• Tổng quan
  • Nội dung
  • Tiêu chuẩn liên quan
  • Lược đồ
  • Tải về
Lưu
Đây là tiện ích dành cho tài khoản Tiêu chuẩn hoặc Nâng cao . Vui lòng Đăng nhập tài khoản để xem chi tiết.
Theo dõi VB
Đây là tiện ích dành cho tài khoản Tiêu chuẩn hoặc Nâng cao . Vui lòng Đăng nhập tài khoản để xem chi tiết.
Ghi chú
Báo lỗi
In

Tiêu chuẩn TCVN 14290-2:2024 Công trình lâm sinh - Khảo sát và thiết kế - Phần 2: Khoanh nuôi xúc tiến tái sinh rừng trên cạn

Ngày cập nhật: Thứ Sáu, 04/04/2025 11:48 (GMT+7)
Số hiệu: TCVN 14290-2:2024 Loại văn bản: Tiêu chuẩn Việt Nam
Cơ quan ban hành: Bộ Khoa học và Công nghệ Lĩnh vực: Tài nguyên-Môi trường , Nông nghiệp-Lâm nghiệp
Trích yếu: Công trình lâm sinh - Khảo sát và thiết kế - Phần 2: Khoanh nuôi xúc tiến tái sinh rừng trên cạn
Ngày ban hành:
Ngày ban hành là ngày, tháng, năm văn bản được thông qua hoặc ký ban hành.
31/12/2024
Hiệu lực:
Đã biết
Tiện ích dành cho tài khoản Tiêu chuẩn hoặc Nâng cao. Vui lòng Đăng nhập tài khoản để xem chi tiết.
Người ký: Đang cập nhật
Tình trạng hiệu lực:
Cho biết trạng thái hiệu lực của văn bản đang tra cứu: Chưa áp dụng, Còn hiệu lực, Hết hiệu lực, Hết hiệu lực 1 phần; Đã sửa đổi, Đính chính hay Không còn phù hợp,...
Đã biết
Tiện ích dành cho tài khoản Tiêu chuẩn hoặc Nâng cao. Vui lòng Đăng nhập tài khoản để xem chi tiết.

TÓM TẮT TIÊU CHUẨN VIỆT NAM TCVN 14290-2:2024

Tiêu chuẩn quốc gia TCVN 14290-2:2024 về khoanh nuôi xúc tiến tái sinh rừng trên cạn

Ngày 31/12/2024, Bộ Khoa học và Công nghệ đã công bố Tiêu chuẩn quốc gia TCVN 14290-2:2024 về "Công trình lâm sinh - Khảo sát và thiết kế - Phần 2: Khoanh nuôi xúc tiến tái sinh rừng trên cạn". Tiêu chuẩn này có hiệu lực từ ngày ban hành.

Tiêu chuẩn này quy định về nội dung và phương pháp khoanh nuôi xúc tiến tái sinh rừng, bao gồm cả tái sinh tự nhiên và kết hợp trồng bổ sung cây. Đối tượng áp dụng tiêu chuẩn này là các cơ quan, tổ chức thực hiện công trình lâm sinh trên lãnh thổ Việt Nam.

Phạm vi áp dụng Tiêu chuẩn này áp dụng cho các nội dung và phương pháp khảo sát, thiết kế khoanh nuôi xúc tiến tái sinh tự nhiên trên các rừng trên cạn, nhằm phục hồi hệ sinh thái rừng và bảo vệ môi trường.

Đối tượng khoanh nuôi Đối tượng khoanh nuôi xúc tiến tái sinh rừng bao gồm hai loại:

  1. Khoanh nuôi xúc tiến tái sinh tự nhiên: Diện tích chưa đạt tiêu chí thành rừng nhưng có cây tái sinh có mật độ và chiều cao đạt yêu cầu.
  2. Khoanh nuôi xúc tiến tái sinh tự nhiên có trồng bổ sung: Áp dụng cho vùng chưa đạt tiêu chuẩn rừng, nơi có cây tái sinh nhưng mật độ thấp hơn yêu cầu cần bổ sung thêm cây.

Khảo sát khoanh nuôi Việc khảo sát khoanh nuôi bao gồm xác định vị trí, diện tích và điều kiện tự nhiên của rừng, gồm các phương pháp điều tra như:

  • Xây dựng lô khoanh nuôi .
  • Khảo sát thực bì và cây tái sinh.
  • Đánh giá độ tàn che và tình hình phát triển của tầng cây cao.

Thiết kế khoanh nuôi Phương pháp thiết kế bao gồm bốn phần chính:

  1. Bảo vệ rừng: Lập kế hoạch bảo vệ và phòng ngừa sâu bệnh.
  2. Sử dụng bản đồ thiết kế: Sử dụng bản đồ tỷ lệ 1:5000 hoặc 1:10000 để đánh dấu và mô tả khu vực khoanh nuôi.
  3. Trồng bổ sung: Xác định loài cây trồng, phương thức trồng, bón phân lót và thời vụ trồng phù hợp cho từng loại rừng.
  4. Chăm sóc cây trồng: Phương pháp làm cỏ, chăm sóc và bón thúc cho cây trồng để đảm bảo hiệu quả tái sinh.

Phụ lục liên quan Phụ lục chứa các bảng biểu chi tiết về phương pháp khảo sát thực bì, cây tái sinh và nghiên cứu đất, giúp định lượng cụ thể các tiêu chí áp dụng trong quá trình điều tra và chăm sóc rừng.

Tiêu chuẩn TCVN 14290-2:2024 nhằm đảm bảo việc quản lý và phát triển rừng bền vững, theo hướng bảo vệ môi trường và tăng cường khả năng tái sinh tự nhiên của rừng trên cạn ở Việt Nam.

Tải tiêu chuẩn Việt Nam TCVN 14290-2:2024

Tải văn bản tiếng Việt (.pdf) Tiêu chuẩn Việt Nam TCVN 14290-2:2024 PDF (Bản có dấu đỏ)

Đây là tiện ích dành cho tài khoản thành viên. Vui lòng Đăng nhập để xem chi tiết. Nếu chưa có tài khoản, Đăng ký tại đây!

Tải văn bản tiếng Việt (.doc) Tiêu chuẩn Việt Nam TCVN 14290-2:2024 DOC (Bản Word)

Đây là tiện ích dành cho tài khoản thành viên. Vui lòng Đăng nhập để xem chi tiết. Nếu chưa có tài khoản, Đăng ký tại đây!

Tình trạng hiệu lực: Đã biết
Hiệu lực: Đã biết
Tình trạng hiệu lực: Đã biết

TIÊU CHUẨN QUỐC GIA

TCVN 14290-2:2024

CÔNG TRÌNH LÂM SINH - KHẢO SÁT VÀ THIẾT KẾ
PHẦN 2: KHOANH NUÔI XÚC TIẾN TÁI SINH RỪNG TRÊN CẠN

Silvicultural Project - Survey and design
Part 2: Assisted regeneration of forest on
land

Lời nói đầu

TCVN 14290-2: 2024 do Viện Khoa học Lâm nghiệp Việt Nam biên soạn, Bộ Nông nghiệp và Phát triển nông thôn đề nghị, Ủy ban Tiêu chuẩn Đo lường Chất lượng Quốc gia thẩm định, Bộ Khoa học và Công nghệ công bố.

