- Tổng quan
- Nội dung
- Tiêu chuẩn liên quan
- Lược đồ
- Tải về
Tiêu chuẩn TCVN 14137:2025 Đo tiêu thụ điện năng và quãng đường ô tô điện
| Số hiệu: | TCVN 14137:2025 | Loại văn bản: | Tiêu chuẩn Việt Nam |
| Cơ quan ban hành: | Bộ Khoa học và Công nghệ | Lĩnh vực: | Giao thông , Công nghiệp |
| Trích yếu: | Phương tiện giao thông đường bộ - Đo tiêu thụ điện năng và quãng đường chạy thuần điện của ô tô điện chở người và chở hàng hạng nhẹ trong phê duyệt kiểu | ||
|
Ngày ban hành:
Ngày ban hành là ngày, tháng, năm văn bản được thông qua hoặc ký ban hành.
|
22/05/2025 |
Hiệu lực:
|
Đã biết
|
| Người ký: | Đang cập nhật |
Tình trạng hiệu lực:
Cho biết trạng thái hiệu lực của văn bản đang tra cứu: Chưa áp dụng, Còn hiệu lực, Hết hiệu lực, Hết hiệu lực 1 phần; Đã sửa đổi, Đính chính hay Không còn phù hợp,...
|
Đã biết
|
TÓM TẮT TIÊU CHUẨN VIỆT NAM TCVN 14137:2025
Tiêu chuẩn quốc gia TCVN 14137:2025 - Quy định về đo tiêu thụ điện năng và quãng đường chạy thuần điện của ô tô điện
Tiêu chuẩn quốc gia TCVN 14137:2025 được ban hành nhằm hướng dẫn việc đo tiêu thụ điện năng và quãng đường chạy thuần điện của các loại ô tô điện chở người và chở hàng hạng nhẹ. Tiêu chuẩn này được thông qua để áp dụng cho phép thử kiểu I theo chu trình thử xe hạng nhẹ hài hòa thế giới (WLTP). Văn bản này đã được Ủy ban Tiêu chuẩn Đo lường Chất lượng Quốc gia đề xuất và công bố bởi Bộ Khoa học và Công nghệ.
Tiêu chuẩn áp dụng cho các xe loại M1, M2, N1 với khối lượng chuẩn không quá 2.610 kg, bao gồm cả tải trọng tối đa cho phép không quá 3.500 kg. Kết quả thử nghiệm căn cứ vào quy trình đo đạc được quy định, cũng như các tài liệu viện dẫn liên quan mà xe phải tuân thủ trong điều kiện bình thường. WLTP (World Harmonized Light Vehicle Test Procedure) là phương pháp chính được sử dụng cho việc thử nghiệm, giúp đạt được các số liệu chính xác về hiệu suất năng lượng của xe điện.
Để khẳng định các thông số và giá trị danh nghĩa như mức tiêu thụ điện năng và quãng đường chạy, các yêu cầu kiểm tra cũng được quy định chi tiết. Các ô tô điện sẽ phải được thử nghiệm với độ chính xác và hiệu chuẩn cao, bao gồm các điều kiện khí quyển và kỹ thuật được thiết lập rõ ràng. Đặc biệt, xe thử nghiệm phải đại diện cho dây chuyền sản xuất, bảo đảm các bộ phận của nó tuân thủ tiêu chuẩn thiết kế và sản xuất.
Tiêu chuẩn cũng định nghĩa rõ các thuật ngữ liên quan đến nâng cao khả năng bảo mật trong hệ thống điện tử của xe, nhằm tránh việc thay đổi các thông số vận hành một cách trái phép. Điều này bao gồm yêu cầu thiết lập phản hồi của hệ thống đo lường sao cho phù hợp, nhằm bảo đảm sự chính xác và độ tin cậy trong các kết quả thử nghiệm.
TCVN 14137:2025 được ban hành ngày 01/01/2025 và có hiệu lực thi hành cùng ngày. Tiêu chuẩn này không thay thế nhưng thúc đẩy sự phát triển và áp dụng các quy định mới trong lĩnh vực xe điện tại Việt Nam, hướng tới sự phát triển bền vững trong ngành giao thông vận tải.
Với sự gia tăng nhanh chóng của ô tô điện, việc tuân thủ TCVN 14137:2025 sẽ giúp đảm bảo rằng phương tiện giao thông điện được sản xuất có hiệu suất năng lượng tối ưu, giảm thiểu tiêu thụ điện năng và quãng đường chạy hiệu quả, đồng thời góp phần tích cực vào bảo vệ môi trường.
Tải tiêu chuẩn Việt Nam TCVN 14137:2025
TIÊU CHUẨN QUỐC GIA
TCVN 14137:2025
PHƯƠNG TIỆN GIAO THÔNG ĐƯỜNG BỘ - ĐO TIÊU THỤ ĐIỆN NĂNG VÀ QUÃNG ĐƯỜNG CHẠY THUẦN ĐIỆN CỦA Ô TÔ ĐIỆN CHỞ NGƯỜI VÀ CHỞ HÀNG HẠNG NHẸ TRONG PHÊ DUYỆT KIỂU
Road vehicles - Measurement of electric energy consumption and electric range of light duty passenger and commercial vehicles in type approval
Lời nói đầu
TCVN 14137:2025 được biên soạn trên cơ sở UNR 154 Revision 2:2022 Uniform provisions concerning the approval of light duty passenger and commercial vehicles with regards to criteria emissions, emissions of carbon dioxide and fuel consumption and/or the measurement of electric energy consumption and electric range (WLTP).
TCVN 14137:2025 do Ban kỹ thuật tiêu chuẩn quốc gia TCVN/TC 22 Phương tiện giao thông đường bộ biên soạn, Ủy ban Tiêu chuẩn Đo lường Chất lượng Quốc gia đề nghị, Bộ khoa học và Công nghệ công bố.
PHƯƠNG TIỆN GIAO THÔNG ĐƯỜNG BỘ - ĐO TIÊU THỤ ĐIỆN NĂNG VÀ QUÃNG ĐƯỜNG CHẠY THUẦN ĐIỆN CỦA Ô TÔ ĐIỆN CHỞ NGƯỜI VÀ CHỞ HÀNG HẠNG NHẸ TRONG PHÊ DUYỆT KIỂU
Road vehicles - Measurement of electric energy consumption and electric range of light duty passenger and commercial vehicles in type approval
1 Phạm vi áp dụng
Tiêu chuẩn này áp dụng phép thử kiểu I với chu trình thử xe hạng nhẹ hài hòa thế giới (WLTP) để đo mức tiêu thụ điện năng và quãng đường chạy thuần điện cho các xe loại M1 có khối lượng chuẩn không quá 2 610 kg và các xe loại M2, N1 có khối lượng chuẩn không quá 2 610 kg và khối lượng có tải lớn nhất cho phép không quá 3 500 kg.
Kết quả kiểm tra theo tiêu chuẩn này có thể được áp dụng từ các xe nêu trên cho các xe loại M1 có khối lượng chuẩn không quá 2 840 kg và các xe loại M2 và N1 có khối lượng chuẩn không quá 2 840 kg và khối lượng có tải lớn nhất cho phép không quá 3 500 kg và đáp ứng các điều kiện quy định trong tiêu chuẩn này.
CHÚ THÍCH: WLTP là các chữ viết tắt của “World harmonized Light vehicle Test Procedure”.
2 Tài liệu viện dẫn
Các tài liệu viện dẫn sau rất cần thiết cho áp dụng tiêu chuẩn này. Đối với các tài liệu viện dẫn ghi năm công bố thì áp dụng phiên bản đã nêu. Đối với các tài liệu viện dẫn không ghi năm công bố thì áp dụng phiên bản mới nhất, bao gồm cả các sửa đổi, (nếu có).
TCVN 6211:2003 (ISO 3833:1977), Phương tiện giao thông đường bộ - Kiểu - Thuật ngữ và định nghĩa.
TCVN 6528:1999 (ISO 612:1978), Phương tiện giao thông đường bộ - Kích thước phương tiện có động cơ và phương tiện được kéo - Thuật ngữ và định nghĩa.
TCVN 6579:2010 (ISO 3780:2009), Phương tiện giao thông đường bộ - Mã nhận dạng quốc tế nhà sản xuất (VMI).
TCVN 7589-21:2007 (IEC 62053-21:2023), Thiết bị đo điện (xoay chiều) - Yêu cầu cụ thể - Phần 1: Công tơ điện kiểu tĩnh đo điện năng tác dụng (cấp chính xác 1 và 2).
TCVN 9725:2013, Phương tiện giao thông đường bộ - Đo công suất hữu ích của động cơ đốt trong và công suất lớn nhất trong 30 min của hệ động lực điện - Yêu cầu và phương pháp thử trong phê duyệt kiểu.
ISO 10521-1:2006 Road vehicles - Road load - Part 1: Determination under reference atmospheric conditions (Phương tiện giao thông đường bộ - Tải trọng đường bộ - Phần 1: Xác định trong điều kiện khí quyển tham chiếu).
ISO 15031-3 Road vehicles - Communication between vehicle and external test equipment for emissions related diagnostiCS - Part 3: Diagnostic connector and related electrical circuits: specification and use (Phương tiện giao thông đường bộ - Giao tiếp giữa xe và thiết bị kiểm tra bên ngoài để chẩn đoán liên quan đến khí thải - Phần 3: Đầu nối chẩn đoán và các mạch điện liên quan: đặc điểm kỹ thuật và sử dụng).
ISO 15031-5 Road vehicles - Communication between vehicle and external test equipment for emissions related diagnostiCS - Part 5: Emissions related diagnostic services (Phương tiện giao thông đường bộ - Giao tiếp giữa xe và thiết bị kiểm tra bên ngoài để chẩn đoán liên quan đến khí thải - Phần 5: Hoạt động chẩn đoán liên quan đến khí thải).
UNR 68, Uniform provisions concerning the approval of power-driven vehicles with regard to the measurement of the maximum speed (Điều khoản thống nhất phê duyệt liên quan đến đo tốc độ lớn nhất của phương tiện chạy điện).
UNR 117-02, Uniform provisions concerning the approval of: Tyres with regard to rolling sound emissions and/or to adhesion on wet surfaces and/or to rolling resistance (Điều khoản thống nhất phê duyệt lốp xe liên quan đến độ ồn lăn bánh và/hoặc độ bám dính trên bề mặt ướt và/hoặc đối với lực cản lăn).
3 Thuật ngữ, định nghĩa và các chữ viết tắt
Các thuật ngữ và định nghĩa sau được áp dụng trong tiêu chuẩn này:
3.1 Thiết bị thử nghiệm
3.1.1
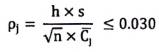
Độ chính xác (Accuracy)
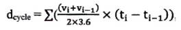
Sự khác biệt giữa giá trị đo được và giá trị quy chiếu được căn cứ theo chuẩn quốc gia và mô tả được tính chính xác của kết quả. Xem Hình 1.
3.1.2
Hiệu chuẩn (calibration)
Quá trình thiết lập phản hồi của hệ thống đo sao cho đầu ra của nó phù hợp với dải các tín hiệu chuẩn.

