- Tổng quan
- Nội dung
- Tiêu chuẩn liên quan
- Lược đồ
- Tải về
Tiêu chuẩn Xây dựng TCXD 29:1991 Chiếu sáng tự nhiên trong công trình dân dụng
| Số hiệu: | TCXD 29:1991 | Loại văn bản: | Tiêu chuẩn XDVN |
| Cơ quan ban hành: | Đang cập nhật | Lĩnh vực: | Xây dựng |
|
Ngày ban hành:
Ngày ban hành là ngày, tháng, năm văn bản được thông qua hoặc ký ban hành.
|
1991 |
Hiệu lực:
|
Đã biết
|
| Người ký: | Đang cập nhật |
Tình trạng hiệu lực:
Cho biết trạng thái hiệu lực của văn bản đang tra cứu: Chưa áp dụng, Còn hiệu lực, Hết hiệu lực, Hết hiệu lực 1 phần; Đã sửa đổi, Đính chính hay Không còn phù hợp,...
|
Đã biết
|
TÓM TẮT TIÊU CHUẨN XDVN TCXD 29:1991
Nội dung tóm tắt đang được cập nhật, Quý khách vui lòng quay lại sau!
TIÊU CHUẨN XÂY DỰNG
TCXD 29:1991
CHIẾU SÁNG TỰ NHIÊN TRONG CÔNG TRÌNH DÂN DỤNG - TIÊU CHUẨN THIẾT KẾ
Natural lighting in civil works - Design standard
Tiêu chuẩn này áp dụng để thiết kế mới hoặc cải tạo chiếu sáng tự nhiên bên trong nhà ở và nhà công cộng.
Khi thiết kế chiếu sáng, ngoài việc tuân theo tiêu chuẩn này còn phải tuân theo các tiêu chuẩn, quy phạm hiện hành có liên quan.
Tiêu chuẩn này không áp dụng để thiết kế chiếu sáng tự nhiên các nhà công nghiệp, nông nghiệp, nhà thể thao, các nhà dân dụng có yêu cầu đặc biệt như nhà ga sân bay chuồng trại, kho tàng.
Những thuật ngữ kĩ thuật chiếu sáng tự nhiên dùng trong tiêu chuẩn này được định nghĩa ở phụ lục 1.
Tiêu chuẩn này thay thế cho tiêu chuẩn thiết kế chiếu sáng tự nhiên 20 TCN 29: 1968.
1. Quy định chung
1.1 Chiếu sáng tự nhiên trong nhà ở và nhà công cộng được chia ra như sau:
- Chiếu sáng bên;
- Chiếu sáng trên;
- Chiếu sáng hỗn hợp (bao gồm chiếu sáng trên và chiếu sáng bên).
1.2 Trong nhà ở và nhà công cộng phải có chiếu sáng tự nhiên để bảo đảm sự làm việc, hoạt động bình thường của người và các phương tiện vận chuyển.
1.3 ánh sáng tự nhiên tại một điểm bất kì trong phòng được đặc trưng bằng hệ số độ rọi ánh sáng tự nhiên (viết tắt là hệ số ĐRASTN).
1.4 Khi thiết kế chiếu sáng tự nhiên, phải tính đến hệ số dự trữ.
Trị số hệ số dự trữ vào số lần lau cửa lắp vật liệu xuyên suốt ánh sáng quy định trong bảng l.
Bảng 1
| Đối tượng được chiếu sáng | Hệ số dự trữ | Số lần lau cửa trong một năm |
| Các phòng của nhà ở và nhà công cộng (văn phòng, phòng làm việc, phòng ở lớp học phòng đọc, gian bán hàng v.v...). | 1,2 | 2 |
1.5 Cần phải có dụng cụ và phương tiện để lau chùi các loại cửa lấy ánh sáng tự nhiên (lau bụi, sửa chữa bảo dưỡng, thay kính cửa v. v...) .
2. Chiếu sáng nhà ở và nhà công cộng
2.1. Hệ số ĐRASTN trên mặt làm việc hoặc vật phân biệt trong các phòng của nhà ở và nhà công cộng không được nhỏ hơn các trị số hệ số ĐRASTN quy định trong bảng 2 và bảng 3.
2.2. Hệ số ĐRASTN trong các phòng phụ trợ không được nhỏ hơn các trị số quy định trong bảng 4.
Bảng 2 - Hệ số ĐRASTN đối với kích thước vật cần phân biệt
| Kích thước vật cần phân biệt (mm) | Cấp công việc | Phân cấp | Tính chất thời gian của công việc | Hệ số ĐRASTN(%) | |
| Chiếu sáng trên và chiếu sáng hỗn hợp (etb) | Chiếu sáng bên (emin) | ||||
| Từ 0,15 đến 0,30 | I | a b c | Thường xuyên chu kỳ, từng đợt không lâu | 5 4 3 | 2,5 2,0 1,5 |
| Từ 0,30 đến 0,50 | II | a b c | Thường xuyên chu kỳ, từng đợt không lâu | 4 3 2 | 2,0 1,5 1,0 |
| Trên 0,50 | III | a b c | Thường xuyên chu kỳ, từng đợt không lâu | 3 2,5 2 | 1,5 1,0 0,5 |
Chú thích: Được phép tăng trị số ĐRASTN quy định trong bảng 2 lên một cấp (theo phân cấp) khi có yêu cầu đặc biệt về chuyên ngành hoặc về mặt vệ sinh (ví dụ: bếp, gian bán hàng của cửa hàng, xưởng trường v. v...).