Bộ tiêu chuẩn TCVN 14290, Công trình lâm sinh - Khảo sát và thiết kế gồm các phần sau:

- TCVN 14290-1: 2024, Phần 1: Trồng rừng trên cạn;

- TCVN 14290-2: 2024, Phần 2: Khoanh nuôi xúc tiến tái sinh rừng trên cạn;

- TCVN 14290-3: 2024, Phần 3: Làm giàu rừng tự nhiên trên cạn;

- TCVN 14290-4: 2024, Phần 4: Nuôi dưỡng rừng trên cạn;

- TCVN 14290-5: 2024, Phần 5: Cải tạo rừng tự nhiên trên cạn.

 

CÔNG TRÌNH LÂM SINH - KHẢO SÁT VÀ THIT KẾ
PHN 2: KHOANH NUÔI XÚC TIẾN TÁI SINH RỪNG TRÊN CẠN

Silvicultural Project - Survey and design
Part 2: Assisted regeneration of forest on
land

1 Phạm vi áp dụng

Tiêu chuẩn này quy định về nội dung, phương pháp khảo sát và thiết kế khoanh nuôi xúc tiến tái sinh tự nhiên và khoanh nuôi xúc tiến tái sinh tự nhiên có trồng bổ sung đối với rừng trên cạn.

2 Tài liệu viện dẫn

Các tài liệu viện dẫn sau đây là cần thiết đ áp dụng tiêu chuẩn này. Đối với các tài liệu viện dẫn ghi năm công bố thì áp dụng bản được nêu. Đối với các tài liệu viện dn không ghi năm công bố thì áp dụng phiên bản mới nhất, bao gồm cả các sửa đổi, bổ sung (nếu có).

TCVN 6857:2001, Chất lượng đất - Phương pháp đơn giản để mô tả đất;

TCVN 12630-1:2019, Bản đồ lập địa - Quy định trình bày và th hiện nội dung - Phần 1: Bản đồ lập địa cấp I;

TCVN 12829:2020-1, Công trình phòng cháy, chữa cháy rừng - Đường băng cản lửa - Phần 1: Băng trắng;

TCVN 12829:2020-2, Công trình phòng cháy, chữa cháy rừng - Đường băng cản lửa - Phần 2: Băng xanh;

TCVN 13354:2021, Công trình phòng cháy, chữa cháy rừng - Biển báo;

TCVN 13355:2021, Công trình phòng cháy, chữa cháy rừng - Chòi quan sát phát hiện cháy rừng;

TCVN 13703:2023, Rừng trồng - Phương pháp xác định các chỉ tiêu nghiệm thu trồng rừng;

TCVN 8927:2023, Phòng, chống sâu hại cây rừng - Hướng dẫn chung;

TCVN 8928:2023, Phòng, chống bệnh hại cây rừng - Hướng dẫn chung.

3 Thuật ngữ và định nghĩa

Trong tiêu chuẩn này sử dụng thuật ngữ và định nghĩa được nêu trong TCVN 6857:2001, TCVN 12630- 1:2019, TCVN 12829:2020-1, TCVN 12829:2020-2, TCVN 13354:2021, TCVN 13355:2021, TCVN 13703:2023, TCVN 8927:2023, TCVN 8928:2023 và các thuật ngữ, định nghĩa sau:

3.1

Băng trồng (Planting strip)

Băng được xử lý thực bì đ trồng tối thiểu 1 hàng cây, có chiều rộng tối đa bằng 2 phần 3 chiều cao tán rừng.

3.2

Băng chừa (Untouched strip)

Băng chừa lại không trồng cây, thiết kế xen kẽ giữa các băng trồng, có chiều rộng gấp từ 1 đến 3 lần băng trồng.

3.3

Cây bản địa (Native plant)

Loài cây có phân bố tự nhiên ở Việt Nam.

3.4

Cây tái sinh mục đích (Target regenerated sapling)

Cây gỗ tái sinh có chiều cao lớn hơn chiều cao trung bình của tầng cây bụi, thảm tươi, đáp ứng mục đích sử dụng rừng.

3.5

Độ tàn che (Canopy cover)

Mức độ che của tán cây rừng theo phương thẳng đứng trên một đơn vị diện tích rừng được biểu thị bằng tỷ lệ phần mười.

3.6

Khoảng trống (Forest gap)

Nơi có diện tích tối thiểu 100 m2, không có cây gỗ có đường kính ngang ngực từ 6,0 cm trở lên và không có tre nứa (đối với rừng tre nứa).

3.7

Khảo sát khoanh nuôi xúc tiến tái sinh rừng (Survey of assisted regeneration of forest)

Hoạt động thu thập và phân tích thông tin về các yếu tố tự nhiên phục vụ thiết kế khoanh nuôi xúc tiến tái sinh rừng.

3.8

Khoanh nuôi xúc tiến tái sinh tự nhiên (Assisted natural regeneration of forest)

Biện pháp lâm sinh phát huy tối đa khả năng tái sinh, diễn thế tự nhiên để phục hồi rừng bằng các biện pháp bảo vệ, chống chặt phá, phòng cháy và chữa cháy rừng, phát dọn dây leo, cây bụi để thúc đy thành rừng trong thời hạn xác định.

3.9

Khoanh nuôi xúc tiến tái sinh tự nhiên có trồng bổ sung (Assisted natural regeneration with additional planting)

Biện pháp lâm sinh phát huy tối đa khả năng tái sinh, diễn thế tự nhiên để phục hồi rừng bằng các biện pháp bảo vệ, chống chặt phá, phòng cháy, chữa cháy rừng và phát dọn dây leo, cây bụi, kết hợp với trồng bổ sung một lượng cây nhất định ở nơi thiếu cây tái sinh mục đích để thúc đy thành rừng trong thời hạn xác định.

3.10

Lô khoanh nuôi xúc tiến tái sinh rừng rừng (Plots of assisted regeneration of forest)

Đơn vị cơ bản trong thiết kế khoanh nuôi xúc tiến tái sinh rừng, có điều kiện tự nhiên tương đối đồng nhất và áp dụng một biện pháp kỹ thuật khoanh nuôi xúc tiến tái sinh. Thứ tự lô được ghi số bằng chữ số Ả Rập.

3.11

Mật độ trồng (Planting density)

Số lượng cây trồng trên một đơn vị diện tích.

3.12

Phương thức trồng (Forestation mode)

Cách phối trí loài hoặc nhóm loài cây trồng trên một lô khoanh nuôi xúc tiến tái sinh rừng.

