- Tổng quan
- Nội dung
- VB gốc
- Tiếng Anh
- Hiệu lực
- VB liên quan
- Lược đồ
-
Nội dung hợp nhất
Tính năng này chỉ có tại LuatVietnam.vn. Nội dung hợp nhất tổng hợp lại tất cả các quy định còn hiệu lực của văn bản gốc và các văn bản sửa đổi, bổ sung, đính chính... trên một trang. Việc hợp nhất văn bản gốc và những văn bản, Thông tư, Nghị định hướng dẫn khác không làm thay đổi thứ tự điều khoản, nội dung.
Khách hàng chỉ cần xem Nội dung hợp nhất là có thể nắm bắt toàn bộ quy định hiện hành đang áp dụng, cho dù văn bản gốc đã qua nhiều lần chỉnh sửa, bổ sung.
- Tải về
Thông tư 22/2017/TT-BTC mua lại trái phiếu Chính phủ tại thị trường trong nước
| Cơ quan ban hành: | Bộ Tài chính |
Số công báo:
Số công báo là mã số ấn phẩm được đăng chính thức trên ấn phẩm thông tin của Nhà nước. Mã số này do Chính phủ thống nhất quản lý.
|
Đã biết
|
| Số hiệu: | 22/2017/TT-BTC | Ngày đăng công báo: |
Đã biết
|
| Loại văn bản: | Thông tư | Người ký: | Trần Văn Hiếu |
|
Ngày ban hành:
Ngày ban hành là ngày, tháng, năm văn bản được thông qua hoặc ký ban hành.
|
15/03/2017 |
Ngày hết hiệu lực:
Ngày hết hiệu lực là ngày, tháng, năm văn bản chính thức không còn hiệu lực (áp dụng).
|
Đã biết
|
|
Áp dụng:
Ngày áp dụng là ngày, tháng, năm văn bản chính thức có hiệu lực (áp dụng).
|
Đã biết
|
Tình trạng hiệu lực:
Cho biết trạng thái hiệu lực của văn bản đang tra cứu: Chưa áp dụng, Còn hiệu lực, Hết hiệu lực, Hết hiệu lực 1 phần; Đã sửa đổi, Đính chính hay Không còn phù hợp,...
|
Đã biết
|
| Lĩnh vực: | Tài chính-Ngân hàng |
TÓM TẮT THÔNG TƯ 22/2017/TT-BTC
Ngày 15/03/2017, Bộ Tài chính đã ban hành Thông tư số 22/2017/TT-BTC quy định mua lại trái phiếu Chính phủ tại thị trường trong nước, nhấn mạnh tối thiểu 05 ngày làm việc trước ngày tổ chức mua lại trái phiếu, Kho bạc Nhà nước phải thông báo thông tin về đợt mua lại trái phiếu trên trang điện tử của Bộ Tài chính, Kho bạc Nhà nước và Sở Giao dịch Chứng khoán.
Với mua lại trái phiếu theo hình thức đấu thầu, Thông tư quy định, đấu thầu mua lại trái phiếu được thực hiện theo hình thức đấu thầu cạnh tranh lãi suất hoặc đấu thầu kết hợp cạnh tranh lãi suất và không cạnh tranh lãi suất. Trường hợp đợt đấu thầu được tổ chức theo hình thức kết hợp cạnh tranh lãi suất và không cạnh tranh lãi suất thì tổng khối lượng trái phiếu mua lại từ thành viên dự thầu không cạnh tranh lãi suất đảm bảo không vượt quá 30% tổng khối lượng trái phiếu gọi thầu mua lại trong phiên đấu thầu.
Cũng theo Thông tư này, chậm nhất 05 ngày làm việc sau ngày mua lại trái phiếu, Kho bạc Nhà nước phải công bố trên trang điện tử của Bộ Tài chính, Kho bạc Nhà nước và Sở Giao dịch chứng khoán các thông tin về kết quả mua lại đối với mỗi mã trái phiếu mua lại, bao gồm: Ngày phát hành lần đầu, ngày đáo hạn, lãi suất danh nghĩa, phương thức thanh toán gốc, lãi; Ngày mua lại trái phiếu, lãi suất mua lại, khối lượng trái phiếu mua lại, phương thức mua lại trái phiếu.
Thông tư này có hiệu lực thi hành kể từ ngày 01/05/2017.
Xem chi tiết Thông tư 22/2017/TT-BTC có hiệu lực kể từ ngày 01/05/2017
Tải Thông tư 22/2017/TT-BTC
|
BỘ TÀI CHÍNH Số: 22/2017/TT-BTC |
CỘNG HÒA XÃ HỘI CHỦ NGHĨA VIỆT NAM Hà Nội, ngày 15 tháng 3 năm 2017 |
THÔNG TƯ
QUY ĐỊNH MUA LẠI TRÁI PHIẾU CHÍNH PHỦ TẠI THỊ TRƯỜNG TRONG NƯỚC
Căn cứ Luật Quản lý nợ công ngày 17 tháng 6 năm 2009;
Căn cứ Luật Ngân sách Nhà nước ngày 25 tháng 06 năm 2015;
Căn cứ Nghị định số 215/2013/NĐ-CP ngày 23 tháng 12 năm 2013 quy định chức năng, nhiệm vụ, quyền hạn và cơ cấu tổ chức của Bộ Tài chính;
Căn cứ Nghị định số 01/2011/NĐ-CP ngày 05 tháng 01 năm 2011 về phát hành trái phiếu Chính phủ, trái phiếu được Chính phủ bảo lãnh và trái phiếu chính quyền địa phương;
Căn cứ Quyết định số 56/2012/QĐ-TTg của Thủ tướng Chính phủ ngày 21 tháng 12 năm 2012 ban hành Quy chế quản lý và xử lý rủi ro đối với danh mục nợ công;
Theo đề nghị của Vụ trưởng Vụ Tài chính các ngân hàng và tổ chức tài chính,
Bộ trưởng Bộ Tài chính ban hành Thông tư quy định mua lại trái phiếu Chính phủ tại thị trường trong nước.
Chương I
QUY ĐỊNH CHUNG
Điều 1. Phạm vi điều chỉnh và đối tượng áp dụng
1. Thông tư này quy định việc mua lại trái phiếu Chính phủ (sau đây gọi tắt là trái phiếu) trước ngày đáo hạn tại thị trường trong nước.
2. Đối tượng áp dụng của Thông tư này là Kho bạc Nhà nước, Sở Giao dịch Chứng khoán, Trung tâm Lưu ký chứng khoán Việt Nam và các tổ chức, cá nhân có liên quan đến việc mua lại trái phiếu.
Điều 2. Giải thích thuật ngữ
Ngoài các thuật ngữ đã được giải thích tại Nghị định số 01/2011/NĐ-CP ngày 05 tháng 01 năm 2011 về phát hành trái phiếu Chính phủ, trái phiếu được Chính phủ bảo lãnh và trái phiếu chính quyền địa phương (sau đây gọi tắt là Nghị định số 01/2011/NĐ-CP) trong Thông tư này, các thuật ngữ được hiểu như sau:
1. “Mua lại trái phiếu” là việc Kho bạc Nhà nước mua lại trái phiếu trước ngày trái phiếu đáo hạn.
2. “Bán lại trái phiếu” là việc chủ sở hữu trái phiếu bán lại trái phiếu cho Kho bạc Nhà nước trước ngày trái phiếu đáo hạn.
3. “Ngày cuối cùng đăng ký bán lại trái phiếu” là ngày cuối cùng chủ sở hữu trái phiếu hoặc tổ chức được chủ sở hữu trái phiếu ủy quyền thực hiện đăng ký tham gia bán lại trái phiếu theo thông báo của Kho bạc Nhà nước đối với từng đợt mua lại trái phiếu. Kho bạc Nhà nước quyết định ngày cuối cùng đăng ký bán lại trái phiếu cho từng đợt mua lại trái phiếu nhưng phải đảm bảo tối thiểu ba (03) ngày làm việc trước ngày tổ chức mua lại trái phiếu.
4. “Ngày phong tỏa trái phiếu” là ngày Trung tâm lưu ký chứng khoán Việt Nam thực hiện phong tỏa trái phiếu trên tài khoản lưu ký của chủ sở hữu trái phiếu. Kho bạc Nhà nước quyết định ngày phong tỏa trái phiếu cho từng đợt mua lại nhưng phải đảm bảo tối thiểu hai (02) ngày làm việc trước ngày tổ chức mua lại trái phiếu.