Bảng 3 - Hệ số Đ.R.A.S.T.N trong các phòng của nhà ở và nhà công cộng
| Tên nhà, gian, phòng | Mặt phẳng quy định hệ số Đ.R.A.S.T.N TN- độ cao cách mặt sàn (m) | Hệ số Đ.R.A.S.T.N, % | ||
| Chiếu sáng trên và chiếu sáng hỗn hợp (ctb) | Chiếu sáng bên (emin) | Ghi chú | ||
| 1 | 2 | 3 | 4 | 5 |
| 1. Cơ quan hành chính sự nghiệp, viện thiết kế, viện nghiên cứu khoa học, kĩ thuật |
|
|
|
|
| 1.1. Phòng làm việc, văn phòng |
|
|
|
|
| 1.2. Phòng thiết kế, vẽ kĩ thuật, can hoạ bản đồ. | Ngang - 0,8 | - | 1,5 |
|
| 1.3. Phòng đánh máy, máy tính | Ngang - 0,8 | 5 | 2,5 |
|
| 1.4. Phòng nghiệp vụ của ngân hàng, quỹ tiết kiệm, bưu điện | Ngang - 0,8 | 4 | 2 |
|
| 1.5. Phòng in ốp- xét: |
|
|
|
|
| a) Bộ phận trình bày | Ngang - 0,8 | 3 | 1,5 |
|
| b) Bộ phận chuẩn bị và chế tạo khuôn in | Ngang - 0,8 | 4 | 2 |
|
| c) Bộ phận in | Ngang - 0,8 | 3 | 1,5 |
|
| 1.6. Xưởng mộc, mô hình, sửa chữa | Ngang - 0,8 | 3 | 1,5 |
|
| l.7. Phòng họp, hội nghị, hội trường | Ngang - 0,8 | 3 | 1,5 |
|
| 1.8. Phòng thí nghiệm | Ngang - 0,8 | 2,5 | 1 |
|
| 2. Trường phổ thông, trường đại học, cao đẳng, trung học chuyên nghiệp và dạy nghề. | Ngang - 0,8 | - | 1,5 |
|
| 2.1. Phòng học, giảng-đường, lớp học | Ngang - 0,8 | 4 | 2 |
|
| 2.2. Phòng thí nghiệm, xét nghiệm | Ngang - 0,8 | - | 2 |
|
| 2.3. Phòng họa, vẽ kĩ thuật, thiết kế đồ án môn học, đồ án tốt nghiệp. | Ngang - 0,8 | 4 | 2 | Độ rọi tăng 1 cấp theo ghi chú của bảng 2 |
| 2.4. Xưởng rèn | Ngang - 0,8 | 3 | 1,5 | |
| 2.5. Xưởng mộc | Ngang - 0,8 | 3 | 1,5 | |
| 2.6. Phòng nữ công |
|
|
| |
| a) Học thêu, may | Ngang - 0,8 | 3 | 1,5 | |
| b) Học nấu ăn | Ngang - 0,8 | 3 | 1,5 | |
| 2.7. Gian thể dục thể thao | Sàn | 3 | 1,5 |
|
| 2.8. Văn phòng, phòng làm việc của giáo viên hiệu trưởng | Ngang - 0,8 | - | 1 |
|
| 2.9. Phòng chơi, giải lao | Sàn | 2,5 | 1 |
|
| 2.10. Hội trường, phòng khách |
|
|
|
|
| 3. Thư viện | Sàn | - | 1 |
|
| 3.1. Phòng đọc | Ngang - 0,8 | 4 | 2 |
|
| 3.2. Phòng danh mục sách | Đứng, trên mặt để danh mục | 3 | 1,5 |
|
| 3.3. Phòng cấp thẻ độc giả | Ngang - 0,8 | 3 | 1,5 |
|
| 3.4. Kho sách | Đứng- 1,0 (Trên giá) | - | 0,5 |
|
| 3.5. Phòng đóng bìa, đóng sách | Ngang - 0,8 | 3 | 1,5 |
|
| 4. Nhà triển lãm |
|
|
|
|
| 4.1 . Gian triển lãm, gian bán hàng của chợ có mái che | Ngang - 0,8 | 3 | 1,5 | Trên bàn mổ phải trang bị thêm đèn đảm bảo độ rọi 300 lux |
| 5. Nhà trẻ và trường mẫu giáo |
|
|
| |
| 5.l. Phòng nhận trẻ | Ngang - 0,8 | - | 1,5 | |
| 5.2. Phòng nhóm trẻ, phòng chơi, học, hát, múa, tập thể dục | Ngang - 0,8 | - | 1,5 |
|
| 5.3. Phòng ngủ |
|
|
|
|
| 5.4. Phòng dành cho trẻ em bị ốm, phòng cách li | Sàn | - | 1 |
|
| 6. Nhà nghỉ | Ngang - 0,8 | - | 1 |
|
| 6.1. Phòng nghỉ |
|
|
|
|
| 7. Bệnh viện, nhà điều dưỡng | Ngang - 0,8 | - | 0,5 |
|
| 7.l. Phòng mổ |
|
|
|
|
| 7.2. Phòng gây mê, phòng đẻ, phòng hậu phẫu, phòng băng bó | Ngang - 0,8 | 5 | 2,5 |
|
| 7.3. Phòng bác sĩ, phòng khám bệnh | Ngang - 0,8 | - | 1,5 |
|
| 7.4. Phòng liệu pháp vật lí | Ngang - 0,8 | - | 1,5 |
|
| 7.5. Phòng bệnh nhân | Ngang - 0,8 | - | 1,5 |
|
| 7.6. Phòng hội chẩn, giảng đường | Ngang - 0,8 | - | 1 |
|
