- Tổng quan
- Nội dung
- Tiêu chuẩn liên quan
- Lược đồ
- Tải về
Tiêu chuẩn quốc gia TCVN 14204-1:2024 Phương pháp điều tra trữ lượng rừng trên cạn - Phần 1 - Rừng trồng
| Số hiệu: | TCVN 14204-1:2024 | Loại văn bản: | Tiêu chuẩn Việt Nam |
| Cơ quan ban hành: | Bộ Khoa học và Công nghệ | Lĩnh vực: | Tài nguyên-Môi trường , Nông nghiệp-Lâm nghiệp |
| Trích yếu: | Phương pháp điều tra trữ lượng rừng trên cạn - Phần 1 - Rừng trồng | ||
|
Ngày ban hành:
Ngày ban hành là ngày, tháng, năm văn bản được thông qua hoặc ký ban hành.
|
13/11/2024 |
Hiệu lực:
|
Đã biết
|
| Người ký: | Đang cập nhật |
Tình trạng hiệu lực:
Cho biết trạng thái hiệu lực của văn bản đang tra cứu: Chưa áp dụng, Còn hiệu lực, Hết hiệu lực, Hết hiệu lực 1 phần; Đã sửa đổi, Đính chính hay Không còn phù hợp,...
|
Đã biết
|
TÓM TẮT TIÊU CHUẨN VIỆT NAM TCVN 14204-1:2024
TCVN 14204-1:2024: Quy định quan trọng về phương pháp điều tra trữ lượng rừng trồng
TCVN 14204-1:2024 được ban hành nhằm quy định phương pháp điều tra trữ lượng rừng gỗ và tre nứa trồng trên cạn. Tiêu chuẩn này được Trường Đại học Lâm nghiệp biên soạn và công bố bởi Bộ Khoa học và Công nghệ. Tiêu chuẩn có hiệu lực từ ngày ban hành và là phần đầu tiên trong bộ tiêu chuẩn liên quan đến điều tra trữ lượng rừng, bao gồm cả rừng tự nhiên trong phần tiếp theo.
Tiêu chuẩn quy định phạm vi áp dụng trong phương pháp điều tra trữ lượng cho rừng trồng. Các tài liệu viện dẫn như TCVN 11565:2016 và các tiêu chuẩn liên quan được nêu rõ và cần thiết cho quá trình áp dụng tiêu chuẩn này. Đặc biệt, một số thuật ngữ và định nghĩa quan trọng như "Đường kính ngang ngực", "Trữ lượng rừng", và "Ô tiêu chuẩn" được cung cấp để làm rõ nội dung.
Một trong những điểm quan trọng của tiêu chuẩn này là các chỉ tiêu điều tra và yêu cầu. Tỷ lệ diện tích được phép rút mẫu để điều tra từ 0,01% đến 0,05%, với hình dạng và kích thước của ô tiêu chuẩn phải được xác định cụ thể để đảm bảo độ chính xác trong điều tra. Những quy định này hướng tới việc tạo ra các số liệu chính xác và nhất quán về trữ lượng rừng.
Phương pháp điều tra trữ lượng rừng trồng được cụ thể hóa thành từng bước từ việc thiết lập ô tiêu chuẩn cho tới việc đo đạc các chỉ tiêu của cây như đường kính ngang ngực và chiều cao vút ngọn. Các phương pháp cụ thể như sử dụng bản đồ theo dõi diễn biến rừng và thiết bị đo chuyên dụng cũng được chỉ rõ, giúp cho việc điều tra trở nên hợp lý và khoa học hơn.
Tiêu chuẩn cũng quy định rõ ràng về quy trình xử lý số liệu, để từ đó xác định trữ lượng rừng trồng thông qua các công thức toán học cụ thể. Điều này không chỉ đảm bảo tính chính xác mà còn tạo ra cơ sở để so sánh và đánh giá giữa các lô rừng khác nhau. Quy trình này bao gồm cả việc điều tra rừng bằng phương pháp ô tiêu chuẩn và giải đoán ảnh vệ tinh.
Cuối cùng, yêu cầu về việc báo cáo kết quả điều tra là một phần thiết yếu trong tiêu chuẩn này. Báo cáo cần cung cấp chi tiết về mục tiêu nghiên cứu, phương pháp và kết quả nghiên cứu, giúp các bên liên quan có cái nhìn tổng quan và cụ thể về trữ lượng rừng trồng.
Ngày ban hành và hiệu lực
- TCVN 14204-1:2024 được ban hành chính thức vào năm 2024.
- Tiêu chuẩn này có hiệu lực từ ngày công bố và áp dụng cho các cá nhân, tổ chức liên quan đến quản lý rừng trồng trên toàn quốc.
Tải tiêu chuẩn Việt Nam TCVN 14204-1:2024
TIÊU CHUẨN QUỐC GIA
TCVN 14204-1:2024
PHƯƠNG PHÁP ĐIỀU TRA TRỮ LƯỢNG RỪNG TRÊN CẠN - PHẦN 1 - RỪNG TRỒNG
Terrestrial forest volume measurement method- Part 1: Plantation
Lời nói đầu
TCVN 14204:2024 do Trường Đại học Lâm nghiệp biên soạn, Bộ Nông nghiệp và Phát triển Nông thôn đề nghị, Ủy ban Tiêu chuẩn Đo lường Chất lượng Quốc gia thẩm định, Bộ Khoa học và Công nghệ công bố.