5. “Ngày tổ chức mua lại trái phiếu” là:
a) Ngày Kho bạc Nhà nước đàm phán và ký hợp đồng mua lại trái phiếu đối với trái phiếu mua lại theo phương thức đàm phán.
b) Ngày Kho bạc Nhà nước tổ chức đấu thầu mua lại trái phiếu đối với trái phiếu mua lại theo phương thức đấu thầu.
6. “Ngày mua lại trái phiếu” là ngày Kho bạc Nhà nước thanh toán tiền mua lại trái phiếu cho chủ sở hữu trái phiếu.
7. “Trái phiếu được mua lại” là trái phiếu được Kho bạc Nhà nước phát hành và chưa đến ngày đáo hạn.
8. “Chủ sở hữu trái phiếu” là tổ chức, cá nhân nắm giữ trái phiếu theo quy định của pháp luật về phát hành và giao dịch trái phiếu Chính phủ.
9. “Đợt mua lại trái phiếu” là khoảng thời gian từ ngày cuối cùng đăng ký bán lại trái phiếu theo thông báo của Kho bạc Nhà nước đến ngày Kho bạc Nhà nước mua lại trái phiếu.
10. “Lãi suất danh nghĩa của trái phiếu” là tỷ lệ phần trăm (%) lãi hàng năm tính trên mệnh giá trái phiếu mà Kho bạc Nhà nước phải thanh toán cho chủ sở hữu trái phiếu vào các kỳ trả lãi theo các điều kiện, điều khoản của trái phiếu khi trái phiếu đó được phát hành.
11. “Lãi suất mua lại trái phiếu” là lãi suất trúng thầu hoặc lãi suất thỏa thuận do Kho bạc Nhà nước quyết định trên cơ sở kết quả đấu thầu hoặc kết quả đàm phán mua lại trái phiếu theo quy định tại Thông tư này.
12. “Đấu thầu đơn giá” là phương thức xác định kết quả đấu thầu mà theo đó, mức lãi suất mua lại trái phiếu là mức lãi suất trúng thầu thấp nhất và được áp dụng chung cho các thành viên trúng thầu.
13. “Đấu thầu đa giá” là phương thức xác định kết quả đấu thầu mà theo đó, mức lãi suất trúng thầu mua lại trái phiếu đối với mỗi thành viên đúng bằng mức lãi suất dự thầu của thành viên đó.
14. “Kỳ trả lãi kế tiếp theo giả định” là kỳ trả lãi kế tiếp theo các điều kiện, điều khoản của trái phiếu trong trường hợp trái phiếu không được mua lại.
15. “Ngày thanh toán tiền lãi kế tiếp theo giả định” là ngày thanh toán tiền lãi kế tiếp theo các điều kiện, điều khoản của trái phiếu trong trường hợp trái phiếu không được mua lại.
Điều 3. Lãi suất mua lại trái phiếu
1. Bộ Tài chính quy định khung lãi suất tối thiểu mua lại trái phiếu cho từng thời kỳ hoặc cho từng đợt mua lại trái phiếu.
2. Căn cứ vào khung lãi suất tối thiểu quy định tại Khoản 1 Điều này, Kho bạc Nhà nước lựa chọn và quyết định lãi suất mua lại đối với từng đợt mua lại trái phiếu.
Điều 4. Mục đích mua lại trái phiếu
1. Cơ cấu lại danh mục nợ trái phiếu Chính phủ theo đề án được cấp có thẩm quyền phê duyệt.
2. Phát triển thị trường trái phiếu Chính phủ thông qua việc hỗ trợ hình thành lãi suất chuẩn trên thị trường và tăng tính thanh khoản của thị trường.
Điều 5. Nguyên tắc mua lại trái phiếu
1. Thực hiện theo phương án mua lại trái phiếu được cấp có thẩm quyền phê duyệt theo quy định tại Khoản 3 Điều 8 Thông tư này.
2. Đảm bảo nguyên tắc công khai, minh bạch trong tổ chức mua lại trái phiếu.
3. Tuân thủ các quy định tại Thông tư này và pháp luật có liên quan.
Điều 6. Điều kiện đối với trái phiếu được mua lại
1. Là loại trái phiếu do Kho bạc Nhà nước phát hành và chưa đến ngày đáo hạn.
2. Không bị ràng buộc trong các quan hệ về giao dịch đảm bảo kể từ thời điểm đăng ký bán lại trái phiếu của chủ sở hữu trái phiếu.
Điều 7. Phương thức mua lại trái phiếu
1. Việc mua lại trái phiếu được thực hiện theo một trong các phương thức sau:
a) Đàm phán trực tiếp với các chủ sở hữu trái phiếu;
b) Đấu thầu qua Sở giao dịch chứng khoán.
2. Kho bạc Nhà nước thông báo cụ thể phương thức mua lại trái phiếu đối với từng đợt mua lại trái phiếu trước khi tổ chức thực hiện.
Điều 8. Phương án mua lại trái phiếu
1. Căn cứ nhu cầu tái cơ cấu danh mục nợ trái phiếu Chính phủ và phát triển thị trường trái phiếu Chính phủ, Kho bạc Nhà nước xây dựng phương án mua lại trái phiếu theo quy định tại Khoản 2 Điều này, báo cáo Bộ Tài chính để Bộ Tài chính phê duyệt hoặc trình Thủ tướng Chính phủ phê duyệt theo thẩm quyền theo quy định tại Khoản 3 Điều này.
2. Nội dung cơ bản của phương án mua lại trái phiếu bao gồm:
a) Mục đích mua lại;
b) Điều kiện, điều khoản của các trái phiếu dự kiến mua lại gồm: mã trái phiếu, quy mô của mã trái phiếu, ngày phát hành lần đầu, ngày đáo hạn, kỳ hạn còn lại của trái phiếu tại thời điểm dự kiến tổ chức đợt mua lại trái phiếu, lãi suất danh nghĩa, phương thức thanh toán gốc, lãi trái phiếu, danh sách chủ sở hữu trái phiếu tại thời điểm xây dựng phương án;
c) Phương thức mua lại dự kiến;
d) Nguồn mua lại trái phiếu, chi phí thực hiện mua lại trái phiếu;
đ) Thời gian dự kiến tổ chức đợt mua lại trái phiếu.
3. Căn cứ vào thẩm quyền phê duyệt phương án mua lại quy định tại Điều 13 Quyết định số 56/2012/QĐ-TTg ngày 21/12/2012 của Thủ tướng Chính phủ ban hành Quy chế quản lý và xử lý rủi ro đối với danh mục nợ công, Bộ Tài chính phê duyệt phương án mua lại hoặc trình Thủ tướng Chính phủ phê duyệt phương án mua lại theo thẩm quyền.
4. Căn cứ phương án mua lại được cấp có thẩm quyền phê duyệt theo quy định tại Khoản 3 Điều này và nguồn mua lại được bố trí trong dự toán ngân sách nhà nước, Kho bạc Nhà nước tổ chức mua lại trái phiếu Chính phủ theo quy định tại Thông tư này.
Chương II
TỔ CHỨC MUA LẠI TRÁI PHIẾU ĐƯỢC ĐĂNG KÝ, LƯU KÝ TẠI TRUNG TÂM LƯU KÝ CHỨNG KHOÁN VIỆT NAM
Mục 1. ĐÀM PHÁN MUA LẠI TRÁI PHIẾU
Điều 9. Quy trình tổ chức đàm phán mua lại trái phiếu
1. Tối thiểu năm (5) ngày làm việc trước ngày tổ chức mua lại trái phiếu, Kho bạc Nhà nước thông báo thông tin về đợt mua lại trái phiếu trên trang điện tử của Bộ Tài chính, Kho bạc Nhà nước và Sở Giao dịch Chứng khoán. Nội dung thông báo gồm:
a) Điều khoản các trái phiếu dự kiến được mua lại, bao gồm: mã trái phiếu, quy mô của mã trái phiếu, ngày phát hành lần đầu, ngày đáo hạn, lãi suất danh nghĩa, phương thức thanh toán gốc, lãi trái phiếu;
b) Khối lượng trái phiếu dự kiến mua lại đối với từng mã trái phiếu;
c) Ngày cuối cùng đăng ký bán lại trái phiếu, ngày phong tỏa trái phiếu, ngày tổ chức mua lại trái phiếu và ngày mua lại trái phiếu dự kiến.
