ tiêm chủng mở rộng, chúng tôi xin ý kiến của Ông/bà đối với dịch vụ tiêm chủng mà Ông/bà đã trải nghiệm. Ý kiến của Ông/bà sẽ giúp Trạm y tế từng bước cải tiến chất lượng dịch vụ để phục vụ nhân dân ngày càng tốt hơn. Những thông tin Ông/bà trao đổi sẽ được bảo mật, giữ kín. Trân trọng cảm ơn sự hợp tác của Ông/bà!
1. Tên Trạm Y tế: ………………. 2. Ngày điền phiếu …………………….
2. Người phỏng vấn/điền phiếu: a. Người bệnh tự điền (hoặc người nhà)
b. Đoàn giám sát của cơ quan quản lý
c. Tổ chức độc lập
d. Nhân viên của Trạm Y tế, ghi rõ
I. THÔNG TIN CỦA NGƯỜI TRẢ LỜI
Ông/Bà khoanh tròn vào số tương ứng với phương án trả lời trong các câu hỏi dưới đây:
|
A1. Giới tính: 1. Nam 2. Nữ 3. Khác |
A2. a. Tuổi……. b. Hoặc năm sinh…….. |
|
A3. Số di động liên hệ: |
A4. Người được tiêm chủng là: 1. Trẻ em 2. Phụ nữ mang thai |
|
A5. Người trả lời là: 1. Người được tiêm chủng 2. Người nhà của người được tiêm chủng |
|
|
A6. Nơi sinh sống hiện nay: 1. Thành thị 2. Nông thôn 3. Vùng sâu, xa khó khăn |
|
|
A7. Phân loại mức sống của gia đình: 1. Nghèo 2. Cận nghèo 3. Khác |
|
II. MỨC ĐỘ HÀI LÒNG VỀ DỊCH VỤ TIÊM CHỦNG ĐƯỢC CUNG CẤP
Ông/Bà đánh dấu gạch chéo vào một số từ 1 đến 5, tương ứng với mức độ hài lòng hoặc nhận xét từ rất kém đến rất tốt cho từng câu hỏi dưới đây. Nếu không sử dụng dịch vụ hoặc không có ý kiến thì đánh dấu gạch chéo vào số 0.
|
① là: Rất không hài lòng hoặc: Rất kém |
② là: Không hài lòng hoặc: Kém |
③ là: Bình thường hoặc: Trung bình |
④ là: Hài lòng hoặc: Tốt |
⑤ là: Rất hài lòng hoặc: Rất tốt |
⓪ là: Không sử dụng |
|
A. Khả năng tiếp cận |
|||
|
A1. |
Ông bà dễ dàng tiếp cận với điểm tiêm chủng |
①②③④⑤⓪ |
|
|
A2. |
Lối đi, hành lang tại địa điểm tiêm chủng bằng phẳng, di chuyển dễ dàng |
①②③④⑤⓪ |
|
|
A3. |
Các lối đi trong bệnh viện, hành lang bằng phẳng, an toàn, dễ đi. |
①②③④⑤⓪ |
|
|
A4. |
Hài lòng về thời gian tổ chức tiêm chủng mở rộng |
①②③④⑤⓪ |
|
|
A5. |
Lịch tiêm chủng, loại vắc xin tiêm chủng được thông báo rộng rãi trên loa truyền thanh hoặc tổ dân phố, nhân viên y tế thôn/khu phố trực tiếp thông báo |
①②③④⑤⓪ |
|
|
B. Sự minh bạch thông tin và thủ tục tiêm chủng |
|||
|
B1. |
Quy trình, thủ tục hành chính rõ ràng, công khai, thuận tiện. |
①②③④⑤⓪ |
|
|
B2. |
Hài lòng về thời gian chờ tới lượt tiêm chủng. |
①②③④⑤⓪ |
|
|
B3. |
Hài lòng về việc được nhân viên y tế hỏi, khám và ghi chép thông tin về tình trạng sức khỏe, tiền sử dị ứng, tiền sử tiêm chủng |
①②③④⑤⓪ |
|
|
B4. |
Hài lòng về việc được thông báo về loại vắc xin được tiêm chủng, nước sản xuất, năm sản xuất/hạn sử dụng |
①②③④⑤⓪ |
|
|
B5. |
Hài lòng về việc được nhân viên y tế thông báo tác dụng, liều lượng, đường dùng của loại vắc xin trước mỗi lần tiêm |