3.13

Tầng cây cao (Canopy layer)

Gồm những cây có đường kính ngang ngực từ 6,0 cm trở lên và đã tham gia vào tầng tán của rừng.

3.14

Thiết kế khoanh nuôi xúc tiến tái sinh rừng (Design of assisted regeneration of forest)

Nội dung và phương pháp khoanh nuôi xúc tiến tái sinh rừng.

3.15

Thực bì (Vegetation)

Lớp thực vật bao gồm cây bụi, c và dây leo.

4 Đối tượng khoanh nuôi xúc tiến tái sinh rừng

Đối tượng khoanh nuôi xúc tiến tái sinh rừng được quy định tại Bảng 1.

Bảng 1 - Đối tượng khoanh nuôi xúc tiến tái sinh rừng

TT

Đối tượng

Tiêu chí

1

Khoanh nuôi xúc tiến tái sinh tự nhiên

Diện tích chưa đạt tiêu chí thành rừng: Rừng do khai thác kiệt; nương rẫy bỏ hoang, đất có trảng c, cây bụi xen cây gỗ và bãi bồi cửa sông, vùng ven biển có mật độ cây tái sinh mục đích đạt chiều cao trên 0,5 m lớn hơn 500 cây/ha. Mật độ cây tái sinh mục đích phân bố tương đối đều trên toàn diện tích hoặc có các khoảng trống dưới 1000 m2;

Diện tích tre, luồng, nứa, vầu, lồ ô, ... sau khai thác có tỷ lệ che phủ từ 20 % đến dưới 60 % và có khả năng tự tái sinh phục hồi thành rừng;

Núi đá có cây gỗ tái sinh nhưng chưa đạt tiêu chí thành rừng.

2

Khoanh nuôi xúc tiến tái sinh tự nhiên có trồng bổ sung

Diện tích chưa đạt tiêu chí thành rừng: Rừng do khai thác kiệt; nương rẫy bỏ hoang, đất có trảng c, cây bụi xen cây gỗ có mật độ cây tái sinh mục đích đạt chiều cao trên 0,5 m từ 300 cây/ha đến dưới 500 cây/ha đối với rừng phòng hộ, rừng sản xut hoặc từ 100 cây/ha đến dưới 500 cây/ha đối với rừng đặc dụng (trừ phân khu bảo vệ nghiêm ngặt). Mật độ cây tái sinh mục đích phân bố không đều hoặc có các khoảng trống từ 1 000 m2 đến dưới 3 000 m2;

Diện tích tre nứa sau khai thác có tỷ lệ che phủ dưới 20 %, có khả năng tự tái sinh phục hồi thành rừng đối với rừng phòng hộ, rừng đặc dụng (trừ phân khu bảo vệ nghiêm ngặt).

5 Khảo sát khoanh nuôi xúc tiến tái sinh rừng

Nội dung và phương pháp khảo sát các hạng mục khoanh nuôi xúc tiến tái sinh rừng quy định tại Bảng 2.

Bảng 2 - Nội dung và phương pháp khảo sát khoanh nuôi xúc tiến tái sinh rừng

Hạng mục

Nội dung

Phương pháp

Vị trí và diện tích

Xác định vị trí và diện tích trên thực địa của khu vực cần thiết kế

Sử dụng bản đồ địa hình có tỷ lệ 1:5 000 hoặc 1:10 000 là bản đồ gốc hoặc được phóng từ bản đồ địa hình 1 : 25 000 có hệ tọa độ gốc VN-2000 làm bản đ nền;

Rà soát ranh giới, đo và tính diện tích lô khoanh nuôi xúc tiến tái sinh rừng bằng thước dây hoặc máy định vị vệ tinh áp dụng tại mục 4.1.3 trong TCVN 13703:2023.

Thực bì

Xác định nhóm thực bì của từng lô thiết kế khoanh nuôi xúc tiến tái sinh rừng

Điều tra ô dạng bản điển hình cho lô khoanh nuôi xúc tiến tái sinh rừng nhằm xác định loài chủ yếu, chiều cao trung bình và độ che phủ của thực bì, chi tiết tham khảo phụ lục A, trong đó:

a) S lượng ô dạng bản: 05 ô nếu diện tích lô rừng khảo sát dưới 5 ha và 10 ô nếu diện tích lô rừng khảo sát từ 5 ha trở lên;

b) Diện tích ô dạng bản: 16 m2 (4 m x 4 m) hoặc 25 m2 (5 m x 5 m).

Tầng cây cao

Xác định mật độ, chiều cao vút ngọn trung bình, đường kính ngang ngực trung bình và độ tàn che của lô khoanh nuôi xúc tiến tái sinh rừng

Điều tra ô tiêu chuẩn điển hình cho lô khoanh nuôi xúc tiến tái sinh rừng, chi tiết tham khảo phụ lục B, trong đó:

a) Số lượng ô tiêu chuẩn: từ 02 đến 04 ô tùy theo diện tích lô rừng:

b) Diện tích ô tiêu chuẩn: tối thiểu 500 m2.

Cây tái sinh

Xác định mật độ, chiều cao bình quân và phân bố cây tái sinh mục đích

Điều tra ô dạng bản được bố trí trong các ô tiêu chuẩn khảo sát tầng cây cao, chi tiết tham khảo phụ lục B, trong đó:

a) Số lượng ô dạng bản: 05 ô trên 01 ô tiêu chuẩn;

b) Diện tích ô dạng bản: 16 m2 (4 m x 4 m) hoặc 25 m2 (5 m x 5 m).

Địa hình

Xác định độ cao tuyệt đối của các lô khu thiết kế khoanh nuôi xúc tiến tái sinh rừng

Sử dụng máy định vị vệ tinh để đo độ cao tuyệt đối tại 03 vị trí đại diện cho từng lô khoanh nuôi xúc tiến tái sinh rừng

Xác định độ dốc khu thiết kế khoanh nuôi xúc tiến tái sinh rừng

Sử dụng thiết bị chuyên dụng có sai số nhỏ hơn hoặc bằng 0,5° để đo độ dốc tại 03 vị trí đại diện cho từng lô khoanh nuôi xúc tiến tái sinh rừng

Cự ly di chuyển

Xác định cự ly di chuyển từ địa điểm tập trung đến lô trồng khoanh nuôi xúc tiến tái sinh rừng

Sử dụng máy định vị vệ tinh đo khoảng cách từ địa điểm tập trung đến từng lô khoanh nuôi xúc tiến tái sinh rừng

Khí hậu

Xác định nhiệt độ trung bình năm khu thiết kế khoanh nuôi xúc tiến tái sinh rừng

Sử dụng số liệu tại trạm khí tượng gần nhất với nơi khoanh nuôi xúc tiến tái sinh rừng, tính giá trị trung bình từng nhân tố của ít nhất 3 năm gần nhất với thời điểm thiết kế khoanh nuôi xúc tiến tái sinh rừng

Xác định lượng mưa trung bình năm khu thiết kế khoanh nuôi xúc tiến tái sinh rừng