2. Căn cứ vào thông báo về đợt mua lại trái phiếu quy định tại Khoản 1 Điều này, chủ sở hữu trái phiếu hoặc tổ chức được chủ sở hữu trái phiếu ủy quyền thực hiện đăng ký bán lại trái phiếu với Kho bạc Nhà nước theo mẫu tại Phụ lục 1 Thông tư này. Các đơn đăng ký bán lại trái phiếu nộp sau ngày cuối cùng đăng ký bán lại trái phiếu là không hợp lệ.
3. Sau ngày cuối cùng đăng ký bán lại trái phiếu, căn cứ thông tin đăng ký bán lại trái phiếu, Kho bạc Nhà nước thông báo cho Trung tâm Lưu ký Chứng khoán Việt Nam để phong tỏa số trái phiếu đăng ký bán lại theo mẫu tại Phụ lục 2 Thông tư này. Trung tâm Lưu ký Chứng khoán Việt Nam thực hiện phong tỏa số trái phiếu đăng ký bán lại của chủ sở hữu trái phiếu và thông báo cho Kho bạc Nhà nước về việc phong tỏa.
4. Vào ngày tổ chức mua lại trái phiếu, căn cứ vào thông tin đăng ký bán lại trái phiếu của chủ sở hữu trái phiếu, thông báo phong tỏa trái phiếu đăng ký bán lại của Trung tâm Lưu ký Chứng khoán Việt Nam, Kho bạc Nhà nước thực hiện đàm phán, thống nhất với các chủ sở hữu trái phiếu hoặc tổ chức được chủ sở hữu trái phiếu ủy quyền về điều khoản mua lại trái phiếu. Nội dung đàm phán gồm:
a) Khối lượng trái phiếu mua lại đối với mỗi mã trái phiếu;
b) Mức lãi suất mua lại đối với mỗi mã trái phiếu theo quy định tại Điều 3 Thông tư này;
c) Ngày mua lại trái phiếu;
d) Giá một trái phiếu mua lại. Giá mua lại trái phiếu được xác định theo quy định tại Điều 14 Thông tư này;
đ) Tổng số tiền mua lại trái phiếu, được xác định bằng số lượng trái phiếu mua lại nhân với giá mua một (01) trái phiếu.
5. Trên cơ sở thống nhất kết quả đàm phán, Kho bạc Nhà nước và chủ sở hữu trái phiếu hoặc tổ chức được chủ sở hữu trái phiếu ủy quyền ký Hợp đồng về việc mua lại trái phiếu theo mẫu tại Phụ lục 3 Thông tư này ngay trong ngày tổ chức mua lại trái phiếu.
6. Chậm nhất một (01) ngày làm việc liền kề sau ngày tổ chức mua lại trái phiếu, Kho bạc Nhà nước thông báo cho Trung tâm Lưu ký chứng khoán Việt Nam và Sở Giao dịch chứng khoán kết quả đàm phán mua lại theo mẫu tại Phụ lục 4 Thông tư này. Căn cứ thông báo của Kho bạc Nhà nước, Trung tâm Lưu ký chứng khoán Việt Nam tiếp tục phong tỏa đối với trái phiếu đã ký hợp đồng mua lại và ngừng phong tỏa đối với trái phiếu không được mua lại.
7. Vào ngày mua lại trái phiếu theo hợp đồng đã ký với chủ sở hữu trái phiếu, Kho bạc Nhà nước chuyển tiền mua lại trái phiếu theo quy định tại Điều 16 Thông tư này.
8. Việc hủy niêm yết, hủy đăng ký, rút lưu ký trái phiếu được mua lại thực hiện theo quy định tại Điều 17 Thông tư này.
9. Kết thúc đợt mua lại trái phiếu, Kho bạc Nhà nước công bố thông tin về kết quả mua lại trái phiếu theo quy định tại Điều 18 Thông tư này.
Mục 2. ĐẤU THẦU MUA LẠI TRÁI PHIẾU
Điều 10. Nguyên tắc đấu thầu, hình thức đấu thầu và phương thức xác định giá trúng thầu
1. Nguyên tắc đấu thầu.
a) Bình đẳng về quyền lợi và nghĩa vụ giữa các thành viên đấu thầu trái phiếu Chính phủ theo đúng quy định của pháp luật;
b) Bảo mật mọi thông tin dự thầu của thành viên đấu thầu trái phiếu Chính phủ.
2. Hình thức đấu thầu.
Đấu thầu mua lại trái phiếu được thực hiện theo một (01) trong hai (02) hình thức, gồm:
a) Đấu thầu cạnh tranh lãi suất;
b) Đấu thầu kết hợp cạnh tranh lãi suất và không cạnh tranh lãi suất.
Trường hợp đợt đấu thầu được tổ chức theo hình thức kết hợp cạnh tranh lãi suất và không cạnh tranh lãi suất thì tổng khối lượng trái phiếu mua lại từ thành viên dự thầu không cạnh tranh lãi suất đảm bảo không vượt quá 30% tổng khối lượng trái phiếu gọi thầu mua lại trong phiên đấu thầu.
3. Phương thức xác định giá trúng thầu.
Kết quả đấu thầu trái phiếu được xác định theo một (01) trong hai (02) phương thức sau:
a) Đấu thầu đơn giá;
b) Đấu thầu đa giá.
4. Kho bạc Nhà nước thông báo cụ thể về hình thức đấu thầu, phương thức xác định kết quả đấu thầu đối với mỗi đợt đấu thầu mua lại trái phiếu.
Điều 11. Đối tượng được tham gia đấu thầu mua lại trái phiếu
1. Là thành viên đấu thầu trái phiếu Chính phủ theo thông báo hàng năm của Bộ Tài chính.
2. Thành viên đấu thầu bán lại trái phiếu thuộc sở hữu của mình hoặc bán lại hộ trái phiếu của khách hàng theo ủy quyền của chủ sở hữu trái phiếu.
Điều 12. Quy trình mua lại trái phiếu
1. Tối thiểu năm (5) ngày làm việc trước ngày tổ chức mua lại trái phiếu, theo đề nghị của Kho bạc Nhà nước, Sở Giao dịch chứng khoán gửi thông báo về việc mua lại trái phiếu tới toàn bộ thành viên đấu thầu và công bố thông tin trên trang tin điện tử của Sở Giao dịch chứng khoán. Nội dung thông báo bao gồm:
a) Điều khoản của trái phiếu dự kiến được mua lại, bao gồm: mã trái phiếu, quy mô của mã trái phiếu, ngày phát hành lần đầu, ngày đáo hạn, lãi suất danh nghĩa, phương thức thanh toán gốc, lãi trái phiếu;
b) Khối lượng trái phiếu dự kiến mua lại đối với từng mã trái phiếu;
c) Ngày cuối cùng đăng ký bán lại trái phiếu, ngày phong tỏa trái phiếu, ngày tổ chức mua lại trái phiếu và ngày mua lại trái phiếu;
d) Hình thức đấu thầu, phương thức xác định kết quả đấu thầu.
2. Căn cứ vào thông báo về việc mua lại trái phiếu theo quy định tại Khoản 1 Điều này, thành viên đấu thầu trái phiếu Chính phủ gửi Sở Giao dịch Chứng khoán bản đăng ký bán lại trái phiếu theo mẫu quy định tại Phụ lục 5 Thông tư này. Các bản đăng ký bán lại trái phiếu nộp sau ngày cuối cùng đăng ký bán lại trái phiếu là không hợp lệ.
3. Sau ngày cuối cùng đăng ký bán lại trái phiếu, căn cứ thông tin đăng ký bán lại trái phiếu của thành viên đấu thầu trái phiếu Chính phủ tại Khoản 2 Điều này, Sở Giao dịch Chứng khoán thông báo cho Trung tâm Lưu ký Chứng khoán Việt Nam để phong tỏa số trái phiếu đăng ký bán lại theo mẫu tại Phụ lục 6 Thông tư này. Trung tâm Lưu ký Chứng khoán Việt Nam thực hiện phong tỏa số trái phiếu đăng ký bán lại của chủ sở hữu trái phiếu và thông báo cho Sở Giao dịch Chứng khoán, Kho bạc Nhà nước việc phong tỏa trái phiếu.
