- Tổng quan
- Nội dung
- Tiêu chuẩn liên quan
- Lược đồ
- Tải về
Tiêu chuẩn quốc gia TCVN 14204-2:2024 Phương pháp điều tra trữ lượng rừng trên cạn - Phần 2 - Rừng tự nhiên
| Số hiệu: | TCVN 14204-2:2024 | Loại văn bản: | Tiêu chuẩn Việt Nam |
| Cơ quan ban hành: | Bộ Khoa học và Công nghệ | Lĩnh vực: | Tài nguyên-Môi trường , Nông nghiệp-Lâm nghiệp |
| Trích yếu: | Phương pháp điều tra trữ lượng rừng trên cạn - Phần 2 - Rừng tự nhiên | ||
|
Ngày ban hành:
Ngày ban hành là ngày, tháng, năm văn bản được thông qua hoặc ký ban hành.
|
13/11/2024 |
Hiệu lực:
|
Đã biết
|
| Người ký: | Đang cập nhật |
Tình trạng hiệu lực:
Cho biết trạng thái hiệu lực của văn bản đang tra cứu: Chưa áp dụng, Còn hiệu lực, Hết hiệu lực, Hết hiệu lực 1 phần; Đã sửa đổi, Đính chính hay Không còn phù hợp,...
|
Đã biết
|
TÓM TẮT TIÊU CHUẨN VIỆT NAM TCVN 14204-2:2024
Tiêu chuẩn quốc gia về phương pháp điều tra trữ lượng rừng tự nhiên
Ngày 13/11/2024, Bộ Khoa học và Công nghệ đã công bố Tiêu chuẩn quốc gia TCVN 14204-2:2024 về "Phương pháp điều tra trữ lượng rừng trên cạn - Phần 2 - Rừng tự nhiên", do Trường Đại học Lâm nghiệp biên soạn và Bộ Nông nghiệp và Phát triển Nông thôn đề nghị. Tiêu chuẩn này có hiệu lực từ ngày công bố.
Tiêu chuẩn này áp dụng cho việc điều tra trữ lượng của các loại rừng gỗ và tre nứa tự nhiên trên cạn.
Phương pháp đo trữ lượng rừng
Mục tiêu của tiêu chuẩn này là xác định trữ lượng gỗ và tre nứa theo các chỉ tiêu cụ thể. Các chỉ tiêu điều tra bao gồm tỷ lệ diện tích mẫu, hình thức và diện tích ô tiêu chuẩn, đường kính ngang ngực của cây gỗ và chiều cao vút ngọn của cây.
Tỷ lệ diện tích mẫu: Đối với rừng có diện tích từ 2.000 ha trở lên, tỷ lệ diện tích mẫu điều tra được xác định từ 0,01% đến 0,1%. Các ô tiêu chuẩn có thể có dạng hình chữ nhật, hình vuông hoặc hình tròn với diện tích từ 500 m² đến 1.000 m² tùy vào diện tích của trạng thái rừng.
Phương pháp rút mẫu: Các ô tiêu chuẩn sẽ được bố trí ngẫu nhiên hoặc theo hệ thống, với ít nhất 30 cây có đường kính lớn hơn 6 cm trong mỗi ô tiêu chuẩn.
Phương pháp thu thập số liệu
Việc thu thập số liệu được thực hiện bằng cách đo đếm trực tiếp các chỉ tiêu sinh trưởng của cây, bao gồm đo đường kính ngang ngực và chiều cao vút ngọn của toàn bộ cây trong ô tiêu chuẩn.
Điều tra cây gỗ: Xác định tên loài cây và đo đếm các chỉ tiêu sinh trưởng như đường kính và chiều cao của từng cây trong ô tiêu chuẩn.
Điều tra tre nứa: Xác định loài và tổ tuổi của các cây tre, nứa trong ô tiêu chuẩn bằng cách đo đếm số cây và thực hiện các chỉ tiêu sinh trưởng.
Tính toán trữ lượng
Trữ lượng gỗ được tính dựa trên thể tích cây thông qua các công thức cụ thể. Đối với cây gỗ, thể tích được tính theo công thức liên quan đến đường kính và chiều cao. Trữ lượng của tre nứa được xác định dựa trên số lượng cây trong diện tích ô tiêu chuẩn.
Tiêu chuẩn này cung cấp một khung pháp lý rõ ràng để đánh giá và quản lý trữ lượng rừng tự nhiên, đảm bảo tính chính xác và thống nhất trong quy trình điều tra.
Tải tiêu chuẩn Việt Nam TCVN 14204-2:2024
TIÊU CHUẨN QUỐC GIA
TCVN 14204-2:2024
PHƯƠNG PHÁP ĐIỀU TRA TRỮ LƯỢNG RỪNG TRÊN CẠN - PHẦN 2 - RỪNG TỰ NHIÊN
Terrestrial forest volume measurement method - Part 2: Natural forest
Lời nói đầu
TCVN 14204:2024 do Trường Đại học Lâm nghiệp biên soạn, Bộ Nông nghiệp và Phát triển Nông thôn đề nghị, Ủy ban Tiêu chuẩn Đo lường Chất lượng Quốc gia thẩm định, Bộ Khoa học và Công nghệ công bố.