Bộ tiêu chuẩn TCVN 14204:2024 “Phương pháp điều tra trữ lượng rừng trên cạn" gồm các phần sau:
- TCVN 14204-1:2024, Phần 1: Rừng trồng
- TCVN 14204-2:2024, Phần 2: Rừng tự nhiên
PHƯƠNG PHÁP ĐIỀU TRA TRỮ LƯỢNG RỪNG TRÊN CẠN - PHẦN 1 - RỪNG TRỒNG
Terrestrial forest volume measurement method- Part 1: Plantation
1 Phạm vi áp dụng
Tiêu chuẩn này quy định phương pháp điều tra trữ lượng rừng gỗ và tre nứa trồng trên cạn.
2 Tài liệu viện dẫn
Các tài liệu viện dẫn sau đây là cần thiết để áp dụng tiêu chuẩn này. Đối với các tài liệu viện dẫn ghi năm công bố thì áp dụng bản được nêu. Đối với các tài liệu viện dẫn không ghi năm công bố thì áp dụng phiên bản mới nhất, bao gồm cả các sửa đổi, bổ sung (nếu có).
TCVN 11565:2016, Bản đồ hiện trạng rừng - Quy định về trình bày và thể hiện nội dung;
TCVN 12509-1:2018, Rừng trồng - Rừng sau thời gian kiến thiết cơ bản - Phần 1: Nhóm loài cây sinh trưởng nhanh;
TCVN 12509-2:2018, Rừng trồng - Rừng sau thời gian kiến thiết cơ bản - Phần 2: Nhóm loài cây sinh trưởng chậm;
TCVN 13353:2021, Mẫu khóa ảnh vệ tinh phục vụ xây dựng bản đồ hiện trạng rừng - Yêu cầu kỹ thuật;
TCVN 13458:2021, Phương pháp xác định diện tích rừng bị thiệt hại;
TCVN 13703:2023, Rừng trồng - Phương pháp xác định các chỉ tiêu nghiệm thu trồng rừng.
3 Thuật ngữ và định nghĩa
Trong tiêu chuẩn này sử dụng các thuật ngữ và định nghĩa được nêu trong TCVN 11565:2016, TCVN 12509-1:2018,TCVN 12509-2:2018, TCVN 13353:2021, TCVN 13458:2021, TCVN 13703:2023 và các thuật ngữ và định nghĩa sau:
3.1
Cấp tuổi (Age class)
Khoảng thời gian trung bình được tính bằng năm mà một loài cây trồng thể hiện các giá trị sinh trưởng có sự khác biệt.
3.2
Chiều cao vút ngọn (Total height)
Chiều cao cây đứng từ mặt đất ở vị trí gốc cây đến đỉnh sinh trưởng của thân chính.
3.3
Đường kính ngang ngực (Diameter at the breast height)
Đường kính thân cây được đo ở vị trí 1,3 m tính từ mặt đất tại vị trí gốc cây. Đối với cây có bạnh vè cao hơn 1,3 m, đường kính ngang ngực được xác định tại vị trí phía trên điểm kết thúc bạnh vè 10,0 cm
3.4
Hình số thân cây (Form factor)
Tỷ số giữa thể tích thân cây với thể tích một hình viên trụ có chiều cao bằng chiều dài thân cây, có đường kính bằng đường kính thân cây ở vị trí ngang ngực (hình số thường, f1,3) hoặc bằng đường kính thân cây ờ vị trí 1/10 tính từ gốc trên thân cây (hình số tự nhiên, f01).
3.5
Cây tiêu chuẩn (Standard tree)
Cây mang giá trị sinh trưởng hoặc phẩm chất đại diện cho ô tiêu chuẩn hoặc lâm phần.
3.6
Rừng trồng (Plantation)
Rừng được hình thành do con người trồng mới trên đất chưa có rừng; cải tạo rừng tự nhiên; trồng lại hoặc tái sinh sau khi khai thác rừng trồng.
3.7
Rừng trồng thuần loài (Pure forest plantation)
Rừng trồng một hoặc nhiều loài cây nhưng có một loài có số lượng cây lớn hơn 75 % tổng số cây trồng trong lâm phần.
3.8
Rừng trồng hỗn loài (Mixed forest plantation)
Rừng trồng từ hai loài cây trở lên, trong đó không có loài nào có số lượng cây lớn hơn 75 % tổng số cây trong lâm phần.
3.9
Tiết diện ngang (Basal area at the breast height)
Diện tích tiết diện ngang thân cây tại vị trí đường kính ngang ngực.
3.10
Trữ lượng rừng (Forest volume)
Tổng thể tích gỗ của tất cả cây gỗ hoặc số lượng cây tre nứa của tất cả các cây tre nứa trong rừng. Đối với cây gỗ được tính theo đơn vị m3/ha và/hoặc đối với tre nứa được tính theo số cây/ha.
3.11
Giá trị phổ (Spectral value)
Giá trị trên ảnh vệ tinh thể hiện sự phản xạ bề mặt trái đất tại các dải sóng khác nhau.