| 7.7. Phòng y tá, hộ lí, phòng trực của y tá, hộ lí | Ngang - 0,8 | 4 | 2 |
|
| 7.8. Phòng bác sĩ trưởng, trưởng khoa | Ngang - 0,8 | - | 1,5 |
|
| 7.9. Phòng xét nghiệm | Ngang - 0,8 | - | 1,5 |
|
| 7.10. Phòng dược | Ngang - 0,8 | - | 1,5 |
|
| 7.11. Phòng để chăn màn, nơi gửi | Ngang - 0,8 | - | 1,5 |
|
| đồ đạc của bệnh nhân | Đứng - 1,0 (trên giá) | - | 1 |
|
| 7.12. Phòng đăng kí, phòng cấp cứu | Ngang - 0,8 | - | 1,5 |
|
| 8. Phòng y tế |
|
|
|
|
| 8.1. Phòng chờ khám | Ngang - 0,8 | - | 1 |
|
| 8.2. Phòng đăng kí, phòng nhân viên trực, phòng của người phụ trách | Ngang - 0,8 | - | 1,5 |
|
| 8.3. Phòng bác sĩ, phòng băng bó | Ngang - 0,8 | - | 1,5 |
|
| 8.4. Phòng liệu pháp vật lí | Ngang - 0,8 | - | 1,5 |
|
| 9. Cửa hàng |
|
|
|
|
| 9.1. Gian bán hàng của cửa hàng sách, cửa hàng vải, quần áo, bách hóa, cửa hàng mỹ nghệ vàng bạc lưu niệm, thực phẩm. | Ngang - 0,8 | 3 | 1,5 |
|
| 9.2. Gian bán hàng của cửa hàng bán đồ gỗ, vật liệu xây dựng, đồ điện, văn phòng phẩm | Ngang - 0,8 | 2 | 1 |
|
| 9.3. Nơi thu tiền, phòng thủ quỹ | Ngang - 0,8 | 2 | 1 |
|
| 10. Cửa hàng ăn uống và dịch vụ |
|
|
|
|
| 10.1. Phòng ăn của cửa hàng ăn uống. | Ngang - 0,8 | 2 | 1 |
|
| 10.2. Nơi giao đồ ăn uống | Ngang - 0,8 | 2 | 1 |
|
| 10.3. Bếp | Ngang - 0,8 | 3 | 1,5 |
|
| 10.4. Nhà tắm công cộng | Ngang - 0,8 | - | 1 |
|
| 10.5. Hiệu cắt tóc, uốn tóc | Ngang - 0,8 | - | 1 |
|
| 10.6. Hiệu ảnh cửa hàng nhuộm hấp, tẩy, giặt là: |
|
|
|
|
| - Nơi tiếp khách, giao nhận hàng | Ngang - 0,8 | - | 1 |
|
| 11. Khách sạn |
|
|
|
|
| 11.1. Phòng dịch vụ, nơi giao dịch với khách | Ngang - 0,8 | - | 1,5 |
|
| 11.2. Phòng bán hàng mĩ nghệ, đồ lưu niệm | Ngang - 0,8 | - | 1 |
|
| 11.3. Phòng ăn | Ngang - 0,8 | 2 | 1 |
|
| 11.4. Phòng khách | Ngang - 0,8 | - | 1 |
|
| 11.5. Phòng ngủ | Sàn | - | 0,5 |
|
| 11.6. Phòng nhân viên phục vụ (nhân viên phục vụ bàn, buồng, bếp, nhân viên bảo vệ v.v...) | Ngang - 0,8 | - | 1 |
|
| 11.7. Phòng là quần áo, đánh giầy | Ngang - 0,8 | - | 1 |
|
| 12. Nhà ở |
|
|
|
|
| 12.1. Phòng ở | Ngang - 0,8 | - | 0,5 |
|
| 12.2. Bếp | Ngang - 0,8 | - | 0,5 |
|
| 12.3. Buồng vệ sinh (xí, tắm) | Ngang - 0,8 | - | 0,3 |
|
Chú thích:
1. Đối với các phòng trong nhà công cộng không nêu ở trong bảng 3: được phép lấy trị số hệ số Đ.R.A.S.T.N theo bảng 2;
2. Không được phép tăng trị số hệ số Đ.R.A.S.T.N lớn hơn trị số quy định trong bảng 2 và bảng 3 khi các phòng có đặt máy điều hòa không khí.
Bảng 4 - Hệ số Đ.R.A.S.T.N trong các phòng phụ trợ
| Tên phòng | Mặt phẳng quy định hệ số Đ.R.A.S.T.N và độ cao cách mặt sàn (m) | Chiếu sáng bên (cmin) |
| - Sảnh vào và phòng gửi áo ngoài của các trường đại học, trường phổ thông, kí túc xá, khách sạn, nhà hát, câu lạc bộ. - Cầu thang - Phòng thường trực - Hành lang giữa, lối đi, nhà cầu - Phòng vệ sinh trong các nhà công cộng: a) Buồng rửa mặt, xí, buồng vệ sinh phụ nữ; b) Buồng tắm hương sen, buồng gửi quần áo. | Sàn
Chiếu nghỉ và các bậc thang Ngang - 0,8 Sàn
Sàn
Sàn | 0,5
0,5 0,3 0,3
0,3
0,3 |
2.3. Khi chiếu sáng một bên hệ số Đ.R.A.S.T.N nhỏ nhất được xác định trên giao tuyến của mặt cắt đặc trưng của phòng và mặt làm việc quy ước (hoặc sàn) cách tường đối diện với cửa lấy ánh sáng 1m.
