- Tổng quan
- Nội dung
- Tiêu chuẩn liên quan
- Lược đồ
- Tải về
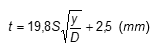
Tiêu chuẩn Quốc gia TCVN 6259-2A:2003 Kết cấu thân tàu và trang thiết bị tàu biển vỏ thép dài từ 90 mét
| Số hiệu: | TCVN 6259-2A:2003 | Loại văn bản: | Tiêu chuẩn Việt Nam |
| Cơ quan ban hành: | Bộ Khoa học và Công nghệ | Lĩnh vực: | Giao thông , Khoa học-Công nghệ |
|
Ngày ban hành:
Ngày ban hành là ngày, tháng, năm văn bản được thông qua hoặc ký ban hành.
|
31/12/2003 |
Hiệu lực:
|
Đã biết
|
| Người ký: | Đang cập nhật |
Tình trạng hiệu lực:
Cho biết trạng thái hiệu lực của văn bản đang tra cứu: Chưa áp dụng, Còn hiệu lực, Hết hiệu lực, Hết hiệu lực 1 phần; Đã sửa đổi, Đính chính hay Không còn phù hợp,...
|
Đã biết
|
TÓM TẮT TIÊU CHUẨN VIỆT NAM TCVN 6259-2A:2003
Tiêu chuẩn Quốc gia TCVN 6259-2A:2003 về Kết cấu thân tàu và thiết bị tàu biển vỏ thép dài từ 90 mét trở lên
Ngày 31/12/2003, Bộ Giao thông Vận tải đã ban hành Tiêu chuẩn Quốc gia TCVN 6259-2A:2003 về quy phạm phân cấp và đóng tàu biển vỏ thép, với hiệu lực thi hành từ ngày 29/01/2004. Tiêu chuẩn này áp dụng cho các tàu dài từ 90 mét trở lên, có hình dáng và tỷ số kích thước thông thường, hoạt động trong vùng không hạn chế.
Tiêu chuẩn này quy định chi tiết về các vấn đề liên quan đến kết cấu thân tàu và trang thiết bị cho loại tàu lớn, bao gồm:
1. Quy định chung về kết cấu tàu biển
- Quy định về phạm vi áp dụng đối với tàu dài từ 90 mét trở lên và các điều chỉnh nếu có.
- Các quy định riêng cho tàu có hình dáng bất thường hoặc chở hàng đặc biệt như gỗ súc.
2. Chất liệu và yêu cầu vật liệu
- Yêu cầu về chất lượng thép sử dụng cho kết cấu tàu.
- Quy định chiều dày và loại thép phải dùng cho các bộ phận khác nhau của tàu tương ứng với từng khu vực.
3. Kết cấu phòng chống cháy và phương tiện thoát nạn
- Quy định về kết cấu phải tuân thủ các tiêu chuẩn phòng chống cháy.
- Ưu tiên lắp đặt các phương tiện thoát nạn đạt hiệu chuẩn.
4. Hệ thống kiểm tra và đánh giá bền vững
- Tàu phải có phương tiện để kiểm tra an toàn bên trong, đặc biệt ở các khoang khó tiếp cận.
- Quy định về việc kiểm tra chất lượng hàn và chất lượng sản phẩm trong quá trình đóng tàu.
5. Quy định về hiệu quả ổn định của tàu
- Các quy định nêu rõ rằng tàu cần phải đạt được các yếu tố ổn định theo quy định.
- Những yêu cầu sẽ được Đăng kiểm xem xét và phê duyệt trong các trường hợp đặc biệt.
6. Các chi tiết kết cấu và bố trí
- Hướng dẫn và tiêu chuẩn cho thiết kế các chi tiết kết cấu như sống, mã, mối hàn, và bố trí mối liên kết giữa các bộ phận.
Phụ lục số liệu về việc sử dụng thép:
- Trong phụ lục, bảng số liệu chỉ rõ loại thép và kích thước tối thiểu cho các bộ phận khác nhau trong cấu trúc tàu, cũng như hướng dẫn cụ thể về chiều dày tôn cho từng vị trí trên tàu.
Tiêu chuẩn này làm cơ sở cho việc đảm bảo an toàn, độ bền và hiệu suất hoạt động của các tàu biển lớn, góp phần quan trọng vào sự phát triển bền vững của ngành hàng hải.
Tải tiêu chuẩn Việt Nam TCVN 6259-2A:2003
TIÊU CHUẨN QUỐC GIA
TCVN 6259-2A:2003
QUY PHẠM PHÂN CẤP VÀ ĐÓNG TÀU BIỂN VỎ THÉP - PHẦN 2A: KẾT CẤU THÂN TÀU VÀ TRANG THIẾT BỊ TÀU DÀI TỪ 90 MÉT TRỞ LÊN
Rules for the classification and construction of sea-going steel ships - Part 2A: Hull constructions and equipment of ships of 90 metres and over in length
CHƯƠNG 1 QUI ĐỊNH CHUNG
1.1. Qui định chung
1.1.1. Phạm vi áp dụng
1. Những qui định trong Phần này được áp dụng cho các tàu có chiều dài từ 90 mét trở lên, có hình dáng và tỉ số kích thước thông thường, có vùng hoạt động không hạn chế.
2. Đối với những tàu có vùng hoạt động hạn chế, kết cấu thân tàu, trang thiết bị và kích thước cơ cấu có thể được thay đổi phù hợp với điều kiện khai thác.
3. Khi áp dụng những qui định tương ứng của Phần này cho các tàu không áp dụng những qui định ở TCVN 6259 -11 :2003 - Phần 11 "Mạn khô" (sau đây gọi là Phần 11), Lf được lấy bằng L và Bf được lấy bằng B.
1.1.2. Trường hợp áp dụng đặc biệt
Đối với các tàu có chiều dài quá lớn hoặc vì lý do riêng nào đó mà không thể áp dụng trực tiếp những qui định của Phần này, Đăng kiểm sẽ xem xét và quyết định trong từng trường hợp cụ thể, không phụ thuộc vào những qui định ở 1.1.1.
1.1.3. Các tàu có hình dáng và tỉ số kích thước khác thường hoặc tàu dùng để chở hàng đặc biệt
1. Đối với các tàu có hình dáng và tỉ số kích thước khác thường hoặc tàu dùng để chở hàng đặc biệt, những qui định có liên quan đến kết cấu thân tàu, trang thiết bị và kích thước cơ cấu sẽ được qui định riêng dựa trên những nguyên tắc chung của Qui phạm thay cho những qui định ở Phần này.
2. Đối với những tàu được dự định chở gỗ súc trong khoang và/ hoặc trên boong, ngoài việc phải ghi ký hiệu đường nước chở hàng tương ứng với dấu mạn khô chở gỗ phù hợp với các qui định ở Phần 11, các thành phần kết cấu thân tàu còn phải được bảo vệ ở mức độ hợp lý được Đăng kiểm chấp nhận. Ngoài ra, đối với các tàu được dự định chở gỗ súc trên boong còn phải xem xét đặc biệt đến việc xếp và chằng buộc gỗ.
3. Các kết cấu boong để chở xe cộ v.v.. phải áp dụng các qui định ở 8.9 và 15.3.5.
4. Việc gia cường để chở Công te nơ phải được thực hiện phù hợp với các qui định của 30.2.1, các kết cấu đỡ công te nơ, nếu có, phải phù hợp với các qui định của 30.7.
1.1.4. Tàu khách
Nếu không có qui định nào khác, kết cấu thân tàu, trang thiết bị và kích thước cơ cấu của tàu khách được qui định tại TCVN 6259-9:2003 - Phần 8-F "Tàu khách".
1.1.5. Thay thế tương đương
Kết cấu thân tàu, trang thiết bị, bố trí và kích thước cơ cấu của tàu khác với những qui định ở Phần này sẽ được Đăng kiểm chấp nhận nếu xét thấy chúng tương đương với những qui định ở Phần này.
1.1.6. Ổn định
Những qui định ở Phần này được áp dụng cho các tàu đã có đủ ổn định ở tất cả các trạng thái theo yêu cầu. Tuy vậy, Đăng kiểm nhấn mạnh rằng người thiết kế tàu, đóng tàu và chủ tàu vẫn phải quan tâm đến tính ổn định của tàu trong quá trình đóng mới và khai thác.
1.1.7. Vật liệu
1. Nếu không có qui định nào khác, thì những yêu cầu ở Phần này được dựa trên cơ sở những yêu cầu của TCVN 6259 -7 :2003 - Phần 7-A "Vật liệu" (sau đây gọi là Phần 7-A).
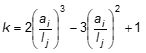
2. Khi sử dụng thép có độ bền cao qui định ở Chương 3, Phần 7-A, kết cấu và kích thước của cơ cấu thân tàu phải thỏa mãn những yêu cầu từ (1) đến (3) dưới đây :
(1) Mô đun chống uốn của tiết diện ngang thân tàu phải không nhỏ hơn trị số tính theo Chương 13 nhân với hệ số sau đây:
0,78 - Khi dùng thép có độ bền cao A 32, D 32, E 32 hoặc F32.
0,72 - Khi dùng thép có độ bền cao A 36, D 36, E 36 hoặc F36.
Phạm vi sử dụng của thép có độ bền cao phải được Đăng kiểm xem xét và quyết định trong từng trường hợp cụ thể.
(2) Chiều dày tôn boong, tôn bao, mô đun chống uốn của các nẹp gia cường và kích thước cơ cấu không theo các yêu cầu ở -1 trên phải được Đăng kiểm xem xét và quyết định trong từng trường hợp cụ thể.
(3) Khi dùng thép có độ bền cao khác với loại thép nêu ở -2, kích thước các cơ cấu thân tàu phải được xem xét đặc biệt trong từng trường hợp cụ thể.
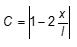
3. Nếu dùng thép không gỉ hoặc thép có lớp bọc không gỉ qui định ở Chương 3, Phần 7-A, làm các cơ cấu chính thân tàu, thì việc dùng vật liệu và kích thước các cơ cấu thân tàu đó phải thỏa mãn những qui định sau:
(1) Yêu cầu ở -2 được áp dụng nhưng hệ số k được lấy bằng trị số tính theo công thức sau (làm tròn đến 3 số thập phân) nhưng không nhỏ hơn 0,72 :

Trong đó :
-
- Độ bền chảy hoặc ứng suất thử của thép không gỉ hoặc thép có lớp bọc không gỉ, N/mm2.
- f - Trị số tính theo công thức sau: f = 0,0025 (T - 60) + 1,0
Với T là nhiệt độ lớn nhất của hàng hóa tiếp xúc với vật liệu thân tàu, tính bằng °C. Nếu T < 60°C thì lấy bằng 60°C, nếu T > 100°C thì Đăng kiểm phải xem xét đặc biệt.
(2) Nếu dùng vật liệu có tính chống ăn mòn hữu hiệu đối với loại hàng hóa dự định chuyên chở thì Đăng kiểm có thể xem xét để giảm qui cách các cơ cấu tương ứng một cách thích hợp.
4. Nếu dùng vật liệu không phải là thép để làm các cơ cấu chính thân tàu, thì việc dùng vật liệu đó và kích thước các cơ cấu tương ứng phải được Đăng kiểm xem xét đặc biệt.
5. Nếu dùng vật liệu khác với loại vật liệu qui định ở Qui phạm này để làm các cơ cấu thân tàu, thì việc dùng vật liệu đó và kích thước các cơ cấu tương ứng phải được Đăng kiểm xem xét đặc biệt.
6. Việc dùng vật liệu để làm các cơ cấu thân tàu của những tàu hoạt động ở vùng ven biển có thể được Đăng kiểm xem xét qui định trong từng trường hợp cụ thể.
1.1.8. Kết cấu phòng chống cháy
Kết cấu phòng chống cháy phải thỏa mãn các qui định ở TCVN 6259 -5 :2003 - Phần 5 "Phòng, phát hiện và dập cháy" (sau đây gọi là Phần 5).
1.1.9. Phương tiện thoát nạn
Phương tiện thoát nạn phải thỏa mãn các qui định ở Phần 5.
1.1.10. Phương tiện kiểm tra
Ở các khoang như khoang mũi, khoang đuôi, kết sâu, khoang cách li, khoang dầu hàng, khoang hàng có két hông tương đối cao và các không gian kín tương tự phải có các phương tiện để tiếp cận được những nơi cần thiết như : dàn dáo, thang tay, thang cố định hoặc các phương tiện tương tự để kiểm tra mức độ an toàn bên trong thân tàu. Tuy nhiên, các phương tiện này không bắt buộc phải bố trí ở khoang đuôi, két sâu không dùng để chứa nhiên liệu hoặc dầu bôi trơn.
1.1.11. Sử dụng thép
1. Thép dùng cho kết cấu thân tàu phải là các cấp thép như qui định ở Phần 7-A phù hợp với các yêu cầu ở Bảng 2-A/1.1 và 2-A/1.2. Theo các yêu cầu này cấp thép B, D hoặc E có thể thay thế cho A; D hoặc E có thể thay thế cho B; E có thể thay thế cho D; D 32, E 32 hoặc F 32 có thể thay thế cho A 32; E 32 hoặc F 32 có thể thay thế cho D 32; F 32 có thể thay thế cho E 32; D 36, E 36 hoặc F 36 có thể thay chế cho A 36; E 36 hoặc F 36 có thể thay thế cho D 36; F 36 có thể thay thế cho E 36.
2. Ở đoạn 0,4 L giữa tàu, dải tôn đơn của mép mạn kề với boong tính toán, dải tôn mép của boong tính toán, dải tôn hông, dải tôn boong kề với vách dọc và các cơ cấu làm bằng thép cấp E, E 32 và KE36 phải có chiều rộng (b) không nhỏ hơn trị số tính theo công thức sau đây, lớn nhất là bằng 1800 mi-li-mét. Đối với mép mạn lượn, chiều rộng của dải tôn mép mạn phải thỏa mãn yêu cầu của Đăng kiểm.
b = 5 L1 + 800 (mm)
Trong đó :
L1 : Chiều dài tàu qui định ở 1.2.16 TCVN 6259 -1 :2003 - Phần 1-A "Qui định chung về hoạt động giám sát" (sau đây gọi là Phần 1-A) hoặc 0,97 chiều dài tàu đo trên đường nước chở hàng thiết kế, lấy giá trị nào nhỏ hơn (m).
3. Nếu dùng thép không gỉ hoặc thép có lớp bọc không gỉ qui định ở Chương 3, Phần 7-A làm các cơ cấu thân tàu, thì Bảng 2-A/1.1 và 2-A/1.2 phải được áp dụng phù hợp với chiều dày của vật liệu cơ bản thay cho chiều dày của tấm.
4. Có thể dùng thép cấp E, E32, và E36 có chiều dày từ 50 đến 100 mi-li-mét để làm sống đuôi tàu.
5. Nếu dùng thép có chiều dày lớn hơn 50 mi-li-mét làm kết cấu thân tàu, trừ sống đuôi, phải được Đăng kiểm chấp thuận.
6. Trường hợp dùng thép có đặc tính khác với qui định ở Bảng 2-A/1.1 và 2-A/1.2 thì việc sử dụng loại thép đó phải được Đăng kiểm xem xét đặc biệt trên cơ sở đặc tính và qui cách của nó được trình duyệt.
1.1.12. Qui định đặc biệt đối với việc sử dụng thép
1. Đối với những tàu được thiết kế trên cơ sở xác định nhiệt độ thiết kế (TD) để hoạt động lâu dài ở vùng có nhiệt độ thấp (ví dụ: vùng Bắc cực hoặc Nam cực), thì việc dùng thép làm các cơ cấu thân tàu phải phù hợp với nhiệt độ thiết kế, ngoài những qui định về sử dụng thép ở Bảng 2-A/1.1 và 2-A/1.2.
2. Đối với những tàu chở hàng có nhiệt độ thấp (ví dụ: hàng đông lạnh), việc sử dụng loại thép làm các cơ cấu dọc thân tàu phải phù hợp với nhiệt độ thiết kế (TD), trong trường hợp TD được xác định, ngoài những qui định về việc sử dụng thép ở Bảng 2-A/1.1 và 2-A/1.2.
3. Những tàu tuân thủ các qui định ở -1 và -2 được đăng ký với các ký hiệu thể hiện rõ việc tuân thủ này.
1.1.13. Kích thước cơ cấu
1. Kích thước của các cơ cấu ở đoạn giữa, đoạn mũi và đoạn đuôi tàu là kích thước áp dụng cho các cơ cấu ở các đoạn thân tàu qui định tương ứng ở 1.2.23 và 1-2.24 Phần 1-A.
2. Việc giảm kích thước của cơ cấu thân tàu từ giữa tàu về mũi và đuôi phải cố gắng thực hiện dần dần.
3. Nếu không có qui định nào khác, thì mô đun chống uốn theo yêu cầu của Qui phạm là của tiết diện cơ cấu thân tàu bao gồm cả mép kèm. Mép kèm được lấy rộng bằng 0,1l về mỗi bên của cơ cấu nhưng không được lớn hơn một nửa khoảng cách các cơ cấu, l là chiều dài nhịp của cơ cấu lấy theo các qui định có liên quan.
4. Khi tính toán Mô đun chống uốn tiết diện của các cơ dọc hoặc nẹp dọc, nếu các cơ cấu này được đỡ hữu hiệu phía trong nhịp l được nêu trong công thức, thì trị số Mô đun chống uốn có thể được giảm thích hợp.
5. Nếu dùng thép dẹt, thép góc hoặc tấm bẻ mép để làm các xà, sườn, nẹp có mô đun chống uốn tiết diện đã được xác định theo qui phạm, thì chúng phải có chiều cao và chiều dày phù hợp với mô đun chống uốn tiết diện đã xác định đó.
6. Đối với các cơ cấu như sống, đà ngang có diện tích tiết diện bản mép được xác định, chiều rộng bản mép (b) phải không nhỏ hơn trị số tính theo công thức sau :

Trong đó :
A : Diện tích tiết diện bản mép theo yêu cầu (cm2).
t : Chiều dày bản thành (mm).
1.1.14. Liên kết mút của các nẹp, sống và sườn
1. Nếu mút của các sống được liên kết với vách, đáy trên, v.v..., thì các mối liên kết mút ấy của các sống phải được cân bằng bởi các cơ cấu đỡ hữu hiệu ở mặt bên kia của vách, đáy trên.v.v...
2. Nếu không có qui định nào khác, thì chiều dài cạnh đứng của mã liên kết với sườn hoặc nẹp của vách hoặc két sâu.v.v..., phải không nhỏ hơn 1/8 của l theo các qui định có liên quan.
3. Trường hợp nếu nẹp đỡ các dầm dọc xuyên qua các đà ngang đáy hoặc các sống ngang trong các két, thì liên kết của các nẹp với các dầm dọc phải có đủ độ bền mỏi để chịu đựng được áp lực thủy động phát sinh trong két. Chiều dày của nẹp không được nhỏ hơn chiều dày tối thiểu qui định cho các đà ngang đáy hoặc các sống ngang (nếu đặt nẹp) và chiều cao của nẹp không được nhỏ hơn chiều cao đà ngang đáy hoặc sống ngang đã trừ đi chiều cao của các dầm dọc, hoặc tương đương.
1.1.15. Mã
1. Kích thước của mã phải được xác định tùy thuộc chiều dài cạnh liên kết dài hơn theo Bảng 2-A/1.3.
2. Chiều dày của mã phải được tăng thích đáng nếu chiều cao tiết diện hiệu dụng của mã nhỏ hơn 2/3 chiều cao tiết diện của mã theo yêu cầu.
3. Nếu mã có lỗ khoét giảm trọng lượng thì khoảng cách từ mép lỗ khoét đến cạnh tự do của mã phải không nhỏ hơn đường kính lỗ khoét.
4. Nếu chiều dài cạnh liên kết dài hơn của mã lớn hơn 800 mi-li-mét thì cạnh tự do của mã phải được gia cường bằng mép bẻ hoặc bằng hình thức khác trừ khi mã đó là mã chống vận hoặc cơ cấu tương tự.
Bảng 2-A/1.1 Danh mục sử dụng thép đóng tàu thông thường
| Tên cơ cấu | Vùng sử dụng | Chiều dày tôn t (mm) | ||||||||||||||||||
| t ≤ 15 | 15 < t ≤ 20 | 20 < t ≤ 25 | 25 < t ≤ 30 | 30 < t ≤ 40 | 40 < t ≤ 50 | |||||||||||||||
| Tấm mạn | ||||||||||||||||||||
| Tôn mép mạn kề boong tính toán | Phạm vi 0,4 L giữa tàu | L1 < 250 | A | B | D | E | ||||||||||||||
| L1 > 250 | E | |||||||||||||||||||
| Phạm vi 0,6L giữa tàu ngoài vùng trên | A | B | D | E | ||||||||||||||||
| Ngoài vùng nêu trên | A | B | D | |||||||||||||||||
| Tôn mạn ở phạm vi 0,4 L giữa tàu | Phạm vi 0,1 D trở xuống tính từ mặt dưới của boong tính toán | A | B | D | E | |||||||||||||||
| Ngoài vùng nêu trên | A | B | D | |||||||||||||||||
| Dải tôn hông | Phạm vi 0,4 L giữa tàu | L1 > 250 | D | E | ||||||||||||||||
| Tàu có 150 < L1 ≤ 250, có kết cấu đáy đôi hoặc đáy đơn | A | B | D | E | ||||||||||||||||
| Tàu có L1 ≤ 150 có kết cấu đáy đôi | A | B | D | E | ||||||||||||||||
| Phạm vi 0,6 L giữa tàu ngoài vùng trên | L1 > 250 | D | E | |||||||||||||||||
| L1 ≤ 250 | A | B | D | E | ||||||||||||||||
| Ngoài vùng trên | L1 > 250 | D | ||||||||||||||||||
| L1 ≤ 250 | A | B | D | |||||||||||||||||
| Tôn đáy kể cả dải tôn giữa đáy | Phạm vi 0,4 L giữa tàu | A | B | D | E | |||||||||||||||
| Tấm boong | ||||||||||||||||||||
| Dải tôn mép của boong tính toán | Phạm vi 0,4 L giữa tàu | L1 ≤ 250 | A | B | D | E | ||||||||||||||
| L1 >250 | E | |||||||||||||||||||
| Phạm vi 0,6 L giữa tàu ngoài vùng trên | A | B | D | E | ||||||||||||||||
| Ngoài vùng nêu trên | A | B | D | |||||||||||||||||
| Dải tôn boong tính toán kề với vách dọc | Phạm vi 0,4 L giữa tàu | A | B | D | E | |||||||||||||||
| Phạm vi 0,6 L giữa tàu ngoài vùng trên | A | B | D | E | ||||||||||||||||
| Ngoài vùng nêu trên | A | B | D | |||||||||||||||||
| Boong tính toán khác với qui định trên | Phạm vi 0,4 L giữa tàu | A | B | D | E | |||||||||||||||
| Góc miệng khoang của boong tính toán | Miệng khoang mở rộng | A | B | D | E | |||||||||||||||
| Khác với qui định trên trong phạm vi 0,4 L giữa tàu | A | B | D | E | ||||||||||||||||
| Boong lộ thiên | Phạm vi 0,4 L giữa tàu | A | B | D | ||||||||||||||||
| Tấm vách dọc | ||||||||||||||||||||
| Dải tôn trên cùng của vách dọc kề với boong tính toán trong phạm vi 0,4 L giữa tàu | A | B | D | E | ||||||||||||||||
| Dải tôn dưới cùng của vách dọc kề với tấm đấy trong phạm vi 0,4 L giữa tàu | A | B | D | |||||||||||||||||
| Các có cấu dọc | ||||||||||||||||||||
| Dải tôn trên cùng của vách nghiêng két đỉnh mạn kề với boong tính toán trong phạm vi 0,4 L giữa tàu | A | B | D | E | ||||||||||||||||
| Các cơ cấu dọc nằm phía trên của boong tính toán kể cả các mã và bản mép của cơ cấu dọc trong phạm vi 0,4 L giữa tàu | A | B | D | E | ||||||||||||||||
| Miệng hầm hàng | ||||||||||||||||||||
| Tấm thành và bản mép của thành dọc miệng hầm kéo dài trên boong tính toán | Cơ cấu dọc liên tục | Phạm vi 0,4L giữa tàu | D | E | ||||||||||||||||
| Phạm vi 0,6L giữa tàu, ngoài vùng trên | D | E | ||||||||||||||||||
| Ngoài các vùng nêu trên | D | |||||||||||||||||||
| Cơ cấu dọc dài hơn 0,15 L ngoài các cơ cấu trên | Phạm vi 0,4L giữa tàu | A | B | D | E | |||||||||||||||
| Sống đuôi | ||||||||||||||||||||
| Sống đuôi, giá bánh lái, giá chữ nhân |
| A | B | D | E | |||||||||||||||
|
| Tôn bánh lái | A | B | D | E | |||||||||||||||
| Tôn bánh lái |
| A | B | D | E | |||||||||||||||
| Các có cấu khác | ||||||||||||||||||||
| Các cơ cấu khác với các cơ cấu nêu trên | A | |||||||||||||||||||
Bảng 2-A/1.2 Danh mục sử dụng thép có độ bền cao
| Tên cơ cấu | Vùng sử dụng | Chiều dày tôn t (mm) | |||||||||||||
| t ≤ 15 | 15 < t ≤ 20 | 20 < t ≤ 25 | 25 < t ≤ 30 | 30 < t ≤ 40 | 40 < t ≤ 50 | ||||||||||
| Tấm vỏ | |||||||||||||||
| Tôn mép mạn kề boong tính toán | Phạm vi 0,4L giữa tàu | L1 ≤ 250 | AH | DH | EH | ||||||||||
| L1 > 250 | EH | ||||||||||||||
| Phạm vi 0,6L giữa tàu ngoài vùng trên | AH | DH | EH | ||||||||||||
| Ngoài vùng nêu trên | AH | DH | |||||||||||||
| Tôn mạn ở phạm vi 0,4 L giữa tàu | Phạm vi 0,1 D trở xuống tính từ mặt dưới của boong tính toán | AH | DH | EH | |||||||||||
| Ngoài vùng nêu trên | AH | DH | |||||||||||||
| Dải tôn hông | Phạm vi 0,4 L giữa tàu | Tàu có L1 > 250 | DH | EH | |||||||||||
| Tàu có 150 < L1 ≤ 250 có kết cấu đáy đôi hoặc đáy đơn | AH | DH | EH | ||||||||||||
| Tàu có L1 ≤ 150 | AH | DH | EH | ||||||||||||
| Phạm vi 0,6 L giữa tàu ngoài vùng nêu trên Ngoài vùng nêu trên | Tàu có L1 > 250 | DH | EH | ||||||||||||
| Tàu có L1 ≤ 250 | AH | DH | EH | ||||||||||||
| Tàu có L1 > 250 | DH | ||||||||||||||
| Tàu có L1 ≤ 250 | AH | DH | |||||||||||||
| Tôn đáy kể cả dải tôn giữa đáy | Phạm vi 0,4 L giữa tàu | AH | DH | EH | |||||||||||
| Tấm boong | |||||||||||||||
| Dài tôn mép của boong tính toán | Phạm vi 0,4 L giữa tàu | L1 ≤ 250 | AH | DH | EH | ||||||||||
| L1 > 250 | EH | ||||||||||||||
| Phạm vi 0,6 L giữa tàu ngoài vùng trên | AH | DH | EH | ||||||||||||
| Ngoài vùng nêu trên | AH | DH | |||||||||||||
| Dải tôn boong tính toán liên kết với vách dọc | Phạm vi 0,4 L giữa tàu | AH | DH | EH | |||||||||||
| Phạm vi 0,6 L giữa tàu ngoài vùng nêu trên | AH | DH | |||||||||||||
| Tôn boong chịu lực khác với vùng trên Góc miệng khoang ở boong tính toán | Phạm vi 0,4 L giữa tàu | AH | DH | EH | |||||||||||
| Miệng khoang mở rộng | AH | DH | EH | ||||||||||||
| Ngoài vùng nêu trên trong phạm vi 0,4 L giữa tàu | AH | DH | EH | ||||||||||||
| Boong lộ thiên | Phạm vi 0,4 L giữa tàu | AH | DH | ||||||||||||
| Tấm vách dọc | |||||||||||||||
| Dải tôn trên cùng kề với boong tính toán của vách dọc trong phạm vi 0,4 L giữa tàu | AH | DH | EH | ||||||||||||
| Dải tôn dưới cùng kề với đáy của vách dọc trong phạm vi 0,4 L giữa tàu | AH | EH | |||||||||||||
| Các cơ cấu dọc | |||||||||||||||
| Dải tôn trên cùng kề với boong tính toán của vách nghiêng két đỉnh mạn trong phạm vi 0,4 L giữa tàu | AH | DH | EH | ||||||||||||
| Các cơ cấu dọc nằm phía trên của boong tính toán kể cả mã và bản mép cơ cấu dọc trong phạm vi 0,4 L giữa tàu | AH | DH | EH | ||||||||||||
| Miệng hầm hàng | |||||||||||||||
| Tấm thành và bản mép của thành dọc miệng khoang hàng ở boong tính toán | Cơ cấu dọc liên tục | Phạm vi 0,4 L giữa tàu | DH | ||||||||||||
| Phạm vi 0,6 L giữa tàu ngoài vùng nêu trên | DH | EH | |||||||||||||
| Ngoài vùng nêu trên | DH | EH | |||||||||||||
| Cơ cấu dọc dài hơn 0,15 L, ngoài các cơ cấu trên | Phạm vi 0,4 L giữa tàu | AH | DH | EH | |||||||||||
| Sống đuôi | |||||||||||||||
| Sống đuôi, giá bánh lái, giá chữ nhân | - | AH | DH | EH | |||||||||||
| Bánh lái | |||||||||||||||
| Tôn bánh lái | - | AH | DH | EH | |||||||||||
| Các cơ cấu khác | |||||||||||||||
| Các cơ cấu khác còn lại | AH | ||||||||||||||
Chú thích:
1. L1 là chiều dài tàu được qui định ở 1.2.16 Phần 1-A hoặc 0,97 chiều dài tàu đo trên đường nước chở hàng thiết kế, lấy giá trị nào nhỏ hơn (m).
2. Việc sử dụng thép làm tấm boong liên kết với các vách dọc của tàu có chiều rộng xác định theo 2.1.4 ở Phần 1- A nếu vượt quá 70 m, thì Đăng kiểm phải xem xét đặc biệt.
3. Trong Bảng 2-A/1.1 và 2-A/1.2, phần được gọi là dải tôn hông là phần sau đây:
(1) Nếu đường giới hạn tấm đáy không song song với đường tâm tàu trong vùng 0,6L giữa tàu, thì phần này nằm trong vùng 0,6L giữa tàu;
(2) Nếu đường giới hạn tấm đáy không song song với đường tâm tàu ngoài vùng 0,6L giữa tàu, thì phần này nằm trong vùng tương ứng.
4. Đối với bánh lái và tôn bao bánh lái, việc sử dụng thép ở vùng chốt dưới của bánh lái kiểu D, E và ở vùng trên cùng của bánh lái kiểu C qui định ở Chương 25 phải được Đăng kiểm xem xét đặc biệt.
Bảng2-A/1.3 Mã
(Đơn vị: mm)
| Chiều dài của cạnh liên kết dài hơn | Chiều dày | Chiều rộng mép | Chiều dài của cạnh liên kết dài hơn | Chiều dày | Chiều rộng mép | ||
| Mã phẳng | Mã có mép | Mã phẳng | Mã có mép | ||||
| 150 | 6,5 | - | - | 700 | 14,0 | 9,5 | 70 |
| 200 | 7,0 | 6,5 | 30 | 750 | 14,5 | 10,0 | 70 |
| 250 | 8,0 | 6,5 | 30 | 800 |
| 10,5 | 80 |
| 300 | 8,5 | 7,0 | 40 | 850 | - | 11,0 | 85 |
| 350 | 9,0 | 7,0 | 40 | 900 | - | 11,0 | 90 |
| 400 | 10,0 | 8,0 | 50 | 950 | - | 11,5 | 90 |
| 450 | 10,5 | 8,0 | 50 | 1.000 | - | 11,5 | 95 |
| 500 | 11,0 | 8,5 | 55 | 1.050 | - | 12,0 | 100 |
| 550 | 12,0 | 8,5 | 55 | 1.100 | - | 12,5 | 105 |
| 600 | 12,5 | 9,0 | 60 | 1.150 | - | 12,5 | 110 |
| 650 | 13,0 | 9,0 | 60 |
|
|
|
|
1.1.16. Thay đổi chiều dài nhịp (l) khi mã dày hơn
Khi mã liên kết dày hơn bản thành của sống thì trị số l qui định ở Chương 6 và ở từ Chương 9 đến Chương 12 có thể được thay đổi phù hợp như sau :
(1) Nếu diện tích tiết diện bản mép của mã lớn hơn một nửa diện tích tiết diện bản mép của sống và bản mép của sống được kéo tới vách, boong, đáy trên,v.v..., thì l có thể được đo đến điểm cách đỉnh mã 0,15 mét vào phía trong của mã.
(2) Khi diện tích tiết diện bản mép của mã nhỏ hơn 1/2 diện tích tiết diện bản mép của sống và bản mép của sống được kéo tới vách, boong, đáy trên,v.v..., thì l có thể được đo đến điểm mà tại đó tổng diện tích tiết diện ngang của mã kể cả bản mép, ngoài giới hạn của sống, bằng diện tích tiết diện bản mép của sống hoặc đến điểm cách đỉnh mã 0,15 mét vào phía trong mã, lấy trị số nào lớn hơn.
(3) Khi có gắn mã và bản mép của sống chạy dài theo cạnh tự do của mã cho đến vách, boong, đáy trên,v.v…, kể cả khi cạnh tự do của mã được lượn tròn thì l vẫn được đo đến đỉnh mã.
(4) Mã được xem là không có tác dụng ở phía ngoài điểm mà tại đó cạnh liên kết dọc theo sống của mã bằng 1,5 lần chiều dài cạnh liên kết của mã với vách, boong, đáy trên,v.v...
(5) Không được giảm l ở mỗi đầu đi một lượng lớn hơn 1/4 chiều dài toàn bộ của sống kể cả liên kết ở hai đầu.
1.1.17. Chất lượng sản phẩm
1. Chất lượng sản phẩm phải đạt mức cao nhất. Trong quá trình đóng tàu, cơ sở đóng tàu phải tiến hành kiểm tra và giám sát tỉ mỉ tất cả các công việc trong nhà xưởng và ở ngoài triền đà.
2. Liên kết của tất cả các bộ phận kết cấu thân tàu phải chắc chắn và hoàn hảo.
3. Mép tôn phải chính xác và hoàn hảo.
4. Góc lượn phía trong của mép bẻ phải không nhỏ hơn hai lần nhưng không lớn hơn ba lần chiều dày tấm tôn.
5. Nếu cơ cấu thường đi xuyên qua vách hoặc boong kín nước, thì vách và boong ấy phải có cấu tạo kín nước, không được dùng gỗ hoặc xi măng để làm kín.
6. Chi tiết về mối hàn và chất lượng mối hàn phải thỏa mãn các qui định ở Phần 6.
1.1.18. Lên đà
Tất cả các tàu đóng theo Qui phạm này sau 6 tháng mà chưa xuất xưởng nên được đưa lên đà để kiểm tra.
1.1.19. Thiết bị
Cột cẩu, dây chằng, thiết bị nâng hàng, thiết bị chằng buộc và thiết bị neo và các trang bị, dụng cụ khác nếu không được qui định ở Phần này thì phải có bố trí và kết cấu tương ứng phù hợp với mục đích sử dụng và việc kiểm tra phải được tiến hành theo yêu cầu của Đăng kiểm viên khi xét thấy cần thiết.
1.1.20. Chở dầu hoặc chất lỏng dễ cháy khác
1. Những yêu cầu đối với kết cấu thân tàu và trang thiết bị của tàu chở dầu đốt ở Phần này chỉ áp dụng cho trường hợp chở dầu đốt có nhiệt độ bắt cháy lớn hơn 60°C (thử trong cốc kín).
2. Kết cấu thân tàu và trang thiết bị của tàu chở dầu đốt có nhiệt độ bắt cháy bằng và nhỏ hơn 60°C (thử trong cốc kín) phải thỏa mãn những yêu cầu ở Phần này hoặc phải áp dụng những qui định riêng.
3. Kết cấu và bố trí của két sâu dùng để chở dầu hàng phải thỏa mãn các qui định ở Chương 27.
4. Không được chở dầu hoặc các chất lỏng dễ cháy khác ở các két nằm phía trước vách chống va.
1.1.21. Biện pháp kiểm soát ăn mòn
1. Nếu áp dụng biện pháp kiểm soát ăn mòn đã được duyệt cho các két, thì kích thước các cơ cấu của két theo qui định có thể được giảm đi khi được Đăng kiểm chấp thuận.
2. Đối với các tàu có kích thước cơ cấu được giảm theo -1 trên, ký hiệu cấp tàu sẽ có thêm dấu hiệu "CoC".
1.1.22. Tính toán trực tiếp
1. Khi được Đăng kiểm chấp thuận có thể áp dụng phương pháp tính toán trực tiếp để xác định kích thước của cơ cấu chính. Trong trường hợp này phải trình các tài liệu dùng cho tính toán để Đăng kiểm xem xét.
2. Nếu Đăng kiểm thấy cần thiết phải đưa vào tính toán kiểu và kích cỡ của tàu, thì kích thước của các cơ cấu chính phải được xác định bằng phân tích độ bền trực tiếp.
1.1.23. Các chi tiết kết cấu
1. Phải cố gắng tránh sự gián đoạn và sự thay đổi đột ngột của tiết diện cơ cấu.
2. Góc của tất cả các lỗ khoét phải được lượn đều.
3. Khi cơ cấu cứng, chẳng hạn mã, có diện tích tiết diện nhỏ được hàn với tôn tương đối mỏng thì ít nhất hai đầu của cơ cấu đó phải được hàn trực tiếp lên cơ cấu cứng khác.
4. Khi Đăng kiểm thấy cần thiết, phải tiến hành đánh giá độ bền mỏi đối với các chi tiết kết cấu, như liên kết của các cơ cấu dọc trong phạm vi từ vách trước buồng máy đến vách chống va, xuyên qua các cơ cấu ngang thông thường, các vách ngang, các đà ngang, các thành phần sống liên kết với tôn mạn hoặc vách và các cơ cấu không liên tục v.v... nếu có thể thấy trước là sẽ bị tập trung ứng suất.
5. Khi việc đánh giá độ bền mỏi theo qui định -4 được yêu cầu, thì phải trình các tài liệu liên quan đến việc đánh giá cho Đăng kiểm xem xét.
1.2. Hàn
1.2.1. Phạm vi áp dụng
Đường hàn dùng trong kết cấu thân tàu và các thiết bị quan trọng phải phù hợp với các yêu cầu ở TCVN 6259-6:2003 -Phần 6 "Hàn" (sau đây gọi là Phần 6)và những yêu cầu ở 1.2 của Phần này.
1.2.2. Bố trí
1. Phải đặc biệt quan tâm tới việc bố trí các cơ cấu thân tàu để sao cho có thể tiến hành hàn một cách thuận tiện.
2. Đường hàn phải được bố trí xa những nơi có thể có tập trung ứng suất lớn.
1.2.3. Chi tiết mối hàn
1. Chi tiết về mối hàn giáp mép và mối hàn chồng mép phải phù hợp với những yêu cầu ở Chương 2, Phần 6. Chiều rộng phần chồng của mối hàn chồng mép hoặc chồng mép dích dắc (nếu chúng chịu uốn tương đương) phải thỏa mãn các tiêu chuẩn sau:
(1) Chiều rộng phần chồng (bc) của mối hàn chồng mép không nhỏ hơn trị số xác định theo công thức sau đây, nhưng không cần vượt quá 50 mm : bc = 2t + 25 (mm).
(2) Chiều rộng phần chồng (bc) của mối hàn chồng mép dích dắc không nhỏ hơn trị số xác định theo công thức sau đây, nhưng không cần vượt quá 40 mm: bc = t + 25 (mm).
Trong đó : t là chiều dày của tấm mỏng hơn, mm.
2. Đối với mối hàn giáp mép của các tấm có chiều dày chênh nhau lớn hơn 4 mi-li-mét, mép của tấm dày hơn nói chung phải được vát đi không quá 1/3 chiều dày.
3. Số hiệu và qui cách của mối hàn góc phải phù hợp với các yêu cầu ở Bảng 2-A/1.4 và việc áp dụng mối hàn góc vào cơ cấu thân tàu phải theo yêu cầu ở Bảng 2-A/1.5. Ở các tàu dầu, kiểu và kích thước của mối hàn phải theo yêu cầu ở Bảng 2-A/27.20.
4. Đường hàn lỗ (hàn cấy) phải có hình dạng thích hợp để có thể hàn ngấu xuống toàn bộ mép dưới của đáy lỗ. Kích thước mối hàn góc của đường hàn lỗ phải là F1 như yêu cầu ở Bảng 2-A/1.4 và khoảng cách các lỗ hàn phải lấy theo yêu cầu của Đăng kiểm.
Bảng 2-A/1.4 Số hiệu và qui cách của mối hàn góc
(Đơn vị: mm)
| Số hiệu mối
|
|
|
| ||||||
| Hàn chồng mép | Hàn chữ T | Chiều dài mối hàn và bước hàn | |||||||
|
| |||||||||
| Đường hàn liên tục | Đường hàn gián đoạn | ||||||||
| Chiều rộng mối hàn f | Chiều rộng mối hàn f | Chiều dài mối hàn w | Bước hàn p | ||||||
| F1 | F2 | F3 | F4 | ||||||
| 5 trở xuống | 3 | 3 | 3 | 60 | 150 | 250 | |||
| 6 | 4 | 4 | 75 | 200 | 350 | ||||
| 7 | 5 | 4 | 5 | ||||||
| 8 | |||||||||
| 9 | 6 | 6 | |||||||
| 10 | |||||||||
| 11 | |||||||||
| 12 | 7 | 5 | 7 | ||||||
| 13 | |||||||||
| 14 | |||||||||
| 15 | 8 | 6 | 8 | ||||||
| 16 | |||||||||
| 17 | |||||||||
| 18 | 9 | 7 | 9 | ||||||
| 19 | |||||||||
| 20 | |||||||||
| 21 | |||||||||
| 22 | 10 | 10 | |||||||
| 23 | |||||||||
| 24 | |||||||||
| 25 | |||||||||
| Từ 26 đến 40 | 11 | 8 | 11 |
| |||||
Chú thích :
(1) Nếu là mối nối của xà boong, sườn, nẹp và sống với tôn boong, tôn đáy trên, tôn vách, tôn bao hoặc bản mép, thì chiều rộng mối hàn góc "f " của mối nối dạng chữ T phải xác định theo chiều dày bản thành của cơ cấu. Đối với các mối nối khác "f " được xác định theo chiều dày của tấm mỏng hơn.
(2) Đối với mối hàn chồng mép, chiều rộng mối hàn số hiệu F1 được xác định theo chiều dày của tấm mỏng hơn.
(3) Chiều cao của mối hàn góc phải bằng 0,7f.
(4) Nói chung, chiều rộng mối hàn số hiệu F2 phải là kích thước tối thiểu của mối hàn góc.
(5) Các đoạn hàn gián đoạn phải được đặt lệch nhau và tại các mút, w phải được đặt ở cả hai bên của mối nối.
(6) Sai lệch kích thước mối hàn cho phép là 10% so với qui định.
| STT | Cơ cấu | Vùng sử dụng | Số hiệu mối hàn | ||||||
| 1 | Bánh lái | Xương bánh lái | Với tôn bánh lái | F3 | |||||
| 2 | Với xương đứng tạo thành cốt bánh lái | F1 | |||||||
| 3 | Với các xương bánh lái (trừ các cơ cấu trên) | F2 | |||||||
| 4 | Đáy đơn | Đà ngang tấm | Với tôn bao | Ở vùng đáy gia cường mũi tàu, khoang đuôi và két sâu | F3 | ||||
| 5 | Các vùng khác | F4 | |||||||
| 6 | Với bản mép | Ở vùng đáy gia cường mũi tàu và buồng máy chính | F3 | ||||||
| 7 | Các vùng khác | F4 | |||||||
| 8 | Với bản thành và bản mép của sống chính đáy | F1 | |||||||
| 9 | Sống chính đáy | Sống đáy | Với tôn giữa đáy | Ở vùng đáy gia cường mũi tàu | F2 | ||||
| 10 | Các vùng khác | F3 | |||||||
| 11 | Với bản mép | F3 | |||||||
| 12 | Với đà ngang tấm | F2 | |||||||
| 13 | Sống phụ đáy | Sống đáy | Với tôn bao | Ở vùng đáy gia cường mũi tàu | F3 | ||||
| 14 | Các vùng khác | F4 | |||||||
| 15 | Với bản mép | Ở vùng buồng máy chính | F3 | ||||||
| 16 | Các vùng khác | F4 | |||||||
| 17 | Với đà ngang tấm | F3 | |||||||
| 18 | Đáy đôi kết cấu theo hệ thống ngang | Đà ngang đặc | Với tôn bao | Ở vùng đáy gia cường mũi tàu | F3 | ||||
| 19 | Các vùng khác | F4 | |||||||
| 20 | Với tôn đáy trên | Thành bệ máy chính và bệ ổ chặn | F2 | ||||||
| 21 | Ở vùng đáy gia cường mũi tàu, buồng máy chính (trừ các vùng nêu trên ) | F3 | |||||||
| 22 | Các vùng khác | F4 | |||||||
| 23 | Với các sống dưới đáy trên phía dưới bệ máy chính | F1 | |||||||
| 24 | Với sống chính đáy | Ở vùng đáy gia cường mũi tàu, buồng máy chính (trừ các vùng trên ) | F2 | ||||||
| 25 | Các vùng khác | F3 | |||||||
| 26 | Với sống hông | F2 | |||||||
| 27 | Đà ngang kín nước hoặc kín dầu | Với các cơ cấu xung quanh | F1 | ||||||
| 28 | Nẹp gia cường đà ngang tấm | Với đà ngang kín nước và kín dầu | F3 | ||||||
| 29 | Với các đà ngang khác | F4 | |||||||
| 30 | Đáy đôi kết cấu theo hệ thống ngang | Đà ngang hở | Dầm ngang đáy dưới | Với tôn bao | F4 | ||||
| 31 | Dầm ngang đáy trên | Với tôn đáy trên | F4 | ||||||
| 32 | Mã | Với sống chính đáy | F3 | ||||||
| 33 | Với sống hông | F2 | |||||||
| 34 | Thanh chống | Với sống phụ đáy | F4 | ||||||
| 35 | Sống chính đáy | Với dải tôn giữa đáy | Vùng kín nước và kín dầu | F1 | |||||
| 36 | Các vùng khác | F3 | |||||||
| 37 | Với tôn đáy | Vùng kín nước và kín dầu | F1 | ||||||
| 38 | Vùng dưới bệ máy chính hoặc ổ chặn | F2 | |||||||
| 39 | Các vùng khác | F3 | |||||||
| 40 | Sống phụ đáy (gián đoạn) | Với tôn bao | Vùng đáy gia cường phía mũi | F3 | |||||
| 41 | Các vùng khác | F4 | |||||||
| 42 | Với tôn đáy trên | Vùng buồng máy | F3 | ||||||
| 43 | Các vùng khác | F4 | |||||||
| 44 | Với đà ngang đặc | Vùng đáy gia cường phía mũi và buồng máy chính | F3 | ||||||
| 45 | Các vùng khác | F4 | |||||||
| 46 | Sống phụ bệ máy chính | Với tôn đáy trên | F2 | ||||||
| 47 | Với tôn bao | F4 | |||||||
| 48 | Sống hông | Với tôn bao hoặc tấm ốp góc | F1 | ||||||
| 49 | Mã hông | Với sống hông | F1 | ||||||
| 50 | Với tấm ốp góc | F2 | |||||||
| 51 | Nẹp gia cường tôn bao | Mối hàn nối với tôn bao lấy như đối với sườn dọc mạn | |||||||
| 52 | Nửa sống phụ đáy | Mối hàn nối với tôn bao và đà ngang đặc lấy như đối với sống phụ | |||||||
| 53 | Đáy đôi kết cấu theo hệ thống dọc | Dầm dọc | Với tôn bao ở vùng đáy gia cường phía mũi | F3 | |||||
| 54 | Với tôn bao (ngoài vùng trên) hoặc tôn đáy trên | F4 | |||||||
| 55 | Đà ngang đặc | Với tôn bao và tôn đáy trên | Tại mút của đà ngang, đoạn dài bằng hai khoảng sườn | F2 | |||||
| 56 | Các vùng khác | F3 | |||||||
| 57 | Với sống chính đáy | F2 | |||||||
| 58 | Mã ở sống chính | Với sống chính, tôn bao và tôn đáy trên | F3 | ||||||
| 59 | Mã của sống hông trong đáy đôi | Với sống hông | F2 | ||||||
| 60 | Với tôn bao và tôn đáy trên | F3 | |||||||
| 61 | Nẹp gia cường sống phụ | Với sống phụ | F4 | ||||||
| 62 | Sườn | Với tôn bao | Khoang đuôi, vùng 0,125 L kể từ mũi và trong két sâu | F3 | |||||
| 63 | Các vùng khác | F4 | |||||||
| 64 | Sườn bằng thép ghép | Bản thành của sườn | Với tôn bao hoặc bản mép | Ở vùng 0,125 L kể từ mũi và trong két sâu | F2 | ||||
| 65 | Các vùng khác | F3 | |||||||
| 66 | Boong | Dải tôn mép boong | Với tôn mạn | Ở boong tính toán | F1 | ||||
| 67 | Các boong khác | F2 | |||||||
| 68 | Xà boong | Với tôn boong | Trong các két | F3 | |||||
| 69 | Các vùng khác | F4 | |||||||
| 70 | Xà boong bằng thép ghép | Bản thành | Với tôn boong hoặc bản mép | Trong các két | F2 | ||||
| 71 | Các vùng khác | F3 | |||||||
| 72 | Cột chống | Cột chống | Đỉnh cột và chân cột | F1 | |||||
| 73 | Các mối hàn của cột ghép | F3 | |||||||
| 74 | Miệng khoang | Thành miệng khoang | Với tôn boong (trừ các vùng nêu ở dòng dưới) | F2 | |||||
| 75 | Góc miệng khoang ở boong tính toán | F1 | |||||||
| 76 | Xà tháo lắp | Các mối hàn ghép các chi tiết | F3 | ||||||
| 77 | Vách | Nẹp vách | Với tôn vách | Từ đỉnh dưới của mã nối nẹp với sống boong trở lên | F1 | ||||
| 78 | Ở vách két sâu | F3 | |||||||
| 79 | Các vùng khác | F4 | |||||||
| 80 | Tôn vách | Với vành biên | Vách kín nước và vách kín dầu | F1 | |||||
| 81 | Các vùng khác | F3 | |||||||
| 82 | Bệ máy | Thành bệ hoặc mã | Với bản mép | Bệ máy chính, bệ ổ chặn, bệ nồi hơi, bệ máy phát chính | F1 | ||||
| 83 | Với tôn đáy trên hoặc tôn bao | Bệ máy chính và bệ ổ chặn | F2 | ||||||
| 84 | Với bản thành sống đáy | Bệ máy chính hoặc bộ ổ chặn | F1 | ||||||
| 85 | Xà boong khỏe, sườn khỏe sống mạn, sống boong và sống vách | Bản thành hoặc tấm sống | Với tôn bao, tôn boong hoặc tôn vách | Trong các két, sườn khỏe ở 0,125 L kể từ mũi và sống mạn | F2 | ||||
| 86 | Các vùng khác | F3 | |||||||
| 87 | Mối hàn ở mút của cơ cấu khỏe và tấm sống với tôn bao, tôn boong, tôn đáy trên hoặc tôn vách | F1 | |||||||
| 88 | Với bản mép hoặc bản thành của cơ cấu khỏe | Trong các két, sườn khỏe ở vùng 0,125 L kể từ mũi và sống mạn | F2 | ||||||
| 89 | Xà boong khỏe, sườn khỏe, sống mạn, sống boong và sống vách | Bản thành hoặc tấm sống | Với bản thành hoặc bản mép của cơ cấu khỏe | Các vùng khác | Khi diện tích tiết diện bản mép lớn hơn 65 cm2 | F2 | |||
| 90 | Khi diện tích tiết diện bản mép không lớn hơn 65 cm2 | F3 | |||||||
| 91 | Mã chống vặn trên bản thành hoặc tấm sống | Với các cơ cấu xung quanh | F3 | ||||||
| 92 | Các phần khoét của bản thành hoặc tấm sống | Với bản thành của sườn, xà boong, hoặc nẹp | F2 | ||||||
| 93 | Mã mút của cơ cấu | Tại mối nối của cơ cấu với mã (Trừ các vùng đã nêu ở trên ) | F1 | ||||||
Chú thích :
(1) Nếu các cơ cấu gia cường dọc được nối với nhau bằng mối hàn góc thì chiều rộng mối hàn phải phù hợp với Bảng 2-A/1.4 và Bảng này, trừ trường hợp tổng diện tích tiết diện của các mối hàn lớn hơn diện tích tiết diện nhỏ nhất của các cơ cấu.
(2) Nếu đầu mút của các cơ cấu như sườn, xà boong và nẹp gia cường được hàn trực tiếp với tôn boong, tôn bao, tôn đáy trên hoặc tôn vách thì chiều rộng mối hàn phải không nhỏ hơn 0,7 lần chiều dày bản thành cơ cấu.
(3) Nếu xà boong, sườn, nẹp và sống được hàn với tôn boong, tôn bao, tôn đáy trên bằng mối hàn gián đoạn thì mối hàn phải liên tục ở các đoạn như mô tả ở Hình 2-A/1.1 (a). Nếu cơ cấu được đặt đối diện với mã như mô tả ở Hình 2-A/1.1 (b) hoặc (c) thì tại mút của cơ cấu hoặc đỉnh mã, mối hàn phải liên tục trên đoạn dài thích hợp. Mối hàn có thể được lấy như ở Hình 2-A/1.1 (d) nếu toàn bộ chiều dài mối nối được hàn liên tục một lớp mỏng có tác dụng tương đương với mối hàn F2.
(4) Nếu bản mép hoặc tôn đáy trên bao gồm cả tấm mặt của bệ máy hoặc các bệ quan trọng khác, thì số hiệu của mối hàn phải thỏa mãn yêu cầu đối với bệ máy.
(5) Đối với các mối nối chưa được đề cập ở phần đáy đôi kết cấu theo hệ thống dọc, phải áp dụng những yêu cầu như đối với kết cấu theo hệ thống ngang.

(a)
| (b) |
| (c) |
|

(d)
Hình 2-A/1.1 Phần liên tục của đường hàn
CHƯƠNG 2 SỐNG MŨI VÀ SÓNG ĐUÔI
2.1.1. Sống mũi tấm
1. Chiều dày (t) của sống mũi dạng tấm tại vị trí đường nước chở hàng thiết kế lớn nhất phải không nhỏ hơn trị số tính theo công thức sau :

Ở phía trên và phía dưới của đường tải trọng thiết kế lớn nhất, chiều dày của sống mũi tấm có thể giảm dần về phía mép trên của tấm sống mũi và tôn giữa đáy. Tại mép trên chiều dày sống mũi tấm có thể lấy bằng chiều dày tôn mạn (ở phần mũi), tại mép dưới chiều dày sống mũi tấm phải bằng chiều dày tôn giữa đáy.
2. Sống mũi tấm phải được gia cường bằng các mã ngang đặt cách nhau không xa quá 1 mét. Nếu bán kính cong ở mép trước của sống mũi lớn, thì phải có biện pháp gia cường thích đáng bằng cách đặt nẹp gia cường dọc tâm hoặc bằng cách tăng chiều dày của tấm sống mũi so với quy định ở -1, hoặc bằng biện pháp thích hợp khác.
2.2. Sống đuôi
2.2.1. Phạm vi áp dụng
Những yêu cầu ở mục 2.2 này chỉ áp dụng cho những sống đuôi không có trụ bánh lái.
2.2.2. Trụ chân vịt
1. Trụ chân vịt của sống đuôi bằng thép đúc và sống đuôi dạng tấm phải có hình dạng thích hợp với dòng chảy phía sau thân tàu. Kích thước của trụ chân vịt phải tương đương với tiêu chuẩn cho ở các công thức và hình vẽ ở Hình 2.A/2.1. Chiều rộng và chiều dày của trụ chân vịt ở phía dưới của u đỡ trục chân vịt phải được tăng dần để có độ bền và độ cứng tương xứng với ky sống đuôi.
2. Chiều dày thành u đỡ trục chân vịt phải không nhỏ hơn trị số tính theo công thức sau :
0,9L + 10 (mm)
3. Trụ chân vịt của sống đuôi bằng thép đúc và sống đuôi dạng tấm phải có các mã ngang đặt theo khoảng cách thích hợp. Nếu bán kính cong ở mép sau ở sống đuôi lớn phải có nẹp gia cường ở dọc tâm.
|
| W : 2,2L + 88 (mm) T : 0,18L + 15 (mm) R : 0,40L + 16 (mm) Trụ chân vịt của sống đuôi bằng thép đúc |
|
| W : 2,5L + 100 (mm) T : 2,2 R : 0,40L + 16 (mm) Trụ chân vịt của sống đuôi bằng thép tấm |
Hình 2-A/2.1 Tiêu chuẩn kích thước của trụ chân vịt
4. Đối với các tàu có tốc độ tương đối so với chiều dài lớn và các tàu thiết kế riêng để kéo, kích thước các bộ phận của trụ chân vịt phải được tăng thích đáng.
2.2.3. Ky sống đuôi
1. Kích thước từng tiết diện ngang của ky (Xem Hình 2-A/2.2) phải được xác định theo các công thức ở từ (1) đến (4) sau đây. Mô men uốn và lực cắt phát sinh ở ky tính theo lực tác dụng lên bánh lái lấy theo quy định ở 25.2.
(1) Mô đun chống uốn Zz của tiết diện x lấy đối với trục thẳng đứng Z-Z phải không nhỏ hơn :

Trong đó:
M : Mô men uốn tại tiết diện x đang xét, xác định theo công thức sau :
M = Bx (Nm)
(Mmax = Bl, với I là khoảng cách (m) tính từ điểm giữa của gối đỡ trục đến điểm cố định ky sống đuôi, xem Hình 2-A/ 2.2)
B : Phản lực gối đỡ trục lái (N) lấy như ở 2-A/25.1.4-1.
x : Khoảng cách từ điểm giữa của gối đỡ trục đến tiết diện đang xét (m), xem Hình 2-A/2.2.
K: Hệ số vật liệu làm ky lấy theo qui định ở 2-A/25.1.1-2.

Hình 2-A/ 2.2 Ky sống đuôi
(2) Mô đun chống uốn Zy đối với trục nằm ngang Y-Y phải không nhỏ hơn :
Zy = 0,5 Zz (cm3)
Trong đó:
Zz: Được xác định như ở (1).
(3) Diện tích tiết diện tổng cộng As của các chi tiết theo hướng Y-Y phải không nhỏ hơn :

Trong đó:
B và K : Lấy như ở (1)
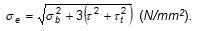
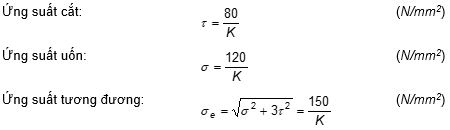
(4) Tại tiết diện bất kỳ trong phạm vi chiều dài l, ứng suất tương đương phải không lớn hơn 115/K (N/mm2). Ứng suất tương đương se, được tính theo công thức sau :

Ứng suất uốn và ứng suất cắt xuất hiện trên ky được xác định theo các công thức tương ứng sau :
| Ứng suất uốn : |
| (N/mm2) |
| Ứng suất cắt: |
| (N/mm2) |
Trong đó:
Zz, As, M, và B : Như qui định ở từ (1) đến (3).
2. Chiều dày của các tấm thép tạo thành phần chính của ky sống đuôi của sống đuôi dạng thép tấm phải không nhỏ hơn chiều dày của thép tấm tạo lên phần chính của trụ chân vịt. Các gân ngang của ky sống đuôi phải được bố trí ở dưới trụ chân vịt, dưới các tấm mã và ở các vị trí thích hợp khác.
2.2.4. Gót ky
Gót ky của sống đuôi phải có chiều dài ít nhất bằng 3 lần khoảng cách sườn ở vùng đó và phải được liên kết chắc chắn với tôn giữa đáy.
2.2.5. Giá bánh lái
1. Kích thước các tiết diện ngang tương ứng ở Hình 2-A/2.3 phải được xác định theo các công thức từ (1) đến (3) dưới đây. Mô men uốn, lực cắt và mô men xoắn phát sinh trên giá bánh lái được tính theo lực tác dụng lên bánh lái qui định ở 25.1.2.
(1) Mô đun chống uốn Zx của tiết diện đối với trục nằm ngang X-X phải không nhỏ hơn :

Trong đó:
M : Mô men uốn tại tiết diện đang xét tính theo công thức sau (xem Hình 2-A/23).
M = Bz (Mmax = B d) (Nm)
B : Phản lực gối đỡ (N) lấy như ở 25.1.4-1.
z : Khoảng cách từ điểm giữa của chiều dài gối đỡ đến tiết diện đang xét, lấy như ở Hình 2-A/2.3.
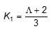
K : Hệ số vật liệu làm giá bánh lái lấy theo qui định ở 25.1.1-2.
(2) Diện tích tiết diện tổng cộng Ah của các chi tiết theo hướng Y-Y phải không nhỏ hơn :

Trong đó:
K : Hệ số vật liệu của vật liệu làm giá bánh lái, xác định theo 2-A/ 25.1.1-2.
(3) Tại bất kỳ tiết diện nào trong phạm vi chiều cao d, ứng suất tương đương phải không được lớn hơn 120/K (N/mm2).
Ứng suất tương đương se phải được xác định theo công thức sau :

Các ứng suất uốn, cắt và xoắn xuất hiện trên giá bánh lái phải được xác định tương ứng theo các công thức sau:
| Ứng suất uốn |
| (N/mm2) |
| Ứng suất cắt: |
| (N/mm2) |
| Ứng suất xoắn: |
| (N/mm2) |
Trong đó:
Th : Mô men xoắn tại tiết diện đang xét, tính theo công thức sau :
Th = Bc (z) (Xem Hình 2-A/ 2.3) (Nm )
At : Diện tích tiết diện ngang của giá bánh lái (mm2).
th : Chiều dày tôn giá bánh lái (mm).
M, Zx, B và K : Như qui định ở (1).
Ah : Như qui định ở (2).
2. Tính liên tục của kết cấu tại mối nối giữa giá bánh lái và thân tàu phải được quan tâm đặc biệt.
3. Nếu mối nối giữa giá bánh lái và cơ cấu thân tàu được lượn dần vào tôn bao thì khả năng chịu uốn của tôn giá bánh lái và ứng suất trong các mã gia cường ngang phải được quan tâm đặc biệt.
2.2.6. Liên kết của sống đuôi với đà ngang tấm
Sống đuôi phải được kéo từ trục chân vịt lên phía trên và hàn chắc chắn với đà ngang vòm đuôi có chiều dày không nhỏ hơn trị số tính theo công thức sau :
0,035L + 8,5 (mm)
2.2.7. Ổ đỡ chốt bánh lái
1. Chiều dài của thành ổ đỡ chốt bánh lái phải không nhỏ hơn chiều dài của bạc đỡ chốt bánh lái.
2. Chiều dày của thành ổ đỡ chốt bánh lái phải không nhỏ hơn 0,25 dpo. Tuy vậy, đối với các tàu được qui định ở 25.1.1-3, chiều dày của thành ổ đỡ chốt bánh lái phải được tăng thích đáng.
Trong đó:
dpo : Đường kính thực của chốt đo ở mặt ngoài của ống lót, mm.

Hình 2-A/2.3 Giá bánh lái
CHƯƠNG 3 ĐÁY ĐƠN
3.1. Qui định chung
1. Những yêu cầu của Chương này được áp dụng cho kết cấu của các tàu mà đáy đôi bị khuyết từng phần hoặc toàn bộ phù hợp với yêu cầu ở 4.1.1-2 hoặc -3.
2. Kết cấu đáy ở khoang mũi và khoang đuôi phải thỏa mãn những yêu cầu ở 7.2 và 7.3.
3.2. Sống chính
3.2.1. Bố trí và kích thước
Các tàu đáy đơn phải có sống chính gồm một bản thành và một bản mép. Sống chính phải được kéo càng dài về phía mũi tàu và đuôi tàu càng tốt.
3.2.2. Bản thành
1. Chiều dày bản thành (t) của sống chính phải không nhỏ hơn trị số tính theo công thức sau đây. Ra ngoài đoạn giữa tàu chiều dày đó có thể được giảm dần và ở các đoạn mũi tàu và đuôi tàu chiều dày đó có thể còn bằng 0,85 chiều dày ở đoạn giữa tàu.
t = 0,065 L+ 5,2 (mm)
2. Bản thành phải được đưa lên đến đỉnh của đà ngang đáy.
3.2.3. Bản mép
1. Chiều dày của bản mép nêu ở 3.2.1 phải không nhỏ hơn chiều dày yêu cầu của bản thành liên tục ở đoạn giữa tàu. Bản mép phải được kéo dài từ vách mũi đến vách đuôi.
2. Chiều rộng của bản mép (b) đặt lên bản thành phải không nhỏ hơn trị số tính theo công thức sau đây :
b = 16,6L - 200 (mm)
Ra ngoài đoạn giữa tàu chiều rộng đó có thể được giảm dần và ở các đoạn mũi tàu và đuôi tàu chiều rộng đó có thể còn bằng 0,8 chiều rộng yêu cầu tính theo công thức trên.
3.2.4. Sống chính trong buồng nồi hơi
Trong buồng nồi hơi chiều dày của các thành phần kết cấu của sống chính phải được tăng 1,5 mi-li-mét so với chiều dày yêu cầu ở 3.2.
3.3. Sống phụ
3.3.1. Bố trí
1. Trong vùng từ sống chính đến mép dưới của cung hông, các sống phụ phải được đặt sao cho khoảng cách của chúng không lớn hơn 2,15 mét.
2. Trong đoạn 0,4L giữa tàu, ở vùng giữa sống chính và sống phụ, giữa các sống phụ, giữa các sống phụ và mép dưới của cung hông, ít nhất phải có một hàng nẹp gia cường đáy có kích thước thích hợp.
3. Ở đoạn từ vách mũi đến 0,05L, sau đoạn đáy gia cường mũi tàu quy định ở 4.8.2, khoảng cách các sống phụ phải không lớn hơn 0,9 mét.
3.3.2. Kết cấu
Sống phụ phải gồm có một bản thành và một bản mép và phải được kéo càng dài về phía mũi tàu và đuôi tàu càng tốt.
3.3.3. Bản mép
Chiều dày của bản mép sống phụ (t) phải không nhỏ hơn chiều dày của bản thành sống phụ. Ở đoạn giữa tàu diện tích tiết diện bản mép phải không nhỏ hơn trị số tính theo công thức sau đây :
t = 0,454 L + 8,8 (cm2)
Ra ngoài đoạn giữa tàu diện tích tiết diện bản mép có thể được giảm dần và ở các đoạn mũi tàu và đuôi tàu diện tích đó có thể còn bằng 0,9 diện tích tiết diện bản mép ở đoạn giữa tàu.
3.3.4. Bản thành
1. Ở đoạn giữa tàu chiều dày của bản thành sống phụ (t) phải không nhỏ hơn trị số tính theo công thức sau đây :
t = 0,042L + 5,8 (mm)
Ra ngoài đoạn giữa tàu chiều dày đó có thể được giảm dần, và ở các đoạn mũi và đoạn đuôi tàu chiều dày đó có thể còn bằng 0,85 chiều dày ở đoạn giữa tàu.
2. Trong buồng máy chiều dày của bản thành phải không nhỏ hơn trị số yêu cầu ở 3.2.2-1 cho bản thành liên tục của sống chính.
3.3.5. Sống phụ trong buồng nồi hơi
Trong buồng nồi hơi chiều dày của bản mép và bản thành sống phụ phải được tăng 1,5 mi-li-mét so với các chiều dày quy định ở 3.3.3 và 3.3.4.
3.4. Đà ngang tấm
3.4.1. Bố trí và kích thước
1. Đà ngang tấm phải được đặt tại mỗi mặt sườn và phải có các kích thước không nhỏ hơn trị số tính theo các công thức sau đây, tuy nhiên chiều dày không cần lớn hơn 12 mi-li-mét:
| Chiều cao tiết diện ở đường tâm tàu : | 0,0625 l | (m) |
| Chiều dày: | 10 d0 + 4 | (mm) |
Trong đó:
l : Chiều dài nhịp giữa các đỉnh của các mã sườn đo ở giữa tàu cộng 0,3 mét. Nếu đà ngang cong thì chiều dài l phải được điều chỉnh hợp lý (m).
d0 : Chiều cao tiết diện đà ngang tấm ở tâm tàu (m).
2. Ra ngoài đoạn 0,5L giữa tàu, chiều dày của đà ngang tấm có thể còn bằng 0,90 trị số quy định ở -1. Ở phần phẳng của đáy mũi tàu không được thực hiện sự giảm này.
3. Đà ngang đáy ở dưới bệ máy và bệ ổ chặn phải có chiều cao tiết diện lớn. Chiều dày của các đà ngang đó phải không nhỏ hơn chiều dày của bản thành liên tục của sống chính. Các đà ngang đó phải được gia cường đặc biệt.
4. Ở dưới nồi hơi chiều dày của đà ngang đáy phải được tăng ít nhất là 2 mi-li-mét so với chiều dày của đà ngang đáy ở đoạn giữa tàu. Nếu khoảng cách từ nồi hơi đến đà ngang đáy nhỏ hơn 460 mi-li-mét, thì chiều dày của đà ngang đáy còn phải được tăng hơn nữa.
3.4.2. Chiều cao tiết diện đà ngang đáy
1. Ở bất cứ chỗ nào, cạnh trên của đà ngang đáy cũng phải không thấp hơn cạnh trên của nó ở đường tâm tàu.
2. Ở đoạn giữa tàu, chiều cao tiết diện đà ngang đáy đo ở vị trí cách cạnh trong của sườn một khoảng d0 xác định theo 3.4.1-1 dọc theo cạnh trên của các đà ngang đáy, phải không nhỏ hơn 0,5 d0 (xem Hình 2-A/3.1). Nếu có đặt mã sườn thì chiều cao tiết diện đà ngang đáy ở đỉnh trong của mã có thể bằng 0,5 d0.

Hình 2-A/3.1 Hình dạng của đà ngang đáy
3. Ở những tàu mà độ dốc của đà ngang đáy là quá lớn, chiều cao tiết diện đà ngang tấm ở tâm tàu phải được tăng thích đáng.
3.4.3. Đà ngang ở vùng đáy gia cường phía mũi tàu
Ở vùng đáy gia cường phía mũi tàu quy định ở 4.8.2, chiều cao tiết diện đà ngang đáy phải được tăng hoặc diện tích tiết diện bản mép của đà ngang đáy quy định ở 3.5.2 phải được tăng gấp đôi.
Nếu tàu có chiều chìm quá nhỏ trong điều kiện dằn và có vận tốc so với chiều dài của tàu (V /
) quá lớn thì đà ngang đáy ở vùng đáy gia cường mũi tàu phải được xem xét đặc biệt.
3.4.4. Mã sườn
Kích thước của mã sườn phải thỏa mãn những yêu cầu sau đây và cạnh tự do của mã sườn phải được gia cường.
(1) Mã phải được đưa lên đến chiều cao so với mặt tôn giữa đáy lớn hơn hai lần chiều cao tiết diện yêu cầu của đà ngang đáy ở tâm tàu.
(2) Chiều dài của cạnh mã đo từ cạnh ngoài của sườn đến đỉnh mã dọc theo cạnh trên của đà ngang đáy phải không nhỏ hơn chiều cao tiết diện yêu cầu của đà ngang đáy ở tâm tàu.
(3) Chiều dày của mã phải không nhỏ hơn chiều dày của đà ngang đáy yêu cầu ở 3.4.1.
3.4.5. Lỗ thoát nước
Ở đà ngang đáy, lỗ thoát nước phải được đặt ở mỗi bên của đường tâm tàu và nếu tàu có đáy bằng thì lỗ thoát nước còn phải được đặt ở cạnh dưới của cung hông.
3.4.6. Lỗ khoét giảm trọng lượng
Đà ngang đáy có thể có lỗ khoét để giảm trọng lượng. Khi đó độ bền phải được bù lại thỏa đáng bằng cách tăng chiều cao tiết diện đà ngang đáy hoặc bằng một biện pháp thích hợp khác.
3.4.7. Đà ngang tấm tạo thành một phần của vách
Đà ngang tấm tạo thành một phần của vách phải thỏa mãn các yêu cầu ở các Chương 11 và 12.
3.5. Bản mép trên của đà ngang đáy
3.5.1. Kết cấu
Nếu đà ngang đáy cong thì bản mép trên của nó phải đi liên tục từ cạnh trên của cung hông ở mạn này đến cạnh trên của cung hông ở mạn kia. Nếu đà ngang đáy có mã thì bản thành phải liên tục.
3.5.2. Kích thước
1. Chiều dày của bản mép trên của đà ngang đáy phải không nhỏ hơn chiều dày của bản thành của đà ngang đáy đó.
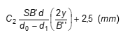
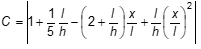
2. Chiều rộng của bản mép nói trên phải đủ để bảo đảm ổn định ngang và diện tích tiết diện bản mép (F) phải không nhỏ hơn trị số tính theo công thức sau đây :

Trong đó:
l : Chiều dài nhịp quy định ở 3.4.1-1 (m).
S : Khoảng cách các đà ngang đáy (m).
h = d hoặc 0,66D, lấy trị số nào lớn hơn (m).
d0 : Chiều cao tiết diện đà ngang tấm ở tâm tàu (m).
t : Chiều dày bản thành của đà ngang đáy (mm).
3. Ở dưới nồi hơi chiều dày bản mép phải được tăng 2 mi-li-mét so với chiều dày của bản mép có diện tích tiết diện tính theo công thức nói trên nhưng thay t bằng chiều dày bản thành đà ngang đáy ở đoạn giữa tàu quy định ở 3.4.1.
4. Ở dưới bộ máy chính và bệ nồi hơi không được thay thế bản mép bằng mép bẻ.
3.5.3. Đà ngang đáy ở dưới bệ máy chính, bệ nồi hơi và đà ngang đáy ở mũi tàu
1. Diện tích tiết diện bản mép của đà ngang đáy ở dưới bệ máy chính và bệ nồi hơi phải bằng hai lần diện tích tiết diện yêu cầu ở 3.5.2-2.
2. Kết cấu và kích thước đà ngang đáy ở đoạn đáy gia cường mũi tàu quy định ở 4.8.2 phải thỏa mãn các yêu cầu của 3.4.3.
CHƯƠNG 4 ĐÁY ĐÔI
4.1. Qui định chung
4.1.1. Phạm vi áp dụng
1. Về nguyên tắc tàu phải có đáy đôi từ vách chống va đến vách đuôi. Nói chung nên dùng hệ thống kết cấu dọc.
2. Với những tàu có tổng dung tích nhỏ hơn 500 hoặc những tàu không chạy tuyến quốc tế có chiều dài nhỏ hơn 100 mét hoặc những tàu mà vì những lý do riêng biệt của hình thức kết cấu, hình dạng thân tàu và mục đích khai thác.v.v..., được Đăng kiểm thừa nhận rằng không phải dùng kết cấu đáy đôi thì đáy đôi có thể khuyết từng phần hoặc toàn bộ.
3. Nếu được Đăng kiểm chấp thuận thì đáy đôi có thể khuyết ở những két có kích thước vừa phải và chuyên dùng để chứa chất lỏng.
4. Trong trường hợp kết cấu đặc biệt như có mạn nghiêng hoặc mạn kép mà phải có vách dọc hoặc đối với những vùng ngoài đoạn giữa tàu, kích thước các cơ cấu của đáy đôi có thể được xác định bằng phương pháp tính toán trực tiếp.
5. Kích thước của các cơ cấu của các két đáy đôi dùng làm két sâu phải thỏa mãn yêu cầu ở Chương 12. Tuy nhiên chiều dày của tôn đáy trên không cần phải tăng 1,0 mi-li-mét như qui định ở 12.2.7 cho tôn nóc của két sâu.
6. Những yêu cầu của Chương này được áp dụng cho trường hợp mà tỷ trọng biểu kiến g của hàng hóa trong khoang bằng và nhỏ hơn 0,9. Đối với trường hợp g lớn hơn 0,9, những khoang bị trống trong điều kiện tàu đủ tải, hoặc những tàu có két hông phải áp dụng các qui định ở Chương 29. Tuy nhiên tỷ trọng biểu kiến của hàng hóa phải được tính theo công thức sau đây :

Trong đó:
W : Khối lượng của hàng hóa chứa trong khoang (t).
V : Thể tích của khoang không kể miệng khoang (m3).
7. Khi khoang được dự định để chứa hàng nặng hoặc tỉ số trọng lượng hàng hóa trên một đơn vị diện tích (KN/m2) của tôn đáy trên chia cho d lớn hơn 5,4 thì kết cấu đáy đôi của khoang hàng phải được xem xét đặc biệt. Nếu trọng lượng hàng hóa trên một đơn vị diện tích được tính bằng đơn vị tính t/m2 thì khi chuyển sang đơn vị KN/m2 sẽ được nhân với hệ số 9,81.
4.1.2. Lỗ chui và lỗ giảm trọng
1. Các cơ cấu không kín nước phải có lỗ chui và lỗ giảm trọng để đảm bảo sự tiếp cận và thông gió, trừ những vùng có cột đặt thưa.
2. Số lượng lỗ chui ở tôn đáy trên phải là tối thiểu đủ để đảm bảo thông gió tự nhiên và dễ tiếp cận đến mọi chỗ trong đáy đôi. Phải thận trọng khi đặt những lỗ chui để tránh khả năng lưu thông của các phân khoang chống chìm qua đáy đôi.
3. Nắp cửa lỗ chui ở mặt tôn đáy trên phải được làm bằng thép và nếu trong khoang hàng không có gỗ lát thì nắp và các phụ tùng của nắp phải được bảo vệ tốt chống hàng hóa gây hư hại.
4. Lỗ thoát khí và lỗ tiêu nước phải được đặt ở mọi cơ cấu không kín nước ở kết cấu đáy đôi.
5. Vị trí và kích thước của lỗ chui và lỗ khoét giảm trọng phải được ghi trong bản vẽ để trình duyệt.
4.1.3. Tiêu nước
1. Phải có những trang bị hữu hiệu để tiêu nước trên mặt đáy trên.
2. Nếu đặt các hố tụ dùng cho mục đích nói trên thì các hố tụ, trừ hố tụ ở cuối hầm trục, phải cố gắng để chiều sâu của nó không được lớn hơn 0,5 chiều cao đáy đôi và đáy hố phải cách tôn bao đáy không nhỏ hơn 460 mi-li-mét.
Tuy nhiên, nếu két hông được Đăng kiểm chấp nhận dùng thay hố tụ thì có thể miễn áp dụng yêu cầu này.
4.1.4. Tấm chắn
Phải có tấm chắn đủ dày hoặc một chi tiết khác đặt ở dưới ống đo để thanh đo không làm hư hại tôn đáy.
4.1.5. Ngăn cách ly
Trong đáy đôi giữa các két dùng để chứa dầu và các két dùng để chứa nước ngọt như nước sinh hoạt, nước dùng cho nồi hơi, phải đặt các ngăn cách ly kín dầu để tránh tác hại do lẫn dầu sang nước ngọt.
4.1.6. Gia cường đáy dưới nồi hơi
Dưới nồi hơi chiều dày của kết cấu đáy đôi phải được tăng thích đáng.
4.1.7. Dưới chân cột, dưới chân của mã chân nẹp vách
Trong đáy đôi, dưới chân cột hoặc dưới chân của mã chân nẹp vách phải có biện pháp gia cường bằng các sống phụ bổ sung, các nửa sống phụ hoặc các đà ngang đáy.
4.1.8. Hố tụ
Không được đặt những hố tụ sử dụng ngoài mục đích tiêu nước khi không được Đăng kiểm chấp nhận.
4.1.9. Sự liên tục của độ bền
Ở những chỗ mà hệ thống kết cấu dọc chuyển sang hệ thống kết cấu ngang, những chỗ chiều cao đáy đôi thay đổi đột ngột phải đặc biệt thận trọng, để đảm bảo được sự liên tục của độ bền, có thể đặt những đoạn sống phụ hoặc những đà ngang đáy bổ sung.
4.1.10. Chiều dày tối thiểu
Chiều dày của các cơ cấu đáy đôi phải không nhỏ hơn 6 mi-li-mét.
4.2. Sống chính và sống phụ
4.2.1. Bố trí và kết cấu của sống
1. Sống chính phải được kéo càng dài về phía mũi và đuôi tàu càng tốt.
2. Tấm sống chính phải liên tục trong đoạn 0,5 L giữa tàu.
3. Ở những chỗ mà đáy đôi được dùng để chứa nước ngọt, nhiên liệu hoặc nước dằn sống chính phải kín nước.
4. Trong những két hẹp ở đoạn mũi và đuôi tàu hoặc ở những chỗ mà các sống dọc kín nước khác đã được đặt ở khoảng 0,25B tính từ tâm tàu, hoặc ở những chỗ được Đăng kiểm chấp nhận, yêu cầu ở -3 trên có thể được thay đổi thích hợp.
5. Ở đoạn 0,5L giữa tàu và về phía đuôi tàu các sống phụ phải được đặt sao cho khoảng cách từ sống chính đến sống phụ trong cùng, khoảng cách giữa các sống phụ, khoảng cách từ sống phụ ngoài cùng đến sống hông phải không lớn hơn 4,6 mét. Sống phụ phải được kéo càng dài về phía đuôi tàu càng tốt.
6. Ở đoạn đáy gia cường phía mũi tàu các sống phụ và nửa sống phụ phải được đặt như yêu cầu ở 4.8.3.
7. Ở dưới bệ máy chính và bệ ổ chặn đáy tàu phải được gia cường thích hợp bằng các sống phụ và nửa sống phụ bổ sung.
4.2.2. Chiều cao tiết diện sống chính
Chiều cao tiết diện sống chính phải không nhỏ hơn B/16 trừ trường hợp được Đăng kiểm chấp nhận đặc biệt.
4.2.3. Chiều dày tấm sống chính và tấm sống phụ
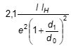
Chiều dày của tấm sống chính và tấm sống phụ phải không nhỏ hơn trị số tính theo các yêu cầu (1) và (2) sau đây, lấy trị số nào lớn hơn :
(1) Chiều dày của tấm sống phải được tính theo công thức sau đây tùy thuộc vào vị trí của sống trong khoang :

Trong đó:
S : Khoảng cách giữa các tâm của hai vùng kề cận với sống chính hoặc từ sống phụ đang xét đến các sống phụ kề cận hoặc đến đường đỉnh của mã hông (m).
d0 : Chiều cao tiết diện của sống chính hoặc sống phụ đang xét (m).
d1 : Chiều cao của lỗ khoét tại điểm đang xét (m).
lH : Chiều dài của khoang (m).
x : Khoảng cách theo chiều dọc từ trung điểm của lH của mỗi khoang đến điểm đang xét (m). Tuy nhiên, nếu x < 0,2lH thì lấy x = 0,2lH và nếu x ≥ 0,45lH thì lấy x = 0,45lH
y : Khoảng cách theo phương ngang từ tâm tàu đến sống dọc (m).
C1 :Hệ số cho theo các công thức sau đây. Tuy nhiên, nếu B/lH ³ 1,4 thì lấy B/lH = 1,4 và nếu B/lH < 0,4 thì lấy B/lH = 0,4.
Hệ thống kết cấu dọc: 
Hệ thống kết cấu ngang: 
(2) Chiều dày còn phải được tính theo công thức sau đây:
C1'd0 + 2,5 (mm)
Trong đó:
d0 : Chiều cao tiết diện sống tại điểm đang xét (m). Tuy nhiên, nếu có các nẹp nằm đặt theo chiều cao tiết diện sống thì d0 là khoảng cách từ nẹp nằm đến tôn bao đáy hoặc tôn đáy trên hoặc là khoảng cách giữa các nẹp nằm (m).
C1' : Hệ số tính theo Bảng 2-A/4.1 tùy thuộc vào tỉ số S1/d0. Với các trị số trung gian của S1/d0 thì C1' được tính theo phép nội suy tuyến tính.
S1: Khoảng cách các mã hoặc nẹp đặt ở sống chính hoặc sống phụ (m).
4.2.4. Mã
1. Nếu đáy đôi được kết cấu theo hệ thống dọc thì giữa các đà ngang đặc phải đặt những mã ngang cách nhau không quá 1,75 mét liên kết tấm sống chính với tôn đáy và với các dầm dọc đáy lân cận. Tuy nhiên, khi khoảng cách các mã đó lớn hơn 1,25 mét thì tấm sống chính phải được gắn nẹp bổ sung.
Bảng 2-A/4.1 Hệ số C1'
| S1/d0 | ≤0,3 | 0,4 | 0,5 | 0,6 | 0,7 | 0,8 | 0,9 | 1,0 | 1,2 | 1,4 | ≥ 1,6 | |
| C1' | Sống chính | 4,4 | 5,4 | 6,3 | 7,1 | 7,7 | 8,2 | 8,6 | 8,9 | 9,3 | 9,6 | 9,7 |
| Sống phụ | 3,6 | 4,4 | 5,1 | 5,8 | 6,3 | 6,7 | 7,0 | 7,3 | 7,6 | 7,9 | 8,0 | |
2. Chiều dày của mã nêu ở -1 phải không nhỏ hơn trị số tính theo công thức sau đây. Tuy nhiên, chiều dày đó không cần phải lớn hơn chiều dày của đà ngang đặc ở vùng đó :

3. Nẹp nêu ở -1 phải là thanh thép dẹt có chiều dày bằng chiều dày của tấm sống chính và chiều cao tiết diện không nhỏ hơn 0,08d0, trong đó d0 là chiều cao tiết diện sống chính tính bằng mét, hoặc tương đương như vậy.
4.2.5. Chiều dày của nửa sống phụ
Chiều dày của nửa sống phụ phải không nhỏ hơn trị số tính theo công thức cho ở 4.2.4-2.
4.2.6. Kích thước của nẹp đứng và thanh chống
1. Nếu đáy đôi được kết cấu theo hệ thống ngang thì nẹp đứng ở sống phụ phải được đặt ở mỗi đà ngang hở. Nếu đáy đôi kết cấu theo hệ thống dọc thì nẹp đứng ở sống phụ phải được đặt theo khoảng cách thích hợp, các thanh chống thẳng đứng phải được đặt ở các nửa sống phụ tại mỗi đà ngang hở.
2. Nẹp đứng nêu ở -1 là thanh thép dẹt có chiều dày bằng chiều dày tấm sống phụ, có chiều cao tiết diện không nhỏ hơn 0,08d0, trong đó d0 là chiều cao tiết diện của sống phụ đang xét (m) hoặc tương đương như vậy.
3. Diện tích tiết diện thanh chống thẳng đứng nêu ở -1 phải không nhỏ hơn trị số tương ứng yêu cầu ở 4.4.4.
4.3. Đà ngang đặc
4.3.1. Vị trí của đà ngang đặc
1. Đà ngang đặc phải được đặt cách nhau không xa quá 3,5 mét.
2. Thêm vào yêu cầu ở -1, đà ngang đặc còn phải được đặt ở những vị trí sau đây :
(1) Ở mỗi mặt sườn trong buồng máy chính. Tuy nhiên, nếu đáy đôi được kết cấu theo hệ thống dọc thì ở ngoài vùng bệ máy, đà ngang đặc có thể được đặt ở mỗi mặt sườn thứ hai.
(2) Dưới bệ ổ chặn và bệ nồi hơi.
(3) Dưới các vách ngang.
(4) Trong vùng qui định ở 4.8.3 từ vách chống va đến cuối đoạn đáy gia cường mũi tàu qui định ở 4.8.2.
3. Đà ngang kín nước phải được đặt sao cho sự phân khoang của đáy đôi tương hợp với sự phân khoang của tàu.
4.3.2. Chiều dày của đà ngang đặc
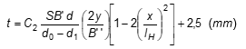
Chiều dày của đà ngang đặc phải không nhỏ hơn trị số tính theo các yêu cầu (1) và (2) sau đây, lấy trị số nào lớn hơn:
(1) Chiều dày phải được tính theo công thức sau đây phụ thuộc vào vị trí của đà ngang trong khoang :

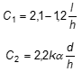
Trong đó :
B' : Khoảng cách giữa các đường đỉnh mã hông đo ở mặt tôn đáy trên ở đoạn giữa tàu (m).
B" : Khoảng cách các đường đỉnh mã hông đo ở mặt tôn đáy trên tại vị trí của đà ngang đặc (m).
S : Khoảng cách giữa các đà ngang đặc (m)
y : Khoảng cách theo phương ngang từ đường tâm tàu đến điểm đang xét (m).

d0 : Chiều cao tiết diện đà ngang đặc tại điểm đang xét (m).
d1 : Chiều cao của lỗ khoét tại điểm đang xét (m).
C2 :Hệ số lấy theo Bảng 2-A/4.2 tùy thuộc vào 
Bảng 2.A/4.2 Hệ số C2
|
| ≥ |
| 0,4 | 0,6 | 0,8 | 1,0 | 1,2 | ||
| < | 0,4 | 0,6 | 0,8 | 1,0 | 1,2 |
| |||
| C2 | Hệ thống kết cấu dọc | 0,029 | 0,027 | 0,024 | 0,022 | 0,019 | 0,017 | ||
| Hệ thống kết cấu ngang | Khi đà ngang đặc được đặt tại mỗi mặt sườn | ||||||||
| Các trường hợp còn lại | 0,020 | 0,019 | 0,017 | 0,015 | 0,013 | 0,012 | |||
lH : Chiều dài định nghĩa ở 4.2.3.
(2) Chiều dày còn phải được tính theo công thức sau đây phụ thuộc vào vị trí của đà ngang trong khoang :

Trong đó:
t1 : Chiều dày tính theo yêu cầu (1)
d0 : Chiều cao tiết diện định nghĩa ở (1).
C2' :Hệ số cho ở Bảng 2-A/4.3 tùy thuộc vào tỉ số của khoảng cách nẹp S1 (m) chia cho d0. Với các trị số trung gian của
được tính theo phép nội suy tuyến tính.
Bảng 2-A/4.3 Hệ số C2'
|
| ≤ 0,3 | 0,4 | 0,5 | 0,6 | 0,7 | 0,8 | 0,9 | 1,0 | 1,2 | ≥ 1,4 |
| Q | 64 | 38 | 25 | 19 | 15 | 12 | 10 | 9 | 8 | 7 |
H : Trị số tính theo công thức sau đây :
(a) Nếu ở đà ngang đặc có những lỗ nhỏ không được gia cường bồi thường thì H được tính theo công thức sau đây, tuy nhiên nếu
nhỏ hơn hoặc bằng 0,5 thì H được lấy bằng 1,0 :

Trong đó:
d1 : Chiều cao của lỗ nhỏ không có gia cường bồi thường đặt ở phần trên và phần dưới của đà ngang đặc, lấy trị số nào lớn hơn (m).
(b) Nếu ở đà ngang đặc có những lỗ khoét không có gia cường bồi thường thì H được tính theo công thức sau đây :

Trong đó:
f : Là đường kính lớn của lỗ khoét (m).
(c) Nếu ở đà ngang đặc các lỗ khoét và lỗ nhỏ không có gia cường bồi thường thì H tính bằng tích của các trị số cho ở (a) và (b).
(d) Trừ các trường hợp (a), (b) và (c), H được lấy bằng 1,0.
4.3.3. Nẹp đứng
1. Ở đà ngang tấm các nẹp đứng phải được đặt theo những khoảng cách thích hợp nếu đáy đôi được kết cấu theo hệ thống ngang và phải được đặt tại mỗi vị trí dầm dọc nếu đáy đôi được kết cấu theo hệ thống dọc.
2. Nẹp đứng qui định ở -1 phải là thanh thép dẹt có chiều dày bằng chiều dày đà ngang, có chiều cao tiết diện không nhỏ hơn 0,08 d0 trong đó d0 là chiều cao tiết diện đà ngang tại điểm đang xét (m) hoặc tương đương như vậy.
4.4. Dầm dọc
4.4.1. Kết cấu
Dầm dọc phải liên tục xuyên qua đà ngang hoặc phải liên kết với đà ngang bằng mã đủ để phát huy hết độ bền kéo và độ bền uốn.
4.4.2. Khoảng cách
1. Khoảng cách chuẩn của các dầm dọc được tính theo các công thức sau đây :
2L + 550 (mm)
2. Khoảng cách giữa các dầm dọc không nên lớn hơn 1,0 mét.
4.4.3. Dầm dọc
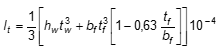
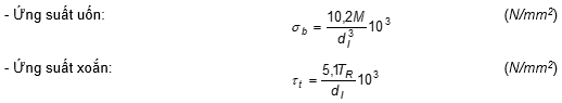
1. Mô đun chống uốn của tiết diện dầm dọc đáy dưới phải không nhỏ hơn trị số tính theo công thức sau đây :

Trong đó :
C : Hệ số được cho như sau :
1,0 : Nếu giữa khoảng cách của đà ngang đáy không đặt thanh chống như qui định ở 4.4.4.
Nếu giữa khoảng cách các đà ngang đáy có đặt thanh chống như qui định ở 4.4.4 thì bằng:
| 0,625 | : Ở phía dưới của két sâu. |
| 0,5 | : Ở các vùng khác |
Tuy nhiên, nếu chiều rộng các nẹp đứng ở đà ngang đáy và của các thanh chống là quá lớn thì hệ số C có thể được giảm thích đáng.
fB : Tỷ số giữa mô đun chống uốn của tiết diện ngang thân tàu yêu cầu ở Chương 13 và mô đun chống uốn thực của tiết diện ngang thân tàu lấy đối với đáy tàu.
L' : Lấy bằng chiều dài tàu (m). Tuy nhiên, nếu L > 230 mét thì lấy L' = 230 mét.
I : Khoảng cách giữa các đà ngang đặc (m).
S : Khoảng cách giữa các dầm dọc (m).
2. Mô đun chống uốn của tiết diện dầm dọc đáy trên phải không nhỏ hơn trị số tính theo công thức sau đây.Tuy nhiên, mô đun chống uốn của tiết diện dầm dọc đáy trên phải không nhỏ hơn 0,75 lần mô đun chống uốn qui định ở -1 cho vùng đó.

