- Tổng quan
- Nội dung
- Tiêu chuẩn liên quan
- Lược đồ
- Tải về
Tiêu chuẩn quốc gia TCVN 14287:2024 Phương pháp xác định sinh khối và trữ lượng các-bon rừng
| Số hiệu: | TCVN 14287:2024 | Loại văn bản: | Tiêu chuẩn Việt Nam |
| Cơ quan ban hành: | Bộ Khoa học và Công nghệ | Lĩnh vực: | Tài nguyên-Môi trường , Nông nghiệp-Lâm nghiệp |
| Trích yếu: | Phương pháp xác định sinh khối và trữ lượng các-bon rừng | ||
|
Ngày ban hành:
Ngày ban hành là ngày, tháng, năm văn bản được thông qua hoặc ký ban hành.
|
31/12/2024 |
Hiệu lực:
|
Đã biết
|
| Người ký: | Đang cập nhật |
Tình trạng hiệu lực:
Cho biết trạng thái hiệu lực của văn bản đang tra cứu: Chưa áp dụng, Còn hiệu lực, Hết hiệu lực, Hết hiệu lực 1 phần; Đã sửa đổi, Đính chính hay Không còn phù hợp,...
|
Đã biết
|
TÓM TẮT TIÊU CHUẨN VIỆT NAM TCVN 14287:2024
Tiêu chuẩn quốc gia TCVN 14287:2024: Phương pháp xác định sinh khối và trữ lượng các-bon rừng
Tiêu chuẩn quốc gia TCVN 14287:2024 được công bố bởi Bộ Nông nghiệp và Phát triển nông thôn, có hiệu lực từ ngày ban hành 25/09/2024. Văn bản này quy định phương pháp xác định sinh khối và trữ lượng các-bon rừng, nhằm đảm bảo việc theo dõi và quản lý hiệu quả nguồn tài nguyên rừng.
Tiêu chuẩn áp dụng cho việc điều tra sinh khối và trữ lượng các-bon rừng với nhiều nội dung quan trọng. Một trong những chỉ tiêu chính trong văn bản là sinh khối rừng, được đo lường bằng tấn trên héc-ta. Cụ thể, các thuật ngữ liên quan như sinh khối rừng, sinh khối trên mặt đất và trữ lượng các-bon đều có các định nghĩa rõ ràng.
Về phương pháp, TCVN 14287:2024 quy định hai phương pháp xác định sinh khối và trữ lượng các-bon:
Phương pháp xác định gián tiếp: Sử dụng các phương trình tương quan để tính toán sinh khối và trữ lượng các-bon mà không cần chặt cây. Phương pháp này yêu cầu khu vực nghiên cứu nằm trong phạm vi áp dụng của phương trình và có độ tin cậy cao.
Phương pháp xác định trực tiếp: Liên quan đến việc chặt cây để đo đạc trực tiếp sinh khối. Phương pháp này được áp dụng khi không có phương trình tương quan hoặc khu vực nghiên cứu không đủ độ tin cậy.
Tiêu chuẩn cũng nêu rõ về các chỉ tiêu, như dung lượng mẫu và hình dạng ô tiêu chuẩn cho việc điều tra. Ô tiêu chuẩn có thể hình dạng vuông, chữ nhật, hoặc tròn, với diện tích cụ thể cho từng loại rừng, ví dụ như 1.000 m² cho rừng tự nhiên và 100 m² cho rừng trồng.
Ngoài ra, các phương pháp xử lý số liệu để tính toán sinh khối và lượng các-bon cũng được cụ thể hóa. Cùng với đó, cơ sở dữ liệu và tài liệu viện dẫn như TCVN 11565:2016, TCVN 13531:2022, và TCVN 14204-1:2024 được sử dụng làm định hướng.
Việc thực hiện theo tiêu chuẩn TCVN 14287:2024 không chỉ hỗ trợ trong việc đánh giá chính xác trữ lượng các-bon mà còn góp phần vào công tác quản lý bền vững nguồn tài nguyên rừng, là cơ sở quan trọng cho các cơ quan quản lý, doanh nghiệp và cộng đồng thực hiện các biện pháp bảo vệ môi trường vốn đang trở thành ưu tiên hàng đầu hiện nay.
Tải tiêu chuẩn Việt Nam TCVN 14287:2024
TIÊU CHUẨN QUỐC GIA
TCVN 14287 : 2024
PHƯƠNG PHÁP XÁC ĐỊNH SINH KHỐI VÀ TRỮ LƯỢNG CÁC-BON RỪNG
Methods of determining forest biomass and carbon stock
Lời nói đầu
TCVN 14287 : 2024 do Trường Đại học Lâm nghiệp biên soạn, Bộ Nông nghiệp và Phát triển nông thôn đề nghị, Ủy ban Tiêu chuẩn Đo lường Chất lượng Quốc gia thẩm định, công bố.
PHƯƠNG PHÁP XÁC ĐỊNH SINH KHỐI VÀ TRỮ LƯỢNG CÁC-BON RỪNG
Methods of determining forest biomass and carbon stock
1 Phạm vi áp dụng
Tiêu chuẩn này quy định phương pháp điều tra xác định sinh khối và trữ lượng các-bon rừng trên mặt đất.
2 Tài liệu viện dẫn
Các tài liệu viện dẫn sau đây là cần thiết để áp dụng tiêu chuẩn này. Đối với các tài liệu viện dẫn ghi năm công bố thì áp dụng bản được nêu. Đối với các tài liệu viện dẫn không ghi năm công bố thì áp dụng phiên bản mới nhất, bao gồm cả các sửa đổi, bổ sung (nếu có).
TCVN 11565 : 2016, Bản đồ hiện trạng rừng - Quy định về trình bày và thể hiện nội dung,
TCVN 13531 : 2022, Mẫu tiêu bản thực vật - Yêu cầu kỹ thuật;
TCVN 14204-1 : 2024, Phương pháp điều tra trữ lượng rừng trên cạn - Phần 1: Rừng trồng;
TCVN 14204-2 : 2024, Phương pháp điều tra trữ lượng rừng trên cạn - Phần 2: Rừng tự nhiên.
3 Thuật ngữ và định nghĩa
Trong tiêu chuẩn này sử dụng các thuật ngữ và định nghĩa được nêu trong TCVN 11565 : 2016, TCVN 13531 : 2022, TCVN 14204-1 : 2024, TCVN 14204-2 : 2024 và các thuật ngữ và định nghĩa sau:
3.1
Sinh khối rừng (Forest biomass)
Tổng khối lượng vật chất hữu cơ sống và chết có nguồn gốc từ thực vật trên mặt đất và dưới mặt đất rừng.
CHÚ THÍCH: Sinh khối rừng được tính bằng tấn trên một đơn vị diện tích (thường tính bằng héc-ta).
3.2
Sinh khối trên mặt đất (Above ground biomass)
Tổng sinh khối sống và chết trên mặt đất của tất cả các loài thực vật, gồm thân, gốc, vỏ, cành, lá, hoa, quả, hạt, vật rơi rụng và phần rễ trên bề mặt đất (nếu có).
3.3
Sinh khối cây cá lẻ (Tree biomass)
Sinh khối của một cá thể cây gỗ, gồm thân, gốc, vỏ, cành, lá, hoa, quả, vật rơi rụng và phần rễ trên bề mặt đất (nếu có).
3.4
Trữ lượng các-bon rừng (Forest carbon stock)
Khối lượng các-bon trong các bể chứa các-bon,
3.5
Trữ lượng các-bon trên mặt đất (Above ground carbon stock)
Tổng lượng các-bon của thảm thực vật trên mặt đất, bao gồm thân, gốc, vỏ, cành, lá, hoa, quả, vật rơi rụng và phần rễ trên bề mặt đất (nếu có).
3.6
Khối lượng thể tích gỗ (Wood density)
Tỷ lệ giữa khối lượng khô tuyệt đối và thể tích gỗ tươi không vỏ.
CHÚ THÍCH: Khối lượng thể tích gỗ được tính bằng gam/cm³ hoặc tấn/cm³.
3.7
Hệ số mở rộng sinh khối (Biomass expansion factor)
Hệ số ngoại suy sinh khối trên mặt đất từ thể tích gỗ thương phẩm.
3.8
Hàm lượng các-bon (Carbon content)
Tỷ lệ phần trăm các-bon trong tổng sinh khối khô của một bể chứa hoặc một bộ phận của cây cá lẻ.
3.9
Gỗ chết (Dead wood)
Bao gồm gỗ chết đứng hoặc chết ngả trên bề mặt đất rừng, rễ chết và gốc cây có đường kính lớn hơn hoặc bằng 10 cm.
3.10
Bể chứa các-bon (Carbon pool)
Bể chứa có khả năng tích lũy hoặc giải phóng các-bon.
3.11
Tỷ lệ sinh khối dưới mặt đất và trên mặt đất (The ratio of below ground to above ground biomass)
Tỷ lệ của sinh khối dưới mặt đất so với sinh khối trên mặt đất của rừng.
4 Điều kiện áp dụng
Tiêu chuẩn này trình bày 2 phương pháp để xác định sinh khối và trữ lượng các-bon rừng. Thông tin chung và điều kiện áp dụng của từng phương pháp xác định được quy định tại Bảng 1.
Bảng 1 - Điều kiện áp dụng của từng phương pháp xác định
| Phương pháp | Điều kiện áp dụng |
| 1. Phương pháp xác định gián tiếp: Xác định sinh khối và trữ lượng các-bon rừng theo phương pháp không chặt hạ thông qua áp dụng các phương trình tương quan có sẵn. | Các loài cây hoặc trạng thái rừng đã có phương trình tương quan giữa sinh khối hoặc trữ lượng các-bon với các nhân tố điều tra lâm phần. Các phương trình này có độ tin cậy, độ chính xác cao; khu vực nghiên cứu nằm trong phạm vi áp dụng của phương trình hoặc khu vực có điều kiện tương đồng. |
| 2. Phương pháp xác định trực tiếp: Xác định sinh khối và trữ lượng các-bon rừng theo phương pháp chặt hạ trực tiếp hoặc bằng các phương pháp khác không áp dụng phương trình tương quan. | Các loài cây hoặc trạng thái rừng không có phương trình tương quan sẵn có hoặc các phương trình không đạt độ tin cậy, độ chính xác thấp: khu vực nghiên cứu không nằm trong phạm vi áp dụng của phương trình hoặc không phải khu vực có điều kiện tương đồng. |
| CHÚ THÍCH: Tùy vào điều kiện cụ thể khác nhau để áp dụng từng phương pháp theo thứ tự ưu tiên quy định tại Bảng 1. | |
5 Phương pháp xác định gián tiếp
5.1 Các chỉ tiêu điều tra sinh khối
Các chỉ tiêu điều tra sinh khối theo phương pháp xác định gián tiếp được quy định tại Bảng 2.
Bảng 2 - Các chỉ tiêu điều tra và phương pháp xác định gián tiếp sinh khối rừng
| Chỉ tiêu | Phương pháp xác định |
| 1. Phương pháp rút mẫu, dung lượng mẫu điều tra, hình dạng và kích thước ô tiêu chuẩn | - Phương pháp rút mẫu: Áp dụng phương pháp rút mẫu ngẫu nhiên hoặc rút mẫu điển hình với rừng tự nhiên căn cứ diện tích khu vực điều tra. Áp dụng phương pháp rút mẫu điển hình với rừng trồng (xem 5.2.1). - Xác định dung lượng mẫu điều tra: Xác định cụ thể cho từng phương pháp rút mẫu (xem 5.2.2). - Ô tiêu chuẩn điều tra có dạng hình chữ nhật, hình vuông hoặc hình tròn. Diện tích ô tiêu chuẩn được quy định cụ thể với từng đối tượng rừng (xem 5.3). |
| 2. Đường kính ngang ngực (cm) | Đo đếm trực tiếp (với tầng cây cao các loài cây gỗ xem 5.5.1.2; cây tre nứa xem 5.5.2.2; cây ngập nước và cau dừa xem 5.5.3.2). |
| 3. Chiều cao vút ngọn (m) | Đo đếm trực tiếp (với tầng cây cao các loài cây gỗ xem 5.5.1.2; cây tre nứa xem 5.5.2.2; cây ngập nước và cau dừa xem 5.5.3.2). |
5.2 Phương pháp rút mẫu, dung lượng mẫu điều tra
5.2.1 Phương pháp rút mẫu
- Đối với các trạng thái của rừng tự nhiên: Áp dụng phương pháp rút mẫu ngẫu nhiên đối với những trạng thái rừng có diện tích ≥ 2.000 ha; Áp dụng phương pháp rút mẫu điển hình đối với những trạng thái rừng có diện tích < 2.000 ha.
- Đối với rừng trồng: Áp dụng phương pháp rút mẫu điển hình theo từng trạng thái rừng trong khu vực điều tra.
