- Tổng quan
- Nội dung
- VB gốc
- Tiếng Anh
- Hiệu lực
- VB liên quan
- Lược đồ
-
Nội dung hợp nhất
Tính năng này chỉ có tại LuatVietnam.vn. Nội dung hợp nhất tổng hợp lại tất cả các quy định còn hiệu lực của văn bản gốc và các văn bản sửa đổi, bổ sung, đính chính... trên một trang. Việc hợp nhất văn bản gốc và những văn bản, Thông tư, Nghị định hướng dẫn khác không làm thay đổi thứ tự điều khoản, nội dung.
Khách hàng chỉ cần xem Nội dung hợp nhất là có thể nắm bắt toàn bộ quy định hiện hành đang áp dụng, cho dù văn bản gốc đã qua nhiều lần chỉnh sửa, bổ sung.
- Tải về
Thông tư 14/2026/TT-BNNMT hướng dẫn tiêu chí nông thôn mới 2026-2030
| Cơ quan ban hành: | Bộ Nông nghiệp và Môi trường |
Số công báo:
Số công báo là mã số ấn phẩm được đăng chính thức trên ấn phẩm thông tin của Nhà nước. Mã số này do Chính phủ thống nhất quản lý.
|
Đã biết
|
| Số hiệu: | 14/2026/TT-BNNMT | Ngày đăng công báo: |
Đã biết
|
| Loại văn bản: | Thông tư | Người ký: | Nguyễn Hoàng Hiệp |
| Trích yếu: | Hướng dẫn thực hiện một số nội dung tiêu chí, điều kiện thuộc Bộ tiêu chí quốc gia về nông thôn mới giai đoạn 2026 - 2030 thuộc phạm vi quản lý Nhà nước của Bộ Nông nghiệp và Môi trường | ||
|
Ngày ban hành:
Ngày ban hành là ngày, tháng, năm văn bản được thông qua hoặc ký ban hành.
|
27/02/2026 |
Ngày hết hiệu lực:
Ngày hết hiệu lực là ngày, tháng, năm văn bản chính thức không còn hiệu lực (áp dụng).
|
Đang cập nhật |
|
Áp dụng:
Ngày áp dụng là ngày, tháng, năm văn bản chính thức có hiệu lực (áp dụng).
|
Đã biết
|
Tình trạng hiệu lực:
Cho biết trạng thái hiệu lực của văn bản đang tra cứu: Chưa áp dụng, Còn hiệu lực, Hết hiệu lực, Hết hiệu lực 1 phần; Đã sửa đổi, Đính chính hay Không còn phù hợp,...
|
Đã biết
|
| Lĩnh vực: | Nông nghiệp-Lâm nghiệp | ||
TÓM TẮT THÔNG TƯ 14/2026/TT-BNNMT
Hướng dẫn thực hiện tiêu chí nông thôn mới giai đoạn 2026-2030
Ngày 27/02/2026, Bộ Nông nghiệp và Môi trường đã ban hành Thông tư 14/2026/TT-BNNMT hướng dẫn thực hiện một số nội dung tiêu chí, điều kiện thuộc Bộ tiêu chí quốc gia về nông thôn mới giai đoạn 2026 - 2030. Thông tư này có hiệu lực từ ngày ký ban hành.
Thông tư này áp dụng cho Ủy ban nhân dân các tỉnh, thành phố trực thuộc Trung ương, UBND các xã, các cơ quan, đơn vị, tổ chức, cá nhân liên quan đến việc thực hiện các nội dung hướng dẫn tiêu chí, điều kiện quy định.
- Tiêu chí về công trình thủy lợi và phòng chống thiên tai
Các công trình thủy lợi do xã quản lý phải được bảo trì hàng năm, đảm bảo diện tích đất sản xuất nông nghiệp được tưới và tiêu nước chủ động. Xã phải có kế hoạch bảo trì công trình thủy lợi và thực hiện bảo trì đạt 100% theo kế hoạch. Đối với phòng chống thiên tai, xã phải đảm bảo các yêu cầu về tổ chức bộ máy, nguồn nhân lực và có kế hoạch phòng chống thiên tai phù hợp.
- Vùng nguyên liệu và mô hình nông nghiệp
Xã cần có vùng nguyên liệu tập trung cho cây trồng, vật nuôi chủ lực, được chứng nhận chất lượng và gắn với chế biến, tiêu thụ sản phẩm. Mô hình nông nghiệp ứng dụng công nghệ cao, kinh tế xanh hoặc kinh tế tuần hoàn cần được phát triển hiệu quả, với các yêu cầu cụ thể về diện tích, mức độ cơ giới hóa, tự động hóa và số hóa.
- Phát triển sản phẩm OCOP và du lịch nông thôn
Xã phải có kế hoạch phát triển sản phẩm OCOP giai đoạn 2026 - 2030, với mục tiêu nâng cao số lượng và chất lượng sản phẩm. Các mô hình du lịch nông thôn cần được đầu tư hạ tầng đồng bộ, kết nối và hoạt động hiệu quả, gắn với đặc trưng của địa phương.
- Quản lý chất thải và bảo vệ môi trường
Hệ thống thu gom, vận chuyển, xử lý chất thải rắn phải đảm bảo yêu cầu về bảo vệ môi trường. Tỷ lệ chất thải rắn sinh hoạt được phân loại, thu gom, xử lý phải đạt ≥80%, và tỷ lệ chôn lấp trực tiếp ≤50% tổng lượng chất thải phát sinh. Chất thải chăn nuôi, chất thải hữu cơ, phụ phẩm nông nghiệp cần được thu gom, xử lý, tái chế thành sản phẩm, nguyên liệu, nhiên liệu, phân bón.
- Số hóa dữ liệu và an toàn thực phẩm
Xã cần đạt tỷ lệ số hóa dữ liệu về nông nghiệp và môi trường ≥70%, với hồ sơ công việc được xử lý trên môi trường điện tử. Đảm bảo an toàn thực phẩm với 100% số hộ gia đình, cơ sở sản xuất, kinh doanh thực phẩm tuân thủ các quy định về an toàn thực phẩm.
Xem chi tiết Thông tư 14/2026/TT-BNNMT có hiệu lực kể từ ngày 27/02/2026
Tải Thông tư 14/2026/TT-BNNMT
| BỘ NÔNG NGHIỆP VÀ MÔI TRƯỜNG
| CỘNG HÒA XÃ HỘI CHỦ NGHĨA VIỆT NAM Hà Nội, ngày 27 tháng 02 năm 2026 |
THÔNG TƯ
Hướng dẫn thực hiện một số nội dung tiêu chí, điều kiện thuộc Bộ tiêu chí
quốc gia về nông thôn mới giai đoạn 2026 - 2030 thuộc phạm vi
quản lý nhà nước của Bộ Nông nghiệp và Môi trường
Căn cứ Nghị định số 35/2025/NĐ-CP của Chính phủ quy định chức năng, nhiệm vụ, quyền hạn và cơ cấu tổ chức của Bộ Nông nghiệp và Môi trường;
Căn cứ Quyết định số 51/2025/QĐ-TTg của Thủ tướng Chính phủ ban hành Bộ tiêu chí quốc gia về nông thôn mới giai đoạn 2026 - 2030;
Theo đề nghị của Chánh Văn phòng Văn phòng Điều phối nông thôn mới Trung ương;
Bộ trưởng Bộ Nông nghiệp và Môi trường ban hành Thông tư hướng dẫn thực hiện một số nội dung tiêu chí, điều kiện thuộc Bộ tiêu chí quốc gia về nông thôn mới giai đoạn 2026 - 2030 thuộc phạm vi quản lý nhà nước của Bộ Nông nghiệp và Môi trường.
Chương I
QUY ĐỊNH CHUNG
Điều 1. Phạm vi điều chỉnh
Thông tư này hướng dẫn thực hiện một số nội dung tiêu chí, điều kiện thuộc phạm vi quản lý nhà nước của Bộ Nông nghiệp và Môi trường quy định tại Phụ lục I và Phụ lục III Quyết định số 51/2025/QĐ-TTg ngày 29 tháng 12 năm 2025 của Thủ tướng Chính phủ ban hành Bộ tiêu chí quốc gia về nông thôn mới giai đoạn 2026 - 2030 (sau đây gọi là Quyết định số 51/2025/QĐ-TTg), bao gồm:
1. Nội dung tiêu chí “2.2. Các công trình thủy lợi do xã quản lý được bảo trì hàng năm, đảm bảo diện tích đất sản xuất nông nghiệp được tưới và tiêu nước chủ động”;
2. Nội dung tiêu chí “2.3. Đảm bảo yêu cầu chủ động về phòng, chống thiên tai theo phương châm 4 tại chỗ”;
3. Nội dung tiêu chí “3.2. Vùng nguyên liệu tập trung đối với cây trồng, vật nuôi chủ lực của xã được chứng nhận chất lượng, gắn với chế biến và tiêu thụ sản phẩm”;
4. Nội dung tiêu chí “3.3. Có mô hình nông nghiệp ứng dụng công nghệ cao hoặc mô hình kinh tế xanh hoặc mô hình kinh tế tuần hoàn hiệu quả”;
5. Nội dung tiêu chí “3.4. Có kế hoạch và thực hiện hiệu quả kế hoạch phát triển sản phẩm OCOP gắn với đặc trưng, thế mạnh của địa phương”;
6. Nội dung tiêu chí “3.5. Các mô hình du lịch nông thôn (nếu có) trong quy hoạch chung xã được đầu tư hạ tầng đồng bộ kết nối và hoạt động hiệu quả gắn với đặc trưng của địa phương”;
7. Nội dung tiêu chí “3.7. Có tổ khuyến nông cộng đồng hoạt động hiệu quả”;
8. Nội dung tiêu chí 3.10 về “có làng nghề được công nhận hoặc khu vực sản xuất dịch vụ quy mô phù hợp được quy hoạch, đầu tư xây dựng đảm bảo đáp ứng các quy định của pháp luật”;
9. Nội dung tiêu chí “6.1. Tỷ lệ nghèo đa chiều”;
10. Nội dung tiêu chí “6.3. Tỷ lệ hộ được sử dụng nước sạch theo quy chuẩn”;
11. Nội dung tiêu chí “6.7. Đảm bảo an toàn thực phẩm”;
12. Nội dung tiêu chí “7.2. Tỷ lệ số hóa dữ liệu về nông nghiệp và môi trường”;
13. Nội dung tiêu chí “8.1. Hệ thống thu gom, vận chuyển, xử lý chất thải rắn (nếu có) trên địa bàn đảm bảo yêu cầu về bảo vệ môi trường; tỷ lệ chất thải rắn sinh hoạt được phân loại, thu gom, xử lý đạt ≥ 80%; tỷ lệ chất thải rắn sinh hoạt chôn lấp trực tiếp ≤ 50% tổng lượng chất thải rắn phát sinh”;
14. Nội dung tiêu chí “8.2. Tỷ lệ chất thải chăn nuôi, chất thải hữu cơ, phụ phẩm nông nghiệp được thu gom, xử lý, tái chế thành sản phẩm, nguyên liệu, nhiên liệu, phân bón”;
15. Nội dung tiêu chí “8.3. Tỷ lệ cơ sở sản xuất, kinh doanh, dịch vụ (bao gồm cả cơ sở chăn nuôi, nuôi trồng thủy sản, chế biến nông lâm thủy sản), làng nghề (nếu có) theo quy hoạch và tuân thủ quy định của pháp luật về bảo vệ môi trường”;
16. Nội dung tiêu chí “8.5. Cảnh quan, không gian xanh - sạch - đẹp, an toàn; có mô hình cải tạo, phục hồi cảnh quan, xử lý chất lượng nước mặt ao hồ, kênh mương trên địa bàn”;
17. Điều kiện “8. Có đề án hoặc kế hoạch và chính sách hỗ trợ: phát triển OCOP; phát triển du lịch nông thôn trên địa bàn”;
18. Điều kiện “11. Khu xử lý chất thải rắn tập trung cấp tỉnh đảm bảo yêu cầu về bảo vệ môi trường”.
Điều 2. Đối tượng áp dụng
Thông tư này áp dụng đối với Ủy ban nhân dân các tỉnh, thành phố trực thuộc Trung ương (sau đây gọi là UBND cấp tỉnh), UBND các xã, các cơ quan, đơn vị, tổ chức, cá nhân có liên quan đến việc thực hiện các nội dung hướng dẫn tiêu chí, điều kiện quy định tại Điều 1 Thông tư này.
Chương II
HƯỚNG DẪN THỰC HIỆN MỘT SỐ NỘI DUNG TIÊU CHÍ THUỘC BỘ TIÊU CHÍ QUỐC GIA VỀ XÃ NÔNG THÔN MỚI GIAI ĐOẠN 2026 - 2030
Mục 1
HƯỚNG DẪN THỰC HIỆN NỘI DUNG TIÊU CHÍ “2.2. CÁC CÔNG TRÌNH THỦY LỢI DO XÃ QUẢN LÝ ĐƯỢC BẢO TRÌ HÀNG NĂM, ĐẢM BẢO DIỆN TÍCH ĐẤT SẢN XUẤT NÔNG NGHIỆP ĐƯỢC TƯỚI VÀ TIÊU NƯỚC CHỦ ĐỘNG”
Điều 3. Yêu cầu nội dung tiêu chí
1. Đối với xã nhóm 1:
a) Các công trình thủy lợi do xã quản lý được bảo trì hằng năm;
b) Diện tích đất sản xuất nông nghiệp được tưới và tiêu nước chủ động đạt tỷ lệ ≥ 90%;
c) Có áp dụng công nghệ tiên tiến, phù hợp với phát triển nông nghiệp đô thị.
2. Đối với xã nhóm 2:
a) Các công trình thủy lợi do xã quản lý được bảo trì hằng năm;
b) Diện tích đất sản xuất nông nghiệp được tưới và tiêu nước chủ động đạt tỷ lệ ≥80%;
c) Có áp dụng các biện pháp tưới tiết kiệm đối với cây trồng chủ lực.
3. Đối với xã nhóm 3:
a) Các công trình thủy lợi do xã quản lý được bảo trì hằng năm;
b) Diện tích đất sản xuất nông nghiệp được tưới và tiêu nước chủ động phù hợp với điều kiện địa hình, thủy văn, tập quán canh tác địa phương.
Điều 4. Đánh giá thực hiện
1. Các công trình thủy lợi do xã quản lý được bảo trì hằng năm được đánh giá thông qua các nội dung:
a) Có kế hoạch bảo trì công trình thủy lợi, nội dung chính của kế hoạch bao gồm: tên công việc, thời gian, phương thức và chi phí thực hiện;
b) Thực hiện bảo trì công trình thủy lợi đạt 100% theo kế hoạch nhằm đảm bảo và duy trì hoạt động bình thường, an toàn trong quá trình khai thác, sử dụng của tất cả các công trình thủy lợi do xã quản lý.
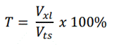
2. Diện tích đất sản xuất nông nghiệp được tưới và tiêu nước chủ động:
a) Tưới, tiêu nước chủ động là việc có công trình thủy lợi thực hiện điều tiết nước phục vụ tưới, tiêu cho diện tích đất sản xuất nông nghiệp đáp ứng yêu cầu sản xuất trong điều kiện thời tiết bình thường (không có thiên tai và điều kiện bất thường khác);
b) Phương pháp xác định:
Tỷ lệ diện tích đất sản xuất nông nghiệp được tưới nước chủ động xác định là tỷ lệ phần trăm (%) diện tích gieo trồng cả năm được tưới nước chủ động so với diện tích gieo trồng cả năm cần tưới nước theo kế hoạch (được xác định theo số liệu của năm đánh giá đạt chuẩn nông thôn mới);
Tỷ lệ diện tích đất sản xuất nông nghiệp được tiêu nước chủ động xác định là tỷ lệ % diện tích gieo trồng cả năm thực tế được tiêu nước chủ động so với diện tích gieo trồng cả năm cần tiêu nước theo kế hoạch (được xác định theo số liệu của năm đánh giá đạt chuẩn nông thôn mới);
Nhóm đất nông nghiệp được xác định theo khoản 2 Điều 9 Luật Đất đai số 31/2024/QH15 và Điều 4 Nghị định số 102/2024/NĐ-CP ngày 30 tháng 7 năm 2024 của Chính phủ quy định chi tiết thi hành một số điều Luật Đất đai;
Xã được đánh giá là đạt tỷ lệ diện tích đất sản xuất nông nghiệp được tưới và tiêu nước chủ động khi cả tỷ lệ diện tích đất sản xuất nông nghiệp được tưới nước chủ động và tỷ lệ diện tích đất sản xuất nông nghiệp được tiêu nước chủ động đều lớn hơn hoặc bằng tỷ lệ quy định tại nội dung tiêu chí 2.2 Phụ lục I Quyết định số 51/2025/QĐ-TTg đối với từng nhóm xã;
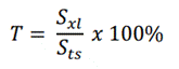
c) Đối với các xã có đất nuôi trồng thủy sản, hoặc đất chăn nuôi tập trung, hoặc đất làm muối được đánh giá là đạt nội dung tiêu chí 2.2 Phụ lục I Quyết định số 51/2025/QĐ-TTg khi có tỷ lệ diện tích đất nuôi trồng thủy sản hoặc đất chăn nuôi tập trung hoặc đất làm muối được cấp, thoát nước chủ động lớn hơn hoặc bằng tỷ lệ quy định tại nội dung tiêu chí 2.2 Phụ lục I Quyết định số 51/2025/QĐ-TTg đối với từng nhóm xã;
Tỷ lệ diện tích đất nuôi trồng thủy sản, hoặc đất chăn nuôi tập trung, hoặc đất làm muối được cấp, thoát nước chủ động xác định là tỷ lệ % diện tích đất nuôi trồng thủy sản hoặc đất chăn nuôi tập trung hoặc đất làm muối thực tế được cấp, thoát nước chủ động so với diện tích đất nuôi trồng thủy sản hoặc đất chăn nuôi tập trung hoặc đất làm muối cần cấp, thoát nước theo kế hoạch (được xác định theo số liệu của năm đánh giá đạt chuẩn nông thôn mới) ;
Cấp, thoát nước chủ động là việc có công trình thủy lợi thực hiện điều tiết cấp, thoát nước cho nuôi trồng thủy sản hoặc chăn nuôi tập trung hoặc làm muối đáp ứng sản xuất trong điều kiện thời tiết bình thường (không có thiên tai và điều kiện bất thường khác).
3. Có áp dụng công nghệ tiên tiến, phù hợp với phát triển nông nghiệp đô thị được xác định là “Đạt” khi có diện tích áp dụng công nghệ tưới tiên tiến, tiết kiệm nước (nhỏ giọt, phun mưa), tưới thông minh (sử dụng hệ thống tự động bật/tắt, điều khiển qua thiết bị thông minh như Wi-Fi/Smartphone), sử dụng cảm biến thời tiết và độ ẩm đất để tưới nước đúng thời điểm và đủ lưu lượng cho cây trồng) kết hợp với công nghệ canh tác tiên tiến, phù hợp với các hình thức phát triển nông nghiệp đô thị như: vườn trên mái nhà, thủy canh, khí canh, trang trại thẳng đứng, nuôi trồng thủy sản đô thị, vườn cộng đồng.
4. Có áp dụng các biện pháp tưới tiết kiệm đối với cây trồng chủ lực:
a) Tưới tiên tiến, tiết kiệm nước cho cây trồng là việc áp dụng quy trình kỹ thuật và thiết bị tiên tiến để tưới theo phương pháp nhỏ giọt, phun mưa, tưới ngầm, bảo đảm cấp nước theo nhu cầu của cây trồng cạn hoặc tưới ướt - khô xen kẽ, nông - lộ - phơi, SRI, 1 phải 5 giảm, 3 tăng 3 giảm cho cây lúa phù hợp từng giai đoạn sinh trưởng kết hợp với các biện pháp canh tác tiên tiến trong nông nghiệp;
b) Phương pháp xác định:
Tỷ lệ diện tích cây trồng chủ lực được tưới tiên tiến, tiết kiệm nước được tính bằng tỷ lệ % diện tích đất trồng cây trồng chủ lực thực tế áp dụng tưới tiên tiến, tiết kiệm nước trên tổng diện tích đất trồng cây trồng chủ lực theo quy hoạch/kế hoạch của xã. Diện tích đất trồng được tính bằng tổng các vụ trong năm hoặc 1 vụ tùy thuộc vào kế hoạch của xã;
Chỉ tiêu có áp dụng biện pháp tưới tiết kiệm đối với cây trồng chủ lực được đánh giá là “Đạt” khi tỷ lệ diện tích cây trồng chủ lực được tưới tiên tiến, tiết kiệm nước lớn hơn hoặc bằng tỷ lệ do UBND cấp tỉnh quy định;
c) Mức đạt chuẩn:
UBND cấp tỉnh ban hành loại cây trồng chủ lực cụ thể và tỷ lệ diện tích cây trồng chủ lực áp dụng tưới tiên tiến, tiết kiệm nước đối với từng nhóm xã trên địa bàn phù hợp với điều kiện đặc thù, nhu cầu phát triển kinh tế - xã hội của địa phương; phù hợp với quy định tại: Quyết định số 33/QĐ-TTg ngày 07 tháng 01 năm 2020 của Thủ tướng Chính phủ phê duyệt Chiến lược phát triển thủy lợi Việt Nam đến năm 2030, tầm nhìn đến năm 2045 (trong đó, đến năm 2030 có 30% diện tích trồng lúa áp dụng phương thức canh tác tiên tiến, 30% diện tích cây trồng cạn được tưới tiên tiến, tiết kiệm nước); Quyết định số 1748/QĐ-TTg ngày 30 tháng 12 năm 2023 của Thủ tướng Chính phủ phê duyệt Chiến lược phát triển trồng trọt đến năm 2030, tầm nhìn đến năm 2050 (trong đó, định hướng phát triển cho 12 nhóm cây chủ lực là lúa gạo, cây rau, ngô, sắn, cà phê, hồ tiêu, điều, chè, cao su, cây ăn quả, hoa cây cảnh và cây dừa); Quyết định số 4085/QĐ-BNN-TT ngày 27 tháng 10 năm 2022 của Bộ Nông nghiệp và Phát triển nông thôn phê duyệt Đề án phát triển cây ăn quả chủ lực đến năm 2025 và 2030 (trong đó, định hướng phát triển 14 cây ăn quả chủ lực: thanh long, xoài, chuối, vải, nhãn, cam, bưởi, dứa, chôm chôm, sầu riêng, mít, chanh leo, bơ, na);
d) Các trường hợp khác:
Trường hợp xã không có cây trồng chủ lực theo quy định của UBND cấp tỉnh thì có thể được tính bằng tỷ lệ diện tích cây trồng mang lại giá trị kinh tế chính của địa phương, như: lúa, rau màu, cây ăn quả, cây công nghiệp được tưới tiên tiến, tiết kiệm nước phù hợp với điều kiện thực tế của địa phương;
Đối với xã có chủ yếu là đất nuôi trồng thủy sản, làm muối: chỉ tiêu tưới tiết kiệm được đánh giá là đạt khi có áp dụng tiến bộ kỹ thuật trong nuôi trồng thủy sản, làm muối đối với việc sử dụng nước đảm bảo tiết kiệm, hiệu quả, phòng ngừa dịch bệnh, bảo vệ môi trường, thích ứng biến đổi khí hậu.