Đất

Xác định một số tính chất chủ yếu của đất để trồng bổ sung (chỉ khảo sát đối với khoanh nuôi xúc tiến tái sinh tự nhiên có trồng bổ sung)

Sử dụng phương pháp điều tra nhanh một số chỉ tiêu về đá mẹ, loại đất, độ dày tầng đất, thành phần cơ giới, độ chặt, tỷ lệ đá lẫn và tình hình xói mòn tại các Mục 4.1, 4.2, 5.2, 5.6, 6.2, 6.8 và 6.12 trong TCVN 6857:2001 (tham khảo phụ lục C)

Phân chia lô khoanh nuôi xúc tiến tái sinh rừng

Xác định vị trí, diện tích, ranh giới và một số đặc điểm về điều kiện tự nhiên của từng lô khoanh nuôi xúc tiến tái sinh rừng

Sử dụng kết quả khảo sát tương ứng với các mục ở trên để gắn và đánh số cho từng lô khoanh nuôi xúc tiến tái sinh rừng

6 Thiết kế khoanh nuôi xúc tiến tái sinh rừng

6.1 Khoanh nuôi xúc tiến tái sinh tự nhiên

Nội dung và phương pháp thiết kế các hạng mục khoanh nuôi xúc tiến tái sinh tự nhiên quy định tại Bảng 3.

Bảng 3 - Nội dung và phương pháp thiết kế khoanh nuôi xúc tiến tái sinh tự nhiên

Hạng mục

Nội dung

Phương pháp

Bảo vệ rừng

Phòng chống người và gia súc phá rừng

Căn cứ vào phương án quản lý bảo vệ rừng tại khu vực thiết kế để xác định kế hoạch tuần tra bảo vệ rừng

Phòng chống sâu, bệnh hại

Phương pháp điều tra phục vụ phòng, chống sâu, bệnh hại áp dụng tại Mục 5 trong TCVN 8927:2023 và TCVN 8928:2023;

Phương pháp phòng, chống sâu, bệnh hại áp dụng tại Mục 6 trong trong TCVN 8927:2023 và TCVN 8928:2023.

Phòng cháy, chữa cháy rừng

Xây dựng, sửa chữa bảng nội qui, biển cấm, biển báo

Áp dụng theo Mục 3 trong TCVN 13354:2021

Xây dựng, sửa chữa chòi canh

Áp dụng theo Mục 3 trong TCVN 13355:2021

Xây dựng, tu sửa đường băng cản lửa

Đối với băng trắng áp dụng TCVN 12829-1: 2020 và đối với băng xanh áp dụng TCVN 12829-2:2020

Vệ sinh rừng, chăm sóc rừng

a) Phát luồng rừng;

b) Vệ sinh rừng;

c) Chăm sóc rừng;

Căn cứ vào các Tiêu chuẩn quốc gia, quy trình kỹ thuật, hướng dẫn kỹ thuật hoặc các quy định hiện hành của Bộ, của địa phương để xác định phương án vệ sinh, chăm sóc rừng đối với rừng sản xuất và rừng phòng hộ ít xung yếu

Bản đồ thiết kế khoanh nuôi xúc tiến tái sinh rừng

Tỷ lệ bn đồ

Gồm 2 loại tỷ lệ 1 : 5 000 hoặc 1:10 000, được xác định theo Mục 4.1 trong TCVN 12630-1:2019

Mã, ký hiệu, màu sắc và trường thông tin

Áp dụng theo Mục 5 trong TCVN 12630-1:2019

Nội dung trình bày, đặt tên và khung bản đồ

Áp dụng theo Mục 6 trong TCVN 12630-1:2019

6.2 Khoanh nuôi xúc tiến tái sinh tự nhiên có trồng bổ sung

Nội dung và phương pháp thiết kế các hạng mục khoanh nuôi xúc tiến tái sinh tự nhiên có trồng bổ sung bao gồm các quy định ghi tại Bảng 3 và quy định thêm tại Bảng 4 sau đây:

Bảng 4 - Nội dung và phương pháp thiết kế khoanh nuôi xúc tiến tái sinh tự nhiên có trồng bổ sung

Hạng mục

Nội dung

Phương pháp

Chọn loài cây trồng

Chọn loài hoặc nhóm loài cây trồng bổ sung

Loài hoặc nhóm loài cây được chọn phải đáp ứng mục tiêu trồng bổ sung và điều kiện lập địa, trên nguyên tắc chọn cây bản địa là cây thân gỗ, cây đa tác dụng hoặc cây lâm sản ngoài gỗ, cụ th:

a) Rừng đặc dụng: chọn cây có phân bổ trong hệ sinh thái của rừng đặc dụng đó;

b) Rừng phòng hộ: chọn cây có phân bố trong khu vực hoặc từ những vùng sinh thái tương tự; có tán dày, nhiều lá, hệ rễ phát triển, bám chắc;

c) Rừng sản xuất: chọn cây có giá trị kinh tế, đáp ứng mục đích sản xuất, kinh doanh.

Xử lý thực bì

Phương thức xử lý thực bì

Tùy theo phân bổ cây tái sinh và diện tích khoảng trống trong lô rừng, phương thức xử lý thực bì được xác định như sau:

a) Xử lý thực bì cục bộ theo băng: đối với lô rừng khoanh nuôi có cây tái sinh phân bố không đều;

b) Xử lý thực bì cục bộ theo đám: đối với lô rừng khoanh nuôi có các khoảng trống từ 1000 m2 trở lên;

c) Xử lý thực bì cục bộ theo hố: thực hiện ở những nơi không áp dụng xử lý cục bộ theo băng hoặc theo đám.

Xử lý thực bì

Phương pháp xử lý thực bì

Tùy theo chức năng và độ dốc của từng lô rừng khoanh nuôi, phương pháp xử lý thực bì được xác định như sau:

a) Xử lý thực bì cơ giới: đối với rừng sản xuất và phòng hộ có độ dốc nhỏ hơn 15°;

b) Xử lý thực bì thủ công: đối với 03 loại rừng và áp dụng cho mọi độ dốc;

c) Xử lý thực bì thủ công kết hợp cơ giới: đối với rừng sản xuất và phòng hộ có độ dốc từ 15° đến 25°.

Thời gian xử lý thực bì

Tối thiểu 20 ngày trước khi trồng bổ sung

Làm đất

Phương thức làm đất

Tùy theo phân bố cây tái sinh và diện tích khoảng trống trong lô rừng, phương thức xử lý thực bì được xác định như sau:

a) Làm đất cục bộ theo băng: đối với lô rừng khoanh nuôi có cây tái sinh phân bố không đều;

b) Làm đất cục bộ theo đám: đối với lô rừng khoanh nuôi có các khoảng trống từ 1000 m2 trở lên;

b) Làm đất cục bộ theo hố: thực hiện ở những nơi không áp dụng làm đất cục bộ theo băng hoặc theo đám.

