• Tổng quan
  • Nội dung
  • Tiêu chuẩn liên quan
  • Lược đồ
  • Tải về
Lưu
Đây là tiện ích dành cho tài khoản Tiêu chuẩn hoặc Nâng cao . Vui lòng Đăng nhập tài khoản để xem chi tiết.
Theo dõi VB
Đây là tiện ích dành cho tài khoản Tiêu chuẩn hoặc Nâng cao . Vui lòng Đăng nhập tài khoản để xem chi tiết.
Ghi chú
Báo lỗi
In

Tiêu chuẩn quốc gia TCVN14290-4:2024 Công trình lâm sinh - Khảo sát và thiết kế - Phần 4: Nuôi dưỡng rừng trên cạn

Ngày cập nhật: Thứ Sáu, 04/04/2025 11:47 (GMT+7)
Số hiệu: TCVN 14290-4:2024 Loại văn bản: Tiêu chuẩn Việt Nam
Cơ quan ban hành: Bộ Khoa học và Công nghệ Lĩnh vực: Tài nguyên-Môi trường , Nông nghiệp-Lâm nghiệp
Trích yếu: Công trình lâm sinh - Khảo sát và thiết kế - Phần 4: Nuôi dưỡng rừng trên cạn
Ngày ban hành:
Ngày ban hành là ngày, tháng, năm văn bản được thông qua hoặc ký ban hành.
31/12/2024
Hiệu lực:
Đã biết
Tiện ích dành cho tài khoản Tiêu chuẩn hoặc Nâng cao. Vui lòng Đăng nhập tài khoản để xem chi tiết.
Người ký: Đang cập nhật
Tình trạng hiệu lực:
Cho biết trạng thái hiệu lực của văn bản đang tra cứu: Chưa áp dụng, Còn hiệu lực, Hết hiệu lực, Hết hiệu lực 1 phần; Đã sửa đổi, Đính chính hay Không còn phù hợp,...
Đã biết
Tiện ích dành cho tài khoản Tiêu chuẩn hoặc Nâng cao. Vui lòng Đăng nhập tài khoản để xem chi tiết.

TÓM TẮT TIÊU CHUẨN VIỆT NAM TCVN 14290-4:2024

Tóm tắt Tiêu chuẩn quốc gia TCVN 14290-4:2024 về Nuôi dưỡng rừng trên cạn

Ngày 31/12/2024, Viện Khoa học Lâm nghiệp Việt Nam đã hoàn thành việc biên soạn Tiêu chuẩn quốc gia TCVN 14290-4:2024 về "Công trình lâm sinh - Khảo sát và thiết kế - Phần 4: Nuôi dưỡng rừng trên cạn". Bộ Nông nghiệp và Phát triển nông thôn đề nghị, Ủy ban Tiêu chuẩn Đo lường Chất lượng Quốc gia thẩm định và Bộ Khoa học và Công nghệ công bố tiêu chuẩn này.

Tiêu chuẩn này áp dụng cho việc khảo sát và thiết kế nuôi dưỡng rừng tự nhiên và rừng trồng cho các loại rừng phòng hộ và rừng sản xuất trên cạn.

Phạm vi áp dụng
Tiêu chuẩn quy định về nội dung và phương pháp thực hiện khảo sát, thiết kế nuôi dưỡng cho các loại rừng, bao gồm rừng phòng hộ và rừng sản xuất.

Các nội dung nổi bật

  1. Đối tượng nuôi dưỡng rừng: Bảng quy định về đối tượng nuôi dưỡng cho các loại rừng như rừng tự nhiên phòng hộ, rừng trồng sản xuất, và rừng phục hồi. Mỗi loại rừng có tiêu chí cụ thể về trữ lượng, mật độ và tình trạng phát triển của cây.

  2. Khảo sát nuôi dưỡng rừng: Phương pháp xác định vị trí, diện tích và điều kiện tự nhiên của lô nuôi dưỡng rừng được quy định chi tiết, sử dụng bản đồ địa hình và công cụ hiện đại để thu thập thông tin.

  3. Thiết kế nuôi dưỡng rừng: Các phương pháp kỹ thuật cụ thể cho việc nuôi dưỡng rừng tự nhiên và rừng trồng. Quy định về kỹ thuật bài cây, cường độ tỉa thưa, và thời gian nuôi dưỡng để tối đa hóa năng suất và chất lượng rừng.

  4. Điều kiện thiết kế nuôi dưỡng: Tiêu chuẩn cũng đưa ra hướng dẫn về việc xác định cây nuôi dưỡng, cây bài chặt và cây trung gian, để đảm bảo rừng được duy trì trong tình trạng tốt nhất có thể.

  5. Hệ thống mẫu biểu khảo sát: Một quy trình chi tiết cho việc ghi chép và đánh giá các thông số của cây tái sinh và tầng cây cao để phục vụ cho các việc khảo sát và phân tích hiệu quả nuôi dưỡng rừng.

Thông qua việc áp dụng các tiêu chuẩn này, người quản lý rừng có thể thực hiện hiệu quả các biện pháp nuôi dưỡng, giúp bảo vệ và phát triển bền vững nguồn tài nguyên rừng của đất nước.

Tải tiêu chuẩn Việt Nam TCVN 14290-4:2024

Tải văn bản tiếng Việt (.pdf) Tiêu chuẩn Việt Nam TCVN 14290-4:2024 PDF (Bản có dấu đỏ)

Đây là tiện ích dành cho tài khoản thành viên. Vui lòng Đăng nhập để xem chi tiết. Nếu chưa có tài khoản, Đăng ký tại đây!

Tải văn bản tiếng Việt (.doc) Tiêu chuẩn Việt Nam TCVN 14290-4:2024 DOC (Bản Word)

Đây là tiện ích dành cho tài khoản thành viên. Vui lòng Đăng nhập để xem chi tiết. Nếu chưa có tài khoản, Đăng ký tại đây!

