- Tổng quan
- Nội dung
- VB gốc
- Tiếng Anh
- Hiệu lực
- VB liên quan
- Lược đồ
-
Nội dung hợp nhất
Tính năng này chỉ có tại LuatVietnam.vn. Nội dung hợp nhất tổng hợp lại tất cả các quy định còn hiệu lực của văn bản gốc và các văn bản sửa đổi, bổ sung, đính chính... trên một trang. Việc hợp nhất văn bản gốc và những văn bản, Thông tư, Nghị định hướng dẫn khác không làm thay đổi thứ tự điều khoản, nội dung.
Khách hàng chỉ cần xem Nội dung hợp nhất là có thể nắm bắt toàn bộ quy định hiện hành đang áp dụng, cho dù văn bản gốc đã qua nhiều lần chỉnh sửa, bổ sung.
- Tải về
Thông tư 29/2016/TT-NHNN thấu chi và cho vay qua đêm trong thanh toán điện tử
| Cơ quan ban hành: | Ngân hàng Nhà nước Việt Nam |
Số công báo:
Số công báo là mã số ấn phẩm được đăng chính thức trên ấn phẩm thông tin của Nhà nước. Mã số này do Chính phủ thống nhất quản lý.
|
Đã biết
|
| Số hiệu: | 29/2016/TT-NHNN | Ngày đăng công báo: |
Đã biết
|
| Loại văn bản: | Thông tư | Người ký: | Nguyễn Thị Hồng |
|
Ngày ban hành:
Ngày ban hành là ngày, tháng, năm văn bản được thông qua hoặc ký ban hành.
|
12/10/2016 |
Ngày hết hiệu lực:
Ngày hết hiệu lực là ngày, tháng, năm văn bản chính thức không còn hiệu lực (áp dụng).
|
Đang cập nhật |
|
Áp dụng:
Ngày áp dụng là ngày, tháng, năm văn bản chính thức có hiệu lực (áp dụng).
|
Đã biết
|
Tình trạng hiệu lực:
Cho biết trạng thái hiệu lực của văn bản đang tra cứu: Chưa áp dụng, Còn hiệu lực, Hết hiệu lực, Hết hiệu lực 1 phần; Đã sửa đổi, Đính chính hay Không còn phù hợp,...
|
Đã biết
|
| Lĩnh vực: | Tài chính-Ngân hàng |
TÓM TẮT THÔNG TƯ 29/2016/TT-NHNN
Có hiệu lực từ ngày 25/03/2017, Thông tư số 29/2016/TT-NHNN ngày 12/10/2016 của Ngân hàng Nhà nước Việt Nam quy định về việc thấu chi và cho vay qua đêm trong thanh toán điện tử liên ngân hàng, cho phép tổ chức tín dụng được chi vượt số dư có trên tài khoản thanh toán bằng đồng Việt Nam mở tại Sở Giao dịch Ngân hàng Nhà nước (thấu chi) để bù đắp thiếu hụt vốn trong thanh toán điện tử liên ngân hàng.
Bên cạnh đó, tổ chức tín dụng cũng sẽ được Ngân hàng Nhà nước cho vay có bảo đảm bằng cầm cố giấy tờ có giá trong khoảng thời gian tính từ cuối ngày làm việc hôm trước đến ngày làm việc liền kề tiếp theo (cho vay qua đêm) để tất toán khoản thấu chi tại thời điểm cuối ngày làm việc.
Giấy tờ có giá được sử dụng trong giao dịch thấu chi và cho vay qua đêm trong thanh toán điện tử liên ngân hàng phải đủ điều kiện lưu ký theo quy định; có thể chuyển nhượng; được phát hành bằng đồng Việt Nam; có thời hạn còn lại tối thiểu là 30 ngày và thuộc Danh mục các loại giấy tờ có giá được sử dụng trong giao dịch thấu chi và cho vay qua đêm trong thanh toán điện tử liên ngân hàng.
