- Tổng quan
- Nội dung
- Tiêu chuẩn liên quan
- Lược đồ
- Tải về
Tiêu chuẩn Quốc gia TCVN 6259-2B:2003 Kết cấu thân tàu biển vỏ thép và trang thiết bị
| Số hiệu: | TCVN 6259-2B:2003 | Loại văn bản: | Tiêu chuẩn Việt Nam |
| Cơ quan ban hành: | Bộ Khoa học và Công nghệ | Lĩnh vực: | Giao thông , Khoa học-Công nghệ |
|
Ngày ban hành:
Ngày ban hành là ngày, tháng, năm văn bản được thông qua hoặc ký ban hành.
|
31/12/2003 |
Hiệu lực:
|
Đã biết
|
| Người ký: | Đang cập nhật |
Tình trạng hiệu lực:
Cho biết trạng thái hiệu lực của văn bản đang tra cứu: Chưa áp dụng, Còn hiệu lực, Hết hiệu lực, Hết hiệu lực 1 phần; Đã sửa đổi, Đính chính hay Không còn phù hợp,...
|
Đã biết
|
TÓM TẮT TIÊU CHUẨN VIỆT NAM TCVN 6259-2B:2003
Quy phạm phân cấp và đóng tàu biển vỏ thép cho tàu dài từ 20 đến dưới 90 mét
Ngày 31/12/2003, Bộ Giao thông vận tải đã ban hành Tiêu chuẩn Quốc gia TCVN 6259-2B:2003, quy định về quy phạm phân cấp và đóng tàu biển vỏ thép - phần 2B: kết cấu thân tàu và trang thiết bị cho các tàu có chiều dài từ 20 mét đến dưới 90 mét. Tiêu chuẩn này có hiệu lực từ ngày 29/01/2004.
Tiêu chuẩn này áp dụng cho các tàu vỏ thép có chiều dài từ 20 đến dưới 90 mét, với thiết kế thông thường và không hạn chế vùng hoạt động. Nếu có vùng hoạt động hạn chế, cần có các quy định bổ sung phù hợp. Trường hợp tàu có chiều dài dưới 30 mét hoặc không thể đáp ứng các tiêu chuẩn nói trên, cần có sự xem xét và phê duyệt từ cơ quan Đăng kiểm.
Yêu cầu về ổn định và an toàn phòng chống cháy Tiêu chuẩn yêu cầu các tàu cần đảm bảo đủ độ ổn định trong mọi trạng thái. Thêm vào đó, kết cấu phòng chống cháy và phương tiện thoát nạn phải tuân thủ theo quy định của phần 5, đảm bảo an toàn cho hành khách và hàng hóa.
Vật liệu và kích thước cơ cấu Các yêu cầu về vật liệu và kích thước cho kết cấu thân tàu phải phù hợp với các quy định ở phần 7-A, bao gồm cả việc sử dụng thép có độ bền cao. Đối với tàu sử dụng vật liệu không quy định, Đăng kiểm sẽ xem xét và yêu cầu đánh giá đặc biệt. Nếu thép không gỉ được dùng, tiêu chuẩn cũng chỉ rõ các điều kiện cho phép giảm kích thước cơ cấu.
Kiểm tra và bảo trì Các tàu cần được kiểm tra kỹ thuật sau 6 tháng kể từ khi hạ thủy nếu chưa xuất xưởng để đảm bảo rằng chúng đáp ứng đủ tiêu chuẩn hoạt động. Bên cạnh đó, yêu cầu về các thiết bị kiểm tra an toàn cũng như thang di động hay cố định trong các khoang kín được quy định nhằm đảm bảo sự an toàn trong quá trình bảo trì.
Bảng quy định về thép đóng tàu Tiêu chuẩn cũng bao gồm bảng danh mục sử dụng thép đóng tàu thông thường cho các cơ cấu khác nhau, xác định độ dày tối thiểu của thép tùy thuộc vào vị trí và nhiệm vụ của cơ cấu đó trên tàu.
Tóm lại, Tiêu chuẩn Quốc gia TCVN 6259-2B:2003 đưa ra những yêu cầu cụ thể về thiết kế, vật liệu và an toàn cho các tàu biển vỏ thép, đảm bảo tính ổn định và an toàn trong việc khai thác và sử dụng tàu.
Tải tiêu chuẩn Việt Nam TCVN 6259-2B:2003
TIÊU CHUẨN QUỐC GIA
TCVN 6259-2B:2003
QUY PHẠM PHÂN CẤP VÀ ĐÓNG TÀU BIỂN VỎ THÉP - PHẦN 2B: KẾT CẤU THÂN TÀU VÀ TRANG THIẾT BỊ - TÀU DÀI TỪ 20 MÉT ĐẾN DƯỚI 90 MÉT
Rules for the classification and construction of sea-going steel ships - Part 2-B: Hull construction and equipment of ships of 20 and less than 90 metres in length
CHƯƠNG 1 QUI ĐỊNH CHUNG
1.1. Phạm vi áp dụng và thay thế tương đương
1.1.1. Phạm vi áp dụng
1. Những qui định trong Phần này được áp dụng cho các tàu vỏ thép có chiều dài từ 20 mét đến dưới 90 mét, có hình dáng thông thường, vùng hoạt động không hạn chế.
2. Đối với những tàu có vùng hoạt động hạn chế, kết cấu thân tàu, trang thiết bị và kích thước cơ cấu có thể được thay đổi phù hợp với điều kiện khai thác theo những qui định bổ sung ở Chương 24.
3. Khi áp dụng những qui định tương ứng của Phần này cho các tàu không áp dụng những qui định ở Phần 11 “Mạn khô”, thì Lf được lấy bằng L và Bf được lấy bằng B.
4. Tàu hàng khô thực hiện chuyến đi quốc tế và có tổng dung tích từ 500 trở lên phải thỏa mãn qui định của Chương 31 Phần 2-A
1.1.2. Trường hợp áp dụng đặc biệt
Đối với tàu có chiều dài nhỏ hơn 30 mét hoặc đối với nhũng tàu mà vì lý do riêng nào đó không thể áp dụng trực tiếp những qui định của Phần này, kết cấu thân tàu, trang bị, bố trí và kích thước cơ cấu phải được Đăng kiểm xem xét và quyết định trong từng trường hợp cụ thể, mặc dù đã có những qui định ở 1.1.1.
1.13. Các tàu có hình dáng và tỉ số kích thước khác thường hoặc tàu dùng để chở hàng đặc biệt
Đối với các tàu có hình dáng và tỉ số kích thước khác thường hoặc tàu dùng để chở hàng đặc biệt, những qui định có liên quan đến kết cấu thân tàu, trang thiết bị, bố trí và kích thước cơ cấu sẽ được qui định riêng dựa trên những nguyên tắc chung của Qui phạm thay cho những qui định ở Phần này.
1.1.4. Thay thế tương đương
Kết cấu thân tàu, trang thiết bị, bố trí và kích thước cơ cấu của tàu khác với những qui định của Phần này sẽ được Đăng kiểm chấp nhận nếu xét thấy chúng tương đương với những qui định ở Phần này.
1.2. Qui định chung
1.2.1. (bỏ)
1.2.2. Ổn định
Những yêu cầu ở Phần này được áp dụng cho các tàu đã có đủ ổn định ở tất cả các trạng thái. Đăng kiểm nhấn mạnh rằng các cơ quan thiết kế tàu, đóng tàu và chủ tàu phải quan tâm đặc biệt đến tính ổn định của tàu trong quá trình đóng mới và khai thác.
1.2.3. Kết cấu phòng chống cháy và phương tiện thoát nạn
Kết cấu phòng chống cháy và phương tiện thoát nạn phải thỏa mãn các qui định ở Phần 5.
1.2.4. Thiết bị để kiểm tra
Ở các khoang mũi, khoang đuôi, két sâu, khoang cách li và các không gian kín, trừ những khoang được sử dụng riêng để chứa nhiên liệu và dầu bôi trơn, phải có thang di động, thang cố định hoặc các thiết bị khác để có thể tiến hành công việc kiểm tra bên trong một cách an toàn.
1.2.5. Lên đà
Tất cả các tàu nếu đã quá 6 tháng sau khi hạ thủy mà chưa xuất xưởng được thì nên đưa lên đà để kiểm tra.
1.3. Vật liệu, kích thước cơ cấu, mối hàn và liên kết mút của cơ cấu
1.3.1. Vật liệu
1. Những yêu cầu có liên quan đến kết cấu thân tàu và trang thiết bị ở Phần này được dựa trên cơ sở sử dụng các loại vật liệu phù hợp với những yêu cầu ở Phần 7-A.
2. Nếu sử dụng thép có độ bền cao, kết cấu và kích thước của cơ cấu thân tàu phải thỏa mãn những yêu cầu ở (1) đến (3) sau đây :
(1) Mô đun chống uốn của tiết diện ngang thân tàu phải không nhỏ hơn trị số mô đun chống uốn của tiết diện ngang thân tàu tính theo Chương 13 nhân với hệ số sau đây :
0,78 Nếu dùng thép có độ bền cao A32, D32, E32 và F32 qui định ở Chương 3 Phần 7-A
0,72 Nếu dùng thép có độ bền cao A36, D36, E36 và F36 qui định ở Chương 3 Phần 7-A
Việc sử dụng của các loại thép này phải được Đăng kiểm xem xét và quyết định trong từng trường hợp cụ thể.
(2) Chiều dày tôn boong, tôn bao, mô đun chống uốn của các nẹp gia cường và kích thước cơ cấu khác phải được Đăng kiểm xem xét và quyết định trong từng trường hợp cụ thể.
(3) Nếu thép có độ bền cao nằm ngoài qui định (1) được sử dụng, kết cấu và kích thước cơ cấu của tàu phải được Đăng kiểm xem xét trong từng trường hợp cụ thể.
3. Nếu sử dụng các vật liệu không qui định ở Phần 7-A, thì việc sử dụng vật liệu và kích thước cơ cấu tương ứng phải được Đăng kiểm xét duyệt đặc biệt.
4. Nếu thép không gỉ hoặc thép được phủ vật liệu không gỉ qui định ở chương 3 Phần 7-A được dùng để chế tạo kết cấu chính thân tàu thì việc sử dụng vật liệu này và kích thước cơ cấu phải thỏa mãn điều kiện sau:
(1) Những yêu cầu ở -2 phải được áp dụng với hệ số (K) liên quan đến các qui định nêu ở -2 . Hệ số (K) được lấy trị số làm tròn đến ba chữ số thập phân nhưng không được nhỏ hơn 0,72
K = f {8,81(sy /1000)2 - 7,56(sy /1000) + 2,29}
Trong đó:
sy : Trị số nhỏ nhất của giới hạn chảy hoặc giới hạn chảy qui ước của thép không gỉ hoặc thép phủ vật liệu không gỉ qui định ở Chương 3 Phần 7-A (N/mm2).
f: Trị số xác định theo công thức sau:
0,0025(T-60) + 1,00
Nếu T lớn hơn 1000C thì trị số này được Đăng kiểm xem xét riêng.
T: Nhiệt độ hàng hóa lớn nhất tiếp xúc với vật liệu này. Nếu nhiệt độ này nhỏ hơn 600C thì T lấy bằng 600C
(2) Nếu vật liệu được dùng có tác dụng hữu hiệu trong việc chống ăn mòn của hàng hóa dự kiến chuyên chở thì Đăng kiểm có thể chấp nhận giảm kích thước cơ cấu so với qui định trong yêu cầu có liên quan.
5. Việc sử dụng vật liệu đóng tàu hoạt động ở vùng biển hạn chế có thể được Đăng kiểm miễn giảm trong từng trường hợp cụ thể.
6. Việc sử dụng thép làm kết cấu thân tàu phải thỏa mãn các yêu cầu ở 1.1.11 và 1.1.12 của Phần 2-A. Tuy nhiên, đối với các cấp thép trong Bảng 2-B/1.1 và Bảng 2-B/1.2 có thể được thay bằng Bảng 2-A/1.1 và Bảng 2-A/1.2 của Phần 2-A. Nếu thép phủ vật liệu không gỉ được qui định ở Chương 3 Phần 7-A được dùng để đóng tàu thì Bảng 2-A/1.1 và Bảng 2-A/1.2 được áp dụng phù hợp với chiều dày kim loại cơ bản thay cho chiều dày tấm.
Bảng 2-B/1.1 Danh mục sử dụng thép đóng tàu thông thường đối với các cơ cấu khác nhau
| Tên cơ cấu | Khu vực sử dụng | Chiều dày tôn t (mm) | ||||||||
| t ≤ 15 | 15 <t ≤ 20 | 15 <t ≤ 20 | 20 <t ≤ 25 | 25 <t ≤30 | 30 <t ≤35 | |||||
| Tôn vỏ | ||||||||||
| Tôn mép mạn kê với boong tính toán | Phạm vi 0,4L giữa tàu | A | B | D | E | |||||
| Phạm vi 0,6L giữa tàu bao gồm cả phần nêu trên | A | B | D | E | ||||||
| Ngoài khu vực nêu trên | A | B | D | |||||||
| Tôn mạn ở phạm vi khác | Phạm vi 0,4L giữa tàu | Phạm vi 0,10 trở xuống tính từ mặt dưới của boong tính toán | A | B | D | E | ||||
| Ngoài khu vực nêu trên | A | B | D | |||||||
| Dải tôn hông | Phạm vi 0,6L giữa tàu | A | B | D | E | |||||
| Ngoài khu vực nêu trên | A | B | D | |||||||
| Tôn đáy kể cả dải tôn giữa đáy | Phạm vi 0,4L giữa tàu | A | B | D | E | |||||
| Tôn Boong | ||||||||||
| Dải tôn mép boong tính toán | Phạm vi 0,4L giữa tàu | A | B | D | E | |||||
| Phạm vi 0,6L giữa tàu bao gồm cả phần nêu trên | A | B | D | E | ||||||
| Ngoài khu vực nêu trên | A | B | D | |||||||
| Dải tôn boong tính toán kê với vách dọc | Phạm vi 0,4L giữa tàu | A | B | D | E | |||||
| Phạm vi 0,6L giữa tàu bao gồm cả phần nêu trên | A | B | D | E | ||||||
| Ngoài khu vực nêu trên | A | B | D | |||||||
| Boong tính toán tại góc miệng khoang hàng | Phạm vi 0,4L giữa tàu | A | B | D | E | |||||
|
| Ngoài khu vực nêu trên (trong trường hợp miệng lỗ khoét khoang hàng lớn) | A | B | D | ||||||
| Boong tính toán ngoài khu vực nêu trên | Phạm vi 0,4L giữa tàu | A | B | D | E | |||||
| Boong lộ thiên | Phạm vi 0,4L giữa tàu | A | B | D | ||||||
| Vách dọc | ||||||||||
| Dải tôn trên cùng của vách dọc kề boong tính toán | Phạm vi 0,4L giữa tàu | A | B | D | E | |||||
| Dải tôn dưới kề với tôn đáy của vách dọc | Phạm vi 0,4L giữa tàu | A | B | D | ||||||
| Cơ cấu dọc | ||||||||||
| Dải tôn trên cùng của vách nghiêng của két dính mạn kề với boong tính toán | Phạm vi 0,4L giữa tàu | A | B | D | E | |||||
| Cơ cấu dọc của boong tính toán nói trên gồm mã và bản mép của cơ cấu dọc | Phạm vi 0,4L giữa tàu | A | B | D | E | |||||
| Miệng khoang hàng | ||||||||||
| Bản thành và bản mép của thành dọc miệng khoang hàng ở boong tính toán lớn hơn 15L | Phạm vi 0,4L giữa tàu | A | B | D | E | |||||
| Sống đuôi | ||||||||||
| Sống đuôi, giá bánh lái, giá chữ nhân |
| A | B | D | ||||||
| Bánh Lái | ||||||||||
| Tôn bánh lái |
| A | B | D | ||||||
| Cơ cấu khác | ||||||||||
| Các cơ cấu còn lại | A | |||||||||
Bảng 2-B/1.2 Danh mục sử dụng thép đóng tàu có độ bền cao đối với các cơ cấu khác nhau
| Tên cơ cấu | Khu vực sử dụng | Chiều dầy tôn t (mm) | ||||||||||||||||
| t ≤ 15 | 15 <t ≤ 20 | 15 <t ≤ 20 | 20 <t ≤ 25 | 25 <t ≤30 | 30 <t ≤35 | |||||||||||||
| Tôn vỏ | ||||||||||||||||||
| Tôn mép mạn kề với boong tính toán | Phạm vi 0,4L giữa tàu | AH | DH | EH | ||||||||||||||
| Phạm vi 0,6L giữa tàu bao gồm cả phần nêu trên | AH | DH | EH | |||||||||||||||
| Ngoài khu vực nêu trên | AH | DH | ||||||||||||||||
| Tôn mạn ở phạm vi khác | Phạm vi 0,4L giữa tàu | Phạm vi 0,1D trở xuống tính từ mặt dưới của boong tính toán | AH | DH | EH | |||||||||||||
| Ngoài khu vực nêu trên | AH | DH | ||||||||||||||||
| Dải tôn hông | Phạm vi 0,6L giữa tàu | AH | DH | EH | ||||||||||||||
| Ngoài khu vực nêu trên | AH | DH | ||||||||||||||||
| Tôn đáy kể cả dải tôn giữa đáy | Phạm vi 0,4L giữa tàu | AH | DH | EH | ||||||||||||||
| Tôn Boong | ||||||||||||||||||
| Dải tôn mép boong tính toán | Phạm vi 0,4L giữa tàu | AH | DH | EH | ||||||||||||||
| Phạm vi 0,6L giữa tàu bao gồm cả phần nêu trên | AH | DH | EH | |||||||||||||||
| Ngoài khu vực nêu trên | AH | DH | ||||||||||||||||
| Dải tôn boong chịu lực nối với vách dọc | Phạm vi 0,4L giữa tàu | AH | DH | EH | ||||||||||||||
| Phạm vi 0,6L giữa tàu bao gồm cả phần nêu trên | AH | DH | EH | |||||||||||||||
| Ngoài khu vực nêu trên | AH | DH | ||||||||||||||||
| Boong chịu lực tại góc miệng khoang hàng | Phạm vi 0,4L giữa tàu | AH | DH | EH | ||||||||||||||
| Ngoài khu vực nêu trên (trong trường hợp miệng lỗ khoét khoang hàng lớn) | AH | DH | ||||||||||||||||
| Boong chịu lực ngoài khu vực nêu trên | Phạm vi 0,4L giữa tàu | AH | DH | EH | ||||||||||||||
| Boong lộ thiên | Phạm vi 0,4L giữa tàu | AH | DH | |||||||||||||||
| Vách dọc | ||||||||||||||||||
| Dải tôn trên cùng của vách dọc nối boong chịu lực | Phạm vi 0,4L giữa tàu | AH | DH | EH | ||||||||||||||
| Boong lộ thiên | Phạm vi 0,4L giữa tàu | AH | DH | |||||||||||||||
| Cơ cấu dọc | ||||||||||||||||||
| Dải tôn trên cùng của vách nghiêng của két đỉnh mạn nối với boong chịu lực | Phạm vi 0,4L giữa tàu | AH | DH | EH | ||||||||||||||
| Cơ cấu dọc của boong chịu lực nói trên gồm mã và bản cánh của cơ cấu dọc | Phạm vi 0,4L giữa tàu | AH | DH | EH | ||||||||||||||
| Miệng khoang hàng | ||||||||||||||||||
| Bản thành và bản cánh của ngành dọc miệng khoang hàng ở bong chịu lực lớn hơn 15L | Phạm vi 0,4L giữa tàu | AH | DH | EH | ||||||||||||||
| Sống đuôi | ||||||||||||||||||
| Sống đuôi, giá bánh lái, giá chữ nhân |
| AH | DH | |||||||||||||||
| Bánh lái | ||||||||||||||||||
| Tôn bánh lái |
| AH | DH | |||||||||||||||
| Cơ cấu khác | ||||||||||||||||||
| Các cơ cấu còn lại | AH | |||||||||||||||||
Chú thích:
1 A, B, D, E trong Bảng 2-B/1.1 và AH, DH, EH trong Bảng 2-B/1.2 là cấp thép như sau :
(1) AH: A32 và A36, DH:D32 và D36, EH:E32 và E36
2 Trong Bảng 2-B/1.1 và Bảng 2-B/1.2 là chiều dài tàu qui định ở 1.2.16 Phần 1-A hoặc 0,97 chiều dài tàu trên đường nước, lấy giá trị nào nhỏ hơn.
1.3.2. Kích thước cơ cấu
1. Nếu không có qui định nào khác thì mô đun chống uốn của tiết diện cơ cấu thân tàu theo yêu cầu của Qui phạm bao gồm cả mép kèm. Mép kèm được lấy bằng 0,1L về mỗi bên của cơ cấu. Tuy nhiên, trị số 0,1l về mỗi bên cơ cấu không được lớn hơn một nửa khoảng cách giữa hai cơ cấu. l là chiều dài nhịp của cơ cấu lấy theo các qui định có liên quan.
2. Nếu dùng thép dẹt, thép góc hoặc tấm bẻ mép để làm các xà, sườn, nẹp thì dù đã có mô đun chống uốn theo qui định chúng vẫn phải có chiều cao và chiều dày theo yêu cầu của Qui phạm.
3. Bán kính góc lượn bên trong của tấm bẻ mép phải không nhỏ hơn hai lần nhưng không lớn hơn ba lần chiều dày của tấm.
4. Đối với bản mép của sống và cơ cấu ngang khỏe, chiều dày của nó phải không nhỏ hơn chiều dày bản thành còn chiều rộng phải không nhỏ hơn trị số tính theo công thức sau :

Trong đó :
d0: Chiều cao tiết diện của sống và cơ cấu ngang khỏe xác định theo các qui định có liên quan (m).
I : Khoảng cách giữa hai gối tựa của sống hoặc cơ cấu ngang khỏe xác định theo các qui định có liên quan (m). Tuy nhiên, nếu đặt các mã chống vặn thì mã đó cũng có thể được coi là gối tựa.
1.3.3. Mối hàn
Mối hàn dùng trong kết cấu thân tàu và các thiết bị quan trọng phải thỏa mãn các yêu cầu ở các Phần 2-A và Phần 6.
1.3.4. Liên kết mút của các nẹp, sống và sườn
1. Nếu mút của các sống nối với vách, đáy trên,v.v..., thì các liên kết mút ấy của các sống phải được cân bằng bởi các cơ cấu đỡ hữu hiệu ở mặt bên kia của vách, đáy trên, v.v...
2. Nếu không có qui định nào khác thì chiều dài cạnh của mã liên kết với sườn hoặc nẹp của vách hoặc của két sâu.v.v..., phải không nhỏ hơn 1/8 của l theo các qui định có liên quan.
1.3.5. Mã
1. Kích thước của mã phải được xác định theo chiều dài của cạnh liên kết dài hơn như ở Bảng 2-B/1.3.
2. Chiều dày của mã phải được tăng thích đáng nếu chiều cao tiết diện hiệu dụng của mã nhỏ hơn 2/3 chiều cao tiết diện của mã theo yêu cầu.
3. Nếu mã có lỗ khoét giảm trọng lượng thì khoảng cách từ mép lỗ khoét đến cạnh tự do của mã phải không nhỏ hơn đường kính lỗ khoét.
4. Nếu chiều dài cạnh liên kết dài hơn của mã lớn hơn 800 mi-li-mét, thì cạnh tự do của mã phải được gia cường bằng mép bè hoặc bằng một biện pháp khác, trừ khi mã đó là mã chống vặn hoặc cơ cấu tương tự.
1.3.6. Thay đổi chiều dài nhịp (l) khi mã có chiều dày lớn hơn
Khi mã liên kết có chiều dày không nhỏ hơn chiều dày của tấm sống thì trị số l qui định ở Chương 6 và ở từ Chương 9 đến Chương 12 có thể được thay đổi phù hợp như sau :
(1) Nếu diện tích tiết diện bản mép của mã không nhỏ hơn một nửa diện tích tiết diện bản mép của sống và bản mép của sống được đưa tới vách, boong, đáy trên.v.v..., thì l có thể được đo đến điểm cách đỉnh mã 0,15 mét vào phía trong của mã.
Bảng 2-B/1.3 Mã
Đơn vị (mm)
| Chiều dài của cạnh liên kết dài hơn | Chiều dày | Chiều rộng mép | Chiều dài của cạnh liên kết dài hơn | Chiều dày | Chiều rộng mép | ||
| Mã phẳng | Mã có mép | Mã phẳng | Mã có mép | ||||
| 150 | 6,5 | - | - | 700 | 14,0 | 9,5 | 70 |
| 200 | 7,0 | 6,5 | 30 | 750 | 14,5 | 10,0 | 70 |
| 250 | 8,0 | 6,5 | 30 | 800 | - | 10,5 | 80 |
| 300 | 8,5 | 7,0 | 40 | 850 | - | 11,0 | 85 |
| 350 | 9,0 | 7,0 | 40 | 900 | - | 11,0 | 90 |
| 400 | 10,0 | 8,0 | 50 | 950 | - | 11,5 | 90 |
| 450 | 10,5 | 8,0 | 50 | 1.000 | - | 11,5 | 95 |
| 500 | 11,0 | 8,5 | 55 | 1.050 | - | 12,0 | 100 |
| 550 | 12,0 | 8,5 | 55 | 1.100 | - | 12,5 | 105 |
| 600 | 12,5 | 9,0 | 65 | 1.150 | - | 12,5 | 110 |
| 650 | 13,0 | 9,0 | 65 | - | - | - | - |
(2) Nếu diện tích tiết diện bản mép của mã nhỏ hơn một nửa diện tích tiết diện bản mép của sống và bản mép của sống được đưa tới vách, boong, đáy trên.v.v..., thì l có thể được đo đến điểm mà tại đó tổng diện tích tiết diện của mã và bản mép của nó nằm ngoài sống bằng diện tích tiết diện bản mép của sống hoặc đo đến điểm cách đỉnh mã 0,15 mét vào phía trong của mã, lấy trị số nào lớn hơn.
(3) Nếu có gắn mã và bản mép của sống chạy dài theo cạnh tự do của mã cho đến vách, boong, đáy trên.v.v..., thì kể cả khi cạnh tự do của mã được lượn, l phải được đo đến đỉnh mã.
(4) Mã được xem là không có tác dụng ở phía ngoài điểm mà tại đó cạnh liên kết dọc theo sống của mã bằng 1,5 lần chiều dài cạnh liên kết của mã với vách, boong, đáy trên.v.v...
(5) Trong mọi trường hợp không được giảm l tại mỗi đầu đi một lượng lớn hơn 1/4 chiều dài toàn bộ của sống kể cả liên kết ở hai đầu của sống.
1.3.7. Trang thiết bị
Cột cẩu, dây chằng, thiết bị nâng hàng, cột buộc tàu, thiết bị neo và các trang bị khác không được qui định riêng ở Phần này phải có bố trí và kết cấu tương ứng phù hợp với mục đích sử dụng và việc kiểm tra phải được tiến hành theo yêu cầu của Đăng kiểm viên nếu xét thấy cần thiết.
1.3.8. Tàu chở dầu hoặc chất lỏng dễ cháy khác
1. Những yêu cầu đối với kết cấu thân tàu và trang thiết bị của tàu chở dầu ở Phần này chỉ áp dụng cho các tàu dùng để chở dầu đốt có nhiệt độ bắt cháy bằng và lớn hơn 60oC (thử trong cốc kín ).
2. Kết cấu thân tàu và trang thiết bị của tàu chở dầu đốt có nhiệt độ bắt cháy nhỏ hơn 60oC (thử trong cốc kín) phải thỏa mãn những yêu cầu ở Phần này hoặc phải áp dụng những qui định riêng.
3. Kết cấu và bố trí của két sâu dùng để chở dầu phải thỏa mãn các qui định ở Chương 22.
4. Ở những tàu có tổng dung tích lớn hơn hoặc bằng 400, không được chở dầu hoặc các chất lỏng dễ cháy khác ở các khoang nằm phía trước vách chống va.
1.3.9. Biện pháp kiểm soát ăn mòn
1. Nếu áp dụng biện pháp được thừa nhận để kiểm soát ăn mòn cho các két, thì các kích thước theo yêu cầu của các cơ cấu trong các két có thể được giảm theo sự thỏa thuận với Đăng kiểm.
2. Đối với các tàu có kích thước cơ cấu được giảm theo -1 trên đây ký hiệu cấp tàu sẽ có thêm dấu hiệu “ CoC”.
1.4. Các định nghĩa
1.4.1. Phạm vi áp dụng
Nếu không có qui định nào khác, thì các thuật ngữ trong Phần này được định nghĩa như ở Chương này, các thuật ngữ không được định nghĩa ở Phần này phải theo qui định ở Phần 1-A.
1.4.2. Chiều dài tàu
Chiều dài tàu (L) là khoảng cách tính bằng mét đo ở đường nước chở hàng thiết kế lớn nhất qui định ở 1.4.8 (2), từ mép trước của sống mũi đến mép sau của trụ lái nếu tàu có trụ lái hoặc đến đường tâm của trục lái nếu tàu không có trụ lái. Tuy nhiên, trong trường hợp tàu có đuôi tuần dương hạm, L được lấy như trên hoặc bằng 96% chiều dài toàn bộ của đường nước chở hàng thiết kế lớn nhất, lấy trị số nào lớn hơn.
1.4.3. Chiều dài để xác định mạn khô
Chiều dài mạn khô (Lf) là chiều dài tính bằng mét, bằng 96% khoảng cách từ mép trước của sống mũi đến mép sau của tôn bao đo trên đường nước nằm ở độ cao bằng 85% chiều cao mạn thiết kế nhỏ nhất kể từ mặt trên của tôn giữa đáy hoặc là chiều dài đo từ mép trước của sống mũi đến đường tâm của trục lái ở trên đường nước ấy, lấy trị số nào lớn hơn. Tuy nhiên, nếu mũi tàu có dạng lõm vào ở phía trên đường nước bằng 85% chiều cao mạn thiết kế nhỏ nhất thì mút trước của chiều dài này phải được lấy ở đường vuông góc với đường nước nói trên và đi qua điểm lõm nhiều nhất về phía sau của đường bao mũi tàu. Đường nước nêu trên phải song song với đường nước chở hàng định nghĩa ở 1.4.9 của Chương này.
1.4.4. Chiều rộng tàu
Chiều rộng của tàu (B) là khoảng cách đo bằng mét theo phương nằm ngang từ mép ngoài của sườn bên này sang mép ngoài của sườn bên kia tại phần thân tàu có chiều rộng lớn nhất.
1.4.5. Chiều cao mạn tàu
Chiều cao mạn của tàu (D) là khoảng cách đo bằng mét, theo phương thẳng đứng từ mặt trên của tôn giữa đáy đến mép trên của xà ngang boong mạn khô tại mạn, ở điểm giữa của chiều dài L. Trong trường hợp khi vách kín nước được nâng cao đến boong nằm phía trên boong mạn khô và được ghi ở sổ đăng ký là vách có hiệu lực đến boong đó thì chiều cao của tàu được đo đến boong vách.
1.4.6. Phần giữa tàu
Nếu không có qui định nào khác thì phần giữa tàu là phần có chiều dài bằng 0,4L ở giữa tàu.
1.4.7. Phần mũi và phần đuôi tàu
Phần mũi và phần đuôi tàu tương ứng là các phần thuộc phạm vi 0,1L tính từ mút mũi và mút đuôi tàu.
1.4.8. Đường nước chở hàng và đường nước chở hàng thiết kế lớn nhất
(1) Đường nước chở hàng là đường nước ứng với mỗi mạn khô được vạch dấu theo các qui định ở Phần 11 “Mạn khô” của Qui phạm này.
(2) Đường nước chở hàng thiết kế lớn nhất là đường nước ứng với trạng thái toàn tải.
1.4.9. Chiều chìm có tải và chiều chìm thiết kế lớn nhất
(1) Chiều chìm có tải là khoảng cách thẳng đứng tính bằng mét, đo từ mặt trên của tôn giữa đáy đến đường nước chở hàng.
(2) Chiều chìm thiết kế lớn nhất (d) là khoảng cách đo theo phương thẳng đứng từ mặt trên của tôn giữa đáy đến đường nước chở hàng thiết kế lớn nhất đo tại điểm giữa chiều dài tàu L.
1.4.10. Lượng chiếm nước toàn tải
Lượng chiếm nước toàn tải (W) là lượng chiếm nước tính bằng tấn ứng với trạng thái toàn tải của tàu.
1.4.11. Hệ số béo thể tích
Hệ số béo thể tích (Cb) là hệ số bằng thể tích ứng với lượng chiếm nước W chia cho LBd.
1.4.12. Boong tính toán
Boong tính toán trên một đoạn chiều dài tàu là boong trên cùng ở đoạn đó mà tôn mạn lên tới. Tuy nhiên, ở vùng thượng tầng, trừ những thượng tầng có chiều cao thấp hơn chiều cao tiêu chuẩn mà chiều dài không lớn hơn 0,15L, boong tính toán là boong nằm ngay dưới boong thượng tầng. Theo sự lựa chọn của người thiết kế, boong nằm ngay dưới boong thượng tầng có thể được lấy là boong tính toán ngay cả khi thượng tầng này có chiều dài lớn hơn 0,15L.
1.4.13. Boong mạn khô
1. Boong mạn khô thường là boong liên tục trên cùng. Tuy nhiên, trong trường hợp có lỗ khoét không thường xuyên đóng ở phần lộ của boong liên tục trên cùng hoặc có lỗ khoét không có phương tiện kín nước đóng kín thường xuyên ở phần mạn tàu phía dưới boong đó, thì boong mạn khô là boong liên tục và ở phía dưới boong đó.
2. Ở những tàu có boong mạn khô không liên tục thì phần thấp nhất của boong lộ thiên và phần kéo dài thêm của đường thấp nhất này song song với phần boong phía trên được lấy là boong mạn khô.
3. Nếu tàu có nhiều boong thì thậm chí một trong số đó được thừa nhận là boong mạn khô theo qui định ở -1 hoặc -2 trên đây, và đường nước chở hàng kẻ ứng với boong mạn khô được định ra phù hợp với những yêu cầu ở Phần 11 “Mạn khô” do thừa nhận rằng thực tế boong thấp hơn được lấy là boong mạn khô thì boong mạn khô có thể là boong thấp hơn ấy. Trong trường hợp này boong thấp hơn ấy phải liên tục ít nhất là từ khoang máy đến các vách chống va và liên tục từ mạn nọ sang mạn kia. Nếu boong bên dưới ấy nhảy bậc, thì đường thẳng thấp nhất của boong ấy và phần kéo dài thêm của đường thẳng thấp nhất này song song với phần cao hơn của boong ấy được lấy là boong mạn khô.
CHƯƠNG 2 SỐNG MŨI VÀ SỐNG ĐUÔI
2.1. Sống mũi
2.1.1. Sống mũi tấm
1. Chiều dày của sống mũi tấm phải không nhỏ hơn trị số tính theo công thức sau :
| 0,10 L + 4,0 | (mm) |
Tuy nhiên, ở phía trên và ở phía dưới của đường nước chở hàng thiết kế lớn nhất, chiều dày của sống mũi tấm có thể được giảm dần về phía đỉnh của sống mũi và tôn giữa đáy. Tại đỉnh, chiều dày sống mũi tấm có thể được lấy bằng chiều dày tôn mạn ở mũi tàu, tại mút dưới chiều dày sống mũi có thể lấy bằng chiều dày tôn giữa đáy.
2. Phải đặc các mã ngang cách nhau không xa quá 1mét ở tấm sống mũi. Nếu bán kính cong ở mép trước của sống mũi lớn, thì phải có biện pháp gia cường thích đáng bằng cách đặt nẹp gia cường ở dọc tâm hoặc bằng biện pháp khác.
3. Đối với tàu kéo, ở đoạn từ sống đáy lên đến đường nước chở hàng, phải đặt sống mũi tiết diện hình chữ nhật đặc (hoặc tương đương) có qui cách như sau :
| Chiều rộng tiết diện theo phương ngang tàu : | 0,5L + 25 | (mm) |
| Chiều dài tiết diện theo phương dọc tàu : | 1,6L+ 100 | (mm) |
Lên đến đỉnh, qui cách tiết diện có thể giảm đến còn bằng 85% trị số nói trên.
2.2. Sống đuôi
2.2.1. Phạm vi áp dụng
Những yêu cầu ở mục 2.2 này chỉ áp dụng cho những sống đuôi không có trụ bánh lái.
2.2.2. Trụ chân vịt
1. Trụ chân vịt của sống đuôi bằng thép đúc và sống đuôi dạng tấm phải có hình dạng thích hợp với dòng chảy phía sau thân tàu. Kích thước của trụ chân vịt phải tương đương với tiêu chuẩn cho ở các công thức và hình vẽ ở Hình 2-B/2.1. Chiều rộng và chiều dày của trụ chân vịt ở phía dưới của u đỡ trục chân vịt phải được tăng dần để có độ bền và độ cứng tương xứng với ky sống đuôi.
2. Chiều dày u đỡ trục chân vịt phải không nhỏ hơn trị số tính theo công thức sau :
| 0,9L + 10 | (mm) |
3. Trụ chân vịt của sống đuôi bằng thép đúc và sống đuôi tấm phải được đặt các mã ngang theo khoảng cách thích hợp. Nếu bán kính cong của mép sau ở sóng đuôi lớn thì phải có nẹp gia cường ở dọc tâm.
4. Đối với các tàu có tốc độ tương đối lớn so với chiều dài và các tàu thiết kế riêng để kéo, kích thước các bộ phận của trụ chân vịt phải được tăng thích đáng (khoảng từ 15 ¸ 20 %).
2.2.3. Ky sống đuôi
1. Kích thước từng tiết diện ngang của ky sống đuôi (Xem Hình 2-B/2.2) phải được xác định theo các công thức ở từ (1) đến (4) sau đây, coi mô men uốn và lực cắt xuất hiện ở ky là do lực tác dụng lên bánh lái theo quy định ở 2-B/21.1.2.
|
| W: 2,2L + 88 (mm) T : 0,18L + 15 (mm) R : 0,40 L + 16 (mm) Trụ chân vịt của sống đuôi bằng thép đúc |
|
| W : 2,5L + 100 (mm) T : 2,2 R : 0,40 L + 16 (mm) Trụ chân vịt của sống đuôi bằng thép tấm |
Hình 2-B/2.1 Tiêu chuẩn kích thước của trụ chân vịt
(1) Mô đun chống uốn Zz của tiết diện lấy đối với trục thẳng đứng Z-Z phải không nhỏ hơn :

Trong đó:
M: Mô men uốn tại tiết diện đang xét, xác định theo công thức sau :
M = Bx (Mmax = Bl) (N/m)

Hình 2-B/ 2.2 Ky sống đuôi
Trong đó:
B : Phản lực của gối đỡ trục lái (N) lấy như ở 2-B/21.1.4-1.
x : Khoảng cách từ điểm giữa của gối đỡ trục lái đến tiết diện đang xét (m), xem Hình 2-B/2.2.
l : Khoảng cách (m) từ tâm gối đỡ trục lái đến điểm gốc của ky sống đuôi xem Hình 2-B/2.2.
KSP : Hệ số của vật liệu làm ky sống đuôi tính theo 2-B/21.1.1-2.
(2) Mô đun chống uốn Zy đối với trục nằm ngang Y-Y phải không nhỏ hơn :
Zy = 0,5Zz (cm3)
Trong đó :
Zz: Được xác định ở (1).
(3) Diện tích tiết diện tổng cộng As của các chi tiết theo hướng Y-Y phải không nhỏ hơn :

Trong đó :
B và KSP : Lấy như ở (1).
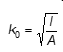
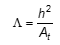
(4) Tại tiết diện bất kỳ trong phạm vi chiều dài l, ứng suất tương đương phải không lớn hơn 115/KSP (N/mm2). Ứng suất tương đương se được tính theo công thức sau :

Ứng suất uốn và ứng suất cắt xuất hiện trên ky được xác định theo các công thức tương ứng sau :
Ứng suất uốn : 
Ứng suất cắt 
Trong đó :
Zz, As, M, và B : Như qui định ở từ (1) đến (3).
2. Chiều dày của các tấm thép tạo nên phần chính của ky sống đuôi dạng thép tấm phải không nhỏ hơn chiều dày của thép tấm tạo nên phần chính của trụ chân vịt. Ở ky các gân ngang phải được bố trí dưới trụ chân vịt, dưới các tấm mã và ở các vị trí cần thiết khác.
2.2.4. Gót ky
Gót ky của sống đuôi phải có chiều dài ít nhất bằng 3 lần khoảng cách sườn ở vùng đó và phải được liên kết chắc chắn với tôn giữa đáy.
2.2.5. Liên kết của sống đuôi với đà ngang tấm
Sống đuôi phải được kéo lên phía trên kể từ trục chân vịt và hàn chắc chắn với đà ngang vòm đuôi. Chiều dày của đà ngang vòm phải không nhỏ hơn trị số tính theo công thức sau :
| 0,035L + 10,0 | (mm) |
Ở phần trên của sống đuôi kéo dài, đà ngang vòm đuôi phải được gia cường để tránh thay đổi đột ngột của độ cứng.
2.2.6. Ổ đỡ chốt bánh lái
1. Chiều dài của ổ đỡ chốt bánh lái phải không nhỏ hơn chiều dài bạc đỡ chốt.
2. Chiều dày của thành ổ đỡ chốt phải không nhỏ hơn 0,25dpo. Tuy nhiên, đối với các tàu được qui định ở 2-B/21.1.1-3, chiều dày của thành ổ đỡ chốt bánh lái phải được tăng thích đáng.
Trong đó :
dpo : Đường kính thực của chốt bánh lái do ở mặt ngoài của áo chốt (mm).
CHƯƠNG 3 ĐÁY ĐƠN
3.1. Qui định chung
1. Những yêu cầu của Chương này được áp dụng cho các tàu mà đáy đôi bị khuyết từng phần hoặc toàn bộ phù hợp với những yêu cầu ở 4.1.1-2 hoặc -3 Phần 2-B của Qui phạm.
2. Kết cấu đáy ở khoang mũi và khoang đuôi phải thỏa mãn những yêu cầu ở 7.2 và 7.3.
3.2. Sống chính
3.2.1. Bố trí và kết cấu
Các tàu đáy đơn phải có sống chính gồm mội bản thành và một bản mép. Sống chính phải được kéo càng dài về phía mũi và đuôi tàu càng tốt.
3.2.2. Bản thành
1. Chiều dày của bản thành sống chính phải không nhỏ hơn trị số tính theo công thức sau đây :
| 0,065 L + 5,2 | (mm) |
Ra ngoài đoạn giữa tàu chiều dày này có thể được giảm dần và ở các đoạn mũi tàu và đuôi tàu chiều dày này có thể còn bằng 0,85 chiều dày ở đoạn giữa tàu.
2. Chiều cao tiết diện bản thành phải không nhỏ hơn chiều cao tiết diện của đà ngang đáy.
3.2.3. Bản mép
1. Chiều dày của bản mép phải không nhỏ hơn chiều dày của bản thành ở đoạn giữa tàu. Bản mép phải được kéo dài từ vách chống va đến vách đuôi.
2. Diện tích tiết diện bản mép phải không nhỏ hơn trị số tính theo công thức sau :
| 0,6L + 9 | (cm2) |
Ra ngoài đoạn giữa tàu diện tích này có thể được giảm dần và ở các đoạn mũi tàu và đuôi tàu diện tích này có thể còn bằng 0,85 diện tích tiết diện ở đoạn giữa tàu.
2. Chiều rộng của bản mép phải không nhỏ hơn trị số tính theo công thức sau :
| 2,3L + 160 | (cm2) |
3.3. Sống phụ
3.3.1. Bố trí
Trong vùng từ sống chính đến tôn mạn, khoảng cách giữa các sống phụ và giữa sống phụ với mạn phải được đặt cách nhau không xa quá 2,5 mét.
3.3.2. Kết cấu
Sống phụ phải gồm có một bản thành liên tục và một bản mép và phải được kéo càng dài về phía mũi và đuôi tàu càng tốt.
3.3.3. Bản thành
1. Ở đoạn giữa tàu chiều dày của bản thành sống phụ phải không nhỏ hơn trị số tính theo công thức sau đây :
| 5,8 + 0,042L | (mm) |
Ra ngoài đoạn giữa tàu chiều dày này có thể được giảm dần, và ở các đoạn mũi và đoạn đuôi tàu chiều dày này có thể còn bằng 0,85 chiều dày ở đoạn giữa tàu.
2. Trong buồng máy, chiều dày của bản thành phải không nhỏ hơn trị số yêu cầu ở 3.2.2 cho bản thành của sống chính.
3.3.4. Bản mép
Chiều dày của bản mép sống phụ phải không nhỏ hơn chiều dày yêu cầu của bản thành và diện tích tiết diện bản mép ở đoạn giữa tàu phải không nhỏ hơn trị số tính theo công thức sau đây :
| 0,45L + 8,8 | (cm2) |
Ra ngoài đoạn giữa tàu diện tích tiết diện bản mép có thể được giảm dần và ở các đoạn mũi tàu và đuôi tàu diện tích đó có thể còn bằng 0,85 diện tích tiết diện bản mép ở đoạn giữa tàu.
3.4. Đà ngang tấm
3.4.1. Bố trí
1. Ở những tàu có đáy kết cấu theo hệ thống ngang, khoảng cách chuẩn của đà ngang phải thỏa mãn những yêu cầu ở 5.2.1.
2. Ở những tàu có đáy kết cấu theo hệ thống dọc, đà ngang phải được bố trí sao cho khoảng cách không lớn hơn 3,5 mét.
3.4.2. Hình dạng
1. Ở bất kỳ chỗ nào mép trên của đà ngang không được nằm thấp hơn mép trên của nó ở dọc tâm.
2. Ở đoạn giữa tàu, chiều cao tiết diện của đà ngang đo ở khoảng cách bằng d0 qui định ở 3.4.3-1, từ mép trong của sườn, dọc theo mép trên của đà ngang, phải không nhỏ hơn 0,5d0 (Xem Hình 2-B/3.1). Nếu có đặt mã
3. Ở những tàu đáy có độ dốc khác thường, chiều cao của đà ngang đáy ở đường dọc tâm tàu phải được tăng thích đáng.
4. Bản mép gắn lên đà ngang phải liên tục từ phần trên của cung hông ở mạn này sang đến phần trên của cung hông ở mạn kia trong trường hợp đà ngang dạng cong và kéo dài suốt theo đà ngang tấm trong trường hợp đà ngang được nối với sườn bằng mã.