5.2.2 Xác định dung lượng mẫu
5.2.2.1 Rút mẫu ngẫu nhiên
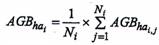
Dung lượng mẫu điều tra cần thiết cho từng trạng thái rừng được xác định theo công thức (1) trên cơ sở biến động sinh khối của trạng thái rừng và sai số ước lượng về sinh khối cho phép.
|
| (1) |
trong đó:
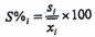
| Ni t2 ∆%i S%i | là số ô tiêu chuẩn (dung lượng mẫu) cần thiết đối với trạng thái rừng i; là độ tin cậy, lấy tròn bằng 4; là sai số ước lượng về sinh khối, lấy bằng 10%; là hệ số biến động về sinh khối của trạng thái rừng i, được xác định theo công thức (2) | |
|
| (2) | |
trong đó:
| Si | là độ lệch chuẩn mẫu của trạng thái rừng thứ i, được xác định theo công thức (3) | |
|
| (3) | |
|
| là trị số sinh khối bình quân/ha của số mẫu rút thăm dò biến động cho trạng thái rừng i, được xác định theo công thức (4) | |
|
| (4) | |
trong đó
| n xi | là số ô mẫu rút để thăm dò biến động sinh khối của trạng thái rừng i. là sinh khối của mẫu thăm dò biến động sinh khối của trạng thái rừng i. |
5.2.2.2 Rút mẫu điển hình
Đối với rừng tự nhiên: Tỷ lệ đo đếm (dung lượng mẫu) tối thiểu là 30 ô tiêu chuẩn đối với trạng thái rừng có diện tích < 150 ha; Tỷ lệ đo đếm là 0,2% cho trạng thái rừng có diện tích từ 150 ha đến ≤ 200 ha, sau đó diện tích trạng thái rừng cứ tăng thêm từ 1 đến 100 ha thì tỷ lệ rút mẫu giảm đi 0,005%. Số ô tiêu chuẩn được tính bằng cách lấy tỷ lệ rút mẫu chia cho diện tích 01 ô tiêu chuẩn và làm tròn đến hàng đơn vị.
Đối với rừng trồng: Với rừng trồng có diện tích ≤ 100 ha thì dung lượng mẫu cho mỗi loài cây và cấp tuổi là 5 ô tiêu chuẩn. Với những loài cây rừng trồng có diện tích > 100 ha thì dung lượng mẫu cho mỗi loài cây và một cấp tuổi là 10 ô tiêu chuẩn. Các ô tiêu chuẩn cần được bố trí tương đối đều theo tuổi và dạng lập địa.
5.3 Hình dạng, diện tích ô tiêu chuẩn và ô dạng bản
- Ô cấp 1: Ô tiêu chuẩn có dạng hình chữ nhật, hình vuông hoặc hình tròn. Với rừng tự nhiên núi đất diện tích ô tiêu chuẩn tối thiểu 1000 m², với rừng tự nhiên núi đá diện tích ô tiêu chuẩn tối thiểu 500 m².
Với rừng ngập mặn, ngập phèn và rừng trồng diện tích ô tiêu chuẩn tối thiểu 100 m² và đảm bảo phải có tối thiểu 30 cây.
- Ô cấp 2: Trong ô cấp 1, lập 01 ô cấp 2 có hình dạng tương tự hình dạng ô tiêu chuẩn, diện tích 100 m² tại vị trí tâm ô. Trường hợp ô cấp 1 có diện tích 100 m² không tiến hành lập ô cấp 2.
- Ô cấp 3: Với ô cấp 1 hình vuông hoặc hình chữ nhật, tiến hành lập 04 ô cấp 3 tại 4 góc của ô cấp 1, diện tích mỗi ô tối thiểu 16 m². Đối với ô cấp 1 hình tròn, tiến hành lập 04 ô cấp 3 tại các vị trí giáp với cạnh ô cấp 1 theo các hướng Đông, Tây, Nam, Bắc. Ô cấp 3 có hình dạng hình chữ nhật hoặc hình vuông.
- Ô cấp 4: Tại vị trí giao điểm 2 đường chéo của ô cấp 3 (trường hợp ô cấp 3 hình vuông hoặc hình chữ nhật) hoặc tại vị trí tâm hình tròn (trường hợp ô cấp 3 hình tròn), tiến hành lập 01 ô cấp 4 dạng hình chữ nhật hoặc hình vuông, có diện tích tối thiểu 1 m².
5.4 Phương pháp bố trí ô tiêu chuẩn
Đối với ô tiêu chuẩn hình chữ nhật, chiều dài ô được lập song song với đường đồng mức, chiều rộng ô vuông góc với đường đồng mức.
Trường hợp ô tiêu chuẩn được lập trên địa hình có độ dốc ≥ 5° cần hiệu chỉnh độ dài cạnh (trường hợp ô tiêu chuẩn hình chữ nhật hoặc hình vuông) hoặc hiệu chỉnh bán kính theo theo độ dốc (trường hợp ô tiêu chuẩn hình tròn) đảm bảo đủ diện tích điều tra (tham khảo phụ lục G).
5.5 Điều tra trong ô tiêu chuẩn
5.5.1 Điều tra tầng cây gỗ
5.5.1.1 Xác định tên loài cây
- Xác định tên phổ thông, tên khoa học và tên địa phương (nếu có) của tất cả cây gỗ có đường kính ngang ngực lớn hơn hoặc bằng 6,0 cm trong ô cấp 1.
5.5.1.2 Đo đếm các chỉ tiêu sinh trưởng
- Đường kính ngang ngực: Sử dụng thước dây đo đường kính ngang ngực của tất cả cây gỗ có D1,3 ≥ 6 cm. Đơn vị đo đường kính/chu vi thân cây là cm, độ chính xác đến 0,1 cm.
- Chiều cao vút ngọn: Sử dụng thiết bị đo cao chuyên dụng để đo chiều cao vút ngọn của cây trong ô tiêu chuẩn, độ chính xác đến 0,5 m.
- Kết quả điều tra các chỉ tiêu sinh trưởng được ghi vào Phiếu điều tra tầng cây gỗ (tham khảo Phụ lục A).
- Trường hợp cây gỗ nằm trên đường ranh giới ô: chỉ đo những cây có trên 1/2 gốc cây nằm phía trong đường ranh giới ô.
- Rừng gỗ có cây tre nứa mọc rải rác (có độ tàn che dưới 25% so với độ tàn che của rừng gỗ) cần thu thập số liệu cây tre nứa trong rừng gỗ để tính trữ lượng tre nứa và trữ lượng các-bon của tre nứa. Các phương pháp thu thập số liệu cây tre nứa trong rừng gỗ được thực hiện theo 5.5.2.
5.5.2 Điều tra tầng cây tre nứa
5.5.2.1 Xác định tên loài cây
Xác định tên phổ thông, tên khoa học và tên địa phương (nếu có) của tất cả những cây tre nứa trong ô tiêu chuẩn.
5.5.2.2 Đo đếm các chỉ tiêu sinh trưởng
- Đối với tre nứa mọc tản: tiến hành đếm số cây: đo đường kính và chiều cao của tre nứa trong ô dạng bản có diện tích 100 m².
- Đối với tre nứa mọc bụi: đếm số bụi trong ô tiêu chuẩn và số cây trong 03 bụi trung bình trong ô dạng bản có diện tích 500 m². Trường hợp ô tiêu chuẩn có ít hơn 3 bụi tre nứa thì đếm toàn bộ số cây trong tất cả các bụi theo tổ tuổi.
- Đếm toàn bộ số cây tre nứa và phân theo 03 tổ tuổi: non, trung bình, già;
- Đo đường kính ngang ngực: mỗi loài cây, mỗi tổ tuổi (non, trung bình, già) chọn 3 cây đại diện về đường kính trong ô tiêu chuẩn để đo. Đơn vị đo là cm, lấy tròn 0,1 cm.
- Đo chiều cao vút ngọn: đo chiều cao vút ngọn của những cây đã chọn để đo đường kính ngang ngực. Đơn vị đo là mét (m), độ chính xác đến 0,5 m. (Lưu ý: Chỉ tiến hành thu thập số liệu đối với những cây tre nứa có D1,3 ≥ 2 cm).
- Xác định tổ tuổi tre nứa dựa vào đặc điểm hình thái của thân khí sinh
+ Tổ tuổi i (non): những cây từ 1,0 năm tuổi đến 2,0 năm tuổi, phát triển tương đối đầy đủ cành lá, thân màu xanh thẫm, có lông, chưa có địa y. Trong thân chứa nhiều nước, thân mềm thịt màu trắng, mo nang còn tồn tại trên thân;
+ Tổ tuổi II (trung bình): những cây từ 2,0 năm tuổi đến 3,0 năm tuổi đối với nứa, vầu, lồ ô; Từ 3,0 năm tuổi đến 4,0 năm tuổi đối với luồng, diễn, tre gai. Trên thân không còn mo, cành nhánh phát triển xum xuê, cành nhánh tập trung ở ngọn cây. Thân và cành chính đã già biểu hiện ở màu xanh sẫm pha lẫn màu nâu vàng, xuất hiện địa y loang lổ, có thể có cành phụ cấp 2;
+ Tổ tuổi III (già): những cây trên 3,0 năm tuổi với nứa, vầu, lồ ô; Trên 4,0 năm tuổi đối với luồng, diễn, tre gai. Đặc điểm lá có màu xanh nhạt, thân có màu xanh hơi vàng, hoặc loang lổ trắng xám do địa y phát triển mạnh (70 - 80%), nền xanh của thân gần như biến mất. Ở tổ tuổi này bắt đầu xuất hiện quá trình mục hóa, ngã đổ.
- Kết quả điều tra các chỉ tiêu sinh trưởng được ghi vào Phiếu điều tra tầng cây tre nứa (xem Phụ lục B).
- Đối với rừng tre nứa có cây gỗ mọc rải rác (độ tàn che của cây gỗ nhỏ dưới 25% so với độ tàn che của tre nứa) cần thu thập số liệu cây gỗ trong rừng tre nứa. Các phương pháp thu thập số liệu cây gỗ trong rừng tre nứa được thực hiện theo 5.5.1.
5.5.3 Điều tra trong tầng cây ngập nước, cau dừa
5.5.3.1 Xác định tên loài cây
Xác định tên phổ thông, tên khoa học và tên địa phương (nếu có) của tất cả những cây ngập nước, cau dừa trong ô tiêu chuẩn.
5.5.3.2 Đo đếm các chỉ tiêu sinh trưởng
- Đo chu vi tại vị trí 1,3 m của cây gỗ trong ô tiêu chuẩn. Trong đó, vị trí đo chu vi đối với loài cây/cây có rễ bạnh vè, rễ chống được xác định như sau: Đo chu vi của các cây có D1,3 ≥ 6 cm phía trên bạnh vè hoặc trên rễ chống, tại vị trí thân sinh trưởng bình thường.
- Chiều cao vút ngọn: sử dụng thiết bị đo cao chuyên dụng để đo chiều cao vút ngọn của cây trong ô tiêu chuẩn, độ chính xác đến 0,5 m.
- Kết quả điều tra các chỉ tiêu sinh trưởng được ghi vào Phiếu điều tra cây cau dừa (xem Phụ lục C).