Bộ tiêu chuẩn TCVN 14204:2024 “Phương pháp điều tra trữ lượng rừng trên cạn" gồm các phần sau:
- TCVN 14204-1:2024, Phần 1: Rừng trồng
- TCVN 14204-2:2024, Phần 2: Rừng tự nhiên
PHƯƠNG PHÁP ĐIỀU TRA TRỮ LƯỢNG RỪNG TRÊN CẠN - PHẦN 2: RỪNG TỰ NHIÊN
Terrestrial forest volume measurement method - Part 2: Natural forest
1 Phạm vi áp dụng
Tiêu chuẩn này quy định phương pháp điều tra trữ lượng rừng gỗ và tre nứa tự nhiên trên cạn.
2 Tài liệu viện dẫn
Các tài liệu viện dẫn sau đây là cần thiết để áp dụng tiêu chuẩn này. Đối với các tài liệu viện dẫn ghi năm công bố thì áp dụng bản được nêu. Đối với các tài liệu viện dẫn không ghi năm công bố thì áp dụng phiên bản mới nhất, bao gồm cả các sửa đổi, bổ sung (nếu có).
TCVN 11565:2016, Bản đồ hiện trạng rừng - Quy định về trình bày và thể hiện nội dung;
TCVN 13353:2021, Mẫu khóa ảnh vệ tinh phục vụ xây dựng bản đồ hiện trạng rừng - Yêu cầu kỹ thuật; TCVN 13458:2021, Phương pháp xác định diện tích rừng bị thiệt hại;
TCVN 13531: 2022, Mẫu tiêu bản thực vật - Yêu cầu kỹ thuật;
3 Thuật ngữ và định nghĩa
Trong tiêu chuẩn này sử dụng các thuật ngữ và định nghĩa được nêu trong TCVN 11565:2016, TCVN 13353:2021, TCVN 13458:2021 và các thuật ngữ và định nghĩa sau:
3.1
Rừng tự nhiên (Natural forest)
Rừng có sẵn trong tự nhiên hoặc rừng phục hồi bằng tái sinh tự nhiên hoặc rừng tái sinh tự nhiên có trồng bổ sung.
3.2
Rừng cây gỗ (Woody forest)
Rừng bao gồm chủ yếu các loại cây thân gỗ với độ tàn che của cây gỗ chiếm từ 75 % tổng độ tàn che của rừng trở lên.
3.3
Rừng tre nứa (Bamboo forest)
Rừng có độ tàn che của các loài tre, nứa chiếm từ 75 % độ tàn che của rừng trở lên.
3.4
Rừng hỗn giao gỗ và tre nứa (Woody and bamboo mixed forest)
Rừng có độ tàn che của các loài cây gỗ và các loài tre, nứa mỗi loại từ 25 % đến 75 % độ tàn che của rừng.
3.5
Trữ lượng rừng (Forest volume)
Tổng thể tích gỗ của tất cả cây gỗ hoặc số lượng cây tre nứa của tất cả các cây tre nứa trong khu rừng. Đối với cây gỗ được tính theo đơn vị m3/ha và/hoặc đối với tre nứa được tính theo số cây/ha.
3.6
Lô rừng (Forest plot)
Đơn vị cơ sở để theo dõi diễn biến rừng, được tập hợp theo khoảnh, tiểu khu rừng đối với từng chủ rừng và tổng hợp trên địa bàn cấp xã, huyện, tỉnh, quốc gia.
4 Các chỉ tiêu điều tra và yêu cầu
Một số chỉ tiêu điều tra và yêu cầu điều tra trữ lượng rừng được quy định tại Bảng 1.
Bảng 1 - Các chỉ tiêu điều tra và yêu cầu
| Chỉ tiêu | Yêu cầu |
| 1. Tỷ lệ diện tích rút mẫu, hình dạng và diện tích ô tiêu chuẩn | - Tỷ lệ diện tích rút mẫu điều tra từ 0,01 % đến 0,1 % (xem 5.1.2) - Ô tiêu chuẩn điều tra có dạng hình chữ nhật, hình vuông hoặc hình tròn (xem 5.1.3) - Diện tích ô từ 500 m2 đến 1.000 m2 đối với các trạng thái rừng có diện tích dưới 2.000 ha; diện tích 1.000 m2 đối với các trạng thái rừng có diện tích từ 2.000 ha trở lên (xem 5.1.3) |
| 2. Đường kính ngang ngực (cm) | Đo đếm trực tiếp (với đối tượng tầng cây cao các loài cây gỗ xem 5.1.6.2; các loài tre nứa xem 5.1.6.3) |
| 3. Chiều cao vút ngọn (m) | Đo đếm trực tiếp (với đối tượng tầng cây cao các loài cây gỗ xem 5.1.6.2; các loài tre nứa xem 5.1.6.3) |
5 Phương pháp điều tra trữ lượng rừng tự nhiên
5.1 Điều tra trữ lượng rừng bằng phương pháp ô tiêu chuẩn
5.1.1 Phương pháp rút mẫu
- Đối với trạng thái rừng có diện tích từ 2.000 ha trở lên: sử dụng ô tiêu chuẩn bố trí ngẫu nhiên hoặc hệ thống.
- Đối với trạng thái rừng có diện tích nhỏ hơn 2.000 ha: sử dụng ô tiêu chuẩn điển hình.
