- Tổng quan
- Nội dung
- VB gốc
- Tiếng Anh
- Hiệu lực
- VB liên quan
- Lược đồ
-
Nội dung hợp nhất
Tính năng này chỉ có tại LuatVietnam.vn. Nội dung hợp nhất tổng hợp lại tất cả các quy định còn hiệu lực của văn bản gốc và các văn bản sửa đổi, bổ sung, đính chính... trên một trang. Việc hợp nhất văn bản gốc và những văn bản, Thông tư, Nghị định hướng dẫn khác không làm thay đổi thứ tự điều khoản, nội dung.
Khách hàng chỉ cần xem Nội dung hợp nhất là có thể nắm bắt toàn bộ quy định hiện hành đang áp dụng, cho dù văn bản gốc đã qua nhiều lần chỉnh sửa, bổ sung.
- Tải về
Thông tư 106/2020/TT-BTC mức thu, chế độ thu, nộp, quản lý và sử dụng phí thẩm định cấp giấy phép hoạt động điện lực
| Cơ quan ban hành: | Bộ Tài chính |
Số công báo:
Số công báo là mã số ấn phẩm được đăng chính thức trên ấn phẩm thông tin của Nhà nước. Mã số này do Chính phủ thống nhất quản lý.
|
Đã biết
|
| Số hiệu: | 106/2020/TT-BTC | Ngày đăng công báo: |
Đã biết
|
| Loại văn bản: | Thông tư | Người ký: | Vũ Thị Mai |
|
Ngày ban hành:
Ngày ban hành là ngày, tháng, năm văn bản được thông qua hoặc ký ban hành.
|
08/12/2020 |
Ngày hết hiệu lực:
Ngày hết hiệu lực là ngày, tháng, năm văn bản chính thức không còn hiệu lực (áp dụng).
|
Đã biết
|
|
Áp dụng:
Ngày áp dụng là ngày, tháng, năm văn bản chính thức có hiệu lực (áp dụng).
|
Đã biết
|
Tình trạng hiệu lực:
Cho biết trạng thái hiệu lực của văn bản đang tra cứu: Chưa áp dụng, Còn hiệu lực, Hết hiệu lực, Hết hiệu lực 1 phần; Đã sửa đổi, Đính chính hay Không còn phù hợp,...
|
Đã biết
|
| Lĩnh vực: | Thuế-Phí-Lệ phí Điện lực |
TÓM TẮT THÔNG TƯ 106/2020/TT-BTC
Theo đó, Biểu mức thu phí thẩm định cấp giấy phép hoạt động điện lực do cơ quan Trung ương thực hiện đối với các công việc cụ thể như sau: Tư vấn chuyên ngành điện lực là 10,4 triệu đồng; Hoạt động truyền tải điện là 24,9 triệu đồng; Hoạt động bán buôn điện là 19,2 triệu đồng;…
Bên cạnh đó, Biểu mức thu phí thẩm định cấp giấy phép hoạt động bán lẻ điện đối với điện năng thương phẩm tiêu thụ dưới 10 GWh/tháng là 9,7 triệu đồng; Điện năng thương phẩm tiêu thụ từ 10 GWh/tháng đến dưới 50 GWh/tháng là 12,5 triệu đồng; Điện năng thương phẩm tiêu thụ từ 50 GWh/tháng trở lên là 16,7 triệu đồng.
Đồng thời, Biểu mức thu phí thẩm định cấp giấy phép hoạt động điện lực do Ủy ban nhân dân cấp tỉnh thực hiện đối với công việc tư vấn chuyên ngành điện lực là 800.000 đồng; Hoạt động phát điện là 2,1 triệu đồng; Hoạt động phân phối điện là 800.000 đồng; Hoạt động bán lẻ điện là 700.000 đồng.
Thông tư này có hiệu lực từ ngày 22/01/2021.