Tình trạng hiệu lực: Đã biết
Hiệu lực: Đã biết
Tình trạng hiệu lực: Đã biết

TIÊU CHUẨN QUỐC GIA

TCVN 14290-4:2024

CÔNG TRÌNH LÂM SINH - KHẢO SÁT VÀ THIẾT KẾ
PHẦN 4: NUÔI DƯỠNG RỪNG TRÊN CẠN

Silvicultural Project - Survey and design
Part 4: Maintenance forest on land

Lời nói đầu

TCVN 14290-4: 2024 do Viện Khoa học Lâm nghiệp Việt Nam biên soạn, Bộ Nông nghiệp và Phát triển nông thôn đề nghị, Ủy ban Tiêu chuẩn Đo lường Chất lượng Quốc gia thẩm định, Bộ Khoa học và  Công nghệ công bố.

Bộ tiêu chuẩn TCVN 14290, Công trình lâm sinh - Khảo sát và thiết kế gồm các phần sau:

- TCVN 14290-1: 2024, Phần 1: Trồng rừng trên cạn;

- TCVN 14290-2: 2024, Phần 2: Khoanh nuôi xúc tiến tái sinh rừng trên cạn;

- TCVN 14290-3: 2024, Phần 3: Làm giàu rừng tự nhiên trên cạn;

- TCVN 14290-4: 2024, Phần 4: Nuôi dưỡng rừng trên cạn;

- TCVN 14290-5: 2024, Phần 5: Cải tạo rừng tự nhiên trên cạn.

 

CÔNG TRÌNH LÂM SINH - KHẢO SÁT VÀ THIẾT KẾ
PHẦN 4: NUÔI DƯỠNG RỪNG TRÊN CẠN

Silvicultural Project - Survey and design
Part 4: Maintenance forest on land

1 Phạm vi áp dụng

Tiêu chuẩn này quy định về nội dung, phương pháp khảo sát và thiết kế nuôi dưỡng rừng tự nhiên và rừng trồng đối với rừng phòng hộ và rừng sản xuất trên cạn.

2 Tài liệu viện dẫn

Các tài liệu viện dẫn sau đây là cần thiết để áp dụng tiêu chuẩn này. Đối với các tài liệu viện dẫn ghi năm công bố thì áp dụng bản được nêu. Đối với các tài liệu viện dẫn không ghi năm công bố thì áp dụng phiên bản mới nhất, bao gồm cả các sửa đổi, bổ sung (nếu có).

TCVN 11567-1:2016, Rừng trồng - Rừng gỗ lớn chuyển hóa từ rừng trồng gỗ nhỏ - Phần 1: Keo lai;

TCVN 11567-2:2016, Rừng trồng - Rừng gỗ lớn chuyển hóa từ rừng trồng gỗ nhỏ - Phần 2: Keo tai tượng;

TCVN 11567-3:2017, Rừng trồng - Rừng gỗ lớn chuyển hóa từ rừng trồng gỗ nhỏ - Phần 3: Bạch đàn urophylla.

TCVN 12630-1:2019, Bản đồ lập địa - Quy định trình bày và thể hiện nội dung - Phần 1: Bản đồ lập địa cấp I;

TCVN 13703:2023, Rừng trồng - Phương pháp xác định các chỉ tiêu nghiệm thu trng rừng;

3 Thuật ngữ và định nghĩa

Trong tiêu chuẩn này sử dụng thuật ngữ và định nghĩa được nêu trong TCVN 11567-1:2016, TCVN 11567-2:2016, TCVN 11567-3:2017, TCVN 12630-1:2019, TCVN 13703:2023 và các thuật ngữ, định nghĩa sau:

3.1

Cây bài chặt (trees marked to be cut)

Cây không đủ tiêu chuẩn để lại nuôi dưỡng.

3.2

Cây mục đích (Purpose trees)

Cây đủ tiêu chuẩn nuôi dưỡng để phát triển thành gỗ lớn.

3.3

Cây tái sinh mục đích (Target regenerated sapling)

Cây gỗ tái sinh có chiều cao lớn hơn chiều cao trung bình của tầng cây bụi, thảm tươi, đáp ứng mục đích sử dụng rừng.

3.4

Cây trồng chính (Major trees)

Loài cây thân gỗ được trồng phù hợp với mục đích sử dụng rừng.

3.5

Cây trung gian (Intermediate trees)

Cây chưa đủ tiêu chuẩn của cây mục đích nhưng tốt hơn cây bài chặt, có thể bài chặt hoặc chừa lại cho lần tỉa thưa sau tùy theo phân bố không gian của chúng.

3.6

Cường độ tỉa thưa (Thinning intensity)

Mức độ tác động của một lần chặt tỉa thưa và được biểu thị bằng tỷ lệ phần trăm giữa phần bị chặt so với toàn bộ lâm phần trước khi chặt.

3.7

Độ tàn che (Canopy cover)

Mức độ che của tán cây rừng theo phương thẳng đứng trên một đơn vị diện tích rừng được biểu thị bằng tỷ lệ phần mười.

3.8

Khảo sát nuôi dưỡng rừng (Survey of forest maintenance)

Hoạt động thu thập và phân tích thông tin về các yếu tố tự nhiên phục vụ thiết kế nuôi dưỡng rừng.

3.9

Lô nuôi dưỡng (Plots of forest maintenence)

Đơn vị cơ bản trong thiết kế nuôi dưỡng rừng, có điều kiện tự nhiên tương đi đồng nhất và áp dụng một biện pháp kỹ thuật nuôi dưỡng rừng. Thứ tự lô được ghi số bằng chữ số Ả Rập.

3.10

Nuôi dưỡng rừng (Forest maintenance)

Biện pháp lâm sinh điều chỉnh mật độ, tổ thành loài bằng các biện pháp loại bỏ những cây phi mục đích, phẩm chất xu, cây dây leo cạnh tranh dinh dưỡng với cây mục đích, giữ lại cây mục đích có phẩm chất tốt nhằm nâng cao năng suất, chất lượng và giá trị của rừng.