Phương pháp làm đất

Tùy theo chức năng và độ dốc của từng lô rừng khoanh nuôi, phương pháp xử lý thực bì được xác định như sau:

a) Làm đất cơ giới: đối với rừng sản xuất và phòng hộ có độ dốc nhỏ hơn 15°;

b) Làm đất thủ công: đối với 03 loại rừng và áp dụng cho mọi độ dc;

c) Làm đất thủ công kết hợp cơ giới: đối với rừng sản xuất và phòng hộ có độ dốc từ 15° đến dưới 25°.

Kích thước hố trồng

Yêu cầu kích thước tối thiểu đối với hố hình hộp (chiều dài x chiều rộng x chiều cao) đạt 0,3 m x 0,3 m x 0,3 m hoặc đối với hố hình tròn (đường kính x chiều cao) đạt 0,3 m x 0,3 m

Thời gian làm đất

Tối thiểu 7 ngày trước khi trồng bổ sung

Bón lót phân

Loại phân bón lót

Căn cứ vào các tiêu chuẩn quốc gia, quy trình kỹ thuật hoặc hướng dẫn kỹ thuật hoặc quy định của Bộ, của địa phương về kỹ thuật trồng rừng từng loài cây đã được ban hành để lựa chọn chủng loại và liều lượng phân phù hợp, bao gồm:

a) Phân vô cơ, liều lượng;

b) Phân hữu cơ, liều lượng.

Liều lượng phân bón lót

Thời điểm bón lót trước khi trồng bổ sung

Tối thiểu 7 ngày trước khi trồng bổ sung

Phương thức trồng bổ sung

Trồng hỗn giao

Áp dụng đối với 3 loại rừng sản xuất, phòng hộ và đặc dụng: trồng ít nhất 2 loài cây theo băng, đám, hoặc hố

Trồng thuần loài

Áp dụng đối với rừng sản xuất

Phương pháp trồng bổ sung

Trồng bằng cây con có bầu

Áp dụng đối với 3 loại rừng sản xuất, phòng hộ và đặc dụng

Trồng bằng cây con rễ trần

Áp dụng đối với rừng sản xuất và cho các loài cây có bộ rễ phát triển

Thời vụ trồng bổ sung

Xác định thời vụ trồng thích hợp theo vùng sinh thái lâm nghiệp

Thời vụ trồng rừng đặc thù của từng khu vực theo vùng sinh thái lâm nghiệp, cụ thể như sau:

a) Vùng Tây Bắc Bộ, Đông Bắc Bộ và đồng bằng Bắc Bộ: mùa Xuân (tháng 1 đến tháng 3 dương lịch) và mùa Thu (tháng 6 đến tháng 9 dương lịch);

b) Vùng Bắc Trung Bộ: mùa Đông (tháng 10 đến tháng 1 dương lịch của năm sau);

c) Vùng Nam Trung Bộ, Tây Nguyên, Đông Nam Bộ và Tây Nam Bộ: đầu mùa mưa (tháng 5 đến tháng 9 dương lịch).

Mật độ trồng bổ sung

Xác định mật độ trồng thích hợp

Căn cứ vào đặc điểm sinh học loài hoặc nhóm loài cây trồng bổ sung, mật độ cây tái sinh mục đích hiện có, mục đích kinh doanh và điều kiện lập địa đ xác định mật độ cây trồng bổ sung đảm bảo không quá 800 cây/ha

Tiêu chuẩn cây giống

Xác định chất lượng cây giống (chiều cao, đường kính gốc tối thiểu)

Áp dụng tiêu chuẩn quốc gia về cây giống, trường hợp chưa có tiêu chuẩn quốc gia áp dụng tiêu chuẩn cơ sở hoặc hướng dẫn hoặc quy trình kỹ thuật về cây giống đã ban hành nhưng phi đảm bảo chiều cao cây giống đạt từ 0,5 m trở lên

Chăm sóc cây trồng

Làm c, xới đất, vun gốc

Căn cứ vào tình hình sinh trưởng phát triển của thực bì, biện pháp làm đất và đặc tính sinh học của loài hoặc nhóm loài cây trồng, xác định số lần, phương án, cách thức phát dọn thực bì, làm c, xới đất và vun gốc

Trồng dặm

Căn cứ vào tình hình sinh trưởng phát triển của loài hoặc nhóm loài cây trồng, xác định phương án trồng dặm tối đa 10 % mật độ trồng

Bón thúc

Căn cứ vào đặc tính sinh học của loài hoặc nhóm loài cây trồng, tuổi cây để xác định chủng loại và liều lượng phân bón thúc

 

Phụ lục A

(Tham khảo)

Phương pháp khảo sát thực bì

A.1  Dụng cụ

- Thước dây có chia vạch đến cm;

- Bảng biểu, bút viết, dao phát và dụng cụ cần thiết khác

A.2  Các bước thực hiện

- Lập tuyến điều tra xác định loại thực bì chính, chiều cao và tỷ lệ che phủ trung bình lớp thực bì. Lựa chọn tuyến điều tra đảm bảo tính chất điển hình của diện tích khoanh nuôi xúc tiến tái sinh rừng, trên các tuyến lập các ô dạng bản, các ô cách nhau ít nht 30 m.

- Diện tích ô phụ thuộc vào đánh giá sơ bộ tình hình thực lớp bì khu vực khảo sát và được phân làm 2 loại ô như sau: (i) Lớp cây bụi, thảm tươi rậm rạp, độ che phủ bình quân từ 80 % trở lên: diện tích ô 16 m2 (4 m x 4 m) và (ii) Lớp cây bụi, thảm tươi có độ che phủ bình quân dưới 80 %: diện tích ô 25 m2 (5 m x 5 m).

- Số lượng ô dạng bản cần lập: 05 ô nếu diện tích lô rừng khảo sát nhỏ hơn 5 hecta và 10 ô nếu diện tích lô rừng khảo sát lớn hơn hoặc bằng 5 ha.

- Các thông tin thu thập cho bao gồm tên loại thực bì chính (c, cây bụi, dây leo, tre nứa), chiều cao bình quân, tình hình sinh trưởng và độ che phủ bình quân trên ô dạng bản.

- Số liệu được xử lý bao gồm chiều cao trung bình và độ che phủ trung bình của lớp thực bì là chỉ số trung bình của chiều cao bình quân và độ che phủ bình quân của tổng các ô dạng bản trên lô khoanh nuôi xúc tiến tái sinh rừng.