5.1.2 Tỷ lệ diện tích rút mẫu
5.1.2.1 Đối với trạng thái rừng có diện tích từ 2.000 ha trở lên
Dung lượng mẫu điều tra cần thiết cho từng trạng thái rừng được xác định trên cơ sở biển động của trạng thái rừng đó và sai số ước lượng về trữ lượng cho phép.
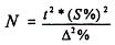
Dung lượng mẫu điều tra được xác định theo công thức (1)
|
| (1) |
trong đó:
| N (ô) | là số ô tiêu chuẩn (mẫu) điều tra cần thiết đối với từng trạng thái rừng; |
| t2 | là độ tin cậy, lấy tròn bằng 4; |
| Δ% | là sai số ước lượng về trữ lượng (10 %); |
| S% | là hệ số biến động về trữ lượng theo trạng thái rừng. |
Hệ số biến động được tính theo công thức (2)
|
| (2) |
trong đó:
S là độ lệch chuẩn.
là trị số trữ lượng bình quân/ha hoặc tiết diện ngang bình quân/ha (nếu là rừng gỗ) hoặc là số cây tre nứa bình quân/ha (nếu là rừng tre nứa) của số mẫu rút thăm dò biến động cho trạng thái rừng i.
được tính theo công thức (3)
|
| (3) |
Độ lệch chuẩn được xác định theo công thức (4)
|
| (4) |
trong đó:
| n | là số ô mẫu rút để thăm dò biến động của trạng thái rừng i. Số lượng ô mẫu tối thiểu để tính biến động là 30 mẫu/trạng thái. |
| xi | là trữ lượng gỗ bình quân/ha hoặc tiết diện ngang bình quân/ha (nếu là rừng gỗ) hoặc là số cây tre nứa bình quân/ha (nếu là rừng tre nứa) của mẫu thăm dò biến động trạng thái rừng i; (i lấy giá trị từ 1 đến n). |
Để làm cơ sở tính dung lượng mẫu cần thiết cho trạng thái rừng thì cần phải thăm dò biến động cho trạng thái rừng đó. Chỉ tiêu biến động đưa vào thăm dò có thể là trữ lượng gỗ bình quân/ha hoặc tiết diện ngang bình quân/ha (nếu là rừng gỗ) hoặc số cây bình quân/ha (nếu là rừng tre, nứa).
5.1.2.2 Đối với trạng thái rừng có diện tích nhỏ hơn 2.000 ha
Tỷ lệ diện tích rút mẫu điều tra từ 0,01 % đến 0,1 % diện tích của trạng thái đó. Tuy nhiên, phải đảm bảo tối thiểu 01 ô tiêu chuẩn được thiết lập với mỗi trạng thái rừng.
5.1.3 Hình dạng và diện tích ô tiêu chuẩn
- Ô tiêu chuẩn điều tra trữ lượng rừng tự nhiên có dạng hình chữ nhật, hình vuông hoặc hình tròn;
- Diện tích ô từ 500 m2 đến 1.000 m2 đối với các trạng thái rừng có diện tích dưới 2.000 ha; diện tích 1.000 m2 đối với các trạng thái rừng có diện tích từ 2.000 ha trở lên. Mỗi ô tiêu chuẩn phải có tối thiểu 30 cây có đường kính lớn hơn hoặc bằng 6,0 cm;
- Đối với rừng trồng các loài tre nứa mọc bụi, ô tiêu chuẩn có diện tích 500 m2; đối với loài mọc tản, ô tiêu chuẩn có diện tích 100 m2 và phải đảm bảo số cây trồng tối thiểu 30 cây.
5.1.4 Thiết kế ô tiêu chuẩn
- Phương pháp bố trí ô tiêu chuẩn: ô tiêu chuẩn điều tra phải phân bố đều theo từng trạng thái rừng.
- Sử dụng bản đồ theo dõi diễn biến rừng để thiết kế ô tiêu chuẩn điều tra. Vị trí ô tiêu chuẩn cho một trạng thái rừng được xác định ngẫu nhiên trên trạng thái rừng cần điều tra.
- Tọa độ cụ thể của từng ô tiêu chuẩn được xuất trực tiếp từ bản đồ trên máy tính và chuyển vào máy định vị GPS, làm cơ sở cho việc xác định vị trí ngoài thực địa.
- Xác định vị trí ô tiêu chuẩn ngoài thực địa: Sử dụng bản đồ theo dõi diễn biến rừng kết hợp với máy định vị GPS tiếp cận lô rừng và xác định vị trí lô rừng cần điều tra và vị trí của ô tiêu chuẩn trong từng lô rừng ngoài thực địa. Trường hợp vị trí ô tiêu chuẩn vào vị trí có chướng ngại vật (đá lộ đầu, các dòng sông, suối hồ, đường giao thông...) thì được phép dịch chuyển tâm ô tiêu chuẩn đến vị trí thuận lợi hơn, nhưng bán kính không được vượt quá 50 m tính từ tâm ô theo thiết kế.
5.1.5 Thiết lập ô tiêu chuẩn
Đối với các ô tiêu chuẩn hình chữ nhật, hình vuông chiều dài ô được lập song song với đường đồng mức chiều rộng ô vuông góc với đường đồng mức. Đối với các ô tiêu chuẩn hình tròn, căn cứ tọa độ và bán kính của ô, sử dụng la bàn, địa bàn cầm tay hoặc Suunto,...kết hợp với thước dây, cọc tiêu để xác định ranh giới ô.