4. Chậm nhất vào 10 giờ 30 phút ngày tổ chức mua lại trái phiếu, các thành viên đấu thầu gửi Sở Giao dịch chứng khoán thông tin dự thầu theo quy trình và mẫu đăng ký dự thầu do Sở Giao dịch Chứng khoán quy định. Mỗi thành viên đấu thầu và mỗi khách hàng của thành viên đấu thầu dự thầu cạnh tranh lãi suất được phép đặt tối đa năm (05) mức dự thầu trên một phiếu dự thầu đối với mỗi mã trái phiếu gọi thầu, mỗi mức đặt thầu bao gồm lãi suất dự thầu (tính đến 2 chữ số thập phân) và khối lượng trái phiếu dự thầu tương ứng. Đối với trường hợp đấu thầu hộ cho khách hàng, thành viên đấu thầu phải cung cấp đầy đủ tên khách hàng, mức lãi suất và khối lượng dự thầu tương ứng của mỗi khách hàng.
5. Chậm nhất mười lăm (15) phút sau thời gian đăng ký dự thầu cuối cùng quy định tại Khoản 4 Điều này, Sở Giao dịch Chứng khoán mở thầu, tổng hợp thông tin dự thầu và gửi cho Kho bạc Nhà nước.
6. Căn cứ vào thông tin dự thầu tổng hợp nhận từ Sở Giao dịch Chứng khoán, Kho bạc Nhà nước xác định mức lãi suất mua lại đối với mỗi mã trái phiếu gọi thầu và thông báo cho Sở Giao dịch Chứng khoán để xác định kết quả đấu thầu trái phiếu theo quy định tại Điều 13 Thông tư này.
7. Kết thúc phiên đấu thầu mua lại trái phiếu, Sở Giao dịch chứng khoán thông báo kết quả đấu thầu cho thành viên đấu thầu bằng dữ liệu điện tử thông qua hệ thống đấu thầu trái phiếu điện tử.
8. Kết thúc phiên đấu thầu mua lại trái phiếu, Sở Giao dịch Chứng khoán thông báo kết quả đấu thầu mua lại trái phiếu cho Kho bạc Nhà nước, Trung tâm Lưu ký chứng khoán Việt Nam theo mẫu tại Phụ lục 7 Thông tư này. Trung tâm lưu ký chứng khoán Việt Nam tiếp tục phong tỏa trái phiếu đã trúng thầu mua lại và ngừng phong tỏa trái phiếu không trúng thầu mua lại trong ngày tổ chức mua lại trái phiếu.
9. Vào ngày mua lại trái phiếu, Kho bạc Nhà nước thực hiện chuyển tiền mua lại trái phiếu theo quy định tại Điều 16 Thông tư này.
10. Việc hủy niêm yết, hủy đăng ký, rút lưu ký trái phiếu thực hiện theo quy định tại Điều 17 Thông tư này.
11. Kết thúc đợt mua lại trái phiếu, các đơn vị thực hiện công bố thông tin theo quy định tại Điều 18 Thông tư này.
Điều 13. Xác định kết quả đấu thầu
1. Căn cứ để xác định lãi suất trúng thầu, khối lượng trúng thầu và giá mua lại trái phiếu:
a) Khối lượng trái phiếu gọi thầu mua lại;
b) Lãi suất và khối lượng trái phiếu dự thầu;
c) Khung lãi suất tối thiểu mua lại trái phiếu theo quy định tại Điều 3 Thông tư này.
2. Phương pháp xác định lãi suất trúng thầu:
a) Đối với phương thức đấu thầu đơn giá
Lãi suất trúng thầu là mức lãi suất dự thầu thấp nhất, áp dụng chung cho tất cả các thành viên trúng thầu (cạnh tranh và không cạnh tranh lãi suất) và được xét chọn theo thứ tự từ cao đến thấp của lãi suất dự thầu, thỏa mãn đồng thời hai (02) điều kiện sau:
- Trong khung lãi suất tối thiểu do Bộ Tài chính quy định;
- Khối lượng trái phiếu mua lại tính lũy kế đến mức lãi suất trúng thầu không vượt quá khối lượng trái phiếu thông báo mua lại.
b) Đối với phương thức đấu thầu đa giá
- Lãi suất trúng thầu áp dụng cho mỗi thành viên trúng thầu cạnh tranh lãi suất là mức lãi suất dự thầu của thành viên đó và được xét chọn theo thứ tự từ cao đến thấp của lãi suất dự thầu, thỏa mãn đồng thời hai (02) điều kiện sau:
+ Bình quân gia quyền các mức lãi suất trúng thầu không thấp hơn khung lãi suất tối thiểu mua lại trái phiếu do Bộ Tài chính quy định;
+ Khối lượng trái phiếu mua lại tính lũy kế đến mức lãi suất trúng thầu thấp nhất không vượt quá khối lượng trái phiếu gọi thầu.
- Lãi suất trúng thầu áp dụng cho các thành viên đặt thầu dưới hình thức không cạnh tranh lãi suất là bình quân gia quyền của các mức lãi suất trúng thầu, được làm tròn xuống tới hai (02) chữ số thập phân.
3. Phương pháp xác định khối lượng trái phiếu trúng thầu cho từng thành viên đấu thầu:
a) Đối với trái phiếu được đấu thầu dưới hình thức cạnh tranh lãi suất:
Khối lượng trái phiếu mua lại cho mỗi thành viên dự thầu cạnh tranh lãi suất tương đương với khối lượng trái phiếu dự thầu của thành viên đó. Trường hợp tại mức lãi suất trúng thầu thấp nhất, khối lượng trái phiếu dự thầu tính lũy kế đến mức lãi suất trúng thầu thấp nhất vượt quá khối lượng trái phiếu gọi thầu thì sau khi đã trừ đi khối lượng trái phiếu dự thầu ở các mức lãi suất cao hơn, phần dư còn lại của khối lượng trái phiếu gọi thầu được phân bổ cho các thành viên dự thầu tại mức lãi suất trúng thầu thấp nhất theo tỷ lệ tương ứng với khối lượng trái phiếu dự thầu. Khối lượng trái phiếu phân bổ cho các thành viên được làm tròn xuống hàng 10.000 (mười nghìn) đơn vị trái phiếu.
b) Đối với trái phiếu được đấu thầu dưới hình thức kết hợp cạnh tranh lãi suất và không cạnh tranh lãi suất:
- Khối lượng trái phiếu mua lại từ mỗi thành viên dự thầu cạnh tranh lãi suất tương đương với khối lượng trái phiếu dự thầu của thành viên đó. Trường hợp tại mức lãi suất trúng thầu thấp nhất, khối lượng trái phiếu dự thầu tính lũy kế đến mức lãi suất trúng thầu thấp nhất vượt quá khối lượng trái phiếu gọi thầu thì sau khi đã trừ đi khối lượng trái phiếu dự thầu ở các mức lãi suất cao hơn và khối lượng trái phiếu mua lại từ các thành viên dự thầu không cạnh tranh lãi suất, phần dư còn lại được phân bổ cho các thành viên dự thầu tại mức lãi suất trúng thầu thấp nhất theo tỷ lệ tương ứng với khối lượng trái phiếu dự thầu và được làm tròn xuống hàng 10.000 (mười nghìn) đơn vị trái phiếu.
- Khối lượng trái phiếu mua lại từ mỗi thành viên dự thầu không cạnh tranh lãi suất tương đương với khối lượng trái phiếu dự thầu của thành viên đó. Trường hợp tổng khối lượng dự thầu vượt quá giới hạn quy định tại Điểm b Khoản 2 Điều 10 Thông tư này, khối lượng trái phiếu mua lại cho mỗi thành viên dự thầu không cạnh tranh lãi suất được phân bổ theo tỷ lệ tương ứng với khối lượng trái phiếu dự thầu của thành viên đó và được làm tròn xuống hàng 10.000 (mười nghìn) đơn vị trái phiếu.
- Trường hợp tất cả các thành viên dự thầu cạnh tranh lãi suất không trúng thầu, trái phiếu sẽ không được mua lại từ các thành viên dự thầu không cạnh tranh lãi suất.
4. Tổng số tiền mua lại trái phiếu được xác định bằng khối lượng trái phiếu mua lại từ chủ sở hữu trái phiếu nhân với giá mua một (01) trái phiếu. Giá mua lại một (01) trái phiếu được xác định theo Điều 14 Thông tư này.