Trong đó:
C' : Hệ số được lấy như sau :
0,9 : Nếu ở khoảng giữa của các đà ngang đáy không có thanh chống qui định ở 4.4.4.
0,54 : Nếu ở khoảng giữa của các đà ngang đáy có thanh chống qui định ở 4.4.4.
Tuy nhiên, nếu chiều rộng của các nẹp đứng ở đà ngang đáy và của các thanh chống là quá lớn thì hệ số C' có thể được giảm thích đáng.
fB, l và S : Như quy định ở -1
h : Khoảng cách thẳng đứng từ mặt tôn đáy trên đến boong thấp nhất đo ở đường tâm tàu (m). Tuy nhiên, nếu hàng hóa được xếp cao hơn boong thấp nhất thì h phải được đo từ mặt tôn đáy trên đến boong ở ngay phía trên lớp hàng hóa, đo ở đường tâm tàu.
4.4.4. Thanh chống thẳng đứng
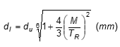
1. Thanh chống thẳng đứng nên có tiết diện quán tính đều, không được làm bằng thép dẹt hoặc thép mỏ và phải được hàn đè chắc chắn vào bản thành của dầm dọc đáy dưới và dầm dọc đáy trên.
2. Diện tích tiết diện thanh chống thẳng đứng nói trên phải không nhỏ hơn trị số tính theo công thức sau đây :
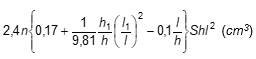
1,8 CSbh (cm2)
Trong đó:
S : Khoảng cách giữa các dầm dọc (m).
b : Chiều rộng của vùng mà thanh chống phải đỡ (m).
h : Chiều cao tính theo công thức sau đây :

Nhưng trong mọi trường hợp h không được nhỏ hơn d.
L' : Như qui định ở 4.4.3-1.
hi : Bằng 0,9 trị số h qui định ở 4.4.3-2 (m). Tuy nhiên, ở dưới két sâu h không được nhỏ hơn khoảng cách thẳng đứng từ mặt đáy trên đến trung điểm khoảng cách từ đỉnh ống tràn đến mặt đáy trên, hoặc không nhỏ hơn 0,7 khoảng cách thẳng đứng từ mặt đáy trên đến điểm ở 2,0 mét cao hơn đỉnh ống tràn, lấy trị số nào lớn hơn (m).
C : Hệ số tính theo công thức sau đây :

Nhưng trong mọi trường hợp C không được nhỏ hơn 1,43.
ls : Chiều dài của thanh chống (m).
k : Bán kính quán tính nhỏ nhất của tiết diện thanh chống (cm) tính theo công thức sau đây :

I : Mô men quán tính nhỏ nhất của tiết diện thanh chống (cm4).
A : Diện tích tiết diện thanh chống (cm2).
4.5. Tôn đáy trên, sống hông và tôn bao đáy
4.5.1. Chiều dày của tôn đáy trên
1. Chiều dày của tôn đáy trên phải không nhỏ hơn trị số tính theo các công thức sau đây, lấy trị số nào lớn hơn :
![]()

Trong đó:
d0 : Chiều cao tiết diện sống chính (m).
S : Khoảng cách giữa các dầm dọc đáy trên nếu là hệ thống kết cấu dọc hoặc khoảng cách các sườn nếu là hệ thống kết cấu ngang (m).
h : Như qui định ở 4.4.3-2.

lH : Như qui định ở 4.2.3.
b0 và b1 : Được cho ở Bảng 2-A/4.4 tùy thuộc trị số
. Tuy nhiên, trong hệ thống kết cấu ngang b1 phải bằng 1,1 lần trị số cho trong Bảng.
Bảng 2-A/4.4 Các hệ số b0 và b1
|
| ≥ |
| 0,4 | 0,6 | 0,8 | 1,0 | 1,2 | 1,4 | 1,6 |
|
| 0,4 | 0,6 | 0,8 | 1,0 | 1,2 | 1,4 | 1,6 |
| |
| b0 | 4,4 | 3,9 | 3,3 | 2,2 | 1,6 | - | - | - | |
| b1 | - | - | - | 2,2 | 2,1 | 1,9 | 1,7 | 1,4 | |
a : Được cho theo công thức sau đây : 
fB : Như qui định ở 4.4.3-1
C' : Hệ số tính theo công thức sau đây tùy thuộc vào tỷ số
:

l : Khoảng cách các đà ngang nếu là hệ thống kết cấu dọc, hoặc khoảng cách các sống đáy nếu là hệ thống kết cấu ngang (m).
2. Khi hàng hóa có tỉ trọng rất nhỏ thì chiều dày tôn đáy trên có thể được thay đổi thích đáng.
3. Ở dưới miệng khoang nếu đáy trên không được lát gỗ thì chiều dày tôn đáy trên, trừ trường hợp qui định ở -4, phải được tăng 2 mi-li-mét so với trị số tính theo công thức thứ hai của -1, hoặc theo 4.1.1-5, lấy trị số nào lớn hơn.
4. Ở những tàu mà hàng hóa thường xuyên được bốc xếp bằng gầu ngoạm hoặc bằng một phương tiện cơ giới tương tự, chiều dày của tôn đáy trên phải được tăng 2,5 mi-li-mét so với trị số qui định ở -1 hoặc ở 4.1.1-5, lấy trị số nào lớn hơn, trừ trường hợp tôn đáy trên được lát gỗ.
5. Trong buồng máy chính chiều dày của tôn đáy trên phải được tăng 2 mi- li-mét so với trị số qui định ở -1 hoặc ở 4.1.1-5, lấy trị số nào lớn hơn.
4.5.2. Giao tuyến của sống hông với tôn bao
Giao tuyến của sống hông với tôn bao nên ở độ cao đủ để đáy đôi bảo vệ được đáy cho đến cung hông của tôn bao. Ở đoạn 0,2L tính từ sống mũi, sống hông nên nằm ngang ra đến mạn tàu.
4.5.3. Chiều dày của sống hông
Chiều dày của sống hông phải được tăng 1,5 mi-li-mét so với trị số tính theo công thức thứ hai của 4.5.1-1. Tuy nhiên, chiều dày của sống hông phải không nhỏ hơn chiều dày của tôn đáy trên tại vùng đó.
4.5.4. Chiều rộng của sống hông
Sống hông phải có đủ chiều rộng và phải phủ sâu vào phần phía trong tàu tính từ đường chân của mã hông.
4.5.5. Mã
1. Nếu đáy kết cấu theo hệ thống dọc thì mã ngang phải được đặt ở mỗi mặt sườn, đi từ sống hông đến dầm dọc đáy dưới và dầm dọc đáy trên kề cận. Mã ngang phải được hàn với sống hông, với tôn bao và với dầm dọc đáy.
2. Chiều dày của mã qui định ở -1 phải không nhỏ hơn trị số tính theo công thức ở 4.2.4-2.
4.5.6. Tôn bao đáy
Trong vùng khoang hàng, ở chỗ có đáy đôi, chiều dày của tôn bao đáy phải không nhỏ hơn trị số tính theo công thức ở 14.3.4 hoặc tính theo công thức thứ nhất của 4.5.1-1, lấy trị số nào lớn hơn. Tuy nhiên, khi áp dụng công thức ở 4.5.1-1 thì a được tính theo công thức sau đây :

Trong đó :
fB : Được qui định như ở 4.4.3-1.
4.6. Mã hông
4.6.1. Mã hông
1. Chiều dày của mã liên kết sườn khoang với sống hông phải được tăng 1,5 mi-li-mét so với trị số tính theo công thức ở 4.2.4-2.
2. Cạnh tự do của mã phải được gia cường thích đáng.
3. Nếu do hình dạng của tàu mà mã hông quá dài thì phải đặt thanh thép góc bổ sung dọc trên cạnh các mã hoặc phải dùng biện pháp thích hợp khác.
4.6.2. Tấm ốp góc
1. Mã hông và sống hông phải được liên kết với nhau bằng tấm ốp góc có chiều dày bằng chiều dày sống hông.
2. Tùy theo biện pháp bố trí kết cấu có thể không cần đến tấm ốp góc.
4.7. Đà ngang hở
4.7.1. Bố trí
Nếu đáy đôi kết cấu theo hệ thống ngang thì ở khoảng giữa các đà ngang đặc tại mỗi mặt sườn phải đặt đà ngang hở theo yêu cầu ở 4.7.
4.7.2. Kích thước của dầm ngang đáy dưới và dầm ngang đáy trên
1. Mô đun chống uốn của tiết diện dầm ngang đáy dưới phải không nhỏ hơn trị số tính theo công thức sau đây :
CShl2 (cm3)
Trong đó:
l : Khoảng cách giữa các mã liên kết với sống chính và các mã liên kết với sống hông (m). Nếu đáy có sống phụ thì l là khoảng cách lớn nhất trong các khoảng cách từ nẹp đứng gia cường sống phụ đến mã (xem Hình 2-A/4.1).

Hình 2-A/4.1 Đà ngang hở
S : Khoảng cách giữa các dầm ngang đáy dưới (m)
h = d + 0,026 L'
L' : Như qui định ở 4.4.3-1.
C : Hệ số được cho như sau :
| 6,67 : | Nếu không có thanh chống thẳng đứng qui định ở 4.7.3. Nếu có thanh chống thẳng đứng qui định ở 4.7.3: 4,17 : Ở những khoang được sử dụng như két sâu và ở những khoang có thể bị trống khi tàu đủ tải. 3,33 : Ở những chỗ khác. |
|
|
2. Mô đun chống uốn của tiết diện dầm ngang đáy trên phải không nhỏ hơn trị số tính theo công thức sau đây:
C'Shl2 (m)
Trong đó:
l và S: Như qui định ở -1.
h : Như qui định ở 4.4.3-2.
C' :Hệ số được cho như sau :
6,0 : Nếu không có thanh chống thẳng đứng qui định ở 4.7.3.
3,6 : Nếu có thanh chống thẳng đứng qui định ở 4.7.3.
4.7.3. Tính chống thẳng đứng
1. Thanh chống thẳng đứng nên có tiết diện quán tính đều, không được làm bằng thép dẹt hoặc thép mỏ và phải được hàn để chắc chắn vào bản thành của dầm dọc đáy dưới và dầm dọc đáy trên.
2. Diện tích tiết diện thanh chống thẳng đứng qui định ở -1 phải thỏa mãn yêu cầu ở 4.4.4.
4.7.4. Mã
1. Dầm ngang đáy trên và dầm ngang đáy dưới phải được liên kết với sống chính và sống hông bằng mã có chiều dày không nhỏ hơn chiều dày tính theo công thức cho ở 4.2.4-2.
2. Chiều rộng của mã qui định ở -1 phải không nhỏ hơn 0,05B. Mã phải được hàn đè chắc chắn lên dầm ngang đáy trên và dầm ngang đáy dưới. Cạnh tự do của mã phải được gia cường thích đáng.
4.8. Kết cấu và gia cường đáy phía mũi tàu
4.8.1. Áp dụng
1. Ở những tàu có chiều chìm mũi trong điều kiện dằn nhỏ hơn 0,037 L’, kết cấu của đoạn đáy gia cường phía mũi tàu phải thỏa mãn các yêu cầu ở 4.8, trong đó L' lấy như được qui định ở 4.4.3-1.
2. Ở những tàu có chiều chìm mũi trong điều kiện dằn quá nhỏ và có vận tốc so với chiều dài tàu (V /
, trong đó V là vận tốc của tàu tính bằng hải lí/giờ) quá lớn, phải đặc biệt quan tâm đến kết cấu của đoạn đáy gia cường phía mũi tàu.
3. Ở những tàu có chiều chìm mũi trong điều kiện dằn không nhỏ hơn 0,037 L' thì kết cấu của đoạn đáy gia cường phía mũi tàu có thể theo qui định ở 4.2.4.3 và 4.4.
4.8.2. Đoạn đáy gia cường phía mũi tàu
1. Phần đáy phẳng ở mũi tàu từ vị trí qui định Bảng 2-A/4.5 được gọi là đoạn đáy gia cường phía mũi tàu.
2. Mặc dù những qui định ở -1, trong trường hợp tàu có Cb quá nhỏ, tàu có chiều chìm trong điều kiện dằn quá nhỏ, v.v.... phạm vi của đoạn đáy gia cường phía mũi tàu phải được kéo dài thêm theo yêu cầu của Đăng kiểm.
4.8.3. Kết cấu
1. Từ vách chống va đến 0,05L sau mút cuối của đoạn đáy gia cường phía mũi tàu các sống phụ phải được đặt cách nhau không xa quá 2,3 mét. Trong hệ thống kết cấu ngang, từ vách chống va đến 0,025L sau mút cuối của đoạn đáy gia cường phía mũi tàu, giữa các sống phụ phải đặt những nửa sống phụ hoặc nhũng nẹp dọc tôn bao đáy.
Bảng 2-A/4.5 Mút cuối của đoạn đáy gia cường mũi tàu

2. Trong đoạn từ vách chống va đến mút cuối của đoạn đáy gia cường mũi tàu, đà ngang đặc phải được đặt ở mỗi mặt sườn nếu đáy kết cấu theo hệ thống ngang và phải được đặt xa nhau nhất là ở mặt sườn thứ hai nếu đáy kết cấu theo hệ thống dọc.
3. Đà ngang đặc phải được gia cường bằng những nẹp đứng đặt trong mặt phẳng của nửa sống phụ hoặc của nẹp dọc tôn bao đáy. Nếu các nẹp dọc tôn bao đáy được đặt khá gần nhau và đà ngang đặc đã được gia cường đầy đủ thì nẹp đứng gia cường đà ngang đặc có thể được đặt trong mặt phẳng của mỗi chiếc nẹp thứ hai của tôn bao đáy.
4. Ở những tàu trong điều kiện dằn có chiều chìm mũi lớn hơn 0,025 L' nhưng nhỏ hơn 0,037L’ nếu kết cấu và bố trí của đoạn đáy gia cường mũi tàu không thể thỏa mãn được các yêu cầu trên thì đà ngang và sống phụ phải được bồi thường thích đáng.
4.8.4. Kích thước của nẹp dọc tôn bao hoặc dầm dọc đáy
1. Ở những tàu trong điều kiện dằn có chiều chìm mũi không lớn hơn 0,025L’ mô đun chống uốn của tiết diện nẹp dọc tôn bao hoặc dầm dọc đáy ở đoạn đáy gia cường mũi tàu phải không nhỏ hơn trị số tính theo công thức sau đây:
0,53pll2 (cm3)
Trong đó :
l : Khoảng cách giữa các đà ngang đặc (m)
l = 0,774 l, tuy nhiên, nếu khoảng cách các nẹp dọc tôn bao hoặc dầm dọc đáy không lớn hơn 0,774 thì l được lấy bằng khoảng cách đó (m).
p : Áp suất va đập của sóng (kPa) tính theo công thức sau đây :

Trong đó:
C1: Hệ số cho ở Bảng 2-A/4.6, với trị số trung gian của
thì C1 được tính theo phép nội suy tuyến tính. V là vận tốc của tàu tính bằng tính bằng hải lí/giờ.
Bảng 2-A/4.6 Trị số của C1
|
| ≤ 1,0 | 1,1 | 1,2 | 1,3 | 1,4 | ≥ 1,5 |
| C1 | 0,12 | 0,18 | 0,23 | 0,26 | 0,28 | 0,29 |
C2: Hệ số tính theo công thức sau đây :

b : Khoảng cách nằm ngang từ đường tâm tàu đến giao điểm của tôn bao với đường nằm ngang ở độ cao 0,0025L phía trên của tôn giữa đáy, đo ở mặt sườn 0,2L tính từ sống mũi (m) (xem Hình 2-A/4.2).

Hình 2-A/4.2 Cách đo b
2. Ở những tàu trong điều kiện dằn có chiều chìm lớn hơn 0,025 L' nhưng nhỏ hơn 0,037L', mô đun chống uốn của tiết diện nẹp dọc tôn bao hoặc dầm dọc đáy ở đoạn đáy gia cường mũi tàu phải được tính theo phép nội suy tuyến tính từ các trị số tính theo yêu cầu ở -1 và 4.4.
CHƯƠNG 5 SƯỜN
5.1. Qui định chung
5.1.1. Phạm vi áp dụng
Những yêu cầu của Chương này được áp dụng cho các tàu có độ bền ngang và độ cứng ngang tạo bởi các vách ngang không kém hiệu quả so với những vách ngang qui định ở Chương 11. Nếu độ bền ngang và độ cứng ngang tạo bởi những vách kém hiệu quả hơn thì phải có những biện pháp gia cường bổ sung bằng cách tăng kích thước của sườn hoặc đặt thêm những sườn khỏe,v.v...
5.1.2. Sườn trong vùng két sâu
Độ bền của sườn trong vùng két sâu phải không nhỏ hơn so với yêu cầu đối với nẹp vách két sâu.
5.1.3. Độ kín của nóc két
Sườn không được xuyên qua nóc két nước hoặc nóc két dầu trừ khi có biện pháp kín nước hoặc kín dầu hữu hiệu được trình duyệt.
5.1.4. Tăng kích thước do có lỗ khoét
Nếu có những lỗ khoét lớn ở bản thành của sườn thì kích thước của sườn phải được tăng thích đáng.
5.1.5. Liên kết chân sườn
Phải đặc biệt quan tâm đến tình trạng tập trung ứng suất ở kết cấu chân sườn.
5.1.6. Sườn trong vùng nồi hơi và sườn trong vùng gối đỡ trục chân vịt
1. Trong buồng nồi hơi kích thước của sườn, sườn khỏe và sống dọc mạn,v.v..., phải được tăng thích đáng.
2. Kết cấu và kích thước của sườn trong vùng gối đỡ trục chân vịt phải được Đăng kiểm xét duyệt đặc biệt.
5.1.7. Sườn và sống dọc mạn tạo với tôn bao một góc quá nhỏ
Nếu góc giữa bản thành của sống dọc mạn hoặc sườn và tôn bao quá nhỏ thì kích thước của sườn và của sống dọc mạn phải được tăng thích đáng so với yêu cầu bình thường và nếu cần thì phải tạo đế để chống vặn.
5.1.8. Sườn ở vị trí mạn loe rộng đặc biệt
Sườn thường, dầm dọc mạn và sườn khỏe đỡ các dầm dọc mạn, đặt ở vùng mũi loe rộng, chịu áp lực sóng va đập mạnh phải được tăng cường thích đáng và phải được liên kết chắc chắn.
5.2. Khoảng cách sườn
5.2.1. Khoảng cách sườn
1. Khoảng cách chuẩn của các sườn được tính theo công thức sau đây :
2L + 450 (mm)
2. Trong các khoang mũi, khoang đuôi và ở bầu đuôi khoảng cách sườn phải không lớn hơn 610 mi-li-mét.
3. Ở đoạn từ 0,2L tính từ mũi tàu đến vách chống va, khoảng cách sườn phải không lớn hơn 700 mi-li-mét hoặc khoảng cách chuẩn qui định ở -1, lấy trị số nào nhỏ hơn.
4. Các yêu cầu ở -2 và -3 có thể được thay đổi nếu vị trí hoặc kích thước của sườn được quan tâm thích đáng.
5.2.2. Khoảng cách dầm dọc mạn
Khoảng cách chuẩn của các dầm dọc mạn được tính theo công thức sau đây :
2L + 550 (mm)
5.2.3. Trường hợp khoảng cách sườn lớn hơn khoảng cách chuẩn
Nếu khoảng cách sườn sai khác 250 mi-li-mét trở lên so với khoảng cách chuẩn qui định ở 5.2.1 và 5.2.2 thì kích thước và kết cấu của đáy đôi và của các kết cấu liên quan khác phải được xem xét đặc biệt.
5.2.4. Khoảng cách sườn tối đa
Khoảng cách sườn không nên lớn hơn 1,0 mét.
5.3. Sườn khoang
5.3.1. Áp dụng
1. Sườn khoang là sườn ở dưới boong thấp nhất từ vách chống va đến vách đuôi kể cả trong buồng máy.
2. Những qui định từ 5.3.2 đến 5.3.4 được áp dụng cho sườn khoang của những tàu có kết cấu thông thường.
3. Đối với những tàu có két hông hoặc những tàu có kết cấu đặc biệt như có mạn kép, sườn khoang phải được Đăng kiểm xem xét.
4. Nếu tỷ trọng của hàng hóa trong khoang định nghĩa ở 4.1.1-6 lớn hơn 0,9 thì kích thước của sườn khoang phải được xem xét đặc biệt.
5.3.2. Kích thước của sườn khoang
1. Ở đoạn từ vách đuôi đến 0,15L kể từ mũi tàu, mô đun chống uốn của tiết diện sườn khoang phải không nhỏ hơn trị số tính theo công thức sau đây :
C0 C S h l2 (cm3)
Trong đó:
S : Khoảng cách sườn (m).
I : Khoảng cách thẳng đứng từ mặt đáy trên ở mạn đến mặt xà boong ở đỉnh sườn (m). Với những sườn ở phía sau của 0,25L kể từ mũi tàu thì l được đo ở mặt sườn giữa. Với những sườn ở từ 0,25L đến 1,5L tính từ mũi tàu thì I được đo ở 0,25L tính từ mũi tàu.
Với những sườn ở mạn có độ loe lớn thì I là chiều dài tự do của sườn.
Nếu chiều dài của sườn sai khác nhiều so với chiều dài đo được ở các vị trí nói trên vì boong thấp nhất bị gián đoạn hoặc vì chiều cao đáy đôi thay đổi đột ngột, thì những đường kéo dài từ boong thấp nhất hoặc từ đỉnh đáy đôi tương ứng song song với boong trên hoặc với tôn giữa đáy phải được lấy là boong thấp nhất hoặc đỉnh đáy đôi và I phải được đo ở vị trí tương ứng (xem Hình 2- A/5.1 và 2-A/ 5.2 (a) và (b)).
h : Khoảng cách thẳng đứng từ mút dưới của l tại vị trí cần đo đến điểm ở d + 0,038L' phía trên của tôn giữa đáy (xem Hình 2-A/5.2 (a) và (b)).
L': Chiều dài tàu (m). Tuy nhiên nếu L > 230 mét thì lấy L’ = 230 mét.
C0 : Hệ số tính theo công thức sau đây nhưng phải không nhỏ hơn 0,85

e : Chiều cao của mã hông đo từ mút dưới của l (m).
C : Hệ số tính theo công thức sau đây :
C1 + C2
(1) Ở hệ thống kết cấu thông thường không có két đỉnh mạn :

a : Hệ số cho ở Bảng 2-A/5.1. Với các trị số trung gian của
thì a được tính theo phép nội suy tuyến tính.
lH : Chiều dài của khoang (m).
Bảng 2-A/5.1 Hệ số a
|
| ≤ 0,5 | 0,6 | 0,8 | 1,0 | 1,2 | ≥ 1,4 |
| a | 0,023 | 0,018 | 0,010 | 0,006 | 0,0034 | 0,002 |
k : Hệ số được cho dưới đây tùy thuộc vào số lượng tầng boong :
13 (Cho hệ một boong)
21 (Cho hệ hai boong)
50 (Cho hệ ba boong)
Tùy thuộc vào hệ boong, trị số k phải được tăng thích đáng nếu B/l lớn hơn trị số sau đây :
2,8 (Cho hệ một boong)
4,2 (Cho hệ hai boong)
5,0 (cho hệ ba boong )
(2) Với hệ thống kết cấu có két đỉnh mạn :

a : Như qui định ở (1).
Nếu
lớn hơn 4,0 thì C2 phải được tăng thích đáng.
2. Ở đoạn từ vách chống va đến 0,15 L tính từ mũi tàu mô đun chống uốn của tiết diện sườn khoang phải không nhỏ hơn trị số tính theo công thức sau đây :
C0CShl2 (cm3)
Trong đó:
l : Như qui định ở -1 nhưng được đo ở 0,15L tính từ mũi tàu.
S, h và C0 : Như qui định ở -1.
C : Hệ số bằng 1,3 lần trị số qui định ở -1.
3. Với những sườn nằm phía dưới xà ngang khỏe đỡ xà dọc boong, mô đun chống uốn của tiết diện phải được tính theo -1 và -2 nhưng phải không nhỏ hơn trị số tính theo công thức sau đây :

Trong đó:
n : Tỷ số giữa khoảng cách xà ngang khỏe và khoảng sườn.
h1 : Tải trọng boong qui định ở 8.2 cho xà boong ở đỉnh sườn (kN/m2).
I1 : Tổng chiều dài của xà ngang khỏe (m) (Xem Hình 2-A/5.2 (a)).
S1, l và h : Như qui định ở -1 và -2.
4. (1) Nếu tỷ số giữa chiều cao tiết diện sườn và chiều dài đo từ boong ở đỉnh sườn đến đỉnh của mã dưới nhỏ hơn 1/24 (Cho trường hợp sườn nêu ở -1 ) và nhỏ hơn 1/22 (cho trường hợp của sườn nêu ở -2 ) thì kích thước của các sườn đó phải được tăng thích đáng.
(2) Nếu chiều cao tiết diện sống chính của đáy đôi nhỏ hơn B/16 thì kích thước của sườn đó phải được tăng thích đáng.
5. Nếu boong ở đỉnh sườn có miệng khoét dài hoặc có nhiều dãy miệng khoét thì kích thước của sườn khoang và kết cấu đỉnh của nó phải được xem xét đặc biệt.
5.3.3. Sườn khoang được đỡ bởi khung khỏe và sống dọc mạn
1. Nếu sườn khoang được đỡ bởi sườn khỏe và sống dọc mạn qui định ở Chương 6 thì mô đun chống uốn của tiết diện của nó phải không nhỏ hơn trị số tính theo công thức sau đây:
(1) Với những sườn ở đoạn từ vách đuôi đến 0,15 L kể từ mũi tàu :
2,1CShl2 (cm3)
(2) Với những sườn ở đoạn từ vách chống va đến 0,15 L kể từ mũi tàu :
3,2CShl2 (cm3)
Trong đó :
h : Như qui định ở 5.3.2-1.
l : Khoảng cách thẳng đứng từ mặt đáy trên ở mạn đến sống dọc mạn thấp nhất (m) đo ở vị trí đo I qui định ở 5.3.2-1 hoặc 5.3.2-2. Nếu khoảng cách đó nhỏ hơn 2 mét thì l được lấy bằng 1 mét cộng 0,5 khoảng cách đó ( Xem Hình 2-A/5.1 và 2A/5.2 (c)).
C : Tính theo công thức sau đây, nhưng được lấy bằng 1,0 nếu nó nhỏ hơn 1,0 :

Trong đó:
l2 : Khoảng cách thẳng đứng ở mạn từ sống dọc mạn thấp nhất đến sống dọc mạn ở ngay phía trên hoặc đến boong (m) (Xem Hình 2-A/5.2 (c)).
a1 và a2 : Được cho ở Bảng 2-A/5.2.
e : Chiều cao của mã dưới đo từ mút dưới của l, tuy nhiên nếu chiều cao đó lớn hơn 0,25l thì lấy e = 0,25l (m) (Xem Hình 2-A/5.2 (c)).
C4 : Hệ số tính theo công thức sau đây nhưng nếu C4 nhỏ hơn 1,0 thì lấy C4 = 1,0 và nếu
C4 lớn hơn 2,2 thì lấy C4 = 2,2.

H0 :Khoảng cách thẳng đứng từ mặt đáy trên ở mạn đến boong thấp nhất (m) (Xem Hình 2-A/5.2 (c)).
H : Khoảng cách thẳng đứng từ mút dưới của H0 đến boong mạn khô ở mạn (m) (Xem Hình 2-A/5.2(c)).
Bảng 2-A/5.2 Các trị số của a1 và a2
| Số lượng sống dọc mạn ở dưới boong thấp nhất | a1 | a2 |
| 1 | 0,75 | 2,0 |
| 2 | 0,90 | 1,8 |
| ≥ 3 | 1,25 | 1,3 |
2. Nếu hiệu của hai nhịp tự do kề nhau của sườn lớn hơn 25% hoặc hiệu của nhịp tự do dài nhất và nhịp tự do ngắn nhất lớn hơn 50% thì kích thước của sườn qui định ở -1 phải được xem xét đặc biệt. Nhịp tự do phải được đo theo phương thẳng đứng từ mút sườn đến sống mạn lân cận hoặc giữa hai sống mạn lân cận nhau.
3. Nếu chiều cao của mã chân sườn nhỏ hơn 0,05 I (l qui định ở -1) thì kích thước của sườn khoang và kết cấu chân của nó phải được xem xét đặc biệt.
5.3.4. Liên kết của sườn khoang
1. Sườn khoang phải đè lên mã hông một đoạn ít nhất bằng 1,5 chiều cao tiết diện sườn và phải được liên kết chắc chắn với mã hông.

Với các sườn từ A đến B : l được đo ở ![]()
Với các sườn từ B đến C : l được đo ở B
Với các sườn từ C đến D : l được đo ở C
Hình 2-A/5.1 Các vị trí đo l của sườn khoang
2. Đỉnh của sườn khoang phải được liên kết chắc chắn với boong và xà ngang boong bằng mã. Nếu boong ở đỉnh sườn được kết cấu theo hệ thống dọc thì mã đỉnh sườn phải đi ra đến xà dọc boong kề cận với sườn và được liên kết với xà dọc đó.
|
(a) Hệ thống kết cấu thông thường không có két đỉnh mạn |
(a) Hệ thống kết cấu có két đỉnh mạn |
|
| (c) Hệ thống sườn khỏe và sống dọc mạn |
| Chú thích: e phải không lớn hơn 0,25l. Nếu l nhỏ hơn 2 mét thì l phải được lấy bằng 1 mét cộng 0,5 chiều dài nhịp thực. |
Hình 2-A/5.2 l, h, H, v.v..., đối với sườn khoang
5.4. Dầm dọc mạn và sườn khỏe
5.4.1. Dầm dọc mạn
1. Mô đun chống uốn của tiết diện dầm dọc mạn ở đoạn giữa tàu dưới boong mạn khô phải không nhỏ hơn trị số tính theo các công thức sau đây, lấy trị số nào lớn hơn :

Trong đó:
S : Khoảng cách giữa các dầm dọc (m).
I : Khoảng cách giữa các sườn khỏe, hoặc từ vách ngang đến sườn khỏe, kể cả chiều dài của liên kết (m).
h : Khoảng cách thẳng đứng từ dầm dọc mạn đang xét đến điểm ở d + 0,038 L' cao hơn mặt tôn giữa đáy (m).
L' : Chiều dài của tàu. Tuy nhiên, nếu L > 230 mét thì lấy L’= 230 mét.
C : Hệ số tính theo các công thức sau đây:

Trong đó:

y : Khoảng cách thẳng đứng từ mặt tôn giữa đáy đến dầm dọc mạn đang xét (m).
fB : Tỷ số mô đun chống uốn của tiết diện thân tàu yêu cầu ở Chương 13 chia cho mô đun chống uốn thực của tiết diện thân tàu lấy với đáy tàu. Tuy nhiên, nếu fB nhỏ hơn 0,85 thì lấy fB = 0,85.
2. Ra ngoài đoạn giữa tàu, mô đun chống uốn của tiết diện dầm dọc mạn có thể giảm dần về phía mũi và đuôi tàu, và ở mũi và đuôi tàu có thể còn bằng 0,85 trị số tính theo -1. Tuy nhiên, ở đoạn từ vách chống va đến 0,15L, kể từ mũi tàu mô đun chống uốn của tiết diện dầm dọc mạn phải không nhỏ hơn trị số tính theo công thức cho ở -1.
3. Chiều cao tiết diện của thanh thép dẹt dùng làm dầm dọc mạn phải không lớn hơn 15 lần chiều dày của nó.
4. Ở đoạn giữa tàu dầm dọc mạn đặt ở dải tôn mép mạn phải cố gắng để có độ mảnh không lớn hơn 60.
5. Mô đun chống uốn của tiết diện dầm dọc hông không cần phải lớn hơn mô đun chống uốn của tiết diện dầm dọc đáy.
6. Dầm dọc mạn phải đi liên tục qua vách ngang hoặc phải được liên kết với vách ngang bằng mã bảo đảm đủ vững chắc và đảm bảo sự liên tục về độ bền dọc.
5.4.2. Sườn khỏe
Sườn khỏe đỡ dầm dọc mạn phải thỏa mãn các yêu cầu từ (1) đến (3):
(1) Sườn khỏe phải được đặt ở các mặt sườn có đà ngang đặc.
(2) Kích thước của sườn khỏe phải không nhỏ hơn trị số tính theo các công thức sau đây :
| Chiều cao tiết diện: | 0,1l (m) hoặc 2,5 chiều cao của lỗ khoét để dầm dọc xuyên qua, lấy trị số nào lớn hơn. |
| Mô đun chống uốn của tiết diện: | C1Shl2 (cm3) |
| Chiều dày bản thành: | t1 hoặc t2, lấy trị số nào lớn hơn. |

Trong đó:
S : Khoảng cách giữa các sườn khỏe (m).
l : Chiều dài tự do của sườn khỏe (m).
d0 : Chiều cao tiết diện sườn khỏe (m). Tuy nhiên, trong tính toán t1, chiều cao của lỗ khoét để dầm dọc mạn xuyên qua, nếu có phải được trừ đi khỏi chiều cao tiết diện bản thành. Nếu chiều cao tiết diện bản thành bị phân chia bởi các nẹp nằm thì trong tính toán t2, d0 được lấy bằng chiều cao được phân chia của tiết diện bản thành.
h : Khoảng cách thẳng đứng từ mút dưới của l đến điểm ở d + 0,038 L' cao hơn mặt tôn giữa đáy (m). Tuy nhiên, nếu khoảng cách đó nhỏ hơn 1,43l thì h được lấy bằng 1,43 I (m).
L' : Như qui định ở 5.4.1-1.
C1 và C2: Các hệ số được cho ở Bảng 2-A/5.3.
k : Hệ số cho ở Bảng 2-A/5.4 phụ thuộc vào tỷ số giữa S1 và d0, trong đó S1 là khoảng cách các nẹp hoặc mã chống vặn đặt ở bản thành (m). Với các trị số trung gian của
thì k được tính theo phép nội suy tuyến tính.
Bảng 2-A/5.3 Các hệ số C1 và C2
|
| Sườn khỏe ở phía sau của 0,15L tính từ mũi tàu | Sườn khỏe ở từ vách chống va đến 0,15L tính từ mũi tàu |
| C1 |
|
|
| C2 |
|
|
(3) Sườn khỏe phải được gắn những mã chống vặn đặt cách nhau khoảng 3 mét. Nếu chiều rộng của bản mép ở mỗi bên của bản thành lớn hơn 180 mi-li-mét thì mã chống vặn phải đỡ cả bản mép. Nẹp gia cường phải được đặt ở bản thành trong mặt phẳng của mỗi dầm dọc mạn. Tuy nhiên ở đoạn giữa của nhịp sườn khỏe, nẹp gia cường có thể được đặt trong mặt phẳng của mỗi chiếc dầm dọc thứ hai. Bản thành của dầm dọc mạn và bản thành của sườn khỏe phải được liên kết với nhau.
Bảng 2-A/5.4 Hệ số k
|
| ≤ 0,3 | 0,4 | 0,5 | 0,6 | 0,7 | 0,8 | 0,9 | 1,0 | 1,5 | ≥ 2,0 |
| k | 60,0 | 40,0 | 26,8 | 20,0 | 16,4 | 14,4 | 13,0 | 12,3 | 11,1 | 10,2 |
5.5. Hệ thống xà công xon
5.5.1. Xà ngang công xon
Xà ngang công xon phải thỏa mãn các yêu cầu từ (1) đến (7) :
(1) Chiều cao tiết diện xà ngang công xon đo ở đỉnh trong của mã mút ngoài phải không nhỏ hơn 1/5 khoảng cách nằm ngang từ mút trong của xà ngang công xon đến đỉnh trong của mã mút ngoài.
(2) Chiều cao tiết diện xà ngang công xon có thể được giảm dần từ đỉnh trong mã mút ngoài vào đến mút trong của xà, tại đó chiều cao tiết diện có thể được giảm đến còn bằng 0,5 chiều cao tiết diện tại đỉnh trong của mã mút ngoài.
(3) Mô đun chống uốn của tiết diện xà ngang công xon tại đỉnh trong của mã mút ngoài phải không nhỏ hơn trị số tính theo công thức sau đây (xem Hình 2-A/5.3).

Trong đó:
| Chiều cao tải trọng hàng hóa H2 mô tả trên hình vẽ phải được xét đến khi nó là h2 của boong dưới |
|
Hình 2-A/5.3 Đo l0, b1, b2, ...
S: Khoảng cách giữa các xà ngang công xon (m).
l0 : Khoảng cách nằm ngang từ mút trong của xà ngang công xon đến đỉnh trong của mã mút ngoài (m).
b1 : Khoảng cách theo phương ngang từ mút trong của xà ngang công xon đến đỉnh trong của mã mút ngoài của xà ngang công xon hoặc sống ngang boong (m). Tuy nhiên, nếu boong được kết cấu theo hệ thống dọc mà không có sống ngang boong đặt trong khoảng các xà ngang công xon thì b1 được lấy bằng l0.
b2 : Nửa chiều rộng của miệng khoét ở boong được đỡ bởi xà ngang công xon (m).
h1 : Tải trọng boong qui định ở 8.2 cho sống ngang boong đỡ bởi xà ngang công xon (kN/m2).
h2 : Tải trọng tác dụng lên nắp miệng khoang đỡ bởi xà ngang công xon. Tải trọng h2 phải không được nhỏ hơn trị số tính theo các mục từ (a) đến (c) sau đây, tùy thuộc vào loại boong (kN/m2).
(a) Với boong chịu thời tiết, h2 là tải trọng boong qui định ở 8.2.1-2 cho sống ngang boong hoặc trọng lượng thiết kế cực đại của hàng hóa ở miệng khoang trên một đơn vị diện tích (kN/m2), lấy trị số nào lớn hơn. Ở 8.2.1-2 (2) trị số của y có thể được lấy là khoảng cách thẳng đứng từ đường nước trọng tải thiết kế cực đại đến mép trên của thành miệng khoang.
Trong mỗi trường hợp h2 phải không nhỏ hơn 17,5 kN/m2 đối với miệng khoang ở vị trí I và không nhỏ hơn 12,8 kN/m2 đối với miệng khoang ở vị trí II qui định ở Chương 18.
(b) Với những boong không phải là boong chịu thời tiết dùng để chứa hàng hóa hoặc dự trữ thì h2 là tải trọng boong qui định ở 8.2.1-1.
(c) Với những boong không phải là boong nói ở (a) hoặc (b) trên đây thì h2 được lấy bằng h1.
(4) Diện tích tiết diện bản mép của xà ngang công xon có thể được giảm dần từ đỉnh trong của mã mút ngoài vào đến mút trong của xà ngang công xon, tại đó diện tích tiết diện bản mép có thể được giảm đến còn bằng 0,6 diện tích tiết diện bản mép tại đỉnh trong của mã mút ngoài.
(5) Chiều dày bản thành của xà ngang công xon ở mọi chỗ phải không nhỏ hơn trị số tính theo các công thức sau đây, lấy trị số nào lớn hơn:

Trong đó:
S, b1, b2, h1 và h2 : Như qui định ở (3). Tuy nhiên, trong công thức tính t1 nếu boong được kết cấu theo hệ thống dọc mà không có sống ngang boong đặt trong khoảng giữa các xà ngang công xon thì b1/2 được thay thế bằng khoảng cách nằm ngang (m) từ mút trong của xà ngang công xon đến tiết diện đang xét.
dc : Chiều cao tiết diện đang xét của xà ngang công xon (m). Tuy nhiên, trong tính toán t1, chiều cao của lỗ khoét để xà dọc xuyên qua (nếu có) phải được trừ đi khỏi tiết diện xà ngang công xon. Trong công thức tính t2 nếu bản thành được gắn các nẹp nằm thì dc được lấy bằng chiều cao bị phân chia của tiết diện bản thành.
(6) Xà ngang công xon phải được gắn các mã chống vặn cách nhau khoảng 3 mét. Nếu chiều rộng của bản mép xà ngang công xon ở mỗi bên của bản thành lớn hơn 180 mi-li-mét thì mã chống vặn phải đỡ cả bản mép. Ở các đoạn mút của xà ngang công xon nẹp gia cường bản thành phải được đặt ở mỗi xà dọc boong còn ở đoạn còn lại nẹp gia cường được đặt theo mỗi chiếc xà dọc thứ hai.
(7) Vùng bản thành kề với đỉnh trong của mã mút ngoài phải được gia cường đặc biệt.
5.5.2. Sườn khỏe
Sườn khỏe đỡ xà ngang công xon phải thỏa mãn các yêu cầu từ (1) đến (7) sau đây :
(1) Chiều cao tiết diện sườn khỏe phải không nhỏ hơn 1/8 chiều dài sườn khỏe kể cả chiều dài của các liên kết ở đầu sườn.
(2) Mô đun chống uốn của tiết diện sườn khỏe phải không nhỏ hơn trị số tính theo công thức dưới đây. Tuy nhiên, nếu có sườn khỏe nội boong cùng với xà ngang công xon đỡ boong ở trên đặt ở đỉnh của sườn khỏe thì trị số tính được theo công thức này có thể được giảm đến còn bằng 60% :

Trong đó:
S : Khoảng cách giữa các sườn khỏe (m).
I1 : Khoảng cách nằm ngang từ mút trong của xà ngang công xon được đỡ đến cạnh trong của sườn khỏe (m).
b1, b2, h1 và h2 : Như được qui định ở 5.5.1 (3) cho chiếc xà ngang công xon được đỡ. Tuy nhiên, nếu boong được kết cấu theo hệ thống dọc mà không có sống ngang boong đặt trong khoảng giữa các xà ngang công xon thì b1, được thay bằng l1.
(3) Mô đun chống uốn của tiết diện sườn khỏe nội boong phải thỏa mãn yêu cầu ở (2) và thêm vào đó, phải không nhỏ hơn trị số tính theo công thức sau đây :

Trong đó:
S, l1, b1, b2, h1 và h2: Như qui định ở (2).
C1: Hệ số tính theo công thức:

Trong đó:
b1', b2', h1' và h2' : Tương ứng là b1, b2, h1 và h2 qui định ở (2) cho xà ngang công xon ở dưới sườn khỏe nội boong đang xét.
(4) Chiều dày bản thành phải không nhỏ hơn trị số tính theo các công thức sau đây, lấy trị số nào lớn hơn :

Trong đó:
S, b1, b2, h1, h2 và l1: Như qui định ở (2)
dw': Chiều cao nhỏ nhất của tiết diện sườn khỏe (m). Tuy nhiên, trong tính toán t1, chiều cao lỗ khoét để dầm dọc mạn xuyên qua, nếu có, phải được trừ đi khỏi chiều cao tiết diện sườn khỏe. Nếu chiều cao tiết diện bị phân chia bởi các nẹp nằm thì trong tính toán t2 chiều cao bị phân chia được lấy làm dw.
l : Chiều dài của sườn khỏe kể cả chiều dài của các liên kết ở hai mút (m).
C2 :Hệ số được cho dưới đây :
Đối với sườn khỏe trong khoang:
0,9: Nếu có sườn khỏe nội boong cùng với xà ngang công xon đỡ boong ở trên, đặt lên đỉnh của sườn khỏe trong khoang .
1,5: Trong các trường hợp khác.
Đối với sườn khỏe nội boong : C1 + 0,6 trong đó C1 được cho ở (3).
(5) Nếu sườn khỏe đỡ xà ngang công xon đồng thời đỡ cả dầm dọc mạn thì kích thước của nó phải thỏa mãn các yêu cầu ở 5.4.2 hoặc ở Chương 6 cùng với các yêu cầu sau đây :
(a) Mô đun chống uốn của tiết diện phải không nhỏ hơn trị số tính từ công thức ở (2) nhân với hệ số sau đây:
Nếu có sườn khỏe nội boong cùng với xà ngang công xon đặt ở trên :

Trong các trường hợp khác : 1,0
Trong đó:
I : Chiều dài của sườn khỏe trong khoang kể cả các liên kết ở hai mút (m).
/u: Chiều dài của sườn khỏe nội boong đặt trực tiếp ở trên, kể cả chiều dài của các liên kết ở
hai mút (m).
h : Khoảng cách thẳng đứng từ trung điểm của I đến điểm ở d + 0,038L’ cao hơn mặt tôn giữa đáy (m).
L': Bằng chiều dài của tàu (m), tuy nhiên nếu L > 230 mét thì lấy L = 230 mét.
hu : Khoảng cách thẳng đứng từ trung điểm của lu đến điểm mà h được đo tới đó (m). Tuy nhiên nếu điểm đó ở dưới trung điểm của lu thì lấy hu = 0.
b1, b2, h1, h2 và l1: Như qui định ở (2)
(b) Chiều dày bản thành phải không nhỏ hơn trị số tính theo (4) trong đó trị số của t1 phải được cộng thêm một lượng tính toán theo công thức sau đây :

Trong đó :
S : Khoảng cách các sườn khỏe (m).
h và / : Như qui định ở (a).
dw : Như qui định ở (4).
(6) Sườn khỏe phải được gắn mã chống vặn cách nhau khoảng 3 mét. Nếu chiều rộng bản mép của sườn khỏe ở mỗi bên của bản thành lớn hơn 180 mi-li-mét thì mã chống vặn cũng phải đỡ cả bản mép. Nẹp của bản thành phải được đặt theo mỗi dầm dọc mạn, trừ ở đoạn giữa nhịp của sườn khỏe nẹp có thể được đặt theo mỗi dầm dọc thứ hai. Bản thành của dầm dọc mạn phải được liên kết với bản thành của sườn khỏe.
(7) Sườn khỏe phải được liên kết chắc chắn với sườn khỏe ở dưới nó hoặc với đà ngang đặc để đảm bảo sự liên tục về độ bền.
5.5.3. Liên kết xà ngang công xon với sườn khỏe
Xà ngang công xon và sườn khỏe đỡ nó phải được liên kết chắc chắn với nhau bằng mã yêu cầu ở từ (1) đến (4).
(1) Bán kính cong của cạnh tự do của mã phải không nhỏ hơn chiều cao tiết diện xà ngang công xon ở đỉnh mã.
(2) Chiều dày của mã phải không nhỏ hơn chiều dày bản thành của xà ngang công xon hoặc của sườn khỏe, lấy trị số nào lớn hơn.
(3) Mã phải được gia cường thích đáng bằng các nẹp.
(4) Cạnh tự do của mã phải có bản mép có diện tích tiết diện không nhỏ hơn diện tích tiết diện bản mép của xà ngang công xon hoặc của sườn khỏe, lấy trị số nào lớn hơn. Bản mép của mã phải được liên kết với bản mép của xà ngang công xon và với bản mép của sườn khỏe.
5.6. Sườn nội boong
5.6.1. Qui định chung
1. Kích thước của sườn nội boong phải được xác định theo quan hệ với độ bền của sườn khoang, vị trí và độ cứng của vách ngang,v.v...
2. Sườn nội boong cùng với sườn khoang phải được xác định có xét đến điều kiện đảm bảo sự liên tục về độ bền của kết cấu từ đáy tàu đến boong trên cùng.
3. Kích thước của sườn nội boong qui định ở 5.6 là dựa trên sơ đồ kết cấu chuẩn nhằm đảm bảo độ cứng ngang bằng những vách nội boong đủ bền đặt ở phía trên vách khoang hoặc bằng những sườn khỏe đi lên đến nóc thượng tầng và đặt theo những khoảng cách thích hợp.
5.6.2. Kích thước của sườn nội boong
1. Mô đun chống uốn của tiết diện sườn nội boong ở dưới boong mạn khô phải không nhỏ hơn trị số tính theo công thức sau đây :
6Shl2 (cm3)
Trong đó :
S : Khoảng cách giữa các sườn (m).
l : Chiều cao nội boong (m).
h : Khoảng cách thẳng đứng từ trung điểm của l đến điểm ở d + 0,038 L’ cao hơn mặt tôn giữa đáy (m). Tuy nhiên nếu h < 0,03L (m) thì lấy h = 0,03L (m).
L' = chiều dài tàu (m), tuy nhiên, nếu L > 230 mét thì lấy L' = 230 mét.
2. Mô đun chống uốn của tiết diện sườn nội boong, trừ sườn nội boong nói ở -1, phải không nhỏ hơn trị số tính theo công thức sau đây :
CS lL (cm3)
Trong đó :
S và l : Như qui định ở -1.
C : Hệ số cho ở Bảng 2-A/5.5.
Bảng 2-A/5.5 Hệ số C
| Loại sườn nội boong | C |
| Sườn thượng tầng (trừ hai trường hợp dưới đây) | 0,44 |
| Sườn thượng tầng ở vùng 0,125L tính từ đuôi tàu | 0,57 |
| Sườn thượng tầng ở vùng 0,125 L tính từ mũi tàu và sườn quay ở đuôi tàu | 0,74 |
3. Kích thước của sườn nội boong ở dưới boong mạn khô trong đoạn 0,15L tính từ mũi tàu và trong đoạn 0,125L tính từ đuôi tàu phải được tăng thích đáng so với kích thước qui định ở -1 và -2.
4. Nếu boong được đỡ bởi những xà dọc và xà ngang khỏe thì mô đun chống uốn của tiết diện các sườn nội boong đỡ xà ngang khỏe của boong phải không nhỏ hơn trị số tính theo công thức sau đây, cùng với những qui định ở -1 và -3:

Trong đó:
S, h và l : Như qui định ở -1.
n : Tỷ số khoảng cách giữa các xà ngang khỏe chia cho khoảng cách giữa các sườn nội boong. h1 : Tải trọng boong qui định ở 8.2 cho xà boong ở đỉnh sườn nội boong (kN/m2).
5.6.3. Quan tâm đặc biệt đối sườn nội boong
1. Độ bền và độ cứng của kết cấu ở mũi tàu và đuôi tàu phải được tăng tỷ lệ với sự tăng của chiều dài tự do thực của sườn và chiều cao thẳng đứng của nội boong.
2. Ở những tàu có mạn khô quá lớn kích thước của sườn nội boong có thể được giảm thích đáng.
5.6.4. Sườn thượng tầng
1. Sườn thượng tầng phải được đặt theo mỗi sườn ở phía dưới.
2. Mặc dù những yêu cầu ở 5.6.2-2, trên đoạn dài bốn khoảng sườn ở hai đầu của thượng tầng giữa và của thượng tầng biệt lập trong đoạn 0,5L giữa tàu, sườn thượng tầng phải có mô đun chống uốn tính theo 5.6.2 với hệ số C = 0,74.
3. Những sườn khỏe hoặc đoạn vách phải được đặt phía trên các vách yêu cầu ở Chương 11 hoặc ở các vị trí khác cần thiết để tạo độ cứng ngang của thượng tầng.
5.6.5. Sườn bầu đuôi
Mô đun chống uốn của tiết diện sườn bầu đuôi phải không nhỏ hơn 0,86 lần trị số tính theo công thức ở 5.8.1.
5.7. Sườn dưới boong mạn khô phía trước vách chống va
5.7.1. Sườn dưới boong mạn khô
Mô đun chống uốn (Z) của tiết diện sườn dưới boong mạn khô phải không nhỏ hơn trị số tính theo công thức sau đây :
Z = 8Shl2 (cm3)
Trong đó :
S : Khoảng cách giữa các sườn (m).
l : Chiều dài tự do của sườn (m), nhưng không nhỏ hơn 2,15 m.
h : Khoảng cách thẳng đứng từ trung điểm của l đến điểm ở 0,12L cao hơn mặt tôn giữa đáy (m), tuy nhiên nếu h < 0,06L (m) thì lấy h = 0,06L (m)
5.7.2. Dầm dọc mạn dưới boong mạn khô
Dầm dọc mạn dưới boong mạn khô phải thỏa mãn các yêu cầu (1) và (2):
(1) Mô đun chống uốn (Z) của tiết diện dầm dọc mạn phải không nhỏ hơn trị số tính theo công thức sau đây. Tuy nhiên, trong vùng từ 0,05D đến 0,15D tính từ mặt tôn giữa đáy, mô đun chống uốn tính theo biểu thức này phải được tăng 25%, vùng dưới 0,05D thì tăng 50%.
Z = 8Shl2 (cm3)
Trong đó:
S : Khoảng cách giữa các dầm dọc mạn (m).
l : Khoảng cách giữa các sống ngang mạn hoặc từ sống ngang mạn đến vách ngang (m), tuy nhiên, nếu l < 2,15 (m), thì lấy l = 2,15 (m).
h : Khoảng cách thẳng đứng từ dầm dọc đến điểm ở 0,12L cao hơn mặt tôn giữa đáy (m), tuy nhiên, nếu h < 0,06L (m) thì lấy h = 0,06L (m).
(2) Các mút của dầm dọc phải được liên kết với sống mũi và vách ngang bằng mã.
5.8. Sườn dưới boong mạn khô phía sau vách đuôi
5.8.1. Sườn dưới boong mạn khô
1. Mô đun chống uốn (Z) của tiết diện sườn dưới boong mạn khô phải không nhỏ hơn trị số tính theo công thức sau đây:
Z = 8Shl2 (cm3)
Trong đó :
S : Khoảng cách giữa các sườn (m).
l : Chiều dài tự do của sườn (m), tuy nhiên, nếu chiều dài đó nhỏ hơn 2,15 mét thì lấy l = 2,15 mét.
h : Khoảng cách thẳng đứng từ trung điểm của l đến điểm ở d + 0,038 L’ cao hơn mặt tôn giữa đáy (m), tuy nhiên, nếu h < 0,04 L (m), thì lấy h = 0,04 L (m).
L' : Bằng chiều dài tàu (m), tuy nhiên, nếu L > 230 mét thì lấy L’ = 230 mét.
2. Nếu vận tốc của tàu lớn hơn 14 hải lý/giờ thì mô đun chống uốn của tiết diện sườn mạn phải được tăng so với trị số yêu cầu ở -1, với mức tăng 2% cho mỗi lượng trội 1 hải lý/giờ, nhưng mức tăng không cần lớn hơn 12%.
CHƯƠNG 6 SƯỜN KHỎE VÀ SỐNG DỌC MẠN
6.1. Qui định chung
6.1.1. Phạm vi áp dụng
Những yêu cầu của Chương này được áp dụng cho những kết cấu gia cường bằng sống dọc mạn đỡ các sườn ngang thường qui định ở 5.3.3 và bằng sườn khỏe đo sống dọc mạn.
6.1.2. Vị trí của sườn khỏe và sống dọc mạn
Sườn khỏe và sống dọc mạn phải được bố trí sao cho đảm bảo độ cứng của kết cấu mạn.
6.1.3. Sườn khỏe và sóng dọc mạn trong két sâu
Độ bền của sườn khỏe và sống dọc mạn trong két sâu phải không nhỏ hơn độ bền của sống đứng và sống nằm của vách két sâu.
6.1.4. Sườn khỏe và sống dọc mạn ở vị trí loe rộng đặc biệt
Sống dọc mạn đỡ sườn thường hoặc sườn khúc đỡ dầm dọc mạn ở vị trí mũi loe rộng chịu áp lực sóng va đập mạnh phải được gia cường thích đáng và liên kết chắc chắn.
6.2. Sườn khỏe
6.2.1. Kích thước của sườn khỏe
1. Kích thước của sườn khỏe đỡ sống dọc mạn phải không nhỏ hơn các trị số tính theo các công thức sau đây :
Chiều cao tiết diện: 0,125 l (m)
Mô đun chống uốn của tiết diện: C1Shl2 (cm3)
Chiều dày bản thành: t1 hoặc t2 lấy trị số nào lớn hơn

Tron đó:
S : Khoảng cách giữa các sườn khỏe (m).
l : Chiều dài tự do của sườn khỏe (m).
h : Khoảng cách thẳng đứng từ mút dưới của I đến điểm ở d + 0,038 L' cao hơn mặt tôn giữa đáy (m).
L' : Bằng chiều dài của tàu (m), tuy nhiên, nếu L > 230 mét thì lấy L' = 230 mét.
d0 : Chiều cao tiết diện sườn khỏe (m). Nếu bản thành của sườn khỏe được gắn những nẹp nằm đặt theo phương đứng thì chiều cao tiết diện bị phân chia được lấy làm d0 trong tính toán t2.
C1 và C2 : Các hệ số được cho ở Bảng 2-A/6.1.
k : Hệ số được cho ở Bảng 2-A/6.2 tùy thuộc vào tỷ số S1 (m) trên d0 trong đó S1 là khoảng cách giữa các nẹp hoặc mã chống vặn đặt ở bản thành của sườn khỏe. Với các trị số trung gian của S1/d0 thì k được xác định theo phép nội suy tuyến tính.
Bảng 2-A/6.1 Các hệ số C1 và C2
|
| Sườn khỏe ở phía sau của 0,15 L kể từ mũi tàu | Sườn khỏe ở từ vách mũi đến 0,15L kể từ mũi tàu |
| C1 | 3,0 | 3,8 |
| C2 | 23 | 28 |
Bảng 2-A/6.2 Hệ số k
| S1 / d0 | ≤ 0,3 | 0,4 | 0,5 | 0,6 | 0,7 | 0,8 | 0,9 | 1,0 | 1,5 | ≥ 2,0 |
| k | 60,0 | 40,0 | 26,8 | 20,0 | 16,4 | 14,4 | 13,0 | 12,3 | 11,1 | 10,2 |
2. Nếu sườn khỏe ở quá gần nồi hơi thì chiều dày bản thành và bản mép của nó phải được tăng thích đáng.
6.2.2. Gia cường bản thành
1. Có thể yêu cầu đặt nẹp hoặc mã chống vặn ở bản thành của sườn khỏe.
2. Các mã chống vặn phải được đặt cách nhau khoảng 3 mét.
3. Nếu chiều rộng của bản mép ở mỗi bên của bản thành lớn hơn 180 mi-li-mét thì mã chống vặn phải đỡ cả bản mép.
6.2.3. Sự liên tục về độ bền
Ở dưới boong vách, trên sườn khỏe trong khoang có thể yêu cầu phải đặt sườn khỏe nội boong để đảm bảo sự liên tục về độ bền ngang của sườn khỏe trong khoang và trong buồng máy.
6.2.4. Xà boong ở đỉnh của sườn khỏe
Xà boong ở đỉnh của sườn khỏe phải được tăng cường thích đáng về độ bền và độ cứng.
6.3. Sống dọc mạn
6.3.1. Kích thước của sống dọc mạn trong khoang
1. Kích thước của sống dọc mạn phải không nhỏ hơn các trị số tính theo các công thức sau đây :
Chiều cao tiết diện: 0,125 l (m) cộng 1/4 chiều cao (m) của lỗ khoét để sườn thường chui qua
Mô đun chống uốn của tiết diện : C1Shl2 (cm3)
Chiều dày bản thành: t1 hoặc t2, lấy trị số nào lớn hơn

Trong đó:
S : Khoảng cách giữa các trung điểm của các vùng từ sống dọc mạn đang xét đến các sống dọc mạn kề cận hoặc đến mặt đáy trên ở mạn hoặc đến mặt xà boong ở mạn (m).
/ : Khoảng cách giữa các sườn khỏe (m). Tuy nhiên, nếu có đặt các mã hữu hiệu thì nhịp l có thể được điều chỉnh theo qui định ở 1.1.16.
h : Khoảng cách thẳng đứng từ trung điểm của S đến điểm ở d + 0,038 L’ cao hơn mặt tôn giữa đáy (m). Tuy nhiên, nếu h < 0,05L (m) thì lấy h = 0,05L (m).
L’ : Như qui định ở 6.2.1-1.
d0 : Chiều cao tiết diện sống dọc mạn (m). Tuy nhiên, nếu chiều cao tiết diện bản thành bị phân chia bởi các nẹp nằm song song với bản mép thì chiều cao bị phân chia được lấy làm d0 trong tính toán t1.
C1 và C2 : Các hệ số được cho ở Bảng 2-A/6.3.
Bảng 2-A/6.3 Các hệ số C1 và C2
|
| Sống dọc mạn ở phía sau của 0,15L kể từ mũi tàu | Sống dọc mạn ở từ vách mũi đến 0,15L, kể từ mũi tàu |
| C1 | 5,1 | 6,4 |
| C2 | 42 | 52 |
k : Hệ số thực cho ở Bảng 2-A/6.2 tùy thuộc vào tỷ số S1 (m) trên d0, trong đó S1 là khoảng cách nẹp hoặc mã chống vặn đặt ở bản thành của sống dọc mạn. Với các trị số trung gian của S1/ d0, thì k được xác định theo phép nội suy tuyến tính.
2. Trong buồng nồi hơi, chiều dày của bản thành, bản mép,v.v..., của sống dọc mạn phải được tăng thích đáng.
6.3.2. Nẹp ở bản thành
Nẹp có chiều dài bằng chiều cao tiết diện bản thành của phải được đặt ở bản thành của sống dọc mạn theo mỗi chiếc sườn thứ hai.
6.3.3. Mã chống vặn
1. Mã chống phải được đặt ở sống dọc mạn cách nhau khoảng 3 mét.
2. Nếu chiều rộng của bản mép ở mỗi bên của bản thành lớn hơn 180 mi-li-mét thì mã chống vặn phải đỡ cả bản mép.
6.3.4. Liên kết của sống dọc mạn với sườn khỏe
1. Liên kết của sống dọc mạn với sườn khỏe phải được thực hiện theo suốt chiều cao tiết diện của sườn khỏe.
2. Nếu sống dọc mạn và sườn khỏe có chiều cao tiết diện bằng nhau thì bản mép của sống dọc mạn phải được liên kết chắc chắn với bản mép của sườn khỏe bằng những mã góc.
6.3.5. Liên kết sống dọc mạn với vách ngang
Sống dọc mạn phải được liên kết chắc chắn với vách ngang bằng những mã có kích thước thích đáng.
CHƯƠNG 7 GIA CƯỜNG CHỐNG VA
7.1. Qui định chung
7.1.1. Phạm vi áp dụng
1. Ở đoạn từ mũi tàu đến một vị trí thích đáng sau vách chống va và ở đoạn từ đuôi tàu đến một vị trí thích đáng trước vách đuôi phải có gia cường chống va thích hợp với hình dạng thân tàu tại các đoạn đó.
2. Những sườn ngang và dầm dọc mạn đặt ở các đoạn thân tàu qui định ở -1 phải thỏa mãn các yêu cầu ở 5.7 và 5.8.
7.1.2. Tấm chống va
Trong các két ở khoang mũi và khoang đuôi dùng làm két sâu phải đặt tấm chống va theo đường tâm của tàu hoặc kích thước kết cấu phải được tăng thích đáng.
7.1.3. Sống dọc tạo với tôn bao một góc quá nhỏ
Nếu bản thành của sống dọc làm với tôn bao một góc quá nhỏ thì kích thước của sống dọc phải được tăng thích đáng so với yêu cầu bình thường và nếu cần thì phải tạo các đế chống vặn.
7.2. Gia cường chống va ở phía trước vách chống va
7.2.1. Vị trí và kết cấu
1. Ở đoạn phía trước của vách chống va phải đặt sống chính có tiết diện cao.
2. Ở khoang mũi kết cấu theo hệ thống ngang, đà ngang đáy phải có tiết diện đủ cao và phải đặt theo khoảng cách qui định ở 5.2.1-2, các sống phụ phải được đặt theo khoảng cách không lớn hơn 2,5 mét. Sườn ngang phải được đỡ bởi các kết cấu qui định ở 7.2.2-2 đặt cách nhau không xa quá 2,5 mét.
3. Ở khoang mũi kết cấu theo hệ thống dọc, sống ngang đáy đỡ dầm dọc đáy và sống ngang mạn đỡ dầm dọc mạn phải được đặt cách nhau không xa quá 2,5 mét. Sống ngang đáy và sống ngang mạn phải được liên kết chặt chẽ với nhau và với sống ngang boong, phải được đặt trong cùng một tiết diện để tạo thành một kết cấu khung kín.
7.2.2. Hệ thống kết cấu ngang
1. Đà ngang đáy, sống chính và sống phụ
(1) Chiều dày (t) của đà ngang đáy và của sống chính ở khoang mũi phải không nhỏ hơn trị số tính theo công thức sau đây:

(2) Đà ngang đáy phải có chiều cao tiết diện cần thiết để tạo đủ độ cứng cho kết cấu và phải được gia cường thích đáng bằng các nẹp.
(3) Cạnh trên của đà ngang đáy và của sống chính phải được gia cường thích đáng.
(4) Chiều dày của sống phụ phải gần bằng chiều dày của sống chính. Sống phụ phải có chiều cao tiết diện thích hợp với chiều cao tiết diện đà ngang đáy.
2. Kết cấu mạn để chống va
(1) Nếu xà chống va được đặt ở mỗi mặt sườn thứ hai và cùng với tấm sống mạn liên kết với tôn bao thì:
(a) Xà ngang chống va phải là thép góc hoặc thép U có diện tích tiết diện không nhỏ hơn 0,3L (cm2), phải được liên kết chắc chắn với sườn bằng mã có chiều dày không nhỏ hơn chiều dày sườn. Hơn nữa, để quan tâm tới chiều dài nhịp của xà, ở đường tâm tàu, xà chống va phải được liên kết chắc chắn theo phương đứng và theo phương dọc của tàu bằng những thanh thép góc.
(b) Kích thước của tấm sống mạn phải không nhỏ hơn các trị số tính theo các công thức sau đây và mép trong của chúng phải được gia cường thích hợp bằng bản mép hoặc bằng thép góc:
Chiều rộng : 2,5L + 500 (mm)
Chiều dày : 0,02L + 6,5 (mm)
(c) Các sườn không được đặt xà ngang chống va phải được liên kết với tấm sống mạn bằng mã. Chiều dài của mỗi cạnh mã ít nhất phải bằng 0,5 chiều rộng của tấm sống mạn qui định ở (b), chiều dày của mã ít nhất phải bằng chiều dày tấm sống mạn. Trong trường hợp này tấm sống mạn phải được gia cường bằng các thanh thép dẹt đi từ đầu mã ra đến cạnh ngoài của tấm sống mạn.
(d) Tấm sống mạn phải được liên kết chắc chắn với sống mũi và sống nằm của vách ngang bằng mã.
(2) Nếu xà ngang chống va được đặt ở mỗi mặt sườn cùng với tấm thép có khoét lỗ gắn lên xà ngang đi suốt từ mạn này sang mạn kia thì:
(a) Diện tích tiết diện xà ngang chống va (A) phải không nhỏ hơn trị số tính theo công thức sau đây:
A = 0,1L + 5 (cm2)
(b) Chiều dày (t) tấm theo khoét lỗ đặt dọc theo các xà ngang chống va phải không nhỏ hơn trị số tính theo công thức sau đây :
t = 0,02 L + 5,5 (mm)
(3) Nếu sườn ngang được đỡ bởi sống dọc mạn thì:
(a) Kích thước của sống dọc mạn phải không nhỏ hơn trị số tính theo các công thức sau đây:
| Chiều cao tiết diện bản thành : | 0,2l (m) hoặc 0,5 + 0,0025L (m) hoặc 2,5 chiều cao của lỗ khoét để sườn xuyên qua, lấy trị số nào lớn nhất. |
| Môdun chống uốn: | 8Shl2 (cm3) |
| Chiều dày bản thành: | t1 hoặc t2, lấy trị số nào lớn hơn.
|
Trong đó:
l : Khoảng cách nằm ngang giữa các đế tựa của sống dọc mạn (m).
S : Khoảng cách giữa các sống dọc mạn (m)
h : Khoảng cách thẳng đứng từ trung điểm của S đến điểm ở 0,12L cao hơn tôn giữa đáy (m).
Tuy nhiên, nếu h < 0,06L (m) thì lấy h = 0,06L(m).
d0 : Chiều cao tiết diện sống dọc mạn (m). Tuy nhiên, trong tính toán t1, chiều cao lỗ khoét để sườn chui qua, nếu có, sẽ phải được trừ đi khỏi tiết diện sống dọc mạn. Nếu chiều cao tiết diện sống dọc mạn bị phân chia bởi các nẹp nằm thì trong tính toán t2, chiều cao bị phân chia được lấy làm d0.
k : Hệ số được cho ở Bảng 2-A/7.1 tùy thuộc tỷ số S1(m) trên d0, trong đó S1(m) là khoảng cách giữa các nẹp hoặc mã chống vặn đặt trên bản thành của sống dọc mạn, với các trị số trung gian của S1/d0 thì k được xác định theo phép nội suy tuyến tính.
Bảng 2-A/7.1 Hệ số k
| S1/d0 | ≤ 0,3 | 0,4 | 0,5 | 0,6 | 0,7 | 0,8 | 0,9 | 1,0 | 1,5 | ≥ 2,0 |
| k | 60,0 | 40,0 | 26,8 | 20,0 | 16,4 | 14,4 | 13,0 | 12,3 | 11,1 | 10,2 |
(b) Sống dọc mạn phải được gắn mã chống vặn đặt cách nhau khoảng 3 mét. Nếu chiều rộng bản mép của sống dọc mạn ở mỗi bên của bản thành lớn hơn 180 mi-li-mét thì mã chống vặn phải đỡ cả bản mép. Nẹp gia cường phải được đặt ở bản thành theo mỗi sườn, tuy nhiên, ở đoạn giữa nhịp của sống dọc mạn nẹp gia cường có thể được đặt theo mỗi sườn thứ hai.
(c) Nếu sống dọc mạn được đỡ bởi những thanh giằng thì kích thước của thanh giằng phải không nhỏ hơn các trị số tính theo các công thức sau đây :
Diện tích tiết diện :

Chiều dày bản thành : 
Trong đó:
S : Khoảng cách giữa các sống dọc mạn (m).
b : Chiều rộng của vùng mà thanh giằng phải đỡ (m).
h : Khoảng cách thẳng đứng từ trung điểm của b đến điểm ở 0,12L cao hơn mặt tôn giữa đáy (m). Tuy nhiên, nếu h < 0,06L (m) thì lấy h = 0,06L (m).
I : Chiều dài của thanh giằng (m).
k0 : Bán kính quán tính tối thiểu của tiết diện thanh giằng tính theo công thức sau đây :

I : Mô men quán tính tối thiểu của tiết diện thanh giằng (cm4).
A : Diện tích tiết diện thanh giằng (cm2).
dw : Chiều cao tiết diện thanh giằng (m). Tuy nhiên, nếu bản thành của thanh giằng được gắn nẹp nằm ngang thì khoảng cách lớn nhất giữa các nẹp được lấy làm dw.
(d) Thanh giằng phải được liên kết chắc chắn với sống dọc mạn bằng mã hoặc một biện pháp thích hợp khác. Ở chỗ đặt thanh giằng sống dọc mạn phải được gắn mã chống vặn.
(e) Nếu chiều rộng bản mép của thanh giằng ở mỗi bên của bản thành lớn hơn 150 mi-li-mét thì bản thành của thanh giằng phải được gắn nẹp đặt theo khoảng cách thích hợp và được liên kết với bản mép để đỡ nó.
7.2.3. Hệ thống kết cấu dọc
1. Sống ngang đỡ dầm dọc mạn phải thỏa mãn các yêu cầu từ (1) đến (4) sau đây. Tuy nhiên, nếu không thể thực hiện được các yêu cầu đó thì kết cấu phải được Đăng kiểm xem xét đặc biệt.
(1) Sống ngang mạn ở hai bên mạn tàu phải được liên kết với nhau bằng những thanh giằng đặt theo những khoảng cách thẳng đứng (h) không lớn hơn trị số tính theo công thức sau đây :
h = 0,0125 L + 2,5 (m)
(2) Kích thước của sống ngang mạn phải không nhỏ hơn trị số tính theo các công thức sau đây :
Chiều cao tiết diện bản thành: 0,2 l (m) hoặc 0,5 + 0,0025L (m) hoặc 2,5 chiều cao lỗ khoét để dầm dọc mạn chui qua, lấy trị số lớn nhất.
Mô đun chống uốn của tiết diện : 8Shl2 (cm3)
Chiều dày bản thành : t1 hoặc t2 , lấy trị số nào lớn hơn.

Trong đó :
I : Khoảng cách thẳng đứng giữa các đế tựa của sống ngang mạn (m).
S : Khoảng cách giữa các sống dọc mạn (m)
h : Khoảng cách thẳng đứng từ trung điểm của l đến điểm 0,12L cao hơn mặt tôn giữa đáy (m).
Tuy nhiên, nếu h < 0,06L (m) thì lấy h = 0,06L (m).
d0 : Chiều cao tiết diện sống ngang mạn (m). Tuy nhiên, trong tính toán t1, chiều cao lỗ khoét để dầm dọc mạn chui qua, nếu có, sẽ phải được trừ đi khỏi tiết diện sống ngang mạn. Nếu bản thành của sống ngang mạn được gắn các nẹp nằm đặt theo phương đứng, thì trong tính toán t2, khoảng cách các nẹp đó được lấy làm d0.
k : Hệ số được cho ở Bảng 2.A/7.1 tùy thuộc tỷ số S1 (m) trên d0, trong đó S1 (m) là khoảng cách các nẹp hoặc mã chống vặn hoặc các nẹp gắn ở bản thành của sống ngang mạn. Với các trị số trung gian của S1/d0 thì k được xác định theo phép nội suy tuyến tính.
(3) Sống ngang mạn phải được liên kết chắc chắn với sống ngang đáy. Nếu sống ngang mạn được liên kết với sống ngang đáy thì kích thước bản thành và bản mép ở đoạn nhịp dưới cùng phải sao cho đảm bảo tính liên tục của độ bền ở chỗ chuyển tiếp từ sống ngang mạn xuống sống ngang đáy; tổng diện tích hiệu quả của bản thành và bản mép ở nửa nhịp dưới cũng phải không nhỏ hơn diện tích tiết diện yêu cầu của bản thành của sống ngang đáy.
(4) Sống ngang mạn phải được gắn các mã chống vặn đặt cách nhau khoảng 3 mét. Nếu chiều rộng bản mép của sống ngang mạn ở mỗi bên của bản thành lớn hơn 180 mi-li-mét thì mã chống vặn phải đỡ cả bản mép. Nẹp gia cường phải được đặt ở bản thành theo mặt phẳng của mồi dầm dọc mạn. Tuy nhiên, ở đoạn giữa nhịp, trừ nhịp dưới cùng, nẹp gia cường có thể đặt theo mặt phẳng của mỗi dầm dọc mạn thứ hai.
2. Thanh giằng qui định ở -1(1) phải thỏa mãn các yêu cầu từ (1) đến (3). Tuy nhiên, nếu không thỏa mãn được các yêu cầu đó thì kết cấu phải được Đăng kiểm xem xét đặc biệt.
(1) Kích thước của các thanh giằng phải không được nhỏ hơn các trị số tính theo các công thức sau :
Diện tích tiết diện:

Trong đó:
S : Khoảng cách giữa các sống ngang mạn (m).
b : Chiều rộng của vùng mà thanh giằng phải đỡ (m).
h : Khoảng cách thẳng đứng từ trung điểm của b đến điểm ở 0,1L (m) cao hơn mặt tôn giữa đáy (m). Tuy nhiên, nếu h < 0,06L (m) thì lấy h = 0,06L (m).
I : Chiều dài của thanh giằng (m).
k0 : Bán kính quán tính tối thiểu của tiết diện thanh giằng tính theo công thức sau đây :

I : Mô men quán tính tối thiểu của tiết diện thanh giằng (cm4).
A : Diện tích tiết diện thanh giằng (cm2).
dw : Chiều cao tiết diện thanh giằng (m). Tuy nhiên, nếu bản thành của thanh giằng được gắn nẹp nằm ngang thì khoảng cách lớn nhất giữa các nẹp được lấy làm dw.
(2) Thanh giằng phải được liên kết chắc chắn với sống ngang mạn bằng mã hoặc một biện pháp thích hợp khác. Ở chỗ đặt thanh giằng sống ngang mạn phải được gắn mã chống vặn.
(3) Nếu chiều rộng bản mép của thanh giằng ở mỗi bên của bản thành lớn hơn 150 mi-li-mét thì bản thành của thanh giằng phải được gắn nẹp đặt theo khoảng cách thích hợp và được liên kết với bản mép để đỡ nó.
3. Sống ngang đáy đỡ dầm dọc đáy phải được kết cấu theo qui định từ (1) đến (6) hoặc phải có kết cấu được Đăng kiểm thừa nhận là tương đương. Tuy nhiên, trong trường hợp mà tàu có đủ chiều chìm mũi khi chạy trên sóng, mô đun chống uốn và diện tích tiết diện bản thành qui định ở từ (1) đến (3) có thể được giảm 10%.
(1) Kích thước của sống ngang đáy phải không nhỏ hơn trị số tính theo các công thức sau đây, và ở đường tâm tàu sống ngang đáy phải được đỡ bằng những thanh chống, các sống ngang đáy kề cận nhau phải được liên kết với nhau bởi sống dọc tâm có kích thước như sống ngang đáy hoặc phải được đỡ bởi một sống dọc tâm có tiết diện rất cao hoặc bằng vách dọc.

Trong đó :
S : Khoảng cách giữa các sống ngang đáy (m).
l : Khoảng cách giữa các đế tựa của sống ngang đáy (m).
(2) Nếu sống ngang đáy và sống dọc tâm có kích thước lớn hơn các kích thước tính theo các công thức sau đây thì mặc dù những yêu cầu ở (1), thanh chống dọc tâm có thể được đặt ở mỗi sống ngang đáy thứ hai.

(3) Nếu kích thước của sống ngang đáy lớn hơn các trị số tính theo các công thức sau đây thì, mặc dù những yêu cầu ở (1), có thể không cần đến các thanh chống dọc tâm hoặc vách dọc tâm. Trong trường hợp này kích thước bản thành của sống dọc tâm phải không nhỏ hơn các trị số yêu cầu ở (1) cho sống ngang đáy và cạnh tự do của bản thành phải được gia cường thích đáng.

(4) Nếu chiều cao tiết diện bản thành của sống ngang đáy và sống dọc tâm lớn hơn trị số yêu cầu ở (3) thì chiều dày của chúng có thể được giảm so với chiều dày qui định ở (3), mặc dù những yêu cầu ở (3) đó. Tuy nhiên, trong mọi trường hợp chiều dày (t) phải không nhỏ hơn trị số tính theo công thức sau đây :

(5) Nếu chiều dài của sống ngang đáy đo giữa các gối đỡ ở mạn tàu lớn hơn 0,045L (m) hoặc nếu khoảng cách giữa các sống ngang đáy lớn hơn 2,5 mét thì kích thước của sống ngang đáy và sống dọc tâm qui định ở từ (1) đến (4) phải được tăng thích đáng.
(6) Sống ngang đáy phải được gắn mã chống vặn đặt cách nhau khoảng 3 mét. Nếu chiều rộng bản mép của sống ngang đáy ở mỗi bên của tấm thành Lớn hơn 180 mi-li-mét thì mã chống vặn phải đỡ cả bản mép và nẹp phải được đặt ở bản thành trong mặt phẳng của mỗi dầm dọc đáy.
4. Thanh chống qui định ở -3 (1) và -3 (2) phải không kém hiệu quả so với các yêu cầu ở từ (1) đến (3) sau đây hoặc tương đương như vậy.
(1) Kích thước thanh chống phải không nhỏ hơn các trị số tính theo các công thức sau đây :
Diện tích tiết diện:

Trong đó:
S : Chiều dài theo phương dọc của vùng đỡ bởi thanh chống (m).
b : Chiều rộng của vùng đỡ bởi thanh chống (m).
l : Chiều dài thanh chống (m).
k0 : Bán kính quán tính tối thiểu của tiết diện thanh giằng tính theo công thức sau đây (cm):

I : Mô men quán tính tối thiểu của tiết diện thanh chống (cm4).
A : Diện tích tiết diện thanh chống (cm2).
dw : Chiều rộng của bản thành (m). Nếu bản thành được gắn những nẹp nằm dọc theo chiều dài của thanh chống thì khoảng cách lớn nhất giữa các nẹp đó được lấy làm dw.
(2) Thanh chống phải kéo lên đến boong thấp nhất và phải được liên kết chắc chắn với thanh giằng bằng mã.
(3) Nếu chiều rộng của bản mép ở mỗi bên của bản thành lớn hơn 150 mét thì bản thành phải được gắn nẹp và được bố trí sao cho đỡ bản mép theo các khoảng cách thích hợp.
5. Sống phụ phải được đặt trên đường tâm của sống phụ ở phía sau của vách chống va để tạo thêm độ cứng cho kết cấu đáy phẳng.
7.2.4. Tàu có bầu mũi khác thường
Kết cấu ở đoạn mũi của tàu có mũi bầu hoặc có dạng mũi khác thường phải được Đăng kiểm xem xét đặc biệt.
7.3. Gia cường chống va ở phía sau vách đuôi
7.3.1. Đà ngang đáy
Những yêu cầu ở 7.2.2-1 cũng được áp dụng cho kích thước và bố trí của đà ngang đáy ở khoang đuôi. Đà ngang đáy phải được dâng lên cao hơn ống trục đuôi.
7.3. Xà ngang chống va và tấm sống chống va
1. Kết cấu ở dưới boong thấp nhất phải được gia cường chắc chắn bằng những xà ngang chống va và tấm sống chống va như yêu cầu ở 7.2.2-2 đối với khoang mũi.
2. Nếu khoảng cách giữa các gối tựa trên chiều dài cung của sườn lớn hơn 2,5 mét thì kích thước của sườn phải được tăng, hoặc các sống dọc mạn hoặc các thanh giằng phải được đặt bổ sung để tạo đủ độ cứng cho kết cấu mạn.
7.3.3. Bầu đuôi
Bầu đuôi phải được gia cường bằng những sườn khỏe, sống dọc mạn,v.v..., ở mức độ cần thiết.
7.4. Gia cường chống va ở đoạn từ khoang mũi đến khoang đuôi
7.4.1. Gia cường chống va ở phía sau vách chống va
Kết cấu mạn ở phía sau vách chống va phải được gia cường thích đáng để giữ được tính liên tục của độ bền cùng với độ bền của khoang mũi.
7.4.2. Gia cường chống va ở phía trước vách đuôi
Ở phía trước vách đuôi, nếu chiều dài tự do của sườn là quá lớn so với nhịp sườn ở đoạn giữa tàu, thì phải đặt sống dọc mạn hoặc phải tăng kích thước của sườn như ở kết cấu phía sau của vách chống va.
CHƯƠNG 8 XÀ BOONG
8.1. Qui định chung
8.1.1. Độ cong ngang của boong chịu thời tiết
Ở giữa tàu độ cong ngang tiêu chuẩn của boong chịu thời tiết bằng B/50.
8.1.2. Liên kết mút xà boong
1. Xà dọc boong phải liên tục hoặc phải được liên kết bằng mã ở các mút sao cho phát huy được diện tích tiết diện và có đủ độ bền chống uốn và độ bền chống kéo.
2. Xà ngang boong phải được liên kết với sườn bằng mã.
3. Xà ngang boong đặt ở các vị trí không có sườn nội boong hoặc sườn thượng tầng phải được liên kết với tôn mạn bằng mã.
4. Xà ngang boong xuồng, boong dạo,v.v..., có thể được liên kết bằng móc kẹp ở các mút.
8.1.3. Vùng mà xà dọc boong chuyển sang xà ngang boong
Ở vùng mà xà dọc ngang chuyển sang xà ngang boong phải đặc biệt thận trọng để đảm bảo sự liên tục về độ bền.
8.2. Tải trọng boong
8.2.1. Trị số của h
1. Tải trọng boong h (kN/m2) đối với những boong dùng để xếp hàng hóa thông thường hoặc dự trữ phải theo các qui định từ (1) đến (3) sau đây :
(1) h phải tương đương với tiêu chuẩn bằng 7 lần chiều cao từ boong được xét đến cạnh trên của thành miệng khoang ở boong phía trên (m). Tuy nhiên, h có thể được tính bằng trọng lượng thiết kế cực đại của hàng hóa trên một đơn vị diện tích boong (kN/m2). Trong trường hợp này trị số của h phải được xác định bằng cách xem xét chiều cao xếp hàng.
(2) Nếu hàng gỗ hoặc/và các loại hàng khác được dự định xếp ở boong chịu thời tiết thì h phải là trọng lượng thiết kế cực đại của hàng hóa trên một đơn vị diện tích boong (kN/m2) hoặc là trị số qui định ở -2, lấy trị số nào lớn hơn.
(3) Nếu hàng hóa được treo vào xà boong hoặc nếu máy móc được đặt trên boong thì h phải được tăng thích đáng.
2. Đối với boong chịu thời tiết, tải trọng boong h (kN/m2) được qui định ở từ (1) đến (4) sau đây :
(1) Đối với boong mạn khô, boong thượng tầng và boong lầu ở trên boong mạn khô, h phải không nhỏ hơn trị số tính theo công thức sau đây:
h = a(bf - y) (kN/m2)
Trong đó:
a và b : Được cho ở Bảng 2-A/8.1 tùy thuộc vị trí ở boong.
Cb1 : Hệ số béo, tuy nhiên nếu Cb < 0,6 thì lấy Cb1 = 0,6 ; Cb ³ 0,8 thì lấy Cb1 = 0,8.
f : Được cho theo công thức sau đây (xem Hình 2-A/8.1):

Bảng 2-A/8.1 Trị số của a và b
| Dòng | Vị trí của boong | a | b | ||
| Xà boong(1) Tôn boong | Cột | Sống boong | |||
| I | Ở phía trước của 0,15L tính từ mũi tàu | 14,7 | 4,90 | 7,35 |
|
| II | Từ 0,15L đến 0,3L tính từ mũi tàu | 11,8 | 3,90 | 5,90 |
|
| III | Từ 0,3L- tính từ mũi tàu đến 0,2 L tính từ đuôi tàu | 6,90 | 2,25 | 2,25(2) 3,45(3) | 1,0 |
| IV | Ở phía sau của 0,2 L tính từ đuôi tàu | 9,80 | 3,25 | 4,90 |
|
Chú thích:
(1) Nếu L ≤150 mét thì trị số của a có thể được nhân với trị số tính theo công thức: 
(2) Đối với sống dọc boong ở ngoài đường miệng khoang ở boong tính toán trong đoạn giữa tàu.
(3) Đối với những trường hợp không phải là trường hợp (2).

Hình 2-A/8.1 Trị số của f
y : Khoảng cách thẳng đứng từ đường trọng tải thiết kế cực đại đến boong chịu thời tiết đo ở mạn (m) và y phải được đo ở mũi tàu cho đoạn boong ở phía trước của 0,15L tính từ mũi tàu, được đo 0,15L tính từ mũi tàu cho đoạn boong từ 0,3L đến 0,15L tính từ mũi tàu, được đo ở sườn giữa cho đoạn boong từ 0,3L tính từ mũi tàu đến 0,2L tính từ đuôi tàu và được đo ở đuôi tàu cho đoạn boong ở phía sau của 0,2L tính từ đuôi tàu (xem Hình 2-A/8.2).
(2) Đối với boong ở dòng II Bảng 2-A/8.1 h không cần lớn hơn h ở dòng I.
(3) Không phụ thuộc các qui định ở (1) và (2), h phải không nhỏ hơn trị số tính theo công thức cho ở Bảng 2- A/8.2.
(4) Nếu tàu có mạn khô quá lớn thì trị số h có thể được giảm thích đáng.
3. Ở vùng kín của boong thượng tầng và boong lầu trong không gian sinh hoạt và không gian hàng hải, ở tầng một và tầng hai trên boong mạn khô, h phải bằng 12,8 mét.

| Sau A | y được đo ở AP | * Nếu không có thượng tầng thì y được đo đến boong trên. |
| Từ A đến B | y được đo ở | |
| Từ B đến C | y được đo ở C | |
| Trước C | y được đo ở FP |
Hình 2-A/8.2 Vị trí đo y
Bảng 2-A/8.2 Trị số cực tiểu của h
| Dòng | Vị trí của boong | h(1) | C | |
| Xà boong (2), Tôn boong | Cột, Sống boong | |||
| I và II | Phía trước của 0,3L tính từ mũi tàu |
| 4,20 | 1,37 |
| III | Từ 0,3L tính từ mũi tàu đến 0,2L tính từ đuôi tàu | 2,05 | 1,18 | |
| IV | Phía sau của 0,2L, tính từ đuôi tàu |
| 2,95 | 1,47 |
| Boong thượng tầng tầng 2 trên boong mạn khô | 1,95 | 0,69 | ||
Chú thích :
(1) L' là chiều dài tàu (m). nhưng không cần lấy lớn hơn 230 mét.
(2) Nếu L ≤ 150 mét thì C có thể được nhân với trị số tính theo công thức: 
8.3. Xà dọc boong
8.3.1. Khoảng cách
1. Khoảng cách chuẩn (S) của các xà dọc boong được tính theo công thức sau đây :
S = 2L + 550 (mm)
2. Khoảng cách giữa các xà dọc boong không nên lớn hơn 1 mét.
8.3.2. Tỉ số kích thước
1. Xà dọc boong phải được đỡ bởi các sống ngang boong đặt theo khoảng cách thích hợp. Ở boong tính toán trong đoạn giữa tàu, tỷ số mảnh của xà dọc boong phải không lớn hơn 60. Tuy nhiên, yêu cầu này có thể được thay đổi thích đáng nếu xà dọc boong có đủ độ bền ổn định.
2. Thép dẹt dùng làm xà dọc boong phải có tỷ số (chiều cao tiết diện /chiều dày) không lớn hơn 15.
8.3.3. Mô đun chống uốn của tiết diện xà dọc boong
1. Mô đun chống uốn (Z) của tiết diện xà dọc boong ở ngoài vùng đường miệng khoang của boong tính toán trong đoạn giữa tàu phải không nhỏ hơn trị số tính theo công thức sau đây :
Z = 1,14 Shl2 (cm3)
Trong đó:
S : Khoảng cách giữa các xà dọc boong (m).
h : Tải trọng boong qui định ở 8.2 (kN/m2).
/ : Khoảng cách nằm ngang giữa các sống ngang boong hoặc từ sống ngang boong đến vách ngang (m).
2. Hệ số trong công thức ở -1 có thể được giảm dần đối với các xà dọc boong ngoài đường miệng khoang của boong tính toán ở các đoạn trước và sau đoạn giữa tàu. Tuy nhiên, trong mọi trường hợp, mô đun chống uốn (Z) của tiết diện phải không nhỏ hơn trị số tính theo công thức sau đây :
Z = 0,43 Shl2 (cm3)
Trong đó:
S, h và l : Như qui định ở -1.
3. Mô đun chống uốn của tiết diện xà dọc boong ở những vùng không qui định ở -1 và -2 phải không nhỏ hơn trị số tính theo -2.
8.3.4. Sống ngang boong đỡ xà dọc boong
Ở những tàu một boong sống ngang boong phải được đặt ở mặt sườn có đà ngang đặc của đáy đôi. Ở những tàu hai boong sống ngang boong phải cố gắng được đặt trong mặt sườn có đà ngang đặc của đáy đôi.
8.4. Xà ngang boong
8.4.1. Vị trí xà ngang boong
Xà ngang boong phải được đặt trong mỗi mặt sườn.
8.4.2. Tỉ số kích thước
Tỷ số chiều dài trên chiều cao tiết diện của xà ngang boong nên bằng hoặc nhỏ hơn 30 nếu là ở boong tính toán và nên bằng hoặc nhỏ hơn 40 nếu là ở boong chịu lực (boong ở dưới boong tính toán được coi là một cơ cấu chịu lực trong độ bền dọc của thân tàu) và ở boong thượng tầng.
8.4.3. Mô đun chống uốn của tiết diện xà ngang boong
Mô đun chống uốn (Z) của tiết diện xà ngang boong phải không nhỏ hơn trị số tính theo công thức sau đây :
Z = 0,43 Shl2(cm3)
Trong đó :
S : Khoảng cách giữa các xà ngang boong (m).
h : Tải trọng boong qui định ở 8.2 (kN/m2).
/ : Khoảng cách nằm ngang từ đỉnh trong của mã xà đến sống dọc boong hoặc giữa các sống dọc boong (m).
8.5. Xà boong ở hõm vách và ở các chỗ khác
8.5.1. Mô đun chống uốn của tiết diện
Mô đun chống uốn của tiết diện xà boong tạo thành nóc của hõm vách, hầm trục và hõm hầm trục phải không nhỏ hơn trị số tính theo công thức ở 11.2.8. Tuy nhiên, nếu h nhỏ hơn 6 mét thì h phải được lấy bằng 1,2 mét cộng với 0,8 trị số thực của h.
8.6. Xà boong ở nóc két sâu
8.6.1. Mô đun chống uốn của tiết diện
Mô đun chống uốn của tiết diện xà dọc boong tạo thành nóc két sâu phải thỏa mãn các yêu cầu của chương này và phải không nhỏ hơn trị số tính từ công thức ở 12.2.3 lấy mặt xà boong làm mút dưới của h và coi xà boong là nẹp.
8.7. Xà boong chịu tải trọng đặc biệt nặng
8.7.1. Gia cường xà boong
Những xà boong chịu tải trọng đặc biệt nặng hoặc nằm ở các mút thượng tầng hoặc lầu, ở chỗ đặt cột cờ, tời và máy phụ,v.v..., phải được gia cường thích đáng bằng cách tăng kích thước hoặc đặt thêm sống boong hoặc cột.
8.8. Miệng buồng máy quá dài
8.8.1. Gia cường boong
Nếu miệng buồng máy quá dài thì phải gia cường boong một cách thích đáng bằng cách đặt những thanh giằng ở độ cao của mỗi boong hoặc bằng các biện pháp tương đương khác.
8.9. Xà của boong chở xe có bánh
8.9.1. Mô đun chống uốn của tiết diện xà boong
Mô đun chống uốn của tiết diện xà boong chở xe có bánh phải được xác định căn cứ vào tải trọng tập trung từ xe có bánh.
CHƯƠNG 9 CỘT CHỐNG
9.1. Qui định chung
9.1.1. Cột nội boong
Cột nội boong phải được đặt trực tiếp lên cột dưới boong hoặc phải có biện pháp hữu hiệu để truyền tải trọng xuống các đế ở dưới.
9.12. Cột trong khoang
Cột trong khoang phải được đặt lên các sống của đáy đơn hoặc đáy đôi hoặc phải cố gắng gần đó. Kết cấu ở trên cột và ở dưới cột phải có đủ độ bền để phân bố tải trọng một cách có hiệu quả.
9.13. Liên kết mút cột
Đỉnh và chân cột phải được gắn bằng tấm kép dày và bằng mã. Nếu cột có thể chịu tải trọng kéo, thí dụ như cột ở dưới hõm vách, nóc hầm hoặc nóc két sâu thì đỉnh và chân cột phải được liên kết hữu hiệu để chịu được tải trọng kéo.
9.1.4. Gia cường các kết cấu liên kết với cột
Nếu cột được liên kết với tôn boong, với nóc hầm trục hoặc với sườn thì các kết cấu đó phải được gia cường thích đáng.
9.2. Kích thước
9.2.1. Diện tích tiết diện cột
Diện tích tiết diện cột (A) phải không nhỏ hơn trị số tính theo công thức sau đây :

Trong đó:
l : Khoảng cách từ mặt đáy trên, từ boong hoặc từ kết cấu mà cột tựa đến cạnh dưới của xà boong hoặc sống boong mà cột phải đỡ (m) ( Xem Hình 2-A/9.1).
k0 : Bán kính quán tính tối thiểu của tiết diện cột (cm).
w : Tải trọng boong mà cột đỡ qui định ở 9.2.2 (kN).
9.2.2. Tải trọng boong mà cột đỡ
1. Tải trọng boong mà cột đỡ (w) phải không nhỏ hơn trị số tính theo công thức sau đây :
w = kw0 +Sbh (kN)
Trong đó:
S : Khoảng cách giữa các trung điểm của hai nhịp kề nhau của sống boong đỡ bởi cột hoặc nẹp vách hoặc sống vách (m) (Xem Hình 2-A/9.1).
b : Khoảng cách trung bình giữa trung điểm của hai nhịp kề nhau của xà boong mà cột hay sườn phải đỡ (m) (Xem Hình 2-A/9.1).
h : Tải trọng boong qui định ở 8.2 cho boong mà cột phải đỡ (kN/m2).
w0 : Tải trọng boong mà chiếc cột nội boong ở trên phải đỡ (kN).
k : Hệ số tính theo công thức sau đây tùy thuộc tỷ số của khoảng cách nằm ngang ai (m) từ cột đến chiếc cột nội boong ở trên, chia cho khoảng cách lj (m) từ cột đến cột hoặc đến vách (Xem Hình 2- A/9.1):

Hình 2-A/9.1 Đo S, b, l,...

2. Nếu có hai hoặc nhiều cột nội boong đặt trên sống boong đỡ bởi dãy cột dưới thì chiếc cột dưới phải có kích thước theo qui định ở -1, lấy k w0 của mỗi chiếc cột nội boong đặt lên hai nhịp kề nhau đỡ bởi cột dưới.
3. Nếu các cột nội boong bị dịch chuyển theo phương ngang tàu ra khỏi các cột dưới thì kích thước của cột phải được xác định theo nguyên tắc qui định ở -1 và -2.
9.2.3. Chiều dày cột
1. Chiều dày (t) của cột ống phải không nhỏ hơn trị số tính theo công thức sau đây :
t = 0,022dp +4,6 (mm)
Trong đó:
dp : Đường kính ngoài của cột ống (mm).
Tuy nhiên, yêu cầu này có thể được thay đổi thích hợp đối với các cột đặt trong khu vực sinh hoạt.
2. Chiều dày bản thành và bản mép của cột ghép phải đủ để chống mất ổn định cục bộ.
9.2.4. Đường kính ngoài của cột tròn
Đường kính ngoài của cột tròn đặc và của cột ống phải không nhỏ hơn 50 mi-li-mét.
9.2.5. Cột đặt trong két sâu
1. Cột đặt trong két sâu phải không được là cột ống.
2. Diện tích tiết diện cột (A) phải không được nhỏ hơn trị số qui định ở 9.2.1 hoặc trị số tính theo công thức sau đây, lấy trị số nào lớn hơn.
A = 1,09 Sbh (cm2)
Trong đó:
S và b : Như được qui định ở 9.2.2.
h = 0,7 lần khoảng cách thẳng đứng từ nóc két sâu đến điểm ở 2 mét cao hơn miệng ống tràn (m).
9.3. Vách dọc và các kết cấu khác bố trí thay thế cột chống
9.3.1. Kết cấu
Vách ngang đỡ sống dọc boong và vách dọc bố trí thay thế cột chống phải được gia cường sao cho tạo được đế tựa không kém hiệu quả so với đế tựa tạo bởi cột chống.
9.4. Vách quây bố trí thay thế cột
9.4.1. Kết cấu
Vách quây bố trí thay thế cột phải có đủ kích thước để chịu được tải trọng boong và áp suất ngang.
CHƯƠNG 10 SỐNG BOONG
10.1. Qui định chung
10.1.1. Phạm vi áp dụng
Sống ngang boong đỡ xà dọc boong và sống dọc boong đỡ xà ngang boong phải thỏa mãn các yêu cầu của Chương này.
10.1.2. Vị trí
Trong vùng hõm vách và nóc két sống boong phải cố gắng được đặt cách nhau không xa quá 4,6 mét.
10.1.3. Kết cấu
1. Sống boong phải có bản mép được đặt dọc theo cạnh dưới của bản thành.
2. Mã chống vặn phải được đặt cách nhau khoảng 3 mét và nếu chiều rộng của bản mép ở mỗi bên của bản thành lớn hơn 180 mi-li-mét thì các mã đó phải đỡ cả bản mép.
3. Chiều dày bản mép (t) của sống boong phải không nhỏ hơn chiều dày của bản thành. Chiều rộng của bản mép phải không nhỏ hơn trị số tính theo công thức sau đây :

Trong đó :
d0 : Chiều cao tiết diện bản thành (m).
l : Chiều dài nhịp của sống qui định ở 10.2.1-1.
4. Chiều cao tiết diện sống phải lớn hơn 2,5 chiều cao của lỗ khoét để xà boong xuyên qua. Với sống dọc thì chiều cao tiết diện phải được giữ không đổi trên đoạn giữa hai vách kề cận nhau.
5. Sống phải có đủ độ cứng để chống biến dạng quá mức của boong và ứng suất bổ sung quá lớn ở xà boong.
10.1.4. Liên kết mút
1. Liên kết mút sống boong phải thỏa mãn các yêu cầu ở 1.1.14.
2. Nẹp vách và sống vách ở dưới các mút sống boong phải được gia cường thích đáng để đỡ sống boong.
3. Sống dọc boong phải liên tục hoặc phải được liên kết chắc chắn để đảm bảo sự liên tục ở các mút.
10.2. Sống dọc boong
10.2.1. Mô đun chống uốn của tiết diện sống dọc boong
1. Mô đun chống uốn (Z) của tiết diện sống dọc boong ở ngoài đường miệng khoang của boong tính toán ở đoạn giữa tàu phải không nhỏ hơn trị số tính theo công thức sau đây :
Z = 1,29l (Ibh + kw) (cm3)
Trong đó:
/ : Khoảng cách giữa các đường tâm cột hoặc từ đường tâm cột đến vách (m). Nếu sống boong được cố định chắc chắn với vách bằng mã thì l có thể được thay đổi theo 1.1.16 (xem Hình 2-A/ 10.1).
b : Khoảng cách giữa các trung điểm của hai nhịp kề nhau của xà được đỡ bởi sống hoặc sườn (m) (xem Hình 2-A/10.1).
h : Tải trọng boong qui định ở 8.2 cho boong được đỡ (kN/m2).
w : Tải trọng boong được đỡ bởi cột nội boong như qui định ở 9.2.2 (kN).
k : Như qui định ở (a) và (b) sau đây:
(a) Hệ số tính theo công thức sau đây tùy thuộc tỷ số giữa khoảng cách nằm ngang từ cột hoặc vách đỡ sống boong đến cột nội boong a (m) và / ( xem Hình 2-A/10.1).