Khi chiếu sáng hai bên hệ số Đ.R.A.S.T.N nhỏ nhất được xác định ở điểm giữa của phòng trên giao tuyến của mặt cắt đặc trưng của phòng và mặt làm việc quy ước (hoặc sàn).
Khi chiếu sáng trên hoặc chiếu sáng hỗn hợp hệ số Đ.R.A.S.T.N trung bình được xác định tại các điểm nằm trên giao tuyến của mặt cắt đặc trưng của phòng và mặt làm việc quy ước (hoặc sàn). Điểm đầu và điểm cuối cách tường hoặc tường ngăn 1m.
2.4. Trong phòng của các nhà công cộng được phép chia ra các vùng gồm:
- Vùng chiếu sáng bên (tiếp giáp với tường ngoài có bố trí cửa sổ)
- Vùng chiếu sáng trên.
Trong đó tiến hành tính toán chiếu sáng tự nhiên hoặc quy định hệ số Đ.R. A.S.T.N tiêu chuẩn riêng biệt cho từng vùng.
2.5. Khi thiết kế hệ số Đ.R.A.S.T.N tính toán (xác định theo phụ lục 2) cho phép sai số r 10% so với hệ số Đ.R.A.S.T.N quy định trong bảng 2 và bảng 3.
2.6. Hệ số đồng đều chiếu sáng tự nhiên trong các phòng của nhà công cộng không được lớn hơn tỉ số 3: 1 đối với các phòng sử dụng hệ thống chiếu sáng trên hoặc chiếu sáng hỗn hợp và các phòng của nhà trẻ, trường mẫu giáo, trường học sử dụng hệ thống chiếu sáng bên.
Không quy định hệ số đồng đều chiếu sáng tự nhiên trong các phòng phụ trợ, các phòng của nhà ở và nhà công cộng sử dụng hệ thống chiếu sáng bên.
2.7. Khi kết hợp chiếu sáng tự nhiên với che nắng cho nhà ở, nhà công cộng phải tuân theo các tiêu chuẩn về kiến trúc - xây dựng nhưng không được để ảnh hưởng đến chiếu sáng tự nhiên.
Phụ lục 1
CÁC THUẬT NGỮ CƠ BẢN VỀ CHIẾU SÁNG TỰ NHIÊN
1. Mặt làm việc - bề mặt trên đó tiến hành công việc, quy định tiêu chuẩn hệ số Đ.R.A.S.T.N.
2. Mặt làm việc quy ước - mặt phẳng nằm ngang quy ước ở độ cao 0,8m cách sàn.
3. Hệ số dự trữ - hệ số tính đến sự giảm hệ số Đ.R.A.S.T.N trong quá trình sử dụng hệ thống chiếu sáng tự nhiên do cửa lấy ánh sáng bị bụi bẩn và do giảm tính chất phản xạ của các bề mặt trong phòng.
4. Vật phân biệt - vật quan sát, các chi tiết hoặc những khuyết tật cần phân biệt trong quá trình làm việc (ví dụ: điểm, đường, dấu, vết sước, vết sứt v. v...)
5. Chiếu sáng tự nhiên - chiếu sáng các phòng (trực tiếp hoặc gián tiếp) bằng ánh sáng bầu trời qua cửa lấy ánh sáng bố trí ở các kết cấu bao che bên ngoài.
6. Chiếu sáng phối hợp - chiếu sáng tự nhiên được bổ sung thêm chiếu sáng nhân tạo khi chiếu sáng tự nhiên không đủ hoặc chưa đảm bảo mức quy định của tiêu chuẩn chiếu sáng tự nhiên.
7. Chiếu sáng bên - chiếu sáng tự nhiên các phòng qua cửa lấy ánh sáng bố trí ở tường ngoài.
8. Chiếu sáng trên - chiếu sáng tự nhiên các phòng qua cửa mái và các cửa được bố trí ở tường tại các vị trí chênh lệch độ cao của ngôi nhà.
9. Chiếu sáng hỗn hợp - chiếu sáng trên kết hợp với chiếu sáng bên.
10. Hệ số ĐT.A.S.T.N - tỉ số giữa độ rọi của ánh sáng tự nhiên tại một điểm nào đó trên bề mặt làm việc trong phòng và độ rọi ánh sáng tự nhiên cùng lúc đó, trên mặt phẳng nằm ngang ngoài nhà dưới bầu trời không bị che khuất.
11. Hệ số Đ.R.A.S.T.N tính toán - trị số hệ số Đ.R.A.S.T.N được xác định khi tính toán thiết kế chiếu sáng tự nhiên cho các phòng.
12. Hệ số Đ.R.A.S.T.N hình học - Tỉ số giữa độ rọi ánh sáng tự nhiên do ánh sáng xuyên qua cửa lấy ánh sáng không lắp kính và ánh sáng trực tiếp từ bầu trời có độ chói đồng đều tạo nên tại điểm cần xem xét của mặt làm việc trong phòng và độ rọi ánh sáng tự nhiên cùng lúc đó trên mặt phẳng nằm ngang ngoài nhà dưới bầu trời không bị che khuất.