5. Diện tích đất sản xuất nông nghiệp được tưới và tiêu nước chủ động phù hợp với điều kiện địa hình, thủy văn, tập quán canh tác địa phương khi đáp ứng một trong các yêu cầu sau đây:
a) Tập trung, ưu tiên đầu tư xây dựng, sửa chữa nâng cấp, phát triển các hồ chứa nước nhỏ, phân tán, đập tạm sử dụng vật liệu địa phương, trạm bơm nhỏ, kênh mương cho các thôn, xã đặc biệt khó khăn, vùng đồng bào dân tộc thiểu số và miền núi, an toàn khu, biên giới và hải đảo, vùng khan hiếm nước, vùng bị ảnh hưởng lớn của biến đổi khí hậu để mở rộng diện tích tưới cho cây trồng cạn, đảm bảo tỷ lệ diện tích đất sản xuất nông nghiệp cần tưới của xã nhóm 3 được tưới, tiêu bởi công trình thủy lợi đạt từ 50% trở lên và được xác định theo hướng dẫn tại khoản 2 Điều này;
b) Đối với những địa bàn có điều kiện địa hình phức tạp, không thuận lợi về nguồn nước, không có công trình thủy lợi nhưng có điều kiện khí hậu thuận lợi, mưa thuận gió hòa, canh tác theo tập quán địa phương, đảm bảo trong 03 năm liên tục có cây trồng sinh trưởng phát triển bình thường, cho năng suất ổn định thì được đánh giá là “Đạt”.
6. Hồ sơ, minh chứng đánh giá:
a) Tài liệu minh chứng xác định diện tích đất sản xuất nông nghiệp được tưới và tiêu nước chủ động phục vụ đánh giá, thẩm định xã đạt chuẩn nông thôn mới, bao gồm: kế hoạch sản xuất nông nghiệp trong năm của UBND xã được duyệt; hợp đồng, biên bản nghiệm thu diện tích tưới, tiêu giữa đơn vị cung cấp nước và tổ chức, cá nhân sử dụng nước; báo cáo kết quả thực hiện tưới, tiêu chủ động của UBND xã.
b) Tổ chức thực hiện kế hoạch bảo trì công trình thủy lợi thể hiện qua các tài liệu sau đây:
Có báo cáo kết quả thực hiện kiểm tra thường xuyên, trước và sau mùa mưa, kiểm tra ngay sau khi có mưa, lũ lớn nhằm phát hiện kịp thời các dấu hiệu xuống cấp, những hư hỏng của công trình, thiết bị lắp đặt vào công trình làm cơ sở cho việc bảo dưỡng công trình;
Có hồ sơ thể hiện việc sử dụng lao động, vật liệu thực hiện bảo dưỡng công trình theo kế hoạch bảo trì để duy trì sự hoạt động bình thường của công trình và máy móc, thiết bị;
Có hồ sơ thể hiện việc sửa chữa công trình bao gồm sửa chữa định kỳ và sửa chữa đột xuất công trình (thực hiện khi bộ phận công trình, công trình bị hư hỏng do chịu tác động đột xuất, như: gió, bão, lũ lụt, động đất, va đập, cháy và những tác động đột xuất khác hoặc khi bộ phận công trình, công trình có biểu hiện xuống cấp ảnh hưởng đến an toàn sử dụng, vận hành, khai thác công trình);
Có báo cáo kết quả thực hiện kế hoạch bảo trì.
c) Tài liệu minh chứng có áp dụng biện pháp tưới tiết kiệm đối với cây trồng chủ lực phục vụ đánh giá, thẩm định xã đạt chuẩn nông thôn mới, bao gồm: văn bản thể hiện loại cây trồng chủ lực, kế hoạch tưới tiết kiệm; thuyết minh loại biện pháp tưới tiết kiệm áp dụng, hình ảnh minh họa; số diện tích cây trồng chủ lực áp dụng tưới tiết kiệm và diện tích cây trồng chủ lực của xã.
Mục 2
HƯỚNG DẪN THỰC HIỆN NỘI DUNG TIÊU CHÍ “2.3. ĐẢM BẢO YÊU CẦU CHỦ ĐỘNG VỀ PHÒNG, CHỐNG THIÊN TAI THEO PHƯƠNG CHÂM 4 TẠI CHỖ”
Điều 5. Yêu cầu nội dung tiêu chí
1. Xã nhóm 1 được đánh giá mức “Tốt” khi: đảm bảo tất cả các yêu cầu bắt buộc và kết quả chấm điểm đạt từ 85 điểm trở lên theo quy định tại Điều 6 Thông tư này.
2. Xã nhóm 2 được đánh giá mức “Khá” khi: đảm bảo tất cả các yêu cầu bắt buộc và kết quả chấm điểm đạt từ 70 điểm đến dưới 85 điểm theo quy định tại Điều 6 Thông tư này.
3. Xã nhóm 3 được đánh giá “Đạt” khi: đảm bảo tất cả các yêu cầu bắt buộc và kết quả chấm điểm đạt từ 50 điểm đến dưới 70 điểm theo quy định tại Điều 6 Thông tư này.
Điều 6. Đánh giá thực hiện
| TT | Nội dung | Yêu cầu bắt buộc | Thang tính điểm | Hồ sơ minh chứng | |
| Có | Không có/ hoặc có theo tỷ lệ |
| |||
| 1 | Về tổ chức bộ máy và nguồn nhân lực |
| 35 |
|
|
| 1.1 | Tổ chức bộ máy |
| 10 |
|
|
| 1.1.1 | Có quyết định thành lập Ban Chỉ huy Phòng thủ dân sự cấp xã và kiện toàn khi có thay đổi. | Có | 5 | 0 | Quyết định |
| 1.1.2 | Có quy chế hoạt động của Ban Chỉ huy Phòng thủ dân sự cấp xã trong đó có phân công nhiệm vụ, quyền hạn của các thành viên Ban Chỉ huy Phòng thủ dân sự. | Có | 5 | 0 | Quy chế |
| 1.2 | Nguồn nhân lực |
| 25 |
|
|
| 1.2.1 | 100% số cán bộ cấp xã tham gia trực tiếp công tác phòng, chống thiên tai được tập huấn nâng cao năng lực, trình độ. |
| 7 | Tính điểm theo tỷ lệ % | Văn bản triệu tập/cử cán bộ tham gia |
| 1.2.2 | Có quyết định thành lập đội xung kích phòng, chống thiên tai cấp xã; được củng cố và duy trì hoạt động thường xuyên. | Có | 4 | 0 | Quyết định |
| 1.2.3 | Lực lượng xung kích phòng, chống thiên tai được tập huấn, huấn luyện nghiệp vụ hằng năm. |
| 7 | Tính điểm theo tỷ lệ % | Văn bản triệu tập/cử cán bộ tham gia |
| 1.2.4 | Có từ 70% trở lên số người dân trên địa bàn xã được phổ biến kiến thức về phòng, chống thiên tai thông qua: hội nghị tuyên truyền; cấp phát tài liệu; tuyên truyền qua các phương tiện truyền thông, báo chí, nhóm zalo, facebook và các hình thức phù hợp khác. |
| 7 | Tính điểm theo tỷ lệ % | Báo cáo |
| 2 | Hoạt động phòng, chống thiên tai được triển khai chủ động và có hiệu quả, đáp ứng nhu cầu dân sinh |
| 40 |
|
|
| 2.1 | Kế hoạch phòng, chống thiên tai |
| 11 |
|
|
| 2.1.1 | Có Kế hoạch phòng, chống thiên tai cấp xã giai đoạn 05 năm tương ứng với kế hoạch phát triển kinh tế - xã hội được điều chỉnh hằng năm và kế hoạch thực hiện công tác phòng, chống thiên tai hằng năm. | Có | 6 | 0 | Quyết định |
| 2.1.2 | Có xác định nội dung và biện pháp phòng, chống thiên tai phù hợp với từng loại hình thiên tai và cấp độ rủi ro thiên tai thường xảy ra tại địa phương. | Có | 5 | 0 | Thể hiện tại Quyết định |
| 2.2 | Phương án ứng phó thiên tai theo cấp độ rủi ro thiên tai |
| 8 |
|
|
| 2.2.1 | Có Phương án ứng phó thiên tai theo cấp độ rủi ro thiên tai có khả năng xảy ra trên địa bàn. | Có | 4 | 0 | Quyết định |
| 2.2.2 | Nội dung phương án được xây dựng cụ thể, chi tiết phù hợp với quy định, tình hình đặc điểm thiên tai ở địa phương và được rà soát, điều chỉnh, bổ sung hằng năm. |
| 4 | 0 | Thể hiện tại Quyết định |
| 2.3 | Thực hiện có hiệu quả kế hoạch phòng, chống thiên tai/phương án ứng phó thiên tai được phê duyệt |
| 21 |
|
|
| 2.3.1 | Hằng năm có quyết định giao nhiệm vụ về chuẩn bị nhân lực, vật tư, phương tiện, trang thiết bị, nhu yếu phẩm phục vụ cho hoạt động phòng, chống thiên tai tại địa phương; có phương án huy động vật tư, phương tiện, trang thiết bị, nhu yếu phẩm phục vụ cho hoạt động phòng, chống thiên tai theo kế hoạch được duyệt. | Có | 10 | 0 | Quyết định |
| 2.3.2 | Có từ 90% trở lên số tổ chức, hộ gia đình trên địa bàn xã chuẩn bị sẵn sàng nhân lực, vật tư, phương tiện, trang thiết bị, nhu yếu phẩm phục vụ hoạt động phòng, chống thiên tai tại chỗ phù hợp với tình hình thực tế khi có thiên tai xảy ra. |
| 6 | Tính điểm theo tỷ lệ % | Báo cáo |
| 2.3.3 | 100% nội dung công việc cần thực hiện theo phương án ứng phó thiên tai đã được phê duyệt để chuẩn bị cho hoạt động phòng, chống thiên tai được thực hiện và hoàn thành trước khi thiên tai xảy ra. |
| 5 | Tính điểm theo tỷ lệ % | Báo cáo |
| 3 | Về cơ sở hạ tầng thiết yếu |
| 20 |
|
|
| 3.1 | Quy hoạch, xây dựng cơ sở hạ tầng |
| 6 |
|
|
| 3.1.1 | Thực hiện lồng ghép nội dung phòng, chống thiên tai vào các quy hoạch, kế hoạch phát triển kinh tế - xã hội của địa phương. |
| 3 | 0 | Thể hiện tại quy hoạch, kế hoạch phát triển kinh tế - xã hội của địa phương |
| 3.1.2 | Việc đầu tư xây dựng mới hoặc cải tạo, chỉnh trang khu đô thị; điểm du lịch, khu du lịch; khu công nghiệp; điểm dân cư nông thôn; công trình phòng, chống thiên tai, giao thông, điện lực và công trình hạ tầng kỹ thuật khác phải đảm bảo yêu cầu phòng, chống thiên tai. |
| 3 | Tính điểm theo tỷ lệ % | Báo cáo |
| 3.2 | Thông tin, cảnh báo và ứng phó thiên tai |
| 14 |
|
|
| 3.2.1 | Trên địa bàn xã có hệ thống thu nhận, truyền tải và cung cấp thông tin dự báo, cảnh báo và ứng phó thiên tai để các hộ gia đình được tiếp nhận một cách kịp thời, đầy đủ. | Có | 7 | 0 | Báo cáo |
| 3.2.2 | Các điểm có nguy cơ cao về rủi ro thiên tai được lắp đặt hệ thống hướng dẫn, cảnh báo. |
| 7 | Tính điểm theo tỷ lệ % | Báo cáo |
| 4 | Thực thi pháp luật về bảo vệ công trình phòng, chống thiên tai |
| 5 |
|
|
|
| Tất cả các vụ vi phạm pháp luật về bảo vệ công trình phòng, chống thiên tai được kiểm tra, phát hiện và xử lý; không để phát sinh những vụ vi phạm mới hoặc phải kiểm tra, phát hiện và ngăn chặn kịp thời. |
| 5 | Tính điểm theo tỷ lệ % | Báo cáo |
2. Hồ sơ, minh chứng đánh giá:
Bảng chấm điểm đối với từng nhóm xã 1, 2, 3 về phòng, chống thiên tai theo phương châm 4 tại chỗ kèm theo hồ sơ minh chứng quy định tại khoản 1 Điều này.
Mục 3
HƯỚNG DẪN THỰC HIỆN NỘI DUNG TIÊU CHÍ “3.2. VÙNG NGUYÊN LIỆU TẬP TRUNG ĐỐI VỚI CÂY TRỒNG, VẬT NUÔI CHỦ LỰC CỦA XÃ ĐƯỢC CHỨNG NHẬN CHẤT LƯỢNG, GẮN VỚI CHẾ BIẾN VÀ TIÊU THỤ SẢN PHẨM”
Điều 7. Yêu cầu nội dung tiêu chí
1. Mức chỉ tiêu chung:
a) Có ít nhất 01 vùng nguyên liệu tập trung đối với cây trồng hoặc vật nuôi chủ lực của xã;
Đối với xã nhóm 1, căn cứ điều kiện thực tế về tỷ trọng nông nghiệp và định hướng phát triển kinh tế - xã hội của địa phương, UBND cấp tỉnh hướng dẫn việc áp dụng hoặc không áp dụng nội dung này; trường hợp xã không có cây trồng, vật nuôi chủ lực thì không xem xét đánh giá nội dung tại điểm này;
b) Có ít nhất 30% diện tích hoặc sản lượng vùng nguyên liệu được chứng nhận chất lượng hợp lệ (VietGAP, hữu cơ, HACCP, ISO 22000, chứng nhận sản phẩm an toàn...);
c) Có liên kết chế biến và tiêu thụ ổn định theo chuỗi giá trị, được xác minh bằng hợp đồng, thỏa thuận hoặc biên bản ghi nhớ đã thực hiện trên thực tế; trong đó, sản phẩm từ vùng nguyên liệu được tổ chức tiêu thụ thông qua hợp tác xã (sau đây viết tắt là HTX), doanh nghiệp hoặc cơ sở sơ chế, chế biến gắn với thị trường đầu ra, hoặc có cơ sở sơ chế, chế biến tham gia chuỗi, có hoạt động thu mua, sơ chế hoặc chế biến sản phẩm từ vùng nguyên liệu và gắn với tiêu thụ sản phẩm trên thị trường. Thời gian liên kết đảm bảo ổn định là: tối thiểu 05 năm trở lên đối với sản phẩm nông nghiệp có chu kỳ nuôi, trồng, khai thác từ 01 năm trở lên; tối thiểu 03 năm đối với sản phẩm nông nghiệp có chu kỳ nuôi, trồng, khai thác dưới 01 năm;
d) Có hồ sơ quản lý vùng nguyên liệu do UBND xã lưu giữ, cập nhật dữ liệu số (bản đồ vùng, danh sách hộ, chứng nhận, hợp đồng) trên hệ thống quản lý của ngành nông nghiệp và môi trường hoặc theo hướng dẫn của cơ quan cấp tỉnh.
2. Mức chỉ tiêu và yêu cầu cụ thể đối với vùng nguyên liệu tập trung, phân theo lĩnh vực sản xuất và nhóm xã, cụ thể như sau:
a) Đối với trồng trọt:
Xã nhóm 1: có cơ sở sơ chế, chế biến hoặc đóng gói nông sản đạt yêu cầu an toàn thực phẩm, phục vụ trực tiếp hoạt động sản xuất và tiêu thụ sản phẩm của vùng nguyên liệu. Có trích lục bản đồ địa chính hoặc bản đồ khoanh vùng vùng nguyên liệu và hồ sơ liên kết tiêu thụ. Có tổ chức liên kết sản xuất, tiêu thụ sản phẩm đối với cây trồng, vật nuôi chủ lực của xã. Có hợp đồng liên kết, bao tiêu sản phẩm giữa nông dân, HTX, tổ hợp tác (sau đây viết tắt là THT), nhóm hộ với doanh nghiệp hoặc đơn vị tiêu thụ, trong đó khuyến khích hợp đồng có thời hạn từ 03 năm trở lên. Có ít nhất 50% diện tích hoặc sản lượng cây trồng, vật nuôi chủ lực nằm trong vùng nguyên liệu được chứng nhận chất lượng hợp lệ. Có truy xuất nguồn gốc sản phẩm; khuyến khích quản lý sản xuất bằng nhật ký (ưu tiên áp dụng nhật ký điện tử, số hóa);
Xã nhóm 2: có hợp đồng hoặc thỏa thuận liên kết sản xuất, tiêu thụ sản phẩm đối với vùng nguyên liệu. Có trích lục bản đồ địa chính hoặc bản đồ khoanh vùng vùng nguyên liệu và hồ sơ liên kết tiêu thụ. Có ít nhất 30% diện tích hoặc sản lượng cây trồng chủ lực được chứng nhận chất lượng hợp lệ. Có điểm thu mua hoặc sơ chế bảo đảm điều kiện vệ sinh, an toàn thực phẩm. Có truy xuất nguồn gốc sản phẩm;
Xã nhóm 3: có tổ chức liên kết sản xuất, tiêu thụ (HTX, THT, nhóm hộ hoặc doanh nghiệp). Có kế hoạch phát triển, mở rộng vùng nguyên liệu gắn với tiêu thụ, được cơ quan cấp tỉnh chấp thuận. Có ít nhất 10% diện tích hoặc sản lượng cây trồng chủ lực được chứng nhận chất lượng hợp lệ, hoặc có lộ trình nâng cao tỷ lệ chứng nhận theo điều kiện địa phương; khuyến khích áp dụng truy xuất nguồn gốc và quản lý sản xuất phù hợp điều kiện thực tế.
b) Đối với chăn nuôi:
Xã nhóm 1: có hợp đồng liên kết chăn nuôi, tiêu thụ sản phẩm với doanh nghiệp, cơ sở giết mổ, chế biến hoặc hệ thống phân phối. Có cơ sở giết mổ, sơ chế hoặc liên kết với cơ sở đạt yêu cầu an toàn thực phẩm phục vụ tiêu thụ sản phẩm. Áp dụng các biện pháp quản lý an toàn sinh học, môi trường theo quy định;
Xã nhóm 2: có hợp đồng hoặc thỏa thuận liên kết tiêu thụ sản phẩm chăn nuôi. Có kiểm soát điều kiện chăn nuôi, an toàn dịch bệnh, môi trường theo quy định. Có tổ chức liên kết sản xuất, tiêu thụ sản phẩm đối với cây trồng, vật nuôi chủ lực của xã. Có điểm thu mua hoặc sơ chế sản phẩm phù hợp với điều kiện thực tế, bảo đảm yêu cầu vệ sinh, an toàn thực phẩm. Có hồ sơ liên kết tiêu thụ sản phẩm; vùng nguyên liệu được xác định phù hợp với quy hoạch, kế hoạch phát triển sản xuất đã được cấp có thẩm quyền phê duyệt. Có truy xuất nguồn gốc sản phẩm; khuyến khích quản lý sản xuất bằng nhật ký (ưu tiên số hóa);
Xã nhóm 3: có mô hình chăn nuôi liên kết theo nhóm hộ, HTX hoặc doanh nghiệp. Không bắt buộc áp dụng chứng nhận vùng chăn nuôi. Có kế hoạch nâng cao điều kiện chăn nuôi an toàn, giảm phát thải, bảo vệ môi trường, được cơ quan cấp tỉnh chấp thuận.
c) Đối với lâm nghiệp:
Xã nhóm 1: có vùng nguyên liệu rừng sản xuất tập trung gắn với doanh nghiệp chế biến lâm sản. Có hợp đồng liên kết trồng rừng, khai thác và tiêu thụ sản phẩm. Có ít nhất 30% diện tích rừng sản xuất trong vùng nguyên liệu được cấp chứng chỉ quản lý rừng bền vững hoặc có mã số rừng trồng. Có hồ sơ khoanh vùng, bản đồ lâm phần và danh sách chủ rừng tham gia liên kết. Có truy xuất nguồn gốc lâm sản theo quy định;
Xã nhóm 2: có hợp đồng hoặc thỏa thuận liên kết tiêu thụ sản phẩm rừng trồng. Có ít nhất 20% diện tích rừng sản xuất trong hợp đồng hoặc thỏa thuận liên kết tiêu thụ sản phẩm rừng trồng được cấp chứng chỉ quản lý rừng bền vững hoặc mã số rừng trồng. Có phương án quản lý rừng, khai thác và tiêu thụ phù hợp quy định pháp luật;
Xã nhóm 3: có tổ chức liên kết trồng rừng và tiêu thụ lâm sản. Có ít nhất 10% diện tích rừng sản xuất được liên kết trồng rừng và tiêu thụ lâm sản được cấp mã số rừng trồng hoặc áp dụng quản lý rừng theo quy định, hoặc có kế hoạch nâng cao tỷ lệ chứng nhận theo lộ trình.
d) Đối với thủy sản (nuôi trồng thủy sản):
Xã nhóm 1: có hợp đồng liên kết nuôi trồng và tiêu thụ với doanh nghiệp, cơ sở chế biến hoặc xuất khẩu. Có cơ sở sơ chế, bảo quản hoặc liên kết với cơ sở chế biến đạt yêu cầu an toàn thực phẩm. Có ít nhất 30% diện tích hoặc sản lượng nuôi trồng thủy sản chủ lực được chứng nhận chất lượng hợp lệ (VietGAP thủy sản, hữu cơ, ASC, BAP hoặc tương đương). Có truy xuất nguồn gốc và kiểm soát môi trường nuôi;
Xã nhóm 2: có hợp đồng hoặc thỏa thuận liên kết tiêu thụ thủy sản. Có ít nhất 20% diện tích hoặc sản lượng nuôi trồng thủy sản chủ lực được chứng nhận chất lượng hợp lệ. Có điểm thu mua, sơ chế bảo đảm điều kiện vệ sinh. Có hồ sơ xác định vùng nuôi phù hợp quy hoạch;
Xã nhóm 3: có mô hình nuôi trồng thủy sản liên kết. Có ít nhất 10% diện tích hoặc sản lượng nuôi trồng thủy sản được áp dụng quy trình an toàn hoặc chứng nhận chất lượng, hoặc có kế hoạch nâng cao theo lộ trình. Có biện pháp quản lý môi trường nuôi phù hợp điều kiện địa phương.