Hình 1 - Định nghĩa độ chính xác, độ chụm và giá trị quy chiếu
3.1.3
Tuyến tính hóa (Linearization)
Việc sử dụng một dải nồng độ hoặc vật liệu để thiết lập mối quan hệ toán học giữa nồng độ và sự phản hồi của hệ thống.
3.1.4
Bảo dưỡng chính (major maintenance)
Việc điều chỉnh, sửa chữa hoặc thay thế một bộ phận hoặc mô đun có thể ảnh hưởng đến độ chính xác của phép đo.
3.1.5
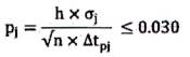
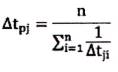
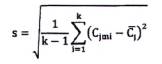
Độ chụm (Precision)
Nghĩa là mức độ mà các phép đo được lặp lại trong các điều kiện không thay đổi cho thấy kết quả giống nhau (Hình 1) và luôn luôn tham chiếu đến độ lệch chuẩn trong tiêu chuẩn này.
3.1.6
Giá trị quy chiếu (reference value)
Giá trị có thể truy nguyên theo chuẩn quốc gia. Xem Hình 1.
3.1.7
Điểm đặt (set point)
Giá trị mục tiêu mà hệ thống điều khiển hướng tới.
3.1.8
Kiểm tra xác nhận (verification)
Đánh giá xem đầu ra của hệ thống đo lường có phù hợp với các tín hiệu tham chiếu được áp dụng hay không trong một hoặc nhiều ngưỡng đã xác định trước cho việc chấp nhận.
3.2 Chỉnh đặt lực cản trên đường và băng thử
3.2.1
Lực cản khí động (aerodynamic drag)
Lực cản chuyển động về phía trước của xe trong không khí.
3.2.2
Điểm đình trệ khí động (aerodynamic stagnation point)
Điểm trên bề mặt xe mà vận tốc gió bằng 0.
3.2.3
Tắc nghẽn máy đo gió (anemometer blockage)
Sự ảnh hưởng đến phép đo máy đo gió do sự hiện diện của xe trong đó vận tốc không khí biểu kiến khác với tổng hợp vận tốc của vận tốc xe với vận tốc tương đối của gió so với mặt đất.
3.2.4
Phân tích ràng buộc (constrained analysis)
Hệ số lực cản khí động và diện tích phía trước của xe được xác định độc lập và các giá trị đó phải được sử dụng trong phương trình chuyển động.
3.2.5
Khối lượng chạy xe quy định (mass in running order)
Khối lượng của xe, với (các) thùng nhiên liệu được đổ đầy ít nhất 90 % dung tích/dung tích của xe, bao gồm khối lượng của người lái, nhiên liệu và chất lỏng, được lắp theo tiêu chuẩn, thiết bị phù hợp với thông số kỹ thuật của nhà sản xuất và khi chúng được lắp đặt, khối lượng của thân xe, cabin, khớp nối và (các) bánh xe dự phòng cũng như các dụng cụ.
3.2.6
Khối lượng của người lái (mass of driver)
Khối lượng 75 kg tại điểm chuẩn chỗ ngồi của người lái.
3.2.7
Tải trọng lớn nhất của xe (maximum vehicle load)
Khối lượng có tải lớn nhất cho phép về mặt kỹ thuật trừ đi khối lượng chạy xe quy định xe quy định, 25 kg và khối lượng của thiết bị tùy chọn như được xác định tại 3.2.8.
3.2.8
Khối lượng của thiết bị tùy chọn (mass of the optional equipment)
Khối lượng lớn nhất của tổ hợp các thiết bị tùy chọn có thể được trang bị cho xe ngoài thiết bị tiêu chuẩn theo thông số kỹ thuật của nhà sản xuất.
3.2.9
Thiết bị tùy chọn (optional equipment)
Tất cả các thiết bị đặc trưng không có trong trang bị tiêu chuẩn cho xe do nhà sản xuất, và khách hàng có thể đặt hàng.
3.2.10
Điều kiện không khí chuẩn (reference atmospheric conditions) (Liên quan đến phép đo lực cản trên đường).
Điều kiện môi trường mà các kết quả đo này được hiệu chỉnh
(a) Áp suất không khí: po = 100 kPa;
(b) Nhiệt độ không khí: to = 20 °C;
(c) Mật độ không khí khô: ρo = 1,189 kg/m3;
(d) Vận tốc gió: 0 m/s.
3.2.11
Vận tốc tham chiếu (reference speed)
Vận tốc xe tại đó lực cản trên đường được xác định hoặc tải băng thử động lực được kiểm tra xác nhận.
3.2.12
Lực cản trên đường (road load)
Lực cản chuyển động về phía trước của xe được đo bằng phương pháp chạy quán tính hoặc các phương pháp tương đương liên quan đến việc tính đến tổn thất ma sát của hệ thống truyền động.
3.2.13
Lực cản lăn (rolling resistance)
Lực của lốp xe cản trở chuyển động của xe.
3.2.14
Lực cản chuyển động (running resistance)
Mô men xoắn chống lại chuyển động về phía trước của xe được đo bằng đồng hồ đo mô men xoắn được lắp tại các bánh chủ động của xe.
3.2.15
Lực cản trên đường mô phỏng (simulated road load)
Lực cản mà xe phải chịu trên băng thử động lực nhằm tái tạo lực cản đo được trên đường, và nó bao gồm lực tác dụng bởi băng thử động lực và các lực cản xe khi chạy xe trên băng thử động lực và được tính gần đúng bằng ba hệ số của đa thức bậc hai.
3.2.16
Lực cản chuyển động mô phỏng (simulated running resistance)
Lực cản chuyển động mà xe phải chịu trên băng thử động lực xe nhằm tái tạo lực cản chuyển động đo được trên đường bao gồm mô men xoắn do băng thử động lực xe tác dụng và mô men cản xe khi chạy xe trên băng thử động lực và được tính gần đúng bằng ba hệ số của đa thức bậc hai.
3.2.17
Đo gió tĩnh (stationary anemometry)
Đo vận tốc và hướng gió bằng máy đo gió tại một vị trí và độ cao so với mặt đường dọc theo đường thử nơi phải trải qua các điều kiện gió đại diện nhất.
3.2.18
Lực cản trên đường mục tiêu (target road load)
Lực cản trên đường được tái tạo trên băng thử động lực.
3.2.19
Lực cản chuyển động mục tiêu (targer running resistance)
Lực cản chuyển động được tái tạo.
3.2.20
Chế độ chạy theo quán tính của xe (vehicle coastdown mode)
Một hệ thống hoạt động cho phép xác định chính xác và lặp lại được lực cản trên đường cũng như chỉnh đặt được băng thử chính xác.
3.2.21
Hiệu chỉnh gió (wind correction)
Hiệu chỉnh tác động của gió lên lực cản trên đường dựa trên số liệu đầu vào của phép đo gió cố định hoặc trên xe.
3.2.22
Khối lượng có tài lớn nhất cho phép về kỹ thuật (technically permissible maximum laden mass)
Khối lượng lớn nhất được phân bổ cho một xe dựa trên đặc điểm kết cấu và tính năng thiết kế của xe đó.
3.2.23
Khối lượng thực tế của xe (actual mass of the vehicle)
Khối lượng chạy xe quy định cộng với khối lượng của các thiết bị tùy chọn được trang bị cho từng xe.
3.2.24
Khối lượng thử nghiệm của xe (test mass of the vehicle)
Tổng khối lượng thực tế của xe, 25 kg và khối lượng đại diện cho tải trọng của xe.
3.2.25
Khối lượng đại diện cho tải trọng của xe (Mass representative of the vehicle load)
x % của tải trọng lớn nhất của xe (trong đó x = 15 % đối với xe loại M và 28 % đối với xe loại N).
3.2.26
Khối lượng có tải lớn nhất cho phép về mặt kỹ thuật của tổ hợp một xe (technically permissible maximum laden mass of the combination) (MC)
Khối lượng lớn nhất được phân bổ cho tổ hợp một xe cơ giới và một hoặc nhiều rơ moóc trên cơ sở đặc điểm kết cấu và tính năng thiết kế của nó hoặc khối lượng lớn nhất được phân bổ cho tổ hợp một đầu kéo và một sơ mi rơ moóc.
3.2.27
Tỷ số n/v (n/v ratio)
Vận tốc quay của động cơ chia cho vận tốc xe.
3.2.28
Băng thử động lực đơn (single roller dynamometer)
Băng thử trong đó mỗi bánh xe trên trục của xe tiếp xúc với một con lăn.
3.2.29
Băng thử động lực kép (twin-roller dynamometer)
Băng thử trong đó mỗi bánh xe trên trục của ô tô tiếp xúc với hai con lăn.
3.2.30
Trục chủ động (powered axle)
Trục của xe có khả năng cung cấp năng lượng đẩy và/hoặc năng lượng phục hồi, bất kể điều đó có thể chỉ tạm thời hay vĩnh viễn và/hoặc được người lái xe lựa chọn.
3.2.31
Băng thử 2WD (2WD dynamometer)
Băng thử trong đó chỉ các bánh xe trên một trục xe tiếp xúc với (các) con lăn
3.2.32
Băng thử 4WD (4WD dynamometer)
Băng thử trong đó tất cả các bánh xe trên cả hai trục xe đều tiếp xúc với các con lăn.
3.2.33
Băng thử tại chế độ vận hành 2WD (dynamometer in 2WD operation)
Băng thử 2WD hoặc băng thử 4WD chỉ mô phỏng quản tính và lực cản trên đường trên trục chủ động của xe thử nghiệm và các bánh xe quay trên trục bị động không được ảnh hưởng đến kết quả đo khi được so sánh với tình trạng trong đó các bánh xe trên trục bị động không quay.
3.2.34
Băng thử tại chế độ vận hành 4WD (dynamometer in 4WD operation)
Băng thử 4 WD mô phỏng quản tính và lực cản trên đường trên cả hai trục của xe thử nghiệm.
3.2.35
Giảm tốc (coasting)
Chức năng của hộp số tự động hoặc của bộ ly hợp, khi không cần lực đẩy hoặc giảm tốc độ chậm, nó sẽ tự động tách động cơ khỏi hệ thống truyền động và không cung cấp năng lượng đẩy cho các bánh xe cũng như không lấy năng lượng phục hồi từ các bánh xe cũng như không áp dụng phanh ma sát. Trong quá trình áp dụng chức năng này, động cơ có thể chạy không tải hoặc tắt.
3.2.36
Khối lượng chuẩn (reference mass)
Khối lượng chạy xe quy định (3.2.5) của xe trừ đi khối lượng quy định của người lái là 75 kg và cộng lên một lượng quy định là 100 kg.
3.3 Xe chạy thuần điện
3.3.1
Quãng đường chạy thuần điện (pure electric range) (PER)
Tổng quãng đường mà PEV (xem 3.3.12) đã di chuyển từ khi bắt đầu thử nghiệm cạn kiệt điện sạc cho đến khi đạt được tiêu chí ngắt điện.
3.3.2
Quãng đường thực tế cạn kiệt điện sạc (charge-depleting actual range) (RCDA)
Quãng đường di chuyển trong một chuỗi WLTC trong điều kiện vận hành cạn kiệt điện sạc cho đến khi hệ thống lưu trữ năng lượng có thể sạc lại (REESS) bị cạn kiệt.
3.3.3
Quãng đường chu trình cạn kiệt điện sạc (charge-depleting cycle range) (RCDC)
Khoảng cách từ khi bắt đầu thử nghiệm cạn kiệt điện sạc đến khi kết thúc chu trình cuối cùng ngay trước chu trình hoặc các chu trình đáp ứng tiêu chỉ ngắt điện, bao gồm cả chu trình chuyển tiếp mà xe có thể đã hoạt động trong cả điều kiện cạn kiệt và duy trì.
3.3.4
Điều kiện vận hành cạn kiệt điện sạc (charge-depleting operating condition)
Điều kiện vận hành trong đó năng lượng lưu trữ trong REESS có thể dao động nhưng giảm đến mức trung bình trong khi xe chạy cho đến khi chuyển sang hoạt động duy trì sạc.
3.3.5
Điều kiện vận hành duy trì sạc (charge-sustaining operating condition)
Điều kiện vận hành trong đó năng lượng lưu trữ trong REESS có thể dao động nhưng mức trung bình được duy trì ở mức cân bằng sạc trung hòa trong khi xe đang chạy.
3.3.6
Hệ thống lưu trữ năng lượng (Energy storage system)
Hệ thống lưu trữ năng lượng và giải phóng năng lượng ở dạng giống như năng lượng được đưa vào.
3.3.7
Hệ thống lưu trữ năng lượng đẩy (Propulsion energy storage system)
Hệ thống lưu trữ năng lượng của hệ động lực không phải là thiết bị ngoại vi và năng lượng đầu ra của nó được sử dụng trực tiếp hoặc gián tiếp cho mục đích tạo lực đẩy cho xe.
3.3.8
Loại hệ thống lưu trữ năng lượng đẩy (Category of propulsion energy storage system)
Hệ thống lưu trữ nhiên liệu, hoặc hệ thống lưu trữ năng lượng có thể sạc lại, hoặc hệ thống lưu trữ năng lượng cơ học có thể sạc lại.
3.3.9
Dạng năng lượng (form of energy)
Điện năng, hoặc năng lượng cơ học, hoặc năng lượng hóa học (bao gồm cả nhiên liệu).
3.3.10
Quãng đường sử dụng hoàn toàn bằng điện tương đương (Equivalent all-electric range) (EAER)
Một phần của tổng quãng đường thực tế cạn kiệt điện sạc (RCDA) có thể quy cho việc sử dụng điện từ REESS trong suốt thử nghiệm quãng đường cạn kiệt điện sạc.
3.3.11
Thay đổi năng lượng ròng (Net energy change)
Tỉ số của thay đổi năng lượng REESS chia cho nhu cầu năng lượng chu trình của xe thử nghiệm.
3.3.12
Xe chạy thuần điện (Pure electric vehicle) (PEV)
Xe được trang bị hệ động lực chỉ có các máy điện làm bộ biến đổi năng lượng đẩy và hệ thống lưu trữ năng lượng có thể sạc lại làm hệ thống lưu trữ năng lượng động cơ đẩy.
3.3.13
Bộ sạc trên xe (On-board charger)
Bộ chuyển đổi điện năng giữa REESS kéo và bộ cắm sạc lại của xe.
3.4 Hệ động lực
3.4.1
Hệ động lực (powertrain)
Sự kết hợp tổng thể trong xe gồm (các) hệ thống lưu trữ năng lượng đẩy, (các) bộ biến đổi năng lượng đẩy và (các) hệ thống truyền động cung cấp năng lượng cơ học tại các bánh xe để tạo lực đẩy cho xe, cùng với các thiết bị ngoại vi.
3.4.2
Thiết bị phụ trợ (Auxiliary devices)
Thiết bị tiêu thụ năng lượng, chuyển đổi, lưu trữ hoặc cung cấp các thiết bị hoặc hệ thống không ngoại vi được lắp đặt trên xe cho các mục đích khác không phải là lực đẩy của xe và do đó không được coi là một phần của hệ động lực điện.
3.4.3
Thiết bị ngoại vi (Peripheral devices)
Bất kỳ thiết bị tiêu thụ, chuyển đổi, lưu trữ hoặc cung cấp năng lượng nào, trong đó năng lượng không được sử dụng trực tiếp hoặc gián tiếp cho mục đích tạo lực đẩy của xe nhưng cần thiết cho hoạt động của hệ động lực và do đó được coi là một phần của hệ động lực.
3.4.4
Hệ thống truyền động (Drivetrain)
Các bộ phận được kết nối của hệ động lực để truyền năng lượng cơ học giữa (các) bộ biến đổi năng lượng đẩy và các bánh xe.
3.4.5
Hộp số cơ khí (Manual transmission)
Hộp số trong đó các số chỉ có thể được chuyển số bằng thao tác của người lái xe.
3.5 Định nghĩa chung
3.5.1
Năng lượng cần thiết cho chu trình (Cycle energy demand)
Năng lượng dương được tính toán mà xe cần để thực hiện một chu trình quy định.
3.5.2
Chế độ người lái chọn (Driver-selectable mode)
Một điều kiện riêng biệt người lái chọn có thể ảnh hưởng đến lượng khí thải hoặc mức tiêu thụ nhiên liệu và/hoặc năng lượng.
3.5.3
Chế độ ưu tiên (Predominant mode)
Chế độ người lái chọn duy nhất luôn luôn được chọn khi bật xe, dù chế độ người lái chọn đó đang hoạt động khi xe đã tắt máy trước đó, và nó không thể được xác định lại thành chế độ khác. Sau khi bật xe, chế độ ưu tiên chỉ có thể được chuyển sang chế độ người lái chọn khác bằng hành động có chủ ý của người lái.
3.5.4
Chế độ khởi động cấu hình (Configurable start mode)
Chế độ người lái chọn mà có thể đặt làm chế độ được chọn tự động khi bật xe. Sau khi khởi động xe, chế độ khởi động cấu hình này chỉ có thể được chuyển sang chế độ khác bằng hành động có chủ ý của người lái xe.
3.6
Chu trình thử hạng nhẹ hài hòa thế giới (World harmonized Light vehicle Test Procedure “WLTC”)
3.6.1
Công suất động cơ danh định (Rated engine power) (Prated)
Công suất hữu ích lớn nhất của động cơ tính bằng kW theo quy định trong TCVN 9725:2013.
3.6.2
Vận tốc lớn nhất (Maximum speed) (Vmax)
Vận tốc lớn nhất của một xe do nhà sản xuất công bố. Trong trường hợp không có công bố thì vận tốc lớn nhất được xác định theo UNR 68.
3.7
Vật liệu cách nhiệt (insulation materials)
Bất kỳ vật liệu nào trong khoang động cơ được gắn vào động cơ và/hoặc khung xe có tác dụng cách nhiệt và có đặc tính dẫn nhiệt lớn nhất là 0,1 W/(mk).
3.8 Các chữ viết tắt
| AC | Dòng điện xoay chiều |
| DC | Dòng điện một chiều |
| Extra High2 | Pha vận tốc rất cao WLTC kiểu II |
| Extra High3 | Pha vận tốc rất cao WLTC kiểu III |
| FSD | Độ lệch toàn thang đo |
| High2 | Pha vận tốc cao WLTC kiểu II |
| High3a | Pha vận tốc cao WLTC kiểu llla |
| High3b | Pha vận tốc cao WLTC kiểu IIIb |
| Low1 | Pha vận tốc thấp WLTC kiểu I |
| Low2 | Pha vận tốc thấp WLTC kiểu II |
| Low3 | Pha vận tốc thấp WLTC kiểu III |
| Medium1 | Pha vận tốc trung bình WLTC kiểu I |
| Medium2 | Pha vận tốc trung bình WLTC kiểu II |
| Medium3a | Pha vận tốc trung bình WLTC kiểu llla |
| Medium3b | Pha vận tốc trung bình WLTC kiểu IIIb |
| OBFCM | Giám sát mức tiêu thụ năng lượng trên xe |
| PER | Quãng đường chạy thuần điện |
| PEV | Xe chạy thuần điện |
| RCDA | Quãng đường thực làm cạn kiệt điện sạc |
| REESS | Hệ thống lưu trữ năng lượng có thể sạc lại |
| RRC | Hệ số lực cản lăn |
4 Tài liệu kỹ thuật và xe mẫu để kiểm tra, thử nghiệm
4.1 Tài liệu kỹ thuật cho kiểu loại xe theo các yêu cầu của nhà sản xuất xe.
4.1.1 Mẫu bản khai thông số kỹ thuật nêu tại Phụ lục A1 của tiêu chuẩn này.
4.2 Mẫu tài liệu thông tin liên quan đến phép đo mức tiêu thụ điện năng và quãng đường chạy của Xe chạy thuần điện được nêu trong Phụ lục A1 của tiêu chuẩn này.
4.2.1 Khi thích hợp, có bản sao của các phê duyệt kiểu khác cùng với dữ liệu liên quan để có thể mở rộng phê duyệt và việc thiết lập các hệ số suy giảm.
4.3 Một đại diện của kiểu xe được phê duyệt để thử nghiệm theo các phép thử phê duyệt.
Những thay đổi về hình thức của một hệ thống, bộ phận hoặc bộ phận kỹ thuật riêng biệt xảy ra sau khi phê duyệt kiểu phải không tự động làm mất hiệu lực của việc phê duyệt kiểu, trừ khi các đặc tính hoặc thông số kỹ thuật ban đầu của nó bị thay đổi theo cách làm ảnh hưởng đến chức năng của động cơ.
5 Phê duyệt (dự phòng)
6 Yêu cầu kỹ thuật và các phép thử
6.1 Quy định chung
6.1.1 Xe và các bộ phận của nó có khả năng ảnh hưởng đến mức tiêu thụ điện năng phải được thiết kế, sản xuất và lắp ráp sao cho phù hợp với việc sử dụng bình thường và trong các điều kiện bình thường như ẩm, mưa, tuyết, nóng, lạnh, cát, bụi bẩn, rung lắc, mài mòn, v.v. phải tuân thủ các quy định của tiêu chuẩn này trong suốt thời gian sử dụng của xe.
Đối với mức tiêu thụ điện năng, các điều kiện này được coi là đáp ứng nếu tuân theo quy định tại 6.3 và 8.2.
6.1.2 Xe thử nghiệm phải mang tính đại diện về chức năng của dây chuyền sản xuất dự kiến phải được phê duyệt.
6.1.3 Quy định về bảo mật hệ thống điện tử
6.1.3.1 Các thông số vận hành động cơ được mã hóa bằng máy tính phải không thể thay đổi nếu không sử dụng các công cụ và quy trình chuyên dụng (ví dụ, các bộ phận máy tính được hàn hoặc trong chậu hoặc vỏ bọc kín (hoặc hàn).
6.1.3.2 Có thể miễn một trong những yêu cầu này đối với những xe ít có khả năng cần được bảo vệ. Các tiêu chí phải đánh giá khi xem xét miễn trừ phải bao gồm nhưng không giới hạn ở mức độ sẵn có của chip hiệu suất, khả năng hoạt động cao của xe và doanh số bán hàng dự kiến của xe.
6.1.3.3 Các nhà sản xuất sử dụng hệ thống mã máy tính có thể lập trình phải ngăn chặn lập trình lại trái phép. Các nhà sản xuất phải có các chiến lược chống giả mạo nâng cao và các tính năng chống ghi yêu cầu quyền truy cập điện từ vào máy tính bên ngoài do nhà sản xuất bảo trì. Các phương pháp đưa ra mức độ bảo vệ chống giả mạo phù hợp phải được phê duyệt.
6.1.4 Làm tròn
Trừ khi được quy định khác trong tiêu chuẩn này, 6.1.4.1 và 6.1.4.2 đưa ra nguyên tắc làm tròn số để đáp ứng yêu cầu của tiêu chuẩn này.
6.1.4.1 Khi chữ số ngay bên phải của vị trí cuối cùng được giữ lại nhỏ hơn 5 thì chữ số cuối cùng được giữ lại không thay đổi.
VÍ DỤ: Nếu kết quả là 1,234 g nhưng chỉ giữ lại hai chữ số thập phân thì kết quả cuối cùng là 1,23 g.
6.1.4.2 Khi chữ số ngay bên phải của vị trí cuối cùng được giữ lại lớn hơn hoặc bằng 5 thì chữ số cuối cùng được giữ lại đó phải tăng lên 1.
VÍ DỤ: Nếu kết quả là 1,236 g nhưng chỉ giữ lại hai chữ số thập phân và vì 6 lớn hơn 5 nên kết quả cuối cùng phải là 1,24 g.
6.2 Quy định kiểm tra
Mỗi họ xe được chỉ định dưới đây phải được gán một mã định danh duy nhất có định dạng sau:
FT-nnnnnnnnnnnnnnn-WMI
Vị trí:
FT là mã định danh của loại họ:
(a) IP = họ nội suy như được định nghĩa trong 6.3.2 có hoặc không sử dụng phương pháp nội suy;
(b) RL = họ lực cản trên đường như định nghĩa tại 6.3.3;
(c) RM = họ ma trận lực cản trên đường như định nghĩa tại 6.3.4.
nnnnnnnnnnnnnnn là một chuỗi gồm nhiều nhất 15 ký tự, sử dụng các ký tự 0-9, A-Z và ký tự gạch dưới '_'.
WMI (mã nhận dạng quốc tế nhà sản xuất) là mã định danh nhà sản xuất theo cách duy nhất được xác định trong TCVN 6579:2010.
Chủ sở hữu WMI có phải đảm bảo rằng sự kết hợp giữa chuỗi nnnnnnnnnnnnnnn và WMI là duy nhất đối với họ. Chuỗi nnnnnnnnnnnnnnn là duy nhất trong WMI đó đối với các phép thử phê duyệt được thực hiện để được phê duyệt.
6.3 Mô tả phép thử kiểu I (WLTP)
Phép thử kiểu I phải được thực hiện trên tất cả các xe nêu tại 6.3.1.
Phải tuân thủ các quy trình và yêu cầu thử nghiệm của điều này và Phụ lục B (nếu có).
6.3.1 Phép thử kiểu I phải được thực hiện theo:
(a) WLTC như được mô tả tại Phụ lục B1;
(b) Việc lựa chọn tay số và xác định điểm chuyển số như mô tả trong Phụ lục B2;
(d) Việc chỉnh đặt lực cản trên đường và băng thử động lực như mô tả tại Phụ lục B3;
(e) Thiết bị thử nghiệm như mô tả tại Phụ lục B4;
(f) Quy trình thử nghiệm như mô tả trong Phụ lục B5 và Phụ lục B7;
(g) Các phương pháp tính toán như mô tả tại Phụ lục B6 và Phụ lục B7.
6.3.2 Họ nội suy cho PEV
Chỉ các PEV giống nhau về các đặc tính động lực/truyền động điện sau đây mới có thể thuộc cùng một họ nội suy:
(a) Loại và số lượng máy điện: kiểu kết cấu (không đồng bộ/đồng bộ, v.v.), loại chất làm mát (không khí, chất lỏng) và bất kỳ đặc tính nào khác có ảnh hưởng không đáng kể đến mức tiêu thụ điện năng và quãng đường hoạt động trong các điều kiện WLTP;
(b) Loại REESS kéo (model, công suất, điện áp và công suất danh nghĩa, loại chất làm mát (không khí, chất lỏng));
(c) Loại hộp số (ví dụ: bằng tay, số tự động, CVT) và kiểu hộp số (ví dụ, mô men xoắn danh định, số lượng tay số, số ly hợp, v.v.);
(d) Số lượng trục chủ động;
(e) Loại bộ chuyển đổi điện năng giữa máy điện và REESS lực kéo, giữa REESS lực kéo và nguồn điện hạ thế và giữa đầu ra sạc và REESS lực kéo, và bất kỳ đặc tính nào khác có ảnh hưởng không đáng kể đến mức tiêu thụ điện năng và quãng đường trong điều kiện WLTP. Các bộ chuyển đổi điện năng giữa phích cắm sạc lại và REESS kéo có tổn hao sạc lại thấp hơn có thể được đưa vào họ;
(f) Chiến lược vận hành của tất cả các bộ phận ảnh hưởng đến mức tiêu thụ điện năng trong Hệ động lực;
(g) Tỷ số n/v (vận tốc quay của động cơ chia cho vận tốc xe). Yêu cầu này phải được coi là đáp ứng được nếu, đối với tất cả các tỷ số truyền được xem xét, chênh lệch về tỷ số n/v của kiểu và model truyền động được lắp đặt phổ biến nhất nằm trong khoảng 8 %.
6.3.3 Họ lực cản trên đường
Chỉ những xe giống nhau về các đặc điểm sau mới có thể thuộc cùng một họ lực cản trên đường:
(a) Loại truyền động (ví dụ, bằng tay, số tự động, CVT) và kiểu hộp số (ví dụ, mô men xoắn danh định, số lượng tay số, số ly hợp, v.v.). Hệ thống truyền tải có tổn thất điện năng thấp hơn có thể được đưa vào họ;
(b) Số lượng trục chủ động;
Nếu có ít nhất một máy điện được nối với hộp số ở vị trí số 0 và xe không được trang bị chế độ chạy theo quán tính (Phụ lục B3, 4.2.1.8.5) sao cho máy điện không ảnh hưởng đến lực cản trên đường thì tiêu chí trong 6.3.2(a) phải được áp dụng.
Nếu có sự khác biệt, ngoài khối lượng xe, lực cản lăn và khí động học, có ảnh hưởng không nhỏ đến lực cản trên đường thì xe đó không được coi là một phần của họ trừ khi được cơ quan có thẩm quyền phê duyệt.
6.3.4 Họ ma trận lực cản trên đường
Họ ma trận lực cản trên đường có thể được áp dụng cho các xe có khối lượng có tải lớn nhất cho phép về mặt kỹ thuật > 3 000 kg.
Xe có khối lượng có tải lớn nhất cho phép về mặt kỹ thuật ≥ 2 500 kg có thể là một phần của họ ma trận lực cản trên đường với điều kiện chiều cao điểm R của ghế lái phải trên 850 mm tính từ mặt đất.
“Điểm R” có nghĩa là điểm “R” hoặc “điểm chuẩn chỗ ngồi” như được định nghĩa trong 2.4 của Phụ lục 1 của Nghị quyết về cấu tạo xe (R.E.3.) (Consolidated Resolution on the Construction of Vehicles (R.E.3) của UNR.
Chỉ những xe giống nhau về các đặc điểm sau mới có thể thuộc cùng một họ ma trận lực cản trên đường:
(a) Loại truyền động (ví dụ: bằng tay, số tự động, CVT);
(b) Số lượng trục chủ động.
6.3.5 OBFCM
Thiết bị OBFCM phải xác định các thông số và lưu trữ giá trị tuổi thọ trên xe theo Phụ lục D.
Phụ lục A
(Quy định)
Phép thử kiểu I kiểm tra xác nhận COP về mức tiêu thụ điện năng của PEV
1 Xe phải được thử nghiệm như mô tả trong 3.2 của Phụ lục B7. Trong quá trình kiểm tra sự phù hợp của sản xuất, tiêu chí kết thúc đối với chu trình thử kiểu I theo 3.2.4.1.3 của Phụ lục B7 và 3.2.4.2.3 của Phụ lục B7 phải được coi là đạt khi hoàn thành chu trình thử WLTP thích hợp đầu tiên.
Mức tiêu thụ điện năng DC từ (các) REESS: ECDC,đầu tiên,i, phải được xác định theo 4.1 của Phụ lục B7 trong đó ΔEREESS,j phải là sự thay đổi điện năng của tất cả REESS và dj phải là quãng đường chạy xe thực tế trong chu trình thử này.
2 Sự phù hợp của quá trình sản xuất liên quan đến mức tiêu thụ điện năng (EC) phải được thử xác nhận trên cơ sở các giá trị đối với xe được thử như mô tả trong 2.1 của phụ lục này trong trường hợp việc phê duyệt kiểu được tiến hành theo chu trình thử liên tiếp kiểu I và trong 2.2 của phụ lục này trong trường hợp việc phê duyệt kiểu được thực hiện bằng cách sử dụng chu trình thử kiểu I rút gọn.
2.1 Các giá trị của chu trình thử liên tiếp kiểu I cho COP.
Trong trường hợp không áp dụng phương pháp nội suy thì điện năng giá trị tiêu hao ECDC, COP, cuối cùng theo bước 9 Bảng B7/4 Phụ lục B7 được sử dụng để kiểm tra sự phù hợp của sản xuất.
Trong trường hợp áp dụng phương pháp nội suy, điện năng giá trị tiêu hao ECDC,COP,ind đối với từng xe theo bước 10 Bảng B7/4 Phụ lục B7 được sử dụng để kiểm tra sự phù hợp của sản xuất.
2.2 Các giá trị của chu trình thử rút gọn kiểu I cho COP.
Trong trường hợp không áp dụng phương pháp nội suy thì điện năng, giá trị tiêu hao ECDC ,COP,cuối cùng theo bước 8 của Bảng B7/5 Phụ lục B7.
Trong trường hợp áp dụng phương pháp nội suy, giá trị tiêu thụ điện năng ECDC,COP,ind của từng xe theo bước 9 của Bảng B7/5 Phụ lục B7.
Phụ lục A1
(Quy định)
Đặc tính của động cơ và xe
Nếu hệ thống, bộ phận hoặc bộ phận kỹ thuật riêng biệt có bộ điều khiển điện tử thi thông tin liên quan đến hoạt động của chúng phải được cung cấp.
| 0 | Tổng quan | ||||||||||||||||||||||||||||||||||||||||||||||||||||||||||||||||||||||||||||||||||||||||||||||||||||||||||||
| 0.1. | Nhãn hiệu (tên thương mại của nhà sản xuất) | ||||||||||||||||||||||||||||||||||||||||||||||||||||||||||||||||||||||||||||||||||||||||||||||||||||||||||||
| 0.2. | Kiểu loại | ||||||||||||||||||||||||||||||||||||||||||||||||||||||||||||||||||||||||||||||||||||||||||||||||||||||||||||
| 0.2.1. | (các) nhãn hiệu (nếu có): ... | ||||||||||||||||||||||||||||||||||||||||||||||||||||||||||||||||||||||||||||||||||||||||||||||||||||||||||||
| 0.2.2. | Các mã định danh họ: | ||||||||||||||||||||||||||||||||||||||||||||||||||||||||||||||||||||||||||||||||||||||||||||||||||||||||||||
| 0.2.2.1. | Họ nội suy:... | ||||||||||||||||||||||||||||||||||||||||||||||||||||||||||||||||||||||||||||||||||||||||||||||||||||||||||||
| 0.2.2.2. | Họ lực cản trên đường | ||||||||||||||||||||||||||||||||||||||||||||||||||||||||||||||||||||||||||||||||||||||||||||||||||||||||||||
| 0.2.2.2.1. | Họ lực cản trên đường của VH: ... | ||||||||||||||||||||||||||||||||||||||||||||||||||||||||||||||||||||||||||||||||||||||||||||||||||||||||||||
| 0.2.2.2.2. | Họ lực cản trên đường của VL: ... | ||||||||||||||||||||||||||||||||||||||||||||||||||||||||||||||||||||||||||||||||||||||||||||||||||||||||||||
| 0.2.2.2.3. | Các họ lực cản trên đường áp dụng trong họ nội suy:... | ||||||||||||||||||||||||||||||||||||||||||||||||||||||||||||||||||||||||||||||||||||||||||||||||||||||||||||
| 0.2.2.3. | (các) họ ma trận lực cản trên đường: ... | ||||||||||||||||||||||||||||||||||||||||||||||||||||||||||||||||||||||||||||||||||||||||||||||||||||||||||||
| 0.2.2.4. | (các) họ khác:... | ||||||||||||||||||||||||||||||||||||||||||||||||||||||||||||||||||||||||||||||||||||||||||||||||||||||||||||
| 0.3. | Kiểu loại xe (a); ... | ||||||||||||||||||||||||||||||||||||||||||||||||||||||||||||||||||||||||||||||||||||||||||||||||||||||||||||
| 0.4. | (các) tên và (các) địa chỉ của (các) nhà máy lắp ráp: ... | ||||||||||||||||||||||||||||||||||||||||||||||||||||||||||||||||||||||||||||||||||||||||||||||||||||||||||||
| 0.5. | Tên và địa chỉ của đại diện nhà sản xuất (nếu có):... | ||||||||||||||||||||||||||||||||||||||||||||||||||||||||||||||||||||||||||||||||||||||||||||||||||||||||||||
| 1. | Các đặc điểm cấu tạo chung | ||||||||||||||||||||||||||||||||||||||||||||||||||||||||||||||||||||||||||||||||||||||||||||||||||||||||||||
| 1.1. | Các hình ảnh và/hoặc các bản vẽ của xe/thành phần/đơn vị kỹ thuật riêng lẻ đại diện (1): | ||||||||||||||||||||||||||||||||||||||||||||||||||||||||||||||||||||||||||||||||||||||||||||||||||||||||||||
| 1.2 | Các trục trợ lực (số, vị trí, liên kết):... | ||||||||||||||||||||||||||||||||||||||||||||||||||||||||||||||||||||||||||||||||||||||||||||||||||||||||||||
| 2. | Các khối lượng và kích thước (f) (g) (4) (đơn vị kg và mm) (theo bản vẽ áp dụng) | ||||||||||||||||||||||||||||||||||||||||||||||||||||||||||||||||||||||||||||||||||||||||||||||||||||||||||||
| 2.1. | Khối lượng chạy xe quy định (h) (a) lớn nhất và nhỏ nhất cho mỗi biến thể:... | ||||||||||||||||||||||||||||||||||||||||||||||||||||||||||||||||||||||||||||||||||||||||||||||||||||||||||||
| 2.2. | Khối lượng quay: 3 % của tổng khối lượng chạy xe quy định và 25 kg hoặc giá trị, trên cầu (kg):... | ||||||||||||||||||||||||||||||||||||||||||||||||||||||||||||||||||||||||||||||||||||||||||||||||||||||||||||
| 2.3. | Khối lượng toàn bộ lớn nhất cho phép về mặt kỹ thuật của tổ hợp một xe công bố bởi nhà sản xuất (i) (3):... | ||||||||||||||||||||||||||||||||||||||||||||||||||||||||||||||||||||||||||||||||||||||||||||||||||||||||||||
| 3. | Bộ biến đổi năng lượng đầy (k) | ||||||||||||||||||||||||||||||||||||||||||||||||||||||||||||||||||||||||||||||||||||||||||||||||||||||||||||
| 3.1. | Nhà sản xuất của (các) bộ biến đổi năng lượng đẩy: ... | ||||||||||||||||||||||||||||||||||||||||||||||||||||||||||||||||||||||||||||||||||||||||||||||||||||||||||||
| 3.1.1. | Mã nhà máy (được ghi nhãn trên bộ biến đổi năng lượng đẩy hoặc các hình thức định dạng khác):... | ||||||||||||||||||||||||||||||||||||||||||||||||||||||||||||||||||||||||||||||||||||||||||||||||||||||||||||
| 3.2. | Hệ động lực điện (chỉ cho PEV) | ||||||||||||||||||||||||||||||||||||||||||||||||||||||||||||||||||||||||||||||||||||||||||||||||||||||||||||
| 3.2.1. | Mô là chung về hệ động lực điện | ||||||||||||||||||||||||||||||||||||||||||||||||||||||||||||||||||||||||||||||||||||||||||||||||||||||||||||
| 3.2.1.1. | Nhãn hiệu nhà sản xuất: .................................... | ||||||||||||||||||||||||||||||||||||||||||||||||||||||||||||||||||||||||||||||||||||||||||||||||||||||||||||
| 3.2.1.2. | Kiểu loại: .................................... | ||||||||||||||||||||||||||||||||||||||||||||||||||||||||||||||||||||||||||||||||||||||||||||||||||||||||||||
| 3.2.1.3. | Sử dụng (1); động cơ đơn/động cơ kép (số): .................................... | ||||||||||||||||||||||||||||||||||||||||||||||||||||||||||||||||||||||||||||||||||||||||||||||||||||||||||||
| 3.2.1.4. | Bố trí truyền động: song song/trục chữ thập/khác: .................................... | ||||||||||||||||||||||||||||||||||||||||||||||||||||||||||||||||||||||||||||||||||||||||||||||||||||||||||||
| 3.2.1.5. | Điện áp thử: ....................................V | ||||||||||||||||||||||||||||||||||||||||||||||||||||||||||||||||||||||||||||||||||||||||||||||||||||||||||||
| 3.2.1.6. | Tốc độ danh nghĩa động cơ: ....................................min-1 | ||||||||||||||||||||||||||||||||||||||||||||||||||||||||||||||||||||||||||||||||||||||||||||||||||||||||||||
| 3.2.1.7. | Tốc độ lớn nhất động cơ: .................................... min-1 hoặc theo mặc định: trục trục đầu ra giảm tốc/vận tốc hộp số (chỉ định bánh răng tham gia): .................................... min-1 | ||||||||||||||||||||||||||||||||||||||||||||||||||||||||||||||||||||||||||||||||||||||||||||||||||||||||||||
| 3.2.1.8. | Công suất lớn nhất: .................................... kW | ||||||||||||||||||||||||||||||||||||||||||||||||||||||||||||||||||||||||||||||||||||||||||||||||||||||||||||
| 3.2.1.9. | Công suất 30 min lớn nhất: .................................... kW | ||||||||||||||||||||||||||||||||||||||||||||||||||||||||||||||||||||||||||||||||||||||||||||||||||||||||||||
| 3.2.1.10. | Phạm vi linh hoạt (tại P > 90 % của công suất lớn nhất): vận tốc tại điểm đầu phạm vi: .................................... min-1 vận tốc tại điểm cuối phạm vi: .................................... min-1 | ||||||||||||||||||||||||||||||||||||||||||||||||||||||||||||||||||||||||||||||||||||||||||||||||||||||||||||
| 3.2.2. | REESS kéo | ||||||||||||||||||||||||||||||||||||||||||||||||||||||||||||||||||||||||||||||||||||||||||||||||||||||||||||
| 3.2.2.1. | Tên thương mại và nhãn hiệu của REESS: .................................... | ||||||||||||||||||||||||||||||||||||||||||||||||||||||||||||||||||||||||||||||||||||||||||||||||||||||||||||
| 3.2.2.2. | Kiểu cực điện hóa: .................................... | ||||||||||||||||||||||||||||||||||||||||||||||||||||||||||||||||||||||||||||||||||||||||||||||||||||||||||||
| 32.2.3. | Điện áp danh nghĩa: .................................... V | ||||||||||||||||||||||||||||||||||||||||||||||||||||||||||||||||||||||||||||||||||||||||||||||||||||||||||||
| 3.2.2.4. | Công suất 30 min lớn nhất của REESS (công suất xả ổn định): .................................... kW | ||||||||||||||||||||||||||||||||||||||||||||||||||||||||||||||||||||||||||||||||||||||||||||||||||||||||||||
| 3.2.2.5. | Hiệu năng REESS trong 2 h xả (công suất hoặc dòng điện ổn định)(1); | ||||||||||||||||||||||||||||||||||||||||||||||||||||||||||||||||||||||||||||||||||||||||||||||||||||||||||||
| 3.2.2.5.1. | Năng lượng REESS: .................................... kWh | ||||||||||||||||||||||||||||||||||||||||||||||||||||||||||||||||||||||||||||||||||||||||||||||||||||||||||||
| 3.2.2.52. | Công suất REESS: .................................... Ah trong 2 h | ||||||||||||||||||||||||||||||||||||||||||||||||||||||||||||||||||||||||||||||||||||||||||||||||||||||||||||
| 3.2.2.5.3. | Giá trị điện áp xả cuối: .................................... V | ||||||||||||||||||||||||||||||||||||||||||||||||||||||||||||||||||||||||||||||||||||||||||||||||||||||||||||
| 3.2.2.6. | Báo hiệu kết thúc quá trình xả dẫn đến việc xe phải dừng lại (1): .................................... | ||||||||||||||||||||||||||||||||||||||||||||||||||||||||||||||||||||||||||||||||||||||||||||||||||||||||||||
| 3.2.2.7. | Khối lượng REESS: .................................... kg | ||||||||||||||||||||||||||||||||||||||||||||||||||||||||||||||||||||||||||||||||||||||||||||||||||||||||||||
| 3.2.2.8. | Số lượng pin: .................................... | ||||||||||||||||||||||||||||||||||||||||||||||||||||||||||||||||||||||||||||||||||||||||||||||||||||||||||||
| 3.22.9. | Vị trí REESS: .................................... | ||||||||||||||||||||||||||||||||||||||||||||||||||||||||||||||||||||||||||||||||||||||||||||||||||||||||||||
| 3.2.3. | Động cơ điện | ||||||||||||||||||||||||||||||||||||||||||||||||||||||||||||||||||||||||||||||||||||||||||||||||||||||||||||
| 3.2.3.1. | Nguyên lý hoạt động: | ||||||||||||||||||||||||||||||||||||||||||||||||||||||||||||||||||||||||||||||||||||||||||||||||||||||||||||
| 3.2.3.1.1. | dòng điện một chiều/dòng điện xoay chiều(1)/số pha: .................................... | ||||||||||||||||||||||||||||||||||||||||||||||||||||||||||||||||||||||||||||||||||||||||||||||||||||||||||||
| 3.2.3.1.2. | kích thích độc lập /nối tiếp/kết hợp (1) | ||||||||||||||||||||||||||||||||||||||||||||||||||||||||||||||||||||||||||||||||||||||||||||||||||||||||||||
| 3.2.3.1.3. | đồng bộ/không đồng bộ (1) | ||||||||||||||||||||||||||||||||||||||||||||||||||||||||||||||||||||||||||||||||||||||||||||||||||||||||||||
| 3.2.3.1.4. | rôto cuộn/có nam châm vĩnh cửu/có vỏ (1) | ||||||||||||||||||||||||||||||||||||||||||||||||||||||||||||||||||||||||||||||||||||||||||||||||||||||||||||
| 3.2.3.1.5. | số cực của động cơ: .................................... | ||||||||||||||||||||||||||||||||||||||||||||||||||||||||||||||||||||||||||||||||||||||||||||||||||||||||||||
| 3.2.3.2. | Khối lượng quán tính: .................................... | ||||||||||||||||||||||||||||||||||||||||||||||||||||||||||||||||||||||||||||||||||||||||||||||||||||||||||||
| 3.2.4. | Bộ điều khiển nguồn | ||||||||||||||||||||||||||||||||||||||||||||||||||||||||||||||||||||||||||||||||||||||||||||||||||||||||||||
| 3.2.4.1. | Nhãn hiệu nhà sản xuất: .................................... | ||||||||||||||||||||||||||||||||||||||||||||||||||||||||||||||||||||||||||||||||||||||||||||||||||||||||||||
| 3.2.4.2. | Kiểu loại: .................................... | ||||||||||||||||||||||||||||||||||||||||||||||||||||||||||||||||||||||||||||||||||||||||||||||||||||||||||||
| 3.2.4.3. | Nguyên lý điều khiển: véc tơ/vòng mở/đóng/khác (được chỉ định)(1): | ||||||||||||||||||||||||||||||||||||||||||||||||||||||||||||||||||||||||||||||||||||||||||||||||||||||||||||
| 3.2.4.4. | Dòng điện hiệu dụng lớn nhất cung cấp cho động cơ(2): .... A trong thời gian ................. giây | ||||||||||||||||||||||||||||||||||||||||||||||||||||||||||||||||||||||||||||||||||||||||||||||||||||||||||||
| 3.2.4.5. | Giới hạn điện áp sử dụng: .................................... V đến .................................... V | ||||||||||||||||||||||||||||||||||||||||||||||||||||||||||||||||||||||||||||||||||||||||||||||||||||||||||||
| 3.2.5. | Hệ thống làm mát: Động cơ: lỏng/không khí (1) Bộ điều khiển: lỏng/không khí (1) | ||||||||||||||||||||||||||||||||||||||||||||||||||||||||||||||||||||||||||||||||||||||||||||||||||||||||||||
| 3.2.5.1. | Các đặc điểm thiết bị làm mát bằng chất lỏng: | ||||||||||||||||||||||||||||||||||||||||||||||||||||||||||||||||||||||||||||||||||||||||||||||||||||||||||||
| 3.2.5.1.1. | Bản chất của chất lỏng ................ bơm tuần hoàn: có/không (1) | ||||||||||||||||||||||||||||||||||||||||||||||||||||||||||||||||||||||||||||||||||||||||||||||||||||||||||||
| 3.2.5.1.2. | Các đặc điểm hoặc (các) nhãn hiệu nhà sản xuất và (các) kiểu loại bơm: .................................... | ||||||||||||||||||||||||||||||||||||||||||||||||||||||||||||||||||||||||||||||||||||||||||||||||||||||||||||
| 3.2.5.1.3. | Bộ điều nhiệt: Chỉnh đặt: .................................... | ||||||||||||||||||||||||||||||||||||||||||||||||||||||||||||||||||||||||||||||||||||||||||||||||||||||||||||
| 3.2.5.1.4. | Bộ tản nhiệt: (các) bản vẽ hoặc (các) nhãn hiệu nhà sản xuất và (các) kiểu loại: .................................... | ||||||||||||||||||||||||||||||||||||||||||||||||||||||||||||||||||||||||||||||||||||||||||||||||||||||||||||
| 3.2.5.1.5. | Van giảm áp: Chỉnh đặt áp suất: .................................... | ||||||||||||||||||||||||||||||||||||||||||||||||||||||||||||||||||||||||||||||||||||||||||||||||||||||||||||
| 3.2.5.1.6. | Quạt: các đặc điểm hoặc (các) nhãn hiệu nhà sản xuất và (các) kiểu loại: .................................... | ||||||||||||||||||||||||||||||||||||||||||||||||||||||||||||||||||||||||||||||||||||||||||||||||||||||||||||
| 3.2.5.1.7. | Quạt ống dẫn: .................................... | ||||||||||||||||||||||||||||||||||||||||||||||||||||||||||||||||||||||||||||||||||||||||||||||||||||||||||||
| 3.2.5.2. | Đặc điểm thiết bị làm mát bằng không khí | ||||||||||||||||||||||||||||||||||||||||||||||||||||||||||||||||||||||||||||||||||||||||||||||||||||||||||||
| 3.2.5.2.1. | Máy thổi: các đặc điểm hoặc (các) nhãn hiệu nhà sản xuất và (các) kiểu loại: .................................... | ||||||||||||||||||||||||||||||||||||||||||||||||||||||||||||||||||||||||||||||||||||||||||||||||||||||||||||
| 3.2.5.2.2. | Ống gió tiêu chuẩn: .................................... | ||||||||||||||||||||||||||||||||||||||||||||||||||||||||||||||||||||||||||||||||||||||||||||||||||||||||||||
| 3.2.5.2.3. | Hệ thống điều chỉnh nhiệt độ: có/không(1) | ||||||||||||||||||||||||||||||||||||||||||||||||||||||||||||||||||||||||||||||||||||||||||||||||||||||||||||
| 3.2.5.2.4. | Mô tả ngắn gọn: .................................... | ||||||||||||||||||||||||||||||||||||||||||||||||||||||||||||||||||||||||||||||||||||||||||||||||||||||||||||
| 3.2.5.2.5. | Lọc không khí: .................................... (các) nhãn hiệu nhà sản xuất: .................................... (các) kiểu loại: .................................... | ||||||||||||||||||||||||||||||||||||||||||||||||||||||||||||||||||||||||||||||||||||||||||||||||||||||||||||
| 3.2.5.3. | Nhiệt độ được nhà sản xuất thừa nhận (lớn nhất): | ||||||||||||||||||||||||||||||||||||||||||||||||||||||||||||||||||||||||||||||||||||||||||||||||||||||||||||
| 3.2.5.3.1. | Đầu ra động cơ: .................................... °C | ||||||||||||||||||||||||||||||||||||||||||||||||||||||||||||||||||||||||||||||||||||||||||||||||||||||||||||
| 3.2.5.3.2. | Đầu vào bộ điều khiển: .................................... °C | ||||||||||||||||||||||||||||||||||||||||||||||||||||||||||||||||||||||||||||||||||||||||||||||||||||||||||||
| 3.2.5.3.3. | Tại (các) điểm tiêu chuẩn của động cơ: .................................... °C | ||||||||||||||||||||||||||||||||||||||||||||||||||||||||||||||||||||||||||||||||||||||||||||||||||||||||||||
| 3.2.5.3.4. | Tại (các) điểm tiêu chuẩn của bộ điều khiển: .................................... °C | ||||||||||||||||||||||||||||||||||||||||||||||||||||||||||||||||||||||||||||||||||||||||||||||||||||||||||||
| 3.2.6. | Hạng mục cách điện: .................................... | ||||||||||||||||||||||||||||||||||||||||||||||||||||||||||||||||||||||||||||||||||||||||||||||||||||||||||||
| 3.2.7. | Bảo vệ bên trong (IP)-code: .................................... | ||||||||||||||||||||||||||||||||||||||||||||||||||||||||||||||||||||||||||||||||||||||||||||||||||||||||||||
| 3.2.8. | Nguyên lý hệ thống bôi trơn: (1) Vòng bi: ma sát/cầu Chất bôi trơn: dầu/mỡ Làm kín: có/không Tuần hoàn: có/không | ||||||||||||||||||||||||||||||||||||||||||||||||||||||||||||||||||||||||||||||||||||||||||||||||||||||||||||
| 3.2.9. | Bộ sạc | ||||||||||||||||||||||||||||||||||||||||||||||||||||||||||||||||||||||||||||||||||||||||||||||||||||||||||||
| 3.2.9.1. | Bộ sạc: Trên xe/ngoài xe(1) trong trường hợp là thiết bị bên ngoài, hãy xác định bộ sạc (nhãn hiệu, kiểu máy): .................................... | ||||||||||||||||||||||||||||||||||||||||||||||||||||||||||||||||||||||||||||||||||||||||||||||||||||||||||||
| 3.2.9.2. | Mô tả hồ sơ thông thường của bộ sạc: | ||||||||||||||||||||||||||||||||||||||||||||||||||||||||||||||||||||||||||||||||||||||||||||||||||||||||||||
| 3.2.9.3. | Thông số kỹ thuật của nguồn điện: | ||||||||||||||||||||||||||||||||||||||||||||||||||||||||||||||||||||||||||||||||||||||||||||||||||||||||||||
| 3.2.9.3.1. | Loại nguồn điện: một pha/ba pha(1) | ||||||||||||||||||||||||||||||||||||||||||||||||||||||||||||||||||||||||||||||||||||||||||||||||||||||||||||
| 3.2.9.3.2. | Điện áp: .................................... | ||||||||||||||||||||||||||||||||||||||||||||||||||||||||||||||||||||||||||||||||||||||||||||||||||||||||||||
| 3.2.9.4. | Khoảng thời gian nghỉ ngơi được khuyến nghị từ khi kết thúc quá trình xả điện đến khi bắt đầu sạc: | ||||||||||||||||||||||||||||||||||||||||||||||||||||||||||||||||||||||||||||||||||||||||||||||||||||||||||||
| 3.2.9.5. | Thời gian lý thuyết của một lần sạc đầy: .................................... | ||||||||||||||||||||||||||||||||||||||||||||||||||||||||||||||||||||||||||||||||||||||||||||||||||||||||||||
| 3.3. | Sự kết hợp của bộ biến đổi năng lượng động cơ đẩy | ||||||||||||||||||||||||||||||||||||||||||||||||||||||||||||||||||||||||||||||||||||||||||||||||||||||||||||
| 3.3.1. | Chuyển đồi chế độ hoạt động: có/không (1) | ||||||||||||||||||||||||||||||||||||||||||||||||||||||||||||||||||||||||||||||||||||||||||||||||||||||||||||
| 3.3.1.1. | Các chế độ có thể lựa chọn | ||||||||||||||||||||||||||||||||||||||||||||||||||||||||||||||||||||||||||||||||||||||||||||||||||||||||||||
