- Tổng quan
- Nội dung
- Tiêu chuẩn liên quan
- Lược đồ
- Tải về
Tiêu chuẩn TCVN 14391:2025 Phân bón - Định lượng Bacillus mycoides bằng kỹ thuật đếm khuẩn lạc và PCR
| Số hiệu: | TCVN 14391:2025 | Loại văn bản: | Tiêu chuẩn Việt Nam |
| Cơ quan ban hành: | Bộ Khoa học và Công nghệ | Lĩnh vực: | Nông nghiệp-Lâm nghiệp |
| Trích yếu: | Phân bón - Định lượng Bacillus mycoides bằng kỹ thuật đếm khuẩn lạc và khẳng định bằng phản ứng chuỗi polymerase (PCR) kết hợp giải trình tự gen | ||
|
Ngày ban hành:
Ngày ban hành là ngày, tháng, năm văn bản được thông qua hoặc ký ban hành.
|
18/09/2025 |
Hiệu lực:
|
Đã biết
|
| Người ký: | Đang cập nhật |
Tình trạng hiệu lực:
Cho biết trạng thái hiệu lực của văn bản đang tra cứu: Chưa áp dụng, Còn hiệu lực, Hết hiệu lực, Hết hiệu lực 1 phần; Đã sửa đổi, Đính chính hay Không còn phù hợp,...
|
Đã biết
|
TÓM TẮT TIÊU CHUẨN VIỆT NAM TCVN 14391:2025
TCVN 14391:2025: Quy định mới về định lượng Bacillus mycoides ảnh hưởng đến các nhà sản xuất phân bón
Tiêu chuẩn quốc gia TCVN 14391:2025 về phương pháp định lượng Bacillus mycoides trong phân bón vi sinh vật được ban hành bởi Bộ Khoa học và Công nghệ, với ngày ban hành là [ngày ban hành] và có hiệu lực kể từ [ngày có hiệu lực]. Tiêu chuẩn này được phát triển nhằm quy định phương pháp kiểm tra và khẳng định sự hiện diện của vi khuẩn Bacillus mycoides trong sản phẩm phân bón vi sinh vật.
Tiêu chuẩn này đề ra các phương pháp định lượng Bacillus mycoides, bao gồm quy trình đếm khuẩn lạc bằng môi trường thạch và khẳng định bằng kỹ thuật PCR kết hợp giải trình tự gen. Điều này có ý nghĩa quan trọng trong việc đảm bảo chất lượng phân bón và tuân thủ quy định về sức khỏe và môi trường. Các nhà sản xuất phân bón cần chú ý đến các quy định sau:
Phương pháp định lượng: Yêu cầu sử dụng phương pháp đếm khuẩn lạc để xác định số lượng Bacillus mycoides trong sản phẩm phân bón. Kết quả phải được biểu thị bằng đơn vị số khuẩn lạc hình thành (CFU/g hoặc CFU/mL) trong mẫu.
Yêu cầu về hóa chất và môi trường: Các nhà sản xuất cần tuân thủ quy định sử dụng các loại hóa chất và môi trường nuôi cấy phù hợp, như môi trường thạch MYP, để cải thiện độ chính xác trong việc xác định số lượng Bacillus mycoides.
Quy trình xác định: Quy trình lấy mẫu, chuẩn bị mẫu thử và tiến hành các thử nghiệm phải được thực hiện theo quy định trong tiêu chuẩn. Việc tuân thủ nghiêm ngặt quy trình này sẽ giúp đảm bảo kết quả thử nghiệm là chính xác và có thể tin cậy.
Thử nghiệm khẳng định: Các khuẩn lạc Bacillus mycoides cần được xác nhận bằng các phương pháp chuyên sâu như nhuộm Gram và phân tích gen Tuf để đảm bảo tên gọi là chính xác và không nhầm lẫn với các chủng khác.
Báo cáo kết quả: Tất cả kết quả thử nghiệm phải được báo cáo đầy đủ và chính xác, bao gồm thông tin về mẫu thử, phương pháp thực hiện và tình trạng hiệu chuẩn thiết bị.
TCVN 14391:2025 là tài liệu quan trọng giúp các nhà sản xuất phân bón vi sinh vật nâng cao chất lượng sản phẩm và tuân thủ luật định. Tiêu chuẩn này cũng sẽ được xem xét trong thời gian tới để điều chỉnh, nếu cần thiết, nhằm đáp ứng tốt hơn yêu cầu của thị trường và sự phát triển của ngành nông nghiệp.
Như vậy, việc áp dụng TCVN 14391:2025 không chỉ đáp ứng yêu cầu chất lượng mà còn góp phần bảo vệ sức khỏe người tiêu dùng và môi trường.
Tải tiêu chuẩn Việt Nam TCVN 14391:2025
TIÊU CHUẨN QUỐC GIA
TCVN 14391:2025
PHÂN BÓN - ĐỊNH LƯỢNG BACILLUS MYCOIDES BẰNG KỸ THUẬT ĐẾM KHUẨN LẠC VÀ KHẲNG ĐỊNH BẰNG PHẢN ỨNG CHUỖI POLYMERASE (PCR) KẾT HỢP GIẢI TRÌNH TỰ GEN
Fertilizers - Enumeration of Bacillus mycoides by colony count technique and confirmation by polymerase chain reaction and gene sequencing
Lời nói đầu
TCVN 14391:2025 do Học viện Nông nghiệp Việt Nam biên soạn, Bộ Nông nghiệp và Môi trường đề nghị, Ủy ban Tiêu chuẩn Đo lường Chất lượng Quốc gia thẩm định, Bộ Khoa học và Công nghệ công bố.
PHÂN BÓN - ĐỊNH LƯỢNG BACILLUS MYCOIDES BẰNG KỸ THUẬT ĐẾM KHUẨN LẠC VÀ KHẲNG ĐỊNH BẰNG PHẢN ỨNG CHUỖI POLYMERASE (PCR) KẾT HỢP GIẢI TRÌNH TỰ GEN
Fertilizers - Enumeration of Bacillus mycoides by colony count technique and confirmation by polymerase chain reaction and gene sequencing
1 Phạm vi áp dụng
Tiêu chuẩn này quy định phương pháp định lượng Bacillus mycoides trong phân bón vi sinh vật bằng kỹ thuật đếm khuẩn lạc trên môi trường thạch và khẳng định bằng kỹ thuật PCR kết hợp giải trình tự gen.