Hình 2-B/3.1 Hình dạng của đà ngang đáy
3.4.3. Kích thước
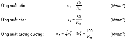
1. Kích thước của đà ngang tấm phải không nhỏ hơn trị số tính theo các công thức sau đây :
| Chiều cao tiết diện ở đường tâm tàu : | 0,0625 l | (m) |
| Chiều dày : | 10 d0 +4 | (mm) hoặc 12 mi-li-mét, lấy trị số nào nhỏ hơn |
| Mô đun chống uốn của tiết diện: | 4,275Shl2 | (cm3) |
Trong đó:
S : Khoảng cách giữa các đà ngang (m).
h : d hoặc 0,66D lấy trị số nào lơn hơn (m).
l : Khoảng cách giữa các đỉnh của các mã sườn ở hai bên mạn thu đo ở giữa tàu cộng 0,3 mét. Nếu đà ngang cong thì chiều dài l phải được thay đổi thích hợp (m) (xem Hình 2-B/3.1).
d0: Chiều cao tiết diện đà ngang tấm ở đường tâm tàu (m).
2. Chiều dày bản mép của đà ngang phải không nhỏ hơn chiều dày yêu cầu đối với đà ngang, chiều rộng bản mép phải đủ đảm bảo ổn định ngang của đà ngang.
3. Ra ngoài đoạn 0,5L giữa tàu, chiều dày của đà ngang tấm có thể được giảm dần đến còn bằng 0,85 trị số quy định ở -1, trừ trường hợp đối với phần phẳng của đáy mũi tàu.
4. Đà ngang đáy ở dưới bệ máy và bệ ổ chặn phải có chiều cao phù hợp và phải được gia cường đặc biệt. Chiều dày của các đà ngang đó phải không nhỏ hơn chiều dày của bản thành của sống chính.
5. Ở đoạn đáy gia cường phía mũi tàu qui định ở 4.9.2, chiều cao của tiết diện đà ngang tấm phải được tăng hoặc mô đun chống uốn của tiết diện đà ngang tương ứng yêu cầu ở -1 phải được tăng thích đáng.
3.4.4. Mã sườn
Kích thước của mã sườn phải thỏa mãn những yêu cầu sau đây, và cạnh tự do của mã sườn phải được gia cường.
(1) Mã phải được đưa lên đến chiều cao lớn hơn 2 lần chiều cao tiết diện đà ngang đáy ở đường tâm tàu, so với mặt trên của tôn giữa đáy.
(2) Chiều dài của cạnh mã đo từ mép tự do của sườn đến đỉnh mã dọc theo mép trên của đà ngang đáy phải không nhỏ hơn chiều cao tiết diện yêu cầu của đà ngang đáy ở đường tâm tàu.
(3) Chiều dày của mã phải không nhỏ hơn chiều dầy của đà ngang đáy yêu cầu ở 3.3.3.
3.4.5. Lỗ thoát nước
Lỗ thoát nước phải được đặt ở tất cả các đà ngang đáy ở mỗi bên của đường tâm tàu và ở cạnh dưới của cung hông nếu tàu có đáy bằng.
3.4.6. Lỗ khoét giảm trọng lượng
Đà ngang đáy có thể có lỗ khoét để giảm trọng lượng. Khi đó độ bền phải được bù lại thỏa đáng bằng cách tăng chiều cao tiết diện đà ngang đáy hoặc bằng một biện pháp thích hợp khác.
3.4.7. Đà ngang tấm tạo thành một phần của vách
Đà ngang tấm tạo thành một phần của vách phải thỏa mãn các yêu cầu ở các Chương 11 và 12.
3.5. Dầm dọc đáy
3.5.1. Khoảng cách
Khoảng cách chuẩn của dầm dọc đáy được tính theo công thức sau :
| 2L + 550 | (mm) |
3.5.2. Dầm dọc đáy
Mở đun chống uốn của tiết diện dầm dọc đáy phải không nhỏ hơn trị số tính theo công thức sau :
| 9Shl2 | (cm3) |
Trong đó:
l : Khoảng cách giữa các đà ngang đặc (m).
S : Khoảng cách giữa các dầm dọc đáy (m).
h : Khoảng cách thẳng đứng từ các dầm dọc đáy đến điểm ở d + 0,026L cao hơn mặt trên của tôn giữa đáy.
3.6. Gia cường đáy phía mũi tàu
Việc gia cường đáy phía mũi tàu phải phù hợp với những yêu cầu ở 4.9.
CHƯƠNG 4 ĐÁY ĐÔI
4.1. Qui định chung
4.1.1. Phạm vi áp dụng
1. Về nguyên tắc tàu phải có đáy đôi từ vách chống va đến vách đuôi.
2. Với những tàu có tổng dung tích nhỏ hơn 500, những tàu không chạy tuyến quốc tế có chiều dài nhỏ hơn 90 mét hoặc những tàu mà vì những lý do riêng biệt của hình thức kết cấu, hình dạng thân tàu và mục đích sử dụng.v.v..., nếu được Đăng kiểm thừa nhận thì đáy đôi có thể khuyết từng phần hoặc toàn bộ.
3. Nếu được Đăng kiểm chấp thuận thì đáy đôi có thể khuyết ở những két có kích thước vừa phải và chuyên dùng để chứa chất lỏng.
4. Những yêu cầu ở Chương này có thể được thay đổi thích hợp nếu tàu có đáy đôi một phần hoặc nếu có các kết cấu đặc biệt như vách dọc hoặc mạn trong làm giảm khoảng cách các đế tựa của đáy đôi.
5. Khi có sự chuyển tiếp từ hệ thống kết cấu dọc sang hệ thống kết cấu ngang hoặc khi chiều cao đáy đôi thay đổi đột ngột, phải quan tâm đặc biệt đến sự liên tục của độ bền bằng cách đặt các sống phụ và đà ngang bổ sung.
6. Kết cấu đáy của khoang dùng để chuyên chở hàng nặng phải được quan tâm đặc biệt.
4.1.2. Lỗ chui và lỗ giảm trọng lượng
1. Các cơ cấu không kín nước phải có lỗ chui và lỗ giảm trọng lượng để đảm bảo sự tiếp cận và thông gió, trừ những vùng có cột đặt thưa và khi các lỗ khoét này không được Qui phạm này cho phép.
2. Số lượng lỗ chui ở tôn đáy trên phải là tối thiểu đủ để đảm bảo thông gió và để tiếp cận đến mọi chỗ trong đáy đôi. Phải thận trọng khi đặt những lỗ chui để tránh khả năng lưu thông giữa các khoang phân chia chính qua đáy đôi.
3. Nắp của lỗ chui qui định ở -2 phải được làm bằng thép và nếu trong khoang hàng không có ván lát sàn thì nắp và các phụ lùng của nắp phải được bảo vệ tốt chống hàng hóa gây hư hại.
4. Lỗ thoát khí và lỗ thoát nước phải được đặt ở mọi cơ cấu không kín nước ở kết cấu đáy đôi.
5. Vị trí và kích thước dự kiến của lỗ chui và lỗ khoét giảm trọng lượng phải được ghi trong bản vẽ để trình duyệt.
4.1.3. Tiêu nước
1. Phải có những trang bị hữu hiệu để tiêu nước trên mặt đáy trên.
2. Nếu đặt các hố tụ dùng cho mục đích nói trên thì các hố tụ , trừ hố tụ ở cuối hầm trục, phải cố gắng để chiều sâu của nó phải không lớn hơn một nửa chiều cao đáy đôi và đáy hố phải cách tôn bao đáy không nhỏ hơn 460 mi-li-mét.
4.1.4. Khoang cách ly
Trong đáy đôi giữa các két dùng để chứa dầu và các két dùng để chứa nước ngọt như nước sinh hoạt, nước dùng cho nồi hơi.v.v..., phải đặt các ngăn cách ly kín dầu để tránh tác hại do lẫn dầu sang nước ngọt.
4.1.5. Sống đáy kín nước và đà ngang kín nước
Chiều dày của sống đáy kín nước và đà ngang kín nước và kích thước của các nẹp hàn với chúng phải thỏa mãn những yêu cầu có liên quan tới sống đáy và đà ngang như những yêu cầu ở 12.2.2 và 12.2.3.
4.1.6. Chiều dày tối thiểu
Chiều dày của các cơ cấu đáy đôi phải không nhỏ hơn 6 mi-li-mét.
4.2. Sống chính
4.2.1. Bố trí và kết cấu của sống chính
1. Sống chính phải được kéo càng dài về phía mũi và đuôi tàu càng tốt.
2. Tấm sống chính phải liên tục trong đoạn 0,5 L giữa tàu.
3. Nếu đáy đôi được dùng để chứa nhiên liệu, nước ngọt hoặc nước dằn, thì sống chính phải kín nước.
4. Những yêu cầu ở -3 có thể được thay đổi thích hợp trong những két hẹp ở đoạn mũi và đoạn đuôi tàu hoặc ở những chỗ mà các kết cấu dọc kín nước khác được đặt ở khoảng 0,25 B tính từ đường tâm tàu, hoặc ở những chỗ được Đăng kiểm chấp nhận.
4.2.2. Lỗ chui
1. Lỗ chui có thể được đặt trên sống chính ở tất cả các khoảng sườn nằm ngoài phạm vi 0,75L giữa tàu.
2. Nếu chiều cao của lỗ không lớn hơn 1/3 chiều cao của sống chính, thì lỗ chui có thể được đặt xen kẽ các khoảng sườn ở sống chính nằm trong phạm vi 0,75L giữa tàu.
4.2.3. Chiều cao tiết diện sống chính
Trừ trường hợp được Đăng kiểm chấp nhận đặc biệt, chiều cao tiết diện sống chính phải không nhỏ hơn B/16, nhưng trong mọi trường hợp không được nhỏ hơn 700 mi-li-mét.
4.2.4. Chiều dày của tấm sống chính
Chiều dày của tấm sống chính phải không nhỏ hơn trị số tính theo công thức sau :
| 0,05L + 6 | (mm) |
4.2.5. Mã
1. Nếu đáy đôi được kết cấu theo hệ thống dọc thì ở khoảng giữa các đà ngang đặc phải đặt các mã ngang cách nhau không xa quá 1,75 mét liên kết tấm sống chính với tôn đáy và với các dầm dọc đáy lân cận. Nếu khoảng cách các mã đó lớn hơn 1,25 mét thì tấm sống chính phải được gắn nẹp bổ sung.
2. Chiều dày của mã nêu ở -1 phải không nhỏ hơn trị số tính theo công thức sau đây. Tuy nhiên, chiều dày này không cần phải lớn hơn chiều dày của đà ngang đặc ở vùng đó :
| 0,6 | (mm) |
3. Độ bền của nẹp nêu ở -1 phải không nhỏ hơn độ bền của thanh thép dẹt có chiều dày bằng chiều dày của tấm sống chính và chiều cao tiết diện không nhỏ hơn 0,08d0(m), trong đó d0 là chiều cao tiết diện sống chính (m).
4.3. Sống phụ
4.3.1. Bố trí
1. Ở đoạn 0,5L giữa tàu các sống phụ phải được đặt sao cho khoảng cách từ sống chính đến sống phụ trong cùng, khoảng cách giữa các sống phụ, khoảng cách từ sống phụ ngoài cùng đến tôn vỏ mạn phải không lớn hơn 4,6 mét.
2. Ở đoạn đáy gia cường mũi tàu qui định ở 4.9.2, các sống phụ và nửa sống phụ phải được đặt như yêu cầu ở 4.9.3.
3. Ở dưới bệ máy chính và bệ ổ chặn, đáy tàu phải được gia cường thích hợp bằng các sống phụ và nửa sống phụ bổ sung.
4.3.2. Chiều dày tấm sống phụ
Chiều dày của tấm sống phụ phải không nhỏ hơn trị số tính theo công thức sau. Trong buồng máy chiều dày tấm sống phụ phải được tăng 1,5 mi-li-mét so với trị số này :
0,65
+ 2,5 (mm)
4.3.3. Chiều dày của nửa sống phụ
Chiều dày của nửa sống phụ phải không nhỏ hơn trị số tính theo công thức cho ở 4.3.2.
4.3.4. Kích thước của nẹp đứng và thanh chống
1. Nếu đáy đôi kết cấu theo hệ thống dọc, thì nẹp đứng phải được đặt ở các sống phụ tại mỗi đà ngang hở, hoặc theo khoảng cách thích hợp. Thanh chống thẳng đứng phải được đặt ở các nửa sống phụ tại mỗi đà ngang hở.
2. Độ bền của nẹp đứng nêu ở -1 phải không nhỏ hơn độ bền của thanh thép dẹt có chiều dày bằng chiều dày tấm sống phụ, có chiều cao tiết diện không nhỏ hơn 0,08d0(m), trong đó d0 là chiều cao tiết diện của sống chính (m).
3. Diện tích tiết diện thanh chống thẳng đứng yêu cầu ở -1 phải không nhỏ hơn trị số tương ứng yêu cầu ở 4.6.3. có những thay đổi phù hợp
4.3.5. Lỗ khoét giảm trọng lượng
Trong phạm vi 10% chiều dài kể từ mỗi đầu của khoang, đường kính của lỗ khoét giảm trọng lượng ở sống phụ phải không lớn hơn 1/3 chiều cao tiết diện của sống. Tuy nhiên, yêu cầu này có thể được thay đổi ở các khoang ngắn và ở ngoài phạm vi 0,75L giữa tàu và nếu bản thành của sống được gia cường bồi thường thích đáng.
4.4. Đà ngang đặc
4.4.1. Vị trí của đà ngang đặc
1. Đà ngang đạc phải được dài cách nhau không xa quá 3,5 mét.
2. Thêm vào yêu cầu ở -1, đà ngang đặc còn phải được đặt ở những vị trí sau đây :
(1) Ở mỗi mặt sườn trong buồng máy chính. Tuy nhiên, nếu đáy đôi được kết cấu theo hệ thống dọc thì ở ngoài vùng bệ máy, đà ngang đặc có thể được đặt cách nhau 2 khoảng sườn.
(2) Dưới bệ ổ chăn và bệ nồi hơi.
(3) Dưới các vách ngang
(4) Trong vùng qui định ở 4.9.3 từ vách mũi đến mút sau của đoạn đáy gia cường mũi tàu qui định ở 4.9.2.
3. Đà ngang kín nước phải được đặt sao cho sự phân khoang của đáy đôi tương ứng và phù hợp với sự phân khoang của tàu.
4.4.2. Chiều dày của đà ngang đặc
Chiều dày của đà ngang đặc phải không nhỏ hơn trị số tính theo các công thức sau đây và trong buồng máy chiều dày này phải được tăng lên 1,5 mi-li-mét.
| Đáy tàu kết cấu theo hệ thống ngang : | 0,6 | (mm) |
| Đáy tàu kết cấu theo hệ thống dọc : | 0,7 | (mm) |
4.4.3. Nẹp đứng
1. Nẹp đứng phải được đặt ở các đà ngang đặc theo những khoảng cách thích hợp nếu đáy đôi được kết cấu theo hệ thống ngang, và phải được đặt tại mỗi vị trí dầm dọc đáy nếu đáy đôi được kết cấu theo hệ thống dọc.
2. Độ bền của nẹp đứng qui định ở -1 phải không nhỏ hơn độ bền của thanh thép dẹt có chiều dày bằng chiều dày đà ngang tấm, có chiều cao tiết diện không nhỏ hơn 0,08 d0, trong đó d0 là chiều cao tiết diện sống chính đáy.
4.4.4. Lỗ khoét giảm trọng lượng
Trong phạm vi 0,1B kể từ tôn mạn, đường kính lỗ khoét giảm trọng lượng của các đà ngang đặc ở giữa chiều dài của khoang phải không lớn hơn 1/5 chiều cao tiết diện của đà ngang. Tuy nhiên, những yêu cầu này có thể được thay đổi thích hợp ở các đoạn mũi tàu và đuôi tàu ở những khoang được coi là ngắn và nếu đà ngang đặc được gia cường bồi thường thỏa đáng.
4.5. Đà ngang hở
4.5.1. Bố trí
Nếu đáy đôi kết cấu theo hệ thống ngang thì ở khoảng giữa hai đà ngang đặc tại mỗi mặt sườn phải đặt đà ngang hở theo yêu cầu ở 4.5.
4.5.2. Kích thước của dầm ngang đáy dưới và dầm ngang đáy trên
1. Mô đun chống uốn của tiết diện dầm ngang đáy dưới phải không nhỏ hơn trị số tính theo công thức sau đây :
| CShl2 | (cm3) |
Trong đó :
l: Khoảng cách giữa các mã liên kết với sống chính và các mã liên kết với sống hông (m). Nếu đáy có sống phụ thì I là khoảng cách lớn nhất trong các khoảng cách từ nẹp đứng gia cường sống phụ đến mã (xem Hình 2-B/4.1).

Hình 2-B/4.1 Đà ngang hở
S : Khoảng cách các dầm ngang đáy dưới (m).
h = d + 0,026 L
C: Hệ số được cho như sau :
6,0 : Đối với đà ngang hở không có thanh chống thẳng đứng qui định ở 4.5.3.
4,4 : Đối với đà ngang hở nằm dưới két sâu có thanh chống thẳng đứng qui định ở 4.5.3.
2,9 : Ở những chỗ khác.
2. Mô đun chống uốn của tiết diện dầm ngang đáy trên phải không nhỏ hơn trị số tính theo công thức cho ở -1 với C bằng 0,85 lần trị số qui định đối với dầm ngang đáy dưới ở cùng vị trí. Nếu không có thanh chống thẳng đứng ở đà ngang hở dưới két sâu thì C phải bằng trị số qui định ở 12.2.3.
4.5.3. Thanh chống thẳng đứng
1. Thanh chống thẳng đứng phải là thép cán, không được làm bằng thép dẹt hoặc thép mỏ và phải được hàn đè chắc chắn vào bản thành của dầm ngang đáy trên và dầm ngang đáy dưới.
2. Diện tích tiết diện thanh chống thẳng cũng phải không nhỏ hơn trị số xác định ở 4.6.3 với những thay đổi cần thiết.
4.5.4. Mã
1. Dầm ngang đáy trên và dầm ngang đáy dưới phải được liên kết với sống chính và sống hông bằng mã có chiều dày không nhỏ hơn chiều dày tính theo công thức cho ở 4.2.5-2.
2. Chiều rộng của mã qui định ở -1 phải không nhỏ hơn 0,05B. Mã phải được hàn đè lên dầm ngang đáy trên và dầm ngang đáy dưới. Cạnh tự do của mã phải được gia cường thích đáng.
4.6. Dầm dọc
4.6.1. Khoảng cách
Khoảng cách chuẩn của các dầm dọc được tính theo công thức sau đây :
| 2L + 550 | (mm) |
4.6.2. Kích thước
1. Mô đun chống uốn của tiết diện dầm dọc đáy dưới phải không nhỏ hơn trị số tính theo công thức sau đây :
| CShl2 | (cm3) |
Trong đó :
l : Khoảng cách giữa các đà ngang đặc (m).
S: Khoảng cách giữa các dầm dọc (m).
h : Khoảng cách thẳng đứng từ dầm dọc đáy đến điểm ở d + 0,026L cao hơn mặt tôn giữa đáy (m).
C: Được lấy như sau :
8,6 : Đối với dầm dọc đáy không có thanh chống như qui định ở 4.6.3.
6,2 : Đối với dầm dọc đáy có thanh chống nằm dưới két sâu như qui định ở 4.6.3.
4,1 : Ở những chỗ khác.
2. Mô đun chống uốn của tiết diện dầm dọc đáy trên phải không nhỏ hơn trị số tính theo công thức ở -1, với C bằng 0,85 lần trị số qui định đối với dầm dọc đáy dưới ở cùng vị trí. Nếu thanh chống thẳng đứng không được đặt ở dầm đọc đáy dưới két sâu, mô đun chống uốn của tiết diện dầm dọc đáy trên phải được lấy như qui định ở 12.2.3.
4.6.3. Thanh chống thẳng đứng
1. Thanh chống thẳng đứng phải là thép cán không được là thép dẹt hoặc thép mỏ và phải được hàn đè chắc chắn vào bản thành của dầm dọc đáy dưới và dầm dọc đáy trên.
2. Diện tích tiết diện thanh chống thẳng đứng nói trên phải không nhỏ hơn trị số tính theo công thức sau đây :
| -2,2Sbh | (cm2) |
Trong đó :
S : Khoảng cách giữa các dầm dọc (m).
b : Chiều rộng của vùng mà thanh chống phải đỡ (m). (xem Hình 2-B/4.1)
h: Như qui định ở 4.6.2-1.
4.7. Tôn đáy trên và sống hông
4.7.1. Chiều dày của tôn đáy trên
1. Chiều dày của tôn đáy trên phải không nhỏ hơn trị số tính theo các công thức sau đây, và phải được tăng 2 mi-li-mét ở trong buồng máy và dưới miệng khoang không có ván lát :
| 3,8S | (mm) |
Trong đó:
S : Khoảng cách giữa các dầm dọc đáy trên nếu đáy trên kết cấu theo hệ thống dọc hoặc khoảng cách giữa các đà ngang nếu đáy trên kết cấu theo hệ thống ngang (m).
4.7.2. Tàu chở hàng thường xuyên được bốc xếp bằng phương tiện cơ giới tương tự gầu ngoạm
Ở những tàu mà hàng hóa thường xuyên được bốc xếp bằng gầu ngoạm hoặc bằng một phương tiện cơ giới tương tự, chiều dày của tôn đáy trên phải được tăng 2,5 mi-li-mét so với trị số qui định ở -1 hoặc ở 4.7.1, trừ khi có ván lát sàn.
4.7.3. Giao tuyến của sống hông với tôn bao
Giao tuyến của sống hông với tôn bao nên ở độ cao đủ để đáy đôi bảo vệ được đáy cho đến cung hông của tôn bao. Ở đoạn 0,2L tính từ sóng mũi, sống hông nên cố gắng nằm ngang ra đến mạn tàu.
4.7.4. Chiều dày của sống hông
Chiều dày của sống hông phải được tăng 1,5 mi-li-mét so với trị số tính theo công thức ở 4.7.1.
4.7.5. Chiều rộng của sống hông
Sống hông phải có đủ chiều rộng và phải sâu vào phần phía trong tàu tính từ đường chân của mã hông.
4.7.6. Mã
1. Nếu đáy kết cấu theo hệ thống dọc thì mã ngang phải được đặt ở mỗi mặt sườn, đi từ sống hông đến dầm dọc đáy dưới và dầm dọc đáy trên kề cận.
2. Chiều dày của mã qui định ở -1 phải không nhỏ hơn trị số tính theo công thức ở 4.2.5-2.
4.8. Mã hông
4.8.1. Mã hông
1. Chiều dày của mã liên kết sườn khoang với sống hông phải được tăng 1,5 mi-li-mét so với trị số tính theo công thức ở 4.2.5-2.
2. Cạnh tự do của mã phải được gia cường.
3. Nếu do hình dạng của tàu mà mã hông quá dài thì phải đặt thanh thép góc dọc trên cạnh các mà hoặc phải dùng biện pháp thích hợp khác.
4.9. Gia cường đáy phía mũi tàu
4.9.1. Phạm vi áp dụng
1. Ở những tàu có chiều chìm mũi tối thiểu trong điều kiện dằn không lớn hơn 0,037L kết cấu của tàu phải thỏa mãn các yêu cầu ở 4.9.
2. Ở những tàu có chiều chìm mũi trong điều kiện dằn quá nhỏ và có vận tốc quá lớn so với chiều dài tàu, phải đặc biệt quan tâm đến kết cấu của đoạn đáy gia cường phía mũi tàu.
4.9.2. Gia cường đáy phía mũi tàu
1. Phần đáy phẳng ở mũi tàu từ vị trí qui định ở Bảng 2-B/4.1 được gọi là đoạn đáy gia cường phía mũi tàu.
2. Mặc dù những qui định ở -1, trong trường hợp tàu có Cb quá nhỏ, tàu có chiều chìm trong điều kiện dằn quá nhỏ,v.v..., phạm vi của đoạn đáy gia cường phía mũi tàu phải được kéo dài thêm theo yêu cầu của Đăng kiểm.
4.9.3. Kết cấu
1. Từ vách chống va đến 0,05L sau mút cuối của đoạn đáy gia cường phía mũi tàu các sống phụ hoặc nửa sống phụ phải được đặt phù hợp với Bảng 2-B/4.2. Nếu đoạn từ vách chống va đến 0,025L sau mút cuối của đoạn đáy gia cường phía mũi tàu được kết cấu theo hệ thống ngang, thì phải đặt các nửa sống phụ hoặc những nẹp dọc đáy phù hợp với Bảng 2-B/4.2.
Bảng 2-B/4.1 Mút cuối của đoạn đáy gia cường phía mũi tàu
|
| ≤ 1,1 | > 1,1 ≤ 1,25 | > 1,25 ≤ 1,4 | > 1,4 ≤ 1,5 | > 1,5 ≤ 1,6 | > 1,6 ≤ 1,7 | > 1,7 |
| Khoảng cách tính từ mút trước của L | 0,15L | 0,175L | 0,2L | 0,225L | 0,25L | 0,275L | 0,3L |
2. Trong đoạn từ vách mũi đến mút cuối của đoạn đáy gia cường phía mũi tàu, đà ngang đặc phải được đặt phù hợp với Bảng 2-B/4.2.
Bảng 2-B/4.2 Kết cấu của đoạn đáy gia cường phía mũi tàu
|
| Sống phụ đáy | Nửa sóng phụ và nẹp gia cường tôn bao | Đà ngang đặc | |
| Hệ thống kết cấu ngang | Hệ thống kết cấu ngang | Phải được đặt cách nhau không xa quá 2,5 mét | Phải được đặt giữa các sóng phụ | Phải được đặt ở mỗi mặt sườn |
| Hệ thống kết cấu dọc | Phải được đặt cách nhau không xa quá 2,5 mét | |||
| Hệ thống kết cấu dọc | Hệ thống kết cấu ngang | Phải được đặt cách nhau không xa quá 2,5 mét | — | Phải được đặt ở mỗi sườn thứ hai |
| Hệ thống kết cấu dọc | Phải được đặt cách nhau không xa quá 2,5 mét | |||
3. Đà ngang đặc phải được gia cường bằng những nẹp đứng đặt trong mặt phẳng của nửa sống phụ hoặc của nẹp dọc đáy, trừ khi các nẹp dọc đáy được đặt khá gần nhau và đà ngang đặc đã được gia cường đầy đủ thì nẹp đứng gia cường đà ngang đặc có thể được đặt trong mặt phẳng của mỗi chiếc nẹp thứ hai của tôn bao đáy.
4. Ở những tàu có chiều chìm mũi tối thiểu không nhỏ hơn 0,025 L nhưng không lớn hơn 0,037L mà kết cấu và bố trí của đoạn đáy gia cường phía mũi tàu là không thể thỏa mãn được các yêu cầu ở -1 và -2 thì đà ngang đặc và sống phụ phải được gia cường thích đáng.
4.9.4. Kích thước của nẹp dọc tôn bao hoặc dầm dọc đáy
1. Ở những tàu trong điều kiện dằn có chiều chìm mũi không lớn hơn 0,025 L mô đun chống uốn của nẹp dọc tôn bao hoặc dầm dọc đáy ở đoạn đáy gia cường mũi tàu phải không nhỏ hơn trị số tính theo công thức sau đây :
|
| (cm3) |
Trong đó :
l : Khoảng cách các đà ngang đặc (m)
l = 0,774 l: Tuy nhiên, nếu khoảng cách các nẹp dọc tôn bao hoặc dầm dọc đáy không lớn hơn 0,774l thì l được lấy bằng khoảng cách đó (m).
P : Áp suất do va đập của sóng ( kPa ) tính theo công thức sau đây :
|
| ( kPa ) |
Trong đó :
C1: Hệ số cho ở Bảng 2-B/4.3, với trị số trung gian của
thì C1 được tính theo phép nội suy tuyến tính.
Bảng 2-B/4.3 Trị số của C1
|
| ≤ 1,0 | 1,1 | 1,2 | 1,3 | 1,4 | ³ 1,5 |
| C1 | 0,12 | 0,18 | 0,23 | 0,26 | 0,28 | 0,29 |
C2: Hệ số tính theo công thức sau đây :

b : Độ dốc của đáy tàu được tính theo công thức sau đây, nhưng
không cần phải lấy lớn hơn

b : Khoảng cách nằm ngang từ đường tâm tàu đến giao điểm của tôn bao với đường nằm ngang ở độ cao 0,0025L phía trên của tôn giữa đáy, đo ở mặt sườn 0,2L tính từ sống mũi (m). (xem Hình 2-B/4.2).

Tiết diện thân tàu lại vị trí 0,2L tính từ sống mũi
Hình 2-B/4.2 Cách đo b
2. Ở những tàu trong điều kiện dằn có chiều chìm mũi lớn hơn 0,025 L nhưng nhỏ hơn 0,037L, mô đun chống uốn của nẹp dọc tôn bao hoặc dầm dọc đáy ở đoạn đáy gia cường vùng mũi tàu phải được tính theo phép nội suy tuyến tính các trị số tính theo yêu cầu ở -1 và 4.6.
CHƯƠNG 5 SƯỜN
5.1. Qui định chung
5.1.1. Phạm vi áp dụng
Những yêu cầu của Chương này được áp dụng cho các tàu có đủ độ bền ngang và độ cứng ngang tạo bởi các vách. Nếu độ bền ngang và độ cứng ngang tạo bởi những vách kém hiệu quả hoặc chiều dài khoang lớn hơn 25 mét chỉ phải có những biện pháp gia cường bổ sung bằng cách tăng kích thước của sườn, đặt thêm các sườn khỏe, v.v...
5.1.2. Sườn trong vùng két sâu
Độ bền của sườn trong vùng két sầu phải không nhỏ hơn yêu cầu đối với nẹp vách két sâu.
5.1.3. Độ kín của nóc két
Sườn không được xuyên qua nóc két nước hoặc nóc két dầu trừ khi có biện pháp kín nước hoặc kín dầu hữu hiệu được trình duyệt.
5.1.4. Sườn trong vùng nồi hơi và sườn trong vùng u đỡ trục
1. Trong buồng nồi hơi kích thước của sườn và sống dọc mạn phải được tăng thích đáng.
2. Kết cấu và kích thước của sườn trong vùng u đỡ trục phải được Đăng kiểm xét duyệt.
5.2. Khoảng cách sườn
5.2.1. Khoảng cách sườn hệ thống ngang
1. Khoảng cách chuẩn của các sườn hệ thống ngang được tính theo công thức sau đây :
| 450 + 2L | (mm) |
2. Ở khoang mũi hoặc khoang đuôi kiểu tuần dương cũng như ở đoạn từ vách chống va đến 0,2L tính từ mũi tàu, khoảng cách sườn ngang phải không lớn hơn 610 mi-li-mét hoặc khoảng cách chuẩn qui định ở -1, lấy trị số nào nhỏ hơn.
3. Các yêu cầu ở -2 có thể được thay đổi nếu vị trí hoặc kích thước của sườn được xem xét thích đáng.
5.2.2. Khoảng cách dầm của hệ thống dọc
Khoảng cách chuẩn của các dầm hệ thống dọc được tính theo công thức sau đây :
| 550 + 2L | (mm) |
5.2.3. Trường hợp khoảng cách sườn lớn hơn khoảng cách chuẩn
Nếu khoảng cách sườn sai khác 170 mi-li-mét trở lên so với khoảng cách chuẩn qui định ở 5.2.1 và 5.2.2 thì kích thước và kết cấu của đáy đơn, đáy đôi và của các kết cấu liên quan khác phải được xem xét đặc biệt.
5.3. Hệ thống kết cấu ngang
5.3.1. Phạm vi áp dụng
1. Sườn hệ thống ngang khoang là sườn ở dưới boong thấp nhất, trong vùng từ vách chống va đến vách đuôi kể cả trong buồng máy.
2. Đối với những tàu có két hông, két đỉnh mạn hoặc những tàu có kết cấu đặc biệt như có mạn kép, sườn hệ thống ngang khoang phải được Đăng kiểm xem xét đặc biệt.
5.3.2. Kích thước của sườn hệ thống ngang khoang
1. Mô đun chống uốn của tiết diện sườn hệ thống ngang khoang phải không nhỏ hơn trị số tính theo công thức sau đây, nhưng trong mọi trường hợp phải không nhỏ hơn 30 cm3.
| C S h l2 | (cm3) |
Trong đó:
S : Khoảng cách sườn (m).
l : Khoảng cách thẳng đứng từ mặt đáy trên hoặc từ mép trên của đà ngang của đáy đơn ở mạn đến mặt trên của xà boong ở đỉnh sườn (m).
h: Khoảng cách thẳng đứng từ mút dưới của l tại vị trí cần đo đến điểm ở (d + 0,044L - 0,54) cao hơn mặt tôn giữa đáy (m).
C : Hệ số được lấy như sau :
2,6 Đối với các sườn nằm trong phạm vi từ 0,15L kể từ mũi tàu đến vách đuôi.
3,4 Đối với các sườn nằm trong phạm vi từ 0,15L kể từ mũi tàu đến vách chống va.
2. Với những sườn nằm dưới xà ngang khỏe đỡ xà dọc boong, mô đun chống uốn của tiết diện phải được tính theo mục -1 nhưng phải không nhỏ hơn trị số tính theo công thức sau đây :
|
| (cm3) |
Trong đó:
n : Tỷ số khoảng cách xà ngang khỏe chia cho khoảng sườn.
h1: Tải trọng boong qui định ở 15.1 cho chiếc xà boong ở đỉnh sườn (kN/m2).
l1: Tổng chiều dài của xà ngang khỏe (m).
S, l và h : Như qui định ở -1.
3. Nếu chiều cao tiết diện sống chính của đáy đôi nhỏ hơn B/16 thì kích thước của sườn phải được tăng thích đáng.
5.3.3. Liên kết của sườn hệ thống ngang khoang
1. Sườn hệ thống ngang khoang phải đè lên mã hông một đoạn ít nhất bằng 1,5 chiều cao tiết diện sườn và phải được liên kết chắc chắn với mã hông.
2. Đỉnh của sườn hệ thống ngang khoang phải được liên kết chắc chắn với boong và xà ngang boong bằng mã. Nếu boong ở đỉnh sườn được kết cấu theo hệ thống dọc thì mã đỉnh sườn phải đi ra đến xà dọc boong kề cận với sườn và được liên kết với xà dọc đó.
5.4. Hệ thống kết cấu dọc
5.4.1. Dầm hệ thống dọc mạn
1. Mô đun chống uốn của tiết diện dầm hệ thống dọc mạn ở đoạn giữa tàu dưới boong mạn khô phải không nhỏ hơn trị số tính theo các công thức sau đây, lấy trị số nào lớn hơn, nhưng trong mọi trường hợp phải không nhỏ hơn 30 cm3 :
| 8,65Shl2 | (cm3) |
|
| (cm3) |
Trong đó:
S : Khoảng cách giữa các dầm dọc (m).
l : Khoảng cách giữa các sườn khỏe, hoặc từ vách ngang đến sườn khỏe, kể cả chiều dài của liên kết (m).
h : Khoảng cách thẳng đứng từ dầm dọc mạn đang xét đến điểm ở (d + 0,044 L - 0,54) cao hơn mặt tôn giữa đáy (m).
2. Ra ngoài đoạn giữa tàu, mô đun chống uốn của tiết diện dầm hệ thống dọc mạn có thể được giảm dần về phía mũi và đuôi tàu, ở mũi và đuôi tàu có thể còn bằng 0,85 trị số tính theo -1. Tuy nhiên, ở đoạn từ vách chống va đến 0,15L kể từ mũi tàu mô đun chống uốn tiết diện của dầm hệ thống dọc mạn phải không nhỏ hơn trị số tính theo công thức cho ở -1.
3. Chiều cao tiết diện của thanh thép dẹt dùng làm dầm dọc mạn phải không lớn hơn 15 lần chiều dày của nó.
4. Ở đoạn giữa tàu dầm hệ thống dọc mạn đặt ở dải tôn mép mạn phải cố gắng để có độ mảnh không lớn hơn 60.
5. Mô đun chống uốn của tiết diện dầm dọc hông không cần lớn hơn mô đun chống uốn của tiết diện dầm dọc đáy.
5.4.2. Sườn khỏe
1. Sườn khỏe đỡ dầm hệ thống dọc mạn phải được đặt cách nhau không xa quá 4,8 mét, tại những tiết diện có đà ngang đặc.
2. Kích thước của sườn khỏe phải không nhỏ hơn các trị số tính theo các công thức sau đây :

Trong đó:
S: Khoảng cách giữa các sườn khỏe (m).
I: Khoảng cách thẳng đứng từ mặt tôn đáy trên hoặc từ mặt trên của đà ngang đáy đơn đo ở mạn đến đỉnh sườn khỏe. Tuy nhiên, nếu có các sống ngang boong hữu hiệu thì l có thể được đo đến mặt dưới của sống ngang boong (m).
d1: Chiều cao tiết diện sườn khỏe (m). Tuy nhiên, chiều cao của lỗ khoét để dầm dọc mạn xuyên qua, phải được trừ đi khỏi chiều cao tiết diện bản thành.
h : Khoảng cách thẳng đứng từ trung điểm của l đến điểm ở (d + 0,044 L - 0,54) cao hơn mặt tôn giữa đáy (m), trong mọi trường hợp không được nhỏ hơn 1,43l (m).
C1 và C2 : Các hệ số được cho ở Bảng 2-B/5.1.
Bảng 2-B/5.1 Các hệ số C1 và C2
|
| Sườn khỏe ở phía sau của 0,15L tính từ mũi tàu | Sườn khỏe ở từ vách chống va đến 0,15L tính từ mũi tàu |
| C1 | 4,7 | 6,0 |
| C2 | 45 | 58 |
3. Sườn khỏe phải được gắn những mã chống vặn đặt cách nhau khoảng 3 mét và những nẹp gia cường đặt theo mỗi dầm dọc mạn, trừ phần giữa nhịp của sườn khỏe nẹp gia cường có thể được đặt theo mỗi dầm dọc mạn thứ hai.
5.5. Sườn nội boong
5.5.1. Qui định chung
1. Kích thước của sườn nội boong phải được xác định theo quan hệ với độ bền của sườn khoang, vị trí và độ cứng của vách ngang,v.v...
2. Khi thiết kế sườn nội boong phải xét đến sự đảm bảo mức độ liên tục cho phép của sườn từ đáy tàu đến boong trên cùng bằng các mối nối với sườn khoang.
3. Những qui định ở 5.5 là dựa trên sơ đồ kết cấu chuẩn nhằm đảm bảo độ cứng ngang bằng những vách nội boong đủ bền đặt ở phía trên vách khoang hoặc bằng những sườn khỏe đi lên đến nóc thượng tầng và đặt theo những khoảng cách thích hợp.
5.5.2. Kích thước của sườn nội boong
1. Mô đun chống uốn của tiết diện sườn nội boong ở dưới boong mạn khô phải không nhỏ hơn trị số tính theo công thức sau đây :
| CS /L | (cm3) |
Trong đó:
S: Khoảng cách các sườn (m).
l : Chiều cao nội boong (m), nhưng phải được lấy tương ứng bằng 1,8 mét nếu chiều cao nội boong nhỏ hơn 1,8 mét đối với sườn thượng tầng và bằng 2,15 mét nếu chiều cao nội boong nhỏ hơn 2,15 mét ở những chỗ khác.
C : Hệ số cho ở Bảng 2-B/5.2.
Bảng 2-B/5.2 Hệ số C
| Loại sườn nội boong | C |
| Sườn thượng tầng (trừ hai trường hợp dưới đây ) | 0,44 |
| Sườn thượng tầng ở vùng 0,125L tính từ đuôi tàu | 0,57 |
| Sườn thượng tầng ở vùng 0,125 L tính từ mũi tàu và sườn quay ở đuôi tàu | 0,74 |
| Sườn nội boong nằm giữa boong mạn khô và boong thứ hai | 0,74 |
| Sườn nội boong nằm giữa boong thứ hai và boong thứ ba | 0,89 |
| Sườn nội boong nằm giữa boong thứ ba và boong thứ tư | 0,97 |
2. Kích thước của sườn nội boong ở dưới boong mạn khô ở đoạn 0,125 L tính từ mũi tàu và ở đoạn 0,125 L tính từ đuôi tàu phải được tăng thích đáng so với kích thước qui định ở -1.
3. Nếu boong được đỡ bởi những xà ngang khỏe và xà dọc thì mô đun chống uốn của tiết diện sườn khỏe nội boong đỡ xà ngang boong phải không nhỏ hơn trị số tính theo -1 và -2 nhân với hệ số tính theo công thức sau đây. Trong trường hợp này mô đun chống uốn của tiết diện sườn khỏe nội boong phải không nhỏ hơn 0,85 trị số tính theo -1 và -2, và mút trên của sườn phải được gắn mã.
1 + 0,2n
Trong đó :
n : Số lượng sườn nội boong nằm giữa hai sườn khỏe nội boong.
5.5.3. Chú ý đặc biệt đối với sườn nội boong
1. Độ bền và độ cứng của kết cấu ở mũi tàu và đuôi tàu phải được tăng tỷ lệ với sự tăng của chiều dài thực không có gối đỡ của sườn và chiều cao thẳng đứng của nội boong.
2. Ở những tàu có mạn khô quá lớn kích thước của sườn nội boong có thể được giảm thích hợp.
5.5.4. Sườn thượng tầng
1. Sườn thượng tầng phải được đặt theo mỗi sườn ở phía dưới.
2. Ngoài những yêu cầu ở 5.5.2, ở đoạn dài 4 khoảng sườn tại hai đầu của thượng tầng giữa và của thượng tầng biệt lập trong đoạn 0,5L giữa tàu, sườn thượng tầng phải có mô đun chống uốn tiết diện tính theo 5.5.2 với hệ số C = 0,74.
3. Những sườn khỏe hoặc đoạn vách phải được đặt phía trên các vách theo yêu cầu ở Chương 11 hoặc ở các vị trí khác cần thiết để tạo độ cứng ngang của thượng tầng.
5.6. Sườn dưới boong mạn khô ở phía trước của vách chống va
5.6.1. Sườn ngang dưới boong mạn khô
Mô đun chống uốn của tiết diện sườn ngang dưới boong mạn khô ở phía trước của vách chống va phải không nhỏ hơn trị số tính theo công thức sau đây, nhưng trong mọi trường hợp phải không nhỏ hơn 30 cm3.
| 8Shl2 | (cm3) |
Trong đó:
S : Khoảng cách sườn (m).
l : Khoảng cách hai gối tựa của sườn ngang (m), nhưng phải lấy bằng 2 mét nếu khoảng cách này nhỏ hơn 2 mét.
h : Khoảng cách thẳng đứng từ trung điểm của l đến điểm ở 0,12L cao hơn mặt tôn giữa đáy (m).
5.6.2. Dầm dọc trong khoang mũi
Mô đun chống uốn của tiết diện dầm dọc ở dưới boong mạn khô phía trước vách chống va phải không nhỏ hơn trị số tính theo công thức sau đây. Tuy nhiên, trong vùng từ 0,05 D đến 0,15D tính từ mặt tôn giữa đáy, mô đun chống uốn của tiết diện tính theo công thức này phải được tăng 25% và trong vùng dưới 0,05 D tính từ mặt tôn giữa đáy, mô đun chống uốn này phải được tăng 50%.
| 8Shl2 | (cm3) |
Trong đó:
S và l: Như qui định ở 5.4.1.
h : Khoảng cách thẳng đứng từ sườn dọc đến điểm ở 0,12L cao hơn mặt tôn giữa đáy (m), tuy nhiên trong mọi trường hợp h phải không nhỏ hơn 0,06L (m).
5.6.3. Sườn ngang ở khoang đuôi
Mô đun chống uốn của tiết diện sườn ngang dưới boong mạn khô ở phía sau vách đuôi phải không nhỏ hơn trị số tính theo công thức sau đây, nhưng trong mọi trường hợp phải không nhỏ hơn 30 cm3.
| 8Shl2 | (cm3) |
Trong đó :
l : Như qui định ở 5.3.2 nhưng phải lấy bằng 2 mét nếu chiều cao nội boong nhỏ hơn 2 mét.
h : Khoảng cách thẳng đứng từ trung điểm của l đến điểm ở (d + 0,044L - 0,54) (m) cao hơn mặt tôn giữa đáy.
S : Khoảng cách sườn (m).
CHƯƠNG 6 XÀ NGANG CÔNG XON
6.1. Xà ngang công xon
6.1.1. Kết cấu và kích thước
1. Xà ngang công xon phải thỏa mãn những yêu cầu từ (1) đến (6) sau đây (Xem Hình 2-B/6.1):
(1) Chiều cao tiết diện gốc của xà ngang công xon đo tại đỉnh trong của mã đầu sườn phải không nhỏ hơn 1/5 khoảng cách nằm ngang từ mút trong của xà ngang công xon đến đỉnh trong của mã đầu sườn.
(2) Chiều cao tiết diện của xà ngang công xon có thể được giảm dần từ gốc vào đến mút trong của xà. Tại mút trong của xà chiều cao tiết diện có thể bằng 1/2 chiều cao tiết diện tại gốc.
(3) Mô đun chống uốn của tiết diện xà ngang công xon lại đỉnh trong của mã đầu sườn phải không nhỏ hơn trị số tính theo công thức sau : (xem Hình 2-B/6.2).
|
| (cm3) |
Trong đó:
S: Khoảng cách các xà ngang công xon (m).
l0: Khoảng cách nằm ngang từ mút trong của xà ngang công xon đến đỉnh trong của mã đầu sườn (m).
b1 : Khoảng cách nằm ngang từ mút trong của xà ngang công xon đến đỉnh trong mã đầu sườn của xà ngang boong hoặc sống ngang boong (m). Tuy nhiên, nếu boong được kết cấu theo hệ thống dọc và giữa các xà ngang công xon không đặt sống ngang boong thì b1 phải được lấy bằng l0.
b2: Nửa chiều rộng của miệng khoang ở boong được đỡ bởi xà ngang công xon (m).
h1: Tải trọng boong qui định ở 15.1 cho sống ngang boong được đỡ bởi xà ngang công xon (kN/m2).
h2: Tải trọng tác dụng lên nắp miệng khoang ở boong được đỡ bởi xà ngang công xon, phải không nhỏ hơn trị số tính theo qui định ở từ (a) đến (c) sau đây, tùy theo loại boong (kN/m2):
(a) Đối với boong thời tiết, h2 là tải trọng boong qui định ở 15.1.1-2 cho sống ngang boong hoặc là trọng lượng thiết kế tối đa của hàng hóa trên một đơn vị diện tích miệng khoang (kN/m2), lấy trị số nào lớn hơn. Ở 15.1.1-2 (1), trị số của y có thể được lấy bằng khoảng cách thẳng đứng từ đường tải trọng thiết kế lớn nhất đến mép trên của thành miệng khoang. Trong mọi trường hợp h2 phải không nhỏ hơn 17,5 (kN/m2), đối với miệng khoang ở vị trí I và không nhỏ hơn 12,8 (kN/m2), đối với miệng khoang ở vị trí II, qui định tương ứng ở Chương 17.
| : Xà ngang công xon : Sườn khỏe đỡ xà ngang công xon : Mã đầu sườn A : Đỉnh trong của mã đầu sườn B : Mút trong của xà ngang công xon |
|
| Hình 2-B/6.1 Xà ngang công xon và mã đầu sườn |
|
| Chiều cao tải trọng hàng hóa H2 mô tả trên hình vẽ phải được xét đến khi nó là h2 của boong dưới |
|
Hình 2-B/6.2 Đo l0, b1, b2, v.v …
(b) Đối với các boong không phải là boong thời tiết dùng để chứa hàng và dự trữ, h2 là tải trọng boong qui định ở 15.1.1-1.
(c) Đối với các boong chưa được nêu ra ở (a) hoặc (b) trên đây, h2 lấy bằng h1.
(4) Mô đun chống uốn của tiết diện xà ngang công xon có thể được giảm dần từ đỉnh trong của mã đầu sườn vào đến mút trong của xà ngang công xon. Tại mút trong của xà ngang công xon mô đun chống uốn của tiết diện xà có thể bằng 0,60 mô đun chống uốn của tiết diện xà tại đỉnh trong của mã đầu sườn.
(5) Chiều dày bản thành của xà ngang công xon phải không nhỏ hơn trị số tính theo các công thức sau đây, lấy trị số nào lớn hơn :

Trong đó :
S, b1, b2, h1 và h2: Như qui định ở (3). Tuy nhiên, nếu boong được kết cấu theo hệ thống dọc và giữa các xà ngang công xon không đặt sống ngang boong thì khoảng cách nằm ngang (m) từ mút trong của xà ngang công xon đến tiết diện đang xét được lấy thay cho b2/2 ở công thức tính t1.
dc: Chiều cao tiết diện của xà ngang công xon tại tiết diện đang xét (m). Tuy nhiên, trong tính toán t1, chiều cao của lỗ khoét để xà dọc boong chui qua, nếu có, phải được trừ khỏi chiều cao tiết diện của xà ngang công xon. Nếu bản thành của xà ngang công xon được gắn nẹp nằm thì trong tính toán t2, dc được lấy bằng chiều cao bị phân chia.
(6) Xà ngang công xon phải được gắn các mã chống vặn cách nhau khoảng 3 mét. Bản thành của xà ngang công xon phải được gắn nẹp đứng tại mỗi xà dọc boong ở gốc của xà và tại mỗi xà dọc boong thứ hai ở những chỗ khác.
6.2. Sườn khỏe
6.2.1. Kết cấu và kích thước
Sườn khỏe đỡ xà ngang công xon phải thỏa mãn những yêu cầu ở từ (1) đến (7) sau đây:
(1) Chiều cao tiết diện của sườn khỏe phải không nhỏ hơn 1/8 chiều dài của sườn kể cả các liên kết mút.
(2) Mô đun chống uốn của tiết diện sườn khỏe phải không nhỏ hơn trị số tính theo công thức sau đây. Tuy nhiên, nếu sườn khỏe nội boong liên kết với xà ngang công xon đỡ boong phía trên được đặt trên đỉnh sườn của sườn khỏe, thì trị số tính theo công thức này có thể được giảm xuống còn 60%.