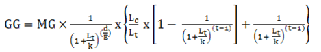
Điều 14. Xác định giá mua lại một (01) trái phiếu

GG = Giá mua lại một (01) trái phiếu (được làm tròn về đơn vị đồng)
MG = Mệnh giá trái phiếu
a = Số ngày kể từ ngày mua lại trái phiếu cho đến ngày thanh toán tiền lãi kế tiếp theo giả định
E = Số ngày trong kỳ trả lãi giả định mà trái phiếu được mua lại
t = Số lần trả lãi giả định kể từ ngày mua lại trái phiếu đến ngày trái phiếu đáo hạn
Lt = Lãi suất mua lại trái phiếu (%/năm)
2. Xác định giá mua lại một (01) trái phiếu có lãi suất danh nghĩa cố định, thanh toán lãi định kỳ và có các kỳ trả lãi bằng nhau:
GG = 

GG = Giá mua lại một (01) trái phiếu (được làm tròn đến đơn vị đồng)
MG = Mệnh giá trái phiếu
Lc = Lãi suất danh nghĩa trái phiếu (%/năm).
k = Số lần thanh toán lãi định kỳ trong 1 năm
d = Số ngày thực tế giữa ngày mua lại trái phiếu và ngày thanh toán tiền lãi kế tiếp theo giả định
E = Số ngày thực tế trong kỳ trả lãi mà trái phiếu được mua lại
t = Số lần thanh toán lãi trái phiếu giữa ngày mua lại trái phiếu và ngày đáo hạn của trái phiếu.
Lt = Lãi suất mua lại trái phiếu (%/năm)
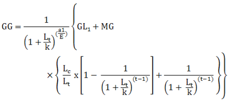
3. Xác định giá mua lại một (01) trái phiếu có lãi suất danh nghĩa cố định, thanh toán lãi định kỳ và có kỳ trả lãi đầu tiên ngắn hơn hoặc dài hơn so với các kỳ trả lãi tiếp theo:
- Đối với trường hợp số ngày thực tế từ ngày mua lại trái phiếu đến ngày thanh toán tiền lãi của kỳ trả lãi đầu tiên ngắn hơn một (01) kỳ trả lãi thông thường, giá mua một (01) trái phiếu được xác định như sau:


GL1 = Số tiền thanh toán lãi của một (01) trái phiếu đối với kỳ trả lãi đầu tiên theo điều khoản của trái phiếu khi phát hành lần đầu
MG = Mệnh giá trái phiếu
Lt = Lãi suất mua lại trái phiếu (%/năm)
Lc = Lãi suất danh nghĩa trái phiếu (%/năm)
k = Số lần thanh toán lãi định kỳ trong 1 năm
a1 = Số ngày thực tế giữa ngày mua lại trái phiếu và ngày thanh toán tiền lãi trái phiếu đầu tiên theo điều khoản của trái phiếu khi phát hành lần đầu
a2 = Số ngày thực tế từ ngày mua lại trái phiếu đến ngày thanh toán tiền lãi thông thường theo giả định
E = Số ngày trong kỳ trả lãi thông thường theo điều khoản của trái phiếu khi phát hành lần đầu
t = Số lần thanh toán lãi giữa ngày mua lại trái phiếu và ngày đáo hạn của trái phiếu
b) Trường hợp ngày mua lại trái phiếu sau ngày đăng ký cuối cùng để nhận được tiền lãi trái phiếu của kỳ trả lãi đầu tiên, giá mua lại một (01) trái phiếu được xác định theo công thức như đối với trường hợp trái phiếu có các kỳ trả lãi bằng nhau theo quy định tại Khoản 2 Điều này.
4. Trường hợp lãi suất danh nghĩa trái phiếu là lãi suất thả nổi, Bộ Tài chính thông báo cách xác định lãi suất và giá mua lại trái phiếu tại từng đợt mua lại.
Mục 3. THANH TOÁN TIỀN MUA LẠI TRÁI PHIẾU, HỦY LƯU KÝ, ĐĂNG KÝ, NIÊM YẾT TRÁI PHIẾU VÀ CÔNG BỐ THÔNG TIN
Điều 15. Nguồn tổ chức mua lại trái phiếu
Nguồn mua lại trái phiếu và chi phí tổ chức mua lại trái phiếu do ngân sách trung ương chi trả theo quy định của Luật Ngân sách Nhà nước, Luật Quản lý nợ công và các văn bản hướng dẫn.
Điều 16. Thanh toán tiền mua lại trái phiếu
1. Đối với trái phiếu mua lại theo phương thức đàm phán:
Chậm nhất vào 11 giờ 30 phút ngày mua lại trái phiếu theo hợp đồng mua lại trái phiếu, Kho bạc Nhà nước phải đảm bảo toàn bộ tiền mua lại trái phiếu đã được thanh toán và ghi có vào tài khoản của chủ sở hữu trái phiếu. Kho bạc Nhà nước thông báo cho Sở Giao dịch chứng khoán sau khi hoàn thành việc thanh toán để thực hiện hủy niêm yết trái phiếu theo quy định tại Điều 17 Thông tư này.
2. Đối với trái phiếu mua lại theo phương thức đấu thầu:
a) Chậm nhất vào 11 giờ 30 phút ngày mua lại trái phiếu, Kho bạc Nhà nước phải đảm bảo toàn bộ tiền mua lại trái phiếu (bao gồm cả tiền mua lại trái phiếu của khách hàng của thành viên đấu thầu) đã được thanh toán và ghi có vào tài khoản của Trung tâm Lưu ký Chứng khoán Việt Nam.
b) Trong ngày mua lại trái phiếu, Trung tâm lưu ký chứng khoán Việt Nam thực hiện chuyển tiền thanh toán cho chủ sở hữu trái phiếu theo danh sách thông báo của Kho bạc Nhà nước. Trung tâm lưu ký chứng khoán Việt Nam thông báo cho Sở Giao dịch chứng khoán sau khi hoàn thành việc thanh toán để thực hiện hủy niêm yết trái phiếu theo quy định tại Điều 17 Thông tư này.
Điều 17. Hủy niêm yết, hủy đăng ký và rút lưu ký trái phiếu
1. Sở Giao dịch chứng khoán thực hiện hủy niêm yết đối với trái phiếu trúng thầu mua lại trong ngày mua lại trái phiếu sau khi nhận được xác nhận hoàn tất thanh toán của Kho bạc Nhà nước (đối với trường hợp mua lại theo phương thức đàm phán) hoặc của Trung tâm Lưu ký chứng khoán Việt Nam (đối với trường hợp mua lại theo phương thức đấu thầu). Sau khi hủy niêm yết, Sở Giao dịch chứng khoán thông báo cho Trung tâm Lưu ký chứng khoán Việt Nam để hủy đăng ký, rút lưu ký đối với các trái phiếu được mua lại trong cùng ngày.
2. Trung tâm Lưu ký chứng khoán Việt Nam thực hiện hủy đăng ký, rút lưu ký đối với các trái phiếu sau khi nhận được thông báo hủy niêm yết trái phiếu của Sở Giao dịch chứng khoán.
3. Trung tâm Lưu ký chứng khoán Việt Nam gửi văn bản thông báo hủy đăng ký trái phiếu được mua lại đến Kho bạc Nhà nước, Sở Giao dịch chứng khoán và thành viên lưu ký.
Điều 18. Công bố thông tin
1. Chậm nhất năm (05) ngày làm việc sau ngày mua lại trái phiếu, Kho bạc Nhà nước công bố trên trang điện tử của Bộ Tài chính, Kho bạc nhà nước và Sở Giao dịch chứng khoán các thông tin về kết quả mua lại đối với mỗi mã trái phiếu mua lại, bao gồm:
a) Ngày phát hành lần đầu, ngày đáo hạn, lãi suất danh nghĩa, phương thức thanh toán gốc, lãi;
b) Ngày mua lại trái phiếu, lãi suất mua lại, khối lượng trái phiếu mua lại, phương thức mua lại trái phiếu.
2. Sở Giao dịch Chứng khoán thông báo trên trang điện tử của Sở Giao dịch Chứng khoán về việc hủy niêm yết trái phiếu được mua lại theo quy định tại Khoản 1 Điều 17 Thông tư này.
3. Trung tâm Lưu ký chứng khoán Việt Nam thông báo trên trang điện tử của Trung tâm Lưu ký chứng khoán Việt Nam về việc hủy đăng ký trái phiếu được mua lại theo quy định tại Khoản 2 Điều 17 Thông tư này.
