- Tổng quan
- Nội dung
- VB gốc
- Tiếng Anh
- Hiệu lực
- VB liên quan
- Lược đồ
-
Nội dung hợp nhất
Tính năng này chỉ có tại LuatVietnam.vn. Nội dung hợp nhất tổng hợp lại tất cả các quy định còn hiệu lực của văn bản gốc và các văn bản sửa đổi, bổ sung, đính chính... trên một trang. Việc hợp nhất văn bản gốc và những văn bản, Thông tư, Nghị định hướng dẫn khác không làm thay đổi thứ tự điều khoản, nội dung.
Khách hàng chỉ cần xem Nội dung hợp nhất là có thể nắm bắt toàn bộ quy định hiện hành đang áp dụng, cho dù văn bản gốc đã qua nhiều lần chỉnh sửa, bổ sung.
- Tải về
Thông tư 48/2022/TT-BTC quy định mức thu, quản lý phí khai thác và sử dụng thông tin trong CSDL quốc gia về dân cư
| Cơ quan ban hành: | Bộ Tài chính |
Số công báo:
Số công báo là mã số ấn phẩm được đăng chính thức trên ấn phẩm thông tin của Nhà nước. Mã số này do Chính phủ thống nhất quản lý.
|
Đã biết
|
| Số hiệu: | 48/2022/TT-BTC | Ngày đăng công báo: |
Đã biết
|
| Loại văn bản: | Thông tư | Người ký: | Tạ Anh Tuấn |
|
Ngày ban hành:
Ngày ban hành là ngày, tháng, năm văn bản được thông qua hoặc ký ban hành.
|
03/08/2022 |
Ngày hết hiệu lực:
Ngày hết hiệu lực là ngày, tháng, năm văn bản chính thức không còn hiệu lực (áp dụng).
|
Đang cập nhật |
|
Áp dụng:
Ngày áp dụng là ngày, tháng, năm văn bản chính thức có hiệu lực (áp dụng).
|
Đã biết
|
Tình trạng hiệu lực:
Cho biết trạng thái hiệu lực của văn bản đang tra cứu: Chưa áp dụng, Còn hiệu lực, Hết hiệu lực, Hết hiệu lực 1 phần; Đã sửa đổi, Đính chính hay Không còn phù hợp,...
|
Đã biết
|
| Lĩnh vực: | Thuế-Phí-Lệ phí, Tư pháp-Hộ tịch |
TÓM TẮT THÔNG TƯ 48/2022/TT-BTC
Theo đó, từ ngày 17/9/2022 đến hết năm 2023, áp dụng mức thu bằng 50% mức phí xác thực thông tin công dân, khai thác kết quả thông tin bao gồm:
Xác thực thông tin công dân bằng tin nhắn SMS, văn bản điện tử, văn bản giấy (sản phẩm SPDC01); Tin nhắn SMS trả lời kết quả thông tin đề nghị khai thác (sản phẩm SPDC02); Văn bản điện tử trả lời kết quả thông tin đề nghị khai thác qua cổng dịch vụ công (sản phẩm SPDC03); Văn bản điện tử trả lời kết quả thông tin đề nghị khai thác qua ứng dụng phần mềm (sản phẩm SPDC04); Văn bản giấy trả lời kết quả thông tin đề nghị cung cấp (sản phẩm SPDC05).
Từ ngày 01/01/2024 trở đi, mức phí xác thực thông tin công dân, khai thác kết quả thông tin là 1.000 đồng/trường thông tin.
Thông tư này có hiệu lực từ ngày 17/9/2022.