3.12
Lô rừng (Forest plot)
Đơn vị cơ sở để theo dõi diễn biến rừng, được tập hợp theo khoảnh, tiễu khu rừng đối với từng chủ rừng và tổng hợp trên địa bàn cấp xã, huyện, tỉnh, quốc gia.
4 Các chỉ tiêu điều tra và yêu cầu
Một số chỉ tiêu điều tra và yêu cầu điều tra trữ lượng rừng được quy định tại Bảng 1.
Bảng 1 - Các chỉ tiêu điều tra và yêu cầu
| Chỉ tiêu | Yêu cầu |
| 1. Tỷ lệ diện tích rút mẫu, hình dạng và kích thước ô tiêu chuẩn | - Tỷ lệ diện tích rút mẫu điều tra từ 0,01% đến 0,05%; - Ô tiêu chuẩn điều tra có dạng hình chữ nhật, hình vuông hoặc hình tròn; - Diện tích ô tiêu chuẩn từ 100 m2 đến 500 m2 (Xem 5.1.1) |
| 2. Đường kính ngang ngực (cm) | Đo đếm trực tiếp (Với rừng trồng các loài cây gỗ xem 5.1.5.2; rừng trồng các loài tre nứa xem 5.1.5.3) |
| 3. Chiều cao vút ngọn (m) | Đo đếm trực tiếp (Với rừng trồng các loài cây gỗ xem 5.1.5.2; rừng trồng các loài tre nứa xem 5.1.5.3) |
5 Phương pháp điều tra trữ lượng rừng trồng
5.1 Điều tra trữ lượng rừng bằng phương pháp ô tiêu chuẩn
5.1.1 Phương pháp rút mẫu, hình dạng và diện tích ô tiêu chuẩn
- Phương pháp rút mẫu: Áp dụng phương pháp rút mẫu điển hình theo từng trạng thái rừng (loài cây, cấp tuổi). Tỷ lệ diện tích rút mẫu điều tra từ 0,01 % đến 0,05% đảm bảo tối thiểu 05 ô tiêu chuẩn với trạng thái rừng có diện tích ≤ 100ha, tối thiểu 10 ô tiêu chuẩn với trạng thái rừng có diện tích > 100ha.
- Hình dạng và diện tích ô tiêu chuẩn: ô tiêu chuẩn có dạng hình chữ nhật, hình vuông hoặc hình tròn. Đối với rừng trồng cây gỗ, ô tiêu chuẩn điều tra có diện tích 500 m2. Đối với rừng trồng các loài tre nứa mọc bụi, ô tiêu chuẩn có diện tích 500 m2; đối với loài mọc tản, ô tiêu chuẩn có diện tích 100 m2 và phải đảm bảo số cây trồng tối thiểu 30 cây.
5.1.2 Thiết kế ô tiêu chuẩn
- Xác định số lượng ô tiêu chuẩn theo công thức (1)
|
| (1) |
trong đó:
- Notc (ô) là số lượng ô tiêu chuẩn;
- Srm (m2) là diện tích rút mẫu, tính bằng m2;
- Sotc (m2) là diện tích một ô tiêu chuẩn, tính bằng m2.
- Phương pháp bố trí ô tiêu chuẩn: ô tiêu chuẩn điều tra phải phân bố đều theo từng trạng thái rừng trồng (loài cây, cấp tuổi).
- Sử dụng bản đồ theo dõi diễn biến rừng để thiết kế ô tiêu chuẩn điều tra.
- Vị trí ô tiêu chuẩn cho một trạng thái rừng được xác định ngẫu nhiên trên trạng thái rừng cần điều tra.
- Tọa độ cụ thể của từng ô tiêu chuẩn được xuất trực tiếp từ bản đồ trên máy tính và chuyển vào máy định vị GPS, làm cơ sở cho việc xác định vị trí ngoài thực địa.
- Xác định vị trí ô tiêu chuẩn ngoài thực địa: Sử dụng bản đồ theo dõi diễn biến rừng kết hợp với máy định vị GPS tiếp cận lô rừng trồng và xác định vị trí lô rừng cần điều tra và vị trí của ô tiêu chuẩn trong từng lô rừng ngoài thực địa. Trường hợp vị trí ô tiêu chuẩn vào vị trí có chướng ngại vật (đá lộ đầu, các dòng sông, suối, hồ, đường giao thông...) thì được phép dịch chuyển tâm ô tiêu chuẩn đến vị trí thuận lợi hơn, nhưng bán kính không được vượt quá 50 m tính từ tâm ô theo thiết kế.
5.1.3 Thiết lập ô tiêu chuẩn
Đối với các ô tiêu chuẩn hình chữ nhật, hình vuông chiều dài ô được lập song song với đường đồng mức, chiều rộng ô vuông góc với đường đồng mức. Đối với các ô tiêu chuẩn hình tròn, căn cứ tọa độ và bán kính của ô, sử dụng la bàn, địa bàn cầm tay hoặc Suunto,...kết hợp với thước dây, cọc tiêu để xác định ranh giới ô.