Trong đó:
S : Khoảng cách giữa các sườn khỏe (m).
l1: Khoảng cách nằm ngang từ mút trong của xà ngang công xon được đỡ đến cạnh trong của sườn khỏe (m).
b1, b2, h1 và h2: Như qui định ở 6.1.1 (3) đối với xà ngang công xon được đỡ. Tuy nhiên, nếu boong được kết cấu theo hệ thống dọc và giữa các xà ngang công xon không đặt sống ngang boong thì l1 phải được thay thế cho b1.
(3) Mô đun chống uốn của tiết diện sườn khỏe nội boong phải theo các yêu cầu ở (2), đồng thời phải không nhỏ hơn trị số tính theo công thức sau đây :

Trong đó:
S, l1, b1, b2, h1 và h2: Như qui định ở (2).
C1 :Hệ số tính theo công thức sau :

b1’, b2’ h1’ và h2’ : Tương ứng là b1, b2, h1 và h2 qui định ở (2) đối với xà ngang công xon nằm dưới sườn khỏe đang xét.
(4) Chiều dày bản thành phải không nhỏ hơn trị số tính theo các công thức sau đây, lấy trị số nào lớn hơn :

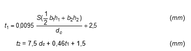
t2 = 7,5dw + 0,46t1 + 1,5 (mm)
Trong đó:
S, b1, b2, h1, h2 và l1: Như qui định ở (2).
dw: Chiều cao tiết diện nhỏ nhất của sườn khỏe (m). Tuy nhiên, trong tính toán t1, chiều cao lỗ khoét để dầm dọc mạn chui qua, nếu có, phải được trừ khỏi chiều cao tiết diện bản thành. Nếu chiều cao tiết diện bản thành của sườn khỏe bị phân chia bởi các nẹp theo phương đứng, thì trong tính toán t2, dw được lấy bằng chiều cao bị phân chia.
l : Chiều dài kể cả liên kết ở hai mút của sườn khỏe (m).
C2: Được cho như sau, trong đó C1 được cho ở (3).
Đối với sườn khỏe trong khoang :
0,9 Nếu sườn khỏe liên kết với xà ngang công xon đỡ boong bên trên được đặt lên đỉnh của sườn khỏe đang xét.
1,5 Ở các trường hợp khác.
Đối với sườn khỏe nội boong : C1 + 0,6
(5) Nếu sườn khỏe đỡ xà ngang công xon cũng đỡ cả dầm dọc mạn và sống dọc mạn, thì kích thước của sườn ngoài những yêu cầu ở 5.4.2, phải thỏa mãn những yêu cầu sau đây :
(a) Mô đun chống uốn của tiết diện phải không nhỏ hơn trị số tính theo công thức ở (2) nhân với hệ số sau đây :
Nếu sườn khỏe nội boong có xà ngang công xon được đặt ở trên :

Ở các trường hợp khác : 1,0
Trong đó:
l : Chiều dài của sườn khỏe trong khoang kể cả chiều dài của liên kết ở hai mút (m).
lu: Chiều dài của sườn khỏe nội boong đặt trực tiếp phía trên kể cả chiều dài của liên kết ở hai mút (m).
h : Khoảng cách thẳng đứng từ trung điểm của l đến điểm ở d + 0,038L cao hơn mặt tôn giữa đáy (m).
hu: Khoảng cách thẳng đứng từ trung điểm của lu đến điểm mà h được đo tới (m). Tuy nhiên, nếu điểm ấy nằm thấp hơn trung điểm của lu, thì hu phải được lấy bằng không.
S, b1, b2, h1, h2 và l1: Như qui định ở (2).
(b) Chiều dày bản thành phải không nhỏ hơn trị số cho ở (4). Trong đó trị số của t1 phải được cộng thêm một lượng tính theo công thức sau:

Trong đó:
S : Khoảng cách các sườn khỏe (m).
h và l: Như qui định ở (a) trên đây.
dw : Như qui định ở (4).
(6) Mã chống vặn phải được đặt ở bản thành của sườn khỏe cách nhau khoảng 3 mét, và nẹp phải được đặt tại mỗi xà dọc mạn ở hai đoạn mút của sườn khỏe và tại mỗi xà dọc mạn thứ hai ở những chỗ khác của sườn khỏe.
(7) Sườn khỏe phải được liên kết hữu hiệu với các cơ cấu ở bên dưới hoặc đà ngang đáy để đảm bảo sự liên tục của độ bền.
6.3. Liên kết của xà ngang công xon với sườn khỏe
Xà ngang công xon với sườn khỏe đỡ nó phải được liên kết hữu hiệu bằng mã theo những yêu cầu từ (1) đến (4) sau đây :
(1) Bán kính góc lượn ở cạnh tự do của mã phải không nhỏ hơn chiều cao tiết diện của xà ngang công xon tại đỉnh mã.
(2) Chiều dày của mã phải không nhỏ hơn chiều dày bản thành của xà ngang công xon hoặc của sườn khỏe, lấy trị số nào lớn hơn.
(3) Mã phải được gia cường hữu hiệu bằng các nẹp.
(4) Cạnh tự do của mã phải có bản mép có diện tích tiết diện không nhỏ hơn diện tích tiết diện bản mép của xà ngang công xon hoặc của sườn khỏe, lấy trị số nào lớn hơn. Bản mép của mã phải được hàn với bản mép của xà ngang công xon và bản mép của sườn khỏe.
CHƯƠNG 7 GIA CƯỜNG CHỐNG VA
7.1. Qui định chung
7.1.1. Phạm vi áp dụng
1. Những yêu cầu ở Chương này được áp dụng cho kết cấu đáy và mạn ở khoang mũi và khoang đuôi của tàu.
2. Sườn mạn phải thỏa mãn các yêu cầu ở Chương 5.
7.1.2. Tấm chống va
Trong các khoang mũi và khoang đuôi dùng làm két sau phải đặt tấm chống va hữu hiệu theo đường tâm của tàu hoặc kích thước kết cấu phải được tăng thích đáng.
7.1.3. Sống dọc tạo với tôn bao một góc quá nhỏ
Nếu bản thành của sống dọc làm với tôn bao một góc quá nhỏ thì kích thước của sống dọc phải được tăng thích đáng so với yêu cầu bình thường và nếu cần thì phải tạo các đế chống vặn.
7.2. Gia cường chống va ở phía trước vách chống va
7.2.1. Bố trí và kết cấu
1. Ở đoạn phía trước của vách chống va phải đặt sống chính đáy có tiết diện cao hoặc đặt vách dọc ở đường tâm của tàu.
2. Ở những tàu kết cấu theo hệ thống ngang, đà ngang đáy có tiết diện đủ cao phải được đặt ở mỗi mặt sườn và các sống phụ đáy phải được đặt theo khoảng cách không lớn hơn 2,5 mét. Sườn phải được đỡ bởi các kết cấu qui định ở 7.2.2-5 đến -7 đặt cách nhau không xa quá 2,5 mét.
3. Ở tàu kết cấu theo hệ thống dọc, sống ngang đáy đỡ dầm dọc đáy và sống ngang mạn đỡ dầm dọc mạn phải được đặt cách nhau không xa quá 2,5 mét. Sống ngang đáy và sống ngang mạn tương ứng phải được đỡ bởi sống phụ đáy và sống dọc mạn đặt cách nhau khoảng 4,6 mét. Sống ngang mạn phải được liên kết chặt chẽ với sống ngang đáy.
7.2.2. Hệ thống kết cấu ngang
1. Chiều dày của đà ngang đáy và của sống chính đáy phải không nhỏ hơn trị số tính theo công thức sau đây :
| 0,045 L + 5,5 | (mm) |
2. Đà ngang đáy phải có đủ chiều cao tiết diện và phải được gia cường thích đáng bằng các nẹp.
3. Cạnh trên của đà ngang đáy và của sống chính đáy phải được gia cường thích đáng.
4. Chiều dày của sống phụ đáy phải gần bằng chiều dày của sống chính đáy. Sống phụ đáy phải có chiều cao tiết diện thích hợp với chiều cao tiết diện đà ngang đáy.
5. Nếu xà ngang chống va được đặt ở mỗi mặt sườn cùng với tấm thép có khoét lỗ gắn lên xà ngang đi suốt từ mạn này sang mạn kia thì kích thước của xà ngang chống va và tấm khoét lỗ phải không nhỏ hơn trị số tính theo các công thức sau :
| Diện tích tiết diện xà ngang chống va : | 0,1L + 5 | (cm2) |
| Chiều dày tấm thép khoét lỗ : | 0,02L + 5,5 | (mm) |
6. Nếu đặt sống dọc mạn thì kích thước của sống dọc mạn phải không nhỏ hơn trị số tính theo các công thức sau đây :

Trong đó :
S : Chiều rộng của diện tích được đỡ bởi sống dọc mạn (m).
h : Khoảng cách thẳng đứng từ trung điểm của S đến điểm ở 0,12L cao hơn mặt tôn giữa đáy (m), nhưng trong mọi trường hợp không được nhỏ hơn 0,06L (m).
l : Khoảng cách các đế tựa của sống dọc mạn (m).
7. Nếu xà chống va được đặt ở mỗi mặt sườn thứ hai và sống dọc mạn nối với tôn mạn được đặt ở hai đầu của các xà chống va thì kích thước của xà chống va và sống dọc mạn phải thỏa mãn những yêu cầu sau đây.
(1) Diện tích tiết diện ngang của xà chống va phải không nhỏ hơn trị số tính theo công thức sau :
| 0,3L | (cm2) |
(2) Kích thước của sống dọc mạn phải không nhỏ hơn trị số tính theo các công thức sau:
| Chiều rộng : | 5,3L + 250 (mm) |
| Chiều dày : | 0,02L + 6,5 (mm) |
7.2.3. Hệ thống kết cấu dọc
1. Nếu sống ngang đáy được đỡ ở đường tâm tàu thì kích thước của chúng phải không nhỏ hơn trị số tính theo các công thức sau đây :

Trong đó :
S : Khoảng cách các sống ngang (m).
l : Chiều dài giữa các điểm đế tựa của sống ngang (m).
d1 : Chiều cao tiết diện sống ngang (m) đã trừ chiều cao lỗ khoét để dầm dọc chui qua.
2. Kích thước của sống chính đáy phải không nhỏ hơn kích thước của sống ngang đáy qui định ở -1.
3. Kích thước của sống ngang mạn đỡ xà dọc mạn phải không nhỏ hơn trị số tính theo các công thức sau :

Trong đó :
S : Khoảng cách các sống ngang mạn (m).
d1: Như qui định ở -1.
h : Khoảng cách thẳng đứng từ trung điểm của l0 đến điểm ở 0,12L cao hơn mặt tôn giữa đáy (m), nhưng trong mọi trường hợp phải không nhỏ hơn 0,06L (m).
l0: Khoảng cách giữa các đế tựa của sống ngang mạn (m).
4. Sống ngang mạn phải được gắn các mã chống vặn đặt cách nhau khoảng 3 mét. Nẹp gia cường phải được đặt ở bản thành theo mặt phẳng của mỗi dầm dọc mạn.
5. Kích thước của sống dọc mạn dỡ sống ngang mạn phải không nhỏ hơn trị số tính theo các công thức sau :

Trong đó :
S : Chiều rộng của vùng được đỡ bởi sống dọc mạn (m).
h : Khoảng cách thẳng đứng từ trung điểm của S đến điểm ở 0,12L cao hơn mặt tôn giữa đáy (m), nhưng trong mọi trường hợp phải không nhỏ hơn 0,06L (m).
l0: Như qui định ở -3.
l1: Chiều dài của sống dọc mạn (m).
d1: Chiều cao tiết diện của sống dọc mạn đã trừ chiều cao lỗ khoét (m).
6. Kích thước của các thanh giằng đỡ sống ngang phải không nhỏ hơn các trị số tính theo các công thức sau :

Trong đó:
S : Khoảng cách các sống ngang mạn (m).
b : Chiều rộng của vùng mà thanh giằng phải đỡ (m).
h : Khoảng cách thẳng đứng từ trung điểm của b đến điểm ở 0,12L (m) cao hơn mặt tôn giữa đáy (m), nhưng trong mọi trường hợp phải không nhỏ hơn 0,06L (m).
l : Chiều dài của thanh giằng (m).

I : Mô men quán tính tối thiểu của tiết diện thanh giằng (cm4).
A : Diện tích tiết diện thanh giằng (cm2).
(1) Thanh giằng phải được liên kết chắc chắn với sống ngang bằng mã hoặc bằng một biện pháp thích hợp khác. Ở chỗ đặt thanh giằng sống ngang phải được gắn mã chống vặn.
(2) Nếu chiều rộng bản mép của thanh giằng ở mỗi bên của bản thành lớn hơn 150 mi-li-mét thì bản thành của thanh giằng phải được gắn nẹp đặt theo khoảng cách thích hợp và được liên kết với bản mép để đỡ nó.
7.3. Bố trí kết cấu ở phía sau vách đuôi
7.3.1. Đà ngang đáy
Kích thước và vị trí của đà ngang đáy ở khoang đuôi phải thỏa mãn những yêu cầu ở 7.2.2.
7.3.2. Sườn
Nếu chiều dài cung giữa các gối tựa của sườn lớn hơn 2,5 mét thì kích thước của sườn phải được tăng, hoặc sườn phải được gia cường thích đáng để tạo đủ độ cứng cho kết cấu mạn.
7.3.3. Các cơ cấu khác
Nếu kết cấu ở khoang đuôi thỏa mãn những yêu cầu đối với khoang mũi qui định ở 7.2 thì kích thước của các sống ngang, sống dọc mạn và thanh chống phải bằng 0,67 trị số tương ứng qui định ở 7.2.
CHƯƠNG 8 XÀ BOONG
8.1. Qui định chung
8.1.1. Độ cong ngang của boong thời tiết
Ở giữa tàu độ cong ngang tiêu chuẩn của boong thời tiết bằng B/50.
8.1.2. Liên kết mút xà boong
1. Xà dọc boong phải liên tục hoặc phải được liên kết bằng mã ở các mút sao cho phát huy được diện tích tiết diện và có đủ độ bền chống uốn và độ bền chống kéo.
2. Xà ngang boong phải được liên kết với sườn tăng mã.
3. Xà ngang boong đặt ở các vị trí không có sườn nội boong hoặc sườn thượng tầng phải được liên kết với tôn mạn bằng mã.
4. Xà ngang boong xuồng, boong dạo,v.v..., có thể được liên kết bằng móc kẹp ở các mút.
8.1.3. Vùng mà xà dọc boong chuyển sang xà ngang boong
Ở vùng mà xà dọc boong chuyển sang xà ngang boong phải đặc biệt thận trọng để đảm bảo tính liên tục của độ bền.
8.2. Xà dọc boong
8.2.1. Khoảng cách
Khoảng cách chuẩn của các xà dọc boong được tính theo công thức sau đây :
| 2 L + 550 | (mm) |
8.2.2. Tỉ số kích thước
1. Xà dọc boong phải được đỡ bởi các sống ngang boong đặt theo khoảng cách thích hợp. Ở boong tính toán trong đoạn giữa tàu, tỷ số mảnh của xà dọc boong phải không lớn hơn 60.
Tuy nhiên những yêu cầu này có thể được thay đổi thích hợp nếu xà dọc boong có đủ độ biên để chống mất ổn định.
2. Thép dẹt dùng làm xà dọc boong phải có tỷ số chiều cao tiết diện với chiều dày không lớn hơn 15.
8.2.3. Mô đun chống uốn của tiết diện xà dọc boong
1. Mô đun chống uốn của tiết diện xà dọc boong ở ngoài vùng đường miệng khoang của boong tính toán trong đoạn giữa tàu phải không nhỏ hơn trị số tính theo công thức sau đây :
| 1,14Shl2 | (cm3) |
Trong đó :
S : Khoảng cách giữa các xà dọc boong (m).
h : Tải trọng boong qui định ở 15.1 (kN/m2).
l : Khoảng cách nằm ngang giữa các sống ngang boong hoặc từ sống ngang boong đến vách ngang (m).
2. Ra ngoài đoạn giữa tàu, mô đun chống uốn của tiết diện xà dọc boong ở phía ngoài vùng đường miệng khoang của boong tính toán có thể được giảm dần. Tuy nhiên, trong mọi trường hợp, mô đun chống uốn của tiết diện phải không nhỏ hơn trị số tính theo công thức sau đây :
| 0,43 Shl2 | (cm3) |
Trong đó :
S, h và l: Như qui định ở -1.
3. Mô đun chống uốn của tiết diện xà dọc boong ở những vùng không qui định ở -1 và -2 phải không nhỏ hơn trị số tính theo -2.
8.2.4. Sống ngang boong đỡ xà dọc boong
Sống ngang boong phải được đặt ở mặt sườn có đà ngang đặc của đáy.
8.3. Xà ngang boong
8.3.1. Bố trí xà ngang boong
Xà ngang boong phải được đặt trong mỗi mặt sườn.
8.3.2. Tỉ số kích thước
Tỷ số chiều dài trên chiều cao tiết diện của xà ngang boong nên bằng hoặc nhỏ hơn 30 nếu là ở boong tính toán và nên bằng hoặc nhỏ hơn 40 nếu là ở boong chịu lực (boong ở dưới boong tính toán được coi là một cơ cấu chịu lực trong độ bền dọc của thân tàu) và ở boong thượng tầng.
8.3.3. Mô đun chống uốn của tiết diện xà ngang boong
Mô đun chống uốn của tiết diện xà ngang boong phải không nhỏ hơn trị số tính theo công thức sau đây :
| 0,43 Shl2 | (cm3) |
Trong đó:
S : Khoảng cách giữa các xà ngang boong (m).
h : Tải trọng boong qui định ở 15.1 (kN/m2).
l : Khoảng cách nằm ngang từ đỉnh trong của mã xà đến sống dọc boong hoặc giữa các sống dọc boong (m).
8.4. Xà boong ở hõm vách và ở các chỗ khác
8.4.1. Mô đun chống uốn
Mô đun chống uốn của xà boong tạo thành nóc của hõm vách, hầm trục và hõm hầm trục phải không nhỏ hơn trị số tính theo công thức ở 11.2.7.
8.5. Xà boong ở nóc két sâu
8.5.1. Mô đun chống uốn
Mô đun chống uốn của tiết diện xà dọc boong tạo thành nóc két sâu phải thỏa mãn các yêu cầu của Chương này và phải không nhỏ hơn trị số tính từ công thức ở 12.2.3 lấy mặt trên của xà boong làm mút dưới của h và coi xà boong là nẹp.
8.6. Xà boong chịu tải trọng đặc biệt nặng
8.6.1. Gia cường xà boong
Những xà boong chịu tải trọng đặc biệt nặng hoặc xà boong nằm ở các mút thượng tầng hoặc lầu, ở chỗ đặt cột, tời và máy phụ,v.v..., phải được gia cường thích đáng bằng cách tăng kích thước hoặc đặt thêm sống boong hoặc cột.
8.7. Xà của boong chở xe có bánh
8.7.1. Mô đun chống uốn của tiết diện xà boong
Mô đun chống uốn của tiết diện xà boong chở xe có bánh phải được xác định căn cứ vào tải trọng tập trung từ xe có bánh.
CHƯƠNG 9 CỘT CHỐNG
9.1. Qui định chung
9.1.1. Cột nội boong
Cột nội boong phải được đặt trực tiếp phía trên cột trong khoang hoặc phải có biện pháp hữu hiệu để truyền tải trọng xuống các đế ở dưới.
9.1.2. Cột trong khoang
Cột trong khoang phải được đặt lên các sống của đáy đơn hoặc đáy đôi hoặc phải cố gắng gần đó. Kết cấu ở trên cột và ở dưới cột phải có đủ độ bền để phân bố tải trọng một cách có hiệu quả.
9.1.3. Liên kết mút cột
Đỉnh và chân cột phải được gắn bằng tấm đệm dày và bằng mã. Nếu cột có thể chịu tải trọng kéo, thí dụ như cột ở dưới hõm vách, nóc hầm hoặc nóc két sâu thì đỉnh và chân cột phải được liên kết hữu hiệu để chịu được tải trọng kéo.
9.1.4. Gia cường các kết cấu liên kết với cột
Nếu cột được liên kết với tôn boong, với nóc hầm trục hoặc với sườn thì các kết cấu đó phải được gia cường thích đáng.
9.2. Kích thước
9.2.1. Diện tích tiết diện cột
Diện tích tiết diện cột phải không nhỏ hơn trị số tính theo công thức sau đây :

Trong đó :
l: Khoảng cách từ mặt đáy trên, từ boong hoặc từ kết cấu mà cột tựa đến cạnh dưới của xà boong hoặc sống boong mà cột phải đỡ (m) ( Xem Hình 2-B/9.1 ).

I : Mô men quán tính tối thiểu của tiết diện cột (cm4).
A : Diện tích tiết diện cột (cm2).
w : Tải trọng boong mà cột đỡ qui định ở 9.2.2 (kN).
9.2.2. Tải trọng boong mà cột đỡ
1. Tải trọng boong w mà cột đỡ phải không nhỏ hơn trị số tính theo công thức sau đây :
| kw0 + Sbh | (kN) |
Trong đó :
S : Khoảng cách giữa các trung điểm của hai nhịp kề nhau của sống boong được đỡ bởi cột hoặc nẹp vách hoặc sống vách (m) (Xem Hình 2-B/9.1).
b : Khoảng cách giữa các trung điểm của hai nhịp kề nhau của xà boong mà cột hay mã xà phải đỡ (m) (Xem Hình 2-B/9.1 ).
h : Tải trọng boong qui định ở 15.1 cho boong mà cột phải đỡ (kN/m2).
w0 :Tải trọng boong mà chiếc cột nội boong ở trên phải đỡ (kN).

Hình 2-B/9.1 Đo S,b,l,v.v…

Trong đó: ai là khoảng cách nằm ngang từ cột cần tính toán đến chiếc cột nội boong ở trên, và lj là chiều dài nhịp của sống boong đỡ cột nội boong.
2. Nếu có hai hoặc nhiều cột nội boong đặt trên sống boong đỡ bởi dãy cột dưới thì cột dưới phải có kích thước theo qui định ở -1, lấy kw0 của mỗi chiếc cột nội boong đặt lên hai nhịp kề nhau đỡ bởi cột dưới.
3. Nếu các cột nội boong bị đặt dịch theo phương ngang tàu ra khỏi các cột dưới thì kích thước của cột dưới phải được xác định theo nguyên tắc qui định ở -1 và -2.
9.2.3. Chiều dày tôn
1. Chiều dày tôn của cột ống phải không nhỏ hơn trị số tính theo công thức sau đây :
| 0,022dp + 4,6 | (mm) |
Trong đó:
dp: Đường kính ngoài của cột ống (mm).
Tuy nhiên, yêu cầu này có thể được thay đổi thích hợp đối với các cột đặt trong khu vực sinh hoạt.
2. Chiều dày bản thành và bản mép của cột ghép phải đủ để chống mất ổn định cục bộ.
9.2.4. Đường kính ngoài của cột tròn
Đường kính ngoài của cột tròn đặc và của cột ống phải không nhỏ hơn 50 mi-li-mét.
9.2.5. Cột đặt trong két sâu
1. Cột đặt trong két sâu phải không là cột ống.
2. Diện tích tiết diện cột phải không nhỏ hơn trị số tính theo công thức ở 9.2.1 và trị số tính theo công thức sau đây:
| 1,09Sbh | (cm2) |
Trong đó :
S và b : Như được qui định ở 9.2.2-1.
h = 0,7 lần khoảng cách thẳng đứng từ nóc két sâu đến điểm ở 2,0 mét cao hơn đỉnh ống tràn (m).
9.3. Vách dọc và các kết cấu khác bố trí thay thế cho cột
9.3.1. Kết cấu
Vách ngang đỡ sống dọc boong và vách dọc bố trí thay thế cho cột phải được gia cường sao cho tạo được đế tựa không kém hiệu quả so với đế tựa tạo bởi cột chống.
9.4. Vách quây bố trí thay thế cho cột
9.4.1. Kết cấu
Vách quây bố trí thay thế cho cột phải có đủ kích thước để chịu được tải trọng boong và áp lực ngang.
CHƯƠNG 10 SỐNG BOONG
10.1. Qui định chung
10.1.1. Phạm vi áp dụng
Sống ngang boong đỡ xà dọc boong và sống dọc boong đỡ xà ngang boong phải thỏa mãn những yêu cầu của Chương này.
10.1.2. Bố trí
Trong vùng hõm vách và nóc két sống boong phải cố gắng được đặt cách nhau không xa quá 4,6 mét.
10.1.3. Kết cấu
1. Sống boong phải có bản mép đặt dọc theo cạnh dưới.
2. Mã chống vặn phải được đặt cách nhau khoảng 3 mét và nếu chiều rộng của bản mép ở mỗi bên của bản thành lớn hơn 180 mi-li-mét thì các mã đó phải đỡ cả bản mép.
3. Chiều dày bản mép của sống boong phải không nhỏ hơn chiều dày của bản thành. Chiều rộng của bản mép phải không nhỏ hơn trị số tính theo công thức sau đây :

Trong đó:
d0: Chiều cao tiết diện sống boong (m).
l : Khoảng cách giữa các gối tựa của sống (m). Tuy nhiên, nếu có đặt các mã chống vặn hữu hiệu thì các mã này có thể được lấy làm gối tựa.
4. Chiều cao tiết diện sống phải được giữ không đổi trên đoạn giữa hai vách lân cận nhau, và phải không nhỏ hơn 2,5 lần chiều cao lỗ khoét để xà boong chui qua.
5. Sống phải có đủ độ cứng để chống biến dạng quá mức của boong và ứng suất bổ sung quá lớn ở xà boong.
10.1.4. Liên kết mút
1. Liên kết mút của sống boong phải thỏa mãn các yêu cầu ở 1.3.4.
2. Nẹp vách và sống vách ở dưới các mút của sống boong phải được gia cường thích đáng để đỡ sống boong.
3. Sống dọc boong phải liên tục hoặc phải được liên kết chắc chắn để đảm bảo sự liên tục ở các mút.
10.2. Sống dọc boong
10.2.1. Mô đun chống uốn của tiết diện sống dọc boong
1. Mô đun chống uốn của tiết diện sống đọc boong ở ngoài đường miệng khoang của boong tính toán ở đoạn giữa tàu phải không nhỏ hơn trị số tính theo công thức sau đây :
| 1,29l ( lbh + kw ) | (cm3) |
Trong đó:
l: Khoảng cách giữa các đường tâm cột hoặc từ đường tâm cột đến vách (m). Nếu sống boong được gắn hữu hiệu với vách bằng mã thì l có thể được thay đổi theo 1.3.6 (xem Hình 2-B/ 10.1).
b : Khoảng cách giữa các trung điểm của hai nhịp kề nhau của xà được đỡ bởi sống hoặc sườn (m). (xem Hình 2-B/10.1).
h : Tải trọng boong qui định ở 15.1 cho boong được đỡ (kN/m2).
w : Tải trọng boong được đỡ bởi cột nội boong như qui định ở 9.2 (kN).
k : Như qui định ở (1) và (2) sau đây :
(1) Hệ số tính theo công thức sau đây tùy thuộc tỷ số khoảng cách nằm ngang từ cột hoặc vách đỡ sống boong đến cột nội boong a (m) chia cho l ( xem Hình 2-B/10.1).

(2) Nếu chỉ có một cột nội boong thì k được tính toán dựa trên trị số nhỏ hơn của a. Nếu có hai hoặc nhiều cột nội boong thì a phải được đo từ cùng một mút của l cho mỗi cột nội boong và tổng của kw sẽ được dùng để tính toán công thức. Trong trường hợp này sẽ dùng trị số lớn hơn trong các tổng kw dựa trên a đo từ mỗi mút của l.

Hình 2-B/10.1 Đo l, a và b
2. Ra ngoài đoạn giữa tàu, mô đun chống uốn của tiết diện sống boong ở ngoài đường miệng khoang của boong tính toán có thể được giảm. Tuy nhiên, trong mọi trường hợp mô đun chống uốn của tiết diện này phải không nhỏ hơn trị số tính theo công thức sau đây :
| 0,484/(lbh + kw) | (cm3) |
Trong đó :
l, b, h, w và k: Như được qui định ở -1.
3. Mô đun chống uốn của tiết diện sống dọc boong ở những vòng không được qui định ở -1 và -2 phải không được nhỏ hơn trị số tính theo công thức ở -2.
10.2.2. Mô men quán tính của tiết diện sống dọc boong
Mô men quán tính của tiết diện sống boong phải không nhỏ hơn trị số tính theo công thức sau đây :
| CZ l | (cm4) |
Trong đó :
C : Hệ số được lấy như sau :
1,6 : Đối với sống boong ở ngoài đường miệng khoang của boong tính toán ở đoạn giữa tàu.
4,2 : Đối với các sống boong khác.
Z : Mô đun chống uốn yêu cầu của tiết diện sống boong qui định ở 10.2.1 (cm3).
l : Như qui định ở 10.2.1-1.
10.2.3. Chiều dày bản thành
1. Chiều dày bản thành phải không nhỏ hơn trị số tính theo công thức sau đây :
| 10S1 +2,5 | (mm) |
Trong đó :
S1: Khoảng cách giữa các nẹp gia cường bản thành hoặc chiều cao tiết diện của sống, lấy trị số nào nhỏ hơn (m).
2. Ở hai đoạn mút dài 0,2l, chiều dày bản thành phải không nhỏ hơn trị số qui định ở -1 và trị số tính theo công thức sau đây, lấy trị số nào lớn hơn :

Trong đó :
d0: Chiều cao tiết diện của sống (m).
b, h và l: Như qui định ở 10.2.1-1.
3. Trong các két sâu chiều dày bản thành phải lớn hơn các trị số tính theo các công thức ở -1 và -2 là 1,0 mi-li-mét.
10.3. Sống ngang boong
10.3.1. Mô đun chống uốn của tiết diện sống ngang boong
Mô đun chống uốn của tiết diện sống ngang boong phải không nhỏ hơn trị số tính theo công thức sau đây :
| 0,484 l ( lbh + kw ) | (cm3) |
Trong đó :
l : Khoảng cách giữa các đường tâm cột hoặc từ đường tâm cột đến đỉnh trong của mã xà (m).
b : Khoảng cách giữa hai sống ngang lân cận nhau hoặc từ sống ngang đến vách (m).
h : Như qui định ở 15.1 (kN/m2).
w và k : Như qui định ở 10.2.1-1.
10.3.2. Mô men quán tính của tiết diện sống ngang boong
Mô men quán tính của tiết diện sống phải không nhỏ hơn trị số tính theo công thức sau đây :
| 4,2Z l | (cm4) |
Trong đó :
Z : Mô đun chống uốn yêu cầu của tiết diện sống qui định ở 10.3.1 (cm3).
l : Như qui định ở 10.3.1.
10.3.3. Chiều dày bản thành
Chiều dày của bản thành phải thỏa mãn các yêu cầu ở 10.2.3.
10.4. Sống boong trong các két
10.4.1. Mô đun chống uốn của tiết diện sống boong
Mô đun chống uốn của tiết diện sống boong trong các két phải thỏa mãn các yêu cầu ở 10.2.1 hoặc 10.3.1 và cũng phải thỏa mãn các yêu cầu ở 12.2.4-1.
10.4.2. Mô men quán tính của tiết diện sống boong
Mô men quán tính của tiết diện sống phải thỏa mãn các yêu cầu ở 12.2.4-2.
10.4.3. Chiều dày bản thành
Chiều dày bản thành của sống trong các két phải thỏa mãn các yêu cầu ở 10.2.3 hoặc 10.3.3 và cũng phải thỏa mãn các yêu cầu ở 12.2.4-3.
10.5. Sống dọc miệng khoang
10.5.1. Sống dọc có thành cao ở trên boong
Nếu thành cao của miệng khoang được đặt ở trên boong như trường hợp miệng khoang ở boong thời tiết, thì theo thỏa thuận với Đăng kiểm, nẹp nằm và phần bản thành tính lên đến nẹp đó có thể được đưa vào tính toán mô đun chống uốn của tiết diện sống boong.
10.5.2. Sự liên tục của độ bền ở góc miệng khoang
Ở góc miệng khoang, bản mép của thành dọc miệng khoang và của sống dọc boong hoặc của các đoạn kéo dài của chúng và các bản mép ở cả hai bên của xà ngang đầu miệng khoang phải được liên kết chắc chắn với nhau để đảm bảo sự liên tục của độ bền.
10.6. Xà ngang đầu miệng khoang
10.6.1. Kích thước
Kích thước của xà ngang đầu miệng khoang phải thỏa mãn các yêu cầu ở 10.3 và 10.4.
CHƯƠNG 11 VÁCH KÍN NƯỚC
11.1. Bố trí vách kín nước
11.1.1. Vách chống va
1. Tàu phải có vách chống va đặt ở khoảng cách không nhỏ hơn 0,05Lf, nhưng không lớn hơn 0,08 Lr tính từ mút trước của chiều dài đo mạn khô, trừ khi vì lý do đặc biệt của kết cấu mà Đăng kiểm có thể chấp nhận một khoảng cách lớn hơn. Tuy nhiên, nếu có phần nào của tàu nằm phía dưới đường nước ở độ cao bằng 85% chiều cao mạn thiết kế nhỏ nhất của tàu, vươn quá về phía trước mút trước của chiều dài đo mạn khô, thì khoảng cách nói trên phải được đo từ một trong số các điểm sau đây :
(a) Trung điểm của đoạn vươn nói trên;
(b) Điểm ở cách 0,015 Lf về phía trước của điểm mút trước của chiều dài đo mạn khô;
Lấy điểm nào đo được trị số nhỏ nhất.
2. Trong phạm vi qui định ở -1 vách có thể có bậc hoặc hõm.
3. Ở những tàu có của mũi, vị trí của vách chống va phải được Đăng kiểm xét duyệt đặc biệt. Tuy nhiên, nếu có cầu dốc tạo thành một phần của vách chống va ở trên boong mạn khô thì phần cầu dốc ở cao hơn 2,3 mét trên boong mạn khô có thể được phép vươn về phía trước giới hạn qui định ở -1. Trong trường hợp này cầu dốc phải kín nước trên toàn bộ chiều dài của nó.
11.1.2. Vách đuôi
1. Tàu phải có vách đuôi đặt ở vị trí thích hợp.
2. Ống bao trục đuôi phải nằm trong khoang kín nước tạo bởi vách đuôi hoặc một kết cấu thích hợp khác.
11.1.3. Vách buồng máy
Ở hai đầu buồng máy phải đặt vách kín nước.
11.1.4. Vách khoang
1. Thêm vào các qui định ở từ 11.1.1 đến 11.1.3, các tàu hàng kiểu thông thường có chiều dài từ 67 mét trở lên phải có các vách khoang đặt theo khoảng cách thích hợp sao cho tổng số vách kín nước phải không nhỏ hơn trị số cho ở Bảng 2-B/11.1.
Bảng 2-B/11.1 Số lượng vách kín nước
| L (mm) | Tổng số vách kín nước | |
| Bằng và lớn hơn | Nhỏ hơn | |
| 67 | 87 | 4 |
| 87 | 90 | 5 |
2. Nếu do yêu cầu khai thác của tàu mà không thể chấp nhận được số lượng vách khoang như yêu cầu ở trên thì phải có một giải pháp khác được Đăng kiểm chấp nhận.
11.1.5. Chiều cao của vách kín nước
Các vách kín nước qui định ở từ 11.1.1 đến 11.1.4 phải đi lên đến boong mạn khô với những trường hợp ngoại lộ sau đây :
(1) Ở vùng boong dâng đuôi hoặc boong thượng tầng mũi thấp hơn tiêu chuẩn vách kín nước phải đi lên đến các boong đó.
(2) Nếu thượng tầng mũi có miệng khoét không có thiết bị đóng kín và dẫn vào không gian ở dưới boong mạn khô, hoặc nếu có thượng tầng mũi dài thì vách chống va phải đi lên đến boong thượng tầng và phải kín nước. Tuy nhiên, nếu phần vách kéo thêm là ở trong các vùng qui định ở 11.1.1 và phần boong tạo thành bậc là kết cấu kín nước hữu hiệu thì phần kéo thêm của vách không cần thiết phải được đặt trực tiếp trên phần vách ở dưới đó.
(3) Vách đuôi có thể được kết thúc ở boong phía dưới của boong mạn khô và phía trên của đường trọng tải thiết kế cực đại với điều kiện là boong đó phải kín nước đến đuôi tàu.
11.1.6. Độ bền ngang của thân tàu
1. Nếu những vách kín nước yêu cầu ở từ 11.1.1 đến 11.1.5 không đi lên tới boong tính toán thì ở ngay trên hoặc gần trên vách kín nước chính phải đặt những cơ cấu khỏe hoặc những đoạn vách để đảm bảo độ bền ngang và độ cứng ngang của thân tàu.
2. Nếu chiều dài của khoang lớn hơn 30 mét thì phải có biện pháp thích hợp để đảm bảo độ bền ngang và độ cứng ngang của thân tàu.
11.1.7. Hầm xích
1. Hầm xích ở sau vách chống va hoặc ở trong khoang mũi phải kín nước và phải có phương tiện tiêu nước bằng bơm.
2. Hầm xích phải được phân chia bằng vách ngăn dọc tâm.
11.2. Kết cấu của vách kín nước
11.2.1. Chiều dày tôn vách
Chiều dày tôn vách phải không nhỏ hơn trị số tính theo công thức sau đây :

Trong đó:
S: Khoảng cách giữa các nẹp (m).
h : Khoảng cách thẳng đứng từ cạnh dưới của tấm tôn vách đến boong vách đo ở đường tâm tàu (m), nhưng trong mọi trường hợp phải không nhỏ hơn 3,4 mét.
11.2.2. Tăng chiều dày tôn vách ở những chỗ đặc biệt
1. Chiều dày dải dưới cùng của tôn vách ít nhất phải lớn hơn 1mi-li-mét so với chiều dày tính toán từ công thức ở 11.2.1.
2. Ở đoạn có đáy đôi, dải dưới cùng của tôn vách ít nhất phải tên đến 610 mi-li-mét cao hơn mặt tôn đáy trên. Ở đoạn có đáy đơn, dải dưới cùng của tôn vách ít nhất phải lên đến 915 mi-li-mét cao hơn mặt tôn giữa đáy. Nếu đáy đôi chỉ có ở một bên của vách thì dải dưới cùng phải lên đến chiều cao nào cao hơn trong các chiều cao qui định ở trên.
3. Tôn vách ở rãnh tiêu nước ít nhất phải dày hơn 2,5 mi-li-mét so với chiều dày qui định ở 11.2.1.
4. Ở vùng lỗ khoét đặt ống bao trục đuôi hoặc trục chân vịt, tôn vách phải là tấm kép hoặc phải được tăng chiều dày, không phụ thuộc vào những yêu cầu ở 11.2.1.
11.2.3. Nẹp
Mô đun chống uốn của tiết diện nẹp vách phải không nhỏ hơn trị số tính theo công thức sau đây :
| 2,8 CShl2 | (cm3) |
Trong đó:
l : Chiều dài nhịp nẹp đo giữa các đế lân cận của nẹp kể cả chiều dài của liên kết (m). Nếu có sống vách thì l là khoảng cách từ chân của liên kết mút đến chiếc sống thứ nhất hoặc là khoảng cách giữa các sống vách.
S: Khoảng cách giữa các nẹp (m).
h : Khoảng cách thẳng đứng từ trung điểm của l, nếu là nẹp đứng, và từ trung điểm của khoảng cách hai nẹp lân cận ở hai bên của nẹp đang xét, nếu là nẹp nằm, đến đỉnh của boong vách đo ở đường tâm tàu (m). Nếu khoảng cách thẳng đứng này nhỏ hơn 6,0 mét thì h được lấy bằng 1,2 mét cộng với 0,8 của khoảng cách thẳng đứng thực.
C : Hệ số cho ở Bảng 2-B/11.2 tùy thuộc kiểu của các liên kết mút nẹp.
Bảng 2-B/11.2 Trị số của C
( Nẹp là thép cán hoặc thép ghép)
| Nẹp đứng | |||||
| Mút trên Mút dưới | Liên kết hàn tựa hoặc đỡ bằng | Liên kết | Mút nẹp không liên kết | ||
| Kiểu A | Kiểu B | ||||
| Liên kết hàn tựa hoặc đỡ bởi sống nằm | 1,00 | 1,00 | 1,15 | 1,35 | |
| Liên kết bằng mã | 0,80 | 0,80 | 0,90 | 1,00 | |
| Chỉ có bản thành của nẹp được liên kết ở mút | 1,15 | 1,15 | 1,35 | 1,60 | |
| Mút nẹp không liên kết | 1,35 | 1,35 | 1,60 | 2,00 | |
| Nẹp nằm | |||||
| Một mút Mút kia | Liên kết hàn tựa, liên kết bằng mã hoặc đỡ bởi sống đứng | Mút nẹp không liên kết | |||
| Liên kết hàn tựa, liên kết bằng mã hoặc đỡ bởi sống đứng | 1,00 | 1,35 | |||
| Mút nẹp không liên kết | 1,35 | 2,00 | |||
Chú thích :
1. “Liên kết hàn tựa” là liên kết mà cả bản thành và bản mép của nẹp được hàn chắc chắn vào tôn boong, tấm vách hoặc tôn đáy trên, các tấm tôn đó được gia cường bằng cơ cấu tựa đặt ở mặt đối diện.
2. “Liên kết kiểu A ” của nẹp đứng là liên kết bằng mã với cơ cấu dọc hoặc với cơ cấu kề cận ở cùng mặt phẳng với nẹp, có cùng tiết diện hoặc tiết diện lớn hơn (Xem Hình 2-B/11.1 (a)).
3. “Liên kết kiểu B “ của nẹp đứng là liên kết bằng mã với cơ cấu ngang như xà boong hoặc một liên kết khác tương đương với liên kết nói trên (Xem Hình 2-B/11.1 (b)).