(b) Nếu chỉ có một cột nội boong thì k được tính toán dựa trên trị số nhỏ hơn của a. Nếu có hai hoặc nhiều cột nội boong thì a phải được đo từ cùng một mút của l cho mỗi cột nội boong và tổng của kw sẽ được dùng để tính toán công thức. Trong trường hợp này sẽ dùng trị số lớn hơn trong các tổng kw dựa trên a đo từ mỗi mút của /.

Hình 2-A/10.1 Đo l, b và a
2. Hệ số trong công thức ở -1 có thể được giảm dần đối với những sống dọc boong ở ngoài đường miệng khoang của boong tính toán ở các đoạn trước và sau đoạn giữa tàu. Tuy nhiên, trong mọi trường hợp mô đun chống uốn (Z) của tiết diện phải không nhỏ hơn trị số tính theo công thức sau đây :
Z = 0,484l (Ibh + kw) (cm3)
Trong đó:
l, b, h, w và k: Như được qui định ở -1.
3. Mô đun chống uốn của tiết diện sống dọc boong ở những vùng không được qui định ở -1 và -2 phải không được nhỏ hơn trị số tính theo công thức ở -2.
10.2.2. Mô men quán tính của tiết diện sống dọc boong
Mô men quán tính (l) của tiết diện sống dọc boong phải không nhỏ hơn trị số tính theo công thức sau đây :
/ = CZ l (cm4)
Trong đó:
C : Hệ số được lấy như sau :
1,6 : Đối với sống boong ở ngoài đường miệng khoang của boong tính toán ở đoạn giữa tàu.
4,2 : Đối với các sống boong khác.
Z : Mô đun chống uốn yêu cầu của tiết diện sống dọc boong qui định ở 10.2.1 (cm3).
/ : Như qui định ở 10.2.1-1.
10.2.3. Chiều dày bản thành
1. Chiều dày bản thành (t) phải không nhỏ hơn trị số tính theo công thức sau đây :
t = 10S1 +2,5 (mm)
Trong đó:
S1 : Khoảng cách giữa các nẹp gia cường bản thành hoặc chiều cao tiết diện bản thành lấy trị số nào nhỏ hơn (m).
2. Ở hai đoạn mút dài 0,2 /, chiều dày bản thành (t) phải không nhỏ hơn trị số qui định ở -1 và trị số tính theo công thức sau đây, lấy trị số nào lớn hơn:

Trong đó:
d0 : Chiều cao tiết diện bản thành (m).
b, h, l: Như qui định ở 10.2.1-1.
3. Trong các két sau chiều dày bản thành phải lớn hơn các trị số tính theo các công thức ở -1 và -2 là 1 mi-li-mét.
10.3. Sống ngang boong
10.3.1. Mô đun chống uốn của tiết diện sống ngang boong
Mô đun chống uốn (Z) tiết diện của sống ngang boong phải không nhỏ hơn trị số tính theo công thức sau đây:
Z = 0,484 l (lbh + kw) (cm3)
Trong đó:
l : Khoảng cách giữa các đường tâm cột hoặc từ đường tâm cột đến đỉnh trong của mã xà (m).
b : Khoảng cách giữa hai sống ngang lân cận nhau hoặc từ sống ngang đến vách (m).
h : Như qui định ở 10.2.1.
w và k: Như qui định ở 10.2.1.
10.3.2. Mô men quán tính của tiết diện sống ngang boong
Mô men quán tính (I) của tiết diện sống ngang boong phải không nhỏ hơn trị số tính theo công thức sau đây :
I = 4,2 Z l (cm4)
Trong đó :
Z: Mô đun chống uốn yêu cầu của tiết diện sống qui định ở 10.3.1 (cm3).
l : Như qui định ở 10.3.1.
10.3.3. Chiều dày bản thành
Chiều dày của bản thành phải thỏa mãn các yêu cầu ở 10.2.3.
10.4. Sống boong trong các két
10.4.1. Mô đun chống uốn của tiết diện sống boong
Mô đun chống uốn của tiết diện sống boong trong các két phải thỏa mãn các yêu cầu ở 10.2.1 hoặc 10.3.1 và cũng phải thỏa mãn các yêu cầu ở 12.2.5-1.
10.4.2. Mô men quán tính của tiết diện sống boong
Mô men quán tính của tiết diện sống boong phải thỏa mãn các yêu cầu ở 12.2.5-2.
10.4.3. Chiều dày bản thành
Chiều dày bản thành phải thỏa mãn các yêu cầu ở 10.2.3 hoặc 10.3.3 và cũng phải thỏa mãn các yêu cầu ở 12.2.5-3.
10.5. Sống dọc miệng khoang
10.5.1. Sống dọc có thành cao ở trên boong
Nếu thành cao của miệng khoang được đặt ở trên boong như trường hợp miệng khoang ở boong chịu thời tiết, thì theo thỏa thuận với Đăng kiểm, thanh nẹp nằm và phần bản thành tính lên đến thanh nẹp đó có thể được đưa vào tính toán mô đun chống uốn.
10.5.2. Sự liên tục của độ bền ở góc miệng khoang
Ở góc miệng khoang các bản mép của thành dọc miệng khoang và của sống dọc boong hoặc của các đoạn kéo dài của chúng và các bản mép và cả hai bên của xà ngang đầu miệng khoang phải được liên kết chắc chắn với nhau để đảm bảo sự liên tục của độ bền.
10.6. Xà ngang đầu miệng khoang
10.6.1. Kích thước của xà ngang đầu miệng khoang
Kích thước của xà ngang đầu miệng khoang phải thỏa mãn các yêu cầu ở 10.3,10.4 và 10.5.
CHƯƠNG 11 VÁCH KÍN NƯỚC
11.1. Bố trí vách kín nước
11.1.1. Vách chống va
1. Tàu phải có vách chống va đặt ở vị trí không gần hơn 0,05Lf hoặc 10 mét lấy trị số nào nhỏ hơn, nhưng không xa quá 0,08 Lf tính từ mút trước của chiều dài đo mạn khô, trừ khi mà một khoảng cách lớn hơn được Đăng kiểm chấp nhận vì lý do đặc biệt của kết cấu. Tuy nhiên, nếu có phần nào của tàu nằm phía dưới đường nước vẽ ở độ cao bằng 0,85 chiều cao mạn thiết kế nhỏ nhất của tàu vươn quá về phía trước của mút trước của chiều dài đo mạn khô thì khoảng cách nói trên phải được đo từ một trong số các điểm sau đây :
(a) Trung điểm của đoạn vươn nói trên.
(b) Điểm ở cách 0,015 Lf về phía trước của điểm mút trước của chiều dài đo mạn khô.
(c) Điểm ở cách 3 mét về phía trước của điểm mút trước của chiều dài đo mạn khô. Lấy điểm nào cho được trị số nhỏ nhất.
2. Trong phạm vi qui định ở -1 vách có thể có bậc hoặc hõm.
3. Ở những tàu có cửa mũi, vị trí của vách chống va phải được Đăng kiểm xét duyệt đặc biệt. Tuy nhiên, nếu có sàn cầu dốc tạo thành một phần của vách chống va ở trên boong mạn khô thì phần sàn cầu dốc ở cao hơn 2,3 mét trên boong mạn khô có thể được phép vươn về phía trước giới hạn qui định ở -1. Trong trường hợp này sàn cầu phải kín nước trên toàn bộ chiều dài của nó.
11.1.2. Vách đuôi
1. Tàu phải có vách đuôi đặt ở vị trí thích hợp.
2. Ống bao trục đuôi phải nằm trong khoang kín nước tạo bởi vách đuôi hoặc một kết cấu thích hợp khác.
11.1.3. Vách buồng máy
Ở hai đầu buồng máy phải đặt vách kín nước.
11.1.4. Vách khoang
1. Thêm vào các qui định ở từ 11.1.1 đến 11.1.3, ở những tàu hàng kiểu thông thường phải có các vách khoang đặt theo khoảng cách thích hợp sao cho tổng số vách kín nước phải không nhỏ hơn trị số cho ở Bảng 2- A/11.1.
Bảng 2-A/11.1 Số lượng vách kín nước
| L (m) | Tổng số vách kín nước |
| 90 ≤ L< 102 | 5 |
| 102 ≤ L < 123 | 6 |
| 123 ≤ L < 143 | 7 |
| 143 ≤ L < 165 | 8 |
| 165 ≤ L < 186 | 9 |
| 186 ≤ L | Đăng kiểm qui định trong từng trường hợp |
2. Nếu do yêu cầu khai thác của tàu mà không thể chấp nhận được số lượng vách khoang như yêu cầu ở trên thì phải có một giải pháp khác được Đăng kiểm chấp nhận.
11.1.5. Chiều cao của vách kín nước
Các vách kín nước qui định ở từ 11.1.1 đến 11.1.4 phải được kéo lên đến boong mạn khô trừ những ngoại lệ sau đây :
(1) Ở vùng boong đuôi nâng hoặc boong thượng tầng mũi vách kín nước phải được kéo lên đến các boong đó.
(2) Nếu ở thượng tầng mũi có miệng khoét không có thiết bị đóng kín và dẫn vào không gian ở dưới boong mạn khô, hoặc nếu có thượng tầng mũi chạy dài thì vách chống va phải đi lên đến boong thượng tầng và phải kín nước. Tuy nhiên, nếu phần vách kéo thêm là ở trong các vùng qui định ở 11.1.1 và phần boong tạo thành bậc là kết cấu kín nước thì phần kéo thêm của vách không cần thiết phải được đặt trực tiếp trên phần vách ở dưới đó.
(3) Vách đuôi có thể được kết thúc ở boong phía trên của đường trọng tải thiết kế cực đại với điều kiện là boong đó phải kín nước đến đuôi tàu.
11.1.6. Độ bền ngang của thân tàu
1. Nếu những vách kín nước yêu cầu ở từ 11.1.1 đến 11.1.5 không đi lên tới boong tính toán thì ở ngay trên hoặc gần trên vách kín nước chính phải đặt những cơ cấu khỏe hoặc những đoạn vách để đảm bảo độ bền ngang hoặc độ cứng ngang của thân tàu.
2. Nếu chiều dài của khoang lớn hơn 30 mét thì phải có biện pháp thích hợp để đảm bảo độ bền ngang và độ cứng ngang của thân tàu.
11.1.7. Hầm xích
1. Hầm xích ở sau vách chống va hoặc ở trong khoang mũi phải kín nước và phải có phương tiện tiêu nước bằng bơm.
2. Hầm xích phải được phân chia bằng vách ngăn dọc tâm.
11.2. Kết cấu của vách kín nước
11.2.1. Chiều dày tôn vách
Chiều dày tôn vách (t) phải không nhỏ hơn trị số tính theo công thức sau đây :

Trong đó:
S : Khoảng cách giữa các nẹp (m).
h : Khoảng cách thẳng đứng đo từ cạnh dưới của tấm tôn vách đến boong vách ở đường tâm tàu (m), nhưng trong mọi trường hợp phải không nhỏ hơn 3,4 mét.
11.2.2. Tăng chiều dày tôn vách ở những chỗ đặc biệt
1. Chiều dày dải dưới cùng của tôn vách ít nhất phải lớn hơn 1 mi-li-mét so với chiều dày tính toán từ công thức ở 11.2.1.
2. Ở đoạn có đáy đôi, dải dưới cùng của tôn vách ít nhất phải lên đến 610 mi-li-mét cao hơn mặt tôn đáy trên. Ở đoạn có đáy đơn, dải dưới cùng của tôn vách ít nhất phải lên đến 915 mi-li-mét cao hơn mặt tôn giữa đáy. Nếu đáy đôi chỉ có ở một bên của vách thì dải dưới cùng phải lên đến chiều cao nào cao hơn trong các chiều cao qui định ở trên.
3. Tôn vách ở rãnh tiêu nước ít nhất phải dày hơn 2,5 mi-li-mét so với chiều dày qui định ở 11.2.1.
4. Ở vùng lỗ khoét đặt ống trục đuôi hoặc trục chân vịt, tôn vách phải là tấm kép hoặc phải được tăng chiều dày, mặc dù những yêu cầu ở 11.2.1.
11.2.3. Nẹp
Mô đun chống uốn (Z) của tiết diện nẹp vách phải không nhỏ hơn trị số tính theo công thức sau đây :
Z = 2,8CShl2 (cm3)
Trong đó :
/ : Chiều dài nhịp nẹp đo giữa các đế lân cận của nẹp kể cả chiều dài của liên kết (m). Nếu có sống vách thì l là khoảng cách từ chân của liên kết mút đến sống thứ nhất hoặc là khoảng cách giữa các sống vách.
Bảng 2-A/11.2 Trị số của C (Nẹp là thép cán hoặc thép ghép)

Chú thích:
(1) "Liên kết hàn tựa" là liên kết mà cả bản thành và bản mép của nẹp được hàn chắc chắn vào tôn boong, tôn vách hoặc tôn đáy trên, các tấm tôn đó được gia cường bằng cơ cấu tựa đặt ở mặt đối diện.
(2) "Liên kết kiểu A" của nẹp đứng là liên kết bằng mã với cơ cấu dọc hoặc với cơ cấu kề ở cùng mặt phẳng với nẹp, có cùng tiết diện hoặc tiết diện lớn hơn (Xem Hình 2-A/11.1 (a)).
(3) "Liên kết kiểu B" của nẹp đứng là liên kết bằng mã với cơ cấu ngang như xà boong hoặc một liên kết khác tương đương với liên kết nói trên (Xem Hình 2-A/11.1 (b)).

Hình 2-A/11.1 Các kiểu liên kết mút
S : Khoảng cách các nẹp (m).
h : Khoảng cách thẳng đứng từ trung điểm của l, nếu là nẹp đứng, và từ trung điểm của khoảng cách giữa hai nẹp lân cận ở hai bên của nẹp đang xét, nếu là nẹp nằm, đến đỉnh của boong vách đo ở đường tâm tàu (m). Nếu khoảng cách thẳng đứng đó nhỏ hơn 6,0 mét thì h được lấy bằng 1,2 mét cộng với 0,8 của khoảng cách thẳng đứng thực.
C : Hệ số cho ở Bảng 2-A/11.2 tùy thuộc kiểu của các liên kết mút nẹp.
11.2.4. Vách sóng
1. Chiều dày tôn vách sóng (t) phải không nhỏ hơn trị số tính theo công thức sau đây :

Trong đó:
h : Như qui định ở 11.2.1.
S1 : Chiều rộng a của tấm mặt hoặc chiều rộng b của tấm nghiêng (Xem Hình 2-A/11.2).
C : Hệ số được cho như sau:

C = 1,0 : Đối với tấm nghiêng
tf và tw : Tương ứng là chiều dày của tấm mặt và tấm nghiêng (mm).
|
|
|
| S1 = a hoặc b S = nửa bước sóng | e = 0,5A hoặc 0,5B lấy trị số nào nhỏ hơn |
| Hình 2-A/11.2 Đo S | Hình 2-A/11.3 Đo l |
2. Mô đun chống uốn (Z) của tiết diện nửa bước sóng của vách sóng phải không nhỏ hơn trị số tính theo công thức sau đây:
Z = 3,6CShl2 (cm3)
Trong đó:
S : Chiều dài của nửa bước sóng (m) (Xem Hình 2-A/11.2).
h : Như qui định ở 11.2.3.
/ : Chiều dài giữa các gối tựa (m) như mô tả ở Hình 2-A/11.3.
C : Hệ số được cho ở Bảng 2-A/11.3 tùy thuộc kiểu liên kết mút.
3. Nếu liên kết mút của vách sóng đặc biệt có hiệu quả thì trị số của C qui định ở -2 có thể được giảm thích hợp.
4. Chiều dày của tôn vách (t) ở vùng 0,2l hai đầu của chiều dài l phải không nhỏ hơn trị số tương ứng tính theo công thức sau đây:
Tấm nghiêng 
Trong mọi trường hợp chiều dày tâm nghiêng phải không nhỏ hơn trị số tính theo công thức sau đây:

Tấm mặt trừ vùng cạnh trên của vách có gân đứng:
t = 12a + 2,5 (mm)
Trong đó:
S, h, l và d0 : Như qui định ở -2.
a và b: Tương ứng là chiều rộng của tấm mặt và tấm nghiêng (m).
C : Hệ số được cho ở Bảng 2-A/11.4. Nếu vách có sóng đứng kết cấu với một nhịp thì trị số C được lấy bằng trị số đối với nhịp trên cùng ghi ở Bảng này.
Bảng 2-A/11.3 Trị số của C

Chú thích :
Z0 : Mô đun chống uốn tối thiểu của tiết diện một nửa bước sóng ở 0,6/ giữa chiều dài của gân sóng (cm3).
Z1 và Z2: Mô đun chống uốn của tiết diện một nửa bước sóng ở các đoạn mút của chiều dài của gân (cm3). Trong trường hợp vách có sóng đứng thì Z1 là mô đun chống uốn của tiết diện ở mút trên và Z2 là mô đun chống uốn của tiết diện ở mút dưới. Nếu chiều dày tôn được tăng theo qui định ở -5 thì mô đun chống uốn của tiết diện phải được tính với chiều dày chưa được tăng.
lH : Chiều cao của thanh ốp tính từ mặt đáy trên (m).
dH: Chiều rộng của thanh ốp ở mặt đáy trên (m).
d0 : Chiều cao của tiết diện sóng (m).
Bảng 2-A/11.4 Trị số của C
| Vị trí | Cạnh trên | Cạnh dưới | |
| Vách có sóng đứng | Nhịp trên cùng | 0,4 | 1,6 |
| Các nhịp khác | 0,9 | 1,1 | |
| Cả hai cạnh của vách có sóng nằm | 1,0 | ||
5. Chiều dày của tôn vách qui định ở -1 và -4 phải thỏa mãn các yêu cầu ở 11.2.2.
6. Mô đun chống uốn (Z) của tiết diện một nửa bước sóng của vách được tính theo công thức :

Trong đó :
a và b : Tương ứng là chiều rộng của tấm mặt và tấm nghiêng (m).
tf và tw : Tương ứng là chiều dày của tấm mặt và tấm nghiêng (mm).
d0 : Chiều cao của tiết diện sóng (m).
11.2.5. Vách chống va
Đối với vách chống va, chiều dày tôn và mô đun chống uốn của tiết diện nẹp phải không nhỏ hơn trị số qui định ở 11.2.1 và 11.2.3 hoặc 11.2.4 lấy h bằng 1,25 chiều cao h qui định ở đó.
11.2.6. Sống vách đỡ nẹp vách
1. Mô đun chống uốn (Z) của tiết diện sống phải không nhỏ hơn trị số tính theo công thức :
Z = 4,75Shl2 (cm3)
Trong đó:
S : Chiều rộng của vùng mà sống phải đỡ (m).
h : Khoảng cách thẳng đứng đo từ trung điểm của l của sống đứng hoặc đo từ trung điểm của S của sống nằm đến đỉnh boong vách ở đường tâm tàu (m). Nếu khoảng cách thẳng đứng đó nhỏ hơn 6,0 mét thì h được lấy bằng 1,2 mét cộng 0,8 khoảng cách thẳng đứng thực.
l : Chiều dài nhịp đo giữa các gối tựa lân cận của sống (m). Nhịp l có thể được thay đổi theo qui định ở 1.1.16. Nếu mã liên kết có cạnh tự do cong lượn thì kích thước hữu hiệu của mã được lấy bằng b như được cho ở Hình 2-A/11.4.

Hình 2-A/11.4 Đo b
2. Mô men quán tính (I) của tiết diện sống phải không được nhỏ hơn trị số tính theo công thức sau đây. Trong mọi trường hợp chiều cao tiết diện sống phải không nhỏ hơn 2,5 chiều cao lỗ khoét để nẹp xuyên qua.
I = 10hl4 (cm4)
Trong đó:
h và l : Như qui định ở -1.
3. Chiều dày bản thành (t) phải không nhỏ hơn trị số tính theo công thức sau đây:
t = 10S1 +2,5 (mm)
Trong đó:
S1 : Khoảng cách giữa các nẹp gia cường bản thành hoặc chiều cao tiết diện sống, lấy trị số nào nhỏ hơn (m).
4. Chiều dày bản thành (t) ở mỗi đoạn mút dài 0,2l phải không nhỏ hơn trị số tính theo các công thức sau đây lấy trị số nào lớn hơn :

Trong đó :
S, h và l : Như qui định ở -1.
d0 : Chiều cao tiết diện sống (m).
S1 : Như qui định ở -3.
C: Như qui định ở 11.2.4-4.
5. Mã chống vặn phải được đặt cách nhau khoảng 3 mét. Nếu chiều rộng của bản mép ở mỗi bên của bản thành của sống lớn hơn 180 mi-li-mét thì mã chống vặn phải đỡ cả bản mép.
6. Mô đun chống uốn và mô men quán tính của tiết diện sống phải được tính toán với mép kèm có chiều rộng ở mỗi bên của sống bằng 0,1/. Trong mọi trường hợp chiều rộng mép kèm phải không lớn hơn 0,5 chiều dài nhịp nẹp. Nếu có những nẹp được đặt trong phạm vi của mép kèm thì chúng có thể được đưa vào tính toán.
11.2.7. Gia cường tôn vách, tôn boong, v.v...
Nếu thấy cần thiết thì tôn vách, tôn boong, tôn đáy trên,v.v…, phải được gia cường ở vùng mã mút nẹp và mã mút sống.
11.2.8. Hõm vách
1. Trong vùng hõm vách, xà boong phải được đặt ở mỗi mặt sườn và ở dưới vách trên theo yêu cầu ở 8.4.3 và 11.2.3 lấy khoảng cách xà boong bằng khoảng cách nẹp. Nếu cạnh dưới của vách trên được gia cường đặc biệt thì có thể không cần đặt xà boong ở dưới vách trên.
2. Chiều dày tôn boong ở vùng hõm vách ít nhất phải lớn hơn 1 mi-li-mét so với chiều dày yêu cầu ở 11.2.1, coi tôn boong là tôn vách và xà boong là nẹp vách. Trong mọi trường hợp chiều dày đó phải không nhỏ hơn chiều dày yêu cầu đối với tôn boong ở vùng đó.
3. Chiều dày của cột đỡ hõm vách phải được xác định có xét đến áp suất nước có thể tác dụng vào mặt trên của hõm vách và các liên kết mút phải đủ để chịu được áp suất nước tác dụng ở mặt dưới.
11.2.9. Kết cấu vách ở vùng đặt cửa kín nước
Nếu nẹp vách bị cắt hoặc khoảng cách nẹp bị tăng để đặt cửa kín nước ở vách thì lỗ khoét phải được kết cấu vững chắc và phải được gia cường để giữ được đầy đủ độ bền của vách. Trong mọi trường hợp, khung cửa không được coi là nẹp vách.
11.3. Cửa kín nước
11.3.1. Qui định chung
1. Lối ra vào, cửa, lỗ chui hoặc lỗ thông gió,v.v..., không được khoét ở vách chống va ở vùng dưới boong mạn khô. Số lượng lỗ khoét ở vách chống va ở vùng trên boong mạn khô phải là tối thiểu và các lỗ khoét đó phải được trang bị phương tiện đóng kín nước.
2. Các lối ra vào ở vách kín nước phải có cửa kín nước thỏa mãn các yêu cầu ở từ 11.3.2 đến 11.3.5.
11.3.2. Các loại cửa kín nước
1. Cửa kín nước phải là cửa trượt. Xét về vị trí và/hoặc điều kiện sử dụng, có thể dùng các loại cửa khác thí dụ như cửa bản lề, cửa lăn.
2. Không cho phép dùng những cửa đóng bằng cách thả rơi hoặc bằng tác dụng của trọng lượng thả rơi.
11.3.3. Độ bền và độ kín
1. Cửa kín nước phải đủ bền và kín nước khi chịu áp suất nước cao đến boong vách, khung cửa phải được liên kết chắc chắn với vách. Nếu Đăng kiểm thấy cần thiết thì cửa phải được thử bằng áp suất nước trước khi được lắp lên tàu.
2. Khung cửa kín nước trượt thẳng đứng phải không có rãnh ở đáy để tránh vật bẩn có thể lọt vào ngăn không cho cửa đóng lại.
11.3.4. Cửa trượt
1. Cửa trượt kín nước phải có thể thao tác được từ một vị trí tiếp cận được ở phía trên boong mạn khô. Ở vị trí thao tác từ xa phải có phương tiện chỉ báo rằng cửa mở hay đóng. Tuy nhiên, có thể không cần phải có phương tiện điều khiển cửa từ xa nếu được Đăng kiểm chấp nhận, xét từ điều kiện khai thác cửa.
2. Nếu phương tiện điều khiển cửa được thao tác bằng thanh truyền thì sự điều khiển thanh truyền thao tác nên cố gắng là trực tiếp và chỉ cần vặn một đai ốc bằng kim loại không gỉ hoặc một vật liệu được chấp nhận khác.
3. Những cửa trượt điều khiển từ xa cũng nên có thể được điều khiển tại chỗ.
11.3.5. Cửa bản lề và cửa lăn
Cửa bản lề kín nước và cửa lăn kín nước phải có thể đóng và cài được từ cả hai phía của vách. Chốt bản lề cửa phải bằng kim loại không gỉ hoặc bằng một vật liệu được chấp nhận khác.
CHƯƠNG 12 KÉT SÂU
12.1. Qui định chung
12.1.1. Định nghĩa
Két sâu (deep tank) là két dùng để chứa nước, nhiên liệu hoặc những chất lỏng khác, tạo thành một phần của thân tàu, ở trong khoang hoặc ở nội boong. Nếu cần thì những két sâu dùng để chứa dầu được gọi là "Két sâu chứa dầu".
12.1.2. Phạm vi áp dụng
1. Những kết cấu ngăn kín nước, trừ những kết cấu qui định ở 12.1.3-4, những vách ngăn khoang mũi và khoang đuôi, những vách biên của két sâu (trừ những két sâu dùng để chứa dầu có điểm bắt cháy bằng và thấp hơn 60°C) phải được kết cấu theo các yêu cầu của Chương này. Nếu phần của vách két sâu được dùng như vách kín nước thì phần đó phải thỏa mãn yêu cầu của Chương 11.
2. Cùng với những yêu cầu của Chương này, những yêu cầu ở Chương 27 phải được áp dụng cho vách của những két sâu dùng để chứa dầu có điểm bốc cháy thấp hơn 60°C.
3. Nếu những qui định thích ứng của Chương này được áp dụng cho các khoang hàng của tàu chở khí hóa lỏng hoặc chở xô những hóa chất nguy hiểm theo qui định của các Phần 8-D và 8-E của TCVN 6259 -8 :2003 thì những khoang hàng đó phải có độ bền tương đương với qui định của chương này, có xét đến những đặc tính của hàng hóa và của vật liệu chế tạo.
12.1.3. Kết cấu ngăn két
1. Két sâu phải có kích thước thích hợp và phải có những kết cấu kín nước phân cách dọc cần thiết để thỏa mãn các yêu cầu về ổn định trong điều kiện khai thác và trong quá trình nạp và xả.
2. Những két nước ngọt, két nhiên liệu và những két được dự kiến không hoàn toàn chứa đầy trong điều kiện khai thác phải có kết cấu ngăn bổ sung hoặc những tấm chống va để giảm lực động tác dụng vào kết cấu.
3. Nếu không thể thỏa mãn được những yêu cầu ở -2 thì phải tăng các kích thước qui định ở Chương này.
4. Các kết cấu ngăn dọc kín nước chịu áp suất từ cả hai bên của các két chứa đầy hoặc các két hoàn toàn trống trong điều kiện khai thác, có thể có các kích thước như yêu cầu đối với các vách kín nước thông thường qui định ở Chương 11.
Trong trường hợp đó két phải có miệng cao,v.v..., cùng với phương tiện kiểm tra để đảm bảo rằng két được chứa đầy trong điều kiện khai thác.
12.1.4. Chiều dày tối thiểu
Trong các két mạn và két sâu có chiều dài hoặc chiều rộng lớn hơn 0,1L + 5,0 (m) và trong các két đỉnh mạn, két hông, chiều dày của các sống, các thanh chống, các mã mút và tôn vách phải không nhỏ hơn các trị số cho ở Bảng 2-A/12.1, tùy thuộc chiều dài của tàu.
Bảng 2-A/12.1 Chiều dày tối thiểu
| L (m) | ≥ | 90 | 105 | 120 | 135 | 150 | 165 | 180 | 195 | 225 | 275 |
| < | 105 | 120 | 135 | 150 | 165 | 180 | 195 | 225 | 275 | — | |
| Chiều dày (mm) | 8,0 | 8,5 | 9,0 | 9,5 | 10,0 | 10,5 | 11,0 | 11,5 | 12,0 | 12,5 | |
12.1.5. Gia cường bổ sung những vách trong két lớn
Với biên của những két lớn, kích thước của tôn vách, của nẹp, của sống và của thanh giằng phải không nhỏ hơn trị số tính theo các công thức tương ứng của 12.2.2, 12.2.3, 12.2.4, 12.2.5 và 12.2.6, trong đó h được lấy theo qui định ở từng mục hoặc được cho theo công thức sau đây, lấy trị số nào lớn hơn :
h = 0,85(h + Dh) (m)
Trong đó:
h : Được qui định theo từng yêu cầu của 12.2.2 (1) hoặc 12.2.3.
Dh: Cột áp bổ sung tính theo công thức sau đây:

lt : Chiều dài của két (m), trong mọi trường hợp được lấy không nhỏ hơn 10 mét.
bt : Chiều rộng của két (m), trong mọi trường hợp được lấy không nhỏ hơn 10 mét, tuy nhiên với khoang dằn của tàu hàng rời có két đỉnh mạn, bt , có thể được lấy bằng 2B/3.
12.2. Vách két sâu
12.2.1. Áp dụng
Trừ khi có những yêu cầu khác của Chương này, kết cấu của các vách và boong tạo thành biên của két sâu phải thỏa mãn những yêu cầu của Chương 11.
12.2.2. Tôn vách
Chiều dày của tôn vách két sâu (t) phải không nhỏ hơn trị số tính theo công thức sau đây :

Trong đó:
S : Khoảng cách giữa các nẹp vách (m).
h : Khoảng cách được cho dưới đây, lấy trị số nào lớn hơn :
(1) Khoảng cách thẳng đứng đo từ cạnh dưới của tấm tôn đến trung điểm của khoảng cách từ đỉnh két đến đỉnh ống tràn (m).
(2) 0,7 khoảng cách thẳng đứng từ cạnh dưới của tấm tôn đến điểm ở 2 mét cao hơn đỉnh ống tràn (m).
12.2.3. Nẹp vách
Mô đun chống uốn (Z) của tiết diện nẹp vách phải không nhỏ hơn trị số tính theo công thức sau đây :
Z = 7CShl2 (cm3)
Trong đó:
S và l : Như qui định ở 11.2.3.
h : Khoảng cách thẳng đứng được cho dưới đây lấy trị số nào lớn hơn. Mút dưới được lấy tại trung điểm của l , nếu là nẹp đứng, và tại trung điểm của khoảng cách giữa hai nẹp kề về hai bên chiếc nẹp đang xét nếu là nẹp nằm :
(1) Khoảng cách thẳng đứng từ mút dưới đến trung điểm của khoảng cách từ đỉnh két đến đỉnh ống tràn (m).
(2) 0,7 khoảng cách thẳng đứng từ mút dưới đến điểm ở 2,0 mét cao hơn đỉnh ống tràn (m).
C : Hệ số được cho trong Bảng 2-A/12.2 tùy thuộc kiểu liên kết mút nẹp.
12.2.4. Vách sóng
1. Chiều dày của tôn vách sóng (t) phải không nhỏ hơn trị số tính theo công thức sau đây:

Trong đó:
S1: Như qui định ở 11.2.4-1.
Bảng 2-A/12.2 Trị số C (Đối với thép cán và thép ghép)

Chú thích:
(1) "Liên kết kiểu A" của nẹp là liên kết bằng mã với đáy đôi hoặc với các cơ cấu kề cận như dầm dọc hoặc nẹp trên cùng mặt phẳng thẳng, có diện tích tiết diện bằng hoặc lớn hơn, hoặc liên kết bằng mã với cơ cấu tương đương với các cơ cấu nói trên (xem Hình 2-A/11.1 (a)).
(2) "Liên kết kiểu B" là liên kết bằng mã với các cơ cấu ngang như xà boong, sườn hoặc cơ cấu tương đương (xem Hình 2-A/11.1 (b)).
h : Như qui định ở 12.2.2.
C: Hệ số được cho dưới đây:
Với tấm mặt: 
Với tấm nghiêng : C = 1,0
tw và tf : Như qui định ở 2.A/11.2.4-1.
2. Mô đun chống uốn (Z) của tiết diện một nửa bước sóng phải không nhỏ hơn trị số tính theo công thức sau đây:
Z = 7CShl2 (cm3)
Trong đó:
S : Như qui định ở 11.2.4-2.
I : Chiều dài giữa các đế tựa (m) như mô tả ở Hình 2-A/12.1.
C : Hệ số được cho ở Bảng 2-A/12.3 tùy thuộc kiểu liên kết mút.
h : Như qui định ở 12.2.3.
Với những vách mà thanh ốp dưới có chiều rộng dH theo phương dọc nhỏ hơn 2,5 chiều cao tiết diện d0 của sóng vách (xem Hình 2-A/12.1) thì cách đo l và trị số của C phải thỏa mãn yêu cầu của Đăng kiểm.
Bảng 2-A/12.3 Trị số của C

3. Ở các đoạn mút 0,2l trên phạm vi của /, chiều dày của tôn vách phải không nhỏ hơn trị số tính theo công thức sau đây:
Chiều dày của tấm nghiêng: 
Trong mọi trường hợp chiều dày tấm nghiêng phải không nhỏ hơn trị số tính theo công thức sau đây :

Chiều dày của tấm mặt, trừ phần trên của vách có gân đứng :
t = 12a + 3,5 (mm)
Trong đó:
h : Như qui định ở 12.2.3.
C, S, d0, a và b: Như qui định ở 11.2.4-4.
l : Như qui định ở -2.
|
|
|

Hình 2-A/12.1 Đo l
12.2.5. Sống đỡ nẹp vách
1. Mô đua chống uốn (Z) của tiết diện sống phải không nhỏ hơn trị số tính theo công thức sau đây:
Z =7,13Shl2 (cm3)
Trong đó :
S: Chiều rộng của vùng mà sống phải đỡ (m).
h : Khoảng cách thẳng đứng từ trung điểm của S, nếu là sống nằm, hoặc từ trung điểm của I, nếu là sống đứng, đến điểm đỉnh của h qui định ở 12.2.3 (m).
l : Chiều dài nhịp của sống qui định ở 11.2.6 (m).
2. Mô men quán tính của tiết diện sống (I) phải không nhỏ hơn trị số tính theo công thức sau đây. Trong mọi trường hợp chiều cao tiết diện sống phải không nhỏ hơn 2,5 chiều cao của lỗ khoét để nẹp xuyên qua :
l = 30hl4 (cm4)
Trong đó :
h và l : Như qui định ở -1.
3. Chiều dày bản thành (t) phải không nhỏ hơn trị số tính theo các công thức sau đây, lấy trị số nào lớn nhất:

Trong đó :
S, h và l : Như qui định ở -1.
S1 : Khoảng cách giữa các nẹp gia cường bản thành hoặc chiều cao tiết diện sống, lấy trị số nào lớn hơn (m)
d1 : Chiều cao tiết diện sống ở chỗ đang được xét trừ chiều cao của lỗ khoét để nẹp xuyên qua (m).
C : Hệ số tính theo các công thức sau đây. Trong mọi trường hợp C phải không nhỏ hơn 0,5 :
Đối với sống nằm : 
Đối với sống đứng : 
x : Khoảng cách từ mút của l đối với sống nằm, và từ mút dưới của l đối với sống đứng, đến vị trí đang xét (m).
4. Trị số thực của mô đun chống uốn và mô men quán tính tiết diện của sống phải được tính toán theo các qui định ở 11.2.6-6.
12.2.6. Thanh giằng
1. Nếu có những thanh giằng đặt qua két sâu để liên kết các sống ở vách két thì nhịp l của sống qui định ở 12.2.5 có thể được đo từ mút của sống đến đường tâm của thanh giằng hoặc đo giữa các đường tâm của hai thanh giằng lân cận nhau.
2. Diện tích tiết diện (A) của thanh giằng phải không nhỏ hơn trị số tính theo công thức :
A = 1,3Sbsh (cm2)
Trong đó :
S và h : Như qui định ở 12.2.5.
bs : Chiều rộng của vùng mà thanh giằng phải đỡ (m).
3. Các mút của thanh giằng phải được liên kết với sống bằng mã.
12.2.7. Kết cấu của nóc và đáy két sâu
Kích thước của các cơ cấu tạo thành nóc và đáy của két sâu phải thỏa mãn các yêu cầu của Chương này, coi các cơ cấu đó như là các cơ cấu tạo thành vách của két sâu tại đó. Trong mọi trường hợp các kích thước của các cơ cấu đó phải không nhỏ hơn các kích thước yêu cầu đối với boong và đáy tàu tại vùng đó. Tôn nóc của két sâu phải có chiều dày lớn hơn chiều dày qui định ở 12.2.2 ít nhất là 1 mi-li-mét.
12.2.8. Kích thước của các cơ cấu không tiếp xúc với nước biển
Chiều dày của tôn vách và sống vách không tiếp xúc với nước biển trong điều kiện khai thác có thể được giảm so với các yêu cầu ở 12.2.2, 12.2.4, và 12.2.5, một lượng được cho dưới đây:
0,5 mm - Nếu tấm chỉ có một mặt tiếp xúc với nước biển.
1,0 mm - Nếu tấm có hai mặt không tiếp xúc với nước biển.
Tuy nhiên tấm vách ở các vùng như rãnh hông phải được coi là tiếp xúc với nước biển.
12.3. Phụ tùng của két sâu
12.3.1. Lỗ dẫn nước và lỗ thông khí
Lỗ dẫn nước và lỗ thông khí phải được khoét ở các cơ cấu để đảm bảo cho nước và không khí không tụ lại ở bất cứ chỗ nào trong két sâu.
12.3.2. Biện pháp tiêu nước từ nóc két
Phải có biện pháp hữu hiệu để tiêu nước từ nóc két.
12.3.3. Phương tiện kiểm tra mức chất lỏng
Phương tiện kiểm tra mức chất lỏng ở két sâu phải được đặt theo yêu cầu ở 12.1.3 tại chỗ có thể tiếp cận ngay được và việc nạp nước nên được thực hiện khi phương tiện kiểm tra đó được để mở.
12.3.4. Ngăn cách ly
1. Ngăn cách ly kín dầu phải được đặt giữa các két chứa dầu và két chứa nước ngọt như nước sinh hoạt, nước nồi hơi,v.v..., có thể bị hư hại khi bị pha trộn dầu.
2. Khu vực thủy thủ và khu vực hành khách phải không trực tiếp kề với két dầu đốt. Các khu vực đó phải được phân cách với két dầu đốt bằng những ngăn cách ly được thông gió tốt và dễ tiếp cận. Nếu nóc két chứa dầu đốt không có lỗ khoét và được bọc bằng chất không cháy có chiều dày bằng và lớn hơn 38 mi-li-mét thì giữa các khu vực đó và nóc két chứa dầu đốt không cần phải đặt ngăn cách ly.
CHƯƠNG 13 ĐỘ BỀN DỌC
13.1. Qui định chung
13.1.1. Trường hợp đặc biệt trong áp dụng
Trong trường hợp mà việc áp dụng trực tiếp những yêu cầu của Chương này cho những tàu nêu ở từ (1) đến (5) sau đây là không hợp lý thì phải được Đăng kiểm xem xét đặc biệt.
(1) Tàu có tỉ số kích thước khác thường
(2) Tàu có miệng khoang quá lớn
(3) Tàu có hệ số béo thể tích Cb quá nhỏ
(4) Tàu có mạn loe rộng và vận tốc lớn
(5) Đối với những tàu chưa được qui định ở từ (1) đến (4), có hình dạng và kết cấu đặc biệt, có những phương tiện đặc biệt để bốc xếp hàng hóa,v.v…
13.1.2. Sự liên tục về độ bền
Các cơ cấu dọc phải được bố trí sao cho đảm bảo sự liên tục về độ bền.
13.2. Độ bền uốn
13.2.1. Độ bền uốn ở đoạn giữa tàu
1. Mô đun chống uốn của tiết diện ngang thân tàu ở đoạn giữa tàu phải không nhỏ hơn trị số Zs tính theo hai công thức sau đây tại tiết diện đang xét của chiều dài tàu trong mọi điều kiện tàu và dằn :

Trong đó:
Ms : Mô men uốn dọc tàu trên nước tĩnh (kN.m) tại tiết diện ngang đang xét theo chiều dài tàu, tính toán theo phương pháp được Đăng kiểm thừa nhận. Tuy nhiên, trị số dương của Ms được định nghĩa là trị số dương tính toán với qui ước là tải trọng tác dụng theo chiều đi xuống được coi là dương và phép tính tích phân được thực hiện từ đuôi tàu về mũi tàu (Hình 2-A/13.1).

Hình 2-A/13.1 Trị số dương của mô men uốn dọc
Mw(+) và Mw(-) : Mô men uốn dọc tàu do sóng (kNm) tại tiết diện ngang đang xét theo chiều dài tàu, tính theo các công thức dưới đây :

C1 : Được tính theo biểu thức sau đây :

L1 : Chiều dài của tàu qui định ở 1.2.16 Phần 1-A hoặc 0,97 lần chiều dài đo theo đường nước chở hàng thiết kế lớn nhất, lấy trị số nào nhỏ hơn (m).
Cb : Thể tích chiếm nước ở đường tải nước chở hàng thiết kế lớn nhất chia cho L1Bd. Tuy nhiên, nếu tỷ số này nhỏ hơn 0,6 thì Cb được lấy bằng 0,6.
C2: Hệ số qui định theo vị trí tiết diện ngang thân tàu đang xét theo chiều dài tàu, được cho ở Hình 2- A/13.2.
2. Mặc dù những yêu cầu ở -1, mô đun chống uốn của tiết diện ngang thân tàu tại trung điểm của L phải không nhỏ hơn trị số Wmin tính theo công thức sau đây :

Trong đó:
C1, L1, C'b : Được lấy như qui định ở -1.
3. Mô men quán tính của tiết diện ngang thân tàu (I) tại trung điểm của L phải không nhỏ hơn trị số tính theo công thức sau đây. Tuy nhiên, phương pháp tính mô men quán tính của tiết diện ngang thực của thân tàu phải theo các qui định tương ứng ở 13.2.3.

Trong đó:
Wmin : Mô đun chống uốn của tiết diện ngang thân tàu tại trung điểm của L như qui định ở -2.
L1 : Như qui định ở -1.

Khoảng cách tính từ mút sau của L
Hình 2-A/13.2 Trị số của hệ số C2
4. Kích thước của các cơ cấu dọc thân tàu ở đoạn giữa tàu phải không nhỏ hơn kích thước của các cơ cấu dọc do tại trung điểm của L xác định theo yêu cầu ở -2 và -3, không kể những thay đổi kích thước cơ cấu do sự thay đổi hình dạng của tiết diện ngang thân tàu.
13.2.2. Độ bền uốn của những tiết diện nằm ở ngoài phạm vi đoạn giữa tàu
1. Độ bền uốn của những tiết diện nằm ở ngoài phạm vi đoạn giữa tàu phải được xác định theo các yêu cầu ở 15.2.
2. Nếu Đăng kiểm thấy rằng việc áp dụng những yêu cầu ở -1 là không thích hợp thì độ bền của các tiết diện nằm ở ngoài phạm vi đoạn giữa tàu phải được xác định theo 13.2.1-1 kèm theo những thay đổi cần thiết.
13.2.3. Tính toán mô đun chống uốn của tiết diện ngang thân tàu
Việc tính toán mô đun chống uốn của tiết diện ngang thân tàu phải dựa trên các yêu cầu từ (1) đến (6) sau đây :
(1) Tất cả các cơ cấu dọc được coi là hữu hiệu đối với độ bền dọc phải được đưa vào tính toán.
(2) Những lỗ khoét ở boong tính toán phải được trừ khỏi tiết diện dùng trong tính toán mô đun chống uốn.
Tuy nhiên, những lỗ khoét nhỏ có chiều dài không lớn hơn 2,5 mét và có chiều rộng không lớn hơn 1,2 mét, sẽ không cần phải trừ đi, nếu tổng chiều rộng các lỗ khoét tại một tiết diện ngang không lớn hơn:
0,06(B-Sb)
Trong đó :
Sb : Tổng chiều rộng của các lỗ khoét có chiều rộng lớn hơn 1,2 mét hoặc có chiều dài lớn hơn
2,5 mét.
(3) Mặc dù các yêu cầu ở (2), các lỗ khoét nhỏ ở boong tính toán sẽ không bị trừ nếu tổng chiều rộng của chúng tại mỗi tiết diện ngang không làm giảm mô đun chống uốn tính với boong tính toán hoặc với đáy tàu đi nhiều hơn 3%.
(4) Những lỗ khoét boong qui định ở (2) và (3) gồm cả vùng phủ khuất tạo bởi hai đường tiếp tuyến với lỗ khoét tạo thành góc 30° có đỉnh ở trên đường tâm lỗ khoét nhỏ theo chiều dài của tàu.
(5) Mô đun chống uốn tính với boong tính toán phải được tính bằng cách chia mô men quán tính của tiết diện ngang thân tàu quanh trục trung hòa nằm ngang cho khoảng cách a hoặc b sau đây lấy trị số nào lớn hơn:
a : Khoảng cách thẳng đứng từ trục trung hòa đến mặt boong tính toán đo ở mạn tàu (m).
b : Khoảng cách tính theo công thức sau đây :

Trong đó:
X : Khoảng cách nằm ngang đo từ mặt của cơ cấu khỏe liên tục đến đường tâm tàu (m).
Y: Khoảng cách thẳng đứng đo từ trục trung hòa đến mặt của cơ cấu khỏe liên tục (m).
Trong trường hợp này X và Y phải được đo tại điểm cho trị số lớn nhất tính theo công thức nói trên.
(6) Mô đun chống uốn tính với đáy tàu được tính bằng cách chia mô men quán tính của tiết diện ngang thân tàu quanh trục trung hòa nằm ngang cho khoảng cách thẳng đứng từ trục trung hòa đến mặt tôn giữa đáy.
13.3. Độ bền cắt
13.3.1. Chiều dày tôn bao của tàu không có vách dọc
1. Chiều dày tôn mạn phải không nhỏ hơn trị số ts tính theo hai công thức sau đây tại tiết diện ngang được xét trên chiều dài tàu trong mọi điều kiện tải trọng và dằn :

Trong đó:
I: Mô men quán tính (cm4) của tiết diện ngang thân tàu đang xét lấy đối với trục trung hòa nằm ngang của nó, trong đó các yêu cầu ở 13.2.3 phải được áp dụng vào tính toán.
m: Mô men diện tích lấy đối với trục trung hòa nằm ngang (cm3), tại tiết diện ngang thân tàu, của các cơ cấu dọc ở trên đường nằm ngang đi qua tiết diện đang xét của tấm vỏ trong trường hợp tiết diện đang xét nằm trên trục trung hòa nằm ngang, hoặc của các cơ cấu dọc nằm dưới trục trung hòa nằm ngang trong trường hợp tiết diện đang xét nằm dưới trục trung hòa nằm ngang, nếu các yêu cầu ở 13.2.3 được áp dụng vào tính toán.
Fs: Lực cắt trên nước tĩnh (kN) tại tiết diện ngang đang xét của chiều dài tàu tính theo phương pháp được Đăng kiểm chấp nhận. Tuy nhiên, trị số dương của Fs được định nghĩa là trị số dương tính được khi coi tải trọng có chiều đi xuống là dương và phép tích phân được thực hiện từ phía đuôi tàu về phía mũi tàu (Xem Hình 2-A/13.3).

Hình 2-A/13.3 Trị số dương của lực cắt
Fw(+) và Fw(-) : Lực cắt do sóng kích thích (kN) tại tiết diện ngang xét trên chiều dài thân tàu tính theo công thức sau đây :

Trong đó:
C1, L1 và C'b: Như qui định ở 13.2.1-1.
C3 và C4 : Hệ số phụ thuộc vào vị trí của tiết diện ngang đang xét trên chiều dài tàu, xác định theo Hình 2-A/13.4 và Hình 2-A/13.5.

Khoảng cách tính từ mút sau của L

Khoảng cách từ mút sau của L
Hình 2-A/13.5 Trị số của hệ số C4
2. Nếu tàu có két hông hoặc két đỉnh mạn, hoặc nếu tàu có những cơ cấu dọc ở dưới boong tính toán được coi là hữu hiệu đối với việc chịu lực cắt thì chiều dày tôn bao mạn yêu cầu ở -1 có thể được giảm theo sự thỏa thuận với Đăng kiểm.
13.3.2. Chiều dày của tôn mạn và tôn vách dọc của những tàu có từ một đến bốn vách dọc
Chiều dày t của tôn mạn và tôn vách dọc của những tàu có vách dọc thuộc một trong các kiểu mô tả ở Hình 2- A/13.6 phải không nhỏ hơn trị số tính theo công thức sau đây tại tiết diện ngang đang xét trên chiều dài tàu trong mọi điều kiện trọng tải và dằn. Tuy nhiên, với những tàu có kết cấu mạn kép có két hông nằm trong kết cấu mạn kép thì chiều dày t phải được Đăng kiểm xét duyệt đặc biệt.

Trong đó:
I và m : Như qui định ở 13.3.1-1.
F : Lực cắt tác dụng lên tôn mạn và tôn vách dọc phải được lấy bằng F(+) hoặc F(-), lấy trị số nào lớn (kN):

Trong đó:
Fs, Fw(+), Fw(-) : Như qui định ở 13.3.1-1.
Các trị số của ΔF có thể được lấy theo Bảng 2-A/13.1, trừ trường hợp Đăng kiểm thấy cần thiết phải xem xét đặc biệt.
|
|
|
|
| Kiểu A | Kiểu B | Kiểu C |
|
|
|
|
| Kiểu D | Kiểu E |
|
Hình 2-A/13.6 Các kiểu tàu có vách dọc
Bảng 2-A/13.1 Các trị số của a và ΔF

Trong đó:
k1 : Trị số qui định ở từ (a) đến (c) dưới đây đối với những vách dọc không phải là ở thân tàu có mạn kép.
k2 : Trị số qui định ở từ (a) đến (c) dưới đây đối với những vách dọc ở thân tàu có mạn kép.
Tuy nhiên, các trị số của k1 và k2 có thể được thay đổi thích hợp nếu có những cơ cấu được coi là tham gia chịu cắt.
(a) Bằng 0: Đối với những phần không có vách dọc.
(b) Bằng 1,0: Đối với những phần có vách dọc trừ các đoạn mút có chiều dài bằng 0,5 Ds.
(c) Đối với những phần trung gian giữa các phần qui định ở (a) và (b) các trị số này được lấy theo phép nội suy tuyến tính.
As, AL và ADL: Tương ứng là diện tích tiết diện tôn mạn, tôn vách dọc ở tàu không có mạn kép và tôn vách dọc ở tàu có mạn kép, ở đoạn giữa tàu (mm2).
Wa, Wb và Wc : Trị số tính theo các công thức :
Wa = ha + hd - d' (m)
Wb = hb + hd - d' (m)
Wc = hc + hd - d' (m)
d' : Chiều chìm tàu ở chỗ đang xét trong điều kiện tải đang xét (m).
ha, hb, hc và hd : Cột áp tính chuyển từ áp suất hàng hóa hoặc của dằn tương ứng ở các két giữa, két mạn, két trong mạn kép (trừ phần trong đáy đôi) và két trong đáy đôi trong điều kiện tải trọng đang xét (m). Nếu tàu có hai vỏ chỉ tạo thành một loại két duy nhất, thì qui định nói trên được áp dụng riêng rẽ cho phần két ở mạn kép và cho phần két ở trong đáy đôi. Nếu đáy đôi được phân chia trong a, b hoặc c thì hd phải được xác định cho từng loại két được phân chia.
a, b và c : Tương ứng là nửa chiều rộng của két giữa, chiều rộng của két mạn và chiều rộng của két mạn kép (m).
S : Khoảng cách giữa các đà ngang đáy trong đáy đôi (m).
ni : Số lượng đà ngang trong đáy đôi ở đoạn từ trung điểm khoảng cách giữa các vách ngang đến tiết diện đang xét. Dấu của ni là âm khi đếm về phía sau và là dương khi đếm về phía trước. Những tấm chống va có tỷ số thủng bằng và lớn hơn 20% sẽ không được coi là vách ngang. Nếu có đà ngang đáy ở trung điểm khoảng cách giữa các vách ngang thì ni, là số đếm được khi đếm chiếc đà ngang đáy đó là 0,5.
b : Như qui định dưới đây :
1,0: Nếu không có sống chính hữu hiệu trong đáy đôi.
0,7: Nếu có sống chính hữu hiệu trong đáy đôi.
13.3.3. Bồi thường vì lỗ khoét
Nếu tôn vỏ có lỗ khoét thì phải quan tâm đầy đủ đến độ bền cắt và phải có biện pháp bồi thường thích đáng.
13.4. Độ ổn định
13.4.1. Qui định chung
1. Độ ổn định của các cơ chính liên quan đến độ bền dọc phải phù hợp với các qui định ở Phần này.
2. Độ ổn định có thể được kiểm tra bằng phương pháp phân tích phù hợp khác với những qui định ở Phần này nhưng phải được Đăng kiểm thẩm duyệt.
3. Khi tính toán ứng suất mất ổn định ở 13.4.3 và 13.4.4, chiều dày khấu trừ tiêu chuẩn lấy bằng trị số cho ở Bảng 2-A/13.2 phụ thuộc vào vị trí đặt các thành phần cơ cấu đang xét, có lưu ý đến tb, tw và tf.
Bảng 2-A/ 13.2 Lượng khấu trừ tiêu chuẩn
Đơn vị tính : mm
| Cơ cấu | Lượng khấu trừ tiêu chuẩn | Trị số giới hạn | |
| Min. | Max. | ||
| 1. Khoang chở xô hàng khô 2. Một mặt tiếp xúc với nước dằn và/ hàng lỏng - mặt thẳng đứng và mặt nghiêng một góc > 25° so với phương ngang. | 0,05t | 0,5 | 1,0 |
| 1. Một mặt tiếp xúc với nước dằn và/ hàng lỏng- mặt nằm ngang và mặt nghiêng một góc < 25° so với phương ngang. 2. Hai mặt tiếp xúc với nước dằn và/ hàng lỏng- mặt thẳng đứng và mặt nghiêng một góc > 25° so với phương ngang. | 0,10t | 2,0 | 3,0 |
| 1. Hai mặt tiếp xúc với nước dằn và/ hàng lỏng- mặt nằm ngang và mặt nghiêng một góc < 25° so với phương ngang. | 0,15t | 2,0 | 4,0 |
Chú thích: t - chiều dày của cơ cấu thành phần đang xét, mm.
13.4.2. Ứng suất làm việc
1. Ứng suất nén sa của cơ cấu đang xét, dùng để kiểm tra độ ổn định phù hợp với các quy định của phần này, phải được xác định theo công thức sau đây, nhưng không nhỏ hơn 30/K:

Trong đó :
K : Hệ số vật liệu của cơ cấu đang xét, được lấy bằng :
1,00 đối với thép thông thường, được qui định ở Chương 3 Phần 7-A;
0,78 đối với thép có độ bền cao, cấp A32, D32, E32 hoặc F32,
0,72 đối với thép có độ bền cao, cấp A36, D36, E36 hoặc F36.
Ms : Mô men uốn dọc tàu trên nước tĩnh, xác định theo 13.2.1 (kN.m);
Mw : Mô men uốn dọc tàu trên sóng, xác định theo 13.2.1 (kN.m)
Đối với các cơ cấu nằm trên trục trung hòa, giá trị Ms và Mw lớn nhất được lấy tương ứng với trị số tính toán trong trạng thái tàu võng xuống phù hợp với vị trí của tiết diện ngang thân tàu đang xét và đối với các cơ cấu nằm dưới trục trung hòa - giá trị Ms và Mw lớn nhất được lấy tương ứng với trạng thái tàu uốn vồng lên.
l : Mô men quán tính tại tiết diện ngang thân tàu đang xét, xác định theo 13.2.3 (cm4)
y : Khoảng cách thẳng đứng từ trục trung hòa đến vị trí của cơ cấu ở tiết diện ngang đang xét (m).
2. Ứng suất cắt làm việc
của cơ cấu đang xét để kiểm tra độ ổn định phù hợp với các yêu cầu trong phần này, phải được xác định theo công thức (1) hoặc (2) dưới đây:
(1) Tàu không có vách dọc

Trong đó :
F : Lực cắt, xác định theo 13.3.1-1, chọn giá trị nào lớn hơn trong các giá trị sau :
|Fs + Fw(+)| hoặc |Fs + Fw(-)| (kN)
m : Mô men diện tích của tiết diện ngang thân tàu đang xét, cm3, xác định theo 13.3.1-1
l : Như nêu ở -1
t : Chiều dày của cơ cấu đang xét (mm)
(2) Tàu có vách dọc

Trong đó:
m, l, t như nêu ở (1)
F Lực cắt, xác định theo 13.3.2 (kN)
13.4.3. Ứng suất mất ổn định đàn hồi của tấm
1. Ứng suất mất ổn định đàn hồi của tấm sE được xác định theo công thức sau:

Trong đó:
E : Mô đun đàn hồi của vật liệu, đối với thép: E = 2,06.105 (N/mm2)
tb : Chiều dày của tấm đang xét (mm)
S : Cạnh ngắn hơn của tấm Panel (m)
Km : Hệ số, đối với tấm có nẹp dọc:

Đối với tấm có nẹp ngang :

/ : Cạnh dài hơn của tấm Panel (m)
y : Tỷ lệ giữa ứng suất nén nhỏ nhất và ứng suất nén lớn nhất sa (như sơ đồ dưới đây theo quan hệ tuyến tính)

Hình 2-A/13.7 Tỷ lệ giữa ứng suất nén nhỏ nhất và lớn nhất
C : Hệ số xác định phụ thuộc vào kiểu nẹp tại cạnh bị nén, được lấy bằng:
1,30 Khi tấm đặt nẹp dạng đà ngang hoặc sống có tấm thành cao;
1,21 Khi nẹp là thép góc hoặc tiết diện chữ T;
1,10 Khi nẹp là thép mỏ;
1,05 Khi nẹp là thép thanh.
2. Ứng suất mất ổn định tE của tấm được xác định theo công thức sau :

Trong đó:
E, tb, s như qui định ở -1

13.4.4. Mất ổn định đàn hồi của các cơ cấu dọc
1. Ứng suất mất ổn định nén sE của các xà dọc, dầm và nẹp dọc được xác định theo công thức sau:

Trong đó :
E : Như qui định ở 13.4.3-1
Ia : Mô men quán tính của cơ cấu dọc kể cả tấm mép bẻ và được tính toán với chiều dày xác định theo 13.4.1-3 (cm4);
A : Diện tích tiết diện ngang của cơ cấu dọc kể cả tấm mép bẻ và được tính với chiều dày xác định theo 13.4.1-3 (cm2);
l : Nhịp của cơ cấu dọc (m)
2. Ứng suất mất ổn định xoắn sE của xà, dầm và nẹp dọc được xác định theo công thức sau:

Trong đó :
It : Mô men quán tính bản thân (cm4) được xác định không kể tấm mép phù hợp với kiểu cơ cấu dọc, theo công thức sau :
- Đối với cơ cấu dạng thanh

- Đối với cơ cấu có tiết diện bẻ mép

lp : Mô men quán tính độc cực (cm4) tính đến liên kết của nẹp với tấm được xác định phù hợp với kiểu cơ cấu dọc, theo công thức sau :
- Đối với cơ cấu dạng thanh

- Đối với tiết diện chữ T

- Đối với cơ cấu có tiết diện thép mỏ hoặc thép góc

Trong đó:
hw : Chiều cao tấm thành, mm;
tw : Chiều dày tấm thành có xét đến lượng khấu trừ tiêu chuẩn như nêu ở 13.4.1-3, mm;
bf : Chiều rộng tấm mép, mm;
tf : Chiều dày tấm mép có xét đến lượng khấu trừ tiêu chuẩn như nêu ở 13.4.1-3, đối với thép mỏ thì chiều dày mỏ là chiều dày trung bình, mm;
l : Nhịp của cơ cấu dọc, mm;

Trong đó:
S : Khoảng cách cơ cấu dọc, m;
tp : Chiều dày của tấm liên kết với cấu dọc có xét đến lượng khấu trừ nêu ở 13.4.1-3, mm
kp : Hệ số tính theo công thức sau đây, nhưng không nhỏ hơn 0. Đối với các cơ cấu dọc có tấm mép, kp không được nhỏ hơn 1 :
kp = 1 - hp với:

Trong đó:
sa: Ứng suất nén tính toán của cơ cấu dọc, theo 13.4.2;
sEP: Ứng suất uốn dọc đàn hồi của tấm đỡ cơ cấu (tấm mép kèm);
E : Như qui định ở 13.4.3-1
m : Trị số lấy theo Bảng 2-A/13.3 dưới đây:
Bảng 2-A/ 13.3 Trị số m
| k | 0 < k < 4 | 4 < k < 36 | 36 < k < 144 | (m- 1)2 < k < m2(m + 1)2 |
| m | 1 | 2 | 3 | m |
3. Ứng suất mất ổn định do nén sE của tấm thành cơ cấu dọc được xác định như sau :

Trong đó : E, tw, hw như qui định ở - 2
13.4.5. Ứng suất mất ổn định tiêu chuẩn
1. Ứng suất mất ổn định tiêu chuẩn khi cơ cấu bị nén sC được xác định theo công thức sau

Trong đó:
sE: Ứng suất mất ổn định, xác định theo 13.4.3 và 13.4.4;
sy: Ứng suất chảy của vật liệu làm cơ cấu đang xét (N/mm2) được lấy bằng:
235 - Đối với thép thường, qui định ở Chương 3, Phần 7-A
315 - Đối với thép có độ bền cao, cấp A32, D32, E32 hoặc F32, qui định ở Chương 3 Phần 7-A
355 - Đối với thép có độ bền cao, cấp A36, D36, E36 hoặc F36, qui định ở Chương 3 Phần 7-A.
2. Ứng suất uốn dọc tiêu chuẩn khi cơ cấu chịu cắt, được xác định như sau:

13.4.6. Tiêu chuẩn chung
Độ ổn định của các cơ cấu chính có liên quan đến độ bền dọc thân tàu phải thỏa mãn điều kiện sau :
(1) sc ≥ bsa - Đối với cơ cấu chịu nén, chịu uốn và chịu xoắn
Trong đó:
b : Hệ số được lấy như sau :
b = 1,0 - Đối với tấm và tấm thành của nẹp;
b = 1,1 - Đối với nẹp;
(2) tc ≥ ta - Đối với các tấm Panel bị mất ổn định do cắt.
13.4.7. Các yêu cầu đặc biệt khác
1. Tấm mép của thép góc và thép chữ T của cơ cấu phải thỏa mãn điều kiện sau đây

Trong đó;
bf: Chiều rộng tấm mép, đối với thép chữ T thì lấy bằng 1/2 tấm mép, mm;
tf : Chiều dày tấm mép, mm.
Đối với cơ cấu dạng thanh, thì tỷ số giữa chiều cao của thanh với chiều dày thanh không được vượt quá 15.
2. Đối với các tàu có mạn loe rộng và tốc độ cao thì phải xem xét đặc biệt đến độ ổn định của boong tính toán, tấm mạn và các cơ cấu dọc trong phạm vi 0,3L - tính từ mút mũi tàu.
CHƯƠNG 14 TÔN BAO VÀ TÔN GIỮA ĐÁY
14.1. Qui định chung
14.1.1. Dự phòng cho han gỉ
Ở những vùng mà do vị trí hoặc điều kiện khai thác của tàu, sự han gỉ được coi là mạnh, chiều dày tôn bao phải được tăng thích đáng so với yêu cầu của Chương này.
14.1.2. Đề phòng mất ổn định
Để đề phòng sự mất ổn định của tôn bao phải quan tâm thích đáng đến biện pháp chống mất ổn định do nén, cùng với những yêu cầu ở 13.4.
14.1.3. Sự liên tục của chiều dày tôn bao
Phải quan tâm thích đáng đến sự liên tục của chiều dày tôn bao, tránh những khác biệt quá lớn giữa chiều dày tôn bao đang xét và chiều dày của tấm tôn bao kề cận.
14.1.4. Xét đến sự va chạm với cầu cảng v.v...
Ở những chỗ mà tôn bao có thể va chạm với cầu cảng v.v..., trong điều kiện khai thác của tàu, phải đặc biệt quan tâm đến chiều dày tôn bao.
14.1.5. Trường hợp khoảng cách từ đường nước chở hàng đến boong tính toán quá lớn
Với tôn bao của những tàu mà khoảng cách từ đường nước chở hàng thiết kế cực đại đến boong tính toán là quá lớn, các yêu cầu của Chương này có thể được thay đổi thích đáng.
14.2. Dải tôn giữa đáy
14.2.1. Chiều rộng và chiều dày của dải tôn giữa đáy
1. Trên suốt chiều dài của tàu, chiều rộng của dải tôn giữa đáy (b) phải không nhỏ hơn trị số tính theo công thức sau đây :
b = 2L + 1000 (mm)
2. Trên suốt chiều dài tàu, chiều dày của dải tôn giữa đáy ít nhất phải lớn hơn 2 mi-li-mét so với chiều dày tôn đáy ở đoạn giữa tàu tính toán theo yêu cầu ở 14.3.4. Tuy nhiên, chiều dày của tôn giữa đáy phải không nhỏ hơn chiều dày của tấm tôn đáy kề cận.
14.3. Tôn bao ở dưới boong tính toán
14.3.1. Chiều dày tối thiểu
Chiều dày tối thiểu (tmin) của tôn bao ở dưới boong tính toán phải không nhỏ hơn trị số tính theo công thức sau đây:

14.3.2. Chiều dày tôn mạn
Chiều dày của tôn mạn, trừ tôn mép mạn, ở dưới boong tính toán ở đoạn giữa tàu phải thỏa mãn các yêu cầu (1) và (2) sau đây cùng với các yêu cầu ở 13.3.1 và 13.3.2.
(1) Ở những tàu kết cấu theo hệ thống ngang, chiều dày cùa tôn mạn (t) phải không nhỏ hơn trị số tính theo công thức sau đây :

Trong đó :
S : Khoảng cách giữa các sườn ngang (m).
L' : Chiều dài của tàu (m). Tuy nhiên, nếu L lớn hơn 230 mét thì lấy L' bằng 230 mét.
C1: Hệ số được cho như sau :
1,0 nếu L ≤ 230 m
1,07 nếu L ³ 400 m
Với các trị số trung gian của L, hệ số C1 được xác định theo phép nội suy tuyến tính.
C2: Hệ số được cho như sau:

a : Được cho ở (a) hoặc (b) lấy trị số nào lớn hơn :

(b) 6,0 - Nếu L ≤ 230 mét
10,5 - Nếu L ≥ 400 mét
Với các trị số trung gian của L thì a được tính theo phép nội suy tuyến tính.
yB : Khoảng cách thẳng đứng từ mặt tôn giữa đáy đến trục trung hòa nằm ngang của tiết diện ngang thân tàu (m).
y : Khoảng cách thẳng đứng từ mặt tôn giữa đáy đến cạnh dưới của tấm tôn mạn đang xét (m).
fB : Tỷ số của mô đun chống uốn của tiết diện ngang thân tàu yêu cầu ở Chương 13 chia cho mô đun chống uốn thực của tiết diện của thân tàu tính với đáy.
x : Được cho theo công thức sau đây (áp dụng cho toàn bộ mục (1)) :
X : Khoảng cách từ mũi tàu đến phần đang xét, đối với tôn mạn ở phía trước của sườn giữa, hoặc khoảng cách từ đuôi tàu đến phần đang xét, đối với tôn mạn ở phía sau sườn giữa (m). Tuy nhiên, nếu X < 0,1 L thì lấy X = 0,1 L và nếu X > 0,3 L thì lấy X = 0,3 L.
h1 : Được cho ở (a) hoặc (b):
(a) Vùng 0,3L kể từ mũi tàu : 
(b) Các vùng khác, trừ vùng (a) : 0
C'b: Hệ số béo thể tích. Tuy nhiên, nếu Cb lớn hơn 0,85 thì lấy Cb' bằng 0,85.
(2) Ở những tàu kết cấu theo hệ thống dọc, chiều dày tôn mạn (t) phải không nhỏ hơn trị số tính theo công thức:

Trong đó:
S : Khoảng cách giữa các sườn dọc (m).
L' : Chiều dài của tàu như qui định ở (1) (m).
C1 : Như qui định ở (1).
C2 : Hệ số được tính theo công thức sau đây, nhưng trong mọi trường hợp phải không nhỏ hơn 3,78:

a : Hệ số qui định ở (1).
x : Được cho ở (1).
14.3.3. Dải tôn mép mạn ở đoạn giữa tàu
Chiều dày cửa dải tôn mép mạn kề với boong tính toán ở đoạn giữa tàu phải không nhỏ hơn 0,75 chiều dày của mép của boong tính toán. Trong mọi trường hợp chiều dày của tôn mép mạn phải không nhỏ hơn chiều dày của tôn mạn kề với nó.
14.3.4. Chiều dày của tôn đáy
Chiều dày của tôn đáy phải theo các yêu cầu ở (1) và (2) sau đây :
(1) Ở những tàu kết cấu theo hệ thống ngang, chiều dày tôn đáy (t) phải không nhỏ hơn trị số tính Theo công thức sau đây:

Trong đó:
S : Khoảng cách giữa các sườn ngang (m)
L' : Chiều dài của tàu như qui định ở 14.3.2 (1) (m).
h1 : Chiều cao cột áp qui định ở 14.3.2 (1).
C1 : Hệ số qui định ở 14.3.2 (1).
C2 : Hệ số được cho như sau: 
fB và x : Như qui định ở 14.3.2 (1).
(2) Ở những tàu kết cấu theo hệ thống dọc chiều dày tôn đáy (t) phải không nhỏ hơn trị số tính theo công thức sau đây:

Trong đó:
S : Khoảng cách giữa các dầm dọc đáy (m).
L' , C1 và h1 : Như qui định ở 14.3.2 (1).
C2 : Hệ số được cho như sau, tuy nhiên nếu C2 nhỏ hơn 3,78 thì được lấy bằng 3,78 :

fB và x : Như qui định ở 14.3.2 (1).
14.3.5. Dải tôn hông ở đoạn giữa tàu
1. Chiều dày của dải tôn hông (t) ở đoạn giữa tàu phải không nhỏ hơn trị số tính theo công thức sau đây, tuy nhiên cũng phải không nhỏ hơn chiều dày của dải tôn đáy kề với nó :

Trong đó:
R : Bán kính cong hông (m).
a và b : Khoảng cách từ cạnh dưới và cạnh trên của cung hông đến các dầm dọc tương ứng gần nhất với các cạnh đó. Khoảng cách lấy ra phía ngoài của cung hông được coi là dương (m). Tuy nhiên, nếu (a+b) là âm thì lấy (a+b) = 0 (xem Hình 2-A/14.1).
L': Như qui định ở 14.3.2.
l : Khoảng cách giữa các đà ngang đặc, các sống ngang đáy hoặc các mã hông (m).
2. Trong hệ thống kết cấu dọc, nếu ở hông tàu có một số dầm dọc bị khuyết thì các dầm dọc phải cố gắng được đặt gần cung hông và phải đảm bảo tính liên tục của độ bền.
3. Nếu ở vùng hông có các dầm dọc được đặt theo khoảng cách gần bằng khoảng cách các dầm dọc đáy thì dải tôn hông có thể chỉ cần thỏa mãn các yêu cầu ở 14.3.4 mà không cần xét đến các yêu cầu ở -1.
|
| Hình 2-A/14.1 Đo a và b
|
14.4. Những yêu cầu đặc biệt đối với tôn bao
14.4.1. Tôn bao ở vùng có mạn loe quá lớn
Ở vùng có mạn loe quá lớn phải quan tâm đặc biệt đến biện pháp gia cường tôn bao để chống tác động va đập v.v..., ở mũi tàu.
14.4.2. Gia cường tôn bao khi khoảng cách cơ cấu đo theo tôn bao sai khác quá nhiều so với khoảng cách sườn
Nếu khoảng cách nẹp đo theo tôn bao đỡ bởi sườn sai khác quá nhiều so với khoảng cách sườn thì tôn bao phải được gia cường tùy theo khoảng cách nẹp thí dụ bằng cách tăng chiều dày.
14.4.3. Tôn bao ở đoạn đuôi của những tàu có công suất máy quá lớn
Ở những tàu có công suất máy quá lớn so với chiều dài của tàu thì phải quan tâm thích đáng đến biện pháp gia cường tôn bao ở đuôi tàu để chống rung.
14.4.4. Tôn bao đáy ở đoạn mũi tàu
Chiều dày tôn bao ở đoạn đáy gia cường mũi tàu qui định ở 4.8.2 phải thỏa mãn các yêu cầu ở (1), (2) và (3) sau đây. Nếu trong điều kiện dằn tàu có chiều chìm mũi quá nhỏ và nếu tàu có vận tốc quá lớn so với chiều dài tàu thì chiều dày của tôn bao phải được xem xét đặc biệt.
(1) Ở những tàu trong điều kiện dằn có chiều chìm mũi không lớn hơn 0,025L', chiều dày tôn bao ở đoạn đáy gia cường mũi tàu (t) phải không nhỏ hơn trị số tính theo công thức sau đây, trong đó L' lấy như được qui định ở 14.3.2.

Trong đó:
C : Hệ số được cho ở Bảng 2-A/14.1. Với các trị số trung gian của a thì C được xác định theo phép nội suy tuyến tính.
a: Tỷ số của khoảng cách sườn, hoặc khoảng cách sống hoặc khoảng cách nẹp dọc của tôn bao (m), lấy trị số nào lớn nhất, chia cho S.
S: Khoảng cách giữa các sườn, khoảng cách giữa các sống hoặc khoảng cách giữa các nẹp dọc của tôn bao lấy trị số nào nhỏ nhất (m).
P: Áp suất va đập của sóng (kPa) qui định ở 4.8.4.
Bảng2-A/14.1 Trị số của C
| a | 1,0 | 1,2 | 1,4 | 1,6 | 1,8 | ≥ 2,0 |
| C | 1,04 | 1,17 | 1,24 | 1,29 | 1,32 | 1,33 |
(2) Ở những tàu trong điều kiện dằn có chiều chìm mũi không nhỏ hơn 0,037L', chiều dày tôn bao ở đoạn đáy gia cường mũi tàu (t) phải không nhỏ hơn trị số qui định ở 14.3.4, hoặc trị số tính theo công thức sau đây, lấy trị số nào lớn hơn. L' được định nghĩa như ở 14.3.2.

Trong đó :
S : Khoảng cách giữa các sườn, khoảng cách giữa các sống hoặc khoảng cách giữa các nẹp của tôn bao, lấy khoảng cách nào nhỏ nhất (m).
(3) Ở những tàu có chiều chìm mũi bằng trung gian giữa các trị số qui định ở (1) và (2), chiều dày của tôn bao ở đoạn đáy gia cường mũi tàu được tính theo phép nội suy tuyến tính.
14.4.5. Tôn bao kề với sống đuôi hoặc trong vùng u đặt trục
Tôn bao kề với sống đuôi hoặc trong vùng u đặt trục phải có chiều dày (t) không nhỏ hơn trị số tính theo công thức sau đây. Tuy nhiên, nếu khoảng cách giữa các sườn ngang trong khoang đuôi lớn hơn 610 mi-li-mét, hoặc nếu chiều dài tàu lớn hơn 200 mét thì chiều dày nói trên phải thỏa mãn yêu cầu của Đăng kiểm.
t = 0,09L + 4,5 (mm)
14.5. Tôn mạn ở vùng thượng tầng
14.5.1. Tôn mạn ở vùng thượng tầng trong trường hợp boong thượng tầng không phải là boong tính toán
Nếu boong thượng tầng không phải là boong tính toán thì chiều dày tôn mạn thượng tầng phải không nhỏ hơn trị số tính theo công thức sau đây, nhưng trong mọi trường hợp phải không nhỏ hơn 5,5 mi-li-mét. Tôn mạn của những thượng tầng có chiều dài lớn hơn 0,15L, trừ những thượng tầng ở đoạn mũi và đoạn đuôi tàu, phải có chiều dày được tăng thích đáng.

Trong đó :
S : Khoảng cách giữa các sườn dọc hoặc sườn ngang tại vị trí đang xét (m).
14.6. Gia cường bồi thường ở các mút thượng tầng
14.6.1. Phương pháp gia cường
Vùng ngắt của thượng tầng phải được gia cường theo các yêu cầu từ (1) đến (3) sau đây:
(1) Mép mạn kề với boong tính toán ở phía ngoài thượng tầng phải được kéo thêm vào phía trong thượng tầng và chiều dày phải được tăng ít nhất là 20% so với trị số bình thường của chiều dày mép mạn ở chỗ không có thượng tầng, trên một khoảng vào bên trong và ra bên ngoài mút thượng tầng.
(2) Tôn mạn thượng tầng phải được vươn xa ra ngoài mút thượng tầng và được giảm dần xuống mép mạn ở boong trên để tránh sự thay đổi đột ngột hình dạng ở chỗ ngắt. Chiều dày tôn mạn ở mút thượng tầng phải được tăng 20% so với chiều dày bình thường của tôn mạn thượng tầng.
(3) Với những vùng ngắt của thượng tầng ở đoạn mũi và đoạn đuôi tàu, những yêu cầu ở (1) và (2) có thể được thay đổi thích hợp.
14.6.2. Lỗ khoét ở tôn bao
Cửa lên tàu, cửa thoát sóng và các lỗ khoét ở tôn bao hoặc ở mạn chắn sóng phải cách xa vùng ngắt. Nếu bắt buộc phải có lỗ khoét ở gần chỗ ngắt thì lỗ khoét phải cố gắng nhỏ và có dạng hình tròn hoặc ô van.
14.7. Bồi thường cục bộ tôn bao
14.7.1. Lỗ khoét ở tôn bao
Các lỗ khoét ở tôn bao phải có góc lượn và phải được bồi thường cần thiết.
14.7.2. Chiều dày của hộp van thông biển
Nếu hộp van thông biển được đặt ở tôn bao để hút hoặc xả nước biển thì chiều dày (t) của hộp van thông biển phải không nhỏ hơn trị số tính theo công thức sau đây và phải được gia cường thích đáng để đảm bảo độ cứng cần thiết. Tuy nhiên, chiều dày đó phải không nhỏ hơn chiều dày yêu cầu của tôn bao ở chỗ đặt hộp van thông biển:

14.7.3. Vùng đặt cửa hàng hóa và cửa lên tàu
Các lỗ khoét để đặt cửa hàng hóa, cửa lên tàu,v.v..., phải ở xa vùng gián đoạn của kết cấu thân tàu và chỗ bị khoét phải được gia cường bồi thường cục bộ để đảm bảo độ bền dọc và độ bền ngang của thân tàu.
14.7.4. Tôn bao ở chỗ đặt ống luồn neo và ở phía dưới ống luồn neo
Tôn bao ở chỗ đặt ống luồn neo và ở phía dưới ống luồn neo phải có chiều dày tăng hoặc phải là tấm kép và phải được kết cấu sao cho mép dọc của chúng không bị neo hoặc xích neo làm hư hại.
CHƯƠNG 15 BOONG
15.1. Qui định chung
15.1.1. Tôn boong
Trừ phần lỗ khoét ở boong v.v..., tôn boong phải đi từ mạn này sang mạn kia.Tuy nhiên, nếu được Đăng kiểm chấp nhận thì tôn boong có thể chỉ gồm tấm mép boong và tấm tôn giằng.
15.1.2. Tính kín nước của boong
Boong thời tiết phải kín nước. Tuy nhiên, nếu được Đăng kiểm chấp thuận, có thể chỉ là boong chịu thời tiết.
15.1.3. Tính liên tục của bậc boong
Nếu boong tính toán hoặc các boong chịu lực (Boong ở phía dưới boong tính toán được coi là cơ cấu chịu lực trong độ bền dọc của thân tàu) thay đổi độ cao thì sự thay đổi đó phải được thực hiện theo độ dốc dần dần hoặc mỗi cơ cấu boong phải được kéo dài và phải được liên kết chặt chẽ với nhau bằng các tấm ngăn, sống, mã v.v..., và phải đặc biệt quan tâm đến tính liên tục của độ bền.
15.1.4. Gia cường bồi thường lỗ khoét
Miệng khoang hoặc các lỗ khoét khác ở boong tính toán hoặc boong chịu lực phải có góc lượn và phải có biện pháp gia cường bồi thường thích đáng.
15.1.5. Mép boong lượn
Mép boong lượn, nếu được sử dụng, phải có bán kính lượn đủ lớn tùy theo chiều dày của nó.
15.2. Diện tích tiết diện hiệu dụng của boong tính toán
15.2.1. Định nghĩa
Diện tích tiết diện hiệu dụng của boong tính toán là diện tích tiết diện ở mỗi bên mạn tàu của tôn boong, xà dọc boong, sống dọc boong v.v..., kéo dài trên đoạn 0,5L giữa tàu.
15.2.2. Diện tích tiết diện hiệu dụng của boong tính toán
1. Diện tích tiết diện hiệu dụng ở đoạn giữa của các tàu mà mô đun chống uốn của tiết diện ngang thân tàu được qui định ở Chương 13, phải được xác định thỏa mãn các yêu cầu của Chương 13.
2. Ra ngoài đoạn giữa tàu, diện tích tiết diện hiệu dụng của boong tính toán có thể được giảm dần kể từ hai mút của đoạn giữa tàu. Tuy nhiên, các trị số ở vị trí 0,15L kể từ đuôi tàu và từ mũi tàu phải không nhỏ hơn 0,4 lần trị số ở điểm giữa của L, nếu tàu có buồng máy ở đoạn giữa tàu và không nhỏ hơn 0,5 lần trị số ở điểm giữa của L, nếu tàu có buồng máy ở đuôi tàu.
3. Nếu mô đun chống uốn của tiết diện ngang thân tàu ở ngoài đoạn giữa tàu lớn hơn trị số đã được Đăng kiểm xét duyệt thì những yêu cầu của mệnh đề bổ sung của -2 có thể không cần phải áp dụng.
15.2.3. Boong tính toán ở ngoài các vùng 0,15L tính từ mỗi mút
Ở ngoài các vùng 0,15L tính từ mỗi mút tàu diện tích tiết diện hiệu dụng của boong tính toán và chiều dày tôn boong tính toán có thể được giảm dần tránh sự thay đổi đột ngột.
15.2.4. Diện tích tiết diện hiệu dụng của boong tính toán trong thượng tầng đuôi dài
Mặc dù các yêu cầu ở 15.2.2, diện tích tiết diện hiệu dụng của boong tính toán trong thượng tầng đuôi dài có thể được thay đổi thích hợp.
15.2.5. Boong của thượng tầng khi được thiết kế là boong tính toán
Nếu boong thượng tầng được thiết kế làm boong tính toán thì tôn boong tính toán ở ngoài thượng tầng phải được kéo dài vào phía trong thượng tầng một đoạn chừng 0,05L mà không giảm diện tích tiết diện hiệu dụng và sau đó có thể được giảm dần khi đi vào phía trong.
15.3. Tôn boong
15.3.1. Chiều dày của tôn boong
1. Chiều dày của tôn boong phải theo các qui định (1) và (2) sau đây, tuy nhiên, trong các không gian kín như thượng tầng, lầu v.v..., chiều dày của tôn boong có thể được giảm 1 mi-li-mét.
(1) Chiều dày của tôn boong tính toán được xác định như sau :
(a) Phía ngoài vùng đường miệng khoét ở đoạn giữa tàu có xà dọc boong :

Trong đó :
S : Khoảng cách giữa các xà dọc boong (m).
C : Hệ số tính theo công thức sau đây :

L' : Chiều dài tàu (m), tuy nhiên nếu L bằng và nhỏ hơn 230 mét thì lấy L' bằng 230 mét và nếu L bằng và lớn hơn 400 mét thì lấy L’ bằng 400 mét.
h : Tải trọng boong qui định ở 8.2 (kN/m2).
(b) Phía ngoài vùng đường miệng khoét ở đoạn giữa tàu có xà ngang boong :

Trong đó:
S : Khoảng cách giữa các xà ngang boong (m).
C và h : Như qui định ở (a).
(c) Ở các vùng khác ngoài các vùng qui định ở (a) và (b) :

Trong đó:
S : Khoảng cách giữa các xà dọc hoặc các xà ngang (m).
C và h : Như qui định ở (a).
(2) Chiều dày tôn boong không phải là boong tính toán được lấy như sau :

Trong đó :
S, C và h: Như qui định ở (1)(c).
2. Nếu các vùng giữa các đường miệng khoét lớn được kết cấu theo hệ thống dọc thì phải quan tâm thích đáng đến biện pháp chống mất ổn định cho tôn boong.
15.3.2. Tôn boong tạo thành nóc két
Chiều dày của tôn boong tạo thành nóc két phải không nhỏ hơn trị số yêu cầu ở 12.2.7 cho vách của két sâu với khoảng cách của xà boong là khoảng cách nẹp.
15.3.3. Tôn boong tạo thành hõm vách
Chiều dày của tôn boong tạo thành nóc hầm trục, nóc hõm ổ chặn hoặc hõm vách phải không nhỏ hơn trị số yêu cầu ở 11.2.8-2 đối với tôn vách kín nước với khoảng cách xà boong là khoảng cách nẹp.
15.3.4. Tôn boong dưới nồi hơi hoặc boong chứa hàng đông lạnh
1. Chiều dày của tôn boong chịu lực ở dưới nồi hơi phải được tăng 3 mi-li-mét so với chiều dày bình thường.
2. Chiều dày của tôn boong chứa hàng đông lạnh phải được tăng 1 mi-li-mét so với chiều dày bình thường. Nếu có phương tiện bảo vệ chống han gỉ thì chiều dày tôn boong không cần phải được tăng.
15.3.5. Chiều dày của tôn boong chịu tải trọng từ xe có bánh
Chiều dày của tôn boong chịu tải trọng xe có bánh phải được xác định theo tải trọng tập trung do xe có bánh.
15.4. Hợp chất phủ boong
15.4.1. Qui định chung
Hợp chất phủ boong phải là hợp chất không phá hủy thép hoặc phải được cách ly với thép bằng lớp bảo vệ thích hợp. Hợp chất phải được phủ chắc chắn lên boong, không gây nứt, gây tróc v.v... (Xem 2.7.1-2 và 2.7.1-3 Phần 5).
CHƯƠNG 16 THƯỢNG TẦNG
16.1. Qui định chung
16.1.1. Phạm vi áp dụng
1. Tàu phải có thượng tầng mũi, trừ trường hợp mạn khô mũi tàu được Đăng kiểm thừa nhận là đủ.
2. Kết cấu và kích thước thượng tầng phải thỏa mãn những yêu cầu của Chương này và các qui định khác có liên quan.
3. Các yêu cầu ở Chương này được áp dụng cho các thượng tầng đến tầng ba phía trên boong mạn khô. Kết cấu và kích thước của các thượng tầng phía trên tầng ba phải được Đăng kiểm xem xét và quyết định.
4. Với những thượng tầng của những tàu có mạn khô quá lớn, kết cấu của các vách mút có thể được thay đổi thích hợp theo sự thỏa thuận với Đăng kiểm.
16.2. Vách mút của thượng tầng
16.2.1. Cột áp h
1. Cột áp (h) để tính toán kích thước vách mút của thượng tầng phải không nhỏ hơn trị số tính theo công thức sau đây:

x : Khoảng cách từ vách đến đường vuông góc đuôi (m).
Cb1: Hệ số béo thể tích. Tuy nhiên, nếu Cb nhỏ hơn 0,6 thì Cb1 phải được lấy bằng 0,6. Nếu Cb lớn hơn hoặc bằng 0,8 thì Cb1 phải được lấy bằng 0,8. Trong tính toán b cho vách sau nằm ở phía trước sườn giữa Cb1 được lấy bằng 0,8.
f : Như được cho ở Hình 2-A/16.1.
y : Khoảng cách thẳng đứng từ đường trọng tải thiết kế cực đại đến trung điểm của nhịp nẹp, nếu cần xác định kích thước của nẹp và đến trung điểm của tấm tôn nếu cần xác định chiều dày của tôn vách (m).
2. Cột áp phải không nhỏ hơn trị số tính theo các công thức cho ở Bảng 2-A/16.1, không phụ thuộc vào qui định ở -1.