| 3.3.1.1.1. | Thuần điện: có/không (1) | ||||||||||||||||||||||||||||||||||||||||||||||||||||||||||||||||||||||||||||||||||||||||||||||||||||||||||||
| 3.3.1.1.2. | Tiêu thụ thuần nhiên liệu: có/không (1) | ||||||||||||||||||||||||||||||||||||||||||||||||||||||||||||||||||||||||||||||||||||||||||||||||||||||||||||
| 3.3.1.1.3. | Các chế độ Hybrids: có/không (1) (nếu có, mô tả ngắn gọn): ... | ||||||||||||||||||||||||||||||||||||||||||||||||||||||||||||||||||||||||||||||||||||||||||||||||||||||||||||
| 3.3.2. | Mô tả thiết bị lưu trữ năng lượng: (REESS, tụ điện, máy phát điện) | ||||||||||||||||||||||||||||||||||||||||||||||||||||||||||||||||||||||||||||||||||||||||||||||||||||||||||||
| 3.3.2.1. | Nhãn hiệu nhà sản xuất:... | ||||||||||||||||||||||||||||||||||||||||||||||||||||||||||||||||||||||||||||||||||||||||||||||||||||||||||||
| 3.3.22. | Kiểu loại:... | ||||||||||||||||||||||||||||||||||||||||||||||||||||||||||||||||||||||||||||||||||||||||||||||||||||||||||||
| 3.3.2.3. | Số định danh: ... | ||||||||||||||||||||||||||||||||||||||||||||||||||||||||||||||||||||||||||||||||||||||||||||||||||||||||||||
| 3.3.2.4. | Loại cực điện hóa: ... | ||||||||||||||||||||||||||||||||||||||||||||||||||||||||||||||||||||||||||||||||||||||||||||||||||||||||||||
| 3.3.2.5. | Năng lượng: ... (với REESS: điện áp và công suất Ah in 2 h, với tụ điện: J, ...) | ||||||||||||||||||||||||||||||||||||||||||||||||||||||||||||||||||||||||||||||||||||||||||||||||||||||||||||
| 3.3.2.6. | Bộ sạc: trên xe/bên ngoài/không có (1) | ||||||||||||||||||||||||||||||||||||||||||||||||||||||||||||||||||||||||||||||||||||||||||||||||||||||||||||
| 3.3.3. | Máy điện (mô tả từng loại máy điện riêng) | ||||||||||||||||||||||||||||||||||||||||||||||||||||||||||||||||||||||||||||||||||||||||||||||||||||||||||||
| 3.3.3.1. | Nhãn hiệu nhà sản xuất:... | ||||||||||||||||||||||||||||||||||||||||||||||||||||||||||||||||||||||||||||||||||||||||||||||||||||||||||||
| 3.3.3.2. | Kiểu loại:... | ||||||||||||||||||||||||||||||||||||||||||||||||||||||||||||||||||||||||||||||||||||||||||||||||||||||||||||
| 3.3.3.3. | Sử dụng chính: động cơ kéo/máy phát điện (1) | ||||||||||||||||||||||||||||||||||||||||||||||||||||||||||||||||||||||||||||||||||||||||||||||||||||||||||||
| 3.3.3.3.1. | Khi sử dụng làm động cơ kéo: động cơ đơn/kép (số) (1): ... | ||||||||||||||||||||||||||||||||||||||||||||||||||||||||||||||||||||||||||||||||||||||||||||||||||||||||||||
| 3.3.3.4. | Công suất lớn nhất: ... kW | ||||||||||||||||||||||||||||||||||||||||||||||||||||||||||||||||||||||||||||||||||||||||||||||||||||||||||||
| 3.3.3.5. | Nguyên tắc làm việc | ||||||||||||||||||||||||||||||||||||||||||||||||||||||||||||||||||||||||||||||||||||||||||||||||||||||||||||
| 3.3.3.5.1 | Dòng điện một chiều/dòng điện xoay chiều/số pha:... | ||||||||||||||||||||||||||||||||||||||||||||||||||||||||||||||||||||||||||||||||||||||||||||||||||||||||||||
| 3.3.3.5.2. | Kích thích độc lập /nối tiếp/kết hợp (1) | ||||||||||||||||||||||||||||||||||||||||||||||||||||||||||||||||||||||||||||||||||||||||||||||||||||||||||||
| 3.3.3.5.3. | Đồng bộ/không đồng bộ (1) | ||||||||||||||||||||||||||||||||||||||||||||||||||||||||||||||||||||||||||||||||||||||||||||||||||||||||||||
| 3.3.4. | Bộ phận điều khiển | ||||||||||||||||||||||||||||||||||||||||||||||||||||||||||||||||||||||||||||||||||||||||||||||||||||||||||||
| 3.3.4.1. | Nhãn hiệu nhà sản xuất: ... | ||||||||||||||||||||||||||||||||||||||||||||||||||||||||||||||||||||||||||||||||||||||||||||||||||||||||||||
| 3.3.4.2. | Kiểu loại: ... | ||||||||||||||||||||||||||||||||||||||||||||||||||||||||||||||||||||||||||||||||||||||||||||||||||||||||||||
| 3.3.4.3. | Số định danh: ... | ||||||||||||||||||||||||||||||||||||||||||||||||||||||||||||||||||||||||||||||||||||||||||||||||||||||||||||
| 3.3.5. | Bộ điều khiển nguồn | ||||||||||||||||||||||||||||||||||||||||||||||||||||||||||||||||||||||||||||||||||||||||||||||||||||||||||||
| 3.3.5.1. | Nhãn hiệu nhà sản xuất:... | ||||||||||||||||||||||||||||||||||||||||||||||||||||||||||||||||||||||||||||||||||||||||||||||||||||||||||||
| 3.3.5.2. | Kiểu loại:... | ||||||||||||||||||||||||||||||||||||||||||||||||||||||||||||||||||||||||||||||||||||||||||||||||||||||||||||
| 3.3.5.3. | Số định danh:... | ||||||||||||||||||||||||||||||||||||||||||||||||||||||||||||||||||||||||||||||||||||||||||||||||||||||||||||
| 3.3.6. | Khuyến nghị của nhà sản xuất về thuần hóa xe: ... | ||||||||||||||||||||||||||||||||||||||||||||||||||||||||||||||||||||||||||||||||||||||||||||||||||||||||||||
| 3.4. | Các giá trị công bố của nhà sản xuất về tiêu thụ điện năng/ quãng đường chạy thuần điện | ||||||||||||||||||||||||||||||||||||||||||||||||||||||||||||||||||||||||||||||||||||||||||||||||||||||||||||
| 3.4.1. | Các giá trị công bố của nhà sản xuất | ||||||||||||||||||||||||||||||||||||||||||||||||||||||||||||||||||||||||||||||||||||||||||||||||||||||||||||
| 3.4.1.1. | Các thông số xe thử nghiệm
| ||||||||||||||||||||||||||||||||||||||||||||||||||||||||||||||||||||||||||||||||||||||||||||||||||||||||||||
| 3.4.1.2. | Quãng đường chạy thuần điện | ||||||||||||||||||||||||||||||||||||||||||||||||||||||||||||||||||||||||||||||||||||||||||||||||||||||||||||
| 3.4.1.2.1. | Quãng đường chạy thuần điện (PER) cho PEVs | ||||||||||||||||||||||||||||||||||||||||||||||||||||||||||||||||||||||||||||||||||||||||||||||||||||||||||||
| 3.4.1.2.1.1. | Xe chuẩn cao: ... km | ||||||||||||||||||||||||||||||||||||||||||||||||||||||||||||||||||||||||||||||||||||||||||||||||||||||||||||
| 3.4.1.2.1.2. | Xe chuẩn thấp (nếu có): ... km | ||||||||||||||||||||||||||||||||||||||||||||||||||||||||||||||||||||||||||||||||||||||||||||||||||||||||||||
| 3.4.1.3. | Tiêu thụ điện năng cho xe điện | ||||||||||||||||||||||||||||||||||||||||||||||||||||||||||||||||||||||||||||||||||||||||||||||||||||||||||||
| 3.4.1.3.1. | Mức tiêu thụ điện năng tổ hợp (ECWLTC) cho xe chạy thuần điện | ||||||||||||||||||||||||||||||||||||||||||||||||||||||||||||||||||||||||||||||||||||||||||||||||||||||||||||
| 3.4.1.3.1.1. | Xe chuẩn cao: ... Wh/km | ||||||||||||||||||||||||||||||||||||||||||||||||||||||||||||||||||||||||||||||||||||||||||||||||||||||||||||
| 3.4.1.3.1.2. | Xe chuẩn thấp (nếu có); ... Wh/km | ||||||||||||||||||||||||||||||||||||||||||||||||||||||||||||||||||||||||||||||||||||||||||||||||||||||||||||
| 4. | Truyền động (P) | ||||||||||||||||||||||||||||||||||||||||||||||||||||||||||||||||||||||||||||||||||||||||||||||||||||||||||||
| 4.1. | Mô men quán tính của bánh đà động cơ: ... | ||||||||||||||||||||||||||||||||||||||||||||||||||||||||||||||||||||||||||||||||||||||||||||||||||||||||||||
| 4.1.1. | Mô men quán tính bổ sung khi không lắp bánh răng: ... | ||||||||||||||||||||||||||||||||||||||||||||||||||||||||||||||||||||||||||||||||||||||||||||||||||||||||||||
| 4.2. | Bộ ly hợp | ||||||||||||||||||||||||||||||||||||||||||||||||||||||||||||||||||||||||||||||||||||||||||||||||||||||||||||
| 4.2.1. | Kiểu loại: ... | ||||||||||||||||||||||||||||||||||||||||||||||||||||||||||||||||||||||||||||||||||||||||||||||||||||||||||||
| 4.2.2. | Chuyển đổi mô-men xoắn lớn nhất:... | ||||||||||||||||||||||||||||||||||||||||||||||||||||||||||||||||||||||||||||||||||||||||||||||||||||||||||||
| 4.3. | Hộp số | ||||||||||||||||||||||||||||||||||||||||||||||||||||||||||||||||||||||||||||||||||||||||||||||||||||||||||||
| 4.3.1. | Kiểu loại (số sàn/tự động/CVT (hộp số biến thiên liên tục)) (1) | ||||||||||||||||||||||||||||||||||||||||||||||||||||||||||||||||||||||||||||||||||||||||||||||||||||||||||||
| 4.3.1.1. | Tỷ số momen xoắn:... | ||||||||||||||||||||||||||||||||||||||||||||||||||||||||||||||||||||||||||||||||||||||||||||||||||||||||||||
| 4.3.1.2. | Số ly hợp: ... | ||||||||||||||||||||||||||||||||||||||||||||||||||||||||||||||||||||||||||||||||||||||||||||||||||||||||||||
| 4.4. | Tỷ số truyền
| ||||||||||||||||||||||||||||||||||||||||||||||||||||||||||||||||||||||||||||||||||||||||||||||||||||||||||||
| 4.4.1. | Cần số | ||||||||||||||||||||||||||||||||||||||||||||||||||||||||||||||||||||||||||||||||||||||||||||||||||||||||||||
| 4.4.1.1. | Loại trừ số 1-1: có/không (1) | ||||||||||||||||||||||||||||||||||||||||||||||||||||||||||||||||||||||||||||||||||||||||||||||||||||||||||||
| 4.4.1.2. | n95_high cho mỗi số: ... min-1 | ||||||||||||||||||||||||||||||||||||||||||||||||||||||||||||||||||||||||||||||||||||||||||||||||||||||||||||
| 4.4.1.3. | nmin_drive | ||||||||||||||||||||||||||||||||||||||||||||||||||||||||||||||||||||||||||||||||||||||||||||||||||||||||||||
| 4.4.1.3.1. | Số thứ 1: ... min-1 | ||||||||||||||||||||||||||||||||||||||||||||||||||||||||||||||||||||||||||||||||||||||||||||||||||||||||||||
| 4.4.1.3.2. | Số thứ 1 đến số thứ 2: ... min-1 | ||||||||||||||||||||||||||||||||||||||||||||||||||||||||||||||||||||||||||||||||||||||||||||||||||||||||||||
| 4.4.1.3.3. | Số thứ 2 đến dừng lại: ... min-1 | ||||||||||||||||||||||||||||||||||||||||||||||||||||||||||||||||||||||||||||||||||||||||||||||||||||||||||||
| 4.4.1.3.4. | Số thứ 2: ... min-1 | ||||||||||||||||||||||||||||||||||||||||||||||||||||||||||||||||||||||||||||||||||||||||||||||||||||||||||||
| 4.4.1.3.5. | Số thứ 3 và lớn hơn: ... min-1 | ||||||||||||||||||||||||||||||||||||||||||||||||||||||||||||||||||||||||||||||||||||||||||||||||||||||||||||
| 4.4.1.4. | nmin_drive_set cho pha tăng tốc/vận tốc ổn định (nmin_drive_up):... min-1 | ||||||||||||||||||||||||||||||||||||||||||||||||||||||||||||||||||||||||||||||||||||||||||||||||||||||||||||
| 4.4.1.5. | nmin_drive_set cho pho giảm tốc (nmin_drive_down) | ||||||||||||||||||||||||||||||||||||||||||||||||||||||||||||||||||||||||||||||||||||||||||||||||||||||||||||
| 4,4.1.6. | Khoảng thời gian ban đầu | ||||||||||||||||||||||||||||||||||||||||||||||||||||||||||||||||||||||||||||||||||||||||||||||||||||||||||||
| 4.4.1.6.1. | tstart_phase: ... s | ||||||||||||||||||||||||||||||||||||||||||||||||||||||||||||||||||||||||||||||||||||||||||||||||||||||||||||
| 4.4.1.6.2. | nmin_drive_start: ... min-1 | ||||||||||||||||||||||||||||||||||||||||||||||||||||||||||||||||||||||||||||||||||||||||||||||||||||||||||||
| 4.4.1.6.3. | nmin_drive_up_start: ... min-1 | ||||||||||||||||||||||||||||||||||||||||||||||||||||||||||||||||||||||||||||||||||||||||||||||||||||||||||||
| 4.4.1.7. | Sử dụng ASM: có/không (1) | ||||||||||||||||||||||||||||||||||||||||||||||||||||||||||||||||||||||||||||||||||||||||||||||||||||||||||||
| 4.4.1.7.1. | Giá trị ASM: ... tại... min-1 | ||||||||||||||||||||||||||||||||||||||||||||||||||||||||||||||||||||||||||||||||||||||||||||||||||||||||||||
| 4.5. | Vận tốc thiết kế lớn nhất của xe (km/h) (q): ... | ||||||||||||||||||||||||||||||||||||||||||||||||||||||||||||||||||||||||||||||||||||||||||||||||||||||||||||
| 4.6. | Chất bôi trơn hộp số: ...W... | ||||||||||||||||||||||||||||||||||||||||||||||||||||||||||||||||||||||||||||||||||||||||||||||||||||||||||||
| 5. | Hệ thống treo | ||||||||||||||||||||||||||||||||||||||||||||||||||||||||||||||||||||||||||||||||||||||||||||||||||||||||||||
| 5.1. | Lốp và bánh xe | ||||||||||||||||||||||||||||||||||||||||||||||||||||||||||||||||||||||||||||||||||||||||||||||||||||||||||||
| 5.1.1. | (các) kết hợp lốp/bánh | ||||||||||||||||||||||||||||||||||||||||||||||||||||||||||||||||||||||||||||||||||||||||||||||||||||||||||||
| 5.1.1.1. | Cầu xe | ||||||||||||||||||||||||||||||||||||||||||||||||||||||||||||||||||||||||||||||||||||||||||||||||||||||||||||
| 5.1.1.11. | Cầu 1:... | ||||||||||||||||||||||||||||||||||||||||||||||||||||||||||||||||||||||||||||||||||||||||||||||||||||||||||||
| 5.1.1.1.1.1. | Chỉ định kích thước lốp | ||||||||||||||||||||||||||||||||||||||||||||||||||||||||||||||||||||||||||||||||||||||||||||||||||||||||||||
| 5.1.1.1.2. | Cầu 2: ... | ||||||||||||||||||||||||||||||||||||||||||||||||||||||||||||||||||||||||||||||||||||||||||||||||||||||||||||
| 5.1.1.1.2.1 | Chỉ định kích thước lốp | ||||||||||||||||||||||||||||||||||||||||||||||||||||||||||||||||||||||||||||||||||||||||||||||||||||||||||||
|
| ... | ||||||||||||||||||||||||||||||||||||||||||||||||||||||||||||||||||||||||||||||||||||||||||||||||||||||||||||
| 5.1.2. | Giới hạn trên và dưới bán kính lăn | ||||||||||||||||||||||||||||||||||||||||||||||||||||||||||||||||||||||||||||||||||||||||||||||||||||||||||||
| 5.12.1 | Trục 1:... | ||||||||||||||||||||||||||||||||||||||||||||||||||||||||||||||||||||||||||||||||||||||||||||||||||||||||||||
| 5.12.2. | Trục 2: ... | ||||||||||||||||||||||||||||||||||||||||||||||||||||||||||||||||||||||||||||||||||||||||||||||||||||||||||||
| 5.1.3. | Áp suất lốp theo khuyến nghị của nhà sản xuất xe: ... kPa | ||||||||||||||||||||||||||||||||||||||||||||||||||||||||||||||||||||||||||||||||||||||||||||||||||||||||||||
| 6. | Thân xe | ||||||||||||||||||||||||||||||||||||||||||||||||||||||||||||||||||||||||||||||||||||||||||||||||||||||||||||
| 6.1. | Kiểu loại thân xe (c):... | ||||||||||||||||||||||||||||||||||||||||||||||||||||||||||||||||||||||||||||||||||||||||||||||||||||||||||||
| 7. | Điều khoản khác | ||||||||||||||||||||||||||||||||||||||||||||||||||||||||||||||||||||||||||||||||||||||||||||||||||||||||||||
| 7.1 | Các thiết bị hoặc hệ thống có các chế độ do người điều khiển lựa chọn ảnh hưởng đến mức tiêu thụ điện năng theo tiêu chí và không có chế độ ưu tiên: có/không (1) | ||||||||||||||||||||||||||||||||||||||||||||||||||||||||||||||||||||||||||||||||||||||||||||||||||||||||||||
| 7.1.1. | Thử nghiệm khả năng duy trì sạc (nếu có) (trạng thái cho từng thiết bị hoặc hệ thống) | ||||||||||||||||||||||||||||||||||||||||||||||||||||||||||||||||||||||||||||||||||||||||||||||||||||||||||||
| 7.1.1.0. | Chế độ ưu tiên dưới điều điện CS: có/không (1) | ||||||||||||||||||||||||||||||||||||||||||||||||||||||||||||||||||||||||||||||||||||||||||||||||||||||||||||
| 7.1.1.0.1. | Chế độ ưu tiên dưới điều điện CS: ... (nếu có) | ||||||||||||||||||||||||||||||||||||||||||||||||||||||||||||||||||||||||||||||||||||||||||||||||||||||||||||
| 7.1.1.1. | Chế độ trường hợp tốt nhất: ... (nếu có) | ||||||||||||||||||||||||||||||||||||||||||||||||||||||||||||||||||||||||||||||||||||||||||||||||||||||||||||
| 7.1.1.2. | Chế độ trường hợp xấu nhất: ... (nếu có) | ||||||||||||||||||||||||||||||||||||||||||||||||||||||||||||||||||||||||||||||||||||||||||||||||||||||||||||
| 7.1.1.3. | Chế độ cho phép xe thực hiện chu trình thử nghiệm tiêu chuẩn: ... (trong trường hợp không có chế độ ưu tiên trong điều kiện CS và chỉ có một chế độ thực hiện được chu trình thử nghiệm tiêu chuẩn) | ||||||||||||||||||||||||||||||||||||||||||||||||||||||||||||||||||||||||||||||||||||||||||||||||||||||||||||
| 7.1.2. | Thử nghiệm cạn kiệt điện tích (nếu có) (trạng thái cho từng thiết bị hoặc hệ thống) | ||||||||||||||||||||||||||||||||||||||||||||||||||||||||||||||||||||||||||||||||||||||||||||||||||||||||||||
| 7.1.2.0. | Chế độ ưu tiên dưới điều điện CD: có/không (1) | ||||||||||||||||||||||||||||||||||||||||||||||||||||||||||||||||||||||||||||||||||||||||||||||||||||||||||||
| 7.1.2.0.1. | Chế độ ưu tiên dưới điều điện CD: ... (nếu có) | ||||||||||||||||||||||||||||||||||||||||||||||||||||||||||||||||||||||||||||||||||||||||||||||||||||||||||||
| 7.1.2.1. | Chế độ tiêu thụ năng lượng nhiều nhất: ... (nếu có) | ||||||||||||||||||||||||||||||||||||||||||||||||||||||||||||||||||||||||||||||||||||||||||||||||||||||||||||
| 7.1.2.2. | Chế độ cho phép xe thực hiện chu trình thử nghiệm tiêu chuẩn: ... (trong trường hợp không có chế độ ưu tiên trong điều kiện CD và chỉ có một chế độ thực hiện được chu trình thử nghiệm tiêu chuẩn) | ||||||||||||||||||||||||||||||||||||||||||||||||||||||||||||||||||||||||||||||||||||||||||||||||||||||||||||
| 7.1.3. | Phép thử kiểu I (nếu có) (trạng thái cho từng thiết bị hoặc hệ thống) | ||||||||||||||||||||||||||||||||||||||||||||||||||||||||||||||||||||||||||||||||||||||||||||||||||||||||||||
| 7.1.3.1. | Chế độ trường hợp tốt nhất:... | ||||||||||||||||||||||||||||||||||||||||||||||||||||||||||||||||||||||||||||||||||||||||||||||||||||||||||||
| 7.1.3.2. | Chế độ trường hợp xấu nhất: ... | ||||||||||||||||||||||||||||||||||||||||||||||||||||||||||||||||||||||||||||||||||||||||||||||||||||||||||||
CHÚ THÍCH:
(1) Xóa khi không áp dụng (có trường hợp không cần xóa khi áp dụng nhiều nội dung).
(2) Chỉ định dung sai.
(3) Giá trị trên và dưới.
(4) Phải chỉ định các thiết bị tùy chọn ảnh hưởng đến kích thước của xe.
(a) Như được định nghĩa trong nghị quyết về xây dựng xe (R.E.3.), tài liệu ECE/TRANS/WP.29/78/Rev.6, đoạn. 2-www.unece.org/trans/main/wp29/wp29wgs/wp29gen/wp29addresss.html.
(f) Trong trường hợp có một cabin thông thường và một cabin nằm thì cả hai nhóm khối lượng và kích thước phải được nêu rõ.
(g) TCVN 6528:1999.
(h) Khối lượng của bộ dẫn động được đánh giá là 75 kg. Các hệ thống chứa chất lỏng (trừ hệ thống chứa nước đã qua sử dụng phải để trống) được đổ đầy tới 100 % dung tích do nhà sản xuất quy định.
(i) Đối với rơ moóc hoặc sơ mi rơ moóc và đối với các xe được ghép nối với rơ moóc hoặc sơ mi rơ moóc, tạo một tải trọng thẳng đứng đáng kể lên thiết bị ghép nối hoặc bánh xe thứ năm, tải trọng này chia cho gia tốc trọng trường tiêu chuẩn được bao gồm với khối lượng lớn nhất cho phép về mặt kỹ thuật.
(k) Đối với xe có thể chạy bằng xăng, dầu diesel, v.v. hoặc kết hợp với nhiên liệu khác, các hạng mục phải được lặp lại.
Trong trường hợp động cơ và hệ thống không thông thường, nhà sản xuất phải cung cấp các chi tiết tương đương với những chi tiết được đề cập trong đó.
(p) Các chi tiết cụ thể phải được cung cấp cho bất kỳ phương án đề xuất nào.
(q) Đối với rơ moóc, vận tốc lớn nhất được nhà sản xuất cho phép.
Phụ lục A1-1
(Quy định)
Báo cáo phép thử WLTP
Phần I: Những thông tin sau, nếu có, là những thông tin nhỏ nhất yêu cầu cho phép thử kiểu I
Số báo cáo
| Người nộp đơn |
| ||
| Nhà sản xuất |
| ||
| Chủ đề |
|
|
|
| (các) mã định danh họ lực cản trên đường | : |
| |
| (các) mã định danh họ nội suy | : |
| |
| Đối tượng thử nghiệm | |||
|
| Sản xuất | : |
|
|
| Mã định danh IP | : |
|
| Kết luận | Đối tượng được đưa đi thử nghiệm tuân thủ các yêu cầu được đề cập trong chủ đề. | ||
Địa điểm, ngày tháng năm
CHÚ THÍCH: Nếu có một số lựa chọn (tài liệu tham khảo), lựa chọn được thử nghiệm phải được mô tả trong báo cáo thử nghiệm. Nếu không có, chỉ cần tham chiếu đến tài liệu thông tin ở đầu báo cáo thử nghiệm là đủ. Mỗi cơ sở thử nghiệm đều có thể tự do đưa vào một số thông tin bổ sung.
1 Mô tả xe thử: cao, thấp và M (nếu áp dụng)
1.1 Tổng quan
| Số xe | : | Số nguyên mẫu và số VIN |
| Loại | : |
|
| Thân xe | : |
|
| Bánh xe chủ động | : |
|
1.1.1 Cấu trúc hệ động lực
| Cấu trúc hệ động lực | : |
|
1.1.2 Truyền động (nếu áp dụng)
Với hơn một truyền động
| Hộp số | : | Bằng tay/tự động/CVT |
| Quá trình chuyển số | ||
| Chế độ ưu tiên | : | Có/không Thông thường/chủ động/... |
| Chế độ tiêu thụ điện năng cao nhất | : |
|
| Thiết bị kiểm soát | : |
|
| Chất bôi trơn hộp số | : | Nhãn hiệu và kiểu loại |
| Lốp xe | ||
| Nhãn hiệu | : |
|
| Kiểu loại | : |
|
| Kích thước trước/sau | : |
|
| Chu vi động (m) | : |
|
| Áp suất lốp (kPa) | : |
|
Tỷ số truyền (R.T.) tỷ số chính (R.P.) và (vận tốc xe (km/h))/(vận tốc động cơ (1000 (min-1)) (V1000) cho từng tỷ số hộp số (R.B.).
| R.B. | R.P. | R.T. | V1000 |
| Lần 1 | 1/1 |
|
|
| Lần 2 | 1/1 |
|
|
| Lần 3 | 1/1 |
|
|
| Lần 4 | 1/1 |
|
|
| ... |
|
|
|
1.1.3 Máy điện (nếu có)
Với hơn một máy điện, khai báo lại các điểm sau:
| Nhãn hiệu | : |
|
| Kiểu loại | : |
|
| Công suất đỉnh (kW) | : |
|
1.1.4 REESS kéo (nếu có)
Với hơn một REESS kéo, khai báo lại các điểm sau:
| Nhãn hiệu | : |
|
| Kiểu loại | : |
|
| Công suất đỉnh | : |
|
| Dung lượng (Ah) |
|
|
| Điện áp danh nghĩa (V) |
|
|
1.1.5 Điện tử công suất (nếu có)
Có thể hơn một PE (bộ chuyển đổi động cơ đẩy, hệ thống điện áp thấp hoặc bộ sạc)
| Nhãn hiệu | : |
|
| Kiểu loại | : |
|
| Công suất (kW) | : |
|
1.2 Mô tả xe chuẩn cao
1.2.1 Khối lượng
| Khối lượng thử nghiệm của VH (kg) | : |
|
1.2.2 Thông số lực cản trên đường
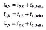
| fo (N) | : |
|
| f1 (N/(km/h)) | : |
|
| f2 (N/(km/h)2) | : |
|
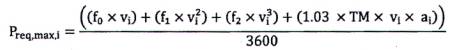
| Nhu cầu năng lượng chu trình (J) | : |
|
| Tài liệu tham khảo báo cáo thử nghiệm lực cản trên đường | : |
|
| Mã định danh họ lực cản trên đường | : |
|
1.2.3 Các thông số lựa chọn chu trình
| Chu trình (không thu nhỏ) | : | Lớp 1/2/3a/3b |
| Quy mô công suất danh định trên khối lượng khi vận hành - 75 kg (PMR)(W/kg) | : | (nếu có) |
| Quá trình giới hạn vận tốc được sử dụng trong quá trình đo | : | có/không |
| Vận tốc lớn nhất của xe (km/h) | : |
|
| Thu nhỏ quy mô (nếu có) | : | có/không |
| Hệ số thu nhỏ quy mô fdsc | : |
|
| Khoảng cách chu trình (m) | : |
|
| Vận tốc không đổi (trong trường hợp quy trình thử nghiệm rút ngắn) | : | Nếu có |
1.2.4 Điểm chuyển số (nếu có)
| Phiên bản tính toán chuyển số |
| Nêu rõ sửa đổi có thể áp dụng đối với UNR 15 |
| Chuyển số | : | Số trung bình cho v ≥ 1 km/h, x.xxxx |
| Số thứ 1 | : | ...min-1 |
| Số thứ 1 sang thứ 2 | : | ...min-1 |
| Số thứ 2 sang đứng yên | : | ...min-1 |
| Số thứ 2 | : | ...min-1 |
| Số thứ 3 và cao hơn | : | ...min-1 |
| Số 1 bị loại trừ | : | Có/không |
| n95-high cho mỗi số |
| ...min-1 |
| nmin_drive_set cho các pha tăng tốc/vận tốc không đổi (nmin_drive_up) |
| ...min-1 |
| nmin_drive_set cho các pha giảm tốc (nmin_drive_down) |
| ...min-1 |
| tstart_phase |
| ...s |
| nmin_drive_start |
| ...min-1 |
| nmin_drive_up_start |
| ...min-1 |
| Sử dụng ASM |
| Có/không |
| Các giá trị ASM |
|
|
1.3 Mô tả xe chuẩn thấp (nếu có)
1.3.1 Khối lượng
| Khối lượng thử nghiệm của VL (kg) | : |
|
1.3.2 Thông số lực cản trên đường
| fo (N) | : |
|
| f1 (N/(km/h)) | : |
|
| f2 (N/(km/h)2) | : |
|
| Nhu cầu năng lượng chu trình (J) |
|
|
| ∆(CD × Af)LH (m2) |
|
|
| Tài liệu tham khảo báo cáo thử nghiệm lực cản trên đường | : |
|
| Mã định danh họ lực cản trên đường | : |
|
1.3.3 Các thông số lựa chọn chu trình
| Chu trình (không thu gọn) | : | Lớp 1/2/3a/3b |
| Quy mô công suất danh định trên khối lượng khi vận hành - 75 kg (PMR)(W/kg) | : | (nếu có) |
| Quá trình giới hạn vận tốc được sử dụng trong quá trình đo | : | có/không |
| Vận tốc lớn nhất của xe (km/h) | : |
|
| Thu gọn quy mô (nếu có) | : | có/không |
| Hệ số thu gọn quy mô fdsc | : |
|
| Khoảng cách chu trình (m) | : |
|
| Vận tốc không đổi (trong trường hợp quy trình thử nghiệm rút ngắn) | : | Nếu có |
1.3.4 Điểm chuyển số (nếu có)
| Chuyển số | : | Số trung bình cho v ≥ 1 km/h, x.xxxx |
1.4 Mô tả xe loại M (nếu có)
1.4.1 Khối lượng
| Khối lượng thử nghiệm của VL (kg) | : |
|
1.4.2 Thông số lực cản trên đường
| fo (N) | : |
|
| f1 (N/(km/h)) | : |
|
| f2 (N/(km/h)2) | : |
|
| Nhu cầu năng lượng chu trình 4 pha (J) | : |
|
| Nhu cầu năng lượng chu trình 3 pha (J) | : |
|
| ∆(CD × Af)LH (m2) | : |
|
| Tài liệu tham khảo báo cáo thử nghiệm lực cản trên đường | : |
|
| Mã định danh họ lực cản trên đường | : |
|
1.4.3 Thông số lựa chọn chu trình
| Chu trình (không thu gọn) | : | Lớp 1/2/3a/3b |
| Quy mô công suất danh định trên khối lượng khi vận hành - 75 kg (PMR)(W/kg) | : | (nếu có) |
| Quá trình giới hạn vận tốc được sử dụng trong quá trình đo | : | có/không |
| Vận tốc lớn nhất của xe | : |
|
| Thu gọn quy mô (nếu có) | : | có/không |
| Hệ số thu gọn quy mô fdsc | : |
|
| Khoảng cách chu trình (m) | : |
|
| Vận tốc không đổi (trong trường hợp quy trình thử nghiệm rút ngắn) | : | Nếu có |
1.4.4 Điểm chuyển số (nếu có)
| Chuyển số | : | Số trung bình cho v ≥ 1 km/h, x.xxxx |
2 Kết quả thử nghiệm
2.1 Phép thử kiểu I
| Phương pháp chỉnh đặt băng thử động lực | : | Chạy cố định/lặp lại/thay thế bằng chu trình khởi động riêng của nó |
| Băng thử trong vận hành 2WD/4WD | : | 2WD/4WD |
| Đối với vận hành 2WD, trục không được cấp điện có quay không | : | có/không/không áp dụng |
| Chế độ vận hành băng thử | : | có/không |
| Chế độ chạy theo quán tính | : | có/không |
| Thuần hoá bổ sung | : | có/không mô tả |
| Hệ số suy giảm | : | Được quy định/được thử nghiệm |
2.1.1 Xe chuẩn cao
| Ngày thử nghiệm | : | (ngày/tháng/năm) |
| Địa điểm thử nghiệm | : | Băng thử động lực, vị trí, quốc gia |
| Chiều cao mép dưới so với mặt đất của quạt làm mát (cm) | : |
|
| Vị trí mặt bên của tâm quạt (nếu được sửa đổi theo yêu cầu của nhà sản xuất) | : | ở đường tâm xe/... |
| Khoảng cách từ đầu xe (cm) | : |
|
| IWR: tỷ lệ làm việc quán tính chu trình 4 pha (%) |
| x.x |
| IWR: tỷ lệ làm việc quán tính chu trình 3 pha (%) | : | x.x |
| RMSSE: sai số bình phương trung bình gốc vận tốc của chu trình 4 pha (km/h) | : | x.xx |
| RMSSE: sai số bình phương trung bình gốc vận tốc của chu trình 3 pha (km/h) | : | x.xx |
| Mô tả độ lệch được chấp nhận của chu trình chạy xe | : | Tiêu chí PEV trước điểm kết thúc phép thử hoặc Bàn đạp tăng tốc hoạt động hoàn toàn |
2.1.1.1 Giới hạn cho PEV - Quãng đường chạy thuần điện (nếu có)
Phép thử kiểu I
| PER (km) | Thấp | Trung bình | Cao | Rất cao | Thành phố | Hỗn hợp chu trình 4 pha | Hỗn hợp chu trình 3 pha |
| Giá trị PER tính toán |
|
|
|
|
|
|
|
| Giá trị khai báo |
|
|
|
|
|
|
|
Phép thử kiểu II (nếu có)
Ghi lại kết quả thử nghiệm với bảng của phép thử kiểu I
Phép thử kiểu III (nếu có)
Ghi lại kết quả thử nghiệm với bảng phép thử kiểu I
Kết luận
| PER (km) | Chu trình trong đô thị | Chu trình hỗn hợp 4 pha | Chu trình hỗn hợp 3 pha |
| PER trung bình |
|
|
|
| Giá trị PER cuối cùng |
|
|
|
2.1.1.2 Tiêu thụ điện năng của PEV (nếu có)
Phép thử kiểu I
| EAC(Wh) |
|
| EC (Wh/km) | Chu trình trong đô thị | Chu trình hỗn hợp 4 pha | Chu trình hỗn hợp 3 pha |
| Giá trị EC tính toán |
|
|
|
| Giá trị khai báo |
|
|
|
Phép thử kiểu II (nếu có)
Ghi lại kết quả thử nghiệm với bảng của phép thử loại I.
Phép thử kiểu III (nếu có)
Ghi lại kết quả thử nghiệm với bảng phép thử loại I.
| EC (Wh/km) | Thấp | Trung bình | Cao | Rất cao | Trong đô thị | Chu trình hỗn hợp 4 pha | Chu trình hỗn hợp 3 pha |
| EC trung bình |
|
|
|
|
|
|
|
| Giá trị EC cuối cùng |
|
|
|
|
|
|
|
Thông tin cho COP
|
| Chu trình hỗn hợp 4 pha | Chu trình hỗn hợp 3 pha |
| Tiêu thụ điện năng (Wh/km) |
|
|
| AFEC |
|
|
2.1.2 Xe chuẩn thấp (nếu có)
Lặp lại 2.1.1.
2.1.3 Xe M (nếu có)
Lặp lại 2.1.1.
2.2 Phép thử kiểu IV(a)
| Mã định danh của họ | : |
|
| Xem (các) báo cáo | : |
|
2.3 Hệ thống chẩn đoán trên xe
| Mã định danh của họ | : |
|
| Xem (các) báo cáo | : |
|
Phụ lục A1-2
(Quy định)
Kết quả thử lực cản trên đường WLTP
Các thông tin sau, nếu có, là các dữ liệu yêu cầu nhỏ nhất cho thử nghiệm xác định lực cản trên đường
Báo cáo số
| Người nộp đơn |
| ||
| Nhà máy sản xuất |
| ||
| Chủ đề |
| : |
|
| (các) mã định danh họ lực cản trên đường | : |
| |
| (các) mã định danh họ nội suy | : |
| |
| Đối tượng được đưa đi thử nghiệm | |||
|
| Nhãn hiệu | : |
|
|
| Mã định danh IP | : |
|
| Kết luận | Đối tượng được đưa đi thử nghiệm tuân thủ các yêu cầu được đề cập trong chủ đề. | ||
Địa điểm, ngày tháng năm
1 Các xe liên quan
| (các) sản xuất liên quan | : |
|
| (các) loại liên quan | : |
|
| Miêu tả thương mại | : |
|
| Vận tốc lớn nhất | : |
|
| (các) trục hỗ trợ | : |
|
2 Mô tả xe thử nghiệm
Nếu không nội suy: xe trong trường hợp có kết quả lớn nhất (liên quan đến nhu cầu năng lượng) phải được mô tả
2.1 Phương pháp đường hầm tạo gió
| Kết hợp với | : | Băng thử đại phẳng/Băng thử động lực |
2.1.1 Tổng quan
|
| Đường hầm tạo gió | Băng thử | ||
| HR | LR | HR | LR | |
| Nhãn hiệu |
|
|
|
|
| Kiểu loại |
|
|
|
|
| Phiên bản |
|
|
|
|
| Nhu cầu năng lượng chu trình cho một chu trình WLTC lớp 3 hoàn chỉnh (kJ) |
|
|
|
|
| Sai số so với chuỗi sản xuất |
|
|
|
|
| Số km |
|
|
|
|
Hoặc (trong trường hợp họ ma trận lực cản trên đường)
| Nhãn hiệu |
|
|
|
|
| Kiểu loại |
|
|
|
|
| Phiên bản |
|
|
|
|
| Nhu cầu năng lượng chu trình cho một chu trình WLTC loại 3 hoàn chỉnh (kJ) |
|
|
|
|
| Sai số so với chuỗi sản xuất |
|
|
|
|
| Số km |
|
|
|
|
2.1.2 Khối lượng
|
| Băng thử | |
| HR | LR | |
| Khối lượng thử (kg) |
|
|
| Khối lượng trung bình mav (kg) |
|
|
| Giá trị mr (kg trên trục) |
|
|
| Xe loại M: Quy mô khối lượng xe ở trạng thái chạy trên trục trước (%) |
|
|
| Xe loại N: phân bổ khối lượng (kg hoặc %) |
|
|
Hoặc (trong trường hợp họ ma trận lực cản trên đường)
| Khối lượng thử (kg) | : |
|
| Khối lượng trung bình mav (kg) | : | (trung bình trước và sau thử nghiệm) |
| Khối lượng có tải lớn nhất cho phép về mặt kỹ thuật | : |
|
| Trung bình số học ước tính của khối lượng thiết bị tùy chọn | : |
|
| Xe loại M: Quy mô khối lượng xe ở trạng thái chạy trên trục trước (%) | : |
|
| Xe loại N: phân bổ khối lượng (kg hoặc %) | : |
|
2.1.3 Lốp
|
| Đường hầm tạo gió | Băng thử | ||
| HR | LR | HR | LR | |
| Kích thước thiết kế |
|
|
|
|
| Nhãn hiệu |
|
|
|
|
| Kiểu loại |
|
|
|
|
| Lực cản lăn | ||||
| Trước (kg/t) |
|
|
|
|
| Sau (kg/t) |
|
|
|
|
| Áp suất lốp | ||||
| Trước (kPa) |
|
|
|
|
| Sau (kPa) |
|
|
|
|
Hoặc (trong trường hợp họ ma trận lực cản trên đường)
| Kích thước thiết kế | ||
| Nhãn hiệu | : |
|
| Kiểu loại | : |
|
| Lực cản lăn | ||
| Trước (kg/t) | : |
|
| Sau (kg/t) | : |
|
| Áp suất lốp | ||
| Trước (kPa) |
|
|
| Sau (kPa) |
|
|
2.1.4 Thân xe
|
| Đường hầm tạo gió | |
| HR | LR | |
| Kiểu Loại | AA/AB/AC/AD/AE/AF BA/BB/BC/BD |
|
| Phiên bản |
|
|
| Thiết bị khí động học |
|
|
| Các bộ phận thân khí động học có thể di chuyển được | Có/không Liệt kê nếu có |
|
| Danh sách tùy chọn khí động học đã chỉnh đặt |
|
|
| Delta (CD × Af)LH so với HR (m2) |
|
|
Hoặc (Trong trường hợp họ ma trận lực cản trên đường);
| Mô tả hình dạng thân | : | Hình hộp vuông (nếu không xác định được hình dáng thân đại diện cho một chiếc xe hoàn chỉnh) |
| Khu vực phía trước Afr (m2) | : |
|
2.2 Trên đường
2.2.1 Tổng quan
|
| HR | LR |
| Nhãn hiệu |
|
|
| Kiểu loại |
|
|
| Phiên bản |
|
|
| Nhu cầu năng lượng của chu trình cho chu trình WLTC kiểu III hoàn chỉnh (kJ) |
|
|
| Sai số so với chuỗi sản xuất |
|
|
| Số km |
|
|
Hoặc (trong trường hợp họ ma trận lực cản trên đường)
| Nhãn hiệu | : |
|
| Kiểu loại | : |
|
| Phiên bản | : |
|
| Nhu cầu năng lượng của chu trình cho chu trình WLTC kiểu III hoàn chỉnh (kJ) | : |
|
| Sai số so với chuỗi sản xuất | : |
|
| Số kilômét | : |
|
2.2.2 Khối lượng
|
| HR | LR |
| Khối lượng thử nghiệm (kg) |
|
|
| Khối lượng trung bình mav (kg) |
|
|
| Xe loại M: Quy mô khối lượng xe ở trạng thái chạy trên trục trước (%) |
|
|
| Xe loại N: phân bổ khối lượng (kg hoặc %) |
|
|
Hoặc (trong trường hợp họ ma trận lực cản trên đường)
| Khối lượng thử nghiệm (kg) | : |
|
| Khối lượng trung bình mav (kg) | : | (trung bình trước và sau thử nghiệm) |
| Khối lượng có tải lớn nhất cho phép về mặt kỹ thuật | : |
|
| Trung bình số học ước tính của khối lượng thiết bị tùy chọn | : |
|
| Xe loại M: Quy mô khối lượng xe ở trạng thái chạy trên trục trước (%) | : |
|
| Xe loại N: phân bổ khối lượng (kg hoặc %) | : |
|
2.2.3 Lốp
|
| HR | LR |
| Kích thước thiết kế |
|
|
| Nhãn hiệu |
|
|
| Kiểu loại |
|
|
| Lực cản lăn | ||
| Trước (kg/t) |
|
|
| Sau (kg/t) |
|
|
| Áp suất lốp | ||
| Trước (kPa) |
|
|
| Sau (kPa) |
|
|
Hoặc (trong trường hợp họ ma trận lực cản trên đường)
| Kích thước thiết kế | : |
|
| Nhãn hiệu |
|
|
| Kiểu loại | : |
|
| Lực cản lăn | ||
| Trước (kg/t) | : |
|
| Sau (kg/t) | : |
|
| Áp suất lốp | ||
| Trước (kPa) | : |
|
| Sau (kPa) | : |
|
2.2.4 Thân xe
|
| HR | LR |
| Kiểu loại | AA/AB/AC/AD/AE/AF BA/BB/BC/BD |
|
| Phiên bản |
|
|
| Thiết bị khí động học |
|
|
| Các bộ phận thân khí động học có thể di chuyển được | Có/không Liệt kê nếu có |
|
| Danh sách tùy chọn khí động học đã chỉnh đặt |
|
|
| Delta (CD × Af)LH so với HR m2) |
|
|
Hoặc (Trong trường hợp họ ma trận lực cản trên đường):
| Mô tả hình dạng thân xe | : | Hình hộp vuông (nếu không xác định được hình dáng thân đại diện cho một chiếc xe hoàn chỉnh) |
| Khu vực phía trước Afr (m2) | : |
|
2.3 Hệ động lực
2.3.1 Xe chuẩn cao
| Mã động cơ | : |
| ||
| Loại truyền động | : | Bằng tay/tự động/CVT | ||
| Mô men truyền động (các mã của nhà sản xuất) | : | (đánh giá mô men xoắn và số lượng ly hợp → được đưa vào tài liệu thông tin) | ||
| Mô men vỏ hộp số (các mã của nhà sản xuất) | : |
| ||
| Vận tốc quay của động cơ chia cho vận tốc xe | : | Số | Quy mô số | Quy mô N/V |
| Số 1 | 1/... |
| ||
| Số 2 | 1/... |
| ||
| Số 3 | 1/... |
| ||
| Số 4 | 1/... |
| ||
| Số 5 | 1/... |
| ||
| ... |
|
| ||
| (Các) máy điện ghép ở vị trí N | : | không (không có máy điện hoặc không có chế độ chạy theo quán tính) | ||
| Loại và số máy điện | : | loại hình kết cấu: không đồng bộ/đồng bộ... | ||
| Loại chất làm mát | : | Không khí, chất lỏng ... | ||
2.3.2 Xe chuẩn thấp
Lặp lại 2.3.1 với dữ liệu của xe chuẩn thấp (VL)
2.4 Kết quả thử
2.4.1 Xe chuẩn cao
| Ngày thử nghiệm | : | Ngày/tháng/năm (đường hầm tạo gió) |
|
|
| Ngày/tháng/năm (băng thử) |
|
|
| Hoặc |
|
|
| Ngày/tháng/năm (trên đường) |
Trên đường
| Phương pháp thử | : | Chạy theo quán tính hoặc phương pháp mô men xoắn kế |
| Cơ sở (tên/địa điểm/tài liệu quỹ đạo) | : |
|
| Chế độ chạy theo quán tính | : | Có/không |
| Căn chỉnh bánh xe | : | Giá trị độ chụm và góc nghiêng ngang |
| Khoảng sáng gầm | : |
|
| Chiều cao xe | : |
|
| Dầu bôi trơn hệ thống truyền động | : |
|
| Dầu bôi trơn ổ bi bánh xe | : |
|
| Điều chỉnh phanh để tránh lực cản ký sinh không biểu hiện | : |
|
| Vận tốc tham chiếu lớn nhất (km/h) | : |
|
| Đo gió | : | Tĩnh hoặc trên xe: ảnh hưởng của phép đo gió (CD × A) và nếu có chỉnh sửa. |
| Số lần chia | : |
|
| Gió | : | Trung bình, đỉnh và hướng kết hợp với hướng của đường thử |
| Áp suất không khí | : |
|
| Nhiệt độ (giá trị trung bình) | : |
|
| Điều chỉnh gió | : | Có/không |
| Điều chỉnh áp suất lốp | : | Có/không |
| Kết quả thô | : | Phương pháp mô men xoắn: co = c1 = c2 = Phương pháp chạy theo quán tính: fo f1 f2 |
| Kết quả cuối cùng | : | Phương pháp mô men xoắn: co = c1 = c2 = và fo = f1 = f2 = Phương pháp chạy theo quán tính: fo = f1 = f2 = |
Hoặc
Phương pháp đường hầm tạo gió
| Cơ sở (tên/địa điểm/tài liệu của băng thử) | : |
|
| Năng lực của cơ sở | : | Báo cáo tài liệu và ngày |
| Băng thử | ||
| Loại băng thử | : | Băng thử phẳng hoặc băng thử động lực |
| Phương pháp | : | Phương pháp vận tốc ổn định hoặc giảm tốc |
| Khởi động nóng máy | : | Khởi động nóng máy bằng băng thử động lực hoặc bằng cách chạy xe |
| Hiệu chỉnh đường cong băng thử | : | (cho băng thử động lực, nếu có) |
| Phương pháp chỉnh đặt băng thử động lực | : | Chạy có định/lặp lại/thay thế bằng chu trình khởi động nóng máy riêng của nó |
| Lực cản trên đường khí động học đo được nhân với diện tích phía trước | : | Vận tốc (km/h) | CD × A (m2) |
| ... | ... | ||
| ... | ... | ||
| Kết quả | : | fo = f1 = f2 = | |
Hoặc
Ma trận lực cản trên đường trên đường
| Phương pháp thử | : | Chạy theo quán tính hoặc phương pháp mô men xoắn kế |
| Cơ sở (tên/địa điểm/tài liệu quỹ đạo) | : |
|
| Chế độ chạy theo quán tính | : | Có/không |
| Căn chỉnh bánh xe | : | Giá trị độ chụm và góc nghiêng ngang |
| Khoảng sáng gầm | : |
|
| Chiều cao xe | : |
|
| Dầu bôi trơn hệ thống truyền động | : |
|
| Dầu bôi trơn ổ bi bánh xe | : |
|
| Điều chỉnh phanh để tránh lực cản ký sinh không biểu hiện | : |
|
| Vận tốc tham chiếu lớn nhất (km/h) | : |
|
| Đo gió | : | Tĩnh hoặc trên xe: ảnh hưởng của phép đo gió (CD × A) và nếu có chỉnh sửa. |
| Số lần chia | : |
|
| Gió | : | Trung bình, đỉnh và hướng kết hợp với hướng của đường thử |
| Áp suất không khí | : |
|
| Nhiệt độ (giá trị trung bình) | : |
|
| Điều chỉnh gió | : | Có/không |
| Điều chỉnh áp suất lốp | : | Có/không |
| Kết quả thô |
| Phương pháp mô men xoắn: c0r = c1r = c2r = Phương pháp chạy theo quán tính: f0r = f1r = f2r = |
| Kết quả cuối cùng | : | Phương pháp mô men xoắn: c0r = c1r = c2r = và f0r (tính cho xe Hm) = f2r (tính cho xe Hm) = f0r (tính cho xe LM) = f2r (tính cho xe LM) = Phương pháp chạy theo quán tính: f0r (tính cho xe Hm) = f2r (tính cho xe Hm) = f0r (tính cho xe LM) = f2r (tính cho xe LM) = |
Hoặc
Ma trận lực cản trên đường với phương pháp đường hầm tạo gió
| Cơ sở (tên/địa điểm/tài liệu của băng thư) | : |
| |
| Năng lực của cơ sở | : | Báo cáo tài liệu và ngày | |
| Băng thử | |||
| Loại băng thử | : | Băng thử phẳng hoặc băng thử động lực | |
| Phương pháp | : | Phương pháp vận tốc ổn định hoặc giảm tốc | |
| Khởi động nóng máy | : | Khởi động nóng máy bằng băng thử động lực hoặc bằng cách chạy xe | |
| Hiệu chỉnh đường cong băng thử | : | (cho băng thử động lực, nếu có) | |
| Phương pháp chỉnh đặt băng thử động lực | : | Chạy có định/lặp lại/thay thế bằng chu trình khởi động nóng máy riêng của nó | |
| Lực cản trên đường khí động học đo được nhân với diện tích phía trước | : | Vận tốc (km/h) | CD × A (m2) |
| ... | ... | ||
| ... | ... | ||
| Kết quả | : | f0r = f1r = f2r = f0r (tính cho xe HM) = f2r (tính cho xe HM) = f0r (tính cho xe LM) = f2r (tính cho xe LM) = | |
2.4.2 Xe chuẩn thấp
Lặp lại 2.4.1 với dữ liệu xe chuẩn thấp (VL).
Phụ lục A1-3
(Quy định)
Phiếu thử nghiệm WLTP
Phiếu thử nghiệm phải bao gồm dữ liệu thử nghiệm được ghi lại nhưng không có trong bất kỳ báo cáo thử nghiệm nào.
Phiếu thử nghiệm phải được lưu giữ ít nhất 10 năm.
Thông tin sau đây, nếu có, là dữ liệu nhỏ nhất cần thiết cho phiếu thử nghiệm.
| Thông tin từ Phụ lục B3 của tiêu chuẩn này | ||||
| Gác thông số căn chỉnh bánh xe có thể điều chỉnh | : |
| ||
| Khoảng sáng gầm | : |
| ||
| Chiều cao xe | : |
| ||
| Dầu bôi trơn hệ thống truyền động | : |
| ||
| Dầu bôi trơn ổ bi bánh xe | : |
| ||
| Điều chỉnh phanh để tránh lực cản ký sinh không biểu hiện | : |
| ||
| Các hệ số c0, c1 và c2, Thời gian chạy theo quán tính được đo trên băng thử động lực | : | c0 = c1 = c2 = | ||
| Vận tốc tham chiếu (km/h) | Thời gian chạy theo quán tính (s) | |||
| 130 |
| |||
| 120 |
| |||
| 110 |
| |||
| 100 |
| |||
| 90 |
| |||
| 80 |
| |||
| 70 |
| |||
| 60 |
| |||
| 50 |
| |||
| 40 |
| |||
| 30 |
| |||
| 20 |
| |||
| Khối lượng bổ sung có thể được đặt trên hoặc trong xe để loại bỏ hiện tượng trượt lốp | : | Khối lượng (kg) trên/trong xe | ||
| Thời gian chạy theo quán tính sau khi thực hiện quy trình xe chạy theo quán tính | : | Vận tốc tham chiếu (km/h) | Thời gian chạy theo quán tính (s) | |
| 130 |
| |||
| 120 |
| |||
| 110 |
| |||
| 100 |
| |||
| 90 |
| |||
| 80 |
| |||
| 70 |
| |||
| 60 |
| |||
| 50 |
| |||
| 40 |
| |||
| 30 |
| |||
| 20 |
| |||
| Thông tin từ Phụ lục B5 của tiêu chuẩn này | ||||
| Quãng đường thực tế xe đi được | : |
| ||
| Với xe sử dụng hộp số cơ khí, xe MT không thể theo đáp ứng quỹ đạo chu trình: Những sai lệch so với chu trình chạy xe | : |
| ||
| Chỉ số dấu chu trình chạy xe: Các chỉ số sau đây phải được tính toán theo tiêu chuẩn SAE J2951 (Sửa đổi tháng 1 năm 2014): IWR: Tỷ lệ làm việc quán tính chu trình 4 pha IWR: Tỷ lệ làm việc quán tính chu trình 3 pha RMSSE : sai số bình phương trung bình vận tốc gốc chu trình 4 pha RMSSE : sai số bình phương trung bình vận tốc gốc chu trình 3 pha | : |
| ||
Phụ lục A2
(Tham khảo)
Thông tin
(Định dạng lớn nhất: A4 (210 × 297 mm))
|
| Ban hành bởi: Tên cơ quan: .................................... .................................... .................................... |
| Liên quan đến:2 |
|
| Phê duyệt được cấp Phê duyệt được mở rộng Phê duyệt bị từ chối Sản xuất bị ngưng hoàn toàn Phê duyệt bị thu hồi |
|
Của một kiểu xe liên quan đến phát thải các chất ô nhiễm dạng khí của động cơ theo quy định của WLTP.
Số phê duyệt .................................... Số mở rộng: ....................................
Phần I
0.1 Tên thương mại (nhãn hiệu của nhà sản xuất): .......................................................................
0.2 Kiểu xe: .....................................................................................................................................
0.2.1 (Các) nhãn hiệu (nếu có): ......................................................................................................
0.3. Xe nhận biết kiểu loại xe nếu được đánh dấu trên xe3 ...........................................................
0.3.1. Vị trí đánh dấu: .....................................................................................................................
0.4. Loại xe:4 ..................................................................................................................................
0.5. Tên và địa chỉ cơ sở sản xuất: ................................................................................................
0.8. Tên, địa chỉ của (các) nhà máy lắp ráp: ..................................................................................
0.9. Nếu có, tên và địa chỉ của đại diện nhà sản xuất: .................................................................
1.0. Chú thích: ..............................................................................................................................
Phần II
1. Thông tin bổ sung (nếu có): (xem phụ lục)
2. Cơ sở thử nghiệm thực hiện các phép thử: .............................................................................
3. Ngày lập báo cáo phép thử kiểu I: ...........................................................................................
4. Số phiếu cho phép thử kiểu I: ..................................................................................................
5. Lưu ý (nếu có): (xem Điều 3 của phụ lục này)
6. Địa điểm: ..................................................................................................................................
7. Ngày: ........................................................................................................................................
8. Chữ ký: ....................................................................................................................................
Tài liệu đính kèm:
1. Thông tin.
2. Báo cáo thử nghiệm.
Phụ lục B
(Quy định)
Kiểm tra xác nhận COP đối với phép thử kiểu I - Phương pháp thống kê
1 Phụ lục này mô tả quy trình được sử dụng để kiểm tra xác nhận các yêu cầu về sự phù hợp trong sản xuất đối với phép thử kiểu I về tiêu chí mức tiêu thụ điện năng, nếu có và phù hợp với Bảng 1 của tiêu chuẩn này đối với xe chạy thuần điện (PEV) và, nếu có, để xác định độ chính xác của thiết bị OBFCM.
Việc đo tiêu thụ điện năng theo quy định tại Bảng 1 của tiêu chuẩn này phải được thực hiện trên số lượng nhỏ nhất 3 xe và tăng liên tục cho đến khi đạt hoặc không đạt. Nếu áp dụng, độ chính xác của thiết bị OBFCM phải được xác định cho mỗi N thử nghiệm.
2 Tiêu thụ điện năng
2.1 Quy trình thống kê
2.1.1 Đối với mức tiêu thụ điện năng từ 4 pha của phép thử WLTP:
Đối với tổng số N lần thử và kết quả đo của xe thử x1, x2,... xN, xác định Xtest trung bình và độ lệch chuẩn s:
![]()