Hình2-B/11.1 Các kiểu liên kết mút
11.2.4. Vách chống va
Đối với vách chống va, chiều dày tôn và mô đun chống uốn của tiết diện nẹp phải không nhỏ hơn trị số qui định ở 11.2.1 và 11.2.3 lấy h bằng 1,25 chiều cao qui định ở đó.
11.2.5. Sống vách đỡ nẹp vách
1. Mô đun chống uốn của tiết diện sống vách phải không nhỏ hơn trị số tính theo công thức :
| 4,75Shl2 | (cm3) |
Trong đó :
S : Chiều rộng của vùng mà sống phải đỡ (m).
h : Khoảng cách thẳng đứng đo từ trung điểm của l đối với sống đứng, hoặc đo từ trung điểm của S đối với sống nằm đến đỉnh boong vách ở đường tâm tàu (m). Nếu khoảng cách thẳng đứng này nhỏ hơn 6,0 mét thì h được lấy bằng 1,2 mét cộng 0,8 khoảng cách thẳng đứng thực.
l : Chiều dài nhịp đo giữa các gối tựa lân cận của sống (m).
2. Mở men quán tính của tiết diện sống vách phải không nhỏ hơn trị số tính theo công thức sau đây. Trong mọi trường hợp chiều cao tiết diện sống vách phải không nhỏ hơn 2,5 chiều cao lỗ khoét để nẹp vách xuyên qua.
| 10hl4 | (cm4) |
Trong đó :
h và l: Như qui định ở -1.
3. Chiều dày bản thành của sống vách phải không nhỏ hơn trị số tính theo công thức sau đây :
| 10S1 + 2,5 | (mm) |
Trong đó :
S1: Khoảng cách giữa các nẹp gia cường bản thành hoặc chiều cao tiết diện sống, lấy trị số nào nhỏ hơn (m).
4. Mã chống vặn phải được đặt cách nhau khoảng 3 mét. Nếu chiều rộng của bản mép ở mỗi bên của bản thành của sống vách lớn hơn 180 mi-li-mét thì mã chống vặn phải đỡ cả bản mép.
11.2.6. Gia cường tôn vách, tôn boong,v.v...
Nếu thấy cần thiết thì tôn vách, tôn boong, tôn đáy trên,v.v..., phải được gia cường ở vùng mã mút nẹp vách và mã mút sống vách.
11.2.7. Hõm vách
1. Trong vùng hõm vách, xà boong phải được đặt ở mỗi mặt sườn và ở ngay dưới vách phía trên theo yêu cầu ở 8.3.3 và 11.2.3 lấy khoảng cách xà boong bằng khoảng cách nẹp. Nếu cạnh dưới của vách trên được gia cường đặc biệt thì có thể không cần đặt xà boong ở ngay dưới vách phía trên.
2. Chiều dày tôn boong ở vùng hõm vách ít nhất phải lớn hơn 1mi-li-mét so với chiều dày yêu cầu ở 11.2.1, coi tôn boong là tôn vách và xà boong là nẹp vách. Trong mọi trường hợp chiều dày đó phải không nhỏ hơn chiều dày yêu cầu đối với tôn boong ở vùng đó.
3. Chiều dày của cột đỡ hõm vách phải được xác định có xét đến áp suất nước có thể tác dụng vào mặt trên của hõm vách và các liên kết mút phải đủ để chịu được áp suất nước tác dụng ở mặt dưới.
11.2.8. Kết cấu vách ở vùng đặt cửa kín nước
Nếu nẹp vách bị cắt hoặc khoảng cách giữa các nẹp bị tăng để đặt cửa kín nước ở vách thì lỗ khoét phải được kết cấu thích hợp và phải được gia cường để giữ nguyên được độ bền của vách. Trong mọi trường hợp, khung cửa không được coi là nẹp vách.
11.3. Cửa kín nước
11.3.1. Qui định chung
1. Lối ra vào, cửa, lỗ chui hoặc lỗ thông gió,v.v..., không được khoét ở vách chống va ở vùng dưới boong mạn khô. Số lượng lỗ khoét ở vách chống va ở vùng trên boong mạn khô phải được duy trì ở mức tối thiểu cần thiết và các lỗ khoét đó phải được trang bị phương tiện đóng kín nước.
2. Các lối ra vào ở vách kín nước phải có cửa kín nước thỏa mãn các yêu cầu ở từ 11.3.2 đến 11.3.5.
11.3.2. Các loại cửa kín nước
1. Cửa kín nước phải là cửa trượt, trừ khi xét về vị trí và/hoặc điều kiện sử dụng, có thể dùng các loại cửa khác như cửa bản lề hoặc cửa cuốn.
2. Không cho phép dùng những cửa đóng bằng cách thả rơi hoặc bằng tác dụng của trọng lượng thả rơi.
11.3.3. Độ bền và độ kín
1. Cửa kín nước phải đủ bốn và kín nước khi chịu áp suất nước cao đến boong vách, khung cửa phải được liên kết chắc chắn với vách. Nếu Đăng kiểm thấy cần thiết thì cửa kín nước phải được thử bằng áp suất nước trước khi được lắp lên tàu.
2. Khung cửa kín nước trượt thẳng đứng phải không có rãnh ở đáy để tránh vật bẩn có thể lọt vào và ngăn không cho cửa đóng lại.
11.3.4. Cửa trượt
1. Cửa trượt kín nước phải có thể thao tác được từ một vị trí tiếp cận được ở phía trên boong vách và phải có phương tiện chỉ báo rằng cửa mở hay đóng. Tuy nhiên, có thể không cần phải có phương tiện điều khiển cửa từ xa nếu được Đăng kiểm chấp nhận, xét từ điều kiện khai thác cửa.
2. Nếu phương tiện điều khiển cửa được thao tác bằng thanh truyền thì sự điều khiển thanh truyền thao tác nên cố gắng là trực tiếp và chỉ cần vặn một đai ốc bằng kim loại không gỉ hoặc một vật liệu được chấp nhận khác.
3. Những cửa trượt điều khiển từ xa cũng nên có khả năng điều khiển được tại chỗ.
11.3.5. Cửa bản lề và cửa cuốn
Cửa bản lề kín nước và cửa cuốn kín nước phải có thể đóng và cài được từ cả hai phía của vách. Chốt bản lề cửa phải bằng kim loại không gỉ hoặc bằng một vật liệu được chấp nhận khác.
CHƯƠNG 12 KÉT SÂU
12.1. Qui định chung
12.1.1. Định nghĩa
Két sâu (Deep tank) là két dùng để chứa nước, nhiên liệu hoặc những chất lỏng khác, tạo thành một phần của thân tàu, ở trong khoang hoặc ở nội boong. Nếu cần thì những két sâu dùng để chứa dầu được gọi là “ Két sâu chứa dầu”.
12.1.2. Phạm vi áp dụng
1. Những vách ngăn khoang mũi và khoang đuôi, những vách biên của két sâu (trừ những két sâu dùng để chứa dầu có điểm bắt cháy thấp hơn 60oC) phải được kết cấu theo các yêu cầu của Chương này. Nếu phần nào của vách két sâu được dùng như vách kín nước thì phần đó phải thỏa mãn yêu cầu của Chương 11.
2. Cùng với những yêu cầu của Chương này, những yêu cầu ở Chương 22 phải được áp dụng cho vách của những két sâu dùng để chứa dầu có điểm bắt cháy thấp hơn 60oC.
12.1.3. Kết cấu ngăn két
1. Két sâu phải có kích thước thích hợp và phải có những kết cấu kín nước phân cách dọc cần thiết để thỏa mãn các yêu cầu về ổn định trong điều kiện khai thác và trong quá trình nạp và xả.
2. Những két nước ngọt, két nhiên liệu và những két được dự kiến không hoàn toàn chứa đầy trong điều kiện khai thác phải có kết cấu ngăn bổ sung hoặc những tấm chống va cần thiết để giảm lực động tác dụng vào kết cấu.
3. Nếu không thể thỏa mãn được những yêu cầu ở -2 thì phải tăng các kích thước qui định ở Chương này.
4. Các kết cấu ngăn dọc kín nước chịu áp suất từ cả hai bên của các két chứa đầy hoặc các két hoàn toàn trống trong điều kiện khai thác, có thể có các kích thước như yêu cầu đối với các vách kín nước thông thường qui định ở Chương 11. Trong trường hợp đó két phải có miệng cao.v.v..., với phương tiện kiểm tra để đảm bảo rằng két được chứa đầy trong điều kiện khai thác.
12.2. Vách két sâu
12.2.1. Phạm vi áp dụng
Trừ khi có những yêu cầu khác của Chương này, kết cấu của các vách và boong tạo thành biên của két sâu phải thỏa mãn những yêu cầu của Chương 11.
12.2.2. Tôn vách
Chiều dày của tôn vách két sâu phải không nhỏ hơn trị số tính theo công thức sau đây :

Trong đó:
S : Khoảng cách giữa các nẹp vách (m).
h : Khoảng cách được cho dưới đây, lấy trị số nào lớn hơn :
(1) Khoảng cách thẳng đứng đo từ cạnh dưới của tấm tôn đến trung điểm của khoảng cách từ nóc két đến đỉnh ống tràn (m). Đối với vách của những kết lớn, phải quan tâm tới áp suất nước bổ sung.
(2) 0,7 khoảng cách thẳng đứng từ cạnh dưới của tấm tôn đến điểm ở 2,0 mét cao hơn đỉnh ống tràn (m).
12.2.3. Nẹp vách
Mô đun chống uốn của tiết diện nẹp vách phải không nhỏ hơn trị số tính theo công thức sau đây :
| 7CShl2 | (cm3) |
Trong đó :
S và l: Như qui định ở 11.2.3.
h : Khoảng cách thẳng đứng được cho dưới đây lấy trị số nào lớn hơn, mút dưới được coi là trung điểm của l, nếu là nẹp đứng, và được coi là trung điểm của khoảng cách giữa hai nẹp kề về 2 bên của chiếc nẹp đang xét nếu là nẹp nằm :
(1) Khoảng cách thẳng đứng từ mút dưới đến trung điểm của khoảng cách từ nóc két đến đỉnh ống tràn (m). Đối với nẹp vách của những két lớn, phải quan tâm tới áp suất nước bổ sung.
(2) 0,7 khoảng cách thẳng đứng từ mút dưới đến điểm ở 2,0 mét cao hơn đỉnh ống tràn (m).
C : Hệ số được cho trong Bảng 2-B/12.1 tùy thuộc kiểu liên kết mứt nẹp.
Bảng 2-B/12.1 Trị số C
(đối với nẹp bằng thép cán hoặc thép ghép)
| Nẹp đứng | |||||
|
| Một mút | ||||
| Mút kia | Liên kết hàn tựa hoặc đỡ bằng sống | Liên kết | Mút nẹp không liên kết | ||
| Kiểu A | Kiểu B | ||||
| Liên kết hàn tựa hoặc đỡ bởi sống | 1,00 | 1,85 | 1,30 | 1,50 | |
| Liên kết | Kiểu A | 0,85 | 0,70 | 1,15 | 1,30 |
| Kiểu B | 1,30 | 1,15 | 0,85 | 1,15 | |
| Mút nẹp không liên kết | 1,50 | 1,30 | 1,15 | 1,50 | |
Chú thích :
(1) “Liên kết kiểu A” là liên kết bằng mã với đáy đôi hoặc với cơ cấu kề cận như dầm dọc hoặc nẹp trên cùng đường thẳng, có diện tích tiết diện bằng hoặc lớn hơn, hoặc liên kết bằng mã với cơ cấu tương đương với các cơ cấu nói trên (xem Hình 2-B/11.1 (a)).
(2) “Liên kết kiểu B”là liên kết bằng mã với cơ cấu ngang như xà boong, sườn hoặc cơ cấu tương đương (xem Hình 2-B/11.1 (b)).
12.2.4. Sống đỡ nẹp vách
1. Mô đun chống uốn của tiết diện sống phải không nhỏ hơn trị số tính theo công thức sau đây :
| 7,13Shl2 | (cm3) |
Trong đó :
S : Chiều rộng của vùng mà sống phải đỡ (m).
h : Khoảng cách thẳng đứng từ trung điểm của S, nếu là sống nằm, hoặc từ trung điểm của l, nếu là sống đứng, đến điểm đỉnh của h qui định ở 12.2.3 (m).
l : Chiều dài nhịp đo giữa hai gối tựa lân cận của sống (m).
2. Mô men quán tính tiết của diện sống phải không nhỏ hơn trị số tính theo công thức sau đây. Trong mọi trường hợp chiều cao tiết diện sống phải không nhỏ hơn 2,5 chiều cao của lỗ khoét để nẹp xuyên qua :
| 30hl4 | (cm4) |
Trong đó :
h và l: Như qui định ở -1.
3. Chiều dày bản thành phải không nhỏ hơn trị số tính theo các công thức sau đây :
| 10S1 + 3,5 | (mm) |
Trong đó :
S1 Khoảng cách các nẹp gia cường bản thành hoặc chiều cao tiết diện sống, lấy trị số nào nhỏ hơn (m).
12.2.5. Thanh giằng
1. Nếu có những thanh giằng hữu hiệu đặt qua két sâu để liên kết các sống ở vách két thì nhịp l của sống qui định ở 12.2.4 có thể được đo từ mút của sống đến đường tâm của thanh giằng hoặc đo giữa các đường tâm của hai thanh giằng lân cận nhau.
2. Diện tích tiết diện của thanh giằng phải không nhỏ hơn trị số tính theo công thức :
| 1,3 Sbsh | (cm2) |
Trong đó:
S và h : Như qui định ở 12.2.4.
bs : Chiều rộng của vùng mà thanh giằng phải đỡ (m).
3. Các mút của thanh giằng phải được liên kết với sống bằng mã.
12.2.6. Kết cấu của nóc và đáy
Kích thước của các cơ cấu tạo thành nóc và đáy của két sâu phải thỏa mãn các yêu cầu của Chương này, coi các cơ cấu đó như là các cơ cấu tạo thành vách của két sâu tại đó. Trong mọi trường hợp các kích thước của các cơ cấu đó phải không nhỏ hơn các kích thước yêu cầu đối với boong và đáy tại vùng đó. Tôn nóc của két sâu phải có chiều dày ít nhất là 1 mi-li-mét lớn hơn chiều dày qui định ở 12.2.2.
12.2.7. Kích thước của các cơ cấu không tiếp xúc với nước biển
Chiều dày của tôn vách và sống vách không tiếp xúc với nước biển trong điều kiện khai thác có thể được giảm so với các yêu cầu ở 12.2.2, 12.2.4-3, một lượng được cho dưới đây :
0,5 mi-li-mét nếu tấm chỉ có một mặt tiếp xúc với nước biển
1,0 mi-li-mét nếu tấm có hai mặt không tiếp xúc với nước biển
Tuy nhiên tấm vách ở các vùng như rãnh hông phải được coi là tiếp xúc với nước biển.
12.3. Phụ tùng của két sâu
12.3.1. Lỗ thông nước và lỗ thông khí
Lỗ thông nước và lỗ thông khí phải được khoét ở các cơ cấu để đảm bảo cho nước và không khí không tụ lại ở bất cứ chỗ nào trong két sâu.
12.3.2. Biện pháp tiêu nước từ nóc két
Phải có biện pháp hữu hiệu để tiêu nước từ nóc két.
12.3.3. Phương tiện kiểm tra mức chất lỏng
Phương tiện kiểm tra mức chất lỏng ở két sâu phải được đặt theo yêu cầu ở 12.1.3 tại chỗ có thể tiếp cận ngay được và việc nạp đầy nước phải được thực hiện để cho phương tiện kiểm tra đó mở đến mức độ có thể chấp nhận.
12.3.4. Ngăn cách ly
1. Ngăn cách ly kín dầu phải được đặt giữa các két chứa dầu và két chứa nước ngọt như nước sinh hoạt, nước nồi hơi.v.v..., để ngăn ngừa khả năng làm bẩn nước do bị lẫn dầu.
2. Khu vực thủy thủ và khu vực hành khách phải không được trực tiếp kề với két chứa dầu đốt. Các khu vực đó phải được phân cách với két dầu đốt bằng những ngăn cách ly được thông gió tốt và dễ tiếp cận. Nếu nóc két chứa dầu không có lỗ khoét và được bọc bằng chất không cháy có chiều dày bằng và lớn hơn 38 mi-li-mét thì giữa các khu vực đó và nóc két chứa dầu đốt không cần phải đặt ngăn cách ly.
CHƯƠNG 13 ĐỘ BỀN DỌC
13.1. Qui định chung
13.1.1. Trường hợp đặc biệt trong áp dụng
Đối với những trường hợp có những vấn đề mà việc áp dụng trực tiếp những yêu cầu của Chương này là không hợp lý, thì những vấn đề này phải được sự thỏa thuận của Đăng kiểm.
13.1.2. Sự liên tục về độ bền
Các cơ cấu dọc phải được bố trí sao cho đảm bảo sự liên tục về độ bền.
13.2. Độ bền uốn
13.2.1. Độ bền uốn ở đoạn giữa tàu
1. Mô đun chống uốn của tiết diện ngang thân tàu ở đoạn giữa tàu phải không nhỏ hơn trị số Zs tính theo công thức sau đây. Tuy nhiên, yêu cầu này có thể được miễn giảm khi áp dụng cho những tàu có chiều dài không lớn hơn 60 mét theo sự thỏa thuận với Đăng kiểm :

Trong đó :
MS :Mô men uốn dọc lớn nhất của tàu trên nước tăng (kN.m) làm thân tàu võng xuống hoặc vồng lên tương ứng, tại tiết diện ngang đang xét theo chiều dài tàu, ở các trạng thái tải trọng có thể xảy ra, tính toán theo phương pháp được Đăng kiểm thừa nhận.
Mw: Mô men uốn dọc tàu trên sóng (kNm) tại tiết diện ngang đang xét theo chiều dài tàu, tính theo các công thức dưới đây với giá trị Ms ứng với trường hợp thân tàu uốn võng xuống hoặc thân tàu uốn vồng lên :

C1 :Được tính theo biểu thức sau đây : 0,03L1 + 5
L1 : Chiều dài của tàu qui định ở 1.4.2 hoặc 0,97 lần chiều dài đo theo đường nước chở hàng thiết kế lớn nhất, lấy trị số nào nhỏ hơn (m).
C’b :Thể tích chiếm nước ở đường nước chở hàng thiết kế lớn nhất chia cho L1Bd. Tuy nhiên, nếu tỷ số này nhỏ hơn 0,6 thì C’b được lấy bằng 0,6.
C2: Hệ số qui định theo vị trí tiết diện ngang thân tàu đang xét theo chiều dài tàu, được cho ở Hình 2- B/13.1.
2. Mặc dù những yêu cầu ở -1, mô đun chống uốn của tiết diện ngang thân tàu tại trung điểm của L phải không nhỏ hơn trị số Wmin tính theo công thức sau đây :

Trong đó :
C1, L1 và C’b : Như qui định ở -1.
3. Mô men quán tính của tiết diện ngang thân tàu tại trung điểm của L phải không nhỏ hơn trị số tính theo công thức sau đây. Tuy nhiên, phương pháp tính mô men quán tính thực của tiết diện ngang của thân tàu phải theo các qui định tương ứng ở 13.2.3.
| 3 WminL1 | (cm4) |
Trong đó :
Wmin : Mô đun chống uốn của tiết diện ngang thân tàu tại trung điểm của L như qui định ở -2.
L1 : Như qui định ở -1.

Hình 2-B/13.1 Trị số của hệ số C2
4. Kích thước của các cơ cấu dọc thân tàu ở đoạn giữa tàu phải không nhỏ hơn kích thước của các cơ cấu dọc đo tại trung điểm của L xác định theo yêu cầu ở -2 và -3, không kể những thay đổi kích thước do sự thay đổi hình dạng của tiết diện ngang thân tàu.
13.2.2. Độ bền uốn ở những tiết diện nằm ngoài phạm vi đoạn giữa tàu
Độ bền uốn ở những tiết diện nằm ngoài phạm vi đoạn giữa tàu phải được xác định theo các yêu cầu ở 15.3.
13.2.3. Tính toán mô đun chống uốn của tiết diện ngang thân tàu
Việc tính toán mô đun chống uốn của tiết diện ngang thân tàu phải dựa trên các yêu cầu từ (1) đến (6) sau đây :
(1) Tất cả các cơ cấu dọc được coi là hữu hiệu đối với độ bền dọc phải được đưa vào tính toán.
(2) Những lỗ khoét ở boong tính toán phải được trừ khỏi tiết diện dùng trong tính toán mô đun chống uốn. Tuy nhiên, những lỗ khoét nhỏ có chiều dài không lớn hơn 2,5 mét và có chiều rộng không lớn hơn 1,2 mét, sẽ không cần phải trừ đi nếu tổng chiều rộng các lỗ khoét tại một tiết diện ngang không lớn hơn : 0,06(B-Sb), trong đó Sb là tổng chiều rộng của các lỗ khoét có chiều rộng lớn hơn 1,2 mét hoặc có chiều dài lớn hơn 2,5 mét.
(3) Mặc dù các yêu cầu ở (2). các lỗ khoét ở boong tính toán sẽ không bị trừ nếu tổng chiều rộng của chúng tại mỗi tiết diện ngang không làm giảm mô đun chống uốn tính với boong tính toán hoặc với đáy tàu đi nhiều hơn 3%.
(4) Những lỗ khoét boong qui định ở (2) và (3) gồm cả vùng phủ khuất tạo bởi hai đường tiếp tuyến với lỗ khoét tạo thành góc 30o có đỉnh ở trên đường tâm lỗ khoét nhỏ theo chiều dài của tàu.
(5) Mô đun chống uốn tính với boong tính toán phải được tính bằng cách chia mô men quán tính của tiết diện ngang thân tàu quanh trục trung hòa nằm ngang cho khoảng cách (a) hoặc (b) sau đây lấy trị số nào lớn hơn :
(a) Khoảng cách thẳng đứng từ trục trung hòa đến mặt boong tính toán đo ở mạn tàu (m).
(b) Khoảng cách tính theo công thức sau đây :

Trong đó:
X : Khoảng cách nằm ngang đo từ mặt của cơ cấu khỏe liên tục đến đường tâm tàu (m).
Y: Khoảng cách thẳng đứng đo từ trục trung hòa đến mặt của cơ cấu khỏe liên tục (m).
Trong trường hợp này X và Y phải được đo tại điểm cho trị số lớn nhất tính theo công thức nói trên.
(6) Mô đun chống uốn tính toán với đáy tàu được tính bằng cách chia mô men quán tính của tiết diện ngang thân tàu quanh trục trung hòa nằm ngang cho khoảng cách thẳng đứng từ trục trung hòa đến mặt tôn giữa đáy.
13.3. Độ ổn định nén
13.3.1. Ổn định nén
Tôn boong tính toán và tôn đáy,v.v..., ở những vùng chịu ứng suất nén lớn do uốn dọc phải được gia cường để chống mất ổn định nén.
CHƯƠNG 14 TÔN BAO
14.1. Qui định chung
14.1.1. Dự phòng cho han gỉ
Ở những vùng mà do vị trí và/ hoặc điều kiện khai thác của tàu, sự han gỉ được coi là mạnh, chiều dày tôn bao phải được tăng thích đáng so với yêu cầu của Chương này.
14.1.2. Quan tâm đặc biệt đến sự va chạm với cầu cảng
Ở những chỗ mà tôn bao có thể va chạm với cầu cảng,v.v..., trong điều kiện khai thác của tàu, phải đặc biệt quan tâm đến chiều dày tôn bao.
14.2. Dải tôn giữa đáy
14.2.1. Chiều rộng và chiều dày của dải tôn giữa đáy
1. Trên suốt chiều dài của tàu, chiều rộng của dải tôn giữa đáy phải không nhỏ hơn trị số tính theo công thức sau đây:
| 4,5L + 775 | (mm) |
2. Trên suốt chiều dài tàu, chiều dày của dải tôn giữa đáy ít nhất phải không nhỏ hơn chiều dày tôn đáy tính toán theo yêu cầu ở 14.3.4 tăng lên 1,5 mi-li-mét. Tuy nhiên, chiều dày của tôn giữa đáy phải không nhỏ hơn chiều dày của tấm tôn đáy kề cận.
14.3. Tôn bao ở đoạn giữa tàu
14.3.1. Chiều dày tối thiểu
Chiều dày tối thiểu của tôn bao ở dưới boong tính toán ở đoạn giữa tàu phải không nhỏ hơn trị số tính theo công thức sau đây :
| 0,44L + 5,6 | (mm) |
14.3.2. Chiều dày tôn mạn
Chiều dày của tôn mạn, trừ tôn mép mạn, ở dưới boong tính toán ở đoạn giữa tàu phải không nhỏ hơn trị số tính theo công thức sau đây :

Trong đó :
S : Khoảng cách giữa các sườn dọc hoặc sườn ngang (m).
14.3.3. Mép mạn
Chiều dày của tôn mép mạn kề với boong tính toán phải không nhỏ hơn 0,75 chiều dày của mép boong tính toán. Tuy nhiên, trong mọi trường hợp chiều dày của mép mạn phải không nhỏ hơn chiều dày của tôn mạn kề với nó.
14.3.4. Chiều dày của tôn đáy
Chiều dày của tôn đáy (gồm cả tôn hông nhưng không kể đến tôn giữa đáy) ở đoạn giữa tàu phải theo các yêu cầu ở (1) và (2) sau đây :
(1) Nếu đáy tàu kết cấu theo hệ thống ngang thì chiều dày tôn đáy phải không nhỏ hơn trị số tính theo công thức sau đây:

Trong đó:
S: Khoảng cách các cơ cấu ngang (m).
(2) Nếu đáy tàu kết cấu theo hệ thống dọc thì chiều dày tôn đáy phải không nhỏ hơn trị số tính theo công thức sau đây:

Trong đó :
S: Khoảng cách các dầm dọc đáy (m).
14.4. Tôn bao ở phần mũi và phần đuôi tàu
14.4.1. Tôn bao ở phần mũi và phần đuôi tàu
Ra ngoài đoạn giữa tàu, chiều dày tôn bao ở dưới boong tính toán có thể được giảm dần, nhưng lại phần mũi và phần đuôi tàu chiều dày này phải không nhỏ hơn trị số tính theo công thức sau đây. Tuy nhiên, đối với các đoạn qui định ở từ 14.4.2 đến 14.4.5, chiều dày này phải không nhỏ hơn trị số yêu cầu ở những qui định có liên quan.
| 0,044L +5,6 | (mm) |
14.4.2. Tôn bao ở vùng 0,3L kể từ mút mũi tàu
Chiều dày tôn bao ở 0,3L kể từ mũi tàu phải không nhỏ hơn trị số tính theo công thức sau đây :

Trong đó:
S : Khoảng cách giữa các sườn dọc hoặc sườn ngang (m).
14.4.3. Tôn bao ở đoạn 0,3L kể từ mút đuôi tàu
Chiều dày tôn bao ở đoạn 0,3L kể từ đuôi tàu phải không nhỏ hơn trị số tính theo công thức sau. Ở những tàu có khoang máy đặt ở đuôi hoặc ở những tàu có công suất máy lớn chiều dày này phải được tăng thích đáng :

Trong đó:
S: Khoảng cách giữa các sườn dọc hoặc sườn ngang (m).
14.4.4. Tôn bao ở đoạn đáy được gia cường ở phía mũi tàu
Chiều dày tôn bao ở đoạn đáy được gia cường ở phía mũi tàu qui định ở 4.9.2 phải thỏa mãn các yêu cầu ở (1), (2) và (3) sau đây. Nếu trong điều kiện dằn tàu có chiều chìm quá nhỏ và nếu tàu có vận tốc quá lớn so với chiều dài tàu thì chiều dày của tôn bao phải được xem xét đặc biệt.
(2) Ở những tàu trong điều kiện dằn có chiều chìm mũi không lớn hơn 0,025L, chiều dày tôn bao ở đoạn đáy được gia cường ở phía mũi tàu phải không nhỏ hơn trị số tính theo công thức sau đây :

Trong đó :
C : Hệ số được cho ở Bảng 2-B/14.1. Với các trị số trung gian của a thì C được xác định theo phép nội suy tuyến tính.
S: Khoảng cách các sườn, khoảng cách các sống hoặc khoảng cách các nẹp dọc của tôn bao lấy trị số nào nhỏ nhất (m).
a: Tỷ số khoảng cách sườn, hoặc khoảng cách sống hoặc khoảng cách nẹp dọc của tôn bao (m), lấy trị số nào lớn nhất, chia cho S.
Bảng 2-B/14.1 Trị số của C
| a | 1,0 | 1,2 | 1,4 | 1,6 | 1,8 | ³ 2,0 |
| C | 1,04 | 1,17 | 1,24 | 1,29 | 1,32 | 1,33 |
p : Áp suất va đập của sóng (kPa) qui định ở 4.9.4.
(2) Ở những tàu trong điều kiện dằn có chiều chìm mũi không nhỏ hơn 0,037L, chiều dày tôn bao ở đoạn đáy gia cường phía mũi tàu phải không nhỏ hơn qui định 14.3.4 hoặc xác định theo công thức sau, lấy giá trị nào lớn hơn.

Trong đó:
L: được qui định 1.4.2
S : Khoảng cách sườn, sống hoặc nẹp dọc tôn vỏ, lấy giá trị nào nhỏ hơn (m)
(3) Ở những tàu trong điều kiện dằn có chiều chìm mũi nằm trong khoảng trị số qui định ở (1) và (2), chiều dày phải được xác định theo nội suy tuyến tính từ các trị số qui định ở (1) và (2).
14.4.5. Tôn bao kề với sống đuôi và trong vùng u đặt trục
Tôn bao kề với sống đuôi và trong vùng u đặt trục phải có chiều dày không nhỏ hơn trị số tính theo công thức sau đây:
| 0,09L + 4,5 | (mm) |
14.5. Tôn mạn ở vùng thượng tầng
14.5.1. Tôn mạn ở vùng thượng tầng trong trường hợp boong thượng tầng là boong tính toán
Nếu boong thượng tầng là boong tính toán thì chiều dày của tôn mạn thượng tầng phải lấy như qui định ở 14.3.1, 14.3.2, và từ 14.4.1 đến 14.4.3. Tuy nhiên, tôn mạn thượng tầng ở đoạn mũi tàu và đoạn đuôi tàu có thể lấy bằng chiều dày qui định ở 14.5.2.
14.5.2. Tôn mạn ở vùng thượng tầng trong trường hợp boong thượng tầng không phải là boong tính toán
Nếu boong thượng tầng không phải là boong tính toán thì chiều dày tôn mạn thượng tầng phải không nhỏ hơn trị số tính theo công thức sau đây, nhưng trong mọi trường hợp phải không nhỏ hơn 5,5 mi-li-mét.

Trong đó :
S: Khoảng cách các dầm dọc hoặc các sườn ngang tại vị trí đang xét (m).
14.5.3. Bồi thường ở các mút thượng tầng
Tôn mạn ở các mút của thượng tầng phải được kết cấu thích hợp để đảm bảo sự liên tục về độ bền.
14.6. Bồi thường cục bộ tôn bao
14.6.1. Lỗ khoét ở tôn bao
Các lỗ khoét ở tôn bao phải có góc lượn và phải được bồi thường nếu cần thiết.
14.6.2. Hộp van thống biển
Trong trường hợp, có hộp van thông biển đặt ở tôn bao để hút hoặc xả nước biển thì chiều dày của tôn phải không nhỏ hơn trị số tính theo công thức sau đây và phải được gia cường thích đáng để đảm bảo độ cứng cần thiết.
| 0,07L + 5,0 | (mm) |
14.6.3. Tôn bao ở chỗ đặt ống luồn xích neo và ở phía dưới ống luồn xích neo
Tôn bao ở chỗ đặt ống luồn xích neo và ở phía dưới ống luồn xích neo phải có chiều dày tăng hoặc phải là tấm kép, và mép dọc của chúng phải được bảo vệ để không bị neo hoặc xích neo làm hư hại.
CHƯƠNG 15 BOONG
15.1. Tải trọng boong h
15.1. Trị số của h
1. Tải trọng boong h (kN/m2) đối với những boong dùng để xếp hàng hóa thông thường hoặc đồ dự trữ phải theo các qui định từ (1) đến (3) sau đây ;
(1) h phải tương đương với tiêu chuẩn bằng 7 lần chiều cao của nội boong (m), hoặc 7 lần chiều cao từ boong được xét đến cạnh trên của thành miệng khoang ở boong ở trên (m). Tuy nhiên, h có thể được qui định bằng trọng lượng thiết kế cực đại của hàng hóa trên một đơn vị diện tích boong (kN/m2). Trong trường hợp này trị số của h phải được xác định bằng cách xem xét chiều cao xếp hàng.
(2) Nếu hàng gỗ hoặc/và các loại hàng khác được dự định xếp ở boong thời tiết thì h phải là trọng lượng thiết kế cực đại của hàng hóa trên một đơn vị diện tích boong (kN/m2) hoặc là trị số qui định ở -2, lấy trị số nào lớn hơn.
(3) Nếu hàng hóa được treo vào xà boong hoặc nếu máy móc được đặt trên boong thì h phải được tăng thích đáng.
2. Đối với boong thời tiết, tải trọng boong h (kN/m2) được qui định ở từ (1) đến (4) sau đây :
(1) Đối với boong mạn khô, boong thượng tầng và boong lầu ở trên boong mạn khô, h phải không nhỏ hơn trị số tính theo công thức sau đây :
| a(0,067bL - y) | (kN/m2) |
Trong đó:
a và b : Được cho ở Bảng 2-B/15.1 tùy thuộc vị trí ở boong.
Tuy nhiên nếu Cb nhỏ hơn 0,7 thì trị số của b sẽ được xem xét đặc biệt.
Bảng 2-B/15.1 Trị số của a và b
| Dòng | Vị trí | a | b | |||
| Tôn boong | Xà boong | Cột | Sống boong | |||
| I | Ở phía trước của 0,15L tính từ mút mũi tàu | 14,7 | 9,8 | 4,90 | 7,35 | 1,42 |
| II | Từ 0,15L đến 0,3L tính từ mút mũi tàu | 11,8 | 7,85 | 3,90 | 5,90 | 1,20 |
| III | Từ 0,3L tính từ mút mũi tàu đến 0,2 L tính từ mút đuôi tàu | 6,90 | 4,60 | 2,25 | 2,25(1) 3,45(2) | 1,00 |
| IV | Ở phía sau của 0,2L tính từ mút đuôi tàu | 9,80 | 6,60 | 3,25 | 4,90 | 1,15 |
Chú thích :
(1) Đối với sống dọc boong ở ngoài đường miệng khoang ở boong tính toán trong đoạn giữa tàu.
(2) Đối với những trường hợp không phải là trường hợp (1).
y : Khoảng cách thẳng đứng từ đường nước chở hàng thiết kế cực đại đến boong thời tiết đo ở mạn (m) và y phải được đo ở mũi tàu cho đoạn boong ở phía trước của 0,15L tính từ mũi tàu, được đo ở 0,15L tính từ mũi tàu cho đoạn boong từ 0,3L đến 0,15L tính từ mũi tàu, được đo ở sườn giữa cho đoạn boong từ 0,3L tính từ mũi tàu đến 0,2L tính từ đuôi tàu và được đo ở đuôi tàu cho đoạn boong ở phía sau của 0,2L tính từ đuôi tàu (xem Hình 2-B/15.1).

| Sau A | y được đo ở AP | * Nếu không có thượng tầng thì y được đo đến boong trên |
| Từ A đến B | y được đo ở |
|
| Từ B đến C | y được đo ở C |
|
| Trước C | y được đo ở FP |
|
Hình 2-B/15.1 Vị trí đo y
(2) Đối với boong ở dòng II Bảng 2-B/15.1 h không cần lớn hơn h ở dòng I.
(3) Không phụ thuộc các qui định ở (1) và (2), h phải không nhỏ hơn trị số tính theo công thức cho ở Bảng 2-B/15.2, nhưng phải được lấy bằng 12,8 nếu h đối với các boong nhỏ hơn 12,8.
(4) Nếu tàu có mạn khô quá lớn thì trị số h phải được lấy theo sự thỏa thuận với Đăng kiểm.
3. Đối với vùng kín của boong thượng tầng và boong lầu, trong không gian sinh hoạt và không gian hàng hải, thuộc tầng 1 và tầng 2 trên boong mạn khô, h phải bằng 12,8.
Bảng 2-B/15.2 Trị số cực tiểu của h
| Dòng | Vị trí của boong | h | C | ||
| Xà boong | Tôn boong | Cột, Sống dọc và Sống ngang boong | |||
| I và II | Phía trước của 0,3L tính từ mũi tàu |
| 2,85 | 4,20 | 1,37 |
| III | Từ 0,3L tính từ mũi tàu đến 0,2L tính từ đuôi tàu | 1,37 | 2,05 | 1,18 | |
| IV | Phía sau của 0,2L tính từ đuôi tàu |
| 1,95 | 2,95 | 1,47 |
| Boong thượng tầng tầng 2 trên boong mạn khô | 1,28 | 1,95 | 0,69 | ||
Chú thích :
Nếu trị số của h tính từ các công thức ở Bảng nhỏ hơn 12,8 thì h phải được lấy bằng 12,8.
15.2. Qui định chung
15.2.1. Tôn boong
Trừ phần lỗ khoét ở boong, v.v..., tôn boong phải đi từ mạn này sang mạn kia. Tuy nhiên, nếu được Đăng kiểm chấp nhận tôn boong có thể chỉ gồm tấm mép boong và tấm tôn giằng.
15.2.2. Tính kín nước của boong
Boong thời tiết phải kín nước, trừ trường hợp được Đăng kiểm chấp thuận đặc biệt có thể chỉ chịu thời tiết.
15.2.3. Tính liên tục của bậc boong
Nếu boong tính toán hoặc các boong chịu lực (boong ở phía dưới boong tính toán được coi là cơ cấu chịu lực trong độ bền dọc của thân tàu) thay đổi độ cao thì sự thay đổi đó phải được thực hiện theo độ dốc dần dần hoặc mỗi cơ cấu boong phải được kéo dài và phải được liên kết chặt chẽ với nhau bằng các tấm ngăn, sống, mã,v.v..., và phải đặc biệt quan tâm đến tính liên tục về độ bền.
15.2.4. Bồi thường lỗ khoét
Miệng khoang hoặc các lỗ khoét khác ở boong tính toán hoặc boong chịu lực phải có góc lượn và phải có biện pháp bồi thường thích đáng.
15.2.5. Mép boong lượn
Mép boong lượn, nếu được sử dụng, phải có bán kính lượn đủ lớn tùy theo chiều dày của nó.
15.3. Diện tích tiết diện hiệu dụng của boong tính toán
15.3.1. Định nghĩa
Diện tích tiết diện hiệu dụng của boong tính toán là diện tích tiết diện ở mỗi bên mạn tàu của tôn boong, xà dọc boong, sống dọc boong, v.v..., kéo dài trên đoạn 0,5L giữa tàu.
15.3.2. Diện tích tiết diện hiệu dụng của boong tính toán
1. Diện tích tiết diện hiệu dụng ở đoạn giữa của các tàu mà mô đun chống uốn của tiết diện ngang thân tàu được qui định ở Chương 13, phải được xác định thỏa mãn các yêu cầu của Chương 13.
2. Ra ngoài đoạn giữa tàu, diện tích tiết diện hiệu dụng của boong tính toán có thể được giảm dần nhỏ hơn trị số tại hai mút của đoạn giữa tàu. Tuy nhiên, các trị số ở vị trí 0,15L tương ứng kể từ mút trước và mút sau của L, phải không nhỏ hơn 0,4 lần trị số ở điểm giữa của L, nếu tàu có buồng máy ở đoạn giữa tàu và không nhỏ hơn 0,5 lần trị số ở điểm giữa của L, nếu tàu có buồng máy ở đuôi tàu.
3. Nếu mô đun chống uốn của tiết diện ngang thân tàu ở ngoài đoạn giữa tàu lớn hơn trị số đã được Đăng kiểm xét duyệt thì những yêu cầu của mệnh đề bổ sung của -2 có thể không cần phải áp dụng.
15.3.3. Boong tính toán ở ngoài các vùng 0,15L tính từ mỗi mút tàu
Ở ngoài các vùng 0,15L tính từ mỗi mút tàu diện tích tiết diện hiệu dụng của boong tính toán và chiều dày tôn boong tính toán có thể được giảm dần tránh sự thay đổi đột ngột.
15.3.4. Diện tích tiết diện hiệu dụng của boong tính toán trong thượng tầng đuôi dài
Mặc dù các yêu cầu ở 15.3.2, diện tích tiết diện hiệu dụng của boong tính toán trong thượng tầng đuôi dài có thể được thay đổi thích hợp.
15.3.5. Boong nằm trong phạm vi của thượng tầng khi boong thượng tầng được thiết kế là boong tính toán
Nếu boong thượng tầng được thiết kế làm boong tính toán thì tôn boong tính toán ở ngoài thượng tầng phải được kéo dài vào phía trong thượng tầng một đoạn khoảng 0,05L mà không giảm diện tích tiết diện hiệu dụng của boong và sau đó có thể được giảm dần khi đi vào phía trong.
15.4. Tôn boong
15.4.1. Chiều dày của tôn boong
1. Chiều dày của tôn boong phải không nhỏ hơn trị số tính theo các qui định (1) và (2) sau đây. Trong các không gian kín như thượng tầng, lầu,v.v..., chiều dày của tôn boong có thể được giảm 1 mi-li-mét so với trị số tính theo công thức này :
(1) Chiều dầy của tôn boong tính toán :
(a) Phía ngoài vùng đường miệng khoét ở đoạn giữa tàu có xà dọc boong :

Trong đó:
S : Khoảng cách giữa các xà dọc boong (m).
h : Tải trọng boong qui định ở 15.1 (kN/m2).
(b) Phía ngoài vùng đường miệng khoét ở đoạn giữa tàu có xà ngang boong :

Trong đó:
S: Khoảng cách giữa các xà ngang boong (m).
h : Tải trọng boong qui định ở 15.1 (kN/m2).
(c) Ở các vùng khác ngoài các vùng qui định ở (a) và (b):

Trong đó:
S: Khoảng cách giữa các xà dọc hoặc xà ngang (m).
h : Tải trong boong qui định ở 15.1 (kN/m2).
(2) Chiều dày tôn boong không phải là boong tính toán :

Trong đó:
S và A : Như qui định ở (1) (c).
2. Nếu các vùng giữa các đường miệng khoét lớn kết cấu theo hệ thống dọc thì phải quan tâm thích đáng đến biện pháp chống mất ổn định cho tôn boong.
15.4.2. Tôn boong tạo thành nóc két
Chiều dày của tôn boong tạo thành nóc két phải không nhỏ hơn trị số yêu cầu ở 12.2.2 cho vách của két sâu với khoảng cách của xà boong là khoảng cách nẹp.
15.4.3. Tôn boong tạo thành hõm vách
Chiều dày của tôn boong tạo thành nóc hầm trục, nóc hõm ổ chặn hoặc hõm vách phải không nhỏ hơn trị số yêu cầu ở 11.2.7-2.
15.4.4. Tôn boong dưới nồi hơi và tôn boong dưới hàng đông lạnh
1. Chiều dày của tôn boong ở dưới nồi hơi phải được tăng 3 mi-li-mét so với chiều dày qui định ở trên.
2. Chiều dày của tôn boong dưới hàng đông lạnh phải được tăng 1 mi-li-mét so với chiều dày bình thường. Nếu có phương tiện bảo vệ chống han gỉ thì chiều dày tôn boong đó không cần phải tăng.
15.4.5. Chiều dày của tôn boong chịu tải trọng từ xe có bánh
Chiều dày của tôn boong chịu tải trọng từ xe có bánh phải được xác định theo tải trọng tập trung từ xe có bánh.
CHƯƠNG 16 THƯỢNG TẦNG VÀ LẦU
16.1. Qui định chung
16.1.1. Phạm vi áp dụng
1. Tàu phải có thượng tầng mũi, trừ trường hợp mạn khô mũi tàu được Đăng kiểm thừa nhận là đủ.
2. Kết cấu và kích thước cơ cấu thượng tầng và lầu phải thỏa mãn những yêu cầu của Chương này và các qui định khác có liên quan.
3. Các yêu cầu ở Chương này được áp dụng cho các thượng tầng và lầu đến tầng 3 phía trên boong mạn khô. Kết cấu và kích thước cơ cấu của các thượng tầng và lầu phía trên tầng 3 phải được Đăng kiểm xem xét và quyết định.
4. Với những thượng tầng và lầu của những tàu có mạn khô quá lớn, kết cấu của các vách có thể được thay đổi thích hợp theo sự thỏa thuận với Đăng kiểm.
16.2. Kết cấu và kích thước cơ cấu
16.2.1. Cột áp h
1. Cột áp để tính toán kích thước cơ cấu của vách mút thượng tầng và vách biên lầu phải không nhỏ hơn trị số tính theo công thức sau đây :
| ac(0,067bL - y) | (m) |
Trong đó :
a : Được cho theo các công thức sau đây :

x: Khoảng cách từ vách mút của thượng tầng hoặc từ vách mút của lầu đến đường vuông góc đuôi, hoặc khoảng cách từ trung điểm của vách bên của lầu đến đường vuông góc đuôi (m). Tuy nhiên, nếu chiều dài của vách bên của lầu lớn hơn 0,15L thì vách bên đó phải được chia thành những đoạn gần bằng nhau có chiều dài không lớn hơn 0,15L và khoảng cách từ trung điểm của mỗi đoạn được chia đến đường vuông góc đuôi sẽ được sử dụng cho đoạn đó.

b’: Chiều rộng của lầu tại vị trí đang xét (m).
B’: Chiều rộng của tàu trên boong lộ, tại vị trí đang xét (m).
y : Khoảng cách thẳng đứng từ đường nước thiết kế cực đại đến trung điểm của nhịp nẹp, nếu cần xác định kích thước của nẹp và đến trung điểm của tấm tôn nếu cần xác định chiều dày của tấm tôn vách của thượng tầng hoặc vách biên của lầu (m).
2. Cột áp dùng để tính toán kích thước cơ cấu của vách mút thượng tầng và của vách biên của lầu cũng phải không nhỏ hơn trị số tính theo Bảng 2B/16.1:
Bảng 2B/16.1 Trị số cột áp h
|
| Vách trước lộ của thượng tầng | Các vách khác |
| L nhỏ hơn 50 m | 3,0 (m) | 1,5 (m) |
| L bằng và lớn hơn 50 m |
|
|
16.2.2. Chiều dày của tôn vách
1. Chiều dày của tôn vách trước không được bảo vệ của thượng tầng và vách bên của lầu tầng một và tầng hai của tàu có chiều dài không nhỏ hơn 50 mét phải không nhỏ hơn trị số tính theo công thức sau đây, tuy nhiên, cũng phải không nhỏ hơn trị số tính theo công thức ở -2.

