• Tổng quan
  • Nội dung
  • Tiêu chuẩn liên quan
  • Lược đồ
  • Tải về
Lưu
Đây là tiện ích dành cho tài khoản Tiêu chuẩn hoặc Nâng cao . Vui lòng Đăng nhập tài khoản để xem chi tiết.
Theo dõi VB
Đây là tiện ích dành cho tài khoản Tiêu chuẩn hoặc Nâng cao . Vui lòng Đăng nhập tài khoản để xem chi tiết.
Ghi chú
Báo lỗi
In

Tiêu chuẩn quốc gia TCVN 14290-3:2024 Công trình lâm sinh - Khảo sát và thiết kế - Phần 3: Làm giàu rừng tự nhiên trên cạn

Ngày cập nhật: Thứ Sáu, 04/04/2025 11:47 (GMT+7)
Số hiệu: TCVN 14290-3:2024 Loại văn bản: Tiêu chuẩn Việt Nam
Cơ quan ban hành: Bộ Khoa học và Công nghệ Lĩnh vực: Tài nguyên-Môi trường , Nông nghiệp-Lâm nghiệp
Trích yếu: Công trình lâm sinh - Khảo sát và thiết kế - Phần 3: Làm giàu rừng tự nhiên trên cạn
Ngày ban hành:
Ngày ban hành là ngày, tháng, năm văn bản được thông qua hoặc ký ban hành.
31/12/2024
Hiệu lực:
Đã biết
Tiện ích dành cho tài khoản Tiêu chuẩn hoặc Nâng cao. Vui lòng Đăng nhập tài khoản để xem chi tiết.
Người ký: Đang cập nhật
Tình trạng hiệu lực:
Cho biết trạng thái hiệu lực của văn bản đang tra cứu: Chưa áp dụng, Còn hiệu lực, Hết hiệu lực, Hết hiệu lực 1 phần; Đã sửa đổi, Đính chính hay Không còn phù hợp,...
Đã biết
Tiện ích dành cho tài khoản Tiêu chuẩn hoặc Nâng cao. Vui lòng Đăng nhập tài khoản để xem chi tiết.

TÓM TẮT TIÊU CHUẨN VIỆT NAM TCVN 14290-3:2024

Tiêu chuẩn quốc gia TCVN 14290-3:2024 về Làm giàu rừng tự nhiên trên cạn
Ngày 31/12/2024, Bộ Khoa học và Công nghệ đã công bố Tiêu chuẩn quốc gia TCVN 14290-3:2024, do Viện Khoa học Lâm nghiệp Việt Nam biên soạn và Bộ Nông nghiệp và Phát triển nông thôn đề nghị. Tiêu chuẩn này có hiệu lực từ ngày 31/12/2024.

Tiêu chuẩn quy định nội dung và phương pháp khảo sát, thiết kế làm giàu rừng tự nhiên trên cạn, nhằm tăng cường chất lượng rừng và bảo vệ môi trường.

Đối tượng và phạm vi áp dụng
Tiêu chuẩn này áp dụng cho việc làm giàu rừng tại các khu vực rừng tự nhiên, bao gồm rừng phòng hộ, rừng sản xuất và rừng đặc dụng (ngoại trừ phân khu bảo vệ nghiêm ngặt).

Nội dung chính

  1. Phương pháp khảo sát làm giàu rừng: Các phương pháp khảo sát yêu cầu xác định vị trí, diện tích, thực bì, cây tái sinh, địa hình, khí hậu, và đất đai tại khu vực dự kiến làm giàu. Phương pháp điều tra thực bì và xác định cây tái sinh theo quy định có hướng dẫn chi tiết trong các phụ lục kèm theo.

  2. Thiết kế làm giàu rừng: Quy trình lựa chọn loài cây trồng, xử lý thực bì, làm đất, bón lót phân, và phương thức trồng. Cây được chọn phải phù hợp với môi trường và mục tiêu làm giàu rừng. Điều này bao gồm lựa chọn cây bản địa cho rừng đặc dụng, và cây có giá trị kinh tế cho rừng sản xuất.

  3. Chăm sóc và bảo vệ rừng: Bao gồm các biện pháp bảo vệ cây trồng khỏi sâu bệnh hại, biện pháp cải thiện môi trường rừng, và sử dụng các mẫu biểu để theo dõi, đánh giá quá trình chăm sóc và bảo vệ.

  4. Đối tượng làm giàu rừng: Tiêu chuẩn quy định cụ thể các tiêu chí cho từng loại rừng, như mật độ cây và đặc điểm tổng quát của rừng tự nhiên cần làm giàu.

  5. Phụ lục: Cung cấp hướng dẫn chi tiết các phương pháp đo đạc, điều tra, mẫu phiếu điều tra cho thực bì và cây tái sinh, cùng với các biểu mẫu dành cho thực hiện và ghi chép các thông tin liên quan đến khảo sát và thiết kế.

Tiêu chuẩn này góp phần tăng cường công tác quản lý và phát triển bền vững rừng tự nhiên ở Việt Nam, làm cơ sở để triển khai các dự án lâm sinh một cách hiệu quả hơn.

Tải tiêu chuẩn Việt Nam TCVN 14290-3:2024

Tải văn bản tiếng Việt (.pdf) Tiêu chuẩn Việt Nam TCVN 14290-3:2024 PDF (Bản có dấu đỏ)

Đây là tiện ích dành cho tài khoản thành viên. Vui lòng Đăng nhập để xem chi tiết. Nếu chưa có tài khoản, Đăng ký tại đây!

Tải văn bản tiếng Việt (.doc) Tiêu chuẩn Việt Nam TCVN 14290-3:2024 DOC (Bản Word)

Đây là tiện ích dành cho tài khoản thành viên. Vui lòng Đăng nhập để xem chi tiết. Nếu chưa có tài khoản, Đăng ký tại đây!

Tình trạng hiệu lực: Đã biết
Hiệu lực: Đã biết
Tình trạng hiệu lực: Đã biết

TIÊU CHUẨN QUỐC GIA

TCVN 14290-3:2024

CÔNG TRÌNH LÂM SINH - KHẢO SÁT VÀ THIẾT KẾ
PHẦN 3: LÀM GIÀU RỪNG TỰ NHIÊN TRÊN CẠN

Silvicultural Project - Survey and design
Part 3: Enrichment planting in natural forest on land

Lời nói đầu

TCVN 14290:2024 do Viện Khoa học Lâm nghiệp Việt Nam biên soạn, Bộ Nông nghiệp và Phát triển nông thôn đề nghị, Ủy ban Tiêu chuẩn Đo lường Chất lượng Quốc gia thẩm định, Bộ Khoa học và Công nghệ công bố.