2 Tài liệu viện dẫn
Các tài liệu viện dẫn sau là rất cần thiết cho việc áp dụng tiêu chuẩn này. Đối với tài liệu viện dẫn ghi năm công bố thì áp dụng bản được nêu. Đối với tài liệu viện dẫn không ghi năm công bố thì áp dụng phiên bản mới nhất, bao gồm cả các bản sửa đổi, bổ sung (nếu có).
TCVN 4851:1989 (ISO 3696:1987), Nước dùng để phân tích trong phòng thí nghiệm.
TCVN 8128:2015 (ISO 11133:2014), Vi sinh vật trong thực phẩm, thức ăn chăn nuôi và nước - chuẩn bị, sản xuất, bảo quản và thử hiệu năng của môi trường nuôi cấy.
TCVN 6404:2016 (ISO 7218:2007), Vi sinh vật trong thực phẩm và thức ăn chăn nuôi - Yêu cầu chung và hướng dẫn kiểm tra vi sinh vật
3 Thuật ngữ và định nghĩa
Trong tiêu chuẩn này áp dụng các thuật ngữ và định nghĩa sau:
3.1
Bacillus mycoides
Vi khuẩn hình thành khuẩn lạc điển hình trên môi trường thạch MYP, có đặc điểm hình thái đặc trưng của Bacillus mycoides: khuẩn lạc có màu hồng, bao quanh bởi một vòng kết tủa, bề mặt có dạng sợi đặc trưng, các sợi này phát triển theo hình xoắn ốc uốn cong theo chiều kim đồng hồ hoặc ngược chiều kim đồng hồ (thường được gọi là "rhizoid")[4].
3.2
Gen Tuf
Gen Tuf mã hóa yếu tố kéo dài không bền nhiệt (Elongation Factor Thermo unstable - EF-Tu) là một trong những protein phổ biến nhất ở vi khuẩn, hoạt động như một GTPase thiết yếu, đảm bảo tính chính xác của quá trình dịch mã thông qua xúc tác cho phản ứng gắn axit amin thích hợp vào chuỗi polypeptide đang tổng hợp. Sau khi aminoacyl-tRNA gắn vào mRNA, hoạt tính GTPase gây ra sự thay đổi cấu trúc giúp EF-Tu thoát khỏi ribosome.
3.3
Định lượng Bacillus mycoides (Bacillus mycoides enumeration)
Việc xác định số lượng tế bào vi khuẩn Bacillus mycoides (3.1) (CFU/g hoặc CFU/mL) trong một khối lượng hoặc thể tích cụ thể của phân bón vi sinh vật khi tiến hành các thử nghiệm theo tiêu chuẩn này.
4 Nguyên tắc
Định lượng Bacillus mycoides trong phân bón vi sinh vật bằng kỹ thuật đếm số lượng đơn vị khuẩn lạc đặc trưng phát triển trên môi trường thạch MYP và khẳng định thông qua phản ứng chuỗi polymerase (PCR) kết hợp giải trình tự đoạn gen Tuf (500 bp).
5 Môi trường, hóa chất
5.1 Yêu cầu chung
Sử dụng các loại hóa chất tinh khiết chuyên dùng cho phân tích vi sinh vật và theo khuyến cáo của nhà sản xuất. Chuẩn bị, sản xuất và thử hiệu năng môi trường nuôi cấy theo TCVN 8128:2015 (ISO 11133:2014).
5.2 Nước, nước cất hoặc nước có chất lượng tương đương để pha chế hoá chất, môi trường nuôi cấy vi sinh vật [xem TCVN 4851:1989 (ISO 3696:1987)].
5.3 Môi trường thạch mannitol lòng đỏ trứng Polymyxin (thạch MYP)
5.3.1 Môi trường thạch MYP cơ bản
5.3.1.1 Thành phần
| Cao thịt bò | 1,0 g |
| Tryptone (peptone từ casein) | 10,0 g |
| D-mannitol (C6H14O6) | 10,0 g |
| Sodium chloride (NaCl) | 10,0 g |
| Đỏ phenol (C19H14O5S) | 0,025 g |
| Thạch | 20,0 g |
| Nước cất | 1 000 mL |
5.3.1.2 Chuẩn bị
Hòa tan các thành phần trên hoặc môi trường hoàn chỉnh khô trong 1 000 mL nước. Phân phối môi trường với lượng phù hợp vào các bình thủy tinh (6.2.2). Không vặn chặt nắp bình và khử trùng ở 121 °C trong 15 min, sử dụng nồi hấp áp lực (6.1.1). Chình pH sao cho sau khi khử trùng pH là 7,0 ± 0,2 ở 25 °C, dùng máy đo pH (6.1.7).
5.3.2 Dung dịch polymyxin B
5.3.2.1 Thành phần
| Polymyxin B sulfate | 106 IU |
| Nước | 100 mL |
5.3.2.2 Chuẩn bị
Hòa tan Polymyxin B sulfate trong 100 mL nước và lọc qua màng lọc cỡ lỗ 0,22 μM (6.2.5) để khử trùng.
5.3.3 Dung dịch nhũ tương lòng đỏ trứng
Chọn các quả trứng gà còn nguyên vẹn và rửa sạch vỏ bằng xà phòng. Tráng sạch dưới vòi nước chảy. Trong tủ cấy vi sinh (6.1.2), ngâm ngập trứng trong Etanol 95% trong 30 s và để khô. Đập vỡ quả trứng và tách riêng lòng đỏ trứng gà bằng cách chuyền lòng đỏ từ nửa vỏ này sang nửa vỏ còn lại. Cho lòng đỏ vào ống ly tâm 50 mL có vạch chia (6.2.8), bổ sung nước (5.2) đã hấp khử trùng theo thể tích với tỷ lệ 1:4 và khuấy bằng cách lắc đều theo một chiều, ủ hỗn hợp trong bể ổn nhiệt (6.1.10) ở nhiệt độ 44 °C đến 47 °C trong 2 h, sau đó để hỗn hợp trong ngăn mát tủ lạnh (6.1.5) ở (4 ± 1) °C trong 18 h đến 24 h để tạo kết tủa. Kết thúc thời gian ủ, thu dung dịch nhũ tương ở phía trên, bảo quản dung dịch nhũ tương ở nhiệt độ ủ (4 ± 1) °C và sử dụng trong vòng 72 h.