Trường hợp ô tiêu chuẩn được lập trên địa hlnh có độ dốc lớn hoặc bằng 5° cần hiệu chỉnh độ dài cạnh (trường hợp ô tiêu chuẩn hình chữ nhật, hình vuông tham khảo phụ lục E) hoặc hiệu chỉnh bán kính (trường hợp ô tiêu chuẩn hình tròn) theo độ dốc để đảm bảo đủ diện tích điều tra theo quy định.
5.1.4 Thu thập các thông tin chung
- Số hiệu ô tiêu chuẩn được đánh số bằng chữ số Ả rập theo thứ tự từ I đến hết;
- Các thông tin về tỉnh, huyện, xã, tiểu khu, khoảnh, lô được xác định trên bản đồ hiện trạng rừng;
- Thông tin chung về lô rừng: Loài cây, năm trồng, nguồn giống, kỹ thuật trồng, chăm sóc được xác định căn cứ hồ sơ rừng trồng;
- Độ dốc, hướng dốc được xác định bằng la bàn, địa bàn cầm tay hoặc bằng các phần mềm, công cụ hỗ trợ khác;
- Độ cao so với mực nước biển được xác định bằng GPS hoặc bằng các phần mềm, công cụ hỗ trợ khác.
5.1.5 Điều tra trong ô tiêu chuẩn
5.1.5.1 Xác định tên loài cây
- Xác định tên phổ thông, tên khoa học và tên địa phương (nếu có) của tất cả những cây có đường kính ngang ngực lớn hơn hoặc bằng 6,0 cm đối với loài cây gỗ, đối với loài tre nứa xác định tên loài cây của tất cả những cây có đường kính ngang ngực lớn hơn hoặc bằng 2,0 cm bằng phương pháp chuyên gia.
- Đối với những loài chưa xác định được tên ngoài thực địa, ghi ký hiệu Sp1, Sp2, Sp3...Spn và tiến hành thu thập mẫu để xác định tên cây.
5.1.5.2 Điều tra ô tiêu chuẩn rừng trồng cây gỗ
- Đo đường kính ngang ngực: sử dụng thước dây hoặc thước kẹp kính đo đường kính ngang ngực của tất cả các cây trồng trong ô tiêu chuẩn, độ chính xác đến 0,1 cm. Với những cây gỗ có đặc điểm khác biệt tại vị trí đường kính ngang ngực, vị trí đo được xác định tham khảo Phụ lục A.
- Đo chiều cao vút ngọn: Sử dụng sào đo cao, sào khắc vạch hoặc thiết bị đo cao chuyên dụng để đo chiều cao vút ngọn của tất cả các cây trong ô tiêu chuẩn, độ chính xác đến 0,1 m. Phương pháp đo chiều cao vút ngọn tham khảo Phụ lục B.
Kết quả điều tra được ghi vào Phiếu điều tra ô tiêu chuẩn rừng trồng cây gỗ tham khảo tại Phụ lục C.
5.1.5.3 Điều tra ô tiêu chuẩn rừng trồng tre nứa
- Đối với loài cây mọc tản, tiến hành điều tra toàn bộ cây trồng trong ô. Với loài cây mọc bụi, tiến hành đếm số bụi; lựa chọn và điều tra 03 bụi điển hình. Chỉ tiêu điều tra là số lượng cây và tổ tuổi của từng cây.
- Đo đường kính ngang ngực: Mỗi loài cây, mỗi tổ tuổi (non, trung bình, già) chọn 03 cây đại diện về đường kính trong ô tiêu chuẩn để đo. Đơn vị đo là cm, độ chính xác đến 0,1 cm. Sử dụng thước dây hoặc thước kẹp kính đo đường kính ngang ngực.
- Đo chiều cao vút ngọn (đến vị trí ngọn có đường kính 0,1 cm) của những cây đã chọn để đo đường kính. Đơn vị đo là mét (m), độ chính xác đến 0,1 m. Sử dụng sào đo cao, sào khắc vạch hoặc thiết bị đo cao chuyên dụng để đo chiều cao vút ngọn.
- Xác định tổ tuổi tre nứa dựa vào đặc điểm hình thái của thân khí sinh
Tổ tuổi I (non): những cây từ 1,0 năm tuổi đến dưới 2,0 năm tuổi, phát triển tương đối đầy đủ cành lá, thân màu xanh thẫm, có lông, chưa có địa y. Trong thân chứa nhiều nước, thân mềm thịt màu trắng, mo nang còn tồn tại trên thân;
Tổ tuổi II (trung bình): những cây từ 2,0 năm tuổi đến 3,0 năm tuổi đối với Nứa, vầu, Lồ ô; Từ 3,0 năm tuổi đến 4,0 năm tuổi đối với Luồng, Diễn, Tre gai. Trên thân không còn mo, cành nhánh phát triển sum xuê, cành nhánh tập trung ở ngọn cây. Thân và cành chính đã già biểu hiện ở màu xanh sẫm pha lẫn màu nâu vàng, xuất hiện địa y loang lổ, có thể có cành phụ cấp 2;
Tổ tuổi III (già): những cây trên 3,0 năm tuổi với Nứa, vầu, Lồ ô; Trên 4,0 năm tuổi đối với Luồng, Diễn, Tre gai. Đặc điểm lá có màu xanh nhạt, thân có màu xanh hơi vàng, hoặc loang lổ trắng xám do địa y phát triển mạnh (70 - 80%), nền xanh của thân gần như biến mất. Ở tổ tuổi này bắt đầu xuất hiện quá trình mục hóa, ngã đổ.