5.6 Phương pháp tính toán nội nghiệp
5.6.1 Phương pháp tính sinh khối trên mặt đất (AGB) bình quân/ha của cây gỗ cho từng ô tiêu chuẩn
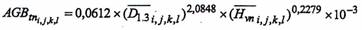
Tính AGB cho cây lá rộng thường xanh bằng công thức (5):
| AGBgo = 277,273 x ( | (5) |
Đối với cây rụng lá, áp dụng công thức (6):
| AGBgo = 310,3 x ( | (6) |
Đối với cây lá kim, áp dụng công thức (7):
| AGBgo = V x BCEFS | (7) |
trong đó:
| AGBgo | là sinh khối trên mặt đất của cây gỗ đang xét (tấn); |
| D1,3 | là đường kính tại vị trí cách mặt đất 1,3 m của cây gỗ đang xét (cm); |
| Hmt | là chiều cao men thân của cây gỗ đang xét (m); trong đó: Hmt = Hvn x 1,04 (Hvn: chiều cao vút ngọn, đơn vị tính là m) |
| V | là thể tích của cây gỗ đang xét (m³); |
| BCEFS | là hệ số chuyển đổi và mở rộng thể tích cây đứng thành sinh khối trên mặt đất (tấn/m³). Hệ số BCEFS cho rừng lá kim theo cấp trữ lượng xem tại phụ lục H. |
AGB bình quân/ha của cây gỗ trong ô tiêu chuẩn j thuộc trạng thái rừng thứ i theo công thức (8):
|
| (8) |
trong đó:
|
| là AGB bình quân/ha của cây gỗ trong ô tiêu chuẩn thứ j thuộc trạng thái rừng thứ i (tấn/ha). |
| Sotc | là diện tích của ô tiêu chuẩn: rừng gỗ tự nhiên Sotc = 1000 m²; rừng trồng, rừng ngập mặn, rừng ngập phèn: Sotc = 100 m². |
| Ni,j | là số cây gỗ trong ô tiêu chuẩn j thuộc trạng thái rừng thứ i; |
|
| là AGB của cây gỗ thứ k trong ô tiêu chuẩn j thuộc trạng thái rừng thứ i (tấn). |
5.6.2 Phương pháp tính AGB bình quân/ha của tre nứa cho từng ô tiêu chuẩn
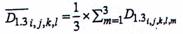
Tính D1,3 bình quân và Hvn bình quân của tổ tuổi thứ l thuộc loài tre nứa thứ k trong ô tiêu chuẩn thứ j, trạng thái rừng thứ i theo các công thức (9) và công thức (10):
|
| (9) |
|
| (10) |
trong đó:
|
| là D1,3 bình quân của tổ tuổi thứ l, loài tre nứa thứ k trong ô tiêu chuẩn thứ j, trạng thái rừng thứ i (đơn vị: cm); |
|
| là D1,3 của cây tre nứa đo đếm thứ m, tổ tuổi thứ l thuộc loài tre nứa thứ k trong ô tiêu chuẩn thứ j, trạng thái rừng thứ i (đơn vị: cm); |
|
| là Hvn bình quân của tổ tuổi thứ l, loài tre nứa thứ k, trong ô tiêu chuẩn thứ j, trạng thái rừng thứ i (đơn vị: m); |
|
| là Hvn của cây tre nứa đo đếm thứ m, tổ tuổi thứ l thuộc loài tre nứa thứ k trong ô tiêu chuẩn thứ j, trạng thái rừng thứ i (đơn vị: m). |
| l | là tổ tuổi của tre nứa (l = 1 tương ứng với tổ tuổi non; l = 2 tương ứng với tổ tuổi “trung bình"; l = 3 tương ứng với tổ tuổi “già”). |
Xác định AGB bình quân của 01 cây tre nứa thuộc tổ tuổi thứ l, loài tre nứa thứ k trong ô tiêu chuẩn thứ j, trạng thái rừng thứ i theo các công thức tham khảo tại Phụ lục I.
Ngoài ra, còn có thể tham khảo một số phương trình xác định sinh khối có sẵn cho rừng tự nhiên và rừng trồng (tham khảo Phụ lục O, P).
5.6.3 Tính AGB bình quân/ha của sinh khối tươi cho từng ô tiêu chuẩn
Tính AGB bình quân/ha của sinh khối tươi (bao gồm cây gỗ và tre nứa) trong ô tiêu chuẩn j thuộc trạng thái rừng thứ i theo công thức (11):
|
| (11) |
trong đó:
|
| là AGB bình quân/ha của sinh khối tươi (bao gồm cây gỗ và tre nứa) trong ô tiêu chuẩn thứ j thuộc trạng thái rừng thứ i; |
|
| là AGB bình quân/ha của cây gỗ trong ô tiêu chuẩn thứ j thuộc trạng thái rừng thứ i; |
|
| là AGB bình quân/ha của tre nứa trong ô tiêu chuẩn thứ j thuộc trạng thái rừng thứ i; |
5.6.4 Tính AGB bình quân/ha trong sinh khối tươi của từng trạng thái rừng
Tính AGB bình quân/ha trong sinh khối tươi của trạng thái rừng thứ i theo công thức (12):
|
| (12) |
trong đó:
|
| là AGB bình quân/ha trong sinh khối tươi của trạng thái rừng thứ i; |
| Ni | là tổng số ô tiêu chuẩn thuộc trạng thái rừng thứ i; |
|
| là AGB bình quân/ha trong sinh khối tươi của ô tiêu chuẩn thứ j thuộc trạng thái rừng thứ i. |
5.6.5 Tính trữ lượng các-bon bình quân/ha trong sinh khối tươi của từng trạng thái rừng
Tính trữ lượng các-bon bình quân/ha trong sinh khối tươi của trạng thái rừng thứ i theo công thức (13):
|
| (13) |
trong đó:
|
| là trữ lượng các-bon bình quân/ha trong sinh khối tươi của trạng thái rừng thứ i, |
|
| là AGB bình quân/ha trong sinh khối tươi của trạng thái rừng thứ i; |
| CF | là tỷ lệ các-bon trong sinh khối rừng trên mặt đất, lấy mặc định bằng 0,47. |
| Ri | là tỷ số sinh khối dưới mặt đất so với sinh khối trên mặt đất (không thứ nguyên) của trạng thái rừng i. Sử dụng tra giá trị R mặc định theo IPCC (xem Phụ lục J). |
6 Phương pháp xác định trực tiếp
6.1 Các chỉ tiêu điều tra sinh khối
Các chỉ tiêu điều tra sinh khối theo phương pháp xác định trực tiếp được quy định tại Bảng 3
Bảng 3 - Các chỉ tiêu điều tra sinh khối rừng trực tiếp
| Chỉ tiêu | Phương pháp |
| 1. Dung lượng mẫu điều tra | - Xác định phương pháp rút mẫu (xem 5.2.1) và dung lượng mẫu (xem 5.2.2) |
| 2. Hình dạng và diện tích ô tiêu chuẩn | Ô tiêu chuẩn điều tra có dạng hình chữ nhật, hình vuông hoặc hình tròn (xem 5.3); Diện tích ô tiêu chuẩn được quy định cụ thể với từng đối tượng rừng (xem 5.3) |
| 3. Đường kính ngang ngực (cm) | Đo đếm trực tiếp (với đối tượng tầng cây gỗ xem 5.5.1.2; tầng cây tre nứa xem 5.5.2.2; tầng cây ngập nước, cau dừa xem 5.5.3.2) |
| 4. Chiều cao vút ngọn (m) | Đo đếm trực tiếp (với đối tượng tầng cây gỗ xem 5.5.1.2; tầng cây tre nứa xem 5.5.2.2; tầng cây ngập nước, cau dừa xem 5.5.3.2) |
| 5. Sinh khối cây gỗ trên mặt đất | Đo đếm trực tiếp, bao gồm: sinh khối thân, cành, lá của các cây gỗ có đường kính thân cây tại vị trí 1,3 m lớn hơn hoặc bằng (≥ 6 cm) (xem Phụ lục A) |
| 6. Sinh khối tre nứa trên mặt đất | Đo đếm trực tiếp (xem phụ lục B) |
| 7. Sinh khối thảm tươi, cây bụi, cây tái sinh | Đo đếm trực tiếp. Điều tra sinh khối thảm tươi, cây bụi trong các ô dạng bản diện tích 16 m² (xem Phụ lục D) |
| 8. Sinh khối thảm mục, vật rơi rụng | Đo đếm trực tiếp Điều tra sinh khối thảm mục, vật rơi rụng trong các ô dạng bản diện tích 1 m² (xem Phụ lục F) |
| 9. Sinh khối cây gỗ chết, gốc chặt | Đo đếm trực tiếp Điều tra sinh khối cây gỗ chết, gốc chặt trong các ô dạng bản diện tích 9 m² (xem Phụ lục E) |
6.2 Phương pháp rút mẫu, dung lượng mẫu điều tra
6.2.1 Phương pháp rút mẫu
Phương pháp rút mẫu theo 5.2.1
6.2.2 Dung lượng mẫu
Dung lượng mẫu theo 5.2.2.
6.3 Hình dạng, diện tích ô tiêu chuẩn và ô dạng bản
Hình dạng và diện tích ô tiêu chuẩn theo 5.3
6.4 Phương pháp bố trí ô tiêu chuẩn
Phương pháp bố trí ô tiêu chuẩn theo 5.4.
6.5 Điều tra trong ô tiêu chuẩn
6.5.1 Điều tra tầng cây gỗ
6.5.1.1 Xác định tên loài cây
Xác định tên loài cây theo 5.5.1.1.
6.5.1.2 Đo đếm các chỉ tiêu sinh trưởng
Đo đếm các chỉ tiêu sinh trưởng theo 5.5.1.2.
6.5.2 Điều tra tầng cây tre nứa
6.5.2.1 Xác định tên loài cây
Xác định tên loài cây theo 5.5.2.1
6.5.2.2 Đo đếm các chỉ tiêu sinh trưởng
Đo đếm các chỉ tiêu sinh trưởng theo 5.5.2.2.
6.5.3 Điều tra tầng cây ngập nước, cau dừa
6.5.3.1 Xác định tên loài cây
Xác định tên loài cây theo 5.5.3.1
6.5.3.2 Đo đếm các chỉ tiêu sinh trưởng
Đo đếm các chỉ tiêu sinh trưởng theo 5.5.3.2.
6.5.4 Điều tra sinh khối cây chết, gốc chặt và thảm mục, vật rơi rụng trên mặt đất
6.5.4.1 Điều tra sinh khối trong cây gỗ chết, gốc chặt
Gỗ chết, gốc chặt được lấy mẫu trong ô cấp 2 (100 m²) và cân ngay tại hiện trường. Sau đó trộn đều các mẫu gỗ trên các cây khác nhau và lấy 0,5 kg gỗ chết, gốc chặt sấy đến khối lượng không đổi để xác định sinh khối khô và để phân tích hàm lượng các-bon.
6.5.4.2 Điều tra sinh khối trong thảm mục, vật rơi rụng
Được lấy mẫu ở trong ô cấp 4 (1 m²). Tiến hành thu gom toàn bộ vật rơi rụng như lá, hoa, quả, và tầng thảm mục ở trên mặt đất rừng. Sau khi được thu hoạch, toàn bộ mẫu vật được cân ngay tại hiện trường để xác định sinh khối tươi. Sau đó thảm mục được trộn đều và lấy mẫu 0,5 kg để sấy đến khối lượng không đổi. Mẫu vật rơi rụng cũng được phân tích hàm lượng các-bon.
6.6 Phương pháp lấy mẫu và phân tích trữ lượng các-bon tích lũy
6.6.1 Mô tả phương pháp lấy mẫu và phân tích trữ lượng các-bon tích lũy
Phương pháp lấy mẫu được quy định tại Bảng 4
Bảng 4 - Phương pháp lấy mẫu và phân tích trữ lượng các-bon tích lũy
| Bể chứa | Phương pháp lấy mẫu và phân tích trữ lượng các-bon tích lũy |
| 1. Cây gỗ sống (trong thân, cành, lá trên mặt đất và trong gốc, rễ dưới mặt đất) | Cây tiêu chuẩn được chặt hạ sát gốc, sau đó đo đường kính ở các vị trí cố định (thường là đường kính gốc, đường kính ở vị trí 1,3 m và mọi vị trí 1/5 của chiều cao vút ngọn) để làm cơ sở tính chính xác thể tích thân cây. Tiếp theo, cây chặt hạ được phân thành các bộ phận: thân, cành, lá và cân tươi tại hiện trường. Sau khi cân sinh khối tươi, các bộ phận thân (có vỏ hoặc không có vỏ), cành, lá và rễ được lấy mẫu với một khối lượng nhất định (mỗi bộ phận lấy tối thiểu 100g) để xác định sinh khối khô thông qua sấy đến khối lượng không đổi và để phân tích hàm lượng các-bon. |
| 2. Thảm tươi, cây bụi, cây tái sinh | Trong ô cấp 3 (16 m²), toàn bộ các cây bụi, thảm tươi, cây tái sinh (cây gỗ tái sinh có đường kính nhỏ hơn 6 cm) được đo đếm. Trong đó, lựa chọn 01 ô cấp 3, tiến hành chặt sát đất và đào rễ. Toàn bộ các mẫu sinh khối tươi ở trên và dưới mặt đất được cân ngay sau khi thu hoạch. Sau khi cân xong, lấy mẫu một khối lượng nhất định (khoảng 0,5 kg/ô dạng bản) để sấy đến khối lượng không đổi và phân tích hàm lượng các-bon. |
| 3. Thảm mục và vật rơi rụng | Trong ô cấp 4 (1 m²), thu gom toàn bộ vật rơi rụng như lá, hoa, quả, và tầng thảm mục ở trên mặt đất rừng. Sau khi được thu hoạch, toàn bộ mẫu vật được cân ngay tại hiện trường để xác định sinh khối tươi. Sau đó vật rơi rụng được trộn đều và lấy mẫu 0,5 kg để sấy đến khối lượng không đổi. Mẫu vật rơi rụng cũng được phân tích hàm lượng các-bon. |
| 4. Gỗ chết, gốc chặt | Trong ô cấp 2 (100 m²), thu gom toàn bộ cây chết (đường kính gốc >10 cm), gốc chặt và cân ngay tại hiện trường. Sau đó một lượng nhất định gỗ chết được lấy để sấy khô nhằm xác định sinh khối khô và để phân tích hàm lượng các-bon. |
6.6.2 Phương pháp xác định sinh khối và lượng các-bon tích lũy trong các bể chứa
6.6.2.1 Xác định sinh khối cây gỗ
Lựa chọn cây tiêu chuẩn trung bình theo từng cỡ kính. Trong mỗi ô tiêu chuẩn chọn tối thiểu 03 cây tiêu chuẩn có đường kính bình quân đại diện cho từng cỡ kính. Đo đếm sinh khối cây tiêu chuẩn theo một trong hai phương pháp sau:
- Phương pháp 1: Chặt hạ và tiến hành cân các bộ phận tại hiện trường. Sau khi cân sinh khối tươi, các bộ phận thân (có vỏ hoặc không có vỏ), cành, lá và rễ được lấy mẫu với một khối lượng nhất định (mỗi bộ phận lấy tối thiểu 100g) để xác định sinh khối khô thông qua sấy đến khối lượng không đổi và để phân tích hàm lượng các-bon.