- Phân loại cấp thực bì được áp dụng được chia làm 3 nhóm gồm:

a) Nhóm 1: nhóm loài chủ yếu là các loại có (c Tranh, c Lá tre và các loài c khác...); các loài Tế guột, Dương xỉ, Lau, Chít, Chè vè; các loài cây bụi (Sim, Mua, Đom đóm, Ba bét...) và tre nứa, dây leo có chiều cao dưới 1 m và tỷ lệ che phủ dưới 40 %;

b) Nhóm 2: nhóm loài chủ yếu là các loại có (c Tranh, c Lá tre và các loài c khác...); các loài Tế guột, Dương xỉ, Lau, Chít, Chè vè; các loài cây bụi (Sim, Mua, Đom đóm, Ba bét...) và tre nứa, dây leo có chiều cao từ 1 m đến dưới 2 m và tỷ lệ che phủ từ 40 % đến 70%;

c) Nhóm 3: nhóm loài chủ yếu là các loài Tế guột, Dương xỉ, Lau, Chít, Chè vè; các loài cây bụi (Sim, Mua, Đom đóm, Ba bét...) và tre nứa, dây leo có chiều cao trên 2 m và tỷ lệ che phủ trên 70 %.

A.3 Mu biểu khảo sát thực bì

PHIẾU ĐIỀU TRA LỚP THỰC BÌ

.................................... Huyện: .................................... Tỉnh: .............................................

Tiểu khu: .................................... Khoảnh: .................................... Lô: ....................................

Số hiệu ô đo đếm: .................................... Số hiệu tuyến: .......................................................

Tọa độ tâm ô tại thực địa (Vn2000): X: .................................... Y: ...........................................

Độ cao tuyệt đối: .................................... m ..............................................................................

Trạng thái thực bì: .....................................................................................................................

Độ che phủ bình quân: ........................... Độ dốc bình quân ô đo đếm: ...................độ ..............

TT

Loại thực bì chính

Độ che phủ

Số bụi

Chiều cao bình quân

Tình hình sinh trưởng

(1)

(2)

(3)

(4)

(5)

(6)

1

C

 

 

 

 

2

Tế guột

 

 

 

 

3

Mua

 

 

 

 

4

...

 

 

 

 

5

 

 

 

 

 

6

 

 

 

 

 

7

 

 

 

 

 

8

 

 

 

 

 

9

 

 

 

 

 

10

 

 

 

 

 

11

 

 

 

 

 

12

 

 

 

 

 

13

 

 

 

 

 

14

 

 

 

 

 

15

 

 

 

 

 

 

Phụ lục B

(Tham khảo)

Phương pháp khảo sát cây tái sinh và tầng cây cao

B.1  Lập ô tiêu chuẩn

- Phương pháp chọn ô tiêu chuẩn (OTC): OTC được lập theo phương pháp điển hình đại diện cho khu vực khảo sát.

- Số lượng OTC cn lập:

i) lập 02 ô tiêu chuẩn nếu diện tích lô rừng ≤ 3 ha;

ii) lập 3 ô tiêu chuẩn nếu diện tích lô rừng từ > 3 đến 5 ha;

iii) lập 4 ô tiêu chuẩn nếu diện tích lô rừng > 5 ha.

- Phương pháp lập OTC để điều tra tầng cây cao có đường kính ngang ngực lớn hơn hoặc bằng 6 cm: OTC hình chữ nhật có diện tích ti thiểu 500 m2. Trường hợp khoanh nuôi xúc tiến tái sinh rừng tre nứa mọc tản cần lập thêm 04 ô phụ hình vuông tại 04 góc ô tiêu chuẩn, diện tích mỗi ô là 25 m2 (5 m x 5 m).

- Phương pháp lập ô dạng bản để điều tra cây tái sinh có chiều cao lớn hơn 20 cm và đường kính ngang ngực nhỏ hơn 6cm. Trong OTC đã thiết lập, tiến hành lập 05 ô dạng bản hình vuông có diện tích mỗi ô là 16 m2 (4 m x 4 m) nếu cây tái sinh có phân bố dày hoặc 25 m2 (5 m x 5 m) nếu cây tái sinh phân bố thưa. Trong đó, 04 ô nằm ở giữa 4 cạnh của ô tiêu chuẩn, ô còn lại nằm trên giao điểm hai đường chéo của ô tiêu chuẩn.

B.2  Đo đếm trong ô tiêu chuẩn và ô dạng bản

- Chiều cao vút ngọn được đo bằng sào khắc vạch từ mặt đất tại vị trí gốc cây đến đỉnh sinh trưởng của thân chính, độ chính xác đến dm.

- Đường kính gốc (Doo) đối với cây tái sinh và đường kính ngang ngực (D1,3) đối với tầng cây cao được đo bằng thước dây hoặc thước kẹp kính, độ chính xác đến cm.

- Phẩm chất, chất lượng cây được phân làm 3 cấp: (i) Cây sinh trưởng tốt (A) là những cây thân thẳng, không cụt ngọn, tán lá phát triển cân đối, không bị sâu, bệnh hại, (ii) Cây sinh trưởng xấu (C) là những cây cong queo, cụt ngọn, tán lá không cân đi và bị sâu bệnh hại ở mức độ trung bình trở lên và (iii) Cây sinh trưởng trung bình (B) là cây nằm giữa hai cấp phẩm chất nêu trên.

- Đối với tre nứa mọc tản, thì điều tra số cây, đường kính và chiều cao trung bình của tre nứa trong 4 ô dạng bản, diện tích mỗi ô là 25 m2 (5 m x 5 m). Đối với tre nứa mọc cụm hoặc bụi thì đếm số bụi trong ô tiêu chuẩn và số cây trong ba bụi trung bình; Đếm số cây tre nứa có đường kính từ 2,0 cm trở lên và phân theo 03 tổ tuổi: non, trung bình, già; Đo đường kính tại vị trí 1,3 m: Mỗi loài cây, mỗi tổ tuổi (non, trung bình, già) chọn một cây có đường kính trung bình để đo. Đường kính 1,3 m tối thiểu được đo đếm từ 2,0 cm trở lên. Đơn vị đo là cm, làm tròn đến 1,0 cm.

- Xác định độ tàn che rừng bằng phương pháp 100 điểm gồm 2 bước (i) Bước 1: Thiết lập tuyến và các điểm đo độ tàn che, trong ô tiêu chuẩn bố trí trên 04 tuyến song song cách đều với chiều dài của ô tiêu chuẩn. Trên mỗi tuyến bố trí 25 điểm cách đều nhau và so le với các điểm của tuyến liền kề và (ii) Bước 2: Độ tàn che của cây gỗ được xác định bằng phương pháp cho điểm thông qua quan sát đặc điểm tán lá tại từng điểm trong tổng số 100 điểm điều tra. Tại từng điểm đo, sử dụng một ống ngắm lên theo phương thẳng đứng, nếu gặp tán cây thì cho 1 điểm, nếu gặp mép tán cây thì cho 0,5 điểm, nếu không gặp tán cây thì cho 0 điểm.

B.3  Xử lý nội nghiệp

- Mật độ cây tái sinh mục đích theo công thức (1)

(1)

trong đó:

- Nodb

là số cây trong các ô dạng bản;

- Sodb

là diện tích các ô dạng bản;

- n

là số lượng ô dạng bản.