Kết quả điều tra được ghi vào Phiếu điều tra ô tiêu chuẩn rừng trồng các loài tre nứa tham khảo tại Phụ lục D.
5.1.7 Phương pháp xử lý số liệu
5.1.7.1 Xác định trữ lượng rừng trồng cây gỗ
- Thể tích thân cây cá lẻ trong ô tiêu chuẩn có thể được xác định dựa trên các bảng tra chuyên dụng hoặc phương trình tương quan hoặc được tính bằng công thức (2)
|
| (2) |
trong đó:
| Vi (m3) | là thể tích thân cây thứ i, tính bằng m3; |
| D1,3(i) (m) | là đường kính ngang ngực của cây thứ i, tính bằng m; |
| Hvn(i) (m) | là chiều cao vút ngọn của của cây thứ i, tính bằng m |
| f | là hình số của thân cây (đối với loài cây có hình số riêng thì sử dụng hình số cho từng loài, đối với loài cây chưa xác định được hình số thì lấy giá trị là 0,5). |
- Trữ lượng của cây trồng trong ô tiêu chuẩn được tính bằng công thức (3)
|
| (3) |
trong đó:
| Motc (m3) | là trữ lượng rừng trồng trong ô tiêu chuẩn, tính bằng m3 |
| Vi | là tổng thể tích của tất cả các cây trong ô tiêu chuẩn, tính bằng m3 |
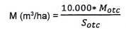
- Trữ lượng của lâm phần được xác định theo công thức (4)
|
| (4) |
trong đó:
| M (m3/ha) | là trữ lượng của lâm phần, tính bằng m3/ha |
| Motc (m3) | là trữ lượng của ô tiêu chuẩn, tính bằng m3 |
| Sotc (m2) | là diện tích ô tiêu chuẩn điều tra, tính bằng m2 |
5.1.7.2 Xác định trữ lượng rừng trồng các loài tre nứa
5.1.7.2.1 Số cây tre nứa mọc tản được xác định theo công thức (5)
|
| (5) |
trong đó:
| N (cây/ha) | là tổng số cây của rừng trồng tre nứa, tính bằng cây/ha; |
| Notc (cây/otc) | là tổng số cây trong ô tiêu chuẩn, tính bằng cây/otc; |
| Sotc (m2) | là diện tích ô tiêu chuẩn điều tra, tính bằng m2 |
5.1.7.2.2 Đối với các loài cây mọc bụi, số cây trung bình trong ô tiêu chuẩn được xác định theo công thức (6)
|
| (6) |
trong đó:
|
| là số cây trung bình của 01 bụi, tính bằng cây/bụi; |
| b (bụi) | là tổng số bụi trong ô tiêu chuẩn, tính bằng bụi |
5.2 Điều tra trữ lượng rừng bằng phương pháp giải đoán ảnh vệ tinh
5.2.1 Xây dựng khóa giải đoán trữ lượng
5.2.1.1 Xác định trữ lượng gỗ trong ô tiêu chuẩn
- Lựa chọn các vị trí thiết lập ô tiêu chuẩn sao cho ô tiêu chuẩn nằm trên một trạng thái rừng và cách ranh đường giới với những trạng thái liền kề tối thiểu 50 m;
- Thiết kế hệ thống ô tiêu chuẩn ngoài thực địa phải quan tâm đến các nội dung sau: 1) Diện tích của khu vực cần xác định trữ lượng rừng; 2) Diện tích cần phải thu thập mẫu; 3) Diện tích của ô tiêu chuẩn đo đếm tại thực địa; 4) Sự phân bố của các ô tiêu chuẩn trên đối tượng điều tra.
- Số lượng ô mẫu dùng để xác định trữ lượng rừng cho một trạng thái rừng hoặc một loài cây trồng tối thiểu là 20 ô mẫu/cảnh ảnh.
5.2.1.2 Điều tra trong ô tiêu chuẩn
Phương pháp điều tra trong ô tiêu chuẩn theo 5.1.5.
5.2.1.3 Xác định trữ lượng rừng gỗ và tre nứa trong ô tiêu chuẩn
Phương pháp xác định trữ lượng gỗ và tre nứa trong ô tiêu chuẩn theo 5.1.7.1 và 5.1.7.2.
5.2.1.4 Lập mẫu khóa ảnh xác định trữ lượng gỗ
Lập mẫu khóa ảnh xác định trữ lượng gỗ theo TCVN 13353: 2021
5.2.2 Xác định trữ lượng bình quân cho một lô rừng
- Sử dụng khoá giải đoán trữ lượng để xác định trữ lượng theo các giá trị phổ cho từng lô trạng thái rừng đã phân chia;
- Sử dụng phần mềm chuyên dụng để phân chia các lô rừng dựa trên các giá trị phổ (tham khảo tại phụ lục F), khóa giải đoán trữ lượng;
- Trữ lượng của mỗi lô rừng được xác định qua trữ lượng bình quân trên ha và diện tích lô;
- Kiểm tra ngoài hiện trường để xác định độ chính xác của công tác giải đoán trữ lượng. Tỷ lệ kiểm tra tối thiểu 5,0 % hoặc 20 mẫu cho một loài cây;
- Hiệu chỉnh khóa giải đoán ảnh theo kết quả kiểm tra ngoài hiện trường;
- Xác định trữ lượng rừng từ khoá giải đoán đã hiệu chỉnh;
- Tiến hành giải đoán lại nếu độ chính xác về xác định trữ lượng dưới 90 %.