Trường hợp ô tiêu chuẩn được lập trên địa hình có độ dốc lớn hoặc bằng 5° cần hiệu chỉnh độ dài cạnh (trường hợp ô tiêu chuẩn hình chữ nhật, hình vuông tham khảo phụ lục E) hoặc hiệu chỉnh bán kính (trường hợp ô tiêu chuẩn hình tròn) theo độ dốc để đảm bảo đủ diện tích điều tra theo quy định.
5.1.6 Thu thập số liệu trong ô tiêu chuẩn
5.1.6.1 Thu thập các thông tin chung
- Số hiệu ô tiêu chuẩn được đánh số bằng chữ số Ả rập theo thứ tự từ I đến hết;
- Các thông tin tỉnh, huyện, xã, tiểu khu, khoảnh được xác định trên bản đồ hiện trạng;
- Thông tin về kiểu rừng chính, kiểu rừng phụ, trạng thái ô tiêu chuẩn, trạng thái lô được xác định trên bàn đồ hiện trạng kết hợp với phương pháp chuyên gia ngoài hiện trường;
- Độ dốc, hướng dốc được xác định bằng địa bàn, hoặc bằng các phần mềm và công cụ hỗ trợ khác;
- Độ cao tuyệt đối được xác định bằng GPS hoặc bằng các phần mềm và công cụ hỗ trợ khác.
5.1.6.2 Điều tra các loài cây gỗ
5.1.6.2.1 Xác định tên loài cây
Xác định tên phổ thông và tên địa phương (nếu có) của tất cả cây gỗ có đường kính ngang ngực lớn hơn hoặc bằng 6,0 cm bằng phương pháp chuyên gia.
Đối với những loài chưa xác định được tên ngoài thực địa, ghi ký hiệu Sp1, Sp2, Sp3... Spn và tiến hành thu thập mẫu để giám định tên cây.
5.1.6.2.2 Đo đếm các chỉ tiêu sinh trưởng
- Đo đường kính ngang ngực: Sử dụng thước dây hoặc thước kẹp kính đo đường kính ngang ngực của tất cả các cây trồng trong ô tiêu chuẩn, độ chính xác đến 0,1 cm. Với những cây gỗ có đặc điểm khác biệt tại vị trí đường kính ngang ngực, vị trí đo được xác định tham khảo Phụ lục A.
- Đo chiều cao vút ngọn: Sử dụng sào đo cao, sào khắc vạch hoặc thiết bị đo cao chuyên dụng đề đo chiều cao vút ngọn của tất cả các cây trong ô tiêu chuẩn, độ chính xác đến 0,1 m. Phương pháp đo chiều cao vút ngọn tham khảo Phụ lục B.
Kết quả điều tra các chỉ tiêu sinh trưởng và phẩm chất cây rừng được ghi vào Phiếu điều tra tầng cây gỗ rừng tự nhiên (tham khảo Phụ lục C).
5.1.6.3 Điều tra các loài tre nứa
5.1.6.3.1 Xác định tên loài cây tre nứa
- Xác định tên phổ thông và tên địa phương (nếu có) của tất cả những cây có đường kinh ngang ngực lớn hơn hoặc bằng 2,0 cm bằng phương pháp chuyên gia.
- Đối với những loài chưa xác định được tên ngoài thực địa, ghi ký hiệu Sp1, Sp2, Sp3...Spn và tiến hành thu thập mẫu để giám định tên cây.
5.1.6.3.2 Đo đếm các chỉ tiêu sinh trưởng
- Đối với tre nứa mọc tản: tiến hành đếm số cây; đo đường kính và chiều cao của tre nứa trong 04 ô dạng bản, diện tích mỗi ô là 25 m2 (5m × 5m). Đối với tre nứa mọc cụm hoặc bụi thì đếm số bụi trong ô tiêu chuẩn và số cây trong 03 bụi trung bình;
- Đếm số cây tre nứa có đường kính ngang ngực từ 2 cm trở lên và phân theo 03 tổ tuổi: non, trung bình, già;
- Đo đường kính ngang ngực: mỗi loài cây, mỗi tổ tuổi (non, trung bình, già) chọn ba cây có đường kính ngang ngực trung bình để đo, độ chính xác đến 0,1 cm;
- Đo chiều cao vút ngọn: đo chiều cao vút ngọn của những cây đã chọn để đo đường kính ngang ngực, độ chính xác đến 0,1 m.
5.1.6.3.3 Xác định tổ tuổi tre nứa dựa vào đặc điểm hình thái của thân khí sinh
- Đối với loài cây mọc tản, tiến hành điều tra toàn bộ cây trong ô. Với loài cây mọc bụi, tiến hành đếm số bụi; lựa chọn và điều tra 03 bụi điển hình. Chỉ tiêu điều tra là số lượng cây và tổ tuổi của từng cây.