3.11

Rừng phục hồi (Restored forest)

Rừng được hình thành bằng tái sinh tự nhiên trên đất đã mt rừng do nương rẫy, cháy rừng hoặc khai thác kiệt.

3.12

Tầng cây cao (Canopy layer)

Gồm những cây có đường kính ngang ngực từ 6,0 cm trở lên và đã tham gia vào tầng tán chính của rừng.

3.13

Thiết kế nuôi dưỡng rừng (Design of forest maintenance)

Nội dung và phương pháp nuôi dưỡng rừng.

4 Đối tượng nuôi dưỡng rừng

Đối tượng nuôi dưỡng được quy định tại Bảng 1.

Bảng 1 - Đối tượng nuôi dưỡng rừng

TT

Đối tượng

Tiêu chí

1

Rừng tự nhiên phòng hộ

Rừng phục hồi, rừng nghèo kiệt có trữ lượng cây đứng dưới 30 m3/ha, số lượng cây gỗ đạt chiều cao tham gia vào tán rừng với số lượng từ 400 cây/ha trở lên và cây tái sinh mục đích có chiều cao trên 1,0 m với số lượng từ 500 cây/ha. Mật độ cây gỗ và cây tái sinh mục đích phân bố tương đối đều trên toàn diện tích.

Diện tích rừng tre nứa có tỷ lệ che phủ trên 60 % và từ 200 bụi/ha trở lên, phân bố tương đối đều trên toàn diện tích.

2

Rừng tự nhiên sản xuất

Rừng phục hồi, rừng nghèo kiệt có trữ lượng cây đứng dưới 30 m3/ha, đáp ứng mục đích sản xuất kinh doanh có số lượng cây gỗ tầng cao, chất lượng tốt trên 500 cây/ha và cây tái sinh mục đích đạt chiều cao trên 1,0 m với số lượng trên 1 000 cây/ha. Mật độ cây gỗ và cây tái sinh mục đích phân bố tương đối đều trên toàn diện tích;

Diện tích rừng tre nứa có tỷ lệ che phủ trên 70 % và từ 200 bụi/ha trở lên, phân bố tương đi đều trên toàn diện tích.

3

Rừng trồng sản xuất

Rừng trong giai đoạn từ rừng non khép tán đến trước kỳ khai thác trắng từ 02 năm đến 04 năm đối với loài cây sinh trưởng nhanh và từ 06 năm đến 10 năm đối với loài cây sinh trưởng chậm;

Rừng trồng sản xuất

Rừng trồng loài cây sinh trưởng nhanh, thuần loài, đều tuổi, trên điều kiện lập địa tốt, độ dày tầng đất trên 50 cm, trong khu vực ít xảy ra gió bão, lốc xoáy; mật độ rừng trồng trên 1 000 cây/ha để chuyển hóa rừng trồng gỗ nhỏ sang rừng trồng gỗ lớn;

Rừng trồng loài cây bản địa đã thành rừng sau giai đoạn kiến thiết cơ bản đến khi khép tán.

4

Rừng trồng phòng hộ

Rừng đã khép tán có độ tàn che lớn hơn 0,6 và mật độ loài cây trồng chính trên 600 cây/ha. Mật độ loài cây trồng chính phân bố đều trên toàn diện tích;

Rừng trồng loài cây bản địa đã thành rừng sau giai đoạn kiến thiết cơ bản đến khi khép tán.

5 Khảo sát nuôi dưỡng rừng

Nội dung và phương pháp khảo sát nuôi dưỡng rừng quy định tại Bảng 2.

Bảng 2 - Nội dung và phương pháp khảo sát nuôi dưỡng rừng

Hạng mục

Nội dung

Phương pháp

Vị trí và diện tích

Xác định vị trí và diện tích trên thực địa của khu vực cần thiết kế

Sử dụng bản đồ địa hình có tỷ lệ 1: 5 000 hoặc 1:10 000 là bản đồ gốc hoặc được phóng từ bản đồ địa hình 1 : 25 000 có hệ tọa độ gốc VN-2000 làm bản đồ nền;

Rà soát ranh giới, đo và tính diện tích lô nuôi dưỡng rừng bằng thước dây hoặc máy định vị vệ tinh áp dụng tại mục 4.1.3 trong TCVN 13703:2023.

Tầng cây cao

Xác định mật độ, chiều cao vút ngọn trung bình, đường kính ngang ngực trung bình, độ tàn che và trữ lượng cây gỗ tầng cao có trong lô nuôi dưỡng rừng

Điều tra ô tiêu chuẩn điển hình cho lô nuôi dưỡng rừng, chi tiết tham khảo phụ lục A, trong đó:

a) Số lượng ô tiêu chuẩn: từ 02 đến 04 ô tùy theo diện tích lô rừng;

b) Diện tích ô tiêu chuẩn: tối thiểu 500 m2 đối với rừng tự nhiên và tối thiểu 100 m2 đối với rừng trồng.

Cây tái sinh

Xác định mật độ, chiều cao bình quân và phân bố cây tái sinh mục đích

Điều tra ô dạng bản được bố trí trong các ô tiêu chuẩn khảo sát tầng cây cao, chi tiết tham khảo phụ lục A, trong đó:

a) Số lượng ô dạng bản: 05 ô trên 01 ô tiêu chuẩn;

b) Diện tích ô dạng bản: 16 m2 (4 m 4 m) hoặc 25 m2 (5 m x 5 m).