Văn bản này được thay thế bởi 30/2026/TT-BTC
Văn bản này được sửa đổi, bổ sung bởi 64/2025/TT-BTC
Xem chi tiết Thông tư 106/2020/TT-BTC có hiệu lực kể từ ngày 22/01/2021
Tải Thông tư 106/2020/TT-BTC
|
BỘ TÀI CHÍNH |
CỘNG HOÀ XÃ HỘI CHỦ NGHĨA VIỆT NAM |
THÔNG TƯ
Quy định mức thu, chế độ thu, nộp, quản lý và sử dụng phí thẩm định cấp giấy phép hoạt động điện lực
_________
Căn cứ Luật Phí và lệ phí ngày 25 tháng 11 năm 2015;
Căn cứ Luật Ngân sách nhà nước ngày 25 tháng 6 năm 2015;
Căn cứ Luật Điện lực ngày 03 tháng 12 năm 2004; Luật Sửa đổi, bổ sung một số điều của Luật Điện lực ngày 20 tháng 11 năm 2012;
Căn cứ Luật Quản lý thuế ngày 13 tháng 6 năm 2019;
Căn cứ Nghị định số 120/2016/NĐ-CP ngày 23 tháng 8 năm 2016 của Chính phủ quy định chi tiết và hướng dẫn thi hành một số điều của Luật Phí và lệ phí;
Căn cứ Nghị định số 137/2013/NĐ-CP ngày 21 tháng 10 năm 2013 của Chính phủ quy định chi tiết thi hành một số điều của Luật Điện lực và Luật Sửa đổi, bổ sung một số điều của Luật Điện lực;
Căn cứ Nghị định số 08/2018/NĐ-CP ngày 15 tháng 01 năm 2018 của Chính phủ sửa đổi một số Nghị định liên quan đến điều kiện đầu tư kinh doanh thuộc phạm vi quản lý nhà nước của Bộ Công Thương;
Căn cứ Nghị định số 17/2020/NĐ-CP ngày 05 tháng 02 năm 2020 của Chính phủ sửa đổi, bổ sung một số điều của các Nghị định liên quan đến điều kiện đầu tư kinh doanh thuộc lĩnh vực quản lý nhà nước của Bộ Công Thương;
Căn cứ Nghị định số 87/2017/NĐ-CP ngày 26 tháng 7 năm 2017 của Chính phủ quy định chức năng, nhiệm vụ, quyền hạn và cơ cấu tổ chức của Bộ Tài chính;
Theo đề nghị của Vụ trưởng Vụ Chính sách thuế;
Bộ trưởng Bộ Tài chính ban hành Thông tư quy định mức thu, chế độ thu, nộp, quản lý và sử dụng phí thẩm định cấp giấy phép hoạt động điện lực.
Điều 1. Phạm vi điều chỉnh và đối tượng áp dụng
1. Thông tư này quy định mức thu, chế độ thu, nộp, quản lý và sử dụng phí thẩm định cấp giấy phép hoạt động điện lực.
2. Thông tư này áp dụng đối với tổ chức, cá nhân nộp hồ sơ đề nghị cấp giấy phép hoạt động điện lực; cơ quan nhà nước có thẩm quyền cấp giấy phép hoạt động điện lực và các tổ chức, cá nhân liên quan đến thẩm định cấp giấy phép hoạt động điện lực.
Điều 2. Người nộp phí
Tổ chức, cá nhân khi nộp hồ sơ đề nghị cấp giấy phép hoạt động điện lực phải nộp phí thẩm định cấp giấy phép hoạt động điện lực theo quy định tại Thông tư này. Phí nộp trực tiếp bằng tiền mặt cho tổ chức thu phí hoặc chuyển khoản vào tài khoản của tổ chức thu phí mở tại Kho bạc nhà nước .
Điều 3. Tổ chức thu phí
Cục Điều tiết điện lực (Bộ Công Thương) và Sở Công Thương các tỉnh, thành phố trực thuộc Trung ương là tổ chức thu phí thẩm định cấp giấy phép hoạt động điện lực theo quy định tại Thông tư này.
Điều 4. Mức thu phí
1. Mức thu phí thẩm định cấp giấy phép hoạt động điện lực được quy định tại Biểu mức thu phí ban hành kèm theo Thông tư này.
2. Trường hợp sửa đổi, bổ sung giấy phép hoạt động điện lực áp dụng mức thu bằng 50% mức thu quy định tại Biểu mức thu phí ban hành kèm theo Thông tư này.
Điều 5. Kê khai, nộp phí
1. Chậm nhất là ngày 05 hàng tháng, tổ chức thu phí phải gửi số tiền phí đã thu của tháng trước vào tài khoản phí chờ nộp ngân sách mở tại Kho bạc nhà nước.
