- Tổng quan
- Nội dung
- VB gốc
- Tiếng Anh
- Hiệu lực
- VB liên quan
- Lược đồ
-
Nội dung hợp nhất
Tính năng này chỉ có tại LuatVietnam.vn. Nội dung hợp nhất tổng hợp lại tất cả các quy định còn hiệu lực của văn bản gốc và các văn bản sửa đổi, bổ sung, đính chính... trên một trang. Việc hợp nhất văn bản gốc và những văn bản, Thông tư, Nghị định hướng dẫn khác không làm thay đổi thứ tự điều khoản, nội dung.
Khách hàng chỉ cần xem Nội dung hợp nhất là có thể nắm bắt toàn bộ quy định hiện hành đang áp dụng, cho dù văn bản gốc đã qua nhiều lần chỉnh sửa, bổ sung.
- Tải về
Thông tư 30/2026/TT-BTC quy định phí thẩm định giấy phép điện lực
| Cơ quan ban hành: | Bộ Tài chính |
Số công báo:
Số công báo là mã số ấn phẩm được đăng chính thức trên ấn phẩm thông tin của Nhà nước. Mã số này do Chính phủ thống nhất quản lý.
|
Đang cập nhật |
| Số hiệu: | 30/2026/TT-BTC | Ngày đăng công báo: | Đang cập nhật |
| Loại văn bản: | Thông tư | Người ký: | Cao Anh Tuấn |
| Trích yếu: | Quy định mức thu, chế độ thu, nộp phí thẩm định cấp giấy phép hoạt động điện lực | ||
|
Ngày ban hành:
Ngày ban hành là ngày, tháng, năm văn bản được thông qua hoặc ký ban hành.
|
27/03/2026 |
Ngày hết hiệu lực:
Ngày hết hiệu lực là ngày, tháng, năm văn bản chính thức không còn hiệu lực (áp dụng).
|
Đang cập nhật |
|
Áp dụng:
Ngày áp dụng là ngày, tháng, năm văn bản chính thức có hiệu lực (áp dụng).
|
Đã biết
|
Tình trạng hiệu lực:
Cho biết trạng thái hiệu lực của văn bản đang tra cứu: Chưa áp dụng, Còn hiệu lực, Hết hiệu lực, Hết hiệu lực 1 phần; Đã sửa đổi, Đính chính hay Không còn phù hợp,...
|
Đã biết
|
| Lĩnh vực: | Thuế-Phí-Lệ phí Điện lực | ||
TÓM TẮT THÔNG TƯ 30/2026/TT-BTC
Quy định mức thu phí thẩm định cấp giấy phép hoạt động điện lực
Ngày 27/03/2026, Bộ Tài chính đã ban hành Thông tư số 30/2026/TT-BTC quy định mức thu, chế độ thu, nộp phí thẩm định cấp giấy phép hoạt động điện lực. Thông tư này có hiệu lực từ ngày 11/05/2026.
Thông tư này áp dụng cho các tổ chức nộp hồ sơ đề nghị cấp giấy phép hoạt động điện lực, tổ chức có thẩm quyền cấp giấy phép hoạt động điện lực, và các tổ chức, cá nhân khác có liên quan đến việc khai, thu, nộp phí thẩm định cấp giấy phép hoạt động điện lực.
- Mức thu phí thẩm định
-
Cấp mới giấy phép: Mức thu phí thẩm định cấp giấy phép hoạt động điện lực được quy định chi tiết trong Biểu mức thu phí kèm theo Thông tư. Ví dụ, đối với công trình nhà máy thủy điện có công suất đặt dưới 10 MW, mức phí là 10.600.000 đồng.
-
Cấp sửa đổi, bổ sung, cấp lại, cấp gia hạn: Mức thu phí bằng 50% mức thu phí quy định cho cấp mới.
-
Lĩnh vực phân phối điện: Nếu tổng chiều dài đường dây và tổng dung lượng trạm biến áp không nằm trong cùng một mức thu phí, áp dụng mức thu phí cao hơn.