Địa hình

Xác định độ cao tuyệt đối khu thiết kế nuôi dưỡng rừng

Sử dụng máy định vị vệ tinh để đo độ cao tuyệt đối tại 03 vị trí đại diện cho từng lô nuôi dưỡng rừng

Xác định độ dốc khu thiết kế nuôi dưỡng rừng

Sử dụng thiết bị chuyên dụng có sai số nhỏ hơn hoặc bằng 0,5° đề đo độ dốc tại 03 vị trí đại diện cho từng lô nuôi dưỡng rừng

Cự ly di chuyển

Xác định cự ly di chuyển từ địa điểm tập trung đến lô nuôi dưỡng rừng

Sử dụng máy định vị vệ tinh đo khoảng cách từ địa điểm tập trung đến từng lô nuôi dưỡng rừng

Khí hậu

Xác định nhiệt độ trung bình năm khu thiết kế nuôi dưỡng rừng

Sử dụng số liệu tại trạm khí tượng gần nhất với nơi nuôi dưỡng rừng, tính giá trị trung bình cho từng chỉ tiêu trong ít nhất 3 năm gần nhất với thời đim thiết kế nuôi dưỡng rừng

Xác định lượng mưa trung bình năm khu thiết kế nuôi dưỡng rừng

Phân chia lô nuôi dưỡng rừng

Xác định vị trí, diện tích, ranh giới và một số đặc điểm về điều kiện tự nhiên của từng lô nuôi dưỡng rừng

Sử dụng kết quả khảo sát tương ứng với các mục ở trên để gắn và đánh s cho từng lô nuôi dưỡng rừng

6 Thiết kế nuôi dưỡng rừng

6.1 Thiết kế nuôi dưỡng rừng tự nhiên

Nội dung và phương pháp thiết kế các hạng mục nuôi dưỡng rừng tự nhiên quy định tại Bảng 3.

Bảng 3 - Nội dung và phương pháp thiết kế nuôi dưỡng rừng tự nhiên

Hạng mục

Nội dung

Phương pháp

Kỹ thuật bài cây

Cây nuôi dưỡng

Điều tra toàn bộ lô rừng, xác định và đánh dấu sơn đỏ trên thân cây nuôi dưỡng thuộc phân cấp I, II có chất lượng thân đẹp, đáp ứng yêu cầu kinh doanh (tham khảo phụ lục B)

Cây trung gian

Điều tra toàn bộ lô rừng, xác định và đánh dấu sơn vàng trên thân cây trung gian thuộc phân cấp II, III có chất lượng thân trung bình và không chèn ép những cây nuôi dưỡng (tham khảo phụ lục B)

Kỹ thuật bài cây

Cây bài chặt

Điều tra toàn bộ lô rừng, xác định và không đánh dấu sơn trên cây bài chặt thuộc phân cấp III, IV có chất lượng thân xấu cong queo, sâu bệnh, dập gãy, cụt ngọn hoặc cây chết đứng (tham khảo phụ lục B)

Mức độ tỉa thưa

Xác định mức độ tỉa thưa cho các lần tỉa

Căn cứ vào kỹ thuật bài cây, đặc điểm sinh thái loài cây, điều kiện lập địa, mật độ và mục đích kinh doanh, xác định số lượng cây bài chặt đảm bảo độ tàn che tối thiểu của lô rừng để lại nuôi dưỡng từ 0,6 trở lên

Thời gian nuôi dưỡng

Số lần tỉa thưa

Tùy theo chức năng của lô rừng nuôi dưỡng, số lần tỉa thưa xác định như sau:

a) Đối với rừng phòng hộ: 01 lần đến 03 lần, giữa hai lần tỉa thưa cách nhau từ 03 năm đến 10 năm;

b) Đối với rừng sản xuất: từ 01 lần đến 03 lần, giữa hai lần tỉa thưa cách nhau từ 03 năm đến 07 năm.

 

Thời điểm tỉa thưa

Căn cứ vào đặc đim sinh thái loài cây, điều kiện lập địa, mật độ và mục đích kinh doanh, xác định thời điểm chặt vào trước mùa sinh trưởng của cây rừng

Kỹ thuật nuôi dưỡng rừng tự nhiên

Tỉa thưa nuôi dưỡng

Căn cứ vào các Tiêu chuẩn quốc gia, quy trình kỹ thuật, hướng dẫn kỹ thuật tỉa thưa, nuôi dưỡng rừng tự nhiên hoặc các quy định hiện hành của Bộ, của địa phương để xác định kỹ thuật và phương án tỉa thưa nuôi dưỡng

Vệ sinh rừng sau tỉa thưa nuôi dưỡng

Căn cứ vào điều kiện lập địa và mục đích kinh doanh, xác định các biện pháp sau:

a) Thu gom thân cây, cành cây to;

b) Thu dọn cành cây nhỏ;

c) Phát dây leo, không phát cây bụi thảm tươi.

Bản đồ thiết kế nuôi dưỡng rừng tự nhiên

Tỷ lệ bản đồ

Tỷ lệ bản đồ xác định theo Mục4.1 trong TCVN 12630-1:2019

Mã, ký hiệu, màu sắc và trường thông tin

Áp dụng theo Mục 5 trong TCVN 12630-1:2019

Nội dung trình bày, đặt tên và khung bản đồ

Áp dụng theo Mục 6 trong TCVN 12630-1:2019

6.2 Thiết kế nuôi dưỡng rừng trồng

Đối với các loài đã có tiêu chuẩn quốc gia về nuôi dưỡng rừng trồng (TCVN 11567-1:2016, TCVN 11567-2:2016, TCVN 11567-3:2017, v.v..), áp dụng các tiêu chuẩn quốc gia đã được công bố. Trong trường hợp chưa có tiêu chuẩn quốc gia, nội dung và phương pháp thiết kế các hạng mục nuôi dưỡng rừng trồng quy định tại Bảng 4.