Chương III
TRÁCH NHIỆM CỦA CÁC TỔ CHỨC CÓ LIÊN QUAN
Điều 19. Trách nhiệm của Bộ Tài chính
1. Phê duyệt hoặc trình Thủ tướng Chính phủ phê duyệt phương án mua lại trái phiếu của Kho bạc Nhà nước theo quy định tại Khoản 3 Điều 8 Thông tư này.
2. Bố trí kinh phí mua lại trái phiếu Chính phủ từ ngân sách Trung ương.
3. Quy định khung lãi suất tối thiểu mua lại trái phiếu trong từng thời kỳ hoặc từng đợt mua lại theo quy định tại Khoản 1 Điều 3 Thông tư này.
Điều 20. Trách nhiệm của Kho bạc Nhà nước
1. Xây dựng và báo cáo Bộ Tài chính phương án mua lại trái phiếu theo quy định của Thông tư này.
2. Tổ chức thực hiện mua lại trái phiếu Chính phủ theo quy định tại Thông tư này.
3. Thực hiện đầy đủ chế độ báo cáo và hạch toán kế toán liên quan đến việc mua lại trái phiếu theo quy định tại Thông tư này và các văn bản quy phạm pháp luật hiện hành.
4. Phối hợp với Trung tâm Lưu ký chứng khoán Việt Nam, Sở Giao dịch chứng khoán công bố thông tin theo quy định tại Thông tư này.
Điều 21. Trách nhiệm của Sở Giao dịch chứng khoán
1. Tổ chức đấu thầu mua lại trái phiếu theo quy định tại Thông tư này.
2. Lưu giữ, bảo quản các thông tin liên quan đến các đợt đấu thầu mua lại trái phiếu theo chế độ quy định.
3. Thực hiện công bố thông tin theo quy định tại Thông tư này.
4. Thực hiện hủy niêm yết trái phiếu theo các quy định tại Thông tư này.
Điều 22. Trách nhiệm của Trung tâm Lưu ký chứng khoán Việt Nam
1. Thực hiện phong tỏa, ngừng phong tỏa, hủy đăng ký, rút lưu ký trái phiếu theo các quy định tại Thông tư này.
2. Thanh toán tiền mua lại trái phiếu cho chủ sở hữu theo quy định tại Thông tư này.
3. Thực hiện công bố thông tin theo quy định tại Thông tư này.
Chương IV
ĐIỀU KHOẢN THI HÀNH
Điều 23.Điều khoản thi hành
1. Thông tư này có hiệu lực thi hành kể từ ngày 01 tháng 05 năm 2017.
2. Kho bạc Nhà nước được áp dụng quy trình đàm phán mua lại trái phiếu quy định tại Khoản 4 Điều 9 Thông tư này để thực hiện mua lại đối với trái phiếu không được đăng ký, lưu ký tại Trung tâm Lưu ký Chứng khoán Việt Nam.
3. Quyết định số 2346/QĐ-BTC ngày 28 tháng 09 năm 2009 của Bộ trưởng Bộ Tài chính ban hành Quy chế mua lại trái phiếu Chính phủ trước hạn hết hiệu lực thi hành kể từ ngày Thông tư này có hiệu lực thi hành.
Điều 24. Tổ chức thực hiện
1. Chánh Văn phòng Bộ Tài chính, Vụ trưởng Vụ Tài chính các ngân hàng và tổ chức tài chính, Tổng Giám đốc Kho bạc Nhà nước, Tổng giám đốc Sở Giao dịch chứng khoán, Tổng giám đốc Trung tâm Lưu ký chứng khoán Việt Nam và Thủ trưởng các đơn vị có liên quan chịu trách nhiệm thi hành theo quy định tại Thông tư này.
2. Trong quá trình triển khai thực hiện, nếu có khó khăn, vướng mắc, Kho bạc Nhà nước và các đơn vị có liên quan báo cáo kịp thời về Bộ Tài chính để xem xét và có hướng dẫn cụ thể./.
|
Nơi nhận: |
KT. BỘ TRƯỞNG |
Phụ lục 1. Mẫu đăng ký bán lại trái phiếu Chính phủ theo phương thức đàm phán
(Ban hành kèm theo Thông tư số 22/2017/TT-BTC ngày 15 tháng 03 năm 2017)
|
TÊN ĐƠN VỊ |
CỘNG HÒA XÃ HỘI CHỦ NGHĨA VIỆT NAM |
|
Số: |
………, ngày... tháng... năm...... |
Kính gửi: Kho bạc Nhà nước
Căn cứ Thông báo số …. ngày …./…/…. của Kho bạc Nhà nước về đợt mua lại trái phiếu theo phương thức đàm phán, chúng tôi xin đăng ký bán lại trái phiếu Chính phủ như sau:
|
Thông tin về trái phiếu đăng ký bán lại |
Thông tin về việc bán lại trái phiếu |
||||||
|
TT |
Chủ sở hữu trái phiếu |
Số tài khoản lưu ký trái phiếu |
Số tài khoản nhận tiền thanh toán bán lại trái phiếu |
Khối lượng trái phiếu sở hữu |
Khối lượng đăng ký bán lại |
Đơn vị đại diện đàm phán bán lại (*) |
|
|
I. Mã trái phiếu: - Ngày phát hành lần đầu: - Ngày đáo hạn: - Lãi suất danh nghĩa: - Phương thức thanh toán gốc, lãi |
1 |
A |
|
|
|
|
|
|
2 |
B |
|
|
|
|
|
|
|
3 |
C |
|
|
|
|
|
|
|
... |
|
|
|
|
|
|
|
|
Tổng cộng |
|
|
|
||||
|
II. Mã trái phiếu: - Ngày phát hành lần đầu: - Ngày đáo hạn: - Lãi suất danh nghĩa: - Phương thức thanh toán gốc, lãi |
1 |
G |
|
|
|
|
|
|
2 |
H |
|
|
|
|
|
|
|
3 |
K |
|
|
|
|
|
|
|
... |
|
|
|
|
|
|
|
|
Tổng cộng |
|
|
|
||||
|
... |
|
|
|
|
|
|
|
(*) Ghi rõ trái phiếu thuộc sở hữu của đơn vị hay đơn vị đàm phán bán lại cho khách hàng.
|
Nơi nhận: |
THỦ TRƯỞNG ĐƠN VỊ |
Phụ lục 2. Mẫu thông báo phong tỏa trái phiếu Chính phủ đăng ký bán lại theo phương thức đàm phán
(Ban hành kèm theo Thông tư số 22/2017/TT-BTC ngày 15 tháng 03 năm 2017)
|
KHO BẠC NHÀ NƯỚC |
CỘNG HÒA XÃ HỘI CHỦ NGHĨA VIỆT NAM |
|
Số: |
………, ngày... tháng... năm...... |
Kính gửi: Trung tâm lưu ký chứng khoán Việt Nam
Căn cứ danh sách đăng ký bán lại trái phiếu Chính phủ của chủ sở hữu trái phiếu, Kho bạc Nhà nước đề nghị Trung tâm lưu ký chứng khoán Việt Nam phong tỏa số trái phiếu đăng ký bán lại từ ngày ... tháng ... năm ... đến ngày ... tháng ... năm ...., cụ thể như sau:
|
Thông tin về trái phiếu đăng ký bán lại |
Thông tin về việc phong tỏa trái phiếu đăng ký bán lại |
|||||
|
TT |
Chủ sở hữu trái phiếu |
Số tài khoản lưu ký trái phiếu |
Khối lượng trái phiếu sở hữu |
Khối lượng trái phiếu đăng ký bán lại đề nghị phong tỏa |
Đơn vị đại diện đàm phán bán lại (*) |
|
|
I. Mã trái phiếu: - Ngày phát hành lần đầu: - Ngày đáo hạn: - Lãi suất danh nghĩa: - Phương thức thanh toán gốc, lãi |
1 |
A |
|
|
|
|
|
2 |
B |
|
|
|
|
|
|
3 |
C |
|
|
|
|
|
|
... |
|
|
|
|
|
|
|
Tổng cộng |
|
|
|
|||
|
II. Mã trái phiếu: - Ngày phát hành lần đầu: - Ngày đáo hạn: - Lãi suất danh nghĩa: - Phương thức thanh toán gốc, lãi |
1 |
G |
|
|
|
|
|
2 |
H |
|
|
|
|
|
|
3 |
K |
|
|
|
|
|
|
... |
|
|
|
|
|
|
|
Tổng cộng |
|
|
|
|||
|
... |
|
|
|
|
|
|
(*) Ghi rõ trái phiếu thuộc sở hữu của đơn vị hay đơn vị đàm phán bán lại cho khách hàng.