Bộ tiêu chuẩn TCVN 14290, Công trình lâm sinh - Khảo sát và thiết kế gồm các phần sau:

- TCVN 14290-1: 2024, Phần 1: Trồng rừng trên cạn;

- TCVN 14290-2: 2024, Phần 2: Khoanh nuôi xúc tiến tái sinh rừng trên cạn;

- TCVN 14290-3: 2024, Phần 3: Làm giàu rừng tự nhiên trên cạn;

- TCVN 14290-4: 2024, Phần 4: Nuôi dưỡng rừng trên cạn;

- TCVN 14290-5: 2024, Phần 5: Cải tạo rừng tự nhiên trên cạn.

 

CÔNG TRÌNH LÂM SINH - KHẢO SÁT VÀ THIẾT K
PHẦN 3: LÀM GIÀU RỪNG TỰ NHIÊN TRÊN CẠN

Silvicultural Project - Survey and design
Part 3: Enrichment planting in natural forest on land

1 Phạm vi áp dụng

Tiêu chuẩn này quy định về nội dung, phương pháp khảo sát và thiết kế làm giàu rừng tự nhiên trên cạn.

2 Tài liệu viện dẫn

Các tài liệu viện dẫn sau đây là cần thiết để áp dụng tiêu chuẩn này. Đối với các tài liệu viện dẫn ghi năm công bố thì áp dụng bản được nêu. Đối với các tài liệu viện dẫn không ghi năm công bố thì áp dụng phiên bản mới nhất, bao gồm cả các sửa đổi, bổ sung (nếu có).

TCVN 6857:2001, Cht lượng đất - Phương pháp đơn giản để mô tả đất;

TCVN 12630-1:2019, Bản đ lập địa - Quy định trình bày và thể hiện nội dung - Phần 1: Bản đồ lập địa cấp I;

TCVN 12829:2020-1, Công trình phòng cháy, chữa cháy rừng - Đường băng cản lửa - Phần 1: Băng trắng;

TCVN 12829:2020-2, Công trình phòng cháy, chữa cháy rừng - Đường băng cản lửa - Phần 2: Băng xanh;

TCVN 13703:2023, Rừng trồng - Phương pháp xác định các chỉ tiêu nghiệm thu trồng rừng;

TCVN 8927:2023, Phòng, chống sâu hại cây rừng - Hướng dẫn chung;

TCVN 8928:2023, Phòng, chống bệnh hại cây rừng - Hướng dẫn chung.

3 Thuật ngữ và định nghĩa

Trong tiêu chuẩn này sử dụng thuật ngữ và định nghĩa được nêu trong TCVN 6857:2001, TCVN 12630- 1:2019, TCVN 12829:2020-1, TCVN 12829:2020-2, TCVN 13703:2023, TCVN 8927:2023, TCVN 8928:2023 và các thuật ngữ, định nghĩa sau:

3.1

Băng trồng (Planting strip)

Băng được xử lý thực bì để trồng tối thiểu 01 hàng cây, có chiều rộng tối đa bằng 2 phần 3 chiều cao tán rừng.

3.2

Băng chừa (Untouched strip)

Băng chừa lại không trồng cây, thiết kế xen kẽ giữa các băng trồng, có chiều rộng gấp từ 01 đến 03 lần băng trồng.

3.3

Cây bản địa (Native plant)

Loài cây có phân bố tự nhiên ở Việt Nam.

3.4

Cây tái sinh mục đích (Target regenerated sapling)

Cây gỗ tái sinh có chiều cao từ 0,5 m trở lên, đáp ứng mục đích sử dụng rừng.

3.5

Độ tàn che (Canopy cover)

Mức độ che của tán cây rừng theo phương thẳng đứng trên một đơn vị diện tích rừng được biểu thị bằng tỷ lệ phần mười.

3.6

Khoảng trống (Forest gap)

Nơi có diện tích tối thiểu 100 m2, không có cây gỗ có đường kính ngang ngực từ 6,0 cm trở lên và không có tre nứa (đối với rừng tre nứa).

3.7

Khảo sát làm giàu rừng (Survey of enrichment planting)

Hoạt động thu thập và phân tích thông tin về các yếu tố tự nhiên phục vụ thiết kế làm giàu rừng.

3.8

Mật độ trồng (Planting density)

Số lượng cây trồng trên một đơn vị diện tích.

3.9

Làm giàu rừng (Enrichment planting)

Biện pháp lâm sinh kết hợp giữa nuôi dưỡng rừng với trồng bổ sung những cây mục đích với số lượng nhất định, đồng thời giữ lại cây mục đích sẵn có trong rừng.

3.10

Lô làm giàu rừng (Plots of enrichment planting)

Đơn vị cơ bản trong thiết kế làm giàu rừng, có điều kiện tự nhiên tương đối đồng nhất và áp dụng một biện pháp kỹ thuật làm giàu rừng. Thứ tự lô được ghi số bằng chữ số Ả Rập.

3.11

Phương thức trồng (Forestation mode)

Cách phối trí loài hoặc nhóm loài cây trồng trên một lô làm giàu rừng.

3.12

Tầng cây cao (Canopy layer)

Gồm những cây có đường kính ngang ngực từ 6,0 cm trở lên và đã tham gia vào tầng tán của rừng.

3.13

Thiết kế làm giàu rừng (Design of enrichment planting)

Nội dung và phương pháp làm giàu rừng.

3.14  Thực bì (Vegetation)

Lớp thực vật bao gồm cây bụi, c và dây leo.

4 Đối tượng làm giàu rừng

Đối tượng làm giàu rừng được quy định tại Bảng 1.

Bảng 1 - Đối tượng làm giàu rừng

TT

Đối tượng

Tiêu chí

1

Rừng phòng hộ và rừng đặc dụng (trừ phân khu bảo vệ nghiêm ngặt)

Diện tích rừng phục hồi, rừng nghèo kiệt có trữ lượng cây đứng dưới 30 m3/ha, số lượng cây gỗ đạt chiều cao tham gia vào tán rừng dưới 400 cây/ha và cây tái sinh mục đích có chiều cao trên 1,0 m với số lượng từ 500 cây/ha trở lên hoặc số lượng cây gỗ đạt chiều cao tham gia vào tán rừng từ 400 cây/ha trở lên và cây tái sinh mục đích có chiều cao trên 1,0 m với số lượng dưới 500 cây/ha. Mật độ cây gỗ và cây tái sinh mục đích phân bố không đều trên toàn diện tích;

Diện tích rừng tre nứa có tỷ lệ che phủ trên 60 % và dưới 200 bụi/ha, phân b không đều trên toàn diện tích.