Bảng 4 - Nội dung và phương pháp thiết kế nuôi dưỡng rừng trồng

Hạng mục

Nội dung

Phương pháp

Kỹ thuật bài cây

Cây nuôi dưỡng

Điều tra toàn bộ lô rừng, xác định và đánh dấu sơn đỏ trên thân cây nuôi dưỡng thuộc phân cấp I, II có chất lượng thân đẹp, đáp ứng yêu cầu kinh doanh (tham khảo phụ lục B)

Cây trung gian

Điều tra toàn bộ lô rừng, xác định và đánh du sơn vàng trên thân cây trung gian thuộc phân cấp II, III có chất lượng thân trung bình và không chèn ép những cây nuôi dưỡng (tham khảo phụ lục B)

Cây bài chặt

Điều tra toàn bộ lô rừng, xác định và không đánh du sơn trên cây bài chặt thuộc phân cấp III, IV có chất lượng thân xấu cong queo, sâu bệnh, dập gãy, cụt ngọn hoặc cây chết đứng (tham khảo phụ lục B)

Cường độ tỉa thưa

Đối với rừng sản xuất

Căn cứ vào kỹ thuật bài cây, đặc điểm sinh thái loài cây, điều kiện lập địa, mật độ và đích kinh doanh, xác định cường độ chặt như sau:

a) Thấp: khoảng cách giữa các cây chừa nhỏ hơn 1 phần 3 đường kính tán cây ở tuổi khai thác trắng;

b) Trung bình: khoảng cách giữa các cây chừa từ 1 phần 3 đến dưới 1 phần 2 đường kính tán cây ở tuổi khai thác trắng;

c) Cao: khoảng cách giữa các cây chừa từ 1 phần 2 đến gần bằng đường kính tán cây ở tuổi khai thác trắng;

d) Rất cao: khoảng cách giữa các cây chừa bằng hoặc lớn hơn đường kính tán cây ở tuổi khai thác trắng.

Đối với rừng phòng hộ

Căn cứ vào các đối tượng nuôi dưỡng rừng, cường độ tỉa thưa mỗi lần không quá 20 % tổng trữ lượng rừng

Thời gian nuôi dưỡng

Số lần tỉa thưa

a) Đối với rừng phòng hộ: 01 lần đến 03 lần, giữa hai lần chặt cách nhau từ 03 năm đến 10 năm;

b) Đối với rừng sản xuất: từ 01 lần đến 03 lần, giữa hai lần chặt cách nhau từ 03 năm đến 07 năm.

Thời gian nuôi dưỡng

Thời điểm tỉa thưa

Căn cứ vào đặc điểm sinh thái loài cây, điều kiện lập địa, mật độ và mục đích kinh doanh, xác định thời điểm tỉa vào mùa khô hoặc những tháng có lượng mưa dưới 50 mm

Kỹ thuật nuôi dưỡng rừng trồng

Tỉa thưa

Căn cứ vào các Tiêu chuẩn cơ sở, quy trình kỹ thuật, hướng dẫn kỹ thuật tỉa thưa, nuôi dưỡng rừng trồng hoặc các quy định hiện hành của Bộ, của địa phương để xác định kỹ thuật và phương án tỉa thưa, tỉa cành

Tỉa cành

Vệ sinh rừng sau tỉa thưa nuôi dưỡng

Căn cứ vào điều kiện lập địa và mục đích kinh doanh, xác định các biện pháp sau:

a) Thu gom thân cây, cành cây to;

b) Thu dọn cành cây nhỏ;

c) Phát dây leo, không phát cây bụi thảm tươi.

Chủng loại, liều lượng và thời điểm bón phân

Căn cứ vào các Tiêu chuẩn cơ sở, quy trình kỹ thuật, hướng dẫn kỹ thuật chăm sóc, nuôi dưỡng rừng trồng hoặc các quy định hiện hành của Bộ, của địa phương để xác định chủng loại, liều lượng phân bón và thời điểm bón phân

Mật độ để lại

Đối với rừng sản xuất

Cây để lại đến thời điểm khai thác trắng từ 400 cây/ha đến 800 cây/ha đối với rừng trồng các loài cây sinh trưởng nhanh; từ 300 cây/ha đến 700 cây/ha đối với rừng trồng các loài cây sinh trưởng chậm

Đối với rừng phòng hộ đầu nguồn

Cây trồng chính để lại tối thiểu 600 cây/ha

Bản đồ thiết kế nuôi dưỡng rừng trồng

Tỷ lệ bản đồ

Gồm 2 loại tỷ lệ 1 : 5 000 hoặc 1:10 000, được xác định theo Mục 4.1 trong TCVN 12630-1:2019

Mã, ký hiệu, màu sắc và trường thông tin

Áp dụng theo Mục 5 trong TCVN 12630-1:2019

Nội dung trình bày, đặt tên và khung bản đồ

Áp dụng theo Mục 6 trong TCVN 12630-1:2019

 

Phụ lục A

(Tham khảo)

Phương pháp khảo sát cây tái sinh và tầng cây cao

B.1  Lập ô tiêu chuẩn

- Phương pháp chọn ô tiêu chuẩn (OTC): OTC được lập theo phương pháp điển hình đại diện cho khu vực khảo sát.

- Số lượng OTC cần lập:

i) lập 02 ô tiêu chuẩn nếu diện tích lô rừng ≤ 3 ha;

ii) lập 3 ô tiêu chuẩn nếu diện tích lô rừng từ > 3 đến ≤ 5 ha;

iii) lập 4 ô tiêu chuẩn nếu diện tích lô rừng > 5 ha.

- Phương pháp lập OTC để điều tra tầng cây cao có đường kính ngang ngực lớn hơn hoặc bằng 6 cm: OTC hình chữ nhật có diện tích tối thiểu 500 m2. Trường hợp nuôi dưỡng đối với rừng tre nứa mọc tản cần lập thêm 04 ô phụ hình vuông tại 04 góc ô tiêu chuẩn, diện tích mỗi ô là 25 m2 (5 m x 5 m).

- Phương pháp lập ô dạng bản để điều tra cây tái sinh có chiều cao lớn hơn 20 cm và đường kính ngang ngực nhỏ hơn 6cm. Trong OTC đã thiết lập, tiến hành lập 05 ô dạng bản hình vuông có diện tích mỗi ô là 16 m2 (4 m x 4 m) nếu cây tái sinh có phân bố dày hoặc 25 m2 (5 m x 5 m) nếu cây tái sinh phân bố thưa. Trong đó, 04 ô nằm ở giữa 4 cạnh của ô tiêu chuẩn, ô còn lại nằm trên giao điểm hai đường chéo của ô tiêu chuẩn.