|
Nơi nhận: |
TỔNG GIÁM ĐỐC |
Phụ lục 3. Mẫu hợp đồng mua, bán lại trái phiếu theo phương thức đàm phán giữa Kho bạc Nhà nước và chủ sở hữu trái phiếu
(Ban hành kèm theo Thông tư số 22/2017/TT-BTC ngày 15 tháng 03 năm 2017)
CỘNG HOÀ XÃ HỘI CHỦ NGHĨA VIỆT NAM
Độc lập - Tự do - Hạnh phúc
----------------
HỢP ĐỒNG MUA LẠI TRÁI PHIẾU CHÍNH PHỦ
Số: ... /HĐ
- Căn cứ Nghị định số 01/2011/NĐ-CP ngày 05/1/2011 của Chính phủ về phát hành trái phiếu Chính phủ, trái phiếu được Chính phủ bảo lãi và trái phiếu chính quyền địa phương;
- Căn cứ Thông tư số /2017/TT-BTC ngày tháng năm 2017 của Bộ Tài chính quy định mua lại trái phiếu Chính phủ tại thị trường trong nước;
Hôm nay, ngày ... tháng ... năm..., tại ...
Chúng tôi gồm:
I. Bên mua lại trái phiếu Chính phủ (sau đây gọi là Bên mua)
- Tên tổ chức mua lại trái phiếu Chính phủ: Kho bạc Nhà nước
- Địa chỉ:
- Người đại diện hợp pháp: (Họ tên, chức vụ, địa chỉ)
II. Bên bán lại trái phiếu Chính phủ (sau đây gọi là Bên bán)
- Tên tổ chức bán lại trái phiếu Chính phủ:
- Địa chỉ:
- Người đại diện hợp pháp: (Họ tên, chức vụ, địa chỉ)
Sau khi thống nhất, hai bên cùng nhau ký kết Hợp đồng bán lại trái phiếu Chính phủ với các nội dung sau đây:
Điều 1. Kết quả mua lại trái phiếu
Bên bán đồng ý bán lại trái phiếu cho Bên mua với các điều khoản như sau:
|
Điều khoản, điệu kiện của trái phiếu thống nhất mua lại |
Khối lượng trái phiếu thống nhất mua lại |
Lãi suất mua lại |
Giá mua lại một trái phiếu |
Tổng số tiền mua lại trái phiếu |
Ngày mua lại trái phiếu |
Tài khoản nhận tiền thanh toán mua lại trái phiếu |
||||
|
Mã trái phiếu |
Ngày phát hành lần đầu |
Ngày đáo hạn |
Lãi suất danh nghĩa |
Phương thức thanh toán gốc, lãi |
||||||
|
|
|
|
|
|
|
|
|
|
|
|
|
|
|
|
|
|
|
|
|
|
|
|
|
|
|
|
|
|
|
|
|
|
|
|
Điều 2. Trách nhiệm của các bên
1. Trách nhiệm của Kho bạc Nhà nước
Thanh toán tiền mua lại trái phiếu theo Điều 1 Hợp đồng này và quy định tại Khoản 1 Điều 16 Thông tư số ...../2017/TT-BTC ngày ..../..../2017.
2. Trách nhiệm của bên bán lại trái phiếu Chính phủ:
Bán lại trái phiếu đã được thỏa thuận tại Điều 1 Hợp đồng này.
Điều 3. Trái phiếu được mua lại thực hiện hủy niêm yết, hủy đăng ký, rút lưu ký theo quy định tại Điều 17 Thông tư số ...../2017/TT-BTC ngày ..../..../2017.
Điều 4. Hiệu lực thi hành
- Hợp đồng này có hiệu lực thi hành kể từ ngày ký.
Hợp đồng này được lập 02 bản có giá trị như nhau, mỗi bên giữ 01 bản.
|
CHỦ SỞ HỮU TRÁI PHIẾU/TỔ CHỨC ĐƯỢC CHỦ SỞ HỮU TRÁI PHIẾU ỦY QUYỀN |
KHO BẠC NHÀ NƯỚC |
Phụ lục 4. Mẫu thông báo đề nghị tiếp tục phong tỏa đối với trái phiếu đã ký hợp đồng mua lại và ngừng phong tỏa trái phiếu không thống nhất mua lại theo phương thức đàm phán
(Ban hành kèm theo Thông tư số 22/2017/TT-BTC ngày 15 tháng 03 năm 2017)
|
KHO BẠC NHÀ NƯỚC |
CỘNG HÒA XÃ HỘI CHỦ NGHĨA VIỆT NAM |
|
Số: |
………, ngày... tháng... năm...... |
Kính gửi: Trung tâm lưu ký chứng khoán Việt Nam
Căn cứ kết quả đàm phán mua lại trái phiếu ngày ... tháng ... năm, Kho bạc Nhà nước đề nghị Trung tâm lưu ký chứng khoán Việt Nam tiếp tục phong tỏa số trái phiếu đã ký hợp đồng mua lại và ngừng phong tỏa số trái phiếu không thống nhất mua lại, cụ thể như sau:
1. Khối lượng trái phiếu đã ký hợp đồng mua lại đề nghị tiếp tục phong tỏa và khối lượng trái phiếu không thống nhất mua lại đề nghị ngừng phong tỏa như sau:
|
Thông tin về trái phiếu đăng ký bán lại |
Thông tin về việc tiếp tục phong tỏa/ngừng phong tỏa trái phiếu |
|||||||||||
|
TT |
Chủ sở hữu trái phiếu |
Số tài khoản lưu ký trái phiếu |
Số tài khoản nhận tiền thanh toán bán lại trái phiếu |
Khối lượng trái phiếu sở hữu |
Khối lượng trái phiếu đăng ký bán lại đã đề nghị phong tỏa |
Đề nghị tiếp tục phong tỏa/ngừng phong tỏa trái phiếu |
||||||
|
Khối lượng trái phiếu đề nghị tiếp tục phong tỏa |
Khối lượng trái phiếu đề nghị ngừng phong tỏa |
|||||||||||
|
I. Mã trái phiếu: - Ngày phát hành đầu tiên: - Ngày đáo hạn: - Lãi suất danh nghĩa: - Phương thức thanh toán gốc, lãi |
1 |
A |
|
|
|
|
|
|
||||
|
2 |
B |
|
|
|
|
|
|
|||||
|
3 |
C |
|
|
|
|
|
|
|||||
|
... |
|
|
|
|
|
|
|
|||||
|
Tổng cộng |
|
|
|
|
||||||||
|
II. Mã trái phiếu: - Ngày phát hành đầu tiên: - Ngày đáo hạn: - Lãi suất danh nghĩa: - Phương thức thanh toán gốc, lãi |
1 |
G |
|
|
|
|
|
|
||||
|
2 |
H |
|
|
|
|
|
|
|||||
|
3 |
K |
|
|
|
|
|
|
|||||
|
... |
|
|
|
|
|
|
|
|||||
|
Tổng cộng |
|
|
|
|
||||||||
|
... |
|
|
|
|
|
|
|
|
||||
2. Đề nghị Trung tâm lưu ký chứng khoán tiếp tục phong tỏa trái phiếu theo Mục 1 nêu trên cho đến ngày Kho bạc Nhà nước thông báo cho Trung tâm lưu ký chứng khoán Việt Nam về việc đã hoàn tất việc thanh toán tiền mua lại trái phiếu cho chủ sở hữu trái phiếu. Sau khi Sở Giao dịch chứng khoán thông báo việc hủy niêm yết trái phiếu, đề nghị Trung tâm lưu ký chứng khoán Việt Nam rút lưu ký trái phiếu theo quy định.