- Xác định tổ tuổi tre nứa dựa vào đặc điểm hình thái của thân khí sinh
Tổ tuổi I (non): những cây từ 1,0 năm tuổi đến dưới 2,0 năm tuổi, phát triển tương đối đầy đủ cành lá, thân màu xanh thẫm, có lông, chưa có địa y. Trong thân chứa nhiều nước, thân mềm thịt màu trắng, mo nang còn tồn tại trên thân;
Tổ tuổi II (trung bình): những cây từ 2,0 năm tuổi đến 3,0 năm tuổi đối với Nứa, vầu, Lồ ô; Từ 3,0 năm tuổi đến 4,0 năm tuổi đối với Luồng, Diễn, Tre gai. Trên thân không cón mo, cành nhánh phát triển sum xuê, cành nhánh tập trung ở ngọn cây. Thân và cành chính đã già biểu hiện ở màu xanh sẫm pha lẫn màu nâu vàng, xuất hiện địa y loang lổ, có thể có cành phụ cấp 2;
Tổ tuổi III (già): những cây trên 3,0 năm tuổi với Nứa, vầu, Lồ ô; Trên 4,0 năm tuổi đối với Luồng, Diễn, Tre gai. Đặc điểm lá có màu xanh nhạt, thân có màu xanh hơi vàng, hoặc loang lổ trắng xám do địa y phát triển mạnh (70 - 80%), nền xanh của thân gần như biến mất. Ở tổ tuổi này bắt đầu xuất hiện quá trình mục hóa, ngã đổ.
Kết quả điều tra được ghi vào Phiếu điều tra tre, nứa tự nhiên tham khảo tại Phụ lục D.
5.1.7 Phương pháp tính toán nội nghiệp
5.1.7.1 Xác định trữ lượng gỗ
- Thể tích thân cây cá lẻ trong ô tiêu chuẩn có thể được xác định dựa trên các bảng tra chuyên dụng hoặc phương trình tương quan hoặc được tính bằng công thức (5)
|
| (5) |
trong đó:
| Vi (m3) | là thể tích của cây thứ i, tính bằng m3; |
| D1.3(i) (m) | là đường kính ngang ngực của cây thứ i, tính bằng m; |
| Hvn(i) (m) | là chiều cao vút ngọn của của cây thứ i, tính bằng m; |
| f | là hình số của thân cây (đối với loài cây có hình số riêng thì sử dụng hình số cho từng loài, đối với loài cây chưa xác định được hình số thì được lấy giá trị là 0,45). |
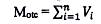
- Trữ lượng của cây trong ô tiêu chuẩn được tính bằng công thức (6)
|
| (6) |
trong đó:
| Motc (m3) | là trữ lượng rừng trong ô tiêu chuẩn, tính bằng m3; |
| Vi (m3) | là tổng thể tích của tất cả các cây trong ô tiêu chuẩn, tính bằng m3 |
- Trữ lượng của gỗ của lâm phần được xác định theo công thức (7)
|
| (7) |
trong đó:
| M (m3/ha) | là trữ lượng gỗ của lâm phần, tính bằng m3/ha; |
| Motc (m3) | là trữ lượng của ô tiêu chuẩn, tính bằng m3; |
| Sotc (m2) | là diện tích ô trêu chuẩn điều tra, tính bằng m2 |
5.1.7.2 Xác định trữ lượng tre nứa
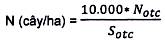
a) Số cây tre nứa mọc tản được xác định theo công thức (8)
|
| (8) |
trong đó:
| N (cây/ha) | là tổng số cây của rừng tre nứa, tính bằng cây/ha; |
| Notc (cây) | là tổng số cây trong ô tiêu chuẩn, tính bằng cây/otc |
| Sotc (m2) | là diện tích ô tiêu chuẩn điều tra, tính bằng m2 |
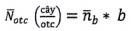
b) Đối với các loài cây mọc bụi, số cây trung bình trong ô tiêu chuẩn được xác định theo công thức (9)
|
| (9) |
trong đó:
|
| là số cây trung bình trong ô tiêu chuẩn, tính bằng cây/otc; |
|
| là số cây trung bình của 01 bụi, tính bằng cây/bụi; |
| b (bụi) | là tổng số bụi trong ô tiêu chuẩn, tính bằng bụi |
5.2 Điều tra trữ lượng rừng bằng phương pháp giải đoán ảnh vệ tinh
5.2.1 Xây dựng khóa giải đoán trữ lượng
5.2.1.1 Thiết lập ô tiêu chuẩn
- Lựa chọn các vị trí thiết lập ô tiêu chuẩn sao cho ô tiêu chuẩn nằm trên một trạng thái rừng và cách ranh đường giới với những trạng thái liền kề tối thiểu 50 m;
- Thiết kế hệ thống ô tiêu chuẩn ngoài thực địa phải quan tâm đến các nội dung sau: 1) Diện tích của khu vực cần xác định trữ lượng rừng; 2) Diện tích cần phải thu thập mẫu; 3) Diện tích của ô tiêu chuẩn đo đếm tại thực địa; 4) Sự phân bố của các ô tiêu chuẩn trên đối tượng điều tra.
- Số lượng ô mẫu dùng để xác định trữ lượng rừng cho một trạng thái rừng tối thiểu là 20 ô mẫu/cảnh ảnh.
5.2.1.2 Điều tra trong ô tiêu chuẩn
Phương pháp điều tra trong ô tiêu chuẩn theo 5.1.6.2 và 5.1.6.3
5.2.1.3 Xác định trữ lượng rừng gỗ và tre nứa trong ô tiêu chuẩn
Phương pháp điều tra trữ lượng theo 5.1.7.1 và 5.1.7.2.