Lãi suất cho vay qua đêm do Thống đốc Ngân hàng Nhà nước quyết định trong từng thời kỳ; lãi suất với dư nợ gốc vay qua đêm quá hạn bằng 150% lãi suất cho vay qua đêm; lãi suất áp dụng với lãi vay qua đêm chậm trả là 10%/năm.
Cũng theo Thông tư này, tổ chức tín dụng có dư nợ vay qua đêm quá hạn 03 lần liên tiếp trong vòng 01 tháng, Ngân hàng Nhà nước sẽ thực hiện dừng việc thấu chi và cho vay qua đêm trong thanh toán điện tử liên ngân hàng trong 10 ngày làm việc, trừ trường hợp bất khả kháng và tổ chức tín dụng có văn bản báo cáo với Ngân hàng Nhà nước.
Xem chi tiết Thông tư 29/2016/TT-NHNN có hiệu lực kể từ ngày 25/03/2017
Tải Thông tư 29/2016/TT-NHNN
|
NGÂN HÀNG NHÀ NƯỚC Số: 29/2016/TT-NHNN |
CỘNG HÒA XÃ HỘI CHỦ NGHĨA VIỆT NAM Hà Nội, ngày 12 tháng 10 năm 2016 |
THÔNG TƯ
QUY ĐỊNH VỀ VIỆC THẤU CHI VÀ CHO VAY QUA ĐÊM TRONG THANH TOÁN ĐIỆN TỬ LIÊN NGÂN HÀNG
Căn cứ Luật Ngân hàng Nhà nước số 46/2010/QH12 ngày 16 tháng 6 năm 2010;
Căn cứ Luật các tổ chức tín dụng số 47/2010/QH12 ngày 16 tháng 6 năm 2010;
Căn cứ Nghị định số 156/2013/NĐ-CP ngày 11 tháng 11 năm 2013 của Chính phủ quy định chức năng, nhiệm vụ, quyền hạn và cơ cấu tổ chức của Ngân hàng Nhà nước Việt Nam;
Theo đề nghị của Vụ trưởng Vụ Chính sách tiền tệ;
Thống đốc Ngân hàng Nhà nước Việt Nam ban hành Thông tư quy định về việc thấu chi và cho vay qua đêm trong thanh toán điện tử liên ngân hàng.
Điều 1. Phạm vi điều chỉnh
Thông tư này quy định việc thấu chi và cho vay qua đêm trong thanh toán điện tử liên ngân hàng tại Ngân hàng Nhà nước Việt Nam (sau đây gọi tắt là Ngân hàng Nhà nước) cho các tổ chức tín dụng, chi nhánh ngân hàng nước ngoài.
Điều 2. Đối tượng áp dụng
Các tổ chức tín dụng, chi nhánh ngân hàng nước ngoài thành lập và hoạt động theo Luật các tổ chức tín dụng là thành viên trực tiếp tham gia hệ thống thanh toán điện tử liên ngân hàng (sau đây gọi tắt là tổ chức tín dụng).
Điều 3. Giải thích từ ngữ
Trong Thông tư này, các từ ngữ dưới đây được hiểu như sau:
1. Thấu chi trong thanh toán điện tử liên ngân hàng là việc tổ chức tín dụng được chi vượt số dư có trên tài khoản thanh toán bằng đồng Việt Nam mở tại Sở giao dịch Ngân hàng Nhà nước (sau đây gọi tắt là tài khoản thanh toán bằng đồng Việt Nam).
2. Cho vay qua đêm trong thanh toán điện tử liên ngân hàng là việc Ngân hàng Nhà nước cho tổ chức tín dụng vay có bảo đảm bằng cầm cố giấy tờ có giá trong khoảng thời gian tính từ cuối ngày làm việc hôm trước đến ngày làm việc liền kề tiếp theo.
3. Thời hạn còn lại của giấy tờ có giá là khoảng thời gian tính từ ngày Ngân hàng Nhà nước xác định giá trị giấy tờ có giá đến ngày đến hạn thanh toán toàn bộ gốc của giấy tờ có giá đó.