2

Rừng sản xuất

Diện tích rừng tự nhiên phục hồi, rừng nghèo kiệt có trữ lượng cây đứng dưới 30 m3/ha, đáp ứng mục đích sản xuất kinh doanh có số lượng cây gỗ tầng cao, chất lượng tốt dưới 500 cây/ha và số lượng cây tái sinh mục đích đạt chiều cao trên 1,0 m trên 1 000 cây/ha hoặc số lượng cây gỗ tầng cao, chất lượng tốt trên 500 cây/ha và số lượng cây tái sinh mục đích đạt chiều cao trên 1,0 m dưới 1 000 cây/ha. Mật độ cây gỗ và cây tái sinh mục đích phân bố không đều trên toàn diện tích;

Diện tích rừng tre nứa có tỷ lệ che phủ trên 70 % và dưới 200 bụi/ha, phân bố không đều trên toàn diện tích.

5 Khảo sát làm giàu rừng

Nội dung và phương pháp khảo sát các hạng mục làm giàu rừng quy định tại Bảng 2.

Bảng 2 - Nội dung và phương pháp khảo sát làm giàu rừng

Hạng mục

Nội dung

Phương pháp

V trí và diện tích

Xác định vị trí và diện tích trên thực địa của khu vực cần thiết kế

Sử dụng bản đồ địa hình có tỷ lệ 1: 5 000 hoặc 1 : 10 000 là bản đồ gốc hoặc được phóng từ bản đồ địa hình 1 : 25 000 có hệ tọa độ gốc VN-2000 làm bản đồ nền;

Rà soát ranh giới, đo và tính diện tích lô làm giàu rừng bằng thước dây hoặc máy định vị vệ tinh áp dụng tại mục 4.1.3 trong TCVN 13703:2023.

Thực bì

Xác định nhóm thực bì của từng lô thiết kế làm giàu rừng

Điều tra ô dạng bản điển hình cho lô làm giàu rừng nhằm xác định loài chủ yếu, chiều cao trung bình và độ che phủ của thực bì, chi tiết tham khảo Phụ lục A, trong đó:

a) Số lượng ô dạng bản: 05 ô nếu diện tích lô rừng khảo sát dưới 5,0 ha và 10 ô nếu diện tích lô rừng khảo sát từ 5,0 ha trở lên;

b) Diện tích ô dạng bản: 16 m2 (4 m x 4 m) hoặc 25 m2 (5 m x 5 m).

Tầng cây cao

Xác định mật độ, chiều cao vút ngọn trung bình, đường kính ngang ngực trung bình, độ tàn che và trữ lượng cây gỗ tầng cao có trong lô làm giàu rừng

Điều tra ô tiêu chuẩn điển hình cho lô làm giàu rừng, chi tiết tham khảo Phụ lục B, trong đó:

a) Số lượng ô tiêu chuẩn: từ 02 đến 04 ô tùy theo diện tích lô rừng;

b) Diện tích ô tiêu chuẩn: tối thiểu 500 m2.

Cây tái sinh

Xác định mật độ, chiều cao bình quân và phân bố cây tái sinh mục đích

Điều tra ô dạng bản được bố trí trong các ô tiêu chuẩn khảo sát tầng cây cao, chi tiết tham khảo Phụ lục B, trong đó:

a) Số lượng ô dạng bản: 05 ô trên 01 ô tiêu chuẩn;

b) Diện tích ô dạng bản: 16 m2 (4 m x 4 m) hoặc 25 m2 (5 m x 5 m).

Địa hình

Xác định độ cao tuyệt đối của các lô khu thiết kế làm giàu rừng

Sử dụng máy định vị vệ tinh để đo độ cao tuyệt đối tại 03 vị trí đại diện cho từng lô làm giàu rừng

Xác định độ dốc khu thiết kế làm giàu rừng

Sử dụng thiết bị chuyên dụng có sai số nhỏ hơn hoặc bằng 0,5° để đo độ dốc tại 03 vị trí đại diện cho từng lô làm giàu rừng

Cự ly di chuyển

Xác định cự ly di chuyển từ địa điểm tập trung đến lô trồng làm giàu rừng

Sử dụng máy định vị vệ tinh đo khoảng cách từ địa điểm tập trung đến từng lô làm giàu rừng

Khí hậu

Xác định nhiệt độ trung bình năm khu thiết kế

Sử dụng số liệu tại trạm khí tượng gần nhất với nơi làm giàu rừng, tính giá trị trung bình cho từng chỉ tiêu trong ít nhất 03 năm gần nhất với thời điểm thiết kế làm giàu rừng

Xác định lượng mưa trung bình năm khu thiết kế

Đất

Xác định một số tính chất chủ yếu của đất để làm giàu rừng

Sử dụng phương pháp điều tra nhanh một số chỉ tiêu về đá mẹ, loại đất, độ dày tầng đất, thành phần cơ giới, độ chặt, tỷ lệ đá lẫn và tình hình xói mòn tại các Mục 4.1, 4.2, 5.2, 5.6, 6.2, 6.8 và 6.12 trong TCVN 6857:2001 (tham khảo Phụ lục C)

Phân chia lô làm giàu rừng

Xác định vị trí, diện tích, ranh giới và một số đặc điểm về điều kiện tự nhiên của từng lô làm giàu rừng

Sử dụng kết quả khảo sát tương ứng với các mục ở trên để gắn và đánh số cho từng lô làm giàu rừng. Lô có diện tích khoảng 10 ha.

6 Thiết kế làm giàu rừng

Nội dung và phương pháp thiết kế các hạng mục làm giàu rừng quy định tại Bảng 3.

Bảng 3 - Nội dung và phương pháp thiết kế làm giàu rừng

Hạng mục

Nội dung

Phương pháp

Chọn loài cây trồng

Chọn loài hoặc nhóm loài cây trồng làm giàu rừng

Loài hoặc nhóm loài cây bản địa được chọn phải đáp ứng mục tiêu trồng làm giàu rừng và điều kiện lập địa, cụ thể:

a) Rừng đặc dụng: chọn cây có phân bố trong hệ sinh thái của rừng đặc dụng đó;

b) Rừng phòng hộ: chọn cây có phân bố trong khu vực hoặc từ những vùng sinh thái tương tự;

c) Rừng sản xuất: chọn cây có giá trị kinh tế, đáp ứng mục đích sản xuất, kinh doanh.