Trân trọng cảm ơn sự hợp tác của Trung tâm lưu ký chứng khoán Việt Nam./.
|
Nơi nhận: |
TỔNG GIÁM ĐỐC |
Phụ lục 5. Mẫu đăng ký bán lại trái phiếu Chính phủ theo phương thức đấu thầu
(Ban hành kèm theo Thông tư số 22/2017/TT-BTC ngày 15 tháng 3 năm 2017)
|
TÊN ĐƠN VỊ |
CỘNG HÒA XÃ HỘI CHỦ NGHĨA VIỆT NAM |
|
Số: |
|
Kính gửi: Sở Giao dịch chứng khoán
Căn cứ Thông báo số …. ngày …./…/…. của Sở Giao dịch chứng khoán về đợt mua lại trái phiếu theo phương thức đấu thầu, chúng tôi xin đăng ký bán lại trái phiếu Chính phủ như sau:
|
Thông tin về trái phiếu đăng ký bán lại |
Thông tin về việc bán lại trái phiếu |
||||||
|
TT |
Chủ sở hữu trái phiếu |
Số tài khoản lưu ký trái phiếu |
Số tài khoản nhận tiền thanh toán bán lại trái phiếu |
Khối lượng trái phiếu sở hữu |
Khối lượng đăng ký bán lại |
Ghi chú (*) |
|
|
I. Mã trái phiếu: - Ngày phát hành lần đầu: - Ngày đáo hạn: - Lãi suất danh nghĩa: - Phương thức thanh toán gốc, lãi |
1 |
A |
|
|
|
|
|
|
2 |
B |
|
|
|
|
|
|
|
3 |
C |
|
|
|
|
|
|
|
... |
|
|
|
|
|
|
|
|
Tổng cộng |
|
|
|
||||
|
II. Mã trái phiếu: - Ngày phát hành lần đầu: - Ngày đáo hạn: - Lãi suất danh nghĩa: - Phương thức thanh toán gốc, lãi |
1 |
G |
|
|
|
|
|
|
2 |
H |
|
|
|
|
|
|
|
3 |
K |
|
|
|
|
|
|
|
... |
|
|
|
|
|
|
|
|
Tổng cộng |
|
|
|
||||
|
... |
|
|
|
|
|
|
|
(*) Ghi rõ trái phiếu thuộc sở hữu của đơn vị hay đơn vị bán lại cho khách hàng.
|
Nơi nhận: |
THỦ TRƯỞNG ĐƠN VỊ |
Phụ lục 6. Mẫu thông báo phong tỏa trái phiếu Chính phủ đăng ký bán lại theo phương thức đấu thầu
(Ban hành kèm theo Thông tư số 22/2017/TT-BTC ngày 15 tháng 03 năm 2017)
|
SỞ GIAO DỊCH CHỨNG KHOÁN |
CỘNG HÒA XÃ HỘI CHỦ NGHĨA VIỆT NAM |
|
Số: |
………, ngày... tháng... năm...... |
Kính gửi: Trung tâm lưu ký chứng khoán Việt Nam
Căn cứ đơn đăng ký bán lại trái phiếu Chính phủ của chủ sở hữu trái phiếu, Sở Giao dịch chứng khoán đề nghị Trung tâm lưu ký chứng khoán Việt Nam phong tỏa số trái phiếu đăng ký bán lại từ ngày ... tháng ... năm ... đến ngày ... tháng ... năm ...., cụ thể như sau:
|
Thông tin về trái phiếu đăng ký bán lại |
Thông tin về việc đăng ký bán lại trái phiếu |
||||||
|
TT |
Chủ sở hữu trái phiếu |
Số tài khoản lưu ký trái phiếu |
Số tài khoản nhận tiền thanh toán bán lại trái phiếu |
Khối lượng trái phiếu sở hữu |
Khối lượng đăng ký bán lại đề nghị phong tỏa |
Ghi chú (*) |
|
|
I. Mã trái phiếu: - Ngày phát hành lần đầu: - Ngày đáo hạn: - Lãi suất danh nghĩa: - Phương thức thanh toán gốc, lãi |
1 |
A |
|
|
|
|
|
|
2 |
B |
|
|
|
|
|
|
|
3 |
C |
|
|
|
|
|
|
|
... |
|
|
|
|
|
|
|
|
Tổng cộng |
|
|
|
||||
|
II. Mã trái phiếu: - Ngày phát hành lần đầu: - Ngày đáo hạn: - Lãi suất danh nghĩa: - Phương thức thanh toán gốc, lãi |
1 |
G |
|
|
|
|
|
|
2 |
H |
|
|
|
|
|
|
|
3 |
K |
|
|
|
|
|
|
|
... |
|
|
|
|
|
|
|
|
Tổng cộng |
|
|
|
||||
|
... |
|
|
|
|
|
|
|
(*) Ghi rõ trái phiếu thuộc sở hữu của đơn vị hay đơn vị bán lại cho khách hàng.
|
Nơi nhận: |
TỔNG GIÁM ĐỐC |
Phụ lục 7. Mẫu thông báo kết quả đấu thầu mua lại trái phiếu Chính phủ
(Ban hành kèm theo Thông tư số 22/2017/TT-BTC ngày 15 tháng 03 năm 2017)
|
SỞ GIAO DỊCH CHỨNG KHOÁN |
CỘNG HÒA XÃ HỘI CHỦ NGHĨA VIỆT NAM |
|
Số: |
………, ngày... tháng... năm...... |
Kính gửi: Trung tâm Lưu ký chứng khoán Việt Nam
Kho bạc Nhà nước
Căn cứ kết quả đấu thầu mua lại trái phiếu ngày ... tháng ... năm, Sở Giao dịch chứng khoán đề nghị Trung tâm lưu ký chứng khoán Việt Nam tiếp tục phong tỏa số trái phiếu trúng thầu mua lại và ngừng phong tỏa số trái phiếu không trúng thầu mua lại, cụ thể như sau:
1. Đề nghị Trung tâm Lưu ký chứng khoán Việt Nam tiếp tục phong tỏa/ngừng phong tỏa các trái phiếu đã đăng ký bán lại như sau:
|
Thông tin về trái phiếu đăng ký bán lại |
Thông tin về việc tiếp tục phong tỏa/ngừng phong tỏa trái phiếu |
|||||||
|
TT |
Chủ sở hữu trái phiếu |
Số tài khoản lưu ký trái phiếu |
Số tài khoản nhận tiền thanh toán bán lại trái phiếu |
Khối lượng trái phiếu sở hữu |
Khối lượng trái phiếu đăng ký bán lại đã đề nghị phong tỏa |
Đề nghị tiếp tục phong tỏa/ngừng phong tỏa trái phiếu |
||
|
Khối lượng trái phiếu trúng thầu đề nghị tiếp tục phong tỏa |
Khối lượng trái phiếu không trúng thầu đề nghị ngừng phong tỏa |
|||||||
|
I. Mã trái phiếu: - Ngày phát hành lần đầu: - Ngày đáo hạn: - Lãi suất danh nghĩa: - Phương thức thanh toán gốc, lãi |
1 |
A |
|
|
|
|
|
|
|
2 |
B |
|
|
|
|
|
|
|
|
3 |
C |
|
|
|
|
|
|
|
|
... |
|
|
|
|
|
|
|
|
|
Tổng cộng |
|
|
|
|
||||
|
II. Mã trái phiếu: - Ngày phát hành lần đầu: - Ngày đáo hạn: - Lãi suất danh nghĩa: - Phương thức thanh toán gốc, lãi |
1 |
G |
|
|
|
|
|
|
|
2 |
H |
|
|
|
|
|
|
|
|
3 |
K |
|
|
|
|
|
|
|
|
... |
|
|
|
|
|
|
|
|
|
Tổng cộng |
|
|
|
|
||||
|
... |
|
|
|
|
|
|
|
|
2. Đề nghị Trung tâm lưu ký chứng khoán tiếp tục phong tỏa trái phiếu theo Mục 1 nêu trên đến ngày Kho bạc Nhà nước thanh toán tiền mua lại trái phiếu và ghi có vào tài khoản của Trung tâm lưu ký chứng khoán Việt Nam. Sau khi Sở Giao dịch chứng khoán thông báo việc hủy niêm yết trái phiếu, đề nghị Trung tâm lưu ký chứng khoán Việt Nam rút lưu ký trái phiếu theo quy định.
Trân trọng cảm ơn sự hợp tác của đơn vị./.
|
Nơi nhận: |
TỔNG GIÁM ĐỐC |
Bạn chưa Đăng nhập thành viên.
Đây là tiện ích dành cho tài khoản thành viên. Vui lòng Đăng nhập để xem chi tiết. Nếu chưa có tài khoản, vui lòng Đăng ký tại đây!
Bạn chưa Đăng nhập thành viên.
Đây là tiện ích dành cho tài khoản thành viên. Vui lòng Đăng nhập để xem chi tiết. Nếu chưa có tài khoản, vui lòng Đăng ký tại đây!