- Phương pháp 2: Đo đếm thể tích từng bộ phận (thân, cành, lá). Sau đó, mỗi bộ phận được lấy 0,5 kg mẫu và phân tích khối lượng riêng. Sinh khối của từng bộ phận được xác định thông qua thể tích và khối lượng riêng của bộ phận đó.
Dựa vào phân bố số cây theo cấp kính của từng ô tiêu chuẩn, tương quan chiều cao và đường kính và mô hình ước tính sinh khối, các-bon cây cá lẻ, từ đây tính được tổng sinh khối trên mặt đất cây gỗ (tấn/ha), tổng các-bon trên mặt đất (tán/ha).
6.6.2.2 Xác định sinh khối thảm tươi, cây bụi, cây tái sinh
Trong ô cấp 3 (16 m²), chặt thu gom toàn bộ thảm tươi, cây bụi phân thành 2 bộ phận trên mặt đất và dưới mặt đất (đào toàn bộ rễ cây bụi thảm tươi và loại sạch đất) sau đó cân trọng lượng tươi. Lấy mẫu mỗi loại 0,5 kg và đem sấy khô ở 105°C tới khối lượng không đổi, sau đó cân để xác định sinh khối. Lấy mẫu sinh khối tươi với 1 mẫu/bộ phận (có 2 bộ phận).
6.6.2.3 Xác định sinh khối thảm mục và vật rơi rụng
Trong ô cấp 4 (1 m²), thu gom toàn bộ vật rơi rụng (lá, hoa, quả,v.v...) và cân ngay tại hiện trường. Sau đó, trộn đều vật rơi rụng và lấy mỗi ô dạng bản thứ cấp 1 mẫu 0,5 kg sấy ở 105°C đến khối lượng không đổi để xác định sinh khối khô.
6.6.2.4 Xác định sinh khối cây gỗ chết, gốc chặt
Trong cấp 2 (100 m²), thu gom và cân sinh khối tươi của cây gỗ chết, ngã đổ, cành nhánh và gốc chặt. Lấy mẫu xác định sinh khối tươi/khô.
6.6.2.5 Xác định trữ lượng các-bon
Sử dụng hệ số các-bon mặc định để tính trữ lượng các-bon trong từng bể chứa các-bon trên 1 ha rừng, hệ số quy đổi này là 0,47 so với sinh khối.
6.7 Phương pháp tính toán nội nghiệp
6.7.1 Xác định sinh khối thân cây cá lẻ
Tổng sinh khối cây cá lẻ, bao gồm các bộ phận thân, cành và lá, được xác định qua công thức (14):
| Btc = Bt + Bc + Bl | (14) |
trong đó:
| Btc | là sinh khối của cây (kg) |
| Bt | là sinh khối của thân (kg) |
| Bc | là sinh khối của cành (kg) |
| Bl | là sinh khối của lá (kg) |
6.7.2 Xác định sinh khối và trữ lượng các-bon thực vật trên mặt đất
6.7.2.1 Sinh khối tầng cây gỗ
Sinh khối trên mặt đất tầng cây gỗ của ô tiêu chuẩn được xác định bằng công thức (15)
|
| (15) |
trong đó:
|
| là sinh khối trên mặt đất tầng cây gỗ của ô tiêu chuẩn (kg); |
|
| là sinh khối trên mặt đất của cây thứ i trong ô tiêu chuẩn; |
| n | là số lượng cây trong ô tiêu chuẩn. |
Sinh khối tầng cây gỗ (phần trên mặt đất) trên 1 ha tại vị trí ô tiêu chuẩn được xác định theo công thức (16):
|
| (16) |
trong đó:
| AGBGo | là sinh khối tầng cây gỗ (phần trên mặt đất) trên 1 ha tại vị trí ô tiêu chuẩn (tấn/ha); |
| AGBOM(Go) | là sinh khối trên mặt đất tầng cây gỗ của ô tiêu chuẩn (tấn/ô); |
| S | là diện tích ô tiêu chuẩn (m²). |
6.7.2.2 Sinh khối tầng cây tre nứa
Sinh khối trên mặt đất tầng cây tre nứa của ô tiêu chuẩn được xác định bằng công thức (17):
|
| (17) |
trong đó:
| AGBOM(tn) | là sinh khối trên mặt đất tầng cây tre nứa của ô tiêu chuẩn (kg); |
| AGBCayi | là sinh khối trên mặt đất của cây thứ i trong ô tiêu chuẩn; |
| n | là số lượng cây trong ô tiêu chuẩn. |
Sinh khối tầng cây tre nứa (phần trên mặt đất) trên 1 ha tại vị trí ô tiêu chuẩn được xác định theo công thức (18):
|
| (18) |
trong đó:
| AGBtn | là sinh khối tầng cây tre nứa (phần trên mặt đất) trên 1 ha tại vị trí ô tiêu chuẩn (tấn/ha); |
| AGBOM(tn) | là sinh khối trên mặt đất tầng cây tre nứa của ô tiêu chuẩn (tấn/ô); |
| S | là diện tích ô tiêu chuẩn (m²). |
6.7.2.3 Sinh khối tầng cây ngập nước, cau dừa
Căn cứ tên loài cây, lựa chọn phương trình xác định sinh khối mặt đất tại Phụ lục K, L, M, N
Sinh khối trên mặt đất tầng cây ngập nước, cau dừa của ô tiêu chuẩn được xác định bằng công thức (19):
|
| (19) |
trong đó:
| AGBOM(Dua) | là sinh khối trên mặt đất tầng cây ngập nước, cau dừa của ô tiêu chuẩn (kg); |
| AGBCayi | là sinh khối trên mặt đất của cây thứ i trong ô tiêu chuẩn; |
| n | là số lượng cây trong ô tiêu chuẩn. |
Sinh khối tầng cây ngập nước, cau dừa (phần trên mặt đất) trên 1 ha tại vị trí ô tiêu chuẩn được xác định theo công thức (20):
|
| (20) |
trong đó:
| AGBDua | là sinh khối tầng cây ngập nước, cau dừa (phần trên mặt đất) trên 1 ha tại vị trí ô tiêu chuẩn (tấn/ha); |
| AGBOM(Dua) | là sinh khối trên mặt đất tầng cây ngập nước, cau dừa của ô tiêu chuẩn (tấn/ô); |
| S | là diện tích ô tiêu chuẩn (m²). |
6.7.2.4 Sinh khối tầng cây bụi, thảm tươi, cây tái sinh
Sinh khối cây bụi, thảm tươi trên mặt đất được xác định bằng công thức (21):
|
| (21) |
trong đó:
| AGBC3(Bui-Tuoi-Taisinh) | là sinh khối trên mặt đất trung bình của cây bụi, thảm tươi, cây tái sinh trên ô cấp 3 (kg); |
| AGBC3(Bui-Tuoi-Taisinh-i) | là sinh khối trên mặt đất của cây bụi, thảm tươi, cây tái sinh trong ô cấp 3 thứ i (kg); |
| n3 | là số ô cấp 3. |
Sinh khối cây bụi, thảm tươi, cây tái sinh (phần trên mặt đất) trên 1 ha tại vị trí ô tiêu chuẩn được xác định theo công thức (22)
|
| (22) |
trong đó:
| AGBBui-Tuoi-Taisinh | là sinh khối cây bụi, thảm tươi (phần trên mặt đất) trên 1 ha tại vị trí ô tiêu chuẩn (tấn/ha); |
| AGBC3(Bui-Tuoi-Taisinh) | là sinh khối cây bụi, thảm tươi trên mặt đất trung bình tại ô cấp 3 (tấn/ô); |
| S3 | là diện tích ô cấp 3 (m²). |
6.7.2.5 Sinh khối vật rơi rụng và thảm mục
Sinh khối vật rơi rụng và thảm mục trung bình tại ô cấp 4 được xác định bằng công thức (23):
|
| (11) |
trong đó:
| AGBC4(ThamMuc) | là sinh khối trung bình của vật rơi rụng và thảm mục trên ô cấp 4 (kg); |
| AGBC4(ThamMuc-i) | là sinh khối của vật rơi rụng và thảm mục trong ô cấp 4 thứ i (kg); |
| n4 | là số ô cấp 4. |
Sinh khối thảm mục trên 1 ha tại vị trí ô tiêu chuẩn được xác định theo công thức (24):
|
| (24) |
trong đó:
| AGBThamMuc | là sinh khối thảm mục trên 1 ha tại vị trí ô tiêu chuẩn (đơn vị tính tấn/ha); |
| AGBC4(ThamMuc) | là sinh khối thảm mục trung bình tại ô cấp 4 (tấn/ô); |
| S4 | là diện tích ô cấp 4 (m²). |
6.7.2.6 Sinh khối cây chết
6.7.2.6.1 Đối với cây gỗ chết đứng
Sinh khối trên mặt đất cây gỗ chết đứng của ô tiêu chuẩn được xác định bằng công thức (25):
|
| (25) |
trong đó:
| AGBOM(Go-ChetDung) | là sinh khối trên mặt đất cây gỗ chết đứng của ô tiêu chuẩn (kg); |
| AGBCayChetDung(i) | là sinh khối trên mặt đất của cây gỗ chết đứng thứ i trong ô tiêu chuẩn (kg); |
| n | là số lượng cây gỗ chết đứng trong ô tiêu chuẩn. |
Sinh khối gỗ chết đứng (phần trên mặt đất) trên 1 ha tại vị trí ô tiêu chuẩn được xác định theo công thức (26):
|
| (26) |
trong đó:
| AGBGo-ChetDung | là sinh khối gỗ chết đứng (phần trên mặt đất) trên 1 ha tại vị trí ô tiêu chuẩn (tấn/ha); |
| AGBOM(Go-ChetDung) | là sinh khối trên mặt đất cây gỗ chết đứng của ô tiêu chuẩn (tấn/ô); |
| S | là diện tích ô tiêu chuẩn (m²). |
6.7.2.6.2 Đối với cây gỗ chết ngả
Sinh khối trên mặt đất cây gỗ chết ngả của ô tiêu chuẩn được xác định bằng công thức (27):
|
| (27) |
trong đó:
| AGBC2(Go-ChetNga) | là sinh khối trung bình của gỗ chết ngả trên ô cấp 2 (kg); |
| AGBC2(Go-ChetNga-i) | là sinh khối của gỗ chết ngả trong ô cấp 2 thứ i (kg); |
| n2 | là số ô cấp 2. |
Sinh khối gỗ chết ngả trên 1 ha tại vị trí ô tiêu chuẩn được xác định theo công thức (28):
|
| (28) |
trong đó:
| AGBGo-ChetNga | là sinh khối gỗ chết ngả trên 1 ha tại vị trí ô tiêu chuẩn (tấn/ha); |
| AGBODB(Go-ChetNga) | là sinh khối gỗ chết ngả trung bình tại ô cấp 2 (tấn/ô); |
| S2 | là diện tích ô cấp 2 (m²). |
6.7.2.7 Tổng sinh khối trên mặt đất
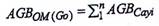
Sinh khối trên mặt đất tại vị trí ô tiêu chuẩn được xác định bằng công thức (29):
|
| (29) |
trong đó:
| AGBOM | là sinh khối trên mặt đất tại vị trí ô tiêu chuẩn (tấn/ha); |
| AGBGo | là sinh khối trên mặt đất tầng cây gỗ (tấn/ha); |
| AGBtn | là sinh khối trên mặt đất tầng tre nứa (tấn/ha); |
| AGBDua | là sinh khối trên mặt đất tầng cây cau, dừa (tấn/ha); |
| AGBBui-Tuoi-Taisinh | là sinh khối trên mặt đất cây bụi, thảm tươi, tái sinh (tấn/ha); |
| AGBGo-ChetDung | là sinh khối trên mặt đất của cây gỗ chết đứng (tấn/ha); |
| AGBGo-ChetNga | là sinh khối của cây gỗ chết ngả (tấn/ha); |
| AGBThamMuc | là sinh khối của thảm mục (tấn/ha). |
6.7.2.8 Trữ lượng các-bon trên mặt đất
Trữ lượng các-bon trên mặt đất tại vị trí ô tiêu chuẩn theo công thức (30):
|
| (30) |
trong đó:
| CAGB(OM) | là trữ lượng các-bon trên mặt đất tại vị trí ô tiêu chuẩn (tấn/ha); |
| AGB/haOM | là sinh khối trên mặt đất tại vị trí ô tiêu chuẩn; |
| CF | là tỷ lệ các-bon của sinh khối khô lấy mặc định bằng 0,47. |
PHỤ LỤC A
(tham khảo)
Phiếu điều tra tầng cây gỗ
Số hiệu ô tiêu chuẩn: ................................................ Độ tàn che: ................................................