Hình 2-A/16.1 Trị số của f
Bảng 2-A/16.1 Cột áp

16.2.2. Chiều dày của tôn vách
1. Chiều dày của tôn vách mút thượng tầng (t) phải không nhỏ hơn trị số tính theo công thức sau đây:

Trong đó:
h : Cột áp qui định ở 16.2.1 (m).
S : Khoảng cách giữa các nẹp (m).
2. Không phụ thuộc vào qui định ở -1, chiều dày tôn vách (t) phải không nhỏ hơn trị số tính theo công thức sau đây, hoặc 5 mi-li-mét, lấy trị số nào lớn hơn :

Trong đó :
L' : Như qui định ở 16.2.1
16.2.3. Nẹp
1. Mô đun chống uốn (Z) của tiết diện nẹp ở các vách mút thượng tầng phải không nhỏ hơn trị số tính theo công thức sau đây :
Z =3,5Shl2 (cm3)
Trong đó:
S và h : Như qui định ở 16.2.2.
l : Chiều cao nội boong (m). Tuy nhiên, nếu l nhỏ hơn 2 mét thì phải lấy bằng 2 mét.
2. Ở vách lộ của thượng tầng, cả hai mút nẹp phải được hàn với tôn boong, trừ trường hợp được sự chấp nhận của Đăng kiểm.
16.2.4. Vách mút của boong dâng
1. Mút trước của boong dâng phải đặt vách nguyên vẹn.
2. Chiều dày tôn và kích thước của nẹp vách qui định ở -1 phải không nhỏ hơn trị số yêu cầu ở 18.2.2 và 18.2.3 coi vách như là vách của thượng tầng tầng một.
16.3. Các phương tiện đóng mở các lối ra vào ở vách mút thượng tầng
16.3.1. Các phương tiện đóng mờ các lối ra vào
1. Các cửa ở các lối ra vào ở các vách trước và sau thượng tầng kín phải thỏa mãn các yêu cầu từ (1) đến (5) sau đây:
(1) Cửa phải bằng thép hoặc một vật liệu tương đương khác và phải được gắn chắc thường xuyên vào vách.
(2) Cửa phải được kết cấu chắc chắn, phải có độ bền tương đương với vách nguyên vẹn và phải đảm bảo kín nước khi đóng.
(3) Phương tiện đảm bảo kín nước phải gồm có vòng đệm và thiết bị xiết hoặc những thiết bị tương đương và phải được gắn thường xuyên vào vách hoặc vào cửa.
(4) Cửa phải có thể thao tác đóng mở từ cả hai phía của vách.
(5) Cửa bản lề phải được mở ra phía ngoài.
2. Chiều cao của ngưỡng cửa qui định ở -1 phải không nhỏ hơn 380 mi-li-mét tính từ mặt trên của boong, trừ trường hợp mà Đăng kiểm thấy ngưỡng cửa cần phải có chiều cao lớn hơn.
CHƯƠNG17 LẦU
17.1. Qui định chung
17.1.1. Phạm vi áp dụng
1. Kết cấu và kích thước cơ cấu của lầu phải thỏa mãn Chương này và các qui định khác có liên quan.
2. Những yêu cầu của Chương này được áp dụng cho lầu đến tầng ba ở phía trên boong mạn khô. Với lầu ở phía trên tầng ba, kết cấu và kích thước cơ cấu phải được Đăng kiểm chấp thuận.
3. Đối với lầu ở những tàu có mạn khô quá lớn, kết cấu của vách có thể được thay đổi thích hợp, khi được Đăng kiểm chấp thuận.
17.2. Kết cấu
17.2.1. Cột áp h
1. Cột áp (h) để tính toán kích thước cơ cấu ở các vách biên của lầu phải không nhỏ hơn trị số tính theo công thức sau đây:

x : Khoảng cách từ vách mút đến đường vuông góc đuôi hoặc khoảng cách từ trung điểm của vách bên đến đường vuông góc đuôi (m). Tuy nhiên, nếu chiều dài của lầu lớn hơn 0,15L thì vách bên phải được chia thành những đoạn gần bằng nhau và không dài quá 0,15L và lấy x là khoảng cách từ trung điểm của mỗi đoạn đó đến đường vuông góc đuôi.
Cb1 : Hệ số béo thể tích. Tuy nhiên, nếu Cb nhỏ hơn và bằng 0,6 thì lấy Cb1 bằng 0,6 và nếu Cb bằng và lớn hơn 0,8 thì lấy Cb1 bằng 0,8. Trong tính toán b đối với các vách sau ở phía trước sườn giữa, Cb1 phải được lấy bằng 0,8.
f : Được cho ở Hình 2-A/16.1.
c : Được cho theo công thức sau đây. Tuy nhiên, nếu
nhỏ hơn 0,25 thì lấy
bằng 0,25.

b' : Chiều rộng của lầu tại vị trí đang xét (m).
B' : Chiều rộng của tàu ở boong lộ tại vị trí đang xét (m).
y : Khoảng cách thẳng đứng từ đường nước thiết kế cực đại đến trung điểm của nhịp nẹp, nếu cần xác định kích thước của nẹp và đến trung điểm của tấm tôn vách nếu cần xác định chiều dày của tôn vách biên (m).
2. Không phụ thuộc vào các qui định ở -1, cột áp phải không nhỏ hơn trị số tính từ các công thức của Bảng 2- A/17.1.
Bảng 2-A/17.1 Cột áp

17.2.2. Chiều dày của tôn vách biên và kích thước của nẹp
1. Chiều dày của tôn vách biên và kích thước của nẹp phải không nhỏ hơn các trị số tương ứng yêu cầu ở 16.2.2 và 16.2.3 lấy cột áp h theo qui định ở 17.2.1.
2. Cả hai mút của nẹp ở vách biên lộ của lầu phải được hàn với tôn boong, trừ trường hợp được Đăng kiểm chấp thuận.
17.2.3. Các phương tiện đóng mở các lối ra vào
Các lối ra vào của lầu bảo vệ các đường ra vào các không gian dưới boong mạn khô hoặc các không gian trong thượng tầng kín ít nhất phải có các phương tiện đóng mở thỏa mãn các yêu cầu ở 16.3. Tuy nhiên, nếu cầu thang được quây kín bằng các vách biên có các phương tiện đóng mở thỏa mãn các yêu cầu ở 16.3 thì các cửa ngoài không cần thiết phải kín thời tiết.
17.2.4. Lầu dài
1. Nếu có vách ngang đặt ở dưới lầu thì phải đặc biệt quan tâm để cố gắng tránh sự gián đoạn trong kết cấu của lầu ở phía trên vách ngang.
2. Ở ngay phía trên của các vách, sườn khỏe hoặc sống dưới boong, vách bên và vách mút của các lầu có kích thước lớn phải được gia cường bằng các đoạn vách hoặc các nẹp đặc biệt đặt cách nhau không xa quá 9 mét.
3. Ở gần các mút của lầu dài phải đặc biệt quan tâm đến các kết cấu liên kết các vách biên của lầu với boong. Các vách biên phải được kết cấu thích hợp để đảm bảo tính liên tục của độ bền và tránh tập trung ứng suất.
17.2.5. Lầu ở dưới các vùng chịu tải từ các thiết bị đặc biệt nặng
Lầu ở dưới các vùng chịu tải từ các thiết bị đặc biệt nặng như xuồng cứu sinh, máy móc trên boong v.v..., phải được gia cường thích đáng.
17.2.6. Lầu ở các boong tầng trên
Đối với các lầu ở các boong tầng trên phải có biện pháp chống rung bằng cách cố gắng đặt các vách bên và các cột chống của các tầng lầu trong cùng một mặt phẳng.
CHƯƠNG 18 MIỆNG KHOANG, MIỆNG BUỒNG MÁY VÀ CÁC LỖ KHOÉT KHÁC Ở BOONG
18.1. Qui định chung
18.1.1. Miễn giảm so với các yêu cầu
Những tàu có mạn khô quá lớn có thể được xem xét đặc biệt để miễn giảm các yêu cầu của Chương này.
18.1.2. Vị trí của các miệng khoét ở boong lộ
Trong Chương này, hai vị trí miệng khoét ở boong lộ được định nghĩa như sau :
Vị trí I: Ở boong mạn khô lộ, boong đuôi nâng lộ và boong thượng tầng lộ ở phía trước của điểm 0,25 Lf sau mút trước của Lf.
Vị trí II: Ở boong thượng tầng lộ phía sau của vùng 0,25 Lf sau mút trước của Lf.
18.2. Miệng khoang
18.2.1. Phạm vi áp dụng
Kết cấu và phương tiện đóng mở của miệng khoang hàng và các miệng khoang khác phải thỏa mãn các yêu cầu của 18.2.
18.2.2. Chiều cao của thành miệng khoang
1. Chiều cao của thành miệng khoang tính từ mặt trên của boong ít nhất phải bằng 600 mi-li-mét đối với vị trí I và 450 mi-li-mét đối với vị trí II.
2. Với những miệng khoang được đóng mở bằng nắp thép kín nước, chiều cao của thành miệng khoang có thể được giảm so với qui định ở -1 hoặc nếu được Đăng kiểm chấp thuận có thể hoàn toàn không có thành miệng khoang.
3. Chiều cao của thành miệng khoang không ở vùng lộ của boong mạn khô hoặc boong thượng tầng phải thỏa mãn yêu cầu của Đăng kiểm có xét đến vị trí của miệng khoang và mức độ bảo vệ.
18.2.3. Kết cấu của thành miệng khoang
1. Chiều dày của thành miệng khoang (t) phải không nhỏ hơn các trị số tính theo các công thức sau đây :

2. Những thành miệng khoang ở vị trí I và những thành miệng khoang ở vị trí II có chiều cao bằng và lớn hơn 760 mi-li-mét phải được gia cường bằng một nẹp gia cường nằm ngang đặt ở một vị trí thích hợp dưới mép trên của thành. Chiều rộng của nẹp gia cường phải không nhỏ hơn 180 mi-li-mét.
3. Thành còn phải được gắn các mã hoặc các cột nẹp đặt trong vùng từ nẹp gia cường nằm ngang qui định ở -2 đến boong cách nhau khoảng 3 mét.
4. Ở mép trên, thành của những miệng khoang lộ phải được gia cường bằng một thanh có tiết diện nửa tròn hoặc tiết diện tương đương. Mép dưới của thành phải được bẻ mép hoặc có kết cấu thích hợp khác.
5. Với những miệng khoét nhỏ, kết cấu và kích thước của thành có thể thay đổi so với yêu cầu ở từ -1 đến -4.
6. Kết cấu và kích thước của các thành miệng khoang có chiều cao lớn hơn 900 mi-li-mét, của thành miệng két sâu và của những thành miệng khoang đóng mở bằng những thiết bị có kiểu đặc biệt không thỏa mãn các yêu cầu ở 18.2.3, phải thỏa mãn yêu cầu của Đăng kiểm.
18.2.4. Xà tháo lắp, nắp miệng khoang, nắp phao thép, nắp thép chịu thời tiết
1. Kích thước nẹp của nắp miệng khoang bằng thép, của nắp phao thép và của nắp thép chịu thời tiết tựa đơn giản lên thành miệng khoang chịu tải trọng phân bố đều (từ sau đây gọi là "Nắp miệng khoang bằng thép") và của xà tháo lắp phải thỏa mãn các yêu cầu ở (1) và (2) sau đây. Nếu điều kiện chịu tải hoặc kiểu kết cấu khác với qui định ở trên thì phương pháp tính toán phải được Đăng kiểm chấp thuận.
(1) Kích thước nẹp của nắp miệng khoang bằng thép và kích thước của xà tháo lắp ở vị trí lộ phải không nhỏ hơn trị số tính theo các công thức sau đây. Với nắp miệng khoang bằng thép thì S và L được thay tương ứng bằng b và S:
Mô đun chống uốn (Z) của tiết diện ở giữa nhịp xà hoặc nẹp :
Z = C1K'k1Shl2 (cm3)
Mô men quán tính (I) của tiết diện ở giữa nhịp xà hoặc nẹp :
I = C2k2Shl3 (cm4)
Diện tích tiết diện (F) bản thành ở các mút xà hoặc mút nẹp :
F = C3K'Shl (cm2)
Trong đó :
S : Khoảng cách giữa các xà tháo lắp hoặc các nẹp (m).
l : Nhịp tự do của xà tháo lắp hoặc của nẹp (m).
b : Chiều rộng của nắp miệng khoang bằng thép (m).
C1, C2 và C3: Được cho ở Bảng 2-A/18.1.
h: Tải trọng sóng giả định (kN/m2) tính theo Bảng 2-A/18.2.
k1 và k2 : Các hệ số được tính theo các công thức cho ở Bảng 2-A/18.3.
K' : Hệ số được cho ở Bảng 2-A/18.4 tùy thuộc vào loại thép.
(2) Kích thước của nẹp nắp miệng khoang hàng bằng thép và của xà tháo lắp dùng để xếp hàng hóa phải không nhỏ hơn trị số tính theo các công thức sau đây. Với nắp miệng khoang bằng thép S và l được thay tương ứng bằng b và S.
Mô đun chống uốn (Z) của tiết diện ở giữa nhịp xà tháo lắp hoặc nẹp :
Z = C1Kk1Shl2 (cm3)
Mô men quán tính (I) của tiết diện ở giữa nhịp xà tháo lắp hoặc nẹp :
I = C2k2Shl3 (cm4)
Diện tích tiết diện (F) bản thành ở các mút của xà tháo lắp hoặc nẹp :
F = C3KShl (cm2)
Trong đó:
S, l, b, k1 và k2: Như qui định ở (1).
C1, C2 và C3: Các hệ số được cho ở Bảng 2-A/18.5.
h : Tải trọng giả định do tác dụng của hàng hóa được cho ở (a) hoặc (b) sau đây :
(a) h phải tương đương với tiêu chuẩn bằng 7 lần chiều cao từ mặt trên của nắp miệng khoang đến boong phía trên đo ở mạn của khoang (m) hoặc 7 lần chiều cao từ boong đang xét đến mép trên của thành miệng khoang của boong phía trên (m). Tuy nhiên, h có thể được lấy bằng trọng lượng thiết kế tối đa của hàng hóa trên một đơn vị diện tích của nắp miệng khoang (kN/m2). Trong trường hợp này trị số của h phải được xác định bằng cách xem xét chiều cao xếp hàng.
Bảng 2-A/18.1 Các hệ số C1, C2 và C3
|
| C1 | C2 | C3 |
| Xà tháo lắp và nắp phao thép | 1,57 | 2,88 | 0,073* |
| Nắp miệng khoang bằng thép, nắp thép chịu thời tiết | 1,33 | 2,26 |
(*): Không áp dụng cho nắp miệng khoang bằng thép.
Bảng 2-A/18.2 Tải trọng sóng giả định h
|
|
| Tải trọng sóng giả định h (kN/m2) | |
|
|
| (D - d) > F | (D - d) ≤ F |
| Vị trí I | Vùng mũi 0,15Lf, nếu Lf > 100 m | 20,4 | 22,9 |
| Các vùng khác |
|
| |
| Vị trí II |
|
| |
Chú thích:
(1) F Là trị số tính theo công thức sau :

(2) L'f = Lf nếu Lf <100 mét và L'f =100 mét nếu Lf > 100 mét
(3) Với các miệng khoang lộ ở các vị trí khác với các vị trí I và vị trí II trị số của tải trọng sóng giả định sẽ được xem xét đặc biệt.
Bảng 2-A/18.3 Các hệ số k1 và k2
| k1 |
| K1 phải không nhỏ hơn 1,0 |
| k2 |
|
|
| I : Chiều dài toàn bộ của xà tháo lắp (m). l1 : Khoảng cách từ mút của đoạn hình trụ đến mút của xà tháo lắp (m). I0 : Mô men quán tính của tiết diện giữa xà tháo lắp (cm4). I1 : Mô men quán tính của tiết diện tại mút xà tháo lắp (cm4). Z0 : Mô đun chống uốn của tiết diện giữa xà tháo lắp (cm3). Z1 : Mô đun chống uốn của tiết diện tại mút xà tháo lắp (cm3).
| ||
(b) Nếu hàng hóa được xếp lên nắp miệng khoang ở boong chịu thời tiết thì h phải bằng trọng lượng thiết kế tối đa của hàng hóa trên một đơn vị diện tích nắp miệng khoang (kN/m2).
K : Hệ số được cho ở Bảng 2-A/18.6 tùy thuộc vào loại thép.
Bảng 2-A/18.4 Hệ số K'
| Loại thép | Thép thường | HT 32 | HT 36 |
| K' | 1 | 0,91 | 0,82 |
Bảng 2-A/18.5 Các hệ số C1, C2 và C3
| C1 | C2 | C3 |
| 1,07 | 1,81 | 0,064 (Không áp dụng cho nắp miệng khoang bằng thép) |
Bảng 2-A/18.6 Hệ số K
| Loại thép | Thép thường | HT 32 | HT 36 |
| K | 1 | 0,78 | 0,72 |
2. Chiều dày (t) của tôn nóc nắp miệng khoang bằng thép phải thỏa mãn các yêu cầu từ (1) đến (3) sau đây :
(1) Đối với nắp miệng khoang bằng thép ở vị trí lộ chiều dày tôn nóc phải không nhỏ hơn 0,01 khoảng cách nẹp, nhưng trong mọi trường hợp phải không nhỏ hơn 6 mi-li-mét.
(2) Đối với nắp miệng khoang bằng thép dùng để xếp hàng hóa, chiều dày của tôn nóc phải không nhỏ hơn trị số tính theo (1) hoặc công thức sau đây lấy trị số nào lớn hơn :

Trong đó :
S : Khoảng cách giữa các nẹp (m).
h : Tải trọng giả định do tác dụng của hàng hóa qui định ở 18.2.4-1 (2) (kN/m2).
K : Hệ số được cho ở Bảng 2-A/18.6.
(3) Nắp miệng khoang bằng thép phải đảm bảo đủ khả năng chống mất ổn định do nén.
3. Chiều dày tối thiểu (tmin) của nắp gỗ phải không nhỏ hơn trị số tính theo các công thức sau đây, nhưng trong mọi trường hợp phải không nhỏ hơn 60 mi-li-mét.

Trong đó:
S : Khoảng cách giữa các xà tháo lắp (m).
h : Tải trọng giả định tính từ công thức cho ở Bảng 2-A/18.2 nếu là ở vùng lộ và cho ở 18.2.4-1 (2) nếu dùng để chở hàng hóa. Nếu h không lớn hơn 17,5 kN/m2 thì phải được lấy bằng 17,5 kN/m2.
18.2.5. Những yêu cầu đặc biệt đối với xà tháo lắp, nắp miệng khoang, nắp phao thép và nắp thép kín thời tiết
1. Xà tháo lắp phải thỏa mãn các yêu cầu từ (1) đến (7) sau đây :
(1) Đầu kẹp và ổ để lắp xà phải có kết cấu chắc chắn, chiều rộng mặt tựa ít nhất phải bằng 75 mi-li-mét. Phải có phương tiện hữu hiệu để đặt và cố định xà.
(2) Từ chỗ đặt đầu kẹp và ổ đến boong thành miệng khoang phải được gia cường bằng nẹp hoặc bằng một biện pháp tương đương.
(3) Nếu dùng những xà trượt thì phải có biện pháp để đảm bảo cho xà giữ nguyên vị trí khi miệng khoang đã được đóng.
(4) Chiều cao tiết diện xà và chiều rộng của bản mép của xà phải sao cho xà không bị mất ổn định ngang. Chiều cao của tiết diện mút xà phải không nhỏ hơn 0,4 lần chiều cao tiết diện giữa xà hoặc 150 mi-li-mét, lấy trị số nào lớn hơn.
(5) Bản mép ở mép trên của xà tháo lắp phải được kéo ra đến tận mút xà. Trên các đoạn dài ít nhất là 180 mi- li-mét ở mỗi mút xà chiều dày của bản thành phải được tăng gấp hai lần so với chiều dày bản thành ở giữa nhịp xà hoặc phải được gia cường bằng tấm kép.
(6) Xà tháo lắp phải có chi tiết để có thể tháo và lắp mà không cần phải tác động trực tiếp đến xà.
(7) Xà tháo lắp phải được đánh dấu chỉ rõ boong, miệng khoang và vị trí lắp đặt xà.
2. Nắp miệng khoang phải thỏa mãn các yêu cầu từ (1) đến (5) sau đây :
(1) Mặt tựa phải rộng ít nhất là 65 mi-li-mét và nếu cần thì phải vát theo độ dốc của miệng khoang.
(2) Nắp miệng khoang phải có móc nâng tùy thuộc trọng lượng và kích thước của nắp, trừ khi theo kết cấu móc nâng là không cần thiết.
(3) Nắp miệng khoang phải được đánh dấu chỉ rõ boong, miệng khoang và vị trí đặt nắp.
(4) Gỗ dùng làm nắp miệng khoang phải có chất lượng tốt, thớ thẳng, không có mấu, hốc và nứt.
(5) Các mút của nắp gỗ phải được bảo vệ bằng vòng đai thép.
3. Nắp phao thép phải thỏa mãn các yêu cầu từ (1) đến (3) sau đây :
(1) Chiều cao tiết diện tại đế phải không nhỏ hơn một phần ba chiều cao tiết diện tại giữa nhịp hoặc không nhỏ hơn 150 mi-li-mét lấy trị số nào lớn hơn.
(2) Chiều rộng mặt tựa của nắp phải thép phải không nhỏ hơn 75 mi-li-mét.
(3) Nắp phải được đánh dấu chỉ rõ boong, miệng khoang và vị trí đặt nắp.
4. Nắp thép kín thời tiết phải thỏa mãn các yêu cầu từ (1) đến (3) sau đây :
(1) Chiều cao tiết diện nắp tại đế phải không nhỏ hơn một phần ba chiều cao tiết diện nắp tại giữa nhịp hoặc 150 mi-li-mét, lấy trị số nào lớn hơn.
(2) Độ bền và thiết bị đóng những nắp nhỏ hoặc những nắp chịu thời tiết thuộc loại đặc biệt mà không thể thỏa mãn được các yêu cầu ở (1) và ở 18.2.4, độ bền và thiết bị đóng các nắp của những miệng khoang không có thành nói ở 18.2.2-2 phải được xem xét đặc biệt.
(3) Các phương tiện cố định và đảm bảo tính chịu thời tiết phải được Đăng kiểm chấp thuận. Các phương tiện đó phải đảm bảo được yêu cầu chịu thời tiết trong bất kỳ điều kiện nào của biển.
18.2.6. Bạt và các thiết bị cố định dùng cho miệng khoang đóng bằng nắp tháo lắp
1. Ít nhất phải có hai lớp bạt cấp A thỏa mãn các yêu cầu ở Chương 6 của TCVN 6259 -7 :2003 Phần 7-B "Trang thiết bị" cho mỗi miệng khoang lộ ở boong mạn khô hoặc boong thượng tầng và ít nhất là một lớp bạt như vậy cho mỗi miệng khoang lộ ở các vùng khác.
2. Các thanh chèn bạt phải đủ để cố định bạt và phải có chiều rộng không nhỏ hơn 65 mi-li-mét, chiều dày không nhỏ hơn 9 mi-li-mét.
3. Nêm phải bằng gỗ cứng hoặc bằng vật liệu tương đương khác. Nêm phải có độ vát không lớn hơn một phần sáu. Mũi nêm phải có chiều dày không nhỏ hơn 13 mi-li-mét.
4. Ổ nêm phải được đặt theo độ vát của nêm, phải có chiều rộng ít nhất bằng 65 mi-li-mét, phải được đặt cách nhau không xa quá 600 mi-li-mét, tính từ tâm nọ đến tâm kia. Chân chốt ở mỗi bên phải được đặt cách góc miệng khoang không xa quá 150 mi-li-mét.
5. Đối với các miệng khoét ở vùng lộ của boong mạn khô và boong thượng tầng, phải có những thanh thép hoặc những phương tiện tương đương để cố định chắc chắn mỗi miếng nắp miệng khoang khi đã được phủ bạt. Những miệng khoang có chiều dài lớn hơn 1,5 mét phải được cố định bằng ít nhất là hai thanh thép như vậy. Các miệng khoang khác ở vùng lộ của boong chịu thời tiết phải có bu lông vòng hoặc các phương tiện chằng buộc khác.
18.2.7. Nắp miệng khoang ở tàu công te nơ
Nếu tàu công te nơ có mạn khô quá Lớn, theo yêu cầu của xưởng đóng tàu hoặc chủ tàu, không muốn áp dụng những qui định phân cấp, theo thỏa thuận với Đăng kiểm, có thể không cần đến những vòng đệm và những thiết bị cố định nắp miệng khoang bằng thép.
18.2.8. Nắp thép của miệng két sâu
Nắp thép của miệng két sau phải thỏa mãn các yêu cầu sau đây:
(1) Thêm vào những yêu cầu đối với nắp thép chịu thời tiết, kích thước của các cơ cấu nắp miệng két sâu còn phải không nhỏ hơn kích thước yêu cầu của các cơ cấu nóc két sâu.
(2) Các phương tiện để cố định và đảm bảo tính kín dầu kín nước phải thỏa mãn yêu cầu của Đăng kiểm.
18.3. Miệng buồng máy
18.3.1. Bảo vệ miệng buồng máy
Miệng buông máy phải được bảo vệ bằng vách quây bằng thép.
18.3.2. Vách quây lộ miệng buồng máy
1. Vách quây lộ miệng buồng máy phải có kích thước cơ cấu không nhỏ hơn kích thước cơ cấu qui định ở 17.2.1 và 17.2.2 với C được lấy bằng 1,0.
2. Chiều dày tôn đỉnh (t) của vách quay lộ miệng buồng máy phải không nhỏ hơn trị số tính theo công thức sau đây:
Vị trí I: t = 6,3S + 2,5 (mm)
Vị trí II: t = 6,0S + 2,5 (mm)
Trong đó:
S : Khoảng cách các nẹp (m).
18.3.3. Vách quây miệng buồng máy ở dưới boong mạn khô hoặc trong không gian kín
Kích thước cơ cấu của vách quây miệng buồng máy ở dưới boong mạn khô hoặc ở trong thượng tầng kín và lầu kín phải thỏa mãn các yêu cầu sau đây :
(1) Chiều dày tôn phải không nhỏ hơn 6,5 mi-li-mét. Nếu khoảng cách hẹp lớn hơn 760 mi-li-mét thì chiều dày tôn phải tăng với tỷ lệ 0,5 mi-li-mét cho mỗi lượng tăng 100 mi-li-mét của khoảng cách nẹp. Trong không gian sinh hoạt chiều dày tôn có thể được giảm 2,0 mi-li-mét.
(2) Mô đun chống uốn (Z) của tiết diện nẹp phải không nhỏ hơn trị số tính theo công thức sau đây :
Z = 1,2Sl3 (cm3)
Trong đó:
l : Chiều cao nội boong (m).
S : Khoảng cách giữa các nẹp (m).
18.3.4. Cửa vào buồng máy
1. Các cửa vào buồng máy phải cố gắng đặt ở vị trí được bảo vệ và phải có cánh cửa bằng thép, có thể đóng và cố định được từ cả hai phía. Ở vách quây lộ miệng buồng máy ở boong mạn khô, cánh cửa phải thỏa mãn các yêu cầu ở 16.3.1-1.
2. Chiều cao của ngưỡng cửa ở vách quây phải không nhỏ hơn 600 mi-li-mét tính từ mặt trên của boong ở vị trí I và không nhỏ hơn 380 mi-li-mét ở vị trí II.
3. Ở những tàu có mạn khô giảm, cửa ở vách quây lộ miệng buồng máy ở boong mạn khô hoặc boong đuôi nâng phải dẫn vào những không gian hoặc hành lang có độ bền tương đương với độ bền của vách quây và tách biệt với cầu thang vào buồng máy bởi một cửa thứ hai bằng thép và kín thời tiết, có chiều cao ngưỡng ít nhất bằng 230 mi-li-mét.
18.3.5. Các lỗ khoét nhỏ ở vách quây miệng buồng máy
1. Thành ống khói và ống thông gió buồng máy ở vị trí lộ của boong mạn khô, boong thượng tầng phải cố gắng cao hơn mặt boong.
2. Ở vị trí lộ của boong thượng tầng và boong mạn khô các lỗ khoét ở vách quây miệng buồng máy phải có nắp cứng bằng thép, chịu thời tiết và thường xuyên đặt ở vị trí thích hợp.
3. Vành không gian quanh ống khói và tất cả các lỗ khoét ở vách quay miệng buồng máy phải có thiết bị đóng có thể thao tác từ phía ngoài buồng máy trong trường hợp hỏa hoạn.
18.3.6. Vách quây miệng buồng máy ở thượng tầng hở và lầu hở
Vách quây miệng buồng máy ở thượng tầng hở và lầu hở và các cửa ở vách quây đó phải có kết cấu thỏa mãn yêu cầu của Đăng kiểm, có xét đến mức độ bảo vệ tạo bởi thượng tầng hoặc lầu.
18.4. Miệng khoét ở chòi boong và các miệng khoét khác ở boong
18.4.1. Lỗ chui và lỗ thông sáng
Lỗ chui và lỗ thông sáng trong vùng lộ của boong mạn khô và boong thượng tầng hoặc trong những thượng tầng không phải là thượng tầng kín phải được đóng bằng nắp thép kín nước. Các nắp này phải được cố định bằng những bu lông đặt gần nhau hoặc phải được đặt thường xuyên vào lỗ khoét.
18.4.2. Chòi boong
1. Các lối vào ở boong mạn khô phải được bảo vệ bằng thượng tầng kín, hoặc bằng lầu hoặc chòi có độ bền tương đương và chịu thời tiết.
2. Các lối vào ở boong thượng tầng lộ hoặc ở boong lầu trên boong mạn khô, dẫn vào không gian ở dưới boong mạn khô hoặc dẫn vào không gian trong thượng tầng kín phải được bảo vệ hữu hiệu bằng lầu hoặc bằng chòi boong.
3. Đường vào các lầu hoặc chòi boong nêu ở -1 và -2 phải có cánh cửa thỏa mãn các yêu cầu ở 16.3.1-1.
4. Ngưỡng cửa của các lối vào qui định ở từ -1 đến -3 phải có chiều cao không nhỏ hơn 600 mi-li-mét tính từ mặt trên của boong ở vị trí I và không nhỏ hơn 380 mi-li-mét tính từ mặt trên của boong ở vị trí II.
18.4.3. Lỗ khoét dẫn vào không gian hàng hóa
Lối vào và các lỗ khoét khác vào không gian hàng hóa phải có các phương tiện đóng thao tác được từ phía ngoài của không gian đó trong trường hợp có hỏa hoạn. Nếu các lối vào và lỗ khoét dẫn vào bất kỳ không gian nào khác ở trong tàu thì các phương tiện đóng nói trên phải bằng thép.
CHƯƠNG 19 BUỒNG MÁY VÀ BUỒNG NỒI HƠI
19.1. Qui định chung
19.1.1. Phạm vi áp dụng
Kết cấu của buồng máy phải thỏa mãn Chương này và các qui định khác có liên quan.
19.1.2. Kết cấu
Buồng máy và buồng nồi hơi phải được gia cường thích đáng bằng những sườn khỏe, xà khỏe, cột hoặc bằng những biện pháp kết cấu khác.
19.1.3. Các kết cấu đỡ máy, hệ trục v.v...
Các bộ phận của máy, hệ trục, v.v..., phải được đỡ chắc chắn và các kết cấu kề cận phải được gia cường thích đáng.
19.1.4. Tàu hai chân vịt và tàu có công suất máy lớn
Ở những tàu có hai chân vịt và những tàu có công suất máy lớn, kết cấu và liên kết của bệ máy và bệ nồi hơi phải được gia cường đặc biệt theo tỉ lệ chiều cao của máy trên chiều dài hoặc chiều rộng, trọng lượng, công suất của máy và theo loại máy.
19.2. Bệ máy chính
19.2.1. Tàu đáy đơn
1. Ở tàu đáy đơn, máy chính phải được đặt trên những tấm bệ dày đặt ngang qua mép trên của đà ngang đáy thành cao hoặc trên những thanh bệ dày được gắn mã hữu hiệu, được gia cường và có đủ độ bền tỉ lệ với công suất và kích thước của máy.
2. Tấm sóng của bệ phải được đặt dưới đường tâm bu lông của máy chính và bu lông phải đi xuyên qua bản mép của sống bệ.
3. Ở những tàu mà máy được đặt theo đường tâm tàu, nếu các sống dọc được đặt dưới máy và khoảng cách các sống dọc đó không lớn lắm thì có thể không cần phải đặt sống chính của đáy tàu.
19.2.2. Tàu đáy đôi
1. Ở tàu đáy đôi máy chính phải được đặt trực tiếp lên tôn đáy trên dày hoặc lên tấm bệ dày ở mép trên của tấm sống để phân bố hữu hiệu trọng lượng của máy.
2. Các sống phụ bổ sung phải được đặt trong đáy đôi ở phía dưới của đường tâm của bu lông hoặc ở những vị trí thích hợp khác để đảm bảo phân bố tốt trọng lượng và độ cứng của kết cấu.
19.3. Kết cấu buồng nồi hơi
19.3.1. Bệ nồi hơi
1. Nồi hơi phải được đặt lên những đà ngang thành cao hình yên ngựa, hoặc lên những sống ngang thành cao, hoặc lên những sống dọc, được bố trí sao cho phân bố tốt trọng lượng của nồi hơi.
2. Nếu nồi hơi được đặt lên những đế yên ngựa ngang hoặc lên những sống ngang thì các đà ngang đáy dưới đó phải được gia cường đặc biệt.
19.3.2. Vị trí của nồi hơi
Nồi hơi phải được bố trí sao cho đảm bảo dễ tiếp cận và thông gió tốt.
19.3.3. Khoảng cách giữa nồi hơi và các kết cấu lân cận
1. Nồi hơi phải được đặt cách đáy trên ít nhất là 457 mi-li-mét. Nếu khoảng cách đó bắt buộc phải nhỏ hơn thì chiều dày của các cơ cấu lân cận phải được tăng lên thích hợp. Khoảng cách đó phải được ghi trong các bản vẽ để trình duyệt.
2. Các vách khoang và boong phải cách xa nồi hơi và ống thông hơi hoặc phải được cách li thích hợp.
3. Ván thành ở vách lân cận với nồi hơi phải được đặt đảm bảo một khoảng cách thích hợp.
19.4. Ổ đỡ chặn và bệ ổ đỡ chặn
19.4.1. Bệ ổ đỡ chặn
Ổ đỡ phải được bắt bu lông với bộ có kết cấu chắc chắn. Bệ phải được kéo dài ra ngoài ổ chặn và phải được bố trí sao cho phân bố hiệu quả lực tác dụng từ ổ chặn lên các kết cấu kề cận.
19.4.2. Kết cấu dưới bệ ổ chặn
Ở vùng bệ ổ chặn cần phải đặt sống bổ sung.
19.5. Bệ ổ đỡ và bệ máy phụ
19.5.1. Qui định chung
Bệ ổ đỡ và bệ máy phụ phải có độ bền và độ cứng tỉ lệ với trọng lượng phải đỡ và với chiều cao của bệ.
CHƯƠNG 20 HẦM TRỤC VÀ HÕM HẦM TRỤC
20.1. Qui định chung
20.1.1. Bố trí
1. Ở những tàu có buồng máy ở giữa tàu hệ trục chân vịt phải được đặt trong hầm kín có đủ kích thước.
2. Các cửa kín nước phải được đặt ở đầu và cuối hầm trục. Phương tiện để đóng cửa và kết cấu của cửa kín nước phải theo các yêu cầu ở 11.3.
3. Ở những hầm trục có cửa kín nước theo yêu cầu ở -2, phải có lối thoát đặt ở một vị trí thích hợp. Lối thoát phải dẫn lên boong vách hoặc lên cao hơn nữa.
20.1.2. Tôn vách bên phẳng
Chiều dày (t) của tôn vách bên phẳng của hầm trục phải không nhỏ hơn trị số tính theo công thức :

Trong đó :
S : Khoảng cách giữa các nẹp (m).
h : Khoảng cách thẳng đứng, đo ở giữa chiều dài của mỗi hầm, từ cạnh dưới của tấm tôn đến boong vách ở đường tâm tàu (m).
20.1.3. Tôn nóc phẳng
1. Chiều dày của tôn nóc phẳng của hầm trục hoặc của hõm hầm trục phải không nhỏ hơn trị số tính theo công thức ở 20.1.2, h được lấy bằng chiều cao từ mặt tôn đến boong vách ở đường tâm tàu.
2. Nếu nóc của hầm trục hoặc của hõm hầm trục là một phần của boong thì chiều dày của tôn nóc phải được tăng ít nhất là 1 mi-li-mét so với chiều dày tính theo yêu cầu ở -1, nhưng trong mọi trường hợp không được nhỏ hơn chiều dày tôn boong ở cùng vị trí đó.
20.1.4. Tôn nóc cong và tôn vách bên cong
Chiều dày của tôn nóc cong và của tôn vách bên cong phải được xác định theo các yêu cầu ở 20.1.2 nhưng với khoảng cách nẹp nhỏ hơn 150 mi-li-mét so với khoảng cách thực của các nẹp.
20.1.5. Tôn nóc ở dưới miệng khoang
Tôn nóc ở dưới miệng khoang phải được tăng ít nhất là 2 mi-li-mét hoặc phải được phủ bằng một lớp gỗ có chiều dày không nhỏ hơn 50 mi-li-mét.
20.1.6. Lớp gỗ phủ
Lớp gỗ phủ phải được cố định sao cho đảm bảo độ kín nước của hầm trục khi gỗ bị hàng hóa làm hư hại. Cũng phải quan tâm như vậy nếu trên hầm trục có đặt cầu thang.
20.1.7. Nẹp
1. Ở nóc và ở vách của hầm trục, nẹp phải được đặt cách nhau không xa quá 915 mi-li-mét.
2. Mô đun chống uốn (Z) của tiết diện nẹp phải không nhỏ hơn trị số tính theo công thức sau đây:
Z = 4,0Shl2 (cm3)
Trong đó :
l : Khoảng cách từ chân của cạnh dưới của vách bên phẳng đến đỉnh của vách bên phẳng (m).
S : Khoảng cách giữa các nẹp (m).
h : Khoảng cách thẳng đứng, đo ở giữa chiều dài của mỗi hầm, từ trung điểm của l đến boong vách (m).
3. Nếu tỷ số của bán kính của nóc cong của hầm trục chia cho khoảng cách từ đáy đến đỉnh hầm trục là tương đối lớn thì mô đun chống uốn của tiết diện nẹp phải được tăng thích đáng so với qui định ở -2.
4. Nếu chiều cao tiết diện nẹp lớn hơn 150 mi-li-mét thì chân nẹp phải được liên kết với tôn đáy trên bằng biện pháp hàn tựa.
20.1.8. Kết cấu dưới cột
Nếu cột được đặt lên hầm trục hoặc lên hõm hầm trục thì phải có biện pháp gia cường cục bộ tỷ lệ với trọng lượng phải đỡ.
20.1.9. Nóc hầm trục hoặc nóc hõm hầm trục tạo thành một phần của boong
Nếu nóc hầm trục hoặc nóc hõm hầm trục tạo thành một phần của boong thì các xà, cột và sống ở dưới nóc phải có kích thước như yêu cầu đối với các cơ cấu tương tự của hõm vách.
20.1.10. Ống thông gió và lối thoát
Ống thông gió và lối thoát ở hầm trục hoặc ở hõm hầm trục phải kín nước cho đến boong vách và phải đủ khỏe để chịu được áp suất mà các kết cấu đó có thể gặp.
20.1.11. Hầm trục trong két nước hoặc két dầu
Hầm trục trong két nước hoặc két dầu phải có kết cấu và độ bền tương đương với kết cấu và độ bền yêu cầu đối với vách của két sâu.
20.1.12. Hầm kín nước
Nếu đặt những hầm kín nước tương tự như hầm trục thì những hầm kín nước đó phải có kết cấu tương tự như kết cấu của hầm trục.
20.1.13. Hầm có dạng cong
Nếu hầm có dạng cong đi qua két sâu thì chiều dày tôn (t) ở vùng đi qua két phải không nhỏ hơn trị số tính theo công thức sau đây :
t = 0,134dth + 9,1 (mm)
Trong đó :
dt : Đường kính của hầm (m).
h : Khoảng cách thẳng đứng từ đáy hầm đến trung điểm của khoảng cách từ nóc két đến đỉnh ống tràn, hoặc bằng 0,7 lần khoảng cách thẳng đứng từ đáy hầm đến điểm ở 2,0 mét cao hơn đỉnh ống tràn, lấy trị số nào lớn hơn (m).
CHƯƠNG 21 MẠN CHẮN SÓNG, LAN CAN, HỆ THỐNG THOÁT NƯỚC, CỬA HÀNG HÓA VÀ CÁC CỬA TƯƠNG TỰ KHÁC, CỬA HUP LÔ, CÁC CỬA SỔ CHỮ NHẬT, ỐNG THÔNG GIÓ VÀ CẦU BOONG
21.1. Mạn chắn sóng và lan can
21.1.1. Qui định chung
Mạn chắn sóng và lan can phải được đặt ở phần lộ của boong mạn khô, của boong thượng tầng và của boong lầu tương tự.
21.1.2. Kích thước
1. Chiều cao của mạn chắn sóng hoặc lan can qui định ở 21.1.1 ít nhất phải bằng 1 mét tính từ mặt trên của boong. Nếu chiều cao đó có thể gây trở ngại cho hoạt động bình thường của tàu thì có thể cho phép một chiều cao nhỏ hơn nếu được Đăng kiểm thừa nhận rằng mức độ bảo vệ là đủ đảm bảo.
2. Khoảng hở dưới thanh thấp nhất của lan can phải không lớn hơn 230 mi-li-mét. Khoảng cách giữa các thanh khác của lan can phải không lớn hơn 380 mi-li-mét.
3. Nếu tàu có mép boong lượn thì cột lan can phải được đặt ở phần phẳng của boong.
21.1.3. Kết cấu
1. Mạn chắn sóng phải được kết cấu vững chắc, cạnh trên phải được gia cường chắc chắn. Chiều dày của tôn mạn chắn sóng ở boong mạn khô thường ít nhất phải bằng 6 mi-li-mét.
2. Mạn chắn sóng phải được đỡ bằng những cột nẹp liên kết với boong ở chỗ có xà ngang boong hoặc ở chỗ đã được gia cường chắc chắn. Khoảng cách giữa các cột nẹp ở boong mạn khô phải không lớn hơn 1,8 mét.
3. Ở những boong chở gỗ, mạn chắn sóng phải được đỡ bằng những cột nẹp khỏe đặt cách nhau không xa quá 1,5 mét.
21.1.4. Các yêu cầu khác
1. Cửa lên tàu và các lỗ khoét khác ở mạn chắn sóng phải cách xa chỗ ngắt của thượng tầng.
2. Nếu mạn chắn sóng bị cắt để tạo thành các cửa lên tàu hoặc các lỗ khoét khác thì các cột nẹp ở gần chỗ bị cắt phải được tăng độ bền.
3. Ở chỗ luồn cáp chằng buộc, tôn mạn chắn sóng phải là tấm kép hoặc phải được tăng chiều dày.
4. Ở các mút thượng tầng, thanh mép của mạn chắn sóng phải được liên kết bằng mã với vách mút thượng tầng hoặc với tấm mép boong của thượng tầng, hoặc phải được kết cấu tương đương để tránh sự thay đổi đột ngột của độ bền.
21.2. Hệ thống thoát nước
21.2.1. Qui định chung
1. Nếu mạn chắn sóng nằm ở phần chịu tác động của thời tiết của boong mạn khô hoặc boong thượng tầng tạo thành các rãnh tụ nước thì phải có đủ điều kiện để nước thoát nhanh khỏi boong và xả nước.
2. Phải có những cửa lớn để thoát nước từ những vùng khác mà nước có thể tích tụ.
3. Ở những tàu có thượng tầng mở ở một hoặc hai mút, phải có cửa thoát nước từ không gian trong thượng tầng.
4. Ở những tàu có mạn khô giảm, lan can phải được đặt ít nhất là trên nửa chiều dài phần lộ của boong thời tiết, hoặc phải có những phương tiện xả nước hữu hiệu khác theo yêu cầu của Đăng kiểm.
21.2.2. Diện tích cửa thoát nước
1. Diện tích cửa thoát nước (A) ở mỗi bên mạn tàu dùng cho mỗi rãnh tụ ở boong mạn khô và boong đuôi nâng phải không nhỏ hơn trị số tính theo các công thức sau đây. Diện tích cửa thoát nước dùng cho mỗi rãnh tụ ở boong thượng tầng không phải là boong đuôi nâng phải không nhỏ hơn 0,5 lần diện tích tính theo các công thức đó:
| A = 0,035l + a + 0,7 | (m2) | Nếu l không lớn hơn 20 mét |
| A = 0,07l + a | (m2) | Nếu l lớn hơn 20 mét |
Trong đó:
l : Chiều dài của mạn chắn sóng, nhưng không cần lấy lớn hơn 0,7 Lf (m).
a : Được tính theo các công thức sau đây:
| a = 0,04l(h - 1,2) | (m2) | Nếu h > 1,2 m |
| a = 0 | (m2) | Nếu 0,9 m ≤ h ≤ 1,2 m |
| a = -0,04l(0,9 - h) | (m2) | Nếu h < 0,9 m |
h : Chiều cao trung bình của mạn chắn sóng tính từ boong (m).
2. Ở những tàu không có độ cong dọc boong hoặc độ cong dọc boong nhỏ hơn trị số tiêu chuẩn, diện tích tối thiểu (Amin) của cửa thoát nước tính theo công thức ở -1 phải được tăng bằng cách nhân với hệ số tính theo công thức sau đây :

Trong đó :
S : Độ cong dọc trung bình thực tế của lầu (mm).
S0 : Độ cong dọc tiêu chuẩn theo Phần 11 (mm).
3. Ở những tàu có hầm nổi trên boong hoặc có thành miệng khoang liên tục hoặc gần như liên tục giữa các thượng tầng độc lập, diện tích của cửa thoát nước phải không nhỏ hơn trị số cho ở Bảng 2-A/21.1.
Bảng 2-A/21.1 Diện tích cửa thoát nước
| Chiều rộng của hầm nổi trên boong hoặc của miệng khoang | Diện tích của cửa thoát nước tính theo diện tích của mạn chắn sóng |
| ≤0,4 Bf | 0,20 |
| ≥ 0,75 Bf | 0,10 |
Chú thích:
Với các trị số trung gian của chiều rộng của hầm nổi trên boong hoặc của thành quây miệng khoang thì diện tích cửa thoát nước được tính theo phép nội suy tuyến tính.
4. Mặc dù những yêu cầu ở từ -1 đến -3, nếu Đăng kiểm thấy cần thiết, thì ở những tàu có hầm nổi trên boong mạn khô, phải đặt lan can thay vì mạn chắn sóng ở boong mạn khô trong vùng có hầm nổi trên boong trên chiều dài lớn hơn 0,5 lần chiều dài của hầm boong.
21.2.3. Vị trí của cửa thoát nước
1. Hai phần ba diện tích của cửa thoát nước yêu cầu ở 21.2.2 phải được đặt ở một nửa chiều dài của rãnh tụ gần điểm thấp nhất của đường cong dọc.
2. Cửa thoát nước phải có góc lượn tròn và mép dưới của cửa phải cố gắng sát với mặt boong.
21.2.4. Kết cấu của cửa thoát nước
1. Nếu chiều dài và chiều cao của cửa thoát nước lớn hơn 230 mi-li-mét thì cửa thoát nước phải được bảo vệ bằng những thanh đặt cách nhau khoảng 230 mi-li-mét.
2. Nếu cửa thoát nước có cánh đậy thì phải có khe hở thích hợp để tránh bị kẹt. Chốt bản lề và gối tựa của cánh đậy phải bằng vật liệu không gỉ.
3. Nếu cánh đậy nói ở -2 có thiết bị cài chặt thì thiết bị đó phải có kết cấu được xét duyệt.
21.3. Cửa mũi và cửa trong
21.3.1. Phạm vi áp dụng
1. Mục này của Qui phạm đưa ra những yêu cầu về việc bố trí, độ bền và độ cố định của các cửa mũi dẫn vào thượng tầng mũi dài kín hoặc liên tục.
2. Trong mục này đưa ra hai kiểu cửa chắn và cửa mạn (sau đây gọi chung là "cửa").
3. Những kiểu cửa khác với -2 phải được xem xét đặc biệt có quan tâm đến những qui định tương ứng của Qui phạm này.
21.3.2. Bố trí các cửa và cửa trong
1. Các cứa phải được đặt ở trên boong mạn khô. Một hốc kín nước ở vách chống va và nằm phía trên đường nước chở hàng cao nhất dùng để lắp các cầu nghiêng hoặc những thiết bị cơ khí có liên quan khác, có thể được coi như một phần của boong mạn khô vì mục đích của yêu cầu này.
2. Phải đặt cửa trong. Cửa trong phải là một phần của vách chống va, các cửa trong không cần đặt trực tiếp trên vách ở phía dưới, miễn sao nó nằm trong phạm vi đã xác định về vị trí của vách chống va, xem qui định 11.1.1.
3. Một cửa nghiêng cho xe cơ giới có thể được đặt như cửa trong qui định ở -2, miễn sao dạng của nó là một phần của vách chống va và phù hợp với những qui định về vị trí của vách chống va nêu ở 11.1.1. Nếu không thể thực hiện được yêu cầu này thì phải đặt một cửa trong kín nước riêng biệt, cách xa phạm vi qui định về vị trí vách chống va đến mức có thể được.
4. Nói chung, các cửa được đặt phải kín thời tiết và bảo vệ hữu hiệu các cửa trong.
5. Các cửa trong có dạng là một phần của vách chống va phải kín thời tiết trên toàn bộ chiều cao của khoang hàng và mặt sau cửa phải có chống thấm.
6. Các cửa và cửa trong phải được bố trí để sao cho có thể ngăn ngừa được khả năng gây hư hại kết cấu của các cửa trong hoặc vách chống va trong trường hợp có hư hại hoặc tháo cửa ra. Nếu không thể thực hiện được điều này, thì phải đặt một cửa trong kín thời tiết riêng biệt, như qui định ở 11.1.1.
7. Những yêu cầu đối với cửa trong dựa trên giả thiết rằng xe cơ giới được chằng buộc chắc chắn và không dịch chuyển khỏi vị trí đặt xe.
21.3.3. Tiêu chuẩn bền
1. Kích thước của các chi tiết chính, các thiết bị đỡ và cố định cửa và cửa trong phải được xác định theo tải trọng thiết kế của từng loại cửa với ứng suất cho phép sau đây:

Trong đó :
k : Hệ số vật liệu, được lấy như sau:
| k = 1,0 | Đối với thép thường A, B và E, như qui định ở Phần 7-A. |
| k = 0,78 | Đối với thép có độ bền cao A32, B32 và E32, như qui định ở Phần 7-A. |
| k = 0,72 | Đối với thép có độ bền cao A36, B36 và B36, như qui định ở Phần 7-A. |
2. Độ bền xoắn của các cơ cấu chính phải được kiểm tra thỏa đáng.
3. Đối với các ổ đỡ bằng thép trong các thiết bị đỡ và chặn, áp lực đỡ được xác định bằng cách chia lực cho diện tích hình chiếu của ổ đỡ, nhưng không được vượt quá 0,8 sF, trong đó sF là giới hạn chảy của vật liệu ổ đỡ. Đối với các loại vật liệu ổ đỡ khác, ứng suất cho phép do Đăng kiểm qui định.
4. Việc bố trí các thiết bị đỡ và cố định phải sao cho các bu lông có ren không chịu lực nén, lực kéo lớn nhất trong phần các bu lông không chịu lực nén không được vượt quá
(N/mm2)
Trong đó :
K : Hệ số vật liệu, như qui định ở -1.
21.3.4. Tải trọng thiết kế
1. Các cửa mũi
(1) Áp lực thiết kế bên ngoài Pe (kN/m2) được lấy để tính toán kích thước của các cơ cấu chính, các thiết bị đỡ và cố định cửa phải không nhỏ hơn trị số tính theo công thức sau :

Trong đó:
V: Tốc độ của tàu (hải lý/giờ), như qui định ở 1.2.22 của Phần 1-A.
L' : Chiều dài tàu (m), như qui định ở 1.2.16 Phần 1-A, nhưng không cần lấy L lớn hơn 200 mét.
a : Góc mở tại điểm đang xét (độ).
β : Góc đóng tại điểm đang xét (độ).
(2) Ngoại lực thiết kế Fx, Fy và Fz (kN) được lấy khi tính toán kích thước các thiết đỡ và cố định cửa phải không nhỏ hơn:
Fx = PeAx
Fy = PeAy
Fz = PeAz
Trong đó :
Ax: Diện tích (m2) hình chiếu đứng theo phương ngang tàu của cửa giữa độ cao từ đáy cửa đến boong trên hoặc giữa đáy cửa và đỉnh cửa, chọn trị số nhỏ hơn.
Ay: Diện tích (m2) hình chiếu đứng theo phương dọc tàu của cửa giữa độ cao từ đáy cửa đến boong trên hoặc từ đáy cửa đến đỉnh cửa, chọn trị số nhỏ hơn.
Az: Diện tích (m2) hình chiếu nằm của cửa giữa độ cao từ đáy cửa đến boong trên hoặc từ đáy cửa đến đỉnh cửa, chọn trị số nhỏ hơn.
h: Chiều cao cửa (m) tính từ đáy cửa đến boong trên hoặc từ đáy cửa đến đỉnh cửa, chọn trị số nhỏ hơn.
l : Chiều dài cửa (m) đo ở độ cao bằng h/2 bên trên đáy cửa.
W : Chiều rộng cửa (m) đo ở độ cao bằng h/2 bên trên đáy cửa.
Pe: Áp lực bên ngoài (kN/m2) nêu ở (1) với góc a và b xác định như sau :
a : Góc mở đo tại vỏ bao ở độ cao bằng h/2 bên trên đáy cửa và tại h/2 phía sau giao điểm của cửa với sống mũi.
b : Góc đóng đo ở độ cao bằng h/2 tại vỏ bao, bên trên đáy cửa và tại h/2 phía sau giao điểm của cửa với sống mũi.
Đối với các cửa, kể cả mạn chắn sóng, có dạng không bình thường hoặc cân đối, ví dụ các tàu có mũi tròn và góc sống mũi rộng, thì diện tích và góc dùng để xác định trị số ngoại lực thiết kế phải được xem xét đặc biệt.
(3) Đối với các cửa chắn, mô men đóng cửa My dưới tác dụng của ngoại lực (kNm) được lấy như sau :
My = Fxa + 10 Wc - Fzb
Trong đó:
W : Khối lượng cửa chắn (tấn).
a : Khoảng cách thẳng đứng (m) từ trụ cửa đến tâm diện tích hình chiếu đứng theo phương ngang tàu của cửa chắn, xem Hình 2-A/21.1.
b : Khoảng cách nằm ngang (m) từ trụ cửa đến tâm diện tích hình chiếu đứng của cửa chắn, xem Hình 2-A/21.1.
c : Khoảng cách nằm ngang (m) từ trụ cửa đến trọng tâm của khối lượng cửa chắn, xem Hình 2-A/21.1.
(4) Ngoài ra tay đòn nâng cửa chắn và thiết bị đỡ được đo theo lực tĩnh và động tác dụng trong khi nâng và hạ cửa, với áp lực gió tối thiểu được lấy bằng 1,5 kN/m2.
2. Cửa trong
(1) Áp lực ngoài thiết kế Pe (kN/m2) dùng để tính toán kích thước các cơ cấu chính, thiết bị đỡ, chặn và kết cấu bao quanh cửa trong phải được lấy là trị số lớn hơn trong các trị số sau :
Pe = 0,45 L'
Áp suất thủy tĩnh : Ph= 10 h
Trong đó:
h : Khoảng cách (m) từ điểm đặt tải đến đỉnh của không gian chứa hàng.
L' : Chiều dài tàu, như qui định ở -1 (1).
(2) Áp lực bên trong thiết kế Pb (kN/m2) dùng để tính toán kích thước các thiết bị của cửa trong không được nhỏ hơn trị số tính theo công thức sau :
Pb = 25
21.3.5. Kích thước các cửa
1. Qui định chung
(1) Độ bền của cửa phải tương đương với độ bền của kết cấu thân tàu chung quanh cửa.
(2) Liên kết giữa đòn nâng với cửa và với kết cấu thân tàu phải đủ bền để đảm bảo việc đóng mở cửa bình thường.
2. Tấm cửa
Chiều dày của tấm cửa phải không nhỏ hơn trị số qui định cho tấm vỏ mạn tàu hoặc tấm vỏ mạn thượng tầng ở vị trí được tính, với khoảng cách nẹp lấy bằng khoảng sườn và trong mọi trường hợp không được nhỏ hơn chiều dày tối thiểu của vỏ tàu.
3. Các nẹp phụ
(1) Các nẹp phụ của cửa phải được đỡ bởi các cơ cấu chính tạo nên độ cứng chủ yếu của cửa.
(2) Mô đun chống uốn tiết diện của nẹp cửa phải không nhỏ hơn trị số qui định cho sườn ở vị trí tính toán, với khoảng cách nẹp lấy bằng khoảng sườn; trong trường hợp này, phải xét đến sự khác nhau của liên kết giữa sườn và nẹp.
(3) Diện tích tiết diện bản thành của nẹp (cm2) phải không nhỏ hơn trị số:
Trong đó:
Q : Lực cắt (kN) ở nẹp, được xác định từ áp suất phân bố đều bên ngoài Pe qui định ở 21.3.4-1(1).
k : Hệ số vật liệu, qui định ở 21.3.3-1.

Hình 2-A/21.1 Cửa kiểu tấm chắn (kiểu bản lề trên)

Hình 2-A/21.1 Ví dụ về ổ chặn
4. Cơ cấu chính
(1) Các cơ cấu chính của cửa và kết cấu thân tàu trong vùng đặt cửa phải có đủ độ cứng để đảm bảo tính nguyên vẹn của vành đế cửa.
(2) Kích thước của các cơ cấu chính, thông thường được xác định bằng tính toán trực tiếp, tương ứng với áp lực thiết kế bên ngoài nêu ở 21.3.4-1(1) và ứng suất cho phép nêu ở 21.3.3-1. Thông thường có thể dùng công thức của lý thuyết dầm đơn giản để tính.
21.3.6. Kích thước cửa trong
1. Qui định chung
(1) Độ bền của cửa trong phải tương đương với kết cấu thâu tàu chung quanh cửa ;
(2) Chiều dày của tấm cửa trong phải không nhỏ hơn trị số yêu cầu cho tôn vách chống va ;
(3) Mô đun chống uốn tiết diện của nẹp cửa trong phải không nhỏ hơn trị số yêu cầu đối với nẹp của vách chống va;
(4) Kích thước các cơ cấu chính, nói chung được xác định bằng tính toán trực tiếp tương ứng với áp lực thiết kế bên ngoài nêu ở 21.3.4-2 (1) và ứng suất cho phép nêu ở 21.3.3-1. Thông thường có thể dùng công thức của lý thuyết dầm đơn giản để tính;
(5) Nẹp của cửa trong phải được đỡ bởi các sống ;
(6) Nếu cửa trong còn được dùng làm cầu xe, thì kích thước của cửa phải không nhỏ hơn kích thước qui định cho boong chở xe ;
(7) Sự phân bố của lực tác động lên thiết bị đỡ và chặn, nói chung được xác định bằng tính toán trực tiếp có kể đến tính dẻo của cơ cấu, vị trí thực và độ cứng của cơ cấu đỡ.
21.3.7. Thiết bị đỡ và cố định
1. Qui định chung
(1) Các cửa phải được cố định bằng một phương tiện cố định và chặn thích hợp sao cho tương ứng với độ bền và độ cứng của kết cấu chung quanh ;
(2) Các kết cấu đỡ của thân tàu trong vùng đặt cửa phải chịu cùng tải trọng và ứng suất thiết kế như các thiết bị đỡ và chặn cửa ;
(3) Nếu có yêu cầu chằng buộc, thì vật liệu chằng buộc phải thuộc loại tương đối mềm và lực đỡ chỉ do kết cấu thép chịu. Các kiểu chằng buộc khác có thể được xem xét;
(4) Khoảng hở tiêu chuẩn lớn nhất giữa các thiết bị đỡ và cố định không được vượt quá 3 mi li mét;
(5) Phải đặt một thiết bị để khóa cơ khí cửa và cửa trong ở vị trí mở;
(6) Chỉ các thiết bị đỡ và chặn có độ cứng hữu hiệu theo hướng thích hợp mới được tính đến và xem xét để tính toán phản lực tác dụng lên thiết bị. Các thiết bị nhỏ và/hoặc mềm như những cái nêm, dùng để chịu tải trọng nén của vật được chằng buộc không cần kể đến trong tính toán nêu ở -2 (5);
(7) Số lượng các thiết bị đỡ và chặn nên lấy tối thiểu khi đưa vào tính toán. Các yêu cầu đối với lượng dư nêu ở -2 (6), -2 (7) và khoảng trống có thể có thể truyền đầy đủ lực vào kết cấu thân tàu. Về nguyên tắc các thiết bị đỡ và chặn phải đặt cách nhau không quá 2,5 mét và càng gần các góc cửa càng tốt;
(8) Nói chung, để mở các tấm chắn ra phía ngoài, phải bố trí các chốt (trụ) cửa sao cho cửa chắn tự đóng được dưới tác dụng của tải trọng bên ngoài, nghĩa là My > 0 ; ngoài ra, mô men đóng My tính theo 21-3.4-1 (3) phải không nhỏ hơn trị số tính theo công thức sau :

2. Kích thước
(1) Các thiết bị đỡ và chặn cửa phải được thiết kế để sao cho chúng có thể chịu được phản lực trong giới hạn ứng suất cho phép nêu ở 21.3.3-1.
(2) Đối với các cửa chắn, phản lực tác dụng lên các thiết bị đỡ và chặn hữu hiệu, khi giả thiết cửa là một vật thể rắn, được xác định theo tổ hợp sau đây của tải trọng bên ngoài tác dụng đồng thời cùng tự trọng của cửa:
(a) Trường hợp 1 : Fx và Fz
(b) Trường hợp 2 : 0,7 Fy tác dụng lên mỗi mặt riêng biệt cùng với 0,7 Fx và 0,7 Fz.
Trong đó : Fx, Fy và Fz được xác định như qui định ở 21.3.4-1(2) và tác dụng lên tâm của diện tích hình chiếu.
(3) Đối với các cửa mở ra mạn, phản lực tác dụng lên các thiết bị đỡ và chặn hữu hiệu, khi giả thiết cửa là một vật thể rắn, được xác định theo tổ hợp sau đây của tải trọng bên ngoài tác dụng đồng thời với tự trọng của cửa :
(a) Trường hợp 1 : Fx, Fy và Fz tác dụng lên cả hai mặt cửa.
(b) Trường hợp 2 : 0,7 Fx và 0,7 Fy tác dụng lên cả hai mặt cửa và 0,7 Fy tác dụng lên từng mặt cửa riêng biệt.
Trong đó : Fx, Fy và Fz được xác định như qui định ở 21.3.4-1 (2) và đặt ở tâm của diện tích hình chiếu.
(4) Lực đỡ được xác định phù hợp với (2) (a) và (3) (a) thông thường có thể gây ra mô men bằng 0 lấy đối với trục ngang đi qua tâm diện tích As. Đối với cửa chắn, phản lực dọc trục của trụ và/hoặc nêm đỡ cửa tạo thành mô men này không được hướng về phía trước.
(5) Sự phân bố phản lực tác dụng lên thiết bị đỡ và chặn có thể được xác định bằng tính toán trực tiếp, có tính đến độ mềm của kết cấu thân tàu, vị trí thực và độ cứng của cơ cấu đỡ ;
(6) Việc thiết kế các thiết bị đỡ và chặn trong vùng của các thiết bị chặn này phải có độ bền dư để sao cho thậm chí bất kỳ một thiết bị đỡ hoặc chặn nào bị hỏng thì các thiết bị còn lại vẫn có thể chịu được phản lực gây ra ứng suất không vượt quá 20% ứng suất cho phép nêu ở 21.3.3-1(1).
(7) Đối với cửa chắn, phải đặt hai thiết bị chặn ở phần dưới cửa, mỗi thiết bị phải có khả năng chịu đựng được toàn bộ phản lực theo yêu cầu để ngăn ngừa việc tự mở trong giới hạn ứng suất cho phép nêu ở 21.3.3-1(1). Mô men mở M0 (kNm) được cân bằng bởi phản lực này, phải không nhỏ hơn :
M0 = 10 Wd + 5 Asa
Trong đó:
d : Khoảng cách thẳng đứng (m) từ trục bản lề đến tâm cửa.
a : Khoảng cách thẳng đứng như qui định ở 21.3.4-1(3).
(8) Đối với cửa chắn, các thiết bị đỡ và chặn, ngoại trừ bản lề, phải có khả năng chịu đựng được lực thiết kế theo phương đứng bằng (Fz - 10 W) (kN) trong giới hạn ứng suất cho phép nêu ở 21.3.3-1(1).
(9) Tất cả các thành phần truyền tải trọng trong đường tải trọng thiết kế, từ cửa qua các thiết bị vào kết cấu thân tàu, kể cả liên kết hàn phải có cùng độ bền như qui định đối với các thiết bị đỡ và chặn.
(10) Đối với các cửa mở mạn, phải đặt ổ chặn trong vòng mút các sống tại hai mức mở cửa để ngăn ngừa tấm cửa này dịch chuyển về phía trước tấm kia dưới tác dụng của áp lực không đối xứng (Xem Hình 2-A/21.2), mỗi phần của ổ chặn phải được giữ cố định trên một phần khác bằng thiết bị đỡ.
(11) Ngoài qui định ở (10), việc bố trí bất kỳ một thiết bị nào khác nhằm cùng thỏa mãn mục đích này đều có thể được chấp nhận.
21.3.8. Điều khiển, chỉ báo và giám sát
1. Hệ thống điều khiển
(1) Thiết bị chặn phải đơn giản để dễ điều khiển và tiếp cận ;
(2) Thiết bị chặn phải có khóa cơ khí (loại tự khóa hoặc loại được bố trí riêng biệt) hoặc kiểu trọng lực ;
(3) Hệ thống đóng và mở cũng như thiết bị chặn và khóa phải được khóa từ bên trong, theo cách đó chúng chỉ có thể hoạt động được theo hành trình phù hợp ;
(4) Các cửa và cửa trong dẫn tới boong chở xe phải lắp thiết bị điều khiển từ xa, đặt ở vị trí nằm trên boong mạn khô, để :
- Khóa và mở cửa,
- Hỗ trợ thiết bị chặn và khóa cho từng cửa.
(5) Chỉ báo vị trí mở hoặc đóng của từng cửa, từng thiết bị chặn và các khóa phải đặt thiết bị từ xa, theo từng vị trí. Bảng điều khiển để điều khiển các cửa phải khó tiếp cận để không cho phép mọi người đến gần. Phải có một bảng ghi chú chỉ báo rõ rằng tất cả các thiết bị chặn phải bổ sung bằng đèn hiệu chỉ báo ;
(6) Nếu yêu cầu có thiết bị chặn thủy lực, thì hệ thống phải có khóa cơ khí tại vị trí đóng. Có nghĩa là, dù bị mất dầu thủy lực, thì thiết bị chặn vẫn được khóa lại. Hệ thống thủy lực dùng cho thiết bị chặn và khóa phải được tách rời khỏi những vùng thủy lực khác khi ở vị trí đóng.
2. Hệ thống chỉ báo/giám sát
(1) Phải đặt đèn chỉ báo riêng biệt và tín hiệu báo động như nêu ở (a) và (b) dưới đây (sau đây gọi là hệ thống chỉ báo và báo động) ở lầu lái và ở bảng điều khiển. Hệ thống chỉ báo và báo động phải có đèn mang chức năng kiểm tra. Đèn chỉ báo ở lầu lái phải được thiết kế sao cho không thể bị ngắt.
(a) Đèn chỉ báo phải chỉ rõ rằng cửa và cửa trong đã được đóng, các thiết bị chặn và khóa cửa ở vị trí phù hợp.
(b) Ở chế độ hàng hải tín hiệu báo động bằng âm thanh và đèn phải chỉ rõ rằng cửa và cửa trong đã được đóng, các thiết bị chặn và khóa cửa ở vị trí phù hợp.
(2) Hệ thống chỉ báo và báo động nói ở (1) phải thỏa mãn những yêu cầu sau đây:
(a) Được thiết kế theo nguyên lý thiếu an toàn.
(b) Nguồn điện dùng cho hệ thống chỉ báo và báo động phải độc lập với nguồn điện dùng cho việc điều khiển và mở cửa.
(c) Có khả năng được cung cấp từ một nguồn điện dự phòng.
(d) Cảm biến của hệ thống chỉ báo và báo động phải được bảo vệ kín nước, băng phủ và tránh được hư hỏng cơ khí.
(3) Hệ thống chỉ báo và báo động trên lầu lái phải được trang bị một thiết bị chọn chức năng "ở cảng/ đi biển", như vậy tín hiệu âm thanh và đèn nêu ở (1)(b) sẽ phát ra nếu tàu rời cảng với một cửa hoặc một cửa trong không đóng kín và có bất kỳ một thiết bị chặn nào đó không ở đúng vị trí.
(4) Phải bố trí một hệ thống phát hiện rò rỉ nước có tín hiệu âm thanh và màn hình giám sát để chỉ báo cho lầu lái và cho buồng điều khiển máy từ máng rò rỉ cửa trong.
(5) Giữa cửa và cửa trong phải đặt một hệ thống màn hình giám sát có bộ phận quan sát ở lầu lái và buồng điều khiển máy. Hệ thống này phải giám sát được vị trí các cửa và toàn bộ thiết bị chặn cửa. Cần phải xem xét đặc biệt đối với việc chiếu sáng và màu sắc tương phản của các vật thể cần quan sát.
(6) Phải bố trí một hệ thống tiêu thoát nước ở vùng giữa cửa và cầu xe, cũng như ở vùng giữa cầu xe và cửa trong nếu có. Hệ thống này phải có tín hiệu âm thanh để báo cho lầu lái khi mức nước trong vùng đó vượt quá 0,5 mi li mét trên mức boong chở xe.
21.3.9. Gia cường quanh lỗ khoét đặt cửa
1. Các góc lỗ khoét đặt cửa phải được lượn đều và phải gia cường tôn vỏ bằng tấm dày hơn hoặc đặt tấm kép xung quanh lỗ khoét;
2. Nếu sườn bị cắt ở lỗ khoét đặt cửa thì phải đặt sườn khỏe ở cả hai bên lỗ khoét và đặt xà ngang dỡ thích hợp ở phía trên lỗ khoét.
21.3.10. Hướng dẫn bảo dưỡng và điều khiển
1. Trên tàu phải có một bản hướng dẫn điều khiển và bảo dưỡng cửa được Đăng kiểm xét duyệt, bản hướng dẫn bao gồm những thông tin sau :
- Những đặc điểm chính và bản vẽ thiết kế các cửa ;
- Điều kiện bảo quản. Ví dụ : phạm vi vùng bảo quản, độ hở được chấp nhận để đỡ cửa ;
- Việc bảo quản và chức năng kiểm tra ;
- Việc vào sổ kiểm tra và sửa chữa cửa.
2. Những thủ tục sử dụng tài liệu để đóng và chặn cửa, cửa trong phải được giữ ở trên tàu tại vị trí thích hợp.
21.4. Cửa mạn và cửa đuôi tàu
21.4.1. Phạm vi áp dụng
Phần này của Qui phạm đưa ra các qui định về bố trí, độ bền và việc cố định các cửa mạn đặt phía sau vách chống va và các cửa đuôi dẫn vào các không gian kín (sau đây gọi là cửa).
21.4.2. Bố trí các cửa
1. Các cửa phải là cửa kín nước;
2. Nếu mép dưới của bất kỳ lỗ khoét đặt cửa nào nằm dưới boong mạn khô, thì cửa đó phải là cửa kín nước;
3. Ngoài những yêu cầu ở -2, mép dưới của cửa không được nằm dưới đường nước chở hàng thiết kế, trong bất kỳ trường hợp nào;
4. Số lượng lỗ khoét đặt cửa phải tối thiểu và phù hợp với dạng vỏ và sự hoạt động của tàu;
5. Về nguyên tắc các cửa phải được mở ra phía ngoài.
21.4.3. Tiêu chuẩn độ bền
1. Kích thước của các cơ cấu chính, thiết bị cố định và các thiết bị đỡ cửa phải được xác định theo tiêu chuẩn tải trọng thiết kế nêu ở 21.4.4, với ứng suất cho phép sau đây:

k - Hệ số vật liệu, được lấy bằng :
| k = 1,00 | Đối với thép thường, cấp A, B, D hoặc E, được qui định trong Chương 3 của Phần 7-A; |
| k = 0,78 | Đối với thép có độ bền cao, cấp A32, D32, E32 hoặc F32, được qui định trong Chương 3 của Phần 7-A; |
| k = 0,72 | Đối với thép có độ bền cao, cấp A36, D36, E36 hoặc F36, được qui định trong Chương 3 của Phần 7-A. |
2. Phải kiểm tra độ bền ổn định của các cơ cấu chính một cách thích đáng.
3. Đối với thép để làm các cơ cấu chịu lực ở thiết bị cố định và đỡ cửa, áp lực ổ đỡ thông thường được tính toán bằng cách chia lực thiết kế cho diện tích chịu lực dự kiến, phải không vượt quá ứng suất chảy của vật liệu. Đối với các vật liệu ổ đỡ khác, áp lực ổ đỡ cho phép phải do Đăng kiểm qui định.
4. Việc bố trí các thiết bị cố định và đỡ cửa phải sao cho các bu lông có ren không chịu lực đỡ. Sức căng (Fmax) lớn nhất ở các đường ren bu lông không chịu lực đỡ, không được vượt quá trị số tính theo công thức sau:

Trong đó : k : Hệ số vật liệu, như nêu ở -1
21.4.4. Tải trọng thiết kế
Tải trọng thiết kế cho các cơ cấu chính của cửa, các thiết bị cố định và đỡ cửa tương ứng phải không nhỏ hơn giá trị cho ở Bảng 2-A/21.3.
Bảng 2A/21.3 Tải trọng thiết kế
Đơn vị tính : kN
|
| Fe (Ngoại lực) | Fi (Nội lực) | |
| Thiết bị cố định và đỡ cửa | Cửa mở vào trong | APe + Fp | Fo + 10W |
| Cửa mở ra ngoài | APe | Fo + 10W + Fp | |
| Các cơ cấu chính(1) | APe | Fo + 10W | |
Chú thích:
(1) Tải trọng thiết kế đối với các cơ cấu chính là Fe hoặc Fi , chọn trị số nào lớn hơn.
Trong đó:
A : Diện tích lỗ cửa, diện tích hình chiếu theo hướng tải trọng, m2;
W : Khối lượng cửa, tấn;
Fp : Lực kẹp tổng cộng (kN). Áp lực kẹp thông thường không được lấy nhỏ hơn 5 N/mm
Fo : Trị số lớn hơn giữa Fe và 5A (kN);
Fc : Lực phá hủy (kN) do sự xô dạt của hàng hóa v.v... bị phân bổ không đều ngoài diện tích A và được lấy không nhỏ hơn 300 kN. Nếu diện tích cửa nhỏ hơn 30 m2 thì trị số Fc có thể được giảm phù hợp đến 10A (kN). Tuy nhiên, trị số Fc có thể lấy bằng 0 nếu có đặt bổ sung một kết cấu giống như cầu chở xe bên trong và kết cấu đó có đủ khả năng bảo vệ cửa khỏi sự xô dạt của hàng hóa;
Fe : Áp lực thiết kế do ngoại lực, được xác định tại tâm lỗ cửa và được lấy không nhỏ hơn trị số cho ở Bảng 2A/21.4.
Bảng 2-A/21-4 Áp lực thiết kế do ngoại lực Pe
Đơn vị tính : kN/m2
|
| Pe |
| ZG < d | 10 - (d - ZG) + 25 |
| ZG ≥ d | 25 |
Chú thích: Đối với cửa đuôi của những tàu có cửa mũi, Pe không được nhỏ hơn trị số sau :

| Trong đó: | d: Chiều chìm tàu, m, đo tại giữa đường nước thiết kế phân khoang lớn nhất; |
|
| ZG : Cao độ trọng tâm diện tích cửa, m, tính từ đường nước cơ bản |
|
| L' : Chiều dài tàu, tính bằng m, như qui định ở Phần 1, tuy nhiên không cần lấy L' > 200 m. |
21.4.5. Kích thước cửa
1. Qui định chung
(1) Độ bền của cửa phải tương ứng với kết cấu bao quanh cửa;
(2) Các cửa phải được gia cường thích đáng và phải đặt các thiết bị để ngăn ngừa mọi dịch chuyển ngang hoặc thẳng đứng cửa khi đóng;
(3) Các cơ cấu điều khiển nâng cửa và bản lề cửa liên kết với kết cấu thân tàu phải có độ bền phù hợp;
(4) Nếu cửa có chức năng như là cấu dốc chở xe thì khi thiết kế bản lề phải tính đến ảnh hưởng do góc nghiêng ngang và nghiêng dọc tàu tạo nên tải trọng không đồng đều lên bản lề.
2. Tấm cửa
(1) Chiều dày của tấm cửa không được nhỏ hơn chiều dày yêu cầu của tấm vỏ mạn tại chỗ đặt cửa. Chiều dày của cửa đuôi không chịu va đập trực tiếp của sóng do đường cầu dốc chở xe đặt ngoài cửa đuôi, có thể được giảm 20% so với chiều dày yêu cầu nêu trên;
(2) Ngoài các qui định nêu ở (1) nói trên, chiều dày của tấm cửa không được nhỏ hơn chiều dày tối thiểu yêu cầu của tấm vỏ;
(3) Nếu cửa có chức năng như là cầu dốc chở xe, thì chiều dày cửa không được nhỏ hơn trị số yêu cầu đối với boong chở xe.
3. Nẹp phụ
(1) Các cơ cấu chính phải đỡ các nẹp phụ để tạo thành sự gia cường chủ yếu cho cửa;
(2) Mô đun chống uốn tiết diện của các nẹp đứng và nẹp nằm không được nhỏ hơn trị số yêu cầu đối với sườn ở vị trí tính toán với khoảng cách nẹp được lấy như khoảng cách sườn. Trong trường hợp này nếu cần thiết thì phải xem xét đến sự khác nhau về vị trí giữa sườn tàu và nẹp cửa;
(3) Nếu cửa có chức năng nhu cầu chở xe, thì nẹp cửa phải có kích thước không nhỏ hơn kích thước yêu cầu đối với boong chở xe.
4. Cơ cấu chính
(1) Tấm thành của cơ cấu chính, nói chung được tính toán trực tiếp phù hợp với tải trọng thiết kế nêu ở 21.4.4 và ứng suất cho phép ở 21.4.3-1, theo phương pháp tính toán dầm đơn giản;
(2) Tấm thành của cơ cấu chính phải được đặt nẹp gia cường theo phương thẳng đứng của tấm vỏ;
(3) Các cơ cấu chính của cửa và của thân tàu trong vùng đặt cửa phải được gia cường hữu hiệu để đảm bảo tính toàn vẹn của vùng bao quanh cửa
(4) Mút các nẹp và cơ cấu chính của cửa phải đủ cứng để quay được và mô men quán tính (I) tiết diện không được nhỏ hơn trị số xác định theo công thức sau :
l = 8a4Pl (cm4)
Trong đó:
a - Khoảng cách giữa các thiết bị cố định cửa (m)
Pl - Lực kẹp trên một đơn vị chiều đài (N/mm) dọc theo mép cửa. Trong mọi trường hợp lực kẹp không được nhỏ hơn 5 N/mm.
(5) Mô men quán tính tiết diện của các cơ cấu viền cửa đỡ các cơ cấu chính giữa các thiết bị chặn cửa phải được tăng tỷ lệ với lực kẹp.
21.4.6. Thiết bị đỡ và chặn cửa
1. Qui định chung
(1) Các cửa phải được đặt thiết bị đỡ và chặn có độ bền và độ cứng tương xứng với kết cấu xung quanh cửa;
(2) Các kết cấu đỡ cửa trong vùng lắp cửa phải chịu được tải trọng thiết kế và ứng suất thiết kế như là các thiết bị đỡ và chặn cửa;
(3) Nếu có yêu cầu đặt kẹp thì vật liệu kẹp phải là loại tương đối mềm, và lực đỡ phải chỉ do kết cấu thép chịu. Kiểu kẹp khác có thể được Đăng kiểm xem xét chấp nhận;
(4) Khe hở thiết kế lớn nhất giữa thiết bị chặn và đỡ cửa nói chung không được vượt quá 3 mm;
(5) Phải đặt thiết bị khóa cửa cơ khí ở vị trí mở;
(6) Chỉ các thiết bị đỡ và chặn cửa được gia cường hữu hiệu, tác động theo hướng phù hợp mới cần xét đến khi tính phản lực tác dụng lên thiết bị. Những thiết bị nhỏ và / hoặc mềm như các vấu dùng để giữ các vật kẹp, nói chung không cần xét đến khi tính toán đối với trường hợp -2(2) nêu trên.
(7) Nói chung nên đặt số lượng thiết bị đỡ và chặn cửa ở mức độ tối thiểu có xét đến qui định về số lượng bỏ qua nếu ở -2(3) và phù hợp với không gian có sẵn ở kết cấu thân tàu. Về nguyên tắc, phải đặt các thiết bị đỡ và chặn cách nhau không quá 2,5 m và phải đặt ở gần các góc cửa.
2. Kích thước
(1) Các thiết bị đỡ và chặn cửa phải được thiết kế sao cho chúng có thể chịu được phản lực trong phạm vi ứng suất cho phép nêu ở 21.4.3-1;
(2) Khi tính toán trực tiếp, phải lập sơ đồ phân bố phản lực tác dụng lên các thiết bị đỡ và chặn cửa, có kể đến độ mềm của kết cấu thân tàu và vị trí thực của cơ cấu đỡ;
(3) Việc bố trí các thiết bị đỡ và chặn cửa trong vùng của các thiết bị chặn này phải được thiết kế sao cho trong trường hợp bất kỳ một thiết bị chặn hay đỡ độc lập nào bị hỏng thì các thiết bị còn lại vẫn đủ khả năng chịu được phản lực tác dụng mà không có thiết bị nào chịu ứng suất vượt quá 20% ứng suất cho phép nêu ở 21.4.3-1;
(4) Tất cả các yếu tố truyền tải trọng theo hướng tải trọng thiết kế, từ cửa thông qua các thiết bị đỡ và chặn cửa đến kết cấu thân tàu, kể cả mối hàn liên kết, phải có độ bền giống như độ bền tiêu chuẩn yêu cầu đối với các thiết bị đỡ và chặn cửa.
21.4.7. Bố trí khóa và chặn cửa
1. Hệ thống điều khiển
(1) Thiết bị chặn cửa phải dễ tiếp cận và sử dụng đơn giản
(2) Thiết bị chặn cửa phải có khóa kiểu cơ khí (tự khóa hoặc bố trí độc lập) hoặc phải là kiểu trọng lực
(3) Hệ thống đóng và mở cửa cũng như thiết bị chặn và khóa cửa phải đặt khóa trong sao cho chúng chỉ có thể thao tác theo một trình tự thích hợp
(4) Các cửa được đặt một phần hoặc toàn bộ dưới boong mạn khô có diện tích mở thông lớn hơn 6 m2 phải đặt thiết bị điều khiển từ xa, từ một vị trí nằm trên boong mạn khô sau đây:
a) Đóng và mở cửa;
b) Thiết bị khóa và chặn cửa liên hợp.
(5) Đối với các cửa có trang bị hệ thống điều khiển từ xa, phải có chỉ báo vị trí đóng mở cửa và các thiết bị khóa và chặn cửa ở bảng điều khiển từ xa. Bảng điều khiển để điều khiển các cửa phải sao cho người không được giao nhiệm vụ khó tới gần, phải có biển cảnh báo, thông báo rằng tất cả các thiết bị chặn đều được đóng và khóa trước khi tàu rời bến, đặt ở từng bảng điều khiển và phải có cảnh báo bổ sung bằng đèn chỉ báo.
(6) Nếu dùng thiết bị chặn thủy lực, thì hệ thống phải được khóa cơ khí ở trạng thái đóng. Thiết bị này phải đảm bảo sao cho, thậm chí mất dầu thủy lực, thiết bị chặn vẫn được khóa. Hệ thống thủy lực dùng cho thiết khóa và chặn cửa phải độc lập với các thiết bị thủy lực khác, khi ở vị trí đóng.
2. Hệ thống chỉ báo/kiểm tra
(1) Những qui định sau đây áp dụng cho các cửa ở biên của các không gian đặc biệt hoặc không gian chở hàng Ro-Ro mà qua các không gian đó tàu có thể bị ngập. Đối với các tàu chở hàng khô, nếu không có phần nào của cửa nằm dưới đường nước thiết kế cao nhất và có diện tích mở thông không lớn hơn 6 m2 thì những yêu cầu này có thể không cần áp dụng.
(2) Phải đặt đèn chỉ báo và báo động độc lập như nêu ở (a) và (b) dưới đây (sau đây gọi là hệ thống chỉ báo và báo động) ở lầu lái và ở bảng điều khiển. Hệ thống chỉ báo và báo động phải có đèn mang chức năng kiểm tra. Đèn chỉ báo ở lầu lái phải được thiết kế sao cho không thể bị ngắt.
(a) Đèn chỉ báo phải chỉ rõ rằng cửa và cửa trong đã được đóng, các thiết bị chặn và khóa cửa ở vị trí phù hợp.
(b) Ở chế độ hàng hải tín hiệu báo động bằng âm thanh và đèn phải chỉ rõ rằng cửa và cửa trong đã được đóng, các thiết bị chặn và khóa cửa ở vị trí phù hợp.
(3) Hệ thống chỉ báo và báo động phải thỏa mãn những yêu cầu sau đây:
(a) Được thiết kế theo nguyên lý thiếu an toàn.
(b) Nguồn điện dùng cho hệ thống chỉ báo và báo động phải độc lập với nguồn điện dùng cho việc điều khiển và mở cửa.
(c) Có khả năng được cung cấp từ một nguồn điện dự phòng.
(d) Cảm biến của hệ thống chỉ báo và báo động phải được bảo vệ kín nước, băng phủ và tránh được hư hỏng cơ khí.
(4) Hệ thống chỉ báo và báo động trên lầu lái phải được trang bị một thiết bị chọn chức năng "ở cảng/ đi biển", như vậy tín hiệu âm thanh và đèn nêu ở (2)(b) sẽ phát ra nếu tàu rời cảng với một cửa hoặc một cửa trong không đóng kín và có bất kỳ một thiết bị chặn nào đó không ở đúng vị trí.
(5) Đối với tàu khách, phải bố trí một hệ thống phát hiện rò rỉ nước, có tín hiệu âm thanh và màn hình giám sát để chỉ báo cho lầu lái và buồng điều khiển máy, của bất kỳ cửa nào bị nước rò qua.
(6) Phải bố trí một hệ thống phát hiện rò rỉ nước, có tín hiệu âm thanh và ánh sáng để chỉ báo bất kỳ cửa nào của lầu lái bị rò rỉ nước.
21.4.8. Gia cường quanh lỗ khoét đặt cửa
1. Tại các góc của lỗ khoét đặt cửa phải được viền thích đáng và phải được gia cường bằng cách tăng chiều dày hoặc đặt tấm kép.
2. Nếu sườn bị gián đoạn tại lỗ khoét đặt cửa thì phải đặt sườn khỏe và sống mạn hoặc biện pháp tương đương để bồi thường thích đáng.
21.4.9. Hướng dẫn bảo quản và điều khiển cửa
1. Trên tàu phải có một bản hướng dẫn bảo quản và điều khiển cửa, bản hướng dẫn này cần có các thông tin sau đây:
(1) Đặc điểm cơ bản và bản vẽ thiết kế;
(2) Điều kiện làm việc;
(3) Bảo quản và thử hoạt động;
(4) Danh mục kiểm tra và sửa chữa.
2. Qui trình điều khiển để đóng và chặn cửa được cất giữ trên tàu và dán ở những vị trí thích hợp.
21.5. Các cửa sổ mạn (Húp lô) và cửa sổ hình chữ nhật
21.5.1. Qui định chung
Những qui định ở Phần này áp dụng cho các cửa sổ mạn và các cửa sổ hình chữ nhật đặt ở mạn, các thượng tầng và lầu nằm trên boong mạn khô, từ tầng 3 trở xuống. Đối với các cửa sổ mạn đặt ở mạn của các thượng tầng và lầu nằm trên tầng 3, các qui định này được áp dụng ở mức độ phù hợp được Đăng kiểm chấp nhận.
21.5.2. Những qui định chung về vị trí của các cửa sổ mạn
1. Không được đặt cửa sổ mạn mà mép dưới khung cửa nằm thấp hơn đường thẳng song song với boong mạn khô tại mạn, đi qua điểm cách đường nước chở hàng lớn nhất một khoảng bằng 0,025Bf hoặc 500 mm (chọn trị số lớn hơn). Tất cả các cửa sổ mạn kiểu bản lề và nằm dưới boong mạn khô đều phải có thiết bị khóa chặt.
2. Không được đặt cửa sổ mạn ở bất kỳ không gian nào là lối duy nhất dẫn vào khoang chứa hàng.
21.5.3. Yêu cầu đối với cửa sổ mạn
1. Các cửa sổ mạn trên tàu phải là các cửa cấp A, cấp B và cấp C phù hợp với các qui định ở Chương 7 Phần 7-B.
2. Các cửa sổ mạn cấp A, cấp B và cấp C phải được bố trí sao cho áp lực thiết kế của chúng nhỏ hơn áp lực thiết kế cho phép lớn nhất xác định theo đường kính danh nghĩa và cấp của chúng (xem 21.5.5).
3. Các cửa sổ mạn nằm dưới boong mạn khô và đặt ở thượng tầng đuôi thấp phải là cửa cấp A, cấp B hoặc tương đương.
4. Các cửa sổ mạn, ở mạn hoặc thượng tầng, dẫn vào các không gian trong phạm vi tầng một mà tầng này là sàn của lầu một nằm trên boong mạn khô, có các lỗ khoét boong không được bảo vệ dẫn vào các không gian nằm dưới boong mạn khô hoặc các lầu có xét đến tính nổi khi tính toán ổn định, hoặc các không gian lộ thiên bị ảnh hưởng trực tiếp của nước biển phải là các cửa cấp A, cấp B hoặc tương đương.
5. Nếu lỗ khoét ở boong thượng tầng hoặc nóc lầu nằm trên boong mạn khô dẫn vào không gian nằm dưới boong mạn khô hoặc không gian thuộc phạm vi thượng tầng kín được bảo vệ bởi lầu hoặc cấu trúc tương tự, thì cửa sổ mạn được đặt ở những không gian trực tiếp dẫn vào một cầu thang hở phải là cửa cấp A, cấp B hoặc tương đương. Nếu các vách buồng lái hoặc các cửa ra vào tách biệt khỏi các cửa sổ mạn, dẫn trực tiếp xuống dưới boong mạn khô, thì các yêu trên phải được áp dụng một cách phù hợp được Đăng kiểm chấp nhận.
6. Các cửa sổ mạn ở các không gian tầng hai nằm trên boong mạn khô, mà tầng này có xét đến tính nổi khi tính toán ổn định phải là của cấp A, cấp B hoặc tương đương.
7. Đối với những tàu có mạn khô giảm, các cửa sổ nằm dưới đường nước sau khi bị ngập các khoang, phải là các cửa kiểu cố định.
21.5.4. Bảo vệ các cửa sổ mạn
Các cửa sổ mạn đặt ở vùng hốc neo hoặc ở những chỗ tương tự dễ bị hư hại, phải có lưới bảo vệ đủ chắc.
21.5.4. Áp lực thiết kế và áp lực cho phép lớn nhất của cửa sổ mạn
1. Áp lực thiết kế (P, kPa) của cửa sổ mạn phải nhỏ hơn áp lực cho phép lớn nhất xác định theo đường kính danh nghĩa và cấp của chúng (xem Bảng 2-A/ 21.2). Áp lực thiết kế được xác định theo công thức sau đây:
P = 10ac(bf - y)
Trong đó : a, b, c và f như qui định ở 17.2.1-1.
y : khoảng cách thẳng đứng từ đường nước chở hàng mùa hè đến mép cửa, tính bằng mét. Nếu tàu có đường nước chở gỗ thì đó là khoảng cách từ đường nước chở gỗ đến mép cửa.
2. Ngoài những qui định ở -1, áp lực thiết kế của cửa sổ mạn không được nhỏ hơn trị số áp lực thiết kế tối thiểu cho trong Bảng 2-A/ 21.3.
Bảng 2-A/ 21.2 Áp lực cho phép lớn nhất của cửa sổ mạn
| Cấp | Đường kính danh nghĩa (mm) | Chiều dày kính (mm) | Áp lực cho phép lớn nhất (kPa) |
| A | 200 | 10 | 328 |
| 250 | 12 | 302 | |
| 300 | 15 | 328 | |
| 350 | 15 | 241 | |
| 400 | 19 | 297 | |
| B | 200 | 8 | 210 |
| 250 | 8 | 134 | |
| 300 | 10 | 146 | |
| 350 | 12 | 154 | |
| 400 | 12 | 118 | |
| 450 | 15 | 146 | |
| C | 200 | 6 | 118 |
| 250 | 6 | 75 | |
| 300 | 8 | 93 | |
| 350 | 8 | 68 | |
| 400 | 10 | 82 | |
| 450 | 10 | 65 |
Bảng 2-A/ 21.3 Áp lực thiết kế tối thiểu
Đơn vị tính áp lực : kPa
|
| L ≤ 250 m | L > 250 m |
| Vách trước lộ thiên của thượng tầng tầng 1 | 25 + L/10 | 50 |
| Các vị trí khác | 12,5 + L/20 | 25 |
21.5.6. Những qui định chung về vị trí đặt các cửa sổ hình chữ nhật
Không được đặt các cửa sổ hình chữ nhật ở những không gian nằm dưới boong mạn khô, tầng một của thượng tầng và tầng một lầu lái nếu lầu lái này có xét đến tính nổi khi tính toán ổn định, hoặc các lỗ khoét boong được bảo vệ dẫn xuống các không gian bên trong nằm dưới boong mạn khô.
21.5.7. Yêu cầu đối với các cửa sổ hình chữ nhật
1. Các cửa sổ hình chữ nhật trên tàu phải là cửa cấp E, cấp F phù hợp với các qui định ở Chương 8 Phần 7-B hoặc tương đương.
2. Các cửa sổ hình chữ nhật cấp E và cấp F phải được bố trí sao cho áp lực thiết kế của chúng nhỏ hơn áp lực cho phép lớn nhất xác định theo kích thước danh nghĩa của và cấp của chúng (xem 23.5.8).
2. Các cửa sổ hình chữ nhật đặt ở các không gian thuộc tầng hai, nằm trên boong mạn khô có lối đi trực tiếp vào một không gian ở tầng một của thượng tầng kín hoặc không gian nằm dưới boong mạn khô, phải là loại cửa có bản lề bắt chết hoặc đóng cố định bên ngoài. Nếu vách buồng lái hoặc cửa thuộc phạm vi tầng hai tách biệt khỏi các không gian nằm dưới boong mạn khô hoặc các không gian thuộc phạm vi tầng một của thượng tầng kín, thì các yêu cầu đối với cửa sổ hình chữ nhật phải được áp dụng ở mức độ phù hợp được Đăng kiểm chấp nhận.
4. Các cửa sổ hình chữ nhật đặt ở các không gian thuộc tầng hai trên boong mạn khô có xét đến tính nổi khi tính ổn định, phải là kiểu cửa có bản lề bắt chết hoặc kiểu được đóng cố định bên ngoài.
21.5.8. Áp lực thiết kế và áp lực cho phép lớn nhất của các cửa sổ hình chữ nhật
1. Áp lực thiết kế của các cửa sổ hình chữ nhật (P, kPa) phải nhỏ hơn áp lực cho phép lớn nhất xác định theo kích thước danh nghĩa và cấp của chúng (xem Bảng 2-A/21.4). Áp lực thiết kế được xác định theo công thức sau đây:
P =10 ac(bf - y)
Trong đó: a, b, c và f như qui định ở 17.2.1-1;
y : khoảng cách thẳng đứng từ đường nước chở hàng mùa hè đến mép cửa, tính bằng mét. Nếu tàu có đường nước chở gỗ thì đó là khoảng cách từ đường nước chở gỗ đến mép cửa.
2. Ngoài những qui định ở -1, áp lực thiết kế không được nhỏ hơn áp lực thiết kế nhỏ nhất cho trong Bảng 2-A/21.3.
Bảng 2-A/ 21.4 Áp lực cho phép lớn nhất của cửa sổ hình chữ nhật
| Cấp | Kích thước danh nghĩa rộng (mm) x cao (mm) | Chiều dày kính (mm) | Áp lực cho phép lớn nhất (kPa) |
| E | 300 x 425 | 10 | 99 |
| 355 x 500 | 10 | 71 | |
| 400 x 560 | 12 | 80 | |
| 450 x 630 | 12 | 63 | |
| 500 x 710 | 15 | 80 | |
| 560 x 800 | 15 | 64 | |
| 900 x 630 | 19 | 81 | |
| 1000 x 710 | 19 | 64 | |
| F | 300 x 425 | 8 | 63 |
| 355 x 500 | 8 | 45 | |
| 400 x 560 | 8 | 36 | |
| 450 x 630 | 8 | 28 | |
| 500 x 710 | 10 | 36 | |
| 560 x 800 | 10 | 28 | |
| 900 x 630 | 12 | 32 | |
| 1000 x 710 | 12 | 25 | |
| 1100 x 800 | 15 | 31 |
21.6. Ống thông gió
21.6.1. Chiều cao của thành ống thông gió
Chiều cao của thành ống thông gió, tính từ mặt trên của boong, ít nhất phải bằng 900 mi-li-mét ở vị trí I và ít nhất phải bằng 760 mi-li-mét ở vị trí II theo qui định ở 18.1.2. Nếu tàu có mạn khô quá lớn hoặc nếu ống thông gió phục vụ không gian trong thượng tầng kín thì chiều cao thành của ống thông gió có thể được giảm thích đáng.
21.6.2. Chiều dày của thành ống thông gió
1. Chiều dày của thành ống thông gió ở vị trí I và vị trí II dẫn vào không gian ở dưới boong mạn khô hoặc trong thượng tầng kín phải không nhỏ hơn trị số cho ở dòng 1 Bảng 2-A/21.5. Nếu chiều cao của thành được giảm theo qui định ở 21.6.1 thì chiều dày cũng được giảm thích hợp.
2. Nếu ống thông gió dẫn qua các thượng tầng không phải là thượng tầng kín thì chiều dày của thành ống thông gió trong thượng tầng phải không nhỏ hơn trị số cho ở dòng 2 Bảng 2-A/21.5.
21.6.3. Liên kết
Thành ống thông gió phải được liên kết chắc chắn với boong và nếu chiều cao của thành lớn hơn 900 mi-li-mét thì phải có liên kết đỡ đặc biệt.
21.6.4. Đầu ống thông gió
Đầu ống thông gió phải được lắp khít vào thành ống thông gió và phải có ổ lắp dài không nhỏ hơn 380 mi-li-mét. Với những ống thông gió có đường kính nhỏ hơn hoặc bằng 200 mi-li-mét thì ổ có thể nhỏ hơn.
Bảng 2-A/21.5 Chiều dày của thành ống thông gió
Đơn vị tính : mm
| Đường kính ngoài của ống thông gió (mm) | ≤ 80 | 160 | ≥ 230 nhưng < 330 | |
| Chiều dày của thành ống thông gió | Dòng 1 | 6 | 8,5 | 8,5 |
| Dòng 2 | 4,5 | 4,5 | 6 | |
Chú thích:
(1) Với những trị số trung gian của đường kính ngoài của ống thông gió, chiều dày của thành được tính theo phương pháp nội suy tuyến tính.
(2) Nếu đường kính ngoài của ống thông gió lớn hơn 330 mi-li-mét thì chiều dày của thành phải thỏa mãn yêu cầu của Đăng kiểm.
21.6.5. Thiết bị đóng
1. Ống thông gió vào buồng máy và khu vực hàng hóa phải có thiết bị đóng có thể thao tác được từ phía ngoài của các không gian đó khi có hỏa hoạn.
2. Ống thông gió ở vị trí lộ của boong mạn khô và boong thượng tầng phải có thiết bị đóng kín thời tiết hữu hiệu. Nếu chiều cao của thành ống thông gió lớn hơn 4,5 mét tính từ boong mạn khô, boong đuôi nâng và boong thượng tầng ở 0,25 Lf mũi tàu hoặc cao hơn 2,3 mét tính từ các boong thượng tầng khác thì có thể không cần đến thiết bị đóng đó, trừ trường hợp yêu cầu ở -1.
3. Ở những tàu có Lf bằng và nhỏ hơn 100 mét thiết bị đóng qui định ở -2 không cần phải được đặt thường xuyên, còn ở những tàu khác, nếu không được đặt thường xuyên thì thiết bị đóng có thể được đặt ở một chỗ thuận tiện gần lỗ thông gió mà nó được dùng.
21.6.6. Thông gió cho lầu
Thiết bị thông gió cho các lầu bảo vệ lối vào các không gian ở dưới boong mạn khô phải tương đương với thiết bị thông gió cho thượng tầng kín.
21.6.7. Thông gió cho buồng máy phát điện sự cố
Chiều cao thành ống thông gió của buồng máy phát điện sự cố, tính từ mặt cao nhất của boong, tối thiểu phải bằng 4,5 m đối với boong mạn khô, các boong dâng và boong thượng tầng trong phạm vi 0,25Lf phía mũi hoặc 2,3 m đối với các boong thượng tầng khác; lỗ thông gió không được đặt cùng các thiết bị đóng kín nước. Tuy nhiên, nếu do kích thước tàu và việc bố trí theo qui định này là không thể thực hiện được, thì chiều cao của thành ống thông gió có thể được giảm đến mức phù hợp được Đăng kiểm chấp nhận.
21.7. Cầu boong
21.7.1. Qui định chung
Phải đặt những phương tiện thích đáng (như lan can, dây an toàn, cầu boong hoặc lối đi dưới boong v.v..) để bảo vệ thuyền viên khi ra vào khu vực sinh hoạt, buồng máy, và mọi các khu vực khác sử dụng cho các công việc cần thiết của tàu.
21.7.2. Tàu dầu, tàu chở khí hóa lỏng, tàu chở hóa chất nguy hiểm
1. Những yêu cầu ở điều này được áp dụng cho tàu dầu, tàu chở khí hóa lỏng, tàu chở hóa chất nguy hiểm (sau đây gọi tắt là tàu dầu) có tổng dung tích không nhỏ hơn 500, chạy tuyến quốc tế.
2. Tàu dầu phải đặt các phương tiện để thuyền viên có thể đi lại tới mũi tàu an toàn thậm chí trong điều kiện thời tiết xấu.
3. Đối với các tàu dầu được đóng trước ngày 01-07-1998, phải đặt các phương tiện này vào lần lên đà đầu tiên theo định kỳ qui định ở Phần 1-B, kể từ sau ngày 01-07-1998 nhưng không muộn hơn ngày 01-07-2001. Thuật ngữ "Các tàu dầu được đóng" có nghĩa là các tàu được đặt ky hoặc đang ở giai đoạn tương tự; "Giai đoạn tương tự" có nghĩa là giai đoạn mà việc gia công các cơ cấu của một chiếc tàu cụ thể được bắt đầu và việc lắp ráp chiếc tàu đó đã thực hiện được ít nhất là 50 tấn hoặc 1% tổng khối lượng ước tính của vật liệu làm thân tàu, chọn trị số nào nhỏ hơn.
CHƯƠNG 22 VÁN SÀN VÀ VÁN THÀNH
22.1. Ván sàn
22.1.1. Tàu đáy đơn
1. Ở những tàu đáy đơn, lớp ván sàn kín phải được đặt lên những đà ngang đáy lên đến mép trên của cung hông.
2. Chiều dày của lớp ván sàn phải không nhỏ hơn 63 mi-li-mét.
3. Lớp ván sàn phủ lên mặt đà ngang đáy phải được làm thành những phần tháo lắp được hoặc phải được đặt sao cho dễ gỡ khi cần vệ sinh, sơn hoặc kiểm tra đáy tàu.
22.1.2. Tàu đáy đôi
1. Ở những tàu đáy đôi lớp ván sàn kín phải được đặt từ sống hông đến mép trên của cung hông, sao cho có thể tháo gỡ được ngay khi cần kiểm tra rãnh tiêu nước.
2. Lớp ván sàn phải được đặt ở đáy trên, vùng dưới miệng khoang hàng trừ khi các yêu cầu ở 4.5.1-3 và 29.2.4-2 được áp dụng.
3. Lớp ván sàn phủ mặt đáy đôi phải là những thanh gỗ có chiều dày không nhỏ hơn 13 mi-li-mét, hoặc là lớp phủ theo yêu cầu ở 23.1.4.
4. Chiều dày của lớp ván sàn phủ theo yêu cầu ở -1 và -2 phải thỏa mãn yêu cầu ở 22.1.1-2.
22.2. Ván thành
22.2.1. Ván thành
1. Các không gian hàng hóa dùng để chứa hàng tổng hợp phải được lót bằng những thanh lót có chiều dày không nhỏ hơn 50 mi-li-mét, có chiều rộng không nhỏ hơn 150 mi-li-mét, đặt cách nhau không xa quá 230 mi-li-mét ở phía trên của lớp ván sàn, hoặc phải có biện pháp tương đương để bảo vệ kết cấu.
2. Ở những tàu dùng để chở gỗ sườn khoang phải được bảo vệ đặc biệt. Tuy nhiên, nếu chắc chắn là tàu sẽ không chở gỗ cây thì biện pháp bảo vệ có thể được thay đổi.
3. Ở khoang hàng của những tàu như tàu than, tàu hàng rời, tàu quặng và những tàu tương tự, có thể không cần lớp ván thành.
4. Theo yêu cầu của chủ tàu, được sự chấp thuận của Đăng kiểm, các tàu chở hàng tổng hợp có thể không cần có lớp ván thành, trong trường hợp này, tàu được phân biệt bằng ký hiệu "n.s" trong sổ đăng ký.
CHƯƠNG 23 TRÁNG XI MĂNG VÀ SƠN
23.1. Tráng xi măng
23.1.1. Qui định chung
Đáy của tàu đáy đơn, hông của tất cả các tàu và đáy đôi trong buồng nồi hơi của tất cả các tàu phải được bảo vệ hữu hiệu bằng xi măng Portland hoặc bằng những vật liệu tương đương khác, phủ lên mặt tôn và cơ cấu cho đến mép trên của cung hông. Tuy nhiên, đáy của những khoang chuyên dùng để chứa dầu không cần phải bảo vệ bằng xi măng.
23.1.2. Xi măng Portland
Xi măng Portland được hòa vào nước ngọt với cát hoặc những chất thích hợp theo tỷ lệ khoảng một phần xi măng hai phần cát.
23.1.3. Chiều dày của lớp xi măng
Chiều dày ở mép của lớp xi măng phải không nhỏ hơn 20 mi-li-mét.
23.1.4. Biện pháp đặc biệt đối với tôn nóc két
Nếu được phủ trực tiếp thì tôn nóc két phải được phủ bằng hắc ín chịu nóng và rải đều bột xi măng hoặc bằng một lớp phủ tương đương khác.
23.2. Sơn
23.2.1. Qui định chung
Các kết cấu thép phải được sơn bằng loại sơn thích hợp. Đăng kiểm có thể bổ sung thêm những yêu cầu theo từng loại tàu và từng công dụng của không gian trong tàu v.v... Tuy nhiên, nếu được Đăng kiểm thừa nhận rằng không gian đã được bảo vệ hữu hiệu chống sự han gỉ của kết cấu thép bằng một phương pháp không phải là sơn hoặc do tính chất của hàng hóa v.v...., thì có thể không cần phải sơn.
23.2.2. Quét xi măng
Kết cấu thép trong két nước có thể được phủ bằng dung dịch xi măng thay thế cho sơn.
23.2.3. Làm sạch trước khi sơn
Trước khi sơn, mặt của kết cấu thép phải được làm sạch, không có gỉ, dầu và các chất độc hại khác. Ít nhất là mặt ngoài của tôn vỏ ở dưới đường nước chở hàng thiết kế phải được làm sạch gỉ, lớp chai sắt trước khi được sơn.
CHƯƠNG 24 CỘT VÀ CỘT CẨU
24.1. Qui định chung
24.1.1. Cột không có thiết bị cẩu hàng
1. Đường kính ngoài (D) của cột bằng thép không có thiết bị cẩu hàng và có dây chằng qui định ở -4, phải không nhỏ hơn trị số tính theo công thức sau đây:
D = 3,3 H (cm) : Đường kính ngoài ở boong trên cùng mà cột được đỡ (sau đây được gọi là chân cột).
D = 2,5 H (cm): Đường kính ngoài ở dàn cột hoặc ở chỗ buộc dây chằng (sau đây được gọi là đỉnh cột).
Trong đó:
H : Chiều cao của cội đo từ chân đến đỉnh (m).
2. Chiều dày (t) cột tại mỗi chỗ phải không nhỏ hơn trị số tính theo công thức sau đây hoặc 5 mi-li-mét, lấy trị số nào lớn hơn:
t = 2,5 + 0,1 Dm (mm)
Trong đó:
Dm : Đường kính ngoài của cột tại chỗ đang xét (m).
3. Chân cột và đỉnh cột phải được gia cường chắc chắn.
4. Biện pháp chằng cột phải không kém hữu hiệu so với biện pháp dùng hai cáp chằng ở mỗi bên mạn tàu, đường kính của cáp được cho ở Bảng 2-A/24.1. Cáp được chằng sao cho khoảng cách từ tấm móc cáp phía trước và từ tấm móc cáp phía sau đến chân cột phải không nhỏ hơn một phần tư chiều cao của cột đo từ chân đến đỉnh hoặc B/4 lấy trị số nào lớn hơn.
Bảng 2-A/24.1 Đường kính của cáp chằng
| Chiều cao của cột từ chân đến đỉnh (m) | 9 | 12 | 15 | 18 |
| Đường kính của cáp chằng (m) | 20 | 22 | 24 | 26 |
Chú thích:
Cáp chằng phải là cáp thép No.1 hoặc No.3 qui định ở Chương 4 Phần 7-B.
24.1.1. Cột cẩu
Vật liệu, kết cấu và kích thước của cột, cột cẩu và cáp chằng dùng để cẩu hàng phải thỏa mãn các yêu cầu tương ứng ở TCVN 6272 :2003 - "Qui phạm thiết bị nâng hàng tàu biển".
CHƯƠNG 25 TRANG THIẾT BỊ
25.1. Thiết bị lái
25.1.1. Bánh lái
1. Phạm vi áp dụng
(1) Những yêu cầu trong Chương này được áp dụng cho bánh lái hộp tiết diện dạng lưu tuyến và bánh lái dạng thông thường được phân loại theo các kiểu dưới đây :
(a) Kiểu A: Bánh lái có chốt trên và chốt dưới (xem Hình 2-A/25.1 (A));
(b) Kiểu B: Bánh lái có ổ đỡ cổ trục và chốt dưới (xem Hình 2-A/25.1 (B));
(c) Kiểu C: Bánh lái treo không có ổ đỡ ở phía dưới ổ đỡ cổ trục (xem Hình 2-A/ 25.1 (C));
(d) Kiểu D: Bánh lái nửa treo có ổ đỡ cổ trục và chốt dưới cố định (xem Hình 2-A/25.1 (D));
(e) Kiểu E: Bánh lái nửa treo có hai chốt trong đó chốt dưới cố định (xem Hình 2-A/25.1 (E)).
(2) Kết cấu bánh lái có ba chốt trở lên và bánh lái có dạng đặc biệt hoặc tiết diện dạng đặc biệt là đối tượng xem xét đặc biệt của Đăng kiểm.
(3) Kết cấu của bánh lái có góc quay trở lớn hơn 35° về mỗi mạn trong từng trường hợp phải được Đăng kiểm xem xét đặc biệt.
2. Vật liệu
(1) Trục bánh lái, chốt lái, bu lông liên kết, then, thanh mép bánh lái và các bộ phận liền khối của bánh lái phải được làm bằng thép cán, thép rèn hoặc thép các bon đúc phù hợp với những quy định ở Phần 7-A của Quy phạm này.
Vật liệu dùng chế tạo trục lái, chốt lái, bu lông, then và thanh mép của bánh lái phải có giới hạn chảy không nhỏ hơn 200 (N/mm2).
Những yêu cầu trong Chương này được áp dụng cho vật liệu có giới hạn chảy bằng 235 (N/mm2). Nếu vật liệu có giới hạn chảy khác 235 (N/mm2) thì hệ số vật liệu k được tính theo công thức sau:

Trong đó:
e = 0,75 nếu sy > 235 N/mm2.
e = 1,00 nếu sy ≤ 235 N/mm2.
sy: Giới hạn chảy (N/mm2) của vật liệu sử dụng và không được lấy lớn hơn 0,7 sB hoặc 450 (N/mm2), lấy trị số nào nhỏ hơn.
sB: Độ bền kéo của vật liệu được sử dụng (N/mm2).
(2) Khi dùng thép có giới hạn chảy lớn hơn 235 (N/mm2) đường kính của trục lái có thể được giảm, nhưng phải quan tâm đặc biệt đến biến dạng của trục lái tránh tạo thành áp suất quá lớn tại mép ổ đỡ.
(3) Các chi tiết hàn của bánh lái như tôn bao, xương bánh lái và cốt bánh lái phải được chế tạo từ thép cán phù hợp với những quy định ở Phần 7-A của Quy phạm này.
Khi sử dụng thép có độ bền cao, kích thước của các chi tiết có thể được giảm. Khi đó hệ số vật liệu k được lấy như sau :
(a) 0,78 đối với thép HT 32
(b) 0,72 đối với thép HT 36
3. Tăng đường kính của trục lái trong những trường hợp đặc biệt
(1) Đối với tàu kéo đường kính trục lái phải không nhỏ hơn 1,1 lần đường kính trục lái theo yêu cầu ở Chương này.
(2) Đối với các tàu thường hay phải bẻ lái ở góc lớn khi chạy hết tốc độ như tàu cá v.v..., đường kính trục lái, chốt lái và mô đun chống uốn của tiết diện cốt bánh lái phải không nhỏ hơn 1,1 lần trị số yêu cầu ở Chương này.
| (A) |
| (B) |
| |
| (C) |
| (D) |
| |
| (E) |
| |||
Hình 2-A/25.1 Các dạng bánh lái
(3) Đối với các tàu có yêu cầu bẻ lái nhanh thì đường kính trục lái phải được tăng thích đáng so với những yêu cầu quy định ở Chương này.
4. Áo trục và bạc trục
Các ổ đỡ của trục lái nằm trong khoảng từ đáy của bánh lái đến đường trọng tải thiết kế lớn nhất phải có áo trục và bạc trục.
25.1.2. Lực tác dụng lên bánh lái
Lực FR tác dụng lên bánh lái khi tàu chạy tiến và chạy lùi được dùng làm cơ sở xác định kích thước các chi tiết của bánh lái và được tính theo công thức sau :
FR = 132 K1K2K3AV2 (N)
Trong đó:
A : Diện tích bánh lái (m2).
V : Tốc độ của tàu (hải lí/giờ). Nếu tốc độ chạy tiến của tàu nhỏ hơn 10 hải lí/giờ thì V được lấy bằng Vmin xác định theo công thức sau:

Khi tàu chạy lùi, tốc độ Va được tính theo công thức sau:
Va = 0,5V (hải lí/giờ)
Tuy nhiên, nếu tốc độ chạy lùi Va nhỏ hơn tốc độ chạy lùi thiết kế thì Va phải được lấy bằng tốc độ chạy lùi thiết kế.
K1 : Hệ số, phụ thuộc hệ số hình dạng L của bánh lái, được lính theo công thức sau:

Trong đó:
L : Được tính theo công thức sau, nhưng L không cần phải lớn hơn 2 :

Trong đó:
h : Chiều cao trung bình của bánh lái (m), được xác định theo Hình 2-A/ 25.2.
At : Bằng tổng diện tích của bánh lái A (m2) cộng với diện tích trụ lái hoặc giá bánh lái, nếu có, nằm trong phạm vi chiều cao trung bình h của bánh lái.
| Chiều rộng trung bình của bánh lái:
Chiều cao trung bình của bánh lái:
|
| |
| Hình 2-A/25.2 | Hệ thống tọa độ của bánh lái | |
K2: Hệ số, phụ thuộc kiểu prôfin của bánh lái (xem Bảng 2-A/25.1).
K3: phụ thuộc vị trí của bánh lái theo quy định dưới đây :
| (a) Với bánh lái nằm ngoài dòng chảy sau chân vịt: | 0,80 |
| (b) Với bánh lái nằm trong dòng chảy sau chân vịt: | 1,15 |
| (c) Với các trường hợp khác: | 1,00 |
Bảng 2-A/25.1.1 Hệ số K2
| Kiểu Prôfin | K2 | |
|
| Khi tàu chạy tiến | Khi tàu chạy lùi |
| NACA - 00 Prôfin lồi
| 1,1 | 0,80 |
| Prôfin lõm
| 1,35 | 0,90 |
| Prôfin phẳng
| 1,1 | 0,90 |
25.1.3. Mô men xoắn lên trục lái
1. Mô men xoắn lên trục lái của bánh lái kiểu B và C
Mô men xoắn TR liên trục lái của bánh lái kiểu B và C khi tàu chạy tiến và chạy lùi được xác định tương ứng theo công thức sau đây :
TR = FRr (Nm)
Trong đó:
FR : Như quy định ở 25.1.2.
r : Khoảng cách từ tâm đặt lực FR đến đường tâm của trục lái, được tính theo công thức sau :
r = b(a - e) (m)
Tuy nhiên, khi tàu chạy tiến trị số r không được nhỏ hơn trị số rmin xác định theo công thức :
rmin = 0,1b (m)
Trong đó:
b : Chiều rộng trung bình (m) của bánh lái, xem Hình 2-A/25.2.
a : Được lấy như sau :
- Khi tàu chạy tiến: 0,33
- Khi tàu chạy lùi: 0,66
e : Hệ số cân bằng của bánh lái được tính theo công thức:

Trong đó:
Af : Phần diện tích mặt bánh lái nằm phía trước đường tâm của trục lái (m2).
A : Như quy định ở 25.1.2.
| 2. Mô men xoắn lên trục lái của bánh lái kiểu A, D và E. Mô men xoắn TR lên trục lái của bánh lái kiểu A, D và E khi tàu chạy tiến hoặc chạy lùi được xác định tương ứng theo công thức sau:
Tuy nhiên, khi tàu chạy tiến TR không được nhỏ hơn TRmin xác định theo công thức sau:
|
|
|
| Hình 2-A/25.3 Phân chia bánh lái
|
Trong đó :
TR1 và TR2 : Mô men xoắn tương ứng của các phần diện tích A1 và A2 (Nm).
A1 và A2 : Tương ứng là diện tích phần trên và phần dưới bánh lái (m2), mà A = A1 + A2 (A1 bao gồm cả A1f và A2 gồm A2f), xem Hình 2-A/25.3.
b1 và b2 : Chiều rộng trung bình tương ứng với các phần diện tích A1, A2 xem Hình 2-A/ 25.2.
FR và A - Như quy định ở 25.1.2.
TR1 và TR2, tương ứng là mô men xoắn ứng với các phần diện tích bánh lái A1 và A2 được tính theo các công thức sau :
TR1 = FR1 . r1 (Nm)
TR2 = FR2 . r2 (Nm)
FR1 và FR2 tương ứng là lực tác dụng lên các phần diện tích A1 và A2, được tính theo các công thức sau :

r1 và r2 , tương ứng là khoảng cách từ tâm áp lực của các phần diện tích bánh lái A1 và A2 đến đường tâm của trục lái, được tính theo các công thức sau :
r1 = b1 (a - e1) (m)
r2 = b2 (a - e2) (m)
Trong đó :
e1 và e2 : Tương ứng là hệ số cân bằng ứng với các phần diện tích A1 và A2 của bánh lái được tính theo công thức sau :

a : Được xác định như sau :
Đối với bánh lái không nằm sau kết cấu cố định như giá bánh lái:
- Khi tàu chạy tiến: a = 0,33
- Khi tàu chạy lùi: a = 0,66
Đối với bánh lái nằm sau kết cấu cố định như giá bánh lái:
- Khi tàu chạy tiến: a = 0,25
- Khi tàu chạy lùi: a = 0,55
25.1.4. Tính toán hệ lái theo độ bền
1. Tính toán trực tiếp hệ lái
(1) Hệ lái phải có đủ độ bền để chịu được lực và mô men xoắn quy định ở 25.1.2 và 25.1.3. Để xác định kích thước từng phần của bánh lái, phải xét đến các lực và mô men sau đây:
- Đối với thân bánh lái: Mô men uốn và lực cắt
- Đối với trục lái: Mô men uốn và mô men xoắn
- Đối với ổ đỡ ở chốt và ổ đỡ trục lái: Phản lực gối đỡ.
(2) Mô men uốn, lực cắt và phản lực gối đỡ phải được xác định bằng phương pháp tính toán trực tiếp hoặc bằng các phương pháp tương tự khác được Đăng kiểm chấp nhận.
25.1.5. Trục lái
1. Phần trên của trục lái
Đường kính phần trên của trục lái du yêu cầu để truyền được mô men xoắn phải được xác định sao cho ứng suất xoắn không được lớn hơn 68/Ks (N/mm2).
Đường kính phần trên của trục lái được tính theo công thức sau :

Trong đó:
TR : Như quy định ở 25.1.3.
KS : Hệ số vật liệu trục lái quy định theo 25.1.1-2.
2. Phần dưới của trục lái
Đường kính d1 của phần dưới trục lái chịu tổng hợp cả mô men uốn và mô men xoắn phải được xác định sao cho ứng suất tương đương ở trục lái không lớn hơn 118/KS (N/mm2).
Ứng suất tương đương se được tính theo công thức sau:

Ứng suất uốn và ứng suất xoắn tác dụng lên phần dưới của trục lái được tính như sau:

Trong đó:
M : Mô men uốn (Nm) tại tiết diện đang xét của phần dưới của trục lái.
TR : Như quy định ở 25.1.3.
Nếu tiết diện phần dưới của trục lái có dạng tròn thì đường kính dl của trục lái có thể được tính theo công thức sau :

Trong đó:
du : Đường kính phần trên của trục lái (mm), như quy định ở 25.1.5-1.
25.1.6. Tôn bánh lái, xương bánh lái và cốt bánh lái
1. Tôn bánh lái
Chiều dày tôn bánh lái t không được nhỏ hơn trị số tính theo công thức sau:

Trong đó:
FR và A : Như quy định ở 25.1.2.
Kpl : Hệ số vật liệu tôn bánh lái, quy định theo 25.1.1-2.
b: Được xác định theo công thức sau, nhưng b không được lớn hơn 1,0 (ở đây
)

Trong đó:
S: Khoảng cách các xương nằm hoặc các xương đứng của bánh lái, lấy giá trị nào nhỏ hơn (m).
a : Khoảng cách các xương nằm hoặc các xương đứng của bánh lái, lấy giá trị nào lớn hơn (m)
2. Xương bánh lái
(1) Thân bánh lái phải được gia cường bằng các xương đứng và xương nằm sao cho thân bánh lái có tác dụng như dầm chịu uốn.
(2) Khoảng cách chuẩn (S) của các xương nằm của bánh lái được tính theo công thức sau :

(3) Khoảng cách chuẩn từ xương đứng tạo thành cốt bánh lái đến xương đứng lân cận phải bằng 1,5 lần khoảng cách của xương nằm của bánh lái;
(4) Chiều dày của xương bánh lái không được nhỏ hơn 8 mi-li-mét hoặc 70 % chiều dày của tôn bánh lái theo 25.1.6-1, lấy trị số nào lơn hơn.
3. Cốt bánh lái
(1) Các xương đứng tạo thành cốt bánh lái phải được đặt ở phía trước và sau đường tâm trục lái với khoảng cách gần bằng chiều rộng của tiết diện bánh lái nếu cốt gồm hai xương đứng và đặt theo đường tâm của trục lái nếu cốt gồm một xương.
(2) Mô đun chống uốn tiết diện cốt phải được tính toán theo các xương đứng quy định ở (1) cùng với dải mép kèm của tôn bánh lái. Chiều rộng của dải tôn mép kèm được lấy như sau :
(a) Nếu cốt gồm hai xương đứng thì chiều rộng của mép kèm được lấy bằng 0,2 lần chiều dài của cốt.
(b) Nếu cốt gồm một xương đứng thì chiều rộng của mép kèm được lấy bằng 0,16 lần chiều dài của cốt.
(3) Mô đun chống uốn và diện tích tiết diện nằm ngang của cốt phải sao cho ứng suất uốn, ứng suất cắt và ứng suất tương đương không được lớn hơn các trị số dưới đây:

Tuy nhiên, với bánh lái kiểu A, D và E, mô đun chống uốn và diện tích tiết diện nằm ngang của cốt ở chỗ có khoét lỗ phải sao cho ứng suất uốn, ứng suất cắt và ứng suất tương đương không được lớn hơn các trị số sau đây:

Trong đó:
Km : Hệ số vật liệu của cốt, quy định theo 25.1.1-2
(4) Phần trên của cốt phải kết cấu sao cho tránh được sự gián đoạn của kết cấu.
(5) Các lỗ khoét để bảo dưỡng và các lỗ khoét khác ở tôn bánh lái kiểu A, D và E phải được lượn tròn thích hợp.
4. Liên kết
Tôn bánh lái phải được liên kết chắc chắn với xương bánh lái, cần lưu ý đến các biện pháp công nghệ. Các bộ phận liên kết phải không được có khuyết tật.
5. Sơn và thoát nước
Mặt trong của tôn bánh lái phải được sơn hữu hiệu, và phải đặt các phương tiện thoát nước ở đáy của bánh lái.
25.1.7. Mối nối giữa trục lái và cốt bánh lái
1. Mối nối dạng bích nằm
(1) Bu lông nối phải là loại lắp chặt. Số lượng bu lông nối ở mỗi cặp bích phải không ít hơn sáu cái.
(2) Đường kính db của bu lông nối không được nhỏ hơn trị số tính theo công thức sau :
d : Đường kính của trục lái (mm), lấy trị nào lớn hơn trong các trị số đường kính du quy định ở 25.1.5-1 hoặc dl quy định ở 25.1.5-2.
n : Tổng số bu lông nối.
em: Khoảng cách trung bình từ tâm bu lông đến tâm bích.
Ks : Hệ số vật liệu của trục lái, như quy định ở 25.1.1-2.
Kb : Hệ số vật liệu của bu lông nối, như quy định ở 25.1.1-2.
(3) Chiều dày bích nối tf phải không nhỏ hơn trị số tính theo công thức sau, nhưng không được nhỏ hơn 0,9db (mm).

Trong đó:
Kf : Hệ số vật liệu của bích nối, như quy định ở 25.1.1-2.
Kb : Như quy định ở (2).
db : Đường kính bu lông nối (mm), phụ thuộc số lượng bu lông nối, nhưng số lượng này không được lấy lớn hơn 8.
(4) Khoảng cách từ mép lỗ bu lông nối đến mép ngoài của bích nối không được nhỏ hơn 0,67db (mm).
2. Mối nối dạng côn
(1) Mối nối dạng côn không có hệ thống thủy lực (đầu phun dầu và ê cu thủy lực, v.v...) để tháo và lắp mối nối phải có độ côn theo đường kính từ 1:8 ÷ 1:12 (xem Hình 2-A/25.4).
Chiều dài l của đoạn trục lái dạng côn để lắp vào bánh lái và cố định bằng các ê cu hãm phải không nhỏ hơn 1,5 lần đường kính d0 ở đỉnh bánh lái. Trong trường hợp này, ở phần bích nằm giữa trục lái và bánh lái phải đặt then. Kích thước của then phải thỏa mãn yêu cầu Đăng kiểm.
(2) Kích thước ê cu nêu ở (1) phải phù hợp với yêu cầu dưới đây, lấy giá trị nào lớn hơn (xem Hình 2-A/25.4)
| (a) Đường kính đỉnh ren: | dg ≥ 0,65 d0 | (mm) |
| (b) Chiều cao ê cu: | hn ≥ 0,6 dg | (mm) |
| (c) Đường kính ngoài của ê cu: | dn ≥ 1,2de hoặc 1,5dg | (mm) |
(3) Mối nối dạng côn có hệ thống thủy lực (đầu phun dầu và ê cu thủy lực,v.v...) để tháo và lắp mối nối phải có độ côn theo đường kính từ 1:12 ÷1:20 (xem Hình 2-A/ 25.4).
Lực ép và chiều dài ép phải thỏa mãn yêu cầu Đăng kiểm.
(4) Ê cu cố định trục lái phải có cơ cấu hãm chắc chắn.
(5) Mối nối trục lái phải được bảo vệ tốt để chống ăn mòn.
|
| |
Hình 2-A/25.4 Mối nối dạng côn
3. Mối nối dạng bích đứng
(1) Bu lông nối bích phải là loại lắp chặt. Số lượng bu lông nối trên một bích nối không được ít hơn tám.
(2) Đường kính của bu lông nối không được nhỏ hơn trị số tính theo công thức sau:

Trong đó:
d : Đường kính trục lái (mm) lấy trị số lớn hơn trong các trị số đường kính du quy định ở 25.1.5-1 và dl quy định ở 25.1.5-2.
n : Số lượng bu lông nối.
Kb : Hệ số vật liệu của bu lông nối, quy định theo 25.1.1-2.
Ks : Hệ số vật liệu của trục lái, quy định theo 25.1.1-2.
(3) Mô men diện tích M của các bu lông đối với đường tâm của bích nối phải không nhỏ hơn trị số tính theo công thức sau :
M = 0,00043d3 (cm3)
(4) Chiều dày của bích nối ít nhất phải bằng đường kính của bu lông nối.
(5) Khoảng cách từ mép lỗ bu lông đến mép ngoài của bích nối không được nhỏ hơn 0,67 db (mm).
25.1.8. Chốt lái
1. Đường kính của chốt lái
Đường kính chốt lái dp phải không nhỏ hơn trị số tính theo công thức sau :

Trong đó:
B : Phản lực tại gối đỡ (N).
Kp : Hệ số vật liệu của chốt lái, quy định theo 25.1.1-2.
2. Kết cấu của chốt lái
(1) Chốt lái phải được kết cấu như bu lông côn, độ côn theo đường kính không được lớn hơn trị số dưới đây. Chốt phải được lắp vào các phần liền khối của bánh lái. Ê cu cố định chốt phải được hãm chắc chắn.
(a) Đối với chốt lái được lắp và hãm bằng ê cu: 1:8 ÷ 1:12
(b) Đối với chốt lái được lắp bằng hệ thống thủy lực (đầu phun dầu và ê cu thủy lực,v.v...): 1:12 ÷ 1:20
(2) Đường kính chân ren và ê cu của chốt lái phải được xác định theo những yêu cầu tương ứng ở 25.1.7-2 (2).
(3) Chiều dài phần côn của chốt lái không được nhỏ hơn đường kính lớn nhất của chốt.
(4) Chốt lái phải được bảo vệ thích đáng để chống ăn mòn.
25.1.9. Ổ đỡ trục lái và chốt lái
1. Bề mặt đỡ nhỏ nhất
Bề mặt ổ Ab (lấy bằng tích của chiều dài và đường kính ngoài của áo bọc trục) không được nhỏ hơn trị số tính theo công thức sau:

Trong đó:
B : Như quy định ở 25.1.8-1.
qa : Áp suất bề mặt cho phép (N/mm2). Áp suất bề mặt cho phép đối với ổ đỡ phải được lấy như ở Bảng 2-A/25.2. Tuy nhiên, nếu dùng thử nghiệm để xác nhận thì có thể lấy các giá trị khác so với trị số ở bảng này.
Bảng 2-A/25.2 Áp suất bề mặt cho phép qa
Đơn vị tính : N/mm2
| Vật liệu làm ổ đỡ | qa |
| Gỗ gai ắc | 2,5 |
| Kim loại màu (bôi trơn bằng dầu) | 4,5 |
| Vật liệu tổng hợp có độ cứng từ 60 đến 70, có cốt D (xem chú thích 1) | 5,5 |
| Thép (xem chú thích 2), đồng thau và vật liệu đồng thau - graphic ép nóng | 7,0 |
Chú thích:
(1) Thử độ cứng phân biệt ở nhiệt độ 23°C và độ ẩm 50% theo các Tiêu chuẩn đã được công nhận. Ổ đỡ bằng vật liệu tổng hợp phải là kiểu được Đăng kiểm công nhận.
(2) Thép không gỉ và thép chống mòn phải phù hợp với ống bọc trục mà không gây ăn mòn điện hóa.
2. Chiều dài ổ đỡ
Tỉ số giữa chiều dài và đường kính mặt đỡ phải không nhỏ hơn 1,0. Tuy nhiên, nếu không có quy định nào khác thì tỉ số này không được lớn hơn 1,2, trừ khi được Đăng kiểm chấp nhận.
3. Khe hở ổ đỡ
Nếu ổ đỡ được làm bằng vật liệu kim loại thì khe hở phải không được nhỏ hơn
(mm) theo hướng đường kính, trong công thức này dbs là đường kính trong của bạc (mm).
Nếu ổ đỡ làm bằng vật liệu phi kim loại thì khe hở được xác định thông qua việc xem xét đặc tính dãn nở nhiệt và phòng rộp của vật liệu. Trong mọi trường hợp, khe hở này phải không được lấy nhỏ hơn 1,5 mi-li-mét theo hướng đường kính của ổ đỡ.
25.1.10. Phụ tùng bánh lái
1. Ổ chặn bánh lái
Phải đặt ổ chặn phù hợp với kiểu và trọng lượng của bánh lái và phải chú ý bôi trơn tốt.
2. Phòng giặt bánh lái
Phải lắp đặt một cơ cấu phù hợp để tránh hiện tượng bánh lái bị giật do va đập của sóng.
25.2. Thiết bị neo
25.2.1. Neo, xích neo và cáp
1. Quy định chung
(1) Theo đặc trưng cung cấp, tất cả các tàu phải được trang bị neo, xích neo và dây buộc tàu không ít hơn số lượng qui định ở Bảng 2-A/25.3.
(2) Đối với các tàu có đặc trưng cung cấp nhỏ hơn 50 hoặc lớn hơn 16000 thì số lượng neo, xích neo và dây buộc trang bị cho tàu phải do Đăng kiểm quy định.
(3) Hai neo mũi qui định ở trong Bảng 2-A/25.3 phải được nối với xích neo và đặt vào vị trí sẵn sàng sử dụng ở trên tàu. Nếu trong Bảng 2-A/25.3 quy định ba neo mũi thì chiếc neo mũi thứ ba ở trên tàu được dùng làm neo dự trữ. Tuy nhiên, nếu chủ tàu yêu cầu thì có thể cho phép miễn chiếc neo dự trữ này.
(4) Neo, xích neo, cáp thép và cáp sợi thảo mộc phải phù hợp với những yêu cầu tương ứng quy định ở Chương 2, Chương 3, Chương 4 và Chương 5 của Phần 7-B.
2. Đặc trưng cung cấp của thiết bị EN
(1) Đặc trưng cung cấp của trang thiết bị được tính theo công thức sau :
EN = W2/3 + 2,0 hB + 0,1A
Trong đó :
W: Lượng chiếm nước toàn tải của tàu (T).
h và A : Trị số quy định ở (a), (b) và (c) sau đây :
(a) h là trị số tính theo công thức:
h = f + h'
Trong đó:
f : Khoảng cách thẳng đứng ở giữa tàu từ đường nước chở hàng thiết kế lớn nhất đến mặt trên của xà boong liên tục trên cùng tại mạn (m).
h' : Chiều cao tính từ boong liên tục trên cùng đến nóc của thượng tầng hoặc lầu trên cùng có chiều rộng lớn hơn B/4 (m).
Khi xác định trị số h' có thể bỏ qua độ cong dọc và độ chúi của tàu. Nếu lầu có chiều rộng lớn hơn B/4 nằm trên lầu có chiều rộng bằng hoặc nhỏ hơn B/4 thì lầu hẹp hơn có thể được bỏ qua.
(b) A là trị số tính theo công thức sau :
A = fL + Sh''l
Trong đó:
Sh''l: Tổng các tích số chiều cao h"(m) và chiều dài l (m) của thượng tầng, lầu hoặc hầm boong được đặt trên boong liên tục trên cùng trên chiều dài tàu và có chiều rộng lớn hơn B/4 và chiều cao lớn hơn 1,5 mét.
f : Như quy định ở (1).
(c) Khi áp dụng (1) và (2) mạn chắn sóng và lan can có chiều cao lớn hơn 1,5 mét phải được coi là một phần của thượng tầng hoặc lầu.
(2) Ngoài những qui định ở (1), đối với tàu kéo, số đặc trưng cung cấp EN phải được xác định theo công thức sau:
EN = W2/3 + 2,0 (fB + Sh"b) + 0,1A
Trong đó : W, f và A như qui định ở (1)
Sh"b - tổng của tích giữa chiều cao (m) và chiều rộng (m) của mỗi thượng tầng và lầu có chiều rộng lớn hơn B/4 nằm trên boong liên tục cao nhất.
3. Neo
(1) Khối lượng của một neo mũi có thể được cho phép sai khác ± 7% so với khối lượng qui định ở Bảng 2- A/25.3, nhưng với điều kiện tổng khối lượng của các neo mũi không được nhỏ hơn khối lượng nhận được khi nhân khối lượng của từng neo cho trong bảng với số lượng neo lắp đặt trên tàu. Tuy nhiên, nếu được Đăng kiểm chấp nhận có thể sử dụng neo có khối lượng tăng lên quá 7%.
(2) Nếu sử dụng neo có ngáng thì khối lượng neo trừ ngáng không được nhỏ hơn 0,80 lần khối lượng cho trong bảng đối với neo mũi không ngáng thông thường.
(3) Nếu dùng neo có lực bám cao thì khối lượng của từng chiếc có thể lấy bằng 0,75 lần khối lượng cho trong bảng đối với neo không ngáng thông thường.
(4) Nếu dùng neo có lực bám đặc biệt cao, thì khối lượng neo có thể lấy bằng 0,50 lần khối lượng cho trong bảng đối với neo mũi không ngáng thông thường. Tuy nhiên, khối lượng của neo có lực bám đặc biệt cao không cần vượt quá 1500 kg.
4. Xích và cáp
(1) Xích neo mũi phải là loại xích có ngáng cấp 1, 2 hoặc 3 quy định ở 3.1 Chương 3 của Phần 7-B.Tuy nhiên, xích cấp 1 (KSBC 31) không được dùng cho neo có lực bám cao.
(2) Đối với xích và cáp thép của neo đuôi, tải thử kéo đứt quy định ở 3.1 Chương 3 hoặc Chương 4 của Phần 7-B không được nhỏ hơn tải thử kéo đứt tương ứng quy định ở Bảng 2-A/25.3.
5. Dây buộc
(1) Nếu sử dụng cáp thép, cáp sợi thảo mộc làm dây buộc tàu thì tải thử kéo đứt quy định ở Chương 4 hoặc Chương 5 của Phần 7-B không được nhỏ hơn tải thử kéo đứt tương ứng qui định ở Bảng 2-A/25.3.
(2) Đối với các tàu có tỉ số A/EN lớn hơn 0,9 thì ngoài số lượng dây quy định ở Bảng 2-A/25.3, còn phải trang bị thêm số lượng dây qui định dưới đây :
(a) nếu 0,9 < A/EN ≤ 1,1
(b) nếu 1,1 < A/EN ≤ 1,2
(c) nếu A/EN > 1,2.
Trong đó:
EN : Đặc trưng cung cấp.
A : Như quy định ở 25.2.1-2 (2)
(3) Đối với mỗi dây buộc tàu có tải thử kéo đứt yêu cầu lớn hơn 490 kN theo Bảng 2-A/25.3 thì độ bền yêu cầu của dây có thể được giảm do tăng số lượng dây buộc và ngược lại với điều kiện tổng tải kéo đứt của tất cả các dây buộc trên tàu không được nhỏ hơn trị số nhận được do nhân trị số tải kéo đứt yêu cầu ở Bảng 2-A/25.3 với tổng số dây yêu cầu ở Bảng 2-A/25.3 và (2) mặc dù đã có yêu cầu ở (1). Tuy nhiên, trong mọi trường hợp số lượng dây buộc không được nhỏ hơn 6 và một trong các dây này không được có tải thử kéo đứt nhỏ hơn 490 kN.
(4) Nếu được Đăng kiểm chấp nhận có thể sử dụng cáp sợi tổng hợp làm dây buộc.
(5) Nếu được Đăng kiểm chấp nhận có thể dùng cáp lõi thép cấu tạo đàn hồi tương ứng thay cho cáp lõi sợi làm dây chằng buộc và được cuốn vào tang trống của tời cuốn dây ở trên tàu.
(6) Chiều dài của mỗi sợi dây buộc có thể được giảm 7% so với chiều dài quy định ở Bảng 2-A/25.3, nếu chiều dài tổng cộng của các dây buộc theo quy định không nhỏ hơn trị số nhận được do nhân chiều dài của dây với số dây tương ứng quy định ở Bảng 2-A/25.3.
6. Dây kéo
Dây kéo trang bị trên tàu phải thỏa mãn những yêu cầu quy định dưới đây:
(1) Chiều dài dây kéo không được nhỏ hơn trị số quy định ở Bảng 2-A/25.3 theo số đặc trưng cung cấp của thiết bị.
(2) Có thể dùng cáp thép, cáp sợi thảo mộc làm dây kéo nếu tải thử kéo đứt quy định ở Chương 4 hoặc Chương 5 Phần 7-B không nhỏ hơn tải thử kéo đứt quy định ở Bảng 2-A/25.3 theo số đặc trưng cung cấp của thiết bị. Việc sử dụng cáp sợi thảo mộc làm dây kéo phải được Đăng kiểm chấp thuận.
(3) Cáp thép, cáp sợi thảo mộc hoặc cáp sợi tổng hợp dùng làm dây kéo phải thỏa mãn những yêu cầu tương ứng quy định ở Chương 4 hoặc Chương 5 của Phần 7-B.
7. Những quy định khác
(1) Tất cả các tàu phải được trang bị các phương tiện kéo thả neo.
(2) Một đầu của xích neo phải được buộc cố định vào thân tàu bằng maní thông qua một khuyết nối khỏe và đầu kia được nối với neo bằng ma ní hoặc các cơ cấu tương đương khác.
25.3. Thiết bị kéo sự cố
1. Phạm vi áp dụng
Những qui định trong mục 25.3 này áp dụng cho các tàu dầu, tàu chở xô khí hóa lỏng và tàu chở xô hóa chất nguy hiểm không nhỏ hơn 20.000 tấn trọng tải (DWT) qui định ở 2.1.28 của Phần 1-A.
2. Qui định chung
(1) Thiết bị kéo sự cố được Đăng kiểm duyệt y được phân ra hai kiểu, một trong hai kiểu đó là kiểu 1.000 kN và kiểu kia là kiểu 2003 kN.
(2) Thiết bị kéo sự cố phải có khả năng triển khai hoạt động nhanh trong trường hợp thiếu nguồn điện chính trên tàu được kéo và dễ dàng nối với tàu kéo.
(3) Phải bố trí thiết bị kéo sự cố phù hợp ở cả hai mép mạn tàu, phụ thuộc vào trọng tải toàn phần (DWT) của tàu theo yêu cầu (a) và (b):
(a) Kiểu thiết bị kéo sự cố 1.000 kN đối với tàu có 20.000 ≤ DWT < 50.000
(b) Kiểu thiết bị kéo sự cố 2.000 kN đối với tàu có DWT ≤ 50.000
(4) Tối thiểu phải có một thiết bị kéo sự cố theo qui định ở -3 được bố trí sẵn sàng trước để có thể triển khai hoạt động nhanh chóng.
Bảng 2-A/25.3 Neo, xích và cáp
| Mã hiệu | Đặc trưng cung cấp của thiết bị EN | Neo | Xích dùng cho neo mũi (xích neo có ngáng) | Cáp thép hoặc xích (dùng cho neo đuôi) | Dây kéo | Dây buộc tàu | ||||||||||||||
| Số lượng | Khối lượng một neo (neo không có thanh cắt ngáng) | |||||||||||||||||||
| Mũi | Mũi | Tổng chiều dài | Đường kính | Tổng chiều dài | Tải kéo đứt | Tổng chiều dài | Tải kéo đứt | Số lượng | Chiều dài mỗi dây | Tải thử kéo đứt | ||||||||||
| Cấp 1 | Cấp 2 | Cấp 3 | ||||||||||||||||||
|
| Trên | đến |
| kg | m | mm | mm | mm |
|
| m |
| kN |
| m |
|
| kN | ||
| A1 | 50 | 70 | 2 | 180 | 220 | 14 | 12,5 |
|
|
| 180 |
|
| 98 | 3 | 80 |
|
| 34 | |
| A2 | 70 | 90 | 2 | 240 | 220 | 16 | 14 |
|
|
| 180 |
|
| 98 | 3 | 100 |
|
| 37 | |
| A3 | 90 | 110 | 2 | 300 | 247,5 | 17,5 | 16 |
|
|
| 180 |
|
| 98 | 3 | 110 |
|
| 39 | |
| A4 | 110 | 130 | 2 | 360 | 247,5 | 19 | 17,5 |
|
|
| 180 |
|
| 98 | 3 | 110 |
|
| 44 | |
| A5 | 130 | 150 | 2 | 420 | 275 | 20,5 | 17,5 |
|
|
| 180 |
|
| 98 | 3 | 120 |
|
| 49 | |
| B1 | 150 | 175 | 2 | 480 | 275 | 22 | 19 |
|
|
| 180 |
|
| 98 | 3 | 120 |
|
| 54 | |
| B2 | 175 | 205 | 2 | 570 | 302,5 | 24 | 20,5 |
|
|
| 180 | · |
| 112 | 3 | 120 |
|
| 59 | |
| B3 | 205 | 240 | 3 | 660 | 302,5 | 26 | 22 | 20,5 |
|
| 180 |
|
| 129 | 4 | 120 |
|
| 64 | |
| B4 | 240 | 280 | 2 | 780 | 330 | 28 | 24 | 22 |
|
| 180 |
|
| 150 | 4 | 120 |
|
| 69 | |
| B5 | 280 | 320 | 2 | 900 | 357,5 | 30 | 26 | 24 |
|
| 180 |
| 174 | 4 | 140 |
|
| 74 | ||
| C1 | 320 | 360 | 2 | 1020 | 357,5 | 32 | 28 | 24 |
|
| 180 |
| 207 | 4 | 140 | · |
| 78 | ||
| C2 | 360 | 400 | 2 | 1140 | 385 | 34 | 30 | 26 |
|
| 180 |
|
| 227 | 4 | 140 |
|
| 88 | |
| C3 | 400 | 450 | 2 | 1290 | 385 | 36 | 32 | 28 |
|
| 180 |
|
| 250 | 4 | 140 |
|
| 98 | |
| C4 | 450 | 500 | 2 | 1440 | 412,5 | 38 | 34 | 30 |
|
| 180 |
|
| 277 | 4 | 140 |
|
| 108 | |
| C5 | 500 | 550 | 2 | 1590 | 412,5 | 40 | 34 | 30 |
|
| 190 |
|
| 306 | 4 | 160 |
|
| 123 | |
| D1 | 550 | 600 | 2 | 1740 | 440 | 42 | 36 | 32 |
|
| 190 | Å | 338 | 4 | 160 |
|
| 132 | ||
| D2 | 600 | 660 | 2 | 1920 | 440 | 44 | 38 | 34 |
|
| 190 |
|
| 371 | 4 | 160 |
|
| 147 | |
| D3 | 660 | 720 | 2 | 2100 | 440 | 46 | 40 | 36 |
|
| 190 |
|
| 406 | 4 | 160 |
|
| 157 | |
| D4 | 720 | 780 | 2 | 2280 | 467,5 | 48 | 42 | 36 |
|
| 190 |
|
| 441 | 4 | 170 |
|
| 172 | |
| D5 | 780 | 840 | 2 | 2460 | 467,5 | 50 | 44 | 38 |
|
| 190 |
|
| 480 | 4 | 170 |
|
| 186 | |
| E1 | 840 | 910 | 2 | 2640 | 467,5 | 52 | 46 | 40 |
|
| 190 |
|
| 518 | 4 | 170 |
| 201 | ||
| E2 | 910 | 980 | 2 | 2850 | 495 | 54 | 48 | 42 |
|
| 190 |
|
| 559 | 4 | 170 |
| 216 | ||
| E3 | 980 | 1060 | 2 | 3060 | 495 | 56 | 50 | 44 |
|
| 200 |
|
| 603 | 4 | 180 |
| 230 | ||
| E4 | 1060 | 1140 | 2 | 3300 | 495 | 58 | 50 | 46 |
|
| 200 |
|
| 647 | 4 | 180 |
|
| 250 | |
| E5 | 1140 | 1220 | 2 | 3540 | 522,5 | 60 | 52 | 46 |
|
| 200 |
|
| 691 | 4 | 180 |
|
| 270 | |
| F1 | 1220 | 1300 | 2 | 3780 | 522,5 | 62 | 54 | 48 |
|
| 200 |
|
| 738 | 4 | 180 |
|
| 284 | |
| F2 | 1300 | 1390 | 2 | 4050 | 522,5 | 64 | 56 | 50 |
|
| 200 |
|
| 786 | 4 | 180 |
|
| 309 | |
| F3 | 1390 | 1480 | 2 | 4320 | 550 | 66 | 58 | 50 |
|
| 200 |
|
| 836 | 4 | 180 |
|
| 324 | |
| F4 | 1480 | 1570 | 2 | 4590 | 550 | 68 | 60 | 52 |
|
| 220 |
|
| 888 | 5 | 190 |
|
| 324 | |
| F5 | 1570 | 1670 | 2 | 4890 | 550 | 70 | 62 | 54 |
|
| 220 |
|
| 941 | 5 | 190 |
|
| 333 | |
| G1 | 1670 | 1790 | 2 | 5250 | 577,5 | 73 | 64 | 56 |
|
| 220 |
|
| 1024 | 5 | 190 | Å | 353 | ||
| G2 | 1790 | 1930 | 2 | 5610 | 577,5 | 76 | 66 | 58 |
|
| 220 |
|
| 1109 | 5 | 190 |
|
| 378 | |
| G3 | 1930 | 2080 | 2 | 6000 | 577,5 | 78 | 68 | 60 |
|
| 220 |
|
| 1168 | 5 | 190 |
|
| 402 | |
| G4 | 2080 | 2230 | 2 | 6450 | 605 | 81 | 70 | 62 |
|
| 240 |
|
| 1259 | 5 | 200 |
|
| 422 | |
| G5 | 2230 | 2380 | 2 | 6900 | 605 | 84 | 73 | 64 |
|
| 240 |
|
| 1356 | 5 | 200 |
|
| 451 | |
| H1 | 2380 | 2530 | 2 | 7350 | 605 | 87 | 76 | 66 |
|
| 240 |
|
| 1453 | 5 | 200 |
| 480 | ||
| H2 | 2530 | 2700 | 2 | 7800 | 632,5 | 90 | 78 | 68 |
|
| 260 |
|
| 1471 | 6 | 200 |
| 480 | ||
| H3 | 2700 | 2870 | 2 | 8300 | 632,5 | 92 | 81 | 70 |
|
| 260 |
|
| 1471 | 6 | 200 |
| 490 | ||
| H4 | 2870 | 3040 | 2 | 8700 | 632,5 | 95 | 84 | 73 |
|
| 260 |
|
| 1471 | 6 | 200 |
|
| 500 | |
| H5 | 3040 | 3210 | 2 | 9300 | 660 | 97 | 84 | 76 |
|
| 280 |
|
| 1471 | 6 | 200 |
|
| 520 | |
| J1 | 3210 | 3400 | 2 | 9900 | 660 | 100 | 87 | 78 |
|
| 280 |
|
| 1471 | 6 | 200 |
|
| 554 | |
| J2 | 3400 | 3600 | 2 | 10500 | 660 | 102 | 90 | 78 |
|
| 280 |
|
| 1471 | 6 | 200 |
|
| 588 | |
| J3 | 3600 | 3800 | 2 | 11100 | 687,5 | 105 | 92 | 81 |
|
| 300 |
|
| 1471 | 6 | 200 |
|
| 618 | |
| J4 | 3800 | 4000 | 2 | 11700 | 687,5 | 107 | 95 | 84 |
|
| 300 |
|
| 1471 | 6 | 200 |
|
| 647 | |
| J5 | 4000 | 4200 | 2 | 12300 | 687,5 | 111 | 97 | 87 |
|
| 300 |
|
| 1471 | 7 | 200 |
|
| 647 | |
| K1 | 4200 | 4400 | 2 | 12900 | 715 | 114 | 100 | 87 |
|
| 300 |
|
| 1471 | 7 | 200 |
|
| 657 | |
| K2 | 4400 | 4600 | 2 | 13500 | 715 | 117 | 102 | 90 |
|
| 300 |
|
| 1471 | 7 | 200 |
|
| 667 | |
| K3 | 4600 | 4800 | 2 | 14100 | 715 | 120 | 105 | 92 |
|
| 300 |
|
| 1471 | 7 | 200 |
| 677 | ||
| K4 | 4800 | 5000 | 2 | 14700 | 742,5 | 122 | 107 | 95 |
|
| 300 |
|
| 1471 | 7 | 200 |
| 686 | ||
| K5 | 5000 | 5200 | 2 | 15400 | 742,5 | 124 | 111 | 97 |
|
| 300 |
|
| 1471 | 8 | 200 |
|
| 686 | |
| L1 | 5200 | 5500 | 2 | 16100 | 742,5 | 127 | 111 | 97 |
|
| 300 |
|
| 1471 | 8 | 200 |
|
| 696 | |
| L2 | 5500 | 5800 | 2 | 16900 | 742,5 | 130 | 114 | 100 |
|
| 300 |
|
| 1471 | 8 | 200 |
|
| 706 | |
| L3 | 5800 | 6100 | 2 | 17800 | 742,5 | 132 | 117 | 102 |
|
| 300 |
|
| 1471 | 9 | 200 |
|
| 706 | |
| L4 | 6100 | 6500 | 2 | 18800 | 742,5 |
| 120 | 107 |
|
|
|
|
| 9 | 200 |
|
| 716 | ||
| L5 | 6500 | 6900 | 2 | 20030 | 770 |
| 124 | 111 |
|
|
|
|
| 9 | 200 |
|
| 726 | ||
| M1 | 6900 | 7400 | 2 | 21500 | 770 |
| 127 | 114 |
|
|
|
|
| 10 | 200 |
|
| 726 | ||
| M2 | 7400 | 7900 | 2 | 23000 | 770 |
| 132 | 117 |
|
|
|
|
| 11 | 200 |
|
| 726 | ||
| M3 | 7900 | 8400 | 2 | 24500 | 770 |
| 137 | 122 |
|
|
|
|
| 11 | 200 |
|
| 735 | ||
| M4 | 8400 | 8900 | 2 | 26000 | 770 |
| 142 | 127 |
|
|
|
|
| 12 | 200 |
|
| 735 | ||
| M5 | 8900 | 9400 | 2 | 27500 | 770 |
| 147 | 132 |
|
|
|
|
| 13 | 200 |
|
| 735 | ||
| N1 | 9400 | 10000 | 2 | 29000 | 770 |
| 152 | 132 |
|
|
|
|
| 14 | 200 |
|
| 735 | ||
| N2 | 10000 | 10700 | 2 | 31000 | 770 |
|
| 137 |
|
|
|
|
| 15 | 200 |
|
| 735 | ||
| N3 | 10700 | 11500 | 2 | 33000 | 770 |
|
| 142 |
|
|
|
|
| 16 | 200 |
|
| 735 | ||
| N4 | 11500 | 12400 | 2 | 35500 | 770 |
|
| 147 |
|
|
|
|
| 17 | 200 |
|
| 735 | ||
| N5 | 12400 | 13400 | 2 | 38500 | 770 |
|
| 152 |
|
|
|
|
| 18 | 200 |
|
| 735 | ||
| 01 | 13400 | I4600 | 2 | 42003 | 770 |
|
| 157 |
|
|
|
|
| 19 | 200 |
| 735 | |||
| 01 | 14600 | 16000 | 2 | 46000 | 770 |
|
| 162 |
|
|
|
|
| 21 | 200 |
|
| 735 | ||
Chú thích:
(1) Nếu sử dụng cáp thép thì phải là cáp thép tương ứng với mác được qui định ở Bảng 2-A/25.3: · (6 x 12), Å (6 x 24),
(6 x 37)
(2) Chiều dài của cáp có thể bao gồm cả ma ní liên kết.
(3) Dây kéo qui định ở 25.2.1-6 không phải là cơ sở để phân cấp do đó nó được liệt kê trong bảng này chỉ nhằm mục đích tham khảo.
CHƯƠNG 26 GIA CƯỜNG CHỐNG BĂNG
26.1. Qui định chung
26.1.1. Phạm vi áp dụng
1. Nếu ký hiệu cấp chống băng được đề nghị thì kết cấu và trang bị của tàu phải thỏa mãn những yêu cầu ở Chương này cùng với những yêu cầu khác ở Phần 2-A này.
2. Nếu ký hiệu cấp chống băng được đề nghị thì máy chính v.v..., phải thỏa mãn những yêu cầu ở Chương này cùng với những yêu cầu ở TCVN 6259 -3 :2003 - Phần 3 "Máy tàu" (sau đây gọi là Phần 3).
3. Những yêu cầu ở Chương này được áp dụng để gia cường chống băng cho những tàu được thiết kế để hoạt động ở biển Bắc Ban-tic thỏa mãn Qui phạm phân cấp chống băng cho tàu đánh cá năm 1985 của Thụy Điển hoặc ở Biển Arctic của Canada thỏa mãn Qui phạm ngăn ngừa ô nhiễm do tàu gây ra ở Biển Arctic.
4. Phải quan tâm đến nhiệt độ thấp của môi trường xung quanh tàu khi thiết kế kết cấu và các trang thiết bị cần thiết để đảm bảo sự an toàn và sự hoạt động của tàu tức là hoạt động của hệ thống thủy lực, nguy cơ băng hóa các đường ống và két nước dẫn đến nguy hại cho động cơ.
5. Đối với các tàu có kích thước, dạng vỏ hoặc thiết bị đẩy khác thường, Đăng kiểm có thể bổ sung thêm những yêu cầu riêng trong từng trường hợp cụ thể.
26.1.2. Hồ sơ
1. Vùng mũi, vùng giữa, vùng đuôi, đai chống băng, LWL và BWL qui định ở 26.2.2 phải được thể hiện trên bản vẽ khai triển tôn qui định ở 2.1.2 ở Phần 1-B.
2. Công suất máy qui định ở 26.2.2 và lượng chiếm nước qui định ở 26.2.3-3 phải được ghi ở bản vẽ bố trí chung qui định ở 2.1.2 của Phần 1-B.
26.2. Gia cường chống băng
26.2.1. Phân cấp gia cường chống băng
1. Gia cường chống băng được phân thành năm cấp như sau :
(1) Gia cường chống băng cấp IAS
(2) Gia cường chống băng cấp IA
(3) Gia cường chống băng cấp IB
(4) Gia cường chống băng cấp IC
(5) Gia cường chống băng cấp ID
2. Chủ tàu có trách nhiệm xác định xem cấp chống băng nào ở -1 là phù hợp nhất với yêu cầu của mình.
26.2.2. Các định nghĩa
Nếu không có qui định nào khác, các thuật ngữ ở Chương này được định nghĩa như sau :
(1) Vùng mũi, vùng giữa và vùng đuôi của thân tàu đối với tàu được gia cường chống băng cấp IAS, cấp IA, IB, IC và vùng mũi của thân tàu được gia cường chống băng cấp ID được qui định như sau:
Vùng mũi tàu:
Từ sống mũi đến đường song song và nằm cách 0,04L phía sau đường giới hạn phía trước phần thân ống của thân tàu. Đối với tàu được gia cường chống băng cấp IAS và cấp IA, phần trùm qua đường giới hạn nêu trên không cần lớn hơn 6 mét, đối với tàu được gia cường chống băng cấp IB, IC và ID phần trùm qua này không cần phải lớn hơn 5 mét.
Vùng giữa tàu:
Từ giới hạn phía sau của vùng mũi đến đường song song và nằm cách 0,04L phía sau đường giới hạn phía sau phần thân ống của thân tàu. Đối với tàu được gia cường chống băng cấp IAS và cấp IA, phần trùm qua đường giới hạn nêu trên không cần lớn hơn 6 mét, đối với tàu được gia cường chống băng cấp IB, IC và ID phần trùm qua này không cần phải lớn hơn 5 mét.
Vùng đuôi tàu:
Từ đường giới hạn phía sau của phần giữa tàu về đuôi tàu.
(2) "Đai chống băng" là phần tôn bao phải được gia cường (xem Hình 2-A/26.1).
(3) Đường nước chở hàng (LWL) là đường được xác định bởi chiều chìm ở giữa tàu ứng với đường nước chở hàng mùa hè nước ngọt qui định ở Phần 11 (nếu tàu có đường chở gỗ qui định ở Phần 11, thì là chiều chìm ứng với đường nước chở gỗ mùa hè nước ngọt phải được sử dụng) và chiều chìm lớn nhất ở mũi và đuôi có xét đến độ chúi của tàu và độ mặn của nước biển dọc theo tuyến đường dự kiến.
(4) Đường nước dằn (BWL) là đường được xác định bởi chiều chìm nhỏ nhất ở mũi và đuôi tàu có xét đến việc đảm bảo khả năng hoạt động của tàu ở vùng có băng.

Hình 2-A/26.1 Đai chống băng ở các vùng trên thân tàu

Hình 2-A/26.2 Các số đo
(5) Công suất ra của máy (H) là công suất ra liên tục lớn nhất của máy. Nếu công suất ra của máy chính bị hạn chế bởi điều kiện kỹ thuật hoặc bất kỳ qui định nào áp dụng cho tàu thì H phải được lấy bằng công suất ra giới hạn.
26.2.3. Đảm bảo chiều chìm tối thiểu
1. Bất kỳ két dằn nào phía trên đường BWL và cần thiết để dằn tàu ở đường nước này phải có thiết bị thích hợp để chống băng hóa nước dằn.
2. Thiết bị đẩy phải được ngập sau toàn bộ, nếu có thể phải nằm hoàn toàn dưới băng.
3. Chiều chìm mũi nhỏ nhất (dfmim, m) phải không nhỏ hơn trị số tính theo công thức sau :
dfmin = (2,0 + 0,00025D)h0
Nhưng không cần lớn hơn 4h0.
Trong đó:
D : Lượng chiếm nước của tàu ứng với chiều chìm lớn nhất ở giữa tàu trên đường tải trọng nước ngọt qui định ở 26.2.2 (3) (tấn).
h0 : Hằng số cho ở Bảng 2-A/26.1 tùy thuộc vào cấp gia cường chống băng.
Bảng 2-A/26.1 Trị số của hằng số h0
| Cấp gia cường chống băng | h0 |
| IAS | 1,0 |
| IA | 0,8 |
| IB | 0,6 |
| IC | 0,4 |
| ID | 0,4 |
26.2.4. Công suất ra của máy
1. Công suất ra của máy (H) phải phù hợp với các qui định ở (1) và (2) dưới đây :
(1) Đối với các tàu gia cường chống băng cấp IA và IAS
Công suất ra của máy (H) phải không nhỏ hơn trị số xác định từ công thức sau đây. Các kích thước của tàu, được đo theo đường nước chở hàng (LWL) như định nghĩa ở 26.2.2(3).

Trong đó :
H : Công suất ra của máy (kW)
Ke : Hằng số cho ở Bảng 2-A/26.3
DP : Đường kính chân vịt (m)
RCH : Sức cản của tàu trong luồng băng tan và đai gia cường (N)
RCH = C1 + C2 + C3(HF + HM)2(B + 1,85HF - 2HF/tany)(0,15cosf2 + sinysina) + C4LPARHF2 + C5(Ld/B2)3 (Awf/L)
C1 và C2: Hệ số được lấy có tính đến đai gia cường trên cùng của luồng băng tan.
(a) Đối với các tàu gia cường chống băng cấp IA:
C1 = 0
C2 = 0
(b) Đối với các tàu gia cường chống băng cấp IAS :
C1 = f1 B LPAR / (2d/B + 1) + (1 + 0,021f1)(f2 B + f3LBOW + f4 B LBOW)
C2 = (1 + 0,063f1)(g1 +g2 B) + g3(1 + 1,2 d/B)B2/ L0,5
Trong đó:
B : Chiều rộng lớn nhất của tàu (m)
L : Chiều dài tàu theo đường nước (m)
d : Chiều chìm tàu phù hợp với 26.2.2(3), áp dụng ràng buộc sau: 5 ≤ (Ld/B2)3 ≤ 20
LPAR : Chiều dài của đoạn thân ống, m (xem Hình 2-A/26.2)
LBOW : Chiều dài của đoạn mũi, m (xem Hình 2-A/26.2)
HM : Chiều dày của lớp băng tan ở luồng giữa (m): HF = 1,0
HF : Chiều dày của lớp băng tan xuất hiện ở vùng mũi (m): HF = 0,26 + (HMB)0,5
Awf : Diện tích đường nước vùng mũi, m2 (xem Hình 2-A/26.4)
a : Góc cắt của đường nước tại B/4, độ (xem Hình 2-A/26.4)
f1 : Độ nghiêng của sống mũi tại tâm (độ). Đối với tàu có mũi quả lê, f1 lấy bằng 90° (xem Hình 2-A/26.4)
f2 : Độ nghiêng của mũi tại B/4, độ (xem Hình 2-A/26.4)
y = arctangent(tanf2 /sina)
f1, f2, f3, f4, g1, g2, C3, C4 và C5 : Các giá trị cho trong Bảng 2-A/ 26.4
(2) Đối với các tàu gia cường chống băng cấp IB, IC và ID
Công suất ra của máy (H) phải không nhỏ hơn trị số tính theo công thức sau đây và trong mọi trường hợp không được nhỏ hơn 740 kW.
H = e1e2e3(e4W + P0) (kW)
Trong đó :
e1 : Được lấy như sau tùy theo loại chân vịt:
e1 = 1,0: Đối với chân vịt bước cố định
e1 = 0,9 : Đối với chân vịt biến bước
e2 : Được lấy như sau theo dạng mũi nhưng không được lớn hơn 1,1.
e2 = 1,1 : Đối với mũi quả lê
e2 = (f1 /200) + 0,675 : Đối với các dạng khác
f1 : Góc nhọn tạo bởi sống mũi và đường LWL. Nếu sống mũi là dạng đường cong vừa phải trong phạm vi đai chống băng qui định ở 26.2.6-1, thì nó có thể được thay thế bằng đường thẳng nối các giao điểm của sống mũi với đường giới hạn nêu trên và đường giới hạn dưới của đai chống băng.
Nếu có sự thay đổi rõ rệt độ nghiêng của sống mũi thì f1 là góc lớn nhất.
Tích số của e1 x e2 không được nhỏ hơn 0,85.
e3 : Được cho theo công thức sau nhưng không được nhỏ hơn 1,0.
e3 = 1,2 BW1/3
W : Lượng chiếm nước (t) của tàu ứng với chiều chìm lớn nhất qui định ở 26.2.3-3, nhưng không cần lấy lớn hơn 80.000 tấn.
e4 và P0 : Được cho ở Bảng 2-A/26.2 phụ thuộc vào cấp gia cường chống băng và lượng chiếm nước của tàu.
Bảng 2-A/26.2 Trị số của e4 và P0
|
| IAS | IA | IB | IC | ID | IA | IB | IC | ID | ||
| D < 40000 | D ≥ 40000 | D < 30000 | D ≥ 30000 | ||||||||
| e4 | 0,27 | 0,15 | 0,26 | 0,22 | 0,18 | 0,13 | 0,15 | 0,13 | 0,11 | 0,09 | |
| P0 | 2200 | 7000 | 740 | 370 | 0 | 0 | 4040 | 3070 | 2100 | 1200 | |
2. Ngoài những qui định ở -1, đối với những tàu gia cường chống băng cấp IA và IAS được đặt ki hoặc đang ở giai đoạn đóng mới tương tự, trước ngày 01/01/2001, công suất ra của máy (H) không được nhỏ hơn trị số xác định theo công thức sau đây và trong mọi trường hợp không được nhỏ hơn 740 kW đối với cấp gia cường chống băng IA, không được nhỏ hơn 2600 kW đối với cấp gia cường chống băng IAS.
H = e1e2e3(e4W + P0) (kW)
Trong đó:
e1 : Được lấy như sau tùy theo loại chân vịt:
e1 = 1,0: Đối với chân vịt bước cố định
e1 = 0,9 : Đối với chân vịt biến bước
e2 : Được lấy như sau theo dạng mũi nhưng không được lớn hơn 1,1.
e2 = 1,1 : Đối với mũi quả lê
e2 = (f1 /200) + 0,675 : Đối với các dạng khác
f1 : Góc nhọn tạo bởi sống mũi và đường LWL. Nếu sống mũi là dạng đường cong vừa phải trong phạm vi đai chống băng qui định ở 26.2.6-1, thì nó có thể được thay thế bằng đường thẳng nối các giao điểm của sống mũi với đường giới hạn nêu trên và đường giới hạn dưới của đai chống băng.
Nếu có sự thay đổi rõ rệt độ nghiêng của sống mũi thì f1 là góc lớn nhất.
Tích số cùa e1 x e2 không được nhỏ hơn 0,85.
e3 : Được cho theo công thức sau nhưng không được nhỏ hơn 1,0.
e3 = 1,2 BW1/3
W : Lượng chiếm nước (t) của tàu ứng với chiều chìm lớn nhất qui định ở 26.2.3-3, nhưng không cần lấy lớn hơn 80.000 tấn.
e4 và P0 : Được cho ở Bảng 2-A/26.2 phụ thuộc vào cấp gia cường chống băng và lượng chiếm nước của tàu.
3. Ngay cả những tàu gia cường chống băng cấp IA và IAS được đặt ki hoặc đang ở giai đoạn đóng mới tương tự, trước ngày 01/01/2001, đã thỏa mãn các qui định ở -2, thì công suất ra của máy (H) vẫn phải thỏa mãn các qui định ở -1 hoặc các qui định tương đương vào ngày 01/01/2005 hoặc ngày 01/01 của năm thứ 20 tính từ ngày bàn giao tàu, chọn thời gian nào gần nhất. Đối với tàu hiện có, khi các giá trị về một số thống số thân tàu yêu cầu đối với phương pháp tính toán ở -1 khó xác định, thì có thể lựa chọn công thức đây. Kích thước của tàu, dùng ở dưới đây, được đo theo đường nước chở hàng (LWL) như định nghĩa ở 28.2.2(3)

Trong đó:
H : Công suất ra của máy (kW)
Ke : Hằng số cho ở Bảng 2-A/26.3
DP : Đường kính chân vịt (m)
RCH : Sức cản của tàu trong luồng băng tan và đai gia cường (N)
RCH = C1 + C2 + C3(HF + HM)2(B + 0,658HF + C4 LHF2 + C5(Ld/B2)3(B/4)
C1 và C2: Hệ số được lấy có tính đến đai gia cường trên cùng của luồng băng tan.
(a) Đối với các tàu gia cường chống băng cấp IA:
C1 = 0
C2 = 0
(b) Đối với các tàu gia cường chống băng cấp IAS :
C1 = f1 B L / (2d/B + 1) +1,84 (f2 B + f3L + f4 B L)
C2 = 3,52 (g1 +g2 B) + g3(1 + 1,2 d/B)B2/ L0,5
(c) Đối với các tàu gia cường chống băng cấp IAS không có mũi quả lê:
C1 = f1 B L / (2d/B + 1) + 2,98 (f2 B + f3L + f4 B L)
C2 = 6,67 (g1 +g2 B) + g3(1 + 1,2 d/B)B2/ L0,5
Trong đó:
B : Chiều rộng lớn nhất của tàu (m)
L : Chiều dài tàu theo đường nước (m)
d : Chiều chìm tàu phù hợp với 26.2.2(3), áp dụng ràng buộc sau: 5 ≤ (Ld/B2)3 ≤ 20
HM : Chiều dày của lớp băng tan ở luồng giữa (m): HF = 1,0
HF : Chiều dày của lớp băng tan xuất hiện ở vùng mũi (m): HF = 0,26 + (HMB)0,5
f1, f2, f3, f4, g1, g2, C3, C4 và C5 : Các giá trị cho trong Bảng 2-A/ 26.5
4. Công suất ra của máy nhỏ hơn trị số qui định nêu trên có thể được chấp nhận nếu tàu có các đặc tính đảm bảo khả năng tải của tải của tàu khi chạy ở vùng có băng.
Bảng 2-A/26.2 Giá trị của hằng số Ke
| Kiểu chân vịt hoặc kiểu máy | Động cơ thủy lực, điện, CPP | FPP |
| 1 Chân vịt | 2,03 | 2,26 |
| 2 Chân vịt | 1,44 | 1,60 |
| 3 Chân vịt | 1,18 | 1,31 |
Bảng 2-A/26.3 Giá trị của f1, f2, f3, f4, g1, g2, C3, C4 và C5
| f1 (N/m2) | 23,0 | g1 (N) | 1530 | C3 (kg/(m2s2)) | 845 |
| f2 (N/m2) | 45,8 | g1 (N) | 170 | C4 (kg/(m2s2)) | 42 |
| f3 (N/m2) | 14,7 | g1 (N) | 400 | C53 (kg/s2) | 825 |
| f4 (N/m2) | 29,0 |
|
|
|
|
Bảng 2-A/26.4 Giá trị của f1, f2, f3, f4, g1, g2, C3, C4 và C5
| f1 (N/m2) | 23,0 | g1 (N) | 1530 | C3 (kg/(m2s2)) | 845 |
| f2 (N/m2) | 45,8 | g1 (N) | 170 | C4 (kg/(m2s2)) | 42 |
| f3 (N/m2) | 14,7 | g1 (N) | 400 | C53 (kg/s2) | 825 |
| f4 (N/m2) | 29,0 |
|
|
|
|
26.2.5. Áp suất băng tính toán
1. Áp suất băng tính toán (P) phải không nhỏ hơn trị số tính theo công thức sau :
P = CdClCaP0 (MPa)
Trong đó:

D : Lượng chiếm nước của tàu (tấn) ứng với chiều chìm lớn nhất qui định ở 26.2.3-3.
H : Công suất ra của máy (kW).
a và b: Được cho ở Bảng 2-A/26.6 phụ thuộc vào vùng đang xét và trị số của k.
Cl : Được cho ở Bảng 2-A/26.7 phụ thuộc vào cấp gia cường chống băng và vùng đang xét của thân tàu.
Bảng 2-A/26.6 Trị số của a và b
|
| Vùng mũi | Vùng giữa và vùng đuôi | ||
| k ≤ 12 | k > 12 | k ≤ 12 | k > 12 | |
| a | 30 | 6 | 8 | 2 |
| b | 230 | 518 | 214 | 286 |
Bảng 2-A/26.7 Hệ số Cl
| Cấp gia cường chống băng | Vùng mũi | Vùng giữa | Vùng đuôi |
| IAS | 1,00 | 1,00 | 0,75 |
| IA | 1,00 | 0,85 | 0,65 |
| IB | 1,00 | 0,70 | 0,45 |
| IC | 1,00 | 0,50 | 0,25 |
| ID | 1,00 | — | — |
P0: Áp suất băng danh nghĩa, lấy bằng 5,6 MPa.
Ca : Được cho ở công thức sau. Tuy nhiên, nếu Ca nhỏ hơn 0,5 thì phải được lấy bằng 0,5 và nếu Ca lớn hơn 1,0 thì phải được lấy bằng 1,0.

la : Được lấy như ở Bảng 2-A/26.8 phụ thuộc vào cơ cấu đang xét.
Bảng 2-A/26.8 Trị số của la
Đơn vị tính: m
| Tên cơ cấu | Loại hệ thống kết cấu | la |
| Tôn bao và sườn | ngang | khoảng sườn |
| dọc | nhịp sườn | |
| Sống mạn chống băng |
| nhịp của sống |
| Sườn khỏe |
| 2 khoảng cách của sườn khỏe |
2. h là chiều cao của vùng chịu áp suất băng (P) qui định ở -1, được cho ở Bảng 2-A/26.9 tùy theo cấp gia cường chống băng.
Bảng 2-A/26.9 Trị số của h
Đơn vị tính : m
| Cấp gia cường chống băng | h |
| IAS | 0,35 |
| IA | 0,30 |
| IB | 0,25 |
| IC | 0,22 |
| ID | 0,22 |
Bảng 2-A/26.10 Phạm vi theo phương đứng của đai chống băng
Đơn vị tính : m
| Cấp gia cường chống băng | Phía trên LWL | Phía dưới LWL |
| IAS | 0,6 | 0,75 |
| IA | 0,5 | 0,60 |
| IB | 0,4 | 0,50 |
| IC | 0,4 | 0,50 |
| ID | 0,4 | 0,50 |
26.2.6. Tôn bao
1. Phạm vi theo phương đứng của đai chống băng được cho ở Bảng 2-A/26.7 phụ thuộc vào cấp gia cường chống băng và thỏa mãn những yêu cầu sau đây :
(1) Vùng chân sống mũi:
Đối với tàu được gia cường chống băng cấp IAS, phần tôn bao phía dưới của đai chống băng ở đoạn từ sống mũi đến điểm cách 5 khoảng sườn về phía sau nơi mà mặt nghiêng của mũi tàu chuyển tiếp sang tôn giữa đáy phải có chiều dày ít nhất bằng chiều dày yêu cầu của đai chống băng ở vùng giữa tàu.
(2) Vùng trên trước của đai chống băng :
Đối với tàu được gia cường chống băng cấp IAS và cấp IA có tốc độ hành hải ở vùng biển hở bằng và lớn hơn 18 hải lý/giờ, tôn bao ở vùng kể từ đường giới hạn phía trên của đai chống băng lên cao 2 mét và kể từ sống mũi đến vị trí nằm phía sau đường vuông góc mũi ít nhất là 0,2L, phải có chiều dày tối thiểu bằng chiều dày yêu cầu của đai chống băng ở vùng giữa tàu.
(3) Không được đặt các cửa mạn ở đai chống băng.
(4) Nếu boong thời tiết ở bất kỳ đoạn nào của tàu nằm thấp hơn đường giới hạn trên của đai chống băng thì mạn chắn sóng ít nhất phải có độ bền tương đương với độ bền yêu cầu đối với tôn bao vùng đai chống băng. Phải quan tâm đặc biệt tới việc thiết kế các cửa thoát nước mặt boong.
2. Chiều dày tôn bao (t) ở vùng đai chống băng phải không nhỏ hơn trị số tính theo công thức sau đây tùy theo loại hệ thống kết cấu.
Đối với hệ thống kết cấu ngang :

Đối với hệ thống kết cấu dọc :

Trong đó :
s : Khoảng sườn (m).
PPL : bằng 0,75P (MPa).
P : Lấy như qui định ở 26.2.5-1.
f1 : Được cho ở công thức sau. Tuy nhiên, nếu f1 lớn hơn 1,0 thì f1 được lấy bằng 1,0.

f2 : Được cho ở công thức sau phụ thuộc vào trị số h/s :

Nếu 1,0 ≤ h/s < 1,8 : f2 = 1,4 - 0,4 (h/s)
h : Như qui định ở 26.2.5-2.
sy : Ứng suất chảy của vật liệu (N/mm2). Đối với thép đóng tàu thông thường sy phải được lấy bằng 235 N/mm2.
tc : Bằng 2 mi-li-mét: Nếu bề mặt tôn được phủ và duy trì một lớp phủ đặc biệt, mà kinh nghiệm cho thấy có thể chịu được va chạm với băng, thì một trị số nhỏ hơn có thể được chấp nhận.
26.2.7. Những yêu cầu đặc biệt đối với sườn
1. Phạm vi theo phương thẳng đứng của sườn gia cường chống băng ít nhất phải như qui định ở Bảng 2-A/26.8 tùy thuộc vào cấp gia cường chống băng và vùng thân tàu. Nếu vùng trên trước của đai chống băng lấy như yêu cầu ở 26.2.6-1, thì phạm vi gia cường chống băng của sườn phải đi lên cao hơn đường LWL là 1 mét cộng thêm vào trị số cho ở bảng, ở vùng đó. Nếu phạm vi gia cường chống băng này vượt ra ngoài boong hoặc đáy trên không nhiều hơn 250 mi-li-mét, thì có thể lấy đến boong hoặc đáy trên.
Bảng 2-A/26.11 Phạm vi theo phương thẳng đứng của sườn gia cường chống băng
Đơn vị tính : m
| Cấp chống băng | Vùng | Phía trên LWL | Phía dưới BWL | |
| Cấp IAS | Mũi tàu | Từ sống mũi đến 0,3L phía sau sống mũi | 1,2 | Đến đáy đôi hoặc dưới cạnh trên của đà ngang |
| Phía sau 0,3L kể từ sống mũi | 1,2 | 1,6 | ||
| Giữa tàu | 1,2 | 1,6 | ||
| Đuôi tàu | 1,2 | 1,2 | ||
| IA | Mũi tàu | Từ sống mũi đến 0,3L phía sau sống mũi | 1,0 | 1,6 |
| IB | Phía sau 0,3L kể từ sống mũi | 1,0 | 1,3 | |
| IC | Giữa tàu | 1,0 | 1,3 | |
|
| Đuôi tàu | 1,0 | 1,0 | |
| ID | Mũi tàu | Từ sống mũi đến 0,3L phía sau sống mũi | 1,0 | 1,6 |
|
|
| Phía sau 0,3L kể từ sống mũi | 1,0 | 1,3 |
2. Trong phạm vi gia cường chống băng tất cả các sườn phải được liên kết hiệu quả với tất cả các cơ cấu đỡ bằng mã. Sườn phải được liên kết với kết cấu cắt ngang ở cả hai bên (như là mép của lỗ khoét phải được nối với sườn bằng tấm đệm).
3. Đối với tàu gia cường chống băng cấp IAS ở tất cả các vùng, đối với tàu gia cường chống băng cấp IA ở vùng mũi và vùng giữa và đối với các tàu gia cường chống băng cấp IB, IC, và ID ở vùng mũi, phải bố trí gia cường chống băng như sau :
(1) Sườn tạo với tôn bao một góc nhỏ phải được gia cường chống vặn bằng mã, sống, xà hoặc cơ cấu tương tự đặt ở khoảng cách không lớn hơn 1300 mi-li-mét.
(2) Sườn phải được hàn với tôn băng đường hàn liên tục hai bên. Đường hàn không được gián đoạn trừ khi giao nhau với đường hàn tôn bao.
(3) Chiều dày bản thành của sườn tối thiểu phải bằng 1/2 chiều dày tôn bao và ít nhất phải bằng 9 mi-li-mét.
(4) Nếu có boong, đáy trên hoặc vách thay cho sườn thì chiều dày tôn của chúng phải bằng chiều dày nêu ở (3), đến độ cao tùy theo chiều cao của sườn ở gần đó.
26.2.8. Sườn
1. Mô đun chống uốn (Z) của tiết diện sườn chính hoặc sườn trung gian qui định ở 26.2.7-1 phải không nhỏ hơn trị số tính theo công thức sau :

Trong đó:
P : Như quy định ở 26.2.5-1.
s : Khoảng sườn (m).
h : Như quy định ở 26.2.5-2.
l : Nhịp sườn (m).
mt : Được cho theo công thức sau: 
m0 : Được cho ở Bảng 2-A/26.9.
sy : Như quy định ở 26.2.6-2.
Bảng 2-A/26.12 Trị số của m0
| Ví dụ | Các sườn ở tàu hàng rời có két đỉnh mạn | Sườn đi từ đáy trên đến boong đơn | Sườn liên tục giữa vài boong hoặc sống mạn | Sườn chỉ ở giữa hai boong |
| Điều kiện biên |
|
|
|
|
| m0 | 7,0 | 6,0 | 5,7 | 5,0 |
Chú thích:
Điều kiện biên này dùng cho sườn trung gian. Đối với sườn chính, các điều kiện biên khác có thể kể đến ảnh hưởng lẫn nhau giữa các sườn thể hiện trong trị số m0. Tải trọng được đặt ở giữa nhịp.
2. Phía trên của phần gia cường chống băng của sườn chính và sườn trung gian phải được hàn với boong hoặc với sống chống băng qui định ở 26.2.10. Nếu sườn trung gian kết thúc ở phía trên của boong hoặc sống chống băng nằm ở trên hoặc phía trên đường giới bạn trên của đai chống băng, thì phần sườn ở phía trên boong hoặc sống chống băng có thể theo yêu cầu sau :
(1) Kích thước bằng kích thước yêu cầu đối với tàu không được gia cường chống băng và mút trên có thể được liên kết với sườn chính kề cận bằng một cơ cấu nằm ngang có kích thước bằng kích thước sườn chính.
(2) Sườn trung gian có thể được đưa đến boong phía trên. Nếu boong đó cao hơn đai chống băng quá 1,8 mét thì sườn trung gian không cần phải hàn với boong, trừ ở vùng mũi tàu.
3. Mút dưới của đoạn gia cường chống băng của sườn chính và sườn trung gian phải được hàn với boong, đáy trên hoặc sống chống băng qui định ở 26.2.10. Nếu sườn trung gian kết thúc ở dưới boong, đáy trên hoặc sống chống băng nằm ở đường giới hạn dưới của đai chống băng thì mút dưới của sườn trung gian có thể được liên kết với sườn chính kề cận bằng cơ cấu nằm ngang có kích thước như kích thước sườn trung gian.
26.2.9. Xà dọc
1. Khoảng cách của các xà dọc nằm trong phạm vi qui định ở 26.2.7-1 phải không lớn hơn 0,35 mét đối với tàu được gia cường chống băng cấp IAS và IA, và trong mọi trường hợp không được lớn hơn 0,45 mét.
2. Mô đun chống uốn và diện tích tiết diện của xà dọc nằm trong phạm vi qui định ở 26.2.7-1 phải không nhỏ hơn trị số tính theo các công thức sau :
Mô đun chống uốn của tiết diện: 
Diện tích tiết diện: 
Trong đó:
f3 : Hệ số kể đến phân bố tải trọng ở các sườn kề cận cho bởi công thức sau :
(1 - 0,2 h/s) h/s
h : Như qui định ở 26.2.5-2.
s : Khoảng sườn (m).
f4 : Hệ số kể đến sự tập trung của tải trọng ở điểm gối tựa: f4 = 0,6
P : Như qui định ở 26.2.5-1.
l : Nhịp của sườn dọc (m).
sy : Như qui định ở 26.2.6-2.
m1: Hệ số điều kiện biên : m1 = 13,3
26.2.10. Sống mạn chống băng
1. Mô đun chống uốn và diện tích tiết diện của sống mạn chống băng nằm trong phạm vi đai chống băng phải không nhỏ hơn trị số tính theo các công thức sau :
Mô đun chống uốn của tiết diện: 
Diện tích tiết diện: 
Trong đó :
P : Như qui định ở 26.2.5-1.
h : Như qui định ở 26.2.5-2.
Tích số của P x h phải không nhỏ hơn 0,3
l : Nhịp của sống mạn chống băng (m).
ms : Hệ số điều kiện biên; ms = 13,3
f5 : Hệ số kể đến phân bố tải trọng ở các sườn; f5 = 0,88 có thể được sử dụng cho các kết cấu thông thường, nhưng có thể được tính theo công thức sau :

d : Được cho như sau :

lf : Nhịp sườn (m).
sf : Khoảng cách sườn (m).
I : Mô men quán tính của tiết diện sống
If : Mô men quán tính của tiết diện sườn
f6 : Hệ số kể đến phân bố tải trọng ở các sườn ngang: f6 = 0,88 có thể được sử dụng cho các kết cấu thông thường, nhưng f6 có thể được cho theo công thức sau:

n : Số sườn ngang gặp sống mạn chống băng.
sy : Như qui định ở 26.2.6-2.
2. Mô đun chống uốn và diện tích của tiết diện sống chống băng nằm ngoài đai chống băng nhưng đỡ các sườn chống băng phải không nhỏ hơn trị số tính theo các công thức sau :
Mô đun chống uốn của tiết diện: 
Diện tích tiết diện:
Trong đó :
P : Như qui định ở 26.2.5-1.
h : Như qui định ở 26.2.5-2.
Tích số của P x h phải không nhỏ hơn 0,3
l : Nhịp của sống chống băng (m).
ms : Hệ số điều kiện biên; ms = 13,3
ls : Khoảng cách đến sống chống băng kề cận (m).
hs : Khoảng cách đến đai chống băng (m).
f7 : Hệ số kể đến phân bố tải trọng ở các sườn ngang; f7 có thể được tính theo công thức sau:

f5 : Như qui định ở -1 trên đây.
f8 : Hệ số kể đến phân bố tải trọng ở các sườn ngang, f8 được cho theo công thức sau :

f6 : Như qui định ở -1 trên đây.
sy : Như qui định ở 26.2.6-2.
3. Các dải tôn boong hẹp chạy dọc theo miệng khoang và có tác dụng như sống chống băng phải thỏa mãn yêu cầu về mô đun chống uốn và diện tích tiết diện tương ứng ở -1 và -2 trên đây. Trong trường hợp miệng khoang rất dài thì tích số P x h có thể lấy nhỏ hơn 0,30 nhưng trong mọi trường hợp không được nhỏ hơn 0,20. Phải quan tâm đến biến dạng của mạn tàu do áp lực của băng ở vùng miệng khoét có chiều dài lớn khi thiết kế các nắp miệng khoang và các phụ kiện của nắp miệng khoang trên boong thời tiết.
26.2.11. Sườn khỏe
1. Tải trọng (F) truyền từ sống chống băng hoặc sườn dọc sang sườn khỏe có thể được tính theo công thức sau :
F = f6Phs (MN)
Trong đó :
f6 : Như qui định ở 26.2.10-1. Đối với trường hợp chỉ có sống chống băng và trường hợp có sườn dọc thì lấy f6 = 1,0.
P : Áp suất băng qui định ở 26.2.5-1 (MPa). Tuy nhiên, trong công thức tính Ca, la phải được lấy bằng 2s.
h : Như qui định ở 26.2.5-2.
Tích số P x h phải lấy không nhỏ hơn 0,30
s : Khoảng cách giữa các sườn khỏe (m).
2. Nếu sườn khỏe được đặt theo sơ đồ tính mô tả ở Hình 2-A/26.2, thì mô đun chống uốn và diện tích tiết diện có thể được tính theo các công thức sau đây :
Diện tích tiết diện : 
Mô đun chống uốn của tiết diện : 
Trong đó:
l : Nhịp của sườn khỏe (m).