5.2.1.4 Lập mẫu khóa ảnh xác định trữ lượng gỗ
Lập mẫu khóa ảnh xác định trữ lượng gỗ theo TCVN 13353 :2021
5.2.2 Xác định trữ lượng bình quân cho một lô rừng
- Sử dụng khoá giải đoán trữ lượng để xác định trữ lượng theo các giá trị phổ cho từng lô trạng thái rừng đã phân chia;
- Sử dụng phần mềm chuyên dụng để phân chia các lô rừng dựa trên các giá trị phổ (xem phụ lục F), khóa giải đoán trữ lượng;
- Trữ lượng của mỗi lô rừng được xác định qua trữ lượng bình quân trên ha và diện tích lô;
- Kiểm tra ngoài hiện trường để xác định độ chính xác của công tác giải đoán trữ lượng;
- Hiệu chỉnh khóa giải đoán ảnh theo kết quả kiểm tra ngoài hiện trường;
- Xác định trữ lượng rừng từ khoá giải đoán đã hiệu chỉnh;
- Tiến hành giải đoán lại nếu độ chính xác về xác định trữ lượng dưới 90 %.
5.2.3 Tổng hợp trữ lượng rừng
5.2.3.1 Xác định trữ lượng gỗ
Tổng trữ lượng gỗ của một lô rừng được xác định bằng công thức (10)
|
| (10) |
trong đó:
(m3/ha) là trữ lượng bình quân của một hecta rừng, tính bằng m3/ha;
Slo (ha) là diện tích lô rừng.
5.2.3.2 Trữ lượng tre nứa
Trữ lượng tre nứa của lô rừng được tính theo công thức (11)
| Nilo = Nit/ha * Silo | (11) |
trong đó:
| Nilo (cây) | là trữ lượng lô rừng trong trạng thái i; |
| Nit (cây/ha) | là số cây bình quân/ha của trạng thái rừng i; |
| Silo (ha) | là diện tích của lô rừng trong trạng thái i. |
6 Báo cáo điều tra trữ lượng rừng
Báo cáo kết quả điều tra trữ lượng rừng tự nhiên trên cạn bao gồm (nhưng không giới hạn) các phần sau:
Phần 1. Đặt vấn đề
Phần 2. Mục tiêu, nội dung, phương pháp nghiên cứu
2.1 Mục tiêu
2.2 Nội dung
2.3 Địa điểm và giới hạn nghiên cứu
2.4 Phương pháp
2.4.1 Phương pháp ngoại nghiệp
2.4.2 Phương pháp xử lý số liệu
Phần 3. Kết quả nghiên cứu
Phần 4. Kết luận, tồn tại, kiến nghị
4.1 Kết luận
4.2 Tồn tại
4.3 Kiến nghị Phụ lục
Tài liệu tham khảo
Phụ lục A
(Tham khảo)
Xác định vị trí đo D1.3 đối với cây cá biệt

Phụ lục B
(Tham khảo)
Hướng dẫn đo chiều cao
1. Đo chiều cao bằng thước đo cao Blume-leiss
a Cấu tạo
Thước Blumeleiss gồm các bộ phận: ống ngắm, kim chỉ kết quả đo cao, nút hãm, mở kim, hệ thống thang chia ghi chiều cao ứng với các cự li ngang khác nhau và 1 thang chia độ dốc.
b Phương pháp đo
- Đứng cách gốc cây 1 khoảng cách ứng với cự ly ngang đã ghi trên thước là 15 m, 20 m, 30 m
- Ngắm vào điểm đầu tiên cần đo (ngọn cây), mở nút hãm kim cho kim dao động tự do.
- Đợi kim hết dao động bấm nút hãm kim và đọc kết quả trên vạch tương ứng được h1.
- Bấm nút hãm kim và ngắm vào điểm thứ 2 (gốc cây), mở nút hãm kim cho kim dao động tự do.
- Đợi kim hết dao động bấm nút hãm kim và đọc kết quả được h2.
Tính chiều cao cây: h = h1 ± h2. Lấy dấu (+) khi kim chỉ về 2 phía của vạch số 0, dấu (-) khi kim chỉ về cùng 1 phía của vạch số 0.
Nếu khoảng cách từ người đứng đo đến gốc cây chưa cải bằng phải xác định góc nghiêng θ°. Khi đó chiều cao thực của cây được xác định bằng công thức h' = h - hsin2θ.

Hình B.1. Đo chiều cao vút ngọn của cây bằng thước đo cao Blume-leiss
2. Đo chiều cao bằng thước đo cao Vertex
a Cấu tạo
Thước Vertex gồm hai thành phần chính là thước đo cao và bộ phát tín hiệu. Trên thước đo cao có các phím mở/tắt (on/off), phím điều chỉnh, ống ngắm, màn hình hiển thị số liệu.
b Phương pháp đo
- Bấm vào phím ON trên thước đo cao đề mở máy, chờ khoảng 5 min đến 10 min để máy tự điều chỉnh các thông số về nhiệt độ.
- Khởi động bộ phát tín hiệu: Nhấn và giữ phím DME cho đến khi bộ phát tín hiệu kêu 2 tiếng và khởi động thì dừng.
- Gắn bộ phát tín hiệu vào thân cây tại vị trí 1,3 m.
- Đứng cách gốc cây một khoảng cách bất kỳ sao cho có thể nhìn thấy bộ phát tín hiệu và ngọn cây. Khoảng cách tốt nhất để đo chiều cao nên từ 15 m đến 30 m.