-
Hồ sơ có nhiều lĩnh vực hoạt động: Mức thu phí được tính dựa trên mức thu lớn nhất của một trong các lĩnh vực hoạt động cộng với 40% tổng mức thu của các lĩnh vực còn lại.
-
Miễn phí: Trường hợp cấp sửa đổi, bổ sung giấy phép do thay đổi địa chỉ trụ sở chính khi sắp xếp, tổ chức lại đơn vị hành chính.
- Khai, thu, nộp phí
Người nộp phí phải nộp tiền phí vào ngân sách nhà nước theo thời hạn và phương thức quy định. Tổ chức thu phí nộp toàn bộ số tiền phí thu được vào ngân sách nhà nước, bao gồm cả tiền lãi phát sinh nếu có. Chi phí hoạt động cung cấp dịch vụ, thu phí được ngân sách nhà nước bố trí trong dự toán của tổ chức thu phí.
- Biểu mức thu phí
Biểu mức thu phí chi tiết cho từng lĩnh vực hoạt động điện lực được quy định rõ ràng, ví dụ: lĩnh vực phát điện có mức thu từ 10.600.000 đồng đến 28.800.000 đồng tùy theo công suất và loại hình nhà máy. Lĩnh vực phân phối điện có mức thu từ 12.100.000 đồng đến 21.800.000 đồng tùy theo chiều dài đường dây và dung lượng trạm biến áp.
Xem chi tiết Thông tư 30/2026/TT-BTC có hiệu lực kể từ ngày 11/05/2026
Tải Thông tư 30/2026/TT-BTC
| BỘ TÀI CHÍNH | CỘNG HÒA XÃ HỘI CHỦ NGHĨA VIỆT NAM |
THÔNG TƯ
Quy định mức thu, chế độ thu, nộp
phí thẩm định cấp giấy phép hoạt động điện lực
Căn cứ Luật Phí và lệ phí số 97/2015/QH13;
Căn cứ Luật Ngân sách nhà nước số 89/2025/QH15;
Căn cứ Luật Quản lý thuế số 38/2019/QH14;
Căn cứ Luật Điện lực số 61/2024/QH15;
Căn cứ Nghị định số 362/2025/NĐ-CP của Chính phủ quy định chi tiết một số điều và biện pháp để tổ chức, hướng dẫn thi hành Luật Phí và lệ phí;
Căn cứ Nghị định số 126/2020/NĐ-CP của Chính phủ quy định chi tiết một số điều của Luật Quản lý thuế được sửa đổi, bổ sung bởi Nghị định số 91/2022/NĐ-CP và Nghị định số 373/2025/NĐ-CP;
Căn cứ Nghị định số 347/2025/NĐ-CP của Chính phủ quy định về thủ tục hành chính thuộc lĩnh vực Kho bạc Nhà nước;
Căn cứ Nghị định số 123/2020/NĐ-CP của Chính phủ quy định về hóa đơn, chứng từ được sửa đổi, bổ sung bởi Nghị định số 70/2025/NĐ-CP;
Căn cứ Nghị định số 61/2025/NĐ-CP của Chính phủ quy định chi tiết một số điều Luật Điện lực về giấy phép hoạt động điện lực;
Căn cứ Nghị định số 146/2025/NĐ-CP của Chính phủ quy định về phân quyền, phân cấp trong lĩnh vực công nghiệp và thương mại;
Căn cứ Nghị định số 29/2025/NĐ-CP của Chính phủ quy định chức năng, nhiệm vụ, quyền hạn và cơ cấu tổ chức của Bộ Tài chính được sửa đổi, bổ sung bởi Nghị định số 166/2025/NĐ-CP;
Theo đề nghị của Cục trưởng Cục Quản lý, giám sát chính sách thuế, phí và lệ phí;
Bộ trưởng Bộ Tài chính ban hành Thông tư quy định mức thu, chế độ thu, nộp phí thẩm định cấp giấy phép hoạt động điện lực.