Xử lý thực bì

Phương thức xử lý thực bì

Diện tích khoảng trống trong lô rừng làm giàu quy định phương thức xử lý thực bì, cụ thể:

a) Xử lý thực bì cục bộ theo băng: thực hiện những khoảng trống có diện tích dưới 1 000 m2 hoặc những nơi cây rừng phân bố không đều;

b) Xử lý thực bì cục bộ theo đám: thực hiện ở những khoảng trống có diện tích từ 1 000 m2 đến dưới 3 000 m2;

c) Xử lý thực bì cục bộ theo hố: thực hiện ở những nơi không áp dụng được xử lý cục bộ theo băng hoặc theo đám.

Phương pháp xử lý thực bì

Phát dọn cây trong băng trồng, đám trồng nhưng để lại cây mục đích và phát dây leo, cây bụi, ken tỉa cây cong queo sâu bệnh nhưng không làm vỡ tầng tán của băng chừa, cụ thể:

a) Xử lý thực bì cơ giới: đối với rừng sản xuất và phòng hộ có độ dốc nhỏ hơn 15°;

b) Xử lý thực bì thủ công: áp dụng cho mọi loại rừng và mọi độ dốc;

c) Xử lý thực bì thủ công kết hợp cơ giới; đối với rừng sản xuất và phòng hộ có độ dốc từ 15° đến dưới 25°.

Thời gian xử lý thực bì

Tối thiểu 20 ngày trước khi trồng làm giàu rừng

Làm đất

Phương thức làm đất

Diện tích khoảng trống trong lô rừng làm giàu quy định phương thức làm đất, cụ thể:

a) Làm đất cục bộ theo băng: thực hiện ở những khoảng trống có diện tích dưới 1 000 m2 hoặc những nơi cây rừng phân bố không đều;

b) Làm đất cục bộ theo đám: thực hiện ở những khoảng trống có diện tích từ 1 000 m2 đến dưới 3 000 m2;

c) Làm đất cục bộ theo hố: thực hiện ở những nơi không áp dụng được xử lý cục bộ theo băng hoặc theo đám.

Phương pháp làm đất

Tùy theo chức năng và độ dốc của từng lô rừng, phương pháp làm đất được xác định như sau:

Làm đất

Phương pháp làm đất

a) Làm đất cơ giới: đối với rừng sản xuất và phòng hộ có độ dốc nhỏ hơn 15°;

b) Làm đất thủ công: áp dụng cho mọi loại rừng và mọi độ dốc;

c) Làm đất thủ công kết hợp cơ giới: đối với rừng sản xuất và phòng hộ có độ dốc từ 15° đến dưới 25°.

Kích thước hố trồng

Yêu cầu kích thước tối thiểu đối với hố hình hộp (chiều dài x chiều rộng x chiều cao) đạt 0,3 m x 0,3 m x 0,3 m hoặc đối với hố hình tròn (đường kính x chiều cao) đạt 0,3 m x 0,3 m

Thời gian làm đất

Tối thiểu 7 ngày trước khi trồng làm giàu rừng

Bón lót phân

Loại phân bón

Căn cứ vào các tiêu chuẩn quốc gia, quy trình kỹ thuật hoặc hướng dẫn kỹ thuật trồng rừng từng loài hoặc nhóm loài cây đã được ban hành để lựa chn chủng loại, liều lưng và phương pháp bón lót phù hợp, bao gồm:

a) Phân vô cơ, liều lượng, phương pháp bón;

b) Phân hữu cơ, liều lượng, phương pháp bón.

Liều lượng phân bón

Phương pháp bón

Thời điểm bón

Tối thiểu 7 ngày trước khi trồng rừng

Phương thức trồng làm giàu rừng

Trồng hỗn giao

Áp dụng đối với 3 loại rừng sản xuất, phòng hộ và đặc dụng, trồng ít nhất 02 loài cây theo băng, theo đám hoặc theo hố

Trồng thuần loài

Áp dụng đối với rừng sản xuất

Phương pháp trồng làm giàu rừng

Trồng bằng cây con có bầu

Áp dụng đối với 3 loại rừng sản xuất, phòng hộ và đặc dụng

Trồng bằng cây con rễ trần

Áp dụng đối với rừng sản xuất và cho các loài có bộ rễ phát triển

Thời vụ trồng làm giàu rừng

Xác định thời vụ trồng thích hợp theo vùng sinh thái lâm nghiệp

Thời vụ trồng rừng đặc thù của từng khu vực theo vùng sinh thái lâm nghiệp, cụ thể như sau:

Thời vụ trồng làm giàu rừng

Xác định thời vụ trồng thích hợp theo vùng sinh thái lâm nghiệp

a) Vùng Tây Bắc Bộ, Đông Bắc Bộ và Đồng bằng Bắc Bộ: mùa Xuân (tháng 1 đến tháng 3 dương lịch) và mùa Thu (tháng 6 đến tháng 9 dương lịch);

b) Vùng Bắc Trung Bộ: cuối mùa Đông (tháng 10 đến tháng 1 dương lịch của năm sau);

c) Vùng Nam Trung Bộ, Tây Nguyên, Đông Nam Bộ và Tây Nam Bộ: đầu mùa mưa (tháng 5 đến tháng 9 dương lịch).

Mật độ trồng làm giàu rừng

Xác định mật độ trồng thích hợp

Căn cứ vào đặc điểm sinh học loài hoặc nhóm loài cây trồng làm giàu, mật độ cây tái sinh mục đích hiện có, mục đích kinh doanh và điều kiện lập địa để xác định mật độ cây trồng làm giàu rừng đảm bảo không quá 500 cây/ha

Tiêu chuẩn cây giống

Xác định tiêu chuẩn cây giống trồng làm giàu rừng

Xác định chất lượng cây giống (chiều cao, đường kính gốc tối thiểu) theo tiêu chuẩn quốc gia, quy trình kỹ thuật, hướng dẫn kỹ thuật hoặc tiêu chuẩn cơ sở về sản xuất cây giống trồng rừng

Chăm sóc rừng

Phát quang thực bì

Căn cứ vào tình hình sinh trưởng phát triển của thực bì, biện pháp làm đất và đặc tính sinh học của loài hoặc nhóm loài cây trồng, xác định số lần, phương án, cách thức phát dọn thực bì, làm có, xới đất và vun gốc

Làm có, xới đất, vun gốc

Trồng dặm

Căn cứ vào tình hình sinh trưởng phát triển của loài hoặc nhóm loài cây trồng, xác định phương án trồng dặm tối đa 10 % mật độ trồng

Bón thúc

Căn cứ vào đặc tính sinh học của loài hoặc nhóm loài cây trồng, tuổi cây để xác định chủng loại và liều lượng phân bón thúc

Bảo vệ rừng

Phòng chống sâu, bệnh hại

Phương pháp điều tra phục vụ phòng, chống sâu, bệnh hại áp dụng tại Mục 5 trong TCVN 8927:2023 và TCVN 8928:2023;

Phương pháp phòng, chống sâu, bệnh hại áp dụng tại Mục 6 trong trong TCVN 8927:2023 và TCVN 8928:2023.