Xem chi tiết Thông tư 48/2022/TT-BTC có hiệu lực kể từ ngày 17/09/2022
Tải Thông tư 48/2022/TT-BTC
|
BỘ TÀI CHÍNH |
CỘNG HÒA XÃ HỘI CHỦ NGHĨA VIỆT NAM |
THÔNG TƯ
Quy định mức thu, chế độ thu, nộp, quản lý và sử dụng phí khai thác và sử dụng thông tin trong Cơ sở dữ liệu quốc gia về dân cư
____________
Căn cứ Luật Phí và lệ phí ngày 25 tháng 11 năm 2015;
Căn cứ Luật Căn cước công dân ngày 20 tháng 11 năm 2014;
Căn cứ Luật Cư trú ngày 13 tháng 11 năm 2020;
Căn cứ Luật Ngân sách nhà nước ngày 25 tháng 6 năm 2015;
Căn cứ Luật Quản lý thuế ngày 13 tháng 6 năm 2019;
Căn cứ Nghị định số 120/2016/NĐ-CP ngày 23 tháng 8 năm 2016 của Chính phủ quy định chi tiết và hướng dẫn thi hành một số điều của Luật Phí và lệ phí;
Căn cứ Nghị định số 137/2015/NĐ-CP ngày 31 tháng 12 năm 2015 của Chính phủ quy định chi tiết một số điều và biện pháp thi hành Luật Căn cước công dân; Nghị định số 37/202l/NĐ-CP ngày 29 tháng 3 năm 2021 của Chính phủ sửa đổi, bổ sung một số điều của Nghị định số 137/2015/NĐ-CP;
Căn cứ Nghị định số 126/2020/NĐ-CP ngày 19 tháng 10 năm 2020 của Chính phủ quy định chi tiết một số điều của Luật Quản lý thuế;
Căn cứ Nghị định số 87/2017/NĐ-CP ngày 26 tháng 7 năm 2017 của Chính phủ quy định chức năng, nhiệm vụ, quyền hạn và cơ cấu tổ chức của Bộ Tài chính;
Theo đề nghị của Vụ trưởng Vụ Chính sách thuế;
Bộ trưởng Bộ Tài chính ban hành Thông tư quy định mức thu, chế độ thu, nộp, quản lý và sử dụng phí khai thác và sử dụng thông tin trong Cơ sở dữ liệu quốc gia về dân cư.
Điều 1. Phạm vi điều chỉnh, đối tượng áp dụng
1. Thông tư này quy định mức thu, chế độ thu, nộp, quản lý và sử dụng phí khai thác và sử dụng thông tin trong Cơ sở dữ liệu quốc gia về dân cư.
2. Thông tư này áp dụng đối với:
a) Cơ quan, tổ chức, cá nhân có đề nghị khai thác và sử dụng thông tin trong Cơ sở dữ liệu quốc gia về dân cư.
b) Cơ quan quản lý Cơ sở dữ liệu quốc gia về dân cư.
c) Các tổ chức, cá nhân khác có liên quan đến việc thu, nộp, quản lý và sử dụng phí khai thác và sử dụng thông tin trong Cơ sở dữ liệu quốc gia về dân cư.
Điều 2. Người nộp phí
1. Người nộp phí là cơ quan, tổ chức, cá nhân thuộc trường hợp quy định tại điểm c khoản 2 Điều 10 Luật Căn cước công dân có đề nghị khai thác và sử dụng thông tin trong Cơ sở dữ liệu quốc gia về dân cư và được cơ quan quản lý Cơ sở dữ liệu quốc gia về dân cư có thẩm quyền cung cấp thông tin trong Cơ sở dữ liệu quốc gia về dân cư theo quy định pháp luật.
2. Người nộp phí thực hiện nộp phí khi nhận kết quả thông tin từ cơ quan quản lý Cơ sở dữ liệu quốc gia về dân cư.
Điều 3. Tổ chức thu phí
Tổ chức thu phí theo quy định tại Thông tư này gồm: Cục Cảnh sát quản lý hành chính về trật tự xã hội (Bộ Công an), Phòng Cảnh sát quản lý hành chính về trật tự xã hội Công an cấp tỉnh, Công an cấp huyện và Công an cấp xã.
Điều 4. Mức thu phí
1. Mức phí xác thực thông tin công dân, khai thác kết quả thông tin
a) Kể từ ngày 17 tháng 9 năm 2022 đến hết ngày 31 tháng 12 năm 2023, áp dụng mức thu bằng 50% mức phí quy định tại Mục I Phụ lục phí khai thác và sử dụng thông tin trong Cơ sở dữ liệu quốc gia về dân cư ban hành kèm theo Thông tư này.
b) Kể từ ngày 01 tháng 01 năm 2024 trở đi, áp dụng mức thu theo mức phí quy định tại Mục I Phụ lục phí khai thác và sử dụng thông tin trong Cơ sở dữ liệu quốc gia về dân cư ban hành kèm theo Thông tư này.