Điều 1. Phạm vi điều chỉnh và đối tượng áp dụng
1. Thông tư này quy định người nộp phí, tổ chức thu phí, mức thu, chế độ thu, nộp phí thẩm định cấp giấy phép hoạt động điện lực (gồm cấp mới, cấp sửa đổi, bổ sung, cấp lại, cấp gia hạn giấy phép hoạt động điện lực).
2. Đối tượng áp dụng
a) Tổ chức nộp hồ sơ đề nghị cấp giấy phép hoạt động điện lực;
b) Tổ chức có thẩm quyền cấp giấy phép hoạt động điện lực;
c) Tổ chức, cá nhân khác có liên quan đến khai, thu, nộp phí thẩm định cấp giấy phép hoạt động điện lực.
Điều 2. Người nộp phí
Tổ chức nộp hồ sơ đề nghị cấp giấy phép hoạt động điện lực là người nộp phí thẩm định cấp giấy phép hoạt động điện lực theo quy định tại Thông tư này.
Điều 3. Tổ chức thu phí
Tổ chức thu phí thẩm định cấp giấy phép hoạt động điện lực là tổ chức có thẩm quyền cấp giấy phép hoạt động điện lực theo quy định của pháp luật về điện lực.
Điều 4. Mức thu phí
1. Trường hợp cấp mới giấy phép hoạt động điện lực, áp dụng mức thu phí thẩm định cấp giấy phép hoạt động điện lực được quy định tại Biểu mức thu phí ban hành kèm theo Thông tư này.
2. Trường hợp cấp sửa đổi, bổ sung, cấp lại, cấp gia hạn giấy phép hoạt động điện lực, áp dụng mức thu phí bằng 50% mức thu phí quy định tại Biểu mức thu phí ban hành kèm theo Thông tư này.
3. Đối với việc cấp giấy phép hoạt động điện lực trong lĩnh vực phân phối điện: trường hợp tổng chiều dài đường dây và tổng dung lượng trạm biến áp không nằm trong cùng một mức thu phí, áp dụng mức thu phí tương ứng với tổng chiều dài đường dây hoặc tổng dung lượng trạm biến áp có mức thu phí cao hơn.
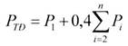
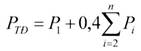
4. Trường hợp hồ sơ đề nghị cấp giấy phép hoạt động điện lực có từ hai lĩnh vực hoạt động trở lên, mức thu phí thẩm định cấp giấy phép hoạt động điện lực (PTĐ) được tính như sau:

Trong đó:
P1 là mức thu lớn nhất của một trong các lĩnh vực hoạt động theo đề nghị cấp giấy phép hoạt động điện lực được quy định tại Biểu mức thu phí ban hành kèm theo Thông tư này;
Pi là mức thu của các lĩnh vực hoạt động còn lại theo đề nghị cấp giấy phép hoạt động điện lực;
n là tổng số lĩnh vực hoạt động đề nghị cấp giấy phép hoạt động điện lực;
0,4 là hệ số điều chỉnh.
5. Miễn phí thẩm định cấp giấy phép hoạt động điện lực đối với trường hợp cấp sửa đổi, bổ sung giấy phép hoạt động điện lực do thay đổi địa chỉ trụ sở chính của tổ chức đã được cấp giấy phép hoạt động điện lực khi thực hiện sắp xếp, tổ chức lại đơn vị hành chính các cấp.
Điều 5. Khai, thu, nộp phí
1. Người nộp phí thực hiện nộp tiền phí vào ngân sách nhà nước như sau:
a) Nộp phí theo thời hạn quy định tại Nghị định số 61/2025/NĐ-CP ngày 04 tháng 3 năm 2025 của Chính phủ quy định chi tiết một số điều Luật Điện lực về giấy phép hoạt động điện lực;
b) Nộp phí theo một trong các phương thức quy định tại khoản 1 Điều 3 Nghị định số 362/2025/NĐ-CP ngày 31 tháng 12 năm 2025 của Chính phủ quy định chi tiết một số điều và biện pháp để tổ chức, hướng dẫn thi hành Luật Phí và lệ phí.