 

Đường băng cản lửa

Xác định băng trắng áp dụng TCVN 12829-1: 2020 và băng xanh áp dụng TCVN 12829-2:2020

Bản đồ thiết kế

Tỷ lệ bản đồ

Gồm 2 loại tỷ lệ 1 : 5 000 hoặc 1:10 000, được xác định theo Mục 4.1 trong TCVN 12630-1:2019

Mã, ký hiệu, màu sắc và trường thông tin

Áp dụng theo Mục 5 trong TCVN 12630-1:2019

Nội dung trình bày, đặt tên và khung bản đồ

Áp dụng theo Mục 6 trong TCVN 12630-1:2019

 

Phụ lục A

(Tham khảo)

Phương pháp điều tra thực bì

A.1  Dụng cụ

- Thước dây có chia vạch đến cm;

- Bảng biểu, bút viết, dao phát và dụng cụ cần thiết khác

A.2  Các bước thực hiện

- Lập tuyến điều tra xác định loại thực bì chính, chiều cao và tỷ lệ che phủ trung bình lớp thực bì. Lựa chọn tuyến điều tra đảm bảo tính chất điển hình của diện tích làm giàu rừng, trên các tuyển lập các ô dạng bản, các ô cách nhau ít nhất 30 m.

- Diện tích ô phụ thuộc vào đánh giá sơ bộ tình hình thực lớp bì khu vực khảo sát và được phân làm 2 loại ô như sau: (i) Lớp cây bụi, thảm tươi rậm rạp, độ che phủ bình quân từ 80 % trở lên: diện tích ô 16 m2 (4 m x 4 m) và (ii) Lớp cây bụi, thảm tươi có độ che phủ bình quân dưi 80 %: diện tích ô 25 m2 (5 m x 5 m).

- Số lượng dạng bản cần lập: 05 ô nếu diện tích lô rừng khảo sát nhỏ hơn 5 hecta và 10 ô nếu diện tích lô rừng khảo sát lớn hơn hoặc bằng 5 ha.

- Các thông tin thu thập cho bao gồm tên loại thực bì chính (c, cây bụi, dây leo, tre nứa), chiều cao bình quân, tình hình sinh trưởng và độ che phủ bình quân trên ô dạng bản.

- Số liệu được xử lý bao gồm chiều cao trung bình và độ che phủ trung bình của lớp thực bì là chỉ số trung bình của chiều cao bình quân và độ che phủ bình quân của tổng các ô dạng bản trên lô làm giàu rừng.

- Phân loại cấp thực bì được áp dụng được chia làm 3 nhóm gồm:

a) Nhóm 1: nhóm loài chủ yếu là các loại c (c Tranh, c Lá tre và các loài c khác...); các loài Tế guột, Dương xỉ, Lau, Chít, Chè vè; các loài cây bụi (Sim, Mua, Đom đóm, Ba bét ...) và tre nứa, dây leo có chiều cao dưới 1 m và tỷ lệ che phủ dưới 40 %;

b) Nhóm 2: nhóm loài chủ yếu là các loại c (c Tranh, c Lá tre và các loài c khác...); các loài Tế guột, Dương xỉ, Lau, Chít, Chè vè; các loài cây bụi (Sim, Mua, Đom đóm, Ba bét ...) và tre nứa, dây leo có chiều cao từ 1 m đến dưới 2 m và tỷ lệ che phủ từ 40 % đến 70%;

c) Nhóm 3: nhóm loài chủ yếu là các loài Tế guột, Dương xỉ, Lau, Chít, Chè vè; các loài cây bụi (Sim, Mua, Đom đóm, Ba bét...) và tre nứa, dây leo có chiều cao trên 2 m và tỷ lệ che phủ trên 70 %.

A.3 Mẫu biểu điều tra thực bì

PHIẾU ĐIỀU TRA THỰC BÌ

.................................... Huyện: ....................................Tỉnh: ..................................................

Tiểu khu: .................................... Khoảnh: .................................... Lô: ....................................

Số hiệu ô đo đếm: .................................... Số hiệu tuyến: ........................................................

Tọa độ tâm ô tại thực địa (Vn2000): X: .................................... Y: ............................................

Độ cao tuyệt đối: .................................... m ...............................................................................

Trạng thái thực bì: .....................................................................................................................

Độ che phủ bình quân: .................... Độ dốc bình quân ô đo đếm: .......... độ .............................

TT

Loại thực bì chính

Độ che phủ

Số bụi

Chiều cao bình quân

Tình hình sinh trưởng

(1)

(2)

(3)

(4)

(5)

(6)

1

C

 

 

 

 

2

Tế guột

 

 

 

 

3

Mua

 

 

 

 

4

...

 

 

 

 

5

 

 

 

 

 

6

 

 

 

 

 

7

 

 

 

 

 

8

 

 

 

 

 

9

 

 

 

 

 

10

 

 

 

 

 

11

 

 

 

 

 

12

 

 

 

 

 

13

 

 

 

 

 

14

 

 

 

 

 

15

 

 

 

 

 

 

Phụ lục B

(Tham khảo)

Phương pháp điều tra cây tái sinh và tầng cây cao

B.1  Lập ô tiêu chuẩn

- Phương pháp chọn ô tiêu chuẩn (OTC): OTC được lập theo phương pháp điển hình đại diện cho khu vực khảo sát.

- Số lượng OTC cần lập:

i) lập 02 ô tiêu chuẩn nếu diện tích lô rừng 3 ha;

ii) lập 3 ô tiêu chuẩn nếu diện tích lô rừng từ > 3 đến ≤ 5 ha;

iii) lập 4 ô tiêu chuẩn nếu diện tích lô rừng > 5 ha.

- Phương pháp lập OTC để điều tra tầng cây cao có đường kính ngang ngực lớn hơn hoặc bằng 6 cm: OTC hình chữ nhật có diện tích tối thiểu 500 m2. Trường hợp làm giàu đối với rừng tre nứa mọc tản cần lập thêm 04 ô phụ hình vuông tại 04 góc ô tiêu chuẩn, diện tích mỗi ô là 25 m2 (5 m x 5 m).