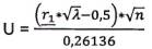
- Phân bố cây tái sinh trên mặt đất dựa vào khoảng cách cây tái sinh theo công thc (2)

(2)

* |U| < 1,96: Cây rừng phân bố ngẫu nhiên

* U > 1.96: Cây rừng phân bố đều trên mặt đất

* U < -1,96: Cây rừng phân bố theo cụm trên mặt đất

trong đó

- Khoảng cách bình quân từ cây được chọn đến cây gần thứ nhất, kí hiệu là;

- Mật độ cây rừng (số cây/m2, ký hiệu là λ);

- Số khoảng cách quan sát (n);

B.4 Hệ thống mẫu biểu khảo sát cây tái sinh và tầng cây cao

I. PHIẾU ĐIỀU TRA CÂY TÁI SINH

Số hiệu ô đo đếm: .........................................................................................................................

Vị trí hành chính: Xã .................................. Huyện: ................................Tỉnh: .............................

Vị trí quản lý: Tiểu khu ............................ Khoảnh: ............................. Lô: ....................................

Tọa độ tâm ô tại thực địa (VN2000): X: .................................... Y: ................................................

Độ cao tuyệt đối: ............................................................................................................................

Độ che ph: ....................................Độ dốc bình quân ô đo đếm: .................................................

TT

Tên loài

Chất lượng1

Tổng cộng

Cấp chiều cao (m)

Từ 0,5 đến dưới 1,0

Từ 1,0 đến dưới 2,0

Từ 2,0 đến dưới 3,0

Từ 3,0 trở lên

Nguồn gốc

Nguồn gốc

Nguồn gốc

Nguồn gốc

H

Ch

H

Ch

H

Ch

H

Ch

(1)

(2)

(3)

(4)

(5)

(6)

(7)

(8)

(9)

(10)

(11)

(12)

 

 

 

 

 

 

 

 

 

 

 

 

 

 

 

 

 

 

 

 

 

 

 

 

 

 

 

 

 

 

 

 

 

 

 

 

 

.............

 

 

 

 

 

 

 

 

 

 

GHI CHÚ:

1Chất lượng cây tái sinh ghi a, b và c tương ứng với tốt, trung bình và xấu;

2H: Nguồn gốc tái sinh hạt;

3Ch: Nguồn gốc tái sinh chồi.

II. PHIẾU ĐIỀU TRA TẦNG CÂY CAO

Số hiệu ô tiêu chuẩn: .................................... Độ tàn che: .........................................................

Vị trí hành chính: Xã: ............................. Huyện ...............................Tỉnh ....................................

Vị trí quản lý: Tiểu khu ............................ Khoảnh ....................................................................

Tọa độ OTC: X ....................................; Y: ....................................; Hệ tọa độ: .............................

Độ cao tuyệt đối (m) .................................... Độ dốc trung bình (độ) ...........................................

Kiểu rừng: ....................................................................................................................................

Trạng thái rừng: ...........................................................................................................................

Họ tên người điều tra: ..................................................................................................................

Ngày điều tra: ...............................................................................................................................

TT

Tên cây

D1,3
(cm)

Hvn
(m)

Phẩm chất

(a,b,c)

(1)

(2)

(3)

(4)

(5)

1

 

 

 

 

2

 

 

 

 

3

 

 

 

 

4

 

 

 

 

5

 

 

 

 

6

 

 

 

 

7

 

 

 

 

8

 

 

 

 

9

 

 

 

 

10

 

 

 

 

11

 

 

 

 

12

 

 

 

 

13

 

 

 

 

14

 

 

 

 

15

 

 

 

 

16

 

 

 

 

17

 

 

 

 

III. PHIẾU ĐIỀU TRA TRE NỨA

Số hiệu ô tiêu chuẩn: .................................... Độ tàn che: .........................................................

Vị trí hành chính: Xã: ............................. Huyện ...............................Tỉnh ....................................

Vị trí quản lý: Tiểu khu ............................ Khoảnh ....................................................................

Tọa độ OTC: X ....................................; Y: ....................................; Hệ tọa độ: .............................

Độ cao tuyệt đối (m) .................................... Độ dốc trung bình (độ) ...........................................

Kiểu rừng: ....................................................................................................................................

Trạng thái rừng: ...........................................................................................................................

Họ tên người điều tra: ..................................................................................................................

Ngày điều tra: ...............................................................................................................................

TT

Tên loài / cấp tuổi

Số cây

Loài/cây - tổ tuổi

C1,3
(cm)

Hvn
(m)

Ghi chú

 

Nứa

 

Nứa

 

 

 

 

Non

 

Non

 

 

 

 

Trung bình

 

1

 

 

 

 

Già

 

2

 

 

 

 

.....................

 

3

 

 

 

 

 

 

Trung bình

 

 

 

 

 

 

1

 

 

 

 

 

 

2

 

 

 

 

 

 

3

 

 

 

 

 

 

Già

 

 

 

 

 

 

1

 

 

 

 

 

 

2

 

 

 

 

 

 

3

 

 

 

IV. PHIẾU GHI KT QUẢ ĐO ĐỘ TÀN CHE

Số hiệu OTC: ................................................................................................................................

Vị trí hành chính: Xã: ............................. Huyện ...............................Tỉnh ....................................

Vị trí quản lý: .................................... Khoảnh ................................ Tiểu khu ............................

Tọa độ OTC: X ....................................; Y: ....................................; Hệ tọa độ: .............................

Loài cây chính: ..............................................................................................................................

Họ tên người điều tra: .................................... Ngày điều tra: .....................................................

Tuyến 1

Tuyến 2

Tuyến 3

Tuyến 4

Điểm đo

Điểm đo

Điểm do

Điểm đo

Điểm đo

Điểm do

Điểm đo

Điểm đo

1

 

1

 

1

 

1

 

2

 

2

 

2

 

2

 

3

 

3

 

3

 

3

 

...

 

...

 

...

 

...

 

25

 

25

 

25

 

25

 

Tổng

 

Tổng

 

Tổng

 

Tổng

 

 

Phụ lục C

(Tham khảo)

Phương pháp điều tra xác định nhanh một số tính chất đất

C.1  Phẫu diện đất

- Vị trí phẫu diện đất được chọn phải điển hình cho một dạng lập địa và ít bị tác động bởi các điều kiện nhân tác như mồ, mả, mương, máng, hầm.

- Đào 01 phẫu diện đại diện cho lập địa của lô khoanh nuôi xúc tiến tái sinh rừng.

- Phẫu diện có kích thước dài từ 1,0 m đến 1,2 m, rộng từ 0,8 m đến 0,9 m, chiều sâu tối đa 1,0 m hoặc chạm tầng mẫu chất và đào dọc theo chiều dốc ở nơi đất dốc.

C.2  Đá mẹ và loại đất

Căn cứ vào bản đồ đất kết hợp mô tả phẫu diện đất để xác định đá mẹ và loại đất.