5.3.4 Môi trường thạch MYP hoàn chỉnh
5.3.4.1 Thành phần
| Môi trường MYP cơ bản (5.3.1) | 90,0 mL |
| Dung dịch polymyxin B (5.3.2) | 1,0 mL |
| Dung dịch nhũ tương lòng đỏ trứng (5.3.3) | 10,0 mL |
5.3.4.2 Chuẩn bị
Môi trường thạch MYP cơ bản sau khi hấp tiệt trùng (5.3.1) được làm nguội ở nhiệt độ phòng đến nhiệt độ khoảng 44 °C đến 47 °C. Trong thời gian làm nguội môi trường, ủ dung dịch nhũ tương lòng đỏ trứng (5.3.3) trong bể ổn nhiệt (6.1.10) ở nhiệt độ 44 °C đến 47 °C. Sau đó, cho lần lượt các dung dịch polymyxin B (5.3.2) và dung dịch nhũ tương lòng đỏ trứng (5.3.3) vào môi trường thạch MYP cơ bản (5.3.1), trộn đều hỗn hợp. Phân phối các lượng khoảng 18 mL đến 20 mL môi trường vào Các đĩa Petri (6.2.3). Khi môi trường đã đông đặc, làm khô bề mặt thạch trước khi sử dụng bằng cách lật úp các đĩa thạch và ủ trong tủ ấm (6.1.3) ở nhiệt độ 25 °C đến 37 °C trong 20 min đến 25 min. Nếu chưa dùng ngay, bảo quản các đĩa thạch ở (4 ± 1) °C trong ngăn mát tủ lạnh (6.1.5), sử dụng trong vòng một tuần. Các thao tác được tiến hành trong tủ cấy vi sinh vật (6.1.2).
CHÚ THÍCH: Ưu tiên sử dụng các sản phẩm thương mại trong thành phần có sẵn Polymyxin (5.3.2) và thực hiện theo hướng dẫn của nhà sản xuất.
5.4 Môi trường Luria-Bertani (LB)
5.4.1 Thành phần
| Tryptone (peptone từ casein) | 10,0 g |
| Cao nấm men | 5,0 g |
| Sodium chloride (NaCl) | 5,0 g |
| Thạch | 20,0 g |
| Nước cất | 1 000 mL |
CHÚ THÍCH: Không bổ sung thạch khi chuẩn bị môi trường LB lỏng, ưu tiên sử dụng các môi trường thương mại (nếu có).
5.4.2 Chuẩn bị
Hòa tan các thành phần trên hoặc môi trường hoàn chỉnh khô trong 1 000 mL nước. Phân phối môi trường với lượng phù hợp vào các bình thủy tinh (6.2.2). Không vặn chặt nắp bình và khử trùng ở nhiệt độ 121 °C trong 15 min, sử dụng nồi hấp áp lực (6.1.1). Chình pH sao cho sau khi khử trùng pH là 7,0 ± 0,2 ở 25 °C, dùng máy đo pH (6.1.7). Phân phối các lượng khoảng 18 mL đến 20 mL môi trường vào các đĩa Petri (6.2.3) đã được chuẩn bị. Khi môi trường đã đông đặc, làm khô bề mặt thạch trước khi sử dụng bằng cách lật úp các đĩa thạch và ủ trong tủ ấm (6.1.3) ở nhiệt độ 25 °C đến 37 °C trong 20 min đến 25 min. Nếu chưa dùng ngay, bảo quản các đĩa thạch ở (4 ± 1) °C trong ngăn mát tủ lạnh (6.1.5), sử dụng trong vòng một tuần.
5.5 Dung dịch pha loãng
5.5.1 Thành phần
| Sodium chloride (NaCl) | 8,5 g |
| Nước | 1 000 mL |
5.5.2 Chuẩn bị
Hòa tan sodium chloride trong 1 000 mL nước đựng trong bình thủy tinh (6.2.2). Phân phối dung dịch pha loãng với lượng 90,0 mL vào các bình thủy tinh (6.2.2) và 9,0 mL mỗi ống nghiệm (6.2.12). Không vặn chặt nắp bình và khử trùng ở 121 °C trong 15 min, sử dụng nồi hấp áp lực (6.1.1). Sai số cho phép đo của thể tích cuối cùng sau khi khử trùng không được vượt quá ± 0,2 %.
5.6 Hoá chất tách chiết ADN
Ưu tiên sử dụng các bộ kít thương mại (nếu có) hoặc các quy trình tách chiết ADN phù hợp với điều kiện thực tế của phòng thử nghiệm và thực hiện theo hướng dẫn của nhà sản xuất, (có thể tham khảo hóa chất và phương pháp tách chiết tại phụ lục B).
5.7 Hóa chất cho phản ứng PCR (Polymerase chain reaction - Phản ứng chuỗi tổng hợp)
Sử dụng các bộ kit thương mại và thực hiện theo hướng dẫn của nhà sản xuất hoặc trộn các thành phần riêng lẻ của các hãng thương mại theo khuyến cáo của hãng gồm: Đệm phản ứng (buffer), Magnesium chloride (MgCI2), dung dịch hỗn hợp deoxynucleotide triphosphates (dNTPs; c=2,5 mmol/ L (mỗi loại)), enzyme Taq polymerase.
5.8 Trình tự oligonucleotide
Thông tin về trình tự oligonucleotide để phát hiện Bacillus mycoides được nêu trong Bảng 1.
Bảng 1 - Trình tự oligonucleotide của mồi Tuf2
| Tên mồi | Trình tự oligonucleotide | Nồng độ sử dụng |
| Trình tự cặp mồi Tuf2 nhân đoạn gen với kích thước khoảng 500 bp | ||
| Tuf2-F | 5'- AVGGHTCTGCHYTDAAAGC-3' | 10 pmol/μL |
| Tuf2-R | 5’- GTDAYRTCHGWWGTACGGA-3' | 10 pmol/μL |
Trình tự nucleotide của đoạn gen Tuf được chứng minh là trình tự phù hợp để phân biệt Bacillus mycoides với các loài trong chi Bacillus [2].