Vị trí hành chính: Xã: .................................. Huyện ........................... Tỉnh ..................................
Vị trí quản lý: Lô .................................. Khoảnh ..................................Tiểu khu ...........................
Tọa độ OTC: X : ........................; Y: ........................ ; Hệ tọa độ: .................................................
Độ cao tuyệt đối (m) .................................... Độ dốc trung bình (độ) ...........................................
Trạng thái lô ................................................ Trạng thái ô tiêu chuẩn: ..........................................
Họ tên người điều tra: .................................... Ngày điều tra:.......................................................
| Số hiệu cây | Tên loài | Chu vi C1,3 (cm) | Đường kính D1,3 (cm) | Chiều cao Hvn (m) | Ghi chú |
| 1 |
|
|
|
|
|
| 2 |
|
|
|
|
|
| 3 |
|
|
|
|
|
| 4 |
|
|
|
|
|
| ... |
|
|
|
|
|
| ... |
|
|
|
|
|
| ... |
|
|
|
|
|
| ... |
|
|
|
|
|
|
|
|
|
|
|
|
|
|
|
|
|
|
|
|
|
|
|
|
|
|
|
|
|
|
|
| |
PHỤ LỤC B
(tham khảo)
Phiếu điều tra tầng cây tre nứa
Số hiệu ô tiêu chuẩn: .................................................... Độ tàn che: .......................................
Vị trí hành chính: Xã: ....................................... Huyện .......................... Tỉnh ..........................
VI tri quản lý: Lô ....................................... Khoảnh .......................... Tiểu khu ..........................
Tọa độ OTC: X ..........................; Y: ..........................; Hệ tọa độ: .............................................
Độ cao tuyệt đối (m) ....................................... Độ dốc trung bình (độ) .....................................
Trạng thái lô .................................................... Trạng thái ô tiêu chuẩn: ...................................
Họ tên người điều tra: ....................................... Ngày điều tra: ................................................
| TT | Tên loài / cấp tuổi | Số cây | Loài/cây - tổ tuổi | Chu vi C1,3 (cm) | Chiều cao Hvn (m) | Ghi chú | |
|
| Nứa |
| Nứa |
|
|
| |
|
|
| Non |
| Non |
|
|
|
|
|
| Trung bình |
| 1 |
|
|
|
|
|
| Già |
| 2 |
|
|
|
|
|
| ............. |
| 3 |
|
|
|
|
|
|
|
| Trung bình |
|
|
|
|
|
|
|
| 1 |
|
|
|
|
|
|
|
| 2 |
|
|
|
|
|
|
|
| 3 |
|
|
|
|
|
|
|
| Già |
|
|
|
|
|
|
|
| 1 |
|
|
|
|
|
|
|
| 2 |
|
|
|
|
|
|
|
| 3 |
|
|
|
PHỤ LỤC C
(tham khảo)
Phiếu điều tra cây cau dừa
Số hiệu ô tiêu chuẩn: ............................................. Độ tàn che: ........................................
Vị trí hành chính: Xã: .................... Huyện .................... Tỉnh ............................................
Vị trí quản lý: Lô .................... Khoảnh .................... Tiểu khu ...........................................
Tọa độ OTC: X .................... ; Y: ....................; Hệ tọa độ: ................................................
Độ cao tuyệt đối (m) ........................................ Độ dốc trung bình (độ) ..............................
Trạng thái lô .................................................... Trạng thái ô tiêu chuẩn: ..............................
Họ tên người điều tra: ..................................... Ngày điều tra: .............................................
| TT | Tên loài cây | Mã loài cây | Chu vi thân cây tại vị trí 1,3 m C1,3 (cm) | Đường kính 1,3 m D1,3 (cm) | Chiều cao Hvn (m) | Ghi chú |
| 1 |
|
|
|
|
|
|
| 2 |
|
|
|
|
|
|
| 3 |
|
|
|
|
|
|
| 4 |
|
|
|
|
|
|
| 5 |
|
|
|
|
|
|
| 6 |
|
|
|
|
|
|
| 7 |
|
|
|
|
|
|
| 8 |
|
|
|
|
|
|
| 9 |
|
|
|
|
|
|
| 10 |
|
|
|
|
|
|
|
|
|
|
|
|
|
|
|
|
|
|
|
|
|
|
|
|
|
|
|
|
|
|
|
|
|
|
| . |
|
|
PHỤ LỤC D
(tham khảo)
Phiếu điều tra cây bụi, thảm tươi, cây tái sinh
Số hiệu ô tiêu chuẩn: ......................................... Độ tàn che: ................................................
Vị trí hành chính: Xã: .............................. Huyện.............................. Tỉnh ..............................
Vị trí quản lý: Lô .............................. Khoảnh.............................. Tiểu khu..............................
Tọa độ OTC: X ..............................; Y: ..............................; Hệ tọa độ: ..................................
Độ cao tuyệt đối (m) .............................. Độ dốc trung bình (độ) .............................................
Trạng thái lô .......................................... Trạng thái ô tiêu chuẩn: .............................................
Họ tên người điều tra: ............................................. Ngày điều tra: .............................................
D.1 - Đo đếm cây bụi, thảm tươi, cây tái sinh trung bình trong ô dạng bản
| ODB | Thứ tự cây trong ODB | Tên loài cây | Mã loài cây | Đường kính tán (m) | Chiều cao (m) | Ghi chú |
| 1 |
|
|
|
|
|
|
| 2 |
|
|
|
|
|
|
| 3 |
|
|
|
|
|
|
| 4 |
|
|
|
|
|
|
D.2 - Xác định sinh khối tươi cây bụi, thảm tươi, cây tái sinh
| ODB | Kích cỡ trung bình cây bụi, thảm tươi, cây tái sinh | Khối lượng cây bụi, thảm tươi, cây tái sinh theo các bộ phận (kg) | |||
| Chiều cao (m) | Độ che phủ (%) | Thân | Cành | Lá | |
| 1 |
|
|
|
|
|
| 2 |
|
|
|
|
|
| 3 |
|
|
|
|
|
| 4 |
|
|
|
|
|
D.3 - Lấy mẫu để phân tích sinh khối khô
| ODB | Tên/mã mẫu lấy phân tích | Khối lượng mẫu tươi (gam) | Ghi chú | ||
| Thân | Cành | Lá | |||
| 1 |
|
|
|
|
|
| 2 |
|
|
|
|
|
| 3 |
|
|
|
|
|
| 4 |
|
|
|
|
|
PHỤ LỤC E
(tham khảo)
Phiếu điều tra sinh khối gỗ cây chết
Số hiệu ô tiêu chuẩn: .................................................. Độ tàn che: .........................................
Vị trí hành chính: Xã: .............................. Huyện .............................. Tỉnh ..............................
Vị trí quản lý: Lô .............................. Khoảnh .............................. Tiểu khu ..............................
Tọa độ OTC: X ..............................; Y: ..............................; Hệ tọa độ: ....................................
Độ cao tuyệt đối (m) .............................. Độ dốc trung bình (độ) ..............................................
Kiểu rừng chính: ............................................. Kiểu rừng phụ: .................................................
Trạng thái lô ............................................. Trạng thái ô tiêu chuẩn: ..........................................
Họ tên người điều tra: ............................................. Ngày điều tra: ..........................................
E.1 - Điều tra cây gỗ chết đứng
| TT | Tên loài cây | Mã loài cây | Chu vi thân cây tại vị trí 1.3 m (cm) | Chiều cao cây (m) | Ghi chú |
| 1 |
|
|
|
|
|
| 2 |
|
|
|
|
|
| 3 |
|
|
|
|
|
| 4 |
|
|
|
|
|
| 5 |
|
|
|
|
|
| 6 |
|
|
|
| |
E.2 - Điều tra cây gỗ chết ngả trên ô dạng bản
| TT | ODB | Khối lượng gỗ chết ngả (kg) | Tên/mã mẫu phân tích | Khối lượng mẫu phân tích sinh khối khô (gam) | Ghi chú |
| 1 |
|
|
|
|
|
| 2 |
|
|
|
|
|
| 3 |
|
|
|
|
|
| 4 |
|
|
|
|
|
| 5 |
|
|
|
|
|
PHỤ LỤC F
(tham khảo)
Phiếu điều tra đo đếm sinh khối vật rơi rụng, thảm mục
Số hiệu ô tiêu chuẩn: .............................................. Độ tàn che: ..........................................
Vị trí hành chính: Xã: ............................ Huyện ............................ Tỉnh ...............................
Vị trí quản lý: Lô ............................ Khoảnh ............................ Tiểu khu ..............................
Tọa độ OTC: X ............................; Y: ............................; Hệ tọa độ: ....................................
Độ cao tuyệt đối (m) .......................................... Độ dốc trung bình (độ) ..............................
Trạng thái lô ....................................................... Trạng thái ô tiêu chuẩn: ............................
Họ tên người điều tra: ..........................................Ngày điều tra: ..........................................
| TT | ODB | Khối lượng vật rơi rụng, thảm mục (kg) | Tên/mã mẫu phân tích | Khối lượng mẫu phân tích sinh khối khô (gam) | Ghi chú |
| 1 |
|
|
|
|
|
| 2 |
|
|
|
|
|
| 3 |
|
|
|
|
|
| 4 |
|
|
|
|
|
| 5 |
|
|
|
|
|
PHỤ LỤC G
(tham khảo)
Bảng hiệu chỉnh độ dài cạnh ô tiêu chuẩn theo độ dốc
| Độ dốc (độ) | Cos (a) | OTC tương ứng với cạnh 10 m | OTC tương ứng với cạnh 20 m | OTC tương ứng với cạnh 30 m |
| 2 | 1,00 | 10,0 | 20,0 | 30,0 |
| 4 | 1,00 | 10,0 | 20,0 | 30,1 |
| 6 | 0,99 | 10,1 | 20,1 | 30,2 |
| 8 | 0,99 | 10,1 | 20,2 | 30,3 |
| 10 | 0,98 | 10,2 | 20,3 | 30,5 |
| 12 | 0,98 | 10,2 | 20,4 | 30,7 |
| 14 | 0,97 | 10,3 | 20,6 | 30,9 |
| 16 | 0,96 | 10,4 | 20,8 | 31,2 |
| 18 | 0,95 | 10,5 | 21,0 | 31,5 |
| 20 | 0,94 | 10,6 | 21,3 | 31,9 |
| 22 | 0,93 | 10,8 | 21,6 | 32,4 |
| 24 | 0,91 | 10,9 | 21,9 | 32,8 |
| 26 | 0,90 | 11,1 | 22,3 | 33,4 |
| 28 | 0,88 | 11,3 | 22,7 | 34,0 |
| 30 | 0,87 | 11,5 | 23,1 | 34,6 |
| 32 | 0,85 | 11,8 | 23,6 | 35,4 |
| 34 | 0,83 | 12,1 | 24,1 | 36,2 |
| 36 | 0,81 | 12,4 | 24,7 | 37,1 |
| 38 | 0,79 | 12,7 | 25,4 | 38,1 |
| 40 | 0,77 | 13,1 | 26,1 | 39,2 |
| 42 | 0,74 | 13,5 | 26,9 | 40,4 |
| 44 | 0,72 | 13,9 | 27,8 | 41,7 |
| 46 | 0,69 | 14,4 | 28,8 | 43,2 |
| 48 | 0,67 | 14,9 | 29,9 | 44,8 |
| 50 | 0,64 | 15,6 | 31,1 | 46,7 |
PHỤ LỤC H
(tham khảo)
Hệ số chuyển đổi và mở rộng thể tích cây đứng thành sinh khối trên mặt đất đối với cây lá kim
| Loại rừng | BCEFs theo cấp trữ lượng cây đứng (m³) | |||||||
| Cây lá kim | < 10 | 11 - 20 | 21 - 40 | 41 - 60 | 61 - 80 | 80 - 120 | 120 - 200 | > 200 |
| 4,0 (3,0-6,0) | 1,75 (1,4-2,4) | 1,25 (1,0-1,5) | 1,0 (0,8-1,2) | 0,8 (0,7 -1,2) | 0,76 (0,6-1,0) | 0,7 (0,6-0,9) | 0,7 (0,6-0,9) | |
PHỤ LỤC I
(tham khảo)
Phương trình xác định sinh khối trên mặt đất của các loài cây tre nứa
a. Tính AGB bình quân của 01 cây tre nứa thuộc tổ tuổi thứ l, loài tre nứa thứ k trong ô tiêu chuẩn thứ j, trạng thái rừng thứ i theo các công thức sau (UN-REDD, 2014):
Lồ ô (Bambusa balcooa):
|
| (I.1) |
Luồng (Dendrocalamus membranaceus):
|
| (I2) |
Nứa (Bambusa chirostachyoides):
|
| (I3) |
Vầu (Indosasa angustata):
|
| (I4) |
Trong đó:
|
| là AGB bình quân của 01 cây tre nứa thuộc tổ tuổi thứ l, loài tre nứa thứ k trong ô tiêu chuẩn thứ j, trạng thái rừng thứ i (đơn vị: tấn); |
|
| là D1,3 bình quân của tổ tuổi thứ l, loài tre nứa thứ k trong ô tiêu chuẩn thứ j, trạng thái rừng thứ i (đơn vị: cm); |
|
| là Hvn bình quân của tổ tuổi thứ l, loài tre nứa thứ k, trong ô tiêu chuẩn thứ j, trạng thái rừng thứ i (đơn vị: m); |
| l | là tổ tuổi của tre nứa (l = 1 tương ứng với tổ tuổi non; l = 2 tương ứng với tổ tuổi “vừa”; l = 3 tương ứng với tổ tuổi “già”). |
Đối với các loài tre nứa khác cần phải đưa về áp dụng công thức của một trong bốn loài trên, được đưa ra trong Bảng 5.