Hình 2-A/26.2 Sơ đồ tính của sườn khỏe
k1 : Trị số được tính theo các công thức sau đây, lấy trị số nào lớn hơn. Đối với phần dưới của sườn khỏe trị số nhỏ nhất của lF trong phạm vi đai chống băng phải được sử dụng. Đối với phần trên của sườn khỏe thì trị số lớn nhất của lF trong phạm vi đai chống băng phải được sử dụng.
k1 = 1 + 0,5(lF/l)3 - 1,5(lF /l)2
k1 = 1,5(lF/l)2 - 0,5(lF/l)3
lF : Khoảng cách từ đế tựa dưới của sườn khỏe đến sống hoặc cơ cấu dọc đang xét (m).
a và g : Được cho ở Bảng 2-A/26.10. Với các trị số trung gian của Af/ Aw thì a và g được xác định theo phép nội suy tuyến tính.
F : Tải trọng truyền từ sống mạn chống băng hoặc sườn dọc sang sườn khỏe được xác định ở -1.
sy : Như qui định ở 26.2.6-2.
k2 : Được cho theo công thức sau :
0,5(lF / l )3 - 1,5(lF / l)2 + (lF / l)
A : Diện tích tiết diện theo yêu cầu (cm2) được tính bằng cách lấy :
k1 = 1 + 0,5(lF / l)3 - 1,5(lF / l)2
Aa : Diện tích tiết diện thực của sườn khỏe (cm2).
Af : Diện tích tiết diện bản mép (cm2).
Aw : Diện tích tiết diện bản thành (cm2).
Bảng 2-A/26.13 Trị số của a và g
| Af / Aw | 0,20 | 0,40 | 0,60 | 0,80 | 1,00 | 1,20 | 1,40 | 1,60 | 1,80 | 2,00 |
| a | 1,50 | 1,23 | 1,16 | 1,11 | 1,09 | 1,07 | 1,06 | 1,05 | 1,05 | 1,04 |
| g | 0,44 | 0,62 | 0,71 | 0,76 | 0,80 | 0,83 | 0,85 | 0,87 | 0,88 | 0,89 |
3. Đối với các dạng và điều kiện biên của sườn khỏe khác với qui định ở -2 trên đây, phải tính toán trực tiếp ứng suất. Lực tập trung tác dụng lên sườn khỏe lấy như qui định ở -1 trên đây. Trong mỗi trường hợp, điểm được lựa chọn để bố trí sống và xà dọc mạn phải là điểm có mô men uốn và lực cắt lớn nhất. Ứng suất cho phép được qui định ở Bảng 2-A/26.11.
Bảng 2-A/26.14 Ứng suất cho phép

sy : Như qui định ở 26.2.6-2.
26.2.12. Sống mũi
1. Sống mũi cạnh sắc cho ở Hình 2-A/26.3 cải thiện được tính cơ động của tàu ở vùng băng và được dùng riêng cho những tàu có chiều dài nhỏ hơn 150 mét.
2. Chiều dày của tấm sống mũi cạnh sắc và trong trường hợp mũi tù, của bất kỳ phần nào của vỏ bao tàu tạo với đường tâm tàu một góc bằng và lớn hơn 30° ở mặt phẳng nằm ngang, phải được tính theo công thức ở mục 26.2.6-2.
Trong đó :
s : Khoảng cách của các cơ cấu đỡ tấm (m).
PPL: Như qui định ở 26.2.5 (MPa).
Ia : Khoảng cách của các cơ cấu đỡ theo phương thẳng đứng (m).
3. Sống mũi và phần tù của mũi tàu qui định ở -2 phải được đỡ bởi đà ngang hoặc mã đặt cách nhau không xa quá 0,6 mét và có chiều dày ít nhất bằng một phần hai chiều dày của tấm sống mũi.
4. Phần được gia cường của sống mũi phải đi từ tôn giữa đáy đến điểm ở 0,75 mét cao hơn đường LWL hoặc đến đường giới hạn trên của phần đai chống băng trên phía trước qui định ở 26.2.6-1.

t = Chiều dày tôn mạn (mm)
Hình 2-A/26.3 Sống mũi cạnh sắc
26.2.13. Thiết bị để lai dắt
1. Ống luồn dây buộc tàu có lỗ khoét không nhỏ hơn khoảng 250 x 300 mi-li-mét có chiều dài tối thiểu là 150 mi-li-mét và có đường kính mặt trong tối thiểu là 100 mi-li-mét, phải được đặt ở mạn chắn sóng mũi ở đường tâm tàu.
2. Phải có một cột bít hoặc một phương tiện khác dùng để buộc chặt dây kéo có kích thước đủ để chịu được lực căng của dây kéo.
3. Ở những tàu có lượng chiếm nước không lớn hơn 30.000 tấn, phần mũi tàu có phạm vi ít nhất là 5 mét chiều cao phía trên đường LWL và ít nhất 3 mét về phía sau sống mũi phải được gia cường để chịu được lực do móc kéo gây ra. Trong trường hợp này phải đặt các sườn phụ và các sườn này phải được đỡ bởi sống mạn hoặc boong.
26.2.14. Sống đuôi
1. Khe hở giữa mút cánh chân vịt và vòm đuôi phải đủ để tránh phát sinh lực tác dụng lớn ở mút cánh.
2. Ở tàu có hai và ba chân vịt, việc gia cường chống băng cho tôn bao và cơ cấu phải được thực hiện đến đáy đôi trên một đoạn 1,5 mét về phía trước và phía sau của chân vịt cạnh.
3. Ở tàu có hai và ba chân vịt, hệ trục và ống bao trục đuôi của chân vịt cạnh phải được bao kín ở phạm vi giữa các tấm thành ổ. Nếu đặt thanh chống độc thân thì, độ bền và liên kết với thân tàu của thanh chống này phải được quan tâm thích đáng.
4. Một vòm đuôi mở rộng ở phía dưới đường LWL sẽ gây trở ngại lớn cho khả năng chạy lùi của tàu ở vùng băng. Bởi vậy phần mở rộng của vòm đuôi, nếu có thể, phải không đi quá xuống phía dưới của đường LWL. Trường hợp bắt buộc phải như vậy thì phần mở rộng của vòm đuôi ở bên dưới của LWL phải cố gắng càng hẹp càng tốt. Phần mở rộng của vòm đuôi nằm trong phạm vi đai chống băng phải được gia cường như ở vùng giữa tàu.
26.2.15. Vây hông
1. Liên kết của vây hông với thân tàu phải được thiết kế sao cho nguy cơ làm hư hỏng thân tàu do vây hông bị nứt là tối thiểu.
2. Vây hông phải được chia thành các đoạn rời ngắn.
26.2.16. Bánh lái và hệ thống lái
1. Các kích thước của hệ lái như trụ lái, trục lái, chốt lái, máy lái, v.v.... phải thỏa mãn những yêu cầu ở Chương 25 của Phần 2-A này và Chương 15 của Phần 3. Trong trường hợp này tốc độ khai thác tối đa của tàu được dùng để tính toán phải không nhỏ hơn trị số cho ở Bảng 2-A/26.12.
Bảng 2-A/26.12 Tốc độ tối thiểu
Đơn vị tính: hải lý/giờ
| Cấp gia cường | Tốc độ |
| IAS | 20 |
| IA | 18 |
| IB | 16 |
| IC | 14 |
| ID | 14 |
2. Đối với các tàu được gia cường chống băng cấp IAS và cấp IA, trục lái và mặt trên của bánh lái phải được bảo vệ chống áp lực của băng bằng dao chém băng hoặc các biện pháp tương tự.
3. Đối với các tàu được gia cường chống băng cấp IAS và cấp IA, bánh lái và hệ thống lái phải được thiết kế như sau để chịu được tải trọng phát sinh do tác dụng của băng lên bánh lái khi tàu lùi vào tảng băng.
(1) Phải có van an toàn thủy lực hữu hiệu.
(2) Các bộ phận của máy lái phải có kích thước chịu được mô men xoắn chảy của trục lái.
(3) Nếu có thể, phải đặt thiết bị hãm bánh lái làm việc trên cạnh thoát của bánh lái hoặc trục lái.
26.2.17. Mô men xoắn do tác dụng của băng
1. Kích thước của chân vịt, hệ trục chân vịt và hộp số phải được xác định có xét đến tải trọng va đập do cánh chân vịt va chạm vào băng. Tải trọng phát sinh như vậy sau đây được gọi là mô men xoắn do băng.
2. Mô men xoắn do băng (M) phải không nhỏ hơn trị số tính theo công thức sau đây nếu được sử dụng để tính toán chân vịt ở 26.2.18 và hộp giảm tốc qui định ở 26.2.20 :

Trong đó:
DP : Đường kính chân vịt (m).
m : Hằng số được cho ở Bảng 2-A/26.13.
3. Nếu chân vịt không ngập sâu toàn bộ khi tàu ở điều kiện dằn, thì mô men xoắn do băng đối với tàu được gia cường chống băng cấp lA phải được dùng cho cấp IB, IC và ID.
26.2.18. Chân vịt
1. Với vật liệu làm chân vịt, độ dãn dài của vật liệu phải không được nhỏ hơn 19% đối với mẫu thử U14A qui định ở Phần 7-A, và năng lượng hấp thụ khi thử va đập Charpy phải không nhỏ hơn 21J ở -10°C đối với mẫu thử U4 qui định ở Phần 7-A.
Bảng 2-A/26.13 Hằng số m
| Cấp | m |
| IAS | 21,09 |
| IA | 15,70 |
| IB | 13,05 |
| IC | 11,97 |
| ID | 11,97 |
2. Chiều rộng và chiều dày ở mỗi tiết diện của cánh chân vịt theo qui định phải được xác định như sau. Tuy nhiên, chiều dày cánh ở bán kính 0,125 DP phải không nhỏ hơn trị số tính theo công thức ở 7.2.1 của Phần 3.
(1) Đối với chân vịt bước cố định:

w : Chiều dài của tiết diện khai triển hình trụ của cánh ở bán kính đang xét (cm).
t : Chiều dày tương ứng lớn nhất của cánh (cm).
P : Bước của cánh chân vịt ở bán kính đang xét (m). Đối với chân vịt biến bước P được lấy bằng 70% của bước danh nghĩa.
DP : Đường kính của chân vịt (m).
H : Công suất ra của máy cho một chân vịt (kW).
M : Mô men xoắn do băng qui định ở 26.2.17 (kN.m).
Z : Số lượng cánh.
R : Vòng quay ứng với công suất ra liên tục tối đa của máy chính (v/phút).
sb : Ứng suất kéo đặc trưng nhỏ nhất của vật liệu làm cánh chân vịt (N/mm2).
3. Chiều dày của mút cánh (t) ở bán kính 0,5 DP phải không nhỏ hơn trị số tính theo công thức sau:
.
4. Chiều dày của cánh ở các tiết diện khác phải được tạo thành bằng cách nối cong trơn các tiết diện qui định ở -2 và -3 trên đây.
5. Chiều dày của mép cánh phải không nhỏ hơn 50% chiều dày của mút cánh qui định ở -3 trên đây. Đối với chân vịt bước cố định, điểm đo phải là điểm tính từ mép đạp và mép thoát của cánh vào bên trong một khoảng bằng 1,25 lần chiều dày yêu cầu của mút cánh qui định ở -3 trên đây. Đối với chân vịt biến bước, yêu cầu này chỉ áp dụng cho mép đạp của cánh.
6. Độ bền của các cơ cấu ở củ của chân vịt biến bước phải bằng 1,5 lần độ bền của cánh, nếu tải trọng đặt vào bán kính 0,45 DP theo hướng yếu nhất của cánh.
26.2.19. Hệ trục
1. Đường kính của trục chân vịt ở ổ đỡ (Dpd) tại ống bao trục đuôi phải không nhỏ hơn trị số tính theo công thức sau đây:

Trong đó:
w : Chiều dài thực của tiết diện khai triển của cánh ở bán kính 0,125 DP (cm).
t : Chiều dày thực lớn nhất của cánh ở bán kính 0,125 DP (cm).
sb : Ứng suất kéo đặc trưng nhỏ nhất của vật liệu cánh chân vịt (N/mm2).
sy : Ứng suất chảy nhỏ nhất của vật liệu cánh chân vịt (N/mm2).
2. Nếu đường kính của trục tại củ chân vịt lớn hơn 0,25DP thì đường kính của trục chân vịt tại ổ đỡ của ống bao trục đuôi phải không nhỏ hơn trị số tính theo công thức sau:

Trong đó:
w: Chiều dài thực của tiết diện khai triển của cánh ở đường kính 0,175 DP (cm).
t : Chiều dày thực lớn nhất của cánh ở đường kính 0,175 DP (cm).
sb và sy : Như qui định ở -1.
3. Nếu đường kính trục chân vịt tính theo -1 và -2 nhỏ hơn đường kính yêu cầu qui định ở 6.2.4 của Phần 3, thì trị số tính theo 6.2.4 của Phần 3 phải được sử dụng.
4. Đối với tàu được gia cường chống băng cấp IAS, đường kính của trục trung gian và trục đẩy ở các gối đỡ bên ngoài phải không nhỏ hơn 1,1 lần trị số theo yêu cầu tương ứng qui định ở 6.2.2 và 6.2.3 của Phần 3.
26.2.20. Hộp giảm tốc
1. Nếu đặt hộp giảm tốc nối máy chính và trục chân vịt thì hệ số biến đổi tải trọng bên ngoài k1 qui định ở 5.3.3 Phần 3 phải được thay bằng hệ số tính theo công thức sau :

Trong đó:
k1 : Hệ số qui định ở 5.3.3 của Phần 3.
M : Mô men xoắn do băng qui định ở 26.2.17 (kN.m).
M0 : Mô men xoắn trung bình của trục chân vịt xác định theo công thức sau:
9,55 H / R (kN.m)
H : Công suất ra của máy (kW).
R : Vòng quay ứng với công suất ra liên tục lớn nhất của máy (v/phút).
J1 : Mô men quán tính khối lượng tổng cộng ở trục ra của hộp giảm tốc, chân vịt và trục chân vịt, bao gồm cả chân vịt và 30% trọng lượng bổ sung do nước kèm.
Jh : Mô men quán tính khối lượng tổng cộng của máy chính, bánh đà và hộp giảm tốc không kể trục ra. Nếu vòng quay của máy khác với vòng quay của chân vịt thì dùng mô men quán tính khối lượng tương đương được hiệu chỉnh theo tỉ số truyền.
26.2.21. Hệ thống khởi động
1. Bình khí nén không cần nạp thêm phải có đủ khả năng khởi động máy chính ít nhất 12 lần liên tục, nếu máy chính có đảo chiều hoặc 6 lần liên tục nếu máy chính không có đảo chiều.
2. Nếu bình khí nén ngoài việc dùng để khởi động máy chính còn được dùng vào mục đích khác thì bình phải được bổ sung thêm dung tích để dùng cho mục đích ấy.
3. Máy nén khí phải có đủ khả năng để nạp cho bình khí nén đạt được tới áp suất toàn bộ trong vòng một giờ từ áp suất khí quyển. Đối với những tàu được gia cường chống băng cấp IAS phải được yêu cầu đối với trường hợp máy chính có đảo chiều để chạy lùi, máy nén khí phải đủ khả năng để nạp cho bình khí nén đến áp suất toàn bộ trong vòng nửa giờ.
26.2.22. Hộp van thông biển và hệ thống làm mát
1. Hệ thống nước làm mát phải đảm bảo cung cấp đủ nước làm mát khi tàu hành trình ở vùng băng.
2. Ít nhất phải có một miệng hút nước biển làm mát thỏa mãn -1 được bố trí như ở dưới đây. Tuy nhiên, tàu được gia cường chống băng cấp ID có thể không cần phải thỏa mãn (2), (3) và (5).
(1) Miệng hút nước biển phải được đặt ở gần đường tâm tàu và cố gắng về phía đuôi tàu.
(2) Lưu lượng của hộp van thông biển phải bằng khoảng 1 m3 cho mỗi lượng 750 kW công suất ra của máy tàu kể cả công suất ra của máy phụ cần thiết cho hoạt động của tàu.
(3) Hộp van thông biển phải ở độ cao sao cho băng chỉ có thể tụ lại ở phía trên của đường ống dẫn nước vào.
(4) Ống xả nước làm mát cho phép xả toàn bộ lượng nước phải được nối với hộp van thông biển.
(5) Diện tích các lỗ của lưới thép phải không nhỏ hơn 4 lần diện tích tiết diện của đường ống vào.
3. Nếu bố trí nhiều hơn hai hộp van thông biển thì những yêu cầu (2) và (3) trên đây có thể được xem xét thích hợp. Trong trường hợp này, các hộp van thông biển này phải được bố trí để vừa xả vừa nạp nước biển luân phiên và phải thỏa mãn các yêu cầu ở (1), (4) và (5).
4. Ruột gà hâm nóng có thể được đặt ở phần trên của hộp van thông biển hoặc bên trong hộp van thông biển.
CHƯƠNG 27 TÀU DẦU
27.1. Qui định chung
27.1.1. Phạm vi áp dụng
1. Kết cấu và trang thiết bị của những tàu được dự định để đăng ký và phân cấp là "Tàu dầu" và dự dịnh để chở xô dầu thô và các sản phẩm dầu có áp suất hơi (áp suất tuyệt đối) nhỏ hơn 0,28 MPa ở nhiệt độ 37,8°C hoặc chở xô các loại hàng lỏng tương tự khác phải thỏa mãn các qui định trong Chương này.
2. Kết cấu, trang thiết bị và kích thước cơ cấu của những tàu dự kiến để chở xô hàng lỏng có áp suất hơi (áp suất tuyệt đối) nhỏ hơn 0,28 MPa ở nhiệt độ 37,8°C không phải là dầu thô và các sản phẩm dầu phải thỏa mãn yêu cầu của Đăng kiểm có chú ý đến đặc tính của hàng hóa được vận chuyển.
3. Những qui định trong Chương này được áp dụng cho các tàu có buồng máy ở đuôi tàu, có một hoặc nhiều vách dọc và các boong đơn, có đáy đôi hoặc kết cấu hai lớp vỏ hoặc có boong giữa.
4. Trong trường hợp kết cấu của tàu khác với những yêu cầu ở -3 và không phù hợp với những qui định trong Chương này thì các tính toán kết cấu phải thỏa mãn yêu cầu của Đăng kiểm.
5. Nếu không có qui định đặc biệt nào khác ở Chương này, thì phải áp dụng những qui định chung đối với kết cấu và trang thiết bị của tàu vỏ thép.
6. Thêm vào những yêu cầu được nêu ở -5, phải áp dụng những qui định thích hợp của Chương 14 Phần 3, Chương 4 Phần 4, Chương 3 và Chương 5 Phần 5 cho các tàu được nêu ở -1, tương ứng với cỡ tàu, vùng hoạt động và loại hàng chuyên chở
27.1.2. Vị trí và phân chia vùng hàng
1. Trong các vùng dầu hàng, việc bố trí các vách phải đảm bảo sao cho khoảng cách giữa hai vách dọc hoặc hai vách ngang không được lớn hơn 1,2
(m).
2. Các khoang cách ly phải được bố trí thỏa mãn qui định từ (1) đến (3) sau đây :
(1) Tại phần đầu và phần cuối của vùng dầu hàng và vùng nằm giữa khu vực khoang dầu hàng và khu vực sinh hoạt của thuyền viên phải bố trí khoang cách ly kín khí có đủ chiều rộng để ra vào. Tuy nhiên, đối với các tàu dầu dự kiến để chở dầu hàng có nhiệt độ bắt lửa lớn hơn 61°C, những qui định này có thể được thay đổi thích hợp.
(2) Các khoang cách ly được nêu ở (1) có thể được sử dụng làm buồng bơm.
(3) Các khoang dầu hàng hoặc khoang nước dằn đồng thời có thể được dùng làm khoang cách ly giữa các khoang dầu hàng và dầu đốt hoặc các khoang nước dằn nếu được Đăng kiểm chấp thuận.
3. Các lối vào khu vực hàng hóa phải được bố trí phù hợp với những yêu cầu ở từ (1) đến (4) sau đây :
(1) Lối vào các khoang cách ly, các két dằn, khoang dầu hàng và các không gian khác trong khu vực hàng hóa phải đi trực tiếp từ boong lộ và sao cho có thể kiểm tra được toàn bộ các khoang này. Lối vào khoang đáy đôi có thể đi qua buồng bơm hàng, buồng bơm, khoang cách ly, hầm chứa ống hoặc các hầm tương tự, phải được xét đến sự thông gió.
(2) Đối với lối vào qua các lỗ khoét nằm ngang, kích thước miệng hầm hàng hoặc lỗ chui phải đủ để cho phép một người có đeo thiết bị dưỡng khí và thiết bị bảo vệ chui lên hoặc xuống cầu thang không bị cản trở và đồng thời phải có lối thoát để có thể nâng một người bị thương từ đáy khoang lên dễ dàng. Kích thước lối thoát phải không nhỏ hơn 600 x 600 (mm).
(3) Đối với lối vào đi xuyên qua lỗ khoét đứng, hoặc lỗ chui để đi lại chạy suốt chiều dài và chiều rộng của vùng, kích thước lối thoát nhỏ nhất phải không nhỏ hơn 600 x 800 (mm), cách tôn đáy một khoảng không lớn hơn 600 mi-li-mét, trừ khi có lưới sắt hoặc bệ đứng.
(4) Đối với tàu dầu có trọng tải nhỏ hơn 5000 tấn, trong trường hợp đặc biệt, Đăng kiểm có thể cho phép giảm kích thước lối thoát nêu ở (2) và (3), nếu chứng minh được rằng khả năng đi lại và di chuyển một người bị thương qua các lỗ khoét là đảm bảo.
4. Tất cả các khu vực bố trí bơm dầu hàng và hệ thống đường ống dầu hàng phải được cách ly bằng vách kín khí với khu vực lò sưởi, nồi hơi, máy chính, thiết bị điện không phải là thiết bị thuộc loại chống cháy nổ thỏa mãn những qui định ở 4.2.5 và 4.3.3 Phần 4 hoặc máy móc thường xuyên phát tia lửa điện. Tuy nhiên, đối với các tàu chở dầu có nhiệt độ bắt lửa lớn hơn 61°C, những qui định này có thể được thay đổi thích hợp.
5. Các cửa vào và cửa ra của hệ thống thông gió phải được bố trí sao cho giảm đến mức tối đa khả năng hơi hàng tụ lại trong khoang kín có chứa các tác nhân gây cháy, hoặc gần khu vực có trang thiết bị máy móc trên boong có thể gây cháy. Đặc biệt, các cửa thông gió của buồng máy phải cố gắng được bố trí xa về phía sau của khu vực hàng hóa.
6. Lỗ khoét để kiểm tra không gian trống khi có hàng trong khoang, lỗ đo mức dầu và các cửa để vệ sinh khoang dầu hàng không được bố trí trong không gian kín.
7. Các lỗ khoét trên vách biên của thượng tầng và lầu phải được bố trí sao cho giảm đến mức tối đa tình trạng tụ đọng hơi dầu. Nếu tàu có trang bị hệ thống đường ống nhận và trả hàng ở phía đuôi tàu thì các cửa khoét ở thượng tầng và lầu phải được xem xét kỹ lưỡng.
27.2. Chiều dày tối thiểu
27.2.1. Chiều dày tối thiểu
1. Chiều dày của các cơ cấu trong khoang dầu hàng và các két sâu như tôn vách, đà ngang, sống dọc, kể cả thanh chống và mã mút không được nhỏ hơn trị số xác định theo Bảng 2-A/27.1 phụ thuộc vào chiều dài tàu.
2. Chiều dày của các cơ cấu trong khoang dầu hàng và các két sâu không được nhỏ hơn 7 mi-li-mét.
Bảng 2-A/27.1 Chiều dày tối thiểu
| L (m) | ≥ |
| 105 | 120 | 135 | 150 | 165 | 180 | 195 | 225 | 275 | 325 | 375 |
| < | 105 | 120 | 135 | 150 | 165 | 180 | 195 | 225 | 275 | 325 | 375 |
| |
| Chiều dày (mm) | 8,0 | 8,5 | 9,0 | 9,5 | 10,0 | 10,5 | 11,0 | 11,5 | 12,0 | 12,5 | 13,0 | 13,5 | |
27.3. Tính toán trực tiếp
Trong trường hợp, nếu qui cách của các cơ cấu thân tàu được xác định dựa trên tính toán trực tiếp độ bền, thì các kết cấu chính, trạng thái tải trọng, khối lượng tính toán trực tiếp và giới hạn ứng suất cho phép phải được Đăng kiểm chấp nhận.
27.4. Tôn vách
27.4.1. Tôn vách trong khoang dầu hàng và két sâu
1. Chiều dày tôn vách t phải không nhỏ hơn trị số lớn nhất xác định từ công thức sau đây khi h lần lượt được thay bằng h1, h2 và h3:

Trong đó :
S : Khoảng cách giữa các nẹp gia cường (m).
h : Trị số h1, h2 và h3 được xác định như sau đối với khoang dầu hàng :
h1 : Khoảng cách thẳng đứng từ mép dưới của tấm tôn vách đang xét đến mép trên miệng khoang hàng. Đối với tôn bao, h1 có thể được trừ đi một lượng bằng chiều cao cột nước tương ứng với chiều chìm nhỏ nhất tại sườn giữa dmin(m) ở tất cả các trạng thái hoạt động của tàu. Tại mặt trên của tôn giữa đáy lượng trừ được lấy bằng dmin. Ở điểm dmin cao hơn mặt tôn giữa đáy lượng trừ được lấy bằng 0. Ở các điểm trung gian lượng trừ được xác định theo phép nội suy tuyến tính.
h2 : Xác định theo công thức sau:
h2 = 0,85(h1 + Dh)
Trong đó:
Dh: Cột nước bổ sung xác định theo công thức sau:

lt : Chiều dài khoang (m), nếu lt nhỏ hơn 10 mét thì được lấy bằng 10 mét.
bt : Chiều rộng khoang (m), nếu bt nhỏ hơn 10 mét thì được lấy bằng 10 mét.
h3 : Xác định theo công thức sau: 
Đối với két sâu, các trị số của h1, h2 và h3 (m) được lấy như sau :
h1: Khoảng cách thẳng đứng từ cạnh dưới của tấm tôn vách đang xét đến trung điểm của khoảng cách từ nóc két đến đỉnh ống tràn. Đối với tốn bao, h1 có thể được trừ đi một lượng bằng chiều cao cột nước tương ứng với chiều chìm nhỏ nhất tại sườn giữa dmin (m) ở tất cả các trạng thái khai thác của tàu. Tại mặt trên của tôn giữa đáy lượng khấu trừ được lấy bằng dmin. Ở điểm dmin cao hơn mặt tôn giữa đáy lượng trừ được lấy bằng 0. Ở các điểm trung gian lượng khấu trừ được xác định theo phép nội suy tuyến tính.
h2: Xác định theo công thức sau:
h2 = 0,85(h1 + Dh)
Dh : Tính theo công thức để xác định Dh tại tiết diện có h2 đối với khoang dầu hàng. Với các khoang dạng L, dạng U, v.v..., Dh phải được xác định theo yêu cầu của Đăng kiểm.
h3 : Trị số bằng 0,7 lần khoảng cách thẳng đứng từ cạnh dưới của tấm tôn vách đang xét đến điểm ở 2,0 mét phía trên đỉnh ống tràn.
C1 : Hệ số phụ thuộc vào L, được xác định như sau:
C1 = 1,0 nếu L bằng và nhỏ hơn 230 mét
C1 = 1,07 nếu L bằng và lớn hơn 400 mét
Với các trị số trung gian của L thì C1 được xác định theo phép nội suy tuyến tính.
, tuy nhiên, C2 dùng cho h1 phải được tính theo các công thức sau đây tùy thuộc vào kiểu vách và hệ thống gia cường:

k : Hệ số vật liệu, phụ thuộc vào loại thép, được xác định như sau:
Đối với thép thường: k = 1,00
Đối với thép có độ bền cao: k lấy theo 1.1.7-2
Đối với thép không gỉ hoặc có lớp bọc không gỉ: k lấy theo 1.1.7-3.
a : Được lấy bằng a1 hoặc a2 tùy thuộc vào trị số của y. Tuy nhiên, trị số của a không được nhỏ hơn a3.

fD, fB : Tỉ số của mô đun chống uốn của tiết diện ngang thân tàu làm bằng thép thường theo yêu cầu ở Chương 13 của Phần 2-A, chia cho mô đun chống uốn của tiết diện ngang thực của thân tàu lấy đối với boong tính toán và với đáy tàu.
y : Khoảng cách thẳng đứng từ mặt trên của tôn giữa đáy đến cạnh dưới của tấm tôn vách đang xét (m).
yB : Khoảng cách thẳng đứng từ mặt trên của tôn giữa đáy ở giữa tàu đến trục trung hòa nằm ngang của tiết diện ngang thân tàu (m).
y0 : Một trong các trị số xác định theo 13.2.3 (5) (a) hoặc (b) của Phần 2-A, lấy trị số nào lớn hơn.
b : Hệ số tính theo các công thức sau. Với các trị số trung gian của L thì b được tính theo phép nội suy tuyến tính.

nếu thép có độ bền cao được sử dụng không ít hơn 80% tôn mạn ở tiết diện ngang giữa tàu, và lấy bằng 1 cho các trường hợp còn lại.
b : Khoảng cách nằm ngang từ tôn mạn đến cạnh ngoài của tấm tôn vách đang xét (m).
2. Khi tính chiều dày tôn của vách dọc, hệ số C2 dùng cho h1 có thể được lấy giảm dần từ giữa tàu về mũi tàu và đuôi tàu, và có thể được lấy bằng 3,6
khi tính toán ở mũi và đuôi tàu.
3. Chiều dày tôn bao và tôn boong của khoang dầu hàng hoặc két sâu phải không nhỏ hơn chiều dày xác định theo -1 và -2.
27.4.2. Vách chặn
1. Nẹp gia cường và các sống phải có độ bền phù hợp với kích thước của khoang và tỉ số khoét.
2. Chiều dày của tôn vách phải không nhỏ hơn trị số tính theo công thức sau:

Trong đó :
k : Như qui định ở 27.4.
S : Khoảng cách của các nẹp gia cường (m).
3. Khi tính chiều dày tôn vách chặn cần phải quan tâm thích đáng đến ổn định của tấm.
27.4.3. Hầm boong
Chiều dày của nóc và vách bên cùa hầm boong phải được xác định theo các qui định ở 27.4.1 cùng với các qui định ở Chương 15.
27.5. Dầm dọc và nẹp gia cường
27.5.1. Dầm dọc
1. Mô đun chống uốn (Z) của tiết diện dầm dọc đáy phải không nhỏ hơn trị số tính theo công thức sau :
Z = 100C1C2Shl2 (cm3)
Trong đó:
l : Khoảng cách của các sống ngang (m).
S : Khoảng cách của các dầm dọc (m).
h : Khoảng cách từ dầm dọc đang xét đến điểm nằm cao hơn mặt trên của tôn giữa đáy một khoảng tính theo công thức sau: d + 0,026 L' (m)
L' : Chiều dài tàu (m). Tuy nhiên, nếu L lớn hơn 230 mét thì lấy L' bằng 230 mét.
C1 : Hệ số xác định theo 27.4.1-1.
C2 : Hệ số xác định theo công thức sau: 
fB và k : Như qui định ở 27.4.1-1.
2. Mô đun chống uốn (Z) của tiết diện dầm dọc mạn, kể cả dầm dọc hông, phải không nhỏ hơn trị số tính theo công thức sau:
Z = 100C1C2Shl2 (cm3)
Trong đó:
l, S : Như qui định ở -1.
h : Khoảng cách từ dầm dọc đang xét đến đến điểm nằm cao hơn mặt tôn giữa đáy một khoảng bằng:
h = d + 0,038L'
L' : Như qui định ở -1.
C1: Như qui định ở 27.4.1-1.
C2: Hệ số xác định theo công thức sau :

Trong đó:
k : Như qui định ở 27.4.1-1.
a = a1 hoặc a2 cho dưới đây, lấy trị số nào lớn hơn.

y : Khoảng cách thẳng đứng từ mặt trên của tôn giữa đáy đến dầm dọc mạn đang xét (m).
yB, fB : Như qui định ở 27.4.1-1.
a2 : Hệ số xác định phụ thuộc vào L như sau :
a2 = 6/a nếu L không lớn hơn 230 mét.
a2 = 10,5/a nếu L lớn hơn 400 mét.
Với các trị số trung gian của L, trị số của a2 được xác định theo phép nội suy tuyến tính.
a =
nếu thép có độ bền cao được sử dụng ở tiết diện giữa tàu chiếm không ít hơn 80% tôn mạn, và bằng 1,0 đối với các trường hợp khác.
Tuy nhiên, mô đun chống uốn của tiết diện dầm dọc mạn không cần phải lớn hơn mô đun chống uốn của tiết diện của dầm dọc đáy xác định theo -1, nhưng không được nhỏ hơn trị số xác định từ công thức sau :

3. Đối với các dầm dọc mạn, phải quan tâm thích đáng đến độ bền mỏi.
4. Đối với các phần phía trước và phía sau của đoạn giữa tàu kích thước của dầm dọc có thể giảm dần và tại các đoạn mũi tàu và đoạn đuôi tàu có thể giảm đi 15% so với trị số xác định theo yêu cầu ở -1 và -2. Tuy nhiên, trong mọi trường hợp, kích thước của dầm dọc phải không nhỏ hơn yêu cầu ở -1 và -2 đối với đoạn từ vách mũi đến điểm 0,15L kể từ mũi tàu.
27.5.2. Nẹp vách trong khoang dầu hàng và két sâu
Mô đun chống uốn (Z) của tiết diện nẹp không được nhỏ hơn trị số tính theo công thức sau:
Z = 125C1C2C3Shl2 (cm3)
Trong đó :
S : Khoảng cách của nẹp (m).
h : Được lấy như ở 27.4.1-1. Tuy nhiên, ở đây "mép dưới của tấm tôn vách đang xét" phải được thay là "trung điểm của nẹp đang xét" nếu là nẹp đứng và phải được thay là "nẹp đang xét" nếu là nẹp nằm và "tôn mạn" phải được thay là "nẹp gắn với tôn mạn".
l : Khoảng cách của sống (m).
C1 : Như qui định ở 27.4.1-1.
C2 = k/18, tuy nhiên, C2 dùng cho h1; phải theo qui định sau:
Trị số của C2 dùng cho h1 phải được xác định theo các công thức sau tùy theo hệ thống gia cường:
đối với hệ thống dọc, tuy nhiên, trong mọi trường hợp C2 phải không nhỏ hơn k/18.
C2 = k/18 đối với hệ thống ngang hoặc vách ngang.
a, K : Như qui định ở 27.4.1-1, tuy nhiên, "mép dưới của tấm tôn vách đang xét" và "tôn vách đang xét" phải được thay là "nẹp đang xét" khi áp dụng các qui định đối với y và b.
C3 : Xác định theo Bảng 2-A/27.2 phụ thuộc vào độ cứng của liên kết hai mút nẹp.
2. Khi xác định mô đun chống uốn của tiết diện nẹp gắn với tôn vách, hệ số C2 dùng cho h1 có thể được giảm dần, và tại hai mút nẹp C2 có thể được lấy bằng k/18.
27.5.3. Độ ổn định
1. Độ ổn định của dầm dọc mạn, xà dọc boong và nẹp gia cường dọc phải thỏa mãn các qui định ở từ (1) đến (3) dưới dây. Nếu xét thấy cần thiết thì, tùy theo loại vật liệu, kích thước, hình dạng và vị trí của các cơ cấu này. Đăng kiểm có thể yêu cầu xem xét trong từng trường hợp cụ thể.
(1) Ở đoạn giữa tàu xà dọc boong, dầm dọc mạn gắn với mép mạn và các nẹp gia cường dọc gắn với vùng vách dọc trong phạm vi 0,1D kể từ boong tính toán phải cố gắng có độ mảnh không lớn hơn 60.
Bảng 2-A/27.2 Trị số của C3

Chú thích:
(1) Liên kết cứng bằng mã nghĩa là cố định mối nối giữa tôn đáy đôi hoặc các nẹp tương xứng và các mã trong phạm vi mặt liên kết hoặc mức cố định tương đương (xem Hình 2-A/11.1 (a) của Qui phạm).
(2) Liên kết mềm bằng mã nghĩa là cố định ở mối nối giữa xà, sườn,v.v..., giao nhau và mã (xem Hình 2-A/11.1 (b) của Qui phạm).
(2) Xà dọc boong, dầm dọc mạn và nẹp gia cường dọc làm bằng thép dẹt phải có tỉ số chiều cao chia cho chiều dày không lớn hơn 15.
(3) Chiều rộng toàn bộ của bản mép của xà dọc boong, dầm dọc mạn và nẹp gia cường dọc phải không nhỏ hơn trị số xác định theo công thức sau:

Trong đó:
d0 : Chiều cao tiết diện bản thành của xà dọc boong, dầm dọc mạn hoặc nẹp gia cường dọc (m).
l : Khoảng cách của các sống (m).
2. Trong trường hợp nếu các thép ghép, thép định hình hoặc tấm bẻ mép được dùng làm sườn, xà và nẹp gia cường trong các khoang dầu hàng và két sâu mà các kích thước của chúng chỉ được xác định theo mô đun chống uốn của tiết diện, thì chiều dày bản thành phải không nhỏ hơn trị số xác định theo công thức sau :
t = 15K0d0 + 3,5 (mm)
Trong đó:
d0 : Chiều cao tiết diện bản thành (m).
K0 : Được xác định như sau :

fB, fD và K : Như qui định ở 27.3.1-1.
Trong trường hợp nếu chiều cao của tiết diện bản thành được thiết kế lớn hơn trị số qui định, không phải vì lý do độ bền thì chiều dày có thể được thay đổi thích hợp.
27.5.4. Các qui định khác
Mô đun chống uốn của tiết diện xà dọc boong phải không nhỏ hơn trị số xác định theo 8.3.3. Mô đun chống uốn của tiết diện dầm dọc đáy, dầm dọc mạn và xà dọc boong trong khoang dầu hàng và két sâu phải không nhỏ hơn trị số qui định ở 27.5.2.
27.6. Sống dọc
27.6.1. Qui định chung
1. Kết cấu đáy đôi và mạn kép, vị trí và kích thước của sống dọc trong khoang dầu hàng phải được xác định dựa trên cơ sở tính toán trực tiếp độ bền.
2. Không phụ thuộc vào qui định ở -1, kích thước của các sống dọc có thể được xác định theo các qui định ở từ 27.6.3 đến 27.6.8 cho các tàu dầu có chiều dài L nhỏ hơn 200 mét, đặc biệt cho các tàu dầu kết cấu đáy đôi chỉ có vách dọc tâm (xem tàu kiểu A ở Hình 2-A/13.6, ở Chương này được gọi tắt là "tàu dầu kiểu A"), cho tàu dầu kết cấu vỏ hai lớp không có vách dọc tâm (xem tàu kiểu C ở Hình 2-A/13.6, ở Chương này được gọi tắt là "tàu dầu kiểu C"), cho tàu dầu kết cấu mạn kép có vách dọc tâm (xem tàu kiểu D ở Hình 2-A/13.6, ở Chương này được gọi tắt là "tàu dầu kiểu D"). Trong trường hợp này, việc bố trí các cơ cấu chính trong đáy đôi, mạn kép và khoang dầu hàng tại khu vực khoang hàng được xác định có lưu ý đến dạng kết cấu theo tiêu chuẩn được qui định ở từ (1) đến (5) sau đây. Tuy nhiên, ở các tàu dầu không có trạng thái tải trọng từng phần như tải trọng một nửa hoặc tải trọng xen kẽ, có thể tăng khoảng cách của các sống dọc, các đà ngang trong đáy đôi, các sống dọc mạn và các sống ngang trong mạn kép.
(1) Chiều cao đáy đôi trong khoang dầu hàng phải không nhỏ hơn B/20 (m).
(2) Chiều rộng của mạn kép không được nhỏ hơn D/9 (m).
(3) Trong đáy đôi ở khoang dầu hàng, các sống dọc phải được đặt theo khoảng cách không lớn hơn 0,9
, các đà ngang đáy phải được đặt theo khoảng cách không lớn hơn
(m) hoặc 0,75
(m), lấy giá trị nào nhỏ hơn (trong đó, lT là chiều dài khoang hàng đang xét).
(4) Trong mạn kép, sống dọc mạn phải được đặt theo khoảng cách không lớn hơn 1,1
(m).
(5) Sống ngang trong mạn kép, trong khoang dầu hàng và két sâu phải được đặt tại vị trí đà ngang trong đáy đôi.
3. Đối vối tàu dầu có chiều dài nhỏ hơn 200 mét, trừ tàu dầu kiểu A, kiểu C và kiểu D, không phụ thuộc vào qui định ở -1, vị trí và kích thước của sống dọc trong đáy đôi và mạn kép phải được Đăng kiểm chấp nhận. Tuy nhiên, kích thước của sống dọc trong khoang dầu hàng và két sâu của các tàu này có thể được xác định theo các yêu cầu từ 27.6.5 đến 27.6.8.
27.6.2. Tính toán trực tiếp độ bền của sống
Hình thức kết cấu, tải trọng, ứng suất cho phép v.v..., dùng để xác định vị trí và kích thước của sống dựa trên cơ sở tính toán trực tiếp độ bền phải được Đăng kiểm chấp nhận.
27.6.3. Kích thước của sống dọc và đà ngang đáy trong đáy đôi
1. Chiều dày của sống chính và sống phụ trong đáy đôi phải không nhỏ hơn trị số lớn nhất trong cấc trị số t1 xác định theo (1), t2 hoặc t3 xác định theo (2) dưới đây. Tuy nhiên, chiều dày của sống chính ở tàu dầu có vách dọc tâm (tàu dầu kiểu A hoặc kiểu D) có thể được xác định chỉ sử dụng t3.
(1) Không được nhỏ hơn chiều dày xác định theo (a), (b) hoặc (c) cho từng loại tàu dầu:
(a) Tàu dầu kiểu A:
Chiều dày xác định theo công thức sau tùy theo từng vùng trong khoang dầu hàng :

Trong đó:
S : Khoảng cách từ các tâm của hai vùng từ sống phụ đang xét đến các cơ cấu kề cận ở hai bên của sống phụ đó hoặc từ sống phụ đang xét đến đỉnh trong của mã hông (m).
hB : Trị số xác định theo các công thức sau, lấy giá trị nào lớn hơn:
hB = 0,6d + 0,026L (m)
hB = h' - (d - 0,026L) (m)
h' : Khoảng cách thẳng đứng từ mặt đáy trên đến mép trên của miệng khoang hàng (m).
d0 : Chiều cao tiết diện sống phụ đang xét (m).
d1 : Chiều cao lỗ khoét tại điểm đang xét (m). Tuy nhiên, nếu sống đứng của vách ngang được bố trí trong khoang dầu hàng, thì không xét các lỗ khoét ở các sống trong giới hạn giữa vách ngang và đỉnh trong của mã mút dưới của sống đứng đó trừ khi Đăng kiểm thấy cần phải xét đến.
x : Khoảng cách dọc từ trung điểm của lT của mỗi khoang dầu hàng đến điểm đang xét (m).
Tuy nhiên, nếu các sống đứng của vách ngang được đặt trong khoang dầu hàng, thì x có thể được tính đến đỉnh trong của mã gắn với chân sống đứng. Nếu x nhỏ hơn 0,25lT, thì x phải được lấy bằng 0,25 lT.
lT : Chiều dài khoang dầu hàng đang xét (m).
C1 :Hệ số lấy theo Bảng 2-A/27.3 phụ thuộc vào b/ lT. Với các trị số trung gian của b/ lT, thì C1 được xác định theo phép nội suy tuyến tính.
b : Khoảng cách giữa tôn mạn và vách dọc tâm đo tại mặt tôn đáy trên ở vùng giữa tàu.(m).
k : Lấy theo 27.4.1-1.
Bảng 2-A/27.3 Hệ số C1
| b/ lT | £ 0,5 | 0,6 | 0,7 | 0,8 | 0,9 | 1,0 | 1,1 | 1,2 | ≥ 1,3 |
| C1 | 0,045 | 0,054 | 0,061 | 0,068 | 0,073 | 0,076 | 0,079 | 0,081 | 0,082 |
(b) Tàu dầu kiểu C:
Chiều dày xác định theo công thức sau đây tùy thuộc vị trí trong khoang dầu hàng:

Trong đó:
S : Khoảng cách giữa các tâm của hai vùng kề cận nhau từ sống chính hoặc sống phụ đang xét đến các sống kề cận (m).
d0 : Chiều cao tiết diện sống chính hoặc sống phụ đang xét (m).
x : Khoảng cách dọc từ trung điểm của lT của mỗi khoang dầu hàng đến trung điểm đang xét (m). Tuy nhiên, nếu các sống đứng của vách ngang được đặt trong khoang dầu hàng, thì x có thể được tính cho đến đỉnh trong của mã gắn với mút dưới của sống đứng. Nếu x nhỏ hơn 0,25 lT, thì x phải được lấy bằng 0,25 lT.
C1 : Hệ số lấy theo Bảng 2-A/27.4 phụ thuộc vào b/ lT. Với các trị số trung gian của b/ lT, thì C1 được xác định theo phép nội suy tuyến tính.
b : Khoảng cách giữa các mặt trong của các vách dọc (nếu có các két hông, thì giữa hai mặt trong của két hông) của thân tàu đo theo mặt tôn đáy trên ở vùng giữa tàu (m).
hB, d1 và lT : Theo qui định ở (a).
k : Lấy theo 27.4.1-1.
Bảng 2-A/27.4 Hệ số C1
| b/ lT | £ 1,0 | 1,2 | 1,4 | ≥ 1,6 |
| C1 | 0,073 | 0,079 | 0,082 | 0,083 |
(c) Tàu dầu kiểu D:
Chiều dày xác định theo công thức sau đây tùy thuộc vị trí trong khoang dầu hàng :

Trong đó :
S : Khoảng cách giữa các tâm của hai vùng kề cận nhau từ sống phụ đang xét đến các sống lân cận (m).
x : Khoảng cách dọc từ trung điểm của lT của mỗi khoang dầu hàng đến điểm đang xét (m). Tuy nhiên, nếu các sống đứng của vách ngang được đặt trong khoang dầu hàng, thì x có thể được tính cho đến đỉnh trong của mã gắn với chân của sống đứng. Nếu x nhỏ hơn 0,25 lT, thì x phải được lấy bằng 0,25 lT.
C1 :Hệ số lấy theo Bảng 2-A/27.5 phụ thuộc b/ lT. Với các trị số trung gian của b/ lT, thì C1 được xác định theo phép nội suy tuyến tính.
b : Khoảng cách từ vách dọc của mạn kép (nếu có các két hông, thì từ cạnh trong của các két hông) đến vách dọc tâm đo theo mặt tôn đáy trên ở vùng giữa tàu (m).
hB, d0, d1 và lT : Theo qui định ở (a).
k : Như qui định ở 27.4.1-1.
Bảng 2-A/27.5 Hệ số C1
| b/ lT | £ 0,5 | 0,6 | 0,7 | 0,8 | 0,9 | 1,0 | 1,1 | 1,2 | ≥ 1,3 |
| C1 | 0,037 | 0,044 | 0,051 | 0,059 | 0,065 | 0,070 | 0,074 | 0,076 | 0,079 |
(2) Phải lớn hơn chiều dày xác định từ các công thức sau phụ thuộc từng khu vực trong khoang dầu hàng, mà không phụ thuộc vào kiểu tàu :

Trong đó:
a : Chiều cao tiết diện của sống tại điểm đang xét (m). Tuy nhiên, nếu có bố trí các nẹp nằm ở giữa chiều cao tiết diện của sống, thì a là khoảng cách từ nẹp đó đến tôn bao đáy hoặc đến tôn đáy trên, hoặc khoảng cách giữa các nẹp đó (m).
t1 : Chiều dày của sống tính theo qui định ở (1) phụ thuộc kiểu tàu dầu (mm).
C1' :Hệ số xác định theo Bảng 2-A/27.6 phụ thuộc vào tỉ số khoảng cách S1 (m) của các nẹp bố trí theo hướng chiều cao của sống chia cho a. Với các trị số trung gian của S1/a thì C1' được xác định theo phép nội suy tuyến tính.
Bảng 2-A/27.6 Hệ số C1'
| S1/a | £ 0,3 | 0,4 | 0,5 | 0,6 | 0,7 | 0,8 | 0,9 | 1,0 | 1,2 | ≥ 1,4 |
| C1' | 64 | 38 | 25 | 19 | 15 | 12 | 10 | 9 | 8 | 7 |
H : Trị số xác định theo các công thức sau:
(a) Nếu sống có lỗ khoét không được gia cường:

Trong đó:
f : Đường kính lớn nhất của lỗ khoét (m).
a : Trị số lớn hơn trong các trị số a và S1 (m).
(b) Trong các trường hợp khác với (a), thì H = 1,0.
C1" : Hệ số xác định từ Bảng 2-A/27.7 phụ thuộc tỉ số S1/a. Với các trị số trung gian của S1/a, thì C1" được xác định theo phép nội suy tuyến lính.
k : Lấy theo 27.4.1-1.
Bảng 2-A/27.7 Hệ số C1"
| S1/a | £ 0,3 | 0,4 | 0,5 | 0,6 | 0,7 | 0,8 | 0,9 | 1,0 | 1,2 | 1,4 | ≥ 1,6 | |
| C1" | Sống chính | 4,4 | 5,4 | 6,3 | 7,1 | 7,7 | 8,2 | 8,6 | 8,9 | 9,3 | 9,6 | 9,7 |
| Sống phụ | 3,6 | 4,4 | 5,1 | 5,8 | 6,3 | 6,7 | 7,0 | 7,3 | 7,6 | 7,9 | 8,0 | |
2. Chiều dày của đà ngang trong đáy đôi phải không nhỏ hơn trị số lớn nhất trong các trị số t1 xác định theo (1), t2 hoặc t3 xác định theo (2) dưới đây:
(1) Không được nhỏ hơn chiều dày xác định theo (a), (b) hoặc (c) sau đây phụ thuộc vào kiểu tàu dầu:
(a) Tàu dầu kiểu A:
Chiều dày xác định từ công thức sau phụ thuộc vị trí trong khoang dầu hàng:

Trong đó:
S : Khoảng cách giữa các đà ngang (m).
hB :Trị số xác định theo các công thức sau, lấy giá trị nào lớn hơn. Tuy nhiên, đối với các tàu dầu không có các trạng thái tải trọng đặc biệt như tải trọng một nửa hoặc tải trọng xen kẽ, có thể dùng hB theo qui định ở -1 (1) (a).
hB = d + 0,026L (m)
hB = h' - (0,6d - 0,026L) (m)
d0 : Chiều cao tiết diện đà ngang đáy tại điểm đang xét (m).
d1 : Chiều cao lỗ khoét tại điểm đang xét (m). Tuy nhiên, nếu sống đứng của vách dọc hoặc sống ngang mạn được bố trí trong khoang dầu hàng, thì không cần xét đến các lỗ khoét ở đà ngang trong phạm vi giữa vách dọc hoặc tôn mạn và đỉnh trong của mã ở mút dưới của các sống đứng đó, trừ khi Đăng kiểm thấy cần thiết phải xét.
b' : Khoảng cách từ tôn mạn đến vách dọc tâm tàu đo theo mặt tôn đáy trên tại đà ngang đang xét (m).
y : Khoảng cách theo phương ngang của tàu tại đà ngang đang xét, từ mặt phẳng dọc tâm tàu đến điểm đang xét (m).
Tuy nhiên, nếu sống đứng của vách dọc được bố trí trong khoang dầu hàng, thì đối với khoảng từ vách dọc đến đỉnh trong của mã ở chân của sống đứng đó, y có thể được tính cho đến đỉnh trong của mã đó. Nếu y lớn hơn 0,3b', thì y phải được lấy bằng 0,3b'.
C2 : Hệ số xác định theo Bảng 2-A/27.8 phụ thuộc tỉ số b/ lT. Với các trị số trung gian của b/ lT, thì C2 được xác định theo phép nội suy tuyến tính.
b, h' và lT : Theo qui định ở -1 (1) (a).
k : Như qui định ở 27.4.1-1.
Bảng 2-A/27.8 Hệ số C2
| b/ lT | £ 0,5 | 0,6 | 0,7 | 0,8 | 0,9 | 1,0 | 1,1 | 1,2 | ≥ 1,3 |
| C2 | 0,049 | 0,048 | 0,047 | 0,046 | 0,045 | 0,043 | 0,041 | 0,039 | 0,037 |
(b) Tàu dầu kiểu C :
Chiều dày xác định theo công thức sau tùy thuộc vị trí trong khoang dầu hàng:

Trong đó :
d1 : Chiều cao của lỗ khoét tại điểm đang xét (m). Tuy nhiên, nếu có mã gắn với chân sống ngang của mạn kép, thì không xét các lỗ khoét ở đà ngang trong phạm vi từ vách dọc đến đỉnh trong của mã đó, trừ khi Đăng kiểm thấy là cần thiết.
b' : Khoảng cách giữa hai mặt trong của vách dọc (giữa hai cạnh trong của két hông, nếu có két hông) đo theo mặt tôn đáy trên ở đà ngang đang xét (m).
y : Khoảng cách theo chiều ngang của tàu tại đà ngang đang xét từ mặt phẳng dọc tâm tàu đến điểm đang xét (m). Tuy nhiên, nếu có gắn mã ở chân sống ngang của mạn kép, thì y có thể được tính cho đến đỉnh trong của mã đó. Nếu y nhỏ hơn 0,25 b', thì y phải được lấy bằng 0,25 b'.
C2 :Hệ số cho ở Bảng 2-A/27.9 phụ thuộc tỉ số b/ lT. Với các trị số trung gian của b/ lT, thì C2 được xác định theo phép nội suy tuyến tính.
S, hB và d0 : Theo qui định ở (a).
/t : Như qui định ở -1 (1) (a).
b : Như qui định ở -1 (1) (a).
k : Như qui định ở 27.4.1-1.
Bảng 2-A/27.9 Hệ số C2
| b/ lT | £ 1,0 | 1,2 | 1,4 | 1,6 | 1,8 | 2,0 | 2,2 | 2,4 | ≥ 2,6 |
| C2 | 0,036 | 0,033 | 0,031 | 0,028 | 0,026 | 0,024 | 0,022 | 0,021 | 0,019 |
(c) Tàu dầu kiểu D :
Chiều dày xác định theo công thức sau phụ thuộc vào từng vùng trong khoang dầu hàng:

Trong đó:
d1 : Chiều cao của lỗ khoét tại điểm đang xét (m). Tuy nhiên, nếu có mã gắn với chân sống ngang của mạn kép hoặc chân sống đứng của vách dọc tâm trong khoang dầu hàng, thì có thể không xét đến các lỗ khoét ở đà ngang trong phạm vi từ vách dọc của mạn kép hoặc vách dọc tâm tàu đến đỉnh trong của mã đó, trừ khi Đăng kiểm thấy là cần thiết.
b' : Khoảng cách từ vách dọc của mạn kép (giữa hai cạnh trong của két hông, nếu có két hông) đến vách dọc tâm đo theo mặt tôn đáy trên ở đà ngang đang xét (m).
y : Khoảng cách theo chiều ngang của tàu tại đà ngang đang xét từ tâm của b' đến điểm đang xét (m). Tuy nhiên, nếu có gắn mã ở chân sống ngang của mạn kép hoặc chân sống đứng của vách dọc tâm tàu trong khoang dầu hàng thì y có thể được tính cho đến đỉnh trong của mã gắn với sống ngang của mạn kép hoặc cho đến đỉnh trong của mã gắn với chân sống đứng của vách dọc tâm tàu. Nếu y nhỏ hơn 0,25 b', thì y phải được lấy bằng 0,25 b'.
C2 :Hệ số cho ở Bảng 2-A/27.10 phụ thuộc tỉ số b/ lT. Với các trị số trung gian của b/ lT, thì C2 được xác định theo phép nội suy tuyến tính.
S, hB và d0 : Theo qui định ở (a).
/t : Như qui định ở -1 (1) (a).
b : Như qui định ở -1 (1) (c).
k : Như qui định ở 27.4.1-1.
Bảng 2-A/27.10 Hệ số C2
| b/ lT | £ 0,6 | 0,7 | 0,8 | 0,9 | 1,0 | 1,1 | 1,2 | ≥ 1,3 |
| C2 | 0,042 | 0,041 | 0,041 | 0,040 | 0,039 | 0,038 | 0,036 | 0,035 |
(2) Phải lớn hơn chiều dày xác định theo các công thức sau đây phụ thuộc vào vị trí trong khoang dầu hàng, không phụ thuộc vào kiểu tàu:

Trong đó:
a : Chiều cao của đà ngang tại điểm đang xét (m). Tuy nhiên, nếu có bố trí các nẹp nằm ở giữa chiều cao của tiết diện đà ngang, thì a là khoảng cách từ nẹp nằm đến tôn bao đáy hoặc đến tôn đáy trên, hoặc khoảng cách giữa các nẹp nằm đó (m).
t1 : Chiều dày của đà ngang tính theo qui định ở (1) phụ thuộc vào kiểu tàu dầu (mm).
C2' :Hệ số xác định theo Bảng 2-A/27.11 phụ thuộc vào tỉ số khoảng cách S1 (m) của các nẹp bố trí theo hướng chiều cao tiết diện của đà ngang chia cho a. Với các trị số trung gian của S1/a thì C2' được xác định theo phép nội suy tuyến tính.
Bảng 2-A/27.11 Hệ số C2'
| S1/a | £ 0,3 | 0,4 | 0,5 | 0,6 | 0,7 | 0,8 | 0,9 | 1,0 | 1,2 | ≥ 1,4 |
| C2' | 64 | 38 | 25 | 19 | 15 | 12 | 10 | 9 | 8 | 7 |
H : Trị số xác định theo các công thức sau:
(a) Nếu đà ngang có lỗ khoét không được gia cường:

Trong đó:
f : Đường kính lớn của lỗ khoét (m).
a : Trị số nào lớn hơn trong các trị số a hoặc S1 (m).
(b) Trong các trường hợp khác với (a), H = 1,0.
S2 : Bằng S1 hoặc a, lấy trị số nào nhỏ hơn (m).
k : Như qui định ở 27.4.1-1.
27.6.4. Kích thước của sống dọc và sống ngang trong mạn kép
1. Chiều dày của sống dọc trong mạn kép phải không nhỏ hơn trị số lớn nhất trong các trị số t1 qui định ở (1), t2 hoặc t3 được qui định ở (2) dưới đây:
(1) Không được nhỏ hơn chiều dày xác định theo (a) hoặc (b) dưới đây tùy theo kiểu tàu:
(a) Tàu dầu kiểu C:
Chiều dày xác định theo công thức sau đây phụ thuộc vào vị trí trong khoang dầu hàng:

Trong đó:
S : Chiều rộng của phần được đỡ bởi sống dọc (m).
hs : Trị số xác định theo các công thức sau, lấy giá trị nào lớn hơn:
| (0,6d - d3) + 0,038L | (m) |
| h' | (m) |
d3 : Chiều cao của đáy đôi đo tại mạn tàu (m). Tuy nhiên, d3 sẽ là khoảng cách thẳng đứng từ đáy đến cạnh trên của két hông, nếu có két hông.
h' : Khoảng cách thẳng đứng từ cạnh trên của két hông, nếu có, hoặc từ mặt tôn đáy trên đến mép miệng khoang (m).
d0 : Chiều cao tiết diện sống dọc (m).
d1 : Chiều cao lỗ khoét tại điểm đang xét (m). Tuy nhiên, nếu sống nằm của vách ngang được bố trí trong khoang dầu hàng, thì có thể bỏ qua các lỗ khoét trên các sống dọc mạn trong giới hạn từ vách ngang đến đỉnh trong của mã ở mút của sống nằm, trừ khi Đăng kiểm thấy là cần thiết phải xét.
x : Khoảng cách dọc từ trong điểm của lT của mỗi khoang dầu hàng đến điểm đang xét (m). Tuy nhiên, nếu sống nằm của vách ngang được đặt trong khoang dầu hàng, thì x có thể được tính cho đến đỉnh trong của mã gắn với mút của sống nằm đang xét. Nếu x nhỏ hơn 0,25lT, thì x phải được lấy bằng 0,25 lT.
lT : Chiều dài khoang dầu hàng đang xét (m).
C3 :Hệ số lấy theo Bảng 2-A/27.12 phụ thuộc vào D'/ lT. Với các trị số trung gian của D'/ lT, thì
C3 được xác định theo phép nội suy tuyến tính.
D' :Trị số tính theo công thức sau:
D' = D - d3 (m)
k : Như qui định ở 27.4.1-1.
Bảng 2-A/27.12 Hệ số C3
| D'/ lt | £ 0,5 | 0,6 | 0,7 | 0,8 | 0,9 | 1,0 | 1,1 | 1,2 | ³ 1,3 |
| C3 | 0,013 | 0,019 | 0,025 | 0,030 | 0,034 | 0,037 | 0,039 | 0,042 | 0,045 |
(c) Tàu dầu kiểu D:
Chiều dày xác định theo công thức sau đây phụ thuộc vị trí trong khoang dầu hàng :

Trong đó:
x : Khoảng cách dọc từ trung điểm của lT của mỗi khoang dầu hàng đến điểm đang xét (m). Tuy nhiên, nếu các sống nằm của vách ngang được đặt trong khoang dầu hàng, thì x có thể được tính cho đến đỉnh trong của mã gắn với mút của sống nằm đang xét. Nếu x nhỏ hơn 0,25 lT, thì x phải được lấy bằng 0,25 lT.
C3 : Hệ số lấy theo Bảng 2-A/27.13 phụ thuộc vào D'/ lT. Với các trị số trung gian của D'/ lT, thì C3 được xác định theo phép phép nội suy tuyến tính.
S, lT, hS, d0, d1, D' và K : Phải thỏa mãn qui định ở (a).
k : Như quy định ở 27.4.1-1.
Bảng 2-A/27.13 Hệ số C3
| D'/ IT | £ 0,5 | 0,6 | 0,7 | 0,8 | 0,9 | 1,0 | 1,1 | 1,2 | ³ 1,3 |
| C3 | 0,020 | 0,024 | 0,028 | 0,032 | 0,035 | 0,038 | 0,040 | 0,042 | 0,045 |
(2) Lớn hơn chiều dày xác định từ các công thức sau phụ thuộc vị trí trong khoang dầu hàng, không phụ thuộc vào kiểu tàu:

Trong đó:
a : Chiều cao của sống dọc mạn tại điểm đang xét (m). Tuy nhiên, nếu có bố trí các nẹp nằm ở giữa chiều cao tiết diện của sống mạn và hướng theo chiều dài của sống, thì a là khoảng cách từ nẹp đó đến tôn mạn hoặc đến vách dọc của mạn kép, hoặc khoảng cách giữa các nẹp đó (m).
t1 : Chiều dày của sống dọc tính theo qui định ở (1) phụ thuộc vào kiểu tàu dầu (mm).
C3' :Hệ số xác định theo Bảng 2-A/27.14 phụ thuộc vào tỉ số khoảng cách S1 (m) của các nẹp bố trí theo hướng chiều cao tiết diện của sống chia cho a. Với các trị số trung gian của S1/a, thì C3' được xác định theo phép nội suy tuyến tính.
Bảng 2-A/27.14 Hệ số C3'
| S1/a | £ 0,3 | 0,4 | 0,5 | 0,6 | 0,7 | 0,8 | 0,9 | 1,0 | 1,2 | ³ 1,4 |
| C3' | 64 | 38 | 25 | 19 | 15 | 12 | 10 | 9 | 8 | 7 |
H : Trị số xác định theo các công thức sau :
(a) Nếu sống dọc mạn có lỗ khoét không được gia cường:

Trong đó:
f : Đường kính lớn của lỗ khoét (m).
a : Bằng a hoặc S1 , lấy trị số nào lớn hơn (m).
(b) Trong các trường hợp khác với (a), H = 1,0.
S2 : Bằng S1 hoặc a, lấy trị số nào nhỏ hơn (m).
k : Như qui định ở 27.4.1-1.
2. Chiều dày của sống ngang trong mạn kép phải không nhỏ hơn trị số lớn nhất trong các trị số t1 xác định theo (1), t2 hoặc t3 xác định theo (2) dưới đây :
(1) Không được nhỏ hơn chiều dày xác định theo (a) hoặc (b) sau đây phụ thuộc kiểu tàu dầu:
(a) Tàu dầu kiểu C:
Chiều dày xác định từ công thức sau phụ thuộc vị trí trong khoang dầu hàng:

Trong đó:
S : Chiều rộng của phần được đỡ bởi sống ngang (m).
hS : Trị số xác định theo các công thức sau, lấy giá trị nào lớn hơn. Tuy nhiên, đối với các tàu dầu không có các trạng thái tải trọng đặc biệt như tải trọng một nửa hoặc tải trọng xen kẽ, hS có thể được lấy theo qui định ở -1 (1) (a).
| (d - d3) +0,038L | (m) |
| h' | (m) |
d0 : Chiều cao của tiết diện sống ngang (m).
d1 : Chiều cao lỗ khoét tại điểm đang xét (m). Tuy nhiên, nếu có mã gắn vối chân sống ngang của mạn kép, thì có thể bỏ qua các lỗ khoét ở sống ngang bố trí trong phạm vi giữa mặt tôn đáy trên và đỉnh trên của mã đó, trừ khi Đăng kiểm thấy cần thiết phải xét.
z : Khoảng cách theo chiều cao của tàu từ mặt tôn đáy trên hoặc từ cạnh trên của két hông, nếu có, đến điểm đang xét (m). Tuy nhiên, nếu có mã gắn với chân sống ngang của mạn kép, thì ở khoảng từ mặt tôn đáy trên đến đỉnh trên của mã đó, z có thể được tính ở đỉnh trên của mã đó. Nếu z lớn hơn 0,4D' thì z phải được lấy bằng 0,4D'.
C4 : Hệ số xác định theo Bảng 2-A/27.15 phụ thuộc tỉ số D'/ lT. Với các trị số trung gian của D'/ lT, thì C4 được xác định theo phép nội suy tuyến tính.
D', h', d3, và lT : Theo qui định ở -1 (1) (a).
k : Như qui định ở 27.4.1-1.
Bảng 2-A/27.15 Hệ số C4
| D'/ lt | £ 0,5 | 0,6 | 0,7 | 0,8 | 0,9 | 1,0 | 1,1 | 1,2 | ³ 1,3 |
| C4 | 0,052 | 0,051 | 0,049 | 0,046 | 0,043 | 0,041 | 0,038 | 0,036 | 0,034 |
(b) Tàu dầu kiểu D :
Chiều dày xác định từ công thức sau phụ thuộc vị trí trong khoang dầu hàng:

Trong đó:
z : Khoảng cách theo chiều cao của tàu từ mặt tôn đáy trên hoặc từ cạnh trên của két hông, nếu có, đến điểm đang xét (m). Tuy nhiên, nếu có mã gắn với chân sống ngang của mạn kép, thì ở khoảng từ mặt tôn đáy trên đến đỉnh trên của mã đó, z có thể được tính ở đỉnh trên của mã. Nếu z kín hơn 0,4D' thì z phải được lấy bằng 0,4D'.
C4 : Hệ số xác định theo Bảng 2-A/27.16 phụ thuộc tỉ số D'/ lT. Với các trị số trung gian của D'/ lT, thì C4 được xác định theo phép nội suy tuyến tính.
Bảng 2-A/27.16 Hệ số C4
| D'/ lT | £ 0,8 | 0,9 | 1,0 | 1,1 | 1,2 | ³ 1,3 |
| C4 | 0,034 | 0,033 | 0,033 | 0,032 | 0,031 | 0,030 |
S, hS, d0 và d1 : Theo qui định ở (a).
D' và lT : Theo qui định ở -1 (1) (a).
k : Như qui định ở 27.4.1-1.
(2) Phải lớn hơn chiều dày xác định theo các công thức sau đây phụ thuộc vị trí trong khoang dầu hàng, không phụ thuộc vào kiểu tàu:

Trong đó:
a : Chiều cao tiết diện của sống ngang tại điểm đang xét (m). Tuy nhiên, nếu có bố trí các nẹp nằm ở giữa chiều cao của tiết diện sống ngang, hướng theo chiều dài của sống, thì a là khoảng cách từ nẹp đến tôn mạn hoặc đến vách dọc của mạn kép, hoặc khoảng cách giữa các nẹp (m).
t1 : Chiều dày của tiết diện sống ngang tính theo qui định ở (1) phụ thuộc vào kiểu tàu dầu (mm).
C4' :Hệ số xác định theo Bảng 2-A/27.17 phụ thuộc vào tỉ số khoảng cách S1 (m) của các nẹp đặt theo hướng chiều cao của tiết diện sống chia cho a. Với các trị số trung gian của S1/a, thì C4' được xác định theo phép nội suy tuyến tính.
Bảng 2-A/27.17 Hệ số C4'
| S1/a | £ 0,3 | 0,4 | 0,5 | 0,6 | 0,7 | 0,8 | 0,9 | 1,0 | 1,2 | ³ 1,4 |
| C4' | 64 | 38 | 25 | 19 | 15 | 12 | 10 | 9 | 8 | 7 |
27.6.5. Sống dọc và sống ngang trong khoang dầu hàng và két sâu
1. Mô đun chống uốn Z của tiết diện sống dọc không được nhỏ hơn trị số xác định theo công thức sau:

Trong đó:
S : Chiều rộng của diện tích được đỡ bởi sống (m).
h : Như qui định ở 27.4.1-1. Tuy nhiên, ở đây cụm từ "từ cạnh dưới của tấm tôn vách đang xét" được thay là "từ trung điểm của S" đối với sống nằm, và là "từ trung điểm của l0" đối với sống đứng khi tính trị số của h.
l0 : Chiều dài của sống xác định theo công thức sau:
I0 = k1l (m)
l : Chiều dài toàn bộ của sống (m), nếu sống này liên tục cùng với các sống dọc và sống ngang khác, thì l là khoảng cách đến mặt trong của bản mép các sống ấy.
k1 : Hệ số điều chỉnh do các mã được xác định theo công thức sau:

b1 và b2 : Chiều dài cạnh của mã, tại các mút tương ứng của sống dọc và sống ngang (m).
k : Như qui định ở 27.4.1-1.
C1 :Hệ số phụ thuộc vào L xác định như sau:
C1 = 1,00 nếu L không lớn hơn 230 mét.
C1 = 1,20 nếu L lớn hơn 400 mét.
Với các trị số trung gian của L , thì C1 xác định theo phép nội suy tuyến tính.
2. Mô men quán tính (I) của tiết diện của sống dọc phải không nhỏ hơn trị số xác định theo công thức sau. Tuy nhiên, trong mọi trường hợp chiều cao tiết diện của sống không được nhỏ hơn 2,5 lần chiều cao lỗ khoét để cơ cấu chui qua:

Trong đó:
h và l0 : Như qui định ở -1.
3. Chiều dày tiết diện của sống dọc phải không nhỏ hơn trị số lớn nhất trong các trị số t1, t2 hoặc t3 sau đây:

Trong đó
S, h, l0, C1 và k : Như qui định ở -1.
S1 : Khoảng cách giữa các nẹp của sống hoặc chiều cao tiết diện của sống, lấy giá trị nào nhỏ hơn (m).
d1 : Chiều cao tiết diện của sống đang xét (m), trừ chiều cao lỗ khoét.
C2 :Hệ số xác định theo công thức sau, trong mọi trường hợp không được nhỏ hơn 0,5:

x : Khoảng cách từ một đầu của I0 đến tiết diện đang xét (m), và từ đầu dưới của l0 đối với sống đứng.
d0 : Chiều cao tiết diện bản thành (m). Nếu các nẹp gia cường bản thành được đặt song song với bản mép, thì d0 là khoảng cách từ nẹp đến tôn mạn hoặc đến bản mép (m), hoặc giữa các nẹp.
C3 : Hệ số được lấy như sau:
(1) Nếu bản thành của sống nằm ở vị trí khoảng 0,25D phía dưới mép boong ở mạn tàu, thì C3 được xác định phụ thuộc tỉ số của S' chia cho d0 như sau, trong đó S' là khoảng cách của các nẹp ở bản thành đặt hướng theo chiều cao của tàu (m):
Nếu S'/d0 ³ 1,0 thì C3 = 11,0

(2) Nếu bản thành của sống dọc và sống ngang khác với những qui định ở (1), thì C3 được xác định theo Bảng 2-A/27.18 phụ thuộc tỉ số S'/d0. Với các trị số trung gian của S'/d0, thì C3 được xác định theo phép nội suy tuyến tính. Nếu bản thành của sống nằm cao hơn D/3 so với mặt tôn giữa đáy hoặc cao hơn mép dưới của bản mép ở cạnh dưới của thanh giằng thứ hai kể từ boong, lấy trường hợp thấp hơn, thì C3 có thể được lấy theo Bảng 2-A/27.18 nhân với 0,85 cùng với các yêu cầu ở (c) và (d) dưới đây:
(a) Nếu không có nẹp đặt song song với bản mép, thì C3 lấy bằng a1.
Tuy nhiên, khi có khoét lỗ, thì C3 được lấy bằng a2 và phải không nhỏ hơn trị số xác định theo yêu cầu ở (c).
(b) Nếu có nẹp gia cường đặt song song với bản mép, với các phần nằm giữa bản mép và nẹp hoặc giữa các nẹp, thì C3 lấy bằng a3.
Tuy nhiên, chiều dày không cần phải lớn hơn trị số trị xác định khi sử dụng hệ số a1, giả thiết rằng không có nẹp đặt song song với bản mép và không có lỗ khoét.
Đối với các phần nằm giữa nẹp và tôn bao, thì C3 được lấy bằng a2.
Bảng 2-A/27.18 a1, a2 và a3
| S'/d0 | £ 0,2 | 0,4 | 0,6 | 0,8 | 1,0 | 1,5 | 2,0 | ³ 2,5 |
| a1 | 2,6 | 4,5 | 5,6 | 6,4 | 7,1 | 7,8 | 8,2 | 8,4 |
| a2 | 2,1 | 3,7 | 4,9 | 5,8 | 6,6 | 7,4 | 7,8 | 8,0 |
| a3 | 3,7 | 0,7 | 8,6 | 9,6 | 9,9 | 10,3 | 10,4 | 10,4 |
(c) Nếu bản thành có lỗ khoét nhỏ không được gia cường, thì a1, a2 và a3 phải được nhân với hệ số H sau:

Nếu d1/S nhỏ hơn hoặc bằng 0,5, thì hệ số này phải được lấy bằng 1,0.
Trong đó :
d1 : Chiều cao lỗ khoét (m).
(d) Nếu bản thành có lỗ khoét lớn không được gia cường thì a1, a2 và a3 phải được nhân với hệ số H sau:

Trong đó:
a: Cạnh dài hơn của phần được bao quanh bởi các nẹp của bản thành (m).
f : Đường kính lỗ khoét (m). Nếu lỗ khoét có dạng thuôn thì f phải được lấy bằng cạnh lớn hơn (m).
4. Mép kèm dùng để tính mô men quán tính và mô đun chống uốn của tiết diện thực của sống phải được lấy như qui định ở 1.1.13-3. Tuy nhiên, nếu có nẹp được đặt trong phạm vi của mép kèm thì nẹp đó có thể được tính vào mép kèm.
5. Trong trường hợp có đặt các thanh chống thì chiều dày bản thành của sống tại chân của thanh chống phải không nhỏ hơn trị số xác định theo công thức sau. Nếu trên bản thành có lỗ khoét nhỏ tại chân của thanh chống, thì các lỗ khoét này phải được gia cường hiệu quả bằng các tấm đệm.

Trong đó:
S : Khoảng cách các sống ngang (m).
bS : Chiều rộng được đỡ bởi thanh chống (m).
hS : Khoảng cách từ trung điểm của bS đến điểm nằm cao hơn mặt tôn giữa đáy một khoảng bằng:
hs = d + 0,038L'
L' : Như qui định ở 27.5.1-1.
C1 : Như qui định ở -1.
S1 : Khoảng cách giữa các nẹp đặt theo chiều cao tiết diện ở bản thành của sống ngang tại vùng nối với thanh giằng (m).
A : Diện tích tiết diện hiệu dụng chịu lực dọc trục truyền từ thanh giằng (cm2), được lấy như sau:
(a) Nếu bản mép của thanh giằng kéo dài đến bản mép của sống ngang theo dạng cung lượn hoặc dạng cong tương tự thì A là tổng toàn bộ diện tích tiết diện bản thành của sống ngang ở vùng nằm giữa các tiếp điểm của các tiếp tuyến với đoạn cung lượn hoặc dạng cong lượn tương tự làm với trục thanh giằng một góc 45°, cộng với diện tích tiết diện của nẹp gia cường bản thành của sống ngang đặt theo phương trục thanh giằng ở khoảng giữa các tiếp điểm và 0,5 lần diện tích tiết diện các bản mép của sống ngang tại các tiếp điểm (xem Hình 2-A/27.1 (a)).
(b) Nếu bản mép của thanh giằng nối liền tới bản mép của sống ngang theo dạng đường thẳng có góc lượn thì A là tổng toàn bộ diện tích tiết diện bản thành của sống ngang ở vùng nằm giữa các trung điểm của các đoạn giao nhau tạo bởi các phần kéo dài của các mặt trong của mép thanh giằng, mép sống ngang và đường thẳng tạo với trục thanh giằng một góc 45° tiếp xúc với mặt trong của bản mép ở chỗ góc lượn, cộng với diện tích tiết diện nẹp gia cường bản thành của sống ngang đặt theo phương trục thanh giằng ở khoảng giữa các trung điểm nói trên, cộng với 0,5 lần diện tích tiết diện các bản mép tại các trung điểm (Xem Hình 2-A /27.1 (b)).
(c) Nếu bản mép của thanh giằng nối trực tiếp với mép của sống ngang theo góc vuông hay gần vuông và cả hai bản mép được gắn mã, thêm vào đó các nẹp được gắn lên bản thành của sống ngang trên đường kéo dài của hai mép thanh giằng thì A là tổng toàn bộ diện tích tiết diện bản thành của sống ngang tại vùng tiết diện giữa các trung điểm của các đoạn giao tạo bởi phần kéo dài của các mặt trong của mép thanh giằng, mép sống ngang và đường thẳng tạo với trục của thanh giằng một góc 45° tiếp xúc với mép tự do của mã, cộng với diện tích tiết diện của các nẹp đặt ở vị trí nêu trên (xem Hình 2-A /27.1 (c)).
|
|
|
|
| (a) | (b) | (c) |
Hình 2-A/27.1 Cách xác định diện tích tiết diện tổng cộng
6. Chiều dày bản mép của sống dọc (t) phải lớn hơn chiều dày bản thành và chiều rộng tổng cộng của bản mép phải không nhỏ hơn trị số xác định theo công thức sau:

Trong đó:
d0 : Chiều cao tiết diện của sống (m).
l : Khoảng cách giữa hai gối tựa của sống (m). Tuy nhiên, nếu có đặt các mã chống vặn hữu hiệu, thì các mã này có thể được coi là gối tựa.
27.6.6. Sống ngang của tàu không có mạn kép
1. Thêm vào các qui định ở 27.6.5, chiều cao tiết diện (d) và mô đun chống uốn của tiết diện sống ngang mạn Z phải không nhỏ hơn trị số xác định theo các công thức sau:
d = 0,15l (m)

Trong đó :
l : Chiều dài toàn bộ của sống ngang mạn, nếu sống ngang mạn liền với các sống ngang khác thì l là khoảng cách đến mặt trong của các sống ngang khác ấy (m)
l0 : Được xác định như sau:
l0 = k1l (m)
k1 : Như qui định ở 27.6.5.1.
S : Khoảng cách các sống ngang (m).
h : Khoảng cách từ trung điểm của l0 đến điểm nằm cao hơn mặt tôn giữa đáy một khoảng bằng:
h = d + 0,038L'
L' : Như qui định ở 27.5.1.1.
2. Kích thước của sống ngang boong phải được xác định theo (1) và (2) dưới đây:
(1) Mô đun chống uốn (Z) của tiết diện sống ngang boong của tàu không có hầm boong phải không nhỏ hơn trị số xác định theo công thức sau:

Trong đó:
S, k, l0 : Như qui định ở -1.
(2) Đối với các tàu có hầm boong, kết cấu của sống ngang boong phải liên tục đi ngang qua hầm boong. Trong trường hợp này, chiều cao tiết diện của sống ngang boong coi như được đỡ bởi hầm boong, có thể được lấy bằng 0,03B.
(3) Đối với các sống ngang đặt ở vách dọc tâm, những qui định đối với sống ngang mạn qui định ở -1 phải được áp dụng tương ứng. Tuy nhiên, trong mọi trường hợp, kích thước cơ cấu không được nhỏ hơn trị số xác định theo mỗi công thức với hệ số bằng 0,8 lần của hệ số trong mỗi công thức đó.
27.6.7. Nẹp gia cường các sống trong khoang dầu hàng và két sâu
Chiều dày của các nẹp gia cường dạng thép dẹt và mã chống vặn trên các sống dọc và sống ngang, và của nẹp vách phải không nhỏ hơn trị số xác định theo công thức sau:

Tuy nhiên, chiều dày này không cần phải lớn hơn chiều dày bản thành của sống mà nẹp được gắn.
27.6.8. Thanh giằng
1. Thanh giằng ở các tàu có từ hai vách dọc liên tục trở lên nếu được liên kết chắc chắn với các sống đứng của vách dọc trong khoang dầu hàng, thì phải thỏa mãn những yêu cầu ở 27.6.8.
2. Diện tích tiết diện của thanh giằng liên kết với các sống đứng của vách dọc trong khoang dầu hàng phải không nhỏ hơn trị số xác định từ công thức sau:
A = C1C2kSbsh (cm2)
Trong đó :
S, bS, C1 : Như qui định ở 27.6.5-5.
h = hS nếu thanh giằng được đặt trong khoang dầu hàng mạn, là khoảng cách thẳng đứng từ trung điểm của bS đến mặt trên của miệng khoang hàng kề cận nếu có các thanh chống ở khoang đầu hàng giữa (m).
k : Như qui định ở 27.4.1-1.
C2 :Hệ số xác định từ công thức sau:

I : Mô men quán tính của tiết diện thanh giằng (cm4).
A : Diện tích tiết diện thanh giằng (cm2).
k : Như qui định ở 27.4.1-1.
27.7. Các chi tiết kết cấu
27.7.1. Qui định chung
1. Các kết cấu chính phải được bố trí sao cho đảm bảo được sự liên tục về độ bền trong khu vực hàng hóa. Ở vùng phía trước và phía sau khu vực hàng hóa, các kết cấu phải đủ bền để tránh suy giảm đột ngột sự liên tục của độ bền.
2. Với các kết cấu chính, phải quan tâm thích đáng đến độ cứng ở các mút, đến biện pháp đỡ và gia cường để tránh biến dạng vênh, phải giảm đến mức tối thiểu tình trạng tập trung ứng suất ở kết cấu.
27.7.2. Sườn và nẹp
Xà dọc, sườn dọc và nẹp dọc phải là các cơ cấu liên tục hoặc phải được liên kết chắc chắn để sao cho diện tích tiết diện ở các mút của chúng có đủ độ cứng để chịu được mô men uốn.
27.7.3. Sống và thanh giằng
1. Các sống nằm trong cùng một mặt phẳng phải được bố trí sao cho tránh được sự thay đổi đột ngột về độ bền và độ cứng, hai đầu của sống phải được gắn mã có kích thước thích hợp, đỉnh của mã phải được lượn hữu hiệu.
2. Trong trường hợp nếu chiều cao tiết diện của sống dọc lớn thì phải đặt nẹp song song với bản mép.
3. Mã phải được đặt ở hai đầu của thanh giằng để liên kết với các sống dọc hoặc sống ngang.
4. Các sống ngang và sống đứng phải được gắn mã chống vặn ở vị trí liên kết với thanh giằng.
5. Nếu chiều rộng bản mép của thanh giằng lớn hơn 150 mi-li-mét thì ở một bên của bản thành, các nẹp phải được đặt theo khoảng cách thích hợp để đỡ cả bản mép.
6. Các mã chống vặn phải được đặt trên bản thành của sống ngang ở đỉnh trong của mã mút và ở vùng nối với thanh giằng,v.v..., theo khoảng cách thích hợp để gia cường hữu hiệu cho các sống ngang. Trong trường hợp nếu chiều rộng của bản mép ở mỗi bên bản thành của sống lớn hơn 180 mi-li-mét, thì mã chống vặn nói trên phải đỡ cả bản mép.
7. Bản thành của các sống ngang mạn và sống đứng của vách dọc tại mã mút trên và mã mút dưới, vùng lân cận các đầu trong của các mã này và vùng gần gốc của thanh giằng phải được gia cường đặc biệt bằng các nẹp đặt theo khoảng cách hẹp hơn.
27.8. Các qui định riêng đối với han gỉ
27.8.1. Chiều dày của tôn bao
1. Ở những tàu không có mạn kép, chiều dày của tôn bao tạo thành vách biên của các khoang dầu hàng có dự định để chứa nước dằn, trừ các khoang chỉ dùng để chứa nước dằn trong điều kiện thời tiết xấu, phải không nhỏ hơn chiều dày xác định theo công thức cho ở 27.3.2 đồng thời với việc áp dụng các qui định ở Chương 14 cộng với 0,5 mi-li-mét.
2. Khi áp dụng các yêu cầu của Chương này, chiều dày của tôn bao có thể được giảm 0,5 mi-li-mét so với chiều dày xác định theo công thức cho ở 27.4.1.
27.8.2. Chiều dày tôn boong
1. Khi áp dụng những yêu cầu của Chương này, chiều dày tôn của boong mạn khô có thể được giảm 0,5 mi-li-mét so với chiều dày tính theo công thức cho ở 27.4.1.
2. Chiều dày tôn của boong mạn khô ở khoang dầu hàng, khi áp dụng những qui định ở Chương 15, phải được lấy bằng chiều dày xác định theo công thức cho ở 15.3 cộng thêm tối thiểu là 0,5 mi-li-mét.
27.8.3. Chiều dày của tôn nóc két
Chiều dày của tôn nóc két trong khoang dầu hàng và két sâu không được nhỏ hơn chiều dày tương ứng xác định theo công thức cho ở 27.4.1 cộng thêm 1,0 mi-li-mét. Tuy nhiên, sự cộng thêm này không bắt buộc đối với tôn đáy trên.
27.8.4. Mô đun chống uốn của tiết diện xà dọc boong, xà dọc mạn và nẹp gia cường dọc
1. Mô đun chống uốn của tiết diện xà dọc bố trí ở tôn boong trong các khoang dầu hàng phải không nhỏ hơn 1,1 lần trị số tính theo các qui định ở 8.3.3.
2. Mô đun chống uốn của tiết diện dầm và nẹp bố trí trên tôn mạn và vách tạo thành các khoang dầu hàng có dự kiến để chứa nước dằn, trừ những khoang chỉ dùng để chứa nước dằn trong điều kiện thời tiết xấu, phải không nhỏ hơn 1,1 lần trị số tính theo các qui định ở 27.5.1 và 27.5.2.
27.8.5. Chiều dày của các cơ cấu tấm trong các két dằn kề với khoang dầu hàng
1. Chiều dày của tôn vách phân cách giữa két dằn và khoang dầu hàng phải không nhỏ hơn chiều dày qui định ở 27.2 cộng thêm 1,0 mi-li-mét.
2. Trong trường hợp các khoang dầu hàng kề cận được trang bị hệ thống hâm nóng, chiều dày của tôn vách phân cách giữa két dằn và khoang dầu hàng phải không nhỏ hơn chiều dày xác định theo -1 cộng với 1,0 mi-li-mét.
27.8.6. Chiều dày tôn boong trong khoang dầu hàng
Chiều dày tôn boong trong khoang dầu hàng không được nhỏ hơn chiều dày xác định theo 27.2 cộng với 1,0 mi-li-mét.
27.8.7. Chiều dày của tôn đáy trên trong khoang dầu hàng
1. Chiều dày của tôn đáy trên trong khoang dầu hàng phải đủ để kể đến ảnh hưởng của mòn gỉ.
2. Chiều dày của tôn đáy trên ở vùng gần miệng ống hút trong khoang dầu hàng, và chiều dày thành của hố tụ, nếu có, phải không nhỏ hơn chiều dày xác định theo yêu cầu ở 27.4.1-1 cho vùng áp dụng thích ứng cộng thêm 2,0 mi-li-mét.
27.9. Các qui định riêng đối với tàu có boong giữa
27.9.1. Phạm vi áp dụng
Các kết cấu của tàu dầu có boong giữa đi suốt chiều dài khu vực khoang hàng phải thỏa mãn các qui định ở từ 27.1 đến 27.8 cùng với các qui định ở 27.9.
27.9.2. Tải trọng
Trong trường hợp các kết cấu trong khoang dầu hàng phía dưới boong giữa được xác định theo các công thức qui định ở 27.4.1, 27.5.2 và 27.6.5, các trị số của h1, h2 và h3 phải được lấy như qui định ở Bảng 27.19.
Bảng 2-A/27.19 Tải trọng

27.9.3. Boong giữa
Trong trường hợp nếu chiều dày tôn boong giữa được tính như chiều dày tôn nóc của két dầu hàng dưới thì chiều dày tôn boong giữa phải được lấy không nhỏ hơn chiều dày được xác định theo công thức cho ở 27.4.1, sử dụng tải trọng qui định ở 27.9.2 và cộng thêm 1,0 mi-li-mét.
27.10. Những qui định riêng đối với các két mạn phía trước
27.10.1. Phạm vi áp dụng
Đối với những tàu dầu có chiều dài không nhỏ hơn 200 mét, các kết cấu ở những két mạn để trống trong trạng thái đầy tải, nằm ở phạm vi từ 0,15L kể từ sống mũi đến vách mũi phải thỏa mãn các qui định ở từ 27.1 đến 27.9 cùng với các qui định ở 27.10.
17.10.2. Dầm dọc mạn
1. Mô đun chống uốn tiết diện của dầm dọc mạn phải không nhỏ hơn trị số xác định theo công thức sau:
Z = 9C1kShl2 (cm3)
Trong đó:
l : Khoảng cách các sống ngang (m).
S : Khoảng cách các dầm dọc mạn (m).
h : Khoảng cách từ dầm dọc mạn đang xét đến điểm nằm cao hơn mặt trên của tôn giữa đáy một khoảng (m):
h = 0,7d + 0,05L
Tuy nhiên, ở đây trong mọi trường hợp h phải không nhỏ hơn trị số tính theo công thức sau (m):

C1, k: Như quị định ở 27.4.1-1.
2. Trong trường hợp nếu dầm dọc mạn được nối với sống ngang bằng các mã, mô đun chống uốn (Z) của tiết diện có thể được xác định bằng cách nhân trị số (Z') được xác định từ công thức sau đây với trị số xác định từ công thức qui định ở -1.
Z' = (1 - C)2
Trong đó:
C: Được xác định từ các công thức sau:

b1, b2, b : Chiều dài cạnh mã dọc theo dầm dọc mạn (m). Tuy nhiên, trong trường hợp nếu trị số của C là âm, thì lấy C = 0. (xem Hình 2-A/27.2).

Hình 2-A/27.2 Xác định b, b1 và b2
27.11. Kết cấu và gia cường đáy ở phía mũi
Độ bền của đáy mũi tàu phải thỏa mãn các qui định ở 4.8 và 14.4.4.
27.12. Những qui định riêng đối với miệng khoang hàng và hệ thống thoát nước mặt boong
27.12.1. Tàu có mạn khô quá lớn
Đối với tàu có mạn khô quá lớn việc miễn giảm so với qui định ở 27.12 sẽ được xem xét.
27.12.2. Miệng của khoang dầu hàng
1. Chiều dày tôn thành của miệng khoang dầu hàng phải không nhỏ hơn 10 mi-li-mét. Nếu chiều dài của thành miệng khoang lớn hơn 1,25 mét và chiều cao của thành miệng khoang lớn hơn 760 mi-li-mét thì phải đặt các nẹp đứng ở thành dọc hoặc thành ngang và mép trên của thành miệng khoang phải được gia cường thích đáng.
2. Nắp miệng khoang hàng phải được làm bằng thép hoặc bằng các vật liệu được chấp nhận khác. Kết cấu của nắp miệng khoang bằng thép phải thỏa mãn các qui định sau. Kết cấu của nắp miệng khoang làm bằng vật liệu không phải là thép phải thỏa mãn yêu cầu của Đăng kiểm.
(1) Chiều dày tôn nắp phải không nhỏ hơn 12 mi-li-mét.
(2) Nếu diện tích của miệng khoang lớn hơn 1 mét vuông nhưng không lớn hơn 2,5 mét vuông, thì nắp miệng khoang phải được gia cường bằng các thanh thép dẹt có chiều rộng 100 mi-li-mét đặt cách nhau không xa hơn 610 mi-li-mét. Tuy nhiên, nếu tôn nắp miệng khoang có chiều dày 15 mi-li-mét hoặc lớn hơn, thì có thể không cần đặt nẹp gia cường.
(3) Nếu diện tích của miệng khoang hàng lớn hơn 2,5 mét vuông, thì tôn nắp miệng khoang phải được gia cường bằng các thanh thép dẹt có chiều rộng 125 mi-li-mét đặt cách nhau không xa quá 610 mi-li-mét.
(4) Nắp miệng khoang phải được cố định chắc chắn bằng khóa đặt cách nhau không xa quá 457 mi-li-mét đối với miệng khoang hình tròn hoặc cách nhau không xa quá 380 mi-li-mét và cách các góc không quá 230 mi-li-mét đối với miệng khoang hình chữ nhật.
27.12.3. Miệng khoang không phải là khoang dầu hàng
Ở những vị trí lộ trên boong mạn khô và boong thượng tầng mũi hoặc trên nóc của hầm nổi giãn nở, các miệng khoang không phải là khoang dầu hàng phải có các nắp kín nước bằng thép có kích thước thỏa mãn các yêu cầu ở 18.2.4 và 15.2.5.
27.12.4. Hệ thống thoát nước mặt boong
1. Những tàu có mạn chắn sóng phải đặt lan can thưa ở ít nhất một nửa chiều dài phần lộ của boong mạn khô hoặc phải có hệ thống thoát nước hữu hiệu khác. Mép trên cùng của dải tôn mép mạn phải cố gắng được hạ thấp.
2. Nếu các thượng tầng được nối với nhau bằng hầm boong, thì lan can thưa phải được đặt trên toàn bộ chiều dài phần lộ của boong mạn khô.
27.13. Hàn
27.13.1. Phạm vi áp dụng
Trừ khi có qui định riêng ở 27.13, việc hàn tàu dầu phải thỏa mãn các yêu cầu ở Bảng 2-A/1.6.
27.13.2. Hàn góc
1. Việc áp dụng đường hàn góc cho các kết cấu nằm trong khu vực hàng hóa phải phải theo yêu cầu ở Bảng 2-A/27.20.
2. Chiều rộng chân của đường hàn góc ở các khu vực (1) và (2) dưới đây ít nhất phải bằng 0,7 lần chiều đày tôn theo qui định ở Chương này.
(1) Đường hàn góc ở các phần liên kết giữa các sống ngoài cùng của đáy đôi với đà ngang.
(2) Đường hàn góc ở các phần liên kết giữa các sống dưới cùng của mạn kép với khung sống ngang.
Bảng 2-A/27.20 Yêu cầu đối với mối hàn góc
| Dòng | Tên cơ cấu | Hàn với | Loại mối hàn | |
| 1 | Sống dọc và sống ngang | Bản thành | Tôn bao, tôn boong, tôn vách dọc hoặc tôn đáy trên | F1 |
| 2 | Bản thành | F1 | ||
| 3 | Bản mép | F2 | ||
| 4 | Lỗ khoét để cơ cấu chui qua bản thành | Bản thành của dầm dọc mạn, xà dọc boong và nẹp nằm của vách dọc | F2 | |
| 5 | Mã chống vặn và nẹp gia cường bản thành | Bản thành | F3 | |
| 6 | Bản thành của dầm dọc mạn, xà dọc boong và nẹp nằm của vách dọc | F1 | ||
| 7 | Dầm dọc mạn, xà dọc boong và nẹp nằm của vách dọc | Tôn bao, tôn boong hoặc tôn vách dọc | F3 | |
| 8 | Thanh giằng | Các chi tiết tạo thành thanh giằng (bản thành với bản mép) | F3 | |
| 9 | Bản mép của sống | F1 | ||
Chú thích:
Nếu bán kính góc lượn ở đỉnh của mã mút nhỏ, thì nên sử dụng mối hàn F1 trên một chiều dài thích hợp ở đỉnh của mã.
CHƯƠNG 28 TÀU CHỞ QUẶNG
28.1. Kết cấu và trang thiết bị
28.1.1. Phạm vi áp dụng
1. Kết cấu và trang thiết bị của những tàu dự định để phân cấp và đăng ký là "Tàu chở quặng" phải thỏa mãn các yêu cầu của Chương này hoặc các yêu cầu tương đương.
2. Ngoài những yêu cầu đặc biệt của Chương này, các yêu cầu chung về kết cấu và trang thiết bị của tàu thép phải được áp dụng.
3. Những yêu cầu của Chương này được áp dụng cho kết cấu của những tàu có chiều dài nhỏ hơn 230 mét, có hình dạng thông thường, có một boong, có buồng máy ở đuôi tàu, có hai vách dọc kín nước liên tục, có đáy đôi ở dưới các khoang quặng, có boong và đáy kết cấu theo hệ thống dọc.
4. Trong trường hợp nếu kết cấu của tàu khác với qui định ở -3 hoặc chiều dài tàu vượt quá 230 mét và những yêu cầu ở Chương này không được áp dụng thì việc tính toán kết cấu thân tàu phải được Đăng kiểm chấp thuận.
28.1.2. Phân khoang
1. Khoảng cách giữa vách dọc và mạn tàu (a), dù ở phần hẹp của mũi và đuôi tàu, phải không nhỏ hơn trị số tính theo công thức sau đây:
a = 4L + 500 (mm)
2. Ít nhất phải có một vách ngang kín nước đặt giữa các vách dọc kín nước ở phía trước của trung điểm chiều dài của vùng chở quặng, trừ trường hợp mà Đăng kiểm thấy rằng không cần phải đặt vách ngang tại đó.
28.1.3. Tính toán trực tiếp
Theo thỏa thuận với Đăng kiểm, kích thước của kết cấu có thể được xác định bằng phương pháp tính toán trực tiếp. Nếu các kích thước cơ cấu tính bằng phương pháp tính toán trực tiếp lớn hơn các yêu cầu ở Chương này thì các kích thước theo tính toán trực tiếp phải được sử dụng.
28.1.4. Đáy đôi
1. Chiều cao của đáy đôi phải được xác định sao cho trong điều kiện đủ tải trọng tâm của tàu phải ở đủ độ cao cần thiết. Chiều cao chuẩn là 0,2D (m).
2. Chiều dày của sống chính (t) phải không nhỏ hơn trị số tính theo công thức sau đây:
t = 0,04L + 7,0 (mm)
3. Đáy ngang của tấm hoặc sống ngang đáy phải được đặt ở dưới vách hoặc dưới khung sống ngang của khoang mạn hoặc khoang trống.
4. Nếu đáy trên được kết cấu theo hệ thống dọc thì chiều dày của đà ngang tấm (t) phải không nhỏ hơn trị số tính theo công thức sau đây. Tổng chiều cao của các lỗ khoét giảm trọng lượng, lỗ khoét để các cơ cấu xuyên qua v.v…, ở đoạn cách các mút của đà ngang đáy một khoảng bằng hoặc lớn hơn b/4 phải không lớn hơn 1/2 chiều cao tiết diện đà ngang, và ở đoạn cách mút của đà ngang một khoảng bằng b/8 phải không lớn hơn 1/4 chiều cao tiết diện của đà ngang. Nếu lỗ khoét giảm trọng lượng được gia cường thích đáng thì giới hạn nói trên có thể được tăng lên.

Trong đó:
S : Khoảng cách giữa các đà ngang tấm (m).
b : Chiều dài của đà ngang tấm (m).
H : Trị số tính theo các công thức sau đây:
| H = 2,0h - d | Nếu chỉ đặt các đà ngang tấm. |
| H = 1,6 h - d | Nếu giữa các đà ngang tấm có đặt một sống ngang đáy để đỡ các dầm dọc đáy trên. |
Trong đó:
h : Khoảng cách thẳng đứng từ mật tôn đáy trên đến boong trên đo ở đường tâm tàu (m).
d0 : Chiều cao tiết diện đà ngang tấm (m).
5. Ở tấm sống chính và đà ngang tấm, nẹp phải được đặt cách nhau không xa quá trị số tính s theo công thức sau đây:
s = 100t - 250 (mm)
Trong đó:
t : Chiều dày của tấm sống chính hoặc của đà ngang tấm (mm).
6. Chiều dày của tôn đáy trên (t) phải không nhỏ hơn trị số tính theo các công thức sau đây, lấy trị số nào lớn hơn:

Trong đó:
S : Khoảng cách giữa các dầm dọc đáy trên (m).
h : Như qui định ở -4.
7. Mô đun chống uốn (Z) của tiết diện dầm dọc đáy trên phải không nhỏ hơn trị số tính theo công thức sau đây:
Z = 21Shl2 (cm3)
Trong đó:
S : Khoảng cách giữa các dầm dọc đáy trên (m).
h : Như qui định ở -4.
l : Khoảng cách giữa các đà ngang tấm hoặc các sống ngang đáy (m).
28.1.5. Kết cấu và kích thước cơ cấu của khoang mạn hoặc khoang trống
Kết cấu và kích thước cơ cấu của khoang mạn hoặc khoang trống phải theo các yêu cầu sau:
1. Dầm dọc mạn và xà ngang boong, nói chung, phải theo các yêu cầu ở 27.5 và 27.10.
2. Kết cấu và kích thước của sống ngang, sống dọc, sườn khỏe và thanh giằng phải thỏa mãn các yêu cầu sau đây:
(1) Chiều dày của sống ngang, sống dọc, sườn khỏe và thanh giằng không được nhỏ hơn trị số lấy theo Bảng A/27.1 phù hợp với chiều dài tàu;
(2) Sống ngang và sống dọc ở cùng vị trí phải được bố trí sao cho tránh được sự thay đổi đột ngột độ bền và độ cứng vững. Chúng phải có mã liên kết với kích thước phù hợp và mút mà phải lượn đều;
(3) Chiều cao tiết diện của sống ngang và sống dọc phải không nhỏ hơn 2,5 lần chiều cao lỗ khoét để sườn, xà và nẹp chui qua;
(4) Bản mép của sống phải có chiều dày (t) không nhỏ hơn chiều dày bản thành và chiều rộng toàn bộ phải không nhỏ hơn trị số tính theo công thức sau đây:

Trong đó:
d0 : Chiều cao tiết diện sống (m). Nếu sống là dạng bẻ mép thì d0 là độ cao từ mặt trong của tấm mép kèm đến mặt trong của bản mép.
l : Khoảng cách giữa các đế tựa của sống (m). Tuy nhiên, nếu có các mũ chống vặn thì mã có thể được coi như đế tựa.
5. Sống ngang phải được gia cường thích đáng thỏa mãn các qui định từ (a) đến (c) dưới đây:
(a) Chiều cao của nẹp dạng thanh gắn với sống ngang phải không nhỏ hơn 0,08 d0. Tuy nhiên, nếu đặt nẹp trên suốt chiều cao tiết diện của sống, thì d0 được lấy bằng chiều cao tiết diện sống ngang; nếu nẹp được đặt từ đỉnh của chiếc xà dọc xuyên qua sống ngang đến bản mép của sống, thì d0 được giảm đến bằng chiều cao tiết diện của xà dọc; nếu nẹp được đặt song song với bản mép thì d0 phải được lấy bằng khoảng cách giữa các mã chống vặn;
(b) Phải đặt các mã chống vặn trên bản thành của sống ngang, tại mép trong của các mã mút và tại phần giao nhau với thanh giằng cũng như tại những vùng khác để gia cường hữu hiệu cho sống ngang. Nếu chiều rộng của bản mép vượt quá 180 mi-li-mét ở cả hai bên của bản thành thì phải đặt các mã chống vặn sao cho đỡ được bản mép.
(c) Các mã chân sống ngang của vách dọc, của mạn và bản thành của sống trong vùng lân cận mép mã phải có nẹp gia cường đặt ở khoảng cách gần nhau.
(6) Kết cấu và kích thước của sống ngang phải thỏa mãn các yêu cầu sau đây:
(a) Các kí hiệu được dùng ở (6) như sau:
Q = Shl0
Trong đó:
h : Khoảng cách từ điểm giữa của l0 đến điểm H2 nằm phía trên mặt tôn giữa đáy (m).
hs : Khoảng cách từ điểm giữa của bs đến điểm H2 nằm phía trên mặt tôn giữa đáy (m).
H2 = d + 0,038L (m)
l0 : Chiều dài toàn bộ của sống ngang mạn (m), được lấy bằng khoảng cách từ mặt trên của bản mép của sống ngang đáy đến mặt dưới bản mép của sống ngang boong (Xem Hình 2- A/28.1)
S : Khoảng cách các sống ngang (m).
S1 : Khoảng cách của các nẹp đặt theo chiều cao tàu ở bản thành của sống ngang tại vị trí liên kết với thanh giằng (m).
k : Hệ số vật liệu, được lấy như sau:
| k = 1,0 | đối với thép thường (MS) |
| k = 0,78 | đối với thép có độ bền cao HT32 hoặc thép có độ bền tương đương |
| k = 0,72 | đối với thép có độ bền cao HT36 hoặc thép có độ bền tương đương |
K : Hệ số điều chỉnh đối với các mã, được xác định theo công thức sau:

b1, b2 : Chiều dài cạnh mã (m) tại chân các sống dọc và ngang tương ứng (m).
b : Chiều dài cạnh của các mã chân (Xem Hình 2-A/28.1).
bs : Chiều rộng của vùng được thanh giằng đỡ (m) (Xem Hình 2-A/28.1).
a : Chiều cao lỗ khoét nhỏ ở gần mép trong của mã thấp nhất (m).
Tuy nhiên, nếu lỗ khoét nhỏ có tấm đệm thì a có thể lấy bằng 0.
A : Diện tích tiết diện hữu hiệu chịu lực dọc từ thanh giằng (cm2), lấy trị số lớn hơn trong các trị số sau:
(i) Nếu bản mép của thanh giằng kéo liên tục đến bản mép của sống ngang theo dạng cong lượn hoặc tương tự thì A là tổng diện tích tiết diện của bản thành sống ngang ở vùng nằm giữa tiếp điểm của đường tiếp tuyến với cung lượn hoặc đường cong tương tự làm thành góc 45° với hướng của thanh giằng, cộng với diện tích tiết diện của nẹp gia cường bản thành sống ngang đặt theo hướng thanh giằng ở khoảng giữa các tiếp điểm và 0,5 lần diện tích bản mép sống ngang tại các điểm đó (Xem Hình 2-A/28.2 (a)).
(ii) Nếu bản mép của thanh giằng được kéo liên tục đến bản mép của sống ngang theo dạng đường thẳng có góc lượn, thì A là tổng diện tích tiết diện của bản thành sống ngang ở vùng nằm giữa các trung điểm của những đoạn giao nhau tạo bởi các đường kéo dài của mặt trong của bản mép thanh giằng và bản mép sống ngang với đường thẳng làm thành góc 45° với hướng của thanh giằng tiếp xúc với mặt trong bản mép tại phần chuyển tiếp, cộng với diện tích tiết diện nẹp gia cường bản thành sống ngang đặt theo hướng thanh giằng giữa các trung điểm nói trên và 0,5 lần diện tích bản mép sống ngang tại các trung điểm đó (Xem Hình 2-A/28.2 (b)).
(iii) Nếu bản mép của thanh giằng nối trực tiếp với bản mép của sống ngang theo góc vuông hay gần vuông và cả hai bản mép được gắn mã, thêm vào đó, các nẹp được gắn lên bản thành sống ngang trên đường kéo dài của bản mép thanh giằng, thì A là tổng diện tích tiết diện của bản thành sống ngang ở vùng nằm giữa trung điểm của những đoạn giao nhau tạo bởi các đường kéo dài của mặt trong bản mép thanh giằng và bản mép sống ngang với đường thẳng làm thành góc 45° với hướng của thanh giằng tiếp xúc với mép tự do của mã, cộng với diện tích tiết diện nẹp đặt ở vị trí nói trên (Xem Hình 2-A/28.2 (c)).
(b) Chiều cao tiết diện của sống ngang phải không được nhỏ hơn C0l0 (m) tại trung điểm của l0. Nếu sống ngang có dạng thon đầu thì lượng khấu trừ ở mút trên cho chiều cao tiết diện không được vượt quá 10% so với chiều cao tiết diện tại trung điểm của l0, và tỉ lệ tăng chiều cao ở mút dưới không được nhỏ hơn trị số khấu trừ đối với mút trên.
(c) Chiều dày bản thành sống ngang (t) tại mép trong của mã ở những mút dưới không được nhỏ hơn trị số xác định theo công thức sau:

(d) Chiều dày bản thành sống ngang tại vùng liên kết với thanh giằng không được nhỏ hơn trị số tính theo công thức sau đây. Nếu bản thành có các lỗ khoét nhỏ trong vùng liên kết với thanh giằng thì các lỗ khoét đó phải được bồi thường thích đáng bằng tấm đệm.