2.1.2 Để biết mức tiêu thụ điện năng từ 3 pha đầu tiên của phép thử WLTP:
Đối với tổng số N lần thử và kết quả đo của xe thử x1, x2,... xN, xác định Xtest trung bình và độ lệch chuẩn ơ:
![]()

2.2 Đánh giá thống kê
2.2.1 Tiêu thụ điện năng từ 4 pha của phép thử WLTP
Để đánh giá mức tiêu thụ điện năng EC, các giá trị chuẩn hóa được tính như sau:
![]()
Trong đó:
| ECtest-i | mức tiêu thụ điện năng được đo cho từng cá nhân xe i. |
| ECDC, COP-I | mức tiêu thụ điện năng được công bố cho từng xe i, theo Phụ lục B7-Phụ lục phụ 5. |
Các giá trị xi đã chuẩn hóa phải được sử dụng để xác định các tham số Xtest và s theo 2.1.
2.2.2 Tiêu thụ điện năng từ 3 pha đầu tiên của phép thử WLTP
Để đánh giá mức tiêu thụ điện năng EC, các giá trị được chuẩn hóa phải được tính như sau:
![]()
Trong đó:
| ECtest-i | mức tiêu thụ điện năng được đo cho từng cá nhân xe i. |
| ECDC, COP-i | mức tiêu thụ điện năng công bố của xe cá nhân i, theo Phụ lục B7-5. |
Các giá trị xi đã chuẩn hóa phải được sử dụng để xác định các tham số Xtest và s theo 2.1.
2.3 Tiêu chí đạt/không đạt
2.3.1 Đánh giá mức tiêu thụ điện năng từ 4 pha của một phép thử WLTP.
Đối với mỗi số lần thử có thể đạt được một trong ba quyết định sau, trong đó hệ số A phải được đặt ở mức 1,01:
(i) đạt nếu Xtests ≤ A - (tP1,i + tP2,i) · s
(ii) không đạt nếu Xtests > A + (tF1,i - tF2) · s
(iii) Thực hiện một phép đo khác nếu: A - (tP1,i + tP2,i) ∙ s < Xtests ≤ A + (tF1,i - tF2) · s
Trong đó: các thông số tP1,i, tP2,i, tF1,i và tF2 được lấy từ Bảng B/1.
Bảng B/1 - Giá trị quyết định đạt/không đạt đối với cỡ mẫu thử
|
| Đạt | Không đạt | ||
| Thử nghiệm (i) | tP1,i | tP2,i | tF1,i | tF2 |
| 3 | 1,686 | 0,438 | 1,686 | 0,438 |
| 4 | 1,125 | 0,425 | 1,177 | 0,438 |
| 5 | 0,850 | 0,401 | 0,953 | 0,438 |
| 6 | 0,673 | 0,370 | 0,823 | 0,438 |
| 7 | 0,544 | 0,335 | 0,734 | 0,438 |
| 8 | 0,443 | 0,299 | 0,670 | 0,438 |
| 9 | 0,361 | 0,263 | 0,620 | 0,438 |
| 10 | 0,292 | 0,226 | 0,580 | 0,438 |
| 11 | 0,232 | 0,190 | 0,546 | 0,438 |
| 12 | 0,178 | 0,153 | 0,518 | 0,438 |
| 13 | 0,129 | 0,116 | 0,494 | 0,438 |
| 14 | 0,083 | 0,078 | 0,473 | 0,438 |
| 15 | 0,040 | 0,038 | 0,455 | 0,438 |
| 16 | 0,000 | 0,000 | 0,438 | 0,438 |
2.3.2 Đánh giá hiệu quả sử dụng điện năng tiêu thụ từ 3 pha đầu tiên của một phép thử WLTP.
2.3.2.1 Để đánh giá EC (Tiêu thụ điện tính bằng Wh/km), áp dụng các quy định sau:
(a) Nếu 3 ≤ N_Evaluation ≤ 10
(i) Đạt nêu XtestsN_Evaluation ≤ 1 000
(ii) Thực hiện một phép đo khác nếu XtestsN_Evaluation > 1 000
(b) Nếu N = 11
(i) Đạt nếu có thể đạt được tất cả các quyết định sau đây:

(ii) Họ không đạt nếu có thể đạt được một trong các quyết định sau:

Trong đó:
N_Evaluation là tổng số xe được thử nghiệm trong quá trình đánh giá áp dụng:
N_COP family là tổng số xe được thử nghiệm trong họ COP trong năm.
(VÍ DỤ: Nếu xe được thử cho lần đánh giá đầu tiên là 11 và chiếc xe được thử cho lần đánh giá thứ hai là 4, thì N_ Evaluation = 4 và N_COP family = 15)
Trong mọi trường hợp, nếu N_COP family > 10, xi ≤ 1 000 + 3 * σ phải được thỏa mãn
2.3.2.2 Nếu số lượng xe được sản xuất trong họ COP vượt quá 7 500 xe trong 12 tháng thì đối với lần đánh giá thứ hai trở đi, “a. Nếu 3 ≤ N_Evaluation ≤ 10” có thể thay thế bằng “a. Nếu N_Evaluation = 3” và “b. Nếu N_Evaluation = 11” có thể được thay thể bằng “b. Nếu N_Evaluation = 4”. Đối với năm thứ hai trở đi, quy định này phải không được sử dụng cho lần đánh giá đầu tiên đối với họ COP trong năm.
σ phải được xác định từ kết quả thử của 10 xe phép thử đầu tiên sau khi bắt đầu sản xuất đối với mỗi họ COP. σ phải không bị thay đổi khi σ được xác định cho họ COP ngay cả trong năm thứ hai hoặc năm sau. Theo yêu cầu của nhà sản xuất và được sự chấp thuận của cơ quan có thẩm quyền, cùng với bằng chứng hợp lý và dữ liệu thích hợp, σ có thể được thay đổi.
2.3.3 Chỉ đạt được kết quả đạt nếu đã đạt được quyết định đạt cả hai yêu cầu của 2.3.1 và 2.3.2.
Nếu quyết định đạt đối với các yêu cầu trong 2.3.1 thì việc thử nghiệm và đánh giá thống kê phải chỉ tiếp tục đối với các yêu cầu trong 2.3.2 cho đến khi đạt được quyết định đạt.
Nếu quyết định đạt đối với các yêu cầu trong 2.3.2 thì việc kiểm tra và đánh giá thống kê phải chỉ tiếp tục đối với các yêu cầu trong 2.3.1 cho đến khi đạt được quyết định đạt.
Phụ lục B1
(Quy định)
Chu trình thử xe hạng nhẹ hài hòa thế giới (WLTC)
1 Yêu cầu chung
Chu trình được vận hành phụ thuộc vào tỷ số giữa công suất danh định của xe thử và khối lượng sẵn sàng chạy trừ đi 75 kg, W/kg và vận tốc lớn nhất của xe, Vmax (như định nghĩa trong 3.6.2 của tiêu chuẩn này).
2 Phân loại xe
2.1 Xe loại 1 có tỉ số giữa công suất trên khối lượng chạy xe quy định trừ 75 kg Pmr ≤ 22 W/kg.
2.2 Xe loại 2 có tỉ số giữa công suất trên khối lượng chạy xe quy định trừ 75 kg > 22 nhưng ≤ 34 W/kg.
2.3 Xe loại 3 có tỉ số giữa công suất trên khối lượng chạy xe quy định trừ 75 kg > 34 W/kg.
2.3.1 Xe loại 3 được chia thành 2 loại nhỏ theo vận tốc lớn nhất, vmax.
2.3.1.1 Xe loại 3a có vmax < 120 km/h.
2.3.1.2 Xe loại 3b có vmax ≥ 120 km/h.
2.3.2 Tất cả các xe được thử nghiệm theo Phụ lục B7 phải được xem là xe loại 3.
3 Chu trình thử nghiệm
3.1 Chu trình thử kiểu I
3.1.1 Chu trình thử kiểu I hoàn chỉnh phải bao gồm pha thấp (Low1), pha trung bình (Medium1) và pha thấp bổ sung (Low1).
3.1.2 Pha Low1 được mô tả trong Hình B1/1 và Bảng B1/1.
3.1.3 Pha Medium1 được mô tả trong Hình B1/2 và Bảng B1/2.
3.2 Chu trình thử kiểu II
3.2.1 Chu trình thử kiểu II hoàn chỉnh phải bao gồm pha thắp (Low2), pha trung bình (Medium2), pha cao (High2) và rất cao (ExtraHigh2).
Chu trình thử kiểu II pha phải bao gồm pha thấp (Low2), pha trung bình (Medium2) và pha cao (High2).
3.2.2 Pha Low2 được mô tả trong Hình B1/3 và Bảng B1/3.
3.2.3 Pha Medium2 được mô tả trong Hình B1/4 và Bảng B1/4.
3.2.4 Pha High2 được mô tả trong Hình B1/5 và Bảng B1/5.
3.2.5 Pha rất cao2 được mô tả trong Hình B1/6 và Bảng B1/6.
3.3 Chu trình thử kiểu III
Xe thử kiểu III được chia thành 2 loại nhỏ để phản ánh sự chia nhỏ của xe Loại 3.
3.3.1 Chu trình thử kiểu llla
3.3.1.1 Chu trình thử kiểu llla hoàn chỉnh phải bao gồm pha thấp (Low3), pha trung bình (Medium3a), pha cao (High3a) và pha rất cao (ExtraHigh3).
Chu trình thử kiểu llla phải bao gồm pha thấp (Low3), pha trung bình (Medium3a) và pha cao (High3a).
3.3.1.2 Pha Low3 được mô tả trong Hình B1/7 và Bảng B1/7.
3.3.1.3 Pha Medium3a được mô tả trong Hình B1/8 và Bảng B1/8.
3.3.1.4 Pha High3a được mô tả trong Hình B1/10 và Bảng B1/10.
3.3.1.5 Pha Extra Higt3 được mô tả trong Hình B1/12 và Bảng B1/12.
3.3.2 Chu trình thử kiểu IIIb
3.3.2.1 Chu trình thử kiểu IIIb hoàn chỉnh phải bao gồm pha thấp (Low3), pha trung bình (Medium3b), pha cao (High3b) và pha rất cao (ExtraHigh3).
Chu trình 3 pha kiểu IIIb phải bao gồm pha thấp (Low3), pha trung bình (Medium3b) và pha cao (High3b).
3.3.2.2 Pha Low3 được mô tả trong Hình B1/7 và Bảng B1/7.
3.3.2.3 Pha Medium3b được mô tả trong Hình B1/9 và Bảng B1/9.
3.3.2.4 Pha High3b được mô tả trong Hình B1/11 và Bảng B1/11.
3.3.2.5 Pha Extra High3 được mô tà trong Hình B1/12 và Bảng B1/12.
3.4 Thời gian của các pha chu trình
3.4.1 Chu trình thử kiểu I
Pha vận tốc thấp đầu tiên bắt đầu ở giây 0 (tstart_low11) và kết thúc ở giây thứ 589 (tend_low11, thời lượng 589 s)
Pha vận tốc trung bình bắt đầu ở giây thứ 589 (tstart_medium1) và kết thúc ở giây thứ 1022 (tend_medium1, thời lượng 433 s)
Pha vận tốc thấp thứ hai bắt đầu ở giây 1022 (tstart_low12) và kết thúc ở giây 1611 (tend_low12, thời lượng 589 s)
3.4.2 Chu trình thử kiểu II và kiểu III
Pha vận tốc thấp bắt đầu ở giây 0 (tstart_low2, tstart_low3) và kết thúc ở giây 589 (tend_low2, tend_low3, thời lượng 589 s)
Pha vận tốc trung bình bắt đầu ở giây thứ 589 (tstart_medium2, tstart_medium3) và kết thúc ở giây thứ 1022 (tend _medium2, tend_medium3, thời lượng 433 s)
Pha vận tốc cao bắt đầu ở giây thứ 1022 (tstart_high2, tstart_high3) và kết thúc ở giây thứ 1477 (tend_high2, tend_high3, thời lượng 455 s)
Pha vận tốc rất cao bắt đầu ở giây thứ 1477 (tstart_exhigh2, tstart_exhigh3) và kết thúc ở giây thứ 1800 (tend_exhigh2, tend_exhigh3, thời lượng 323 s)
3.5 Chu trình trong đô thị WLTC
PEV phải được thử bằng cách sử dụng các chu trình trong đô thị WLTC và WLTC thử kiểu llla và thử kiểu IIIb thích hợp (xem Phụ lục B7).
Chu trình trong đô thị WLTC chỉ bao gồm các pha vận tốc thấp và trung bình.
4 Chu trình WLTC thử kiểu I