Bảng 5 - Công thức sinh khối tương đương để xác định sinh khối một số loài tre nứa
| TT | Tên tre nứa | Loại công thức | TT | Tên tre nứa | Loại công thức |
| 1 | Bương/Tre | Luồng | 3 | Mai/Hốc | Luồng |
| 2 | Dùng/Lùng | Nứa | 4 | Mét | Luồng |
Đối với những loài tre nứa khác không có trong danh sách trên, áp dụng công thức của Lồ ô để tính.
b. Tính AGB bình quân/ha của tre nứa trong ô tiêu chuẩn thứ j thuộc trạng thái rừng thứ i theo công thức:
* Đối với tre nứa mọc theo bụi:
|
| (I5) |
* Đối với tre nứa mọc tản:
|
| (I6) |
Trong đó:
|
| là AGB bình quân/ha của tre nứa trong ô tiêu chuẩn thứ j thuộc trạng thái rừng thứ i (đơn vị: tấn/ha); |
|
| là diện tích đo đếm tre nứa trong ô tiêu chuẩn thứ j thuộc trạng thái rừng thứ i (đơn vị: m²); |
|
| là số loài tre nứa trong ô tiêu chuẩn thứ j thuộc trạng thái rừng thứ i; |
|
| là số bụi tre nứa đếm được trong ô tiêu chuẩn thứ j thuộc trạng thái rừng thứ i; |
|
| là số bụi tre nứa đã đo đếm tre nứa trong ô tiêu chuẩn thứ j thuộc trạng thái rừng thứ i; |
|
| là số cây tre nứa bình quân trên một bụi đếm được của tổ tuổi thứ l, loài tre nứa thứ k trong ô tiêu chuẩn thứ j, trạng thái rừng thứ i; |
|
| là số cây tre nứa mọc tản đếm được của tổ tuổi thứ l, loài tre nứa thứ k trong ô tiêu chuẩn thứ j, trạng thái rừng thứ i, |
|
| là AGB bình quân của 01 cây tre nứa thuộc tổ tuổi thứ l, loài tre nứa thứ k trong ô tiêu chuẩn thứ j, trạng thái rừng thứ i (đơn vị: tấn). |
| l | là tổ tuổi của tre nứa (l = 1 tương ứng với tổ tuổi non; l = 2 tương ứng với tổ tuổi "vừa”; l = 3 tương ứng với tổ tuổi “già”). |
PHỤ LỤC J
(tham khảo)
Tỷ số sinh khối dưới mặt đất so với sinh khối trên mặt đất
| Miền | Vùng sinh thái | Sinh khối trên mặt đất | R [tấn rễ chất khô (tấn chồi chất khô)-1] | Tài liệu tham khảo |
| Nhiệt đới | Rừng mưa nhiệt đới |
| 0,37 | Fittkau và Klinge, 1973 |
| Rừng rụng lá ẩm nhiệt đới | sinh khối trên mặt đất <125 tấn ha-1 | 0,20 (0,09 - 0,25) | Mokany và cộng sự, 2006 | |
| sinh khối trên mặt đất > 125 tấn ha-1 | 0,24 (0,22 - 0,33) | Mokany và cộng sự, 2006 | ||
| Rừng khô nhiệt đới | sinh khối trên mặt đất < 20 tấn ha-1 | 0,56 (0,28 - 0,68) | Mokany và cộng sự, 2006 | |
| sinh khối trên mặt đất > 20 tấn ha-1 | 0,28 (0,27 - 0,28) | Mokany và cộng sự, 2006 | ||
| Cận nhiệt đới . | Rừng ẩm cận nhiệt đới | sinh khối trên mặt đất < 125 tấn ha-1 | 0,20 (0,09 - 0,25) | Mokany và cộng sự, 2006 |
| sinh khối trên mặt đất > 125 tấn ha-1 | 0,24 (0,22 - 0,33) | Mokany và cộng sự, 2006 | ||
| Rừng khô cận nhiệt đới | sinh khối trên mặt đất < 20 tấn ha-1 | 0,56 (0,28 - 0,68) | Mokany và cộng sự, 2006 | |
| sinh khối trên mặt đất > 20 tấn ha-1 | 0,28 (0,27 - 0,28) | Mokany và cộng sự, 2006 |
PHỤ LỤC K
(tham khảo)
Danh sách các phương trình xác định sinh khối của các loài cây rừng ngập mặn - kế thừa từ kết quả nghiên cứu trên thế giới và tại Việt Nam
| TT | Loài | Trên mặt đất | Tác giả | |||
| Phương trình | r2 | n | Dmax | |||
| I | Cây gỗ |
| ||||
| 1 | Avicennia alba (Mấm trắng) | Wtop= 0,1292*(D1.3)2,4137 | 0,94 | NA | 2,9 29,9 | Binh, C.H&Nam, V.N, 2010 (Dẫn theo Vũ TP, 2023) |
| 2 | Avicennia germinans (Mấm đen) | Wtop= 0,140*(D1.3)2,40 | 0,97 | 45 | 4 | Fromard et al. (1998) |
| 3 | Avicennia germinans (Mấm đen) | Wtop= 0,0942*(D1.3)2,40 | 0,99 | 21 | NA | Imbert and Rollet (1989) (Dẫn theo Komiyama et al. (2008)) |
| 4 | Avicennia germinans (Mấm đen) | Wtop= 0,403*(D1.3)1,934 | 0,95 | 8 | 21,5 | Kauffman and Donato, 2011 |
| 5 | Avicennia marina (Mấm biển) | Wtop= 0,308*(D1.3)2,11 | 0,97 | 22 | 35 | Comley and McGuinness (2005) |
| 6 | Laguncularia racemosa | Wtop= 0,102*(D1.3)2,5 | 0,97 | 70 | 10 | Fromard et al. (1998) |
| 7 | Laguncularia racemosa | Wtop= 0,362*(D1.3)1,930 | 0,98 | 10 | 18 | Kauffman and Donato, 2011 |
| 8 | Laguncularia racemosa | Wtop= 0,209*(D1.3)2,24 | 0,99 | 17 | NA | Imbert and Rollet (1989) (Dẫn theo Komiyama et al. (2008)) |
| 9 | Rhizophora apiculata (Đước đôi) | Wtop= 0,235*(D1.3)2,42 | 0,98 | 57 | 28 | Ong et al. (2004) |
| 10 | Rhizophora apiculata (Đước đôi) | Wtop= 0,1709*(D1.3)2,516 | 0,98 | 20 | 30 | Kauffman and Donato, 2011 |
| 11 | Rhizophora apiculata (Đước đôi) | Wtop= 0,3482*(D1.3)2,2965 | NA | NA | 3.2 | Nam, V.N and Thanh, L.K, 2010 (Dẫn theo Vũ TP, 2023) |
| 12 | Rhizophora apiculata (Đước đôi) | Wtop= 0,38363*(D1.3)2,2348 | 0,976 | 36 | 7,0 | Vinh, T.V (2019) |
| 13 | Rhizophora apiculata (Đước đôi) | Wtop= 0,0444*[(D1.32)*H]0,96842 | 0,93 | 193 | 60 | Kauffman and Donato, 2011 |
| 14 | Rhizophora mangle | Wtop= 0,178*(D1.3)2,47 | 0,98 | 17 | NA | Imbert and Rollet (1989) (Dẫn theo Komiyama et al. (2008)) |
| 15 | Rhizophora mangle | Wtop= 0,722*(D1.3)1,731 | 0,94 | 14 | 20 | Kauffman and Donato, 2011 |
| 16 | Rhizophora mucronata (Đưng) | Wtop= 0,0311*[(D1.32)*H]1,00741 | 0,95 | 73 | 39,5 | Kauffman and Donato, 2011 |
| 17 | Rhizophora stylosa (Đước vòi) |
|
|
|
| Comley and McGuinness (2005) Kauffman and Donato, 2011 |
| 18 | Rhizophora sp (Chung cho Chi Đước) | Wtop= 0,128*(D1.3)2,60 | 0,92 | 9 | 32 | Fromard et al. (1998); Tamai et al. (1986) |
| 19 | Rhizophora sp (Chung cho Chi Đước) | Wtop= 0,105*(D1.3)2,68 | 0,99 | 23 | 25 | Clough and Scott (1989) |
| 20 | Rhizophora sp (Chung cho Chi Đước) | Wtop= 0,0375*[(D1.32)*H]0,98626 | 0,95 | 265 | 60 | Kauffman and Donato, 2011 |
| 21 | Bruguiera gymnorrhiza (Vẹt dù) | Wtop= 0,186*(D1.3)2,31 | 0,99 | 17 | 25 | Clough and Scott (1989) |
| 22 | Bruguiera gymnorrhiza (Vẹt dù) | Wtop= 0,0464*[(D1.32)*H]0,94275 | 0,96 | 325 | 132 | Kauffman and Donato, 2011 |
| 23 | Bruguiera parviflora (Vẹt khang) | Wtop= 0,168*(D1.3)2,42 | 0,99 | 16 | 25 | Clough and Scott(1989) |
| 24 | Bruguiera exaristata (Vẹt) |
|
|
|
| Comley and McGuinness (2005) |
| 25 | Bruguiera sp (Chung cho chi Vẹt) |
|
|
|
| Tamai et al. (1986) |
| 26 | Ceriops australis | Wtop= 0,189*(D1.3)2,34 | 0,99 | 26 | 20 | Clough and Scott (1989); Comley and McGuinness (2005) |
| 27 | Ceriops zippeliana (Dà quánh) | Wtop= 0,2079*(D1.3)2,407 | 0,97 | NA | 1,27 7,48 | Binh, C.H & Nam, V.N, 2010 (Dẫn theo Vũ TP, 2023) |
| 28 | Ceriops tagal (Dà vôi) | Wtop= 0,856*(D1.3)1,53 | 0,92 | NA | 1,9 9,4 | Nam.V.N, 2010 (Dẫn theo Vũ TP, 2023) |
| 29 | Xylocarpus granatum (Xu ổi) | Wtop= 0,0823*(D1.3)2,59 | 0,99 | 15 | 25 | Clough and Scott (1989); Poungpam et al. (2002) |
| 30 | Xylocarpus granatum (Xu ổi) | Wtop= 0,0830*[(D1.32)*H]0,89806 | 0,95 | 115 | 128,5 | Kauffman and Donato, 2011 |
| 31 | Lumnitzera racemosa (Cóc trắng/có hồng) | Wtop= 0,075*(D1.3)2,3721 | 0,99 | NA | 1,8 12,2 | Nam, V.N.2011 (Dẫn theo Vũ TP, 2023) |
| 32 | Lumnitzera littorea (Cóc đỏ) | Wtop= 0,0214*[(D1.32)*H]1,05655 | 0,93 | 20 | 70,6 | Kauffman and Donato, 2011 |
| 33 | Sonneratia alba (Bần trắng) | Wtop= 0,0825*[(D1.32)*H]0,89966 | 0,95 | 345 | 323 | Kauffman and Donato, 2011 |
| 34 | Common equation (Phương trình chung) | Wtop= 0,251*p*(D1.3)2,46 | 0,98 | 104 | 49 | Komiyama et al. (2005) |
| 35 | Common equation (Phương trình chung) | Wtop= 0,168*p*(D1.3)2,46 | 0,99 | 84 | 50 | Chave et al. (2005) |
| 36 | Common equation (Phương trình chung) | Wtop= 0,168*p*(D1.3)2,471 | 0,99 | 84 | 42 | Kauffman and Donato, 2011 |
| 37 | Common equation (Phương trình chung) | Wtop= 0,0509*p*(D1.32)*H | NA | 84 | 42 | Kauffman and Donato, 2011 |
| II | Cây bụi |
|
|
|
|
|
| 38 | Aegiceras corniculatum (Sú) | Wtop= 3,1253*(CD2*H)0,9063 | 0,99 | 16 | NA | Weiguo Fu and Yanyou Wu 2011 |
| 39 | Avicennia marina (Mấm biển) Dạng cây bụi | Wtop= 1,8247*(CD2*H)1,0202 | 0,98 | 17 | NA | Weiguo Fu and Yanyou Wu 2011 |
| 40 | Kandelia candel (Trang) | Wtop= 2,5904*(CD2*H)0,9987 | 0,85 | 15 | NA | Weiguo Fu and Yanyou Wu 2011 |