- Nhấn và giữ phím DME và ngắm thước vào bộ phát tín hiệu, chờ đến khi bộ phát tín hiệu phát ra tiếng kêu và trong ống ngắm xuất hiện chữ thập màu đỏ nhấp nháy. Lúc này, Vertex đã đo lường khoảng cách, góc và khoảng cách ngang từ điểm đứng đến bộ phát tín hiệu.
- Ngắm vào độ cao cần đo (ngọn cây) với chữ thập nhấp nháy, nhất và giữ phím DME cho đến khi hình chữ thập biển mất. Lúc này chiều cao cây đã được đo và màn hình hiển thị thông số. Trường hợp cần đo lại cho chính xác thì ngắm tiếp vào vị trí cần đo, nhân và giữ phím DME lần nữa cho đến khi hình chữ thập tiếp tục biến mất và màn hình hiển thị thông số.
- Tắt bộ phát tín hiệu sau khi sử dụng: Nhấn và giữ phím DME cho đến khi bộ phát tín hiệu kêu 4 tiếng và tắt thì dừng.
- Tắt thước đo cao sau khi sử dụng: Nhấn đồng thời phím DME và phím IR cho đến khi màn hình chính của thước tắt thì dừng
Tắt thước đo cao sau khi sử dụng: Nhấn đồng thời phím DME và phim IR cho đến khi màn hình chính của thước tắt thì dừng.

Hình B.2. Đo chiều cao vút ngọn của cây bằng thước đo cao Vertex
3. Đo chiều cao bằng sào đo cao (hoặc sào có khắc vạch)
a Cấu tạo
Sào đo cao là một sào có chiều dài 5,0 m đến 12,0 m, có khả năng thu gọn vào từ 1,0 m đến 1,5 m (tùy vào từng loại sào). Bên trên thân sào có khắc các vạch cách nhau 10,0 cm.
Trường hợp không có sào đo cao thì có thể sử dụng sào tre có khắc các vạch. Sào tre phải đảm bảo thẳng, chính xác khi sử dụng.
b Phương pháp đo
- Một người cầm sào đứng ngay gốc cây cần đo. Lưu ý sào đo cao phải song song với cây cần đo.
- Người ở ngoài đọc giá trị chiều cao ghi trên sào.
- Trường hợp sào đo cao thấp hơn chiều cao vút ngọn của thân cây thì người cầm sào có thể dùng tay giơ sào lên. Người đọc giá trị chiều cao ghi trên sào căn cứ vào chiều dài của sào và chiều cao của vị trí giơ sào để xác định chiều cao vút ngọn tương ứng.
Phụ lục C
(Tham khảo)
Phiếu điều tra cây gỗ rừng tự nhiên
Số hiệu ô tiêu chuẩn: .................................... Diện tích OTC (m2): ..........................................
Vị trí hành chính: Xã: .................................... Huyện .................................... Tỉnh ...................
Vị trí quản lý: Lô .................................... Khoảnh .................................... Tiểu khu ..................
Tọa độ OTC: X .................................... Y .................................... Hệ tọa độ: ..........................
Độ cao so với mực nước biển (m) ..................................... Độ dốc bình quân (độ) ..................
Kiểu rừng: .................................... Trạng thái rừng: .................................................................
| TT cây | Tên loài | Đường kính (D1.3, cm) / Chu vi (C1.3, cm) | Chiều cao vút ngọn (Hvn, m) | Ghi chú |
| 1 |
|
|
|
|
| 2 |
|
|
|
|
| 3 |
|
|
|
|
| 4 |
|
|
|
|
| ... |
|
|
|
|
| ... |
|
|
|
|
| ... |
|
|
|
|
| ... |
|
|
|
|
| ... |
|
|
|
|
| Người điều tra
| Thời gian điều tra |
Phụ lục D
(Tham khảo)
Phiếu điều tra rừng tre nứa tự nhiên
Số hiệu ô tiêu chuẩn: .................................... Diện tích OTC (m2): ..........................................
Vị trí hành chính: Xã: .................................... Huyện ......................... Tĩnh .............................
Vị trí quản lý: Lô .................................... Khoảnh .................................... Tiểu khu ..................
Toa đô OTC: X .................................... Y: .................................... Hệ tọa độ: ..........................
Đô cao so với mực nước biển (m) .................................... Độ dốc bình quân (độ) ...................
Loài cây: .................................... Tháng, năm trồng: ..................................................................
Kiểu rừng: .................................... Trạng thái rừng: ....................................