Điều 8. Đánh giá thực hiện
1. Vùng nguyên liệu tập trung là khu vực sản xuất nông nghiệp được tổ chức tập trung, chuyên canh một hoặc một số loại cây trồng, vật nuôi chủ lực của xã, có ranh giới xác định và được quản lý thống nhất, được đánh giá thông qua các nội dung sau đây:
a) Có ranh giới xác định trong quy hoạch sử dụng đất hoặc quy hoạch sản xuất nông nghiệp hoặc kế hoạch phát triển kinh tế - xã hội của xã đã được cấp có thẩm quyền phê duyệt;
b) Được tổ chức sản xuất theo hình thức liên kết, hợp tác gắn với tiêu thụ sản phẩm, trong đó có sự tham gia của nông dân và một hoặc nhiều chủ thể: HTX, THT, nhóm hộ liên kết, doanh nghiệp, đơn vị sự nghiệp công lập hoặc đơn vị sự nghiệp ngoài công lập (gọi chung là các bên tham gia liên kết);
c) Đảm bảo quy mô tối thiểu:
Đối với trồng trọt: vùng nguyên liệu có diện tích từ 05 ha trở lên, liền vùng hoặc tập trung theo ô thửa. Trường hợp cần thiết, căn cứ điều kiện tự nhiên, quỹ đất và tập quán sản xuất của địa phương (nhất là đối với xã miền núi, vùng đồng bào dân tộc thiểu số), UBND cấp tỉnh hướng dẫn quy mô tối thiểu theo từng nhóm cây trồng (cây hằng năm, cây lâu năm, cây ăn quả, cây rau màu, cây dược liệu...), bảo đảm cụ thể, phù hợp thực tiễn và không thấp hơn ngưỡng tối thiểu chung;
Đối với lâm nghiệp: vùng nguyên liệu có diện tích từ 10 ha trở lên, liền vùng hoặc tập trung theo ô thửa. Đối với các địa phương có điều kiện phát triển lâm nghiệp tập trung quy mô lớn, UBND cấp tỉnh quy định mức diện tích tối thiểu cao hơn để phù hợp với yêu cầu hình thành vùng nguyên liệu gắn với chế biến, tiêu thụ;
Đối với chăn nuôi, thủy sản: vùng nguyên liệu được xác định theo quy mô sản xuất, đáp ứng một trong các yêu cầu sau: có từ 30 hộ tham gia trở lên hoặc có quy mô tổng đàn, sản lượng hoặc quy mô nuôi trồng tương đương, phù hợp với từng loại vật nuôi, đối tượng nuôi chủ lực (gia súc , gia cầm, thủy sản….) theo hướng dẫn của cơ quan cấp tỉnh.
Việc xác định quy mô tương đương phải bảo đảm phản ánh quy mô sản xuất thực tế, hiệu quả kinh tế và khả năng hình thành chuỗi liên kết ổn định.
d) Áp dụng thống nhất quy trình kỹ thuật sản xuất, có tổ chức quản lý, giám sát chung;
đ) Có hệ thống cơ sở hạ tầng phục vụ sản xuất vùng nguyên liệu tập trung, phù hợp với điều kiện tự nhiên và nhóm xã, cụ thể như sau:
Đối với xã nhóm 1 và xã nhóm 2: có đường giao thông nội đồng bảo đảm cho cơ giới (máy cày, máy gặt, xe thu mua) hoạt động thuận lợi; hệ thống thủy lợi chủ động tưới, tiêu nước phù hợp với loại cây trồng, vật nuôi chủ lực; có vùng đệm bảo vệ (mương, bờ thửa, hàng cây hoặc giải pháp tương đương) khi canh tác, nuôi trồng gần khu dân cư hoặc khu vực nhạy cảm về môi trường; có hạ tầng thu gom, lưu giữ bao gói thuốc bảo vệ thực vật, hóa chất sau sử dụng theo quy định;
Đối với xã nhóm 3: có đường giao thông thuận lợi kết nối đến vùng nguyên liệu tập trung (không bắt buộc đường nội đồng cho cơ giới); có giải pháp cấp nước, tiêu thoát nước phù hợp với điều kiện địa hình, thủy văn và tập quán canh tác địa phương; bảo đảm an toàn môi trường và có biện pháp bảo vệ khi sản xuất, nuôi trồng gần khu dân cư hoặc khu vực nhạy cảm về môi trường.
2. Cây trồng, vật nuôi chủ lực của xã là loại cây trồng hoặc vật nuôi chiếm tỷ trọng lớn nhất trong cơ cấu sản xuất của xã, có lợi thế cạnh tranh, gắn với thị trường tiêu thụ ổn định, được xác định theo một trong các căn cứ sau đây:
a) UBND xã căn cứ danh mục cây trồng, vật nuôi chủ lực của tỉnh, thành phố để lựa chọn phù hợp với định hướng phát triển nông nghiệp của xã;
b) Có tỷ trọng (%) lớn nhất về diện tích canh tác hoặc số đầu vật nuôi hoặc sản lượng hoặc giá trị sản xuất trong cơ cấu sản xuất nông nghiệp của xã;
c) Được tích hợp trong quy hoạch hoặc đề án phát triển sản phẩm chủ lực, vùng nguyên liệu tập trung của địa phương.
(Cách xác định: số liệu thống kê xã, cơ cấu diện tích, giá trị sản xuất, văn bản phê duyệt của cơ quan cấp tỉnh).
3. Được chứng nhận chất lượng:
a) Là việc toàn bộ hoặc một phần sản phẩm trong vùng nguyên liệu được chứng nhận bởi cơ quan, tổ chức có thẩm quyền hoặc tổ chức được chỉ định;
b) Hình thức chứng nhận hợp lệ đáp ứng một hoặc một số yêu cầu sau đây:
Chứng nhận tiêu chuẩn, quy chuẩn kỹ thuật: VietGAP, VietGAHP (đối với chăn nuôi), GlobalGAP, sản xuất hữu cơ, HACCP, ISO 22000, chứng nhận sản phẩm an toàn;
Chứng nhận, công cụ quản lý và truy xuất nguồn gốc: nhãn hiệu tập thể, chỉ dẫn địa lý, mã số vùng trồng, mã số cơ sở chăn nuôi, mã số vùng nuôi trồng thủy sản theo quy định;
Đối với lâm nghiệp: Chứng chỉ quản lý rừng bền vững (FSC, PEFC/VFCS) hoặc mã số rừng trồng đối với rừng sản xuất là rừng trồng;
Giấy chứng nhận đủ điều kiện an toàn thực phẩm đối với cơ sở sơ chế, chế biến trong vùng nguyên liệu (nếu có).
(Cách xác định: tỷ lệ diện tích (ha) hoặc tỷ lệ % sản lượng của vùng nguyên liệu đã được chứng nhận so với tổng quy mô vùng nguyên liệu).
4. Gắn với chế biến và tiêu thụ sản phẩm là việc sản phẩm từ vùng nguyên liệu có chuỗi liên kết sản xuất, chế biến, tiêu thụ ổn định, thông qua hợp đồng, biên bản ghi nhớ, hoặc thỏa thuận tiêu thụ giữa HTX, doanh nghiệp và người sản xuất, được xác định như sau:
a) Gắn với chế biến, được thể hiện thông qua một hoặc một số nội dung sau:
Có cơ sở sơ chế, chế biến, đóng gói nông sản (không bắt buộc đặt trên địa bàn xã) tham gia chuỗi liên kết;
Có hợp đồng, thỏa thuận liên kết với cơ sở sơ chế, chế biến, doanh nghiệp thu mua, hệ thống phân phối, bảo đảm việc thu mua, vận chuyển, sơ chế, chế biến nông sản kịp thời, đúng quy trình, không làm ảnh hưởng đến số lượng và chất lượng sản phẩm sau thu hoạch;
Có thực hiện truy xuất nguồn gốc (mã QR, mã số vùng trồng, mã số cơ sở chăn nuôi, mã số vùng nuôi trồng thủy sản) hoặc quản lý sản xuất theo hướng dẫn của ngành nông nghiệp và môi trường;
Sản phẩm từ vùng nguyên liệu được tiêu thụ thông qua chuỗi liên kết, trong đó có ít nhất một chủ thể đầu mối tham gia, như: HTX, THT, nhóm hộ liên kết, doanh nghiệp hoặc liên hiệp HTX.
b) Gắn với tiêu thụ sản phẩm được thể hiện:
Có hợp đồng bao tiêu, đơn đặt hàng, hoặc kênh tiêu thụ ổn định (chuỗi siêu thị, thương mại điện tử, xuất khẩu...);
Sản lượng tiêu thụ thông qua liên kết chiếm tỷ lệ % nhất định trong tổng sản lượng vùng nguyên liệu.
(Cách xác định: số hợp đồng, thời hạn hợp đồng, tỷ lệ % sản lượng tiêu thụ qua liên kết).
5. Hồ sơ, minh chứng đánh giá:
a) Hồ sơ xác định vùng nguyên liệu tập trung, gồm: hồ sơ, tài liệu xác định vùng nguyên liệu theo quy hoạch hoặc quyết định đã được cấp có thẩm quyền phê duyệt; trường hợp có bản đồ thì bản đồ vùng nguyên liệu (in màu hoặc bản điện tử) thể hiện rõ ranh giới vùng nguyên liệu, diện tích (ha) hoặc khu vực chăn nuôi/thủy sản; vị trí các điểm thu mua, sơ chế (nếu có), do UBND xã hoặc HTX hoặc tổ chức liên kết lập và xác nhận;
b) Hồ sơ chứng nhận chất lượng, gồm:
Bản sao hợp lệ (hoặc bản điện tử) một trong các giấy tờ sau: giấy chứng nhận VietGAP, GlobalGAP, hữu cơ, HACCP, ISO...; giấy chứng nhận đủ điều kiện an toàn thực phẩm đối với sơ chế, chế biến;
Bảng tổng hợp tỷ lệ % diện tích hoặc sản lượng được chứng nhận, do UBND xã lập, trong đó nêu rõ: tổng diện tích/sản lượng vùng nguyên liệu; diện tích/sản lượng đã được chứng nhận; tỷ lệ % đạt được (phù hợp với yêu cầu từng nhóm xã);
c) Hồ sơ liên kết chế biến và tiêu thụ, gồm:
Hợp đồng, biên bản ghi nhớ hoặc thỏa thuận liên kết giữa HTX/THT/nhóm hộ với doanh nghiệp, cơ sở chế biến, đơn vị thu mua (thể hiện rõ: sản phẩm, sản lượng, thời hạn, trách nhiệm các bên);
Minh chứng về cơ sở sơ chế, chế biến hoặc điểm thu mua, gồm một trong các tài liệu: giấy chứng nhận đăng ký kinh doanh; giấy chứng nhận đủ điều kiện an toàn thực phẩm; hình ảnh, biên bản kiểm tra thực tế (nếu có);
Báo cáo hoặc bảng kê sản lượng tiêu thụ qua liên kết (01 năm gần nhất): sản lượng tiêu thụ; tỷ lệ % so với tổng sản lượng vùng nguyên liệu; kênh tiêu thụ (doanh nghiệp, thương mại điện tử, chuỗi phân phối...).
d) Hồ sơ quản lý và tổ chức thực hiện, gồm:
Báo cáo tóm tắt kết quả thực hiện nội dung tiêu chí “3.2. Vùng nguyên liệu tập trung đối với cây trồng, vật nuôi chủ lực của xã được chứng nhận chất lượng, gắn với chế biến và tiêu thụ sản phẩm” do UBND xã lập, gồm: mô tả vùng nguyên liệu; kết quả chứng nhận chất lượng; kết quả liên kết chế biến, tiêu thụ; đánh giá mức đạt theo nhóm xã 1 hoặc 2 hoặc 3.
Biên bản họp hoặc ý kiến xác nhận của UBND xã: xác nhận vùng nguyên liệu đang hoạt động thực tế; xác nhận tính chính xác của số liệu, hồ sơ.
Mục 4
HƯỚNG DẪN THỰC HIỆN NỘI DUNG TIÊU CHÍ “3.3. CÓ MÔ HÌNH NÔNG NGHIỆP ỨNG DỤNG CÔNG NGHỆ CAO HOẶC MÔ HÌNH KINH TẾ XANH HOẶC MÔ HÌNH KINH TẾ TUẦN HOÀN HIỆU QUẢ”
Tiểu mục 1
“CÓ MÔ HÌNH NÔNG NGHIỆP ỨNG DỤNG CÔNG NGHỆ CAO HIỆU QUẢ”
Điều 9. Yêu cầu nội dung tiêu chí
1. Đối với xã nhóm 1: có ít nhất 03 mô hình nông nghiệp ứng dụng công nghệ cao hiệu quả.
2. Đối với xã nhóm 2: có ít nhất 02 mô hình nông nghiệp ứng dụng công nghệ cao hiệu quả.
3. Đối với xã nhóm 3: có ít nhất 01 mô hình nông nghiệp ứng dụng công nghệ cao hiệu quả.
Điều 10. Đánh giá thực hiện
1. Mô hình nông nghiệp ứng dụng công nghệ cao hiệu quả là mô hình sản xuất nông nghiệp có mức độ cơ giới hóa, tự động hóa và số hóa cao, được quản lý theo quy trình chuẩn, tạo ra sản phẩm chất lượng cao, hiệu quả và bền vững.
2. Đối với từng loại mô hình:
a) Mô hình trồng trọt ngoài trời:
Diện tích ứng dụng ≥1 ha;
Mức độ cơ giới hóa: có ít nhất 50% diện tích sản xuất được ứng dụng cơ giới hóa; có ít nhất 50% các khâu sản xuất được ứng dụng cơ giới hóa (sản xuất giống; làm đất; gieo, trồng; tưới, tiêu nước; chăm sóc; thu hoạch; vận chuyển; sơ chế; bảo quản; chế biến; xử lý phụ phẩm);
Mức độ tự động hóa: sử dụng các hệ thống điều khiển, cảm biến, dây chuyền tự động hóa để thực hiện một trong các khâu sản xuất quy định tại điểm này;
Mức độ số hóa: sử dụng một trong các ứng dụng công nghệ sau đây:
Công nghệ IoT hoặc Big Data để thu thập dữ liệu về môi trường, cây trồng;
Công nghệ truy xuất nguồn gốc sản phẩm thông qua mã QR, blockchain;
b) Mô hình nhà màng, nhà kính:
Diện tích ứng dụng ≥0,3 ha;
Mức độ cơ giới hóa: có ít nhất 50% diện tích sản xuất được ứng dụng cơ giới hóa; có ít nhất 50% các khâu sản xuất được ứng dụng cơ giới hóa (sản xuất giống; làm đất; gieo, trồng; tưới, tiêu nước; chăm sóc; thu hoạch);
Mức độ tự động hóa: sử dụng các hệ thống điều khiển, cảm biến, dây chuyền tự động để thực hiện một trong các khâu sản xuất quy định tại điểm này;
Mức độ số hóa: sử dụng một trong các ứng dụng công nghệ sau đây:
Công nghệ IoT hoặc Big Data để thu thập dữ liệu về môi trường, cây trồng, vật nuôi;
Công nghệ truy xuất nguồn gốc sản phẩm thông qua mã QR, blockchain hoặc các phần mềm sản xuất điện tử;
c) Mô hình lâm nghiệp (trồng rừng sản xuất):
Diện tích ứng dụng ≥3 ha;
Mức độ cơ giới hóa: có ít nhất 50% diện tích sản xuất được ứng dụng cơ giới hóa; có ít nhất 50% các khâu sản xuất được ứng dụng cơ giới hóa (sản xuất giống; xử lý thực bì; làm đất; gieo, trồng; chăm sóc; khai thác; vận chuyển; phòng cháy, chữa cháy; xử lý phụ phẩm);
Mức độ tự động hóa: sử dụng các hệ thống điều khiển, cảm biến, dây chuyền tự động để thực hiện một trong các khâu sản xuất quy định tại điểm này;
Mức độ số hóa: sử dụng một trong các ứng dụng công nghệ sau đây:
Công nghệ IoT hoặc Big Data để thu thập dữ liệu về môi trường, cây trồng;
Công nghệ truy xuất nguồn gốc sản phẩm thông qua mã QR, blockchain;
d) Mô hình nuôi trồng thủy sản:
Diện tích ứng dụng ≥300 m2;
Mức độ cơ giới hóa: có ít nhất 50% diện tích sản xuất được ứng dụng cơ giới hóa; có ít nhất 50% các khâu sản xuất được ứng dụng cơ giới hóa (sản xuất giống; sản xuất thức ăn; cấp, thoát nước; chăm sóc; thu hoạch; sơ chế; bảo quản; xử lý chất thải, phụ phẩm);
Mức độ tự động hóa: sử dụng các hệ thống điều khiển, cảm biến, dây chuyền tự động để thực hiện một trong các khâu sản xuất quy định tại điểm này;
Mức độ số hóa: sử dụng một trong các ứng dụng công nghệ sau đây:
Công nghệ IoT hoặc Big Data để thu thập dữ liệu về môi trường, vật nuôi;
Công nghệ truy xuất nguồn gốc sản phẩm thông qua mã QR, blockchain;
đ) Mô hình diêm nghiệp:
Diện tích ứng dụng ≥0,5 ha;
Mức độ cơ giới hóa: có ít nhất 50% diện tích sản xuất được ứng dụng cơ giới hóa; có ít nhất 50% các khâu sản xuất được ứng dụng cơ giới hóa: sửa chữa đồng muối; cấp, tiêu nước; thu hoạch; thu gom; vận chuyển; sơ chế, chế biến; bảo quản;
Mức độ tự động hóa: sử dụng các hệ thống điều khiển, cảm biến, dây chuyền tự động để thực hiện một trong các khâu sản xuất quy định tại điểm này;
Mức độ số hóa: sử dụng một trong các ứng dụng công nghệ sau đây:
Công nghệ IoT hoặc Big Data để thu thập dữ liệu về môi trường;
Công nghệ truy xuất nguồn gốc sản phẩm thông qua mã QR, blockchain;
e) Mô hình chăn nuôi:
Quy mô/diện tích ứng dụng: gia súc ≥300 đơn vị vật nuôi; gia cầm ≥50 đơn vị vật nuôi; động vật khác ≥300 m2 hoặc ≥30 đơn vị vật nuôi;
Mức độ cơ giới hóa: có ít nhất 50% diện tích sản xuất được ứng dụng cơ giới hóa; có ít nhất 50% các khâu sản xuất được ứng dụng cơ giới hóa (chuồng trại: cấp nước, thức ăn, điều tiết tiểu khí hậu chuồng nuôi, vệ sinh, xử lý chất thải; chăm sóc; vận chuyển);
Mức độ tự động hóa: sử dụng các hệ thống điều khiển, cảm biến, dây chuyền tự động để thực hiện một trong các khâu sản xuất quy định tại điểm này;
Mức độ số hóa: sử dụng một trong các ứng dụng công nghệ sau đây:
Công nghệ IoT hoặc Big Data để thu thập dữ liệu về môi trường, vật nuôi;
Công nghệ truy xuất nguồn gốc sản phẩm thông qua mã QR, blockchain.