2. Tổ chức thu phí nộp 100% số tiền phí thu được vào ngân sách nhà nước theo chương, tiểu mục của Mục lục ngân sách nhà nước hiện hành, bao gồm tiền lãi phát sinh (nếu có) trên số dư tài khoản liên quan trong quá trình thu phí. Nguồn chi phí để trang trải cho hoạt động cung cấp dịch vụ, thu phí được ngân sách nhà nước bố trí trong dự toán của tổ chức thu phí theo chế độ, định mức chi ngân sách nhà nước theo quy định của pháp luật.
Tổ chức thu phí thực hiện khai, thu, nộp phí và quyết toán số tiền phí thu được theo quy định tại khoản 3 Điều 3 Nghị định số 362/2025/NĐ-CP.
Điều 6. Điều khoản thi hành
1. Thông tư này có hiệu lực thi hành từ ngày 11 tháng 5 năm 2026.
2. Thông tư số 106/2020/TT-BTC ngày 08 tháng 12 năm 2020 của Bộ trưởng Bộ Tài chính quy định mức thu, chế độ thu, nộp, quản lý và sử dụng phí thẩm định cấp giấy phép hoạt động điện lực hết hiệu lực thi hành kể từ ngày Thông tư này có hiệu lực thi hành.
3. Bãi bỏ số thứ tự 44 khoản 1 Điều 1 và Điều 2 Thông tư số 64/2025/TT-BTC ngày 30 tháng 6 năm 2025 của Bộ trưởng Bộ Tài chính quy định mức thu, miễn một số khoản phí, lệ phí nhằm hỗ trợ cho doanh nghiệp, người dân.
4. Các nội dung khác liên quan đến việc khai, thu, nộp, công khai chế độ thu phí không quy định tại Thông tư này được thực hiện theo quy định tại các văn bản: Luật Phí và lệ phí số 97/2015/QH13; Luật Quản lý thuế số 38/2019/QH14; Nghị định số 362/2025/NĐ-CP; Nghị định số 126/2020/NĐ-CP ngày 19 tháng 10 năm 2020 của Chính phủ quy định chi tiết một số điều của Luật Quản lý thuế được sửa đổi, bổ sung bởi Nghị định số 91/2022/NĐ-CP và Nghị định số 373/2025/NĐ-CP; Nghị định số 347/2025/NĐ-CP ngày 29 tháng 12 năm 2025 của Chính phủ quy định về thủ tục hành chính thuộc lĩnh vực Kho bạc Nhà nước; Nghị định số 123/2020/NĐ-CP ngày 19 tháng 10 năm 2020 của Chính phủ quy định về hóa đơn, chứng từ được sửa đổi, bổ sung bởi Nghị định số 70/2025/NĐ-CP và Thông tư số 32/2025/TT-BTC ngày 31 tháng 5 năm 2025 của Bộ trưởng Bộ Tài chính hướng dẫn thực hiện một số điều của Luật Quản lý thuế ngày 13 tháng 6 năm 2019, Nghị định số 123/2020/NĐ-CP ngày 19 tháng 10 năm 2020 của Chính phủ quy định về hóa đơn, chứng từ, Nghị định số 70/2025/NĐ-CP ngày 20 tháng 3 năm 2025 sửa đổi, bổ sung một số điều của Nghị định số 123/2020/NĐ-CP.
5. Trường hợp các văn bản viện dẫn tại Thông tư này được sửa đổi, bổ sung hoặc thay thế thì thực hiện theo văn bản sửa đổi, bổ sung hoặc thay thế đó.