- Phương pháp lập ô dạng bản để điều tra cây tái sinh có chiều cao lớn hơn 20 cm và đường kính ngang ngực nhỏ hơn 6cm. Trong OTC đã thiết lập, tiến hành lập 05 ô dạng bản hình vuông có diện tích mỗi ô là 16 m2 (4 m x 4 m) nếu cây tái sinh có phân bố dày hoặc 25 m2 (5 m x 5 m) nếu cây tái sinh phân bố thưa. Trong đó, 04 ô nằm ở giữa 4 cạnh của ô tiêu chuẩn, ô còn lại nằm trên giao điểm hai đường chéo của ô tiêu chuẩn.

B.2  Đo đếm trong ô tiêu chuẩn và ô dạng bản

- Chiều cao vút ngọn được đo bằng sào khắc vạch từ mặt đất tại vị trí gốc cây đến đỉnh sinh trưởng của thân chính, độ chính xác đến dm.

- Đường kính gốc (Doo) và đường kính ngang ngực (D1,3) được đo bằng thước dây hoặc thước kẹp kính, độ chính xác đến cm.

- Phẩm chất, chất lượng cây được phân làm 3 cấp: (i) Cây sinh trưởng tốt (A) là những cây thân thẳng, không cụt ngọn, tán lá phát triển cân đối, không bị sâu, bệnh hại, (ii) Cây sinh trưởng xấu (C) là những cây cong queo, cụt ngọn, tán lá không cân đối và bị sâu bệnh hại ở mức độ trung bình trở lên và (iii) Cây sinh trưởng trung bình (B) là cây nằm giữa hai cấp phẩm chất nêu trên.

- Đối với tre nứa mọc tản, thì điều tra số cây, đường kính và chiều cao trung bình của tre nứa trong 4 ô dạng bản, diện tích mỗi ô là 25 m2 (5 m x 5 m). Đối với tre nứa mọc cụm hoặc bụi thì đếm số bụi trong ô tiêu chuẩn và số cây trong ba bụi trung bình; Đếm số cây tre nứa có đường kính từ 2 cm trở lên và phân theo 03 tổ tuổi: non, trung bình, già; Đo đường kính tại vị trí 1,3 m: Mỗi loài cây, mỗi tổ tuổi (non, trung bình, già) chọn một cây có đường kính trung bình để đo. Đường kính 1,3 m tối thiểu được đo đếm từ 2 cm trở lên. Đơn vị đo là cm, làm tròn đến 01 cm.

- Xác định độ tàn che rừng bằng phương pháp 100 điểm gồm 2 bước (i) Bước 1: Thiết lập tuyến và các điểm đo độ tàn che, trong ô tiêu chuẩn bố trí trên 04 tuyến song song cách đều với chiều dài của ô tiêu chuẩn. Trên mỗi tuyến bố trí 25 điểm cách đều nhau và so le với các điểm của tuyến liền kề và (ii) Bước 2: Độ tàn che của cây gỗ được xác định bằng phương pháp cho điểm thông qua quan sát đặc điểm tán lá tại từng điểm trong tổng số 100 điểm điều tra. Tại từng điểm đo, sử dụng một ống ngắm lên theo phương thẳng đứng, nếu gặp tán cây thì cho 1 điểm, nếu gặp mép tán cây thì cho 0,5 điểm, nếu không gặp tán cây thì cho 0 điểm.

B.3  Xử lý nội nghiệp

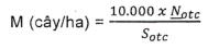
- Mật độ cây tái sinh mục đích theo công thức (1)

(1)

trong đó:

- Nodb

là số cây trong các ô dạng bản;

- Sodb

là diện tích các ô dạng bản;

- n

là số lượng ô dạng bản.

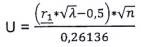
- Phân bố cây tái sinh trên mặt đất dựa vào khoảng cách cây tái sinh theo công thc (2)

(2)

* |U|< 1,96: Cây rừng phân bố ngẫu nhiên

* U > 1.96: Cây rừng phân b đều trên mặt đất

* U < -1,96: Cây rừng phân bố theo cụm trên mặt đất

trong đó

- Khoảng cách bình quân từ cây được chọn đến cây gần thử nhất, kí hiệu là ;

- Mật độ cây rừng (số cây/m2, ký hiệu là λ);

- Số khoảng cách quan sát (n);

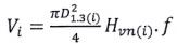
- Thể tích thân cây cá lẻ trong ô tiêu chuẩn có thể được xác định dựa trên các bảng tra chuyên dụng hoặc phương trình tương quan hoặc được tính bằng công thức (3)

(3)

trong đó:

- Vi (m3)

là thể tích của cây thứ i

- D1,3(i) (m)

là đường kính ngang ngực của cây thứ i;

Hvn (i) (m)

là chiều cao vút ngọn của của cây thứ i;

- f

là hình số của cây gỗ, được lấy trị mặc định là 0,5.

- Trữ lượng của cây gỗ trong ô tiêu chuẩn được tính bằng công thức (4)

Motc = ΣVi

(4)

trong đó:

- Motc (m3)

là trữ lượng cây gỗ trong ô tiêu chuẩn.

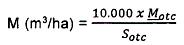
- Trữ lượng của lô rừng được xác định theo công thức (5)

(5)

trong đó:

- M (m3/ha)

là trữ lượng của lô rừng;

- Motc (m3)

là trữ lượng cây gỗ trung bình của các ô tiêu chuẩn.

- Trữ lượng rừng tre nứa mọc tản được xác định theo công thức (6)

(6)

trong đó:

- M (cây/ha)

là trữ lượng của rừng tre nứa;

- Notc (cây)

là số cây trung bình trong ô tiêu chuẩn;

- Sotc (m2)

là diện tích ô tiêu chuẩn điều tra.

Đối với các loài cây mọc theo cụm, số cây trung bình trong ô tiêu chuẩn được xác định theo công thức (7)

(7)

trong đó:

- nb (cây/bụi)

là số cây trung bình của 01 bụi;

- b(bụi)

là tổng số bụi trong ô tiêu chuẩn.

B.4  Hệ thống mẫu biểu điều tra cây tái sinh và tầng cây cao

I. PHIẾU ĐIỀU TRA CÂY TÁI SINH

Số hiệu ô đo đếm: .........................................................................................................................

Vị trí hành chính: Xã .................................... Huyện: .............................. Tĩnh: .............................

Vị trí quản lý: Tiểu khu .............................. Khoảnh: ...............................Lô: .................................

Tọa độ tâm ô tại thực địa (VN2000): X: .................................... Y: ...............................................

Độ cao tuyệt đối: ............................................................................................................................

Độ che phủ: .................................... Độ dốc bình quân ô đo đếm: ................................................