Hình B1/1 - WLTC, Chu trình thử kiểu I, pha Low11

Hình B1/2a - WLTC, chu trình thử kiểu I, pha Medium1

Hình B1/2b - WLTC, Chu trình thử kiểu I, pha Low12
Bảng B1/1 - WLTC, chu trình thử kiểu I, pha Low11 (giây 589 là điểm cuối của pha Low11 và bắt đầu của pha Medium1)
| Thời gian (s) | Vận tốc (km/h) | Thời gian (s) | Vận tốc (km/h) | Thời gian (s) | Vận tốc (km/h) | Thời gian (s) | Vận tốc (km/h) |
| 0 | 0,0 | 47 | 18,8 | 94 | 0,0 | 141 | 35,7 |
| 1 | 0,0 | 48 | 19,.5 | 95 | 0,0 | 142 | 35,9 |
| 2 | 0,0 | 49 | 20,2 | 96 | 0,0 | 143 | 36,6 |
| 3 | 0,0 | 50 | 20,9 | 97 | 0,0 | 144 | 37,5 |
| 4 | 0,0 | 51 | 21,7 | 98 | 0,0 | 145 | 38,4 |
| 5 | 0,0 | 52 | 22,4 | 99 | 0,0 | 146 | 39,3 |
| 6 | 0,0 | 53 | 23,1 | 100 | 0,0 | 147 | 40,0 |
| 7 | 0,0 | 54 | 23,7 | 101 | 0,0 | 148 | 40,6 |
| 8 | 0,0 | 55 | 24,4 | 102 | 0,0 | 149 | 41,1 |
| 9 | 0,0 | 56 | 25,1 | 103 | 0,0 | 150 | 41,4 |
| 10 | 0,0 | 57 | 25,4 | 104 | 0,0 | 151 | 41,6 |
| 11 | 0,0 | 58 | 25,2 | 105 | 0,0 | 152 | 41,8 |
| 12 | 0,2 | 59 | 23,4 | 106 | 0,0 | 153 | 41,8 |
| 13 | 3,1 | 60 | 21,8 | 107 | 0,0 | 154 | 41,9 |
| 14 | 5,7 | 61 | 19,7 | 108 | 0,7 | 155 | 41,9 |
| 15 | 8,0 | 62 | 17,3 | 109 | 1,1 | 156 | 42,0 |
| 16 | 10,1 | 63 | 14,7 | 110 | 1.9 | 157 | 42,0 |
| 17 | 12,0 | 64 | 12,0 | 111 | 2,5 | 158 | 42,2 |
| 18 | 13,8 | 65 | 9,4 | 112 | 3,5 | 159 | 42,3 |
| 19 | 15,4 | 66 | 5,6 | 113 | 4,7 | 160 | 42,6 |
| 20 | 16,7 | 67 | 3,1 | 114 | 6,1 | 161 | 43,0 |
| 21 | 17,7 | 68 | 0,0 | 115 | 7,5 | 162 | 43,3 |
| 22 | 18,3 | 69 | 0,0 | 116 | 9,4 | 163 | 43,7 |
| 23 | 18,8 | 70 | 0,0 | 117 | 11,0 | 164 | 44,0 |
| 24 | 18,9 | 71 | 0,0 | 118 | 12,9 | 165 | 44,3 |
| 25 | 18,4 | 72 | 0,0 | 119 | 14,5 | 166 | 44,5 |
| 26 | 16,9 | 73 | 0,0 | 120 | 16,4 | 167 | 44,6 |
| 27 | 14,3 | 74 | 0,0 | 121 | 18,0 | 168 | 44,6 |
| 28 | 10,8 | 75 | 0,0 | 122 | 20,0 | 169 | 44,5 |
| 29 | 7,1 | 76 | 0,0 | 123 | 21,5 | 170 | 44,4 |
| 30 | 4,0 | 77 | 0,0 | 124 | 23,5 | 171 | 44,3 |
| 31 | 0,0 | 78 | 0,0 | 125 | 25,0 | 172 | 44,2 |
| 32 | 0,0 | 79 | 0.0 | 126 | 26,8 | 173 | 44,1 |
| 33 | 0,0 | 80 | 0,0 | 127 | 28,2 | 174 | 44,0 |
| 34 | 0,0 | 81 | 0,0 | 128 | 30,0 | 175 | 43,9 |
| 35 | 1,5 | 82 | 0,0 | 129 | 31,4 | 176 | 43,8 |
| 36 | 3,8 | 83 | 0,0 | 130 | 32,5 | 177 | 43,7 |
| 37 | 5,6 | 84 | 0,0 | 131 | 33,2 | 178 | 43,6 |
| 38 | 7,5 | 85 | 0,0 | 132 | 33,4 | 179 | 43,5 |
| 39 | 9,2 | 86 | 0,0 | 133 | 33,7 | 180 | 43,4 |
| 40 | 10,8 | 87 | 0,0 | 134 | 33,9 | 181 | 43,3 |
| 41 | 12,4 | 88 | 0,0 | 135 | 34,2 | 182 | 43,1 |
| 42 | 13,8 | 89 | 0,0 | 136 | 34,4 | 183 | 42,9 |
| 43 | 15,2 | 90 | 0,0 | 137 | 34,7 | 184 | 42,7 |
| 44 | 16,3 | 91 | 0,0 | 138 | 34,9 | 185 | 42,5 |
| 45 | 17,3 | 92 | 0,0 | 139 | 35,2 | 186 | 42,3 |
| 46 | 18,0 | 93 | 0,0 | 140 | 35,4 | 187 | 42,2 |
| 189 | 42,2 | 238 | 39,9 | 287 | 24,9 | 336 | 14,3 |
| 190 | 42,3 | 239 | 40,0 | 288 | 24,5 | 337 | 14,0 |
| 191 | 42,4 | 240 | 40,1 | 289 | 24,2 | 338 | 13,0 |
| 192 | 42,5 | 241 | 40,2 | 290 | 24,0 | 339 | 11,4 |
| 193 | 42,7 | 242 | 40,3 | 291 | 23,8 | 340 | 10,2 |
| 194 | 42,9 | 243 | 40,4 | 292 | 23,6 | 341 | 8,0 |
| 195 | 43,1 | 244 | 40,5 | 293 | 23,5 | 342 | 7,0 |
| 196 | 43,2 | 245 | 40,5 | 294 | 23,4 | 343 | 6,0 |
| 197 | 43,3 | 246 | 40,4 | 295 | 23,3 | 344 | 5,5 |
| 198 | 43,4 | 247 | 40,3 | 296 | 23,3 | 345 | 5,0 |
| 199 | 43,4 | 248 | 40,2 | 297 | 23,2 | 346 | 4,5 |
| 200 | 43,2 | 249 | 40,1 | 298 | 23,1 | 347 | 4,0 |
| 201 | 42,9 | 250 | 39,7 | 299 | 23,0 | 348 | 3,5 |
| 202 | 42,6 | 251 | 38,8 | 300 | 22,8 | 349 | 3,0 |
| 203 | 42,2 | 252 | 37,4 | 301 | 22,5 | 350 | 2,5 |
| 204 | 41,9 | 253 | 35,6 | 302 | 22,1 | 351 | 2,0 |
| 205 | 41,5 | 254 | 33,4 | 303 | 21,7 | 352 | 1,5 |
| 206 | 41,0 | 255 | 31,2 | 304 | 21,1 | 353 | 1,0 |
| 207 | 40,5 | 256 | 29,1 | 305 | 20,4 | 354 | 0,5 |
| 208 | 39,9 | 257 | 27,6 | 306 | 19,5 | 355 | 0,0 |
| 209 | 39,3 | 258 | 26,6 | 307 | 18,5 | 356 | 0,0 |
| 210 | 38,7 | 259 | 26,2 | 308 | 17,6 | 357 | 0,0 |
| 211 | 38,1 | 260 | 26,3 | 309 | 16,6 | 358 | 0,0 |
| 212 | 37,5 | 261 | 26,7 | 310 | 15,7 | 359 | 0,0 |
| 213 | 36,9 | 262 | 27,5 | 311 | 14,9 | 360 | 0,0 |
| 214 | 36,3 | 263 | 28,4 | 312 | 14,3 | 361 | 2,2 |
| 215 | 35,7 | 264 | 29,4 | 313 | 14,1 | 362 | 4,5 |
| 216 | 35,1 | 265 | 30,4 | 314 | 14,0 | 363 | 6,6 |
| 217 | 34,5 | 266 | 31,2 | 315 | 13,9 | 364 | 8,6 |
| 218 | 33,9 | 267 | 31,9 | 316 | 13,8 | 365 | 10,6 |
| 219 | 33,6 | 268 | 32,5 | 317 | 13,7 | 366 | 12,5 |
| 220 | 33,5 | 269 | 33,0 | 318 | 13,6 | 367 | 14,4 |
| 221 | 33,6 | 270 | 33,4 | 319 | 13,5 | 368 | 16,3 |
| 222 | 33,9 | 271 | 33,8 | 320 | 13,4 | 369 | 17,9 |
| 223 | 34,3 | 272 | 34,1 | 321 | 13,3 | 370 | 19,1 |
| 224 | 34,7 | 273 | 34,3 | 322 | 13,2 | 371 | 19,9 |
| 225 | 35,1 | 274 | 34,3 | 323 | 13,2 | 372 | 20,3 |
| 226 | 35,5 | 275 | 33,9 | 324 | 13,2 | 373 | 20,5 |
| 227 | 35,9 | 276 | 33,3 | 325 | 13,4 | 374 | 20,7 |
| 228 | 36,4 | 277 | 32,6 | 326 | 13,5 | 375 | 21,0 |
| 229 | 36,9 | 278 | 31,8 | 327 | 13,7 | 376 | 21,6 |
| 230 | 37,4 | 279 | 30,7 | 328 | 13,8 | 377 | 22,6 |
| 231 | 37,9 | 280 | 29,6 | 329 | 14,0 | 378 | 23,7 |
| 232 | 38,3 | 281 | 28,6 | 330 | 14,1 | 379 | 24,8 |
| 233 | 38,7 | 282 | 27,8 | 331 | 14,3 | 380 | 25,7 |
| 234 | 39,1 | 283 | 27,0 | 332 | 14,4 | 381 | 26,2 |
| 235 | 39,3 | 284 | 26 4 | 333 | 14,4 | 382 | 26,4 |
| 236 | 39,5 | 285 | 25,8 | 334 | 14,4 | 383 | 26,4 |
| 384 | 26,4 | 433 | 0,0 | 482 | 3,1 | 531 | 48,2 |
| 385 | 26,5 | 434 | 0,0 | 483 | 4,6 | 532 | 48,5 |
| 386 | 26,6 | 435 | 0,0 | 484 | 6,1 | 533 | 48,7 |
| 387 | 26,8 | 436 | 0,0 | 485 | 7,8 | 534 | 48,9 |
| 388 | 26,9 | 437 | 0,0 | 486 | 9,5 | 535 | 49,1 |
| 389 | 27,2 | 438 | 0,0 | 487 | 11,3 | 536 | 49,1 |
| 390 | 27,5 | 439 | 0,0 | 488 | 13,2 | 537 | 49,0 |
| 391 | 28,0 | 440 | 0,0 | 489 | 15,0 | 538 | 48,8 |
| 392 | 28,8 | 441 | 0,0 | 490 | 16,8 | 539 | 48,6 |
| 393 | 29,9 | 442 | 0,0 | 491 | 18,4 | 540 | 48,5 |
| 394 | 31,0 | 443 | 0,0 | 492 | 20,1 | 541 | 48,4 |
| 395 | 31,9 | 444 | 0,0 | 493 | 21,6 | 542 | 48,3 |
| 396 | 32,5 | 445 | 0,0 | 494 | 23,1 | 543 | 48,2 |
| 397 | 32,6 | 446 | 0,0 | 495 | 24,6 | 544 | 48,1 |
| 398 | 32,4 | 447 | 0,0 | 496 | 26,0 | 545 | 47,5 |
| 399 | 32,0 | 448 | 0,0 | 497 | 27,5 | 546 | 46,7 |
| 400 | 31,3 | 449 | 0,0 | 498 | 29,0 | 547 | 45,7 |
| 401 | 30,3 | 450 | 0,0 | 499 | 30,6 | 548 | 44,6 |
| 402 | 28,0 | 451 | 0,0 | 500 | 32,1 | 549 | 42,9 |
| 403 | 27,0 | 452 | 0,0 | 501 | 33,7 | 550 | 40,8 |
| 404 | 24,0 | 453 | 0,0 | 502 | 35,3 | 551 | 38,2 |
| 405 | 22,5 | 454 | 0,0 | 503 | 36,8 | 552 | 35,3 |
| 406 | 19,0 | 455 | 0,0 | 504 | 38,1 | 553 | 31,8 |
| 407 | 17,5 | 456 | 0,0 | 505 | 39,3 | 554 | 28,7 |
| 408 | 14,0 | 457 | 0,0 | 506 | 40,4 | 555 | 25,8 |
| 409 | 12,5 | 458 | 0,0 | 507 | 41,2 | 556 | 22,9 |
| 410 | 9,0 | 459 | 0,0 | 508 | 41,9 | 557 | 20,2 |
| 411 | 7,5 | 460 | 0,0 | 509 | 42,6 | 558 | 17,3 |
| 412 | 4,0 | 461 | 0,0 | 510 | 43,3 | 559 | 15,0 |
| 413 | 2,9 | 462 | 0,0 | 511 | 44,0 | 560 | 12,3 |
| 414 | 0,0 | 463 | 0,0 | 512 | 44,6 | 561 | 10,3 |
| 415 | 0,0 | 464 | 0,0 | 513 | 45,3 | 562 | 7,8 |
| 416 | 0,0 | 465 | 0,0 | 514 | 45,5 | 563 | 6,5 |
| 417 | 0,0 | 466 | 0,0 | 515 | 45,5 | 564 | 4,4 |
| 418 | 0,0 | 467 | 0,0 | 516 | 45,2 | 565 | 3,2 |
| 419 | 0,0 | 468 | 0,0 | 517 | 44,7 | 566 | 1,2 |
| 420 | 0,0 | 469 | 0,0 | 518 | 44,2 | 567 | 0,0 |
| 421 | 0,0 | 470 | 0,0 | 519 | 43,6 | 568 | 0,0 |
| 422 | 0,0 | 471 | 0,0 | 520 | 43,1 | 569 | 0,0 |
| 423 | 0,0 | 472 | 0,0 | 521 | 42,8 | 570 | 0,0 |
| 424 | 0,0 | 473 | 0,0 | 522 | 42,7 | 571 | 0,0 |
| 425 | 0,0 | 474 | 0,0 | 523 | 42,8 | 572 | 0,0 |
| 426 | 0,0 | 475 | 0,0 | 524 | 43,3 | 573 | 0,0 |
| 427 | 0,0 | 476 | 0,0 | 525 | 43,9 | 574 | 0,0 |
| 428 | 0,0 | 477 | 0,0 | 526 | 44,6 | 575 | 0,0 |
| 429 | 0,0 | 478 | 0,0 | 527 | 45,4 | 576 | 0,0 |
| 430 | 0,0 | 479 | 0,0 | 528 | 46,3 | 577 | 0,0 |
| 431 | 0,0 | 480 | 0,0 | 529 | 47,2 | 578 | 0,0 |
| 432 | 0,0 | 481 | 1,6 | 530 | 47,8 | 579 | 0,0 |
| 580 | 0,0 |
|
|
|
|
|
|
| 581 | 0,0 |
|
|
|
|
|
|
| 582 | 0,0 |
|
|
|
|
|
|
| 583 | 0,0 |
|
|
|
|
|
|
| 584 | 0,0 |
|
|
|
|
|
|
| 585 | 0,0 |
|
|
|
|
|
|
| 586 | 0,0 |
|
|
|
|
|
|
| 587 | 0,0 |
|
|
|
|
|
|
| 588 | 0,0 |
|
|
|
|
|
|
| 589 | 0,0 |
|
|
|
|
|
|
Bảng B1/2a - WLTC, Chu trình thử kiểu I, pha Medium1 (Bắt đầu pha này ở giây thứ 589)
| Thời gian (s) | Vận tốc (km/h) | Thời gian (s) | Vận tốc (km/h) | Thời gian (s) | Vận tốc (km/h) | Thời gian (s) | Vận tốc (km/h) |
| 590 | 0,0 | 637 | 18,4 | 684 | 56,2 | 731 | 57,9 |
| 591 | 0,0 | 638 | 19,0 | 685 | 56,7 | 732 | 58,8 |
| 592 | 0,0 | 639 | 20,1 | 686 | 57,3 | 733 | 59,6 |
| 593 | 0,0 | 640 | 21,5 | 687 | 57,9 | 734 | 60,3 |
| 594 | 0,0 | 641 | 23,1 | 688 | 58,4 | 735 | 60,9 |
| 595 | 0,0 | 642 | 24,9 | 689 | 58,8 | 736 | 61,3 |
| 596 | 0,0 | 643 | 26,4 | 690 | 58,9 | 737 | 61,7 |
| 597 | 0,0 | 644 | 27,9 | 691 | 58,4 | 738 | 61,8 |
| 598 | 0,0 | 645 | 29,2 | 692 | 58,1 | 739 | 61,8 |
| 599 | 0,0 | 646 | 30,4 | 693 | 57,6 | 740 | 61,6 |
| 600 | 0,6 | 647 | 31,6 | 694 | 56,9 | 741 | 61,2 |
| 601 | 1,9 | 648 | 32,8 | 695 | 56,3 | 742 | 60,8 |
| 602 | 2,7 | 649 | 34,0 | 696 | 55,7 | 743 | 60,4 |
| 603 | 5,2 | 650 | 35,1 | 697 | 55,3 | 744 | 59,9 |
| 604 | 7,0 | 651 | 36,3 | 698 | 55,0 | 745 | 59,4 |
| 605 | 9,6 | 652 | 37,4 | 699 | 54,7 | 746 | 58,9 |
| 606 | 11,4 | 653 | 38,6 | 700 | 54,5 | 747 | 58,6 |
| 607 | 14,1 | 654 | 39,6 | 701 | 54,4 | 748 | 58,2 |
| 608 | 15,8 | 655 | 40,6 | 702 | 54,3 | 749 | 57,9 |
| 609 | 18,2 | 656 | 41,6 | 703 | 54,2 | 750 | 57,7 |
| 610 | 19,7 | 657 | 42,4 | 704 | 54,1 | 751 | 57,5 |
| 611 | 21,8 | 658 | 43,0 | 705 | 53,8 | 752 | 57,2 |
| 612 | 23,2 | 659 | 43,6 | 706 | 53,5 | 753 | 57,0 |
| 613 | 24,7 | 660 | 44,0 | 707 | 53,0 | 754 | 56,8 |
| 614 | 25,8 | 661 | 44,4 | 708 | 52,6 | 755 | 56,6 |
| 615 | 26,7 | 662 | 44,8 | 709 | 52,2 | 756 | 56,6 |
| 616 | 27,2 | 663 | 45,2 | 710 | 51,9 | 757 | 56,7 |
| 617 | 27,7 | 664 | 45,6 | 711 | 51,7 | 758 | 57,1 |
| 618 | 28,1 | 665 | 46,0 | 712 | 51,7 | 759 | 57,6 |
| 619 | 28,4 | 666 | 46,5 | 713 | 51,8 | 760 | 58,2 |
| 620 | 28,7 | 667 | 47,0 | 714 | 52,0 | 761 | 59,0 |
| 621 | 29,0 | 668 | 47,5 | 715 | 52,3 | 762 | 59,8 |
| 622 | 29,2 | 669 | 48,0 | 716 | 52,6 | 763 | 60,6 |
| 623 | 29,4 | 670 | 48,6 | 717 | 52,9 | 764 | 61,4 |
| 624 | 29,4 | 671 | 49,1 | 718 | 53,1 | 765 | 62,2 |
| 625 | 29,3 | 672 | 49,7 | 719 | 53,2 | 766 | 62,9 |
| 626 | 28,9 | 673 | 50,2 | 720 | 53,3 | 767 | 63,5 |
| 627 | 28,5 | 674 | 50,8 | 721 | 53,3 | 768 | 64,2 |
| 628 | 28,1 | 675 | 51,3 | 722 | 53,4 | 769 | 64,4 |
| 629 | 27,6 | 676 | 51,8 | 723 | 53,5 | 770 | 64,4 |
| 630 | 26,9 | 677 | 52,3 | 724 | 53,7 | 771 | 64,0 |
| 631 | 26,0 | 678 | 52,9 | 725 | 54,0 | 772 | 63,5 |
| 632 | 24,6 | 679 | 53,4 | 726 | 54,4 | 773 | 62,9 |
| 633 | 22,8 | 680 | 54,0 | 727 | 54,9 | 774 | 62,4 |
| 634 | 21,0 | 681 | 54,5 | 728 | 55,6 | 775 | 62,0 |
| 635 | 19,5 | 682 | 55,1 | 729 | 56,3 | 776 | 61,6 |
| 636 | 18,6 | 683 | 55,6 | 730 | 57,1 | 777 | 61,4 |
| 778 | 61,2 | 827 | 49,7 | 876 | 53,2 | 925 | 44,4 |
| 779 | 61,0 | 828 | 50,6 | 877 | 53,1 | 926 | 44,5 |
| 780 | 60,7 | 829 | 51,6 | 878 | 53,0 | 927 | 44,6 |
| 781 | 60,2 | 830 | 52,5 | 879 | 53,0 | 928 | 44,7 |
| 782 | 59,6 | 831 | 53,3 | 880 | 53,0 | 929 | 44,6 |
| 783 | 58,9 | 832 | 54,1 | 881 | 53,0 | 930 | 44,5 |
| 784 | 58,1 | 833 | 54,7 | 882 | 53,0 | 931 | 44,4 |
| 785 | 57,2 | 834 | 55,3 | 883 | 53,0 | 932 | 44,2 |
| 786 | 56,3 | 835 | 55,7 | 884 | 52,8 | 933 | 44,1 |
| 787 | 55,3 | 836 | 56,1 | 885 | 52,5 | 934 | 43,7 |
| 788 | 54,4 | 837 | 56,4 | 886 | 51,9 | 935 | 43,3 |
| 789 | 53,4 | 838 | 56,7 | 887 | 51,1 | 936 | 42,8 |
| 790 | 52,4 | 839 | 57,1 | 888 | 50,2 | 937 | 42,3 |
| 791 | 51,4 | 840 | 57,5 | 889 | 49,2 | 938 | 41,6 |
| 792 | 50,4 | 841 | 58,0 | 890 | 48,2 | 939 | 40,7 |
| 793 | 49,4 | 842 | 58,7 | 891 | 47,3 | 940 | 39,8 |
| 794 | 48,5 | 843 | 59,3 | 892 | 46,4 | 941 | 38,8 |
| 795 | 47,5 | 844 | 60,0 | 893 | 45,6 | 942 | 37,8 |
| 796 | 46,5 | 845 | 60,6 | 894 | 45,0 | 943 | 36,9 |
| 797 | 45,4 | 846 | 61,3 | 895 | 44,3 | 944 | 36,1 |
| 798 | 44,3 | 847 | 61,5 | 896 | 43,8 | 945 | 35,5 |
| 799 | 43,1 | 848 | 61,5 | 897 | 43,3 | 946 | 35,0 |
| 800 | 42,0 | 849 | 61,4 | 898 | 42,8 | 947 | 34,7 |
| 801 | 40,8 | 850 | 61,2 | 899 | 42,4 | 948 | 34,4 |
| 802 | 39,7 | 851 | 60,5 | 900 | 42,0 | 949 | 34,1 |
| 803 | 38,8 | 852 | 60,0 | 901 | 41,6 | 950 | 33,9 |
| 804 | 38,1 | 853 | 59,5 | 902 | 41,1 | 951 | 33,6 |
| 805 | 37,4 | 854 | 58,9 | 903 | 40,3 | 952 | 33,3 |
| 806 | 37,1 | 855 | 58,4 | 904 | 39,5 | 953 | 33,0 |
| 807 | 36,9 | 856 | 57,9 | 905 | 38,6 | 954 | 32,7 |
| 808 | 37,0 | 857 | 57,5 | 906 | 37,7 | 955 | 32,3 |
| 809 | 37,5 | 858 | 57,1 | 907 | 36,7 | 956 | 31,9 |
| 810 | 37,8 | 859 | 56,7 | 908 | 36,2 | 957 | 31,5 |
| 811 | 38,2 | 860 | 56,4 | 909 | 36,0 | 958 | 31,0 |
| 812 | 38,6 | 861 | 56,1 | 910 | 36,2 | 959 | 30,6 |
| 813 | 39,1 | 862 | 55,8 | 911 | 37,0 | 960 | 30,2 |
| 814 | 39,6 | 863 | 55,5 | 912 | 38,0 | 961 | 29,7 |
| 815 | 40,1 | 864 | 55,3 | 913 | 39,0 | 962 | 29,1 |
| 816 | 40,7 | 865 | 55,0 | 914 | 39,7 | 963 | 28,4 |
| 817 | 41,3 | 866 | 54,7 | 915 | 40,2 | 964 | 27,6 |
| 818 | 41,9 | 867 | 54,4 | 916 | 40,7 | 965 | 26,8 |
| 819 | 42,7 | 868 | 54,2 | 917 | 41,2 | 966 | 26,0 |
| 820 | 43,4 | 869 | 54,0 | 918 | 41,7 | 967 | 25,1 |
| 821 | 44,2 | 870 | 53,9 | 919 | 42,2 | 968 | 24,2 |
| 822 | 45,0 | 871 | 53,7 | 920 | 42,7 | 969 | 23,3 |
| 823 | 45,9 | 872 | 53,6 | 921 | 43,2 | 970 | 22,4 |
| 824 | 46,8 | 873 | 53,5 | 922 | 43,6 | 971 | 21,5 |
| 825 | 47,7 | 874 | 53,4 | 923 | 44,0 | 972 | 20,6 |
| 826 | 48,7 | 875 | 53,3 | 924 | 44,2 | 973 | 19,7 |
| 974 | 18,8 |
|
|
|
|
|
|
| 975 | 17,7 |
|
|
|
|
|
|
| 976 | 16,4 |
|
|
|
|
|
|
| 977 | 14,9 |
|
|
|
|
|
|
| 978 | 13,2 |
|
|
|
|
|
|
| 979 | 11,3 |
|
|
|
|
|
|
| 980 | 9,4 |
|
|
|
|
|
|
| 981 | 7,5 |
|
|
|
|
|
|
| 982 | 5,6 |
|
|
|
|
|
|
| 983 | 3,7 |
|
|
|
|
|
|
| 984 | 1,9 |
|
|
|
|
|
|
| 985 | 1,0 |
|
|
|
|
|
|
| 986 | 0,0 |
|
|
|
|
|
|
| 987 | 0,0 |
|
|
|
|
|
|
| 988 | 0,0 |
|
|
|
|
|
|
| 989 | 0,0 |
|
|
|
|
|
|
| 990 | 0,0 |
|
|
|
|
|
|
| 991 | 0,0 |
|
|
|
|
|
|
| 992 | 0,0 |
|
|
|
|
|
|
| 993 | 0,0 |
|
|
|
|
|
|
| 994 | 0,0 |
|
|
|
|
|
|
| 995 | 0,0 |
|
|
|
|
|
|
| 996 | 0,0 |
|
|
|
|
|
|
| 997 | 0,0 |
|
|
|
|
|
|
| 998 | 0,0 |
|
|
|
|
|
|
| 999 | 0,0 |
|
|
|
|
|
|
| 1 000 | 0,0 |
|
|
|
|
|
|
| 1 001 | 0,0 |
|
|
|
|
|
|
| 1 002 | 0,0 |
|
|
|
|
|
|
| 1 003 | 0,0 |
|
|
|
|
|
|
| 1 004 | 0,0 |
|
|
|
|
|
|
| 1 005 | 0,0 |
|
|
|
|
|
|
| 1 006 | 0,0 |
|
|
|
|
|
|
| 1 007 | 0,0 |
|
|
|
|
|
|
| 1 008 | 0,0 |
|
|
|
|
|
|
| 1 009 | 0,0 |
|
|
|
|
|
|
| 1 010 | 0,0 |
|
|
|
|
|
|
| 1 011 | 0,0 |
|
|
|
|
|
|
| 1 012 | 0,0 |
|
|
|
|
|
|
| 1 013 | 0,0 |
|
|
|
|
|
|
| 1 014 | 0,0 |
|
|
|
|
|
|
| 1 015 | 0,0 |
|
|
|
|
|
|
| 1 016 | 0,0 |
|
|
|
|
|
|
| 1 017 | 0,0 |
|
|
|
|
|
|
| 1 018 | 0,0 |
|
|
|
|
|
|
| 1 019 | 0,0 |
|
|
|
|
|
|
| 1 020 | 0,0 |
|
|
|
|
|
|
| 1 021 | 0,0 |
|
|
|
|
|
|
| 1 022 | 0,0 |
|
|
|
|
|
|
Bảng B1/2b - WLTC, chu trình thử kiểu I, pha Low12 (giây 1022 là điểm cuối của pha Medium1 và bắt đầu của pha Low12)
| Thời gian (s) | Vận tốc (km/h) | Thời gian (s) | Vận tốc (km/h) | Thời gian (s) | Vận tốc (km/h) | Thời gian (s) | Vận tốc (km/h) |
| 1 023 | 0,0 | 1 070 | 19,5 | 1 117 | 0,0 | 1 164 | 35,9 |
| 1 024 | 0,0 | 1 071 | 20,2 | 1 118 | 0,0 | 1 165 | 36,6 |
| 1 025 | 0,0 | 1 072 | 20,9 | 1 119 | 0,0 | 1 166 | 37,5 |
| 1 026 | 0,0 | 1 073 | 21,7 | 1 120 | 0,0 | 1 167 | 38,4 |
| 1 027 | 0,0 | 1 074 | 22,4 | 1 121 | 0,0 | 1 168 | 39,3 |
| 1 028 | 0,0 | 1 075 | 23,1 | 1 122 | 0,0 | 1 169 | 40,0 |
| 1 029 | 0,0 | 1 076 | 23,7 | 1 123 | 0,0 | 1 170 | 40,6 |
| 1 030 | 0,0 | 1 077 | 24,4 | 1 124 | 0,0 | 1 171 | 41,1 |
| 1 031 | 0,0 | 1 078 | 25,1 | 1 125 | 0,0 | 1 172 | 41,4 |
| 1 032 | 0,0 | 1 079 | 25,4 | 1 126 | 0,0 | 1 173 | 41,6 |
| 1 033 | 0,0 | 1 080 | 25,2 | 1 127 | 0,0 | 1 174 | 41,8 |
| 1 034 | 0,2 | 1 081 | 23,4 | 1 128 | 0,0 | 1 175 | 41,8 |
| 1 035 | 3,1 | 1 082 | 21,8 | 1 129 | 0,0 | 1 176 | 41,9 |
| 1 036 | 5,7 | 1 083 | 19,7 | 1 130 | 0,7 | 1 177 | 41,9 |
| 1 037 | 8,0 | 1 084 | 17,3 | 1 131 | 1,1 | 1 178 | 42,0 |
| 1 038 | 10,1 | 1 085 | 14,7 | 1 132 | 1,9 | 1 179 | 42,0 |
| 1 039 | 12,0 | 1 086 | 12,0 | 1 133 | 2,5 | 1 180 | 42,2 |
| 1 040 | 13,8 | 1 087 | 9,4 | 1 134 | 3,5 | 1 181 | 42,3 |
| 1 041 | 15,4 | 1 088 | 5,6 | 1 135 | 4,7 | 1 182 | 42,6 |
| 1 042 | 16,7 | 1 089 | 3,1 | 1 136 | 6,1 | 1 183 | 43,0 |
| 1 043 | 17,7 | 1 090 | 0,0 | 1 137 | 7,5 | 1 184 | 43,3 |
| 1 044 | 18,3 | 1 091 | 0,0 | 1 138 | 9,4 | 1 185 | 43,7 |
| 1 045 | 18,8 | 1 092 | 0,0 | 1 139 | 11,0 | 1 186 | 44,0 |
| 1 046 | 18,9 | 1 093 | 0,0 | 1 140 | 12,9 | 1 187 | 44,3 |
| 1 047 | 18,4 | 1 094 | 0,0 | 1 141 | 14,5 | 1 188 | 44,5 |
| 1 048 | 16,9 | 1 095 | 0,0 | 1 142 | 16,4 | 1 189 | 44,6 |
| 1 049 | 14,3 | 1 096 | 0,0 | 1 143 | 18,0 | 1 190 | 44,6 |
| 1 050 | 10,8 | 1 097 | 0,0 | 1 144 | 20,0 | 1 191 | 44,5 |
| 1 051 | 7,1 | 1 098 | 0,0 | 1 145 | 21,5 | 1 192 | 44,4 |
| 1 052 | 4,0 | 1 099 | 0,0 | 1 146 | 23,5 | 1 193 | 44,3 |
| 1 053 | 0,0 | 1 100 | 0,0 | 1 147 | 25,0 | 1 194 | 44,2 |
| 1 054 | 0,0 | 1 101 | 0,0 | 1 148 | 26,8 | 1 195 | 44,1 |
| 1 055 | 0,0 | 1 102 | 0,0 | 1 149 | 28,2 | 1 196 | 44,0 |
| 1 056 | 0,0 | 1 103 | 0,0 | 1 150 | 30,0 | 1 197 | 43,9 |
| 1 057 | 1,5 | 1 104 | 0,0 | 1 151 | 31,4 | 1 198 | 43,8 |
| 1 058 | 3,8 | 1 105 | 0,0 | 1 152 | 32,5 | 1 199 | 43,7 |
| 1 059 | 5,6 | 1 106 | 0,0 | 1 153 | 33,2 | 1 200 | 43,6 |
| 1 060 | 7,5 | 1 107 | 0,0 | 1 154 | 33,4 | 1 201 | 43,5 |
| 1 061 | 9,2 | 1 108 | 0,0 | 1 155 | 33,7 | 1 202 | 43,4 |
| 1 062 | 10,8 | 1 109 | 0,0 | 1 156 | 33,9 | 1 203 | 43,3 |
| 1 063 | 12,4 | 1 110 | 0,0 | 1 157 | 34,2 | 1 204 | 43,1 |
| 1 064 | 13,8 | 1 111 | 0,0 | 1 158 | 34,4 | 1 205 | 42,9 |
| 1 065 | 15,2 | 1 112 | 0,0 | 1 159 | 34,7 | 1 206 | 42,7 |
| 1 066 | 16,3 | 1 113 | 0,0 | 1 160 | 34,9 | 1 207 | 42,5 |
| 1 067 | 17,3 | 1 114 | 0,0 | 1 161 | 35,2 | 1 208 | 42,3 |
| 1 068 | 18,0 | 1 115 | 0,0 | 1 162 | 35,4 | 1 209 | 42,2 |
| 1 069 | 18,8 | 1 116 | 0,0 | 1 163 | 35,7 | 1 210 | 422 |
| 1 211 | 42,2 | 1 260 | 39,9 | 1 309 | 24,9 | 1 358 | 14,3 |
| 1 212 | 42,3 | 1 261 | 40,0 | 1 310 | 24,5 | 1 359 | 14,0 |
| 1 213 | 42,4 | 1 262 | 40,1 | 1 311 | 24,2 | 1 360 | 13,0 |
| 1 214 | 42,5 | 1 263 | 40,2 | 1 312 | 24,0 | 1 361 | 11,4 |
| 1 215 | 42,7 | 1 264 | 40,3 | 1 313 | 23,8 | 1 362 | 10,2 |
| 1 216 | 42,9 | 1 265 | 40,4 | 1 314 | 23,6 | 1 363 | 8,0 |
| 1 217 | 43,1 | 1 266 | 40,5 | 1 315 | 23,5 | 1 364 | 7,0 |
| 1 218 | 43,2 | 1 267 | 40,5 | 1 316 | 23,4 | 1 365 | 6,0 |
| 1 219 | 43,3 | 1 268 | 40,4 | 1 317 | 23,3 | 1 366 | 5,5 |
| 1 220 | 43,4 | 1 269 | 40,3 | 1 318 | 23,3 | 1 367 | 5,0 |
| 1 221 | 43,4 | 1 270 | 40,2 | 1 319 | 23,2 | 1 368 | 4,5 |
| 1 222 | 43,2 | 1 271 | 40,1 | 1 320 | 23,1 | 1 369 | 4,0 |
| 1 223 | 42,9 | 1 272 | 39,7 | 1 321 | 23,0 | 1 370 | 3,5 |
| 1 224 | 42,6 | 1 273 | 38,8 | 1 322 | 22,8 | 1 371 | 3,0 |
| 1 225 | 42,2 | 1 274 | 37,4 | 1 323 | 22,5 | 1 372 | 2,5 |
| 1 226 | 41,9 | 1 275 | 35,6 | 1 324 | 22,1 | 1 373 | 2,0 |
| 1 227 | 41,5 | 1 276 | 33,4 | 1 325 | 21,7 | 1 374 | 1,5 |
| 1 228 | 41,0 | 1 277 | 31,2 | 1 326 | 21,1 | 1 375 | 1,0 |
| 1 229 | 40,5 | 1 278 | 29,1 | 1 327 | 20,4 | 1 376 | 0,5 |
| 1 230 | 39,9 | 1 279 | 27,6 | 1 328 | 19,5 | 1 377 | 0,0 |
| 1 231 | 39,3 | 1 280 | 26,6 | 1 329 | 18,5 | 1 378 | 0,0 |
| 1 232 | 38,7 | 1 281 | 26,2 | 1 330 | 17,6 | 1 379 | 0,0 |
| 1 233 | 38,1 | 1 282 | 26,3 | 1 331 | 16,6 | 1 380 | 0,0 |
| 1 234 | 37,5 | 1 283 | 26,7 | 1 332 | 15,7 | 1 381 | 0,0 |
| 1 235 | 36,9 | 1 284 | 27,5 | 1 333 | 14,9 | 1 382 | 0,0 |
| 1 236 | 36,3 | 1 285 | 28,4 | 1 334 | 14,3 | 1 383 | 2,2 |
| 1 237 | 35,7 | 1 286 | 29,4 | 1 335 | 14,1 | 1 384 | 4,5 |
| 1 238 | 35,1 | 1 287 | 30,4 | 1 336 | 14,0 | 1 385 | 6,6 |
| 1 239 | 34,5 | 1 288 | 31,2 | 1 337 | 13,9 | 1 386 | 8,6 |
| 1 240 | 33,9 | 1 289 | 31,9 | 1 338 | 13,8 | 1 387 | 10,6 |
| 1 241 | 33,6 | 1 290 | 32,5 | 1 339 | 13,7 | 1 388 | 12,5 |
| 1 242 | 33,5 | 1 291 | 33,0 | 1 340 | 13,6 | 1 389 | 14,4 |
| 1 243 | 33,6 | 1 292 | 33,4 | 1 341 | 13,5 | 1 390 | 16,3 |
| 1 244 | 33,9 | 1 293 | 33,8 | 1 342 | 13,4 | 1 391 | 17,9 |
| 1 245 | 34,3 | 1 294 | 34,1 | 1 343 | 13,3 | 1 392 | 19,1 |
| 1 246 | 34,7 | 1 295 | 34,3 | 1 344 | 13,2 | 1 393 | 19,9 |
| 1 247 | 35,1 | 1 296 | 34,3 | 1 345 | 13,2 | 1 394 | 20,3 |
| 1 248 | 35,5 | 1 297 | 33,9 | 1 346 | 13,2 | 1 395 | 20,5 |
| 1 249 | 35,9 | 1 298 | 33,3 | 1 347 | 13,4 | 1 396 | 20,7 |
| 1 250 | 36,4 | 1 299 | 32,6 | 1 348 | 13,5 | 1 397 | 21,0 |
| 1 251 | 36,9 | 1 300 | 31,8 | 1 349 | 13,7 | 1 398 | 21,6 |
| 1 252 | 37,4 | 1 301 | 30,7 | 1 350 | 13,8 | 1 399 | 22,6 |
| 1 253 | 37,9 | 1 302 | 29,6 | 1 351 | 14,0 | 1 400 | 23,7 |
| 1 254 | 38,3 | 1 303 | 28,6 | 1 352 | 14,1 | 1 401 | 24,8 |
| 1 255 | 38,7 | 1 304 | 27,8 | 1 353 | 14,3 | 1 402 | 25,7 |
| 1 256 | 39,1 | 1 305 | 27,0 | 1 354 | 14,4 | 1 403 | 26,2 |
| 1 257 | 39,3 | 1 306 | 26,4 | 1 355 | 14,4 | 1 404 | 26,4 |
| 1 258 | 39,5 | 1 307 | 25,8 | 1 356 | 14,4 | 1 405 | 26,4 |
| 1 259 | 39,7 | 1 308 | 25,3 | 1 357 | 14,3 | 1 406 | 26,4 |
| 1 407 | 26,5 | 1 456 | 0,0 | 1 505 | 4,6 | 1 554 | 48,5 |
| 1 408 | 26,6 | 1 457 | 0,0 | 1 506 | 6,1 | 1 555 | 48,7 |
| 1 409 | 26,8 | 1 458 | 0,0 | 1 507 | 7,8 | 1 556 | 48,9 |
| 1 410 | 26,9 | 1 459 | 0,0 | 1 508 | 9,5 | 1 557 | 49,1 |
| 1 411 | 27,2 | 1 460 | 0,0 | 1 509 | 11,3 | 1 558 | 49,1 |
| 1 412 | 27,5 | 1 461 | 0,0 | 1 510 | 13,2 | 1 559 | 49,0 |
| 1 413 | 28,0 | 1 462 | 0,0 | 1 511 | 15,0 | 1 560 | 48,8 |
| 1 414 | 28,8 | 1 463 | 0,0 | 1 512 | 16,8 | 1 561 | 48,6 |
| 1 415 | 29,9 | 1 464 | 0,0 | 1 513 | 18,4 | 1 562 | 48,5 |
| 1 416 | 31,0 | 1 465 | 0,0 | 1 514 | 20,1 | 1 563 | 48,4 |
| 1 417 | 31,9 | 1 466 | 0,0 | 1 515 | 21,6 | 1 564 | 48,3 |
| 1 418 | 32,5 | 1 467 | 0,0 | 1 516 | 23,1 | 1 565 | 48,2 |
| 1 419 | 32,6 | 1 468 | 0,0 | 1 517 | 24,6 | 1 566 | 48,1 |
| 1 420 | 32,4 | 1 469 | 0,0 | 1 518 | 26,0 | 1 567 | 47,5 |
| 1 421 | 32,0 | 1 470 | 0,0 | 1 519 | 27,5 | 1 568 | 46,7 |
| 1 422 | 31,3 | 1 471 | 0,0 | 1 520 | 29,0 | 1 569 | 45,7 |
| 1 423 | 30,3 | 1 472 | 0,0 | 1 521 | 30,6 | 1 570 | 44,6 |
| 1 424 | 28,0 | 1 473 | 0,0 | 1 522 | 32,1 | 1 571 | 42,9 |
| 1 425 | 27,0 | 1 474 | 0,0 | 1 523 | 33,7 | 1 572 | 40,8 |
| 1 426 | 24,0 | 1 475 | 0,0 | 1 524 | 35,3 | 1 573 | 38,2 |
| 1 427 | 22,5 | 1 476 | 0,0 | 1 525 | 36,8 | 1 574 | 35,3 |
| 1 428 | 19,0 | 1 477 | 0,0 | 1 526 | 38,1 | 1 575 | 31,8 |
| 1 429 | 17,5 | 1 478 | 0,0 | 1 527 | 39,3 | 1 576 | 28,7 |
| 1 430 | 14,0 | 1 479 | 0,0 | 1 528 | 40,4 | 1 577 | 25,8 |
| 1 431 | 12,5 | 1 480 | 0,0 | 1 529 | 41,2 | 1 578 | 22,9 |
| 1 432 | 9,0 | 1 481 | 0,0 | 1 530 | 41,9 | 1 579 | 20,2 |
| 1 433 | 7,5 | 1 482 | 0,0 | 1 531 | 42,6 | 1 580 | 17,3 |
| 1 434 | 4,0 | 1 483 | 0,0 | 1 532 | 43,3 | 1 581 | 15,0 |
| 1 435 | 2,9 | 1 484 | 0,0 | 1 533 | 44,0 | 1 582 | 12,3 |
| 1 436 | 0,0 | 1 485 | 0,0 | 1 534 | 44,6 | 1 583 | 10,3 |
| 1 437 | 0,0 | 1 486 | 0,0 | 1 535 | 45,3 | 1 584 | 7,8 |
| 1 438 | 0,0 | 1 487 | 0,0 | 1 536 | 45,5 | 1 585 | 6,5 |
| 1 439 | 0,0 | 1 488 | 0,0 | 1 537 | 45,5 | 1 586 | 4,4 |
| 1 440 | 0,0 | 1 489 | 0,0 | 1 538 | 45,2 | 1 587 | 3,2 |
| 1 441 | 0,0 | 1 490 | 0,0 | 1 539 | 44,7 | 1 588 | 1,2 |
| 1 442 | 0,0 | 1 491 | 0,0 | 1 540 | 44,2 | 1 589 | 0,0 |
| 1 443 | 0,0 | 1 492 | 0,0 | 1 541 | 43,6 | 1 590 | 0,0 |
| 1 444 | 0,0 | 1 493 | 0,0 | 1 542 | 43,1 | 1 591 | 0,0 |
| 1 445 | 0,0 | 1 494 | 0,0 | 1 543 | 42,8 | 1 592 | 0,0 |
| 1 446 | 0,0 | 1 495 | 0,0 | 1 544 | 42,7 | 1 593 | 0,0 |
| 1 447 | 0,0 | 1 496 | 0,0 | 1 545 | 42,8 | 1 594 | 0,0 |
| 1 448 | 0,0 | 1 497 | 0,0 | 1 546 | 43,3 | 1 595 | 0,0 |
| 1 449 | 0,0 | 1 498 | 0,0 | 1 547 | 43,9 | 1 596 | 0,0 |
| 1 450 | 0,0 | 1 499 | 0,0 | 1 548 | 44,6 | 1 597 | 0,0 |
| 1 451 | 0,0 | 1 500 | 0,0 | 1 549 | 45,4 | 1 598 | 0,0 |
| 1 452 | 0,0 | 1 501 | 0,0 | 1 550 | 46,3 | 1 599 | 0,0 |
| 1 453 | 0,0 | 1 502 | 0,0 | 1 551 | 47,2 | 1 600 | 0,0 |
| 1 454 | 0,0 | 1 503 | 1,6 | 1 552 | 47,8 | 1 601 | 0,0 |
| 1 455 | 0,0 | 1 504 | 3,1 | 1 553 | 48,2 | 1 602 | 0,0 |
| 1 603 | 0,0 |
|
|
|
|
|
|
| 1 604 | 0,0 |
|
|
|
|
|
|
| 1 605 | 0,0 |
|
|
|
|
|
|
| 1 606 | 0,0 |
|
|
|
|
|
|
| 1 607 | 0,0 |
|
|
|
|
|
|
| 1 608 | 0,0 |
|
|
|
|
|
|
| 1 609 | 0,0 |
|
|
|
|
|
|
| 1 610 | 0,0 |
|
|
|
|
|
|
| 1 611 | 0,0 |
|
|
|
|
|
|
5 Chu trình WLTC thử kiểu II