6. Trong quá trình thực hiện, trường hợp có vướng mắc, đề nghị các tổ chức, cá nhân phản ánh kịp thời về Bộ Tài chính để nghiên cứu, hướng dẫn bổ sung./.
| Nơi nhận: | KT. BỘ TRƯỞNG |
BIỂU MỨC THU PHÍ THẨM ĐỊNH CẤP GIẤY PHÉP
HOẠT ĐỘNG ĐIỆN LỰC
(Kèm theo Thông tư số 30/2026/TT-BTC
Ngày 27 tháng 3 năm 2026 của Bộ trưởng Bộ Tài chính)
| Số TT | Nội dung công việc thu phí | Mức thu (đồng) |
| A | Thẩm định cấp giấy phép hoạt động điện lực do Bộ Công Thương phân cấp cho Cục Điện lực thực hiện | |
| I | Lĩnh vực phát điện |
|
| 1 | Công trình nhà máy thủy điện, nhà máy điện gió, nhà máy điện mặt trời, nhà máy điện năng lượng mới, nhà máy điện năng lượng tái tạo khác và loại hình phát điện khác, trừ các công việc thu phí quy định tại điểm 2 mục I này |
|
| 1.1 | Công suất đặt dưới 10 MW | 10.600.000 |
| 1.2 | Công suất đặt từ 10 MW đến dưới 30 MW | 15.000.000 |
| 1.3 | Công suất đặt từ 30 MW đến dưới 100 MW | 18.000.000 |
| 1.4 | Công suất đặt từ 100 MW đến dưới 300 MW | 24.500.000 |
| 1.5 | Công suất đặt từ 300 MW trở lên | 28.800.000 |
| 1 | Công trình nhà máy nhiệt điện (than, khí, dầu, sinh khối, chất thải rắn) |
|
| 2.1 | Công suất đặt dưới 50 MW | 17.800.000 |
| 2.2 | Công suất đặt từ 50 MW đến dưới 100 MW | 21.900.000 |
| 2.3 | Công suất đặt từ 100 MW trở lên | 28.800.000 |
| II | Lĩnh vực truyền tải điện | 24.900.000 |
| III | Lĩnh vực phân phối điện |
|
| 1 | Tổng chiều dài đường dây dưới 1.000 km hoặc tổng dung lượng trạm biến áp dưới 300 MVA | 12.100.000 |
| 2 | Tổng chiều dài đường dây từ 1.000 km đến dưới 2.000 km hoặc tổng dung lượng trạm biến áp từ 300 MVA đến dưới 600 MVA | 13.700.000 |
| 3 | Tổng chiều dài đường dây từ 2.000 km đến dưới 3.000 km hoặc tổng dung lượng trạm biến áp từ 600 MVA đến dưới 1.000 MVA | 18.800.000 |
| 4 | Tổng chiều dài đường dây từ 3.000 km trở lên hoặc tổng dung lượng trạm biến áp từ 1.000 MVA trở lên | 21.800.000 |
| IV | Lĩnh vực bán buôn điện | 19.200.000 |
| V | Lĩnh vực bán lẻ điện |
|
| 1 | Điện năng thương phẩm tiêu thụ dưới 10 GWh/tháng | 9.700.000 |
| 2 | Điện năng thương phẩm tiêu thụ từ 10 GWh/tháng đến dưới 50 GWh/tháng | 12.500.000 |
| 3 | Điện năng thương phẩm tiêu thụ từ 50 GWh/tháng trở lên | 16.700.000 |
| B | Thẩm định cấp giấy phép hoạt động điện lực do Ủy ban nhân dân cấp tỉnh thực hiện hoặc cơ quan chuyên môn thuộc Ủy ban nhân dân cấp tỉnh được ủy quyền thực hiện | |
| 1 | Lĩnh vực phát điện | 2.100.000 |
| 2 | Lĩnh vực phân phối điện | 800.000 |
| 3 | Lĩnh vực bán buôn điện | 700.000 |
| 4 | Lĩnh vực bán lẻ điện | 700.000 |
Bạn chưa Đăng nhập thành viên.
Đây là tiện ích dành cho tài khoản thành viên. Vui lòng Đăng nhập để xem chi tiết. Nếu chưa có tài khoản, vui lòng Đăng ký tại đây!
Bạn chưa Đăng nhập thành viên.
Đây là tiện ích dành cho tài khoản thành viên. Vui lòng Đăng nhập để xem chi tiết. Nếu chưa có tài khoản, vui lòng Đăng ký tại đây!