3. Hồ sơ, minh chứng đánh giá:
a) Thuyết minh mô hình (mục tiêu, quy mô, chủ thể thực hiện);
b) Minh chứng hoạt động (hình ảnh, báo cáo sản xuất, sản phẩm...);
c) Đánh giá hiệu quả kinh tế - môi trường (định mức tăng năng suất trên cùng đơn vị diện tích, mức giảm chi phí đầu vào, mức chênh lệch lợi nhuận thực tế, mức độ giảm phát thải giữa mô hình nông nghiệp ứng dụng công nghệ cao và mô hình sản xuất truyền thống cùng loại tại địa phương).
Tiểu mục 2
“CÓ MÔ HÌNH KINH TẾ XANH HOẶC MÔ HÌNH KINH TẾ TUẦN HOÀN HIỆU QUẢ”
Điều 11. Yêu cầu nội dung tiêu chí
1. Mô hình kinh tế xanh hoặc mô hình kinh tế tuần hoàn phải đáp ứng một trong các yêu cầu sau đây:
a) Tái sử dụng, tái chế phụ phẩm, chất thải: có từ 30% trở lên tổng lượng phụ phẩm, chất thải phát sinh trong quá trình sản xuất được thu gom, tái sử dụng hoặc tái chế làm đầu vào cho hoạt động sản xuất khác (tính theo khối lượng, thể tích hoặc giá trị tương đương);
b) Giảm sử dụng đầu vào nguyên sinh: giảm tối thiểu 20% lượng vật tư đầu vào (phân bón hóa học, thức ăn công nghiệp, nước tưới, năng lượng ...) so với phương thức sản xuất truyền thống tại địa phương, thông qua áp dụng quy trình tuần hoàn;
c) Gia tăng giá trị kinh tế từ phụ phẩm: phụ phẩm, chất thải được tái sử dụng hoặc tái chế tạo ra giá trị gia tăng, góp phần giảm chi phí sản xuất hoặc tăng thu nhập cho chủ thể tham gia mô hình;
d) Cải thiện môi trường và giảm phát thải: có biện pháp xử lý chất thải rắn, nước thải, khí thải đạt yêu cầu môi trường; hoặc giảm phát sinh chất thải, mùi, ô nhiễm so với trước khi áp dụng mô hình; khuyến khích có kết quả giảm phát thải khí nhà kính;
đ) Tổ chức liên kết và duy trì mô hình: mô hình được tổ chức và duy trì tối thiểu 01 năm, có sự tham gia của hộ dân, HTX, THT hoặc doanh nghiệp; có kế hoạch duy trì, mở rộng hoặc nhân rộng mô hình.
2. Mức chỉ tiêu và yêu cầu cụ thể đối với từng nhóm xã:
a) Xã nhóm 1: có ít nhất 01 mô hình kinh tế xanh hoặc mô hình kinh tế tuần hoàn hiệu quả, phù hợp với định hướng phát triển kinh tế - xã hội của địa phương; khuyến khích mô hình do doanh nghiệp, HTX, THT hoặc nhóm hộ có đăng ký kinh doanh chủ trì, có ứng dụng công nghệ, chuyển đổi số hoặc sử dụng năng lượng tái tạo.
b) Xã nhóm 2: có ít nhất 01 mô hình kinh tế xanh hoặc mô hình kinh tế tuần hoàn hiệu quả; khuyến khích mô hình gắn với sản xuất nông nghiệp, chế biến, dịch vụ nông nghiệp hoặc du lịch nông thôn, do doanh nghiệp, HTX, THT hoặc nhóm hộ chủ trì.
c) Xã nhóm 3: có ít nhất 01 mô hình kinh tế xanh hoặc mô hình kinh tế tuần hoàn phù hợp điều kiện thực tế của địa phương, ưu tiên mô hình quy mô hộ gia đình, nhóm hộ, HTX hoặc cộng đồng thôn, bản. Mô hình tập trung vào một hoặc một số nội dung như: tái sử dụng phụ phẩm nông nghiệp, chăn nuôi, thủy sản; sử dụng phân hữu cơ tại chỗ; tuần hoàn nước; kết hợp trồng trọt, chăn nuôi, thủy sản; bảo vệ và tái tạo tài nguyên đất, nước, rừng.
Điều 12. Đánh giá thực hiện
1. Mô hình kinh tế xanh hiệu quả:
a) Mô hình kinh tế xanh hiệu quả là mô hình tổ chức sản xuất, kinh doanh, dịch vụ trên địa bàn xã:
Sử dụng tiết kiệm tài nguyên, năng lượng; ưu tiên năng lượng tái tạo, vật liệu thân thiện môi trường;
Giảm phát thải, giảm ô nhiễm môi trường, thích ứng với biến đổi khí hậu;
Tạo giá trị kinh tế ổn định, nâng cao thu nhập cho người dân, HTX hoặc doanh nghiệp tham gia;
Được vận hành thực tế, có kết quả đo lường được, không chỉ là mô hình trình diễn.
b) Các mô hình kinh tế xanh trong phạm vi nội dung tiêu chí này bao gồm (nhưng không giới hạn):
Mô hình sản xuất nông nghiệp hữu cơ, nông nghiệp sinh thái, nông nghiệp phát thải thấp;
Mô hình sử dụng năng lượng mặt trời, năng lượng sinh khối trong sản xuất, sơ chế, chế biến;
Mô hình du lịch sinh thái, du lịch nông nghiệp gắn với bảo tồn tài nguyên, cảnh quan;
Mô hình làng nghề xanh, cơ sở sản xuất áp dụng công nghệ sạch, tiết kiệm năng lượng.
c) Xác định mô hình kinh tế xanh hiệu quả như sau:
Về phương thức sản xuất (bắt buộc), gồm: sử dụng quy trình sản xuất thân thiện môi trường (hữu cơ, VietGAP, canh tác ít phát thải...); áp dụng công nghệ sạch, giảm sử dụng hóa chất, vật tư đầu vào; sử dụng năng lượng tái tạo hoặc tiết kiệm năng lượng trong sản xuất;
Về sử dụng tài nguyên hiệu quả, gồm: giảm tiêu hao nguyên liệu đầu vào: nước tưới, năng lượng, phân bón, thuốc bảo vệ thực vật, so với phương thức truyền thống tại địa phương; khuyến khích tái sử dụng phụ phẩm;
Về môi trường, gồm: không gây ô nhiễm môi trường (đất, nước, không khí); có biện pháp kiểm soát chất thải phát sinh; góp phần bảo vệ hệ sinh thái, cảnh quan nông thôn;
Về hiệu quả kinh tế - xã hội, gồm: giảm chi phí sản xuất hoặc tăng giá trị sản phẩm; tạo thu nhập ổn định hoặc cao hơn so với mô hình truyền thống; góp phần tạo việc làm, cải thiện sinh kế cho người dân;
Về tính ổn định và khả năng nhân rộng, gồm: mô hình đã triển khai thực tế và vận hành ổn định tối thiểu 01 năm; phù hợp điều kiện tự nhiên, kinh tế - xã hội của địa phương; có khả năng nhân rộng trong cộng đồng.
2. Mô hình kinh tế tuần hoàn hiệu quả:
a) Mô hình kinh tế tuần hoàn hiệu quả là mô hình tổ chức sản xuất, kinh doanh trên địa bàn xã, trong đó:
Chất thải, phụ phẩm của quá trình sản xuất này được tái sử dụng, tái chế làm đầu vào cho quá trình sản xuất khác;
Hình thành chu trình khép kín hoặc bán khép kín trong sản xuất, chế biến, tiêu dùng;
Giảm tối đa lượng chất thải phải xử lý ra môi trường.
b) Có mô hình kinh tế tuần hoàn hiệu quả, phù hợp với điều kiện sản xuất của địa phương, gồm một hoặc một số mô hình sau:
Mô hình kinh tế tuần hoàn trong nuôi trồng thủy sản, như: tuần hoàn nước trong ao nuôi; xử lý, tái sử dụng bùn thải, nước thải ao nuôi; kết hợp nuôi trồng thủy sản với trồng trọt, chăn nuôi hoặc sản xuất phân bón, chế phẩm sinh học; mô hình nuôi trồng thủy sản sinh thái, giảm phát thải;
Mô hình tái sử dụng, tái chế phụ phẩm nông nghiệp, thủy sản;
Mô hình sản xuất khác gắn với tiết kiệm tài nguyên, giảm phát thải, bảo vệ môi trường theo hướng dẫn của cơ quan có thẩm quyền.
c) Có ít nhất 30% phụ phẩm, chất thải phát sinh trong quá trình thực hiện mô hình sản xuất được thu gom, xử lý và tái sử dụng phục vụ sản xuất khác theo quy định.
3. Hồ sơ, minh chứng đánh giá mô hình kinh tế xanh hoặc mô hình kinh tế tuần hoàn hiệu quả được lập theo từng mô hình cụ thể và theo từng chủ thể thực hiện, gồm:
a) Nhóm hồ sơ pháp lý và xác định chủ thể mô hình (do doanh nghiệp hoặc HTX, hoặc THT, hoặc nhóm hộ, hoặc hộ gia đình chủ trì mô hình cung cấp):
Quyết định thành lập hoặc giấy chứng nhận đăng ký doanh nghiệp/HTX/THT;
Văn bản xác nhận của UBND xã về việc mô hình đang hoạt động thực tế trên địa bàn;
Thuyết minh mô tả mô hình (mục tiêu, quy mô, địa điểm, lĩnh vực sản xuất, thời gian triển khai, số hộ tham gia);
Trường hợp mô hình cộng đồng thôn, bản: biên bản họp cộng đồng, quyết định hoặc văn bản giao nhiệm vụ của UBND xã;
b) Nhóm hồ sơ, minh chứng tiêu chí kỹ thuật của mô hình (do chủ thể thực hiện mô hình lập; UBND xã kiểm tra, tổng hợp):
Căn cứ các yêu cầu tại khoản 1 Điều 11, khoản 1 và khoản 2 Điều này, hồ sơ minh chứng gồm một hoặc một số tài liệu sau đây:
Minh chứng tái sử dụng, tái chế phụ phẩm, chất thải: bảng thống kê khối lượng phụ phẩm phát sinh và khối lượng được tái sử dụng/tái chế (theo tháng hoặc năm). Hợp đồng thu gom, tái chế (nếu có). Hình ảnh, sơ đồ quy trình tuần hoàn. Nhật ký vận hành hệ thống xử lý (biogas, ủ compost, tuần hoàn nước...);
Minh chứng giảm sử dụng đầu vào: so sánh định mức vật tư đầu vào trước và sau khi áp dụng mô hình. Tài liệu kỹ thuật, quy trình sản xuất áp dụng. Hóa đơn, chứng từ mua vật tư (đối chiếu giảm chi phí đầu vào);
Minh chứng gia tăng giá trị kinh tế: báo cáo doanh thu, chi phí, lợi nhuận trước và sau khi áp dụng mô hình. Minh chứng sản phẩm phụ được thương mại hóa (hợp đồng, hóa đơn, bảng kê bán hàng). Xác nhận của HTX hoặc doanh nghiệp về giá trị gia tăng;
Minh chứng cải thiện môi trường, giảm phát thải: kết quả quan trắc môi trường (nếu thuộc đối tượng phải quan trắc). Hình ảnh, biên bản kiểm tra môi trường. Tài liệu mô tả biện pháp xử lý chất thải, nước thải, khí thải . Báo cáo đánh giá giảm mùi, giảm ô nhiễm hoặc giảm phát thải khí nhà kính (nếu có);
Minh chứng duy trì và nhân rộng mô hình: thời gian vận hành tối thiểu 01 năm (xác nhận của UBND xã). Kế hoạch duy trì, mở rộng hoặc nhân rộng mô hình. Danh sách hộ tham gia (đối với mô hình cộng đồng).
c) Nhóm hồ sơ đánh giá hiệu quả kinh tế - xã hội và khả năng nhân rộng (do UBND xã tổng hợp, trên cơ sở báo cáo của chủ thể mô hình):
Báo cáo tóm tắt kết quả thực hiện mô hình (01 năm gần nhất), gồm: quy mô, số hộ tham gia, hiệu quả kinh tế, tác động môi trường;
Đánh giá mức độ phù hợp với điều kiện tự nhiên, kinh tế - xã hội của địa phương;
Nhận xét của cộng đồng dân cư (nếu có);
Mô hình được UBND xã xác nhận để trình diễn và vận hành thực tế.
Mục 5
HƯỚNG DẪN THỰC HIỆN NỘI DUNG TIÊU CHÍ “3.4. CÓ KẾ HOẠCH VÀ THỰC HIỆN HIỆU QUẢ KẾ HOẠCH PHÁT TRIỂN SẢN PHẨM OCOP GẮN VỚI ĐẶC TRƯNG, THẾ MẠNH CỦA ĐỊA PHƯƠNG”
Điều 13. Yêu cầu nội dung tiêu chí
1. Đối với xã nhóm 1 và xã nhóm 2:
a) Có kế hoạch phát triển sản phẩm OCOP giai đoạn 2026 - 2030;
b) Có ít nhất 01 sản phẩm OCOP 4 sao trở lên còn thời hạn, hoặc có ít nhất 02 sản phẩm OCOP 3 sao còn thời hạn và có lộ trình cụ thể trong kế hoạch để phát triển ít nhất 01 sản phẩm OCOP 4 sao trở lên;
c) Tỷ lệ chủ thể là các HTX, doanh nghiệp nhỏ và vừa; tỷ lệ phụ nữ, đồng bào dân tộc thiểu số, người khuyết tật (nếu có) điều hành hoạt động sản xuất, kinh doanh duy trì bằng kết quả ở thời điểm ngày 31 tháng 12 của năm trước liền kề năm đánh giá.
2. Đối với xã nhóm 3:
a) Có kế hoạch phát triển sản phẩm OCOP giai đoạn 2026 - 2030;
b) Có sản phẩm OCOP được công nhận đạt 3 sao trở lên còn thời hạn;
c) Tỷ lệ chủ thể là các HTX, doanh nghiệp nhỏ và vừa; tỷ lệ phụ nữ, đồng bào dân tộc thiểu số, người khuyết tật (nếu có) điều hành hoạt động sản xuất, kinh doanh duy trì tối thiểu bằng kết quả ở thời điểm ngày 31 tháng 12 của năm trước liền kề năm đánh giá.
Điều 14. Đánh giá thực hiện
1. Kế hoạch phát triển sản phẩm OCOP đáp ứng các yêu cầu sau đây:
a) Kế hoạch phát triển sản phẩm OCOP giai đoạn 2026 - 2030 được UBND xã ban hành: tập trung phát triển sản phẩm OCOP gắn với lợi thế, đặc trưng, thế mạnh của địa phương về các sản phẩm đặc sản, làng nghề truyền thống, dịch vụ du lịch nông thôn; phát huy giá trị tài nguyên và tri thức bản địa, văn hóa truyền thống của địa phương;
b) Mục tiêu của kế hoạch yêu cầu nâng cao số lượng và chất lượng, cụ thể: số lượng sản phẩm OCOP tăng lên hằng năm, trong đó có mục tiêu về tỷ lệ sản phẩm OCOP được nâng hạng sao không thấp hơn mục tiêu về tỷ lệ nâng hạng sao của tỉnh, thành phố giai đoạn 2026 - 2030, tính theo số lượng sản phẩm OCOP ở thời điểm ngày 31 tháng 12 năm 2025. Xác định rõ tỷ lệ chủ thể là các HTX, doanh nghiệp nhỏ và vừa; tỷ lệ phụ nữ, đồng bào dân tộc thiểu số, người khuyết tật (nếu có) điều hành hoạt động sản xuất, kinh doanh giữ ổn định hoặc tăng hằng năm (so với hiện trạng tại thời điểm ngày 31 tháng 12 năm 2025). Xác định rõ mục tiêu về phát triển vùng nguyên liệu tại xã, liên kết ổn định; tỷ lệ chủ thể OCOP xây dựng được vùng nguyên liệu và có liên kết ổn định, đạt tối thiểu 70% đến hết năm 2030, nhưng không được thấp hơn so với hiện trạng tại thời điểm ngày 31 tháng 12 năm 2025. Có mục tiêu áp dụng chuyển đổi số về truy xuất nguồn gốc, tham gia sàn thương mại điện tử...;
c) Có các giải pháp thúc đẩy nâng cao chất lượng sản phẩm, phát triển chuỗi giá trị sản phẩm OCOP gắn với xây dựng vùng nguyên liệu địa phương theo hướng bền vững; phát triển thương hiệu sản phẩm; đẩy mạnh ứng dụng công nghệ, chuyển đổi số trong sản xuất, chế biến và thương mại; ưu tiên phát triển các HTX, doanh nghiệp nhỏ và vừa; thúc đẩy khởi nghiệp gắn với OCOP cho thanh niên, phụ nữ, đồng bào dân tộc thiểu số, người khuyết tật (nếu có).
2. Căn cứ vào kết quả sản phẩm OCOP tại thời điểm ngày 31 tháng 12 năm 2025, mục tiêu chung của từng tỉnh, thành phố trong giai đoạn 2026 - 2030, điều kiện kinh tế - xã hội của địa phương, UBND cấp tỉnh quy định mục tiêu cụ thể đối với từng nhóm xã.
3. Tổ chức thực hiện kế hoạch:
Kế hoạch phát triển sản phẩm OCOP giai đoạn 2026 - 2030 được tổ chức thực hiện thường xuyên gắn với các hoạt động cụ thể, trong đó bao gồm: tuyên truyền nâng cao nhận thức; tập huấn nâng cao năng lực của các chủ thể; hỗ trợ, hướng dẫn phát triển sản phẩm, phát triển vùng nguyên liệu địa phương; tổ chức hoạt động đánh giá, phân hạng sản phẩm; hỗ trợ xúc tiến thương mại...
4. Hồ sơ, minh chứng đánh giá:
a) Kế hoạch phát triển sản phẩm OCOP giai đoạn 2026 - 2030 do UBND xã ban hành;
b) Danh sách chủ thể OCOP, sản phẩm OCOP trên địa bàn xã được cấp có thẩm quyền công nhận đạt sao;
c) Biểu mô tả kết quả thực hiện các mục tiêu của kế hoạch phát triển sản phẩm OCOP, do UBND xã lập.
Mục 6
HƯỚNG DẪN THỰC HIỆN NỘI DUNG TIÊU CHÍ “3.5. CÁC MÔ HÌNH DU LỊCH NÔNG THÔN (NẾU CÓ) TRONG QUY HOẠCH CHUNG XÃ ĐƯỢC ĐẦU TƯ HẠ TẦNG ĐỒNG BỘ KẾT NỐI VÀ HOẠT ĐỘNG HIỆU QUẢ GẮN VỚI ĐẶC TRƯNG CỦA ĐỊA PHƯƠNG”
Điều 15. Yêu cầu nội dung tiêu chí
1. Đối với xã nhóm 1 và xã nhóm 2:
a) 100% điểm du lịch nông thôn trên địa bàn xã được công nhận là điểm du lịch hoặc là điểm du lịch cộng đồng hoặc được công nhận là sản phẩm OCOP;
b) Có sự tăng trưởng về quy mô lượng khách du lịch hằng năm (trong 02 năm trước liền kề năm đánh giá).
2. Đối với xã nhóm 3:
a) 100% điểm du lịch nông thôn trên địa bàn xã được công nhận là điểm du lịch hoặc là điểm du lịch cộng đồng hoặc được công nhận là sản phẩm OCOP. Trong đó, ít nhất 01 điểm du lịch đặc trưng, thể hiện bản sắc độc đáo của xã được công nhận sản phẩm OCOP;
b) Có sự tăng trưởng về quy mô lượng khách du lịch hằng năm (trong 02 năm trước liền kề năm đánh giá).
Điều 16. Đánh giá thực hiện
1. Mô hình du lịch nông thôn đáp ứng các yêu cầu sau đây:
a) Điểm du lịch cung cấp dịch vụ trải nghiệm về nông nghiệp, làng nghề, sinh thái, văn hóa, homestay... (không bao gồm các khu du lịch nghỉ dưỡng, thể thao, mạo hiểm...) trong quy hoạch chung xã, hoặc chưa nằm trong quy hoạch nhưng không vi phạm các quy định về quản lý quy hoạch, sử dụng đất;
b) Có hệ thống hạ tầng đồng bộ, kết nối gồm:
Hạ tầng giao thông: đường giao thông kết nối thuận lợi từ trục chính (quốc lộ, tỉnh lộ, đường xã) đến điểm du lịch; đường nội bộ trong khu du lịch đảm bảo an toàn, có phân luồng cho người đi bộ, xe đạp, xe điện (nếu có); bãi đỗ xe ô tô phù hợp với quy mô khách; hệ thống biển chỉ dẫn, chỉ đường, bản đồ du lịch thống nhất, dễ nhận diện;
Hạ tầng môi trường: hệ thống điện, cung cấp nước sạch, thu gom và xử lý rác thải đáp ứng yêu cầu theo quy định;
c) Được cơ quan có thẩm quyền công nhận gồm một trong các trường hợp dưới đây:
Điểm du lịch hoặc điểm du lịch cộng đồng theo quy định tại Điều 23 Luật Du lịch, Điều 11 Nghị định số 168/2017/NĐ-CP ngày 31 tháng 12 năm 2017 của Chính phủ quy định chi tiết thi hành một số điều của Luật Du lịch;
Sản phẩm OCOP từ 3 sao trở lên theo quy định của Thủ tướng Chính phủ ban hành về Bộ tiêu chí và quy trình đánh giá, phân hạng, công nhận sản phẩm OCOP.