| III | Cau dừa |
|
|
|
|
|
| 41 | Nypa fruticans | Wtop= 0.029*L2,013 |
|
|
| Wilson, N. 2010 |
CHÚ THÍCH:
| D1.3 | là đường kính thân cây tại vị trí 1,3m, đơn vị tính là cm. |
| p | là khối lượng riêng của từng loại gỗ cây rừng ngập mặn, được tính bằng g/cm³ hoặc tấn/m³ |
| CD | là đường kính tán, đơn vị là m; |
| H | là chiều cao cây, đơn vị là m; |
| WStilt | là sinh khối của rễ cà kheo (rễ chống phần trên mặt đất). |
| L | là tổng chiều dài lá của cây họ cau, dừa. |
| r2 | là hệ số tương quan của phương trình; |
| n | là số cây tham gia xây dựng phương trình |
| Dmax | là giới hạn đường kính áp dụng phương trình. |
PHỤ LỤC L
(tham khảo)
Phương trình lựa chọn xác định sinh khối các loài cây gỗ rừng ngập mặn
| TT | Tên Tiếng Việt | Tên La tinh | Khối lượng riêng của gỗ (p) | Phương trình sinh khối trên mặt đất (Wtop) kg | Tác giả | Dmax | r2 |
| 1 | Sú | Aegiceras corniculatum | 0,60 | Wtop = 0,251*p*D1.32,46 | Komiyama et al. (2005) | 45 | 0,95 |
| 2 | Sú đỏ | Aegiceras floridum | 0,76 | Wtop = 0,251*p*D1.32,46 | Komiyama et al. (2005) | 45 | 0,95 |
| 3 | Giá | Excoecaria agallocha | 0,726 | Wtop = 0,251*p*D1.32,46 | Komiyama et al. (2005) | 45 | 0,95 |
| 4 | Bần chua (Bần sẻ) | Sonneratia lanceolata (Sonneratia caseolaris) | 0,41 | Wtop = 0,168*p*D1.32,47 | Chave et al. (2005) | 50 | 0,99 |
| Komiyama et al. (2005) | 45 | 0,95 | |||||
| 5 | Bần đắng (Bần trắng) | Sonneratia alba | 0,647 | Wtop = 0,251*p*D1.32,46 | Komiyama et al. (2005) | 45 | 0,95 |
| 6 | Bần không cánh | Sonneratia apetala | 0,53 | Wtop = 0,251*p*D1.32,46 | Komiyama et al. (2005) | 45 | 0,95 |
| 7 | Bần ổi | Sonneratia ovata | 0,42 | Wtop = 0,251*p*D1.32,46 | Komiyama et al. (2005) | 45 | 0,95 |
| 8 | Cóc đỏ | Lumnitzeta littorea | 0,737 | Wtop = 0,251*p*D1.32,46 | Komiyama et al. (2005) | 45 | 0,95 |
| 9 | Cóc hồng (lai) | Lumnitzeta x rosea | 0,737 | Wtop = 0,251*p*D1.32,46 | Komiyama et al. (2005) | 45 | 0,95 |
| 10 | Cọc vàng trắng | Lumnitzera racemosa | 0,737 | Wtop = 0,251*p*D1.32,46 | Komiyama et al. (2005) | 45 | 0,95 |
| 11 | Bằng phi | Pemphis acidula | 1,06 | Wtop = 0,251*p*D1.32,46 | Komiyama et al. (2005) | 45 | 0,95 |
| 12 | Côi | Scyphiphora hydrophyllacea | 0,69 | Wtop = 0,251*p*D1.32,46 | Komiyama et al. (2005) | 45 | 0,95 |
| 13 | Cui biển | Heritiera littoralis | 0.51 | Wtop = 0,251*p*D1.32,46 | Komiyama et al. (2005) | 45 | 0,95 |
| 14 | Tra bồ đề (Tra lâm vồ) | Thespesia populnea | 0,51 | Wtop = 0,251*p*D1.32,46 | Komiyama et al. (2005) | 45 | 0,95 |
| 15 | Quao nước | Dolichandron e spathacea | 0,51 | Wtop = 0,251*p*D1.32,46 | Komiyama et al. (2005) | 45 | 0,95 |
| 16 | Dà quánh | Ceriops zippeliana (Ceriops decandra) | 0,73 | Wtop = 0,251*p*D1.32,46 | Komiyama et al. (2005) | 45 | 0,95 |
| 17 | Dà vôi | Ceriops tagal | 0,884 | Wtop = 0,168*p*D1.32,47 | Chave et al. (2005 | 50 | 0,99 |
| Komiyama et al. (2005) | 45 | 0,95 | |||||
| 18 | Đâng (đước vòi) | Rhizophora stylosa | 0,913 | Wtop = 0,251*p*D1.32,46 | Komiyama et al. (2005) | 45 | 0,95 |
| 19 | Đưng (đước bộp) | Rhizophora mucronata | 0,792 | Wtop = 0,251*p*D1.32,46 | Komiyama et al. (2005) | 45 | 0,95 |
| 20 | Đước (đước đôi) | Rhizophora apiculata | 0,855 | Wtop = 0,235*D1.32,42 | Ong, J.E., Gong, W.K., Wong, C.H (2004) | 28 | 0,98 |
| 21 | Đước (lai) | Rhizophora x lamarckii | 0,93 | Wtop = 0,251*p*D1.32,46 | Komiyama et al. (2005) | 45 | 0,95 |
| 22 | Trang | Kandelia obovata | 0,51 | Wtop = 0,251*p*D1.32,46 | Komiyama et al. (2005) | 45 | 0,95 |
| 23 | Trang (Vẹt thang, Vẹt dìa) | Kandelia candel | 0,53 | Wtop = 0,251*p*D1.32,46 | Komiyama et al. (2005) | 45 | 0,95 |
| 24 | Vẹt dù (Vẹt dù bông đỏ) | Bruguiera gymnorhiza | 0,51 | Wtop = 0,251*p*D1.32,46 | Komiyama et al. (2005) | 45 | 0,95 |
| 25 | Vẹt hainesii | Bruguiera hainesii | 0,82 | Wtop = 0,251*p*D1.32,46 | Komiyama et al. (2005) | 45 | 0,95 |
| 26 | Vẹt khang (Vẹt đen, Vẹt dù, Vẹt tách) | Bruguiera sexangula | 0,763 | Wtop = 0,251*p*D1.32,46 | Komiyama et al. (2005) | 45 | 0,95 |
| 27 | Vẹt tách (Vẹt khang) | Bruguiera parviflora | 0,763 | Wtop = 0,251*p*D1.32,46 | Komiyama et al. (2005) | 45 | 0,95 |
| 28 | Vẹt trụ (Vẹt thăng) | Bruguiera cylindrica | 0,726 | Wtop = 0,251*p*D1.32,46 | Komiyama et al. (2005) | 45 | 0,95 |
| 29 | Tim lang | Barringtonia racemosa | 0,51 | Wtop = 0,251*p*D1.32,46 | Komiyama et al. (2005) | 45 | 0,95 |
| 30 | Mắm biển | Avicennia marina | 0,650 | Wtop = 0,140*D1.32,40 | Fromard et al. (1998) Comley McGuinness (2005) | 35 | 0,97 |
| 31 | Mắm đen (Mắm lưỡi đòng) | Avicennia officinalis | 0,51 | Wtop = 0,168*p*D1.32,47 | Chave et al. (2005) | 0,5 | 0,99 |
| Komiyama et al. (2005) | 45 | 0,95 | |||||
| 32 | Mắm quăn | Avicennia rumphiana (Avicennia lanata) | 0,51 | Wtop = 0,251*p*D1.32,46 | Komiyama et al. (2005) | 45 | 0,95 |
| 33 | Mắm trắng | Avicennia alba | 0,70 | Wtop = 0,251*p*D1.32,46 | Komiyama et al. (2005) | 45 | 0,95 |
| 34 | Ô rô tím | Acanthus ilicifolius | 0,51 | Wtop = 0,251*p*D1.32,46 | Komiyama et al. (2005) | 45 | 0,95 |
| 35 | Ô rô trắng | Acanthus ebracteatus | 0,51 | Wtop = 0,251*p*D1.32,46 | Komiyama et al. (2005) | 45 | 0,95 |
| 36 | Xu mekong (Xu sung, Su sung) | Xylocarpus moluccensis (ex x. mekongensis) | 0,571 | Wtop = 0,251*p*D1.32,46 | Komiyama et al. (2005) | 45 | 0,95 |
| 37 | Xu ổi | Xylocarpus granatum | 0,686 | Wtop = 0,251*p*D1.32,46 | Komiyama et al. (2005) | 45 | 0,95 |
| 38 | Tra (Tra làm chiếu) | Hibiscus tiliaceus | 0,51 | Wtop = 0,251*p*D1.32,46 | Komiyama et al. (2005) | 45 | 0,95 |
CHÚ THÍCH:
| D1.3 | là đường kính thân cây tại vị trí 1,3m, đơn vị tính là cm. |
| p | là khối lượng riêng của từng loại gỗ cây rừng ngập mặn, được tính bằng g/cm³ hoặc tấn/m³ |
| CD | là đường kính tán, đơn vị là m; |
| H | là chiều cao cây, đơn vị là m |
PHỤ LỤC M
(tham khảo)
Phương trình sử dụng để xác định sinh khối của các loài cây rừng ngập mặn dạng cây bụi
| TT | Tên tiếng Việt | Tên Latinh | Phương trình sinh khối trên mặt đất | Tác giả | r2 |
| 1 | Sú | Aegiceras corniculatum | Wtop = 3,1253*(CD2H)0,9063 | Weigue Fu and Yanyou Wu (2011) | 0,99 |
| 2 | Mắm biển | Avicennia marina | Wtop= 1,8247*(CD2H)1,0202 | Weigue Fu and Yanyou Wu (2011) | 0,97 |
| 3 | Trang (Vẹt thang, Vẹt dìa) | Kandelia candel | Wtop = 2,5904*(CD2H)0,9987 | Weigue Fu and Yanyou Wu (2011) | 0,84 |
PHỤ LỤC N
(tham khảo)
Phương trình sử dụng để xác định sinh khối của các loài cây rừng ngập mặn dạng cau dừa
| TT | Tên tiếng Việt | Tên Latinh | Phương trình sinh khối trên mặt đất | Tác giả |
| 1 | Dừa nước | Nypa fruticans | Wtop = 0,029*L2,013 | Wilson, N. 2010 |
CHÚ THÍCH: L là tổng chiều dài lá (mét)
PHỤ LỤC O
(tham khảo)
Phương trình xác định sinh khối lâm phần rừng tự nhiên
| Vùng sinh thái | Loại rừng | Phương trình | Nguồn trích dẫn |
| Đông Nam Bộ | Lá rộng thường xanh | AGB = 0,1277 x D2,3943 | UN-REDD (2014) |
| Đông Nam Bộ | Lá rộng thường xanh | AGB = 0,0530 x (D2H0,7)1,0072 | UN-REDD (2014) |
| Đông Nam Bộ | Lá rộng thường xanh | AGB = 0,2328 x (D2,4p)0,9933 | UN-REDD (2014) |
| Đông Nam Bộ | Lá rộng thường xanh | AGB = 0,0968 x (D2H0,7p)10037 | UN-REDD (2014) |
| Đông Nam Bộ | Nửa rụng lá | AGB = 0,0670 x D2,5915 | UN-REDD (2014) |
| Đông Nam Bộ | Nửa rụng lá | AGB = 0,0154 x (D2H0,7)1,1682 | UN-REDD (2014) |
| Đông Nam Bộ | Nửa rụng lá | AGB = 0,0560 x (D2,4p)1,1655 | UN-REDD (2014) |
| Đông Nam Bộ | Nửa rụng lá | AGB = 0,0159 x (D2H0,7p)1,2275 | UN-REDD (2014) |
| Đông Nam Bộ | Rừng tre (bambusa balcoa) | AGB = 0,1006 x D2,2220 | UN-REDD (2014) |
| Đông Nam Bộ | Rừng tre (bambusa balcoa) | AGB = 0,0644 x D1,9696H0,3426 | UN-REDD(2014) |