B.2  Đo đếm trong ô tiêu chuẩn và ô dạng bản

- Chiều cao vút ngọn được đo bằng sào khắc vạch từ mặt đất tại vị trí gốc cây đến đỉnh sinh trưởng của thân chính, độ chính xác đến dm.

- Đường kính gốc (Doo) và đường kính ngang ngực (D1,3) được đo bằng thước dây hoặc thước kẹp kính, độ chính xác đến cm.

- Phẩm chất, chất lượng cây được phân làm 3 cấp: (i) Cây sinh trưởng tốt (A) là những cây thân thẳng, không cụt ngọn, tán lá phát triển cân đối, không bị sâu, bệnh hại, (ii) Cây sinh trưởng xấu (C) là những cây cong queo, cụt ngọn, tán lá không cân đối và bị sâu bệnh hại ở mức độ trung bình trở lên và (iii) Cây sinh trưởng trung bình (B) là cây nằm giữa hai cấp phẩm cht nêu trên.

- Đối với tre nứa mọc tản, thì điều tra số cây, đường kính và chiều cao trung bình của tre nứa trong 4 ô dạng bản, diện tích mỗi ô là 25 m2 (5 m x 5 m). Đối với tre nứa mọc cụm hoặc bụi thì đếm số bụi trong ô tiêu chuẩn và số cây trong ba bụi trung bình; Đếm số cây tre nứa có đường kính từ 2,0 cm trở lên và phân theo 03 tổ tuổi: non, trung bình, già; Đo đường kính tại vị trí 1,3 m: Mỗi loài cây, mỗi tổ tuổi (non, trung bình, già) chọn một cây có đường kính trung bình để đo. Đường kính 1,3 m tối thiểu được đo đếm từ 2,0 cm trở lên. Đơn vị đo là cm, làm tròn đến 1,0 cm.

- Xác định độ tàn che rừng bằng phương pháp 100 điểm gồm 2 bước (i) Bước 1: Thiết lập tuyến và các điểm đo độ tàn che, trong ô tiêu chuẩn bố trí trên 04 tuyến song song cách đều với chiều dài của ô tiêu chuẩn. Trên mỗi tuyến bố trí 25 điểm cách đều nhau và so le với các điểm của tuyến liền kề và (ii) Bước 2: Độ tàn che của cây gỗ được xác định bằng phương pháp cho điểm thông qua quan sát đặc điểm tán lá tại từng điểm trong tổng số 100 điểm điều tra. Tại từng điểm đo, sử dụng một ống ngắm lên theo phương thẳng đứng, nếu gặp tán cây thì cho 1 điểm, nếu gặp mép tán cây thì cho 0,5 điểm, nếu không gặp tán cây thì cho 0 điểm.

B.3  Xử lý nội nghiệp

- Mật độ cây tái sinh mục đích theo công thức (1)

(1)

trong đó:

- Nodb

là số cây trong các ô dạng bản;

- Sodb

là diện tích các ô dạng bản;

- n

là số lượng ô dạng bản.

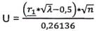
- Phân bố cây tái sinh trên mặt đất dựa vào khoảng cách cây tái sinh theo công thc (2)

(2)

*|U| < 1,96: Cây rừng phân bố ngẫu nhiên

* U > 1.96: Cây rừng phân bố đều trên mặt đất

* U < -1,96: Cây rừng phân bố theo cụm trên mặt đất

trong đó

- Khoảng cách bình quân từ cây được chọn đến cây gàn thứ nhất, kí hiệu là ;

- Mật độ cây rừng (số cây/m2, ký hiệu là λ);

- S khoảng cách quan sát (n);

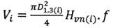
- Thể tích thân cây cá lẻ trong ô tiêu chuẩn có thể được xác định dựa trên các bảng tra chuyên dụng hoặc phương trình tương quan hoặc được tính bằng công thức (3)

(3)

trong đó:

- Vi (m3)

là thể tích của cây thứ i

- D1,3(i) (m)

là đường kính ngang ngực của cây thứ i;

- Hvn(i) (m)

là chiều cao vút ngọn của của cây thứ i;

- f

là hình số của cây gỗ, được lấy trị mặc định là 0,5

- Trữ lượng của cây gỗ trong ô tiêu chuẩn được tính bằng công thức (4)

Motc = Σ Vi

(4)

trong đó:

- Motc (m3)

là trữ lượng cây gỗ trong ô tiêu chuẩn.

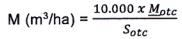
- Trữ lượng của lô rừng được xác định theo công thức (5)

(5)

trong đó:

- M (m3/ha)

là trữ lượng của lô rừng;

- Motc (m3)

là trữ lượng cây gỗ trung bình của các ô tiêu chuẩn.

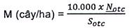
- Trữ lượng rừng tre nứa mọc tản được xác định theo công thức (6)

(6)

trong đó:

- M (cây/ha)

là trữ lượng của rừng tre nứa;

- Notc (cây)

là số cây trung bình trong ô tiêu chuẩn;

- Sotc (m2)

là diện tích ô tiêu chuẩn điều tra.

Đối với các loài cây mọc theo cụm, số cây trung bình trong ô tiêu chuẩn được xác định theo công thức (7)

(7)

trong đó:

- nb (cây/bụi)

là số cây trung bình của 01 bụi;

- b(bụi)

là tổng số bụi trong ô tiêu chuẩn.

B.4 Hệ thống mẫu biểu khảo sát cây tái sinh và tầng cây cao

I. PHIẾU ĐIỀU TRA CÂY TÁI SINH

Số hiệu ô đo đếm: ........................................................................................................................

Vị trí hành chính: Xã .................................... Huyện: ..............................Tỉnh: .............................