2. Hồ sơ, minh chứng đánh giá:
a) Danh sách điểm du lịch nông thôn trên địa bàn xã và quyết định công nhận của cơ quan có thẩm quyền;
b) Biểu mô tả kết quả thực hiện do UBND xã lập.
Mục 7
HƯỚNG DẪN THỰC HIỆN NỘI DUNG TIÊU CHÍ “3.7. CÓ TỔ KHUYẾN NÔNG CỘNG ĐỒNG HOẠT ĐỘNG HIỆU QUẢ”
Điều 17. Yêu cầu nội dung tiêu chí
Tổ khuyến nông cộng đồng được đánh giá hoạt động hiệu quả khi đáp ứng các yêu cầu sau đây:
1. Có tổ khuyến nông cộng đồng được UBND xã quyết định thành lập hoặc kiện toàn, có quy chế hoạt động.
2. Có kế hoạch hoạt động hằng năm và được triển khai thực tế.
3. Trong năm có ít nhất 02 hoạt động cụ thể thuộc một hoặc nhiều nội dung sau đây:
a) Chuyển giao tiến bộ kỹ thuật, xây dựng hoặc tham gia mô hình sản xuất;
b) Tư vấn, hỗ trợ phát triển HTX, THT;
c) Hỗ trợ liên kết sản xuất - tiêu thụ, kết nối thị trường;
d) Tham gia hoạt động phòng, chống thiên tai, dịch bệnh, bảo vệ môi trường, xây dựng nông thôn mới.
4. Có minh chứng cụ thể về kết quả, sản phẩm, như: mô hình sản xuất, lớp tập huấn, vùng nguyên liệu, hợp đồng liên kết, nhãn hiệu, thương hiệu sản phẩm.
5. Đạt kết quả chấm điểm theo quy định tại khoản 4 Điều 18 Thông tư này:
a) Đối với xã nhóm 2: Đạt từ 70 điểm trở lên;
b) Đối với xã nhóm 3: Đạt từ 60 điểm trở lên.
Điều 18. Đánh giá thực hiện
1. Tổ khuyến nông cộng đồng hoạt động đúng chức năng, nhiệm vụ và quy chế; có sản phẩm, kết quả cụ thể; góp phần phát triển kinh tế nông thôn, tổ chức sản xuất, nâng cao thu nhập cho người dân và bảo vệ môi trường.
2. Cơ cấu tổ chức và thành lập, kiện toàn tổ khuyến nông cộng đồng:
a) Cơ cấu tổ chức: tổ khuyến nông cộng đồng có từ 05 thành viên trở lên, trong đó: tổ trưởng là lãnh đạo cấp xã hoặc người đứng đầu (hoặc cấp phó được phân công) của đơn vị; viên chức khuyến nông thuộc Trung tâm cung ứng dịch vụ sự nghiệp công cấp xã; đại diện HTX, THT, doanh nghiệp, nông dân sản xuất giỏi và đại diện các tổ chức đoàn thể tại địa phương; cộng tác viên khuyến nông;
b) Thành lập, kiện toàn: UBND xã có trách nhiệm rà soát, kiện toàn tổ khuyến nông cộng đồng hiện có hoặc thành lập mới (nếu chưa có).
3. Nội dung hoạt động chủ yếu của tổ khuyến nông cộng đồng:
a) Chuyển giao tiến bộ kỹ thuật, công nghệ; hướng dẫn sản xuất an toàn, sinh thái, tuần hoàn, hữu cơ;
b) Tư vấn, hỗ trợ phát triển tổ chức sản xuất, HTX, THT, xây dựng và phát triển vùng nguyên liệu;
c) Hỗ trợ liên kết sản xuất - tiêu thụ sản phẩm, kết nối thị trường, truy xuất nguồn gốc, xây dựng nhãn hiệu, thương hiệu nông sản;
d) Tham gia đào tạo, tập huấn, tuyên truyền chủ trương, chính sách về nông nghiệp, nông thôn và bảo vệ môi trường;
đ) Tham gia phòng, chống thiên tai, dịch bệnh, bảo vệ môi trường, ứng phó với biến đổi khí hậu;
e) Tư vấn, dịch vụ khuyến nông, nông nghiệp, bảo vệ môi trường theo quy định của pháp luật;
g) Tham gia các hoạt động phát triển cộng đồng, phát triển sản phẩm OCOP, xây dựng nông thôn mới tại địa phương.
| TT | Nội dung đánh giá | Điểm tối đa | Hồ sơ minh chứng |
| 1 | Có quyết định thành lập/công nhận tổ khuyến nông cộng đồng | 10 | Quyết định thành lập/công nhận |
| 2 | Thành phần tổ khuyến nông cộng đồng phù hợp (tổ trưởng là lãnh đạo cấp xã hoặc người đứng đầu (hoặc cấp phó được phân công) của đơn vị, tổ chức tham gia cung ứng dịch vụ công cấp xã) | 10 | Danh sách thành viên |
| 3 | Có quy chế hoạt động, phân công nhiệm vụ cho các thành viên | 10 | Quy chế, bảng phân công nhiệm vụ |
| 4 | Có địa điểm sinh hoạt/điều kiện hoạt động | 10 | Ảnh chụp nơi làm việc, giấy xác nhận trụ sở |
| 5 | Có hoạt động chuyển giao tiến bộ kỹ thuật, hướng dẫn sản xuất | 15 | Báo cáo kết quả, hình ảnh |
| 6 | Tham gia đào tạo, tập huấn, tuyên truyền cho nông dân, HTX | 10 | Danh sách, biên bản |
| 7 | Tư vấn, hỗ trợ HTX, THT, hộ sản xuất | 10 | Báo cáo, số liệu HTX, THT, hỗ sản xuất được hỗ trợ |
| 8 | Hỗ trợ liên kết sản xuất - tiêu thụ sản phẩm | 10 | Hợp đồng, xác nhận |
| 9 | Hoạt động thường xuyên, có kế hoạch/báo cáo | 10 | Kế hoạch/báo cáo |
| 10 | Góp phần nâng cao thu nhập, sinh kế, được người dân ghi nhận | 5 | Xác nhận của thôn/bản/ấp |
|
| Tổng điểm | 100 |
|
5. Hồ sơ, minh chứng đánh giá:
Bảng chấm điểm đánh giá hiệu quả của tổ khuyến nông cộng đồng kèm theo hồ sơ minh chứng quy định tại khoản 4 Điều này.
Mục 8
HƯỚNG DẪN THỰC HIỆN NỘI DUNG TIÊU CHÍ 3.10 VỀ “CÓ LÀNG NGHỀ ĐƯỢC CÔNG NHẬN HOẶC KHU VỰC SẢN XUẤT DỊCH VỤ QUY MÔ PHÙ HỢP ĐƯỢC QUY HOẠCH, ĐẦU TƯ XÂY DỰNG ĐẢM BẢO ĐÁP ỨNG CÁC QUY ĐỊNH CỦA PHÁP LUẬT”
Điều 19. Yêu cầu nội dung tiêu chí
1. Đối với xã nhóm 1:
Đáp ứng một trong các yêu cầu sau đây:
a) Có ít nhất 01 làng nghề hoặc làng nghề truyền thống được UBND cấp tỉnh công nhận;
b) Có khu vực sản xuất dịch vụ đáp ứng các yêu cầu sau đây:
Về quy hoạch: có quy hoạch chi tiết cho khu vực sản xuất, dịch vụ và được xác định rõ trong quy hoạch chung của xã hoặc cụm công nghiệp làng nghề được cấp có thẩm quyền phê duyệt;
Về hạ tầng: 100% đường giao thông được nhựa hóa hoặc bê tông hóa đảm bảo xe trọng tải lớn lưu thông; tuân thủ quy định về phòng cháy chữa cháy; hệ thống điện lưới đáp ứng yêu cầu sản xuất và đảm bảo theo quy định; có hệ thống nước sạch; có hệ thống thu gom, xử lý nước thải, chất thải rắn theo quy định về môi trường;
Đã được cơ quan có thẩm quyền phê duyệt hoặc nghiệm thu về phòng cháy chữa cháy.
2. Đối với xã nhóm 2:
Đáp ứng một trong các yêu cầu sau đây:
a) Có ít nhất 01 làng nghề hoặc làng nghề truyền thống được UBND cấp tỉnh công nhận;
b) Có khu vực sản xuất dịch vụ đáp ứng các yêu cầu sau đây:
Về quy hoạch: được xác định rõ trong quy hoạch chung của xã, có văn bản phê duyệt vị trí, diện tích đất sản xuất/dịch vụ của cấp có thẩm quyền;
Về hạ tầng: có đường giao thông thuận tiện kết nối với trục chính của xã/tỉnh; hạ tầng điện lưới đáp ứng công suất sản xuất; có hệ thống nước sạch; có khu tập kết rác thải; có hệ thống mương/cống thoát nước thải chung đảm bảo quy định về môi trường;
Đã được cơ quan có thẩm quyền phê duyệt hoặc nghiệm thu về phòng cháy chữa cháy.
3. Đối với xã nhóm 3:
Đáp ứng một trong các yêu cầu sau đây:
a) Có ít nhất 01 làng nghề hoặc làng nghề truyền thống được UBND cấp tỉnh công nhận;
b) Có khu vực sản xuất dịch vụ đáp ứng các yêu cầu sau đây:
Về quy hoạch: phù hợp với quỹ đất của địa phương, ưu tiên tận dụng các mặt bằng sẵn có. Quy mô có thể nhỏ nhưng phải đảm bảo không xâm phạm đất rừng phòng hộ, rừng đặc dụng;
Về hạ tầng: đảm bảo điều kiện tối thiểu về giao thông (xe cơ giới đi lại thuận tiện) và điện, nước phục vụ sản xuất. Việc xử lý môi trường có thể áp dụng các mô hình bán tập trung hoặc tại chỗ nhưng phải đảm bảo vệ sinh.
Điều 20. Đánh giá thực hiện
1. Làng nghề hoặc làng nghề truyền thống được đánh giá “Đạt” khi đáp ứng các yêu cầu: được UBND cấp tỉnh công nhận, đang hoạt động và không thuộc diện đang xem xét thu hồi quyết định công nhận hoặc bằng công nhận.
2. Khu vực sản xuất dịch vụ quy mô phù hợp được quy hoạch nằm tách biệt hoặc nằm trong khu dân cư nhưng được quy hoạch rõ ràng, được đầu tư xây dựng hạ tầng đảm bảo đáp ứng các quy định của pháp luật.
3. Hồ sơ, minh chứng đánh giá:
a) Đối với làng nghề được công nhận:
Quyết định hoặc bằng công nhận của UBND cấp tỉnh về việc công nhận làng nghề hoặc làng nghề truyền thống;
Xác nhận của UBND cấp xã chứng minh làng nghề hoặc làng nghề truyền thống đang hoạt động và không thuộc diện đang xem xét thu hồi quyết định công nhận hoặc bằng công nhận;
b) Đối với khu vực sản xuất dịch vụ quy mô phù hợp được quy hoạch, đầu tư xây dựng đảm bảo đáp ứng các quy định của pháp luật:
Quyết định phê duyệt quy hoạch chung xã hoặc quy hoạch chi tiết khu vực sản xuất dịch vụ/cụm công nghiệp làng nghề được cấp có thẩm quyền phê duyệt;
Báo cáo tóm tắt tình hình đầu tư cơ sở hạ tầng tại khu vực sản xuất, dịch vụ;
Văn bản xác nhận đáp ứng điều kiện bảo vệ môi trường của cấp có thẩm quyền;
Văn bản phê duyệt hoặc nghiệm thu về phòng cháy chữa cháy của cơ quan có thẩm quyền (áp dụng đối với xã nhóm 1 và xã nhóm 2).
Mục 9
HƯỚNG DẪN THỰC HIỆN NỘI DUNG TIÊU CHÍ “6.1. TỶ LỆ NGHÈO ĐA CHIỀU”
Điều 21. Yêu cầu nội dung tiêu chí
Xã được công nhận “Đạt” nội dung tiêu chí “6.1. Tỷ lệ nghèo đa chiều” khi có tỷ lệ nghèo đa chiều đáp ứng yêu cầu tại Quyết địnhsố 51/2025/QĐ-TTg:
1. Đối với xã nhóm 1: Tỷ lệ nghèo đa chiều nhỏ hơn hoặc bằng 2%.
2. Đối với xã nhóm 2: Tỷ lệ nghèo đa chiều nhỏ hơn hoặc bằng 5%.
3. Đối với xã nhóm 3: Tỷ lệ nghèo đa chiều nhỏ hơn hoặc bằng 13%.
Điều 22. Đánh giá thực hiện
1. Xác định “Tỷ lệ nghèo đa chiều”:
Nội dung tiêu chí “6.1. Tỷ lệ nghèo đa chiều” thuộc Bộ tiêu chí quốc gia về xã nông thôn mới giai đoạn 2026 - 2030 được xác định bằng tổng tỷ lệ hộ nghèo đa chiều và tỷ lệ hộ cận nghèo đa chiều của xã (không bao gồm hộ nghèo và hộ cận nghèo đa chiều không có khả năng lao động), theo công thức sau đây:
Tỷ lệ nghèo đa chiều = Tỷ lệ hộ nghèo đa chiều + Tỷ lệ hộ cận nghèo đa chiều.
| Tỷ lệ hộ nghèo đa chiều (%) | = | Tổng số hộ nghèo đa chiều (trừ số hộ nghèo đa chiều không có khả năng lao động) | x 100 |
| Tổng số hộ dân cư |
| Tỷ lệ hộ cận nghèo đa chiều (%) | = | Tổng số hộ cận nghèo đa chiều (trừ số hộ cận nghèo đa chiều không có khả năng lao động) | x 100 |
| Tổng số hộ dân cư |
4. Áp dụng chuẩn nghèo đa chiều
a) Năm 2026, số liệu để xác định “Tỷ lệ nghèo đa chiều” theo chuẩn nghèo đa chiều giai đoạn 2022 - 2025 quy định tại Điều 3 Nghị định số 07/2021/NĐ-CP ngày 27 tháng 01 năm 2021 của Chính phủ quy định chuẩn nghèo đa chiều giai đoạn 2021 - 2025;
b) Giai đoạn 2027 - 2030, số liệu để xác định “Tỷ lệ nghèo đa chiều” theo chuẩn nghèo đa chiều quốc gia giai đoạn 2027 - 2030 quy định tại Điều 3 Nghị định số 351/2025/NĐ-CP ngày 30 tháng 12 năm 2025 của Chính phủ quy định chuẩn nghèo đa chiều quốc gia giai đoạn 2026 - 2030.
5. Hồ sơ, minh chứng đánh giá:
Quyết định của Chủ tịch UBND xã về tỷ lệ nghèo đa chiều tại thời điểm xác định xã đạt chuẩn nông thôn mới.
Mục 10
HƯỚNG DẪN THỰC HIỆN NỘI DUNG TIÊU CHÍ “6.3. TỶ LỆ HỘ ĐƯỢC SỬ DỤNG NƯỚC SẠCH THEO QUY CHUẨN”
Điều 23. Yêu cầu nội dung tiêu chí
Tỷ lệ hộ được sử dụng nước sạch theo quy chuẩn được xác định bằng tổng số hộ được sử dụng nước sạch theo quy chuẩn từ công trình cấp nước tập trung và số hộ sử dụng nước sạch từ công trình cấp nước hộ gia đình chia cho tổng số hộ gia đình của xã tại cùng thời điểm đánh giá, phải bằng hoặc cao hơn mức quy định đối với từng nhóm xã, cụ thể:
1. Đối với xã nhóm 1: có tỷ lệ hộ được sử dụng nước sạch theo quy chuẩn ≥80% (trong đó phải có tỷ lệ hộ được sử dụng nước sạch theo quy chuẩn từ công trình cấp nước tập trung).
2. Đối với xã nhóm 2: có tỷ lệ hộ được sử dụng nước sạch theo quy chuẩn ≥70% (trong đó phải có tỷ lệ hộ được sử dụng nước sạch theo quy chuẩn từ công trình cấp nước tập trung).
3. Đối với xã nhóm 3: có tỷ lệ hộ được sử dụng nước sạch theo quy chuẩn ≥40% (bao gồm tỷ lệ hộ sử dụng nước sạch từ công trình cấp nước hộ gia đình và công trình cấp nước tập trung (nếu có)).
Điều 24. Đánh giá thực hiện
1. Công trình cấp nước sạch tập trung là công trình cấp nước sạch phục vụ cho mục đích sinh hoạt, cấp nước cho quy mô từ cấp thôn, bản, làng, xóm, ấp hoặc tương đương trở lên.
2. Công trình cấp nước hộ gia đình là công trình cấp nước sinh hoạt do hộ gia đình tự khai thác, xử lý nước để cấp nước sinh hoạt cho một gia đình hoặc một số hộ gia đình, nhóm hộ gia đình.
3. Xác định tỷ lệ hộ được sử dụng nước sạch theo quy chuẩn từ công trình cấp nước tập trung:
a) Tỷ lệ hộ được sử dụng nước sạch theo quy chuẩn từ công trình cấp nước tập trung được xác định bằng tỷ lệ số hộ được sử dụng nước sạch theo quy chuẩn từ công trình cấp nước tập trung chia cho tổng số hộ gia đình của xã tại cùng thời điểm đánh giá;
b) Công trình cấp nước tập trung phải đáp ứng yêu cầu bền vững theo tiêu chí đánh giá tại Bộ chỉ số theo dõi, đánh giá nước sạch nông thôn do Bộ Nông nghiệp và Môi trường ban hành.
4. Xác định tỷ lệ hộ được sử dụng nước sạch theo quy chuẩn từ công trình cấp nước hộ gia đình:
a) Tỷ lệ hộ được sử dụng nước sạch theo quy chuẩn từ công trình cấp nước hộ gia đình được xác định bằng tỷ lệ số hộ được sử dụng nước sạch từ công trình cấp nước hộ gia đình chia cho tổng số hộ gia đình của xã tại cùng thời điểm đánh giá;
b) Công trình cấp nước hộ gia đình phải đáp ứng các yêu cầu theo tiêu chí đánh giá tại Bộ chỉ số theo dõi, đánh giá nước sạch nông thôn do Bộ Nông nghiệp và Môi trường ban hành.
5. Hồ sơ, minh chứng đánh giá:
| TT | Tên thôn/ấp... (nếu có) | Tổng số HGĐ | Tỷ lệ hộ gia đình (HGĐ) sử dụng nước sạch theo quy chuẩn | |||||
| Từ công trình cấp nước tập trung | Từ công trình cấp nước HGĐ | Tổng | ||||||
| Số hộ | Tỷ lệ (%) | Số hộ | Tỷ lệ (%) | Số hộ | Tỷ lệ (%) | |||
| 1 |
|
|
|
|
|
|
|
|
| 2 |
|
|
|
|
|
|
|
|
|
|
|
|
|
|
|
|
|
|
|
| Tổng |
|
|
|
|
|
|
|
|
TT |
Tên công trình |
Địa bàn cung cấp (xã, thôn) |
Tiêu chí đánh giá |
Đánh giá mức độ hoạt động bền vững (6) |
|||||
|
(1) Thu phí dịch vụ so với chi phí vận hành, bảo trì |
(2) Nước sau xử lý đạt QCVN (Đạt: 20 điểm) |
(3) Khả năng cấp nước thường xuyên trong năm |
(4) Công suất thực tế so với công suất thiết kế sau 02 năm |
(5) Cán bộ có chuyên môn, năng lực quản lý vận hành phù hợp |
Tổng điểm |
Đạt |
|||
|
1 |
|
|
|
|
|
|
|
|
|
|
2 |
|
|
|
|
|
|
|
|
|
|
|
|
|
|
|
|
|
|
|
|
|
|
Tổng |
|
|
|
|
|
|
|
|
Trong đó:
Tiêu chí (1): kiểm tra trực tiếp qua báo cáo nội kiểm, quan sát, phỏng vấn; kết quả: dư thì được 20 điểm, đủ thì được 15 điểm;
Tiêu chí (2): dựa trên kết quả kiểm định của cơ quan có thẩm quyền theo Quy chuẩn kỹ thuật quốc gia hoặc Quy chuẩn kỹ thuật địa phương; kết quả: đạt thì được 20 điểm;
Tiêu chí (3): kiểm tra trực tiếp qua báo cáo nội kiểm, quan sát, phỏng vấn; kết quả: ổn định thì được 20 điểm, <30 ngày không cấp/năm thì được 10 điểm, >30 ngày không cấp/năm là 0 điểm;
Tiêu chí (4): kết quả: >60% thì được 20 điểm, từ 50-60% thì được 10 điểm, <50% là 0 điểm;
Tiêu chí (5): kiểm tra trực tiếp qua báo cáo nội kiểm, quan sát, phỏng vấn; kết quả: đạt thì được 20 điểm, không đạt là 0 điểm. Đối với công trình có quy mô lớn, vừa hoặc nhóm công trình có tổng công suất từ 3.000m3/ng.đ trở lên phải thỏa mãn yêu cầu sau: có ít nhất 01 cán bộ có trình độ đại học chuyên ngành phù hợp đã có 01 năm kinh nghiệm trở lên về quản lý, khai thác công trình thủy lợi, cấp, thoát nước; có ít nhất 02 nhân sự quản lý, khai thác có trình độ chuyên môn kỹ thuật phù hợp với vị trí việc làm về xây dựng, kỹ thuật điện, nước, vận hành trang thiết bị của công trình, tốt nghiệp các trường dạy nghề về chuyên ngành cấp thoát nước, xây dựng, thủy lợi, điện, cơ khí hoặc tương đương trở lên. Đối với công trình quy mô nhỏ và rất nhỏ: yêu cầu nhân sự quản lý, khai thác phải có ít nhất 01 người được xác nhận là đã tham gia tập huấn về chuyên môn kỹ thuật quản lý, khai thác công trình cấp nước sạch tập trung do cơ quan, đơn vị chuyên môn, tổ chức quản lý, khai thác về cấp nước sạch nông thôn tổ chức;
Đánh giá mức độ hoạt động bền vững (6) khi tổng điểm ≥70, trong đó phải đạt ít nhất 15 điểm cho nội dung đánh giá số (1) và 20 điểm cho nội dung đánh giá số (2);
c) Bản chụp kết quả xét nghiệm chất lượng nước còn hiệu lực tại thời điểm đánh giá;
d) Hình ảnh minh họa công trình cấp nước sạch tập trung, công trình cấp nước hộ gia đình trên địa bàn xã.