Hình B1/3 - WLTC, chu trình thử kiểu II, pha Low2

Hình B1/4 - WLTC, chu trình thử kiểu II, pha Medium2

Hình B1/5-WLTC, chu trình thử kiểu II, pha High2

Hình B1/6 - WLTC, chu trình thử kiểu II, ExtraHigh2
Bảng B1/3 - WLTC, chu trình thử kiểu II, pha Low2 (giây 589 là điểm cuối của pha Low1 và bắt đầu của pha Medium1)
| Thời gian (s) | Vận tốc (km/h) | Thời gian (s) | Vận tốc (km/h) | Thời gian (s) | Vận tốc (km/h) | Thời gian (s) | Vận tốc (km/h) |
| 0 | 0,0 | 47 | 11,6 | 94 | 0,0 | 141 | 36,8 |
| 1 | 0,0 | 48 | 12,4 | 95 | 0,0 | 142 | 35,1 |
| 2 | 0,0 | 49 | 13,2 | 96 | 0,0 | 143 | 32,2 |
| 3 | 0,0 | 50 | 14,2 | 97 | 0,0 | 144 | 31,1 |
| 4 | 0,0 | 51 | 14,8 | 98 | 0,0 | 145 | 30,8 |
| 5 | 0,0 | 52 | 14,7 | 99 | 0,0 | 146 | 29,7 |
| 6 | 0,0 | 53 | 14,4 | 100 | 0,0 | 147 | 29,4 |
| 7 | 0,0 | 54 | 14,1 | 101 | 0,0 | 148 | 29,0 |
| 8 | 0,0 | 55 | 13,6 | 102 | 0,0 | 149 | 28,5 |
| 9 | 0,0 | 56 | 13,0 | 103 | 0,0 | 150 | 26,0 |
| 10 | 0,0 | 57 | 12,4 | 104 | 0,0 | 151 | 23,4 |
| 11 | 0,0 | 58 | 11,8 | 105 | 0,0 | 152 | 20,7 |
| 12 | 0,0 | 59 | 11,2 | 106 | 0,0 | 153 | 17,4 |
| 13 | 1,2 | 60 | 10,6 | 107 | 0,8 | 154 | 15,2 |
| 14 | 2,6 | 61 | 9,9 | 108 | 1,4 | 155 | 13,5 |
| 15 | 4,9 | 62 | 9,0 | 109 | 2,3 | 156 | 13,0 |
| 16 | 7,3 | 63 | 8,2 | 110 | 3,5 | 157 | 12,4 |
| 17 | 9,4 | 64 | 7,0 | 111 | 4,7 | 158 | 12,3 |
| 18 | 11,4 | 65 | 4,8 | 112 | 5,9 | 159 | 12,2 |
| 19 | 12,7 | 66 | 2,3 | 113 | 7,4 | 160 | 12,3 |
| 20 | 13,3 | 67 | 0,0 | 114 | 9,2 | 161 | 12,4 |
| 21 | 13,4 | 68 | 0,0 | 115 | 11,7 | 162 | 12,5 |
| 22 | 13,3 | 69 | 0,0 | 116 | 13,5 | 163 | 12,7 |
| 23 | 13,1 | 70 | 0,0 | 117 | 15,0 | 164 | 12,8 |
| 24 | 12,5 | 71 | 0,0 | 118 | 16,2 | 165 | 13,2 |
| 25 | 11,1 | 72 | 0,0 | 119 | 16,8 | 166 | 14,3 |
| 26 | 8,9 | 73 | 0,0 | 120 | 17,5 | 167 | 16,5 |
| 27 | 6,2 | 74 | 0,0 | 121 | 18,8 | 168 | 19,4 |
| 28 | 3,8 | 75 | 0,0 | 122 | 20,3 | 169 | 21,7 |
| 29 | 1,8 | 76 | 0,0 | 123 | 22,0 | 170 | 23,1 |
| 30 | 0,0 | 77 | 0,0 | 124 | 23,6 | 171 | 23,5 |
| 31 | 0,0 | 78 | 0,0 | 125 | 24,8 | 172 | 24,2 |
| 32 | 0,0 | 79 | 0,0 | 126 | 25,6 | 173 | 24,8 |
| 33 | 0,0 | 80 | 0,0 | 127 | 26,3 | 174 | 25,4 |
| 34 | 1,5 | 81 | 0,0 | 128 | 27,2 | 175 | 25,8 |
| 35 | 2,8 | 82 | 0,0 | 129 | 28,3 | 176 | 26,5 |
| 36 | 3,6 | 83 | 0,0 | 130 | 29,6 | 177 | 27,2 |
| 37 | 4,5 | 84 | 0,0 | 131 | 30,9 | 178 | 28,3 |
| 38 | 5,3 | 85 | 0,0 | 132 | 32,2 | 179 | 29,9 |
| 39 | 6,0 | 86 | 0,0 | 133 | 33,4 | 180 | 32,4 |
| 40 | 6,6 | 87 | 0,0 | 134 | 35,1 | 181 | 35,1 |
| 41 | 7,3 | 88 | 0,0 | 135 | 37,2 | 182 | 37,5 |
| 42 | 7,9 | 89 | 0,0 | 136 | 38,7 | 183 | 39,2 |
| 43 | 8,6 | 90 | 0,0 | 137 | 39,0 | 184 | 40,5 |
| 44 | 9,3 | 91 | 0,0 | 138 | 40,1 | 185 | 41,4 |
| 45 | 10 | 92 | 0,0 | 139 | 40,4 | 186 | 42,0 |
| 46 | 10,8 | 93 | 0,0 | 140 | 39,7 | 187 | 42,5 |
| 188 | 43,2 | 237 | 33,5 | 286 | 32,5 | 335 | 25,0 |
| 189 | 44,4 | 238 | 35,8 | 287 | 30,9 | 336 | 24,6 |
| 190 | 45,9 | 239 | 37,6 | 288 | 28,6 | 337 | 23,9 |
| 191 | 47,6 | 240 | 38,8 | 289 | 25,9 | 338 | 23,0 |
| 192 | 49,0 | 241 | 39,6 | 290 | 23,1 | 339 | 21,8 |
| 193 | 50,0 | 242 | 40,1 | 291 | 20,1 | 340 | 20,7 |
| 194 | 50,2 | 243 | 40,9 | 292 | 17,3 | 341 | 19,6 |
| 195 | 50,1 | 244 | 41,8 | 293 | 15,1 | 342 | 18,7 |
| 196 | 49,8 | 245 | 43,3 | 294 | 13,7 | 343 | 18,1 |
| 197 | 49,4 | 246 | 44,7 | 295 | 13,4 | 344 | 17,5 |
| 198 | 48,9 | 247 | 46,4 | 296 | 13,9 | 345 | 16,7 |
| 199 | 48,5 | 248 | 47,9 | 297 | 15,0 | 346 | 15,4 |
| 200 | 48,3 | 249 | 49,6 | 298 | 16,3 | 347 | 13,6 |
| 201 | 48,2 | 250 | 49,6 | 299 | 17,4 | 348 | 11,2 |
| 202 | 47,9 | 251 | 48,8 | 300 | 18,2 | 349 | 8,6 |
| 203 | 47,1 | 252 | 48,0 | 301 | 18,6 | 350 | 6,0 |
| 204 | 45,5 | 253 | 47,5 | 302 | 19,0 | 351 | 3,1 |
| 205 | 43,2 | 254 | 47,1 | 303 | 19,4 | 352 | 1,2 |
| 206 | 40,6 | 255 | 46,9 | 304 | 19,8 | 353 | 0,0 |
| 207 | 38,5 | 256 | 45,8 | 305 | 20,1 | 354 | 0,0 |
| 208 | 36,9 | 257 | 45,8 | 306 | 20,5 | 355 | 0,0 |
| 209 | 35,9 | 258 | 45,8 | 307 | 20,2 | 356 | 0,0 |
| 210 | 35,3 | 259 | 45,9 | 308 | 18,6 | 357 | 0,0 |
| 211 | 34,8 | 260 | 46,2 | 309 | 16,5 | 358 | 0,0 |
| 212 | 34,5 | 261 | 46,4 | 310 | 14,4 | 359 | 0,0 |
| 213 | 34,2 | 262 | 46,6 | 311 | 13,4 | 360 | 1,4 |
| 214 | 34,0 | 263 | 46,8 | 312 | 12,9 | 361 | 3,2 |
| 215 | 33,8 | 264 | 47,0 | 313 | 12,7 | 362 | 5,6 |
| 216 | 33,6 | 265 | 47,3 | 314 | 12,4 | 363 | 8,1 |
| 217 | 33,5 | 266 | 47,5 | 315 | 12,4 | 364 | 10,3 |
| 218 | 33,5 | 267 | 47,9 | 316 | 12,8 | 365 | 12,1 |
| 219 | 33,4 | 268 | 48,3 | 317 | 14,1 | 366 | 12,6 |
| 220 | 33,3 | 269 | 48,3 | 318 | 16,2 | 367 | 13,6 |
| 221 | 33,3 | 270 | 48,2 | 319 | 18,8 | 368 | 14,5 |
| 222 | 33,2 | 271 | 48,0 | 320 | 21,9 | 369 | 15,6 |
| 223 | 33,1 | 272 | 47,7 | 321 | 25,0 | 370 | 16,8 |
| 224 | 33,0 | 273 | 47,2 | 322 | 28,4 | 371 | 18,2 |
| 225 | 32,9 | 274 | 46,5 | 323 | 31,3 | 372 | 19,6 |
| 226 | 32,8 | 275 | 45,2 | 324 | 34,0 | 373 | 20,9 |
| 227 | 32,7 | 276 | 43,7 | 325 | 34,6 | 374 | 22,3 |
| 228 | 32,5 | 277 | 42,0 | 326 | 33,9 | 375 | 23,8 |
| 229 | 32,3 | 278 | 40,4 | 327 | 31,9 | 376 | 25,4 |
| 230 | 31,8 | 279 | 39,0 | 328 | 30,0 | 377 | 27,0 |
| 231 | 31,4 | 280 | 37,7 | 329 | 29,0 | 378 | 28,6 |
| 232 | 30,9 | 281 | 36,4 | 330 | 27,9 | 379 | 30,2 |
| 233 | 30,6 | 282 | 35,2 | 331 | 27,1 | 380 | 31,2 |
| 234 | 30,6 | 283 | 34,3 | 332 | 26,4 | 381 | 31,2 |
| 235 | 30,7 | 284 | 33,8 | 333 | 25,9 | 382 | 30,7 |
| 236 | 32,0 | 285 | 33,3 | 334 | 25,5 | 383 | 29,5 |
| 384 | 28,6 | 433 | 0,0 | 482 | 2,5 | 531 | 26,0 |
| 385 | 27,7 | 434 | 0,0 | 483 | 5,2 | 532 | 26,5 |
| 386 | 26,9 | 435 | 0,0 | 484 | 7,9 | 533 | 26,9 |
| 387 | 26,1 | 436 | 0,0 | 485 | 10,3 | 534 | 27,3 |
| 388 | 25,4 | 437 | 0,0 | 486 | 12,7 | 535 | 27,9 |
| 389 | 24,6 | 438 | 0,0 | 487 | 15,0 | 536 | 30,3 |
| 390 | 23,6 | 439 | 0,0 | 488 | 17,4 | 537 | 33,2 |
| 391 | 22,6 | 440 | 0,0 | 489 | 19,7 | 538 | 35,4 |
| 392 | 21,7 | 441 | 0,0 | 490 | 21,9 | 539 | 38,0 |
| 393 | 20,7 | 442 | 0,0 | 491 | 24,1 | 540 | 40,1 |
| 394 | 19,8 | 443 | 0,0 | 492 | 26,2 | 541 | 42,7 |
| 395 | 18,8 | 444 | 0,0 | 493 | 28,1 | 542 | 44,5 |
| 396 | 17,7 | 445 | 0,0 | 494 | 29,7 | 543 | 46,3 |
| 397 | 16,6 | 446 | 0,0 | 495 | 31,3 | 544 | 47,6 |
| 398 | 15,6 | 447 | 0,0 | 496 | 33,0 | 545 | 48,8 |
| 399 | 14,8 | 448 | 0,0 | 497 | 34,7 | 546 | 49,7 |
| 400 | 14,3 | 449 | 0,0 | 498 | 36,3 | 547 | 50,6 |
| 401 | 13,8 | 450 | 0,0 | 499 | 38,1 | 548 | 51,4 |
| 402 | 13,4 | 451 | 0,0 | 500 | 39,4 | 549 | 51,4 |
| 403 | 13,1 | 452 | 0,0 | 501 | 40,4 | 550 | 50,2 |
| 404 | 12,8 | 453 | 0,0 | 502 | 41,2 | 551 | 47,1 |
| 405 | 12,3 | 454 | 0,0 | 503 | 42,1 | 552 | 44,5 |
| 406 | 11,6 | 455 | 0,0 | 504 | 43,2 | 553 | 41,5 |
| 407 | 10,5 | 456 | 0,0 | 505 | 44,3 | 554 | 38,5 |
| 408 | 9,0 | 457 | 0,0 | 506 | 45,7 | 555 | 35,5 |
| 409 | 7,2 | 458 | 0,0 | 507 | 45,4 | 556 | 32,5 |
| 410 | 5,2 | 459 | 0,0 | 508 | 44,5 | 557 | 29,5 |
| 411 | 2,9 | 460 | 0,0 | 509 | 42,5 | 558 | 26,5 |
| 412 | 1,2 | 461 | 0,0 | 510 | 39,5 | 559 | 23,5 |
| 413 | 0,0 | 462 | 0,0 | 511 | 36,5 | 560 | 20,4 |
| 414 | 0,0 | 463 | 0,0 | 512 | 33,5 | 561 | 17,5 |
| 415 | 0,0 | 464 | 0,0 | 513 | 30,4 | 562 | 14,5 |
| 416 | 0,0 | 465 | 0,0 | 514 | 27,0 | 563 | 11,5 |
| 417 | 0,0 | 466 | 0,0 | 515 | 23,6 | 564 | 8,5 |
| 418 | 0,0 | 467 | 0,0 | 516 | 21,0 | 565 | 5,6 |
| 419 | 0,0 | 468 | 0,0 | 517 | 19,5 | 566 | 2,6 |
| 420 | 0,0 | 469 | 0,0 | 518 | 17,6 | 567 | 0,0 |
| 421 | 0,0 | 470 | 0,0 | 519 | 16,1 | 568 | 0,0 |
| 422 | 0,0 | 471 | 0,0 | 520 | 14,5 | 569 | 0,0 |
| 423 | 0,0 | 472 | 0,0 | 521 | 13,5 | 570 | 0,0 |
| 424 | 0,0 | 473 | 0,0 | 522 | 13,7 | 571 | 0,0 |
| 425 | 0,0 | 474 | 0,0 | 523 | 16,0 | 572 | 0,0 |
| 426 | 0,0 | 475 | 0,0 | 524 | 18,1 | 573 | 0,0 |
| 427 | 0,0 | 476 | 0,0 | 525 | 20,8 | 574 | 0,0 |
| 428 | 0,0 | 477 | 0,0 | 526 | 21,5 | 575 | 0,0 |
| 429 | 0,0 | 478 | 0,0 | 527 | 22,5 | 576 | 0,0 |
| 430 | 0,0 | 479 | 0,0 | 528 | 23,4 | 577 | 0,0 |
| 431 | 0,0 | 480 | 0 0 | 529 | 24,5 | 578 | 0,0 |
| 432 | 0,0 | 481 | 1,4 | 530 | 25,6 | 579 | 0,0 |
| 580 | 0,0 |
|
|
|
|
|
|
| 581 | 0,0 |
|
|
|
|
|
|
| 582 | 0,0 |
|
|
|
|
|
|
| 583 | 0,0 |
|
|
|
|
|
|
| 584 | 0,0 |
|
|
|
|
|
|
| 585 | 0,0 |
|
|
|
|
|
|
| 586 | 0,0 |
|
|
|
|
|
|
| 587 | 0,0 |
|
|
|
|
|
|
| 588 | 0,0 |
|
|
|
|
|
|
| 589 | 0,0 |
|
|
|
|
|
|
Bảng B1/4 - WLTC, chu trình thử kiểu II, pha Medium2 (Bắt đầu pha này là giây thứ 589)
| Thời gian (s) | Vận tốc (km/h) | Thời gian (s) | Vận tốc (km/h) | Thời gian (s) | Vận tốc (km/h) | Thời gian (s) | Vận tốc (km/h) |
| 590 | 0,0 | 637 | 38,6 | 684 | 59,3 | 731 | 55,3 |
| 591 | 0,0 | 638 | 39,8 | 685 | 60,2 | 732 | 55,1 |
| 592 | 0,0 | 639 | 40,6 | 686 | 61,3 | 733 | 54,8 |
| 593 | 0,0 | 640 | 41,1 | 687 | 62,4 | 734 | 54,6 |
| 594 | 0,0 | 641 | 41,9 | 688 | 63,4 | 735 | 54,5 |
| 595 | 0,0 | 642 | 42,8 | 689 | 64,4 | 736 | 54,3 |
| 596 | 0,0 | 643 | 44,3 | 690 | 65,4 | 737 | 53,9 |
| 597 | 0,0 | 644 | 45,7 | 691 | 66,3 | 738 | 53,4 |
| 598 | 0,0 | 645 | 47,4 | 692 | 67,2 | 739 | 52,6 |
| 599 | 0,0 | 646 | 48,9 | 693 | 68,0 | 740 | 51,5 |
| 600 | 0,0 | 647 | 50,6 | 694 | 68,8 | 741 | 50,2 |
| 601 | 1,6 | 648 | 52,0 | 695 | 69,5 | 742 | 48,7 |
| 602 | 3,6 | 649 | 53,7 | 696 | 70,1 | 743 | 47,0 |
| 603 | 6,3 | 650 | 55,0 | 697 | 70,6 | 744 | 45,1 |
| 604 | 9,0 | 651 | 56,8 | 698 | 71,0 | 745 | 43,0 |
| 605 | 11,8 | 652 | 58,0 | 699 | 71,6 | 746 | 40,6 |
| 606 | 14,2 | 653 | 59,8 | 700 | 72,2 | 747 | 38,1 |
| 607 | 16,6 | 654 | 61,1 | 701 | 72,8 | 748 | 35,4 |
| 608 | 18,5 | 655 | 62,4 | 702 | 73,5 | 749 | 32,7 |
| 609 | 20,8 | 656 | 63,0 | 703 | 74,1 | 750 | 30,0 |
| 610 | 23,4 | 657 | 63,5 | 704 | 74,3 | 751 | 27,5 |
| 611 | 26,9 | 658 | 63,0 | 705 | 74,3 | 752 | 25,3 |
| 612 | 30,3 | 659 | 62,0 | 706 | 73,7 | 753 | 23,4 |
| 613 | 32,8 | 660 | 60,4 | 707 | 71,9 | 754 | 22,0 |
| 614 | 34,1 | 661 | 58,6 | 708 | 70,5 | 755 | 20,8 |
| 615 | 34,2 | 662 | 56,7 | 709 | 68,9 | 756 | 19,8 |
| 616 | 33,6 | 663 | 55,0 | 710 | 67,4 | 757 | 18,9 |
| 617 | 32,1 | 664 | 53,7 | 711 | 66,0 | 758 | 18,0 |
| 618 | 30,0 | 665 | 52,7 | 712 | 64,7 | 759 | 17,0 |
| 619 | 27,5 | 666 | 51,9 | 713 | 63,7 | 760 | 16,1 |
| 620 | 25,1 | 667 | 51,4 | 714 | 62,9 | 761 | 15,5 |
| 621 | 22,8 | 668 | 51,0 | 715 | 62,2 | 762 | 14,4 |
| 622 | 20,5 | 669 | 50,7 | 716 | 61,7 | 763 | 14,9 |
| 623 | 17,9 | 670 | 50,6 | 717 | 61,2 | 764 | 15,9 |
| 624 | 15,1 | 671 | 50,8 | 718 | 60,7 | 765 | 17,1 |
| 625 | 13,4 | 672 | 51,2 | 719 | 60,3 | 766 | 18,3 |
| 626 | 12,8 | 673 | 51,7 | 720 | 59,9 | 767 | 19,4 |
| 627 | 13,7 | 674 | 52,3 | 721 | 59,6 | 768 | 20,4 |
| 628 | 16,0 | 675 | 53,1 | 722 | 59,3 | 769 | 21,2 |
| 629 | 18,1 | 676 | 53,8 | 723 | 59,0 | 770 | 21,9 |
| 630 | 20,8 | 677 | 54,5 | 724 | 58,6 | 771 | 22,7 |
| 631 | 23,7 | 678 | 55,1 | 725 | 58,0 | 772 | 23,4 |
| 632 | 26,5 | 679 | 55,9 | 726 | 57,5 | 773 | 24,2 |
| 633 | 29,3 | 680 | 56,5 | 727 | 56,9 | 774 | 24,3 |
| 634 | 32,0 | 681 | 57,1 | 728 | 56,3 | 775 | 24,2 |
| 635 | 34,5 | 682 | 57,8 | 729 | 55,9 | 776 | 24,1 |
| 636 | 36,8 | 683 | 58,5 | 730 | 55,6 | 777 | 23,8 |
| 778 | 23,0 | 827 | 59,9 | 876 | 46,9 | 925 | 49,0 |
| 779 | 22,6 | 828 | 60,7 | 877 | 47,1 | 926 | 48,5 |
| 780 | 21,7 | 829 | 61,4 | 878 | 47,5 | 927 | 48,0 |
| 781 | 21,3 | 830 | 62,0 | 879 | 47,8 | 928 | 47,5 |
| 782 | 20,3 | 831 | 62,5 | 880 | 48,3 | 929 | 47,0 |
| 783 | 19,1 | 832 | 62,9 | 881 | 48,8 | 930 | 46,9 |
| 784 | 18,1 | 833 | 63,2 | 882 | 49,5 | 931 | 46,8 |
| 785 | 16,9 | 834 | 63,4 | 883 | 50,2 | 932 | 46,8 |
| 786 | 16,0 | 835 | 63,7 | 884 | 50,8 | 933 | 46,8 |
| 787 | 14,8 | 836 | 64,0 | 885 | 51,4 | 934 | 46,9 |
| 788 | 14,5 | 837 | 64,4 | 886 | 51,8 | 935 | 46,9 |
| 789 | 13,7 | 838 | 64,9 | 887 | 51,9 | 936 | 46,9 |
| 790 | 13,5 | 839 | 65,5 | 888 | 51,7 | 937 | 46,9 |
| 791 | 12,9 | 840 | 66,2 | 889 | 51,2 | 938 | 46,9 |
| 792 | 12,7 | 841 | 67,0 | 890 | 50,4 | 939 | 46,8 |
| 793 | 12,5 | 842 | 67,8 | 891 | 49,2 | 940 | 46,6 |
| 794 | 12,5 | 843 | 68,6 | 892 | 47,7 | 941 | 46,4 |
| 795 | 12,6 | 844 | 69,4 | 893 | 46,3 | 942 | 46,0 |
| 796 | 13,0 | 845 | 70,1 | 894 | 45,1 | 943 | 45,5 |
| 797 | 13,6 | 846 | 70,9 | 895 | 44,2 | 944 | 45,0 |
| 798 | 14,6 | 847 | 71,7 | 896 | 43,7 | 945 | 44,5 |
| 799 | 15,7 | 848 | 72,5 | 897 | 43,4 | 946 | 44,2 |
| 800 | 17,1 | 849 | 73,2 | 898 | 43,1 | 947 | 43,9 |
| 801 | 18,7 | 850 | 73,8 | 899 | 42,5 | 948 | 43,7 |
| 802 | 20,2 | 851 | 74,4 | 900 | 41,8 | 949 | 43,6 |
| 803 | 21,9 | 852 | 74,7 | 901 | 41,1 | 950 | 43,6 |
| 804 | 23,6 | 853 | 74,7 | 902 | 40,3 | 951 | 43,5 |
| 805 | 25,4 | 854 | 74,6 | 903 | 39,7 | 952 | 43,5 |
| 806 | 27,1 | 855 | 74,2 | 904 | 39,3 | 953 | 43,4 |
| 807 | 28,9 | 856 | 73,5 | 905 | 39,2 | 954 | 43,3 |
| 808 | 30,4 | 857 | 72,6 | 906 | 39,3 | 955 | 43,1 |
| 809 | 32,0 | 858 | 71,8 | 907 | 39,6 | 956 | 42,9 |
| 810 | 33,4 | 859 | 71,0 | 908 | 40,0 | 957 | 42,7 |
| 811 | 35,0 | 860 | 70,1 | 909 | 40,7 | 958 | 42,5 |
| 812 | 36,4 | 861 | 69,4 | 910 | 41,4 | 959 | 42,4 |
| 813 | 38,1 | 862 | 68,9 | 911 | 42,2 | 960 | 42,2 |
| 814 | 39,7 | 863 | 68,4 | 912 | 43,1 | 961 | 42,1 |
| 815 | 41,6 | 864 | 67,9 | 913 | 44,1 | 962 | 42,0 |
| 816 | 43,3 | 865 | 67,1 | 914 | 44,9 | 963 | 41,8 |
| 817 | 45,1 | 866 | 65,8 | 915 | 45,6 | 964 | 41,7 |
| 818 | 46,9 | 867 | 63,9 | 916 | 46,4 | 965 | 41,5 |
| 819 | 48,7 | 868 | 61,4 | 917 | 47,0 | 966 | 41,3 |
| 820 | 50,5 | 869 | 58,4 | 918 | 47,8 | 967 | 41,1 |
| 821 | 52,4 | 870 | 55,4 | 919 | 48,3 | 968 | 40,8 |
| 822 | 54,1 | 871 | 52,4 | 920 | 48,9 | 969 | 40,3 |
| 823 | 55,7 | 872 | 50,0 | 921 | 49,4 | 970 | 39,6 |
| 824 | 56,8 | 873 | 48,3 | 922 | 49,8 | 971 | 38,5 |
| 825 | 57,9 | 874 | 47,3 | 923 | 49,6 | 972 | 37,0 |
| 826 | 59,0 | 875 | 46,8 | 924 | 49,3 | 973 | 35,1 |
| 974 | 33,0 |
|
|
|
|
|
|
| 975 | 30,6 |
|
|
|
|
|
|
| 976 | 27,9 |
|
|
|
|
|
|
| 977 | 25.1 |
|
|
|
|
|
|
| 978 | 22,0 |
|
|
|
|
|
|
| 979 | 18,8 |
|
|
|
|
|
|
| 980 | 15,5 |
|
|
|
|
|
|
| 981 | 12,3 |
|
|
|
|
|
|
| 982 | 8,8 |
|
|
|
|
|
|
| 983 | 6,0 |
|
|
|
|
|
|
| 984 | 3,6 |
|
|
|
|
|
|
| 985 | 1,6 |
|
|
|
|
|
|
| 986 | 0,0 |
|
|
|
|
|
|
| 987 | 0,0 |
|
|
|
|
|
|
| 988 | 0,0 |
|
|
|
|
|
|
| 989 | 0,0 |
|
|
|
|
|
|
| 990 | 0,0 |
|
|
|
|
|
|
| 991 | 0,0 |
|
|
|
|
|
|
| 992 | 0,0 |
|
|
|
|
|
|
| 993 | 0,0 |
|
|
|
|
|
|
| 994 | 0,0 |
|
|
|
|
|
|
| 995 | 0,0 |
|
|
|
|
|
|
| 996 | 0,0 |
|
|
|
|
|
|
| 997 | 0,0 |
|
|
|
|
|
|
| 998 | 0,0 |
|
|
|
|
|
|
| 999 | 0,0 |
|
|
|
|
|
|
| 1 000 | 0,0 |
|
|
|
|
|
|
| 1 001 | 0,0 |
|
|
|
|
|
|
| 1 002 | 0,0 |
|
|
|
|
|
|
| 1 003 | 0,0 |
|
|
|
|
|
|
| 1 004 | 0,0 |
|
|
|
|
|
|
| 1 005 | 0,0 |
|
|
|
|
|
|
| 1 006 | 0,0 |
|
|
|
|
|
|
| 1 007 | 0,0 |
|
|
|
|
|
|
| 1 008 | 0,0 |
|
|
|
|
|
|
| 1 009 | 0,0 |
|
|
|
|
|
|
| 1 010 | 0,0 |
|
|
|
|
|
|
| 1 011 | 0,0 |
|
|
|
|
|
|
| 1 012 | 0,0 |
|
|
|
|
|
|
| 1 013 | 0,0 |
|
|
|
|
|
|
| 1 014 | 0,0 |
|
|
|
|
|
|
| 1 015 | 0,0 |
|
|
|
|
|
|
| 1 016 | 0,0 |
|
|
|
|
|
|
| 1 017 | 0,0 |
|
|
|
|
|
|
| 1 018 | 0,0 |
|
|
|
|
|
|
| 1 019 | 0,0 |
|
|
|
|
|
|
| 1 020 | 0,0 |
|
|
|
|
|
|
| 1 021 | 0,0 |
|
|
|
|
|
|
| 1 022 | 0,0 |
|
|
|
|
|
|
Bảng B1/5 - WLTC, Chu trình thử kiểu II, pha High2 (giây 1022 là điểm cuối của pha Medium2 và bắt đầu của pha High2)
| Thời gian (s) | Vận tốc (km/h) | Thời gian (s) | Vận tốc (km/h) | Thời gian (s) | Vận tốc (km/h) | Thời gian (s) | Vận tốc (km/h) |
| 1 023 | 0,0 | 1 070 | 46,0 | 1 117 | 73,9 | 1 164 | 71,7 |
| 1 024 | 0,0 | 1 071 | 46,4 | 1 118 | 74,9 | 1 165 | 69,9 |
| 1 025 | 0,0 | 1 072 | 47,0 | 1 119 | 75,7 | 1 166 | 67,9 |
| 1 026 | 0,0 | 1 073 | 47,4 | 1 120 | 76,4 | 1 167 | 65,7 |
| 1 027 | 1,1 | 1 074 | 48,0 | 1 121 | 77,1 | 1 168 | 63,5 |
| 1 028 | 3,0 | 1 075 | 48,4 | 1 122 | 77,6 | 1 169 | 61,2 |
| 1 029 | 5,7 | 1 076 | 49,0 | 1 123 | 78,0 | 1 170 | 59,0 |
| 1 030 | 8,4 | 1 077 | 49,4 | 1 124 | 78,2 | 1 171 | 56,8 |
| 1 031 | 11,1 | 1 078 | 50,0 | 1 125 | 78,4 | 1 172 | 54,7 |
| 1 032 | 14,0 | 1 079 | 50,4 | 1 126 | 78,5 | 1 173 | 52,7 |
| 1 033 | 17,0 | 1 080 | 50,8 | 1 127 | 78,5 | 1 174 | 50,9 |
| 1 034 | 20,1 | 1 081 | 51,1 | 1 128 | 78,6 | 1 175 | 49,4 |
| 1 035 | 22,7 | 1 082 | 51,3 | 1 129 | 78,7 | 1 176 | 48,1 |
| 1 036 | 23,6 | 1 083 | 51,3 | 1 130 | 78,9 | 1 177 | 47,1 |
| 1 037 | 24,5 | 1 084 | 51,3 | 1 131 | 79,1 | 1 178 | 46,5 |
| 1 038 | 24,8 | 1 085 | 51,3 | 1 132 | 79,4 | 1 179 | 46,3 |
| 1 039 | 25,1 | 1 086 | 51,3 | 1 133 | 79,8 | 1 180 | 46,5 |
| 1 040 | 25,3 | 1 087 | 51,3 | 1 134 | 80,1 | 1 181 | 47,2 |
| 1 041 | 25,5 | 1 088 | 51,3 | 1 135 | 80,5 | 1 182 | 48,3 |
| 1 042 | 25,7 | 1 089 | 51,4 | 1 136 | 80,8 | 1 183 | 49,7 |
| 1 043 | 25,8 | 1 090 | 51,6 | 1 137 | 81,0 | 1 184 | 51,3 |
| 1 044 | 25,9 | 1 091 | 51,8 | 1 138 | 81,2 | 1 185 | 53,0 |
| 1 045 | 26,0 | 1 092 | 52,1 | 1 139 | 81,3 | 1 186 | 54,9 |
| 1 046 | 26,1 | 1 093 | 52,3 | 1 140 | 81,2 | 1 187 | 56,7 |
| 1 047 | 26,3 | 1 094 | 52,6 | 1 141 | 81,0 | 1 188 | 58,6 |
| 1 048 | 26,5 | 1 095 | 52,8 | 1 142 | 80,6 | 1 189 | 60,2 |
| 1 049 | 26,8 | 1 096 | 52,9 | 1 143 | 80,0 | 1 190 | 61,6 |
| 1 050 | 27,1 | 1 097 | 53,0 | 1 144 | 79,1 | 1 191 | 62,2 |
| 1 051 | 27,5 | 1 098 | 53,0 | 1 145 | 78,0 | 1 192 | 62,5 |
| 1 052 | 28,0 | 1 099 | 53,0 | 1 146 | 76,8 | 1 193 | 62,8 |
| 1 053 | 28,6 | 1 100 | 53,1 | 1 147 | 75,5 | 1 194 | 62,9 |
| 1 054 | 29,3 | 1 101 | 53,2 | 1 148 | 74,1 | 1 195 | 63,0 |
| 1 055 | 30,4 | 1 102 | 53,3 | 1 149 | 72,9 | 1 196 | 63,0 |
| 1 056 | 31,8 | 1 103 | 53,4 | 1 150 | 71,9 | 1 197 | 63,1 |
| 1 057 | 33,7 | 1 104 | 53,5 | 1 151 | 71,2 | 1 198 | 63,2 |
| 1 058 | 35,8 | 1 105 | 53,7 | 1 152 | 70,9 | 1 199 | 63,3 |
| 1 059 | 37,8 | 1 106 | 55,0 | 1 153 | 71,0 | 1 200 | 63,5 |
| 1 060 | 39,5 | 1 107 | 56,8 | 1 154 | 71,5 | 1 201 | 63,7 |
| 1 061 | 40,8 | 1 108 | 58,8 | 1 155 | 72,3 | 1 202 | 63,9 |
| 1 062 | 41,8 | 1 109 | 60,9 | 1 156 | 73,2 | 1 203 | 64,1 |
| 1 063 | 42,4 | 1 110 | 63,0 | 1 157 | 74,1 | 1 204 | 64,3 |
| 1 064 | 43,0 | 1 111 | 65,0 | 1 158 | 74,9 | 1 205 | 66,1 |
| 1 065 | 43,4 | 1 112 | 66,9 | 1 159 | 75,4 | 1 206 | 67,9 |
| 1 066 | 44,0 | 1 113 | 68,6 | 1 160 | 75,5 | 1 207 | 69,7 |
| 1 067 | 44,4 | 1 114 | 70,1 | 1 161 | 75,2 | 1 208 | 71,4 |
| 1 068 | 45,0 | 1 115 | 71,5 | 1 162 | 74,5 | 1 209 | 73,1 |
| 1 069 | 45,4 | 1 116 | 72,8 | 1 163 | 73,3 | 1 210 | 74,7 |
| 1 211 | 76,2 | 1 260 | 35,4 | 1 309 | 72,3 | 1 358 | 70,8 |
| 1 212 | 77,5 | 1 261 | 32,7 | 1 310 | 71,9 | 1 359 | 70,8 |
| 1 213 | 78,6 | 1 262 | 30,0 | 1 311 | 71,3 | 1 360 | 70,9 |
| 1 214 | 79,7 | 1 263 | 29,9 | 1 312 | 70,9 | 1 361 | 70,9 |
| 1 215 | 80,6 | 1 264 | 30,0 | 1 313 | 70,5 | 1 362 | 70,9 |
| 1 216 | 81,5 | 1 265 | 30,2 | 1 314 | 70,0 | 1 363 | 70,9 |
| 1 217 | 82,2 | 1 266 | 30,4 | 1 315 | 69,6 | 1 364 | 71,0 |
| 1 218 | 83,0 | 1 267 | 30,6 | 1 316 | 69,2 | 1 365 | 71,0 |
| 1 219 | 83,7 | 1 268 | 31,6 | 1 317 | 68,8 | 1 366 | 71,1 |
| 1 220 | 84,4 | 1 269 | 33,0 | 1 318 | 68,4 | 1 367 | 71,2 |
| 1 221 | 84,9 | 1 270 | 33,9 | 1 319 | 67,9 | 1 368 | 71,3 |
| 1 222 | 85,1 | 1 271 | 34,8 | 1 320 | 67,5 | 1 369 | 71,4 |
| 1 223 | 85,2 | 1 272 | 35,7 | 1 321 | 67,2 | 1 370 | 71,5 |
| 1 224 | 84,9 | 1 273 | 36,6 | 1 322 | 66,8 | 1 371 | 71,7 |
| 1 225 | 84,4 | 1 274 | 37,5 | 1 323 | 65,6 | 1 372 | 71,8 |
| 1 226 | 83,6 | 1 275 | 38,4 | 1 324 | 63,3 | 1 373 | 71,9 |
| 1 227 | 82,7 | 1 276 | 39,3 | 1 325 | 60,2 | 1 374 | 71,9 |
| 1 228 | 81,5 | 1 277 | 40,2 | 1 326 | 56,2 | 1 375 | 71,9 |
| 1 229 | 80,1 | 1 278 | 40,8 | 1 327 | 52,2 | 1 376 | 71,9 |
| 1 230 | 78,7 | 1 279 | 41,7 | 1 328 | 48,4 | 1 377 | 71,9 |
| 1 231 | 77,4 | 1 280 | 42,4 | 1 329 | 45,0 | 1 378 | 71,9 |
| 1 232 | 76,2 | 1 281 | 43,1 | 1 330 | 41,6 | 1 379 | 71,9 |
| 1 233 | 75,4 | 1 282 | 43,6 | 1 331 | 38,6 | 1 380 | 72,0 |
| 1 234 | 74,8 | 1 283 | 44,2 | 1 332 | 36,4 | 1 381 | 72,1 |
| 1 235 | 74,3 | 1 284 | 44,8 | 1 333 | 34,8 | 1 382 | 72,4 |
| 1 236 | 73,8 | 1 285 | 45,5 | 1 334 | 34,2 | 1 383 | 72,7 |
| 1 237 | 73,2 | 1 286 | 46,3 | 1 335 | 34,7 | 1 384 | 73,1 |
| 1 238 | 72,4 | 1 287 | 47,2 | 1 336 | 36,3 | 1 385 | 73,4 |
| 1 239 | 71,6 | 1 288 | 48,1 | 1 337 | 38 5 | 1 386 | 73,8 |
| 1 240 | 70,8 | 1 289 | 49,1 | 1 338 | 41,0 | 1 387 | 74,0 |
| 1 241 | 69,9 | 1 290 | 50,0 | 1 339 | 43,7 | 1 388 | 74,1 |
| 1 242 | 67,9 | 1 291 | 51,0 | 1 340 | 46,5 | 1 389 | 74,0 |
| 1 243 | 65,7 | 1 292 | 51,9 | 1 341 | 49,1 | 1 390 | 73,0 |
| 1 244 | 63,5 | 1 293 | 52,7 | 1 342 | 51,6 | 1 391 | 72,0 |
| 1 245 | 61,2 | 1 294 | 53,7 | 1 343 | 53,9 | 1 392 | 71,0 |
| 1 246 | 59,0 | 1 295 | 55,0 | 1 344 | 56,0 | 1 393 | 70,0 |
| 1 247 | 56,8 | 1 296 | 56,8 | 1 345 | 57,9 | 1 394 | 69,0 |
| 1 248 | 54,7 | 1 297 | 58,8 | 1 346 | 59,7 | 1 395 | 68,0 |
| 1 249 | 52,7 | 1 298 | 60,9 | 1 347 | 61,2 | 1 396 | 67,7 |
| 1 250 | 50,9 | 1 299 | 63,0 | 1 348 | 62,5 | 1 397 | 66,7 |
| 1 251 | 49,4 | 1 300 | 65,0 | 1 349 | 63,5 | 1 398 | 66,6 |
| 1 252 | 48,1 | 1 301 | 66,9 | 1 350 | 64,3 | 1 399 | 66,7 |
| 1 253 | 47,1 | 1 302 | 68,6 | 1 351 | 65,3 | 1 400 | 66,8 |
| 1 254 | 46,5 | 1 303 | 70,1 | 1 352 | 66,3 | 1 401 | 66,9 |
| 1 255 | 46,3 | 1 304 | 71,0 | 1 353 | 67,3 | 1 402 | 66,9 |
| 1 256 | 45,1 | 1 305 | 71,8 | 1 354 | 68,3 | 1 403 | 66,9 |
| 1 257 | 43,0 | 1 306 | 72,8 | 1 355 | 69,3 | 1 404 | 66,9 |
| 1 258 | 40,6 | 1 307 | 72,9 | 1 356 | 70,3 | 1 405 | 66,9 |
| 1 259 | 38,1 | 1 308 | 73,0 | 1 357 | 70,8 | 1 406 | 66,9 |
| 1 407 | 66,9 | 1 456 | 0,0 |
|
|
|
|
| 1 408 | 67,0 | 1 457 | 0,0 |
|
|
|
|
| 1 409 | 67,1 | 1 458 | 0,0 |
|
|
|
|
| 1 410 | 67,3 | 1 459 | 0,0 |
|
|
|
|
| 1 411 | 67,5 | 1 460 | 0,0 |
|
|
|
|
| 1 412 | 67,8 | 1 461 | 0,0 |
|
|
|
|
| 1 413 | 68,2 | 1 462 | 0,0 |
|
|
|
|
| 1 414 | 68,6 | 1 463 | 0,0 |
|
|
|
|
| 1 415 | 69,0 | 1 464 | 0,0 |
|
|
|
|
| 1 416 | 69,3 | 1 465 | 0,0 |
|
|
|
|
| 1 417 | 69,3 | 1 466 | 0,0 |
|
|
|
|
| 1 418 | 69,2 | 1 467 | 0,0 |
|
|
|
|
| 1 419 | 68,8 | 1 468 | 0,0 |
|
|
|
|
| 1 420 | 68,2 | 1 469 | 0,0 |
|
|
|
|
| 1 421 | 67,6 | 1 470 | 0,0 |
|
|
|
|
| 1 422 | 67,4 | 1 471 | 0,0 |
|
|
|
|
| 1 423 | 67,2 | 1 472 | 0,0 |
|
|
|
|
| 1 424 | 66,9 | 1 473 | 0,0 |
|
|
|
|
| 1 425 | 66,3 | 1 474 | 0,0 |
|
|
|
|
| 1 426 | 65,4 | 1 475 | 0,0 |
|
|
|
|
| 1 427 | 64,0 | 1 476 | 0,0 |
|
|
|
|
| 1 428 | 62,4 | 1 477 | 0,0 |
|
|
|
|
| 1 429 | 60,6 |
|
|
|
|
|
|
| 1 430 | 58,6 |
|
|
|
|
|
|
| 1 431 | 56,7 |
|
|
|
|
|
|
| 1 432 | 54,8 |
|
|
|
|
|
|
| 1 433 | 53,0 |
|
|
|
|
|
|
| 1 434 | 51,3 |
|
|
|
|
|
|
| 1 435 | 49,6 |
|
|
|
|
|
|
| 1 436 | 47,8 |
|
|
|
|
|
|
| 1 437 | 45,5 |
|
|
|
|
|
|
| 1 438 | 42,8 |
|
|
|
|
|
|
| 1 439 | 39,8 |
|
|
|
|
|
|
| 1 440 | 36,5 |
|
|
|
|
|
|
| 1 441 | 33,0 |
|
|
|
|
|
|
| 1 442 | 29,5 |
|
|
|
|
|
|
| 1 443 | 25,8 |
|
|
|
|
|
|
| 1 444 | 22,1 |
|
|
|
|
|
|
| 1 445 | 18,6 |
|
|
|
|
|
|
| 1 446 | 15,3 |
|
|
|
|
|
|
| 1 447 | 12,4 |
|
|
|
|
|
|
| 1 448 | 9,6 |
|
|
|
|
|
|
| 1 449 | 6,6 |
|
|
|
|
|
|
| 1 450 | 3,8 |
|
|
|
|
|
|
| 1 451 | 1,6 |
|
|
|
|
|
|
| 1 452 | 0,0 |
|
|
|
|
|
|
| 1 453 | 0,0 |
|
|
|
|
|
|
| 1 454 | 0,0 |
|
|
|
|
|
|
| 1 455 | 0,0 |
|
|
|
|
|
|
Bảng B1/6 - WLTC, Chu trình thử kiểu II, pha ExtraHigh2 (Giây 1477 là điểm cuối của pha High2 và bắt đầu của Pha ExtraHigh2)
| Thời gian (s) | Vận tốc (km/h) | Thời gian (s) | Vận tốc (km/h) | Thời gian (s) | Vận tốc (km/h) | Thời gian (s) | Vận tốc (km/h) |
| 1 478 | 0,0 | 1 525 | 63,4 | 1 572 | 107,4 | 1 619 | 113,7 |
| 1 479 | 1,1 | 1 526 | 64,5 | 1 573 | 108,7 | 1 620 | 114,1 |
| 1 480 | 2,3 | 1 527 | 65,7 | 1 574 | 109,9 | 1 621 | 114,4 |
| 1 481 | 4,6 | 1 528 | 66,9 | 1 575 | 111,2 | 1 622 | 114,6 |
| 1 482 | 6,5 | 1 529 | 68,1 | 1 576 | 112,3 | 1 623 | 114,7 |
| 1 483 | 8,9 | 1 530 | 69,1 | 1 577 | 113,4 | 1 624 | 114,7 |
| 1 484 | 10,9 | 1 531 | 70,0 | 1 578 | 114,4 | 1 625 | 114,7 |
| 1 485 | 13,5 | 1 532 | 70,9 | 1 579 | 115,3 | 1 626 | 114,6 |
| 1 486 | 15,2 | 1 533 | 71,8 | 1 580 | 116,1 | 1 627 | 114,5 |
| 1 487 | 17,6 | 1 534 | 72,6 | 1 581 | 116,8 | 1 628 | 114,5 |
| 1 488 | 19,3 | 1 535 | 73,4 | 1 582 | 117,4 | 1 629 | 114,5 |
| 1 489 | 21,4 | 1 536 | 74,0 | 1 583 | 117,7 | 1 630 | 114,7 |
| 1 490 | 23,0 | 1 537 | 74,7 | 1 584 | 118,2 | 1 631 | 115,0 |
| 1 491 | 25,0 | 1 538 | 75,2 | 1 585 | 118,1 | 1 632 | 115,6 |
| 1 492 | 26,5 | 1 539 | 75,7 | 1 586 | 117,7 | 1 633 | 116,4 |
| 1 493 | 28,4 | 1 540 | 76,4 | 1 587 | 117,0 | 1 634 | 117,3 |
| 1 494 | 29,8 | 1 541 | 77,2 | 1 588 | 116,1 | 1 635 | 118,2 |
| 1 495 | 31,7 | 1 542 | 78,2 | 1 589 | 115,2 | 1 636 | 118,8 |
| 1 496 | 33,7 | 1 543 | 78,9 | 1 590 | 114,4 | 1 637 | 119,3 |
| 1 497 | 35,8 | 1 544 | 79,9 | 1 591 | 113,6 | 1 638 | 119,6 |
| 1 498 | 38,1 | 1 545 | 81,1 | 1 592 | 113,0 | 1 639 | 119,7 |
| 1 499 | 40,5 | 1 546 | 82,4 | 1 593 | 112,6 | 1 640 | 119,5 |
| 1 500 | 42,2 | 1 547 | 83,7 | 1 594 | 112,2 | 1 641 | 119,3 |
| 1 501 | 43,5 | 1 548 | 85,4 | 1 595 | 111,9 | 1 642 | 119,2 |
| 1 502 | 44,5 | 1 549 | 87,0 | 1 596 | 111,6 | 1 643 | 119,0 |
| 1 503 | 45,2 | 1 550 | 88,3 | 1 597 | 111,2 | 1 644 | 118,8 |
| 1 504 | 45,8 | 1 551 | 89,5 | 1 598 | 110,7 | 1 645 | 118,8 |
| 1 505 | 46,6 | 1 552 | 90,5 | 1 599 | 110,1 | 1 646 | 118,8 |
| 1 506 | 47,4 | 1 553 | 91,3 | 1 600 | 109,3 | 1 647 | 118,8 |
| 1 507 | 48,5 | 1 554 | 92,2 | 1 601 | 108,4 | 1 648 | 118,8 |
| 1 508 | 49,7 | 1 555 | 93,0 | 1 602 | 107,4 | 1 649 | 118,9 |
| 1 509 | 51,3 | 1 556 | 93,8 | 1 603 | 106,7 | 1 650 | 119,0 |
| 1 510 | 52,9 | 1 557 | 94,6 | 1 604 | 106,3 | 1 651 | 119,0 |
| 1 511 | 54,3 | 1 558 | 95,3 | 1 605 | 106,2 | 1 652 | 119,1 |
| 1 512 | 55,6 | 1 559 | 95,9 | 1 606 | 106,4 | 1 653 | 119,2 |
| 1 513 | 56,8 | 1 560 | 96,6 | 1 607 | 107,0 | 1 654 | 119,4 |
| 1 514 | 57,9 | 1 561 | 97,4 | 1 608 | 107,5 | 1 655 | 119,6 |
| 1 515 | 58,9 | 1 562 | 98,1 | 1 609 | 107,9 | 1 656 | 119,9 |
| 1 516 | 59,7 | 1 563 | 98,7 | 1 610 | 108,4 | 1 657 | 120,1 |
| 1 517 | 60,3 | 1 564 | 99,5 | 1 611 | 108,9 | 1 658 | 120,3 |
| 1 518 | 60,7 | 1 565 | 100,3 | 1 612 | 109,5 | 1 659 | 120,4 |
| 1 519 | 60,9 | 1 566 | 101,1 | 1 613 | 110,2 | 1 660 | 120,5 |
| 1 520 | 61,0 | 1 567 | 101,9 | 1 614 | 110,9 | 1 661 | 120,5 |
| 1 521 | 61,1 | 1 568 | 102,8 | 1 615 | 111,6 | 1 662 | 120,5 |
| 1 522 | 61,4 | 1 569 | 103,8 | 1 616 | 112,2 | 1 663 | 120,5 |
| 1 523 | 61,8 | 1 570 | 105,0 | 1 617 | 112,8 | 1 664 | 120,4 |
| 1 524 | 62,5 | 1 571 | 106,1 | 1 618 | 113,3 | 1 665 | 120,3 |
| 1 666 | 120,1 | 1 715 | 120,4 | 1 764 | 82,6 |
|
|
| 1 667 | 119,9 | 1 716 | 120,8 | 1 765 | 81,9 |
|
|
| 1 668 | 119,6 | 1 717 | 121,1 | 1 766 | 81,1 |
|
|
| 1 669 | 119,5 | 1 718 | 121,6 | 1 767 | 80,0 |
|
|
| 1 670 | 119,4 | 1 719 | 121,8 | 1 768 | 78,7 |
|
|
| 1 671 | 119,3 | 1 720 | 122,1 | 1 769 | 76,9 |
|
|
| 1 672 | 119,3 | 1 721 | 122,4 | 1 770 | 74,6 |
|
|
| 1 673 | 119,4 | 1 722 | 122,7 | 1 771 | 72,0 |
|
|
| 1 674 | 119,5 | 1 723 | 122,8 | 1 772 | 69,0 |
|
|
| 1 675 | 119,5 | 1 724 | 123,1 | 1 773 | 65,6 |
|
|
| 1 676 | 119,6 | 1 725 | 123,1 | 1 774 | 62,1 |
|
|
| 1 677 | 119,6 | 1 726 | 122,8 | 1 775 | 58,5 |
|
|
| 1 678 | 119,6 | 1 727 | 122,3 | 1 776 | 54,7 |
|
|
| 1 679 | 119,4 | 1 728 | 121,3 | 1 777 | 50,9 |
|
|
| 1 680 | 119,3 | 1 729 | 119,9 | 1 778 | 47,3 |
|
|
| 1 681 | 119,0 | 1 730 | 118,1 | 1 779 | 43,8 |
|
|
| 1 682 | 118,8 | 1 731 | 115,9 | 1 780 | 40,4 |
|
|
| 1 683 | 118,7 | 1 732 | 113,5 | 1 781 | 37,4 |
|
|
| 1 684 | 118,8 | 1 733 | 111,1 | 1 782 | 34,3 |
|
|
| 1 685 | 119,0 | 1 734 | 108,6 | 1 783 | 31,3 |
|
|
| 1 686 | 119,2 | 1 735 | 106,2 | 1 784 | 28,3 |
|
|
| 1 687 | 119,6 | 1 736 | 104,0 | 1 785 | 25,2 |
|
|
| 1 688 | 120,0 | 1 737 | 101,1 | 1 786 | 22,0 |
|
|
| 1 689 | 120,3 | 1 738 | 98,3 | 1 787 | 18,9 |
|
|
| 1 690 | 120,5 | 1 739 | 95,7 | 1 788 | 16,1 |
|
|
| 1 691 | 120,7 | 1 740 | 93,5 | 1 789 | 13,4 |
|
|
| 1 692 | 120,9 | 1 741 | 91,5 | 1 790 | 11,1 |
|
|
| 1 693 | 121,0 | 1 742 | 90,7 | 1 791 | 8,9 |
|
|
| 1 694 | 121,1 | 1 743 | 90,4 | 1 792 | 6,9 |
|
|
| 1 695 | 121,2 | 1 744 | 90,2 | 1 793 | 4,9 |
|
|
| 1 696 | 121,3 | 1 745 | 90,2 | 1 794 | 2,8 |
|
|
| 1 697 | 121,4 | 1 746 | 90,1 | 1 795 | 0,0 |
|
|
| 1 698 | 121,5 | 1 747 | 90,0 | 1 796 | 0,0 |
|
|
| 1 699 | 121,5 | 1 748 | 89,8 | 1 797 | 0,0 |
|
|
| 1 700 | 121,5 | 1 749 | 89,6 | 1 798 | 0,0 |
|
|
| 1 701 | 121,4 | 1 750 | 89,4 | 1 799 | 0,0 |
|
|
| 1 702 | 121,3 | 1 751 | 89,2 | 1 800 | 0,0 |
|
|
| 1 703 | 121,1 | 1 752 | 88,9 |
|
|
|
|
| 1 704 | 120,9 | 1 753 | 88,5 |
|
|
|
|
| 1 705 | 120,6 | 1 754 | 88,1 |
|
|
|
|
| 1 706 | 120,4 | 1 755 | 87,6 |
|
|
|
|
| 1 707 | 120,2 | 1 756 | 87,1 |
|
|
|
|
| 1 708 | 120,1 | 1 757 | 86,6 |
|
|
|
|
| 1 709 | 119,9 | 1 758 | 86,1 |
|
|
|
|
| 1 710 | 119,8 | 1 759 | 85,5 |
|
|
|
|
| 1 711 | 119,8 | 1 760 | 85,0 |
|
|
|
|
| 1 712 | 119,9 | 1 761 | 84,4 |
|
|
|
|
| 1 713 | 120,0 | 1 762 | 83,8 |
|
|
|
|
| 1 714 | 120,2 | 1 763 | 83,2 |
|
|
|
|
6 Chu trình WLTC thử kiểu III