5.2.3 Tổng hợp trữ lượng rừng
5.2.3.1 Xác định trữ lượng gỗ
Tổng trữ lượng gỗ của một lô rừng được xác định bằng công thức (7)
|
| (7) |
trong đó:
|
| là trữ lượng bình quân của một hecta rừng, tính bằng m3/ha; |
| Slo (ha) | là diện tích lô rừng, tính bằng ha. |
5.2.3.2 Trữ lượng tre nứa
Trữ lượng tre nứa của lô rừng được tính theo công thức (8)
| Nilo = Nit * Silo | (8) |
trong đó:
| Nilo (cây) | là trữ lượng lô rừng trong trạng thái i tính bằng cây; |
| Nit (cây/ha) | là số cây bình quân/ha của trạng thái rừng i, tính bằng cây/ha; |
| Silo (ha) | là diện tích của lô rừng trong trạng thái i, tính bằng ha. |
6 Báo cáo điều tra trữ lượng rừng
Báo cáo kết quả điều tra trữ lượng rừng trồng trên cạn bao gồm (nhưng không giới hạn) các phần sau:
Phần 1. Đặt vấn đề
Phần 2. Mục tiêu, nội dung, phương pháp nghiên cứu
2.1 Mục tiêu
2.2 Nội dung
2.3 Địa điểm và giới hạn nghiên cứu
2.4 Phương pháp
2.4.1 Phương pháp ngoại nghiệp
2.4.2 Phương pháp xử lý số liệu
Phần 3. Kết quả nghiên cứu
Phần 4. Kết luận, tồn tại, kiến nghị
4.1 Kết luận
4.2 Tồn tại
4.3 Kiến nghị Phụ lục
Tài liệu tham khảo
Phụ lục A
(Tham khảo)
Xác định vị trí đo đường kính ngang ngực đối với cây cá biệt

Phụ lục B
(Tham khảo)
Hướng dẫn đo chiều cao
1. Đo chiều cao bằng thước đo cao Blumeleiss
a Cấu tạo
Thước Blumeleiss gồm các bộ phận: ống ngắm, kim chỉ kết quả đo cao, nút hãm, mở kim, hệ thống thang chia ghi chiều cao ứng với các cự li ngang khác nhau và 1 thang chia độ dốc.
b Phương pháp đo
- Đứng cách gốc cây 1 khoảng cách ứng với cự ly ngang đã ghi trên thước là 15 m, 20 m, 30 m
- Ngắm vào điểm đầu tiên cần đo (ngọn cây), mở nút hãm kim cho kim dao động tự do.
- Đợi kim hết dao động bấm nút hãm kim và đọc kết quả trên vạch tương ứng được h1.
- Bấm nút hãm kim và ngắm vào điểm thứ 2 (gốc cây), mở nút hãm kim cho kim dao động tự do.
- Đợi kim hết dao động bấm nút hãm kim và đọc kết quả được h2.
Tính chiều cao cây: h = h1 ± h2. Lấy dấu (+) khi kim chỉ về 2 phía của vạch số 0, dấu (-) khi kim chỉ về cùng 1 phía của vạch số 0.
Nếu khoảng cách từ người đứng đo đến gốc cây chưa cài bằng phải xác định góc nghiêng θ°. Khi đó chiều cao thực của cây được xác định bằng công thức h’ = h - hsin2θ.

Hình B.1. Đo chiều cao vút ngọn của cây bằng thước đo cao Blume-ieiss
2. Đo chiều cao bằng thước đo cao Vertex
a Cấu tạo
Thước Vertex gồm hai thành phần chính là thước đo cao và bộ phát tín hiệu. Trên thước đo cao có các phím mở/tắt (on/off), phím điều chỉnh, ống ngắm, màn hình hiển thị số liệu,
b Phương pháp đo
- Bấm vào phím ON trên thước đo cao để mở máy, chờ khoảng 5 min đến 10 min để máy tự điều chỉnh các thông số về nhiệt độ.
- Khởi động bộ phát tín hiệu: Nhấn và giữ phím DME cho đến khi bộ phát tín hiệu kêu 2 tiếng và khởi động thì dừng.
- Gắn bộ phát tín hiệu vào thân cây tại vị trí 1,3 m.
- Đứng cách gốc cây một khoảng cách bất kỳ sao cho có thể nhìn thấy bộ phát tín hiệu và ngọn cây. Khoảng cách tốt nhất để đo chiều cao nên từ 15 m đến 30 m.
- Nhấn và giữ phím DME và ngắm thước vào bộ phát tín hiệu, chờ đến khi bộ phát tín hiệu phát ra tiếng kêu và trong ống ngắm xuất hiện chữ thập màu đỏ nhấp nháy. Lúc này, Vertex đã đo lường khoảng cách, góc và khoảng cách ngang từ điểm đứng đến bộ phát tín hiệu.