Điều 4. Nguyên tắc thấu chi và cho vay qua đêm trong thanh toán điện tử liên ngân hàng tại Ngân hàng Nhà nước
1. Tổ chức tín dụng được thấu chi để bù đắp thiếu hụt vốn trong thanh toán điện tử liên ngân hàng.
2. Tổ chức tín dụng được Ngân hàng Nhà nước cho vay qua đêm để tất toán khoản thấu chi tại thời điểm cuối ngày làm việc.
Điều 5. Giấy tờ có giá được sử dụng trong giao dịch thấu chi và cho vay qua đêm trong thanh toán điện tử liên ngân hàng
Giấy tờ có giá được sử dụng trong giao dịch thấu chi và cho vay qua đêm trong thanh toán điện tử liên ngân hàng đáp ứng các điều kiện sau:
1. Đủ điều kiện lưu ký theo quy định về việc lưu ký và sử dụng giấy tờ có giá lưu ký tại Ngân hàng Nhà nước.
2. Có thể chuyển nhượng.
3. Được phát hành bằng đồng Việt Nam.
4. Có thời hạn còn lại tối thiểu là 30 ngày.
5. Thuộc danh mục các loại giấy tờ có giá được sử dụng trong giao dịch thấu chi và cho vay qua đêm trong thanh toán điện tử liên ngân hàng do Thống đốc Ngân hàng Nhà nước quyết định.
Hạn mức thấu chi là số tiền tối đa tổ chức tín dụng được chi vượt số dư có trên tài khoản thanh toán bằng đồng Việt Nam của tổ chức tín dụng trong thanh toán điện tử liên ngân hàng và được xác định như sau:
Hạn mức thấu chi = ∑ (Gi x Ri) - B - C
Trong đó:
- Gi: Giá trị giấy tờ có giá loại i tổ chức tín dụng sử dụng trong giao dịch thấu chi và cho vay qua đêm và được xác định theo Phụ lục đính kèm Thông tư này.
- Ri: Tỷ lệ % được thấu chi và cho vay qua đêm đối với giấy tờ có giá loại i do Thống đốc Ngân hàng Nhà nước quyết định trong từng thời kỳ.
- i: Loại giấy tờ có giá thuộc danh mục các loại giấy tờ có giá được sử dụng trong giao dịch thấu chi và cho vay qua đêm trong thanh toán điện tử liên ngân hàng do Thống đốc Ngân hàng Nhà nước quyết định.
- B: Dư nợ vay qua đêm (gồm dư nợ gốc và lãi vay qua đêm).
- C: Dư nợ vay qua đêm quá hạn (gồm dư nợ gốc vay qua đêm quá hạn, lãi vay qua đêm chậm trả, lãi quá hạn của dư nợ gốc vay qua đêm, lãi đối với lãi vay qua đêm chậm trả).
Điều 7. Lãi suất cho vay qua đêm
1. Lãi suất cho vay qua đêm do Thống đốc Ngân hàng Nhà nước quyết định trong từng thời kỳ.
2. Lãi suất áp dụng đối với dư nợ gốc vay qua đêm quá hạn bằng 150% lãi suất cho vay qua đêm quy định tại thời điểm phát sinh khoản vay; lãi suất áp dụng đối với lãi vay qua đêm chậm trả là 10%/năm.
Điều 8. Quy trình thấu chi và cho vay qua đêm trong thanh toán điện tử liên ngân hàng
1. Quy trình thấu chi và cho vay qua đêm trong thanh toán điện tử liên ngân hàng:
a) Tổ chức tín dụng thực hiện lưu ký giấy tờ có giá để cầm cố tham gia thấu chi, vay qua đêm;
b) Ngân hàng Nhà nước thực hiện thông báo về hạn mức thấu chi cho các tổ chức tín dụng;
c) Thực hiện thấu chi và cho vay qua đêm đối với tổ chức tín dụng;
d) Tổ chức tín dụng thực hiện trả dư nợ vay qua đêm;
đ) Ngân hàng Nhà nước thực hiện thu hồi dư nợ cho vay qua đêm;
e) Ngân hàng Nhà nước xử lý trường hợp tổ chức tín dụng có dư nợ vay qua đêm quá hạn và các vấn đề khác phát sinh liên quan.