Trong đó:
h: Cột áp qui định ở 16.2.1 (m).
S : Khoảng cách các nẹp (m).
2. Chiều dày tôn vách của thượng tầng và lầu chưa được qui định ở -1 phải không nhỏ hơn trị số tính theo công thức sau đây:

16.2.3. Nẹp
1. Mô đun chống uốn của tiết diện nẹp ở các vách mút của thượng tầng và vách biên của lầu phải không nhỏ hơn trị số tính theo công thức sau đây :
| 3,5Shl2 | (cm3) |
Trong đó :
S: Khoảng cách nẹp (m).
h: Như qui định ở 16.2.1.
l : Chiều cao nội boong (m). Tuy nhiên nếu l nhỏ hơn 2,0 mét thì phải lấy bằng 2,0 mét.
2. Ở vách lộ của thượng tầng và vách biên của lầu, cả hai mút nẹp phải được hàn với tôn boong, trừ trường hợp được sự chấp nhận của Đăng kiểm.
16.3. Các phương tiện đóng mở các lối ra vào
16.3.1. Các phương tiện đóng mở các lối ra vào
1. Các cửa ở các lối ra vào ở các vách trước và sau của thượng tầng kín và của lầu bảo vệ các lối đi dẫn xuống không gian dưới boong mạn khô hoặc không gian trong thượng tầng kín phải thỏa mãn các yêu cầu từ (1) đến (5) sau đây :
(1) Cửa phải bằng thép hoặc một loại vật liệu tương đương khác và phải được gắn chắc thường xuyên vào vách.
(2) Cửa phải được kết cấu chắc chắn, phải có độ bền tương đương với vách nguyên vẹn và phải đảm bảo kín thời tiết khi đóng.
(3) Phương tiện đảm bảo kín nước phải gồm có vòng đệm và thiết bị xiết hoặc những thiết bị tương đương và phải được gắn thường xuyên vào vách hoặc vào cửa.
(4) Cửa phải có thể thao tác đóng mở từ cả hai phía của vách.
(5) Cửa bản lề phải được mở ra phía ngoài.
2. Chiều cao của ngưỡng cửa qui định ở -1 phải không nhỏ hơn 380 mi-li-mét tính từ mặt trên của boong, trừ trường hợp mà Đăng kiểm thấy ngưỡng cửa cần phải có chiều cao lớn hơn.
CHƯƠNG 17 MIỆNG KHOANG, MIỆNG BUỒNG MÁY VÀ CÁC LỖ KHOÉT KHÁC Ở BOONG
17.1. Qui định chung
17.1.1. Miễn giảm so với các yêu cầu
Những tàu có mạn khô rất lớn có thể được xem xét riêng biệt để miễn giảm các yêu cầu của Chương này.
17.1.2. Vị trí của các miệng khoét ở boong lộ
Trong Chương này, hai vị trí miệng khoét ở boong lộ được định nghĩa như sau:
Vị trí I: Ở boong mạn khô lộ, boong nâng đuôi lộ và boong thượng tầng lộ ở phạm vi vùng 0,25 Lf mũi tàu.
Vị trí II: Ở boong thượng tầng lộ phía sau của vùng 0,25 Lf mũi tàu.
17.2. Miệng khoang
17.2.1. Phạm vi áp dụng
Kết cấu và phương tiện đóng mở của miệng khoang hàng và các miệng khoang khác phải thỏa mãn các yêu cầu của 17.2.
17.2.2. Chiều cao của thành miệng khoang
1. Chiều cao của thành miệng khoang tính từ mặt trên của boong ít nhất phải bằng 600 mi-li-mét đối với vị trí I và 450 mi-li-mét đối với vị trí II.
2. Với những miệng khoang được đóng mở bằng nắp thép kín nước qui định ở 17.2.7, chiều cao của thành miệng khoang có thể được giảm so với qui định ở -1 hoặc nếu được Đăng kiểm chấp thuận có thể hoàn toàn không có thành miệng khoang.
3. Chiều cao của thành miệng khoang không ở vùng lộ của boong mạn khô hoặc boong thượng tầng phải được Đăng kiểm chấp thuận có xét đến vị trí của miệng khoang và mức độ bảo vệ.
17.2.3. Kết cấu của thành miệng khoang
1. Chiều dày của thành miệng khoang phải không nhỏ hơn các trị số tính theo công thức sau đây:
| 6 + 0,05 L | (mm) |
2. Những thành miệng khoang ở vị trí I hoặc những thành miệng khoang ở vị trí II có chiều cao bằng và lớn hơn 760 mi-li-mét phải được gia cường bằng một nẹp gia cường nằm ngang đặt ở một vị trí thích hợp dưới mép trên của thành. Chiều rộng của nẹp gia cường nằm ngang này phải không nhỏ hơn trị số tính theo công thức sau, nhưng không cần lớn hơn 180 mi-li-mét.
| 50 + 1,7L | (mm) |
3. Thành miệng khoang còn phải được gia cường bổ sung bằng các mã hoặc các nẹp đứng thích hợp đặt trong vùng từ nẹp gia cường nằm ngang qui định ở -2 đến boong cách nhau khoảng 3 mét.
4. Ở mép trên, thành của những miệng khoang lộ phải được gia cường bằng một thanh thép có tiết diện nửa tròn hoặc tiết diện tương đương. Mép dưới của thành miệng khoang phải được bẻ mép hoặc có kết cấu thích hợp khác.
5. Với những miệng khoét nhỏ, kết cấu và kích thước của thành có thể được thay đổi so với yêu cầu ở từ -1 đến -4.
6. Kết cấu và kích thước của các thành miệng khoang có chiều cao lớn hơn 900 mi-li-mét, của thành miệng két sâu và những thành miệng khoang đóng mở bằng những thiết bị có kiểu đặc biệt không thỏa mãn các yêu cầu ở 17.2.3 phải được Đăng kiểm chấp thuận.
17.2.4. Xà tháo lắp, nắp miệng khoang, nắp thép hình hộp, nắp thép chịu thời tiết
1. Kích thước nẹp của nắp miệng khoang bằng thép, của nắp thép hình hộp và của nắp thép chịu thời tiết tựa đơn giản lên thành miệng khoang chịu tải trọng phân bố đều (từ sau đây gọi là nắp miệng khoang bằng thép) và của xà tháo lắp phải thỏa mãn các yêu cầu ở (1) và (2) sau đây. Nếu điều kiện chịu tải hoặc kiểu kết cấu khác với qui định ở trên thì phương pháp tính toán phải được Đăng kiểm chấp thuận.
(1) Kích thước nẹp của nắp miệng khoang bằng thép và của xà tháo lắp ở vị trí lộ phải không nhỏ hơn trị số tính theo công thức sau đây. Với nắp miệng khoang bằng thép thì S và l được thay tương ứng bằng b và S:
Mô đun chống uốn của tiết diện ở giữa nhịp xà hoặc nẹp :
| C1K’ k1Shl2 | (cm3) |
Mô men quán tính của tiết diện ở giữa nhịp xà hoặc nẹp :
| C2k2Shl3 | (cm4) |
Diện tích tiết diện bản thành ở các mút xà hoặc mút nẹp :
| C3K’ Shl | (cm2) |
Trong đó :
S : Khoảng cách giữa các xà tháo lắp hoặc các nẹp (m).
l : Nhịp tự do của xà tháo lắp hoặc của nẹp (m).
b : Chiều rộng của nắp miệng khoang bằng thép (m).
C1, C2 và C3 : Được cho ở Bảng 2-B/17.1.
h: Tải trọng sóng giả định tính theo Bảng 2-B/17.2 (KN/m2).
Bảng 2-B/17.1 Các hệ số C1, C2 và C3
|
| C1 | C2 | C3 |
| Xà tháo lắp và nắp thép hình hộp | 1,57 | 2,88 | 0,073* |
| Nắp miệng khoang bằng thép, nắp thép chịu thời tiết | 1,33 | 2,26 | |
| (*) : Không áp dụng cho nắp miệng khoang bằng thép. | |||
Bảng 2-B/17.2 Tải trọng sóng giả định h
|
| Tải trọng sóng giả định h (kN/m2) | |
| (D - d) > F | (D - d) ≤ F | |
| Ở vị trí I | 9,81(0,75 Lf + 58) / 76 | 9,81(0,75 Lf + 58) / 68 |
| Ở vị trí II | 9,81(0,55Lf + 43,8) / 76 | 9,81(0,55Lf + 43,8) / 76 |
Chú thích :
(1) F là trị số tính theo công thức sau : 0,023Lf - 1,15 (m)
(2) Đối với những miệng khoang lộ không ở vị trí I hoặc II, trị số của tải trọng sóng giả định sẽ được thay đổi thích hợp.
k1 và k2: Các hệ số được tính theo các công thức cho ở Bảng 2-B/17.3.
K’: Hệ số được cho ở Bảng 2-B/17.4 tùy thuộc vào loại thép.
Bảng 2-B/17.3 Các hệ số k1 và k2
| k1 |
| phải không nhỏ hơn 1,0
|
| k2 |
|
l :Chiều dài toàn bộ của xà tháo lắp (m).
l1 : Khoảng cách từ mút của đoạn hình trụ đến mút của xà tháo lắp (m).
I0 : Mô men quán tính của tiết diện giữa xà tháo lắp (cm4).
I1 : Mô men quán tính của tiết diện mút của xà tháo lắp (cm4).
Z0 : Mô đun chống uốn của tiết diện giữa xà tháo lắp (cm3).
Z1 : Mô đun chống uốn của tiết diện mút xà tháo lắp (cm3).

Bảng 2-B/17.4 Hệ số K’
| Loại thép | Thép thường | HT 32 | HT 36 |
| K’ | 1 | 0,91 | 0,82 |
(2) Kích thước của nẹp nắp miệng khoang bằng thép và của xà tháo lắp dùng để xếp hàng hóa phải không nhỏ hơn trị số tính theo công thức sau đây. Với nắp miệng khoang bằng thép S và l được thay tương ứng bằng b và S.
Mô đun chống uốn của tiết diện ở giữa nhịp xà tháo lắp hoặc nẹp :
| C1 Kk1 Shl2 | (cm3) |
Mô men quán tính của tiết diện ở giữa nhịp xà tháo lắp hoặc nẹp :
| C2 k2 Shl3 | (cm4) |
Diện tích tiết diện bản thành ở các mút của xà tháo lắp hoặc nẹp :
| C3 KShl | (cm2) |
Trong đó :
S, l, b, k1 và k2 : Như qui định ở (1).
C1, C2 và C3: Các hệ số được cho ở Bảng 2-B/17.5.
Bảng 2-B/17.5 Các hệ số C1, C2 và C3
| C1 | C2 | C3 |
| 1,07 | 1,81 | 0,064* |
* : Không áp dụng cho nắp miệng khoang bằng thép.
h : Tải trọng giả định do tác dụng của hàng hóa được cho ở (a) hoặc (b) sau đây :
(a) h phải tương đương với tiêu chuẩn bằng bảy lần chiều cao từ mặt trên của nắp miệng khoang đến boong phía trên đo ở mạn của khoang (m) hoặc bảy lần chiều cao từ boong đang xét đến mép trên của thành miệng khoang của boong phía trên (m). Tuy nhiên, h có thể được lấy bằng trọng lượng tối đa của hàng hóa trên một đơn vị diện tích của nắp miệng khoang (kN/m2). Trong trường hợp này trị số của h phải được xác định bằng cách xem xét chiều cao xếp hàng.
(b) Nếu hàng hóa được xếp lên nắp miệng khoang ở boong thời tiết thì h phải bằng trọng lượng tối đa của hàng hóa trên một đơn vị diện tích nắp miệng khoang (kN/m2).
K : Hệ số được cho ở Bảng 2-B/17.6 tùy thuộc vào loại thép.
Bảng 2-B/17.6 Hệ số K
| Loại thép | Thép thường | HT 32 | HT 36 |
| K | 1 | 0,78 | 0,72 |
2. Chiều dày của tôn nóc nắp miệng khoang bằng thép phải thỏa mãn các yêu cầu từ (1) đến (3) sau đây :
(1) Đối với nắp miệng khoang ở vị trí lộ chiều dày tôn nóc phải không nhỏ hơn 0,01 khoảng cách nẹp, nhưng trong mọi trường hợp phải không nhỏ hơn 6 mi-li-mét.
(2) Đối với nắp miệng khoang bằng thép dùng để xếp hàng hóa, chiều dày của tôn nóc phải không nhỏ hơn trị số tính theo (1) hoặc công thức sau đây lấy trị số nào lớn hơn :

Trong đó :
S: Khoảng cách các nẹp (m).
h: Tải trong giả định do tác dụng của hàng hóa qui định ở 17.2.4-1 (2) (kN/m2).
K: Hệ số được cho ở Bảng 2-B/17.6.
(3) Nắp miệng khoang bằng thép phải đảm bảo ổn định do nén.
3. Chiều dày tối thiểu của nắp gỗ phải không nhỏ hơn trị số tính theo công thức sau đây, nhưng trong mọi trường hợp phải không nhỏ hơn 60 mi-li-mét.

Trong đó :
S: Khoảng cách giữa các xà tháo lắp (m).
h: Tải trọng tính từ công thức cho ở Bảng 2-B/17.2 nếu ở vùng lộ và cho ở 17.2.4-1 (2) nếu dùng để xếp hàng. Nếu h không lớn hơn 17,5 kN/m2 thì phải được lấy bằng 17,5 kN/m2.
17.2.5. Những yêu cầu đặc biệt đối với xà tháo lắp, nắp miệng khoang, nắp thép hình hộp và nắp thép chịu thời tiết
1. Xà tháo lắp phải thỏa mãn các yêu cầu từ (1) đến (7):
(1) Đầu kẹp và ổ để lắp xà phải có kết cấu chắc chắn, chiều rộng mặt tựa ít nhất phải bằng 75 mi-li-mét. Phải có phương tiện hữu hiệu để đặt và cố định xà.
(2) Từ chỗ đặt đầu kẹp và ổ đến boong, thành miệng khoang phải được gia cường bằng nẹp hoặc bằng một biện pháp tương đương.
(3) Nếu dùng những xà trượt thì phải có biện pháp để đảm bảo cho xà giữ nguyên vị trí khi miệng khoang đã được đóng.
(4) Chiều cao tiết diện xà và chiều rộng của bản mép của xà phải sao cho xà không bị mất ổn định ngang. Chiều cao của tiết diện mút xà phải không nhỏ hơn 0,4 lần chiều cao tiết diện giữa xà hoặc 150 mi-li-mét, lấy trị số nào lớn hơn.
(5) Bản mép ở mép trên của xà tháo lắp phải được kéo ra đến tận mút xà. Trên các đoạn dài ít nhất là 180 mi-li-mét ở mỗi mút xà chiều dày của bản thành phải được tăng gấp hai lần so với chiều dày bản thành ở giữa nhịp xà hoặc phải được gia cường bằng tấm kép.
(6) Xà tháo lắp phải có chi tiết để có thể tháo và lắp mà không cần phải tác động trực tiếp đến xà.
(7) Xà tháo lắp phải được đánh dấu rõ ràng chỉ rõ boong, miệng khoang và vị trí lắp đặt xà.
2. Nắp miệng khoang phải thỏa mãn các yêu cầu từ (1) đến (5) sau đây :
(1) Mặt tựa phải rộng ít nhất là 65 mi-li-mét và nếu cần thì phải vát phù hợp với độ dốc của miệng khoang.
(2) Nắp miệng khoang phải có móc nâng tùy thuộc trọng lượng và kích thước của nắp, trừ khi theo kết cấu móc nâng là không cần thiết.
(3) Nắp miệng khoang phải được đánh dấu rõ ràng chỉ rõ boong, miệng khoang và vị trí đặt nắp.
(4) Gỗ dùng làm nắp miệng khoang phải có chất lượng tốt, thớ thẳng, không có mấu, hốc và nứt.
(5) Các mút của nắp gỗ phải được bảo vệ bằng vòng đai thép.
3. Nắp thép hình hộp phải thỏa mãn các yêu cầu từ (1) đến (3) sau đây :
(1) Chiều cao tiết diện của nắp thép hình hộp tại đế phải không nhỏ hơn 1/3 chiều cao tiết diện tại giữa nhịp hoặc không nhỏ hơn 150 mi-li-mét lấy trị số nào lớn hơn.
(2) Chiều rộng mặt tựa của nắp thép hình hộp phải không nhỏ hơn 75 mi-li-mét.
(3) Nắp phải được đánh dấu rõ ràng chỉ rõ boong, miệng khoang và vị trí đặt nắp.
4. Nắp thép chịu thời tiết phải thỏa mãn các yêu cầu từ (1) đến (3) sau đây :
(1) Chiều cao tiết diện nắp thép chịu thời tiết tại đế phải không nhỏ hơn 1/3 chiều cao tiết diện nắp tại giữa nhịp hoặc 150 mi-li-mét, lấy trị số nào lớn hơn.
(2) Độ bền và thiết bị đóng những nắp nhỏ hoặc những nắp chịu thời tiết thuộc loại đặc biệt mà không thể thỏa mãn được các yêu cầu ở (1) và ở 17.2.4, độ bền và thiết bị đóng các nắp của những miệng khoang không có thành nói ở 17.2.2-2, phải được xem xét đặc biệt.
(3) Các phương tiện cố định và đảm bảo tính chịu thời tiết phải được Đăng kiểm chấp thuận. Các phương tiện đó phải đảm bảo được yêu cầu chịu thời tiết trong bất kỳ điều kiện nào của biển.
17.2.6. Bạt và các thiết bị cố định dùng cho miệng khoang đóng bằng nắp tháo lắp
1. Ít nhất phải có hai lớp bạt cấp A thỏa mãn các yêu cầu của Chương 6 Phần 7-B cho mỗi miệng khoang lộ ở boong mạn khô hoặc boong thượng tầng và ít nhất là 1 lớp bạt như vậy cho mỗi miệng khoang lộ ở các vùng khác.
2. Các thanh chèn bạt phải đủ để cố định bạt và phải có chiều rộng không nhỏ hơn 65 mi-li-mét, chiều dày không nhỏ hơn 9 mi-li-mét.
3. Nêm phải bằng gỗ cứng hoặc bằng vật liệu tương đương khác. Nêm phải có độ vát không lớn hơn 1/6. Mũi nêm phải có chiều dày không nhỏ hơn 13 mi-li-mét.
4. Ổ nêm phải được đặt theo độ vát của nêm, phải có chiều rộng ít nhất bằng 65 mi-li-mét, phải được đặt cách nhau không xa quá 600 mi-li-mét, tính từ tâm nọ đến tâm kia. Ổ nêm ở mỗi bên phải được đặt cách góc miệng khoang không xa quá 150 mi-li-mét.
5. Đối với các miệng khoét ở vùng lộ của boong mạn khô và boong thượng tầng, phải có những thanh thép hoặc những phương tiện tương đương để cố định chắc chắn mỗi miếng nắp miệng khoang khi đã được phủ bạt. Những nắp miệng khoang có chiều dài lớn hơn 1,5 mét phải được cố định bằng ít nhất là hai thanh thép như vậy. Các miệng khoang khác ở vùng lộ của boong thời tiết phải có bu lông vòng hoặc các phương tiện chằng buộc khác.
17.2.7. Nắp thép của miệng két sâu
Nắp thép của miệng két sâu phải thỏa mãn các yêu cầu sau đây :
(1) Thêm vào những yêu cầu đối với nắp thép chịu thời tiết, kích thước của kết cấu nắp miệng két sâu còn phải không nhỏ hơn kích thước yêu cầu đối với kết cấu nóc két sâu.
(2) Các phương tiện để cố định và đảm bảo tính kín dầu kín nước phải được Đăng kiểm xét duyệt.
17.3. Miệng buồng máy
17.3.1. Bảo vệ miệng buồng máy
Miệng buồng máy phải được bảo vệ bằng vách quây bằng thép.
17.3.2. Vách quây lộ của miệng buồng máy
1. Vách quây lộ của miệng buồng máy phải có kích thước không nhỏ hơn kích thước qui định ở 16.2.1 và 16.2.2 với c được lấy bằng 1,0.
2. Chiều dày tôn đỉnh của vách quây lộ của miệng buồng máy phải không nhỏ hơn trị số tính theo các công thức sau đây:
| Vị trí I: | 6,3S + 2,5 | (mm) |
| Vị trí II: | 6,0S + 2,5 | (mm) |
Trong đó :
S: Khoảng cách giữa các nẹp (m).
17.3.3. Vách quây miệng buồng máy ở dưới boong mạn khô hoặc trong không gian kín
Kích thước cơ cấu của vách quây miệng buồng máy ở dưới boong mạn khô hoặc ở trong thượng tầng kín và lầu kín phải thỏa mãn các yêu cầu sau đây:
(1) Chiều dày tôn phải không nhỏ hơn 6,5 mi-li-mét. Nếu khoảng cách nẹp lớn hơn 760 mi-li-mét thì chiều dày tôn phải tăng với tỷ lệ 0,5 mi-li-mét cho mỗi lượng tăng 100 mi-li-mét của khoảng cách nẹp. Trong không gian sinh hoạt chiều dày tôn có thể được giảm 2 mi-li-mét.
(2) Mô đun chống uốn của tiết diện nẹp phải không nhỏ hơn trị số tính theo công thức sau đây :
| 1,2Sl3 | (cm3) |
Trong đó :
l : Chiều cao nội boong (m).
S: Khoảng cách giữa các nẹp (m).
17.3.4. Cửa vào buồng máy
1. Các cửa vào buồng máy phải cố gắng đặt ở vị trí được bảo vệ và phải có cánh cửa bằng thép, có thể đóng và cố định được từ cả hai phía. Ở vách quây lộ ở boong mạn khô, cánh cửa phải thỏa mãn các yêu cầu ở 16.3.1-1.
2. Chiều cao của ngưỡng cửa ở vách quây phải không nhỏ hơn 600 mi-li-mét tính từ mặt trên của boong ở vị trí I và không nhỏ hơn 380 mi-li-mét ở vị trí II.
3. Ở những tàu có mạn khô giảm, cửa vào ở vách quây lộ ở boong mạn khô hoặc boong đuôi nâng phải dẫn vào những không gian hoặc hành lang có độ bền tương đương với độ bền của vách quây và tách biệt với cầu thang vào buồng máy bởi một cửa thứ hai bằng thép và kín thời tiết, có chiều cao ngưỡng ít nhất bằng 230 mi-li-mét.
17.3.5. Các lỗ khoét khác ở vách quây miệng buồng máy
1. Thành ống khói, ống thông gió buồng máy ở vị trí lộ của boong mạn khô hoặc boong thượng tầng phải cố gắng cao hơn mặt boong.
2. Ở vị trí lộ của boong thượng tầng và boong mạn khô các lỗ khoét ở thành ống khói và các lỗ khoét khác ở vách quây miệng buồng máy phải có nắp cứng bằng thép, chịu thời tiết và thường xuyên đặt ở vị trí thích hợp.
3. Vành không gian quanh ống khói và tất cả các lỗ khoét ở vách quây miệng buồng máy phải có thiết bị đóng có thể thao tác từ phía ngoài buồng máy trong trường hợp hỏa hoạn.
17.3.6. Vách quây miệng buồng máy ở thượng tầng hở và lầu hở
Vách quây miệng buồng máy ở thượng tầng hở và lầu hở và các cửa ở vách quây đó phải có kết cấu được Đăng kiểm chấp thuận, có xét đến mức độ bảo vệ tạo bởi thượng tầng hoặc lầu.
17.4. Miệng khoét ở chòi và các miệng khoét khác ở boong
17.4.1. Lỗ chui và lỗ thông sáng
Lỗ chui và lỗ thông sáng trong vùng lộ của boong mạn khô và boong thượng tầng hoặc trong những thượng tầng không phải là thượng tầng kín phải được đóng bằng nắp thép kín nước. Các nắp đó phải được cố định bằng những bu lông đặt gần nhau hoặc phải được lắp thường xuyên vào lỗ khoét.
17.4.2. Chòi boong
1. Các lối vào ở boong mạn khô phải được bảo vệ bằng thượng tầng kín, hoặc bằng lầu hoặc chòi có độ bền tương đương và chịu thời tiết.
2. Các lối vào ở boong thượng tầng lộ hoặc ở boong lầu trên boong mạn khô, dẫn vào không gian ở dưới boong mạn khô hoặc dẫn vào không gian trong thượng tầng kín phải được bảo vệ hữu hiệu bằng lầu hoặc bằng chòi boong.
3. Cửa vào các lầu hoặc chòi boong nêu ở -1 và -2 phải có cánh cửa thỏa mãn các yêu cầu ở 16.3.1-1.
4. Ngưỡng cửa của các lối vào qui định ở từ -1 đến -3 phải có chiều cao không nhỏ hơn 600 mi-li-mét tính từ mặt trên của boong ở vị trí I và không nhỏ hơn 380 mi-li-mét tính từ mặt trên của boong ở vị trí II.
17.4.3. Lỗ khoét vào không gian hàng hóa
Lối vào và các lỗ khoét khác vào không gian hàng hóa phải có các phương tiện đóng thao tác được từ phía ngoài của không gian đó trong trường hợp có hỏa hoạn. Nếu các lối vào và lỗ khoét dẫn vào bất kỳ không gian nào khác ở trong tàu thì các phương tiện đóng nói trên phải bằng thép.
CHƯƠNG 18 BUỒNG MÁY, BUỒNG NỒI HƠI, HẦM TRỤC VÀ HÕM HẦM TRỤC
18.1. Qui định chung
18.1.1. Phạm vi áp dụng
Kết cấu của buồng máy phải thỏa mãn Chương này và các qui định khác có liên quan.
18.1.2. Kết cấu
Buồng máy phải được gia cường thích đáng bằng những sườn khỏe, xà khỏe, cột hoặc bằng những biện pháp kết cấu khác.
18.1.3. Các kết cấu đỡ máy, hệ trục,v.v...
Các bộ phận của máy, hệ trục,v.v..., phải được đỡ chắc chắn và các kết cấu kề cận phải được gia cường thích đáng.
18.1.4. Tàu hai chân vịt và tàu có công suất máy lớn
Ở những tàu có hai chân vịt và những tàu có công suất máy lớn, kết cấu và liên kết của bệ máy phải được gia cường đặc biệt theo tỉ lệ chiều cao của máy trên chiều dài hoặc chiều rộng, trọng lượng, công suất của máy và theo loại máy.
18.2. Bệ máy chính
18.2.1. Tàu đáy đơn
1. Ở cầu đáy đơn, máy chính phải được đặt trên những tấm bệ dày đặt ngang qua cạnh trên của đà ngang đáy thành cao hoặc trên những sống bệ lớn được gắn mã, được gia cường và có đủ độ bền tỉ lệ với công suất và kích thước của máy.
2. Tấm sống của bệ máy phải được đặt dưới hàng bu lông chính cửa máy chính và bu lông phải đi xuyên qua tấm mặt của sống bệ máy.
3. Ở những tàu mà máy được đặt theo đường tâm tàu, nếu các sống dọc được đặt dưới máy và khoảng cách các sống dọc đó không lớn lắm thì có thể không cần phải đặt sống chính của đáy tàu.
18.2.2. Tàu đáy đôi
1. Ở tàu đáy đôi máy chính phải được đặt trực tiếp lên tôn đáy trên dày hoặc lên tấm bệ dày ở cạnh trên của tấm sống bệ để phân bố hữu hiệu trọng lượng của máy.
2. Các sống phụ bổ sung phải được đặt trong đáy đôi ở phía dưới của hàng bu lông chính hoặc ở những vị trí thích hợp khác để đảm bảo phân bố tốt trọng lượng và độ cứng của kết cấu.
18.3. Kết cấu buồng nồi hơi
18.3.1. Bệ nồi hơi
1. Nồi hơi phải được đặt lên những đà ngang thành cao hình yên ngựa, hoặc lên những sống ngang hoặc lên những sống dọc, được bố trí sao cho phân bố tốt trọng lượng của nồi hơi.
2. Nếu nồi hơi được đặt lên những đế yên ngựa ngang hoặc lên những sống ngang thì các đà ngang đáy dưới đó phải được gia cường đặc biệt.
18.3.2. Vị trí của nồi hơi
Nồi hơi phải được bố trí sao cho đảm bảo dễ tiếp cận và thông gió tốt.
18.3.3. Khoảng cách giữa nồi hơi và các kết cấu lân cận
1. Nồi hơi phải được đặt cách đáy trên,v.v..., ít nhất là 457 mi-li-mét. Nếu khoảng cách đó bắt buộc phải nhỏ thì chiều dày của các cơ cấu lân cận phải được tăng. Khoảng cách đó phải được ghi trong các bản vẽ để trình duyệt.
2. Các vách khoang và boong phải cách xa nồi hơi và ống thông hơi hoặc phải được cách li thích đáng.
3. Ván lát ở vách lân cận với nồi hơi phải được đặt đảm bảo một khoảng cách thích đáng.
18.4. Ổ chặn và bệ ổ chặn
18.4.1. Bệ ổ chặn
Ổ chặn phải được bắt bu lông với bệ có kết cấu chắc chắn. Bệ phải được kéo dài ra ngoài ổ chặn và phải được bố trí sao cho phân bố hiệu quả lực tác dụng từ ổ chặn lên các kết cấu kề cận.
18.4.2. Kết cấu dưới bệ ổ chặn
Ở vùng bệ ổ chặn cần phải đặt sống bổ sung nếu cần.
18.5. Bệ ổ đỡ và bệ máy phụ
18.5.1. Qui định chung
Bệ ổ đỡ và bệ máy phụ phải có độ bền và độ cứng tỉ lệ với trọng lượng phải đỡ và với chiều cao của bệ.
18.6. Hầm trục và hõm hầm trục
18.6.1. Bố trí
1. Ở những tàu có buồng máy ở giữa tàu, hệ trục chân vịt phải được đặt trong hầm kín nước có đủ kích thước.
2. Các cửa kín nước phải được đặt ở đầu và cuối hầm trục. Phương tiện để đóng cửa và kết cấu của cửa kín nước phải theo các yêu cầu ở 11.3.
3. Ở những hầm trục có cửa kín nước theo yêu cầu ở -2, phải có lối thoát đặt ở một vị trí thích hợp. Lối thoát phải dẫn lên boong vách hoặc cao hơn nữa.
18.6.2. Tôn vách bên phẳng
Chiều dày của tôn vách bên phẳng của hầm trục phải không nhỏ hơn trị số tính theo công thức :
|
| (mm) |
Trong đó:
S : Khoảng cách giữa các nẹp (m).
h : Khoảng cách thẳng đứng, đo ở giữa chiều dài của mỗi khoang, từ cạnh dưới của tấm tôn đến boong vách ở đường tâm tàu (m).
18.6.3. Tôn nóc phẳng
1. Chiều dày của tôn nóc phẳng của hầm trục hoặc của hõm hầm trục phải không nhỏ hơn trị số tính theo công thức ở 18.6.2, h được lấy bằng chiều cao từ mặt tôn nóc đến boong vách ở đường tâm tàu.
2. Nếu nóc của hầm trục hoặc của hõm hầm trục là một phần của boong thì chiều dày của tôn nóc phải được tăng ít nhất là 1 mi-li-mét so với chiều dày tính theo yêu cầu ở -1, nhưng trong mọi trường hợp không được nhỏ hơn chiều dày tôn boong ở cùng vị trí đó.
18.6.4. Tôn nóc cong và tôn vách bên cong
Chiều dày của tôn nóc cong và của tôn vách bên cong phải được xác định theo các yêu cầu ở 18.6.2 nhưng với khoảng cách nẹp nhỏ hơn 150 mi-li-mét so với khoảng cách thực của các nẹp.
18.6.5. Tôn nóc ở dưới miệng khoang
Tôn nóc ở dưới miệng khoang phải được tăng ít nhất là 2 mi-li-mét hoặc phải được phủ bằng một lớp gỗ có chiều dày không nhỏ hơn 50 mi-li-mét.
18.6.6. Lớp gỗ phủ
Lớp gỗ phủ phải được cố định sao cho đảm bảo độ kín nước của hầm trục khi gỗ bị hàng hóa làm hư hại. Cũng phải quan tâm như vậy nếu trên hầm trục có đặt cầu thang, v.v...
18.6.7. Nẹp
1. Ở nóc và ở vách của hầm trục, nẹp phải được đặt cách nhau không xa quá 915 mi-li-mét.
2. Mô đun chống uốn của tiết diện nẹp phải không nhỏ hơn trị số tính theo công thức sau đây. Nếu nẹp được hàn với tôn và mối nối mút cũng được hàn kín toàn bộ thì mô đun chống uốn này có thể được giảm 10%.
| 4,4Shl2 | (cm3) |
Trong đó :
l : Khoảng cách từ chân của vách bên phẳng đến đỉnh của vách bên phẳng (m).
S : Khoảng cách giữa các nẹp (m).
h : Khoảng cách thẳng đứng, đo ở giữa chiều dài của mỗi khoang, từ trung điểm của l đến boong vách (m).
3. Nếu tỷ số của bán kính của nóc cong của hầm trục chia cho khoảng cách từ đáy đến đỉnh hầm trục là tương đối lớn thì mô đun chống uốn của tiết diện nẹp phải được tăng thích đáng so với qui định ở -2.
4. Nẹp phải được đặt chồng và tán rivê với thép góc viền. Nếu chiều cao tiết diện nẹp lớn hơn 150 mi-li-mét thì chân nẹp phải được liên kết với tôn đáy trên, v.v..., bằng biện pháp hàn tựa.
18.6.8. Kết cấu dưới các cột
Nếu cột được đặt lên hầm trục hoặc lên hõm hầm trục thì phải có biện pháp gia cường cục bộ tỷ lệ với trọng lượng phải đỡ.
18.6.9. Nóc hầm trục hoặc nóc hõm hầm trục tạo thành một phần của boong
Nếu nóc hàm trục hoặc nóc hõm hầm trục tạo thành một phần của boong thì các xà, cột và sống ở dưới các nóc phải có kích thước yêu cầu đối với các cơ cấu tương tự của hõm vách.
18.6.10. Ống thông gió và lối thoát
Ống thông gió và lối thoát ở hầm trục hoặc ở hõm hầm trục phải kín nước cho đến boong vách và phải đủ khỏe để chịu được áp suất mà các kết cấu đó có thể gặp.
18.6.11. Hầm trục trong két nước hoặc két dầu
Hầm trục trong két nước hoặc két dầu phải có kết cấu và độ bền tương đương với kết cấu và độ bền yêu cầu đối với vách của két sâu.
18.6.12. Hầm kín nước
Nếu đặt những hầm kín nước tương tự như hầm trục thì những hầm kín nước đó phải có kết cấu tương tự như kết cấu của hầm trục.
18.6.13. Hầm có dạng cong
Nếu hầm có dạng cong đi qua két sâu thì chiều dày tôn ở vùng đi qua két phải không nhỏ hơn trị số tính theo công thức sau đây :
| 9,1 + 0,134 dth | (mm) |
Trong đó:
dt: Đường kính của hầm (m).
h : Khoảng cách thẳng đứng từ đáy hầm đến trung điểm của khoảng cách từ nóc hầm đến đỉnh ống tràn, hoặc bằng 0,7 lần khoảng cách thẳng đứng từ đáy hầm đến điểm ở 2,0 mét cao hơn đỉnh ống tràn, lấy trị số nào lớn hơn (m).
CHƯƠNG 19 MẠN CHẮN SÓNG, LAN CAN, BỐ TRÍ THOÁT NƯỚC, CỬA HÀNG HÓA VÀ CÁC CỬA TƯƠNG TỰ KHÁC, LỖ KHOÉT Ở MẠN, ỐNG THÔNG GIÓ VÀ CẦU BOONG
19.1. Mạn chắn sóng và lan can
19.1.1. Qui định chung
Mạn chắn sóng và lan can hữu hiệu phải được đặt ở phần lộ của boong mạn khô, của boong thượng tầng và của boong lầu tương tự.
19.1.2. Kích thước
1. Chiều cao của mạn chắn sóng hoặc lan can qui định ở 19.1.1 ít nhất phải bằng 1 mét tính từ mặt trên của boong. Nếu chiều cao đó gây trở ngại cho hoạt động bình thường của tàu thì có thể cho phép một chiều cao nhỏ hơn nếu được Đăng kiểm thừa nhận rằng mức độ bảo vệ là đủ đảm bảo.
2. Khoảng hở dưới thanh thấp nhất của lan can phải không lớn hơn 230 mi-li-mét. Khoảng cách giữa các thanh khác của lan can phải không lớn hơn 380 mi-li-mét.
3. Nếu tàu có mép boong lượn thì cột lan can phải được đặt ở phần phẳng của boong.
19.1.3. Kết cấu
1. Mạn chắn sóng phải được kết cấu vững chắc, cạnh trên phải được gia cường chắc chắn. Chiều dày của tôn mạn chắn sóng ở boong mạn khô ít nhất phải bằng 6 mi-li-mét.
2. Mạn chắn sóng phải được đỡ bằng những nẹp liên kết với boong ở chỗ có xà ngang boong hoặc ở chỗ đã được gia cường chắc chắn. Khoảng cách giữa các nẹp ở boong mạn khô phải không lớn hơn 1,8 mét.
3. Ở những boong chở hàng gỗ, mạn chắn sóng phải được đỡ bằng những nẹp khỏe đặt cách nhau không xa quá 1,5 mét.
19.1.4. Những yêu cầu khác
1. Cửa lên tàu và các lỗ khoét khác ở mạn chắn sóng phải cách xa chỗ ngắt của thượng tầng.
2. Nếu mạn chắn sóng bị cắt để tạo thành các cửa lên tàu hoặc các lỗ khoét khác thì các nẹp ở gần chỗ bị cắt phải được tăng độ bền.
3. Ở chỗ luồn cáp buộc tàu, tôn mạn chắn sóng phải là tấm kép hoặc phải được tăng chiều dày.
4. Ở các mút thượng tầng, thanh mép của mạn chắn sóng phải được liên kết bằng mã với vách mút thượng tầng hoặc với tấm mép boong của thượng tầng, hoặc phải được kết cấu tương đương để tránh sự thay đổi đột ngột của độ bền.
19.2. Bố trí thoát nước
19.2.1. Qui định chung
1. Nếu mạn chắn sóng nằm ở phần chịu tác động của thời tiết của boong mạn khô hoặc boong thượng tầng tạo thành các rãnh tụ nước thì phải có phương tiện để nước thoát nhanh khỏi boong.
2. Phải có những cửa lớn để thoát nước từ những vùng khác mà nước có thể tích tụ.
3. Ở những tàu có thượng tầng mở ở một hoặc hai mút, phải có cửa thoát nước từ không gian trong thượng tầng.
4. Ở những tàu có mạn khô giảm, lan can phải được đặt Ít nhất là trên nửa chiều dài phần lộ của boong thời tiết hoặc phải có những phương tiện thoát nước hữu hiệu khác theo yêu cầu của Đăng kiểm.
19.2.2. Diện tích cửa thoát nước
1. Diện tích cửa thoát nước ở mỗi bên mạn tàu dùng cho mỗi rãnh tụ nước ở boong mạn khô và boong đuôi nâng phải không nhỏ hơn trị số tính theo các công thức sau đây. Diện tích cửa thoát nước dùng cho mỗi rãnh tụ nước ở boong thượng tầng không phải là boong đuôi nâng phải không nhỏ hơn 0,5 lần diện tích tính theo các công thức đó.
| 0,7 + 0,035l + a | (m2) | Nếu l không lớn hơn 20 mét. |
| 0,07l + a | (m2) | Nếu l lớn hơn 20 mét. |
Trong đó :
l : Chiều dài của mạn chắn sóng, nhưng không cần lấy lớn hơn 0,7 Lf (m).
a : Được tính theo các công thức sau đây :
| 0,04l(h - 1,2) | (m2) | Nếu: | h > 1,2 (m). |
| 0 | (m2) | Nếu : | 0,9 (m) ≤ h ≤ 1,2 (m). |
| -0,04l(0,9 - h) | (m2) | Nếu: | h < 0,9 (m). |
h: Chiều cao trung bình của mạn chắn sóng tính từ boong (m).
2. Ở những tàu không có độ cong dọc boong hoặc độ cong dọc boong nhỏ hơn trị số tiêu chuẩn, diện tích tối thiểu của cửa thoát nước tính theo các công thức ở -1 phải được tăng bằng cách nhân với hệ số tính theo công thức sau đây:

Trong đó :
S : Độ cong dọc trung bình thực (mm).
S0 : Độ cong dọc trung bình tiêu chuẩn theo Phần 11 “Mạn khô” (mm).
3. Ở những tàu có hầm boong hoặc có thành miệng khoang liên tục hoặc gần như liên tục giữa các thượng tầng độc lập, diện tích của cửa thoát nước phải không nhỏ hơn trị số cho ở Bảng 2-B/19.1.
Bảng 2-B/19.1 Diện tích cửa thoát nước
| Chiều rộng của hàm nổi trên boong hoặc của miệng khoang | Diện tích của của thoát nước tính theo tổng diện tích của mạn chắn sóng |
| ≤ 0,4 Bf | 0,2 |
| ³ 0,75 Bf | 0,1 |
Chú thích :
Với các trị số trung gian của chiều rộng của hầm nổi trên boong hoặc của miệng khoang thì diện tích cửa thoát nước được tính theo phép nội suy tuyến tính.
4. Mặc dù những yêu cầu ở từ -1 đến -3, nếu Đăng kiểm thấy cần thiết, thì ở những tàu có hầm boong ở trên boong mạn khô, phải đặt lan can thay vì mạn chắn sóng ở boong mạn khô trong vùng có hầm nổi trên boong, trên chiều dài lớn hơn 0,5 lần chiều dài của hầm boong.
19.2.3. Vị trí cửa thoát nước
1. Hai phần ba diện tích của cửa thoát nước yêu cầu ở 19.2.2 phải được đặt ở một nửa chiều dài của rãnh tụ nước gần điểm chấp nhất của đường cong dọc.
2. Cửa thoát nước phải có góc lượn và mép dưới của của phải cố gắng xuống sát mặt boong.
19.2.4. Kết cấu của cửa thoát nước
1. Nếu chiều dài và chiều cao của cửa thoát nước lớn hơn 230 mi-li-mét thì cửa thoát nước phải được bảo vệ bằng những thanh đặt cách nhau khoảng 230 mi-li-mét.
2. Nếu cửa thoát nước có cánh đậy thì phải có khe hở thích hợp để tránh bị kẹt. Chốt bản lề và gối tựa của cánh đậy phải bằng vật liệu không gỉ.
3. Nếu cánh đậy nói ở -2 có thiết bị cài chặt thì thiết bị này phải có kết cấu được xét duyệt.
19.3. Cửa mũi và cửa trong
19.3.1. Phạm vi áp dụng
1. Mục này của Qui phạm đưa ra những yêu cầu về việc bố trí, độ bền và độ cố định của các của mũi dẫn vào thượng tầng mũi dài kín hoặc liên tục.
2. Trong mục này đưa ra hai kiểu cửa chắn và cửa mạn (sau đây gọi chung là “cửa”).
3. Những kiểu cửa khác với -2 phải được xem xét đặc biệt có quan tâm đến những qui định tương ứng của Qui phạm này.
19.3.2. Bố trí các cửa và cửa trong
1. Các cửa phải được đặt ở trên boong mạn khô. Một hốc kín nước ở vách chống va và nằm phía trên đường nước chở hàng cao nhất dùng để lắp các cầu nghiêng hoặc những thiết bị cơ khí có liên quan khác, có thể được coi như một phần của boong mạn khô vì mục đích của yêu cầu này.
2. Phải đặt cửa trong. Cửa trong phải là một phần của vách chống va, các cửa trong không cần đặt trực tiếp trên vách ở phía dưới, miễn sao nó nằm trong phạm vi đã xác định về vị trí của vách chống va, xem qui định 11.1.1.
3. Một cửa nghiêng cho xe cơ giới có thể được đặt như cửa trong qui định ở -2, miễn sao dạng của nó là một phần của vách chống va và phù hợp với những qui định về vị trí của vách chống va nêu ở 11.1.1. Nếu không thể thực hiện được yêu cầu này thì phải đặt một cửa trong kín nước riêng biệt, cách xa phạm vi qui định về vị trí vách chống va đến mức có thể được.
4. Nói chung, các cửa được đặt phải kín thời tiết và bảo vệ hữu hiệu các của trong.
5. Các cửa trong có dạng là một phần của vách chống va phải kín thời tiết trên toàn bộ chiều cao của khoang hàng và mặt sau cửa phải có đệm kín.
6. Các cửa và cửa trong phải được bố trí để sao cho có thể ngăn ngừa được khả năng gây hư hại kết cấu của các cửa trong hoặc vách chống va trong trường hợp có hư hại hoặc tháo cửa ra. Nếu không thể thực hiện được điều này, thì phải đặt một cửa trong kín thời tiết riêng biệt, như qui định ở 11.1.1.
7. Những yêu cầu đối với cửa trong dựa trên giả thiết rằng xe cơ giới được chằng buộc chắc chắn và không dịch chuyển khỏi vị trí đặt xe.
19.3.3. Tiêu chuẩn bền
1. Kích thước của các chi tiết chính, các thiết bị đỡ và cố định của và cửa trong phải được xác định theo tải trọng thiết kế của từng loại cửa với ứng suất cho phép sau đây :