2. Mức phí khai thác kết quả thống kê; mức phí khai thác kết quả thống kê, phân tích; mức phí khai thác kết quả thống kê, phân tích, dự báo: Áp dụng mức thu theo mức phí quy định tại Phụ lục phí khai thác và sử dụng thông tin trong Cơ sở dữ liệu quốc gia về dân cư ban hành kèm theo Thông tư này.
Điều 5. Kê khai, nộp phí
1. Chậm nhất là ngày 05 hàng tháng, tổ chức thu phí phải gửi số tiền phí đã thu của tháng trước vào tài khoản phí chờ nộp ngân sách mở tại Kho bạc Nhà nước.
2. Tổ chức thu phí thực hiện kê khai, nộp phí theo tháng và quyết toán năm theo quy định tại Luật Quản lý thuế và Nghị định số 126/2020/NĐ-CP ngày 19 tháng 10 năm 2020 của Chính phủ quy định chi tiết một số điều của Luật Quản lý thuế.
Điều 6. Quản lý và sử dụng phí
Tổ chức thu phí được trích lại 30% số tiền phí thu được để trang trải chi phí cho các nội dung chi theo quy định tại Điều 5 Nghị định số 120/2016/NĐ-CP ngày 23 tháng 8 năm 2016 của Chính phủ quy định chi tiết và hướng dẫn thi hành một số điều của Luật Phí và lệ phí và nộp 70% số tiền phí thu được vào ngân sách nhà nước (ngân sách trung ương) theo chương, tiểu mục của Mục lục ngân sách nhà nước hiện hành.
Điều 7. Tổ chức thực hiện
1. Thông tư này có hiệu lực từ ngày 17 tháng 9 năm 2022.
2. Các nội dung khác liên quan đến thu, nộp, quản lý, sử dụng, chứng từ thu, công khai chế độ thu phí không quy định tại Thông tư này được thực hiện theo quy định tại Luật Phí và lệ phí, Nghị định số 120/2016/NĐ-CP, Luật Quản lý thuế, Nghị định số 126/2020/NĐ-CP, Nghị định số 11/2020/NĐ-CP ngày 20 tháng 01 năm 2020 của Chính phủ quy định về thủ tục hành chính thuộc lĩnh vực Kho bạc Nhà nước, Nghị định số 123/2020/NĐ-CP ngày 19 tháng 10 năm 2020 của Chính phủ quy định về hóa đơn, chứng từ và Thông tư số 78/2021/TT-BTC ngày 17 tháng 9 năm 2021 của Bộ trưởng Bộ Tài chính hướng dẫn thực hiện một số điều của Luật Quản lý thuế ngày 13 tháng 6 năm 2019, Nghị định số 123/2020/NĐ-CP ngày 19 tháng 10 năm 2020 của Chính phủ quy định về hóa đơn, chứng từ.
3. Trường hợp các văn bản quy phạm pháp luật viện dẫn tại Thông tư này được sửa đổi, bổ sung hoặc thay thế thì thực hiện theo văn bản mới được sửa đổi, bổ sung hoặc thay thế.
4. Trong quá trình thực hiện, nếu có vướng mắc đề nghị các tổ chức, cá nhân phản ánh kịp thời về Bộ Tài chính để nghiên cứu, hướng dẫn bổ sung./.
|
Nơi nhận: |
KT. BỘ TRƯỞNG
Tạ Anh Tuấn |
PHỤ LỤC PHÍ KHAI THÁC VÀ SỬ DỤNG THÔNG TIN TRONG CƠ SỞ DỮ LIỆU QUỐC GIA VỀ DÂN CƯ
(Ban hành kèm theo Thông tư số 48/2022/TT-BTC ngày 03 tháng 8 năm 2022 của Bộ trưởng Bộ Tài chính)
_______________
Theo quy định tại khoản 1 Điều 1 Thông tư 64/2025/TT-BTC: Từ ngày 01/7/2025 đến hết ngày 31/12/2026, mức thu phí khai thác và sử dụng thông tin trong Cơ sở dữ liệu quốc gia về dân cư bằng 50% mức thu phí quy định tại Phụ lục ban hành kèm theo Thông tư 48/2022/TT-BTC.