5.9 Hóa chất nhuộm Gram
Bộ thuốc nhuộm Gram cho vi khuẩn của các hãng được cung cấp trên thị trường. Tùy thuộc vào điều kiện thực tế để lựa chọn hóa chất phù hợp và làm theo hướng dẫn của nhà sản xuất hoặc làm theo mô tả trong phụ lục A1.
6 Thiết bị, dụng cụ
Sử dụng các thiết bị, dụng cụ của phòng thử nghiệm vi sinh thông thường [xem TCVN 6404:2016 (ISO 7218:2007)] và cụ thể như sau:
6.1 Thiết bị
6.1.1 Nồi hấp áp lực, có khả năng duy trì nhiệt độ (121 ± 3) °C, tương đương áp suất tối thiểu 101,3 kPa.
6.1.2 Tủ cấy vi sinh vật, đảm bảo độ vô trùng.
6.1.3 Tủ ấm, thông gió đối lưu, có khả năng duy trì nhiệt độ từ (25 đến 37) °C ± 1 °C.
6.1.4 Tủ sấy, thông gió đối lưu, có khả năng sấy ở nhiệt độ lên tới 70 °C ± 1 °C.
6.1.5 Tủ lạnh, với ngăn đông có thể duy trì nhiệt độ ổn định ở -20 °C ± 1 “C và ngăn lạnh duy trì nhiệt độ ổn định ở (4 ± 1) °C.
6.1.6 Máy trộn vortex, có khả năng khuấy trộn mẫu đồng đều.
6.1.7 Máy đo pH, có bù nhiệt, chính xác đến ±0,1 đơn vị ở 25 °C.
6.1.8 Cân kỹ thuật, cân chính xác đến 0,01 g.
6.1.9 Kính hiển vi quang học, vật kính có độ phóng đại 4 X, 10 X, 40 X và vật kính dầu 100 X.
6.1.10 Bể ổn nhiệt, có khả năng điều chỉnh nhiệt độ lên đến (99 ± 1) °C.
6.1.11 Máy ly tâm, có thể vận hành ở gia tốc 13 000 g và nhiệt độ đến (4 ± 1) °C.
6.1.12 Máy PCR, có khả năng khuếch đại được ADN của mẫu.
6.1.13 Máy quang phổ đo nồng độ ADN, có khả năng đo mẫu vi thể tích (1 μL), bước sóng bao phủ được 260 nm và 280 nm.
6.1.14 Hệ thống máy điện di ngang ADN, có thể điều chỉnh cường độ dòng điện, hiệu điện thế và thời gian.
6.1.15 Máy chụp ảnh gel điện di, có nguồn sáng tia tử ngoại (UV-light base).
6.1.16 Máy lắc, có thể vận hành liên tục, tốc độ tối đa đạt 300 r/min.
6.2 Dụng cụ
Các dụng cụ sử dụng trong nuôi cấy vi sinh vật phải tiệt trùng ở điều kiện 121 °C, 15 min sử dụng nồi hấp áp lực (6.1.1) và sấy khô bằng tủ sấy (6.1.4) trước khi tiến hành bất kỳ thử nghiệm nào.
6.2.1 Micropipet, có thể phân phối 0,05 mL ± 0,002 mL, 0,1 mL ± 0,02 mL, 1,0 mL ± 0,02 mL và 10 mL ± 0,2 mL.
6.2.2 Bình cấy hoặc bình thủy tỉnh, có dung tích thích hợp, có nút đậy kín hoặc nắp vặn thích hợp.
6.2.3 Đĩa Petri, bằng chất dẻo hoặc thủy tinh không màu trong suốt, đường kính 90 mm, chiều sâu tối thiểu là 10 mm.
6.2.4 Đầu hút vô trùng các loại, có khả năng chịu nhiệt.
6.2.5 Màng lọc, bằng xenluloza axetat, cỡ lỗ 0,22 μM.
6.2.6 Que dàn mẫu, bằng thủy tinh hoặc kim loại có thể tiệt trùng.
6.2.7 Que cấy, đầu tròn bằng nhựa hoặc kim loại.
6.2.8 Ống ly tâm, 15 mL và 50 mL, làm bằng nhựa chịu nhiệt, có vạch chia đến 5 mL.
6.2.9 Lam kính, bằng thủy tinh chịu nhiệt, trong suốt, kích thước 25 × 75 mm, độ dày 1 mm đến 1,2 mm.
6.2.10 Lamen kính, bằng thủy tinh, trong suốt, kích thước 22 × 22 mm, dày 0,13 mm đến 0,16 mm.
6.2.11 Đèn cồn, làm bằng inox hoặc thủy tinh chịu nhiệt.
6.2.12 Ống nghiệm, bằng thủy tinh hoặc nhựa chịu nhiệt, có nắp đậy.
6.2.13 Ống ly tâm 1,5 mL và 2,0 mL, bằng nhựa chịu nhiệt, có vạch chia đến 0,5; 1,1,5 và 2,0 mL.
6.2.14 Ống PCR, bằng nhựa chịu nhiệt, thành mỏng, dung tích 0,2 mL.
6.2.15 Ống đong nhựa, có vạch chia thể tích 1 L, 500 mL.
7 Lấy mẫu
Tiêu chuẩn này không quy định việc lấy mẫu, nên lấy mẫu theo TCVN 12105:2018 [1].
Mẫu gửi đến phòng thử nghiệm phải là mẫu đại diện và không bị hư hỏng hoặc biến đổi trong suốt quá trình vận chuyển hoặc bảo quản.
8 Cách tiến hành
8.1 Chuẩn bị mẫu thử và các dung dịch pha loãng mẫu
Dùng cân kỹ thuật (6.1.8) cân 10 g mẫu hoặc dùng micropipet (6.2.1) với đầu hút vô trùng (6.2.4) hút 10 mL mẫu cho vào bình thủy tinh (6.2.2) chứa 90 mL dung dịch pha loãng (5.5). Trộn đều mẫu trên máy lắc (6.1.16) cho đến khi đồng nhất mẫu. Dung dịch phía trên sau khi phần tử nặng lắng xuống được gọi là dung dịch huyền phù ban đầu có độ pha loãng 10-1.