Trong đó:
K : Hệ số được lấy như sau :
1,00 Đối với thép thường A, B, E, hoặc F như qui định ở Chương 3 Phần 7-A.
0,78 Đối với thép có độ bền cao A32, B32, E32 hoặc F32 như qui định ở Chương 3 Phần 7-A.
0,72 Đối với thép có độ bền cao A36, B36 , E36 hoặc F36 như qui định ở Chương 3 Phần 7-A.
2. Độ bền ổn định của các cơ cấu chính phải được kiểm tra thỏa đáng.
3. Đối với các ổ đỡ bằng thép trong các thiết bị đỡ và chặn, áp lực đỡ được xác định bằng cách chia lực thiết kế cho diện tích hình chiếu của ổ đỡ không vượt quá 0,8 sF, trong đó sF là giới hạn chảy của vật liệu ổ đỡ. Đối với các loại vật liệu ổ đỡ khác, ứng suất cho phép do Đăng kiểm qui định.
4. Việc bố trí các thiết bị đỡ và cố định phải sao cho các bu lông có ren không chịu lực nén, lực kéo lớn nhất trong phần các bu lông không chịu lực nén không được vượt quá
(N/mm2)
Trong đó :
K : Hệ số vật liệu, như qui định ở -1.
19.3.4. Tải trọng thiết kế
1. Các cửa
(1) Áp lực thiết kế bên ngoài Pe (kN/m2) được lấy để tính toán kích thước của các cơ cấu chính, các thiết bị đỡ và cố định cửa phải không nhỏ hơn trị số tính theo công thức sau :

Trong đó :
| CH = 0,0125L | Đối với tàu L < 80 m |
| = 1 | Đối với tàu L ³ 80 m |
V: Tốc độ của tàu (Hải lý/giờ), như qui định ở 1.2.22 của Phần 1-A.
L : Chiều dài tàu (m), như qui định ở 1.2.16 Phần 1-A, nhưng không cần lấy L lớn hơn 200 mét.
a : Góc mở tại điểm đang xét (độ).
b: Góc đóng tại điểm đang xét (độ).
(2) Ngoại lực thiết kế Fx , Fy và Fz (kN) được lấy khi tính toán kích thước các thiết bị đỡ và cố định cửa phải không nhỏ hơn
Fx = Pe Ax
Fy = Pe Ay
Fz = Pe Az
Trong đó:
Ax : Diện tích (m2) hình chiếu đứng theo phương ngang tàu của cửa giữa độ cao từ đáy cửa đến boong trên hoặc giữa đáy cửa và đỉnh cửa, chọn trị số nhỏ hơn.
Ay : Diện tích (m2) hình chiếu đứng theo phương dọc tàu của của giữa độ cao từ đáy của đến boong trên hoặc từ đáy cửa đến đỉnh cửa, chọn trị số nhỏ hơn.
Az: Diện tích (m2) hình chiếu nằm của của giữa độ cao từ đáy cửa đến boong trên hoặc từ đáy cửa đến đỉnh cửa, chọn trị số nhỏ hơn.
h1: Chiều cao cửa (m) tính từ đáy cửa đến boong trên hoặc từ đáy cửa đến đỉnh cửa, chọn trị số nhỏ hơn.
l: Chiều dài cửa (m) đo ở độ cao bằng h1/2 bên trên đáy cửa.
W: Chiều rộng cửa (m) đo ở độ cao bằng h1/2 bên trên đáy cửa.
Pe : Áp lực bên ngoài (kN/m2) nêu ở (1) với góc a và b xác định như sau :
a : Góc mở đo tại vỏ bao ở độ cao bằng h1/2 bên trên đáy cửa và tại l/2 phía sau giao điểm của cửa với sống mũi.
b: Góc đóng đo ở độ cao bằng h1/2 tại vỏ bao, bên trên đáy cửa và tại l/2 phía sau giao điểm của cửa với sống mũi.
Đối với các cửa, kể cả mạn chắn sóng, có dạng không bình thường hoặc cân đối, ví dụ các tàu có mũi tròn và góc sống mũi rộng, thì diện tích và góc dùng để xác định trị số ngoại lực thiết kế phải được xem xét đặc biệt.
(3) Đối với các cửa chắn, mô men đóng cửa My dưới tác dụng của ngoại lực (kNm) được lấy như sau :
My = Fxa + 10 Wc - Fz b
Trong đó :
W : Khối lượng của chắn (tấn).
a : Khoảng cách thẳng đứng (m) từ trụ cửa đến tâm diện tích hình chiếu đứng theo phương ngang tàu của cửa chắn, xem Hình 2-B/19.1.
b : Khoảng cách nằm ngang (m) từ trụ cửa đến tâm diện tích hình chiếu đứng của cửa chắn, xem Hình 2- B/19.1.
c : Khoảng cách nằm ngang (m) từ trụ cửa đến trọng tâm của khối lượng cửa chắn, xem Hình 2-B/19.1.
(4) Ngoài ra tay đòn nâng cửa chắn và thiết bị đỡ được đo theo lực tĩnh và động tác dụng trong khi nâng và hạ cửa, với áp lực gió tối thiểu được lấy bằng 1,5 kN/m2.
2. Cửa trong
(1) Áp lực ngoài thiết kế Pe (kN/m2) dùng để tính toán kích thước các cơ cấu chính, thiết bị đỡ, chặn và kết cấu bao quanh cửa trong phải được lấy là trị số lớn hơn trong các trị số sau :
Pe = 0,45 L’
Áp suất thủy tĩnh : Ph = 10 h2
Trong đó :
h2: Khoảng cách (m) từ điểm đặt tải đến đỉnh của không gian chứa hàng.
L’: Chiều dài tàu, như qui định ở -1 (1).
(2) Áp lực bên trong thiết kế Pb (kN/m2) dùng để tính toán kích thước các thiết bị của cửa trong không được nhỏ hơn trị số tính theo công thức sau :
Pb = 25
19.3.5. Kích thước các cửa
1. Qui định chung
(1) Độ bền của cửa phải tương đương với độ bền của kết cấu thân tàu chung quanh cửa.
(2) Liên kết giữa đòn nâng với cửa và với kết cấu thân tàu phải đủ bền để đảm bảo việc đóng mở cửa bình thường.

Hình 2-B/19.1 Cửa kiểu tấm chắn (kiểu bản lề trên)

Hình 2-B/19.2 Ví dụ về ổ chặn
2. Tấm cửa
Chiều dày của tấm cửa phải không nhỏ hơn trị số qui định cho tấm vỏ mạn tàu hoặc tấm vỏ mạn thượng tầng ở vị trí được tính, với khoảng cách nẹp lấy bằng khoảng sườn và trong mọi trường hợp không được nhỏ hơn chiều dày tối thiểu của vỏ tàu.
3. Các nẹp phụ
(1) Các nẹp phụ của cửa phải được đỡ bởi các cơ cấu chính tạo nên độ cứng chủ yếu của cửa.
(2) Mô đun chống uốn tiết diện của nẹp cửa phải không nhỏ hơn trị số qui định cho sườn ở vị trí tính toán, với khoảng cách nẹp lấy bằng khoảng sườn ; trong trường hợp này, phải xét đến sự khác nhau của liên kết giữa sườn và nẹp.
(3) Diện tích tiết diện bản thành của nẹp (cm2) phải không nhỏ hơn trị số :

Trong đó :
Q : Lực cắt (KN) ở nẹp, được xác định từ áp suất phân bố đều bên ngoài Pe qui định ở 19.3.4-1(1).
K : Hệ số phụ thuộc vào vật liệu, qui định ở 19.3.3-1.
4. Cơ cấu chính
(1) Các cơ cấu chính của cửa và kết cấu thân tàu trong vùng đặt cửa phải có đủ độ cứng để đảm bảo tính nguyên vẹn của vành đế cửa.
(2) Kích thước của các cơ cấu chính, thông thường được xác định bằng tính toán trực tiếp, tương ứng với áp lực thiết kế bên ngoài nêu ở 19.3.4-1(1) và ứng suất cho phép nêu ở 19.3.3-1. Thông thường có thể dùng công thức của lý thuyết dầm đơn giản để tính.
19.3.6. Kích thước cửa trong
1. Qui định chung
(1) Độ bền của cửa trong phải tương đương với kết cấu thân tàu xung quanh cửa ;
(2) Chiều dày của tấm cửa trong phải không nhỏ hơn trị số yêu cầu cho tôn vách chống va ;
(3) Mô đun chống uốn tiết diện của nẹp cửa trong phải không nhỏ hơn trị số yêu cầu đối với nẹp của vách chống va;
(4) Kích thước các cơ cấu chính, nói chung được xác định bằng tính toán trực tiếp tương ứng với áp lực thiết kế bên ngoài nêu ở 19.3.4-2 (1) và ứng suất cho phép nêu ở 19.3.3-1. Thông thường có thể dùng công thức của lý thuyết dầm đơn giản để tính ;
(5) Nẹp của cửa trong phải được đỡ bởi các sống ;
(6) Nếu cửa trong còn được dùng làm cầu xe, thì kích thước của cửa phải không nhỏ hơn kích thước qui định cho boong chở xe ;
(7) Sự phân bố của lực tác động lên thiết bị đỡ và chặn, nói chung được xác định bằng tính toán trực tiếp có kể đến tính dẻo của cơ cấu, vị trí thực và độ cứng của cơ cấu đỡ.
19.3.7. Thiết bị đỡ và cố định của cửa
1. Qui định chung
(1) Các cửa phải được cố định bằng một phương tiện cố định và chặn thích hợp sao cho tương ứng với độ bền và độ cứng của kết cấu xung quanh ;
(2) Các kết cấu đỡ của thân tàu trong vùng đặt cửa phải chịu cùng tải trọng và ứng suất thiết kế như các thiết bị đỡ và chặn cửa;
(3) Nếu có yêu cầu đệm kín, thì vật liệu đệm kín phải thuộc loại tương đối mềm và lực đỡ chỉ do kết cấu thép chịu. Các kiểu đệm kín khác có thể được xem xét;
(4) Khe hở tiêu chuẩn lớn nhất giữa các thiết bị đỡ và cố định không được vượt quá 3 mi- li-mét;
(5) Phải đặt một thiết bị để khóa cơ khí cửa và cửa trong ở vị trí mở;
(6) Chỉ các thiết bị đỡ và cố định có độ cứng hữu hiệu theo hướng thích hợp mới được tính đến và xem xét để tính toán phản lực tác dụng lên thiết bị. Các thiết bị nhỏ và/hoặc mềm như những cái nêm, dùng để nén cục bộ của vật liệu đệm kín không cần kể đến trong tính toán nêu ở -2 (5);
(7) Số lượng các thiết bị đỡ và chặn nên lấy tối thiểu khi đưa vào tính toán. Các yêu cầu đối với lượng dư nêu ở -2 (6), -2 (7) và khoảng trống có thể có để truyền đầy đủ lực vào kết cấu thân tàu. Về nguyên tắc các thiết bị đỡ và chặn phải đặt cách nhau không quá 2,5 mét và càng gần các góc cửa càng tốt;
(8) Nói chung, để mở các tấm chắn ra phía ngoài, phải bố trí các chốt (trụ) cửa sao cho cửa chắn tự đóng được dưới tác dụng của tải trọng bên ngoài, nghĩa là My > 0 ; ngoài ra, mô men đóng My tính theo 19.3.4-1 (3) phải không nhỏ hơn trị số Myo tính theo công thức sau :

2. Kích thước
(1) Các thiết bị đỡ và chặn cửa phải được thiết kế để sao cho chúng có thể chịu được phản lực trong giới hạn ứng suất cho phép nêu ở 19.3.3-1.
(2) Đối với các cửa chắn, phản lực tác dụng lên các thiết bị đỡ và chặn hữu hiệu, khi giả thiết cửa là một vật thể rắn, được xác định theo tổ hợp sau đây của tải trọng bên ngoài tác dụng đồng thời cùng tự trọng của cửa :
(a) Trường hợp 1: và Fx và Fz
(b) Trường hợp 2 : 0,7 Fy tác dụng lên mỗi mặt riêng biệt cùng với 0,7 Fx và 0,7 Fz.
Trong đó : Fx, Fy và Fz được xác định như qui định ở 19.3.4-1(2) và tác dụng lên tâm của diện tích hình chiếu.
(3) Đối với các cửa mở ra mạn, phản lực tác dụng lên các thiết bị đỡ và chặn hữu hiệu, khi giả thiết cửa là một vật thể rắn, được xác định theo tổ hợp sau đây của tải trọng bên ngoài tác dụng đồng thời với tự trọng của cửa :
(a) Trường hợp 1 : Fx, Fy và Fz tác dụng lên cả hai mặt cửa.
(b) Trường hợp 2 : 0,7 Fx và 0,7 Fy tác dụng lên cả hai mặt cửa và 0,7 Fy tác dụng lên từng mặt của riêng biệt.
Trong đó : Fx, Fy và Fz được xác định như qui định ở 19.3.4-1 (2) và đặt ở tâm của diện tích hình chiếu.
(4) Lực đỡ được xác định phù hợp với (2) (a) và (3) (a) thông thường có thể gây ra mô men bằng 0 lấy đối với trục ngang đi qua tâm diện tích Ax. Đối với cửa chắn, phản lực dọc trục của trụ và/hoặc nêm đỡ cửa tạo thành mô men này không được hướng về phía trước.
(5) Sự phân bố phản lực tác dụng lên thiết bị đỡ và chặn có thể được xác định bằng tính toán trực tiếp, có tính đến độ đàn hồi của kết cấu thân tàu, vị trí thực và độ cứng của cơ cấu đỡ ;
(6) Việc thiết kế các thiết bị đỡ và chặn trong vùng của các thiết bị chặn này phải có độ bền dư để sao cho thậm chí bất kỳ một thiết bị đỡ hoặc chặn nào bị hỏng thì các thiết bị còn lại vẫn có thể chịu được phản lực gây ra ứng suất không vượt quá 20% ứng suất cho phép nêu ở 19.3.3-1(1).
(7) Đối với cửa chắn, phải đặt hai thiết bị chặn ở phần dưới cửa, mỗi thiết bị phải có khả năng chịu đựng được toàn bộ phản lực theo yêu cầu để ngăn ngừa việc tự mở trong giới hạn ứng suất cho phép nêu ở 19.3.3-1(1). Mô men mở M0 (kNm) được cân bằng bởi phản lực này, phải không nhỏ hơn :
M0 = 10 Wd + 5 A x a
Trong đó :
d : Khoảng cách thẳng đứng (m) từ trục bản lề đến tâm cửa.
W ,Ax, a : Khoảng cách thẳng đứng như qui định ở 19.3.4-1(3).
(8) Đối với cửa chắn, các thiết bị đỡ và chặn, ngoại trừ bản lề, phải có khả năng chịu đựng được lực thiết kế theo phương đứng bằng (Fz - 10 W) (kN) trong giới hạn ứng suất cho phép nêu ở 19.3.3-1(1).
(9) Tất cả các thành phần truyền tải trọng trong đường tải trọng thiết kế, từ cửa qua các thiết bị vào kết cấu thân tàu, kể cả liên kết hàn phải có cùng độ bền như qui định đối với các thiết bị đỡ và chặn.
(10) Đối với các cửa mở mạn, phải đặt ổ chặn trong vòng mút các sống tại hai mức mở cửa để ngăn ngừa tấm cửa này dịch chuyển về phía trước tấm kia dưới tác dụng của áp lực không đối xứng (Xem Hình 2-B/19.2), mỗi phần của ổ chặn phải được giữ cố định trên một phần khác bằng thiết bị đỡ.
(11) Ngoài qui định ở (10), việc bố trí bất kỳ một thiết bị nào khác nhằm cùng thỏa mãn mục đích này đều có thể được chấp nhận.
19.3.8. Điều khiển, chỉ báo và kiểm soát
1. Hệ thống điều khiển
(1) Thiết bị chặn phải đơn giản để dễ điều khiển và tiếp cận ;
(2) Thiết bị chặn phải có khóa cơ khí (loại tự khóa hoặc loại được bố trí riêng biệt) hoặc kiểu trọng lực ;
(3) Hệ thống đóng và mở cũng như thiết bị chặn và khóa phải được khóa từ bên trong, theo cách đó chúng chỉ có thể hoạt động được theo hành trình phù hợp ;
(4) Các cửa và cửa trong dẫn tới boong chở xe phải lắp thiết bị điều khiển từ xa, đặt ở vị trí nằm trên boong mạn khô, để:
a- Khóa và mở cửa, và
b- Hỗ trợ thiết bị chặn và khóa cho từng cửa.
(5) Chỉ báo vị trí mở hoặc đóng của từng cửa, từng thiết bị chặn và các khóa phải đặt thiết bị từ xa, tại trạm. Bảng điều khiển để điều khiển các cửa phải khó tiếp cận để không cho phép mọi người đến gần. Phải có một bảng ghi chú chỉ báo rõ rằng tất cả các thiết bị chặn phải bổ sung bằng đèn hiệu chỉ báo ;
(6) Nếu yêu cầu có thiết bị chặn thủy lực, thì hệ thống phải có khóa cơ khí tại vị trí đóng. Có nghĩa là, dù bị mất dầu thủy lực, thì thiết bị chặn vẫn được khóa lại. Hệ thống thủy lực dùng cho thiết bị chặn và khóa phải được tách rời khỏi những mạch thủy lực khác khi ở vị trí đóng.
2. Hệ thống chỉ báo/kiểm soát
(1) Phải đặt đèn chỉ báo riêng biệt và tín hiệu âm thanh ở lầu lái và ở bảng điều khiển để chỉ rõ rằng cửa và cửa trong đã được đóng, các thiết bị chặn và khóa cửa ở vị trí phù hợp. Phải đặt bảng chỉ báo có đèn mang chức năng quan sát. Đèn có thể tự ngắt ánh sáng chỉ báo.
(2) Hệ thống chỉ báo phải được thiết kế theo nguyên lý an toàn khi hư hỏng và được chỉ báo bằng tín hiệu nhìn thấy nếu cửa không được đóng kín và khóa hết, và bằng tín hiệu âm thanh nếu thiết bị chặn bị hở và thiết bị khóa trở lên không an toàn. Nguồn điện dùng cho hệ thống chỉ báo phải độc lập với nguồn điện dùng cho việc điều khiển và mở cửa. Thiết bị báo của hệ thống chỉ báo phải được bảo vệ kín nước, băng phủ và tránh được hư hỏng cơ khí.
(3) Bảng chỉ báo trên lầu lái phải có một bảng phụ ghi rõ “ở cảng/đi biển”, như vậy tín hiệu âm thanh sẽ phát ra nếu tàu rời cảng với một cửa hoặc cửa trong không đóng kín và có một thiết bị chặn nào đó không khít hoặc không ở đúng vị trí;
(4) Phải bố trí một hệ thống phát hiện rò rỉ nước có tín hiệu âm thanh và màn hình giám sát để chỉ báo cho lầu lái và cho buồng điều khiển máy từ máng rò rỉ cửa trong ;
(5) Giữa cửa và cửa trong phải đặt một hệ thống màn hình giám sát có bộ phận quan sát ở lầu lái và buồng điều khiển máy. Hệ thống này phải giám sát được vị trí các cửa và toàn bộ thiết bị chặn cửa. Cần phải xem xét đặc biệt đối với việc chiếu sáng và màu sắc tương phản của các vật thể cần quan sát;
(6) Phải bố trí một hệ thống tiêu thoát nước ở vùng giữa cửa và cầu xe, cũng như ở vùng giữa cầu xe và cửa trong nếu có. Hệ thống này phải có tín hiệu âm thanh để báo cho lầu lái khi mức nước trong vùng đó vượt quá 0,5 mét trên mức boong chở xe.
19.3.9. Gia cường quanh lỗ khoét đặt cửa
1. Các góc lỗ khoét đặt cửa phải được lượn đều và phải gia cường tôn vỏ bằng tấm dày hơn hoặc đặt tấm kép xung quanh lỗ khoét;
2. Nếu sườn bị cắt ở lỗ khoét đặt cửa thì phải đặt sườn khỏe ở cả hai bên lỗ khoét và đặt xà ngang dỡ thích hợp ở phía trên lỗ khoét.
19.3.10. Hướng dẫn bảo dưỡng và điều khiển
1. Trên tàu phải có mội bản hướng dẫn điều khiển và bảo dưỡng cửa được Đăng kiểm xét duyệt, bản hướng dẫn bao gồm những thông tin sau :
(1)- Những đặc điểm chính và bản vẽ thiết kế các cửa ;
(2)- Điều kiện bảo quản. Ví dụ : phạm vi vùng bảo quản, độ hở được chấp nhận để đỡ cửa ;
(3)- Việc bảo quản và chức năng kiểm tra;
(4)- Việc vào sổ kiểm tra và sửa chữa cửa.
2. Những tài liệu qui định trình tự để đóng và chặn cửa, cửa trong phải được giữ ở trên tàu tại vị trí thích hợp.
19.4. Cửa mạn và cửa đuôi tàu
19.4.1. Phạm vi áp dụng
Mục này đưa ra các yêu cầu về việc bố trí, độ bền và cố định cửa mạn tàu sau vách chống va và cửa đuôi tàu dẫn đến không gian kín.
19.4.2. Bố trí của mạn và cửa đuôi tàu.
1. Các cửa này phải đảm bảo kín nước.
2. Mép dưới của bất kỳ lỗ khoét nào đặt cửa mạn thấp hơn boong mạn khô thì cửa đó phải đảm bảo kín nước.
3. Ngoài mục -2 nêu trên, mép dưới của bất kỳ lỗ khoét đặt cửa nào không được đặt thấp hơn đường nước chở hàng trong bất kỳ trường hợp nào.
4. Số lượng các lỗ khoét đặt cửa phải là tối thiểu phù hợp với thiết kế và hoạt động của tàu.
5. Các cửa phải mở ra phía ngoài.
19.4.3. Tiêu chuẩn độ bền
1. Kích thước của các cơ cấu chính, thiết bị đỡ và cố định cửa ra vào phải được xác định để chịu được tải trọng thiết kế qui định ở 19.4.4, sử dụng ứng xuất cho phép sau đây:

Trong đó:
K: Hệ số được lấy như sau:
1,00 Đối với thép thường A, B, E hoặc F như qui định ở Chương 3 Phần 7-A
0,78 Đối với thép có độ bền cao A32, B32, E32 hoặc F32 như qui định ở Chương 3 Phần 7-A
0,72 Đối với thép có độ bền cao A36, B36, E36 hoặc F36 như qui định ở Chương 3 Phần 7-A
2. Độ bền ổn định của các cơ cấu chính phải được kiểm tra thỏa đáng.
3. Đối với các ổ đỡ bằng thép trong các thiết bị đỡ và chặn, áp lực ổ đỡ được xác định bằng cách chia lực thiết kế cho diện tích hình chiếu ổ đỡ không vượt quá 0,8 sy, trong đó sy là giới hạn chảy của vật liệu chế tạo ổ đỡ.
4. Đối với các loại vật liệu ổ đỡ khác, ứng suất cho phép do Đăng kiểm qui định. Việc bố trí các thiết bị đỡ và cố định phải sao cho các bulông có ren không chịu lực nén, lực kéo lớn nhất. Lực kéo lớn nhất trong các bu lông không chịu lực nén không được vượt quá :

K: Hệ số vật liệu, như qui định ở -1
19.4.4. Tải trọng thiết kế
Tải trọng thiết kế của các cơ cấu chính, thiết bị đỡ và cố định không được nhỏ hơn trị số trong Bảng 2B/19.2
Bảng 2B/19.2 Tải trọng thiết kế
|
| Fe (kN) (Lực bên ngoài) | Fi (kN) (Lực bên trong) | |
| Thiết bị đỡ và cố định | Cửa mở phía trong | APe +Fp | Fo + 10 W |
| Cửa mở phía ngoài | APe | Fo+10W+Fp | |
| Cơ cấu chính(1) | APe | Fo + 10 W | |
Chú thích:
(1) -Tải trọng thiết kế đối với cơ cấu chính là Fe hoặc Fi ,lấy giá trị nào lớn hơn
A : Diện tích lỗ khoét đặt cửa, m2
W : trọng lượng cửa, tấn
Fp : Lực kẹp toàn bộ trên vật liệu đệm kín cửa, kN , Áp lực tác dụng lên chiều dài vật liệu đệm kín thông thường không được nhỏ hơn 5 N/mm
Fo : Lấy giá trị nào lớn hơn của Fc và 5A (kN)
Fc : Lực sự cố, kN, do tổn thất hàng hóa...v.v...,phân bố đồng đều trên diện tích A và không được nhỏ hơn 300 kN. Nếu diện tích các cửa nhỏ hơn 30m2 thì trị số của Fc có thể giảm xuống 10 A(kN). Tuy nhiên, trị số Fc có thể lấy bằng 0 ,đối với điều kiện kết cấu nếu như có cửa ôtô có thể bảo vệ được cửa khỏi lực sự cố do hàng hóa tổn thất.
Pe : Áp lực thiết kế bên ngoài, kN/mm2, xác định tại trọng tâm lỗ khoét đặt cửa và không được nhỏ hơn trị số xác định theo Bảng 2B/19.3
Bảng 2B/19.3 Áp lực thiết kế bên ngoài
|
| Pe (kN/m2) |
| ZG<d | 10(d-ZG) + 25 |
| ZG ³ d | 25 |
Chú thích:
-Đối với cửa đuôi của tàu được cố định như của mũi thì Pe không được nhỏ hơn trị số sau:

ZG : Chiều cao tâm diện tích cửa (m) trên đường cơ bản
CH : Hệ số lấy như sau:
| 0,0125 L | Đối với tàu L< 80 | m |
| 1 | Đối với tàu L ³ 80 | m |
19.4.5. Kết cấu cửa
1. Qui định chung
(1) Độ bền của cửa phải tương ứng với độ bền của kết cấu xung quanh cửa.
(2) Các cửa phải được gia cường thích đáng và phải có biện pháp ngăn ngừa cửa dịch chuyển ngang hoặc dịch chuyển thẳng đứng khi đóng cửa.
(3) Mối liên kết các bản lề và đòn nâng của cửa với kết cấu thân tàu phải đảm bảo đủ bền.
(4) Nếu cửa được dùng như cầu xe ôtô thì khi thiết kế chốt bản lề cần phải tính đến góc nghiêng và chúi do tải trọng không đều tác dụng nên chốt.
2. Chiều dầy tấm cửa
(1) Chiều dày tấm cửa không được nhỏ hơn chiều dầy của tấm vỏ mạn hoặc chiều dày thượng tầng đã qui định, với khoảng cách nẹp được lấy bằng khoảng sườn. Chiều dày cửa đuôi không chịu va đập trực tiếp của sóng do cầu xe ôtô đặt bên ngoài cửa đuôi có thể giảm 20% chiều dày yêu cầu nêu trên.
(2) Ngoài những qui định của (1), chiều dày tấm cửa không được nhỏ hơn chiều dầy yêu cầu tối thiểu của tôn vỏ.
(3) Nếu cửa được dùng làm cầu xe ôtô thì chiều dày tấm cửa không được nhỏ hơn chiều dày yêu cầu đối với boong chở ôtô.
3. Nẹp phụ
(1) Các nẹp phụ phải được đỡ bởi các cơ cấu chính tạo nên độ cứng chủ yếu của cửa.
(2) Mô đun chống uốn tiết diện của nẹp đứng và nẹp ngang của không được nhỏ hơn trị số qui định đối với sườn ở vị trí tính toán với khoảng cách nẹp bằng khoảng sườn. Trong trường hợp này, nếu cần thiết phải xét đến sự khác nhau của liên kết giữa sườn và nẹp.
(3) Nếu cửa được dùng làm cầu xe ôtô thì kích thước của nẹp không được nhỏ hơn kích thước nẹp yêu cầu đối với boong chở ôtô.
4. Cơ cấu chính.
(1) Kích thước các cơ cấu chính của cửa thông thường được xác định bằng tính toán trực tiếp, tương ứng với tải trọng thiết kế nêu ở 19.4.4 và ứng suất cho phép nêu ở 19.4.3-1. Thông thường, có thể dùng công thức lý thuyết dầm đơn giản để tính.
(2) Bản thành của cơ cấu chính phải được gia cường đủ cứng theo hướng vuông góc với tôn vỏ.
(3) Cơ cấu chính của cửa và kết cấu thân tàu trong vùng đặt cửa phải có đủ độ cứng để đảm bảo tính nguyên vẹn của vành đế cửa.
(4) Các mút nẹp và cơ cấu chính của cửa mạn phải đủ cứng để không bị vặn và mô men quán tính tiết diện không được nhỏ hơn trị số xác định theo công thức sau:
| 8 d4P1 | (cm4) |
Trong đó:
d : Khoảng cách giữa hai thiết bị chặn,m
P1 : Lực kẹp trên một đơn vị chiều dài dọc theo mép cửa. Không có trường hợp nào được nhỏ hơn 5 N/mm
(5) Mô men quán tính tiết diện của cơ cấu vành cửa đỡ các cơ cấu chính giữa hai thiết bị chặn phải được tăng tỷ lệ với lực kẹp.
19.4.6. Thiết bị cố định và đỡ cửa
1. Qui định chung.
(1) Cửa phải được nắp phương tiện cố định và thích hợp sao cho tương ứng với độ bền và độ cứng của kết cấu xung quanh.
(2) Các kết cấu đỡ của thân tàu trong vùng đặt cửa phải chịu tải trọng và ứng suất thiết kế như các thiết bị đỡ và chặn cửa.
(3) Nếu có yêu cầu đệm kín thì vật liệu đệm kín phải thuộc loại tương đối mền, và lực đỡ chỉ do kết cấu thép chịu. Các kiểu đệm kín khác có thể được xem xét.
(4) Khe hở thiết kế lớn nhất giữa các thiết bị đỡ và cố định không được vượt quá 3 mm
(5) Phải đặt một thiết bị cố định cơ khí cửa khi cửa ở trạng thái mở.
(6) Chỉ có các thiết bị cố định và đỡ có độ cứng hữu hiệu theo hướng thích hợp mới được kể đến và xem xét để tính toán phản lực tác dụng lên thiết bị. Các thiết bị nhỏ và/hoặc mền như những cái nêm dùng để nén cục bộ của vật liệu đệm kín không cần kể đến trong tính toán nêu ở -2.(2) dưới đây.
(7) Số lượng thiết bị cố định và đỡ nên lấy tối thiểu đưa vào tính toán. Các yêu cầu đối với lượng dư nêu ở -2 (3) và khoảng trống có thể có để truyền đầy đủ lực vào kết cấu thân tàu. Về nguyên tắc, các thiết bị đỡ và cố định phải đặt cách nhau không quá 2,5 m và gần với góc cửa.
2. Kích thước cửa.
(1) Các thiết bị đỡ và chặn cửa phải được thiết kế để sao cho chúng có thể chịu được phản lực trong giới hạn ứng suất cho phép nêu ở 19.4.3-1.
(2) Sự phân bố các phản lực tác dụng lên thiết bị cố định và đỡ có thể được xác định bằng phương pháp tính toán trực tiếp có thể kể đến tính dẻo của cơ cấu thân tàu và vị trí thực của ổ đỡ.
(3) Việc bố trí thiết bị cố định và đỡ trong vùng của các thiết bị cố định phải được thiết kế có độ bền dư sao cho thậm chí bất kỳ một thiết bị đỡ hoặc cố định nào bị hư hỏng thì các thiết bị còn lại vẫn có thể chịu đựng được phản lực không vượt quá 20 % ứng suất cho phép nêu ở 19.4.3-1.
(4) Tất cả các thành phần truyền tải trọng trong đường tải trọng thiết kế, từ cửa qua thiết bị cố định và đỡ vào kết cấu thân tàu, kể cả liên kết hàn, phải có cùng độ bền như qui định đối với thiết bị cố định và đỡ.
19.4.7. Thiết bị cố định và khóa
1. Hệ thống điều khiển
(1) Thiết bị cố định phải đơn giản để dễ điều khiển và tiếp cận.
(2) Thiết bị cố định phải có khóa cơ khí (loại tự khóa hoặc loại được bố trí riêng biệt), hoặc kiểu trọng lực.
(3) Hệ thống đóng và mở cũng như thiết bị cố định và khóa phải là khóa liên động, theo cách đó chúng chỉ có thể hoạt động theo hành trình phù hợp.
(4) Cửa được đặt một phần hoặc toàn bộ dưới boong mạn khô có diện tích lỗ khoét lớn hơn 6 m2 phải có thiết bị điều khiển từ xa ở vị trí trên boong mạn khô, để:
a- Khóa và mở cửa.
b- Hỗ trợ thiết bị cố định và khóa.
(5) Đối với cửa có đặt thiết bị điều khiển từ xa thì việc chỉ báo vị trí đóng/mở của cửa và thiết bị cố định và khóa phải được đặt trạm điều khiển từ xa. Bảng điều khiển để điều khiển các cửa phải khó tiếp cận để không cho phép mọi người đến gần. Phải có bảng ghi chú đưa ra qui định chỉ báo rằng tất cả thiết bị cố định phải được đóng và khóa trước khi tàu dời cảng. Bảng ghi chú này phải được đặt tại mỗi bảng điều khiển và phải được bổ sung bằng đèn hiệu chỉ báo.
(6) Nếu có trang bị thiết bị cố định thủy lực thì hệ thống này phải có khóa cơ khí tại đúng vị trí đóng. Có nghĩa là dù bị mất dầu thủy lực thì thiết bị cố định vẫn được khóa lại. Hệ thống thủy lực dùng cho thiết bị cố định và khóa lại phải được tách rời khỏi mạch thủy lực khác khi ở vị trí đóng.
2. Hệ thống chỉ báo/ kiểm soát.
(1) Các yêu cầu sau đây được áp dụng đối với cửa ở vùng bao của khoang loại đặc biệt hoặc khoang Ro-Ro mà các khoang này có thể bị ngập nước. Đối với tàu hàng, không có phần nào của cửa nằm dưới đường nước chở hàng cao nhất và diện tích lỗ khoét đặt cửa không được lớn hơn 6m2 thì các yêu cầu của mục này không cần áp dụng.
(2) Phải đặt đèn chỉ báo riêng biệt và tín hiệu âm thanh ở lầu lái và ở mỗi bảng điều khiển để chỉ ra rằng cửa được đóng và thiết bị cố định, khóa ở vị trí phù hợp. Phải đặt chức năng thử đèn ở bảng chỉ báo. Chức năng này không có thể tắt đèn chỉ báo.
(3) Hệ thống chỉ báo phải được thiết kế theo nguyên lý an toàn khi hư hỏng và được chỉ báo bằng tín hiệu nhìn thấy nếu cửa không được đóng kín và khóa hết, và bằng tín hiệu âm thanh nếu thiết bị cố định bị hở hoặc thiết bị khóa không được an toàn. Nguồn điện dùng cho hệ thống chỉ báo phải độc lập với nguồn điện dùng cho việc điều khiển và mở cửa và phải có nguồn điện hỗ trợ. Thiết bị báo của hệ thống chỉ báo phải được bảo vệ kín nước, băng phủ và tránh được hư hỏng cơ khí.
(4) Bảng chỉ báo trên lầu lái phải có chức năng lựa chọn trạng thái “ở cảng/ đi biển” có tín hiệu âm thanh phát ra nếu tàu rời cảng mà cửa đuôi tàu hoặc cửa mạn không đóng kín hoặc có bất kỳ thiết bị nào không đóng đúng vị trí.
(5) Đối với tàu khách, phải bố trí hệ thống phát hiện dò rỉ nước bằng sự giám sát vô tuyến và tín hiệu âm thanh có chỉ báo trên lầu lái và trong buồng điều khiển máy đối với bất kỳ dò rỉ nào của cửa.
(6) Đối với tàu hàng, phải bố trí hệ thống phát hiện dò rỉ nước bằng hệ thống tín hiệu âm thanh có chỉ báo trên lầu lái đối với bất kỳ sự dò rỉ nào của cửa.
19.4.8. Gia cường quanh lỗ khoét đặt cửa
1. Các góc của lỗ khoét đặt cửa ở tôn bao phải được lượn đều và phải được gia cường bằng cách tăng chiều dầy tấm hoặc đặt tấm đệm xung quanh lỗ khoét.
2. Nếu sườn bị cắt tại lỗ khoét đặt cửa thì phải đặt sườn khỏe ở cả hai bên lỗ khoét và đặt xà đỡ thích hợp ở trên lỗ khoét.
19.4.9. Hướng dẫn bảo dưỡng và điều khiển.
1. Trên tàu phải có một bản hướng dẫn điều khiển và bảo dưỡng cửa được Đăng kiểm xét duyệt, bảng hướng dẫn bao gồm những thông tin sau :
(1) Những đặc điểm chính và các bản vẽ thiết kế.
(2) Các điều kiện khai thác.
(3) Bảo dưỡng và thử chức năng.
(4) Vào sổ kiểm tra và sửa chữa cửa.
2. Những qui định sử dụng tài liệu để đóng và cố định cửa phải được lưu giữ ở trên tàu tại vị trí thích hợp.
19.5. Lỗ khoét ở mạn
19.5.1. Qui định chung
Các yêu cầu của chương này được áp dụng cho cửa húp lô và cửa sổ hình chữ nhật bố trí trên tôn mạn, thượng tầng và lầu đến tầng ba phía trên boong mạn khô. Các yêu cầu đối với lầu, thượng tầng và tôn mạn từ tầng ba trở lên được Đăng kiểm xem xét riêng.
19.5.2. Các yêu cầu chung đối với của húp lô
1. không được đặt cửa húp lô ở vị trí mà ngưỡng cửa cửa nằm phía dưới đường kẻ song song với boong mạn khô ở mạn, có điểm thấp nhất 0,025 Bf hoặc 500 mi-li-mét, lấy trị số nào lớn hơn, phía trên đường nước trở hàng cao nhất.
2. Không được đặt của húp lô ở những không gian chỉ dùng để chở hàng hóa.
19.5.3. Phạm vi áp dụng của cửa húp lô
1. Cửa húp lô trên tàu phải là của húp lô cấp A, cấp B và cấp C thỏa mãn với các qui định Chương 7 Phần 7 hoặc các qui định tương đương.
2. Cửa húp lô cấp A, cấp B và cấp C phải được bố trí sao cho áp lực thiết kế của cửa nhỏ hơn áp lực cho phép lớn nhất được xác định theo loại và đường kính thông thường (xem 19.5.5)
3. Cửa húp lô của không gian dưới boong mạn khô và các cửa húp lô bố trí trên boong đuôi dâng cao thấp hơn tiêu chuẩn phải là cửa húp lô cấp A hoặc cấp B hoặc tương đương như vậy.
4. Cửa húp lô của không gian trong phạm vi tầng thứ nhất của mạn tàu hoặc thượng tầng, cửa húp lô bố trí ở tầng thứ nhất của lầu trên boong mạn khô có lỗ khoét không được bảo vệ dẫn đến không gian phía dưới trong boong mạn khô hoặc các lầu được xem xét tính nổi trong tính toán ổn định, hoặc cửa húp lô chịu tác dụng trực tiếp va đập của sóng biển phải là cửa húp lô cấp A hoặc cấp B hoặc tương đương như vậy.
5. Nếu một lỗ khoét trong boong thượng tầng hoặc trong nóc của lầu ở boong mạn khô có hành lang dẫn đến không gian dưới boong mạn khô hoặc tới không gian trong phạm vi của thượng tầng kín, được bảo vệ bằng lầu hoặc hành lang thì các cửa húp lô lắp đặt trong không gian này dẫn đến cầu thang hở phải là cửa cấp A, cấp B hoặc tương đương như vậy. Nếu vách ngang hoặc cửa cabin tách cửa húp lô ra khỏi hành lang trực tiếp dẫn tới phía dưới boong mạn khô khi bố trí cửa húp lô phải được sự chấp thuận của Đăng kiểm.
6. Cửa húp lô của không gian trong tầng thứ hai trên boong mạn khô được xem xét tính nổi trong tính toán ổn định phải là cửa húp lô cấp A, cấp B hoặc tương đương như vậy.
7. Trên tàu có mạn khô giảm đặc biệt, của húp lô được đặt dưới đường nước sau khi ngập nước vào các khoang thì phải là loại của cố định.
19.5.4. Bảo vệ cửa húp lô
Tất cả các cửa húp lô ở vùng hốc đặt neo và vùng tương tự mà dễ bị hư hại thì phải có lưới bảo vệ
19.5.5. Áp suất thiết kế và áp suất cho phép lớn nhất của cửa húp lô.
1. Áp suất thiết kế của cửa húp lô không được nhỏ hơn áp lực cho phép lớn nhất được xác định theo loại và đường kính thông thường của cửa (xem bảng 2-B/19.4). Áp lực thiết kế P được xác định theo công thức sau đây:
| P = 10ac(0,067bL - y) | (kPa) |
Trong đó:
a, c và b : Được xác định theo 16.2.1-1
y : Khoảng cách thẳng đứng từ đường nước chở hàng mùa hè đến ngưỡng cửa húp lô (m). Nếu có đường nước chở gỗ thì khoảng cách thẳng đứng này lấy từ đường nước chở gỗ đến ngưỡng cửa húp lô.
Bảng 2-B/19.4 áp suất lớn nhất cho phép của cửa húp lô
| Cấp | Đường kính danh nghĩa (mm) | Chiều dầy kính (mm) | Áp suất cho phép lớn nhất ( kPa ) |
| A | 200 | 10 | 328 |
| 250 | 12 | 302 | |
| 300 | 15 | 328 | |
| 350 | 15 | 241 | |
| 400 | 19 | 297 | |
| B | 200 | 8 | 210 |
| 250 | 8 | 134 | |
| 300 | 10 | 146 | |
| 350 | 12 | 154 | |
| 400 | 12 | 118 | |
| 450 | 15 | 146 | |
| C | 200 | 6 | 118 |
| 250 | 6 | 75 | |
| 300 | 8 | 93 | |
| 350 | 8 | 68 | |
| 400 | 10 | 82 | |
| 450 | 10 | 65 |
2. Không phụ thuộc vào qui định -1 ở trên, áp suất thiết kế không được nhỏ hơn áp suất thiết kế nhỏ nhất chỉ ra trong bảng 2-B/19-5.
Bảng 2-B/19.5 Áp suất thiết kế nhỏ nhất.
|
| L ≤ 50 m | 50 m < L ≤ 90 m |
| Vách trước hở của thượng tầng thứ nhất | 30 (kPa) | 25 + L/10 (kPa) |
| Khu vực khác | 15 (kPa) | 12,5 + L/20 (kPa) |
19.5.6. Qui định chung đối với vị trí cửa sổ hình chữ nhật
Không được bố trí cửa sổ hình chữ nhật ở những không gian dưới boong mạn khô, tầng thứ nhất của thượng tầng và tầng thứ nhất của lầu được xem xét tính nổi trong tính toán ổn định hoặc các lỗ khoét ở không gian phía trong thấp hơn boong mạn khô.
19.5.7. Phạm vi áp dụng của cửa sổ hình chữ nhật
1. Cửa sổ hình chữ nhật trên tàu phải là của hình chữ nhật cấp E , cấp F thỏa mãn với các qui định Chương 8 Phần 7 hoặc các qui định tương đương.
2. Cửa sổ hình chữ nhật cấp E , cấp F phải được bố trí sao cho áp lực thiết kế của cửa nhỏ hơn áp lực cho phép lớn nhất được xác định theo loại và đường kính thông thường (xem 19.5.8)
3. Cửa sổ hình chữ nhật của không gian ở tầng thứ hai trên boong mạn khô có lối đi tới không gian nằm trong tầng thứ nhất của thượng tầng kín hoặc dưới boong mạn khô phải là cửa cố định hoặc có nắp bảo vệ cố định. Nếu vách ngang ca bin hoặc cửa ra vào tách khỏi không gian trong phạm vi tầng thứ nhất của thượng tầng kín thì việc áp dụng các cửa sổ hình chữ nhật ở không gian tầng thứ hai phải được Đăng kiểm chấp nhận.
4. Cửa sổ hình chữ nhật của không gian của không gian ở tầng thứ hai trên boong mạn khô xem xét tính nổi trong bản tính ổn định phải bố trí cửa cố định hoặc có nắp bảo vệ cố định.
19.5.8. Áp suất thiết kế và áp suất cho phép lớn nhất của cửa sổ hình chữ nhật.
1. Áp suất thiết kế của cửa sổ hình chữ nhật không được nhỏ hơn áp lực cho phép lớn nhất được xác định theo loại và đường kính thông thường của cửa (xem bảng 2-B/19.6). Áp lực thiết kế P được xác định theo công thức sau đây:
| P = 10ac(0,067bL - y) | (kPa) |
Trong đó:
a, c và b : Được xác định theo 16.2.1-1
y : Khoảng cách thẳng đứng từ đường nước chở hàng mùa hè đến ngưỡng cửa sổ hình chữ nhật (m). Nếu có đường nước chở gỗ thì khoảng cách thẳng đứng này lấy từ đường nước chở gỗ đến ngưỡng cửa sổ hình chữ nhật.
Bảng 2-B/19.4 áp suất lớn nhất cho phép của cửa sổ hình chữ nhật
| Cấp | Kích thước danh nghĩa rộng(mm) x cao (mm) | Chiều dầy kính (mm) | Áp suất cho phép lớn nhất ( kPa) |
| E | 300x425 | 10 | 99 |
| 355x500 | 10 | 71 | |
| 400x560 | 12 | 80 | |
| 450x630 | 12 | 63 | |
| 500x710 | 15 | 80 | |
| 560x800 | 15 | 64 | |
| 900x630 | 19 | 81 | |
| 1000x710 | 19 | 64 | |
| F | 300x425 | 8 | 63 |
| 355x500 | 8 | 45 | |
| 400x560 | 8 | 36 | |
| 450x630 | 8 | 28 | |
| 500x710 | 10 | 36 | |
| 560x710 | 10 | 28 | |
| 900x630 | 12 | 32 | |
| 1000x710 | 12 | 25 | |
| 1100x800 | 15 | 31 |
2. Không phụ thuộc vào qui định -1 ở trên, áp suất thiết kế không được nhỏ hơn áp suất thiết kế nhỏ nhất chỉ ra trong bảng 2-B/19-5.
19.6. Ống thông gió
19.6.1. Chiều cao của thành ống thông gió
Chiều cao của thành ống thông gió, tính từ mặt trên của boong, ít nhất phải bằng 900 mi-li-mét ở vị trí I và ít nhất phải bằng 760 mi-li-mét ở vị trí II theo qui định ở 17.1.2. Nếu tàu có mạn khô quá lớn hoặc nếu ống thông gió phục vụ không gian trong thượng tầng không kín thì chiều cao của ống thông gió có thể được giảm thích đáng.
19.6.2. Chiều dày của thành ống thông gió
1. Chiều dày của thành ống thông gió ở vị trí I và vị trí II dẫn vào không gian ở dưới boong mạn khô hoặc trong thượng tầng kín phải không nhỏ hơn trị số cho ở dòng 1 Bảng 2-B/19.4 . Nếu chiều cao của thành được giảm theo qui định ở 19.6.1 thì chiều dày có thể được giảm thích hợp.
2. Nếu ống thông gió dẫn qua các thượng tầng không phải là thượng tầng kín thì chiều dày của thành ống thông gió trong thượng tầng phải không nhỏ hơn trị số cho ở dòng 2 Bảng 2-B/19.4.
Bảng 2-B/19.4 Chiều dày của thành ống thông gió
| Đường kính ngoài của ống thông gió (mm) | > |
| 70 | 100 | 130 | 160 | 190 |
| ≤ | 70 | 100 | 130 | 160 | 190 |
| |
| Chiều dày của thành (mm) | Dòng 1 | 6,3 | 7,1 | 8,0 | 8,8 | 8,8 | 8,8 |
| Dòng 2 | 4,5 | 4,5 | 4,5 | 4,5 | 5.4 | 6,3 |
19.6.3. Liên kết
Thành ống thông gió phải được liên kết chắc chắn với boong và nếu chiều cao của thành lớn hơn 900 mi-li-mét thì phải có liên kết đỡ đặc biệt.
19.6.4. Đầu ống thông gió
Đầu ống thông gió phải được lắp khít vào thành ống thông gió và phải có ổ lắp không nhỏ hơn 380 mi-li-mét, nếu ống thông gió có đường kính nhỏ hơn hoặc bằng 200 mi-li-mét thì ổ có thể nhỏ hơn.
19.6.5. Thiết bị đóng
1. Ống thông gió vào buồng máy và khu vực hàng hóa phải có thiết bị đóng có thể thao tác được từ phía ngoài của các không gian đó khi có hỏa hoạn.
2. Ống thông gió ở vị trí lộ của boong mạn khô và boong thượng tầng phải có thiết bị đóng kín nước hữu hiệu. Nếu chiều cao của thành ống thông gió lớn hơn 4,5 mét tính từ boong mạn khô, boong đuôi nâng và boong thượng tầng ở 0,25 Lf mũi tàu hoặc cao hơn 2,3 mét tính từ các boong thượng tầng khác thì có thể không cần đến thiết bị đóng đó, trừ trường hợp yêu cầu ở -1.
19.6.6. Thông gió cho lầu
Thiết bị thông gió cho các lầu bảo vệ lối xuống các không gian ở dưới boong mạn khô phải tương đương với thiết bị thông gió cho thượng tầng kín.
19.6.7. Thông gió cho buồng máy phát điện sự cố
Chiều cao thành ống thông gió cung cấp gió cho buồng máy phát điện trên bề mặt của boong ít nhất là 4,5m tính từ boong mạn khô, boong đuôi dâng cao và boong thượng tầng ở 0,25 Lf từ mũi tàu là 2,3m tính từ boong thượng tầng khác thì ống thông gió không cần lắp thiết bị đóng kín thời tiết. Tuy nhiên, nếu do kích thước của tàu và việc bố trí yêu cầu này không thể thực hiện được thì chiều cao thành miệng thông gió do Đăng kiểm qui định.
19.7. Cầu boong
19.7.1. Qui định chung
Phải có những phương tiện thỏa mãn (như lan can, dây an toàn, cầu boong hoặc lối đi dưới boong) để bảo vệ thuyền viên khi ra vào khu vực sinh hoạt, buồng máy và các khu vực khác cần thiết cho công việc của tàu.
19.7.2. Tàu dầu
1. Các yêu cầu nêu ở 19.7.2 phải được áp dụng cho tầu chở dầu, tàu chở khí hóa lỏng và tàu chở hóa chất ( được gọi tắt là “Tàu Dầu”) thực hiện chuyến đi quốc tế và có tổng dung tích không được nhỏ hơn 500 thực hiện chuyến đi quốc tế
2. Tầu dầu phải được bố trí phương tiện để đảm bảo cho thuyền viên có lối đi an toàn đến mũi tàu ngay cả khi trong điều kiện thời tiết xấu.
3. Đối với tàu dầu được đóng trước ngày 1-7-1998, các trang thiết bị phải có chương trình kiểm tra trên đà lần đầu theo qui định của Chương 3, Phần 1-B, sau ngày 1-7-1998 nhưng không được muộn hơn 1-7-2001.
“Tàu dầu đóng mới” nghĩa là tàu được đặt ky hoặc ở giai đoạn kết cấu của tàu được đóng chiếm tới 50 tấn hoặc một phần trăm khối lượng tính toán của toàn bộ vật liệu đóng tàu, lấy giá trị nào nhỏ hơn.
CHƯƠNG 20 VÁN SÀN, VÁN THÀNH, TRÁNG XI MĂNG VÀ SƠN
20.1. Ván sàn
20.1.1. Tàu đáy đơn
1. Ở những tàu đáy đơn lớp ván sàn kín phải được đặt trên những đà ngang đáy lên đến mép trên của cung hông.
2. Chiều dày của lớp ván sàn phải không nhỏ hơn 50 mi-li-mét đối với tàu có chiều dài nhỏ hơn 61 mét, không nhỏ hơn 57 mi-li-mét đối với tàu có chiều dài từ 61 mét đến 76 mét, không nhỏ hơn 63 mi-li-mét đối với tàu có chiều dài lớn hơn.
3. Lớp ván sàn phủ lên mặt đà ngang đáy phải được làm thành những phần tháo lắp được hoặc phải được đặt sao cho dễ gỡ khi cần vệ sinh, sơn hoặc kiểm tra đáy tàu.
20.1.2. Tàu đáy đôi
1. Ở những tàu đáy đôi lớp ván sàn kín phải được đặt từ sống hông đến mép trên của cung hông, sao cho có thể tháo gỡ được ngay khi cần kiểm tra rãnh tiêu nước.
2. Lớp ván sàn phải được đặt ở đáy trên, vùng dưới miệng khoang hàng trừ khi các yêu cầu ở 4.7.1 được áp dụng.
3. Lớp ván sàn phủ mặt đáy đôi phải là những thanh gỗ có chiều dày không nhỏ hơn 13 mi-li-mét, hoặc là lớp phủ theo yêu cầu ở 20.3.4.
4. Chiều dày của lớp ván sàn phủ theo yêu cầu ở -1 và -2 phải thỏa mãn yêu cầu ở 20.1.1-2.
20.2. Ván thành
20.2.1. Ván thành
1. Các không gian hàng hóa dùng để chứa hàng tổng hợp phải được lót bằng những ván thành có chiều dày không nhỏ hơn 50 mi-li-mét, có chiều rộng không nhỏ hơn 150 mi-li-mét, đặt cách nhau không xa quá 230 mi-li-mét ở phía trên của lớp ván sàn, hoặc phải có biện pháp tương đương để bảo vệ kết cấu.
2. Ở những tàu dùng để chở gỗ sườn khoang phải được bảo vệ đặc biệt. Tuy nhiên, nếu chắc chắn là tàu sẽ không chở gỗ cây thì biện pháp bảo vệ có thể được thay đổi.
3. Ở khoang hàng của những tàu như tàu chở than, tàu chở hàng rời, tàu chở quặng và những tàu tương tự, có thể không cần lớp ván thành.
4. Theo yêu cầu của chủ tàu, được sự chấp thuận của Đăng kiểm, các tàu chở hàng tổng hợp có thể không cần có lớp ván thành, trong trường hợp này, tàu được phân biệt bằng ký hiệu “n.s” trong sổ đăng ký.
20.3. Tráng xi măng
20.3.1. Qui định chung
Đáy của tàu đáy đơn, hông của tất cả các tàu và đáy đôi trong buồng nồi hơi của tất cả các tàu phải được bảo vệ hữu hiệu bằng xi măng Portland hoặc bằng những vật liệu tương đương khác, phủ lên mặt tôn và cơ cấu cho đến mép trên của cung hông. Tuy nhiên, đáy của những khoang chuyên dùng để chứa dầu không cần phải bảo vệ bằng xi măng.
20.3.2. Xi măng Portland
Xi măng Portland được hòa vào nước ngọt và cát hoặc những chất thích hợp theo tỷ lệ khoảng một phần xi măng hai phần cát.
20.3.3. Chiều dày của lớp xi măng
Chiều dày ở mép của lớp xi măng phải không nhỏ hơn 20 mi-li-mét.
20.3.4. Lưu ý đặc biệt đối với tôn nóc két
Nếu được phủ trực tiếp thì tôn nóc két phải được phủ bằng hắc ín chịu nóng và rải đều bột xi măng hoặc bằng một lớp phủ tương đương khác.
20.4. Sơn
20.4.1. Qui định chung
Trừ các kết cấu nằm trong các két dầu, tất cả các kết cấu thép phải được sơn bằng loại sơn có chất lượng tốt.
20.4.2. Quét xi măng
Kết cấu thép trong két nước có thể được phủ bằng dung dịch xi măng thay thế cho sơn.
20.4.3. Làm sạch trước khi sơn
Trước khi sơn, mặt của kết cấu thép phải được làm sạch, không có gỉ, dầu và các chất độc hại khác. Ít nhất là mặt ngoài của tôn bao ở dưới đường nước chở hàng phải được làm sạch gỉ, lớp chai sắt trước khi được sơn.
CHƯƠNG 21 TRANG THIẾT BỊ
21.1. Bánh lái
21.1.1. Phạm vi áp dụng
1. Phạm vi áp dụng
(1) Những yêu cầu trong Chương này được áp dụng cho bánh lái hộp tiết diện lưu tuyến và hình dạng thông thường, được phân loại như dưới đây và cho bánh lái tấm đơn :
(a) Kiểu A : Bánh lái có chốt trên và chốt dưới (xem Hình 2-B /21.1.1 (A))
(b) Kiểu B : Bánh lái có ổ đỡ cổ trục lái và chốt dưới (xem Hình 2-B /21.1.1 (B))
(c) Kiểu C : Bánh lái không có ổ đỡ phía dưới ổ đỡ cổ trục lái (xem Hình 2-B /21.1.1 (C))
(2) Kết cấu bánh lái có ba chốt trở lên và bánh lái có hình dạng đặc biệt hoặc kiểu tiết diện đặc biệt sẽ là đối tượng xem xét đặc biệt của Đăng kiểm.
(3) Kết cấu của bánh lái có góc quay trở sang mỗi mạn lớn hơn 35o, trong từng trường hợp phải được Đăng kiểm xem xét đặc biệt.
2. Vật liệu
(1) Trục bánh lái, chốt lái, bu lông liên kết, then, các thanh mép và các phần đúc của bánh lái phải được làm bằng thép cán, thép rèn hoặc thép các bon đúc phù hợp với các yêu cầu quy định ở Phần 7-A của Quy phạm này.
Vật liệu dùng để chế tạo trục lái, chốt lái, khớp nối, then của bánh lái phải có giới hạn chảy không nhỏ hơn 200 (N/mm2). Những yêu cầu trong Chương này được áp dụng cho vật liệu có giới hạn chảy bằng 235 (N/mm2). Nếu vật liệu có giới hạn chảy khác 235 (N/mm2) thì hệ số vật liệu K phải được tính theo công thức sau :