Điều 6. Quản lý và sử dụng phí
1. Tổ chức thu phí nộp toàn bộ số tiền phí thu được vào ngân sách nhà nước. Nguồn chi phí trang trải cho việc thẩm định và thu phí do ngân sách nhà nước bố trí trong dự toán của tổ chức thu theo chế độ, định mức chi ngân sách nhà nước theo quy định của pháp luật.
2. Trường hợp tổ chức thu phí thuộc diện khoán chi phí hoạt động theo quy định tại khoản 1 Điều 4 Nghị định số 120/2016/NĐ-CP ngày 23 tháng 8 năm 2016 của Chính phủ quy định chi tiết và hướng dẫn thi hành một số điều của Luật Phí và lệ phí, được để lại 90% tổng số tiền phí thu được, để trang trải chi phí phục vụ thẩm định, thu phí theo quy định tại Điều 5 Nghị định số 120/2016/NĐ-CP, trong đó, chi khác bao gồm cả chi thuê chuyên gia tư vấn thực hiện các công việc thẩm định. Số tiền phí còn lại (10%), tổ chức thu phí nộp vào ngân sách nhà nước theo chương, mục, tiểu mục tương ứng của Mục lục ngân sách nhà nước.
Điều 7. Tổ chức thực hiện
3. Trường hợp các văn bản quy phạm pháp luật quy định viện dẫn tại Thông tư này được sửa đổi, bổ sung hoặc thay thế thì thực hiện theo văn bản mới được sửa đổi, bổ sung hoặc thay thế.
4. Trong quá trình thực hiện, nếu có vướng mắc đề nghị các tổ chức, cá nhân phản ánh kịp thời về Bộ Tài chính để nghiên cứu, hướng dẫn bổ sung./.
|
Nơi nhận: |
KT. BỘ TRƯỞNG
Vũ Thị Mai |
Theo quy định tại khoản 1 Điều 1 Thông tư 64/2025/TT-BTC: Từ ngày 01/7/2025 đến hết ngày 31/12/2026, mức thu phí thẩm định cấp giấy phép hoạt động điện lực (đối với cấp lại, cấp gia hạn giấy phép hoạt động điện lực) bằng 50% mức thu phí quy định tại Biểu mức thu phí thẩm định cấp giấy phép hoạt động điện lực ban hành kèm theo Thông tư số 106/2020/TT-BTC.
BIỂU MỨC THU PHÍ THẨM ĐỊNH CẤP GIẤY PHÉP HOẠT ĐỘNG ĐIỆN LỰC
(Ban hành kèm theo Thông tư số 106/2020/TT-BTC ngày 08 tháng 12 năm 2020 của Bộ trưởng Bộ Tài chính)
|
TT |
Nội dung công việc thu phí |
Mức thu (đồng) |
||
|
A |
Thẩm định cấp giấy phép hoạt động điện lực do cơ quan Trung ương thực hiện |
|||
|
I |
Tư vấn chuyên ngành điện lực |
10.400.000 |
||
|
II |
Hoạt động phát điện |
|
||
|
1 |
Công trình nhà máy thủy điện, nhà máy điện gió, nhà máy điện mặt trời |
|
||
|
1.1 |
Công suất đặt dưới 10 MW |
10.600.000 |
||
|
1.2 |
Công suất đặt từ 10 MW đến dưới 30 MW |
15.000.000 |
||
|
1.3 |
Công suất đặt từ 30 MW đến dưới 100 MW |
18.000.000 |
||
|
1.4 |
Công suất đặt từ 100 MW đến dưới 300 MW |
24.500.000 |
||
|
1.5 |
Công suất đặt từ 300 MW trở lên |
28.800.000 |
||
|
2 |
Công trình nhà máy nhiệt điện (than, khí, dầu, sinh khối, chất thải rắn) |
|
||
|
2.1 |
Công suất đặt dưới 50 MW |
17.800.000 |
||
|
2.2 |
Công suất đặt từ 50 MW đến dưới 100 MW |
21.900.000 |
||
|
2.3 |
Công suất đặt từ 100 MW trở lên |
28.800.000 |
||
|
III |
Hoạt động truyền tải điện |
24.900.000 |
||
|
IV |
Hoạt động phân phối điện |
|
||