- Ngắm vào độ cao cần đo (ngọn cây) với chữ thập nhấp nháy, nhất và giữ phím DME cho đến khi hình chữ thập biển mất. Lúc này chiều cao cây đã được đo và màn hình hiển thị thông số. Trường hợp cần đo lại cho chính xác thì ngắm tiếp vào vị trí cần đo, nhấn và giữ phím DME lần nữa cho đến khi hình chữ thập tiếp tục biến mất và màn hình hiển thị thông số.
- Tắt bộ phát tín hiệu sau khi sử dụng: Nhấn và giữ phím DME cho đến khi bộ phát tín hiệu kêu 4 tiếng và tắt thì dừng.
- Tắt thước đo cao sau khi sử dụng: Nhấn đồng thời phím DME và phím IR cho đến khi màn hình chính của thước tắt thì dừng.

Hình B.2. Đo chiều cao vút ngọn của cây bằng thước đo cao Vertex
3. Đo chiều cao bằng sào đo cao (hoặc sào có khắc vạch)
a Cấu tạo
Sào đo cao là một sào có chiều dài 5,0 m đến 12,0 m, có khả năng thu gọn vào từ 1,0 m đến 1,5 m (tùy vào từng loại sào). Bên trên thân sào có khắc các vạch cách nhau 10,0 cm.
Trường hợp không có sào đo cao thì có thể sử dụng sào tre có khắc các vạch. Sào tre phải đảm bảo thẳng, chính xác khi sử dụng.
b Phương pháp đo
- Một người cầm sào đứng ngay gốc cây cần đo. Lưu ý sào đo cao phải song song với cây cần đo.
- Người ở ngoài đọc giá trị chiều cao ghi trên sào.
- Trường hợp sào đo cao thấp hơn chiều cao vút ngọn của thân cây thì người cầm sào có thể dùng tay giơ sào lên. Người đọc giá trị chiều cao ghi trên sào căn cứ vào chiều dài của sào và chiều cao của vị trí giơ sào để xác định chiều cao vút ngọn tương ứng.
Phụ lục C
(Tham khảo)
Phiếu điều tra ô tiêu chuẩn rừng trồng cây gỗ
Số hiệu ô tiêu chuẩn: .................................... Diện tích OTC (m2): ..............................................
Vị trí hành chính: Xã: .................................... Huyện ........................Tỉnh ....................................
Vị trí quản lý: Lô .................................... Khoảnh .................. Tiểu khu ........................................
Tọa độ OTC: X .................................... Y: .............................. Hệ tọa độ: ....................................
Độ cao so với mực nước biển (m) .................................... Độ dốc bình quân (độ) ......................
Loài cây: .................................... Tháng, năm trồng: ....................................................................
Mật độ khi trồng (cây/ha) .................................... Cự ly trồng: .....................................................
| Thứ tự cây | Tên loài cây | Đường kính (D1.3, cm) / Chu vi (C1.3, cm) | Chiều cao vút ngọn (Hvn, m) | Ghi chú |
| 1 |
|
|
|
|
| 2 |
|
|
|
|
| 3 |
|
|
|
|
| 4 |
|
|
|
|
| ... |
|
|
|
|
| ... |
|
|
|
|
| ... |
|
|
|
|
| ... |
|
|
|
|
| ... |
|
|
|
|
| ... |
|
|
|
|
| ... |
|
|
|
|
| ... |
|
|
|
|
| Người điều tra | Thời gian điều tra |
Phụ lục D
(Tham khảo)
Phiếu điều tra ô tiêu chuẩn rừng trồng tre nứa
Số hiệu ô tiêu chuẩn: .................................... Diện tích OTC (m2): ..............................................
Vị trí hành chính: Xã: .................................... Huyện ........................Tỉnh ....................................
Vị trí quản lý: Lô .................................... Khoảnh .................. Tiểu khu ........................................
Tọa độ OTC: X .................................... Y: .............................. Hệ tọa độ: ....................................
Độ cao so với mực nước biển (m) .................................... Độ dốc bình quân (độ) ......................
Loài cây: .................................... Tháng, năm trồng: ....................................................................
Mật độ khi trồng (cây/ha) .................................... Cự ly trồng: .....................................................