13. Diện tích của mái - Tổng diện tích các cửa mái lấy ánh sáng tự nhiên bố trí trên mái của khoảng không gian hoặc phòng được chiếu sáng.
14. Diện tích cửa sổ - Tổng diện tích các cửa lấy ánh sáng tự nhiên bố trí ở tường ngoài của phòng được chiếu sáng.
15. Diện tích cửa lấy ánh sáng tỉ đối
. Tỉ số giữa diện tích cửa mái hoặc cửa sổ và diện tích của phòng được chiếu sáng tự nhiên.
16. Mặt cắt đặc trưng của phòng - mặt cắt đứng qua điểm giữa của phòng vuông góc với mặt lắp kính của cửa lấy ánh sáng (khi chiếu sáng bên) hoặc qua trục dọc của phòng (khi chiếu sáng trên). Mặt cắt đặc trưng của phòng cần phải cắt qua vị trí có đặt nhiều thiết bị nhất hoặc qua các điểm trên bề mặt làm việc đặt cách cửa lấy ánh sáng một khoảng xa nhất.
17. Hệ số đồng đều chiếu sáng tự nhiên - Tỉ số giữa hệ số Đ.R.A.S.T.N trung bình và hệ số Đ.R.S.T.N nhỏ nhất trên mặt cắt đặc trưng của phòng.
18. Khí hậu ánh sáng - Tổng hợp toàn bộ các số liệu đặc trưng cho tình hình ánh sáng tự nhiên tại địa phương nào đó (như độ dọi, lượng ánh sáng tự nhiên trên mặt phẳng nằm ngang và mặt phẳng đứng ở các hướng khác nhau, ánh sáng trực tiếp của mặt trời, tỉ lệ nắng và số giờ nắng của địa phương đó và ánh sáng phản xạ từ mặt đất, cây cối và các công trình kiến trúc) trong thời gian quan trắc trên 10 năm.
19. Bầu trời đầy mây (do ủy ban chiếu sáng quốc tế kiến nghị) - Bầu trời đầy mây không nắng có độ chói phân bố theo quy luật. Tỉ lệ giữa độ chói bầu trời tại một điểm ở độ cao T 0 trên chân trời và độ chói bầu trời tại thiên đỉnh, tính theo công thức:

Trong đó:
Lo - độ chói bầu trời tại thiên đỉnh
Lθ - độ chói bầu trời tại điểm ở độ cao θ0
Phụ lục 2
TÍNH TOÁN CHIẾU SÁNG TỰ NHIÊN
Khi thiết kế chiếu sáng tự nhiên cho nhà ở và nhà công cộng cần tiến hành tính toán và xác định hệ số Đ.R.A.S.T.N trong phòng như sau:
1. Trong trường hợp các phòng có hệ số Đ.R.A.S.T.N tiêu chuẩn emin từ 0,5% trở xuống thì không phải tính toán chiếu sáng tự nhiên, chỉ cần xác định tỷ lệ diện tích cửa lấy ánh sáng bằng từ l/6 đến l/8 diện tích sàn là đủ đảm bảo ánh sáng cho mọi sinh hoạt trong phòng.
2. Trong trường hợp các phòng có hệ số Đ.R.A.S.T.N tiêu chuẩn emin trên 0,5% cần phải tiến hành như sau:
a) Chọn vị trí và loại cửa theo đặc tính chiếu sáng của từng loại cửa. b) Xác định kích thước của cửa ánh sáng:
l/ Khi chiếu sáng bên có thể tính sơ bộ theo công thức sau:

Với:
Scs - Diện tích của cửa sổ (m2);
Ss - Diện tích của sàn (m2);
eTc - Trị số hệ số Đ.R.S.T.N tiêu chuẩn (%)
K - Hệ số dự trữ xác định theo bảng l;
ηcs - Chỉ số ánh sáng của cửa sổ xác định theo bảng 5;
- Hệ số xuyên sáng toàn phần của cửa sổ được xác định theo công thức sau:

Với:
- Hệ số xuyên suốt ánh sáng của các vật liệu được xác định theo bảng 6;
- Hệ số xuyên suốt ánh sáng có tính đến ảnh hưởng của khuôn cửa được xác định theo bảng 7;
- Hệ số xuyên suốt ánh sáng có tính đến ảnh hưởng do các kết cấu chịu lực che ánh sáng (Khi chiếu sáng bên
= 1) được xác định theo bảng 8;
- Hệ số xuyên suốt ánh sáng có tính đến ảnh hưởng của các kết cấu che nắng được xác định theo bảng 9;
- Hệ số xuyên suốt ánh sáng có tính đến lưới bảo vệ đặt ở dưới cửa mái lấy bằng 0,9
r1 - Hệ số tăng ánh sáng do phản xạ bên trong phòng và từ mặt đất ở trước cửa sổ, được xác định theo bảng 10;
Kch - Hệ số tính đến ảnh hưởng của các công trình đối diện, được xác định theo bảng 11.
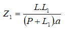
2/ Khi chiếu sáng trên có thể tính sơ bộ như sau:

Với:
Scm - Diện tích của cửa mái (phần khoảng trống, m2);
r2 - Hệ số tăng ánh sáng do phản xạ bên trong phòng được xác định theo bảng 12;
Kcm -Hệ số theo loại cửa mái được chọn theo bảng 13.