2. Thống đốc Ngân hàng Nhà nước ban hành Quyết định quy định cụ thể về Quy trình thấu chi và cho vay qua đêm trong thanh toán điện tử liên ngân hàng theo quy định tại khoản 1 Điều này.
Điều 9. Thực hiện thấu chi và cho vay qua đêm
1. Thực hiện thấu chi
a) Vào 8 giờ sáng mỗi ngày làm việc, Ngân hàng Nhà nước (Sở giao dịch) xác định và thông báo hạn mức thấu chi trong thanh toán điện tử liên ngân hàng đối với từng tổ chức tín dụng. Trường hợp có sự điều chỉnh hạn mức thấu chi (tăng hoặc giảm) trong ngày làm việc do thay đổi giá trị giấy tờ có giá được sử dụng cho thấu chi và cho vay qua đêm, dư nợ vay qua đêm, dư nợ vay qua đêm quá hạn, Ngân hàng Nhà nước (Sở giao dịch) xác định và thông báo cho tổ chức tín dụng. Tổ chức tín dụng chỉ được giảm giấy tờ có giá sử dụng cho thấu chi và vay qua đêm trong trường hợp giá trị giấy tờ có giá còn lại phải đảm bảo hạn mức thấu chi sau khi điều chỉnh tối thiểu bằng số tiền thấu chi đã sử dụng;
b) Khi tài khoản thanh toán bằng đồng Việt Nam của tổ chức tín dụng không đủ tiền để thực hiện lệnh thanh toán trong thanh toán điện tử liên ngân hàng thì tự động được thấu chi với số tiền tối đa bằng hạn mức thấu chi theo thông báo của Ngân hàng Nhà nước (Sở giao dịch) để thực hiện lệnh thanh toán. Khi tài khoản tiền gửi thanh toán bằng đồng Việt Nam của tổ chức tín dụng được bổ sung tiền, hệ thống thanh toán tự động hoàn trả số tiền thấu chi trong ngày của tổ chức tín dụng.
2. Thực hiện cho vay qua đêm
a) Đến cuối ngày làm việc, nếu tổ chức tín dụng có số tiền thấu chi chưa được tất toán, Ngân hàng Nhà nước (Sở giao dịch) tự động thực hiện chuyển số tiền thấu chi chưa được tất toán đó sang tài khoản cho vay qua đêm và thông báo cho tổ chức tín dụng biết về dư nợ vay qua đêm. Tổ chức tín dụng phải chịu lãi vay qua đêm theo quy định tại khoản 1 Điều 7 Thông tư này;
b) Ngày làm việc liền kề tiếp theo ngày phát sinh khoản vay qua đêm, tổ chức tín dụng thực hiện trả dư nợ gốc và lãi vay qua đêm cho Ngân hàng Nhà nước. Tổ chức tín dụng không được thực hiện thấu chi để trả dư nợ vay qua đêm. Trường hợp đến cuối ngày làm việc liền kề tiếp theo ngày phát sinh khoản vay qua đêm mà tổ chức tín dụng vẫn chưa trả hết dư nợ vay qua đêm, thì Ngân hàng Nhà nước (Sở giao dịch) thực hiện chuyển số dư nợ cho vay qua đêm chưa thanh toán sang dư nợ vay qua đêm quá hạn, áp dụng lãi suất theo quy định tại khoản 2 Điều 7 Thông tư này và gửi thông báo dư nợ vay qua đêm quá hạn cho tổ chức tín dụng.