| Tây Nguyên | Lá rộng thường xanh | AGB = 0,222*D1.32,387 | UN-REDD (2014) |
| Tây Nguyên | Lá rộng thường xanh | AGB = 0,098*exp(2,08*Ln(D1.3) + 0,71*Ln(H) + 1,12*Ln(WD)) | UN-REDD (2014) |
| Tây Nguyên | Nửa rụng lá | AGB = 0,14*DBH2,31 | UN-REDD (2014) |
| Tây Nguyên | Rừng tre (bambusa balcoa) | AGB = 0,182*D1.32,16 | UN-REDD (2014) |
| Duyên hải Nam Trung bộ | Lá rộng thường xanh | AGB = exp(-2,24267 + 247464*ln(D1.3) | UN-REDD (2014) |
| Duyên hải Nam Trung bộ | Lá rộng thường xanh | AGB = -2,23222 + 0,744261* log(D1.32*H) + 1,13674*log(WD) + 0,17046*log(DBH2*CA) | UN-REDD (2014) |
| Duyên hải Bắc Trung bộ | Lá rộng thường xanh | Ln(AGB) = -1,0703 + 2,3028*ln (D) + 1,2901*ln(WD) | UN-REDD (2014) |
| Duyên hải Bắc Trung bộ | Rừng tre (Dendrocalamus barbatus) | AGB = 0,1726*D1.32,0545 | UN-REDD (2014) |
| Duyên hải Bắc Trung bộ | Lá rộng thường xanh | AGB = 0,1245 x D1.32,4163 | UN-REDD (2014) |
| Duyên hải Bắc Trung bộ | Lá rộng thường xanh | AGB = 0,0421 x (D2H)0,9440 | UN-REDD (2014) |
| Duyên hải Bắc Trung bộ | Lá rộng thường xanh | AGB = 0,2105 x (D2,4p)1,0025 | UN-REDD (2014) |
| Duyên hải Bắc Trung bộ | Lá rộng thường xanh | AGB = 0,0704 x (D2Hp)0,9389 | UN-REDD (2014) |
| Đông Bắc bộ | Lá rộng thường xanh | AGB = 0,1142 x D2,4451 | UN-REDD (2014) |
| Đông Bắc bộ | Lá rộng thường xanh | AGB = 0,0547 x D21148 x H0,6131 | UN-REDD(2014) |
| Đông Bắc bộ | Lá rộng thường xanh | AGB = 0,2176 x D23825 x ρ0,7996 | UN-REDD (2014) |
| Đông Bắc bộ | Lá rộng thường xanh | AGB = 0,1173 x (D2H0,7ρ)0,9898 | UN-REDD (2014) |
| Đông Bắc bộ | Rừng tre (Indosasa angustata) | AGB = 0,2184 x D1.31,8517 | UN-REDD (2014) |
| Đông Bắc bộ | Rừng tre (B. chirostachayoides) | AGB = 0,5043 x D1.31,4587 | UN-REDD (2014) |
| Đông Bắc bộ | Rừng tre (B. chirostachayoides) | AGB = 0,3153*D1.31,3450*H0,2528 | UN-REDD (2014) |
PHỤ LỤC P
(tham khảo)
Phương trình xác định sinh khối lâm phần rừng trồng
| Vùng sinh thái | Loài | Phương trình | Nguồn |
| Miền Bắc Vệt Nam | Acacia mangium x auriculiformis (Keo lai) | AGB = 0,150*DBH2,222 (R2 = 0,86) | Phuong.V.T (2008) |
| Miền Trung Vệt Nam | Acacia mangium x auriculiformis (Keo lai) | AGB = 0,085*DBH2,296 (R2 = 0,88) | Phuong.V.T (2008) |
| Miền Nam Việt Nam | Acacia mangium x auriculiformis (Keo lai) | AGB = 0,065*DBH2,472 (R2 = 0,92) | Phuong.V.T (2008) |
| Bà Rịa Vũng Tàu | Acacia mangium x auriculiformis (Keo lai) | Ln(AGB) = 7,767 + 0,106 x A + 1,150ln(DBH), R2 = 0,97 Ln(AGB) = 8,815 + 0,147 x Hvn + 0,187ln(A), R2 = 0,97 | Bao.T.Q &CS (2019) |
| Miền Nam Việt Nam | Acacia mangium x auriculiformis (Keo lai) | AGB = 323,978 * exp(-5,86208 * exp(-0,299642*A), (R2 = 0,99) | Them.N.V (2021) |
| Miền Nam Việt Nam | Hevea brasiliensis (Cao su) | AGB = 1,036*DBH0,243Hvn1,503 (R2 = 0,991) | Thinh.N.V&CS(2023) |
| Mền Bắc Việt Nam | Pinus kesiya (Thông ba lá) | AGB =0,24*DBH2,91 (R2 = 0,98) | Phuong.V.T (2011) |
| Việt Nam | Pinus latteri (Thông nhựa) | Ln(AGB) = 8,125 + 0,657 x lnG + 0,563 x lnHvn (R2 = 0,95) | Trieu, Đ.T (2009) |
| Việt Nam | Pinus massoniana Lamb (Thông mã vĩ) | Ln(AGB) = 8,555 + 0,644 x lnG + 0,406 x lnHvn (R2 = 0,97) | Trieu, Đ.T (2009) |
| Tây nguyên | Litsea glutinosa (Bời lời nhớt) | Log(SKtươi) = -1,6425 + 1,60676*Log(DBH) (R2 = 0,886) | Huy.B (2009) |
| Miền Nam Việt Nam | Ceriops zippeliana (Dà quánh) | AGB = 0.2079*DBH2,407 (r2= 0.97) | Binh, C.H & Nam, V.N, 2010 |
| Miền Nam Việt Nam | Ceriops tagal (Dà vôi) | AGB = 0.856*DBH1,53 (r2 = 0.92) | Nam, V.N, 2010 |
| Miền Nam Vệt Nam | Avicennia alba (Cây Mắm) | AGB = 0.1292*DBH2,4137 (r2 = 0.94) | Binh, C.H&Nam, VN, 2010 |
| Miền Nam Việt Nam | Rhizophora apiculata (Cây Đước) | AGB = 0.3482*DBH2,2965 | Nam,V.N and Thanh, LK,2010 |
| Miền Nam Vệt Nam | Lumnitzera racemosa (Cóc trắng) | AGB = 0.075*DBH2,3721 (r2=0.99) | Nam, V.N, 2011 |
Thư mục tài liệu tham khảo
[1] Trần Quang Bảo, Võ Thành Phúc (2019), Nghiên cứu sinh khối và khả năng hấp thụ CO2 của rừng trồng Keo lai tại tỉnh Bà Rịa Vũng Tàu. Tạp chí Khoa học và Công nghệ Lâm nghiệp, số 2/2019
[2] Võ Đại Hải, Đặng Thịnh Triều, 2012. Nghiên cứu khả năng hấp thụ các-bon của rừng tự nhiên lá rộng thường xanh, bán thường xanh, và rụng lá ở Tây Nguyên, Báo cáo tổng kết đề tài cấp Bộ;
[3] Vũ Tiến Hinh (2012). Giáo trình điều tra rừng, Trường Đại học Lâm nghiệp, Nhà xuất bản Nông nghiệp, Hà Nội
[4] Bảo Huy, 2012. Xác định lượng CO2 hấp thụ của rừng lá rộng thường xanh vùng Tây Nguyên làm cơ sở tham gia chương trình giảm thiểu khí phát thải từ suy thoái và mất rừng. Báo cáo tổng kết đề tài khoa học và công nghệ cấp Bộ. Bộ Giáo dục và Đào tạo;
[5] Howard, J., Hoyt, S., Isensee, K., Telszewski, M., Pidgeon, E. (eds.) (2014). Coastal Blue Carbon: Methods for assessing carbon stocks and emissions factors in mangroves, tidal salt marshes, and seagrasses. Conservation International, Intergovernmental Oceanographic Commission of UNESCO, International Union for Conservation of Nature. Arlington, Virginia, USA;
[6] IPCC (2006),Guidelines for National Greenhouse Gas Inventories. In Volume 4; Agriculture, Forestry and Other Land Use, Institute for Global Environmental Strategies (IGES), Japan.
[7] Thông tư số 33/2018/TT-BNNPTNT ngày 16/11/2018 của Bộ Nông nghiệp và Phát triển nông thôn về điều tra, kiểm kê và theo dõi diễn biến rừng;
[8] Thông tư số 16/2023/TT-BNNPTNT ngày 15/12/2023 của Bộ Nông nghiệp và Phát triển nông thôn: Sửa đổi, bổ sung một số điều của Thông tư số 33/2018/TT-BNNPTNT ngày 16 tháng 11 năm 2018 của Bộ trưởng Bộ Nông nghiệp và Phát triển nông thôn quy định về điều tra, kiểm kê và theo dõi diễn biến rừng
[9] Nguyễn Văn Thêm và cộng sự (2021), Xây dựng các hàm sinh khối đối với rừng tự nhiên và rừng trồng. NXB Khoa học kỹ thuật.
[10] Nguyễn Văn Thịnh và cộng sự (2023), Nghiên cứu sinh khối và khả năng hấp thụ CO2 của rừng trồng Cao su (Hevea Brasiliensis) tại Khu dự trữ sinh quyển Đồng Nai. Tạp chí Khoa học Lâm nghiệp, 2023.
[11] Đặng Thịnh Triều (2009), Nghiên cứu khả năng cố định carbon của rừng trồng Thông mã vĩ (Pinus massoniana Lambert) và Thông nhựa (Pinus merkusii Jungh et. de Vriese) làm cơ sở xác định giá trị môi trường rừng theo cơ chế phát triển sạch ở Việt Nam. Luận án Tiến sĩ Khoa học Lâm nghiệp, Viện Khoa học Lâm nghiệp Việt Nam.
[12] UN-REDD Programme (2012). Tree allometric equation development for estimation of forest above ground biomass in Vietnam. Part A-lntroduction and Background of Study
[13] Vũ Tấn Phương, Nguyễn Viết Xuân (2008), Xây dựng mô hình tính toán trữ lượng các-bon rừng trồng Keo lai ở Việt Nam. Tạp chí Nông nghiệp và Phát triển nông thôn, số 8/2008.
[14] Vũ Tấn Phương (2011), Xây dựng mô hình tính toán sinh khối cây cá thể Thông ba lá ở huyện Hoàng Su Phì, tỉnh Hà Giang. Tạp chí Khoa học Lâm nghiệp.
[15] Vũ Tấn Phương, Phạm TT, Trần NMH, Nguyễn TTA, Nguyễn TVA và Tăng TKH. 2023. Thị trường các-bon xanh tại Việt Nam: Tiềm năng và thách thức phát triển trong tương lai. Báo cáo chuyên đề 9. Bogor, Indonesia: Tổ chức Nghiên cứu Lâm nghiệp Quốc tế (CIFOR); Nairobi, Kenya: Tổ chức Nông Lâm Thế Giới (ICRAF).
[16] VFCS (2022). Tài liệu tham khảo: Hướng dẫn kỹ thuật điều tra, đánh giá, trữ lượng, năng suất, chất lượng rừng trồng cho các chủ rừng nhỏ.
[17] Cục Kiểm lâm (2024). Sổ tay hướng dẫn kỹ thuật điều tra rừng Quyết định số 145/QĐ-KL-CĐS ngày 18 tháng 6 năm 2024.
[18] Cục Kiểm lâm (2024). Sổ tay hướng dẫn kỹ thuật xác định sinh khối và trữ lượng các-bon rừng ngập mặn, theo Quyết định số 316/QĐ-LN-SXLN ngày 29 tháng 10 năm 2024.
Bạn chưa Đăng nhập thành viên.
Đây là tiện ích dành cho tài khoản thành viên. Vui lòng Đăng nhập để xem chi tiết. Nếu chưa có tài khoản, vui lòng Đăng ký tại đây!