Dùng micropipet (6.2.1) với đầu hút vô trùng (6.2.4) hút 1 mL dịch huyền phù ban đầu cho vào ống nghiệm (6.2.12) chứa 9 mL dung dịch pha loãng (5.5). Tránh đầu hút chạm vào dung dịch pha loãng. Trộn kỹ trên máy trộn vortex (6.1.6) khoảng 10 s, dung dịch thu được có nồng độ 10-2. Lặp lại qui trình để thu được dung dịch có các nồng độ pha loãng thập phân tiếp theo.
CHÚ THÍCH: Hoạt hóa mẫu (nếu có) theo hướng dẫn của nhà sản xuất để đảm bảo kết quả chính xác.
8.2 Cấy và ủ mẫu
Sử dụng micropipet (6.2.1) với đầu hút vô trùng (6.2.4) hút 0,1 mL dung dịch mẫu ở các nồng độ pha loãng cho vào mỗi đĩa Petri (6.2.3) chứa môi trường thạch MYP (5.3). Mỗi nồng độ thực hiện 2 đĩa.
Dùng que dàn mẫu (6.2.6) dàn đều dịch cấy trên bề mặt đĩa thạch càng nhanh càng tốt. Sử dụng một que dàn mẫu vô trùng cho mỗi đĩa. Đậy nắp đĩa và để ở nhiệt độ phòng trong khoảng 15 min để dịch cấy hấp thụ vào bề mặt thạch.
Lật úp các đĩa đã chuẩn bị và nuôi trong tủ ấm (6.1.3) ở 30 °C trong 16-20 h. Nếu sau thời gian trên, các khuẩn lạc chưa hình thành hoặc hình thành nhưng không thể hiện đặc trưng nhận dạng, ủ đĩa thêm 24 h đến 36 h.
8.3 Đếm và nhận diện khuẩn lạc
Trên môi trường thạch MYP (5.3), khuẩn lạc Bacillus mycoides giả định là các khuẩn lạc có màu hồng (không lên men mannitol) và thường được bao quanh bởi một vùng kết tủa (cho tháy hình thành lecithinase); khuẩn lạc bề mặt có dạng sợi hình rễ cây đặc trưng "rhizoid" (xem Hình 1).
CHÚ THÍCH Trên môi trường thạch MYP, khuẩn lạc của Bacillus pseudomycoides xuất hiện màu sắc, hình dạng tương tự như Bacillus mycoides giả định. Các khuẩn lạc này có thể được nhận diện và loại trừ bằng phép thử khẳng định.
Đếm các khuẩn lạc Bacillus mycoides giả định ở hai độ pha loãng liên tiếp, trên các đĩa Petri có chứa từ 10 đến 300 khuẩn lạc.
Khuẩn lạc Bacillus mycoides giả định được khẳng định thông qua phép thử khẳng định.

Hình 1- Đặc điểm hình thái khuẩn lạc Bacillus mycoides trên môi trường thạch MYP
(A) Khuẩn lạc Bacillus mycoides trên môi trường thạch MYP sau 20 h ở 30 °C; (B) Khuẩn lạc Bacillus mycoides và các loài vi khuẩn khác trên môi trường thạch MYP sau 20 h ở 30 °C
8.4 Phép thử khẳng định
Từ mỗi đĩa Petri đã chọn (8.3), lấy ít nhất năm khuẩn lạc Bacillus mycoides giả định để thực hiện phép thử khẳng định.
Dùng que cấy (6.2.7) lấy sinh khối các khuẩn lạc Bacillus mycoides giả định cấy trên đĩa Petri chứa môi trường LB (5.4), ủ đĩa ở 30 °C trong thời gian nhất định được nêu rõ khi thực hiện các thử nghiệm trong phép thử khẳng định (xem phụ lục A).
Các khuẩn lạc giả định thu được kết quả như trong Bảng 2 được xác định là Bacillus mycoides.
Bảng 2 - Các kết quả của phép thử khẳng định
| STT | Đặc điểm | Phép thử | Kết quả | Hình |
| 1 | Đặc điểm tế bào | Gram | Gram dương | Xem Hình A.1 Phụ lục A |
| 2 | Hình dạng tế bào | Tế bào hình que, xếp riêng lẻ hoặc theo chuỗi | ||
| 3 | Đặc điểm sinh hoá | Lecithinase | Dương tính | Xem Hình 1 |
| 4 | Trình tự oligonucleotide | Gen Tuf | Dương tính, kích thước 500 bp, phần trăm tương đồng nucleotide: đạt từ 98,0% đến 100% | Xem Hình A.2, A.3 Phụ lục A |
CHÚ THÍCH: Một số chủng Bacillus mycoides chỉ sinh ít hoặc không sinh lecithinase, các khuẩn lạc thuộc các chủng này sẽ không có vùng kết tủa bao quanh.
9 Tính và biểu thị kết quả
9.1 Tính số lượng Bacillus mycoides trong mẫu thử
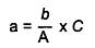
- Số lượng khuẩn lạc Bacillus mycoides, a, trên mỗi đĩa Petri được tính theo công thức (1):
|
| (1) |
Trong đó:
| b | là số lượng khuẩn lạc Bacillus mycoides giả định cho thấy có đặc điểm như phép thử khẳng định của tiêu chuẩn; |
| A | A là số lượng khuẩn lạc Bacillus mycoides giả định được lấy để thực hiện phép thử khẳng định; |
| C | là tổng số khuẩn lạc Bacillus mycoides giả định đếm được trên đĩa Petri. |
Kết quả được làm tròn đến số nguyên gần nhất.
- Số lượng vi khuẩn Bacillus mycoides, N, trong một đơn vị kiểm tra, được tính bằng đơn vị hình thành khuẩn lạc trên gam (CFU/g) hoặc trên mililit (CFU/mL), đã được nhận dạng hoặc khẳng định có trong mẫu thử được tính theo công thức (2):
|
| (2) |
Trong đó:
| Σa | là tổng số khuẩn lạc Bacillus mycoides đếm được trên tất cả các đĩa Petri được giữ lại ở hai độ pha loãng liên tiếp, a tính được từ Công thức (1); |
| V | là thể tích mẫu cấy trên mỗi đĩa Petri, tính bằng mililit (mL); |
| n1 | là số đĩa Petri được giữ lại ở độ pha loãng thứ nhất; |
| n2 | là số đĩa Petri được giữ lại ở độ pha loãng thứ hai; |
| d | là độ pha loãng tương ứng với dung dịch pha loãng thứ nhất được giữ lại. |
Kết quả được làm tròn đến một chữ số sau dấu phẩy. Biểu thị kết quả bằng cách lấy một trong các giá trị từ 1,0 đến 9,9 nhân với 10x, trong đó x là số mũ của 10.