TT

Tên loài

Chất lượng1

Tổng cộng

Cấp chiều cao (m)

Từ 0,5 đến dưới 1,0

Từ 1,0 đến dưới 2,0

Từ 2,0 đến dưới 3,0

Từ 3,0 trở lên

Nguồn gốc

Nguồn gốc

Nguồn gốc

Nguồn gốc

H

Ch

H

Ch

H

Ch

H

Ch

(1)

(2)

(3)

(4)

(5)

(6)

(7)

(8)

(9)

(10)

(11)

(12)

 

 

 

 

 

 

 

 

 

 

 

 

 

 

 

 

 

 

 

 

 

 

 

 

 

 

 

 

 

 

 

 

 

 

 

 

 

 

 

 

 

 

 

 

 

 

 

 

GHI CHÚ:

1Chất lượng cây tái sinh ghi a, b và c tương ứng với tốt, trung bình và xấu;

2H: Nguồn gốc tái sinh hạt;

3Ch: Nguồn gốc tái sinh chồi.

II. PHIU ĐIỀU TRA TNG CÂY CAO

Số hiệu ô tiêu chuẩn: .................................... Độ tàn che: ..........................................................

Vị trí hành chính: Xã: ............................... Huyện ................................ Tỉnh .................................

Vị trí quản lý: Tiểu khu ............................. Khoảnh ...................................................................

Tọa độ OTC: X ............................ ; Y ....................................; Hệ tọa độ: ....................................

Độ cao tuyệt đối (m) .................................... Độ dốc trung bình (độ) ............................................

Kiểu rừng: .....................................................................................................................................

Trạng thái rừng: ............................................................................................................................

Họ tên người điều tra: ...............................................................................................................

Ngày điều tra: ...........................................................................................................................

TT

Tên cây

D1,3

(cm)

Hvn

(m)

Phẩm chất (a,b,c)

(1)

(2)

(3)

(4)

(5)

1

 

 

 

 

2

 

 

 

 

3

 

 

 

 

4

 

 

 

 

5

 

 

 

 

6

 

 

 

 

7

 

 

 

 

8

 

 

 

 

9

 

 

 

 

10

 

 

 

 

11

 

 

 

 

12

 

 

 

 

13

 

 

 

 

14

 

 

 

 

15

 

 

 

 

16

 

 

 

 

17

 

 

 

 

III. PHIẾU ĐIỀU TRA TRE NỨA

Số hiệu ô tiêu chuẩn: .................................... Độ tàn che: ..........................................................

Vị trí hành chính: Xã: ............................... Huyện ................................ Tỉnh .................................

Vị trí quản lý: Tiểu khu ............................. Khoảnh ...................................................................

Tọa độ OTC: X ............................ ; Y ....................................; Hệ tọa độ: ....................................

Độ cao tuyệt đối (m) .................................... Độ dốc trung bình (độ) ............................................

Kiểu rừng: .....................................................................................................................................

Trạng thái rừng: ............................................................................................................................

Họ tên người điều tra: ...............................................................................................................

Ngày điều tra: ...........................................................................................................................

TT

Tên loài / cấp tuổi

Số cây

Loài/cây - tổ tuổi

C1,3 (cm)

Hvn
(m)

Ghi chú

 

Nứa

 

Nứa

 

 

 

 

Non

 

Non

 

 

 

 

Trung bình

 

1

 

 

 

 

Già

 

2

 

 

 

 

....................

 

3

 

 

 

 

 

 

Trung bình

 

 

 

 

 

 

1

 

 

 

 

 

 

2

 

 

 

 

 

 

3

 

 

 

 

 

 

Già

 

 

 

 

 

 

1

 

 

 

 

 

 

2

 

 

 

 

 

 

3

 

 

 

IV. PHIẾU GHI KẾT QUẢ ĐO ĐỘ TÀN CHE

Số hiệu OTC: ................................................................................................................................

Vị trí hành chính: Xã: ............................... Huyện ................................ Tỉnh .................................

Vị trí quản lý: Lô .................................... Khoảnh ............................... Tiểu khu .............................

Tọa độ OTC: X ............................ ; Y ....................................; Hệ tọa độ: ....................................

Loài cây chính : .............................................................................................................................

Họ tên người điều tra: .................................... Ngày điều tra: ......................................................

Tuyến 1

Tuyển 2

Tuyến 3

Tuyến 4

Điểm đo

Điểm đo

Điểm do

Điểm đo

Điểm đo

Điểm do

Điểm đo

Điểm đo

1

 

1

 

1

 

1

 

2

 

2

 

2

 

2

 

3

 

3

 

3

 

3

 

...

 

...

 

...

 

...

 

25

 

25

 

25

 

25

 

Tổng

 

Tổng

 

Tổng

 

Tổng

 

 

Phụ lục C

(Tham khảo)

Phương pháp điều tra xác định nhanh một số tính chất đất

C.1  Phẫu diện đất

- V trí phẫu diện đất được chọn phải điển hình cho một dạng lập địa và ít bị tác động bởi các điều kiện nhân tác như mồ, mả, mương, máng, hầm.

- Đào 01 phẫu diện đại diện cho lập địa của lô làm giàu rừng.

- Phẫu diện có kích thước dài từ 1 m đến 1,2 m, rộng từ 0,8 m đến 0,9 m, chiều sâu tối đa 1,0 m hoặc chạm tầng mẫu chất và đào dọc theo chiều dốc ở nơi đất dốc.

C.2  Đá mẹ và loại đất

Căn cứ vào bản đồ đất kết hợp mô tả phẫu diện đất để xác định đá mẹ và loại đất.

C.3  Độ dày tầng đất

Dựa vào mô tả phẫu diện đất để xác định độ dày tầng đất. Độ dày tầng đất được phân chi thành 3 cấp: (i) Cấp 1 tầng đất dày hơn 0,8 m, (ii) cấp 2 tầng đất dày từ 0,3 m đến 0,8 m và (iii) cấp 3 tầng đất dày dưới 0,3 m.

C.4  Thành phần cơ giới

Xác định theo phương pháp xoe đất: Làm ẩm đt và bóp thành bột nặn, để trong lòng bàn tay và xoe thành thỏi đường kính 3 mm, sau đó uốn thỏi thành vòng tròn đường kính 3 cm. Thành phần cơ giới được chia làm 05 loại: (i) Đất cát nếu đất không xoe được thành thỏi, (ii) Đất cát pha ít thịt nếu khi xoe thỏi đất hình thành nhưng chóng rữa ra, (iii) Đất thịt nhẹ nếu khi xoe thỏi đất đứt từng đoạn, (iv) Đất thịt nặng nếu khi xoe thành thỏi dài và cuộn vòng chỉ rạn nẻ thỏi và (v) Đất sét nếu khi xoe được thành thỏi dài và cuộn vòng không nứt nẻ.