(e) Mô đun chống uốn tiết diện sống ngang tại nhịp không được nhỏ hơn trị số tính theo công thức sau:
Z = C2k2 k Q l0 (cm3)
Bảng 2-A/28.1 Các hệ số C0, C1, C2, và C2'
| Số lượng thanh giằng | C0 | C1 | C2 | C2' |
| 0 | 0,150 | 55,70 | 5,07 | 7,14 |
| 1 | 0,110 | 44,80 | 2,70 | 4,42 |
| 2 | 0,100 | 39,40 | 2,28 | 3,74 |
| 3 | 0,095 | 36,20 | 2,12 | 3,49 |

Hình 2-A/28.1 Đo l0, d0', b, bs, v.v…
|
|
|
|
| (a) | (b) | (c) |
Hình 2-A/28.2 Cách xác định diện tích tiết diện tổng cộng A
(7) Kích thước các sống đứng của vách dọc phải không được nhỏ hơn trị số xác định theo các qui định từ (b) đến (e) ở (6) nói trên. Đối với các sống không có thanh giằng thì h là khoảng cách từ trung điểm của l0 đến đỉnh miệng khoang.
(8) Kích thước của đà ngang đáy phải thỏa mãn các yêu cầu sau đây:
(a) Độ cứng của đà ngang đáy phải tương đương với độ cứng của đà ngang mạn.
(b) Mô đun chống uốn tiết diện (Z) của đà ngang tại nhịp không được nhỏ hơn trị số tính theo công thức sau:
Z = 9,3K2 k S h1 l2 (cm3)
Trong đó:
k, K và S: Như qui định ở (6) nói trên.
h1 : Được tính theo công thức sau:
h1 = d + 0,026 L
l : Chiều dài toàn bộ của đà ngang đáy (m) được lấy bằng khoảng cách giữa mặt trong của bản mép đà ngang đáy và mặt trong của bản mép sống đứng của vách dọc.
(c) Mô đun chống uốn tiết diện (Z) của đà ngang đáy ở hông và chân vách dọc phải không nhỏ hơn trị số tính theo công thức sau đây. Khi tính mô đun chống uốn tiết diện, trục trung hòa của tiết diện được coi là ở giữa của chiều cao đà ngang d0 (Xem Hình 2-A/28.1).
Z = C2' k Q l0 (cm3)
Trong đó:
k, Q và l0 : Như qui định ở (6) trên.
C2' : Hệ số cho ở Bảng 2-A/28.1, phù hợp với số lượng thanh giằng.
(9) Kích thước của xà ngang boong phải thỏa mãn các qui định sau đây:
(a) Độ cứng của xà ngang boong phải tương đương độ bền của sườn mạn.
(b) Mô đun chống uốn tiết diện của xà ngang boong tại nhịp phải không nhỏ hơn trị số tính theo công thức sau:

Trong đó:
k, K và S : Như qui định ở (6) trên.
l0 : Chiều dài toàn bộ của xà ngang boong (m), được lấy bằng khoảng cách từ mặt trong của bản mép của sườn đến mặt trong bản mép của sống đứng vách dọc.
(10) Chiều dày bản thành của xà ngang boong phải không nhỏ hơn trị số tính theo công thức ở 27.6.5-3.
(11) Nếu sườn mạn và sống đứng vách dọc được liên kết với thanh giằng thì thanh giằng phải thỏa mãn những yêu cầu sau đây:
(a) Kết cấu của thanh giằng phải thỏa mãn yêu cầu sau:
(i) Phải đặt mã ở chân của thanh giằng để liên kết thanh giằng với sườn và sống đứng.
(ii) Nếu chiều rộng bản mép của thanh giằng vượt quá 150 mi-li-mét về một bên của bản thành thì phải đặt nẹp ở vùng thích hợp để đỡ bản mép.
(b) Kích thước của thanh giằng phải phù hợp với các qui định ở 27.6.8.
3. Kết cấu và kích thước cơ cấu của vách phải phù hợp với các yêu cầu ở 27.2 và 27.4. Tuy nhiên, khi áp dụng các yêu cầu của 27.4, h1, h2, và h3 phải được lấy phù hợp với các qui định áp dụng cho vách két sâu.
4. Chiều dày của tôn vách dọc kín nước tại phần dưới của khoang quặng phải được tăng thích đáng theo sự tương quan với chiều dày của tôn đáy trên.
5. Chiều dày tôn vách dọc kín nước phải thỏa mãn các yêu cầu ở 13.3.2, 13.3.3 và 13.4.
28.1.6. Vách ngang ở khoang quặng
1. Kích thước các cơ cấu của vách ngang ở khoang quặng phải theo các yêu cầu ở 12.2. Tuy nhiên, khi áp dụng các yêu cầu này, h trong công thức phải được thay thế bằng 0,72 h'. Trong đó h' tính theo qui định sau đây
| (a) Tôn vách | Khoảng cách thẳng đứng (m) từ cạnh dưới của tấm tôn vách đến boong trên, đo ở đường tâm tàu. |
| (b) Nẹp | Khoảng cách thẳng đứng (m) từ trung điểm của l đối với nẹp đứng, và từ trung điểm của S đối với nẹp nằm đến boong trên đo ở đường tâm tàu. Tuy nhiên, nếu khoảng cách đó nhỏ hơn 6 mét thì h' được lấy ít nhất là bằng 1,2 mét cộng với 0,8 khoảng cách đó, S và l theo qui định ở 12.2.3. |
| (c) Sống | Khoảng cách thẳng đứng từ trung điểm của l đối với sống đứng hoặc từ trung điểm của S đối với sống nằm, đến boong trên đo ở đường tâm tàu. Tuy nhiên, nếu khoảng cách đó nhỏ hơn 6 mét thì h' được lấy bằng 1,2 mét cộng với 0,8 khoảng cách đó, l và S được qui định ở 12.2.5. |
2. Mặc dù những qui định ở -1, chiều dày tôn vách ngang phải không nhỏ hơn 7 mi-li-mét.
3. Chiều dày của dải tôn dưới cùng của vách phải được tăng theo chiều dày của tôn đáy trên.
28.1.7. Biến dạng tương đối của khoang mạn
Với những khoang mạn mà trị số Rd tính theo công thức sau đây lớn hơn 0,18 thì phải đặc biệt quan tâm đến kết cấu của khoang mạn:

Trong đó:
h : Khoảng cách thẳng đứng từ mặt tôn đáy trên đến boong trên đo ở đường tâm tàu (m).
l : Chiều dài của một khoang quặng (m).
a : 1/2 chiều rộng của khoang hàng (m).
b : Chiều rộng của két mạn (m).
nb, ns và nt : Tương ứng là số lượng vách ngang, vách chặn và khung ngang trong két mạn đặt ở phạm vi.
Với các vách ở mút mũi và mút đuôi, l tương ứng được tính bằng 1/2.
hs và ht : Trị số cho ở Bảng 2-A/28.2 phù hợp với tỉ số khoét. Với các trị số trung gian của tỉ số khoét, hs và ht được tính theo phép nội suy tuyến tính.
Kb, Ks và Kt : Được tính theo công thức sau:

t : Chiều dày trung bình của tôn vách ngang trong két mạn (mm) khi tính Kb
Chiều dày trung bình của tôn vách chặn trong két mạn (mm) khi tính Ks
Chiều dày trung bình của khung ngang trong két mạn khi tính Kt
a : Trị số tính theo công thức sau đây, nếu vách ngang hoặc vách chặn trong két ngang có dạng sóng, ứng với sóng đứng hoặc sóng ngang.

Trong đó:
lath : Chiều dài sống vách theo phương ngang tàu, m
ldep : Chiều dài sống vách theo phương thẳng đứng, m.
Với trường hợp khác với trường hợp trên, trị số a được lấy bằng 1,0.
Bảng 2-A/28.2 Hệ số hs và ht
| Tỉ lệ khoét (%) | 0 | 5 | 10 | 20 | 30 | 40 | 50 | 60 | 70 |
| hs và ht | 1,00 | 0,95 | 0,80 | 0,55 | 0,35 | 0,23 | 0,15 | 0,10 | 0,06 |
28.1.8. Tiêu nước ở khoang quặng
1. Ở mỗi bên mạn tàu phần sau của mỗi khoang quặng phải có lỗ hút nước hông. Ở những tàu chỉ có một khoang quặng nếu chiều dài của khoang quặng lớn hơn 66 mét thì phải có thêm một lỗ hút hông bổ sung đặt ở vị trí thích hợp ở nửa trước của chiều dài khoang.
2. Hố tụ phải được đặt ở vị trí thích hợp sao cho bảo vệ được tấm nắp khỏi sự va chạm trực tiếp của quặng và phải có hộp lưới hoặc một phương tiện thích hợp khác để cho miệng hút không bị kẹt bụi quặng v.v...
3. Nếu đường ống dẫn nước hông qua đáy đôi, két mạn hoặc khoang trống thì ở miệng ống phải có van một chiều hoặc van chặn có thể đóng được từ một vị trí dễ tiếp cận.
4. Đường ống hút nước hông phải có đường kính trong tính theo công thức ở 13.5.3-1 Phần 3, lấy B là chiều rộng trung bình của khoang quặng.
28.1.9. Tàu quặng/dầu
1. Những tàu chở quặng dùng để chở dầu ở khoang quặng và/hoặc khoang mạn (Từ sau đây được gọi là "Tàu quặng/dầu") phải thỏa mãn các yêu cầu tương ứng của Chương 27 cùng với các yêu cầu của Chương này.
2. Thêm vào các yêu cầu của Chương này, Đăng kiểm có thể đưa thêm những yêu cầu đặc biệt, cần thiết cho các tàu quặng/dầu.
28.1.10. Két lắng ở tàu quặng/dầu
1. Phải đặt ngăn cách li giữa két lắng và buồng máy theo yêu cầu ở 27.1.2-2. Thêm vào đó, ngăn cách li phải được đặt giữa két lắng và khoang quặng, trừ khi két lắng được làm sạch và tẩy khí bất kỳ lúc nào trước khi nhận hàng quặng.
2. Các ngăn cách li qui định ở -1 có thể được chứa nước trừ khi nó được đồng thời dùng làm buồng bơm, làm két dầu đốt hoặc két nước dằn, hoặc két dầu hàng (chỉ trong trường hợp là ngăn cách li giữa két lắng và khoang quặng).
3. Không gian quanh két lắng phải được thông gió đầy đủ.
4. Phải đặt bảng thông báo ở chỗ thích hợp ghi rõ những điều kiện bắt buộc phải tuân thủ trước khi nhận hoặc trả hàng hoặc trong thời gian chở quặng cùng với nước lẫn dầu trong két lắng.
5. Nên dùng hệ thống khí trơ cho két lắng.
CHƯƠNG 29 TÀU HÀNG RỜI
29.1. Qui định chung
29.1.1. Phạm vi áp dụng
1. Kết cấu và trang thiết bị của những tàu được thiết kế để đăng ký là "Tàu hàng rời" phải theo những yêu cầu của Chương này hoặc các yêu cầu tương đương.
2. Ngoài những yêu cầu đặc biệt của Chương này thì các yêu cầu chung về kết cấu và trang thiết bị của tàu thép phải được áp dụng cho tàu hàng rời.
3. Những yêu cầu của Chương này được áp dụng đối với kết cấu của những tàu có hình dạng thông thường, có một boong, buồng máy ở đuôi tàu, có két hông, két đỉnh mạn, có đáy đôi ở dưới khoang hàng.
4. Những tàu có kết cấu khác với qui định nói trên và những tàu mà những yêu cầu của Chương này không thể áp dụng được, phải thỏa mãn yêu cầu của Đăng kiểm.
29.1.2. Các bản vẽ và các hồ sơ để trình duyệt
1. Các bản vẽ và các hồ sơ để trình duyệt phải nêu rõ loại hàng và/hoặc nước dằn, dung tích chứa, mức chất lỏng v.v..., ở mỗi khoang được sử dụng.
2. Nếu dùng phương pháp tính toán trực tiếp độ bền theo qui định ở 29.1.3 thì phải trình duyệt các tài liệu cần thiết cho tính toán.
29.1.3. Tính toán trực tiếp
Theo thỏa thuận với Đăng kiểm, kích thước của kết cấu có thể được xác định bằng phương pháp tính toán trực tiếp. Nếu kích thước các cơ cấu tính được bằng phương pháp tính toán trực tiếp lớn hơn các kích thước yêu cầu của Chương này thì các kích thước tính toán trực tiếp phải được sử dụng.
29.1.4. Chiều dày tối thiểu
1. Chiều dày của tôn đáy trên, của tôn vách, của đà ngang tấm, của sống và của các mã trong đáy đôi, két hông, két đỉnh mạn, khoang hàng, v.v... phải không được nhỏ hơn trị số cho ở Bảng 2-A/29.1 tùy thuộc chiều dài của tàu.
Bảng 2-A/29.1 Chiều dày tối thiểu của các cơ cấu trong các két
| L (m) | ³ |
| 105 | 120 | 135 | 150 | 165 | 180 | 195 | 225 | 275 |
| < | 105 | 120 | 135 | 150 | 165 | 180 | 195 | 225 | 275 |
| |
| Chiều dày tối thiểu (mm) | 8,0 | 8,5 | 9,0 | 9,5 | 10,0 | 10,5 | 11,0 | 11,5 | 12,0 | 12,5 | |
2. Chiều dày bản thành và mã mút trên (t) của sườn khoang phải không nhỏ hơn trị số tính theo công thức sau đây. Chiều dày của mã mút dưới của sườn khoang ít nhất phải lớn hơn trị số tính theo công thức này 2 mi-li-mét.
t = C(0,03 L1 + 0,7,0) (mm)
Trong đó:
L1 : Chiều dài của tàu qui định ở 1.2.16 Phần 1-A của TCVN 6259-1:2003 hoặc 0,97 lần chiều dài tàu đo trên đường nước chở hàng thiết kế cực đại, lấy trị số nào nhỏ hơn (m).Tuy nhiên, nếu L1 lớn hơn 200 mét thì L1 phải được lấy bằng 200 mét.
C: hệ số được lấy bằng:
(1) 1,15 đối với tấm thành của sườn khoang trong hầm gần mũi nhất;
(2) 1,00 đối với tấm thành của sườn khoang trong hầm khác.
3. Đối với tàu hàng rời có mạn đơn, chiều dày của tấm vỏ ở giữa két đỉnh mạn và két hông không được nhỏ hơn trị số tính theo công thức:

Trong đó L1 như qui định ở -2.
29.1.5. Kiểu tàu và những qui định phù hợp
1. Các tàu có chiều dài L1 ³ 150 m áp dụng những qui định của Chương này là những tàu được ấn định theo một trong những kiểu sau đây. L1 Liên quan đến tới những qui định trong Chương này, là chiều dài tàu được định nghĩa ở 1.2.16 ở Phần 1-A hoặc 97% chiều dài tàu theo đường nước chở hàng thiết kế lớn nhất, chọn trị số nào nhỏ hơn, m.
(1) Các tàu kiểu BC-A: là các tàu chở hàng rời được thiết kế để chở hàng rời có tỷ trọng hàng được định nghĩa ở 29.10.1 (sau đây gọi là "tỷ trọng hàng rời") bằng 1.0 t/m3 và lớn hơn trong trạng thái mà các hầm hàng rỗng đã xác định ở chiều chìm chở hàng thiết kế lớn nhất (sau đây gọi là "trạng thái tải trọng hàng xen kẽ") và với tất cả các két dằn trống.
(2) Các tàu kiểu BC-B: là các tàu chở hàng rời được thiết kế để chở hàng có tỷ trọng hàng rời bằng 1.0 t/m3 và lớn hơn trong trạng thái hàng đồng nhất tại đường nước chở hàng thiết kế lớn nhất và với tất cả các két dằn trống.
(3) Các tàu kiểu BC-C: là các tàu chở hàng rời được thiết kế để chở hàng có tỷ trọng hàng rời nhỏ hơn 1.0 t/m3 trong trạng thái hàng đồng nhất tại đường nước chở hàng thiết kế lớn nhất và với tất cả các két dằn trống.
2. Các tàu có chiều dài L1 nhỏ hơn 150 m do Đăng kiểm xem xét riêng.
29.1.6. Thể tích của các két dằn
1. Tàu phải có các két dằn có thể tích đủ và được bố trí sao cho đáp ứng tối thiểu các trạng thái dằn qui định ở (1) và (2):
(1) Trạng thái dằn bình thường là trạng thái dằn (không hàng) với bất kỳ hầm hàng nào hoặc các hầm hàng trống được chấp nhận để chở nước dằn ở biển và khi:
a) Chân vịt ngập hết, và
b) Độ chúi phải theo sống đuôi và không vượt quá 0,015 L1.
(2) Trạng thái dằn nặng là trạng thái dằn (không hàng) khi:
a) Chân vịt ngập đến mức mà khoảng cách từ tâm chân vịt đến đường nước bằng và lớn hơn 60% đường kính chân vịt.
b) Độ chúi phải theo sống đuôi và không vượt quá 0,015 L1, và
c) Chiều chìm mũi lý thuyết không nhỏ hơn trị số nhỏ hơn trong hai trị số sau: 0.03 L1 hoặc 8 mét.
2. Tàu trong các trạng thái dằn qui định ở -1(1) và (2) nói trên, phải thỏa mãn các qui định về kết cấu và độ bền của đáy mũi nêu ở 4.8 và 14.4.4, độ bền dọc nêu ở Chương 13 và ổn định nguyên vẹn ở Phần 10.
3. Nếu bất kỳ két dằn nào hoặc các két (ngoại trừ hầm hàng hoặc các hầm được chấp nhận để chứa nước dằn ở biển trong trạng thái dằn bình thường nêu ở -1(1)) để trống trong các trạng thái dằn nói ở -1, Các tàu trong trạng thái mà tất cả các két dằn đầy 100 % phải thỏa mãn các yêu cầu về độ bền dọc qui định ở Chương 13.
29.2. Đáy đôi
29.2.1. Qui định chung
1. Ngoài những qui định ở 29.2, phải áp dụng những qui định của Chương 4.
2. Kích thước các cơ cấu của đáy đôi dùng làm két sâu phải thỏa mãn các yêu cầu ở Chương 12. Tuy nhiên, chiều dày của tôn đáy trên không cần phải tăng 1 mi-li-mét như qui định của 12.2.7 cho tôn nóc của két sâu.
3. Trong Chương này, tỷ trọng riêng của hàng hóa gD, gFull, gH, gHD và gB được định nghĩa theo công thức sau đây:

Trong đó:
MD : Khối lượng hàng lớn nhất đối với mỗi hầm hàng (tấn)
MFull : Khối lượng hàng trong hầm hàng phù hợp với hàng mà tỷ trọng thực (khối lượng đồng nhất/thể tích của hầm bao gồm cả thành miệng hầm, tối thiểu bằng 1,0 t/m3) đầy đến đỉnh của thành miệng hầm hàng (tấn). Trong mọi trường hợp MFull không được nhỏ hơn MH
MH : Khối lượng hàng trong hầm phù hợp với trạng thái hàng đồng nhất tại đường nước chở hàng thiết kế lớn nhất (tấn).
MHD : Khối lượng hàng lớn nhất cho phép chở trong hầm phù hợp với trạng thái tải trọng hàng xen kẽ (tấn).
MB : Khối lượng nước dằn lớn nhất đối với hầm hàng trong trạng thái chứa nước dằn trong hầm hàng (sau đây gọi là trạng thái dằn hầm hàng), nếu có (tấn).
V : Thể tích của hầm hàng bao gồm cả thành miệng hầm (m3).
4. Hệ số k qui định ở 29.2 được tính theo công thức sau đây. Tuy nhiên, nếu góc b (xem Hình 2-A/29.1) giữa vách nghiêng két hông và mặt phẳng nằm ngang là quá lớn thì trị số k phải được sự thỏa thuận của Đăng kiểm.

Trong đó: (xem Hình 2-A/29.1)
lH : Chiều dài của khoang (m). Nếu vách ngang có các thanh ốp thì lH có thể được lấy bằng khoảng cách giữa các đỉnh của thanh ốp đó.
l : Tổng chiều dài bao quanh theo tôn vách nghiêng, tôn bao và sống phụ tạo thành két hông (m).
e : Chiều rộng của két hông (m).
d1 : Khoảng cách từ mặt tôn giữa đáy đến đỉnh của két hông đo ở mạn (m).
d0 : Chiều cao tiết diện sống chính (m).

29.2.2. Sống chính và sống phụ
1. Sống phụ phải được đặt ở đầu két hông. Ngoài ra, các sống phụ phải được đặt trong khoảng cách giữa sống chính và sống phụ đầu két hông theo khoảng cách (S) không lớn hơn trị số tính theo công thức sau đây. Tuy nhiên, nếu khoảng cách đó lớn hơn 4,6 mét thì phải được lấy bằng 4,6 mét.
| S = 5,7 - 1,6gD | (m) : | Đối với các khoang chứa hàng |
| S = 3,5 | (m) : | Đối với các khoang trống khi tàu đủ tải |
Trong đó:
gD : Được định nghĩa như ở 29.2.1-3.
2. Trừ trường hợp được Đăng kiểm chấp nhận đặc biệt, chiều cao tiết diện sống chính phải không nhỏ hơn trị số tính theo công thức sau đây. Tuy nhiên, trong mọi trường hợp, chiều cao đó phải không nhỏ hơn B/20.

Trong đó:
LH :Tổng chiều dài của các khoang hàng trừ buồng bơm và ngăn cách ly (m).
m : Số lượng khoang trong vùng hàng hóa.
3. Chiều dày của tấm sống chính và tấm sống phụ phải không nhỏ hơn trị số tính theo các yêu cầu ở (1) và (2) sau đây, lấy trị số nào lớn hơn:
(1) Chiều dày tính theo công thức sau đây tùy thuộc vị trí trong khoang:

Trong đó:
S : Khoảng cách các tâm của hai vùng từ sống chính hoặc sống phụ đang xét đến các sống dọc lân cận (m).
d0 : Chiều cao tiết diện sống chính hoặc sống phụ đang xét (m)
d1 : Chiều cao của lỗ khoét tại vị trí đang xét (m).
lH : Chiều dài định nghĩa ở 29.2.1-4.
x : Khoảng cách dọc từ trung điểm của lH của mỗi khoang đến điểm đang xét (m). Tuy nhiên, nếu x nhỏ hơn 0,2lH, thì nó được lấy bằng 0,2lH, nếu x lớn hơn 0,45lH thì nó được lấy bằng 0,45lH.
y : Khoảng cách theo phương ngang từ đường tâm tàu đến sống dọc (m).
C1 : Hệ số tính theo công thức: nab
n,a : Hệ số được đưa ra trong Bảng 2-A/29.2, trong đó nếu B/IH vượt quá 1,8 thì lấy B/IH bằng 1,8 và nếu B/IH nhỏ hơn 0,5 thì lấy B/IH bằng 0,5. Đối với các trạng thái tải trọng đặc biệt khác với các trạng thái nêu trong Bảng 2-A/29.2, hệ số này do Đăng kiểm qui định.
| No | Trạng thái | n | a |
| 1 | Trạng thái tải trọng đồng nhất |
|
|
| 2 | Trạng thái tải trọng hầm vơi |
|
|
| 3 | Trạng thái dằn |
|
|
| 41 | Trạng thái bốc/xếp hàng ở nhiều cảng |
|
|
| Tải trọng hầm tại đường nước giả định bằng 67% d | |||
| Hầm rỗng tại chiều chìm giả định bằng 83% d | |||
| 52 | Trạng thái tải trọng xen kẽ | 1,0 |
|
| Hầm có tải trọng | |||
| Hầm rỗng |
| ||
| 63 | Trạng thái dằn hầm hàng |
|
|
| Hầm được chấp nhận để chứa nước dằn | |||
| Các hầm hàng khác |
| ||
| 7 | Trạng thái bốc/xếp hàng (chiều chìm giả định bằng 67% d) |
|
|
Trong đó:
h : Khoảng cách thẳng đứng từ mặt đáy trên đến boong trên đo ở đường tâm tàu (m).
g : Như qui định ở 29.2.1-3.
L' : Chiều dài của tàu (m). Tuy nhiên, nếu L' lớn hơn 230 mét thì L' được lấy bằng 230 mét.
gD, gFull, gH, gHD và gB: Như qui định ở 29.2.1-3.
a: Tỷ lệ tải trọng khác biệt giữa tải trọng hàng trên mỗi đơn vị diện tích lên đáy đôi của hầm bên cạnh và áp lực nước đáy tàu bao gồm cả áp lực bổ sung của sóng biến thiên (áp lực phù hợp với chiều cao sóng lấy bằng 0,026 L', tuy nhiên giá trị này có thể lấy bằng 0 đối với trạng thái ở cảng) đối với tải trọng tương tự khác của hầm đang xét. Trị số lớn nhất của tỷ lệ này trong giới hạn dự tính của áp lực nước đáy tàu được tính đến. Trong mọi trường hợp trị số này không được lấy nhỏ hơn -1,0 và lớn hơn 1,0.
dact : Chiều chìm thực phù hợp với trạng thái tải trọng qui định ở Bảng 2-A/29.2 (m).
Ghi chú:
1: Các trạng thái này không cần áp dụng đối với những tàu không thiết kế cho trạng thái bốc/ xếp hàng ở nhiều cảng
2: Các trạng thái này không cần áp dụng cho những tàu khác với kiểu tàu BC-A
3: Các trạng thái này không cần áp dụng đối với những tàu không thiết kế cho trạng thái dằn hầm hàng
4: Trị số a, trong mọi trường hợp không được lấy nhỏ hơn: 
b : Trị số cho ở Bảng 2-A/29.3, tùy thuộc vào k và B/lH qui định ở 29.2.1-4. Với các trị số trung gian của k thì b được tính theo phép nội suy tuyến tính.
Bảng 2-A/29.3 Hệ số b

(2) Chiều dày (t) tính theo công thức sau đây:
t = C1' d0 + 2,5 (mm)
Trong đó:
d0 : Chiều cao tiết diện sống tại điểm đang xét (m). Tuy nhiên, nếu sống được gắn nẹp nằm thì d0 là khoảng cách từ nẹp nằm đến tôn bao đáy hoặc đến tôn đáy trên hoặc là khoảng cách giữa các nẹp nằm (m).
C1': Hệ số cho ở Bảng 2-A/29.4 tùy thuộc S1/d0. Với các trị số trung gian của S1/d0 thì C1' được tính theo phép nội suy tuyến tính.
S1 : Khoảng cách các mã hoặc các nẹp đặt ở sống chính hoặc sống phụ đang xét (m).
Bảng 2-A/29.4 Hệ số C1'
| S1/d0 | £ 0,3 | 0,4 | 0,5 | 0,6 | 0,7 | 0,8 | 0,9 | 1,0 | 1,2 | 1,4 | ³ 1,6 | |
| C1' | Sống chính | 4,4 | 5,4 | 6,3 | 7,1 | 7,7 | 8,2 | 8,6 | 8,9 | 9,3 | 9,6 | 9,7 |
| Sống phụ | 3,6 | 4,4 | 5,1 | 5,8 | 6,3 | 6,7 | 7,0 | 7,3 | 7,6 | 7,9 | 8,0 | |
4. Nếu có đoạn sống phụ trong gian có chiều dày thích đáng được đặt giữa các vách ngang hoặc chân thanh ốp ở dưới vách ngang và đà ngang đặc đặt ở vị trí cách mút của lH một khoảng bằng hoặc lớn hơn 0,2 lH thì có thể cộng thêm vào chiều dày của các sống kề cận 35% chiều dày của mỗi sống phụ trung gian. Nếu có thanh ốp ở dưới vách ngang thì phải có sống phụ đặt ở dưới thanh ốp để cân bằng với đoạn sống phụ trung gian đó.
5. Nếu tàu có sống hộp thì chiều rộng của sống hộp phải không lớn hơn 1,8 mét. Phải quan tâm đến sự liên tục về độ bền của các đà ngang đặc, của các nẹp của tôn bao đáy và tôn đáy trên trong phạm vi sống hộp đó.
6. Nếu khoảng cách từ mặt tôn đáy trên đến đỉnh ống tràn lớn hơn 15 mét thì phải đặt các mã ở cả hai mút của các nẹp đứng gia cường cho các sống phụ kín nước. Các mã đó phải được liên kết với các dầm dọc của đáy trên và đáy dưới.
29.2.3. Đà ngang đặc
1. Các đà ngang đặc phải được đặt cách nhau không lớn hơn trị số (S) tính theo các công thức sau đây. Tuy nhiên, khoảng cách đó phải không lớn hơn 3,65 mét dù rằng trị số tính được lớn hơn 3,65 mét, và có thể được lấy bằng 2,5 mét nếu trị số tính được nhỏ hơn 2,5 mét. Đà ngang đặc phải được đặt dưới chân của tấm dốc của thanh ốp dưới vách ngang.

Trong đó :
gD : Như qui định ở 29.2.1-3.
2. Chiều dày của đà ngang đặc phải không nhỏ hơn trị số tính theo các yêu cầu (1) và (2) sau đây, lấy trị số nào lớn hơn.
(1) Chiều dày của đà ngang đặc (t) tính theo công thức sau đây phụ thuộc vào vị trí trong khoang:

Trong đó:
S : Khoảng cách giữa các đà ngang đặc (m).
B': Khoảng cách giữa hai đường chân của két hông đo ở mặt tôn đáy trên ở phần giữa tàu (m).
B": Khoảng cách giữa hai đường chân của két hông đo ở mặt tôn đáy trên tại vị trí đà ngang đặc đang xét (m).
lH : Chiều dài định nghĩa ở 29.2.1-4.
y : Khoảng cách ngang từ đường tâm tàu đến điểm đang xét ở vị trí của đà ngang đặc đang xét (m). Tuy nhiên, nếu y nhỏ hơn B"/4 thì nó được lấy bằng B"/4, nếu y lớn hơn B"/2 thì nó được lấy bằng B"/2.
x : Khoảng cách dọc từ trung điểm của lH, của khoang tương ứng đến đà ngang đặc đang xét (m).
d0 : Chiều cao tiết diện đà ngang đặc tại điểm đang xét (m).
d1 : Chiều cao của lỗ khoét tại điểm đang xét (m).
C2 :Hệ số tính theo công thức sau đây. Tuy nhiên, với những khoang kề cận đồng thời được chứa hoặc trống thì trị số tính theo công thức đó phải được nhân với 0,9: ab
a : Hệ số qui định ở 29.2.2-3.
b : Trị số cho ở Bảng 2-A/29.5 phụ thuộc k và B/lH định nghĩa ở 29.2.1-4.
Với các trị số trung gian của k thì trị số của b được tính theo phép nội suy tuyến tính.
Bảng 2-A/29.5 Hệ số b

(2) Chiều dày đà ngang đặc (t) tính theo công thức sau đây phụ thuộc vị trí trong khoang:

Trong đó:
t1 : Chiều dày theo yêu cầu ở (1).
d0 : Chiều cao định nghĩa ở (1).
C2' : Hệ số cho ở Bảng 2-A/29.6 phụ thuộc tỷ số khoảng cách nẹp S1 (m) chia cho d0. Với các trị số trung gian của S1/d0 thì C2' được tính theo phép nội suy tuyến tính.
Bảng 2-A/29.6 Hệ số C2'
| S1/d0 | £ 0,3 | 0,4 | 0,5 | 0,6 | 0,7 | 0,8 | 0,9 | 1,0 | 1,2 | ³ 1,4 |
| S1/d0 | 64 | 38 | 25 | 19 | 15 | 12 | 10 | 9 | 8 | 7 |
H : Trị số tính theo các công thức sau đây:
(a) Nếu ở đà ngang đặc có những lỗ khoét nhỏ không có gia cường thì H được tính theo công thức sau đây. Tuy nhiên, nếu d1/S1 nhỏ hơn 0,5 thì H được lấy bằng 1,0:

Trong đó:
d1 : Chiều cao của lỗ khoét nhỏ không có gia cường ở phần trên hoặc ở phần dưới của đà ngang đặc (m) lấy trị số nào lớn hơn.
(b) Nếu ở đà ngang đặc có những lỗ khoét lớn không có gia cường thì H được tính theo công thức:

Trong đó:
F: Đường kính lớn hơn của các lỗ khoét (m).
(c) Nếu ở đà ngang đặc có những lỗ khoét nhỏ không có gia cường và những lỗ khoét lớn không có gia cường thì H được lấy bằng tích của các trị số tính theo (a) và (b).
(d) Ngoài các trường hợp (a), (b) và (c) thì H được lấy bằng 1,0.
3. Nếu có đoạn đà ngang đặc trung gian có chiều dày thích hợp đặt trong vùng từ sống phụ ngoài cùng đến sống phụ ở cách đó một khoảng không nhỏ hơn 0,2B" thì có thể cộng thêm vào chiều dày của các đà ngang đặc tương ứng kề cận 35% chiều dày của nó. Trong trường hợp này, trong két hông phải đặt các tấm ngang, các sống hoặc mã để cân bằng với đoạn đà ngang đặc trung gian đó.
29.2.4. Tôn đáy trên
1. Chiều dày của tôn đáy trên phải không nhỏ hơn trị số tính theo các công thức sau đây, lấy trị số nào lớn hơn:

Trong đó:
d0 : Chiều cao tiết diện sống chính (m).
S: Khoảng cách giữa các dầm dọc đáy trên (m).
h : Khoảng cách thẳng đứng từ mặt tôn đáy trên đến boong trên đo ở đường tâm tàu (m).
C3' : Hệ số tính theo công thức sau đây. Tuy nhiên, với các khoang kề nhau đồng thời là các khoang chứa hoặc các khoang trống và những khoang rất ngắn thì trị số tính theo công thức này phải được nhân với 1,2:
C3 = ab
a : Như qui định ở 29.2.2-3.
b : Bằng b0 hoặc ab1 tùy thuộc vào trị số của B/lH:
b0 nếu B/lH < 0,8
b0 hoặc ab1, lấy trị số nào lớn hơn, nếu 0,8 £ B/lH < 1,2
ab1 nếu B/lH ³ 1,2
b1 và b0: được cho ở Bảng 2-A/29.7 tùy thuộc trị số của k và B/lH. Tuy nhiên, với các trị số trung gian của k thì b0 và b1 được tính theo phép nội suy tuyến tính.
k và lH : Như qui định ở 29.2.1-4.
a : Được tính theo công thức: 
fB : Tỷ số của mô đun chống uốn của tiết diện ngang thân tàu yêu cầu ở Chương 13 chia cho mô đun chống uốn thực của tiết diện ngang thân tàu lấy với đáy.
Bảng 2-A/29.7 Các hệ số b1 và b0

C3' : Hệ số tính theo các công thức sau đây tùy thuộc vào trị số của
:

l : Khoảng cách giữa các đà ngang đáy (m).
g : Là gD, gFull, hoặc gB như qui định ở 29.2.1-3 áp dụng đối với hầm hàng, chọn trị số nào lớn hơn.
2. Nếu không có ván lát sàn thì chiều dày của tôn đáy trên vùng dưới miệng khoang hàng phải được tăng 2 mi-li- mét so với trị số tính theo công thức thứ hai của -1 hoặc so với chiều dày qui định ở 29.2.1-2, lấy trị số nào lớn hơn, trừ trường hợp qui định ở -3.
3. Ở những tàu mà hàng hóa thường xuyên được bốc xếp bằng gầu ngoạm hoặc bằng các phương tiện cơ giới tương tự, chiều dày của tôn đáy trên phải được tăng 2,5 mi-li-mét so với qui định ở -1 hoặc ở 29.2.1-2, lấy trị số nào lớn hơn, trừ trường hợp có ván lát sàn.
29.2.5. Dầm dọc
1. Mô đun chống uốn của tiết diện dầm dọc đáy phải không nhỏ hơn trị số tính theo công thức sau đây:

Trong đó:
fB : Như qui định ở 29.2.4-1.
C : Hệ số được cho như sau:
| (a) 1,0 | : Nếu không có thanh chống qui định ở 29.2.6 đặt ở giữa các đà ngang đáy. |
| (b) 0,625 | : Nếu có thanh chống qui định ở 29.2.6 đặt ở giữa các đà ngang đáy, ở phần dưới các khoang bị trống khi tàu có đủ tải hoặc ở phần dưới của các két sâu. |
| (c) 0,3g + 2 | : Trong các trường hợp khác. |
Tuy nhiên, C phải không nhỏ hơn 0,5. Và hơn nữa, nếu chiều rộng của nẹp đứng gia cường đà ngang đáy và chiều rộng của thanh chống là đặc biệt lớn thì hệ số C có thể được giảm thích đáng.
g : Là gD, gFull, hoặc gB như qui định ở 29.2.1-3 áp dụng đối với hầm hàng, chọn trị số nào lớn hơn.
l : Khoảng cách giữa các đà ngang đặc (m).
S : Khoảng cách giữa các dầm dọc đáy (m).
L' : Chiều dài tàu (m). Tuy nhiên, nếu L lớn hơn 230 mét thì L' được lấy bằng 230 mét.
2. Mô đun chống uốn của tiết diện dầm dọc đáy trên phải không nhỏ hơn trị số tính theo công thức sau đây. Tuy nhiên, mô đun chống uốn của tiết diện dầm dọc đáy trên phải không nhỏ hơn 0,75 mô đun chống uốn của tiết diện dầm dọc đáy dưới ở cùng vị trí sườn:

Trong đó:
fB : Như qui định ở 29.2.4-1.
C : Hệ số được cho như sau:
(a) g : Nếu không có thanh chống qui định ở 29.2.6 đặt ở giữa các đà ngang đáy. Tuy nhiên, C phải không nhỏ hơn 0,90.
(b) 0,6g : Nếu có thanh chống qui định ở 29.2.6 đặt ở giữa các đà ngang đáy. Tuy nhiên, C phải không nhỏ hơn 0,54. Hơn nữa, nếu chiều rộng của nẹp đứng gia cường đà ngang đáy và chiều rộng của thanh chống là đặc biệt lớn thì hệ số C có thể được giảm thích đáng.
g : Là gD, gFull, hoặc gB như qui định ở 29.2.1-3 áp dụng đối với hầm hàng, chọn trị số nào lớn hơn.
l : Khoảng cách giữa các đà ngang đặc (m).
S : Khoảng cách giữa các dầm dọc đáy trên (m).
29.2.6. Thanh chống thẳng đứng
1. Nếu thanh chống thẳng đứng được đặt thì nó phải là thép cán không phải là thép dẹt hoặc thép mỏ và phải được hàn đè vào bản thành của dầm dọc đáy trên và dầm dọc đáy dưới.
2. Diện tích tiết diện của thanh chống thẳng đứng nói trên phải không nhỏ hơn trị số tính theo công thức sau đây. Nếu đáy đôi có chiều cao lớn thì phải quan tâm thích đáng đến ổn định của thanh chống:
F = 1,8CSbh (cm2)
Trong đó:
S : Khoảng cách giữa các dầm dọc (m).
b : Chiều rộng của diện tích đỡ bởi thanh chống (m).
h : Được tính theo công thức sau đây (m):

Trong mọi trường hợp phải không nhỏ hơn d.
L' : Như qui định ở 29.2.2-3.
hi : Bằng g lần trị số của h qui định ở 29.2.4-1 (m). Tuy nhiên, dưới két sâu, h phải không nhỏ hơn khoảng cách thẳng đứng từ mặt của đáy trên đến trung điểm khoảng cách từ mặt đáy trên đến đỉnh ống tràn hoặc 0,7 khoảng cách thẳng đứng từ mặt đáy trên đến điểm ở 2,0 mét cao hơn đỉnh ống tràn, lấy trị số nào lớn hơn (m).
g : Là gD, gFull, hoặc gB như qui định ở 29.2.1-3 áp dụng đối với hầm hàng, chọn trị số nào lớn hơn.
C : Hệ số tính theo công thức sau đây:

Trong mọi trường hợp hệ số C phải không nhỏ hơn 1,43.
ls : Chiều dài của thanh chống (m)
k : Bán kính quán tính tối thiểu của tiết diện thanh chống thẳng đứng (m), tính theo công thức:

Trong đó:
I : Mô men quán tính tối thiểu của tiết diện thanh chống (cm4).
A : Diện tích tiết diện thanh chống (cm2).
29.2.7. Kết cấu đáy đôi ở dưới thanh ốp dưới của vách ngang
Tôn đáy trên, sống chính, sống phụ và dầm dọc đáy ở dưới thanh ốp dưới của vách ngang phải được liên kết với các cơ cấu của khoang ở ngay trước và sau vách. Đà ngang đáy phải tương đương với đà ngang đáy của khoang.
29.3. Két hông
29.3.1. Qui định chung
1. Các ngăn của két hông phải cố gắng đặt trùng với các ngăn của khoang.
2. Phải quan tâm thích đáng đến sự liên tục về độ bền của kết cấu ở mút trước và mút sau của két hông.
3. Kích thước các cơ cấu của két hông phải theo các yêu cầu của 29.3 và của Chương 12.
29.3.2. Chiều dày của tôn vách nghiêng
1. Chiều dày (t) của tôn vách nghiêng két hông phải không nhỏ hơn trị số tính theo công thức sau đây:

Trong đó:
S : Chiều dài cạnh ngắn của ô tấm tạo bởi các nẹp (m).
h : Khoảng cách thẳng đứng từ cạnh dưới của tấm vách nghiêng đến boong trên đo ở đường tâm tàu (m).
C : Hệ số tính theo công thức sau đây. Tuy nhiên, trong mọi trường hợp C phải không nhỏ hơn 3,2:

C1 :Hệ số tính theo công thức sau đây:

l : Chiều dài cạnh dài của ô tấm tạo bởi các nẹp (m).
C2 :Hệ số tính theo công thức sau đây:

b : Góc của vách nghiêng làm với mặt phẳng nằm ngang như qui định ở 29.2.1-4.
g : Là gD, gFull, hoặc gB như qui định ở 29.2.1-3 áp dụng đối với hầm hàng, chọn trị số nào lớn hơn.
2. Ở những tàu mà hàng hóa thường xuyên được bốc xếp bằng gầu ngoạm hoặc bằng một phương tiện cơ giới tương tự, chiều dày của tôn vách nghiêng phải được tăng như sau so với chiều dày được xác định ở -1 hoặc chiều dày được xác định theo 29.3.1-3, lấy trị số nào lớn hơn:
Tôn vách nghiêng ở dưới miệng khoang: 2,5 (mm)
Tôn vách nghiêng ở những chỗ khác: 1,0 (mm)
3. Nếu vách nghiêng của két hông được gắn nẹp ngang thì chiều dày tôn vách nghiêng phải đủ để không mất ổn định.
29.3.3. Nẹp
1. Mô đun chống uốn tiết diện của nẹp dọc gia cường vách nghiêng phải không nhỏ hơn trị số tính theo công thức sau đây:
Z = CShl2 (cm3)
Trong đó:
S : Khoảng cách giữa các nẹp (m).
h : Khoảng cách thẳng đứng từ nẹp đến boong trên đo ở đường tâm tàu (m).
l : Chiều dài của nẹp dọc giữa các sống ngang (m).
C : Hệ số tính theo công thức sau đây:

a : Hệ số tính theo công thức cho ở Bảng 2-A/29.8, phụ thuộc góc b là góc giữa vách nghiêng và mặt phẳng nằm ngang và g như qui định ở 29.3.2-1.
Bảng 2-A/29.8 Hệ số a
| Góc b | a |
| b £ 40° | 130 g |
| 40° < b < 80° | (214 - 2,1b) g |
| b ³ 80° | 46 g |
fB : Tỷ số mô đun chống uốn của tiết diện ngang thân tàu theo yêu cầu ở Chương 13 chia cho mô đun chống uốn của tiết diện ngang thực của thân tàu lấy với đáy.
y : Khoảng cách thẳng đứng từ trục trung hòa của tiết diện ngang thân tàu đến nẹp dọc đang xét (m).
yB : Khoảng cách thẳng đứng từ trục trung hòa của tiết diện ngang thân tàu đến mặt tôn giữa đáy (m).
2. Mô đun chống uốn của tiết diện nằm ngang gia cường vách nghiêng phải không nhỏ hơn trị số tính theo công thức sau đây:
Z = CShl2 (cm3)
Trong đó:
S : Khoảng cách giữa các nẹp ngang (m).
l : Khoảng cách giữa các đế tựa của nẹp (m).
h : Khoảng cách thẳng đứng từ trung điểm của l đến boong trên đo ở đường tâm tàu (m).
C : Hệ số tính theo công thức cho ở Bảng 2-A/29.9 phụ thuộc b là góc nhọn giữa vách nghiêng và mặt phẳng nằm ngang và qui định ở 29.2.1-3.
Bảng 2-A/29.9 Hệ số C
| Góc b | C |
| b £ 40° | 7,8 g |
| 40° < b < 80° | (12,8 - 0,125b) g |
| b ³ 80° | 2,8 g |
3. Dầm dọc đáy trong két hông phải theo các yêu cầu ở 4.4.3. Dầm dọc mạn phải theo các yêu cầu ở 5.4.1-1, trong mỗi trường hợp, l trong công thức phải được lấy bằng khoảng cách các sống ngang (m). Mô đun chống uốn của tiết diện dầm dọc hông không cần phải lớn hơn mô đun chống uốn của tiết diện dầm dọc đáy.
29.3.4. Sống ngang
1. Trong két hông, sống ngang hoặc tấm ngang phải được đặt theo mỗi đà ngang đặc.
2. Chiều cao tiết diện sống ngang vách nghiêng của két hông phải không nhỏ hơn 1/5 của l qui định ở -3 hoặc không nhỏ hơn 2,5 lần chiều cao của lỗ khoét để dầm dọc xuyên qua, lấy trị số nào lớn hơn.
3. Chiều dày của sống ngang vách nghiêng phải không nhỏ hơn trị số tính theo các công thức sau đây, lấy trị số nào lớn hơn:

Trong đó:
d0: Chiều cao tiết diện sống ngang (m).
a : Chiều cao của lỗ khoét để cơ cấu chui qua (m). Nếu có những tấm đệm đặt ở vùng 0,25 l tính từ mỗi mút của l thì a có thể được thay đổi theo kích thước của tấm đệm, a có thể được lấy bằng 0 ở đoạn 0,5 l tại vùng giữa của l.
S : Chiều rộng của diện tích đỡ bởi sống ngang (m).
h : Khoảng cách thẳng đứng từ trung điểm của l đến boong trên đo ở đường tâm tàu (m).
l : Tổng chiều dài của sống ngang. Nếu sống ngang được liên kết bằng các mã hữu hiệu ở các góc thì l có thể được thay đổi theo yêu cầu ở 1.1.16.
C : Hệ số tính theo các công thức ở Bảng 2-A/29.10 phụ thuộc b, là góc nhọn giữa vách nghiêng và mặt phẳng nằm ngang và g như qui định ở 29.3.2-1.
Bảng 2-A/29.10 Hệ số C
| Góc b | C |
| b £ 40° | 41,7 g |
| 40° < b < 80° | (68,5 - 0,67b) g |
| b ³ 80° | 14,9 g |
Chú thích:
(1) Nếu g nhỏ hơn 0,7 thì g được lấy bằng 0,7.
(2) Nếu trị số C tính theo công thức trên đây nhỏ hơn 27,8 thì C phải được lấy bằng 27,8.
4. Mô đun chống uốn của tiết diện sống ngang vách nghiêng của két hông phải không nhỏ hơn trị số tính theo công thức sau đây:
Z = CShl2 (cm3)
Trong đó:
S, h và l : Như qui định ở -3.
C : Hệ số tính theo công thức cho ở Bảng 2-A/29.11 phụ thuộc b là góc nhọn giữa vách nghiêng và mặt phẳng nằm ngang và g được lấy như ở 29.3.2-1.
Trong mọi trường hợp, chiều dày bản mép phải không nhỏ hơn chiều dày bản thành và chiều rộng của bản mép phải không nhỏ hơn trị số tính theo công thức sau đây:

Trong đó:
d0 : Chiều cao tiết diện của sống ngang (m).
l1 : Khoảng cách giữa các đế tựa của sống ngang (m). Tuy nhiên, nếu đặt các mã chống vặn có tác dụng hữu hiệu thì chúng có thể được coi là đế tựa.
5. Phải đặt các nẹp bằng thép dẹt ở sống ngang hoặc tấm ngang tại những vị trí mà dầm dọc xuyên qua. Các mã chống vặn phải được đặt cách nhau khoảng 3 mét.
29.4. Két đỉnh mạn
29.4.1. Qui định chung
1. Các ngăn của két đỉnh mạn phải cố gắng đặt trùng với các ngăn của khoang. Trừ khoang ngoài cùng, một ngăn của két đỉnh mạn có thể trùng với hai ngăn kề nhau của khoang.
Bảng 2-A/29.11 Hệ Số C
| Góc b | C |
| b £ 40° | 7,1 g |
| 40° < b < 80° | (11,5 - 0,11b) g |
| b ³ 80° | 2,7 g |
Chú thích:
(1) Nếu g nhỏ hơn 0,7 thì g được lấy bằng 0,7.
(2) Nếu trị số C tính theo công thức trên đây nhỏ hơn 4,75 thì C phải được lấy bằng 4,75.
(3) Nếu có đế tựa hữu hiệu đặt ở trung điểm của sống ngang thì C được lấy bằng 0,5 trị số tính được theo công thức nói trên.
2. Phải quan tâm thích đáng đến sự liên tục về độ bền của kết cấu ở hai đầu của két đỉnh mạn.
3. Kích thước các cơ cấu của két đỉnh mạn phải theo các yêu cầu ở 29.4 và các yêu cầu ở Chương 12. Tuy nhiên, khi áp dụng các qui định ở Chương 12, h phải được lấy không nhỏ hơn 0,5 chiều rộng của két đỉnh mạn ở đoạn giữa tàu.
4. Với các nẹp dọc làm bằng thép dẹt, tỷ số chiều cao chia cho chiều dày của tiết diện phải không lớn hơn 15. Với các nẹp dọc ở gần boong tính toán ở đoạn giữa tàu, tỷ số mảnh phải cố gắng không lớn hơn 60.
29.4.2. Chiều dày của tôn vách nghiêng
1. Chiều dày tôn vách nghiêng (t) của két đỉnh mạn phải không nhỏ hơn trị số tính theo công thức sau đây:

Trong đó:
S : Khoảng cách các nẹp dọc hoặc nẹp ngang (m).
h : Khoảng cách thẳng đứng từ cạnh dưới của tấm vách nghiêng đến đỉnh ống tràn hoặc 0,5 chiều rộng của két đỉnh mạn ở đoạn giữa tàu, lấy trị số nào lớn hơn (m).
2. Nếu vách nghiêng của két đỉnh mạn được gắn nẹp ngang thì chiều dày của tôn vách nghiêng phải đảm bảo đủ ổn định cho tấm.
29.4.3. Nẹp ở vách nghiêng
1. Mô đun chống uốn (Z) của nẹp dọc ở vách nghiêng của két đỉnh mạn phải không nhỏ hơn trị số tính theo công thức sau đây:
Z = CShl2 (cm3)
Trong đó:
S : Khoảng cách giữa các nẹp dọc (m).
h : Khoảng cách thẳng đứng từ nẹp đến đỉnh ống tràn hoặc 0,5 chiều rộng của két đỉnh mạn ở đoạn giữa tàu, lấy trị số nào lớn hơn (m).
l : Chiều dài của nẹp dọc ở giữa các sống ngang (m).
C : Hệ số tính theo công thức sau đây: 
Trong đó:
fD : Tỷ số của mô đun chống uốn của tiết diện ngang thân tàu theo yêu cầu ở Chương 13 chia cho mô đun chống uốn thực của tiết diện ngang thân tàu lấy đối với boong.
yD : Khoảng cách thẳng đứng từ trục trung hòa của tiết diện ngang thân tàu đến mặt trên của xà boong đo ở mạn (m).
y : Khoảng cách thẳng đứng từ trục trung hòa của tiết diện ngang thân tàu đến nẹp dọc đang xét (m).
2. Mô đun chống uốn (Z) của tiết diện nẹp ngang ở vách nghiêng của két đỉnh mạn phải không nhỏ hơn trị số tính theo công thức:
Z = 6,8 Shl2 (cm3)
Trong đó:
S : Khoảng cách các nẹp ngang (m).
l : Chiều dài tự do của nẹp (m).
h : Khoảng cách thẳng đứng từ trung điểm của l đến đỉnh ống tràn hoặc 0,5 chiều rộng của két đỉnh mạn đo ở đoạn giữa tàu, lấy trị số nào lớn hơn (m).
29.4.4. Xà dọc boong
Mô đun chống uốn của tiết diện xà dọc boong ở két đỉnh mạn phải không nhỏ hơn trị số tính theo công thức yêu cầu ở 8.3.3, trong đó h là tải trọng boong (kN/m2) qui định ở 8.2 hoặc 0,5 chiều rộng của két đỉnh mạn ở đoạn giữa tàu nhân với 9,81, lấy trị số nào lớn hơn.
29.4.5. Sườn mạn
1. Mô đun chống uốn của tiết diện sườn dọc ở két đỉnh mạn phải không nhỏ hơn trị số tính theo công thức ở 5.4.1-1 với l và h được lấy như sau:
l : Khoảng cách giữa các sống ngang mạn (m).
h : Như qui định ở 5.4.1-1 nhưng phải không nhỏ hơn 0,5 chiều rộng của két đỉnh mạn ở đoạn giữa tàu (m).
2. Nếu sườn ngang được đặt ở tôn mạn trong vùng két đỉnh mạn thì mô đun chống uốn (Z) tiết diện của nó phải không nhỏ hơn trị số tính theo công thức sau đây:
Z = 6Shl2 (cm3)
Trong đó:
S : Khoảng cách các sườn (m).
l : Khoảng cách thẳng đứng từ đáy của vách nghiêng của két đỉnh mạn đến boong trên đo ở mạn (m).
h : Khoảng cách thẳng đứng từ trung điểm của l đến điểm ở d + 0,038 L' cao hơn mặt tôn giữa đáy hoặc 0,5 chiều rộng của két đỉnh mạn đo ở đoạn giữa tàu, lấy trị số nào lớn hơn (m). Tuy nhiên, nếu trị số đó nhỏ hơn
(m) thì h phải được lấy bằng
(m).
L' : Chiều dài tàu (m). Tuy nhiên, nếu L lớn hơn 230 mét thì phải lấy L' bằng 230 mét.
29.4.6. Sống ngang
1. Sống ngang hoặc tấm ngang trong két đỉnh mạn phải được đặt cách nhau không xa quá 5 mét.
2. Nếu có những thanh chống hữu hiệu đặt ở vị trí trung gian của các sống ngang thì chiều cao của tiết diện sống ngang phải không nhỏ hơn 1/6 của l qui định ở -3. Trong các trường hợp khác, chiều cao của tiết diện sống ngang phải không nhỏ hơn 1/5 của l hoặc không nhỏ hơn 2,5 lần chiều cao của lỗ khoét để dầm dọc xuyên qua, lấy trị số nào lớn hơn.
3. Chiều dày của bản thành (t) phải không nhỏ hơn trị số tính theo các công thức sau đây, lấy trị số nào lớn hơn:

Trong đó:
d0 : Chiều cao tiết diện sống ngang (m).
a : Chiều cao của lỗ khoét để cơ cấu chui qua. Nếu có những tấm đệm hữu hiệu đặt ở vùng 0,25 l tính từ mỗi mút của l thì a có thể được thay đổi theo kích thước của tấm đệm, a có thể được lấy bằng không ở đoạn 0,5 l tại vùng giữa của l.
S : Chiều rộng của diện tích được đỡ bởi sống ngang (m).
h : Khoảng cách thẳng đứng từ trung điểm của l đến miệng ống tràn hoặc bằng 0,5 chiều rộng của két đỉnh mạn ở đoạn giữa tàu, lấy trị số nào lớn hơn (m).
l : Chiều dài toàn bộ của sống ngang (m). Nếu tấm dọc được đặt ở vị trí trung gian của sống ngang thì l là khoảng cách từ tấm dọc đến đỉnh của mã góc của sống ngang (m). Trong trường hợp mã có tác dụng hữu hiệu thì l có thể thay đổi theo qui định ở 1.1.16.
4. Mô đun chống uốn (Z) của tiết diện sống ngang phải không nhỏ hơn trị số tính theo công thức sau đây. Nếu có thanh chống hữu hiệu đặt ở một vị trí trung gian của sống ngang thì hệ số 7,13 có thể được thay thế bằng 3,57.
Z = 7,13Shl2 (cm3)
Trong đó:
S, h và l : Như qui định ở -3.
Trong mọi trường hợp chiều dày của bản mép phải không nhỏ hơn chiều dày của bản thành, chiều rộng của bản mép (b) phải không nhỏ hơn trị số tính theo công thức sau đây:

Trong đó:
d0 : Chiều cao tiết diện bản thành (m).
l1 : Khoảng cách giữa các đế tựa của sống ngang (m). Tuy nhiên, nếu có đặt các mã chống vặn có tác dụng hữu hiệu thì các mã đó có thể được coi là đế tựa.
5. Sống ngang hoặc tấm ngang phải được gắn các thanh thép dẹt gia cường đặt ở những vị trí mà dầm dọc xuyên qua và các mã chống vặn phải được đặt cách nhau khoảng 3 mét.
6. Nếu có hàng hóa nặng đặt trên boong thì bản thành hoặc tấm ngang phải được gia cường thích hợp.
29.4.7. Két đỉnh mạn lớn
1. Nếu két đỉnh mạn có kích thước lớn thì phải đặc biệt quan tâm đến kết cấu bằng cách đặt những tấm dọc ở vùng trung điểm của chiều rộng két đỉnh mạn.
2. Nếu đặt tấm dọc thì chiều dày t của tấm dọc đó phải không nhỏ hơn trị số qui định ở 29.1.4 hoặc trị số tính theo công thức sau đây, lấy trị số nào lớn hơn:

Trong đó:
S : Khoảng cách giữa các nẹp dọc (m).
y : Khoảng cách thẳng đứng từ điểm ở D/2 (m) cao hơn mặt tôn giữa đáy đến trung điểm của ô tấm giữa các nẹp (m).
3. Nếu nẹp dọc được đặt ở tấm dọc thì chiều cao tiết diện nẹp phải không nhỏ hơn 0,06l, trong đó l là khoảng cách giữa các sống đặt ở tấm dọc. Nếu các mút của nẹp dọc được liên kết với mã chống vặn thì chiều cao tiết diện nẹp có thể được giảm thích đáng.
4. Nếu các nẹp ngang được đặt ở tấm dọc thì chiều dày của tấm dọc phải đảm bảo đủ ổn định. Kích thước của nẹp phải tương đương với kích thước qui định ở -3.
29.5. Vách ngang và thanh ốp
29.5.1. Vách ngang
1. Kích thước các cơ cấu của vách ngang phải theo các yêu cầu ở 12.2. Tuy nhiên, khi áp dụng những yêu cầu này, h trong công thức phải được thay thế bằng 0,36gh', trong đó g như qui định ở 29.3.2-1. Tuy nhiên, nếu g nhỏ hơn 1,5 thì nó phải được lấy bằng 1,5 và h' được lấy như sau:
(1) Với tôn vách: Khoảng cách thẳng đứng từ cạnh dưới của tấm tôn vách đến boong trên đo ở đường tâm tàu (m).
(2) Khoảng cách thẳng đứng từ trung điểm của l, nếu là nẹp đứng, và từ trung điểm của khoảng cách của các nẹp kề cận, nếu là nẹp nằm, đến boong trên đo ở đường tâm tàu (m), I được qui định ở 12.2.
(3) Khoảng cách thẳng đứng từ trung điểm của l, đối với sống đứng đỡ nẹp, hoặc từ trung điểm của S, đối với sống nằm, đến boong trên đo ở đường tâm tàu (m). l và S được qui định ở 12.2.5.
2. Mặc dù những qui định ở -1, kích thước các cơ cấu của vách ngang phải không nhỏ hơn qui định ở Chương 11.
3. Dải tôn đơn của vách ngang liền kề với tôn vỏ phải được gia cường thích đáng.
4. Với vách ngang không có thanh ốp dưới, chiều dày của dải dưới cùng của tôn vách phải được tăng thích đáng có xét đến chiều dày của tôn đáy trên.
5. Tôn vách ngang liên kết với tôn vách nghiêng của két đỉnh mạn phải được gia cường thích đáng bằng cách tăng chiều dày hoặc bằng một biện pháp khác.
29.5.2. Thanh ốp dưới và thanh ốp trên của vách ngang
1. Chiều dày thanh ốp dưới của vách ngang phải không nhỏ hơn trị số tính theo công thức ở 29.3.2-1 với hệ số C giảm 10%. Ở những tàu mà hàng hóa thường xuyên được bốc xếp bằng gầu ngoạm hoặc bằng những phương tiện cơ giới tương tự, chiều dày phải được tăng 1 mi-li-mét.
2. Mô đun chống uốn của tiết diện nẹp nằm gắn vào tấm nghiêng của thanh ốp dưới phải không nhỏ hơn trị số tính theo công thức ở 29.3.3-1 với hệ số C được giảm 10%. Nếu được gắn nẹp đúng thì mô đun chống uốn của tiết diện nẹp đứng phải không nhỏ hơn trị số tính theo yêu cầu ở 29.3.3-2.
3. Sống của thanh ốp dưới phải được đặt ở vị trí tương ứng với sống chính và sống phụ của đáy đôi. Kích thước của sống phải không nhỏ hơn trị số tính theo yêu cầu ở 29.3.4.
4. Nếu khoang được thiết kế để chứa nước dằn, dầu hàng hoặc hàng nặng thì các sống qui định ở -3 phải có đủ độ bền chống cắt, thí dụ phải đặt tấm ngăn.
5. Đối với các vách ngang có kiểu nếp sóng thẳng đứng ở các tàu kiểu BC-A, BC-B hoặc BC-C và các tàu được thiết kế cho việc bốc xếp hàng ở nhiều cảng, các thanh ốp trên phải thỏa mãn các qui định của Đăng kiểm.
6. Kích thước cơ cấu của thanh ốp trên và thanh ốp dưới của vách ngang phải không nhỏ hơn kích thước xác định theo Chương 11.
29.6. Sườn khoang
29.6.1. Sườn khoang
1. Mô đun chống uốn (Z) của tiết diện sườn khoang ở vùng từ 0,15L tính từ mũi tàu đến vách đuôi phải không nhỏ hơn trị số tính theo công thức sau đây: Z = CShl2 (cm3)
Trong đó:
| S: Khoảng cách sườn (m). h : Khoảng cách thẳng đứng từ điểm ở d + 0,038L', cao hơn mặt tôn giữa đáy đến đỉnh của két hông đo ở mạn (m). L' : Chiều dài tàu (m). Tuy nhiên, nếu L lớn hơn 230 mét thì lấy L' bằng 230 mét (xem Hình 2-A/29.2). l : Khoảng cách từ đỉnh của két hông đo ở mạn đến đáy của két đỉnh mạn (m). C : Hệ số tính theo các công thức sau đây:
|
|
| Hình 2-A/29.2 Xác định l, l1 |

l1 : Khoảng cách thẳng đứng từ trung điểm của chiều cao tiết diện sống chính đến đỉnh của két hông đo ở mạn (m) (xem Hình 2-A/29.2).
a : Hệ số cho ở Bảng 2-A/29.12. Với các trị số trung gian của B/lH, trị số a được tính theo phép nội suy tuyến tính. Với các không gian trống khi tàu đủ tải, trị số của a bằng 1,8 trị số xác định theo bảng.
lH : Như qui định ở 29.2.1-4.
Bảng 2-A/29.12 Hệ số a
| B/lH | £ 0,4 | 0,6 | 0,8 | 1,0 | 1,2 | 1,4 | 1,6 | ³ 1,8 |
| a | 0,0288 | 0,0207 | 0,0144 | 0,0099 | 0,0069 | 0,0048 | 0,0034 | 0,0025 |
2. Mô đun chống uốn của tiết diện sườn khoang ở vùng từ 0,15L tính từ mũi tàu đến vách mũi phải không nhỏ hơn trị số tính theo công thức ở -1, với hệ số 1,25C thay thế cho C.
3. Ở gần các liên kết ở đỉnh và chân sườn khoang chiều dày của bản thành phải đảm bảo đủ để chịu cắt.
4. Đối với những tàu có chiều dài L1 < 190 mét có thể dùng thép thường tiết diện không đối xứng làm sườn khoang. Trong đó L1 như qui định tại 29.1.4-2.
5. Đối với những tàu khác với các tàu nêu ở -4, các sườn khoang ở khoang gần mũi nhất có tiết diện không đối xứng phải được đặt mã gia cường.
6. Tỷ lệ giữa chiều cao và chiều dày của bản thành sườn khoang không được vượt quá trị số sau:
(1) 60 đối với sườn khoang có bản mép đối xứng;
(2) 50 đối với sườn khoang có bản mép không đối xứng.
7. Đối với các sườn khoang có tiết diện không đối xứng hoặc sườn khoang có mép bẻ, chiều rộng mép không đối xứng không được lớn hơn 10 lần chiều dày mép bẻ.
8. Với những khoang chứa hàng đặc biệt nặng phải tăng kích thước của sườn khoang so với qui định ở -1 và -2.
29.6.2. Liên kết ở đỉnh và chân sườn
1. Đỉnh và chân của sườn khoang phải được liên kết với két đỉnh mạn và két hông bằng mã. Trong vùng két đỉnh mạn và két hông, tính liên tục của cơ cấu có liên kết đỉnh và chân của sườn khoang phải được đảm bảo bằng liên kết mã. Chân mã liên kết sườn với tấm mái két hông và tấm nghiêng của két đỉnh mạn phải trùng với các chân mã liên kết ở trong két;
2. Các mã liên kết ở két đỉnh mạn và két hông nói ở -1 phải được gia cường để chống vặn;
3. Kích thước của các cơ cấu dọc mạn và nẹp dọc ở tấm nghiêng của các két đỉnh mạn và ở tấm nghiêng của các két hông đỡ các mã liên kết trong két đỉnh mạn và két hông nói ở -1 phải phù hợp với qui định ở 29.3.3-1; 29.3.3-3; 29.4.3-1 và 29.4.5-1. Tuy nhiên khi áp dụng những qui định này, l trong công thức được lấy là khoảng cách tính bằng mét giữa các bản thành theo phương ngang không kể tới việc bố trí các mã liên kết;
4. Những tàu có chiều dài không lớn hơn 190 m, sườn khoang phải được chế tạo với các mã mút liền tấm. Trong trường hợp đó, chiều dài tàu là L1 (m) được xác định như 29.1.4-2;
5. Chiều dày của các mã mút (chân và đỉnh) của sườn khoang phải không nhỏ hơn chiều dày thực của bản thành sườn khoang gắn với chính các mã mút đó;
6. Mô đun chống uốn tiết diện của sườn khoang và mã hoặc mã liền tấm, liên kết với tấm vỏ, ở vị trí tiết diện ZBKT như mô tả ở Hình 2A/29.3 không được nhỏ hơn 2 lần mô đun chống uốn tiết diện yêu cầu ở 29.6.1-1 và -2;
7. Kích thước của các mã mút (chân và đỉnh) của sườn khoang phải phù hợp những yêu cầu sau đây:
(1) Độ cao theo phương thẳng đứng của mã (lBKT) từ điểm mút R của mã chân đến giao điểm của tấm vỏ mạn với tấm mái két hông và từ điểm mút R của mã đỉnh đến giao điểm của tấm vỏ mạn với tấm vách nghiêng của két đỉnh mạn phải không nhỏ hơn trị số tính theo công thức sau đây (xem Hình 2A/29.4):
IBKT = 0,125 l (m)
Trong đó: l Như xác định ở 29.6.1-1
(2) Độ cao theo phương ngang của mã (dBKT) ở đường nằm ngang đi qua giao điểm của tấm vỏ mạn với tấm mái két hông và giao điểm của tấm vỏ mạn với tấm vách nghiêng của két đỉnh mạn phải không nhỏ hơn trị số tính theo công thức sau (xem Hình 2A/ 29.4)
dBKT = 1,5 dWEB (m)
Trong đó: dWEB: Chiều cao bản thành của sườn khoang gắn với mã đang xét (m)
8. Đối với các sườn khoang có mã mút liền tấm, bản mép của sườn khoang phải lượn đều (không được gấp khúc) tại chỗ nối với các mã mút. Bán kính lượn R phải không nhỏ hơn trị số sau đây (xem Hình 2A/29.3):

Trong đó:
bf : Chiều rộng bản mép mã (mm)
tf : Chiều dày bản mép mã (mm)
29.6.3. Hàn sườn khoang
1. Mối hàn liên kết sườn khoang và các mã với tấm vỏ mạn, các két đỉnh mạn và két hông, bản thành với bản mép sườn khoang phải là mối hàn góc liên tục hai phía. Chiều dày chỗ thắt phải lớn hơn trị số xác định theo công thức sau, phụ thuộc vào vị trí của vùng hàn:
(1) Đối với những vùng liên kết các mã mút với tấm mái két hông và tấm vách nghiêng của két đỉnh mạn và vùng trong phạm vi 0,25l tính từ mỗi mút của l (xem vùng A ở Hình 2A/29.3)
S = 0,44 t (mm)
(2) Đối với vùng 0,5 l giữa l (xem vùng B Hình 2A/29.3)
S = 0,40 t (mm)
Trong đó:
l : Như xác định ở 29.6.1-1;
t : Chiều dày nhỏ hơn của hai thành phần liên kết.
2. Nếu hình dáng thân tàu không cho phép hàn mối hàn góc theo qui định thì có thể yêu cầu chuẩn bị mép của bản thành sườn khoang và mã để sao cho đảm bảo chất lượng hàn tương tự như mối hàn liên kết yêu cầu ở -1.
29.7. Tôn boong, tôn bao và các tấm khác
29.7.1. Tôn boong ở ngoài đường miệng khoét
Diện tích tiết diện tôn boong ở ngoài đường miệng khoét, trong trường hợp có két đỉnh mạn, phải được xác định có xét đến sự liên tục về độ bền dọc.
29.7.2. Tôn boong ở trong đường miệng khoét
1. Thành ngang miệng khoang phải trùng với vị trí sống ngang trong két đỉnh mạn. Nếu không đặt trùng được, phải quan tâm đến sự liên tục về độ bền của mối nối thành ngang miệng khoang với két đỉnh mạn.
2. Tôn boong trong đường miệng khoét nên được gắn xà ngang boong. Nếu dùng xà dọc boong thì phải đặc biệt quan tâm đến độ ổn định của tấm.

Hình 2-A/29.3 Sườn khoang và các mã mút

Hình 2-A/29.4 Kích thước của các mã mút
29.7.3. Tôn đáy
Chiều dày tôn đáy của khoang hàng trong vùng có đáy đôi phải không nhỏ hơn trị số tính theo công thức ở 14.3.4 hoặc theo công thức thứ nhất của 29.2.4-1, lấy trị số nào lớn hơn. Tuy nhiên, khi áp dụng công thức thứ nhất của 29.2.4-1, a phải được tính theo công thức:

Trong đó:
fB: Như được qui định ở 29.2.4-1.
29.7.4. Lỗ thoát nước
1. Theo qui định, ở mỗi bên mạn tàu phải có một miệng ống hút nước hông ở mút sau của mỗi khoang.
2. Hố tụ nước hông phải được đặt ở vị trí thích hợp sao cho bảo vệ được tấm nắp khỏi sự va đập trực tiếp của hàng rời, và phải có hộp cặn hoặc phương tiện khác để cho đường ống hút không bị đọng cặn.
3. Nếu đường ống hút nước hông đi qua đáy đôi hoặc két hông thì phải có van một chiều hoặc van chặn có thể đóng được từ một vị trí dễ tiếp cận, đặt ở miệng đường ống.
4. Đường xả từ các két đỉnh mạn phải thỏa mãn các yêu cầu 13.4.1-4 và 13.4.1-5 của Phần 3.
29.7.5. Tàu chuyên chở than
Với những tàu dùng để chuyên chở than phải quan tâm đến những vấn đề sau đây:
(1) Kết cấu giữa các khoang hàng và các ngăn khác phải là kín khí.
(2) Các cửa chỉnh chúi nên được đặt ở ngoài thượng tầng và lầu.
(3) Hệ thống thông gió của khoang hàng phải được đặt ở phần lộ.
29.8. Những qui định bổ sung để chuyên chở hàng lỏng trong khoang
29.8.1. Qui định chung
1. Tàu hàng rời có khoang để chứa dầu (từ sau đây được gọi là Tàu B/O) phải thỏa mãn các yêu cầu của Chương này và các yêu cầu đối với tàu dầu.
2. Những yêu cầu quan trọng khác đối với Tàu B/O, ngoài những yêu cầu qui định ở 29.8, phải do Đăng kiểm qui định.
29.8.2. Khoang chứa vơi dầu hàng
Nếu có khoang chứa vơi dầu hàng thì phải quan tâm đặc biệt để tránh sự cộng hưởng của chu kỳ dao động tự nhiên của chất lỏng trong khoang với chu kỳ dao động lắc tự nhiên và chúi tự nhiên của tàu. Nếu không thể tránh được sự cộng hưởng đó thì tôn, nẹp và sống của vách ngang và két đỉnh mạn phải được gia cường đặc biệt.
29.9. Nắp thép kín thời tiết
29.9.1. Qui định chung
Các nắp thép đặt ở trước vùng 0,25 L1 tính từ mút trước của L1, phải thỏa mãn các qui định của mục 29.9 này, ngoài những qui định ở Chương 18. Trong mục này, L1 là chiều dài tàu được qui định ở 29.1.4-2.
29.9.2. Mô hình tải trọng
Tải trọng sóng P (kN/m2) tác động lên nắp miệng khoang phải không nhỏ hơn trị số xác định theo công thức sau:

Trong đó:
H - trị số được xác định theo công thức sau:

Trong đó:
Ai : Hệ số phụ thuộc vào vị trí theo chiều dọc của nắp miệng khoang cho trong Bảng 2-A/ 29.13. Đối với các vị trí trung gian, trị số A được xác định bằng nội suy tuyến tính.
V0 : Vận tốc của tàu (hải lý/ giờ) được lấy không nhỏ hơn 13 hải lý/ giờ.
Cb1: Hệ số béo thể tích, Cb1 = Lượng chiếm nước tương ứng W chia cho L1Bd.
df : Là khoảng cách thẳng đứng tính từ đường nước chở hàng mùa hè đến đỉnh của thành miệng khoang (m).
29.9.3. Tiêu chuẩn độ bền
1. Chiều dày yêu cầu của các thành phần kết cấu khuôn của nắp miệng khoang không được nhỏ hơn chiều dày cơ bản tnet xác định theo qui định ở -2 công với chiều dày han gỉ tc qui định ở -3.
2. Chiều dày cơ bản của tấm nắp miệng khoang không được nhỏ hơn trị số xác định theo những yêu cầu sau:
(1) Chiều dày cơ bản cục bộ của tấm nắp miệng khoang không được nhỏ hơn trị số xác định theo công thức sau:

Trong đó:
S : Khoảng cách các nẹp (m)
P : Tải trọng sóng, xác định theo 29.9.2
sr - Giới hạn chảy tối thiểu hoặc ứng suất thử của vật liệu (N/mm2)
(2) Ứng suất uốn và ứng suất cắt của các nẹp phụ, các cơ cấu đỡ chính và các tấm gắn với chúng không vượt quá trị số cho phép sa và ta nêu trong Bảng 2-A/ 29.14.
(3) Kích thước của các thành phần cơ cấu khuôn của nắp miệng khoang phải có khả năng chống mất ổn định hữu hiệu. Tuy nhiên, nếu kích thước của nắp miệng khoang được tính toán bằng việc sử dụng chiều rộng hữu ích của mép tấm chịu nén đối với cơ cấu chính nói ở (a) hoặc (b) dưới đây phù hợp với hướng gia cường của tấm, thỏa mãn các qui định ở (2), thì có thể miễn kiểm tra mất ổn định do nén.
(a) Chiều rộng hữu ích (bef) của các cơ cấu chính song song với hướng gia cường:
bef = CeI S (m)

Trong đó:
tnet : Chiều dày cơ bản của tấm panel (mm)
S: Cạnh ngắn hơn của tấm panel (mm)
sr : Ứng suất chảy tối thiểu hoặc ứng suất thử của vật liệu (Nmm2)
E : mô đun đàn hồi của vật liệu, đối với thép E được lấy bằng 2,06 x 105 (N/mm2)
(b) Chiều rộng hữu ích (bef) của các cơ cấu chính vuông góc với hướng gia cường:
bef = Cetl (m)
Trong đó:
Cet : hệ số tính theo công thức sau đây. Nếu Cet > 1,0 thì Cet được lấy bằng 1,0.

Trong đó: Cel, S và b như qui định ở (a)
l : Cạnh dài hơn của tấm panel (m).
3. Giới hạn han gỉ tc được qui định ở Bảng 2-A/ 29.15, phù hợp với kiểu kết cấu và cơ cấu thành phần của nắp miệng khoang.
29.9.4. Thành miệng khoang
Đối với các tàu không có thượng tầng mũi hoặc mạn chắn sóng, kích thước của thành miệng khoang hàng của hầm gần mũi nhất không được nhỏ hơn trị số xác định theo Chương 17 đối với các vách trước lộ của tầng một của lầu tại vị trí đó.
Bảng 2-A/ 29.13 Hệ số Ai
| Khoảng cách từ mút trước của L1 | Ai |
| Tại mút trước của L1 | 2,70 |
| Tại 0,05 L1 | 2,16 |
| Tại 0,10 L1 | 1,70 |
| Tại 0,15 L1 | 1,43 |
| Tại 0,20 L1 | 1,22 |
| Tại 0,25 L1 | 1,00 |
Bảng 2-A/ 29.14 Trị số ứng suất cho phép
| Ứng suất uốn sa | 0,80 sr |
| Ứng suất cắt ta | 0,45 sr |
Bảng 2-A/29.15 Giới hạn han gỉ
Đơn vị tính: mm
| Kiểu kết cấu nắp miệng khoang | Giới hạn han gỉ | |
| Đối với tấm nóc, tấm cạnh và tấm đáy | Đối với các cơ cấu bên trong | |
| Kiểu tấm đơn | 2,0 | |
| Kiểu tấm kép | 2,0 | 1,5 |
29.10. Những yêu cầu bổ sung đối với tàu chở hàng rời đóng mới
29.10.1. Qui định chung
1. Phạm vi áp dụng
(1) Những tàu hàng rời có kết cấu mạn đơn, rơi vào mọi trường hợp dưới đây, phải phù hợp với các qui định của Chương này để chịu được việc ngập bất kỳ khoang hàng nào.
(a) Những tàu được hợp đồng đóng vào đúng và sau ngày 1.7.1998 hoặc những tàu được hợp đồng đóng trước ngày 1.7.1998, nhưng ky đặt trước hoặc đang ở giai đoạn tương tự vào đúng và sau ngày 1.7.1999. Thuật ngữ "Giai đoạn đóng tương tự" có nghĩa là giai đoạn mà việc gia công cơ cấu của một con tàu xác định bắt đầu và việc lắp ráp con tàu đó được ít nhất là 50 tấn hoặc 1 % tổng khối lượng ước tính của vật liệu làm thân tàu, chọn trị số nào nhỏ hơn.
(b) Những tàu có chiều dài Lf (để tính mạn khô) bằng và lớn hơn 150 m;
(c) Những tàu chuyên chở hàng rời ở thể rắn có tỷ trọng hàng ³ 1,0 t/m3;
(2) Ngoại trừ các qui định đặc biệt ở Chương này, những yêu cầu chung đối với kết cấu thân tàu và trang thiết bị của thân tàu thép cũng được áp dụng.
2. Định nghĩa
(1) Các thuật ngữ trong Chương này được định nghĩa như sau:
(a) "Tỷ trọng hàng rời" hoặc "Tỷ trọng hàng" (t/m3) là tỷ lệ giữa khối lượng hàng được chở và thể tích dùng để chứa hàng kể cả các không gian trống trong phạm vi chứa hàng rời, ngoại trừ tỷ trọng hàng định nghĩa ở 29.2.1-3;
(b) "Hệ số ngập nước" của một khoang là tỷ lệ giữa thể trong phạm vi khoang mà nước có thể chiếm chỗ với tổng thể tích của khoang đang xét. Trong Chương này, trị số nêu trong Bảng 2-A./29.16 có thể được dùng như một tiêu chuẩn phụ thuộc vào loại hàng. Với những loại hàng khác với loại hàng nêu trong Bảng, trị số "Hệ số ngập nước" phải được chọn với sự chấp thuận của Đăng kiểm.
Bảng 2-A/29.16 Hệ số ngập nước
| Loại hàng hóa | Hệ số ngập nước |
| Quặng sắt | 0,30 |
| Xi măng | 0,30 |
| Than đá | 0,30 |
| Khoang trống | 0,95 |
(c) "Góc nghiêng tĩnh" là góc nghiêng lớn nhất giữa mặt phẳng nằm ngang và vách nghiêng đủ để hàng rời chảy tự do. Trong Chương này, trị số nêu trong Bảng 2-A/29.17 có thể được dùng như một tiêu chuẩn phụ thuộc vào loại hàng, với những loại hàng khác với loại hàng nêu trong Bảng, trị số cho phép phải được chọn với sự chấp thuận của Đăng kiểm.
Bảng 2-A/29.17 Góc nghiêng tĩnh
| Loại hàng | Góc nghiêng tĩnh |
| Quặng sắt | 35° |
| Xi măng | 25° |
| Than đá | 35° |
29.10.2. Vách ngang kín nước dạng sóng
1. Qui định chung
(1) Những yêu cầu trong Chương này được áp dụng cho những vách kín nước dạng sóng thẳng đứng đặt trong hầm hàng.
(2) Ở phần này, trạng thái tải trọng đồng nhất có nghĩa là tỷ số giữa tỷ lệ điền đầy cao nhất và thấp nhất, đánh giá cho từng khoang được hiệu chỉnh với các tỷ trọng hàng khác nhau, không vượt quá 1,20.
(2) Tải trọng tính toán vách bao gồm tải trọng hàng và tải trọng do nước ngập, phụ thuộc vào các trạng thái tải trọng sau đây được qui định trong hướng dẫn xếp tải:
(a) Trạng thái tải trọng đồng nhất;
(b) Trạng thái tải trọng không đồng nhất;
Ngoài ra, trong bất kỳ trường hợp nào, áp lực do chỉ có nước ngập phải được đưa vào tính toán. Không cần áp dụng những yêu cầu của phần này đối với trường hợp tải trọng đồng nhất nhưng do quá trình bốc xếp hàng hóa gây nên tình trạng không đồng nhất cục bộ.
(4) Các khoang chứa hàng đóng gói như sản phẩm thép thường phải được coi như là hầm rỗng để tính toán kích thước của vách.
(5) Chiều dày của vách không kể độ hao mòn han rỉ (sau đây gọi tắt là chiều dày nguyên bản) tnet, phải được dùng để tính toán kích thước của vách. Kích thước thực của vách phải bằng tnet cộng với độ hao mòn han rỉ, nhưng không nhỏ hơn 3,5 mm.
(6) Trừ khi tàu chỉ dự định chuyên chở (ở trạng thái tải trọng đồng nhất) quặng sắt hoặc hàng hóa có tỷ trọng không nhỏ hơn 1,78 t/m3, khối lượng lớn nhất của hàng hóa mà khoang có thể chứa phải được coi là chất đầy khoang đến mức boong cao nhất tại tâm tàu.
(7) Đối với các tàu có L ³ 190 m, các vách này phải được gắn với thanh ốp trên và thanh ốp dưới. Đối với các tàu khác với các tàu nói trên, vách sóng có thể kéo từ đáy đến boong, L1 là chiều dài của tàu xác định như nêu ở 29.1.4-2.
2. Mô hình tải trọng
(1) Cột áp ngập nước hf (m) là khoảng cách đo theo phương thẳng đứng khi tàu ở vị trí thẳng đứng, từ vị trí tính toán đến mức bằng khoảng cách df (m) tính từ đường cơ bản (xem Hình 2-A/29.10.5)
(a) Trường hợp chung:
i) D(m) Đối với các vách sau của hầm hàng gần mũi nhất;
ii) 0,9D (m) Đối với các vách khác.
Nếu tàu chở loại hàng có tỷ trọng hàng nhỏ hơn 1,78 t/m3 ở trạng thái tải trọng không đồng nhất, có thể lấy các giá trị sau:
i) 0,95D (m) Đối với các vách sau của hầm hàng gần mũi nhất;
ii) 0,85D (m) Đối với các vách khác.
(b) Đối với các tàu dưới 50.000 tấn trọng tải có thể lấy các giá trị sau:
i) 0,95D (m) Đối với các vách sau của hầm hàng gần mũi nhất;
ii) 0,85D (m) Đối với các vách khác.
Nếu tàu chở loại hàng có tỷ trọng hàng nhỏ hơn 1,78 t/m3 ở trạng thái tải trọng không đồng nhất, có thể lấy các giá trị sau:
i) 0,9D (m) Đối với các vách sau của tấm hàng gần mũi nhất;
ii) 0,8D (m) Đối với các vách khác.

V: Thể tích hàng hóa
P: Điểm tính toán
Hình 2-A/29.5 Mô hình tải trọng
(2) Ở hầm chứa hàng không bị ngập, áp suất và lực tác động lên vách tại điểm đang xét trong tình trạng bị ngập phải được tính theo (a) hoặc (b) dưới đây:
(a) Tại mỗi điểm của vách, áp suất Pc được tính như sau:
Pc = rc g h1 tg2 g (kN)
Trong đó:
rc : Tỷ trọng hàng rời (t/m3)
g : Gia tốc trọng trường, g = 9,81 (m/s2)
h1: Khoảng cách thẳng đứng từ điểm tính toán đến mặt phẳng nằm ngang liên quan đến độ cao xếp hàng, tại khoảng cách d1 (m) tính từ đường cơ bản (xem Hình 2-A/29.9)
g = 45° - f/2
f - Góc nghiêng tĩnh nêu ở 29.10.2(1)(c)
(b) Lực tác động lên nếp sóng được tính như sau:

Trong đó:
rc, g, g, d1 : như qui định ở (a)
S1 : Khoảng cách của nếp sóng trong 1/2 bước sóng (xem Hình 2-A/29.6(a))
hDB : Chiều cao của đáy đôi (m)
hLS : Chiều cao thanh ốp chân tính từ đáy đôi (m)
(3) Ở hầm chứa hàng, áp suất và lực tác động (tại điểm đang xét) lên vách trong tình trạng bị ngập phải được xác định theo (1) và (2), phù hợp với quan hệ giữa cột áp ngập nước df và chiều cao xếp hàng d1 được tính theo (1) và (2) nói trên.
(a) Nếu df > d1
i) Tại mỗi điểm của vách tại khoảng cách giữa df và d1 tính từ đường cơ bản, áp suất Pcf được tính như sau:
Pcf = r g hf (kN/m2)
Trong đó:
r : Tỷ trọng nước biển, r = 1,025 (t/m3)
g : Như xác định ở -2 nói trên
hf : Như xác định ở -1 nói trên
ii) Tại mỗi điểm của vách ở khoảng cách nằm dưới d1, tính từ đường cơ bản, áp suất Pcf được tính như sau:

Trong đó:
r : Như nêu ở (i);
hf : Như nêu ở (1) nói trên;
rc, g, g, h1 - Như nêu ở (2) nói trên;
Perm : Hệ số ngập nước như nêu ở 29.10.1.2(1 )(b)
iii) Lực tác động lên nếp sóng được tính như sau:

Trong đó:
r : Như nêu ở (a);
S1, g, d1, hDB, hLS - Như nêu ở -2 nói trên;
df : Như xác định ở -1 nói trên;
(Pcf)le- Áp suất tại chân của nếp sóng.
(b) Nếu df < d1
i) Tại mỗi điểm của vách ở khoảng cách giữa df và d1 tính từ đường cơ bản, áp suất Pcf được tính như sau:

Trong đó:
rc, g, g, h1 : như nêu ở -2 nói trên
ii) Tại mỗi điểm của vách ở khoảng cách nằm dưới d1 tính từ đường cơ bản, áp suất Pcf được tính như sau:

Trong đó:
r , Perm : như nêu ở (1) nói trên
hf : như nêu ở -1 nói trên
rc, g, g, h1 : như nêu ở -2 nói trên
iii) Lực Fcf tác động lên sóng được tính như sau:

Trong đó:
S1, rc, g, d1, hDB, hLS - Như nêu ở -2 nói trên;
df - Như nêu ở -1 nói trên;
(Pcf)le Như nêu ở (1) nói trên;
(4) Ở các hầm trống, áp suất và lực tại điểm đang xét tác động lên vách trong tình trạng bị ngập được xác định theo (a) và (b) dưới đây:
(a) Tại mỗi điểm của vách, áp suất thủy tĩnh Pf do bị ngập nước là cột áp ngập nước hf tính theo -1 nói trên.
(b) Lực Ff tác dụng lên nếp sóng được tính như sau:

Trong đó:
S1, g, hDB, hLS - Như nêu ở -2 nói trên;
r - Như nêu ở -3 nói trên;
df : Như nêu ở -1 nói trên.

n = Trục trung hòa của nếp sóng

Hình 2-A/29.6 (a) Khoảng cách S
(5) Áp suất và lực tổng hợp (P & F) tại mỗi điểm của vách được dùng để kiểm tra qui cách của vách được tính toán theo áp suất và lực từ (3) đến (5) nói trên phù hợp với các trạng thái tải trọng, được tính theo công thức sau:
(a) Tải trọng đồng nhất
P = Pcf - 0,8 Pc (kN/m2)
F = Fcf - 0,8 Fc (kN)
(b) Tải trọng không đồng nhất
P = Pcf (kN/m2)
F = Fcf (kN)
3. Mô men uốn và lực cắt ở vách sóng
(1) Mô men uốn thiết kế M đối với vách sóng được tính theo công thức sau:

Trong đó:
F : Như tính toán ở 29.10.2-2(5)
l : Nhịp của nếp sóng, lấy như Hình 2-A/29.6(a) và (b), m.
(2) Lực cắt Q tại chân của vách sóng được tính theo công thức sau:
Q = 0,8 F (kN)
F : Như tính ở 29.10.2-2(5).

Hình 2-A/29.6 (b) Nhịp nếp sóng
l : Nhịp của nếp sóng, mút trong của thanh ốp trên không lớn hơn khoảng cách từ boong, tại tâm tàu, đến:
(a) 3 lần chiều cao của nếp sóng, trong trường hợp chung
(b) 2 lần chiều cao của nếp sóng, đối với thanh ốp hình chữ nhật.
4. Tiêu chuẩn độ bền
(a) Mô đun chống uốn tiết diện tại chân nếp sóng được tính toán với những chú ý sau:
(a) Độ rộng mép của nếp sóng chịu nén được lấy để tính toán mô đun chống uốn tiết diện không được vượt quá độ rộng hữu ích bcf xác định theo công thức sau:
bcf = Cea (m)
Trong đó:

tf : Chiều dày mép nguyên bản (mm)
a : Độ rộng mép của nếp sóng (m) xem Hình 2-A/29.6(a)
sF : Giới hạn chảy qui ước của vật liệu (N/mm2)
E : Mô đun đàn hồi của vật liệu, E = 2,06.105 (N/mm2)
(b) Trong trường hợp nếu bản thành của nếp sóng không được đỡ bằng mã phía dưới thanh ốp (hoặc phía dưới đáy trong) ở vùng thấp hơn, thì mô đun chống uốn tiết diện của nếp sóng phải được tính với 30% bản thành nếp sóng hữu ích.
(c) Khi tính toán mô đun chống uốn tiết diện của nếp sóng (tiết diện ngang 1 ở Hình 2-A/29.10.3- 3(a) và (b )), diện tích tấm mép có thể tăng lên một lượng A tính theo công thức sau, nhưng không được lớn hơn 2,5 atf; Nếu đặt tấm gia cường bản thành nếp sóng có hiệu quả (xem Hình 2-A/29.10.3-3(a) và (b)) như nói ở 29.10.3-5(5).