9.2 Báo cáo kết quả trong trường hợp đặc biệt
Biểu thị kết quả trong trường hợp số đếm thấp hoặc trường hợp đặc biệt theo quy định trong TCVN 6404:2016 (ISO 7218:2007).
10 Báo cáo thử nghiệm
Báo cáo thử nghiệm phải bao gồm ít nhất các thông tin sau:
a) mọi thông tin cần thiết để nhận biết đầy đủ về mẫu thử;
b) phương pháp lấy mẫu đã sử dụng, nếu biết;
c) phương pháp thử đã sử dụng, viện dẫn tiêu chuẩn này;
d) mọi chi tiết thao tác không quy định trong tiêu chuẩn này, hoặc được coi là tùy chọn, cùng với mọi tình huống bất thường có thể ảnh hưởng đến kết quả;
e) kết quả thử nghiệm thu được.
Phụ lục A
(Quy định)
Phép thử khẳng định Bacillus mycoides
A.1 Nhuộm Gram
A.1.1 Thuốc nhuộm
ưu tiên sử dụng thuốc nhuộm thương mại có sẵn. Trong trường hợp này, phải tuân theo hướng dẫn của nhà sản xuất.
A.1.1.1 Dung dịch tím tinh thể
A.1.1.1.1 Thành phần
| Tím tinh thể | 2,0 g |
| Etanol 95 % | 20,0 mL |
| Amoni oxalat (C2H8N2O4) | 0,8 g |
| Nước cất | 80,0 mL |
A.1.1.1.2 Chuẩn bị
Hòa tan tím tinh thể trong Etanol 95 % thu được dung dịch (a). Hòa tan amoni oxalat trong nước cất thu được dung dịch (b);
Trộn dung dịch (a) và (b), thu được dung dịch tím tinh thể. Để yên hỗn hợp 24 h trước khi sử dụng.
A.1.1.2 Dung dịch iốt
A.1.1.2.1 Thành phần
| Iốt (I2) | 1,0 g |
| Kali iodua (KI) | 2,0 g |
| Nước cất | 100 mL |
A.1.1.2.2 Chuẩn bị
Hòa tan kali iodua trong 10 mL nước, thêm 1,0 g Iốt với các phần nhỏ, khuấy cho đến tan hoàn toàn, thêm nước đến 100 mL. Bảo quản dung dịch trong lọ sẫm màu, sử dụng trong vòng 1 tháng.
A.1.1.3 Dung dịch Safranin
A.1.1.3.1 Thành phần
| Safranin | 0,25 g |
| Etanol 95 % | 10,0 ml |
| Nước cất | 100 mL |
A.1.1.3.2 Chuẩn bị
Hòa tan Safranin trong dung dịch Etanol 95 %, sau đó bổ sung nước cất. Chuẩn bị dung dịch trước khi sử dụng.
A.1.2 Cách tiến hành
Nhỏ 1 giọt dung dịch pha loãng (5.5) lên lam kính (6.2.9). Dùng que cấy (6.2.7) lấy một phần sinh khối vi sinh vật từ các khuẩn lạc được lựa chọn (8.3) được nuôi cấy trên môi trường LB ở 30 °C trong 24 h và hòa vào giọt dịch pha loãng;
Hơ nhanh vết bôi trên ngọn lửa đèn cồn (6.2.11);
CHÚ THÍCH: Kiểm tra độ nóng (nóng nhẹ vừa phải trên mu bàn tay) để mẫu khô vừa đủ, nếu nóng quá, hoặc hơ lâu, vi sinh vật sẽ biến dạng.
Phủ lên lam kính dung dịch tím tinh thể (A.1.1.1). Để cho phản ứng xảy ra trong 1 min. Tráng nhẹ lam kính để ở tư thế nghiêng bằng nước, thấm khô;
Phủ lên lam kính dung dịch Iốt (A.1.1.2), để phản ứng xảy ra trong 1 min. Tráng nhẹ lam kính để ở tư thế nghiêng bằng nước trong vài giây;
Rót nhẹ nhàng và liên tục một lớp mỏng dung dịch Etanol 95 % lên lam kính, để nghiêng trong khoảng thời gian ít hơn 30 s cho đến khi không còn màu tím;
Tráng nhẹ lam kính để ở tư thế nghiêng bằng nước để loại Etanol. Phủ lên lam kính bằng dung dịch safranin (A.1.1.3) trong 10 s. Tráng nhẹ lam kính để ở tư thế nghiêng bằng nước. Làm khô lam kính. Đậy lamen kính (6.2.10) lên trên lam kính (6.2.9);
Quan sát hình dạng và màu sắc tế bào bằng kính hiển vi quang học (6.1.9).
A.1.3 Đọc kết quả
Gram dương (Gram +): các tế bào vi khuẩn có màu xanh tím hoặc tím.
Gram âm (Gram -): các tế bào vi khuẩn có màu từ hồng thẫm đến đỏ.

Hình A.1 - Hình ảnh nhuộm Gram của vi khuẩn Bacillus mycoides
(A: các tế bào sắp xếp đom độc; B: các tế bào sắp xếp theo chuỗi)
A.2 Xác định Bacillus mycoides bằng phương pháp PCR kết hợp giải trình tự
A.2.1 Chuẩn bị ADN tổng số
ADN tổng số được tách chiết theo phương pháp của Masoomi Aladizgeh (2016)[6] (được trình bày ở phụ lục 2). Có thể sử dụng các phương pháp tách chiết ADN khác hoặc sử dụng kit tách chiết ADN có sẵn trên thị trường để thu được sản phẩm chứa ADN.