|
1 |
Tổng chiều dài đường dây dưới 1.000 km hoặc Tổng dung lượng trạm biến áp dưới 300 MVA |
12.100.000 |
||
|
2 |
Tổng chiều dài đường dây từ 1.000 km đến dưới 2.000 km hoặc Tổng dung lượng trạm biến áp từ 300 MVA đến dưới 600 MVA |
13.700.000 |
||
|
3 |
Tổng chiều dài đường dây từ 2.000 km đến dưới 3.000 km hoặc Tổng dung lượng trạm biến áp từ 600 MVA đến dưới 1.000 MVA |
18.800.000 |
||
|
4 |
Tổng chiều dài đường dây từ 3.000km trở lên hoặc Tổng dung lượng trạm biến áp từ 1.000 MVA trở lên |
21.800.000 |
||
|
V |
Hoạt động xuất, nhập khẩu điện |
|
||
|
1 |
Công suất dưới 10 MW |
9.700.000 |
||
|
2 |
Công suất từ 10 MW đến dưới 100 MW |
12.100.000 |
||
|
3 |
Công suất từ 100 MW đến dưới 300 MW |
16.200.000 |
||
|
4 |
Công suất từ 300 MW trở lên |
19.200.000 |
||
|
VI |
Hoạt động bán buôn điện |
19.200.000 |
||
|
VII |
Hoạt động bán lẻ điện |
|
||
|
1 |
Điện năng thương phẩm tiêu thụ dưới 10 GWh/tháng |
9.700.000 |
||
|
2 |
Điện năng thương phẩm tiêu thụ từ 10 GWh/tháng đến dưới 50 GWh/tháng |
12.500.000 |
||
|
3 |
Điện năng thương phẩm tiêu thụ từ 50 GWh/tháng trở lên |
16.700.000 |
||
|
B |
Thẩm định cấp giấy phép hoạt động điện lực do Uỷ ban nhân dân cấp tỉnh thực hiện |
|||
|
1 |
Tư vấn chuyên ngành điện lực |
800.000 |
||
|
2 |
Hoạt động phát điện |
2.100.000 |
||
|
3 |
Hoạt động phân phối điện |
800.000 |
||
|
4 |
Hoạt động bán lẻ điện |
700.000 |
||
Ghi chú:
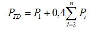
1. Trường hợp tổ chức, cá nhân khi nộp hồ sơ đề nghị cấp giấy phép để thực hiện từ hai lĩnh vực hoạt động điện lực trở lên, thì mức thu phí thẩm định được tính như sau:

Trong đó: - P1: Phí thẩm định lớn nhất của một trong các lĩnh vực hoạt động điện lực đề nghị cấp phép (được quy định tại Biểu mức thu nêu trên);
- Pi: Phí thẩm định của các lĩnh vực hoạt động điện lực còn lại;
- 0,4: Hệ số điều chỉnh.
2. Đối với việc thẩm định và cấp giấp phép hoạt động lĩnh vực phân phối điện: trường hợp tổng chiều dài đường dây và tổng dung lượng trạm biến áp không nằm trong cùng một mức thu theo mục IV Biểu mức thu nêu trên thì áp dụng mức thu phí thẩm định tương ứng với Tổng chiều dài đường dây hoặc tổng dung lượng trạm biến áp có mức thu phí cao hơn.
Ví dụ: Đơn vị đề nghị thẩm định cấp giấy hoạt động lĩnh vực phân phối điện có tổng chiều dài đường dây lớn hơn 3000 km nhưng có tổng dung lượng trạm biến áp nhỏ hơn 300 MVA thì xác định mức phí thẩm định theo tổng chiều dài đường dây lớn hơn 3000 km, mức phí thẩm định là 21.800.000đồng./.
Bạn chưa Đăng nhập thành viên.
Đây là tiện ích dành cho tài khoản thành viên. Vui lòng Đăng nhập để xem chi tiết. Nếu chưa có tài khoản, vui lòng Đăng ký tại đây!
Bạn chưa Đăng nhập thành viên.
Đây là tiện ích dành cho tài khoản thành viên. Vui lòng Đăng nhập để xem chi tiết. Nếu chưa có tài khoản, vui lòng Đăng ký tại đây!