| TT bụi | Thứ tự cây | Tên loài cây | Tổ tuổi | Đường kín ngang ngực D1.3 (cm) | Chiều cao vút ngọn | Ghi chú |
|
| 1 |
|
|
|
|
|
|
| 2 |
|
|
|
|
|
|
| 3 |
|
|
|
|
|
|
| 4 |
|
|
|
|
|
|
| ... |
|
|
|
|
|
|
| ... |
|
|
|
|
|
|
| ... |
|
|
|
|
|
|
| ... |
|
|
|
|
|
|
| ... |
|
|
|
|
|
GHI CHÚ: Với loài mọc tản không có TT bụi
| Người điều tra | Thời gian điều tra |
Phụ lục E
(Tham khảo)
Bảng hiệu chỉnh độ dài cạnh ô tiêu chuẩn theo độ dốc
| Độ dốc (độ) | Cos (a) | Chiều rộng OTC tương ứng với cạnh 10m | Chiều rộng OTC tương ứng với cạnh 20m | Chiều rộng OTC tương ứng với cạnh 30m |
| 2 | 1,00 | 10,0 | 20,0 | 30,0 |
| 4 | 1,00 | 10,0 | 20,0 | 30,1 |
| 6 | 0,99 | 10,1 | 20,1 | 30,2 |
| 8 | 0,99 | 10,1 | 20,2 | 30,3 |
| 10 | 0,98 | 10,2 | 20,3 | 30,5 |
| 12 | 0,98 | 10,2 | 20,4 | 30,7 |
| 14 | 0,97 | 10,3 | 20,6 | 30,9 |
| 16 | 0,96 | 10,4 | 20,8 | 31,2 |
| 18 | 0,95 | 10,5 | 21,0 | 31,5 |
| 20 | 0,94 | 10,6 | 21,3 | 31,9 |
| 22 | 0,93 | 10,8 | 21,6 | 32,4 |
| 24 | 0,91 | 10,9 | 21,9 | 32,8 |
| 26 | 0,90 | 11,1 | 22,3 | 33,4 |
| 28 | 0,88 | 11,3 | 22,7 | 34,0 |
| 30 | 0,87 | 11,5 | 23,1 | 34,6 |
| 32 | 0,85 | 11,8 | 23,6 | 35,4 |
| 34 | 0,83 | 12,1 | 24,1 | 36,2 |
| 36 | 0,81 | 12,4 | 24,7 | 37,1 |
| 38 | 0,79 | 12,7 | 25,4 | 38,1 |
| 40 | 0,77 | 13,1 | 26,1 | 39,2 |
| 42 | 0,74 | 13,5 | 26,9 | 40,4 |
| 44 | 0,72 | 13,9 | 27,8 | 41,7 |
| 46 | 0,69 | 14,4 | 28,8 | 43,2 |
| 48 | 0,67 | 14,9 | 29,9 | 44,8 |
| 50 | 0,64 | 15,6 | 31,1 | 46,7 |
Phụ lục F
(Tham khảo)
Một số chỉ số lớp phủ thực vật được sử dụng phổ biến
Chỉ số thực vật
NDVI = (NIR - RED)/(NIR+RED)
Trong đó: NIR là kênh cận hồng ngoại
RED là kênh đỏ của ảnh.
Chỉ số tỷ số thực vật:
RVI = NIR/RED
Tổng giá trị cấp độ xám:
TRRI = (DN1+DN2....+DNn)/(n*255)
Trong đó: DN1, DN2...DNn là giá trị cấp độ xám của từng kênh của ảnh vệ tinh.
Chỉ số thực vật sai khác:
DVI =NIR - RED
Chỉ số màu xanh thực vật:
GVI =1.6225NIR - 2.2978RED + 11.0656
Chỉ số lớp thực vật tăng cường:
EVI= 2.5* (NIR-RED)/(NIR+6*RED-7,5*BLUE+1)
Giá trị phổ các kênh ảnh gốc: K1; K2; K3; K4...
Sai tiêu chuẩn của từng kênh ảnh: Std_k1; Std_k2...
Chỉ số phân mùa của thực vật:
SD=(|NDVI1-NDVI2|)/(NDVI1+NDVI2)
Trong đó NDVI1 và NDVI2 là chỉ số thực vật xác định được vào các thời kỳ đầu và cuối mùa sinh trưởng của thực vật ở địa phương.
Thư mục tài liệu tham khảo
[1] Luật Lâm nghiệp năm 2017;
[2] Thông tư số 33/2018/TT-BNNPTNT ngày 16/11/2018 của Bộ Nông nghiệp và Phát triển nông thôn về điều tra, kiểm kê và theo dõi diễn biến rừng;
[3] Quyết định số 689/QĐ-TCLN-KL ngày 23/12/2013 của Tổng cục Lâm nghiệp, Bộ Nông nghiệp và Phát triển nông thôn Ban hành tạm thời bộ tài liệu tập huấn hướng dẫn điều tra, kiểm kê rừng;
[4] Hệ thống chứng chỉ rừng Quốc gia-VFCS (2022), Hướng dẫn kỹ thuật điều tra, đánh giá trữ lượng rừng tự nhiên cho các chủ rừng nhỏ;
[5] Bộ Nông nghiệp và Phát triển nông thôn (2004), Cẩm nang ngành Lâm nghiệp, Chương: Công tác điều tra rừng ở Việt Nam, NXB Giao thông vận tải, Hà Nội;
[6] Vũ Tiến Hinh (2012), Giáo trình điều tra rừng, Trường Đại học Lâm nghiệp, Nhà xuất bản Nông nghiệp, Hà Nội;
[7] Quyết định số 145/QĐ-KL-CĐS ngày 18 tháng 6 năm 2024 của Cục Kiểm lâm, Bộ Nông nghiệp và Phát triển nông thôn ban hành Sổ tay hướng dẫn kỹ thuật điều tra rừng.
Bạn chưa Đăng nhập thành viên.
Đây là tiện ích dành cho tài khoản thành viên. Vui lòng Đăng nhập để xem chi tiết. Nếu chưa có tài khoản, vui lòng Đăng ký tại đây!