A.2.2 Trình tự oligonucleotide để khuếch đại đoạn gen Tuf
Trình tự cặp mồi được thể hiện ở Bảng 1 (mục 5.7)
A.2.3 Thực hiện phản ứng PCR
A.2.3.1 Chuẩn bị phản ứng PCR
Bảng A.1 - Thành phần hỗn hợp phản ứng PCR cho gen Tuf
| Thành phần | Nồng độ gốc | Thể tích (μL) |
| Nước dùng cho phản ứng PCR | - | 18,0 |
| Hỗn hợp phản ứng PCR (PCR master mix 2X) | 2X | 25,0 |
| Mồi xuôi Tuf2-F | 10 pmol/μL | 2,5 |
| Mồi ngược Tuf2-R | 10 pmol/μL | 2,5 |
| ADN | 30 ng/μL | 2,0 |
| Tổng thể tích | 50 | |
Trộn đều hỗn hợp phản ứng bằng mcropipet (6.2.1), sau đó ly tâm nhanh trong vài giây. Chú ý: Quy trình luôn phải thực hiện song song mẫu thử nghiệm các mẫu sau đây:
+ Mẫu đối chứng trắng (ADN khuôn được thay bằng nước)
+ Mẫu đối chứng dương là ADN của chủng chuẩn Bacillus mycoides
A.2.3.2 Chu trình nhiệt PCR
Bảng A.2 - Chu trình nhiệt và thời gian cài đặt máy PCR
| Bước | Nhiệt độ | Thời gian | Số chu kỳ |
| 1 | 95,0 °C | 3 min | 1 |
| 2 | 95,0 °C | 30 s | 35 |
| 55,0 °C | 30 s | ||
| 72,0 °C | 1 min | ||
| 3 | 72,0 °C | 10 min | 1 |
| 4 | 12,0 °C | Giữ ∞ | ∞ |
A.2.3.3 Điện di sản phẩm PCR
10 μL sản phẩm PCR bổ sung 2 μL loading dye được kiểm tra bằng cách điện di trên gel agarose 1,5 % trong đệm 1xTAE, dòng điện có hiệu điện thế 80 V trong 45 min bằng hệ thống máy điện di ngang (6.1.14) và chụp ảnh bằng máy chụp ảnh gel điện di (6.1.15).
Sản phẩm PCR cho 1 băng sáng rõ nét, với kích thước phân tử 500 bp (Hình A.2)

Hình A.2 - Kết quả điện di sản phẩm PCR khuếch dại gen Tuf (500 bp)
CHÚ THÍCH: M: thang chuẩn marker 100bp; 1. Chủng Bacillus mycoides ATCC 6462 (đối chứng dương); 2- 5: Bacillus mycoides giả định; ĐC: Đối chứng âm
A.2.3.4 Giải trình tự sản phẩm PCR
Sản phẩm PCR được tinh sạch bằng bộ Kit thương mại, các bước thực hiện tuân thủ theo quy trình của nhà sản xuất. Sản phẩm PCR sau khi tinh sạch được sử dụng để giải trình tự gen trực tiếp theo phương pháp Sanger với cặp mồi (Tuf2-F và Tuf2-R) trên máy giải trình tự tự động.
A.2.3.5 Trình tự nucleotide đoạn gen Tuf (500 bp,) của vi khuẩn Bacillus mycoides
>Bacillus mycoides ATCC 6462

A.2.3.6 Phân tích dữ liệu trình tự nucleotide đoạn gen Tuf
Mức độ tương đồng trình tự nucleotide đoạn gen Tuf của chủng vi khuẩn kiểm định được so sánh với trình tự nucleotide của các đoạn gen Tuf của các chủng vi khuẩn khác đã được đăng, ký trên ngân hàng gen bằng công cụ BLAST (Hình A.3, phụ lục A) (Basic Local Alighment Search Tool) trên GenBank. Cụ thể:
- Tại cửa sổ “program selection = chọn chương trình”, chọn “highly similar sequences” để tìm các chuỗi có mức tương đồng cao.
- Tại cửa sổ “Organism = sinh vật”, chọn Bacillus mycoides/Bacillus nitratireducens/Bacillus proteolyticus/Bacillus weihenstephanensis (các chủng Bacillus nitratireducens, Bacillus proteolyticus, Bacillus weihenstephanensis đã được chứng minh là chủng Bacillus mycoides 4049; Bacillus mycoides TD42 và Bacillus mycoides WSBC 10204[3]).
- Các thông số khác để chế độ mặc định
- Cuối cùng, bấm nút “BLAST” để tìm chuỗi.
Kết quả định tính vi khuẩn Bacillus mycoides dựa trên kết quả so sánh trình tự được công nhận như sau:
“Percent identity = phần trăm tương đồng”: đạt từ 98,0% đến 100% (Hình A.3)
Nếu tiêu chí như trên không đạt cần kiểm tra lại toàn bộ quy trình từ việc tách chiết, nồng độ và độ tinh sạch của ADN khuôn mẫu, quy trình PCR và tinh chỉnh kết quả giải trình tự trước khi thực hiện so sánh tìm kiếm trình tự tương đồng.
A.2.3.7 Trình tự nucloetide đoạn gen Tuf giữa các chủng Bacillus mycoides có mức độ tương đồng với nhau đạt từ 98,0%-100%.

Hình A.3 - Trình tự nucloetide gen Tuf được chứng minh là trình tự phù hợp để phân biệt các loài trong nhóm vi khuẩn Bacillus sp.
A.3.3 Đọc kết quả
Khẳng định vi khuẩn Bacillus mycoides dựa trên mức độ tương đồng trình tự nucleotide gen Tuf với Bacillus mycoides/Bacillus nitratireducens/Bacillus proteolyticus/Bacillus weihenstephanensis đạt từ 98,0% đến 100%.
Phụ lục B
(Tham khảo)
Phương pháp tách chiết ADN
Sử dụng quy trình tách chiết ADN thích hợp đối với vi khuẩn Gram dương hoặc có thể tham khảo quy trình tách chiết ADN dưới đây. Ngoài ra, có thể sử dụng các bộ kit thương mại theo hướng dẫn của nhà sản xuất.
1 Hóa chất tách chiết
1.1 Thành phần đệm tách chiết ADN (đệm CTAB)
| Cetyltrimethylammonium bromide (CTAB) | 0,5 g |
| Ethylenediaminetetraacetic acid (EDTA) | 1,0 g |
| Tris (hydroxymethyl) aminomethane (Tris base) | 2,5 g |
| Sodium chloride (NaCl) | 5,0 g |
| Nước cất | 100 mL |
1.2 Chuẩn bị
Cân và hòa tan các thành phần đã liệt kê trong bình thủy tinh (6.2.2). Lên thể tích 100 mL bằng nước cất. Không đậy nắp và khử trùng ở điều kiện 121 °C, 15 min sử dụng nồi hấp áp lực (6.1.1) và bảo quản ở nhiệt độ phòng.