Điều 10. Xử lý trường hợp tổ chức tín dụng có dư nợ vay qua đêm quá hạn
1. Vào ngày làm việc liền kề tiếp theo ngày phát sinh khoản vay qua đêm quá hạn, Ngân hàng Nhà nước (Sở giao dịch) thực hiện các biện pháp thu hồi dư nợ vay qua đêm quá hạn (thu gốc trước, thu lãi sau) và thông báo cho tổ chức tín dụng biết. Cụ thể như sau:
a) Thực hiện trích tài khoản thanh toán bằng đồng Việt Nam của tổ chức tín dụng tại Ngân hàng Nhà nước để thu hồi dư nợ vay qua đêm quá hạn;
b) Trường hợp sau khi đã trích tài khoản thanh toán bằng đồng Việt Nam của tổ chức tín dụng nhưng vẫn không đủ để thu hồi hết dư nợ vay qua đêm quá hạn, Ngân hàng Nhà nước (Sở giao dịch) được quyền yêu cầu tổ chức lưu ký giấy tờ có giá thực hiện chuyển quyền sở hữu giấy tờ có giá từ tổ chức tín dụng cho Ngân hàng Nhà nước để thực hiện bán giấy tờ có giá khi chưa đến hạn thanh toán của giấy tờ có giá hoặc thanh toán với tổ chức phát hành khi đến hạn thanh toán của giấy tờ có giá cho đến khi thu hồi đủ dư nợ vay qua đêm quá hạn của tổ chức tín dụng. Thứ tự ưu tiên các loại giấy tờ có giá chuyển quyền sở hữu cho Ngân hàng Nhà nước:
(i) Thời hạn còn lại của các giấy tờ có giá ngắn hơn;
(ii) Giấy tờ có giá cầm cố có giá trị lớn hơn;
Trường hợp sau khi Ngân hàng Nhà nước bán giấy tờ có giá khi chưa đến hạn thanh toán của giấy tờ có giá hoặc thanh toán với tổ chức phát hành khi đến hạn thanh toán của giấy tờ có giá mà số tiền thu được lớn hơn số dư nợ vay qua đêm quá hạn còn lại thì số tiền chênh lệch giữa số tiền thu được (từ bán giấy tờ có giá hoặc thanh toán giấy tờ có giá với tổ chức phát hành) và số dư nợ vay qua đêm quá hạn còn lại sẽ được trả lại cho tổ chức tín dụng;
c) Trường hợp sau khi thực hiện các biện pháp quy định tại điểm a, điểm b khoản này mà vẫn không thu đủ dư nợ vay qua đêm quá hạn, Ngân hàng Nhà nước (Sở giao dịch) thực hiện thu từ các nguồn khác (nếu có) của tổ chức tín dụng.
2. Tổ chức tín dụng có dư nợ vay qua đêm quá hạn 03 lần liên tiếp trong vòng 01 tháng thì Ngân hàng Nhà nước (Sở giao dịch) sẽ thực hiện dừng việc thấu chi và cho vay qua đêm trong thanh toán điện tử liên ngân hàng trong 10 ngày làm việc kể từ ngày Ngân hàng Nhà nước (Sở giao dịch) thông báo về việc dừng thấu chi và cho vay qua đêm, trừ trường hợp bất khả kháng và tổ chức tín dụng có văn bản báo cáo với Ngân hàng Nhà nước (Sở giao dịch).
Điều 11. Trách nhiệm của các đơn vị
1. Trách nhiệm của các đơn vị thuộc Ngân hàng Nhà nước
1.1. Vụ Chính sách tiền tệ
a) Chủ trì, tham mưu trình Thống đốc Ngân hàng Nhà nước quyết định và công bố lãi suất cho vay qua đêm theo quy định tại khoản 1 Điều 7 Thông tư này;
b) Chủ trì, tham mưu trình Thống đốc Ngân hàng Nhà nước danh mục các loại giấy tờ có giá được sử dụng trong giao dịch thấu chi và cho vay qua đêm trong thanh toán điện tử liên ngân hàng theo quy định tại khoản 5 Điều 5 Thông tư này và tỷ lệ phần trăm được thấu chi và cho vay qua đêm đối với các loại giấy tờ có giá theo quy định tại Điều 6 Thông tư này.