Bảng 5 - Chỉ số ánh sáng của cửa sổ, Kcs
|
| Trị số cs khi | |||||||
| 1 | 1,5 | 2 | 3 | 4 | 5 | 7,5 | 10 | |
| Từ 4 trở lên | 6,5 7,5 8,5 9,5 11 18 | 7 8 9 10,5 15 23 | 7,5 8,5 9,5 13 16 31 | 8 9,5 10,5 15 18 37 | 9 10 11,5 17 21 45 | 10 11 13 19 20 54 | 11 12,5 15 21 26,5 66 | 12,5 14 17 23 29 - |
Chú thích:
1. Chiều dài L của phòng - Khoảng cách giữa hai bức tường vuông góc với tường ngoài có cửa lấy ánh sáng;
2. Chiều sâu B của phòng - Khoảng cách từ mặt tường ngoài có cửa lấy ánh sáng đến bức tường đối diện;
3. Chiều cao hi - Chiều cao từ bên trên cửa sổ đến mặt làm việc quy ước.
Bảng 6 - Hệ số xuyên suốt ánh sáng, W1
| Tên vật liệu |
|
| - Kính thường một lớp - Kính dày từ 6 đến 8mm - Kính có cốt - Kính hoa văn - Kính hữu cơ: + Trong suốt + Màu sữa - Khối thủy tinh rỗng +Tán xạ ánh sáng + Trong suốt | 0,9 0,8 0,6 0,65
0,9 0,6
0,5 0,55 |
Bảng 7 – Hệ số xuyên suốt, 
| Loại khuôn cửa |
|
| - Khuôn gỗ + Cánh đơn + Cánh kép - Khuôn kim loại (thép hoặc nhôm) + Cánh đơn + Cánh kép - Panen bê tông - kính với khối thủy tinh rỗng. |
0,8 0,75
0,9 0,85 0,85 |
Bảng 8 – Hệ số xuyên suốt, 
| Loại kết cấu chịu lực |
|
| - Vì kèo (giàn ) bằng thép - Vòm và vì kèo (giàn) bằng bêtông cốt thép hoặc gỗ - Rầm và khung đổ tại chỗ với: + Chiều cao cảu mặt cắt từ 50 cm trở lên + Chiều cao của mặt đất dưới 50 cm | 0,9 0,8
0,8 0,9 |
Bảng 9 - Hệ số xuyên suốt, 
| Tên và đặc điểm cầu che nắng |
|
| - Không có kết cấu che nắng - Ô văng đặc có góc che 150 - -nt- 300 - Ô văng chớp có góc che 150 - -nt-300 - Cửa chống xiên, góc che 450 - Tấm đứng có góc che 150 - -nt- 300 - -nt- 450 - Cửa chớp có lá chớp dày 1 cm rộng 10cm góc xiên của lá chớp 150 - -nt- 300 - Cửa chớp cải tiến có lá chớp dày 1 cm góc xiên của lá chớp 150 - -nt- 300 | 1 0,95 0,80 0,95 0,82 0,40 0,95 0,85 0,70 70 0,60 0,61 0,50 |
Bảng 10 - Hệ số R1
| B h1 | L1 B | r1 khi chiếu sáng 1 bên | |||||
| rtb | |||||||
| 0,5 | 0,3 | ||||||
| L B | |||||||
| 0,5 | 1 | Từ 2 trở lên | 0,5 | 1 | Từ 2 trở lên | ||
| Từ 1 đến 1,5 | 0,1 0,5 1 | 1,05 1,4 2,1 | 1,05 1,3 1,9 | 1,05 1,2 1,5 | 1,05 1,15 1,4 | 1,0 1,1 1,3 | 1,0 1,1 1,2 |
| Trên 1,5 đến 2,5 | 0 0,3 0,5 0,7 1 | 1,05 1,3 1,85 2,45 3,8 | 1,05 1,2 1,6 2,15 3,3 | 1,05 1,1 1,3 1,7 2,4 | 1,05 1,15 1,3 1,55 2,0 | 1,0 1,1 1,2 1,4 1,8 | 1,0 1,05 1,1 1,25 1,5 |
| Trên 2,5 đến 3,5 | 0,1 0,2 0,3 0,4 0,5 0,6 | 1,1 1,15 1,2 1,35 1,6 2,0 | 1,0 1,1 1,15 1,25 1,45 1,75 | 1,05 1,05 1,1 1,2 1,3 1,45 | 1,0 1,05 1,1 1,15 1,25 1,4 | 1,0 1,05 1,1 1,1 1,15 1,3 | 1,0 1,05 1,05 1,1 1,1 1,2 |
|
| 0,7 0,8 0,9 1 | 2,6 3,6 5,3 7,2 | 2,2 3,1 4,2 5,4 | 1,7 2,4 3,0 4,3 | 1,6 1,9 2,2 2,6 | 1,5 1,7 1,85 2,2 | 1,3 1,4 1,5 1,7 |
| Trên 3,5 | 0,1 0,2 0,3 0,4 0,5 0,6 0,7 0,8 0,9 1 | 1,2 1,4 1,75 2,4 3,4 4,6 6,0 7,4 9,0 10 | 1,15 1,3 1,5 2,1 2,9 3,8 4,7 5,8 7,1 7,3 | 1,1 1,2 1,3 1,8 2,5 3,1 3,7 4,7 5,6 5,7 | 1,05 1,1 1,25 1,4 1,7 2,0 2,3 2,6 3,0 3,5 | 1,05 1,05 1,1 1,2 1,3 1,5 1,7 1,9 2,1 2,5 | 1,0 1,05 1,1 1,2 1,3 1,5 1,7 1,9 2,1 2,5 |
Chú thích:
1. Khoảng cách L1 - Khoảng cách từ điểm tính toán đến tường ngăn;
2. rtb - Hệ số phản xạ trung bình tính theo công thức:

Với: rtr; rtư; rs - Hệ số phản xạ của trần, tường và sàn;