1.3 Các hoá chất khác
| Lysozyme | Đệm TE (10 mM Tris-HCl; 1 mM EDTA) |
| Chloroform, Isopropanol | β-MercaptoEtanol |
| SDS 20% | Agarose |
| Etanol 100% và 70% | Loading dye |
Có thể sử dụng các bộ kít tách chiết ADN thương mại phù hợp với điều kiện thực tế của phòng thử nghiệm và thực hiện theo hướng dẫn của nhà sản xuất. Thông tin này đưa ra nhằm tạo thuận lợi cho người dùng.
2 Tách chiết ADN vi khuẩn
Các chủng vi khuẩn Bacillus mycoides được tách chiết ADN theo quy trình trong tài liệu tham khảo số 5 và có một số điều chỉnh. Các khuẩn lạc được nuôi cấy tăng sinh trong môi trường LB lỏng ở 30 °C trong 20 h. Sau đó được thực hiện cụ thể như sau:
Bước 1: Hút 2 mL dịch nuôi vi khuẩn vào ống ly tâm 2 mL (6.2.13), ly tâm 10000 g trong 1 min. Loại bỏ dịch nổi.
Bước 2: Hòa tan cặn khuẩn trong 70 μL dung dịch đệm TE (1:10), vortex đều. Sau đó, bổ sung thêm 15 μL Lysozyme (20 mg/mL), trộn đều và ủ ở 37 °C trong 30 min.
Bước 3: Bổ sung 700 μL đệm chiết CTAB và 1,2 μL β-MercaptoEtanol, vortex đều.
Bước 4: Bổ sung 60 μL SDS 20%, vortex trong 3 min.
Bước 5 : Ủ mẫu ở 65 °C trong 30 min; trong quá trình ủ cứ 10 min đảo trộn đều.
Bước 6: Chuyển dịch sang ống ly tâm 2 mL mới (6.2.13).
Bước 7: Bổ sung 800 μL hỗn hợp Phenol:Chloroform:lsoamylalcohol (25:24:1), trộn đều tạo huyền phù sau đó ly tâm 13700 g ở 4 °C trong 8 min.
Bước 8: Hút 500 μL dịch nổi phía trên chuyền sang ống ly tâm mới (6.2.13) sau đó bổ sung hỗn hợp Chloroform: Isoamylalcohol (24:1) theo tỷ lệ 1:1 (tính theo thể tích dịch thu được ở bước 7). Trộn đều bằng vortex.
Bước 9: Ly tâm ở 13000 g ở 4 °C trong 10 min.
Bước 10: Chuyển dịch nỗi (400 μL) vào ống ly tâm 1,5 mL (6.2.13).
Bước 11: Bổ sung Etanol tuyệt đối (Etanol lạnh) với tỷ lệ 2 Etanol:1 dịch thu được (v/v) ở bước 10. Nhẹ nhàng đảo trộn đều 6-8 lần.
Bước 12: Ly tâm ở 10000 g, 4 °C trong 7 min.
Bước 13: Đổ dịch nỗi, rửa kết tủa ADN với 500 μL dung dịch Etanol 70%.
Bước 14: Ly tâm ở 5400 g, 4 °C trong 5 min, sau đó loại bỏ dịch nổi để khô trong không khí.
Bước 15: Hoà tan kết tủa trong 50 uL nước cất hoặc TE.
Bước 16: Bảo quản ADN sau khi tách chiết ở -20 °C.
CHÚ THÍCH: Có thể sử dụng trực tiếp khuẩn lạc để thực hiện PCR khuẩn lạc hoặc các phương pháp tách chiết ADN khác hoặc sử dụng kit tách chiết ADN có sẵn trên thị trường để thu được sản phẩm chứa ADN.
3 Xác định hàm lượng và độ sạch của ADN
ADN sau tách chiết được xác định hàm lượng và độ tinh sạch trên máy quang phổ đo nồng độ ADN (6.1.13) và điện di trên gel agarose 1,0%. Nồng độ ADN thu được nên tối thiểu là 20 ng trong 1 μL dịch ADN, giá trị A260/280 > 1,8; A260/230 tốt nhất trong khoảng 2,0 đến 2,2.
Thư mục tài liệu tham khảo
[1] TCVN 12105:2018. Phân bón vi sinh vật - Lấy mẫu.
[2] Xu, X., Nielsen, L. J. D., Song, L., Maróti, G., strube, M. L., & Kovács, Á. T. (2023). Enhanced specificity of Bacillus metataxonomics using a tuf-targeted amplicon sequencing approach. I.SME communications, 3(1), 126.
[3] Carroll, L. M., Wiedmann, M,, and Kovac, J. (2020). Proposal of a taxonomic nomenclature for the Bacillus cereus group which reconciles genomic definitions of bacterial species with clinical and industrial phenotypes. MBio, 11(1), 10-1128.
[4] Logan, N A., and Paul De Vos. (2015). Bacillus. Bergey's manual of systematics of archaea and bacteria, Published by John Wiley & Sons, Inc., in association with Bergey’s Manual Trust, pp. 1-163. DO]: 10.1002/9781118860608.gbm00550
[5] UK Standards for Microbiology Investigations. (2018). Identification of Bacillus species. Issued by the Standards Unit, Microbiology Services, Public Health England. Bacteriology - Identification, ID 9, Issue no: 3.1, Issue date: 04.04.18, Page 1-27.
[6] Masoomi Aladizgeh, F., Jabbari, L., Khayam Nekouei, R., & Aalami, A. (2016). A simple and rapid system for ADN and RNA isolation from diverse plants using handmade kit. Protocol Exchange on March 14th. DOI: https://doi.org/10.21203/rs.2.1347/v2
Bạn chưa Đăng nhập thành viên.
Đây là tiện ích dành cho tài khoản thành viên. Vui lòng Đăng nhập để xem chi tiết. Nếu chưa có tài khoản, vui lòng Đăng ký tại đây!