1.2. Sở giao dịch
a) Chủ trì xây dựng và trình Thống đốc Ngân hàng Nhà nước ban hành Quyết định về Quy trình thấu chi và cho vay qua đêm trong thanh toán điện tử liên ngân hàng phù hợp với quy định tại Thông tư này và các quy định khác có liên quan;
b) Xác định hạn mức thấu chi, điều chỉnh hạn mức thấu chi và thông báo cho tổ chức tín dụng theo quy định tại Thông tư này;
c) Thực hiện thấu chi và cho vay qua đêm;
d) Thông báo cho tổ chức tín dụng biết về dư nợ vay qua đêm, dư nợ vay qua đêm quá hạn;
đ) Thực hiện thu hồi dư nợ vay qua đêm theo quy định tại Thông tư này;
e) Thực hiện thu hồi dư nợ vay qua đêm quá hạn theo quy định tại Thông tư này;
g) Thông báo cho tổ chức tín dụng về biện pháp thu hồi dư nợ vay qua đêm quá hạn, thông báo về việc dừng thấu chi và cho vay qua đêm theo quy định tại Thông tư này;
h) Thực hiện tính lãi vay qua đêm, lãi quá hạn của dư nợ gốc vay qua đêm, lãi đối với lãi vay qua đêm chậm trả phù hợp với quy định của Ngân hàng Nhà nước;
i) Đầu mối xử lý các khó khăn, vướng mắc phát sinh trong quá trình thực hiện thấu chi và cho vay qua đêm.
1.3. Vụ Tài chính - Kế toán
Hướng dẫn hạch toán kế toán đối với việc thấu chi và cho vay qua đêm trong thanh toán điện tử liên ngân hàng tại Ngân hàng Nhà nước.
1.4. Cục Công nghệ tin học ngân hàng
Chịu trách nhiệm về phần mềm tin học và các vấn đề phát sinh liên quan để thực hiện thấu chi và cho vay qua đêm trong thanh toán điện tử liên ngân hàng được thông suốt, an toàn và hiệu quả.
2. Trách nhiệm của tổ chức tín dụng tham gia thấu chi và vay qua đêm
Tuân thủ và chịu trách nhiệm thực hiện các quy định tại Thông tư này.
Điều 12. Tổ chức thực hiện
1. Thông tư này có hiệu lực thi hành kể từ ngày 25/3/2017, thay thế Quyết định số 04/2007/QĐ-NHNN ngày 22/01/2007 của Thống đốc Ngân hàng Nhà nước về việc thấu chi và cho vay qua đêm áp dụng trong thanh toán điện tử liên ngân hàng.
2. Các khoản cho vay qua đêm còn dư nợ trước ngày Thông tư này có hiệu lực thực hiện theo quy định tại Quyết định số 04/2007/QĐ-NHNN ngày 22/01/2007 của Thống đốc Ngân hàng Nhà nước về việc thấu chi và cho vay qua đêm áp dụng trong thanh toán điện tử liên ngân hàng.
3. Chánh Văn phòng, Vụ trưởng Vụ Chính sách tiền tệ, Thủ trưởng các đơn vị thuộc Ngân hàng Nhà nước Việt Nam, Giám đốc Ngân hàng Nhà nước chi nhánh tỉnh, thành phố trực thuộc Trung ương, Chủ tịch Hội đồng quản trị, Chủ tịch Hội đồng thành viên và Tổng giám đốc (Giám đốc) các tổ chức tín dụng, chi nhánh ngân hàng nước ngoài chịu trách nhiệm tổ chức thực hiện Thông tư này./.
|
Nơi nhận: |
KT. THỐNG ĐỐC |
PHỤ LỤC
(Ban hành kèm theo Thông tư số 29/2016/TT-NHNN ngày 12 tháng 10 năm 2016 của Ngân hàng Nhà nước quy định về việc thấu chi và cho vay qua đêm trong thanh toán điện tử liên ngân hàng)
CÔNG THỨC XÁC ĐỊNH GIÁ TRỊ GIẤY TỜ CÓ GIÁ
1. Đối với giấy tờ có giá ngắn hạn:
1.1. Giấy tờ có giá ngắn hạn thanh toán lãi ngay khi phát hành:

Trong đó:
G: Giá trị giấy tờ có giá tại thời điểm định giá
MG: Mệnh giá của giấy tờ có giá
L: Mức lãi suất cho vay qua đêm trong thanh toán điện tử liên ngân hàng (%/năm)
t: Thời hạn còn lại của giấy từ có giá (số ngày).