D.3  Độ dày tầng đất

Dựa vào mô tả phẫu diện đất để xác định độ dày tầng đất. Độ dày tầng đất được phân chi thành 3 cấp: (i) Cấp 1 tầng đất dày hơn 0,8 m, (ii) cấp 2 tầng đất dày từ 0,3 m đến 0,8 m và (iii) cấp 3 tầng đất dày dưới 0,3 m.

C.4 Thành phần cơ giới

Xác định theo phương pháp xoe đất: Làm ẩm đất và bóp thành bột nặn, để trong lòng bàn tay và xoe thành thỏi đường kính 3 mm, sau đó uốn thỏi thành vòng tròn đường kính 3 cm. Thành phần cơ giới được chia làm 05 loại: (i) Đất cát nếu đất không xoe được thành thỏi, (ii) Đất cát pha ít thịt nếu khi xoe thỏi đất hình thành nhưng chóng rữa ra, (iii) Đất thịt nhẹ nếu khi xoe thỏi đất đứt từng đoạn, (iv) Đất thịt nặng nếu khi xoe thành thỏi dài và cuộn vòng chỉ rạn nẻ thỏi và (v) Đất sét nếu khi xoe được thành thỏi dài và cuộn vòng không nứt nẻ.

C.5  Tỷ lệ đá lẫn

Xác định thông qua phương pháp mô tả phẫu diện và đơn vị tính theo phần trăm đá lẫn.

C.6  Độ nén chặt đất

Đánh giá bằng việc thừ bằng dao, gồm các cấp: (i) Mềm, (ii) Hơi chặt, (iii) Chặt và (iv) Rất chặt.

C.7  Tình hình xói mòn mặt

Đánh giá bằng quan sát, gồm các cấp: (i) Mạnh, (ii) Vừa và (iii) Yếu.

 

Phụ lục D

(Tham khảo)

Thuyết minh thiết kế khoanh nuôi xúc tiến tái sinh rừng

Đề cương thuyết minh thiết kế khoanh nuôi xúc tiến tái sinh rừng bao gồm (nhưng không giới hạn) các phần sau:

Phần thứ 1. Thông tin chung

1.1  Tên công trình

1.2  Thuộc Dự án (nếu có)

1.3  Nhóm Dự án, cấp Dự án (nếu có)

1.4  Mục tiêu

1.5  Địa điểm xây dựng

1.6  Đơn vị chủ quản (nếu có)

1.7  Đơn vị chủ đầu tư

1.8  Đơn vị lập báo cáo thiết kế khoanh nuôi xúc tiến tái sinh rừng

1.9  Tổng kinh phí đầu tư

1.10  Nguồn vốn đầu tư

1.11  Thời gian thực hiện

Phần thứ 2. Cơ sở lập hồ sơ thiết kế

2.1  Căn cứ pháp lý

2.2  Tài liệu liên quan

Phần thứ 3. Khái quát tình hình cơ bản khu vực thiết kế

3.1  Điều kiện tự nhiên

3.2  Điều kiện kinh tế - xã hội

Phần thứ 4. Nội dung thiết kế cụ thể

4.1  Bảo vệ rừng

4.2  Phòng chống, chữa cháy rừng

4.3  Vệ sinh, chăm sóc rừng

4.4  Chọn loài cây trồng

4.5 Thời vụ trồng

4.6  Xử lý thực bì

4.7  Làm đất

4.8  Bón lót phân

4.9  Mật độ trồng

4.10  Phương thức trồng

4.11  Phương pháp trồng

4.12  Tiêu chuẩn cây giống

4.13  Chăm sóc cây trồng

Phần thứ 5. Bản đồ thiết kế khoanh nuôi xúc tiến tái sinh rừng

Phần thứ 6. Phụ lục

 

Thư mục tài liệu tham khảo

[1] Bộ Nông nghiệp & PTNT (1998), QPN 21-98: Phục hồi rừng bằng khoanh nuôi xúc tiến tái sinh kết hợp trồng bổ sung, NXB Nông nghiệp.

[2] Thông tư số 29/2018/TT-BNNPTNT ngày 16 tháng 11 năm 2018 của Bộ trưởng Bộ Nông nghiệp và Phát triển nông thôn quy định về các biện pháp lâm sinh.

[3] Thông tư số 33/2018/TT-BNNPTNT ngày 16/11/2018 của Bộ Nông nghiệp và Phát triển nông thôn quy định về điều tra, kiểm kê và theo dõi diễn biến rừng.

[4] Thông tư số 15/2019/TT-BNNPTNT ngày 30/10/2019 của Bộ Nông nghiệp và Phát triển nông thôn Hướng dẫn một số nội dung quản lý đầu tư công trình lâm sinh.

[5] Thông tư số 17/2022/TT-BNNPTNT ngày 27 tháng 10 năm 2022 của Bộ trưởng Bộ Nông nghiệp và Phát triển nông thôn về sửa đổi, bổ sung một số điều của Thông tư số 29/2018/TT-BNNPTNT.

[6] Thông tư số 16/2023/TT-BNNPTNT ngày 15 tháng 12 năm 2023 của Bộ Nông nghiệp và Phát triển nông thôn Sửa đổi, bổ sung một số điều của thông tư số 33/2018/TT-BNNPTNT.

[7] Thông tư số 21/2023/TT-BNNPTNT ngày 15/12/2023 của Bộ Nông nghiệp và Phát triển nông thôn Quy định một số định mức kinh tế - kỹ thuật về Lâm nghiệp.

[8] Văn bản hợp nht số 15/VBHN-BNNPTNT ngày 25 tháng 11 năm 2022 của Bộ Nông nghiệp và Phát triển nông thôn Quy định về các biện pháp lâm sinh.

[9] Văn bản hợp nhất số 10/VBHN-BNNPTNT ngày 25 tháng 01 năm 2024 của Bộ Nông nghiệp và Phát triển nông thôn Quy định điều tra, kiểm kê và theo dõi diễn biến rừng.

Bạn chưa Đăng nhập thành viên.

Đây là tiện ích dành cho tài khoản thành viên. Vui lòng Đăng nhập để xem chi tiết. Nếu chưa có tài khoản, vui lòng Đăng ký tại đây!

* Lưu ý: Để đọc được văn bản tải trên Luatvietnam.vn, bạn cần cài phần mềm đọc file DOC, DOCX và phần mềm đọc file PDF.

Văn bản liên quan Tiêu chuẩn Việt Nam TCVN 14290-2:2024

văn bản cùng lĩnh vực

văn bản mới nhất

CHÍNH SÁCH BẢO VỆ DỮ LIỆU CÁ NHÂN
Yêu cầu hỗ trợYêu cầu hỗ trợ
Chú thích màu chỉ dẫn
Chú thích màu chỉ dẫn:
Các nội dung của VB này được VB khác thay đổi, hướng dẫn sẽ được làm nổi bật bằng các màu sắc:
Sửa đổi, bổ sung, đính chính
Thay thế
Hướng dẫn
Bãi bỏ
Bãi bỏ cụm từ
Bình luận
Click vào nội dung được bôi màu để xem chi tiết.
×