①②③④⑤⓪ |
|
|
B6. |
Hài lòng về việc được nhân viên y tế thông báo/cho xem hộp/lọ vắc xin còn nguyên niêm phong nhãn mác (đối với lọ vắc xin đóng 01 liều/lọ) hoặc còn nguyên nhãn mác (đối với lọ vắc xin đóng nhiều liều/lọ) |
①②③④⑤⓪ |
|
|
B7. |
Được công khai và cập nhật thông tin về dùng thuốc và chi phí điều trị. |
①②③④⑤⓪ |
|
|
B8. |
Được nhân viên y tế thông báo về phản ứng có thể gặp sau tiêm chủng |
①②③④⑤⓪ |
|
|
C. Cơ sở vật chất và phương tiện phục vụ |
|||
|
C1. |
Khu vực chờ trước, trong và theo dõi sau tiêm sạch sẽ, thoáng mát vào mùa hè; kín gió và ấm áp vào mùa đông |
①②③④⑤⓪ |
|
|
C2. |
Hài lòng về khu vực chờ có đủ ghế ngồi |
①②③④⑤⓪ |
|
|
C3. |
Hài lòng về có khu vực/bàn tư vấn, khám sàng lọc |
①②③④⑤⓪ |
|
|
C4. |
Hài lòng về có khu vực/bàn tiêm chủng. |
①②③④⑤⓪ |
|
|
C5. |
Hài lòng về có phòng/khu vực theo dõi và xử trí phản ứng sau tiêm chủng |
①②③④⑤⓪ |
|
|
C6. |
Hài lòng về việc vắc xin được bảo quản lạnh trong buổi tiêm chủng (phích vắc xin, tủ lạnh) |
①②③④⑤⓪ |
|
|
C7. |
Hài lòng về việc được sử dụng bơm kim tiêm riêng cho mỗi mũi tiêm |
①②③④⑤⓪ |
|
|
C8. |
Hài lòng về việc có hộp chống sốc, phác đồ chống sốc treo tại nơi theo dõi, xử trí phản ứng sau tiêm chủng |
①②③④⑤⓪ |
|
|
C9. |
Hài lòng về việc có thùng rác chứa chất thải y tế |
①②③④⑤⓪ |
|
|
C10. |
Hài lòng về nhà vệ sinh thuận tiện, sử dụng tốt, sạch sẽ |
①②③④⑤⓪ |
|
|
C11. |
Hài lòng về khuôn viên cơ sở tiêm chủng xanh, sạch, đẹp |
①②③④⑤⓪ |
|
|
C12. |
Hài lòng về đảm bảo trật tự, phòng ngừa trộm cắp tại điểm tiêm chủng |
①②③④⑤⓪ |
|
|
D. Thái độ ứng xử, năng lực chuyên môn của nhân viên y tế |
|||
|
D1. |
Hài lòng về nhân viên tiếp đón, hướng dẫn thủ tục niềm nở, nhiệt tình |
①②③④⑤⓪ |
|
|
D2. |
Nhân viên phục có lời nói, thái độ, giao tiếp đúng mực. |
①②③④⑤⓪ |
|
|
D3. |
Hài lòng về nhân viên y tế tư vấn tỉ mỉ, rõ ràng . |
①②③④⑤⓪ |
|
|
D4. |
Hài lòng về việc nhân viên y tế thao tác thành thạo, thuần thục khi thăm khám, tiêm chủng. |
①②③④⑤⓪ |
|
|
D5. |
Hài lòng khi các thắc mắc của người dân (nếu có) được nhân viên y tế giải thích tận tình, thông tin rõ ràng, đầy đủ. |
①②③④⑤⓪ |
|
|
E. Kết quả cung cấp dịch vụ |
|||
|
E1. |
Hài lòng với chất lượng dịch vụ tiêm chủng được cung cấp |
①②③④⑤⓪ |
|
|
E2. |
Hài lòng về lần sử dụng dịch vụ tiêm chủng này. |
①②③④⑤⓪ |
|
|
E3. |
Được nhắc lịch cho lần tiêm tiếp theo |
①②③④⑤⓪ |
|
|
E4. |
Nếu bản thân hoặc người thân có nhu cầu tiêm chủng, Ông/Bà có quay trở lại hoặc giới thiệu cho người khác đến không? |
1. Chắc chắn không bao giờ quay lại 2. Muốn chuyển sang cơ sở khác 3. Chắc chắn sẽ quay lại hoặc giới thiệu cho người khác 4. Khác (ghi rõ): ……………………. |
|
Xin trân trọng cảm ơn ông/bà!