1.2. Giấy tờ có giá ngắn hạn, thanh toán gốc, lãi một lần khi đến hạn:

Trong đó:

G: Giá trị giấy tờ có giá tại thời điểm định giá
GT: Giá trị của giấy tờ có giá khi đến hạn thanh toán bao gồm mệnh giá và tiền lãi
MG: Mệnh giá của giấy tờ có giá
L: Mức lãi suất cho vay qua đêm trong thanh toán điện tử liên ngân hàng (%/năm)
t: Thời hạn còn lại của giấy tờ có giá (số ngày)
Ls: Lãi suất phát hành của giấy tờ có giá (%/năm)
n: Kỳ hạn của giấy tờ có giá (số ngày).
2. Đối với giấy tờ có giá dài hạn:
2.1. Đối với giấy tờ có giá dài hạn, thanh toán lãi ngay khi phát hành:

Trong đó:
G: Giá trị giấy tờ có giá tại thời điểm định giá
MG: Mệnh giá của giấy tờ có giá
L: Mức lãi suất cho vay qua đêm trong thanh toán điện tử liên ngân hàng (%/năm)
t: Thời hạn còn lại của giấy tờ có giá (số ngày).
2.2. Đối với giấy tờ có giá dài hạn, thanh toán gốc, lãi một lần khi đến hạn (lãi không nhập gốc):

Trong đó:
GT = MG * [1 + (Ls * n)]
G: Giá trị giấy tờ có giá tại thời điểm định giá
GT: Giá trị của giấy tờ có giá khi đến hạn thanh toán, bao gồm mệnh giá và tiền lãi
MG: Mệnh giá của giấy tờ có giá
L: Mức lãi suất cho vay qua đêm trong thanh toán điện tử liên ngân hàng (%/năm)
t: Thời hạn còn lại của giấy tờ có giá (số ngày)
Ls: Lãi suất phát hành của giấy tờ có giá (%/năm)
n: Kỳ hạn của giấy tờ có giá (năm).
2.3. Đối với giấy tờ có giá dài hạn, thanh toán gốc, lãi một lần khi đến hạn (lãi nhập gốc):

Trong đó:
GT = MG * (1 + Ls)n
G: Giá trị giấy tờ có giá tại thời điểm định giá
GT: Giá trị của giấy tờ có giá khi đến hạn thanh toán bao gồm mệnh giá và tiền lãi;
MG: Mệnh giá của giấy tờ có giá
L: Mức lãi suất cho vay qua đêm trong thanh toán điện tử liên ngân hàng (%/năm)
t: Thời hạn còn lại của giấy tờ có giá (số ngày)
Ls: Lãi suất phát hành của giấy tờ có giá (%/năm)
n: Kỳ hạn của giấy tờ có giá (năm).
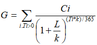
2.4. Đối với giấy tờ có giá dài hạn, thanh toán lãi định kỳ:

Trong đó:
G: Giá trị giấy tờ có giá tại thời điểm định giá
Ci: Số tiền thanh toán lãi, vốn gốc lần thứ i (không bao gồm số tiền thanh toán lãi, gốc có ngày đăng ký cuối cùng hưởng lãi, gốc giấy tờ có giá trước ngày định giá).
i: Lần thanh toán lãi, gốc thứ i
L: Mức lãi suất cho vay qua đêm trong thanh toán điện tử liên ngân hàng (%/năm)
Ti: Thời hạn tính từ ngày định giá đến ngày đến hạn thanh toán lãi, gốc lần thứ i (số ngày).
k: Số lần trả lãi định kỳ trong năm.
Bạn chưa Đăng nhập thành viên.
Đây là tiện ích dành cho tài khoản thành viên. Vui lòng Đăng nhập để xem chi tiết. Nếu chưa có tài khoản, vui lòng Đăng ký tại đây!
Bạn chưa Đăng nhập thành viên.
Đây là tiện ích dành cho tài khoản thành viên. Vui lòng Đăng nhập để xem chi tiết. Nếu chưa có tài khoản, vui lòng Đăng ký tại đây!