Mục 11
HƯỚNG DẪN THỰC HIỆN NỘI DUNG TIÊU CHÍ
“6.7. ĐẢM BẢO AN TOÀN THỰC PHẨM”
Điều 25. Yêu cầu nội dung tiêu chí
Xã được công nhận “Đạt” nội dung tiêu chí “6.7. Đảm bảo an toàn thực phẩm” khi có 100% số hộ gia đình, cơ sở sản xuất, kinh doanh thực phẩm tại địa bàn xã tuân thủ các quy định về đảm bảo an toàn thực phẩm.
Điều 26. Đánh giá thực hiện
1. Đối tượng đánh giá, bao gồm: hộ gia đình, cơ sở sản xuất ban đầu (trồng trọt, chăn nuôi, thu hái, khai thác nông lâm thủy sản; nuôi trồng thủy sản; tàu cá; sản xuất, khai thác muối); hộ gia đình, cơ sở thu gom, giết mổ, sơ chế, chế biến thực phẩm; hộ gia đình, cơ sở kinh doanh thực phẩm. Không đánh giá đối với hộ gia đình, cơ sở sản xuất chỉ để tiêu dùng, không bán sản phẩm ra thị trường.
2. Đánh giá kết quả thực hiện theo bảng sau đây:
| TT | Đối tượng | Yêu cầu đạt | Căn cứ pháp lý |
| I | Hộ gia đình, cơ sở sản xuất ban đầu | ||
| 1 | Hộ gia đình, cơ sở sản xuất nông lâm thủy sản ban đầu nhỏ lẻ | Giấy cam kết sản xuất thực phẩm an toàn với cơ quan quản lý được UBND cấp tỉnh phân công, phân cấp và được giám sát hằng năm theo nội dung đã cam kết | Thông tư số 17/2018/TT-BNNPTNT BNNPTNT ngày 31 tháng 10 năm 2018 của Bộ trưởng Bộ Nông nghiệp và Phát triển nông thôn quy định phương thức quản lý điều kiện bảo đảm an toàn thực phẩm đối với cơ sở sản xuất kinh doanh nông lâm thủy sản không thuộc diện cấp Giấy chứng nhận cơ sở đủ điều kiện an toàn thực phẩm thuộc phạm vi quản lý của Bộ Nông nghiệp và Phát triển nông thôn (nay là Bộ Nông nghiệp và Môi trường) |
| 2 | Hộ gia đình, cơ sở sản xuất thực phẩm không có địa điểm cố định (trừ tàu cá có chiều dài lớn nhất từ 15 mét trở lên) | ||
| 3 | Hộ gia đình, cơ sở sản xuất nông lâm thủy sản ban đầu (trừ các đối tượng tại mục I.1, I.2 nêu trên) và được cấp Giấy kinh doanh hộ gia đình | Giấy chứng nhận đủ điều kiện an toàn thực phẩm và còn hiệu lực | Thông tư số 38/2018/TT-BNNPTNT BNNPTNT ngày 25 tháng 12 năm 2018 của Bộ trưởng Bộ Nông nghiệp và Phát triển nông thôn quy định việc thẩm định, chứng nhận cơ sở sản xuất, kinh doanh thực phẩm nông, lâm, thủy sản đủ điều kiện an toàn thực phẩm thuộc phạm vi quản lý của Bộ Nông nghiệp và Phát triển nông thôn (được sửa đổi, bổ sung bởi Thông tư số 17/2024/TT-NNPTNT và Thông tư số 17/2025/TT-NNMT) |
| II | Hộ gia đình, cơ sở giết mổ, sơ chế, chế biến thực phẩm (*) | ||
| 1 | Hộ gia đình, cơ sở sơ chế nhỏ lẻ | Giấy cam kết sản xuất thực phẩm an toàn với cơ quan quản lý được UBND cấp tỉnh phân công, phân cấp và được giám sát hàng năm theo nội dung đã cam kết | Thông tư số 17/2018/TT-BNNPTNT BNNPTNT |
| 2 | Hộ gia đình, cơ sở giết mổ, cơ sở sơ chế (trừ cơ sở sơ chế nhỏ lẻ nêu tại II. 1 nêu trên), chế biến thực phẩm thuộc phạm vi quản lý của Bộ Nông nghiệp và Môi trường | Giấy chứng nhận đủ điều kiện an toàn thực phẩm và còn hiệu lực | Thông tư số 38/2018/TT-BNNPTNT (được sửa đổi, bổ sung bởi Thông tư số 17/2024/TT-NNPTNT và Thông tư số 17/2025/TT-NNMT) |
| 3 | Cơ sở sản xuất thực phẩm thuộc thẩm quyền quản lý của Bộ Y tế (theo Nghị định số 15/2018/NĐ-CP) | Giấy chứng nhận đủ điều kiện an toàn thực phẩm và còn hiệu lực | Nghị định số 155/2018/NĐ-CP ngày 12 tháng 11 năm 2018 của Chính phủ sửa đổi, bổ sung một số quy định liên quan đến điều kiện đầu tư kinh doanh thuộc phạm vi quản lý nhà nước của Bộ Y tế (được sửa đổi, bổ sung bởi Nghị định số 88/2023/NĐ-CP) |
| 4 | Cơ sở sản xuất thực phẩm thuộc thẩm quyền quản lý của Bộ Công Thương (theo Nghị định số 15/2018/NĐ-CP) | Giấy chứng nhận đủ điều kiện an toàn thực phẩm và còn hiệu lực | - Thông tư số 43/2018/TT-BCT ngày 15 tháng 11 năm 2018 của Bộ trưởng Bộ Công Thương quy định về quản lý an toàn thực phẩm thuộc trách nhiệm của Bộ Công Thương. - Thông tư số 13/2020/TT-BCT ngày 16 tháng 8 năm 2020 của Bộ trưởng Bộ Công Thương sửa đổi, bổ sung, bãi bỏ một số quy định về điều kiện đầu tư kinh doanh thuộc lĩnh vực quản lý nhà nước của Bộ Công Thương. |
| III | Hộ gia đình, cơ sở kinh doanh thực phẩm (*) | ||
| 1 | Hộ gia đình, cơ sở kinh doanh thực phẩm không có địa điểm cố định | Giấy cam kết sản xuất thực phẩm an toàn với cơ quan quản lý được UBND cấp tỉnh phân công, phân cấp và được giám sát hàng năm theo nội dung đã cam kết | Thông tư số 17/2018/TT-BNNPTNT |
| 2 | Hộ gia đình, cơ sở kinh doanh thực phẩm nhỏ lẻ | ||
| 3 | Hộ gia đình, cơ sở kinh doanh thực phẩm bao gói sẵn | ||
| 4 | Hộ gia đình, cơ sở kinh doanh nông lâm thủy sản thuộc phạm vi quản lý của Bộ Nông nghiệp và Môi trường (trừ các đối tượng tại các mục III.1, III. 2 và III.3 nêu trên) | Giấy chứng nhận đủ điều kiện an toàn thực phẩm và còn hiệu lực | Thông tư số 38/2018/TT-BNNPTNT (được sửa đổi, bổ sung bởi Thông tư số 17/2024/TT-BNNPTNT và Thông tư số 17/2025/TT-BNNMT) |
| 5 | Chợ đầu mối, đấu giá nông sản | Giấy chứng nhận đủ điều kiện an toàn thực phẩm và còn hiệu lực | Thông tư số 38/2018/TT-BNNPTNT (được sửa đổi, bổ sung bởi Thông tư số 17/2024/TT-BNNPTNT và Thông tư số 17/2025/TT-BNNMT) |
| 6 | Cơ sở kinh doanh dịch vụ ăn uống (theo Nghị định số 15/2018/NĐ-CP) | Giấy chứng nhận đủ điều kiện an toàn thực phẩm và còn hiệu lực | Nghị định số 155/2018/NĐ-CP (được sửa đổi, bổ sung bởi Nghị định số 88/2023/NĐ-CP) |
| 7 | Cơ sở kinh doanh thực phẩm thuộc thẩm quyền quản lý của Bộ Công Thương (theo Nghị định số 15/2018/NĐ-CP) | Giấy chứng nhận đủ điều kiện an toàn thực phẩm và còn hiệu lực | - Thông tư số 43/2018/TT-BCT. - Thông tư số 13/2020/TT-BCT. |
(*) Sản phẩm thực phẩm và cơ sở sản xuất, kinh doanh sản phẩm thực phẩm thuộc phạm vi quản lý của từng Bộ được quy định tại Phụ lục II, III, IV Nghị định số 15/2018/NĐ-CP ngày 02 tháng 02 năm 2018 của Chính phủ quy định chi tiết thi hành một số điều của Luật An toàn thực phẩm.
3. Hồ sơ, minh chứng đánh giá:
Danh sách thống kê hộ gia đình và cơ sở sản xuất, kinh doanh thực phẩm tại địa bàn thể hiện đầy đủ các thông tin: tên hộ gia đình và cơ sở; địa chỉ hộ gia đình và cơ sở; loại hình sản xuất, kinh doanh; thông tin việc tuân thủ quy định về an toàn thực phẩm của các hộ gia đình và cơ sở sản xuất, kinh doanh thực phẩm tương ứng với từng loại hình cơ sở (gồm có số, ngày cấp, cơ quan cấp Giấy chứng nhận cơ sở đủ điều kiện an toàn thực phẩm (với đối tượng phải cấp); ngày làm bản ký cam kết bảo đảm an toàn thực phẩm của hộ gia đình và cơ sở; ngày kiểm tra, cơ quan kiểm tra, kết quả thanh tra, kiểm tra, hậu kiểm điều kiện bảo đảm an toàn thực phẩm của cơ quan chức năng...). Thời điểm cập nhật danh sách yêu cầu không quá 06 tháng tính đến thời điểm tổ chức đánh giá.
Mục 12
HƯỚNG DẪN THỰC HIỆN NỘI DUNG TIÊU CHÍ
“7.2. TỶ LỆ SỐ HÓA DỮ LIỆU VỀ NÔNG NGHIỆP VÀ MÔI TRƯỜNG”
Điều 27. Yêu cầu nội dung tiêu chí
1. Hồ sơ công việc về nông nghiệp và môi trường của xã (tại xã) được xử lý trên môi trường điện tử (trừ hồ sơ công việc thuộc phạm vi bí mật nhà nước) và sử dụng chữ ký số chuyên dùng công vụ (dùng cho cá nhân, tổ chức) để giải quyết công việc đạt tỷ lệ ≥70%, cụ thể:
a) Xã nhóm 1 đạt tỷ lệ ≥95%;
b) Xã nhóm 2 đạt tỷ lệ ≥85%;
c) Xã nhóm 3 đạt tỷ lệ ≥70%.
2. Hồ sơ, tài liệu công việc về nông nghiệp và môi trường phát sinh mới được tạo lập và xử lý trên môi trường điện tử đạt tỷ lệ 100%; hoàn thành số hóa tài liệu lưu trữ.
3. Tỷ lệ thủ tục hành chính về nông nghiệp và môi trường cung cấp dịch vụ công trực tuyến trên tổng số thủ tục hành chính về nông nghiệp và môi trường của xã đạt 100%.
4. Tỷ lệ số hóa hồ sơ, kết quả giải quyết thủ tục hành chính điện tử về nông nghiệp và môi trường của xã đạt ≥70%, cụ thể:
a) Xã nhóm 1 đạt tỷ lệ ≥95%;
b) Xã nhóm 2 đạt tỷ lệ ≥85%;
c) Xã nhóm 3 đạt tỷ lệ ≥70%.
5. Tỷ lệ khai thác, sử dụng lại thông tin, dữ liệu số hóa về nông nghiệp và môi trường của xã đạt ≥70%, cụ thể:
a) Xã nhóm 1 đạt tỷ lệ ≥95%;
b) Xã nhóm 2 đạt tỷ lệ ≥85%;
c) Xã nhóm 3 đạt tỷ lệ ≥70%.
Điều 28. Đánh giá thực hiện
1. Xã được đánh giá “Đạt” nội dung tiêu chí “7.2. Tỷ lệ số hóa dữ liệu về nông nghiệp và môi trường” khi đáp ứng các yêu cầu nội dung tiêu chí áp dụng đối với từng nhóm xã quy định tại Điều 27 Thông tư này.
2. Hồ sơ, minh chứng đánh giá:
Báo cáo của UBND xã về kết quả:
a) Xử lý hồ sơ công việc về nông nghiệp và môi trường được xử lý trên môi trường điện tử (trừ hồ sơ công việc thuộc phạm vi bí mật nhà nước) và sử dụng chữ ký số chuyên dùng công vụ (dùng cho cá nhân, tổ chức) để giải quyết công việc; kiểm chứng dựa trên hệ thống thông tin, cơ sở dữ liệu quản lý hồ sơ công việc của địa phương;
b) Xử lý hồ sơ, tài liệu công việc về nông nghiệp và môi trường phát sinh mới được tạo lập và xử lý trên môi trường điện tử; kiểm chứng dựa trên hệ thống thông tin, cơ sở dữ liệu quản lý hồ sơ, tài liệu công việc của địa phương;
c) Tỷ lệ thủ tục hành chính về nông nghiệp và môi trường cung cấp dịch vụ công trực tuyến trên tổng số thủ tục hành chính về nông nghiệp và môi trường; kiểm chứng dựa trên hệ thống thông tin giải quyết thủ tục hành chính của Bộ Nông nghiệp và Môi trường;
d) Tỷ lệ số hóa hồ sơ, kết quả giải quyết thủ tục hành chính điện tử về nông nghiệp và môi trường; kiểm chứng dựa trên hệ thống thông tin giải quyết thủ tục hành chính của Bộ Nông nghiệp và Môi trường;
đ) Tỷ lệ khai thác, sử dụng lại thông tin, dữ liệu số hóa về nông nghiệp và môi trường; kiểm chứng dựa trên hệ thống thông tin, cơ sở dữ liệu của địa phương.
Mục 13
HƯỚNG DẪN THỰC HIỆN NỘI DUNG TIÊU CHÍ “8.1. HỆ THỐNG
THU GOM, VẬN CHUYỂN, XỬ LÝ CHẤT THẢI RẮN (NẾU CÓ) TRÊN
ĐỊA BÀN ĐẢM BẢO YÊU CẦU VỀ BẢO VỆ MÔI TRƯỜNG; TỶ LỆ
CHẤT THẢI RẮN SINH HOẠT ĐƯỢC PHÂN LOẠI, THU GOM, XỬ LÝ
ĐẠT ≥80%; TỶ LỆ CHẤT THẢI RẮN SINH HOẠT CHÔN LẤP TRỰC
TIẾP ≤50% TỔNG LƯỢNG CHẤT THẢI RẮN PHÁT SINH”
Tiểu mục 1
“HỆ THỐNG THU GOM, VẬN CHUYỂN, XỬ LÝ CHẤT THẢI RẮN
(NẾU CÓ) TRÊN ĐỊA BÀN ĐẢM BẢO YÊU CẦU
VỀ BẢO VỆ MÔI TRƯỜNG”
Điều 29. Yêu cầu nội dung tiêu chí
1. Hệ thống thu gom, vận chuyển, xử lý chất thải rắn (sau đây gọi là CTR), bao gồm: hạ tầng kỹ thuật bảo vệ môi trường (công trình thu gom, lưu giữ, vận chuyển, xử lý chất thải, quan trắc môi trường và công trình bảo vệ môi trường khác); tổ, đội (đơn vị) thu gom, vận chuyển; thiết bị, phương tiện thu gom, vận chuyển; điểm tập kết, trạm trung chuyển (nếu có); bãi chôn lấp, khu xử lý CTR tập trung (nếu có); quy định quản lý CTR, quy chế vận hành hệ thống thu gom, vận chuyển, xử lý CTR (nếu có).
2. Xã được đánh giá “Đạt” nội dung về “Hệ thống thu gom, vận chuyển, xử lý chất thải rắn (nếu có) trên địa bàn đảm bảo yêu cầu về bảo vệ môi trường” khi đáp ứng các yêu cầu sau đây:
a) Đối với CTR sinh hoạt (sau đây gọi là CTRSH):
Được phân loại, lưu giữ, chuyển giao, thu gom, vận chuyển bảo đảm quy định về bảo vệ môi trường (sau đây gọi là BVMT);
Điểm tập kết, trạm trung chuyển CTRSH phải bảo đảm yêu cầu kỹ thuật về BVMT;
Phương tiện vận chuyển CTRSH phải bảo đảm yêu cầu kỹ thuật về BVMT;
CTRSH phải được chuyển giao cho đơn vị có chức năng thu gom, vận chuyển, xử lý theo hợp đồng hoặc thỏa thuận hợp pháp theo quy định của pháp luật;
Cơ sở thu gom, vận chuyển, xử lý CTRSH phải thực hiện trách nhiệm về BVMT.
b) Đối với CTR công nghiệp thông thường:
Được phân loại, lưu giữ, vận chuyển, xử lý bảo đảm quy định về BVMT;
Phương tiện vận chuyển phải bảo đảm yêu cầu kỹ thuật về BVMT;
CTR công nghiệp thông thường phải được chuyển giao cho đơn vị có chức năng thu gom, vận chuyển, xử lý theo hợp đồng hoặc thỏa thuận hợp pháp theo quy định của pháp luật.
c) Đối với chất thải nguy hại (sau đây gọi là CTNH):
Phải được phân định, phân loại theo quy định;
Việc thu gom, lưu giữ, vận chuyển, xử lý CTNH (bao gồm thiết bị, khu vực lưu chứa), trong đó bao gồm thu gom, vận chuyển và xử lý bao gói thuốc bảo vệ thực vật (sau đây gọi là BVTV) sau sử dụng và CTR y tế phải bảo đảm quy định về BVMT;
Phương tiện vận chuyển CTNH phải bảo đảm yêu cầu kỹ thuật về BVMT;
CTNH phải được chuyển giao cho đơn vị có chức năng thu gom, vận chuyển, xử lý theo hợp đồng hoặc thỏa thuận hợp pháp theo quy định của pháp luật.
d) Đối với bãi chôn lấp, khu xử lý CTR tập trung trên địa bàn (nếu có) theo hướng dẫn tại Điều 43 Thông tư này:
Nằm trong quy hoạch;
Có báo cáo đánh giá tác động môi trường (sau đây viết tắt là ĐTM); giấy phép môi trường hoặc đăng ký môi trường được cấp có thẩm quyền cấp/tiếp nhận theo quy định;
Lò đốt chất thải (nếu có) phải đảm bảo tuân thủ QCVN 30:2025/BNNMT - Quy chuẩn kỹ thuật quốc gia về lò đốt chất thải; khí thải sau xử lý của lò đốt chất thải phải đảm bảo tuân thủ QCVN 19:2024/BTNMT - Quy chuẩn kỹ thuật quốc gia về khí thải công nghiệp;
Bãi chôn lấp CTR (nếu có) phải tuân thủ QCVN 96:2025/BNNMT - Quy chuẩn kỹ thuật quốc gia về bãi chôn lấp CTR; nước thải từ bãi chôn lấp phải đảm bảo đạt QCVN 40:2025/BTNMT - Quy chuẩn kỹ thuật quốc gia về nước thải công nghiệp;
Phải thực hiện các biện pháp xử lý ô nhiễm, cải tạo bãi chôn lấp CTRSH sau khi kết thúc hoạt động và bãi chôn lấp CTRSH không hợp vệ sinh.
đ) Quy định về quản lý CTR (nếu có) bao gồm: quy định việc phân loại CTRSH; chính sách khuyến khích phân loại; thu gom, vận chuyển, xử lý chất thải cồng kềnh; thời gian, địa điểm, tuyến đường vận chuyển CTRSH.
Điều 30. Đánh giá thực hiện
1. Không xem xét, đánh giá đối với các loại CTR không phát sinh hoặc không do cấp xã trực tiếp quản lý.
2. Phương pháp đánh giá:
a) Tổng hợp thông tin, lập báo cáo về tình hình phát sinh, hệ thống thu gom, vận chuyển, xử lý CTR trên địa bàn và việc tuân thủ các quy định về BVMT;
b) Khảo sát thực tế, đánh giá hiện trạng hệ thống thu gom, vận chuyển, các điểm tập kết, trạm trung chuyển (nếu có) trên địa bàn; kiểm tra hệ thống/cơ sở xử lý chất thải hiện có (quy mô, công suất, tình trạng hoạt động), mức độ tuân thủ các quy định của pháp luật về BVMT;
c) Đối chiếu với các quy định, đánh giá mức độ đạt yêu cầu kỹ thuật đối với các công trình hạ tầng kỹ thuật, mức độ phù hợp của quy trình quản lý, định mức đơn giá, phân bổ kinh phí triển khai thực hiện.