I. Mức phí xác thực thông tin công dân, khai thác kết quả thông tin
|
Số TT |
Nội dung công việc thu phí |
Mức thu (đồng/trường thông tin) |
|
1 |
Xác thực thông tin công dân bằng tin nhắn SMS, văn bản điện tử, văn bản giấy (sản phẩm SPDC01) |
1.000 |
|
2 |
Tin nhắn SMS trả lời kết quả thông tin đề nghị khai thác (sản phẩm SPDC02) |
1.000 |
|
3 |
Văn bản điện tử trả lời kết quả thông tin đề nghị khai thác qua cổng dịch vụ công (sản phẩm SPDC03) |
1.000 |
|
4 |
Văn bản điện tử trả lời kết quả thông tin đề nghị khai thác qua ứng dụng phần mềm (sản phẩm SPDC04) |
1.000 |
|
5 |
Văn bản giấy trả lời kết quả thông tin đề nghị cung cấp (sản phẩm SPDC05) |
1.000 |
II. Mức phí khai thác kết quả thống kê (MSPDC06)
|
Số TT |
Nội dung công việc thu phí |
Mức thu (đồng/báo cáo) |
|
1 |
Báo cáo cho vùng dân cư có tổng số dân trong vùng từ 01 triệu người trở xuống |
MSPDC06 = P1 x 368 đồng/người Trong đó: P1 là số dân cư tính theo người (P1 tối thiểu là 9.000 người, P1 tối đa là 1.000.000 người). |
|
2 |
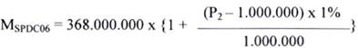
Báo cáo cho vùng dân cư có tổng số dân trong vùng trên 01 triệu người |
Trong đó: P2 là số dân cư tính theo người (P2 trên 1.000.000 người). |
III. Mức phí khai thác kết quả thống kê, phân tích (MSPDC07)
MSPDC07 = MSPDC06 x 115%
Trong đó:
MSPDC06 là mức phí khai thác đối với 01 Báo cáo kết quả thống kê theo công thức tín
IV. Mức phí khai thác kết quả thống kê, phân tích, dự báo (MSPDC08)
MSPDC08 = MSPDC06 x 120%
Trong đó:
MSPDC06 là mức phí khai thác đối với 01 Báo cáo kết quả thống kê theo công thức tính
Ghi chú:
1. Một trường thông tin là một thông tin về công dân được thu thập, cập nhật vào Cơ sở dữ liệu quốc gia về dân cư.
Các thông tin về công dân được thu thập, cập nhật vào Cơ sở dữ liệu quốc gia về dân cư được xác định gồm 18 thông tin cơ bản (18 trường thông tin) theo quy đị
2. Sản phẩm khai thác, sử dụng thông tin trong Cơ sở dữ liệu quốc gia về dân cư (các sản phẩm SPDC01, SPDC02, SPDC03, SPDC04, SPDC05, SPDC06, SPDC07 và SPDC08) được quy định tại Thông tư số 08/2022/TT-BCA ngày 27 tháng 01 năm 2022 của Bộ trưởng Bộ Công an quy định danh mục sản phẩm khai thác, sử dụng thông tin trong Cơ sở dữ liệu quốc gia về dân cư.
3. Mức thu phí tại Mục I nêu trên không bao gồm chi phí chuyển kết quả từ cơ quan quản lý Cơ sở dữ liệu quốc gia về dân cư đến người nộp phí./.
Bạn chưa Đăng nhập thành viên.
Đây là tiện ích dành cho tài khoản thành viên. Vui lòng Đăng nhập để xem chi tiết. Nếu chưa có tài khoản, vui lòng Đăng ký tại đây!
Bạn chưa Đăng nhập thành viên.
Đây là tiện ích dành cho tài khoản thành viên. Vui lòng Đăng nhập để xem chi tiết. Nếu chưa có tài khoản, vui lòng Đăng ký tại đây!