Vị trí quản lý: Tiểu khu .............................. Khoảnh: ................................ Lô: ..............................

Tọa độ tâm ô tại thực địa (VN2000): X: .................................... Y: ...............................................

Độ cao tuyệt đối: ...........................................................................................................................

Độ che phủ: .................................... Độ dốc bình quân ô đo đếm: ...............................................

TT

Tên loài

Chất lượng1

Tổng cộng

Cấp chiều cao (m)

Từ 0,5 đến dưới 1,0

Từ 1,0 đến dưới 2,0

Từ 2,0 đến dưới 3,0

Từ 3,0 trở lên

Nguồn gốc

Nguồn gốc

Nguồn gốc

Nguồn gốc

H

Ch

H

Ch

H

Ch

H

Ch

(1)

(2)

(3)

(4)

(5)

(6)

(7)

(8)

(9)

(10)

(11)

(12)

 

 

 

 

 

 

 

 

 

 

 

 

 

 

 

 

 

 

 

 

 

 

 

 

 

 

 

 

 

 

 

 

 

 

 

 

 

 

 

 

 

 

 

 

 

 

 

 

GHI CHÚ:

1Chất lượng cây tái sinh ghi a, b và c tương ứng với tốt, trung bình và xấu;

2H: Nguồn gốc tái sinh hạt;

3Ch: Nguồn gốc tái sinh chồi.

II. PHIU ĐIỀU TRA TNG CÂY CAO

Số hiệu ô tiêu chuẩn: .......................................... Độ tàn che .......................................................

Vị trí hành chính: Xã: ................................... Huyện ................................. Tỉnh ............................

Vị trí quản lý: Tiểu khu .............................. Khoảnh ................................... Lô ..............................

Tọa độ OTC: X ....................................; Y ....................................; Hệ tọa độ: ..............................

Độ cao tuyệt đối (m) .................................... Độ dốc trung bình (độ) .............................................

Kiểu rừng: .......................................................................................................................................

Trạng thái rừng: ..........................................................................................................................

Họ tên người điều tra: .................................................................................................................

Ngày điều tra: ..............................................................................................................................

TT

Tên cây

D1,3
(cm)

Hvn
(m)

Phẩm chất
(a.b.c)

(1)

(2)

(3)

(4)

(5)

1

 

 

 

 

2

 

 

 

 

3

 

 

 

 

4

 

 

 

 

5

 

 

 

 

6

 

 

 

 

7

 

 

 

 

8

 

 

 

 

9

 

 

 

 

10

 

 

 

 

11

 

 

 

 

12

 

 

 

 

13

 

 

 

 

14

 

 

 

 

15

 

 

 

 

16

 

 

 

 

17

 

 

 

 

III. PHIẾU ĐIU TRA TRE NỨA

Số hiệu ô tiêu chuẩn: .................................... Độ tàn che: .......................................................

Vị trí hành chính: Xã: ................................... Huyện ................................. Tỉnh ............................

Vị trí quản lý: Tiểu khu .............................. Khoảnh ................................... Lô ..............................

Tọa độ OTC: X ....................................; Y ....................................; Hệ tọa độ: ..............................

Độ cao tuyệt đối (m) .................................... Độ dốc trung bình (độ) .............................................

Kiểu rừng: .......................................................................................................................................

Trạng thái rừng: ..........................................................................................................................

Họ tên người điều tra: .................................................................................................................

Ngày điều tra: ..............................................................................................................................

TT

Tên loài / cấp tuổi

Số cây

Loài/cây - tổ tuổi

C1,3
(cm)

Hvn
(m)

Ghi chú

 

Nứa

 

Nứa

 

 

 

 

Non

 

Non

 

 

 

 

Trung bình

 

1

 

 

 

 

Già

 

2

 

 

 

 

.........................

 

3

 

 

 

 

 

 

Trung bình

 

 

 

 

 

 

1

 

 

 

 

 

 

2

 

 

 

 

 

 

3

 

 

 

 

 

 

Già

 

 

 

 

 

 

1

 

 

 

 

 

 

2

 

 

 

 

 

 

3

 

 

 

IV. PHIẾU GHI KẾT QUẢ ĐO ĐỘ TÀN CHE

Shiệu OTC: ..............................................................................................................................

Vị trí hành chính: Xã: ................................... Huyện ................................. Tỉnh ............................

Vị trí quản lý: Lô .............................. Khoảnh ................................... Tiểu khu ..............................

Tọa độ OTC: X ....................................; Y ....................................; Hệ tọa độ: ..............................

Loài cây: .................................... Tháng, năm trồng: .....................................................................

Họ tên người điều tra: .................................... Ngày điều tra: ........................................................

Tuyến 1

Tuyến 2

Tuyển 3

Tuyến 4

Điểm đo

Điểm đo

Điểm do

Điểm đo

Điểm đo

Điểm do

Điểm đo

Điểm đo

1

 

1

 

1

 

1

 

2

 

2

 

2

 

2

 

3

 

3

 

3

 

3

 

...

 

...

 

...

 

...

 

25

 

25

 

25

 

25

 

Tổng

 

Tổng

 

Tổng

 

Tổng

 

 

Phụ lục B

(Tham khảo)

Phân cấp cây rừng theo độ rộng và vị trí tán lá

Nuôi dưỡng rừng là một biện pháp lâm sinh nhằm điều chỉnh sự cạnh tranh của cây rừng. Vì thế, độ lớn và vị trí lá là một tiêu chuẩn quan trọng để quyết định cây nào được nuôi dưỡng hoặc bị chặt bỏ. Trên quan điểm đó, hệ thống phân cấp cây rừng theo tán lá bao gồm 4 cấp như sau:

Cây cấp I (Cây ưu thế hoặc cây trội): những cây có tán lá rộng và phân bố ở vị trí cao hơn so với tầng tán ưu thế sinh thái, tiếp nhận được ánh sáng và dinh dưỡng đầy đủ hơn bình quân lâm phần.