3. Hồ sơ, minh chứng đánh giá:
a) Báo cáo về công tác thu gom, xử lý CTR trên địa bàn (kèm theo hình ảnh minh họa, nếu có);
b) Đề án hoặc kế hoạch, phương án hoặc nội dung thực hiện quản lý CTR trên địa bàn (kèm theo văn bản phê duyệt); kế hoạch quản lý CTNH (bao gói thuốc BVTV sau sử dụng) được phê duyệt; báo cáo có kèm theo ảnh minh họa bể thu gom và hoạt động thu gom bao gói thuốc BVTV sau sử dụng;
c) Quyết định phê duyệt/phê duyệt kết quả thẩm định báo cáo ĐTM hoặc giấy xác nhận kế hoạch BVMT, hoặc hồ sơ tương đương theo quy định của pháp luật về BVMT đối với khu xử lý CTR trên địa bàn xã (bãi chôn lấp CTR; lò đốt chất thải); giấy phép môi trường của các cơ sở xử lý chất thải rắn trên địa bàn (không bao gồm yêu cầu hồ sơ môi trường đối với các khu xử lý/cơ sở xử lý nằm ngoài địa bàn xã);
d) Báo cáo công tác BVMT của các cơ sở;
đ) Quyết định thành lập tổ, đội vệ sinh môi trường;
e) Hợp đồng dịch vụ thu gom, vận chuyển, xử lý đối với đơn vị có chức năng thu gom, vận chuyển, xử lý CTR.
Tiểu mục 2
“TỶ LỆ CHẤT THẢI RẮN SINH HOẠT ĐƯỢC PHÂN LOẠI,
THU GOM, XỬ LÝ ĐẠT ≥80%”
Điều 31. Yêu cầu nội dung tiêu chí
Tỷ lệ CTRSH phát sinh từ các hộ gia đình, cá nhân, cơ sở sản xuất, kinh doanh, dịch vụ, khu kinh doanh dịch vụ tập trung, cụm công nghiệp và các tổ chức khác trên địa bàn xã được phân loại, thu gom, xử lý đạt từ 80% trở lên.
Điều 32. Đánh giá thực hiện
1. Phương pháp đánh giá:
a) Báo cáo về kết quả thực hiện phân loại, xử lý CTRSH trên địa bàn xã;
b) Các hợp đồng thu gom, vận chuyển CTRSH (đối với các tổ chức, đơn vị quy định tại khoản 2 Điều 58 Nghị định số 08/2022/NĐ-CP ngày 10 tháng 01 năm 2022 của Chính phủ quy định chi tiết một số điều của Luật Bảo vệ môi trường) (nếu có);
c) Thống kê khối lượng CTRSH phát sinh từ văn phòng của cơ quan, tổ chức, cơ sở sản xuất, kinh doanh, dịch vụ, khu kinh doanh dịch vụ tập trung, cụm công nghiệp (theo hợp đồng thu gom, vận chuyển) hoặc báo cáo tổng hợp của đơn vị thu gom, vận chuyển;
d) Khảo sát thực tế, đánh giá sự phù hợp giữa lượng chất thải phát sinh và khả năng tiếp nhận của hệ thống thu gom, vận chuyển, các điểm tập kết, trạm trung chuyển, xử lý (nếu có) trên địa bàn;
đ) Đánh giá trực quan (thông qua kết quả khảo sát) không còn tình trạng tồn đọng CTRSH kéo dài gây ô nhiễm môi trường.
2. Đối với hộ gia đình, cá nhân: khuyến khích tận dụng tối đa chất thải thực phẩm để làm phân bón hữu cơ, làm thức ăn chăn nuôi; CTRSH có khả năng tái sử dụng, tái chế được chuyển giao cho tổ chức, cá nhân tái sử dụng, tái chế hoặc cơ sở có chức năng thu gom, vận chuyển CTRSH; chất thải thực phẩm không thực hiện theo quy định khuyến khích sử dụng làm phân bón hữu cơ, thức ăn chăn nuôi, phải được chuyển giao cho cơ sở có chức năng thu gom, vận chuyển CTRSH; CTRSH khác phải được chứa, đựng trong bao gói theo quy định và đưa đến điểm tập kết hoặc chuyển giao cho cơ sở có chức năng thu gom, vận chuyển CTRSH.
3. Đối với văn phòng của cơ quan, tổ chức, cơ sở sản xuất, kinh doanh, dịch vụ, khu kinh doanh dịch vụ tập trung, cụm công nghiệp: cơ quan, tổ chức, cơ sở sản xuất, kinh doanh, dịch vụ, chủ đầu tư xây dựng và kinh doanh hạ tầng khu sản xuất, kinh doanh, dịch vụ tập trung, cụm công nghiệp có phát sinh CTRSH phải thực hiện phân loại tại nguồn và chuyển giao cho cơ sở thực hiện dịch vụ thu gom, vận chuyển, xử lý hoặc cơ sở xử lý do chính quyền địa phương lựa chọn theo quy định. Chất thải thực phẩm có thể được chuyển giao cho cơ sở sản xuất thức ăn chăn nuôi, thủy sản hoặc sản xuất phân bón phù hợp.
4. Hồ sơ, minh chứng đánh giá:
a) Báo cáo về kết quả đạt được;
b) Các hợp đồng thu gom, vận chuyển CTRSH (đối với văn phòng của cơ quan, tổ chức, cơ sở sản xuất, kinh doanh, dịch vụ, khu kinh doanh dịch vụ tập trung, cụm công nghiệp) (nếu có);
c) Báo cáo tổng hợp khối lượng CTRSH được thu gom, vận chuyển của đơn vị (tổ, đội) thu gom, vận chuyển CTRSH trên địa bàn (nếu có);
d) Hình ảnh minh họa các khu xử lý, điểm tập kết (nếu có).
Tiểu mục 3
“TỶ LỆ CHẤT THẢI RẮN SINH HOẠT CHÔN LẤP TRỰC TIẾP ≤50%
TỔNG LƯỢNG CHẤT THẢI RẮN PHÁT SINH”
Điều 33. Yêu cầu nội dung tiêu chí
1. Tỷ lệ CTRSH được chôn lấp trực tiếp tại các bãi chôn lấp mà chưa qua xử lý bằng các biện pháp, công đoạn xử lý chất thải khác (bao gồm cả sơ chế, tái chế, tái sử dụng, thu hồi năng lượng) đạt bằng hoặc dưới 50% tổng lượng CTR phát sinh trên địa bàn xã.
2. CTRSH cần được thu gom trên địa bàn, phân loại, thu hồi, tái chế và chuyển giao về xử lý tại cơ sở đáp ứng yêu cầu về BVMT; chất thải tại cơ sở xử lý được xử lý bằng công nghệ phù hợp, đáp ứng quy chuẩn kỹ thuật môi trường; ưu tiên công nghệ hiện đại, thân thiện môi trường; bảo đảm tỷ lệ CTRSH được xử lý bằng phương pháp chôn lấp trực tiếp đáp ứng mục tiêu về quản lý tổng hợp CTR theo quy định của pháp luật.
Điều 34. Đánh giá thực hiện
1. Tỷ lệ CTRSH được xử lý bằng phương pháp chôn lấp trực tiếp là tỷ lệ % tổng khối lượng CTRSH được xử lý bằng phương pháp chôn lấp trực tiếp chia cho tổng khối lượng CTRSH được xử lý của năm báo cáo.
2. Phương pháp đánh giá:
a) Thống kê khối lượng CTRSH phát sinh, tỷ lệ thu gom, tỷ lệ thu hồi, tái chế, biện pháp tái chế, cơ sở tái chế;
b) Xác định khối lượng CTRSH chuyển giao về cơ sở xử lý; đánh giá sự phù hợp (tỷ lệ %) giữa lượng chất thải phát sinh và khả năng tiếp nhận của hệ thống xử lý (nếu có) trên địa bàn;
c) Đánh giá mức độ đáp ứng quy định về BVMT của cơ sở xử lý chất thải, công nghệ xử lý;
d) Đối với cơ sở xử lý bằng biện pháp chôn lấp, đánh giá mức độ tuân thủ đối với quy định (QCVN 96:2025/BNNMT);
đ) Đánh giá trực quan (qua kết quả khảo sát) không còn tình trạng tồn đọng CTRSH tại hộ gia đình, cụm dân cư, các khu vực tập kết tạm thời gây ô nhiễm môi trường, mất mỹ quan.
3. Hồ sơ, minh chứng đánh giá:
Biểu phụ lục thống kê kèm theo hồ sơ minh chứng tỷ lệ tái chế, thu hồi, tái sử dụng/tổng khối lượng chất thải phát sinh theo đơn vị thời gian (tháng hoặc năm) (kèm theo hình ảnh minh họa, nếu có).
Mục 14
HƯỚNG DẪN THỰC HIỆN NỘI DUNG TIÊU CHÍ
“8.2. TỶ LỆ CHẤT THẢI CHĂN NUÔI, CHẤT THẢI HỮU CƠ,
PHỤ PHẨM NÔNG NGHIỆP ĐƯỢC THU GOM, XỬ LÝ, TÁI CHẾ
THÀNH SẢN PHẨM, NGUYÊN LIỆU, NHIÊN LIỆU, PHÂN BÓN”
Điều 35. Yêu cầu nội dung tiêu chí
1. Xử lý, tái chế chất thải chăn nuôi:
a) Đối với chăn nuôi trang trại: phải có hệ thống thu gom, xử lý chất thải chăn nuôi (công trình khí sinh học, hồ sinh học, máy ép phân...) đáp ứng Quy chuẩn kỹ thuật quốc gia tương ứng trước khi được tái sử dụng; trường hợp vận chuyển ra khỏi cơ sở chăn nuôi trang trại đến nơi xử lý, phải sử dụng phương tiện, thiết bị chuyên dụng. Nước thải sau xử lý nếu xả ra môi trường, phải đạt QCVN 62:2025/BTNMT - Quy chuẩn kỹ thuật môi trường về nước thải chăn nuôi (các dự án đầu tư mới, mở rộng quy mô chăn nuôi phải tuân thủ QCVN 62:2025/BTNMT; các cơ sở cũ phải có lộ trình chuyển đổi và áp dụng bắt buộc hoàn toàn QCVN 62:2025/BTNMT từ ngày 01/01/2032); nếu tái sử dụng tưới cây phải đạt QCVN 01-195:2022/BNNPTNT;
b) Đối với chăn nuôi nông hộ: phải có biện pháp xử lý phân, nước thải chăn nuôi bảo đảm vệ sinh môi trường (ủ phân compost, công nghệ đệm lót sinh học, sấy khô, chế phẩm vi sinh giảm thiểu mùi hôi...);
c) Khuyến khích phát triển mô hình chăn nuôi tuần hoàn, gắn với xử lý, tái sử dụng chất thải chăn nuôi theo đúng quy định, đảm bảo đáp ứng quy chuẩn kỹ thuật môi trường, an toàn sinh học để phục vụ trồng trọt và nuôi trồng thủy sản.
2. Xử lý, tái chế phụ phẩm nông nghiệp:
a) Phụ phẩm nông nghiệp phải được thu gom để sản xuất ra sản phẩm hàng hóa, sử dụng làm nguyên liệu, nhiên liệu, sản xuất phân bón, sản xuất năng lượng hoặc phải được xử lý theo quy định; không đốt ngoài trời phụ phẩm từ cây trồng gây ô nhiễm môi trường. Trường hợp bắt buộc phải đốt (để tiêu hủy dịch bệnh), phải thực hiện xa khu dân cư, đường giao thông và có biện pháp ngăn ngừa cháy lan;
b) Phụ phẩm phải được thu gom để tái sử dụng làm: nguyên liệu sản xuất nấm; thức ăn chăn nuôi; phân bón hữu cơ; nguyên liệu đốt; hoặc phủ gốc giữ ẩm cho cây trồng.
Điều 36. Đánh giá thực hiện
1. Kết quả đạt được: tỷ lệ % = tỷ lệ phần trăm tổng khối lượng được thu hồi, xử lý bằng biện pháp phù hợp chia cho tổng khối lượng chất thải chăn nuôi phát sinh.
2. Phương pháp đánh giá:
a) Thống kê khối lượng chất thải chăn nuôi và tính toán tỷ lệ chất thải chăn nuôi được xử lý:

Trong đó:
Vxl: tổng khối lượng chất thải chăn nuôi phát sinh được thu gom, xử lý theo quy định;
Vts : tổng khối lượng chất thải chăn nuôi phát sinh;
b) Thống kê khối lượng phụ phẩm nông nghiệp và tính toán tỷ lệ phụ phẩm nông nghiệp được xử lý tái sử dụng:

Trong đó:
Sxl : tổng khối lượng phụ phẩm nông nghiệp phát sinh được thu gom, xử lý hoặc thu hồi, tái chế, tái sử dụng;
Sts: tổng khối lượng phụ phẩm nông nghiệp phát sinh.
c) Khảo sát, đánh giá thực trạng và năng lực của các cơ sở, công trình, biện pháp xử lý chất thải chăn nuôi, phụ phẩm nông nghiệp đối chiếu các quy định hiện hành;
d) Khảo sát đánh giá mức độ ô nhiễm môi trường (nếu có) tại các khu vực xử lý chất thải chăn nuôi; khảo sát hiện trạng các khu vực có phát sinh phụ phẩm nông nghiệp; đánh giá mức độ tồn đọng, đốt phụ phẩm (nếu có).
3. Hồ sơ, minh chứng đánh giá:
a) Đối với chăn nuôi nông hộ, hồ sơ minh chứng gồm: bản kê khai, xác nhận của UBND cấp xã, kèm theo hình ảnh thực tế về công trình xử lý chất thải;
b) Đối với trang trại, hồ sơ minh chứng gồm: biểu phụ lục thống kê kèm theo hồ sơ minh chứng tỷ lệ diện tích hoặc khối lượng thu hồi, tái sử dụng, chế biến (thành phân bón hữu cơ, viên nhiên liệu... )/tổng diện tích hoặc khối lượng chất thải phát sinh theo đơn vị thời gian (ngày, tháng hoặc năm) (kèm theo hình ảnh minh họa, nếu có), bao gồm hợp đồng thu gom, tái chế; hồ sơ năng lực cơ sở tái chế; hệ thống xử lý chất thải, nhật ký vận hành, hợp đồng thu gom xử lý (nếu có).
Mục 15
HƯỚNG DẪN THỰC HIỆN NỘI DUNG TIÊU CHÍ “8.3. TỶ LỆ CƠ SỞ
SẢN XUẤT, KINH DOANH, DỊCH VỤ (BAO GỒM CẢ CƠ SỞ CHĂN
NUÔI, NUÔI TRỒNG THỦY SẢN, CHẾ BIẾN NÔNG LÂM THỦY SẢN),
LÀNG NGHỀ (NẾU CÓ) THEO QUY HOẠCH VÀ TUÂN THỦ QUY
ĐỊNH CỦA PHÁP LUẬT VỀ BẢO VỆ MÔI TRƯỜNG”
Điều 37. Yêu cầu nội dung tiêu chí
1. Đối với cơ sở sản xuất, kinh doanh, nuôi trồng thủy sản thuộc đối tượng phải lập hồ sơ môi trường:
a) Cơ sở sản xuất tiểu thủ công nghiệp, nông nghiệp, chế biến phải phù hợp với quy hoạch;
b) Yêu cầu đối với cơ sở sản xuất, kinh doanh, nuôi trồng thủy sản thuộc đối tượng phải lập hồ sơ môi trường: có báo cáo ĐTM; giấy phép môi trường hoặc đăng ký môi trường được cấp có thẩm quyền cấp/tiếp nhận theo quy định;
c) Có công trình/biện pháp thu gom, xử lý chất thải theo quy định. Ngoài ra, đối với các cơ sở nuôi trồng thủy sản, cần đáp ứng quy định về quản lý nhà nước hoạt động thủy sản và các văn bản pháp luật về thủy sản.
2. Đối với cơ sở sản xuất, kinh doanh, nuôi trồng thủy sản không thuộc đối tượng phải lập hồ sơ môi trường:
a) Cơ sở sản xuất tiểu thủ công nghiệp, nông nghiệp, chế biến phải phù hợp với quy hoạch (nếu có);
b) Có công trình/biện pháp thu gom, xử lý chất thải theo quy định;
c) CTR, CTNH được thu gom, phân loại, lưu giữ, chuyển giao đến các đơn vị có chức năng thu gom, vận chuyển, xử lý theo quy định;
d) Nước thải được thu gom và xử lý đáp ứng yêu cầu về BVMT theo quy định;
đ) Quản lý bụi, khí thải theo quy định;
e) Thực hiện nghĩa vụ tài chính theo quy định của pháp luật BVMT về thuế, phí, lệ phí (nếu có).
3. Đối với làng nghề được công nhận:
a) Có quyết định công nhận làng nghề được cấp có thẩm quyền phê duyệt;
b) Có phương án BVMT làng nghề được UBND cấp tỉnh phê duyệt;
c) Có tổ chức tự quản về BVMT;
d) Có hạ tầng về BVMT làng nghề, bao gồm:
Có hệ thống thu gom nước thải, nước mưa bảo đảm nhu cầu tiêu, thoát nước của làng nghề;
Hệ thống thu gom, thoát nước và xử lý nước thải tập trung (nếu có) bảo đảm nước thải sau xử lý đáp ứng yêu cầu về BVMT;
Có điểm tập kết CTR đáp ứng yêu cầu kỹ thuật về BVMT; khu xử lý CTR (nếu có) bảo đảm quy định về quản lý CTR hoặc có phương án vận chuyển CTR đến khu xử lý CTR nằm ngoài địa bàn.
đ) Các cơ sở, hộ gia đình sản xuất trong làng nghề phải thực hiện các quy định về ĐTM, cấp giấy phép môi trường hoặc đăng ký môi trường theo quy định của pháp luật về BVMT. Công trình BVMT của cơ sở, hộ gia đình sản xuất trong làng nghề phải đáp ứng các yêu cầu theo quy định;
e) Cơ sở, hộ gia đình sản xuất thuộc ngành, nghề không khuyến khích phát triển tại làng nghề, có trách nhiệm thực hiện quy định tại khoản 2 Điều 56 Luật Bảo vệ môi trường năm 2020 và tuân thủ kế hoạch di dời, chuyển đổi ngành, nghề sản xuất theo quy định của cơ quan nhà nước có thẩm quyền.
Điều 38. Đánh giá thực hiện
1. Tỷ lệ % cơ sở sản xuất, kinh doanh, dịch vụ, làng nghề đảm bảo quy định về BVMT = số cơ sở sản xuất, kinh doanh, chăn nuôi, giết mổ (gia súc, gia cầm) nuôi trồng thủy sản, làng nghề đảm bảo quy định về BVMT/tổng số cơ sở cơ sở sản xuất, kinh doanh, dịch vụ, làng nghề trên địa bàn x 100% (tỷ lệ % và số lượng cụ thể).
2. Phương pháp đánh giá:
a) Thống kê: (1) số lượng cơ sở sản xuất, kinh doanh, nuôi trồng thủy sản thuộc đối tượng phải lập hồ sơ môi trường; (2) cơ sở sản xuất, kinh doanh, nuôi trồng thủy sản không thuộc đối tượng phải lập hồ sơ môi trường (không bao gồm cơ sở sản xuất, kinh doanh trong khu sản xuất, kinh doanh, dịch vụ tập trung là khu công nghiệp, khu chế xuất, khu công nghệ cao, khu chức năng sản xuất công nghiệp của khu kinh tế và trong cụm công nghiệp; (3) số lượng làng nghề được công nhận (bao gồm các cơ sở sản xuất, kinh doanh trong làng nghề);
b) Không thống kê số lượng khu sản xuất, kinh doanh, dịch vụ tập trung và cụm công nghiệp. Không thống kê các làng nghề không có quyết định công nhận của UBND cấp tỉnh (có thống kê các cơ sở nằm trên địa bàn các khu vực này vào nhóm (1) hoặc nhóm (2) điểm a khoản này).
3. Hồ sơ, minh chứng đánh giá:
a) Hồ sơ minh chứng đối với nhóm (1) và nhóm (2) quy định tại khoản 2 Điều này, gồm: danh mục cơ sở sản xuất, kinh doanh, nuôi trồng thủy sản (địa chỉ, loại hình/quy mô sản xuất; quyết định phê duyệt hồ sơ môi trường (nếu có); các hồ sơ minh chứng kết quả thực hiện công tác BVMT của cơ sở (phương án BVMT, báo cáo công tác BVMT, kết quả quan trắc môi trường (nếu có));
b) Hồ sơ, minh chứng đánh giá đối với nhóm (3) quy định tại khoản 2 Điều này, gồm: văn bản phê duyệt phương án BVMT làng nghề; có/không có hạ tầng BVMT; có/không có tổ chức tự quản BVMT làng nghề; hồ sơ hạ tầng BVMT; các kết quả giám sát, thanh tra/kiểm tra; các quyết định xử phạt vi phạm hành chính (nếu có).