C.5  Tỷ lệ đá lẫn

Xác định thông qua phương pháp mô tả phẫu diện và đơn vị tính theo phần trăm đá lẫn.

C.6  Độ nén chặt đất

Đánh giá bằng việc thử bằng dao, gồm các cấp: (i) Mềm, (ii) Hơi chặt, (iii) Chặt và (iv) Rất chặt.

C.7  Tình hình xói mòn

Đánh giá bằng quan sát, gồm các cấp: (i) Mạnh, (ii) Vừa và (iii) Yếu.

C.8 Mẫu phiếu điều tra đất

PHIẾU MÔ TẢ PHẪU DIỆN ĐẤT

Địa điểm: Xã: .................................... Huyện .................................... Tỉnh ....................................

Lô: .................................... Khoảnh: .................................... Ký hiệu phẫu diện: ...........................

Đồi bát úp □

Núi thấp

Núi TB □

Núi cao □

Bằng phẳng □

* Vị trí:

Chân

Sườn dưới

Sườn trên

Đỉnh □

* Độ dày tầng đất

< 30cm

30-80cm

> 80cm

* Độ dốc

< 15° □

15- 25° □

25- 35° □

> 35° □

* Thành phần giới:

Cát pha

Thịt nhẹ □

Thịt trung bình

Thịt nặng

Đá mẹ ................................................................ loại đất .............................................................

* Mức độ xói mòn:

Mạnh

Vừa □

Yếu □

Mô tả phẫu diện

Sơ đồ PD

Tầng

Độ sâu (cm)

Màu sắc

Độ ẩm

Độ nén chặt

Tỷ lệ đá lẫn (%)

Thành phần cơ giới

 

 

 

 

 

 

 

 

 

 

 

 

 

Phụ lục D

(Tham khảo)

Thuyết minh thiết kế làm giàu rừng

Đề cương thuyết minh thiết kế làm giàu rừng bao gồm (nhưng không giới hạn) các phần sau:

Phn thứ 1. Thông tin chung

1.1  Tên công trình

1.2  Thuộc Dự án (nếu có)

1.3  Nhóm Dự án, cấp Dự án (nếu có)

1.4  Mục tiêu

1.5  Địa điểm xây dựng

1.6  Đơn vị chủ quản (nếu có)

1.7  Đơn vị chủ đầu tư

1.8  Đơn vị lập báo cáo thiết kế làm giàu rừng

1.9  Tổng kinh phí đầu tư

1.10  Nguồn vốn đầu tư

1.11  Thời gian thực hiện

Phần thứ 2. Cơ sở lập hồ sơ thiết kế

2.1  Căn cứ pháp lý

2.2  Tài liệu liên quan

Phần thứ 3. Khái quát tình hình cơ bản khu vực thiết kế

3.1  Điều kiện tự nhiên

3.2.  Điều kiện kinh tế - xã hội

Phần thứ 4. Nội dung thiết kế cụ thể

4.1  Chọn loài cây trồng

4.2  Thời vụ trồng

4.3  Xử lý thực bì

4.4  Làm đất

4.5  Bón lót phân

4.6  Mật độ trồng

4.7 Phương thức trồng

4.8  Phương pháp trồng

4.9  Tiêu chuẩn cây giống

4.10  Chăm sóc, bảo vệ rừng

Phần thứ 5. Bản đồ thiết kế làm giàu rừng

Phần thứ 6. Phụ lục

 

Thư mục tài liệu tham khảo

[1] Thông tư số 33/2018/TT-BNNPTNT ngày 16/11/2018 của Bộ Nông nghiệp và Phát triển nông thôn quy định về điều tra, kiểm kê và theo dõi diễn biến rừng.

[2] Thông tư số 16/2023/TT-BNNPTNT ngày 15 tháng 12 năm 2023 của Bộ Nông nghiệp và Phát triển nông thôn Sửa đổi, bổ sung một số điều của thông tư số 33/2018/TT-BNNPTNT.

[3] Thông tư số 29/2018/TT-BNNPTNT ngày 16 tháng 11 năm 2018 của Bộ trưởng Bộ Nông nghiệp và Phát triển nông thôn quy định về các biện pháp lâm sinh.

[4] Thông tư số 17/2022/TT-BNNPTNT ngày 27 tháng 10 năm 2022 của Bộ trưởng Bộ Nông nghiệp và Phát triển nông thôn về sửa đổi, bổ sung một số điều của Thông tư số 29/2018/TT- BNNPTNT.

[5] Thông tư số 21/2023/TT-BNNPTNT ngày 15/12/2023 của Bộ Nông nghiệp và Phát triển nông thôn Quy định một số định mức kinh tế - kỹ thuật về Lâm nghiệp.

[6] Thông tư số 15/2019/TT-BNNPTNT ngày 30/10/2019 của Bộ Nông nghiệp và Phát triển nông thôn Hướng dẫn một số nội dung quản lý đầu tư công trình lâm sinh.

[7] Văn bản hợp nhất số 15/VBHN-BNNPTNT ngày 25 tháng 11 năm 2022 của Bộ Nông nghiệp và Phát triển nông thôn Quy định về các biện pháp lâm sinh.

[8] Văn bản hợp nhất số 10/VBHN-BNNPTNT ngày 25 tháng 01 năm 2024 của Bộ Nông nghiệp và Phát triển nông thôn Quy định điều tra, kiểm kê và theo dõi diễn biến rừng.

Bạn chưa Đăng nhập thành viên.

Đây là tiện ích dành cho tài khoản thành viên. Vui lòng Đăng nhập để xem chi tiết. Nếu chưa có tài khoản, vui lòng Đăng ký tại đây!

* Lưu ý: Để đọc được văn bản tải trên Luatvietnam.vn, bạn cần cài phần mềm đọc file DOC, DOCX và phần mềm đọc file PDF.

Văn bản liên quan Tiêu chuẩn Việt Nam TCVN 14290-3:2024

văn bản cùng lĩnh vực

văn bản mới nhất

CHÍNH SÁCH BẢO VỆ DỮ LIỆU CÁ NHÂN
Yêu cầu hỗ trợYêu cầu hỗ trợ
Chú thích màu chỉ dẫn
Chú thích màu chỉ dẫn:
Các nội dung của VB này được VB khác thay đổi, hướng dẫn sẽ được làm nổi bật bằng các màu sắc:
Sửa đổi, bổ sung, đính chính
Thay thế
Hướng dẫn
Bãi bỏ
Bãi bỏ cụm từ
Bình luận
Click vào nội dung được bôi màu để xem chi tiết.
×