Cây cấp II (Cây đồng trội): những cây có tán lá tạo thành tầng tán ưu thế sinh thái (tầng cơ bản). Chúng nhận đủ ánh sáng ở phía trên nhưng kích thước nhỏ hơn cây ưu thế, một phần tán bọ che lấp ở bên sườn.

Cây cấp III (Cây trung gian): những cây thấp bé hơn cây cấp hai, nhưng tán lá của chúng vẫn có một phần xâm nhập và tầng tán cơ bản. Chúng nhận được ánh sáng trực tiếp ít hơn và phần tán lá ở bên sườn bị che lấp.

Cây cấp IV (Cây bị chèn ép): những cây có tán lá thấp hơn tầng tán cơ bản và không nhận được ánh sáng trực tiếp cả ở phía trên lẫn ở bên sườn.

 

Phụ lục C

(Tham khảo)

Thuyết minh thiết kế nuôi dưỡng rừng

Đề cương thuyết minh thiết kế nuôi dưỡng rừng bao gồm (nhưng không giới hạn) các phần sau:

Phần thứ 1. Thông tin chung

1.1  Tên công trình

1.2  Thuộc Dự án (nếu có)

1.3  Nhóm Dự án, cấp Dự án (nếu có)

1.4  Mục tiêu

1.5  Địa điểm xây dựng

1.6  Đơn vị chủ quản (nếu có)

1.7  Đơn vị chủ đầu tư

1.8  Đơn vị lập báo cáo thiết kế nuôi dưỡng rừng

1.9  Tổng kinh phí đầu tư

1.10  Nguồn vốn đầu tư

1.11  Thời gian thực hiện

Phần thứ 2. Cơ sở lập hồ sơ thiết kế

2.1  Căn cứ pháp lý

2.2  Tài liệu liên quan

Phần thứ 3. Khái quát tình hình cơ bản khu vực thiết kế

3.1  Điều kiện tự nhiên

3.2  Điều kiện kinh tế - xã hội

Phần thứ 4. Nội dung thiết kế cụ thể

4.1  Cây nuôi dưỡng

4.2  Cây trung gian

4.3  Cây bài tỉa

4.4  Cường độ tỉa thưa (Đối với rừng trồng)

4.5  Mức độ tỉa thưa (Đối với rừng tự nhiên)

4.6 Thời gian tỉa thưa

4.7  Kỹ thuật nuôi dưỡng

- Tỉa thưa

- Tỉa cành (đối với nuôi dưỡng rừng trồng)

- Vệ sinh rừng sau tỉa thưa nuôi dưỡng

4.8  Mật độ để lại (đối với nuôi dưỡng rừng trồng)

Phần thứ 5. Bản đồ thiết kế nuôi dưỡng rừng

Phần thứ 6. Phụ lục

 

Thư mục tài liệu tham khảo

[1] Thông tư số 29/2018/TT-BNNPTNT ngày 16 tháng 11 năm 2018 của Bộ trưởng Bộ Nông nghiệp và Phát triển nông thôn quy định về các biện pháp lâm sinh.

[2] Thông tư số 33/2018/TT-BNNPTNT ngày 16/11/2018 của Bộ Nông nghiệp và Phát triển nông thôn quy định về điều tra, kiểm kê và theo dõi diễn biến rừng.

[3] Thông tư số 15/2019/TT-BNNPTNT ngày 30/10/2019 của Bộ Nông nghiệp và Phát triển nông thôn Hướng dẫn một số nội dung quản lý đầu tư công trình lâm sinh.

[4] Thông tư số 17/2022/TT-BNNPTNT ngày 27 tháng 10 năm 2022 của Bộ trưởng Bộ Nông nghiệp và Phát triển nông thôn về sửa đổi, bổ sung một số điều của Thông tư số 29/2018/TT-BNNPTNT.

[5] Thông tư số 16/2023/TT-BNNPTNT ngày 15 tháng 12 năm 2023 của Bộ Nông nghiệp và Phát triển nông thôn Sửa đổi, bổ sung một số điều của thông tư số 33/2018/TT-BNNPTNT.

[6] Thông tư số 21/2023/TT-BNNPTNT ngày 15/12/2023 của Bộ Nông nghiệp và Phát triển nông thôn Quy định một số định mức kinh tế - kỹ thuật về Lâm nghiệp.

[7] Văn bản hợp nhất số 15/VBHN-BNNPTNT ngày 25 tháng 11 năm 2022 của Bộ Nông nghiệp và Phát triển nông thôn Quy định về các biện pháp lâm sinh.

[8] Văn bản hợp nhất số 10/VBHN-BNNPTNT ngày 25 tháng 01 năm 2024 của Bộ Nông nghiệp và Phát triển nông thôn Quy định điều tra, kiểm kê và theo dõi diễn biến rừng.

Bạn chưa Đăng nhập thành viên.

Đây là tiện ích dành cho tài khoản thành viên. Vui lòng Đăng nhập để xem chi tiết. Nếu chưa có tài khoản, vui lòng Đăng ký tại đây!

* Lưu ý: Để đọc được văn bản tải trên Luatvietnam.vn, bạn cần cài phần mềm đọc file DOC, DOCX và phần mềm đọc file PDF.

Văn bản liên quan Tiêu chuẩn Việt Nam TCVN 14290-4:2024

văn bản cùng lĩnh vực

văn bản mới nhất

CHÍNH SÁCH BẢO VỆ DỮ LIỆU CÁ NHÂN
Yêu cầu hỗ trợYêu cầu hỗ trợ
Chú thích màu chỉ dẫn
Chú thích màu chỉ dẫn:
Các nội dung của VB này được VB khác thay đổi, hướng dẫn sẽ được làm nổi bật bằng các màu sắc:
Sửa đổi, bổ sung, đính chính
Thay thế
Hướng dẫn
Bãi bỏ
Bãi bỏ cụm từ
Bình luận
Click vào nội dung được bôi màu để xem chi tiết.
×