Mục 16
HƯỚNG DẪN THỰC HIỆN NỘI DUNG TIÊU CHÍ
“8.5. CẢNH QUAN, KHÔNG GIAN XANH - SẠCH - ĐẸP, AN TOÀN; CÓ
MÔ HÌNH CẢI TẠO, PHỤC HỒI CẢNH QUAN, XỬ LÝ CHẤT LƯỢNG
NƯỚC MẶT AO HỒ, KÊNH MƯƠNG TRÊN ĐỊA BÀN”
Điều 39. Yêu cầu nội dung tiêu chí
Có phương án và tổ chức thực hiện việc xây dựng cảnh quan, môi trường xanh - sạch - đẹp, an toàn phù hợp với đặc điểm kinh tế, sinh thái, văn hóa của địa phương, có sự tham gia của cộng đồng, lồng ghép trong quy ước, hương ước, cụ thể:
1. Đối với hệ thống cây xanh:
Đầu tư, hoàn thiện hệ thống cây xanh (gồm cả cây bóng mát, cây cảnh, cây hoa và thảm cỏ...) đảm bảo các yêu cầu sau đây:
a) Phù hợp với quy hoạch được phê duyệt; không gian xanh, bao gồm không gian xanh tự nhiên (rừng, đồi, núi, thảm thực vật ven sông, hồ, ven biển) và không gian xanh nhân tạo (công viên, vườn hoa, mặt nước...) phải được gắn kết với nhau thành một hệ thống liên hoàn; kết hợp với quy hoạch trồng cây phòng hộ ngoài đồng ruộng hoặc trồng cây phòng hộ chống cát ven biển, cây chống xói mòn để tạo thành một hệ thống cây xanh;
b) Ưu tiên sử dụng các loại cây xanh bản địa, đặc trưng vùng, miền và phù hợp với khu vực nông thôn, bảo vệ được các cây quý hiếm, cây cổ thụ có giá trị. Việc trồng cây không để ảnh hưởng đến an toàn giao thông, không làm hư hại đến các công trình của Nhân dân và các công trình công cộng (không trồng cây dễ đổ, gãy); không gây ảnh hưởng đến vệ sinh môi trường (không tiết ra chất độc hại ảnh hưởng đến sức khỏe con người); không trồng các loài cây thuộc danh mục loài ngoại lai xâm hại theo quy định;
c) Ưu tiên trồng cây xanh ở các địa điểm công cộng, như: trụ sở xã, nhà trẻ, trường học, trạm y tế xã, trung tâm văn hóa - thể thao, các chợ, cửa hàng dịch vụ, điểm sinh hoạt cộng đồng, xung quanh các ao, hồ sinh thái...
2. Đối với hệ thống ao, hồ:
a) Các đoạn sông, kênh, rạch trên địa bàn xã không có mùi hôi thối, không ứ đọng rác thải; không có tên trong danh sách khu, điểm ô nhiễm môi trường do UBND cấp tỉnh phê duyệt;
b) Khu vực nước mặt (ao, hồ) được cải tạo cảnh quan, bảo vệ, giữ gìn, tôn tạo diện tích mặt nước công cộng, hệ sinh thái nước mặt tự nhiên đáp ứng yêu cầu về mỹ quan, BVMT và không được lấn chiếm, san lấp, sử dụng sai mục đích;
c) Khu vực nước mặt (ao, hồ) ô nhiễm được xác định, khoanh vùng, xử lý, cải tạo, phục hồi môi trường đáp ứng quy chuẩn/tiêu chuẩn theo quy định; nạo vét, tu bổ ao, hồ thường xuyên nhằm tạo không gian, cảnh quan sinh thái và điều hòa môi trường; có rào chắn, biển cảnh báo tại các khu vực có nguy cơ mất an toàn với người dân;
d) Kênh, mương được vệ sinh, nạo vét, khơi thông dòng chảy, phát quang, kè bờ (nếu có); không có hiện tượng tồn đọng rác thải dưới kênh, mương thoát nước;
đ) Thực hiện các biện pháp cải thiện, nâng cao chất lượng môi trường nước mặt (ao, hồ) thành điểm vui chơi, giải trí... tạo cảnh quan, không gian sinh hoạt cộng đồng trong khu vực dân cư.
3. Đối với đường làng, ngõ xóm:
a) Giữ gìn vệ sinh đường làng, ngõ xóm theo nội dung của quy ước/hương ước (nếu có);
b) Các tuyến đường đã được cứng hóa, đảm bảo thoát nước (khuyến khích theo hướng hệ thống thoát nước kín), không ứ đọng nước thải, lầy lội khi có mưa;
c) Các tuyến đường phải được đảm bảo thông thoáng, không lấn chiếm lòng lề đường và không đổ/xả rác bừa bãi, không tập kết rác sai vị trí, thời gian quy định;
d) Các hộ gia đình thực hiện cải tạo vườn tạp, chỉnh trang hàng rào bằng cây xanh hoặc các loại hàng rào khác nhưng có phủ cây xanh. Hàng rào bằng cây phải được cắt tỉa gọn gàng, không vươn ra đường gây cản trở giao thông; ưu tiên sử dụng các vật liệu tái chế để trang trí, tạo cảnh quan, giáo dục ý thức về bảo vệ môi trường. Đối với các đoạn đường có diện tích hẹp, có thể sử dụng tranh bích họa hoặc hệ thống cây treo tường/hàng rào;
đ) Tổ chức thu dọn vệ sinh, rác thải định kỳ (có tổ vệ sinh thường xuyên quét dọn vệ sinh, thu gom rác thải về nơi xử lý tập trung theo quy định).
4. Đối với khu vực công cộng:
a) Ban hành, niêm yết công khai và tổ chức thực hiện quy định, quy chế về giữ gìn vệ sinh, BVMT nơi công cộng;
b) Không để hiện tượng ứ đọng nước thải, CTR không đúng quy định, gây mất mỹ quan và ô nhiễm môi trường các khu vực công cộng (chợ, đường giao thông, công viên, khu vui chơi, giải trí, nhà ga, bến xe, bến tàu, bến cảng, bến phà...); không để vật nuôi gây mất vệ sinh nơi công cộng;
c) Tăng cường cải tạo ao, hồ, khu vực công cộng thành các khu vui chơi giải trí, khu vực tập thể dục, khu sinh hoạt cộng đồng, khu vực học bơi cho trẻ em;
d) Chỉnh trang, vệ sinh sạch sẽ, trồng cây xanh, cây hoa tạo cảnh quan, cấp nước sạch và bố trí nhà vệ sinh theo quy định đối với khuôn viên trụ sở UBND xã, trạm y tế, trường học và nhà văn hóa thôn, xóm.
Điều 40. Đánh giá thực hiện
1. Đánh giá cảnh quan xanh - sạch - đẹp, an toàn:
a) Cảnh quan không gian xanh: ít nhất 70% số km đường xã, liên xã, đường trục thôn, liên thôn (ở nơi có điều kiện) được trồng cây xanh bóng mát, cây cảnh, hoa hoặc thảm cỏ; các khu vực công cộng trồng cây xanh (chỉ tiêu đất cây xanh sử dụng công cộng trong đơn vị ở tối thiểu đạt 2 m 2 /người);
b) Cảnh quan không gian sạch: đường trục thôn, liên thôn được trang bị thùng đựng rác hoặc bố trí điểm tập kết rác hợp lý; kênh, mương (nếu có) được vệ sinh, nạo vét, khơi thông dòng chảy, phát quang, kè bờ; không có hiện tượng tồn đọng nước thải sinh hoạt tại các khu dân cư tập trung và rác thải dưới kênh, mương thoát nước;
c) Cảnh quan không gian đẹp: đường trục thôn, liên thôn được trồng hoa hoặc cây cảnh; hộ gia đình thực hiện chỉnh trang nhà ở, cải tạo vườn tạp, không để CTR, nước thải ứ đọng trong khuôn viên hộ gia đình;
d) An toàn: hệ thống thoát nước được xây dựng đảm bảo an toàn cho người dân theo quy định; khu vực, công trình công cộng có nguy cơ xảy ra tai nạn thương tích, cần được cảnh báo và thực hiện các biện pháp quản lý; có kế hoạch và thực hiện kế hoạch vệ sinh môi trường thường xuyên, định kỳ.
2. Phương pháp đánh giá:
a) Thống kê số km và tỷ lệ % số km đường xã, liên xã, đường trục thôn, liên thôn và các khu vực công cộng được trồng hoa, cây bóng mát, cây cảnh, thảm cỏ... và được trang bị thùng đựng rác hoặc bố trí điểm tập kết rác hợp lý;
b) Thống kê số km kênh, mương được vệ sinh, nạo vét, khơi thông dòng chảy, phát quang, kè bờ (nếu có);
c) Thống kê diện tích đất trồng cây xanh, đối chiếu với chỉ tiêu đất cây xanh sử dụng công cộng trong đơn vị ở tối thiểu đạt 2 m 2 /người theo quy định tại QCVN 01:2021/BXD - Quy chuẩn kỹ thuật quốc gia về quy hoạch xây dựng;
d) Thống kê và đối chiếu số hộ gia đình thực hiện cải tạo vườn tạp, chỉnh trang hàng rào bằng cây xanh (hoặc các loại hàng rào khác nhưng có phủ cây xanh), so sánh với tỷ lệ ≥70%.
3. Hồ sơ, minh chứng đánh giá:
a) Văn bản về quy hoạch có liên quan;
b) Quy ước, hương ước có nội dung về BVMT (nếu có);
c) Quy định/quy chế về giữ gìn vệ sinh, BVMT nơi công cộng; kế hoạch vệ sinh môi trường định kỳ;
d) Báo cáo kết quả thực hiện, bao gồm số liệu chi tiết;
đ) Hình ảnh minh họa kèm theo.
Chương III
HƯỚNG DẪN THỰC HIỆN MỘT SỐ ĐIỀU KIỆN THUỘC QUY ĐỊNH
TỈNH, THÀNH PHỐ HOÀN THÀNH NHIỆM VỤ XÂY DỰNG
NÔNG THÔN MỚI GIAI ĐOẠN 2026 - 2030
Mục 1
HƯỚNG DẪN THỰC HIỆN ĐIỀU KIỆN
“8. CÓ ĐỀ ÁN HOẶC KẾ HOẠCH VÀ CHÍNH SÁCH HỖ TRỢ: PHÁT
TRIỂN OCOP; PHÁT TRIỂN DU LỊCH NÔNG THÔN TRÊN ĐỊA BÀN”
Điều 41. Yêu cầu về điều kiện
1. Có đề án hoặc kế hoạch phát triển sản phẩm OCOP, đề án hoặc kế hoạch phát triển du lịch nông thôn giai đoạn 2026 - 2030 được UBND cấp tỉnh ban hành.
2. Chính sách hỗ trợ, thúc đẩy phát triển sản phẩm OCOP, du lịch nông thôn trên địa bàn tỉnh, thành phố giai đoạn 2026 - 2030 được cấp có thẩm quyền ban hành.
Điều 42. Đánh giá thực hiện
1. Đề án hoặc kế hoạch phát triển sản phẩm OCOP và đề án hoặc kế hoạch phát triển du lịch nông thôn giai đoạn 2026-2030 của tỉnh, thành phố được UBND cấp tỉnh ban hành. Đối với những tỉnh, thành phố không có nhiều tiềm năng về du lịch nông thôn thì có thể ban hành lồng ghép hoạt động phát triển du lịch nông thôn trong đề án hoặc kế hoạch phát triển du lịch chung, hoặc chuyên đề phù hợp (như: du lịch làng nghề; du lịch văn hóa...). Yêu cầu cụ thể:
a) Đề án hoặc kế hoạch phát triển sản phẩm OCOP đáp ứng các yêu cầu sau đây:
Có sự tăng trưởng về số lượng sản phẩm OCOP (so với số lượng tại thời điểm ngày 31 tháng 12 năm 2025), trong đó yêu cầu cụ thể về tỷ lệ sản phẩm OCOP 4 sao trở lên; ít nhất 50% sản phẩm OCOP tại thời điểm ngày 31 tháng 12 năm 2025 được nâng hạng sao;
Quy định cụ thể về tỷ lệ chủ thể OCOP có vùng nguyên liệu, liên kết ổn định, tối thiểu 70% số lượng chủ thể OCOP;
Quy định cụ thể về tỷ lệ chủ thể OCOP là HTX, doanh nghiệp nhỏ và vừa; tỷ lệ chủ thể OCOP là nữ, đồng bào dân tộc thiểu số điều hành hoạt động sản xuất, kinh doanh; mức tối thiểu không thấp hơn so với thời điểm ngày 31 tháng 12 năm 2025;
Có các chỉ tiêu cụ thể về thương hiệu, chuyển đổi số, thương mại điện tử đối với sản phẩm OCOP.
b) Đề án hoặc kế hoạch phát triển du lịch đáp ứng các yêu cầu sau đây:
Tập trung phát triển các điểm du lịch nông nghiệp, nông thôn gắn với định hướng đầu tư về cơ sở hạ tầng trong xây dựng nông thôn mới và các sản phẩm du lịch đặc sắc, sản phẩm du lịch cộng đồng mang đặc trưng của địa phương;
Yêu cầu về các chỉ tiêu cụ thể gắn với mục tiêu về các điểm hoặc mô hình du lịch tại các xã có tiềm năng, lợi thế và trong lộ trình xây dựng nông thôn mới trong giai đoạn 2026 - 2030.
2. Các chính sách hỗ trợ, thúc đẩy phát triển sản phẩm OCOP, du lịch nông thôn trên địa bàn tỉnh, thành phố được Hội đồng nhân dân hoặc UBND cấp tỉnh ban hành.
3. Hồ sơ, minh chứng đánh giá:
a) Đề án hoặc kế hoạch phát triển sản phẩm OCOP, du lịch nông thôn được cấp có thẩm quyền phê duyệt;
b) Chính sách hỗ trợ phát triển sản phẩm OCOP, du lịch nông thôn được cấp có thẩm quyền phê duyệt;
c) Báo cáo của UBND cấp tỉnh về kết quả phát triển sản phẩm OCOP, du lịch nông thôn trên địa bàn.
Mục 2
HƯỚNG DẪN THỰC HIỆN ĐIỀU KIỆN
“11. KHU XỬ LÝ CHẤT THẢI RẮN TẬP TRUNG CẤP TỈNH
ĐẢM BẢO YÊU CẦU VỀ BẢO VỆ MÔI TRƯỜNG”
Điều 43. Yêu cầu về điều kiện
1. Khu xử lý chất thải tập trung là khu vực được quy hoạch để xử lý tập trung một hoặc nhiều loại chất thải bao gồm CTRSH, CTR công nghiệp thông thường, CTNH và các loại CTR khác, trừ hoạt động đồng xử lý chất thải và xử lý chất thải y tế theo mô hình cụm. Khu xử lý chất thải tập trung bao gồm một hoặc nhiều cơ sở xử lý chất thải, bãi chôn lấp.
2. Vị trí xây dựng khu xử lý chất thải tập trung phải phù hợp với quy hoạch BVMT quốc gia, quy hoạch vùng kinh tế - xã hội, quy hoạch tỉnh hoặc quy hoạch khác có liên quan đến quản lý chất thải đã được cấp có thẩm quyền phê duyệt. Ưu tiên bố trí tại vị trí có khu xử lý chất thải tập trung hiện hữu nhằm hạn chế tối đa việc xây dựng mới.
3. Khu xử lý chất thải tập trung đáp ứng các yêu cầu BVMT theo phân vùng môi trường; đáp ứng yêu cầu về khoảng cách an toàn về môi trường theo quy định của pháp luật.
4. Các cơ sở xử lý chất thải, bãi chôn lấp phải có hồ sơ môi trường theo quy định.
5. Công nghệ xử lý chất thải phải tiên tiến, hiện đại để thu hồi giá trị tài nguyên từ chất thải; công nghệ xử lý chất thải kết hợp thu hồi năng lượng, kỹ thuật hiện có tốt nhất nhằm giảm thiểu và kiểm soát chất thải thứ cấp phát sinh, hạn chế tối đa lượng chất thải chôn lấp trực tiếp.
6. Trong quá trình hoạt động không vi phạm các quy định của pháp luật về BVMT, không gây ô nhiễm môi trường xung quanh và gây ra sự cố môi trường.
Điều 44. Đánh giá thực hiện
1. Khu xử lý chất thải tập trung đảm bảo các quy định của pháp luật về BVMT và phù hợp với định hướng quy hoạch BVMT quốc gia thời kỳ 2021 - 2030, tầm nhìn đến năm 2050.
2. Tuân thủ các QCVN trong hoạt động xây dựng và vận hành khu xử lý chất thải tập trung, bao gồm:
a) QCVN 07-9:2023/BXD - Quy chuẩn kỹ thuật quốc gia về công trình quản lý chất thải rắn và nhà vệ sinh công cộng;
b) QCVN 01:2021/BXD - Quy chuẩn về quy hoạch xây dựng (dùng để tham chiếu mạng lưới thu gom);
c) QCVN 96:2025/BNNMT - Quy chuẩn kỹ thuật quốc gia về bãi chôn lấp CTR;
d) QCVN 40:2025/BTNMT - Quy chuẩn kỹ thuật quốc gia về nước thải công nghiệp (áp dụng đối với nước thải từ bãi chôn lấp CTR);
đ) QCVN 30:2025/BNNMT - Quy chuẩn kỹ thuật quốc gia về lò đốt chất thải;
e) QCVN 19:2024/BTNMT - Quy chuẩn kỹ thuật quốc gia về khí thải công nghiệp (áp dụng đối với khí thải sau xử lý của lò đốt chất thải);
g) QCVN 01:2025/BTNMT - Quy chuẩn kỹ thuật quốc gia về khoảng cách an toàn về môi trường đối với khu dân cư của cơ sở sản xuất, kinh doanh, dịch vụ và kho tàng có nguy cơ phát tán bụi, mùi khó chịu, tiếng ồn tác động xấu đến sức khỏe con người.
3. Phương pháp đánh giá:
a) Rà soát hồ sơ pháp lý của khu xử lý CTR tập trung;
b) Báo cáo công tác BVMT định kỳ 02 năm gần nhất: tình hình tiếp nhận, quy trình vận hành, kết quả đầu ra (sản phẩm, nếu có); kết quả giám sát môi trường;
c) Khảo sát thực tế, đánh giá hiện trạng khu xử lý trên địa bàn;
d) Kiểm tra việc vận hành hạng mục công trình BVMT của các cơ sở xử lý chất thải hiện có (quy mô, công suất, tình trạng hoạt động), mức độ tuân thủ các quy định của pháp luật về BVMT;
đ) Đối chiếu với các quy định, đánh giá mức độ đạt yêu cầu kỹ thuật đối với các công trình hạ tầng kỹ thuật, mức độ phù hợp của quy trình quản lý, định mức đơn giá, phân bổ kinh phí triển khai thực hiện.
4. Hồ sơ, minh chứng đánh giá:
a) Báo cáo về tình hình hoạt động của khu xử lý CTR tập trung cấp tỉnh được cơ quan có thẩm quyền lập;
b) Đề án hoặc kế hoạch, quy định quản lý CTR trên địa bàn (kèm theo văn bản phê duyệt);
c) Hồ sơ môi trường gồm: quyết định phê duyệt báo cáo ĐTM/phê duyệt kết quả thẩm định báo cáo ĐTM, hoặc giấy xác nhận kế hoạch BVMT, hoặc hồ sơ tương đương theo quy định của pháp luật về BVMT đối với khu xử lý CTR trên địa bàn xã (bãi chôn lấp CTR; lò đốt chất thải); giấy phép môi trường của các cơ sở xử lý CTR trên địa bàn (nếu có);
d) Báo cáo công tác BVMT định kỳ 02 năm gần nhất của các cơ sở;
đ) Các hợp đồng dịch vụ thu gom, vận chuyển, xử lý đối với các loại CTR;
e) Kết quả kiểm tra, thanh tra của cơ quan có thẩm quyền về tuân thủ các quy định về BVMT và báo cáo kết quả khắc phục (nếu có).
Chương IV
ĐIỀU KHOẢN THI HÀNH
Điều 45. Tổ chức thực hiện
Ủy ban nhân dân cấp tỉnh: căn cứ hướng dẫn tại Chương II Thông tư này, cụ thể hóa việc áp dụng nội dung tiêu chí đối với từng nhóm xã (xã nhóm 1, xã nhóm 2, xã nhóm 3) trên địa bàn, phù hợp với điều kiện thực tế và nhu cầu phát triển kinh tế - xã hội của địa phương, bảo đảm mức yêu cầu không thấp hơn mức chuẩn và hướng dẫn tại Chương II Thông tư này; căn cứ hướng dẫn tại Chương III Thông tư này và điều kiện thực tế của địa phương, triển khai thực hiện điều kiện tỉnh, thành phố hoàn thành nhiệm vụ xây dựng nông thôn mới giai đoạn 2026 - 2030 trên địa bàn.
Điều 46. Hiệu lực thi hành
1. Thông tư này có hiệu lực thi hành kể từ ngày ký ban hành.
2. Văn bản quy phạm pháp luật được viện dẫn áp dụng tại Thông tư này được sửa đổi, bổ sung, thay thế thì thực hiện theo văn bản sửa đổi, bổ sung, thay thế đó.
3. Trong quá trình thực hiện, nếu có khó khăn, vướng mắc, đề nghị cơ quan, đơn vị, tổ chức, cá nhân có liên quan kịp thời phản ánh về Bộ Nông nghiệp và Môi trường để nghiên cứu, sửa đổi, bổ sung.
| Nơi nhận: | KT. BỘ TRƯỞNG THỨ TRƯỞNG
Nguyễn Hoàng Hiệp |
Bạn chưa Đăng nhập thành viên.
Đây là tiện ích dành cho tài khoản thành viên. Vui lòng Đăng nhập để xem chi tiết. Nếu chưa có tài khoản, vui lòng Đăng ký tại đây!
Bạn chưa Đăng nhập thành viên.
Đây là tiện ích dành cho tài khoản thành viên. Vui lòng Đăng nhập để xem chi tiết. Nếu chưa có tài khoản, vui lòng Đăng ký tại đây!