Str , Stư , Ss - Diện tích của trần, tường và sàn
3. Với rtb = 0,4 xác định r1 theo phương pháp nội suy.
Bảng 11 - Hệ số KCH
| P H | 0,5 | 1 | 1,5 | 2 | Từ 3 trở lên |
| Kch | 1,7 | 1,4 | 1,2 | 1,1 | 1,0 |
Chú thích:
1. Khoảng cách P - Khoảng cách giữa nhà đối diện và nhà cần tính toán;
2. Chiều cao H - chiều cao từ mái đua của nhà đối diện đến bậu cửa sổ của nhà cần tính toán chiếu sáng tự nhiên (hình 6b).
Bảng 12 - Hệ số R2
| H cm L2 | Trị số r2 | ||||||||
| rtb | |||||||||
| 0,5 | 0,4 | 0,3 | |||||||
| Số lượng khẩu độ | |||||||||
| 1 | 2 | Từ 3 trở lên | 1 | 2 | Từ 3 trở lên | 1 | 2 | Từ 3 trở lên | |
| 2 1 0,75 0,5 0,25 | 1,7 1,5 1,45 1,4 1,35 | 1,5 1,4 1,35 1,3 1,25 | 1,15 1,15 1,15 1,15 1,15 | 1,6 1,4 1,25 1,3 1,25 | 1,4 1,3 1,25 1,2 1,15 | 1,1 1,1 1,1 1,1 1,1 | 1,4 1,3 1,25 1,2 1,15 | 1,1 1,1 1,1 1,1 1,1 | 1,05 1,05 1,05 1,05 1,05 |
Chú thích:
1. Chiều cao Hcm - chiều cao cửa mái tính từ bên dưới cửa kính đến mặt làm việc quy ước;
2. Chiều rộng L2 - chiều rộng của khẩu độ
Bảng 13 - Hệ số KCM
| Loại cửa mái | KCM |
| - Cửa mái hai phía lắp kính thẳng đứng (chữ nhật, chữ M) - Cửa mái một phía lắp kính thẳng đứng (hình răng cưa) | 1,2 1,4 |
c) Kiểm tra hệ số ĐRASTN:
Sau khi xác định kích thước cửa ánh sáng cần tiến hành kiểm tra cụ thể hệ số ĐRASTN tại mặt cắt đặc trưng và các điểm quan trọng trong phòng bằng công thức sau:
1) Khi chiếu sáng bên:
(1)
2) Khi chiếu sáng trên:
(2)
3) Khi chiếu sáng hỗn hợp:
eht = ett +ebt (3)
Với:
eb - Hệ số ĐRASTN hình học tại điểm cần kiểm tra khi chiếu sáng bên có tính đến ánh sáng trực tiếp của bầu trời xác định theo biểu đồ I và II (hình 1 và hình 2).
q - Hệ số hiệu chỉnh xác định theo bảng 15 tính theo bầu trời Moon - Spencer do ủy ban chiếu sáng quốc tế kiến nghị.

Chú thích:
Hp - Chiều cao của phòng
εch- Hệ số ĐRASTN hình học tại điểm cần kiểm tra khi chiếu sáng bên, có tính đến ánh sáng phản xạ từ các ngôi nhà đối diện; xác định theo biểu đồ I và II.
R - Hệ số độ chói tỉ đối của ngôi nhà đối diện, xác định theo bảng 16
εt - Hệ số ĐRASTN hình học tại điểm cần kiểm tra khi chiếu sáng trên, xác định theo biểu đồ III và II (hình 2 và hình 3);
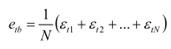
εtb- Hệ số ĐRASTN hình học trung bình khi chiếu sáng trên, tại các điểm nằm trên giao tuyến của mặt cắt đặc trưng của phòng và mặt làm việc quy ước, xác định theo công thức sau:

Với:
N - Số điểm cần kiểm tra;
εt1 , εt2 ,... εtN - Hệ số ĐRASTN hình học tại từng điểm cần kiểm tra.
Hệ số ĐRASTN trung bình khi chiếu sáng trên hoặc chiếu sáng hỗn hợp xác định bằng công thức sau:
(5)
Với:
N - Số điểm cần xác định hệ số ĐRASTN;
e1, e2, e3, ... eN - Hệ số ĐRASTN khi chiếu sáng trên hoặc chiếu sáng hỗn hợp tại từng điểm nằm trên giao tuyến của mặt cắt đặc trưng của phòng và mặt làm việc quy ước được xác định theo công thức (2) và (3).
Trị số hệ số ĐRASTN tính theo các công thức (l),(2),(3) và (5) cần làm tròn số đến 1/10 và cho phép sai số như đã quy định ở mục 2.5.
Các hệ số ĐRASTN hình học được xác định theo phương pháp Đanhilúc bằng các biểu đồ I; II,III (hình 1,2 và 3) và tính bằng công thức sau:
- Khi chiếu sáng bên có tính đến ánh sáng trực tiếp:
εb = 0,01 . (n1 . n2) (6)
Với:
n1 - Số lượng tia sáng từ bầu trời qua cửa lấy ánh sáng tới điểm cần kiểm tra tại mặt cắt ngang của phòng (hình 4) xác định theo biểu đồ I;
n2 - Số lượng tia sáng từ bầu trời qua cửa lấy ánh sáng tới điểm cần kiểm tra trên mặt bằng của phòng (hình 5) xác định theo biểu đồ II.