Trong đó :
e: 0,75 nếu sy > 235 N/mm2
e : 1,00 nếu sy ≤ 235 N/mm2
Trong đó:
s Giới hạn chảy (N/mm2) của vật liệu sử dụng và không được lấy lớn hơn 0,7 sB hoặc 450 (N/mm2), lấy trị số nào nhỏ hơn.
sB: Độ bền kéo của vật liệu sử dụng (N/mm2).
(2) Nếu dùng thép có giới hạn chảy lớn hơn 235 (N.mm2) thì đường kính của trục lái có thể được giảm, nhưng phải quan tâm đặc biệt đến biến dạng của trục lái để tránh xuất hiện ứng suất quá lớn ở mép ổ đỡ.
(3) Các cơ cấu hàn của bánh lái như tôn bánh lái, xương bánh lái và cốt bánh lái phải được chế tạo bằng thép cán dùng cho thân tàu phù hợp với những yêu cầu quy định ở Phần 7-A của Quy phạm này.
Nếu sử dụng thép có độ bền cao thì kích thước cơ cấu có thể được giảm và hệ số vật liệu K được lấy như sau:
0,78 đối với HT 32
0,72 đối với HT 36
3. Tăng đường kính của trục lái trong những trường hợp đặc biệt
(1) Đối với tàu kéo, đường kính trục lái phải không nhỏ hơn 1,1 lần đường kính trục lái qui định ở Chương này.
(2) Đối với các tàu hay phải bẻ lái ở góc lớn khi chạy hết tốc độ như tàu cá, thì đường kính trục lái, chốt lái và mô đun chống uốn tiết diện của cốt bánh lái phải không nhỏ hơn 1,1 lần trị số yêu cầu ở Chương này.

Hình 2-B/21.1.1 Các dạng bánh lái
(3) Đối với các tàu có yêu cầu bẻ lái nhanh thì đường kính trục lái phải được tăng thích đáng so với yêu cầu ở Chương này.
4. Áo trục và bạc trục
Các ổ đỡ của trục lái nằm trong khoảng từ đáy bánh lái đến đường nước chở hàng thiết kế lớn nhất phải có áo trục và bạc trục.
21.1.2. Lực tác dụng lên bánh lái
Lực FR tác dụng lên bánh lái khi tàu chạy tiến và chạy lùi được dùng làm cơ sở xác định các kích thước cơ cấu của bánh lái và được tính theo công thức sau :
| FR = K1K2K3132A V2 | (N) |
Trong đó :
A : Diện tích bánh lái (m2)
V : Tốc độ của tàu (hải lí/giờ). Nếu tốc độ chạy tiến của tàu nhỏ hơn 10 hải lí/giờ thì V được lấy bằng Vmin xác định theo công thức sau :

Khi tàu chạy lùi, tốc độ lùi Va được tính theo công thức sau :

Tuy nhiên, nếu tốc độ chạy lùi tối đa theo thiết kế lớn hơn Va thì phải tính theo tốc độ chạy lùi tối đa theo thiết kế.
K1: Hệ số phụ thuộc hệ số hình dạng Λ của bánh lái được tính theo công thức sau :

Trong đó:
Λ : Được tính theo công thức sau, nhưng Λ không cần phải lớn hơn 2.

Trong đó :
h: Chiều cao trung bình của bánh lái (m), được xác định theo trục tọa độ như ở Hình 2-B/21.1.2.
| Chiều rộng trung bình của bánh lái :
Chiều cao trung bình của bánh lái:
|
|
Hình 2-B/21.1.2 Hệ thống tọa độ của bánh lái
At : Tổng của diện tích bánh lái A (m2) và phần diện tích trụ lái hoặc giá bánh lái, nếu có, nằm trong phạm vi chiều cao trung bình h của bánh lái.
K2: Hệ số, phụ thuộc kiểu prôfin của bánh lái (xem Bảng 2-B/21.1.1).
K3: Hệ số, phụ thuộc vị trí của bánh lái theo quy định dưới đây :
Với bánh lái nằm ngoài dòng chảy sau chân vịt: 0,80
Với bánh lái nằm trong dòng chảy sau chân vịt: 1,15
Với các trường hợp khác : 1,00
Tuy nhiên, khi bánh lái được đặt sau chân vịt tạo lực đẩy đặc biệt lớn thì lực tác dụng lên bánh lái phải được xem xét thích hợp.
Bảng 2-B/21.1.1 Hệ số K2
| Kiểu Prôfin | K2 | |
| Khi tàu chạy tiến | Khi tàu chạy lùi | |
| NACA-00 Prôfin lồi
| 1,1 | 0,80 |
| Prôfin lõm
| 1,35 | 0,90 |
| Prôfin thẳng
| 1,1 | 0,90 |
21.1.3. Mô men xoắn tác dụng lên trục lái
1. Mô men xoắn tác dụng lên trục lái của bánh lái kiểu B và C
Mô men xoắn TR tác dụng lên trục lái của bánh lái kiểu B và C tương ứng khi tàu chạy tiến và chạy lùi được xác định theo công thức sau đây :
| TR = FRr | (Nm) |
Trong đó :
FR : Như quy định, ở 21.1.2.
r : Khoảng cách từ tâm áp lực của bánh lái đến đường tâm của trục lái được tính theo công thức sau đây :
| r = b (a-e) | (m) |
Tuy nhiên, khi tàu chạy tiến trị số r phải không nhỏ hơn trị số rmin xác định theo công thức :
| r min = 0,1 b | (m) |
Trong đó:
b : Chiều rộng trung bình (m) của bánh lái được xác định theo Hình 2-B/21.1.2.
a : Được lấy như sau :
- Khi tàu chạy tiến : 0,33
- Khi tàu chạy lùi : 0,66
e : Hệ số cân bằng của bánh lái được tính theo công thức :

Trong đó :
Af : Phần diện tích bánh lái nằm phía trước của đường tâm trục lái (m2).
A : Như quy định ở 21.1.2.
2. Mô men xoắn tác dụng lên trục lái của bánh lái kiểu A
| Mô men xoắn TR tác dụng lên trục lái của bánh lái kiểu A tương ứng với khi tàu chạy tiến hoặc chạy lùi được tính theo công thức sau : TR = TR1 + TR2 (Nm) Tuy nhiên, khi tàu chạy tiến TR không được nhỏ hơn TRmin xác định theo công thức sau :
|
|
|
| Hình 2-B/21.1.3 Phân chia bánh lái |
Trong đó:
TR1 và TR2 : Mô men xoắn tương ứng do các phần diện tích A1 và A2 của bánh lái.
A1 và A2 : Diện tích phần trên và phần dưới của bánh lái (m2), sao cho :
A = A1 + A2 (A1 bao gồm cả A1f và A2 bao gồm cả A2f), xem Hình 2-B/ 21.1.3
b1 và b2 : Chiều rộng trung bình tương ứng của các phần diện tích A1 và A2 xem Hình 2-B/21.1.3
FR và A : Như quy định ở 21.1.2.
TR1 và TR2 : Mô men xoắn tương ứng do phần diện tích A1 và A2 của bánh lái, được tính theo công thức sau :
TR1 = F R1 r1 (Nm)
TR2 = F R2 r2 (Nm)
FR1 và FR2 : Lực tác dụng lên các phần diện tích A1 và A2 của bánh lái, được tính theo công thức sau :

r1 và r2 : Khoảng cách từ tâm của lực tác dụng tương ứng vào các phần diện tích A1 và A2 của bánh lái đến đường tâm của trục lái, được tính theo các công thức sau :

Trong đó :
e1 và e2 : Hệ số cân bằng ứng với phần diện tích A1 và A2 của bánh lái được tính theo công thức sau:

a : Được xác định như sau :
Đối với phần bánh lái không nằm sau phần cố định của giá bánh lái:
Khi tàu chạy tiến : a = 0,33
Khi tàu chạy lùi : a = 0,66
Đối với phần bánh lái nằm sau giá bánh lái :
Khi tàu chạy tiến : a = 0,25
Khi tàu chạy lùi : a = 0,55
21.1.4. Tính toán hệ lái theo độ bền
1. Tính toán hệ lái theo độ bền
(1) Hệ lái phải có đủ độ bền để chịu được lực và mô men xoắn quy định ở 21.1.2 và 21.1.3. Để xác định kích thước cơ cấu của hệ lái, phải xét đến các lực và mô men sau đây :
| Đối với thân bánh lái | : Mô men uốn và lực cắt |
| Đối với trục lái | : Mô men uốn và mô men xoắn |
| Đối với ổ đỡ ở chốt lái và ổ đỡ trục lái | : Phản lực gối đỡ |
(2) Mô men uốn, lực cắt và phản lực gối đỡ phải được xác định bằng phương pháp tính toán trực tiếp hoặc bằng các phương pháp tương tự khác được Đăng kiểm chấp nhận.
21.1.5. Trục lái
1. Phần trên của trục lái
Đường kính phần trên của trục lái du để truyền mô men xoắn phải được xác định sao cho ứng suất xoắn không lớn hơn 68/KS (N/mm2). Đường kính phần trên của trục lái có thể được tính theo công thức sau :

Trong đó :
TR : Như quy định ở 21.1.3.
KS : Hệ số vật liệu trục lái, như quy định ở 21.1.1-2.
2. Phần dưới của trục lái
Đường kính phần dưới của trục lái d1 chịu đồng thời cả mô men uốn và mô men xoắn phải được xác định, sao cho ứng suất tương đương không lớn hơn 118/KS (N/mm2).
Ứng suất tương đương se được tính theo công thức sau :

Ứng suất uốn và ứng suất xoắn tác dụng lên phần dưới của trục lái được tính theo công thức sau :

Trong đó:
M : Mô men uốn (Nm) tại tiết diện đang xét của phần dưới của trục lái.
TR: Như quy định ở 21.1.3.
Nếu tiết diện ngang của phần dưới của trục lái có dạng tròn thì đường kính d1 của trục lái có thể được tính theo công thức sau:

Trong đó :
du: Đường kính phần trên của trục lái (mm), như quy định ở 21.1.5-1.
21.1.6. Tôn bánh lái, xương bánh lái và cốt bánh lái
1. Tôn bánh lái
Chiều dầy tôn bánh lái t không được nhỏ hơn trị số tính theo công thức sau :

Trong đó:
d : Chiều chìm của tàu, (m)
FR và A : Như quy định ở 21.1.2.
Kp1: Hệ số vật liệu tôn bánh lái, như quy định ở 21.1.1-2.
b: Được xác định theo công thức sau, nhưng b không được lớn hơn 1,0 ; (
³ 2,5)

Trong đó:
S: Khoảng cách các xương nằm hoặc các xương đứng, lấy giá trị nào nhỏ hơn (m).
a: Khoảng cách các xương nằm hoặc các xương đứng, lấy giá trị nào lớn hơn (m).
2. Xương bánh lái
(1) Thân bánh lái phải được gắn các xương đứng và xương nằm, để có tác dụng như dầm chịu uốn.
(2) Khoảng cách chuẩn của các xương nằm phải được tính như sau :

(3) Khoảng cách chuẩn từ xương đứng tạo nên cốt bánh lái đến xương đứng lân cận phải bằng 1,5 lần khoảng cách của các xương nằm ;
(4) Chiều dầy của xương bánh lái phải không nhỏ hơn 8 mi-li-mét hoặc 70 % chiều dầy của tôn bánh lái quy định ở 21.1.6-1, lấy trị số nào lớn hơn.
3. Cốt bánh lái
(1) Các xương đứng tạo nên cốt của bánh lái, phải được đặt ở phía trước và sau đường tâm trục lái với khoảng cách gần bằng chiều rộng của tiết diện bánh lái, nếu cốt gồm hai xương đứng, hoặc tại đường tâm của trục lái nếu cốt gồm một xương đứng.
(2) Mô đun chống uốn của tiết diện cốt bánh lái phải được tính theo các xương đứng quy định ở (1) cùng với phần mép kèm của tôn bánh lái. Chiều rộng mép kèm được lấy như sau :
(a) Nếu cốt gồm hai xương thì chiều rộng mép kèm bằng 0,2 lần chiều dài của cốt.
(b) Nếu cốt gồm một xương thì chiều rộng của mép kèm bằng 0,16 lần chiều dài của cốt.
(3) Mô đun chống uốn của tiết diện và diện tích tiết diện bản thành của cốt phải sao cho ứng suất uốn, ứng suất cắt và ứng suất tương đương không được lớn hơn các giá trị dưới đây:

Đối với bánh lái kiểu A mô đun chống uốn của tiết diện và diện tích tiết diện bản thành của cốt tại vị trí bị cắt và có khoét lỗ phải sao cho giá trị của ứng suất uốn, ứng suất cắt và ứng suất tương đương không được lớn hơn giá trị dưới đây :

Trong đó:
Km: Hệ số vật liệu của cốt, như quy định ở 21.1.1-2.
(4) Phần trên của cốt phải được kết cấu sao cho không bị gián đoạn.
(5) Các lỗ thoát nước, bảo dưỡng và các vết cắt của tôn bánh lái kiểu A, phải được lượn tròn thích đáng.
4. Liên kết
Tôn bánh lái phải được liên kết chắc chắn với các xương bánh lái, cần lưu ý đến các biện pháp công nghệ. Các bộ phận liên kết phải không có khuyết tật.
5. Sơn và thoát nước
Mặt trong của tôn bánh lái phải được sơn hữu hiệu. Tại đáy của bánh lái phải có phương tiện để thoát nước.
21.1.7. Tôn bánh lái, xương bánh lái và cốt bánh lái tấm đơn
1. Tôn bánh lái
Chiều dầy t của tôn bánh lái tấm đơn không được nhỏ hơn trị số tính theo công thức sau:

Trong đó :
S: Khoảng cách các xương bánh lái, không được lớn hơn 1,0 (m).
V : Tốc độ của tàu (hải lý/giờ), như quy định ở 21.1.2.
Kp1: Hệ số vật liệu tôn bánh lái, như quy định ở 21.1.1-2.
2. Xương bánh lái
(1) Chiều dầy của xương bánh lái phải không nhỏ hơn chiều dầy của tôn bánh lái.
(2) Mô đun chống uốn của tiết diện xương bánh lái không được nhỏ hơn trị số tính theo công thức sau. Tuy nhiên mô đun chống uốn này có thể được giảm dần ra đến mép của tấm bánh lái.

Trong đó:
C1: Khoảng cách nằm ngang (m) tính từ mép sau của tấm bánh lái đến đường tâm của trục lái.
Ka: Hệ số vật liệu làm xương bánh lái, như quy định ở 21.1.1-2.
S và V : Như quy định ở 21.1.7-1.
3. Cốt của bánh lái tấm đơn
Đường kính của cốt phải không nhỏ hơn đường kính phần dưới của trục lái. Tuy nhiên, đối với bánh lái không có ổ đỡ phía dưới ổ đỡ cổ trục lái, thì đường kính của cốt có thể được giảm dần ở 1/3 diện tích phần dưới của bánh lái và tại đáy của bánh lái có thể bằng 75% đường kính theo quy định.
21.1.8. Mối nối giữa trục lái và cốt bánh lái
1. Mối nối bằng bích nằm
(1) Bu lông nối bích phải là loại lắp chặt. Số lượng bu lông nối trên một cặp bích ít nhất phải bằng 6.
(2) Đường kính db của bu lông nối không được nhỏ hơn trị số tính theo công thức sau :

Trong đó:
d: Đường kính của trục lái (mm), lấy trị số nào lớn hơn trong các trị số đường kính du quy định ở 21.1.5-1 và d1 quy định ở 21.1.5-2.
n : Tổng số bu lông nối.
em: Khoảng cách trung bình từ tâm bu lông nối đến tâm bích.
Ks: Hệ số vật liệu của trục lái, như quy định ở 21.1.1-2.
Kb: Hệ số vật liệu của bu lông nối, như quy định ở 21.1.1-2.
(3) Chiều dầy bích nối tf không được nhỏ hơn trị số tính theo công thức sau, nhưng không được nhỏ hơn 0,9db (mm).

Trong đó:
Kf: Hệ số vật liệu của bích nối, như quy định ở 21.1.1-2.
Kb: Như quy định ở (2).
db: Đường kính bu lông nối (mm) phụ thuộc số lượng bu lông nối, nhưng số lượng bu lông không được lấy lớn hơn 8.
(4) Khoảng cách từ mép lô bu lông nối đến mép ngoài của bích nối không được nhỏ hơn 0,67db (mm).
2. Mối nối côn
(1) Mối nối côn không có cơ cấu tháo lắp bằng thủy lực (đường dầu thủy lực và ê cu thủy lực.v.v...), để lắp và tháo mối nối phải có độ côn theo đường kính bằng từ 1: 8 ¸ 1:12 (xem Hình 2-B/21.1.4).
Chiều dài của đoạn trục hình côn l lắp vào bánh lái và cố định bằng ê cu hãm phải không nhỏ hơn 1,5 lần đường kính d0 ở đỉnh của bánh lái. Trong trường hợp này, mối nối trục lái và bánh lái phải có then. Kích thước của then phải do Đăng kiểm quy định.
(2) Kích thước ê cu qui định ở (1) phải phù hợp với yêu cầu dưới đây (xem Hình 2-B/21.1.4):
Đường kính đỉnh ren : dg ≥ 0,65 d0 (mm)
Chiều cao ê cu : hb ≥ 0,6 dg (mm)
Đường kính ngoài của ê cu : dn ≥ 1,2de hoặc 1,5dg (mm), lấy giá trị nào lớn hơn.
(3) Mối nối côn có cơ cấu tháo lắp bằng thủy lực (đường dầu thủy lực và ê cu thủy lực.v.v...), để lắp và tháo mối nối phải có độ côn theo đường kính bằng từ 1:12 ¸ 1:20 (xem Hình 2-B/21.1.4).
Lực ép và chiều dài ép phải thỏa mãn yêu cầu của Đăng kiểm.
(4) Ê cu cố định trục lái phải có cơ cấu hãm chắc chắn.
(5) Mối nối trục lái phải được bảo vệ tốt để chống ăn mòn.
3. Mối nối bằng bích đứng
(1) Bu lông nối bích đứng phải là loại lắp chặt. Số lượng bu lông nối trên một cặp bích nối không được ít hơn 8.
(2) Đường kính db của bu lông nối không được nhỏ hơn trị số tính theo công thức sau :

Trong đó:
d: Đường kính trục lái (mm) lấy trị số nào lớn hơn trong các đường kính du quy định ở 21.1.5-1 hoặc d1 quy định ở 21.1.5-2.
n : Số lượng bu lông nối.
Kb: Hệ số vật liệu của bu lông nối, như quy định ở 21.1.1-2.
Ks: Hệ số vật liệu của trục lái, như quy định ở 21.1.1-2.

Hình 2-B/21.1.4 Mối nối dạng côn
(3) Mô men diện tích M của bu lông đối với đường tâm của bích nối không được nhỏ hơn trị số tính theo công thức sau :
| M = 0,00043d3 | (cm3) |
(4) Chiều dầy của bích nối không được nhỏ hơn đường kính của bu lông nối.
(5) Khoảng cách từ mép lỗ bu lông đến mép ngoài của bích nối không được nhỏ hơn 0,67 db (mm).
21.1.9. Chốt lái
1. Đường kính của chốt lái
Đường kính chốt lái dp không được nhỏ hơn trị số tính theo công thức sau :

Trong đó :
B : Phản lực tại ổ đỡ (N).
Kp. Hệ số vật liệu của chốt lái, như quy định ở 21.1.1-2.
2. Kết cấu của chốt lái
(1) Chốt lái phải được kết cấu như kiểu bu lông côn. Độ côn theo đường kính không được lớn hơn các giá trị độ côn cho dưới đây. Chốt phải có khả năng lắp được vào các phần liền khối của bánh lái, ê cu cố định chốt phải được hãm chắc chắn.
(a) Đối với chối lái được lắp và hãm bằng ê cu : từ 1 : 8 ¸ 1:12.
(b) Đối với chốt lái có cơ cấu tháo nắp bằng thủy lực (đường dẫn dầu thủy lực và ê cu thủy lực.v.v...): từ 1:12 ¸ 1:20.
(2) Kích thước nhỏ nhất của chân ren và ê cu phải được xác định theo những yêu cầu tương ứng quy định ở 21.1.7-2(2).
(3) Chiều dài đoạn côn của chốt lái không được nhỏ hơn đường kính lớn nhất của chốt.
(4) Chốt lái phải được bảo vệ thích đáng để chống ăn mòn.
21.1.10. Ổ đỡ trục lái và chốt lái
1. Bề mặt đỡ nhỏ nhất
Bề mặt đỡ Ab (được tính bằng diện tích hình chiếu = Chiều dài x Đường kính ngoài của ống lót trục) phải không nhỏ hơn trị số tính theo công thức sau :

Trong đó:
B : Như quy định ở 21.1.9.
qa: Áp suất bề mặt cho phép (N/mm2). Áp suất bề mặt cho phép đối với ổ đỡ được lấy từ Bảng 2-B/21.1.2, tuy nhiên, nếu dùng thử nghiệm để xác nhận thì có thể lấy các giá trị khác so với trị số ở bảng này.
Bảng 2-B/21.1.2 Áp suất bề mặt cho phép qa
| Vật liệu ổ đỡ | qa (N/mm2) |
| Gỗ gai ắc | 2,5 |
| Kim loại màu (bôi trơn bằng dầu) | 4,5 |
| Vật liệu tổng hợp có độ cứng giữa 60 và 70, kiểu bánh lái D (xem chú thích 1) | 5,5 |
| Thép (xem chú thích 2), đồng thau và vật liệu đồng thau - graphit ép nóng | 7,0 |
Chú thích :
(1) Thử độ cứng phân biệt ở nhiệt độ 23oC và độ ẩm 50% theo các Tiêu chuẩn đã được công nhận. Ổ đỡ bằng vật liệu tổng hợp phải là kiểu được Đăng kiểm chấp nhận.
(2) Thép không rỉ và thép chống mòn được kết hợp thỏa đáng với ống lót trục không gây ăn mòn điện hóa.
2. Chiều dài ổ đỡ
Tỉ số chiều dài / đường kính mặt đỡ phải không nhỏ hơn 1,0. Tuy nhiên, nếu không có quy định nào khác thì tỉ số này không được lớn hơn 1,2.
3. Khe hở ổ đỡ
Nếu ổ đỡ được làm bằng vật liệu kim loại thì khe hở phải không nhỏ hơn
theo hướng đường kính, trong công thức này dbs là đường kính trong của bạc.
Nếu ổ đỡ làm bằng vật liệu phi kim loại thì khe hở được xác định thông qua việc xem xét đặc tính dãn nở nhiệt và phồng của vật liệu. Trong mọi trường hợp, khe hở này phải không nhỏ hơn 1,5 mi-li-mét theo hướng đường kính của ổ dỡ.
21.1.11. Phụ tùng bánh lái
1. Cơ cấu chặn trục lái
Cơ cấu chăn trục lái phải được trang bị thích hợp với kiểu của bánh lái, trọng lượng của bánh lái và phải được bôi trơn tốt.
2. Chặn nhảy trục lái
Phải lắp đặt một cơ cấu thích hợp để ngăn ngừa bánh lái bị di chuyển dọc trục do tác động va đập của sóng.
21.2. Neo, xích neo và cáp
21.2.1. Neo, xích neo và cáp
1. Quy định chung
(1) Theo đặc trưng cung cấp, tất cả các tàu phải được trang bị neo, xích neo và dây buộc tàu không được ít hơn số lượng qui định ở Bảng 2-B/21.2.1.
(2) Đối với các tàu có đặc trưng cung cấp nhỏ hơn 50 hoặc lớn hơn 1670 thì số lượng neo, xích neo và dây buộc trang bị cho tàu phải do Đăng kiểm quy định.
(3) Hai neo qui định trong Bảng 2-B/21.2.1 phải được nối với xích neo và đặt vào vị trí sẵn sàng sử dụng ở trên tàu.
(4) Neo, xích neo, cáp thép và cáp sợi thảo mộc phải phù hợp với những yêu cầu tương ứng quy định ở Chương 2 và 3.1 Chương 3, Chương 4, Chương 5 Phần 7-B.
2. Đặc trưng cung cấp của thiết bị
(1) Đặc trưng cung cấp là trị số được tính theo công thức sau :
EN = W2/3 + 2,0hB + 0,1A
Trong đó :
W : Lượng chiếm nước toàn tải của tàu (tấn).
h và A : trị số quy định ở (a), (b) và (c) sau đây :
(a) h là trị số tính theo công thức :
h = f + h’
Trong đó :
f : Khoảng cách thẳng đứng tại giữa tàu từ đường nước chở hàng thiết kế lớn nhất đến mặt trên của xà boong liên tục trên cùng tại mạn (m).
h': Tổng chiều cao của thượng tầng và tàu có chiều rộng lớn hơn 5/4 (m).
Khi xác định trị số h' có thể bỏ qua độ cong dọc và độ chúi của tàu. Nếu lầu boong có chiều rộng lớn hơn B/4 đặt ở trên lầu boong có chiều rộng bằng và nhỏ hơn B/4 thì lầu boong hẹp hơn có thể được bỏ qua.
(b) A là giá trị tính theo công thức sau :