Mẫu
|
CƠ QUAN CẤP TRÊN ĐƠN VỊ BÁO CÁO ________ Số: /BC-Đơn vị |
CỘNG HÒA XÃ HỘI CHỦ NGHĨA VIỆT NAM Độc lập - Tự do - Hạnh phúc ______________________ ……., ngày tháng năm 202…. |
BÁO CÁO
Kết quả khảo sát sự hài lòng người bệnh/người sử dụng dịch vụ khám chữa
bệnh/tiêm chủng mở rộng, tháng/quý..., năm ...
Kính gửi: …………………………………………….
1. Thông tin chung
- Thông tin cơ bản về cơ sở: quy mô giường bệnh, số khám ngoại trú, nội trú hoặc số lượng người sử dụng dịch vụ tiêm chủng, thông tin liên quan để minh chứng cho việc xác định số lượng cỡ mẫu để khảo sát.
- Thời điểm tiến hành khảo sát, khoảng thời gian khảo sát diễn ra:
- Số lượng mẫu phỏng vấn:
- Phương pháp chọn mẫu (ngẫu nhiên đơn, ngẫu nhiên hệ thống...)
- Cơ cấu mẫu:
2. Kết quả:
2.1. Các chỉ số hài lòng
- Chỉ số hài lòng người bệnh/người sử dụng dịch vụ khám chữa bệnh/tiêm chủng mở rộng:
- Chỉ số hài lòng người bệnh/người sử dụng dịch vụ khám chữa bệnh/tiêm chủng mở rộng theo 5 thành phần
+ Chỉ số thành phần về tiếp cận
+ Chỉ số thành phần về minh bạch thông tin và thủ tục hành chính
+ Chỉ số thành phần về cơ sở vật chất, trang thiết bị
+ Chỉ số thành phần về nhân viên y tế
+ Chỉ số thành phần về kết quả cung cấp dịch vụ
(Đối với báo cáo của Sở Y tế: báo cáo các chỉ số theo hướng dẫn và các tỷ lệ theo chỉ tiêu).
2.2. Phân tích
- Những điểm mạnh trong cung cấp dịch vụ được người bệnh ghi nhận
- Phân tích yếu tố ảnh hưởng đến chỉ số hài lòng chung và chỉ số hài lòng theo thành phần.
- Xác định những nguyên nhân chưa hài lòng theo từng Chỉ số thành phần và qua phần câu hỏi định tính.
3. Đề xuất giải pháp và kiến nghị cải thiện chất lượng dịch vụ
|
Nơi nhận: - Như trên; - ….. |
Đơn vị báo cáo (Ký, dấu) |
Bạn chưa Đăng nhập thành viên.
Đây là tiện ích dành cho tài khoản thành viên. Vui lòng Đăng nhập để xem chi tiết. Nếu chưa có tài khoản, vui lòng Đăng ký tại đây!
Bạn chưa Đăng nhập thành viên.
Đây là tiện ích dành cho tài khoản thành viên. Vui lòng Đăng nhập để xem chi tiết. Nếu chưa có tài khoản, vui lòng Đăng ký tại đây!