- Khi chiếu sáng bên có tính đến ánh sáng phản chiếu từ ngôi nhà đối diện:
εch = 0,01. (n'1 . n'2) (7)
Với:
n'1 - Số lượng tia phản xạ từ ngôi nhà đối diện qua cửa lấy ánh sáng tới điểm cần kiểm tra tại mặt cắt ngang của phòng (hình 4) xác định theo biểu đồ I;
n'2 -Số lượng tia phản xạ từ ngôi nhà đối diện qua cửa lấy ánh sáng tới điểm cần kiểm tra trên mặt bằng của phòng (hình 5) xác định theo biểu đồ II.
Tính số lượng tia bằng biểu đồ I và II theo các bước như sau:
1- Vẽ biểu đồ I trên giấy can rồi đặt lên hình vẽ mặt cắt đặc trưng của phòng, tâm O của biểu đồ phải trùng với điểm A cần kiểm tra, còn trục ngang của đồ thị trùng với mặt làm việc (hình 4);
2- Tính số lượng tia n1 qua cửa lấy ánh sáng;
3- Xác định số hiệu của nửa vòng tròn trên biểu đồ I đi qua điểmB1 tại điểm giữa của cửa ánh sáng (hình 4).
4- Đặt biểu đồ II lên hình vẽ mặt bằng của phòng sao cho trục đứng và trục ngang với số hiệu trùng với số hiệu của nửa vòng tròn của biểu đồ I ( ở mục 3) đi qua điểm b (hình 5).
5- Tính số lượng tia n2 qua cửa lấy ánh sáng theo biểu đồ II;
6- Xác định hệ số ĐRASTN hình học Hb theo công thức (6)
Tính số lượng tia phản xạ từ ngôi nhà đối diện n'1 và n'2 qua cửa lấy ánh sáng bằng biểu đồ I và II tương tự như trên (hình 5 và hình 6a)
- Khi chiếu sáng trên:
εt = 0,01 . (n3 , n2) (8)
Với:
n3 - Số lượng tia sáng từ bầu trời qua cửa lấy ánh sáng tới điểm cần kiểm tra tại mặt cắt ngang của phòng xác định theo biểu đồ III;
n2 - Số lượng tia sáng từ bầu trời qua cửa lấy ánh sáng tới điểm cần kiểm tra tại mặt cắt dọc của phòng, xác định theo biểu đồ II (trong trường hợp có nhiều cửa ánh sáng thì cần xác định n3 và n2 cho từng cửa rồi cộng các tính n3, n2 với nhau).
Tính số lượng tia bằng biểu đồ III và II theo trình tự sau:
1- Vẽ biểu đồ III trên giấy can rồi đặt lên hình vẽ mặt cắt ngang của phông, tâm 0 của biểu đồ trùng với điểm C cần kiểm tra còn trục ngang của biểu đồ trùng với mặt làm việc;
2- Tính số lượng tia n3 từ bầu trời qua cửa lấy ánh sáng tới điểm C cần kiểm tra (hình 7);
3- Ghi số hiệu của nửa vòng tròn trên biểu đồ III đi qua điểm B2 tại điểm giữa của cửa lấy ánh sáng.
4- Đặt biểu đồ II lên hình vẽ mặt cắt dọc của phòng sao cho trục đứng và trục ngang với số hiệu trùng với số hiệu của nửa vòng tròn trên biểu đồ III (ở mục 3) đi qua điểm B2 (hình 8);
5- Tính số lượng tia n2 từ bầu trời qua cửa lấy ánh sáng xác định theo biểu đồ II;
6- Xác định hệ số ĐRASTN hình học theo công thức (8).
Bảng 15-Trị số q
| Chiều cao T0 | Trị số q | Chiều cao T0 | Trị số q |
| 2 6 10 14 18 22 26 30
42 46 | 0,46 0,52 0,58 0,64 0,69 0,75 0,80 0,86 0,91 0,96 1,00 1,04 | 50 54 58 62 66 70 74 78 82 86 90 | 1,08 1,12 1,16 1,18 1,21 1,23 1,25 1,27 1,28 1,28 1,29 |
Chú thích:
- Chiều cao θ0 - độ cao θ 0 của tâm cửa lấy ánh sáng so với mặt làm việc
- Các trị số q không nêu trong bảng 15 được xác định bằng phương pháp nội suy.

Chú thích:
1. L, H - chiều dài và chiều cao của ngôi nhà đối diện (m)
2.a. Chiều rộng của cửa sổ (m);
3. L1, h1 - xem chú thích của bảng 10
4.p - Xem chú thích của bảng 11.
5.
- Chỉ số của ngôi nhà đối diện trên mặt bằng
6.
- Chỉ số của ngôi nhà đối diện trên mặt cắt;
7. Khi ngôi nhà đối diện ở vị trí đầu hồi nhà đối diện với nhà đang cần tính toán thì hệ số R
nhân thêm 1,5.




Bạn chưa Đăng nhập thành viên.
Đây là tiện ích dành cho tài khoản thành viên. Vui lòng Đăng nhập để xem chi tiết. Nếu chưa có tài khoản, vui lòng Đăng ký tại đây!