Trong đó :
åh''l : Tổng các tích số của chiều cao h" (m) và chiều dài l (m) của kết cấu thượng tầng, lầu hoặc hầm nổi được đặt trên boong liên tục trên cùng trong phạm vi chiều dài tàu và có chiều rộng lớn hơn B/4 và chiều cao lớn hơn 1,5 mét.
f: Như quy định ở (1).
(c) Khi áp dụng (a) và (b) mạn chắn sóng và mạn chắn cao hơn 1,5 mét phải được coi là một phần của thượng tầng hoặc lầu.
(2) Ngoài những yêu cầu (1), đối với tàu kéo thì đặc trưng cung cấp phải được xác định theo công thức sau:
EN - W2/3 + 2,0(fB + åh"b) + 0,1A
Trong đó:
W, f, A : Được xác định như (1) nêu trên
åh"b: Tổng các tích số chiều cao h" với chiều rộng b của từng thượng tầng và lầu rộng nhất có chiều rộng lớn hơn B/4 và được đặt trên boong liên tục cao nhất
3. Neo
(1) Khối lượng của một neo mũi có thể được phép sai khác ± 7% của khối lượng qui định ở Bảng 2-B/21.2.1, nhưng với điều kiện tổng khối lượng của các neo mũi không được nhỏ hơn khối lượng nhận được do nhân khối lượng của từng neo cho trong Bảng với số lượng neo lắp trên tàu. Tuy nhiên, nếu được Đăng kiểm cho phép có thể sử dụng neo có trọng lượng tăng quá 7%.
(2) Nếu sử dụng neo có ngáng thì khối lượng neo (trừ ngáng) không được nhỏ hơn 0,80 lần khối lượng cho trong bảng đối với neo không ngáng thông thường.
(3) Nếu dùng neo có lực bám cao thì khối lượng của mỗi neo có thể lấy bằng 0,75 lần khối lượng cho trong bảng đối với neo không ngáng thông thường.
(4) Nếu dùng neo có lực bám đặc biệt cao thì khối lượng của mỗi neo có thể bằng 0,5 lần khối lượng qui định đối với neo không ngáng thông thường.
4. Xích
(1) Xích neo phải là loại xích có ngáng cấp 1, 2 hoặc 3 quy định ở 3.1 Chương 3 Phần 7-B. Tuy nhiên, xích cấp 1 chế tạo từ thép (SBC31) không được dùng cho neo có lực bám cao.
5. Dây buộc tàu và dây kéo tàu
(1) Nếu sử dụng cáp thép, cáp sợi thảo mộc làm dây buộc tàu và dây kéo tàu thì tải thử kéo đứt quy định ở Chương 4 hoặc 5 Phần 7-B không được nhỏ hơn tải thử kéo đứt tương ứng qui định ở Bảng 2-B/21.2.1.
(2) Đối với các tàu có tỉ số A/EN lớn hơn 0,9 ngoài số lượng dây quy định ở Bảng 2-B/21.2.1, còn phải trang bị thêm số lượng dây qui định dưới đây :
| Nếu | 0,9 < A/EN ≤ 1,1 | : | 1 |
| Nếu | 1,1 < A/EN ≤ 1,2 | : | 2 |
| Nếu | A/EN >1,2 | : | 3 |
Trong đó :
EN : Đặc trưng cung cấp.
A : Như quy định ở 21.2.1-2 (2).
(3) Nếu được Đăng kiểm chấp nhận có thể sử dụng cáp sợi tổng hợp làm dây buộc tàu và dây kéo tàu.
(4) Nếu được Đăng kiểm chấp nhận có thể dùng cáp lõi thép cấu tạo đàn hồi tương ứng thay cho cáp lõi sợi làm dây buộc và được cuốn vào tang trống của tời cuốn dây trên tàu.
(5) Chiều dài của mỗi dây buộc có thể được giảm 7% so với chiều dài quy định ở Bảng 2-B/21.2.1, nếu tổng số chiều dài của dây buộc quy định không nhỏ hơn trị số nhận được do nhân chiều dài của dây buộc với số dây tương ứng quy định ở Bảng 2-B/21.2.1.
6. Những quy định khác
(1) Tất cả các tàu phải được trang bị các phương tiện kéo thả neo.
(2) Một đầu của xích neo phải được buộc cố định vào thân tàu và đầu kia được nối với neo bằng ma ní hoặc các cơ cấu tương ứng khác.
Bảng 2-B/21.2.1 Neo, xích và cáp
| Mã hiệu thiết bị | Đặc trưng cung cấp | Neo | Xích dùng cho neo (xích neo có ngáng) | Dây kéo tàu | Dây buộc tàu | ||||||||||
| Số lượng | Khối lượng một neo (neo không ngáng) | Tổng chiều dài | Đường kính | ||||||||||||
| Loại 1 | Loại 2 | Loại 3 | Tổng chiều dài | Tải kéo đứt | Số lượng | Chiều dài của mỗi đường | Tải thử kéo đứt | ||||||||
|
| (EN) |
| kg | m | mm | mm | mm | m | kN |
| m | kN | |||
| 1 | 2 | 3 | 4 | 5 | 6 | 7 | 8 | 9 | 10 | 11 | 12 | 13 | |||
|
| trên | đến |
|
|
|
|
|
|
|
|
|
|
|
|
|
| A1 | 50 | 70 | 2 | 180 | 220 | 14 | 12,5 |
| 180 |
| 98 | 3 | 80 | 34 |
|
| A2 | 70 | 90 | 2 | 240 | 220 | 16 | 14 |
| 180 | 98 | 3 | 100 | 34 |
| |
| A3 | 90 | 110 | 2 | 300 | 247,5 | 17,5 | 16 |
| 180 | 98 | 3 | 110 | 39 |
| |
| A4 | 110 | 130 | 2 | 360 | 247,5 | 19 | 17,5 |
| 180 | 98 | 3 | 110 | 44 |
| |
| A5 | 130 | 150 | 2 | 420 | 275 | 20,5 | 17,5 |
| 180 | 98 | 3 | 120 | 49 |
| |
| B1 | 150 | 175 | 2 | 480 | 275 | 22 | 19 |
| 180 | 98 | 3 | 120 | 54 |
| |
| B2 | 175 | 205 | 2 | 570 | 302,5 | 24 | 20,5 |
| 180 | 112 | 3 | 120 | 59 |
| |
| B3 | 205 | 240 | 2 | 660 | 302,5 | 26 | 22 | 20,5 | 180 | 129 | 4 | 120 | 64 |
| |
| B4 | 240 | 280 | 2 | 780 | 330 | 28 | 24 | 22 | 180 | 150 | 4 | 120 | 69 |
| |
| B5 | 280 | 320 | 2 | 900 | 357,5 | 30 | 26 | 24 | 180 | 174 | 4 | 140 | 74 |
| |
| C1 | 320 | 360 | 2 | 1020 | 357,5 | 32 | 28 | 24 | 180 | 207 | 4 | 140 | 78 |
| |
| C2 | 360 | 400 | 2 | 1140 | 385 | 34 | 30 | 26 | 180 |
| 227 | 4 | 140 | 88 |
|
| C3 | 400 | 450 | 2 | 1290 | 385 | 36 | 32 | 28 | 180 | 250 | 4 | 140 | 98 |
| |
| C4 | 450 | 500 | 2 | 1440 | 412,5 | 38 | 34 | 30 | 180 | 277 | 4 | 140 | 108 |
| |
| C5 | 500 | 550 | 2 | 1590 | 412,5 | 40 | 34 | 30 | 190 | 306 | 4 | 160 | 123 |
| |
| D1 | 550 | 600 | 2 | 1740 | 440 | 42 | 36 | 32 | 190 | 338 | 4 | 160 | 132 |
| |
| D2 | 600 | 660 | 2 | 1920 | 440 | 44 | 38 | 34 | 190 | 371 | 4 | 160 | 147 |
| |
| D3 | 660 | 720 | 2 | 2100 | 440 | 46 | 40 | 36 | 190 | 406 | 4 | 160 | 157 |
| |
| D4 | 720 | 780 | 2 | 2280 | 467,5 | 48 | 42 | 36 | 190 | 441 | 4 | 170 | 172 |
| |
| D5 | 780 | 840 | 2 | 2460 | 467,5 | 50 | 44 | 38 | 190 | 480 | 4 | 170 | 186 |
| |
| E1 | 840 | 910 | 2 | 2640 | 467,5 | 52 | 46 | 40 | 190 |
| 518 | 4 | 170 | 201 |
|
| E2 | 910 | 980 | 2 | 2850 | 495 | 54 | 48 | 42 | 190 | 559 | 4 | 170 | 216 |
| |
| E3 | 980 | 1060 | 2 | 3060 | 495 | 56 | 50 | 44 | 200 | 603 | 4 | 180 | 230 |
| |
| E4 | 1060 | 1140 | 2 | 3300 | 495 | 58 | 50 | 46 | 200 | 647 | 4 | 190 | 250 |
| |
| E5 | 1140 | 1220 | 2 | 3540 | 522,5 | 60 | 52 | 46 | 200 | 691 | 4 | 190 | 270 |
| |
| F1 | 1220 | 1300 | 2 | 3780 | 522,5 | 62 | 54 | 48 | 200 | 738 | 4 | 180 | 284 |
| |
| F2 | 1300 | 1390 | 2 | 4050 | 522,5 | 64 | 56 | 50 | 200 | 786 | 4 | 180 | 309 |
| |
| F3 | 1390 | 1480 | 2 | 4320 | 550 | 66 | 58 | 50 | 200 | 836 | 4 | 180 | 324 |
| |
| F4 | 1480 | 1570 | 2 | 4590 | 550 | 68 | 60 | 52 | 220 | 888 | 5 | 190 | 324 |
| |
| F5 | 1570 | 1670 | 2 | 4890 | 550 | 70 | 62 | 54 | 220 | 941 | 5 | 190 | 333 |
| |
Chú thích:
(1) Nếu sử dụng cáp thép thì phải dùng cáp thép sau đây tương ứng với mác được qui định ở Bảng này :
(6 x12), Å (6x24), Q (6 x 37)
(2) Chiều dài của cáp có thể gồm cả ma ní liên kết.
CHƯƠNG 22 TÀU DẦU
22.1. Qui định chung
22.1.1. Phạm vi áp dụng
1. Kết cấu và trang thiết bị của những tàu được dự định để đăng ký và phân cấp là "Tàu dầu” và được dự định để chở xô dầu thô và các sản phẩm dầu có áp suất hơi (áp suất tuyệt đối) nhỏ hơn 0,28 MPa ở nhiệt độ 37,8oC hoặc các loại hàng lỏng tương tự khác phải thỏa mãn các qui định trong Chương này.
2. Kết cấu, trang thiết bị và kích thước cơ cấu của tàu dự kiến để chở xô hàng lỏng có áp suất hơi (áp suất tuyệt đối) nhỏ hơn 0,28 MPa ở nhiệt độ 37,8oC, không phải là dầu thô và các sản phẩm dầu, phải thỏa mãn yêu cầu của Đăng kiểm, có chú ý đến đặc tính của hàng hóa được vận chuyển.
3. Những qui định trong Chương này được áp dụng cho các tàu có buồng máy đặt ở đuôi tàu, có một vách dọc và một boong đơn với đáy đơn, có đáy đôi hoặc có kết cấu hai lớp vỏ trong khoang hàng.
4. Trong trường hợp kết cấu của tàu khác với những qui định ở -3 và không phù hợp với những qui định trong Chương này thì các tính toán kết cấu phải thỏa mãn yêu cầu của Đăng kiểm.
5. Nếu không có qui định đặc biệt nào khác ở Chương này thì phải áp dụng những qui định chung đối với kết cấu và trang thiết bị của tàu thép.
6. Thêm vào những yêu cầu được nêu ở -5, phải áp dụng những qui định thích hợp ở Chương 14 Phần 3, Chương 4 Phần 4, Chương 3 và Chương 5 Phần 5 cho các tàu được nêu ở -1.
22.1.2. Bố trí và phân chia khoang hàng
1. Trong các khoang dầu hàng, các vách dọc, vách ngang kín dầu và vách chặn phải được bố trí thích hợp.
2. Các khoang cách ly phải được bố trí thỏa mãn các qui định từ (1) đến (3) sau đây :
(1) Tại phần đầu và phần cuối của các vùng dầu hàng và vùng nằm giữa khu vực dầu hàng và khu vực sinh hoạt của thuyền viên phải bố trí khoang cách ly kín khí có đủ chiều rộng để đi lại. Tuy nhiên, đối với các tàu dầu dự kiến để chở dầu hàng có nhiệt độ bắt lửa trên 61oC, những qui định này có thể được thay đổi thích hợp.
(2) Các khoang cách ly được nêu ở (1) có thể được sử dụng làm buồng bơm.
(3) Các khoang dầu đốt hoặc khoang nước dằn có thể được dùng đồng thời làm khoang cách ly giữa các khoang dầu hàng và dầu đốt hoặc các khoang nước dằn nếu được Đăng kiểm chấp thuận.
3. Các hành lang dẫn đến khu vực hàng hóa (trong Chương này thuật ngữ “khu vực hàng hóa”được định nghĩa như ở 1.1.3 (16) Phần 5) phải được bố trí phù hợp với những yêu cầu ở từ (1) đến (4) sau đây :
(1) Lối vào dẫn đến các khoang cách ly, các két dằn, khoang dầu hàng và các không gian khác trong khu vực hàng hóa phải đi trực tiếp từ boong lộ và đảm bảo kiểm tra được toàn bộ các khoang này. Lối vào dẫn đến khoang đáy đôi có thể đi qua buồng bơm hàng, buồng bơm, két sâu cách ly, hầm chứa ống hoặc các hầm tương tự, nếu vấn đề thông gió được quan tâm đầy đủ.
(2) Đối với lối vào qua các lỗ khoét nằm ngang, miệng khoang hàng hoặc lỗ chui, kích thước phải đủ để cho phép một người có đeo thiết bị dưỡng khí độc lập và thiết bị bảo vệ chui qua để lên hoặc xuống cầu thang không bị cản trở và đồng thời phải có đủ kích thước để thuận tiện cho việc nâng một người bị thương từ đáy khoang lên. Kích thước thông của lỗ khoét phải không nhỏ hơn 600 x 600 (mm).
(3) Đối với lối vào đi xuyên qua lỗ khoét thẳng đứng, hoặc lỗ chui qua suốt chiều dài và chiều rộng của khu vực này, kích thước thông của lỗ khoét phải không nhỏ hơn 600 x 800 (mm), cách tôn đáy một khoảng không lớn hơn 600 mi-li-mét, trừ khi có lưới sắt hoặc chỗ đứng.
(4) Đối với tàu dầu có trọng tải nhỏ hơn 5000 tấn, trong trường hợp đặc biệt, Đăng kiểm có thể chấp nhận giảm kích thước lỗ khoét nêu ở (2) và (3), nếu chứng minh được rằng khả năng đi lại và di chuyển một người bị thương qua các lỗ khoét đó là đảm bảo.
4. Tất cả các khu vực bố trí bơm dầu hàng và hệ thống đường ống dầu hàng phải được cách ly bằng vách kín khí với khu vực lò sưởi, nồi hơi, động cơ lai chân vịt, thiết bị điện kiểu dễ gây cháy nổ thỏa mãn những qui định ở 4.2.5 và 4.3.3 Phần 4 hoặc máy móc thường xuyên phát tia lửa điện. Tuy nhiên, đối với các tàu dầu chở dầu hàng có nhiệt độ bắt lửa lớn hơn 61oC, những qui định này có thể được thay đổi thích hợp.
5. Các lỗ vào và lỗ ra của hệ thống thông gió phải được bố trí sao cho giảm đến mức tối đa khả năng tụ hơi dầu trong khoang kín có chứa các tác nhân gây cháy, hoặc gần khu vực có trang thiết bị máy móc trên boong có thể gây cháy. Đặc biệt, các lỗ thông gió của buồng máy phải cố gắng bố trí càng xa về phía sau của khu vực hàng hóa càng tốt.
6. Lỗ khoét để kiểm tra khoảng trống còn lại khi có hàng trong khoang, lỗ đo mức dầu và các cửa để vệ sinh khoang dầu hàng không được bố trí trong không gian kín.
7. Các lỗ khoét trên vách biên của thượng tầng và lầu lái phải được bố trí sao cho giảm đến mức tối đa tình trạng hơi hàng hóa tụ đọng. Nếu tàu có trang bị hệ thống đường ống nhận và trả hàng ở phía đuôi tàu thì các lỗ khoét ở thượng tầng và lầu phải được xem xét kỹ lưỡng.
22.2. Chiều dày tối thiểu
1. Chiều dày của các cơ cấu trong khoang dầu hàng và các két sâu phải thỏa mãn các qui định ở (1) và (2) sau đây :
(1) Chiều dày của các sống dọc, sống ngang, sống đứng, sống nằm, thanh chống, các mã mút của chúng và tôn vách phải không nhỏ hơn 8 mi-li-mét.
(2) Trong mọi trường hợp chiều dày của các cơ cấu phải không nhỏ hơn 7mi-li-mét.
22.3. Tôn vách
22.3.1. Tôn vách của khoang dầu hàng và két sâu
1. Chiều dày tôn vách t phải không nhỏ hơn trị số lớn hơn xác định từ các công thức sau khi h lần lượt được thay bằng h1, h2:

Trong đó :
S : Khoảng cách giữa các nẹp gia cường (m).
h : Trị số h1 và h2 được xác định như sau đối với khoang dầu hàng (m):
h1 :Khoảng cách thẳng đứng từ mép dưới của tấm tôn vách đang xét đến mép trên miệng khoang.
Đối với vách của các khoang lớn, chiều cao cột nước phải được xem xét thích đáng.
h2: Xác định theo công thức sau :

Đối với két sâu, các trị số của h1 và h2 (m) được lấy như sau :
h1: Khoảng cách thẳng đứng từ mép dưới của tím tôn vách đang xét đến trung điểm của khoảng cách từ nóc két đến miệng ống tràn.
h2: Bằng 0,7 lần khoảng cách thẳng đứng từ mép dưới của tấm tôn vách đang xét đến điểm ở 2,0 mét cao hơn miệng ống tràn.
2. Chiều rộng của dải tôn trên cùng và dải tôn dưới cùng của vách dọc phải không nhỏ hơn 0,1D, và chiều dày của chúng phải không nhỏ hơn trị số tính theo các công thức sau :

Trong đó:
S : Khoảng cách của các nẹp (m).
22.3.2. Vách chặn
1. Nẹp gia cường và các sống phải có đủ độ bền tùy theo kích thước của khoang và tỉ số khoét của vách.
2. Chiều dày t của tôn vách phải không nhỏ hơn trị số tính theo công thức sau :

Trong đó :
S : Khoảng cách các nẹp gia cường (m).
3. Khi tính chiều dày tôn vách chặn cần phải quan tâm thích đáng đến ổn định của tấm.
22.3.3. Hầm boong
Chiều dày của nóc và vách bên của hầm nổi trên boong, cùng với các qui định ở 22.3.1, phải được xác định theo các qui định ở Chương 15.
22.4. Sườn, nẹp và dầm dọc
22.4.1. Dầm dọc đáy
Mô đun chống uốn Z của tiết diện dầm dọc đáy phải không nhỏ hơn trị số tính theo công thức sau :

Trong đó:
l : Khoảng cách của các đà ngang đáy (m).
S : Khoảng cách của các dầm dọc đáy (m).
h : Khoảng cách từ dầm dọc đang xét đến điểm cao hơn mặt trên của tôn giữa đáy một khoảng tính theo công thức sau : d + 0,026L (m)
22.4.2. Dầm dọc mạn
1. Mô đun chống uốn Z của tiết diện dầm dọc mạn gồm cả dầm dọc hông phải lấy bằng trị số lớn hơn trong các trị số tính theo các công thức sau :

Trong đó :
S : Khoảng cách các dầm dọc mạn (m).
I : Khoảng cách các khung sống ngang (m)
h : Khoảng cách từ dầm dọc đang xét đến đến điểm cao hơn mặt tôn giữa đáy một khoảng bằng:
| d + 0,044L - 0,54 | (m) |
2. Đối với các phần trước và sau của đoạn giữa tàu, mô đun chống uốn của tiết diện dầm dọc mạn có thể được giảm dần, đến còn bằng 85% trị số xác định theo yêu cầu ở -1 tại các phần mũi và đuôi tàu. Tuy nhiên, trong mọi trường hợp, mô đun chống uốn của tiết diện dầm dọc mạn phải không nhỏ hơn yêu cầu ở -1 đối với đoạn từ vách chống va đến điểm 0,15L kể từ mũi tàu.
22.4.3. Nẹp vách trong khoang dầu hàng và két sâu
Mô đun chống uốn Z của tiết diện nẹp phải không nhỏ hơn trị số tính theo công thức sau :
| Z = 7CShl2 | (cm3) |
Trong đó :
S : Khoảng cách nẹp (m).
l : Chiều dài toàn bộ giữa các gối tựa của nẹp (m) kể cả chiều dài của liên kết mút. Tuy nhiên, trong trường hợp nếu đặt các sống gia cường thì l là khoảng cách từ liên kết chân nẹp đến sống gia cường gần nhất hoặc là khoảng cách giữa hai sống gia cường.
h : Được lấy như ở 22.3.1-1. Tuy nhiên, ở đây “từ mép dưới của tấm tôn vách đang xét “ phải được thay là “ từ trung điểm của l” nếu là nẹp đứng và phải được thay là “từ trung điểm của khoảng cách giữa nẹp trên và nẹp dưới “ nếu là nẹp nằm.
C : Xác định theo Bảng 2-B/22.1 phụ thuộc vào mức độ liên kết ở hai đầu nẹp.
Bảng 2-B/22.1 Trị số của C
| Một đầu Đầu kia | Liên kết cứng bằng mã | Liên kết mềm bằng mã | Được đỡ bởi sống hoặc liên kết hàn tựa | Vát mút |
| Liên kết cứng bằng mã | 0,70 | 1,15 | 0,85 | 1,30 |
| Liên kết mềm bằng mã | 1,15 | 0,85 | 1,30 | 1,15 |
| Được đỡ bởi sống hoặc liên kết hàn tựa | 0,85 | 1,30 | 1,00 | 1,50 |
| Vát mút | 1,30 | 1,15 | 1,50 | 150 |
Chú thích:
(1) Liên kết cứng bằng mã nghĩa là cố định mối nối giữa tôn đáy đôi hoặc các nẹp tương xứng trong phạm vi mặt liên kết và các mã, hoặc mức cố định tương đương (xem Hình 2-B/11.1 (a) của qui phạm).
(2) Liên kết mềm bằng mã nghĩa là cố định mối nối giữa xà, sườn.v.v..., giao nhau và mã (xem Hình 2-B/11.1 (b) của qui phạm).
22.4.4. Độ ổn định
1. Xà dọc boong, dầm dọc mạn gắn với dải tôn mép mạn và các nẹp gia cường dọc gắn với vách dọc trong phạm vi 0,1D kể từ boong tính toán ở đoạn giữa tàu phải cố gắng có độ mảnh không lớn hơn 60.
2. Thép dẹt dùng làm xà dọc boong và dầm dọc mạn phải có tỉ số chiều cao tiết diện chia cho chiều dày không lớn hơn 15.
3. Chiều rộng toàn bộ của bản mép của xà dọc boong và dầm dọc mạn phải không nhỏ hơn trị số xác định theo công thức sau :

Trong đó:
d0: Chiều cao tiết diện bản thành của xà dọc boong và dầm dọc mạn (m).
l : Khoảng cách các sống ngang (m).
4. Trong trường hợp nếu các thép ghép, các thép hình đặc biệt hoặc tấm bẻ mép được dùng làm sườn, xà và nẹp gia cường, mà các kích thước của chúng được xác định theo mô đun chống uốn của tiết diện thì chiều dày bản thành phải không nhỏ hơn trị số xác định theo công thức sau :

Trong đó:
d0: Chiều cao tiết diện bản thành (m).
Tuy nhiên, trong trường hợp chiều cao tiết diện của bản thành được thiết kế lớn hơn trị số qui định không phải vì lý do độ bền thì chiều dày có thể được giảm thích hợp.
22.4.5. Thanh chống thẳng đứng
Nếu một thanh chống thẳng đứng được đặt ở giữa khoảng cách của các đà ngang thì thanh chống phải thỏa mãn các yêu cầu ở 4.4.3. Nếu có thanh chống thì mô đun chống uốn của tiết diện dầm dọc đáy dưới và dầm dọc đáy trên có thể được giảm xuống còn bằng 0,72 lần trị số tính được khi áp dụng các qui định ở 22.4.1 hoặc 22.4.3.
22.4.6. Các qui định khác
Mô đun chống uốn của tiết diện xà dọc boong phải không nhỏ hơn trị số xác định theo 8.2.3. Mô đun chống uốn của tiết diện dầm dọc đáy, dầm dọc mạn và xà dọc boong phải không nhỏ hơn trị số xác định theo 22.4.3.
22.5. Các cơ cấu trong đáy đôi
22.5.1. Sống
Vị trí và kích thước của các sống, đà ngang và các cơ cấu khác liên kết với chúng trong đáy đôi phải phù hợp với các qui định có liên quan ở Chương 4 cùng với các qui định ở Chương này.
22.5.2. Các cơ cấu khác
Các cơ cấu khác với các cơ cấu được qui định ở 22.5.1 phải theo các qui định ở Chương 4 cùng với các qui định ở Chương này.
22.6. Các cơ cấu trong mạn kép
22.6.1. Bố trí
1. Trong trường hợp nếu tàu có mạn kép thì chiều rộng của mạn kép phải không nhỏ hơn 760 mi-li-mét.
2. Trong mạn kép, các khung sống ngang phải được đặt cách nhau không xa quá 3,5 mét.
3. Bổ sung vào các qui định ở -2, các khu vực sau đây phải được đặt khung sống ngang :
(1) Các vùng có bố trí đà ngang đặc ở trong đáy đôi.
(2) Hai bên của vách ngang.
22.6.2. Chiều dày của khung sống ngang
Chiều dày của khung sống ngang phải không nhỏ hơn trị số tính theo công thức sau :

22.6.3. Lỗ khoét giảm trọng lượng
Trong phạm vi 0,2D kể từ tôn đáy trên, đường kính của các lỗ khoét giảm trọng lượng ở khung sống ngang đặt ở nửa giữa của chiều dài khoang dầu hàng không được lớn hơn 1/5 chiều rộng của khung sống ngang. Tuy nhiên, nếu được gia cường thích đáng, thì qui định này có thể thay đổi thích hợp đối với trường hợp chiều dài của khoang dầu hàng rất nhỏ.
22.7. Sống dọc và khung sống ngang trong khoang dầu hàng và két sâu
22.7.1. Kích thước
1. Mô đun chống uốn Z của tiết diện sống không được nhỏ hơn trị số xác định theo công thức sau :
| Z = 7,13Shl2 | (cm3) |
Trong đó:
S : Chiều rộng của diện tích được đỡ bởi sống (m).
l : Chiều dài toàn bộ của sống (m).
h : Như qui định ở 22.3.1-1. Tuy nhiên, ở đây cụm từ “từ cạnh dưới của tấm tôn vách đang xét” được thay là “từ trung điểm của S “ đối với sống nằm, và là “từ trung điểm của l “ đối với sống đứng.
2. Mô men quán tính I của tiết diện sống phải không nhỏ hơn trị số xác định theo công thức sau. Tuy nhiên, chiều cao tiết diện của sống không được nhỏ hơn 2,5 lần chiều cao lỗ khoét để cơ cấu chui qua.
| I = 30 hl4 | (cm4) |
Trong đó :
h và l: Như qui định ở -1.
3. Chiều dày t của sống phải không nhỏ hơn trị số tính theo công thức sau :
| t = 10S1 + 3,5 | (mm) |
Trong đó :
S1: Khoảng cách các nẹp của sống hoặc chiều cao tiết diện sống, lấy giá trị nào nhỏ hơn (m).
4. Chiều dày t của nẹp làm bằng thanh thép dẹt và của mã chống vặn gắn trên các sống dọc, sống ngang và nẹp gắn vào vách phải không nhỏ hơn trị số xác định từ các công thức sau. Tuy nhiên, chiều dày này không cần phải lớn hơn chiều dày bản thành của sống mà chúng được gắn vào.

5. Chiều dày bản mép của sống phải lớn hơn chiều dày bản thành và chiều rộng toàn bộ của bản mép phải không nhỏ hơn trị số xác định theo công thức sau :
Trong đó :
d0: Chiều cao tiết diện của sống (m). Nếu sống là dầm có tiết diện cân đối thì d0 là chiều cao từ mặt tôn đến bản mép của sống.
l : khoảng cách giữa các gối tựa của sống (m). Tuy nhiên, nếu có đặt các mã chống vặn hữu hiệu thì các mã này có thể được coi là gối tựa.
22.7.2. Sống ngang mạn của tàu không có mạn kép
1. Thêm vào các qui định ở 22.7.1-1, chiều cao tiết diện d0 và mô đun chống uốn Z của tiết diện sống ngang mạn (trong thành phần khung ngang) trong khoang dầu hàng phải không nhỏ hơn trị số tương ứng xác định theo các công thức sau, tuy nhiên, chiều cao tiết diện của sống ngang mạn phải không nhỏ hơn 2,5 lần chiều cao lỗ khoét để cơ cấu chui qua :

Trong đó :
l0 : Chiều dài toàn bộ của sống ngang mạn (m), lấy bằng khoảng cách từ mặt dưới của bản mép của sống ngang boong (trong thành phần khung ngang) đến tôn đáy trên.
S : Khoảng cách các sống ngang (m).
h : Khoảng cách từ trung điểm của l0 đến điểm cao hơn mặt tôn giữa đáy một khoảng bằng :
| d + 0,044L - 0,54 | (m) |
k : Hệ số điều chỉnh do các mã xác định theo công thức sau :

Trong đó :
b1, b2 : Chiều dài cạnh mã tại hai mút của sống ngang (m).
2. Đối với các tàu có hầm boong, kết cấu có sống ngang boong liên tục đi qua hầm boong phải được coi là tiêu chuẩn. Trong trường hợp này, chiều cao tiết diện của sống ngang boong coi như được đỡ bởi hầm boong có thể được lấy hàng 0,03B.
22.7.3. Các sống ngang của tàu có đáy đơn ở vùng khoang hàng
1. Chiều cao tiết diện d0 và mô đun chống uốn tiết diện Z của đà ngang đáy phải không nhỏ hơn trị số tính theo công thức tương ứng sau đây :

Trong đó :
l0 : Chiều dài toàn bộ của đà ngang (m), bằng khoảng cách từ mép trong của bản mép sống ngang mạn đến mép trong của bản mép sống đứng vách dọc tâm.
S và k : Như qui định ở 22.7.2-1.
2. Kích thước của các sống ngang của tàu có đáy đơn ở vùng khoang hàng phải không nhỏ hơn kích thước xác định được theo các yêu cầu ở 22.7.1 và 22.7.2.
22.8. Gia cường đáy phía mũi tàu
Biện pháp gia cường đáy phía mũi tàu phải thỏa mãn các yêu cầu ở 4.9 và 14.4.4.
22.9. Các chi tiết kết cấu
22.9.1. Qui định chung
1. Các cơ cấu chính phải được bố trí sao cho đảm bảo được sự liên tục của độ bền cho khu vực hàng hóa. Ở vùng phía trước và phía sau khu vực chứa hàng, các kết cấu phải đủ bền để tránh suy giảm đột ngột sự liên tục của độ bền.
2. Với các cơ cấu chính, phải quan tâm thích đáng đến độ cố định ở các mút, đến biện pháp đỡ và gia cường để tránh biến dạng vênh, và phải giảm đến mức tối thiểu tình trạng tập trung ứng suất ở kết cấu.
22.9.2. Dầm và nẹp
Xà dọc boong, dầm dọc và nẹp dọc phải là các cơ cấu liên tục, hoặc phải được liên kết chắc chắn để sao cho tiết diện ở các mút của chúng chịu được mô men uốn.
22.9.3. Sống và thanh giằng
1. Các sống nằm trong cùng một mặt phẳng phải được bố trí sao cho tránh được sự thay đổi đột ngột về độ bền và độ cứng, hai đầu của sống phải được gắn mã có kích thước thích hợp, đỉnh của mã phải được lượn hữu hiệu.
2. Trong trường hợp nếu chiều cao tiết diện của sống dọc lớn thì phải đặt nẹp song song với bản mép.
3. Mã chống vặn phải được đặt ở trên bản thành của sống ngang tại đỉnh trong của các mã mút,v.v..., và theo những khoảng cách thích hợp để gia cường chắc chắn sống ngang.
4. Các mã ở mút dưới và mút trên của sống ngang mạn và sống đứng của vách dọc và các sống lân cận phải được gia cường thích đáng.
22.10. Các qui định riêng đối với han gỉ
22.10.1. Chiều dày của tôn bao
1. Ở những tàu không có mạn kép, chiều dày của tôn bao tạo thành vách biên của các khoang dầu hàng có dự định để chứa nước dằn phải không nhỏ hơn chiều dày xác định theo công thức cho ở 14.3.2 qui định ở Chương 14, cộng thêm 0,5 mi-li-mét.
2. Khi áp dụng các qui định của Chương này, chiều dày của tôn bao có thể được giảm 0,5 mi-li-mét so với chiều dày xác định theo công thức cho ở 22.3.1 nếu có các biện pháp hữu hiệu để hạn chế han gỉ.
22.10.2. Chiều dày của tôn boong
1. Khi áp dụng những qui định của Chương này, chiều dày tôn boong mạn khô có thể được giảm 0,5 mi-li-mét so với chiều dày tính theo công thức cho ở 22.3.1 nếu có các biện pháp hữu hiệu để hạn chế han gỉ.
2. Khi áp dụng những qui định ở Chương 15, chiều dày tôn boong mạn khô ở khoang dầu hàng là chiều dày xác định theo công thức cho ở 15.4 cộng thêm ít nhất là 0,5 mi-li-mét.
22.10.3. Chiều dày của tôn nóc két
Chiều dày của tôn nóc két trong khoang dầu hàng và két sâu không được nhỏ hơn chiều dày tương ứng xác định theo công thức cho ở 22.3.1, cộng thêm 1,0 mi-li-mét. Tuy nhiên, sự cộng thêm này là không bắt buộc đối với tôn đáy trên.
22.10.4. Mô đun chống uốn của tiết diện xà dọc boong, dầm dọc mạn và nẹp gia cường dọc
1. Mô đun chống uốn của tiết diện xà dọc boong trong các khoang dầu hàng phải không nhỏ hơn 1,1 lần trị số tính theo các qui định ở 8.2.3.
2. Mô đun chống uốn của tiết diện dầm dọc đáy và dầm dọc mạn trong các khoang dầu hàng có dự kiến để chứa nước dằn, trừ những khoang chỉ dùng để chứa nước dằn trong điều kiện thời tiết xấu, phải không nhỏ hơn trị số tính theo công thức thứ nhất trong qui định ở 22.4.1 và 22.4.2 sử dụng hệ số 9,3, và công thức thứ hai trong qui định ở 22.4.2 sử dụng hệ số 3,2. Mô đun chống uốn của tiết diện các nẹp ở các khoang dầu hàng nêu trên phải không nhỏ hơn 1,1 lần trị số tính được khi áp dụng các qui định ở 22.4.3.
22.11. Các qui định riêng đối với miệng khoang và bố trí thoát nước mặt boong
22.11.1. Tàu có mạn khô quá lớn
Đối với tàu có mạn khô quá lớn việc miễn giảm so với được qui định ở 22.11 sẽ được xem xét riêng trong từng trường hợp cụ thể.
22.11.2. Miệng của khoang dầu hàng
1. Chiều dày tôn thành của miệng khoang dầu hàng phải không nhỏ hơn 10 mi-li-mét. Nếu chiều dài của thành miệng khoang lớn hơn 1,25 mét và chiều cao cửa thành miệng khoang lớn hơn 760 mi-li-mét thì phải đặt các nẹp đứng trên thành dọc hoặc thành ngang và mép trên của thành miệng khoang phải được gia cường thích đáng.
2. Nắp khoang hàng phải được làm bằng thép hoặc bằng vật liệu được chấp nhận khác. Kết cấu của nắp miệng khoang bằng thép phải thỏa mãn các qui định từ (1) đến (4) dưới đây. Kết cấu của nắp miệng khoang làm bằng vật liệu không phải là thép phải thỏa mãn yêu cầu của Đăng kiểm.
(1) Chiều dày tôn nắp phải không nhỏ hơn 12 mi-li-mét. Ở những tàu có chiều dài không lớn hơn 60 mét yêu cầu này có thể được thay đổi.
(2) Nếu diện tích của miệng khoang lớn hơn 1 mét vuông nhưng không lớn hơn 2,5 mét vuông, thì nắp miệng khoang phải được gia cường bằng các thanh thép dẹt có chiều cao tiết diện bằng 100 mi-li-mét đặt cách nhau không xa quá 610 mi-li-mét. Tuy nhiên, nếu tôn nắp miệng khoang có chiều dày bằng 15 mi-li-mét hoặc lớn hơn thì có thể không cần nẹp gia cường.
(3) Nếu diện tích của miệng khoang lớn hơn 2,5 mét vuông thì tôn nắp miệng khoang phải được gia cường bằng các thanh thép dẹt có chiều cao tiết diện bằng 125 mi-li-mét đặt cách nhau không xa quá 610 mi-li-mét.
(4) Nắp miệng khoang phải được cố định chắc chắn bằng khóa đặt cách nhau không xa quá 457 mi-li-mét đối với nắp miệng khoang hình tròn hoặc cách nhau không xa quá 380 mi-li-mét và không xa quá 230 mi-li-mét kể từ góc đối với nắp miệng khoang hình chữ nhật.
3. Nắp phải có lỗ khoét có đường kính tối thiểu bằng 150 mi-li-mét, lỗ khoét phải được kết cấu sao cho có thể kín dầu bằng nút có ren hoặc bằng nắp có lỗ để quan sát.
4. Thành miệng khoang phải được gắn van khí hoặc các thiết bị xả khí thích hợp khác.
22.11.3. Miệng của khoang không phải là khoang dầu hàng
Ở những vị trí lộ trên boong mạn khô và boong dâng mũi hoặc trên nóc của két giãn nở trên boong, các miệng khoang không phải là khoang dầu hàng phải có các nắp kín nước bằng thép có kích thước thỏa mãn yêu cầu ở 17.2.4. và 17.2.5.
22.11.4. Cầu boong và lối đi
1. Cầu boong cố định ở phía mũi và phía đuôi theo quy định ở 19.7 phải được bố trí ở cùng độ cao với boong thượng tầng, đi từ lầu lái hoặc lầu giữa tàu đến thượng tầng hoặc lầu ở phía đuôi hoặc phải bố trí các phương tiện để đi lại có công dụng tương tự như cầu boong, ví dụ hành lang dưới boong. Ở những tàu không có lầu lái và lầu giữa tàu, phải bố trí lối đi thỏa mãn yêu cầu của Đăng kiểm để bảo vệ thuyền viên đi đến tất cả các khu vực tác nghiệp cần thiết trên tàu.
2. Ở độ cao của cầu boong phải có các lối đi an toàn và thích hợp từ các buồng ở của thuyền viên đến buồng máy hoặc giữa các khu vực ở biệt lập của thuyền viên.
22.11.5. Hệ thống thoát nước mặt boong
1. Những tàu có mạn chắn sóng phải có lan can thoáng ít nhất là trên một nửa chiều dài phần lộ của boong mạn khô hoặc phải có hệ thống thoát nước hữu hiệu khác. Mép trên của dải tôn mép mạn phải cố gắng thấp.
2. Nếu các thượng tầng được nối với nhau bằng hầm boong, thì lan can thoáng phải được đặt trên toàn bộ chiều dài phần lộ của boong mạn khô.
CHƯƠNG 23 HƯỚNG DẪN XẾP HÀNG
23.1. Qui định chung
23.1.1. Phạm vi áp dụng
1. Chương này được áp dụng cho những tàu có chiều dài tính mạn khô từ 65 m trở lên ( Lf ≥ 65 m )
2. Để giúp cho thuyền trưởng bố trí xếp hàng và dằn tàu tránh xảy ra ứng suất lớn hơn ứng suất cho phép trong kết cấu của tàu, tàu phải có hướng dẫn xếp hàng được Đăng kiểm duyệt. Những tàu được Đăng kiểm chấp thuận có thể không phải áp dụng các qui định đặc biệt này.
23.1.2. Hướng dẫn xếp hàng
Hướng dẫn xếp hàng phải bao gồm nhũng thông tin tối thiểu như sau:
(1) Điều kiện xếp hàng được làm cơ sở thiết kế tàu, bao gồm giới hạn cho phép của mô men uốn và lực cắt trên nước tĩnh.
(2) Kết quả tính toán của mô men uốn và lực cắt trên nước tĩnh tương ứng với các điều kiện xếp hàng
(3) Giới hạn cho phép tải trọng cục bộ được áp dụng đối với miệng hầm hàng, boong , kết cấu đáy đôi vv..., nếu Đăng kiểm thấy cần thiết
CHƯƠNG 24 TÀU ĐƯỢC PHÂN CẤP HOẠT ĐỘNG Ở VÙNG BIỂN HẠN CHẾ
24.1. Qui định chung
24.1.1. Phạm vi áp dụng
1. Những qui định của Chương này được áp dụng cho tàu được phân cấp hoạt động ở vùng biển hạn chế I, II và III.
2. Nếu không có yêu cầu nào khác ở Chương này, thì phải áp dụng các chương có liên quan.
24.2. Mô đun chống uốn tiết diện ngang thân tàu
1. Mô đun chống uốn tiết diện ngang thân tàu không nhỏ hơn trị số Z tính theo công thức sau đây :
| Z = 5,72 (MS + MW) K | (cm3) |
Trong đó :
MS: Mô men uốn dọc tàu trên nước lặng (kN.m) tại tiết diện ngang đang xét. MS được tính toán theo các trạng thái tải trọng điển hình và theo phương pháp được Đăng kiểm thừa nhận.
Mw : Mô men uốn dọc tàu trên sóng (kN.m) tại tiết diện đang xét, ứng với trường hợp uốn võng xuống hoặc vồng lên. Mw được xác định như đã nêu ở 13.2.1-1.
K: Là hệ số, phụ thuộc vào vùng hạn chế:
K = 1,00 đối với tàu có vùng hoạt động hạn chế I.
K = 0,95 đối với tàu có vùng hoạt động hạn chế II.
K = 0,90 đối với tàu có vùng hoạt động hạn chế III.
2. Mô đun chống uốn tối thiểu
Trong mọi trường hợp mô đun chống uốn tiết diện ngang thân tàu không được nhỏ hơn trị số :
| Wmin = K C1 L12 B (Cb + 0,7) | (cm3) |
Trong đó:
K: Lấy như ở -1;
C1 , L1, B, Cb : Như qui định ở 13.2.1-1.
3. Mô men quán tính tiết diện ngang thân tàu (cm4) phải không nhỏ hơn trị số :
I = 3. Wmin L1
Trong đó:
Wmin : Như qui định ở -2.
L1 : Như qui định ở 13.2.1-1.
24.3. Kích thước các cơ cấu thân tàu
1. Khi tính toán các cơ cấu thân tàu của tàu có vùng hoạt động hạn chế theo các Chương có liên quan ở Phần 2-B này, các trị số tính toán (trừ trị số mô men quán tính) có thể được giảm :
5% đối với tàu hoạt động ở vùng biển hạn chế I
10% đối với tàu hoạt động ở vùng biển hạn chế II
15% đối với tàu hoạt động ở vùng biển hạn chế III
Tuy nhiên không được phép giảm đối với những cơ cấu sau đây :
Sống mũi, sống đuôi, giá đỡ trục chân vịt.
Đà ngang kín nước, tôn đáy trên và cơ cấu dọc của tôn đáy trên chứa hàng nặng.
Các cơ cấu trong két sâu và các cơ cấu của vách chống va.
Các cơ cấu mạn tàu dầu, các cơ cấu đảm bảo độ bền chống băng.
Các xà ngang của boong chở hàng, các cơ cấu của boong lộ thiên có tải trọng boong được tính theo 15.1.
2. Chiều dày tối thiểu của tôn bao có thể được giảm như sau :
5 % đối với tàu hoạt động ở vùng biển hạn chế II
10 % đối với tàu hoạt động ở vùng biển hạn chế III
Trong mọi trường hợp, chiều dày tôn đáy và tôn mạn không được nhỏ hơn 6 mi-li-mét, chiều dày tôn boong không được nhỏ hơn 5 mi-li-mét.
24.4. Chiều cao thành miệng khoang và ngưỡng cửa
Chiều cao của thành miệng khoang hàng, ngưỡng cửa,v.v..., của tàu hoạt động ở vùng biển hạn chế II và III có thể được giảm đến bằng chiều cao qui định ở Bảng 2-B/24.1.
24.5. Nắp miệng khoang
1. Nắp miệng khoang có thể là kiểu được bảo vệ.
2. Chiều dày của nắp miệng khoang bằng thép không dùng để xếp hàng có thể bằng 4,5 mi-li-mét.
3. Nẹp phải được đặt theo khoảng cách thích hợp ở nắp miệng khoang bằng thép, và mô đun chống uốn của tiết diện nẹp ở nắp miệng khoang không dùng để xếp hàng có thể được giảm so với trị số tính theo công thức ở 17.2.4-1 lấy C1 bằng 17.
24.6. Trang thiết bị
1. Trang thiết bị của tàu phải thỏa mãn các qui định ở Chương 21. Tuy nhiên, đối với tàu có vùng hoạt động hạn chế phải có hai neo mũi.
2. Không phụ thuộc vào -1, trọng lượng của một trong hai neo có thể được giảm 15 % so với trọng lượng yêu cầu ở Bảng 2-B/21.2.1 đối với tàu có vùng hoạt động hạn chế II. Đối với tàu có vùng hoạt động hạn chế III, ngoài việc giảm như trên, mã hiệu của trang thiết bị ở Bảng 2-B/21.2.1 được phép lùi lại 1 cấp.
Bảng 2-B/24.1 Chiều cao của thành miệng khoang và của ngưỡng cửa,v.v...
(Đơn vị : mm)
| Vùng hoạt động | Vị trí của miệng khoang,v.v... | Loại của miệng khoang, v.v... | ||||
| [A] | [B] | [C] | [D] | [E] | ||
| Vùng biển hạn chế II | I | 600 | 450 | 450 | 380 | 900 |
| II | 450 | 380 | 300 | 300 | 760 | |
| Vùng biển hạn chế III | I | 450 | 380 | 300 | 300 | 760 |
| II | 300 | 230 | 230 | 230 | 450 | |
Trong đó:
[A] = Miệng khoang nói chung
[B] = Miệng khoang nhỏ, có diện tích không lớn hơn 1,5 m2
[C] = Hành lang đi lại.
[D] = Cửa ở vách mút thượng tầng
[E] = Cửa thông gió
MỤC LỤC
Chương 1 Qui định chung
1.1. Phạm vi áp dụng và thay thế tương đương
1.2. Qui định chung
1.3. Vật liệu, kích thước cơ cấu, mối hàn và liên kết mút của cơ cấu
1.4. Các định nghĩa
Chương 2 Sống mũi và sống đuôi
2.1. Sống mũi
2.2. Sống đuôi
Chương 3 Đáy đơn
3.1. Qui định chung
3.2. Sống chính
3.3. Sống phụ
3.4. Đà ngang tấm
3.5. Dầm dọc đáy
3.6. Gia cường đáy phía mũi tàu
Chương 4 Đáy đôi
4.1. Qui định chung
4.2. Sống chính
4.3. Sống phụ
4.4. Đà ngang đặc
4.5. Đà ngang hở
4.6. Dầm dọc
4.7. Tôn đáy trên và sống hông
4.8. Mã hông
4.9. Gia cường đáy phía mũi tàu
Chương 5 Sườn
5.1. Quy định chung
5.2. Khoảng cách sườn
5.3. Sườn ngang khoang
5.4. Dầm dọc mạn
5.5. Sườn nội boong
5.6. Sườn dưới boong mạn khô
Chương 6 Xà ngang công xon
6.1. Xà ngang công xon
6.2. Sườn khỏe
6.3. Liên kết của xà ngang công xon với sườn khỏe
Chương 7 Gia cường chống va
7.1. Quy định chung
7.2. Gia cường chống va ở phía trước vách chống va
7.3. Bố trí kết cấu ở phía sau vách đuôi
Chương 8 Xà boong
8.1. Quy định chung
8.2. Xà dọc boong
8.3. Xà ngang boong
8.4. Xà boong ở hõm vách và ở các chỗ khác
8.5. Xà boong ở nóc két sâu
8.6. Xà boong chịu tải đặc biệt nặng
8.7. Xà của boong chở xe có bánh
Chương 9 Cột chống
9.1. Quy định chung
9.2. Kích thước
9.3. Vách dọc và các kết cấu khác bố trí thay thế cho cột
9.4. Vách quây bố trí thay thế cho cột
Chương 10 Sống boong
10.1. Quy định chung
10.2. Sống dọc boong
10.3. Sống ngang boong
10.4. Sống boong trong các két
10.5. Sống dọc miệng khoang
10.6. Xà ngang đầu miệng khoang
Chương 11 Vách kín nước
11.1. Bố trí vách kín nước
11.2. Kết cấu của vách kín nước
11.3. Của kín nước
Chương 12 Két sâu
12.1. Quy định chung
12.2. Vách két sâu
12.3. Phụ tùng của két sau
Chương 13 Độ bền dọc
13.1. Quy định chung
13.2. Độ bền uốn
13.3. Độ ổn định nén
Chương 14 Tôn bao
14.1. Quy định chung
14.2. Dải tôn giữa đáy
14.3. Tôn bao ở đoạn giữa tàu
14.4. Tôn bao ở phần mũi và phần đuôi tàu
14.5. Tôn mạn ở vùng thượng tầng
14.6. Bồi thường cục bộ tôn bao
Chương 15 Boong
15.1. Tải trọng boong h
15.2. Quy định chung
15.3. Diện tích tiết diện hiệu dụng của boong tính toán
15.4. Tôn boong
Chương 16 Thượng tầng và lầu
16.1. Quy định chung
16.2. Kết cấu và kích thước cơ cấu
16.3. Các phương tiện đóng mở các lối ra vào
Chương 17 Miệng khoang, miệng buồng máy và các lỗ khoét khác ở boong
17.1. Quy định chung
17.2. Miệng khoang
17.3. Miệng buồng máy
17.4. Miệng khoét ở chòi và miệng khoét khác ở boong
Chương 18 Buồng máy, buồng nồi hơi, hầm trục và hõm hầm trục
18.1. Quy định chung
18.2. Bệ máy chính
18.3. Kết cấu buồng nồi hơi
18.4. Ổ chặn và bệ ổ chặn
18.5. Bệ ổ đỡ và bệ máy phụ
18.6. Hầm trục và hõm hầm trục
Chương 19 Mạn chắn sóng, lan can, hệ thống thoát nước, cửa hàng hóa và các cửa tương tự khác, lỗ khoét ở mạn, lỗ thông gió và cầu boong
19.1. Mạn chắn sóng và lan can
19.2. Bố trí thoát nước
19.3. Cửa mũi và cửa trong
19.4. Cửa mạn và cửa đuôi tàu
19.5. Lỗ khoét ở mạn
19.6. Ống thông gió
19.7. Cầu boong
Chương 20 Ván sàn, ván thành, tráng xi măng và sơn
20.1. Ván sàn
20.2. Ván thành
20.3. Tráng xi măng
20.4. Sơn
Chương 21 Trang thiết bị
21.1. Bánh lái
21.2. Trang thiết bị
Chương 22 Tàu dầu
22.1. Quy định chung
22.2. Chiều dày tối thiểu
22.3. Tôn vách
22.4. Sườn, nẹp và dầm dọc
22.5. Các cơ cấu trong đáy đôi
22.6. Các cơ cấu trong mạn kép
22.7. Sống dọc và khung sống ngang trong khoang dầu hàng và két sâu
22.8. Gia cường đáy phía mũi tàu
22.9. Các chi tiết kết cấu
22.10. Các qui định riêng đối với han gỉ
22.11. Những qui định riêng đối với miệng khoang hàng và hệ thống thoát nước mặt boong
Chương 23 Hướng dẫn xếp hàng
23.1. Qui định chung
Chương 24 Tàu được phân cấp hoạt động ở vùng biển hạn chế
24.1. Quy định chung
24.2. Mô đun chống uốn tiết diện ngang thân tàu
24.3. Kích thước các cơ cấu thân tàu
24.4. Chiều cao thành miệng khoang và ngưỡng cửa
24.5. Nắp miệng khoang
24.6. Trang thiết bị
Bạn chưa Đăng nhập thành viên.
Đây là tiện ích dành cho tài khoản thành viên. Vui lòng Đăng nhập để xem chi tiết. Nếu chưa có tài khoản, vui lòng Đăng ký tại đây!
