| TT bụi | Thứ tự cây | Tên loài cây | Đường kính (D1.3, cm) / Chu vi (C1.3, cm) | Chiều cao vút ngọn (Hvn, m) | Tổ tuổi | Ghi chú |
|
| 1 |
|
|
|
|
|
|
| 2 |
|
|
|
|
|
|
| 3 |
|
|
|
|
|
|
| 4 |
|
|
|
|
|
|
| ... |
|
|
|
|
|
|
| ... |
|
|
|
|
|
|
| ... |
|
|
|
|
|
|
| ... |
|
|
|
|
|
|
| ... |
|
|
|
|
|
GHI CHÚ: Với loài mọc tản không có TT bụi
| Người điều tra
| Thời gian điều tra |
Phụ lục E
(Tham khảo)
Bảng hiệu chỉnh độ dài cạnh ô tiêu chuẩn theo độ dốc
| Độ dốc (độ) | Cos (a) | Chiều rộng OTC tương ứng với cạnh 10m | Chiều rộng OTC tương ứng với cạnh 20m | Chiều rộng OTC tương ứng với cạnh 30m |
| 2 | 1,00 | 10,0 | 20,0 | 30,0 |
| 4 | 1,00 | 10,0 | 20,0 | 30,1 |
| 6 | 0,99 | 10,1 | 20,1 | 30,2 |
| 8 | 0,99 | 10,1 | 20,2 | 30,3 |
| 10 | 0,98 | 10,2 | 20,3 | 30,5 |
| 12 | 0,98 | 10,2 | 20,4 | 30,7 |
| 14 | 0,97 | 10,3 | 20,6 | 30,9 |
| 16 | 0,96 | 10,4 | 20,8 | 31,2 |
| 18 | 0,95 | 10,5 | 21,0 | 31,5 |
| 20 | 0,94 | 10,6 | 21,3 | 31,9 |
| 22 | 0,93 | 10,8 | 21,6 | 32,4 |
| 24 | 0,91 | 10,9 | 21,9 | 32,8 |
| 26 | 0,90 | 11,1 | 22,3 | 33,4 |
| 28 | 0,88 | 11,3 | 22,7 | 34,0 |
| 30 | 0,87 | 11,5 | 23,1 | 34,6 |
| 32 | 0,85 | 11,8 | 23,6 | 35,4 |
| 34 | 0,83 | 12,1 | 24,1 | 36,2 |
| 36 | 0,81 | 12,4 | 24,7 | 37,1 |
| 38 | 0,79 | 12,7 | 25,4 | 38,1 |
| 40 | 0,77 | 13,1 | 26,1 | 39,2 |
| 42 | 0,74 | 13,5 | 26,9 | 40,4 |
| 44 | 0,72 | 13,9 | 27,8 | 41,7 |
| 46 | 0,69 | 14,4 | 28,8 | 43,2 |
| 48 | 0,67 | 14,9 | 29,9 | 44,8 |
| 50 | 0,64 | 15,6 | 31,1 | 46,7 |
Phụ lục F
(Tham khảo)
Một số chỉ số lớp phủ thực vật được sử dụng phổ biến
Chỉ số thực vật
NDVI = (NIR - RED)/(NIR+RED)
Trong đó: NIR là kênh cận hồng ngoại
RED là kênh đỏ của ảnh.
Chỉ số tỷ số thực vật:
RVI = NIR/RED
Tổng giá trị cấp độ xám:
TRRI = (DN1+DN2... ,+DNn)/(n*255)
Trong đó: DN1, DN2...DNn là giá trị cấp độ xám của từng kênh của ảnh vệ tinh.
Chỉ số thực vật sai khác:
DVI = NIR - RED
Chỉ số màu xanh thực vật:
GVI = 1.6225NIR - 2.2978RED + 11.0656
Chỉ số lớp thực vật tăng cường:
EVI = 2.5* (NIR-RED)/(NIR+6*RED-7.5*BLUE+1)
Giá trị phổ các kênh ảnh gốc: K1; K2; K3; K4...
Sai tiêu chuẩn của từng kênh ảnh: Std_k1; Std_k2....
Chỉ số phân mùa của thực vật:
SD=(|NDVI1-NDVI2|)/(NDVI1+NDVI2)
Trong đó NDVI1 và NDVI2 là chỉ số thực vật xác định được vào các thời kỳ đầu và cuối mùa sinh trưởng của thực vật ở địa phương.
Thư mục tài liệu tham khảo
[1] Luật Lâm nghiệp năm 2017;
[2] Thông tư số 33/2018/TT-BNNPTNT ngày 16/11/2018 của Bộ Nông nghiệp và Phát triển nông thôn về điều tra, kiểm kê và theo dõi diễn biến rừng;
[3] Quyết định số 689/QĐ-TCLN-KL ngày 23/12/2013 của Tổng cục Lâm nghiệp, Bộ Nông nghiệp và Phát triển nông thôn Ban hành tạm thời bộ tài liệu tập huấn hướng dẫn điều tra, kiểm kê rừng;
[4] Hệ thống chứng chỉ rừng Quốc gia-VFCS (2022), Hướng dẫn kỹ thuật điều tra, đánh giá trữ lượng rừng tự nhiên cho các chủ rừng nhỏ;
[5] Bộ Nông nghiệp và Phát triển nông thôn (2004), cẩm nang ngành Lâm nghiệp, chương: Công tác điều tra rừng ờ Việt Nam, NXB Giao thông vận tải, Hà Nội;
[6] Vũ Tiến Hình (2012). Giáo trình điều tra rừng, Trường Đại học Lâm nghiệp, Nhà xuất bản Nông nghiệp, Hà Nội;
[7] Quyết định số 145/QĐ-KL-CĐS ngày 18 tháng 6 năm 2024 của Cục Kiểm lâm, Bộ Nông nghiệp và Phát triển nông thôn ban hành sổ tay hướng dẫn kỹ thuật điều tra rừng.
Bạn chưa Đăng nhập thành viên.
Đây là tiện ích dành cho tài khoản thành viên. Vui lòng Đăng nhập để xem chi tiết. Nếu chưa có tài khoản, vui lòng Đăng ký tại đây!