Trong đó:
a : Độ rộng của bản mép nếp sóng (m) (xem Hình 2-A/ 29.6(a))
tSh : Chiều dày nguyên bản của tấm gia cường (mm)
tf : Chiều dày nguyên bản của nếp sóng (mm)
(d) Khi tính mô đun chống uốn của nếp sóng (tiết diện ngang 1 ở Hình 2-A/29.8 (a) và (b)), diện tích tấm mép có thể tăng lên một lượng A tính theo công thức sau, nếu đặt tấm đệm có hiệu quả như nói ở 29.10.2-5(6) xem Hình 2-A/ 29.8 (a) và (b).
A = 7 hg tf (cm2)
Trong đó:
hg : Chiều cao tấm đệm, không được lấy lớn hơn 10 Sgu/7 (m) (xem Hình 2-A/ 29.8 (a) và <b))
Sgu : Độ rộng của tấm đệm (m)
tf : Chiều dày nguyên bản của tấm mép (mm)
(e) Nếu bản thành của nếp sóng được hàn với tấm đỉnh của thanh ốp nghiêng một góc không nhỏ hơn 45° so với mặt phẳng nằm ngang, thì mô đun chống uốn tiết diện của nếp sóng có thể được tính với cả bản thành của nếp sóng. Nếu góc đó nhỏ hơn, thì bản thành chỉ được lấy bằng giá trị nội suy của các giá trị sau (xem Hình 2-A/ 29.8(b)):
i) 0° - 30% diện tích bản thành
ii) 45° - 100% diện tích bản thành (xem Hình 2-A/29.8(b))
Trường hợp đặt tấm đệm có hiệu quả, khi tính mô đun chống uốn tiết diện của nếp sóng, diện tích tấm mép có thể được tăng lên như (d) nêu trên, có thể không áp dụng đối với trường hợp chỉ có tấm gia cường.
(2) Nếu đặt tấm đệm hoặc tấm gia cường có hiệu quả như nêu ở 29.10.2-5(5) và (6), xem Hình 2-A/ 29.8(a) và (b), thì mô đun chống uốn tiết diện của nếp sóng tại chân Zle không cần lớn hơn Z'le xác định theo công thức sau:

Trong đó:
Zg : Mô đun chống uốn tiết diện của nếp sóng phù hợp với -3 trong đường mút trên của tấm gia cường hoặc tấm đệm (cm3);
Q : Lực cắt nêu ở 29.10.3.3-2 (kN);
hg : Chiều cao của tấm gia cường hoặc tấm đệm (m) xem 2-A/ Hình 2-A/29.7 và Hình 2-A/29.8(a), (b);
S1: Như nêu ở 29.10.2-2;
Pg : Áp suất tổng hợp xác định ở 29.10.2-5, được tính trong vùng đặt tấm gia cường hoặc tấm đệm (kN/m2)
sa : Giới hạn chảy qui ước của vật liệu (N/mm2)
(3) Mô đun chống tiết diện tại tiết diện ngang khác với tiết diện chân vách được tính ở (1) và (-2), được tính với bản thành nếp sóng được coi là có hiệu quả và bản mép chịu nén có độ rộng hữu hiệu be, không cần lớn hơn trị số xác định ở (-1) nói trên.
(4) Khả năng chịu uốn của nếp sóng phải thỏa mãn điều kiện sau:

Trong đó:
M : Mô men uốn nêu ở 29.10.2-3 (kN.m)
Zle : Mô đun chống uốn tiết diện của nếp sóng tại chân vách được tính ở (1), cm3;
Zm : Mô đun chống uốn tiết diện tại giữa nhịp của nếp sóng, tính theo (3), cm3;
Trong mọi trường hợp : Zm £ 1,15 Zle
sa,le: Giới hạn chảy của vật liệu được dùng đối với chân nếp sóng (N/mm2);
sam: Giới hạn chảy của vật liệu được dùng đối với giữa nhịp nếp sóng (N/mm2).
(5) Ứng suất cắt của nếp sóng phải thỏa mãn điều kiện sau:

Trong đó:
ta = 0,5 sF (N/mm2)
sF - Giới hạn chảy của vật liệu (N/mm2);
Q - Lực cắt xác định theo 29.10.2-3(2) (kN);
Aw - Diện tích tiết diện bản thành nếp sóng (mm2);
f - Góc giữa bản thành và bản mép của nếp sóng (độ).
(6) Đối với độ bền uốn, ứng suất cắt t của bản thành tại các mút nếp sóng không vượt quá giá trị tiêu chuẩn tc xác định như sau:

Trong đó:

sF - Giới hạn chảy của vật liệu (N/mm2);

kt : Hệ số vật liệu, như qui định ở 1.1.7
E : Mô đun đàn hồi của vật liệu, E = 2,06.105 (N/mm2)
t : Chiều dày nguyên bản của bản thành nếp sóng (mm)
c : Độ rộng của bản thành nếp sóng (xem Hình 2-A/ 29.6(a))

Hình 2-A/29.7 Tấm gia cường

Hình 2-A/29.8 (a) Tấm đệm
(7) Chiều dày tấm nguyên bản của nếp sóng (t) được xác định như sau:

Trong đó:
Sw : Độ rộng của tấm được lấy bằng độ rộng nào lớn hơn giữa độ rộng bản mép và bản thành (m), xem Hình2-A/29.6(a);
P : Áp suất tổng hợp tại mỗi chân giải tôn vách tính theo 29.10.2-2(6), kN/m2. Trong mọi trường hợp chiều dày nguyên bản của dải thấp nhất được xác định khi lấy áp suất tổng hợp tại đỉnh của thanh ốp dưới, hoặc tại đỉnh của tấm gia cường hay tấm đệm nếu đặt tấm gia cường hay tấm đệm;
sF : Giới hạn chảy của vật liệu (N/mm2).
Đối với các vách sóng gia cường, có chiều dày của bản mép và bản thành khác nhau, chiều dày của tấm hẹp hơn không được nhỏ hơn tn tính theo công thức sau:

Trong đó:
Sn : Chiều rộng của tấm hẹp hơn (m).
Chiều dày nguyên bản của tấm rộng hơn tn không được nhỏ hơn tW1 và tW2 được xác định theo các công thức sau đây:

tnp : Trị số này không lớn hơn chiều dày nguyên bản của tấm hẹp hơn và tW1 (mm)

Hình 2-A/29.8 (b) Tấm đệm

Hình 2-A/29.9 Các đà ngang và sống dọc được tính toán
5. Các chi tiết kết cấu
(1) Góc gấp f, xem Hình 2-A/ 29.6(a) không được nhỏ hơn 55°.
(2) Chiều dày của phần dưới của nếp sóng được tính theo 29.10.2-4 (1), (2), (4) và (5) phải được duy trì ở một khoảng cách không nhỏ hơn 0,15 l tính từ đáy trong (nếu không đặt tấm đỡ) hoặc đỉnh của tấm đỡ.
(3) Chiều dày của phần giữa của nếp sóng được tính theo 29.10.2-4(3), (4) và (5) phải được duy trì ở một khoảng cách không nhỏ hơn 0,03 l tính từ boong (nếu khống đặt tấm đỡ) hoặc chân của thanh ốp trên.
(4) Mô đun chống uốn của nếp gấp ở phần cao nhất của vách không thuộc qui định ở (2) và (3) không được nhỏ hơn 75% trị số yêu cầu đối với vùng giữa vách qui định ở (3) và phải hiệu chỉnh đối với trường hợp vật liệu có giới hạn chảy khác nhau.
(5) Trong trường hợp nếu đặt tấm gia cường thì chiều dày của tấm gia cường phải phù hợp với những qui định sau:
(a) Không được đứt gãy;
(b) Phải hàn với nếp sóng và tấm nóc của tấm đệm dưới bằng mối hàn ngấu suốt một phía hoặc tương đương;
(c) Phải đặt có độ nghiêng tối thiểu bằng 45° và mép dưới của tấm gia cường phải thẳng hàng với tôn cong tấm đệm;
(d) Tấm gia cường phải có chiều dày không nhỏ hơn 75% chiều dày của tấm mép nếp sóng và vật liệu tấm tối thiểu phải tương đương với vật liệu tấm mép;
(6) Trong trường hợp nếu đặt tấm đệm, thì tấm đệm phải phù hợp với những qui định sau:
(a) Phải cùng với tấm gia cường phù hợp với các yêu cầu ở (5) nói trên;
(b) Phải có chiều cao không nhỏ hơn 1/2 chiều rộng bản mép của nếp sóng;
(c) Phải đặt thẳng hàng với tôn cạnh tấm đệm;
(d) Vật liệu tấm tối thiểu phải tương đương với vật liệu tấm mép của nếp sóng;
(e) Phải hàn với đỉnh của thanh ốp dưới bằng đường hàn liên tục hai phía hoặc đường thấu sâu (xem Hình 2-A/29.11) và phải hàn với nếp sóng và tấm gia cường bằng đường hàn liên tục một phía hoặc tương đương.
(7) Nếu đặt thanh ốp dưới vách, thì việc bố trí và kết cấu phải phù hợp với những qui định sau đây; đối với các tàu có chiều dài L1 £ 190 m thì phải tuân thủ các qui định ở (1) và (6) nói trên.
(a) Chiều cao của thanh ốp dưới, nói chung phải không nhỏ hơn 3 lần độ sâu của nếp sóng;
(b) Chiều dày và vật liệu làm thanh ốp dưới không được nhỏ hơn chiều dày qui định của tấm vách tại chân của nếp sóng, ở 29.10.2-4;
(c) Chiều dày và vật liệu làm phần trên của tôn cạnh thanh ốp nghiêng hoặc nằm ngang trong phạm vi chiều cao bằng chiều rộng tấm mép nếp sóng tính từ đỉnh thanh ốp không được nhỏ hơn chiều dày qui định của tấm vách tại chân của nếp sóng, ở 29.10.2-4;
(d) Các mút của nẹp đứng của thanh ốp phải liên kết với các mã ở đầu trên và đầu dưới của tấm đỡ;
(e) Khoảng cách từ mép của tấm nóc thanh ốp đến bề mặt của bản mép nếp sóng phải phù hợp với Hình 2-A/29.10;
(f) Chân thanh ốp phải đặt cùng đường với đà ngang đáy đôi và phải có chiều rộng không nhỏ hơn 2,5 lần chiều cao trung bình của nếp sóng;
(g) Thanh ốp phải có tấm ngăn đặt cùng đường với sống dọc đáy đôi để đỡ hữu hiệu vách sóng;
(h) Phải tránh khoét lỗ ở các mã và tấm ngăn trong vùng liên kết tấm nóc tấm đỡ;
(i) Bản mép và bản thành của tấm vách sóng phải được liên kết với tấm đỉnh thanh ốp bằng đường hàn liên tục hai phía. Tấm cạnh thanh ốp phải được liên kết với tấm đỉnh thanh ốp và tấm đáy trong bằng đường hàn liên tục hai phía hoặc đường hàn thấu sâu (xem Hình 2-A/29.11). Các đà ngang đỡ phải được liên kết với tấm đáy trong bằng đường hàn liên tục hai phía hoặc đường hàn thấu sâu (xem Hình 2- A/29.11).
d ³ tf; tf : Chiều dày mép ghép
|
|
|
| Hình 2-A/29.10 Khoảng cách qui định | |

| Ghi chú: | f = từ 3 mm đến T/3 mm |
|
| Góc nghiêng a = từ 40° đến 60° |
Hình 2-A/29.11 Mối hàn liên kết
(8) Nếu vách được đặt thanh ốp trên, thì kết cấu và việc bố trí phải phù với những qui định sau đây, đối với các tàu có chiều dài L1 £ 190 m, thì phải tuân thủ các qui định ở (a) và (d) nói trên.
(a) Nếu đặt thanh ốp trên thì nó phải có chiều cao bằng khoảng 2 đến 3 lần chiều cao của nếp sóng. Các thanh ốp hình chữ nhật phải có chiều cao bằng 2 lần chiều cao của nếp sóng, đo từ boong tại sống dọc miệng hầm hàng;
(b) Thanh ốp trên phải được đỡ hữu hiệu bởi sống dọc hoặc mã khỏe giữa các xà ngang mút miệng hầm hàng lân cận;
(c) Chiều rộng của tấm chân tấm đỡ, nói chung phải bằng chiều rộng của tấm nóc thanh ốp dưới;
(d) Nóc thanh ốp của các tấm không có dạng hình chữ nhật phải có chiều rộng không nhỏ hơn 2 lần chiều cao của nếp gấp;
(e) Chiều dày và vật liệu tấm chân thanh ốp phải giống như chiều dày và vật liệu yêu cầu đối với vách sóng ở phía dưới;
(f) Chiều dày của phần dưới của thanh ốp cạnh phải không nhỏ hơn 80% trị số đối với phần trên của tấm vách nếu sử dụng cùng loại vật liệu;
(g) Các mút nẹp của thanh ốp phải được liên kết với các mã tại đầu trên và đầu dưới tấm đỡ;
(h) Phải đặt tấm ngăn ở mặt trong và cùng mặt phẳng với thanh ốp nó phải được liên kết chắc chắn với sống dọc boong kéo dài đến sống dọc thành miệng hầm để đỡ hữu hiệu vách sóng;
(i) Tránh khoét lỗ ở các mã và tấm ngăn trong vùng liên kết với tấm chân đỡ.
(9) Nếu không đặt thanh ốp thì phải tuân thủ các qui định sau:
(a) Tại boong, không có thanh ốp trên phải đặt 2 xà ngang gia cường trùng với tấm mép của nếp sóng, chiều dày và vật liệu của xà ngang không được nhỏ hơn yêu cầu đối với tấm vách tại mút trên của nếp sóng và chiều cao của xà ngang không được nhỏ hơn 1/2 chiều cao của nếp sóng;
(b) Tại đáy không có thanh ốp dưới, tấm mép của nếp sóng phải trùng với đà ngang đỡ. Bản mép và bản thành của tấm vách sóng phải liên kết với tấm đáy trong bằng đường hàn liên tục hai phía hoặc đường hàn thấu sâu (xem Hình 2-A/29.11). Chiều dày và vật liệu làm đà ngang đỡ vách tối thiểu phải bằng yêu cầu đối với tấm mép nếp sóng;
(c) Lỗ khoét để liên kết các cơ cấu dọc đáy trong với đà ngang đáy đôi nói ở (2) phải được bịt kín bằng các tấm đệm (collar). Các đà ngang đỡ vách phải liên kết với mỗi đà ngang khác bằng các tấm thích hợp và được Đăng kiểm chấp thuận.
(10) Phải đặt các cơ cấu thích hợp để chuyển lực và mô men trên vách sóng vào các cơ cấu biên ở boong và đáy đôi.
29.10.3. Tải trọng cho phép tác động lên đáy đôi
1. Qui định chung
Các tàu phải có đáy đôi đủ bền để chịu đựng được khi bị ngập bất kỳ một khoang hàng nào trong mọi trạng thái tải trọng thiết kế và trạng thái dằn. Việc đánh giá độ bền đáy đôi phải phù hợp với 29.4.3.
2. Các lưu ý khi đánh giá độ bền
(1) Khi tính toán tải trọng của các loại hàng hóa tác dụng lên đáy đôi, phải lấy tỷ trọng hàng lớn nhất của các loại hàng hóa để tính.
(2) Khi tính toán lực cắt, phải lấy chiều dày thực tnet (tính theo công thức sau đây) của đà ngang và sống đáy để tính: tnet = t - 2,5 mm; trong đó t là chiều dày của đà ngang và sống đáy khi đóng mới.
(3) Khả năng chịu cắt của đáy đôi được tính bằng tổng độ bền cắt tại mút của mỗi thành phần cơ cấu sau:
(a) Tất cả các đà ngang kề với mỗi tấm đỡ, hoặc vách ngang nếu không có thanh ốp (xem Hình 2-A/29.9)
(b) Tất cả các sống đáy kề với cả hai phía thanh ốp hoặc vách ngang nếu không có thanh ốp (xem Hình 2- A/29.9).
(4) Nếu ở mút hầm, các sống dọc hoặc đà ngang đáy bị kết thúc mà không được liên kết trực tiếp với thanh ốp hoặc sống phụ ngoài cùng thì chỉ xem xét đánh giá cho một mút.
(5) Các đà ngang và sống dọc đáy được coi như cơ cấu bên trong biên hầm, được tạo nên bởi thanh ốp và sống phụ ngoài cùng (hoặc vách ngang nếu không đặt tấm đỡ). Các sống phụ ngoài cùng và thanh ốp nằm trực tiếp dưới liên kết của thanh ốp vách (hoặc vách ngang nếu không đặt tấm đỡ) với đáy trong không được tính đến.
(6) Nếu Đăng kiểm thấy hình dạng và/ hoặc việc bố trí các cơ cấu của đáy đôi không thích hợp với giả thiết ở (2), thì khả năng chịu cắt của đáy đôi phải được tính toán theo sự chấp thuận của Đăng kiểm.
3. Tiêu chuẩn độ bền
(1) Khả năng chịu cắt của đáy đôi Ch và Cc phải thỏa mãn các công thức sau đây:
Ch = Z.ADB.h (kN)
Cc = Z.ADB.c (kN)
Ngoài ra còn phải phù hợp với các qui định tương ứng nêu ở từ (-2) đến (-4) dưới đây.
(2) Khả năng chịu cắt của đáy đôi Ch và Cc được xác định theo các công thức sau đây:

Trong đó:
Sf1, Sf2 : Độ bền cắt của đà ngang đáy tại đường tiếp giáp với sống phụ ngoài cùng và độ bền cắt tại vùng lỗ khoét tại khu vực ngoài cùng, tương ứng được tính như sau:

Trong đó:
Af : Diện tích tiết diện của đà ngang đáy tiếp giáp với sống phụ ngoài cùng, mm2
Af,h : Diện tích tiết diện thực của lỗ khoét ở vùng ngoài cùng (đó là vùng gần với sống phụ ngoài cùng nhất), mm2
ta : Ứng suất cắt cho phép được lấy bằng trị số nhỏ hơn trong các trị số sau đây (đối với đà ngang đáy tiếp giáp với tấm đệm hoặc vách ngang có thể lấy bằng :
):

Trong đó:
sf : Là ứng suất chảy của vật liệu, N/mm2
hf1 = 1,10
hf2 = 1,20 - có thể giảm đến 1,10 nếu được gia cường thỏa đáng;
Sg1, Sg : Độ bền cắt của sống dọc trong vùng sống dọc tiếp giáp với tấm đệm (hoặc vách ngang nếu không đặt tấm đệm) và độ bền cắt của sống dọc trong vùng lỗ khoét lớn nhất ở vùng ngoài cùng (vùng gần tấm đệm hoặc vách ngang nhất) được tính theo công thức sau:

Trong đó:
Ag : Là diện tích tiết diện sống dọc tiếp giáp với tấm đệm (hoặc vách ngang nếu không đặt tấm đệm), mm2;
Ag,h : Là diện tích tiết diện thực của lỗ khoét rộng nhất ở vùng ngoài cùng (vùng gần tấm đệm hoặc vách ngang nhất), mm2;
hg1 =1,10
hg1 = 1,15 : có thể giảm đến 1,10 nếu được gia cường thỏa đáng.
(3) Tải trọng Z tính toán tác động lên đáy đôi được xác định theo công thức sau:
(a) Nếu h1 < hf :
z = rcgh1 + rg[ h1(perm - 1) - E + hf (N/mm2)
(b) Nếu h1 ³ hf :
z = rcgh1 + rg[ (E - hfPerm] (N/mm2)
Trong đó:
h1 : Khoảng cách thẳng đứng, từ đáy trong đến đường nằm ngang tương ứng với độ cao xếp hàng, được giả định ứng với mỗi hầm hàng theo thể tích V;
V : Thể tích chứa hàng trong mỗi hầm hàng, m2, được xác định như sau:

với: F = 1,10 - trường hợp chung;
F = 1,05 - đối với sản phẩm thép thường;
W : khối lượng hàng hóa xếp trong mỗi hầm (tấn)
rc : tỷ trọng hàng hóa, nhưng đối với sản phẩm thép thường thì rc được lấy bằng tỷ trọng của thép, t/m3;
hf : cột áp ngập nước trong mỗi hầm hàng, hf được lấy như sau (xem Hình 2-A/ 29.10.3-1):
hf = df - hDB
df : khoảng cách đo theo phương thẳng (m) ở vị trí cao nhất, từ đường cơ bản đến độ cao sau đây (xem Hình 2-A/29.5):

Trong đó:
hDB : chiều cao đáy đôi;
r : Tỷ trọng nước biển, lấy bằng 1,025 t/m3;
g : Gia tốc trọng trường, lấy bằng 9,81 m/s2;
Perm : Độ ngấm nước của hàng hóa, được xác định theo 29.10.1-2(1)(b), Perm = 0 cho sản phẩm thép thường.
E : Độ ngập của tàu đối với trạng thái hầm bị ngập, được xác định như sau:
E = df - 0,1D (m)
(4) Diện tích ADB,h và ADB,e của đáy đôi mà tải trọng tác động lên đó, được tính theo công thức sau:

Trong đó:
n : Số lượng đà ngang đáy giữa các tấm đệm (hoặc vách ngang, nếu không đặt tấm đệm);
Si : Khoảng cách của đà ngang thứ i, m;
BDB,i = BDB - Si : Đối với các đà ngang đáy có độ bền cắt được tính bằng Sf1 ở (2) nêu trên;
BDB,i = BDB,h : đối với các đà ngang đáy có độ bền cắt được tính bằng Sf2 ở (2) nêu trên;
BDB : chiều rộng của đáy đôi giữa các sống dọc gần hông tàu nhất (xem Hình 2-A/ 29.12);
BDB,h: Khoảng cách giữa 2 lỗ khoét đang xét, m (xem Hình 2-A/19.12);
Sl: Khoảng cách giữa các dầm dọc đáy đôi tiếp giáp với đà dọc gần hông tàu nhất, m.
29.10.4. Độ bền dọc trong điều kiện bị ngập
1. Qui định chung
Các tàu phải có đủ độ bền dọc để chịu đựng được ngập nước bất kỳ một hầm hàng nào trong những trạng thái sau đây. Tải trọng trong các hầm bị ngập và việc đánh giá độ bền dọc thân tàu phải phù hợp với 29.10.4-2 và - 3.
(a) Trạng thái dằn (rời bến và về bến);
(b) Trạng thái tải trọng đồng nhất (rời bến và về bến);
(c) Trạng thái tải trọng không đồng nhất (rời bến và về bến);
(d) Các trạng thái tải trọng khác mà Đăng kiểm thấy là cần thiết.
2. Tải trọng trong các hầm bị ngập
(1) Tải trọng được xét để đánh giá độ bền dọc thân tàu là tổng tải trọng của hàng hóa và tải trọng ngập nước trong điều kiện mà từng hầm hàng bị ngập riêng rẽ đến đường nước cân bằng.
(2) Để tính toán khối lượng nước ngập, sử dụng các giả thiết sau đây:
(a) Hệ số ngập nước của hầm hàng trống và thể tích bị khấu trừ trong không gian có chứa hàng được lấy bằng 0,95
(b) Hệ số ngập nước của hầm chứa hàng rời được lấy phù hợp với 29.10.1-2(1)(b), đối với sản phẩm thép thường hay thép cuộn, hệ số ngập nước được lấy bằng 0.
3. Tiêu chuẩn độ bền
(1) Mô đun chống uốn tiết diện Zf của tiết diện ngang thân tàu ở phần giữa tàu không được nhỏ hơn trị số Wz sau đây, trong tất cả các trạng thái tải trọng điển hình và trạng thái dằn, để sau khi bị ngập tàu vẫn đủ bền:
Wz = 5,72| Msf + 0.8Mw(+)| (cm3)
Wz = 5,72| Msf + 0.8Mw(-)| (cm3)
Trong đó:
Msf : Mô men uốn trên nước tĩnh trong tình trạng bị ngập đối với tiết diện đang xét, như qui định ở 13.2.1, kN.m;
Mw : mô men uốn trên sóng trong tình trạng bị ngập đối với tiết diện đang xét, như qui định ở 13.2.1, kN.m;
Zf : mô đun chống uốn tiết diện thực của tiết diện đang xét, tính theo 13.2.3, cm3
(2) Nếu xét thấy cần thiết thì Đăng kiểm có thể yêu cầu cả mô đun chống uốn của các tiết diện nằm ngoài vùng giữa tàu cũng phải thỏa mãn yêu cầu nêu trên.
(3) Chiều dày (t) của tấm vỏ mạn ở trạng thái đang xét không được nhỏ hơn trị số tính theo công thức sau đây, để sau khi bị ngập tàu vẫn đủ bền ở các trạng thái tải trọng điển hình và trạng thái dằn:

Trong đó:
Fsf : Lực cắt trên nước tĩnh trong tình trạng bị ngập đối với tiết diện đang xét, như qui định ở 13.3.1 (kN);
Fw : Lực cắt trên sóng trong tình trạng bị ngập đối với tiết diện đang xét, như nêu ở 15.3.1 (kN);
l và m : Như qui định ở 13.3.1-1.
(4) Kết cấu bị hư hại được coi như vẫn còn đủ khả năng chịu đựng tải trọng tác động.
(5) Ứng suất mất ổn định dọc trục phải được đánh giá phù hợp với 13.4.1.

Hình 2-A/29.12 Xác định BDB và BDB,h
29.11. Những yêu cầu bổ sung cho tàu chở hàng rời đang khai thác
29.11.1. Qui định chung
1. Phạm vi áp dụng
(1) Các tàu chở hàng rời, định nghĩa ở 1.3.1(13) Phần 1-B của TCVN 6259-1:2003, có kết cấu mạn đơn, đáp ứng tất cả các điều kiện sau đây, phải thỏa mãn những qui định ở 29.11.1-2, 29.11.1-3, 29.11.2, 29.11.3 và .4 để chịu đựng được ngập nước khoang hàng gần mũi tàu nhất.
(2) Đối với các tàu được đóng mới hoặc hoán cải có một boong, có các két đỉnh mạn và các két hông trong vùng khoang hàng dự định chủ yếu để chở xô hàng khô, được ký hợp đồng đóng vào trước ngày 01 tháng giêng năm 2004, các thiết bị xiết chặt và các tấm chặn đối với các nắp hầm kín thời tiết phải thỏa mãn các qui định ở 29.11.5.
(3) Ngoài những yêu cầu đặc biệt của Chương này, tàu chở hàng rời đóng mới còn phải áp dụng những yêu cầu chung về kết cấu và trang thiết bị của tàu vỏ thép và tàu chở hàng rời nêu ở các Mục từ 29.1 đến 29.10 của Chương này.
2. Định nghĩa
(1) Những thuật ngữ sử dụng vì mục đích của Chương này được định nghĩa như sau:
(a) "Tỷ trọng hàng rời" hoặc "Tỷ trọng rời" , t/m3, là tỷ lệ giữa khối lượng hàng hóa chuyên chở và thể tích dự kiến để khối lượng hàng hóa đó chiếm chỗ, bao gồm cả không gian trống giữa hàng hóa với nhau, không kể tới trọng lượng riêng của hàng hóa được định nghĩa ở 29.2.1-3;
(b) "Hệ số ngập nước" của 1 khoang, là tỷ lệ của thể tích trong phạm vi khoang được giả định bị nước chiếm chỗ và tổng thể tích của khoang đang xét. Trong Chương này trị số nêu ở Bảng 2-A/ 29.18 có thể được dùng như một tiêu chuẩn phù hợp với loại hàng hóa. Đối với hàng hóa khác loại với hàng hóa nêu ở Bảng 2-A/29.18, hệ số ngập nước do Đăng kiểm qui định;
(c) Góc tỳ là góc nghiêng lớn nhất giữa mặt phẳng nằm ngang và mặt nón nghiêng của mặt chảy tự do của hàng rời. Trong Chương này, trị số nêu trong Bảng 2-A/ 29.19 có thể được dùng như một tiêu chuẩn phù hợp với loại hàng hóa. Đối với hàng hóa khác loại với hàng hóa nêu ở Bảng 2-A/ 29.19, trị số cho phép do Đăng kiểm qui định.
3. Thời hạn hiệu lực
Trong mục -1, thuật ngữ "những yêu cầu trong Chương này" được nhắc lại là "những qui định ở 29.11.2, 29.11.3 và 29.11.4.
Bảng 2-A/ 29.18 Hệ số ngập nước
| Số T.T | Loại hàng & không gian | Hệ số ngập nước |
| 1 | Quặng sắt | 0,30 |
| 2 | Xi măng | 0,30 |
| 3 | Than đá | 0,30 |
| 4 | Không gian trống | 0,95 |
Bảng 2-A/ 29.19 Góc tỳ
| Số T.T | Loại hàng & không gian | Góc tỳ, độ |
| 1 | Quặng sắt | 35 |
| 2 | Xi măng | 25 |
| 3 | Than đá | 35 |
Bảng 2-A/ 29.20 Thời hạn thực hiện đối với tàu đang khai thác
| Tuổi tàu đến 01/07/1998 : A | Thời hạn hiệu lực |
| A ³ 20 năm | Vào đúng ngày kiểm tra trung gian lần thứ nhất hoặc kiểm tra đặc biệt được tổ chức sau ngày 01/07/1998, chọn ngày đến trước. |
| 15 năm £ A < 20 năm | Vào đúng ngày kiểm tra đặc biệt được tổ chức sau ngày 01/07/1998, nhưng không muộn hơn 01/07/2002. |
| 10 năm £ A < 15 năm | Vào đúng ngày kiểm tra trung gian lần thứ nhất hoặc kiểm tra đặc biệt được thực hiện sau ngày đủ 15 tuổi, nhưng không muộn hơn ngày mà tàu đủ 17 tuổi. |
| 5 năm £ A < 10 năm | Vào đúng ngày, sau ngày 01/07/2003, của lần kiểm tra trung gian lần thứ nhất hoặc kiểm tra đặc biệt được thực hiện sau ngày tàu đủ 10 tuổi, chọn ngày đến trước. |
| A < 5 năm | Vào đúng ngày mà tàu đủ 10 tuổi. |
Ghi chú:
Đúng ngày kiểm tra trung gian có thể lấy như là lần kiểm tra hàng năm lần thứ hai hoặc thứ ba.
29.11.2. Vách ngang kín nước dạng sóng
1. Qui định chung
(1) Những yêu cầu trong mục này được áp dụng cho những vách ngang kín nước dạng sóng nếp đứng đặt ở sau hầm hàng gần mũi nhất.
(2) Trong mục này, trạng thái tải trọng đồng nhất nghĩa là trạng thái tải trọng mà trong đó tỷ lệ giữa hệ số điền đầy hàng cao nhất và thấp nhất không vượt quá 1.2, đánh giá cho hai hầm hàng gần mũi nhất, phải điều chỉnh đối với các hàng hóa có tỷ trọng khác nhau.
(3) Khi lựa chọn các qui cách của vách phải xét đến tải trọng tổng cộng do hàng và nước ngập gây ra, ở các trạng thái tải trọng nêu trong sổ tay tải trọng, cho cả hai trường hợp sau:
(a) Trạng thái tải trọng đồng nhất;
(b) Trạng thái tải trọng không đồng nhất.
Ngoài ra, trong bất kỳ trường hợp nào khi tính toán vách phải xét đến điều kiện chỉ có áp lực nước tác động vào vách. Không cần phải thực hiện những yêu cầu của mục này, trong trường tải trọng không đồng nhất cục bộ kết hợp với tải trọng đa dạng và khai thác không tải đối với trạng thái hàng không đồng nhất.
(4) Chiều dày của vách sóng, ngoại trừ mép gấp (sau đây gọi là "chiều dày nguyên bản" - tnet) phải được lấy làm cơ sở để tính toán các qui cách của vách.
2. Mô hình tải trọng
(1) Chiều cao cột áp ngập nước hf - là khoảng cách đo theo phương thẳng đứng ở tư thế thẳng đứng, từ điểm tính toán đến độ cao bằng df(m) kể từ đường cơ bản (xem Hình 2-A/29.5):
(a) Trường hợp chung:
hf = D m
(b) Đối với những tàu có DW < 50.000 tấn với mạn khô kiểu B:
hf = 0,95D m
(c) Đối với những tàu hoạt động với chiều chìm ở đường nước tải trọng được ấn định dr nhỏ hơn chiều chìm ở đường nước tải trọng cho phép d, chiều cao cột áp ngập nước hf được xác định theo (1) hoặc (2) có thể được giảm đi một lượng bằng (d - dr).
(2) Độ cao hàng hóa chất ở hầm hàng gần mũi nhất d1 đo từ đường cơ bản đến vị trí được xác định theo công thức sau đây:

Trong đó:
Mc : Khối lượng hàng hóa ở hầm hàng gần mũi nhất, tấn;
rc : Tỷ trọng hàng rời, t/m3;
lc : Chiều dài của hầm hàng gần mũi nhất, m;
B : Chiều rộng giữa tàu, m;
vLS : Thể tích của máng đỡ đáy ở bên trên đáy trong, m3;
hHT : Chiều cao của két mạn ở giữa tàu, tính từ đường cơ bản m;
hDB : Chiều cao đáy đôi, m;
bHT : Chiều rộng két mạn ở giữa tàu, m;
(3) Trong hầm chứa hàng, áp suất và lực tác dụng lên vách tại điểm đang xét trong tình trạng ngập nước được xác định theo (a) và (b) dưới đây, phù hợp với quan hệ giữa chiều cao cột áp ngập nước df và chiều cao chất hàng d1 được tính ở (1) và (2) tương ứng (xem Hình 2-A/ 29.5):
(3) Trong hầm chứa hàng, áp suất và lực tác dụng lên vách tại điểm đang xét trong tình trạng ngập nước được xác định theo (a) và (b) dưới đây, phù hợp với quan hệ giữa chiều cao cột áp ngập nước df và chiều cao chất hàng d1 được tính ở (1) và (2) tương ứng (xem Hình 2-A/ 29.5):
(a) Trường hợp hf > d1:
i) Tại mỗi điểm của vách nằm ở khoảng giữa hf và d1, tính từ đường cơ bản, áp suất Pc,f được lấy như sau:
Pc,f = rghf (kN/m2)
ii) Tại mỗi điểm của vách nằm ở khoảng cách thấp hơn d1, tính từ đường cơ bản, áp suất Pc,f được lấy như sau:
Pc,f = rghf + [rc - r(1-perm)]gh1tg2g (kN/m2)
iii) Lực Fc,f tác động lên nếp sóng được xác định theo công thức sau:

Trong đó:
df : Như nêu ở (1) nói trên
d1, hDB : như qui định ở (2) nói trên
g : Gia tốc trọng trường; 9,81 m/s2
r : Tỷ trọng của nước biển, t/m3
rc : Tỷ trọng của hàng rời, t/m3
perm : Hệ số ngấm nước được định nghĩa ở 29.11.1-2(1)(b)
hL : Khoảng cách thẳng đứng từ điểm đang xét tới độ cao hàng hóa d1 nêu ở (2) nói trên tính từ đường cơ bản, m
g = 45° - f / 2
f : Góc tỳ được định nghĩa ở 29.11.1-2(1)(c)
s1 : khoảng cách nếp sóng ở 1/2 bước, m (xem Hình 2-A/29.6 (a))
(pc,f)le : áp suất tại đầu dưới của nếp sóng, kN/m2
hLS - chiều cao của máng đệm dưới từ đáy trong, m
(b) Trường hợp df < d1:
i) Tại mỗi điểm của vách nằm ở khoảng cách giữa df và d1, tính từ đường cơ bản, áp suất pcf được xác định theo công thức sau:
pc =rcgh1tg2g (kN/m2)
ii) Tại mỗi điểm của vách nằm ở khoảng cách thấp hơn d1, tính từ đường cơ bản, áp suất pcf được xác định theo công thức sau:
pcf = rghf + [rch1 - r(1 - perm)hf ] gtg2g (kN/m2)
iii) Lực Fc,f (kN) tác động lên nếp sóng được xác định theo công thức sau:

Trong đó:
df : Như qui định ở (1) nói trên
d1, hDB : Như xác định ở (2) nói trên
g, r, rc, hf, h1, s1, perm, (pc,f)le ,hLS : Như qui định qui định ở (a) nói trên
(4) Trong các khoang trống, áp suất và lực ở điểm đang xét tác động lên vách trong tình trạng ngập nước được xác định theo (a) và (b) dưới đây:
(a) Tại mỗi điểm của vách áp suất thủy tĩnh pf do ngập nước tạo nên, là chiều cao cột áp ngập nước, được xác định theo công thức ở (1) nói trên;
(b) Lực Ff tác động lên nếp sóng được tính theo công thức sau:

Trong đó:
s1, r, g, df, hDB, hLS : Như qui định ở (3) nói trên.
(5) Trong hầm hàng có hàng không bị ngập nước, áp suất và lực Ff tác động lên điểm đang xét ở vách trong tình trạng bị ngập nước được xác định theo (a) và (b) dưới đây:
(a) Tại mỗi điểm của vách, áp suất pc tác động lên nếp sóng được xác định như sau:
pc = rcgh1tg2g (kN/m2)
Trong đó:
rc, g, h1, g : Như qui định ở (3) nói trên
(b) Lực Fc tác động lên nếp sóng được xác định như sau:

Trong đó:
rc, g, d1, s1, g, hLS, hDB : Như qui định ở (3) nói trên.
(6) Áp suất P và lực F tổng hợp tại mỗi điểm của vách được dùng để tính toán qui cách vách phải được tổng hợp từ áp suất và lực, phù hợp với các qui định từ (3) đến (5), ở các trạng thái tải trọng, được xác định theo các công thức sau:
(a) Trường hợp tải trọng đồng nhất:
p = pcf - 0,8pc (kN/m2)
F = Fcf - 0,8Fc (kN)
(b) Trường hợp tải trọng không đồng nhất
p = pcf (kN/m2)
F = Fcf (kN)
(c) Trường hợp khoang ở gần mũi nhất không được chứa hàng trong trạng thái tải trọng không đồng nhất:
p = pf (kN/m2)
F = Ff (kN)
Mômen uốn và lực cắt ở vách sóng
(1) Mômen uốn thiết kế M đối với vách sóng được xác định theo công thức sau:

Trong đó:
F : Như xác định ở 29.11.2-2(6)
l - Nhịp của nếp sống được lấy theo Hình 2-A/29.6 (a) và (b)
(2) Lực cắt Q tại chân vách sóng được xác định theo công thức sau:
Q = 0,8 F (kN)
Trong đó: F - được xác định như ở 29.11.2-2(6)
Tiêu chuẩn độ bền
(1) Mô đun chống uốn của tiết diện tại chân nếp sóng được tính toán với những lưu ý sau:
(a) Chiều rộng của mép nếp sóng bị nén được đưa vào tính toán mô đun chống uốn tiết diện không được vượt quá chiều rộng hữu ích xác định theo công thức sau:

tf : chiều dày nguyên bản tấm mép, mm
a : độ rộng tấm mép nếp sóng, m (xem Hình 2-A/29.6 (a))
sF : giới hạn chảy của vật liệu, N/mm2
E : mô đun đàn hồi của vật liệu: E = 2,06.105 N/mm2
(b) Trong trường hợp nếu tấm thành của nếp sóng không được đỡ bởi mã vùng nằm dưới đỉnh máng (hoặc đáy trong) ở phần thấp hơn, thì mô đun chống uốn tiết diện của nếp sóng được tính chỉ với 30% hiệu quả của tấm thành.
(c) Với điều kiện là tấm cánh hữu ích, như định nghĩa ở 29.11.2-5(4), được đặt (xem Hình 2-A/29.7), khi tính mô đun chống uốn tiết diện (tiết diện ngang (1) trong Hình 2-A/29.7) diện tích của tấm mép (Fm) có thể được tăng lên theo công thức sau, nhưng không được lấy lớn hơn 2,5atf :

Trong đó:
a : Chiều rộng của tấm mép nếp sóng (xem Hình 2-A/ 29.6 (a)), m
tsh : Chiều dày nguyên bản của tấm cánh nếp sóng, mm
tf : Chiều dày nguyên bản của tấm mép nếp sóng, mm
sFsh : Giới hạn chảy vật liệu tấm cánh, N/mm2
sFsh, sFfl : Giới hạn chảy vật liệu tấm mép, N/mm2
(d) Với điều kiện là tấm đệm hữu ích, như định nghĩa ở 29.11.2-5(5) được đặt (xem Hình 2-A/29.8 (a) và( b)), khi tính mô đun chống uốn tiết diện (tiết diện ngang (1) trong Hình 2-A/ 29.8 (8) và (b))diện tích của tấm mép (Fm) có thể được tăng lên theo công thức sau: Fm = 7hgtgu (cm2).
Trong đó:
hg : Chiều cao tấm đệm, nhưng không được lấy lớn hơn 10sgu/7 (m) (xem Hình 2-A/29.8 (a) và (b))
sgu : Chiều rộng tấm đệm, m
tgu : chiều dày nguyên bản của tấm đệm, nhưng không được lấy lớn hơn tf xác định ở (3) nói trên, mm.
(c) Nếu thành nếp sóng được hàn với tấm nóc máng nghiêng, mà nó nghiêng tại một góc không nhỏ hơn 45° so với mặt phẳng nằm ngang, thì mô đun chống uốn tiết diện của nếp sóng có thể được tính toán với toàn bộ hiệu quả của tấm thành nếp sóng. Nếu góc nghiêng nhỏ hơn 45°, thì hiệu quả của tấm thành có thể được xác định theo nội suy tuyến tính giữa 30% và 100% đối với 45° (xem Hình 2-A/ 29.8 (b)).
Trong trường hợp đặt tấm đệm, khi tính toán mô đun chống uốn tiết diện của nếp sóng, diện tích của tấm mép có thể được tăng lên như xác định ở (4) nói trên.
(2) Với điều kiện đặt tấm đệm hoặc tấm cánh hữu hiệu, như qui định ở 29.11.3-5(4) và 29.11.3-5(5) (xem Hình 2-A/29.8 (a) và (b)), mô đun chống uốn tiết diện của nếp sống tại mút dưới Zle phải không lớn hơn Z'le, được xác định theo công thức dưới đây:

Trong đó:
Zg : Mô đun chống uốn tiết diện của nếp sóng phù hợp với (3), ở vùng mút trên của tấm cánh hoặc tấm đệm, cm3
Q : Lực cắt, như qui định ở 29.11.3-3(2), kN
hg : chiều cao của tấm cánh hoặc tấm đệm, m (xem Hình 2-A/ 29.7 và 2-A/ 29.8 (a) và (b))
s1 : Như nêu ở 29.11.3-2(3)
pg : Áp suất tổng hợp, như qui định ở 29.11.3-2(6), xác định trong vùng của tấm đệm hoặc tấm cánh, kNm2
sa : Giới hạn chảy của vật liệu, N/mm2.
Mô đun chống uốn tiết diện của nếp sóng tại tiết diện ngang khác với mút dưới đã tính ở (1) và (2), được tính toán với tấm thành nếp sóng hữu hiệu và tấm mép chịu nén với độ rộng hữu hiệu bef, không lớn hơn trị số xác định ở (1) nói trên.
(4) Khả năng uốn của nếp sóng phải thỏa mãn điều kiện sau:

Trong đó:
M : Mômen uốn như qui định ở 29.11.2-3(1), kN.m
Zle : Mô đun chống uốn tiết diện của nếp sóng tại mút dưới, xác định như ở (1), cm3
Zm : Mô đun chống uốn tiết diện của nếp sóng tại giữa nhịp, xác định như ở (3), cm3. Trong mọi trường hợp không được lấy Zm lớn hơn 1,15Zle
sa,le : Giới hạn chảy của vật liệu làm mút dưới nếp sóng, N/mm2
sa,m : Giới hạn chảy của vật liệu làm giữa nhịp nếp sóng, N/mm2
(5) Ứng suất tiếp của nếp sóng phải thỏa mãn điều kiện sau:

sF : Giới hạn chảy của vật liệu, N/mm2
Q : Lực cắt như nêu ở 29.10.2-3(2), kN
Aw : Diện tích tiết diện tấm thành nếp sóng tại mút dưới, mm2
f : Góc giữa tấm thành và tấm mép, độ.
(6) Đối với độ bền mất ổn định, ứng suất tiếp t của tấm thành tại các mút của nếp sóng không được vượt quá trị số tiêu chuẩn tc (N/mm2) được xác định theo công thức sau:

k1 : hệ số lấy bằng 6,34
E : môđun đàn hồi của vật liệu: 2,06 x 105 N/mm2
t : chiều dày nguyên bản của tấm thành nếp sóng, mm
c : độ rộng của tấm thành nếp sóng, m (xem Hình 2-A/ 29.6 (a))
(7) Chiều dày tấm nguyên bản lân cận nếp sóng t, mm, phù hợp với nó, được tính theo công thức sau:

Trong đó:
Sw : độ rộng của tấm được lấy bằng độ rộng của tấm mép hoặc tấm thành nếp sóng, chọn trị số nào lớn hơn, m (xem Hình 2-A/ 29.6 (a));
p : áp suất tổng hợp, kN/m2, tại đáy của mỗi dải của tấm vách như tính toán ở 29.11.3-2(6), trong mọi trường hợp, chiều dày nguyên bản của dải dưới cùng được xác định với áp lực tổng hợp tại đỉnh của máng dưới, hoặc ở đáy trong nếu không đặt máng dưới, hoặc ở đỉnh của tấm cánh hoặc tấm đệm nếu đặt tấm đệm/ tấm cánh;
sF : Giới hạn chảy của vật liệu, N/mm2
Đối với vách sóng ghép, nếu chiều dày của tấm mép và tấm thành khác nhau, thì chiều dày nguyên bản của tấm hẹp hơn không được nhỏ hơn tn, mm, xác định theo công thức sau:

Sn : độ rộng của tấm hẹp hơn, m
Chiều dày nguyên bản của tấm rộng hơn tw, mm, không được lấy nhỏ hơn tw1 và tw2, xác định theo công thức sau:

Trong đó: tnp - trị số không lớn hơn chiều dày nguyên bản của tấm hẹp hơn và tw1, mm.
5. Các chi tiết kết cấu
(1) Trong trường hợp, nếu góc gấp f, như chỉ ra ở Hình 2-A/ 29.6 (a) nhỏ hơn 50°, thì hàng ngang của tấm cánh chéo phải được đặt ở gần giữa chiều sâu của nếp sóng theo thứ tự để giữ cho vách ổn định dưới tác động của tải trọng ngập nước. Tấm cánh phải được hàn với nếp sóng bằng đường hàn liên tục hai phía, nhưng không cần hàn chúng với tôn vỏ.
(2) Chiều dày phần dưới của nếp sóng được tính ở 29.11.3-4(1), (2), (4), và (5) phải được duy trì ở khoảng cách không nhỏ hơn 0,15l tính từ đáy trong (nếu không có máng dưới) hoặc đỉnh của máng dưới.
(3) Chiều dày phần giữa của nếp sóng được tính ở 29.11.3-4(3), (4) và (5) phải được duy trì ở khoảng cách không nhỏ hơn 0,30l tính từ boong (nếu không có máng trên) hoặc đỉnh của máng trên.
(4) Trong trường hợp, nếu đặt tấm cánh, thì tấm cánh phải thỏa mãn đầy đủ các qui định sau:
(a) Không được gấp khúc;
(b) Phải được hàn với nếp sóng và tấm nóc của máng dưới bằng đường hàn ngấu suốt một phía hoặc tương đương;
(c) Phải được đặt nghiêng tối thiểu 45° và mép dưới của nó nằm trong cùng đường thẳng với tầm cạnh máng đỡ.
(5) Trong trường hợp, nếu đặt tấm đệm, thì tấm đệm phải thỏa mãn đầy đủ các qui định sau:
(a) Phải đặt trong cùng đường thẳng với tấm cạnh máng đỡ;
(b) Làm bằng vật liệu tối thiểu phải tương đương với vật liệu tấm mép nếp sóng.
(6) Bồi thường hao mòn, thay mới thép và gia cường:
Vách sóng được thay mới hoặc gia cường bằng sự đo đạc đánh giá thích hợp của Đăng kiểm, phù hợp với quan hệ giữa chiều dày đo được thực tế và chiều dày nguyên bản yêu cầu đối với tiết diện đó.
29.11.3. Tải trọng hầm cho phép trên đáy đôi
1. Qui định chung
Tải trọng ở hầm hàng gần mũi nhất không được vượt quá tải trọng hầm cho phép trong tình trạng ngập nước, tính toán ở 29.11.3, sử dụng cột áp ngập nước nêu ở 29.11.4-2 và khả năng chịu cắt của đáy đôi nói ở 29.11.3-2
(a) Phải lấy tải trọng tổng hợp, theo phương diện khắc nghiệt nhất, giữa tải trọng hàng hóa và tải trọng ngập nước, phụ thuộc vào các trạng thái tải trọng nêu trong sổ tay tải trọng:
(b) Tất cả các trạng thái tải trọng hàng rời ngoại trừ trạng thái hàng đóng gói cũng như các sản phẩm thép thông thường;
(c) Các trạng thái hàng đóng gói cũng như các sản phẩm thép thông thường.
Đối với mỗi trạng thái tải trọng, phải lấy tỷ trọng hàng rời lớn nhất trong các loại hàng rời được chuyên chở để tính toán giới hạn tải trọng hầm cho phép.
2. Cột áp ngập nước
(1) Cột áp ngập nước hf, m, được đo theo phương thẳng đứng với tàu ở vị trí thẳng đứng, từ điểm tính toán đến độ cao bằng df, m, từ đường cơ bản (xem Hình 2-A/ 29.5):
| df = D | (m) | Trường hợp chung |
| df = 0,95D | (m) | Đối với tàu nhỏ hơn 50.000 tấn DW có mạn khô kiểu B. |
3. Khả năng chịu cắt
(1) Khả năng chịu cắt Ck và Ce của đáy đôi ở hầm hàng gần mũi nhất được xác định là tổng của độ bền cắt tại mỗi mút của các thành phần sau:
(a) Tất cả các đà ngang liền kề với cả hai đà dọc gần hông, nhỏ hơn một nửa độ bền của đà ngang liền kề với mối máng đỡ, hoặc vách ngang nếu không đặt máng đỡ (xem Hình 2-A/29.9)
(b) Tất cả các sống dọc đáy đôi liền kề với cả hai máng đỡ hoặc vách ngang nếu không đặt máng đỡ. Độ bền của các sống dọc hoặc đà ngang đáy ở ngoài và không liên kết trực tiếp với máng đỡ biên hoặc đà đọc gần hông chỉ được đánh giá cho một mút.
(2) Các đà ngang và sống dọc đang xét phải ở bên trong các biên hầm, tạo thành bởi các đà dọc gần hông và máng đỡ (hoặc vách ngang nếu không có máng đỡ). Chiếc sống dọc cạnh hầm chứa và các đà ngang đáy nằm trực tiếp dưới liên kết của máng đỡ vách (hoặc vách ngang nếu không có máng đỡ) với đáy trong không được tính đến.
(3) Khi tính toán độ bền cắt, chiều dày nguyên bản tnet của các đà ngang và sống dọc được sử dụng, như cho theo công thức sau đây:
tnet = t - tc (mm)
Trong đó:
t : chiều dày lúc mới đóng của các đà ngang và sống dọc, mm;
tc: lượng hao mòn do han gỉ, nói chung thường lấy bằng 2 mm; có thể lấy giá trị thấp hơn, nếu việc đo đạc để chứng minh trị số giả thiết là đúng, được Đăng kiểm cho là thích hợp.
(a) Nếu hình dạng hình học và/ hoặc bố trí kết cấu của đáy đôi được coi là thiếu khả năng đối với giả thiết nói ở -2, thì khả năng chịu cắt của đáy đôi phải được tính toán trực tiếp theo yêu cầu của Đăng kiểm.
(b) Khả năng chịu cắt của đáy đôi Ch, và Ce được xác định theo công thức sau đây:
Ch = åmin(Sf1,Sf2) + åmin(Sg1,Sg2) (kN)
Ce = åSf1 + åmin(Sg1,Sg2) (kN)
Trong đó:
Sf1, Sf2 : Độ bền cắt của đà ngang nằm trong đường đà ngang hộp liên kết với các đà dọc cạnh hông, và độ bền cắt của đà ngang nằm trong vùng lỗ khoét xa hốc nhất (có nghĩa là hốc đó gần với hầm chứa nhất), Sf1, Sf2 tương ứng được tính theo công thức sau:

Trong đó:
Af : Diện tích tiết diện của đà ngang hộp (panel) liên kết với các đà dọc cạnh hông, mm2;
Af,h : Diện tích tiết diện nguyên bản của lỗ khoét ở gần hốc nhất (có nghĩa là hốc đó gần với hầm chứa nhất), mm2;
ta : ứng suất tiếp cho phép,
, N/mm2
sF : giới hạn chảy của vật liệu, N/mm2
hf1 = 1,10
hf2 = 1,20, có thể giảm đến bằng 1,10; nếu đặt gia cường thỏa đáng được Đăng kiểm chấp nhận.
Sg1, Sg2 : độ bền cắt của sống dọc trong đường sống hộp (panel) liên kết với máng đỡ (hoặc vách ngang, nếu không có máng đỡ) và độ bền của chiếc sống dọc trong vùng của lỗ khoét rộng nhất, ở xa hốc nhất (có nghĩa là hốc gần máng đỡ nhất, hoặc vách ngang nhất, nếu không có máng đỡ) được cho theo công thức dưới đây:

Trong đó:
Ag : Diện tích tiết diện của sống hộp kề cạnh với máng đỡ (hoặc vách ngang, nếu không có máng đỡ), mm2
Ag,h : Diện tích nguyên của lỗ khoét rộng nhất, ở gần hốc nhất (có nghĩa là hốc gần máng đỡ nhất, hoặc vách ngang nhất, nếu không có máng đỡ), mm2
hg1 = 1,10
hg2 = 1,15, có thể giảm đến bằng 1,10; nếu đặt gia cường thỏa đáng được Đăng kiểm chấp nhận.
29.11.4. Tải trọng hầm cho phép
1. Tải trọng hầm cho phép W ở hầm gần mũi nhất được tính toán theo công thức dưới đây, nhưng không vượt quá tải trọng hầm thiết kế lớn nhất trong điều kiện không bị hư hỏng:

Trong đó:
F = 1,05 - Trường hợp chung
F = 1,00 - Đối với các sản phẩm thép thông thường.
rc : Tỷ trọng hàng rời, t/m3; đối với các sản phẩm thép thông thường, rc là tỷ trọng của thép.
V: Thể tích chiếm chỗ của hàng hóa (m3) tại độ cao định mức h1, tính theo công thức sau đây:

Trong đó:
X : Trị số nhỏ hơn trong hai trị số X1 và X2 dưới đây, đối với hàng rời; đối với các sản phẩm thép thông thường có thể lấy bằng X1, với perm = 0 :

r : Tỷ trọng của nước biển: 1,025. t/m3
g : Gia tốc trọng trường: 9,81 m/s2
E' = df - 0,1D (m)
Trong đó:
df : Như qui định ở 29.11.1-2(1)
hf : Như qui định ở 29.11.1-2(1)
perm : Hệ số ngấm nước của hàng hóa như qui định ở 29.10 1.2-1(2), đối với sản phẩm thép thông thường perm = 0
Z : trị số nhỏ hơn trong hai trị số Z1 và Z2, được tính như sau:

Trong đó:
Ch và Ce: Như qui định ở 29.11.4-3
ADB,h và ADB,e : Được xác định như sau:

n : Số đà ngang đáy ở giữa các máng đỡ mà độ bền cắt của chúng được tính bởi Sf1 ở 29.11.3-5
Si : Khoảng cách của đà ngang thứ i, m
BDB,i = BDB - Si (m) - Đối với các đà ngang mà độ bền cắt được tính bằng Sf1 ở 29.11.4-3(5)
BDB,i = BDB,h (m) - Đối với các đà ngang mà độ bền cắt được tính bằng Sf2 ở 29.11.4-3(5)
BDB : Chiều rộng của đáy đôi giữa các đà dọc cạnh gần hông, m (Hình 2-A/ 29.12)
BDB,h : Khỏang cách giữa hai lỗ khoét đang xét, m (Hình 2-A/ 29.12)
Sl : khoảng cách của các dầm dọc đáy đôi liền kề đà dọc cạnh gần hông tàu, m.
29.11.5. Các nắp miệng khoang hàng kín nước bằng thép
1. Thời hạn hiệu lực
Đối với các tàu được đóng hoặc hoán cải có boong đơn, các két đỉnh mạn và các két hông trong vùng khoang hàng và được dự định chủ yếu để chở xô hàng khô, được hợp đồng đóng vào trước ngày 01 tháng 01 năm 2003, các nắp khoang (hầm) kín nước bằng thép đối với các miệng khoang nằm toàn bộ hoặc một phần trong phạm vi 0,25 L1 của mút trước L1 phải phù hợp với các qui định ở 29.11.5-2 và -3 theo thời hạn nêu trong Bảng 2-A/29.21. Ngoài những qui định nêu trên, các nắp hầm khác với các nắp hầm đối với hầm sát mũi nhất và các hầm hàng thứ hai phải áp dụng những qui định này. Chiều dài L1 là chiều dài được định nghĩa ở 13.2.1-1.
2. Các thiết bị xiết chặt
Phải đặt các thiết bị hữu hiệu được Đăng kiểm chấp nhận để xiết chặt kín thời tiết đối với các nắp hầm hàng kín thời tiết bằng thép.
3. Các tấm chặn
Đối với các nắp miệng hầm (khoang) kín thời tiết bằng thép, phải đặt các thiết bị hữu hiệu được Đăng kiểm chấp nhận để ngăn chặn lực nằm ngang tác động lên mút trước và mặt cạnh.
Bảng 2-A/ 29.21 Thời hạn hiệu lực đối với các tàu đang khai thác
| Tuổi tàu vào ngày 01/01/2004 : A | Thời hạn hiệu lực |
| 15 tuổi £ A | Vào đúng ngày kiểm tra trung gian lần thứ nhất hoặc kiểm tra đặc biệt được thực hiện sau ngày 1/01/2004 |
| 10 tuổi £ A < 15 tuổi | Vào đúng ngày kiểm tra đặc biệt lần thứ nhất được thực hiện sau ngày 1/01/20041 |
| A < 10 tuổi | Vào đúng ngày tàu tròn 10 tuổi2 |
Ghi chú:
1. Nếu ngày kiểm tra đặc biệt lần thứ nhất muộn hơn ngày mà tàu tròn 15 tuổi, thì thời hạn hiệu lực được lấy là ngày kiểm tra trung gian hoặc kiểm tra đặc biệt lần thứ nhất sau ngày mà tàu tròn 15 tuổi, chọn ngày nào gần nhất.
2. Nếu ngày kiểm tra trung gian hoặc kiểm tra đặc biệt lần thứ nhất không rơi vào trong khoảng ngày 01/01/ 2004 và ngày mà tàu tròn 10 tuổi, thì thời hạn hiệu lực có thể lấy là ngày kiểm tra trung gian hoặc đặc biệt lần thứ nhất sau ngày tàu tròn 10 tuổi.
CHƯƠNG 30 TÀU CÔNG TE NƠ
30.1. Qui định chung
30.1.1. Phạm vi áp dụng
1. Kết cấu và trang thiết bị của những tàu được thiết kế để đăng ký là "Tàu công te nơ" phải theo những yêu cầu của Chương này.
2. Ngoài những yêu cầu đặc biệt của Chương này, những yêu cầu chung đối với kết cấu và trang thiết bị của tàu thép cũng phải được áp dụng cho Tàu công te nơ.
3. Những yêu cầu của Chương này được áp dụng cho các tàu có boong đơn, có đáy đôi ở khoang hàng, có boong và đáy kết cấu theo hệ thống dọc.
4. Những Tàu công te nơ có kết cấu khác với qui định ở -3 không áp dụng những yêu cầu của Chương này phải được Đăng kiểm xét duyệt riêng.
30.1.2. Tính toán trực tiếp độ bền
1. Theo thỏa thuận của Đăng kiểm, kích thước của kết cấu có thể được xác định bằng phương pháp tính toán trực tiếp. Nếu kích thước của cơ cấu xác định bằng phương pháp tính toán trực tiếp lớn hơn kích thước yêu cầu ở Chương này thì phải dùng kích thước tính được bằng tính toán trực tiếp.
2. Nếu thực hiện tính toán trực tiếp qui định ở -1 thì phải trình duyệt cho Đăng kiểm các số liệu cần thiết cho tính toán.
30.2. Độ bền dọc
30.2.1. Độ bền uốn
Mô đun chống uốn của tiết diện ngang thân tàu phải được lấy như được qui định ở 13.2. Tuy nhiên, nếu tiết diện ngang thân tàu thay đổi hình dạng nhiều thì phải quan tâm thích đáng để chống biến dạng uốn cho thân tàu.
30.2.2. Độ bền xoắn
Nếu chiều rộng của miệng khoang lớn hơn 0,7B thì phải đặc biệt quan tâm đến ứng suất và biến dạng bổ sung của miệng khoang do xoắn. Tuy nhiên, nếu tàu có hai hay nhiều dãy miệng khoang thì khoảng cách giữa các đường ngoài cùng của các miệng khoang phải được lấy là chiều rộng miệng khoang.
30.3. Kết cấu đáy đôi
30.3.1. Qui định chung
1. Kết cấu đáy đôi ở những khoang chuyên dùng để chở công te nơ phải theo các yêu cầu ở 30.3.
2. Trong đáy đôi phải đặt các sống phụ hoặc đà ngang đặc ở dưới những đế góc của công te nơ, hoặc đáy đôi phải được kết cấu sao cho chịu được tải trọng từ các công te nơ.
30.3.2. Dầm dọc
1. Mô đun chống uốn tiết diện của dầm dọc đáy dưới phải không nhỏ hơn trị số tính theo công thức sau:

Trong đó:
C : Hệ số được cho dưới đây:
1,0 : Nếu ở giữa khoảng cách của các đà ngang đáy không có thanh chống qui định ở 30.3.3.
0,625: Nếu ở giữa khoảng cách của các đà ngang đáy có thanh chống qui định ở 30.3.3.
Tuy nhiên, nếu chiều rộng của nẹp đứng đặt ở đà ngang đáy và chiều rộng của thanh chống là đặc biệt lớn thì hệ số C có thể được giảm thích đáng.
fB : Tỷ số mô đun chống uốn của tiết diện ngang thân tàu yêu cầu ở Chương 13 chia cho mô đun chống uốn thực của tiết diện ngang thân tàu lấy đối với đáy.
L' : Chiều dài tàu (m). Tuy nhiên, nếu L lớn hơn 230 mét thì phải được lấy L' bằng 230 mét.
I : Khoảng cách giữa các đà ngang đặc (m).
S : Khoảng cách giữa các dầm dọc (m).
2. Mô đun chống uốn của tiết diện dầm dọc đáy trên phải không nhỏ hơn 75% mô đun chống uốn của tiết diện qui định cho dầm dọc đáy dưới ở vùng đó.
30.3.3. Thanh chống thẳng đứng
Nếu có đặt thanh chống thẳng đứng thì diện tích tiết diện của nó phải không nhỏ hơn trị số tính theo công thức sau đây:
0,9CSb(d + 0,026L')(cm2)
Trong đó:
C : Hệ số tính theo công thức sau đây. Tuy nhiên, trong mọi trường hợp, C phải không nhỏ hơn 1,43:

Trong đó:
ls : Chiều dài thanh chống (m)
k : Bán kính quán tính tối thiểu của tiết diện thanh chống tính theo công thức sau đây: 
Trong đó:
I : Mô men quán tính tối thiểu của tiết diện thanh chống (cm4).
A : Diện tích tiết diện của thanh chống (cm2).
S : .Khoảng cách giữa các dầm dọc (m).
b : Chiều rộng của diện tích đỡ bởi thanh chống (m).
30.3.4. Chiều dày của tôn đáy trên
1. Chiều dày của tôn đáy trên phải theo yêu cầu ở 4.5.1-1. Tuy nhiên, khi áp dụng công thức thứ hai của yêu cầu đó, h phải được tính theo công thức:
1,13 (d - d0)
Trong đó:
d0 : Chiều cao tiết diện sống chính (m).
2. Tôn đáy trên tiếp xúc với đế góc của công te nơ phải được gia cường bằng tấm kép hoặc bằng một biện pháp thích hợp khác.
30.4. Kết cấu mạn kép
30.4.1. Qui định chung
1. Ở khoang hàng, kết cấu mạn phải cố gắng là kết cấu mạn kép và phải được gia cường bằng các sống ngang mạn và sống dọc mạn đặt trong mạn kép.
2. Kết cấu mạn kép phải theo các yêu cầu ở Chương 11, ngoài những qui định ở 30.4 này.
3. Nếu mạn kép được dùng làm két sâu thì kết cấu mạn kép phải theo yêu cầu ở Chương 12 cùng với những yêu cầu ở 30.4.
4. Các sống dọc mạn phải được đặt theo các khoảng cách thích hợp có xét đến chiều sâu của khoang. Sống ngang mạn phải được đặt trong mặt sườn có đà ngang đặc của đáy đôi.
5. Nếu ở vùng hông chiều rộng của mạn kép thay đổi thì kích thước các cơ cấu của mạn kép phải thỏa mãn yêu cầu của Đăng kiểm.
6. Nếu có các kết cấu đỡ hữu hiệu các kết cấu boong và kết cấu mạn được đặt trong vùng giữa khoang thì các yêu cầu ở 30.4 có thể được thay đổi thích đáng.
7. Nếu chiều cao từ đường nước chở hàng thiết kế cực đại đến boong tính toán là đặc biệt lớn thì kích thước cơ cấu phải thỏa mãn yêu cầu của Đăng kiểm.
8. Ở chỗ mà tôn mạn trong liên kết với tôn đáy trên phải quan tâm tránh hiện tượng tập trung ứng suất.
9. Ở đoạn đầu và đoạn cuối của kết cấu mạn kép phải quan tâm thích đáng đến sự liên tục của kết cấu và độ bền.
30.4.2. Sống ngang mạn và sống dọc mạn
1. Chiều dày của sống ngang mạn phải không nhỏ hơn trị số tính theo các công thức sau đây, lấy trị số nào lớn hơn:

Trong đó:
C : Được tính theo công thức: (C1 + bTC2 )C3
C1 và C2 : Được lấy theo Bảng 2-A/30.1 phụ thuộc trị số h/lH. Với các trị số trung gian của h/lH thì C1 và C2 được tính theo phép nội suy tuyến tính.
h : Khoảng cách thẳng đứng từ mặt đáy trên đến boong tính toán đo ở mạn (m).
lH : Chiều dài của khoang (m).
Bảng 2-A/30.1 Các hệ số C1 và C2
| h/lH | £ 0,5 | 0,75 | 1,00 | 1,25 | 1,50 | ³ 1,75 |
| C1 | 0,18 | 0,21 | 0,24 | 0,25 | 0,26 | 0,27 |
| C2 | 0,05 | 0,08 | 0,09 | 0,10 | 0,11 | 0,12 |

d0 : Chiều cao tiết diện sống chính đáy (m).
d1 : Chiều cao tiết diện sống ngang mạn (m). Tuy nhiên, nếu bản thành được gắn những nẹp đặt theo chiều dài của sống thì d1 trong các công thức để tính t1 và t2 có thể được lấy bằng khoảng cách giữa các nẹp.
C3 :Tính theo công thức sau đây nhưng không được nhỏ hơn 
Trong đó, y là khoảng cách từ mút dưới của h đến vị trí đang xét (m).
S : Chiều rộng của diện tích được đỡ bởi sống ngang mạn (m).
a : Chiều cao của các lỗ khoét ở vị trí đang xét (m).
L' : Chiều dài của tàu. Tuy nhiên, nếu L lớn hơn 230 mét thì lấy L' bằng 230 mét.
k : Hệ số lấy theo Bảng 2-A/30.2 phụ thuộc vào tỷ số của khoảng cách S1 (m) của các nẹp đặt theo phương chiều cao tiết diện của sống ở bản thành của sống ngang mạn và d1. Với các trị số trung gian của S1/d1 trị số của k được tính theo phép nội suy tuyến tính.
Bảng 2-A/30.2 Hệ số k
| S1/d1 | £ 0,3 | 0,4 | 0,5 | 0,6 | 0,7 | 0,8 | 0,9 | 1,0 | 1,5 | ³ 2,0 |
| k | 60,0 | 40,0 | 26,8 | 20,0 | 16,4 | 14,4 | 13,0 | 12,3 | 11,1 | 10,2 |
S2 = S1 hoặc d1, lấy trị số nào nhỏ hơn.
2. Chiều dày của sống dọc mạn phải không nhỏ hơn trị số tính theo các công thức sau đây, lấy trị số nào lớn hơn:

Trong đó:
C : Được tính theo công thức: (C1 + bLC2 )C3
C1 và C2 : Được lấy theo Bảng 2-A/30.3 phụ thuộc trị số h/lH. Với các trị số trung gian của h/lH thì C1 và C2 được tính theo phép nội suy tuyến tính.
Bảng 2-A/30.3 Các hệ số C1 và C2
| h/lH | £ 0,5 | 0,75 | 1,00 | 1,25 | ³ 1,50 |
| C1 | 0,20 | 0,24 | 0,26 | 0,26 | 0,26 |
| C2 | 0,07 | 0,05 | 0,03 | 0,01 | 0,00 |

lH, h, d0 và L' : Như qui định ở -1.
d1 : Chiều cao tiết diện của sống dọc mạn (m). Tuy nhiên, nếu bản thành được gắn nẹp theo phương chiều dài của sống thì d1 trong các công thức tính t1 và t2 có thể được lấy bằng chiều cao được phân chia bởi các nẹp đó.
C3 : Được tính theo công thức sau đây: 
x : Khoảng cách từ mút của lH đến vị trí đang xét (m).
S : Chiều rộng của diện tích được đỡ bởi sống dọc mạn (m)
a : Chiều cao của các lỗ khoét tại vị trí đang xét (m).
k : Hệ số lấy theo Bảng 2-A/30.2 phụ thuộc tỷ số khoảng cách S1 (m) của các nẹp đặt theo phương chiều cao tiết diện của sống ở bản thành của sống dọc mạn, chia cho d1. Với các trị số trung gian của S1/d1, trị số k được tính theo phép nội suy tuyến tính.
S2 = S1 hoặc d1, lấy trị số nào nhỏ hơn.
30.4.3. Kết cấu mạn trong
Nếu mạn kép được dùng làm két sâu để chứa nước thì chiều dày của tôn mạn trong và mô đun chống uốn của tiết diện nẹp dọc phải không nhỏ hơn các trị số tương ứng tính theo các công thức sau đây:
(1) Chiều dày của tôn mạn trong:

Trong đó:
S : Khoảng cách giữa các nẹp (m).
h : Khoảng cách thẳng đứng từ trung điểm của khoảng cách giữa đáy trên và đỉnh ống tràn, đến cạnh dưới của tấm tôn mạn trong (m). Tuy nhiên, nếu tôn mạn trong tạo thành khoang lớn thì phải xét đến áp suất bổ sung của nước.
C : Hệ số được tính như sau, tùy thuộc hệ thống gia cường tôn mạn trong:
(a) Hệ thống ngang:

Trong đó:
a : Trị số tính theo các công thức sau đây, lấy trị số nào lớn hơn:

fB : Như qui định ở 30.3.2-1.
y : Khoảng cách thẳng đứng từ mặt trên của tôn giữa đáy đến cạnh dưới của tấm tôn mạn trong (m).
yB : Khoảng cách thẳng đứng từ mặt tôn trên của giữa đáy đến trục trung hòa nằm ngang của tiết diện ngang thân tàu (m).
fD : Tỷ số của mô đun chống uốn của tiết diện ngang thân tàu yêu cầu ở Chương 13 chia cho mô đun chống uốn thực của tiết diện ngang thân tàu lấy đối với boong tính toán.
Y' : Trị số lớn hơn trong các trị số qui định ở 13.2.3 (5) (a) hoặc (b).
k : Được qui định như sau tùy thuộc trị số của L. Với các trị số trung gian của L, trị số k được tính theo phép nội suy tuyến tính:
6 nếu L nhỏ hơn và bằng 230 mét
10,5 nếu L bằng và lớn hơn 400 mét
d1 : Chiều rộng của mạn kép (m).
(b) Hệ thống dọc:

Trong đó, a như qui định ở (a)
Nhưng C phải không nhỏ hơn 1,0.
Tuy nhiên, nếu trong điều kiện khai thác tôn mạn trong không tiếp xúc với nước biển thì chiều dày của nó có thể được giảm 0,5 mi-li-mét so với yêu cầu nói trên.
(2) Mô đun chống uốn của tiết diện nẹp dọc gia cường tôn mạn trong:
7CShl2 (cm3)
Trong đó:
C : Trị số tính theo công thức sau đây: 
Trong đó:
a : Được tính theo các công thức sau đây, lấy trị số nào lớn hơn:

fB : Như qui định ở 30.3.2-1.
y : Khoảng cách thẳng từ mặt trên của tôn giữa đáy đến nẹp dọc đang xét (m).
yB, fD, Y', k và d1: Như qui định ở (1).
S : Khoảng cách giữa các nẹp dọc (m).
h : Khoảng cách thẳng đứng từ trung điểm của khoảng cách giữa tôn đáy trên và đỉnh ống tràn đến trung điểm khoảng cách giữa các nẹp nằm kề phía trên và phía dưới nẹp đang xét (m). Tuy nhiên, với tôn mạn trong tạo thành khoang lớn thì phải xét đến áp suất bổ sung.
l : Nhịp nẹp đo giữa các đế tựa của nẹp dọc (m).
30.4.4. Mã
Mã phải được đặt ở góc trên và góc dưới bên trong kết cấu mạn kép, tại mỗi mặt sườn nếu là hệ thống kết cấu ngang và theo khoảng cách thích hợp giữa các sống ngang mạn nếu là hệ thống kết cấu dọc.
30.5. Vách ngang
30.5.1. Kết cấu
Vách ngang phải được kết cấu sao cho được đỡ chắc chắn tại các vị trí boong. Nếu chiều rộng của vách là đặc biệt lớn thì phần trên của vách ngang phải được gia cường thích đáng bằng những kết cấu dạng hộp hoặc bằng các biện pháp khác.
30.5.2. Đoạn vách
Nếu những đoạn vách không kín nước được đặt trong khoang hàng thì kết cấu và kích thước các cơ cấu của chúng phải sao cho có đủ độ bền và độ cứng có xét đến kích thước của khoang hàng và chiều cao của đoạn vách v.v...
30.6. Kết cấu boong
30.6.1. Boong ở bên trong đường các miệng khoét boong
Những yêu cầu đối với boong ở bên trong đường các miệng khoét boong liên quan đến biến dạng uốn trong mặt phẳng của boong phải không nhỏ hơn trị số tính toán theo các công thức sau đây. Trong tính toán mô đun chống uốn và mô men quán tính của tiết diện, phần boong ở bên trong đường các miệng khoét boong phải được coi là bản thành và thành ngang đầu miệng khoang được coi là bản mép. Nếu có những kết cấu hộp và kết cấu tương tự thì số hạng thứ hai trong công thức chiều dày tôn boong phải được lấy bằng 5,0.
(1) Chiều dày tôn boong (kể cả tấm đáy của kết cấu hộp):

lv: Khoảng cách từ mặt tôn đáy trên đến boong vách đo ở đường tâm tàu (m).
lc: Chiều rộng của miệng khoang (m). Tuy nhiên, nếu có hai hoặc nhiều dãy miệng khoang thì phải lấy chiều rộng của miệng khoang rộng nhất.
wc: Chiều rộng của boong ở trong đường các miệng khoét boong (m).
C1 : Được lấy theo Bảng 2-A/30.4 theo trị số a. Với các trị số trung gian của a, trị số của C1 được xác định theo phép nội suy tuyến tính.
Bảng 2-A/30.4 Các hệ số C1 và C2
| a | £ 0,5 | ³ 1,50 |
| C1 | 1,00 | 0,37 |
| C2 | 0,50 | 0,10 |
a : Được xác định theo công thức sau:

S : Khoảng cách các sống đứng của vách ngang (m).
lv : Mô men quán tính của tiết diện sống đứng của vách ngang (cm4)
Ic : Mô men quán tính của tiết diện boong ở trong đường miệng khoét boong (cm4).
(2) Mô đun chống uốn của tiết diện:

Trong đó:
C2 : Được cho ở Bảng 2-A/30.4 phụ thuộc trị số a. Với các trị số trung gian của a, trị số C2 được xác định theo phép nội suy tuyến tính.
a, lv và lc : Như qui định ở (1).
(3) Mô men quán tính của tiết diện:

Trong đó:
S, lv, lc và Iv: Như qui định ở (1).
30.6.2. Thanh giằng
1. Nếu chiều dài của miệng khoang là lớn so với chiều rộng của miệng khoang thì ở miệng khoang phải đặt những thanh giằng theo những khoảng cách thích hợp.
2. Nếu ở vị trí các thanh giằng trong khoang không có những kết cấu hữu hiệu để chịu tải từ mạn và boong thì phải đặc biệt quan tâm đến kích thước của thanh giằng.
30.6.3. Sự liên tục của chiều dày tôn boong
Phải quan tâm đến sự liên tục của chiều dày tôn boong, tránh sự chênh lệch quá lớn giữa các chiều dày ở bên trong và bên ngoài đường các miệng khoét boong.
30.7. Kết cấu đỡ công te nơ
30.7.1. Qui định chung
1. Kết cấu đỡ công te nơ phải sao cho truyền được tải trọng xuống kết cấu đáy đôi, kết cấu mạn và vách ngang.
2. Độ bền của kết cấu đỡ công te nơ phải đủ để chịu được tải trọng từ đáy và mạn tàu và tải trọng từ các công te nơ được đỡ.
30.8. Gia cường tại vị trí loe rộng đặc biệt
30.8.1. Tấm vỏ
Tấm vỏ mạn ở vùng loe rộng đặc biệt phải được quan tâm gia cường hữu hiệu để chống lại áp lực va đập của sóng tại mũi tàu.
30.8.2. Các sườn
Các sườn được đặt tại vị trí mũi loe rộng đang xét, chịu áp lực va đập của sóng, phải được gia cường thích đáng và các mút sườn phải được liên kết chắc chắn.
30.8.3. Các sống
Các sống được đặt tại vị trí mũi loe rộng đang xét, chịu áp lực va đập của sống, phải được gia cường thích đáng và các mút sống phải được liên kết chắc chắn.
CHƯƠNG 31 KIỂM SOÁT PHÒNG NẠN Ở TÀU HÀNG KHÔ
31.1. Qui định chung
31.1.1. Phạm vi áp dụng
1. Những qui định ở Chương này được áp dụng cho tàu hàng khô chạy tuyến quốc tế có tổng dung tích từ 500 trở lên.
2. Tàu hàng khô là tàu hàng không phải là tàu chở hàng lỏng.
31.2. Kiểm soát phòng nạn
31.2.1. Cửa kín nước
1. Phải đặt thiết bị chỉ báo ở lầu lái hoặc ở các buồng điều khiển để thông báo rằng các cửa đang mở hay đóng cho tất cả các cửa kín nước ở các vách kín nước.
2. Thiết bị điện dùng cho các cửa kín nước qui định ở -1, trừ loại chịu nước đã được Đăng kiểm xét duyệt, không được đặt ở dưới boong mạn khô.
31.2.2. Cửa hàng hóa và các lỗ khoét tương tự khác
Đối với cửa mũi, cửa đuôi hoặc cửa mạn được yêu cầu kín nước, thiết bị chỉ báo để chỉ rõ các cửa đang mở hay đóng phải được đặt ở lầu lái. Tuy nhiên, yêu cầu này có thể được Đăng kiểm miễn giảm nếu thấy thỏa đáng.
31.3. Tài liệu và sơ đồ kiểm soát phòng nạn
31.3.1. Sơ đồ kiểm soát phòng nạn
1. Sơ đồ kiểm soát phòng nạn đã được Đăng kiểm xét duyệt phải được để cố định và luôn luôn sẵn sàng ở lầu lái để hướng dẫn cho sĩ quan trực ca.
2. Sơ đồ kiểm soát phòng nạn phải thể hiện rõ được cho từng boong, cho từng khoang, các ranh giới của các phân khoang kín nước, các lỗ khoét trên đó cùng với các phương tiện đóng kín (kể cả vị trí của các thiết bị điều khiển ở trên đó), và các biện pháp để khắc phục bất kỳ trạng thái nghiêng nào do ngập.
31.3.2. Tài liệu
1. Tài liệu phải bao gồm các thông tin được ghi ở sơ đồ kiểm soát phòng nạn.
2. Tài liệu phải được đặt ở vị trí thuận tiện cho việc sử dụng của sĩ quan trực ca.
CHƯƠNG 32 HƯỚNG DẪN XẾP TẢI VÀ MÁY TÍNH KIỂM SOÁT TẢI TRỌNG
32.1. Qui định chung
32.1.1. Qui định chung
1. Theo nguyên tắc chung, cho phép thuyền trưởng sắp xếp hàng hóa và dằn sao cho tránh để xảy ra tập trung ứng suất quá mức ở các cơ cấu thân tàu, các tàu phải có sổ tay tải trọng được Đăng kiểm duyệt.
2. Đối với các tàu có chiều dài Lf ³ 100 m, rơi vào điều kiện (1) và (2) dưới đây, phải có máy tính kiểm soát tải trọng, được Đăng kiểm chấp nhận:
(1) Các tàu phải thỏa mãn các chương từ 27 đến 30 của phần 2-A và các Phần 8D, 8E;
(2) Các tàu khác, nếu Đăng kiểm thấy là cần thiết.
32.1.2. Sổ tay tải trọng
1. Sổ tay tải trọng phải bao gồm các hạng mục sau đây:
(1) Các trạng thái tải trọng thiết kế cơ bản, bao gồm cả giới hạn cho phép của mômen uốn dọc và lực cắt trên nước tĩnh;
(2) Kết quả tính toán mômen uốn dọc và lực cắt trên nước tĩnh, ứng với các trạng thái tải trọng;
(3) Giới hạn cho phép của các tải trọng cục bộ đối với nắp miệng hầm hàng, boong, kết cấu đáy đôi v.v.. nếu Đăng kiểm thấy là cần thiết.
32.1.3. Máy tính kiểm soát tải trọng
1. Máy tính kiểm soát tải trọng phải có khả năng tính toán ngay được mômen uốn dọc và lực cắt trên nước tĩnh, phát sinh trên tàu phù hợp với mọi trạng thái tải trọng hàng hóa và trạng thái dằn. Máy tính phải có đặc tính hoạt động và chức năng được duyệt bởi Đăng kiểm.
2. Máy tính kiểm soát tải trọng phải có khả năng tạo ra những đặc tính hoạt động và chức năng riêng nhờ vào trang thiết bị phụ trợ.
3. Phải có bản hướng dẫn sử dụng máy tính, đặt ở trên tàu.
32.2. Những yêu cầu bổ sung đối với tàu chở quặng, chở hàng rời và tàu chở hàng tổng hợp đóng mới
32.2.1. Qui định chung
1. Các tàu chở quặng, chở hàng rời và tàu chở hàng tổng hợp có chiều dài Lf ³ 150 m, được hợp đồng đóng mới trước ngày 01/07/1998 và thỏa mãn các Chương 28, 29 phải tuân thủ các qui định của mục này. Trong mục này, tàu chở hàng rời là tàu, nói chung, có kết cấu boong đơn, két đỉnh mạn và két hông trong vùng khoang hàng.
2. Các tàu phải có sổ tay tải trọng và máy tính kiểm soát tải trọng phù hợp với các qui định ở 32.2.2 và 32.2.3.
32.2.2. Sổ tay tải trọng
1. Sổ tay tải trọng phải bao gồm những hạng mục sau, ngoài những qui định nêu ở 32.1.2:
(1) Đối với các tàu chở hàng rời phù hợp với 29.10.5, các kết quả tính toán nói chung , giới hạn cho phép của mômen uốn và lực cắt trên nước tĩnh trong tình trạng ngập phải phù hợp với các qui định ở 29.10.5.
(2) Các hầm hàng hoặc nhóm các hầm hàng có thể bị trống ở chiều chìm toàn bộ. Nếu hầm hàng không được phép trống ở chiều chìm toàn bộ thì trạng thái này được xóa bỏ khỏi sổ tay.
(3) Khối lượng hàng lớn nhất cho phép, khối lượng hàng yêu cầu tối thiểu và thể tích đáy đôi ở mỗi hầm coi như các "Hàm số" của chiều chìm tại vị trí giữa hầm.
(4) Khối lượng hàng lớn nhất cho phép, khối lượng hàng yêu cầu tối thiểu và thể tích đáy đôi ở hai hầm kề nhau coi như một "Hàm số" của chiều chìm trung bình. Chiều chìm này có thể được tính bằng cách tính trung bình chiều chìm của vị trí giữa hầm.
(5) Tải trọng đỉnh két lớn nhất cho phép, đồng thời chỉ rõ đặc tính của hàng hóa không phải là hàng rời. Nếu tàu không được duyệt để chở hàng rời thì mục này được xóa bỏ trong sổ tay.
(6) Tải trọng boong và nắp miệng hầm hàng lớn nhất cho phép. Nếu tàu không được duyệt để chở hàng trên boong và nắp miệng hầm hàng, thì mục này được xóa bỏ trong sổ tay.
(7) Tỷ lệ thay đổi dằn lớn nhất cùng với "Cảnh báo" rằng kế hoạch bốc xếp phải phù hợp với "Đầu ra" trên cơ sở các tỷ lệ có thể đạt tới về sự thay đổi dằn.
(8) Tỷ trọng hàng rời đối với các qui định về độ bền phù hợp với 29.10, phải nêu rõ trong sổ tay tải trọng rằng: "Nếu tàu dự định xếp hàng có tỷ trọng lớn hơn tỷ trọng hàng rời qui định, thì cần phải quan tâm đến độ bền của các kết cấu thân tàu".
2. Ngoài các yêu cầu ở 32.1.2 nêu trên, sổ tay tải trọng phải bao gồm các trạng thái sau đây, cho cả khi rời cảng và về cảng. Nếu thiết kế trên cơ sở các trạng thái (1), (4) đến (6) và (8) thì những trạng thái này phải được đưa vào sổ tay tải trọng:
(1) Trạng thái tải trọng hàng nặng và nhẹ xen kẽ tại đường nước lớn nhất.
(2) Trạng thái tải trọng hàng nặng và nhẹ phân bổ đều tại đường nước lớn nhất.
(3) Trạng thái dằn. Đối với các tàu có két dằn nằm cạnh két đỉnh mạn, két hông và đáy đôi, sẽ được chấp nhận mức độ bền như là két dằn được dằn đầy còn các két đỉnh mạn, két hông, đáy đôi để trống. Nếu thiết kế cho phép lấy dằn vào một phần các két mũi, thì phải có phương tiện để ngăn ngừa sự cố tràn nước.
(4) Trạng thái chuyến đi ngắn, nếu tàu được chở hàng đến chiều chìm lớn nhất nhưng phải giới hạn số lượng hầm chứa (bunker).
(5) Trạng thái tải trọng cảng đa dạng/ trạng thái không tải.
(6) Trạng thái hàng trên boong.
(7) Các tổ hợp tải trọng điển hình/ không tải, nếu tàu được chất tải từ lúc bắt đầu xếp hàng đến lúc đủ tải và từ lúc bắt đầu đủ tải đến trạng thái tàu không. Các tổ hợp như vậy phải chú ý đặc biệt đến tỷ lệ tải trọng và khả năng dằn ở 32.2.1 (mẫu 1).
32.2.3. Máy tính kiểm soát tải trọng
1. Ngoài những qui định ở 32.1.4, máy tính kiểm soát tải trọng phải có khả năng xác định rằng những trị số dưới đây nằm trong giới hạn cho phép:
(1) Khối lượng hàng và dung tích đáy đôi trong vùng mỗi hầm hàng như là một biến của chiều chìm tại vị trí giữa hầm.
(2) Khối lượng hàng và dung tích đáy đôi của hai hầm lân cận bất kỳ như là một hầm của chiều chìm trung bình trong vùng các hầm hàng ấy.
(3) Trị số mômen uốn và lực cắt trên nước tĩnh, đối với tàu chở hàng rời phù hợp với 29.10.5, trong tình trạng bị ngập.
Ngày cuối cùng để thực hiện các yêu cầu nêu ở (2) là 01/ 07/ 1999.
32.3. Những yêu cầu bổ sung đối với tàu chở hàng rời, tàu chở quặng và tàu chở hàng tổng hợp đang khai thác
32.3.1. Sổ tay tải trọng
1. Ngoài những yêu cầu nêu ở 32.1.2, những tàu chở hàng rời mạn đơn, có chiều dài bằng và lớn hơn 150 m, được hợp đồng đóng trước ngày 01/07/1998, phải có sổ tay tải trọng với các tổ hợp tải trọng điển hình/ không tải như nêu ở 32.2.2-2(7) được Đăng kiểm duyệt y, trước ngày 01/07/ 199. Trong mục này và mục 32.3.2, tàu chở hàng rời là một tàu, nói chung, được đóng có boong đơn, két đỉnh mạn, két hông và két mạn trong vùng hầm hàng.
2. Máy tính kiểm soát tải trọng
Các tàu chở hàng rời, chở quặng và hàng tổng hợp có chiều dài bằng và lớn hơn 150 m, phù hợp Chương 28 hoặc 29, trừ các tàu áp dụng kiểm tra phân cấp trong quá trình đóng được trình Đăng kiểm vào đúng hoặc sau ngày 01/01/ 1994, phải được đặt máy tính kiểm soát tải trọng như qui định ở 32.1.3.
Bảng 2-A/ 32.1 Bảng tổng hợp trình tự xếp/ dỡ hàng
| Tên tàu | Chuyến đi số | Tình trạng | Tổ chức phân cấp | Số nhận dạng |
|
|
|
|
|
|

Các thông số hầm hàng
| Hầm hàng số | 9 | 8 | 7 | 6 | 5 | 4 | 3 | 2 | 1 |
| Thể tích V (m3) |
|
|
|
|
|
|
|
|
|
| Chiều cao h (m) |
|
|
|
|
|
|
|
|
|
Hàng trong hầm lúc bắt đầu xếp/ dỡ (t)
| Khối lượng hàng |
|
|
|
|
|
|
|
|
|
| Tỷ trọng (t/m3) |
|
|
|
|
|
|
|
|
|
| Loại hàng |
|
|
|
|
|
|
|
|
|
Tác nghiệp hàng hóa
| Thứ tự rót hàng/ loại hàng | 9 | 8 | 7 | 6 | 5 | 4 | 3 | 2 | 1 |
| 1 |
|
|
|
|
|
|
|
|
|
| 2 |
|
|
|
|
|
|
|
|
|
| 3 |
|
|
|
|
|
|
|
|
|
| 4 |
|
|
|
|
|
|
|
|
|
| 5 |
|
|
|
|
|
|
|
|
|
| 6 |
|
|
|
|
|
|
|
|
|
| 7 |
|
|
|
|
|
|
|
|
|
| 8 |
|
|
|
|
|
|
|
|
|
| 9 |
|
|
|
|
|
|
|
|
|
| Tổng hàng trên tàu (t) | Tải trọng còn lại (t) | ||||||||
| Chiều chìm kiểm tra n-1 |
|
|
|
|
|
|
|
|
|
| Chiều chìm kiểm tra n |
|
|
|
|
|
|
|
|
|
Hàng trong hầm lúc kết thúc xếp/ dỡ (t)
| Khối lượng hàng |
|
|
|
|
|
|
|
|
|
| Tổng khối lượng xếp/ dỡ (t) |
|
|
|
|
|
|
|
Giá trị lớn nhất xuất hiện trong toàn bộ các trạng thái trên
| Tải trọng nguyên trên đáy đôi |
|
|
|
|
|
|
|
| t/m3 |
| Tải trọng nguyên ở hai hầm kề cận |
|
|
|
|
|
|
|
| t |
| Cảng: | Tình trạng lúc bắt đầu xếp/ dỡ | |
| Tổng khối lượng hàng được xếp/ dỡ: | Tình trạng lúc kết thúc xếp/ dỡ | |
| Tỷ trọng nước cảng đỗ (t/m3): | Tốc độ xếp/ dỡ lớn nhất | Tốc độ xếp/ dỡ trung bình |
| Số lượng người xếp/ dỡ: | Tốc độ bơm/ hút dằn lớn nhất: | Tốc độ bơm/ hút dằn trung bình: |
| Ghi chú: | Trong mỗi lần rót hàng phải kiểm soát được giới hạn cho phép đối với lực cắt dọc thân tàu, mô men uốn dọc và khối lượng trong các hầm không vượt quá trị số cho phép. Có thể tạm dừng tác nghiệp xếp/ dỡ để bơm/ hút dằn sao cho giữ đúng các đại lượng trong giới hạn cho phép. |
| Lượng dằn lúc bắt đầu xếp/ dỡ | Bắt đầu xếp/ dỡ (biển) | |||||||||||||
| Két mạn/ mút | Két lái | Két số | Két số | Két số | Két số | Két số | Két số | Két số | Két số | dlái (m) | Trim (m) | dmũi (m) | Cực đại | |
| Đỉnh |
|
|
|
|
|
|
|
|
| S.F % | B.M % | |||
| Hông/ mút |
|
|
|
|
|
|
|
|
|
|
|
|
|
|
| Điều chỉnh dằn | Các giá trị khi kết thúc rót hàng (từ cảng ra biển) | |||||||||||||
| Đỉnh, hông/ mút | Két lái | Két số | Két số | Két số | Két số | Két số | Két số | Két số | Két mũi | dlái (m) | Trim (m) | dmũi (m) | Cực dại | |
| Đỉnh |
|
|
|
|
|
|
|
|
| S.F % | B.M % | |||
| Hông/ mút |
|
|
|
|
|
|
|
|
| |||||
| Đỉnh |
|
|
|
|
|
|
|
|
|
|
|
|
|
|
| Hông/ mút |
|
|
|
|
|
|
|
|
|
|
|
|
|
|
| Đỉnh |
|
|
|
|
|
|
|
|
|
|
|
|
|
|
| Hông/ mút |
|
|
|
|
|
|
|
|
|
|
|
|
|
|
Lượng chứa tổng cộng của các hầm boong trên tàu
| Két đỉnh |
|
|
|
|
|
|
|
|
|
|
|
|
|
|
| Hông/ mút |
|
|
|
|
|
|
|
|
| |||||
| Két đỉnh |
|
|
|
|
|
|
|
|
|
|
|
|
|
|
| Hông/ mút |
|
|
|
|
|
|
|
|
|
| Lượng dằn lúc kết thúc xếp/ dỡ | Các giá trị khi kết thúc rót hàng (từ cảng ra biển) | |||||||||||||
| Két mạn/ mút | Két lái | Két số | Két số | Két số | Két số | Két số | Két số | Két số | Két mũi | dlái (m) | Trim (m) | dmũi (m) | Cực dại | |
| Đỉnh |
|
|
|
|
|
|
|
|
| S.F % | B.M % | |||
| Hông/ mút |
|
|
|
|
|
|
|
|
| |||||
| Tải trọng nguyên trên đáy đôi: | (Mh/V)h.d (t/m2) |
| Trong đó: Mh = khối lượng trong hầm + Khối lượng trong đáy đôi (t) h - Chiều cao của hầm từ đáy trong đến đỉnh thành miệng hầm (m) | |
| V - Tổng thể tích của hàm (m3), | d - Chiều chìm tàu (m). |
Ngày duyệt:
MỤC LỤC
Chương 1 Quy định chung
1.1. Quy định chung
1.2. Hàn
Chương 2 Sống mũi và sống đuôi
2.1. Sống mũi
2.2. Sống đuôi
Chương 3 Đáy đơn
3.1. Quy định chung
3.2. Sống chính
3.3. Sống phụ
3.4. Đà ngang tấm
3.5. Bản mép trên của đà ngang đáy
Chương 4 Đáy đôi
4.1. Quy định chung
4.2. Sống chính và sống phụ
4.3. Đà ngang đặc
4.4. Dầm dọc
4.5. Tôn đáy trôn, sống hông và tôn bao đáy
4.6. Mã hông
4.7. Đà ngang hở
4.8. Kết cấu và gia cường đáy phía mũi tàu
Chương 5 Sườn
5.1. Quy định chung
5.2. Khoảng sườn
5.3. Sườn ngang khoang
5.4. Dầm dọc mạn và sườn khỏe
5.5. Hệ thống xà công xon
5.6. Sườn nội boong
5.7. Sườn dưới boong mạn khô phía trước vách chống va
5.8. Sườn dưới boong mạn khô phía sau vách đuôi
Chương 6 Sườn khỏe và sống dọc mạn
6.1. Quy định chung
6.2. Sườn khỏe
6.3. Sống dọc mạn
Chương 7 Gia cường chống va
7.1. Quy định chung
7.2. Gia cường chống va ở phía trước vách chống va
7.3. Gia cường chống va ở phía sau vách đuôi
7.4. Gia cường chống va ở đoạn từ khoang mũi đến khoang đuôi
Chương 8 Xà boong
8.1. Quy định chung
8.2. Tải trọng boong
8.3. Xà dọc boong
8.4. Xà ngang boong
8.5. Xà boong ở hõm vách và ở các chỗ khác
8.6. Xà boong ở nóc két sâu
8.7. Xà boong chịu tải trọng đặc biệt nặng
8.8. Miệng buồng máy quá dài
8.9. Xà của boong chở xe có bánh
Chương 9 Cột chống
9.1. Quy định chung
9.2. Kích thước
9.3. Vách dọc và các kết cấu khác bố trí thay thế cột chống
9.4. Vách quây bố trí thay thế cột
Chương 10 Sống boong
10.1. Quy định chung
10.2. Sống dọc boong
10.3. Sống ngang boong
10.4. Sống boong trong các két
10.5. Sống dọc miệng khoang
10.6. Xà ngang đầu miệng khoang
Chương 11 Vách kín nước
11.1. Bố trí vách kín nước
11.2. Kết cấu của vách kín nước
11.3. Cửa kín nước
Chương 12 Két sâu
12.1. Quy định chung
12.2. Vách két sâu
12.3. Phụ tùng của két sâu
Chương 13 Độ bền dọc
13.1. Quy định chung
13.2. Độ bền uốn
13.3. Độ bền cắt
13.4. Độ ổn định
Chương 14 Tôn bao và tôn giữa đáy
14.1. Quy định chung
14.2. Dải tôn giữa đáy
14.3. Tôn bao ở dưới boong tính toán
14.4. Những yêu cầu đặc biệt đối với tôn bao
14.5. Tôn mạn ở vùng thượng tầng
14.6. Gia cường bồi thường ở các mút thượng tầng
14.7. Bồi thường cục bộ tôn bao
Chương 15 Boong
15.1. Quy định chung
15.2. Diện tích tiết diện hiệu dụng của boong tính toán
15.3. Tôn boong
15.4. Hợp chất phủ boong
Chương 16 Thượng tầng
16.1. Quy định chung
16.2. Vách mút của thượng tầng
16.3. Các phương tiện đóng mở các lối ra vào ở vách mút thượng tầng
Chương 17 Lầu
17.1. Quy định chung
17.2. Kết cấu
Chương 18 Miệng khoang hàng, miệng buồng máy và các lỗ khoét khác ở boong
18.1. Quy định chung
18.2. Miệng khoang
18.3. Miệng buồng máy
18.4. Miệng khoét ở chòi boong và các miệng khoét khác ở boong
Chương 19 Buồng máy và buồng nồi hơi
19.1. Quy định chung
19.2. Bệ máy chính
19.3. Kết cấu buồng nồi hơi
19.4. Ổ chặn và bệ ở đỡ chặn
19.5. Bệ ổ đỡ và bệ máy phụ
Chương 20 Hầm trục và hõm hầm trục
20.1. Quy định chung
Chương 21 Mạn chắn sóng, lan can, hệ thống thoát nước, cửa hàng hóa và các cửa tương tự khác, lỗ khoét ở mạn , lỗ thông gió và cầu boong
21.1. Mạn chắn sóng và lan can
21.2. Hệ thống thoát nước
21.3. Cửa mũi và cửa trong
21.4. Cửa mạn và cửa đuôi tàu
21.5. Lỗ khoét ở mạn
21.6. Ống thông gió
21.7. Cầu boong
Chương 22 Ván sàn và ván thành
22.1. Ván sàn
22.2. Ván thành
Chương 23 Tráng xi măng và sơn
23.1. Tráng xi măng
23.2. Sơn
Chương 24 Cột và cột cẩu
24.1. Quy định chung
Chương 25 Trang thiết bị
25.1. Bánh lái
25.2. Thiết bị neo
25.3. Thiết bị kéo sự cố
Chương 26 Gia cường chống băng
26.1. Quy định chung
26.2. Gia cường chống băng
Chương 27 Tầu dầu
27.1. Quy định chung
27.2. Chiều dày tối thiểu
27.3. Tính toán trực tiếp độ bền
27.4. Tôn vách
27.5. Dầm dọc và nẹp gia cường
27.6. Sống dọc
27.7. Các chi tiết kết cấu
27.8. Các qui định riêng đối với han gỉ
27.9. Các qui định riêng đối với tàu có boong giữa
27.10. Những qui định riêng đối với các khoang mạn phía trước
27.11. Kết cấu và gia cường đáy phía mũi tàu
27.12. Những qui định riêng đối với miệng khoang hàng và hệ thống thoát nước mặt boong
27.13. Hàn
Chương 28 Tàu quặng
28.1. Kết cấu và trang thiết bị
Chương 29 Tàu hàng rời
29.1. Quy định chung
29.2. Đáy đôi
29.3. Két hông
29.4. Két đỉnh mạn
29.5. Vách ngang và thanh ốp
29.6. Sườn khoang
29.7. Tôn boong, tôn bao,v.v…
29.8. Những quy định bổ sung để chuyên chở hàng lỏng trong khoang
29.9. Nắp thép kín thời tiết
29.10. Những quy định bổ sung đối với tàu chở hàng rời đóng mới
29.11. Những quy định bổ sung Đối với tàu chở hàng rời đang khai thác
Chương 30 Tàu công te nơ
30.1. Quy định chung
30.2. Độ bền dọc
30.3. Kết cấu đáy đôi
30.4. Kết cấu mạn kép
30.5. Vách ngang
30.6. Kết cấu boong
30.7. Kết cấu đỡ công te nơ
Chương 31 Kiểm soát phòng nạn ở tàu hàng khô
31.1. Qui định chung
31.2. Kiểm soát phòng nạn
31.3. Tài liệu và sơ đồ kiểm soát phòng nạn
Chương 32 Hướng dẫn xếp tải và máy tính kiểm soát tải trọng
32.1. Qui định chung
32.2. Những yêu cầu đối với tàu chở quăng, chở hàng rời và tàu chở hàng tổng hợp mới
32.3. Những yêu cầu đối với tàu chở quăng, chở hàng rời & tàu chở hàng tổng hợp đang khai thác
Bạn chưa Đăng nhập thành viên.
Đây là tiện ích dành cho tài khoản thành viên. Vui lòng Đăng nhập để xem chi tiết. Nếu chưa có tài khoản, vui lòng Đăng ký tại đây!



























































