Hình B1/7 - WLTC, Chu trình thử kiểu III, pha Low3

Hình B1/8 - WLTC, chu trình thử kiểu llla, pha Medium3a

Hình B1/9 - WLTC, chu trình thử kiểu IIIb, pha Medium3b

Hình B1/10 - WLTC, Chu trình thử kiểu Illa, pha High3a

Hình B1A11 - WLTC, chu trình thử kiểu IIIb, pha High3b

Hình B1/12 - WLTC, Chu trình thử kiểu III, pha ExtraHigh3
Bảng B1/7 - WLTC, chu trình thử kiểu III, pha Low3 (giây 589 là điểm cuối của pha Low3 và bắt đầu của pha Medium3)
| Thời gian (s) | Vận tốc (km/h) | Thời gian (s) | Vận tốc (km/h) | Thời gian (s) | Vận tốc (km/h) | Thời gian (s) | Vận tốc (km/h) |
| 0 | 0,0 | 47 | 19,5 | 94 | 12,0 | 141 | 11,7 |
| 1 | 0,0 | 48 | 18,4 | 95 | 9,1 | 142 | 16,4 |
| 2 | 0,0 | 49 | 17,8 | 96 | 5,8 | 143 | 18,9 |
| 3 | 0,0 | 50 | 17,8 | 97 | 3,6 | 144 | 19,9 |
| 4 | 0,0 | 51 | 17,4 | 98 | 2,2 | 145 | 20,8 |
| 5 | 0,0 | 52 | 15,7 | 99 | 0,0 | 146 | 22,8 |
| 6 | 0,0 | 53 | 13,1 | 100 | 0,0 | 147 | 25,4 |
| 7 | 0,0 | 54 | 12,1 | 101 | 0,0 | 148 | 27,7 |
| 8 | 0,0 | 55 | 12,0 | 102 | 0,0 | 149 | 29,2 |
| 9 | 0,0 | 56 | 12,0 | 103 | 0,0 | 150 | 29,8 |
| 10 | 0,0 | 57 | 12,0 | 104 | 0,0 | 151 | 29,4 |
| 11 | 0,0 | 58 | 12,3 | 105 | 0,0 | 152 | 27,2 |
| 12 | 0,2 | 59 | 12,6 | 106 | 0,0 | 153 | 22,6 |
| 13 | 1,7 | 60 | 14,7 | 107 | 0,0 | 154 | 17,3 |
| 14 | 5,4 | 61 | 15,3 | 108 | 0,0 | 155 | 13,3 |
| 15 | 9,9 | 62 | 15,9 | 109 | 0,0 | 156 | 12,0 |
| 16 | 13,1 | 63 | 16,2 | 110 | 0,0 | 157 | 12,6 |
| 17 | 16,9 | 64 | 17,1 | 111 | 0,0 | 158 | 14,1 |
| 18 | 21,7 | 65 | 17,8 | 112 | 0,0 | 159 | 17,2 |
| 19 | 26,0 | 66 | 18,1 | 113 | 0,0 | 160 | 20,1 |
| 20 | 27,5 | 67 | 18,4 | 114 | 0,0 | 161 | 23,4 |
| 21 | 28,1 | 68 | 20,3 | 115 | 0,0 | 162 | 25,5 |
| 22 | 28,3 | 69 | 23,2 | 116 | 0,0 | 163 | 27,6 |
| 23 | 28,8 | 70 | 26,5 | 117 | 0,0 | 164 | 29,5 |
| 24 | 29,1 | 71 | 29,8 | 118 | 0,0 | 165 | 31,1 |
| 25 | 30,8 | 72 | 32,6 | 119 | 0,0 | 166 | 32,1 |
| 26 | 31,9 | 73 | 34,4 | 120 | 0,0 | 167 | 33,2 |
| 27 | 34,1 | 74 | 35,5 | 121 | 0,0 | 168 | 35,2 |
| 28 | 36,6 | 75 | 36,4 | 122 | 0,0 | 169 | 37,2 |
| 29 | 39,1 | 76 | 37,4 | 123 | 0,0 | 170 | 38,0 |
| 30 | 41,3 | 77 | 38,5 | 124 | 0,0 | 171 | 37,4 |
| 31 | 42,5 | 78 | 39,3 | 125 | 0,0 | 172 | 35,1 |
| 32 | 43,3 | 79 | 39,5 | 126 | 0,0 | 173 | 31,0 |
| 33 | 43,9 | 80 | 39,0 | 127 | 0,0 | 174 | 27,1 |
| 34 | 44,4 | 81 | 38,5 | 128 | 0,0 | 175 | 25,3 |
| 35 | 44,5 | 82 | 37,3 | 129 | 0,0 | 176 | 25,1 |
| 36 | 44,2 | 83 | 37,0 | 130 | 0,0 | 177 | 25,9 |
| 37 | 42,7 | 84 | 36,7 | 131 | 0,0 | 178 | 27,8 |
| 38 | 39,9 | 85 | 35,9 | 132 | 0,0 | 179 | 29,2 |
| 39 | 37,0 | 86 | 35,3 | 133 | 0,0 | 180 | 29,6 |
| 40 | 34,6 | 87 | 34,6 | 134 | 0,0 | 181 | 29,5 |
| 41 | 32,3 | 88 | 34,2 | 135 | 0,0 | 182 | 29,2 |
| 42 | 29,0 | 89 | 31,9 | 136 | 0,0 | 183 | 28,3 |
| 43 | 25,1 | 90 | 27,3 | 137 | 0,0 | 184 | 26,1 |
| 44 | 22,2 | 91 | 22,0 | 138 | 0,2 | 185 | 23,6 |
| 45 | 20,9 | 92 | 17,0 | 139 | 1,9 | 186 | 21,0 |
| 46 | 20,4 | 93 | 14,2 | 140 | 6,1 | 187 | 18,9 |
| 188 | 17,1 | 237 | 49,2 | 286 | 37,4 | 335 | 15,0 |
| 189 | 15,7 | 238 | 48,4 | 287 | 40,7 | 336 | 14,5 |
| 190 | 14,5 | 239 | 46,9 | 288 | 44,0 | 337 | 14,3 |
| 191 | 13,7 | 240 | 44,3 | 289 | 47,3 | 338 | 14,5 |
| 192 | 12,9 | 241 | 41,5 | 290 | 49,2 | 339 | 15,4 |
| 193 | 12,5 | 242 | 39,5 | 291 | 49,8 | 340 | 17,8 |
| 194 | 12,2 | 243 | 37,0 | 292 | 49,2 | 341 | 21,1 |
| 195 | 12,0 | 244 | 34,6 | 293 | 48,1 | 342 | 24,1 |
| 196 | 12,0 | 245 | 32,3 | 294 | 47,3 | 343 | 25,0 |
| 197 | 12,0 | 246 | 29,0 | 295 | 46,8 | 344 | 25,3 |
| 198 | 12,0 | 247 | 25,1 | 296 | 46,7 | 345 | 25,5 |
| 199 | 12,5 | 248 | 22,2 | 297 | 46,8 | 346 | 26,4 |
| 200 | 13,0 | 249 | 20,9 | 298 | 47,1 | 347 | 26,6 |
| 201 | 14,0 | 250 | 20,4 | 299 | 47,3 | 348 | 27,1 |
| 202 | 15,0 | 251 | 19,5 | 300 | 47,3 | 349 | 27,7 |
| 203 | 16,5 | 252 | 18,4 | 301 | 47,1 | 350 | 28,1 |
| 204 | 19,0 | 253 | 17,8 | 302 | 46,6 | 351 | 28,2 |
| 205 | 21,2 | 254 | 17,8 | 303 | 45,8 | 352 | 28,1 |
| 206 | 23,8 | 255 | 17,4 | 304 | 44,8 | 353 | 28,0 |
| 207 | 26,9 | 256 | 15,7 | 305 | 43,3 | 354 | 27,9 |
| 208 | 29,6 | 257 | 14,5 | 306 | 41,8 | 355 | 27,9 |
| 209 | 32,0 | 258 | 15,4 | 307 | 40,8 | 356 | 28,1 |
| 210 | 35,2 | 259 | 17,9 | 308 | 40,3 | 357 | 28,2 |
| 211 | 37,5 | 260 | 20,6 | 309 | 40,1 | 358 | 28,0 |
| 212 | 39,2 | 261 | 23,2 | 310 | 39,7 | 359 | 26,9 |
| 213 | 40,5 | 262 | 25,7 | 311 | 39,2 | 360 | 25,0 |
| 214 | 41,6 | 263 | 28,7 | 312 | 38,5 | 361 | 23,2 |
| 215 | 43,1 | 264 | 32,5 | 313 | 37,4 | 362 | 21,9 |
| 216 | 45,0 | 265 | 36,1 | 314 | 36,0 | 363 | 21,1 |
| 217 | 47,1 | 266 | 39,0 | 315 | 34,4 | 364 | 20,7 |
| 218 | 49,0 | 267 | 40,8 | 316 | 33,0 | 365 | 20,7 |
| 219 | 50,6 | 268 | 42,9 | 317 | 31,7 | 366 | 20,8 |
| 220 | 51,8 | 269 | 44,4 | 318 | 30,0 | 367 | 21,2 |
| 221 | 52,7 | 270 | 45,9 | 319 | 28,0 | 368 | 22,1 |
| 222 | 53,1 | 271 | 46,0 | 320 | 26,1 | 369 | 23,5 |
| 223 | 53,5 | 272 | 45,6 | 321 | 25,6 | 370 | 24,3 |
| 224 | 53,8 | 273 | 45,3 | 322 | 24,9 | 371 | 24,5 |
| 225 | 54,2 | 274 | 43,7 | 323 | 24,9 | 372 | 23,8 |
| 226 | 54,8 | 275 | 40,8 | 324 | 24,3 | 373 | 21,3 |
| 227 | 55,3 | 276 | 38,0 | 325 | 23,9 | 374 | 17,7 |
| 228 | 55,8 | 277 | 34,4 | 326 | 23,9 | 375 | 14,4 |
| 229 | 56,2 | 278 | 30,9 | 327 | 23,6 | 376 | 11,9 |
| 230 | 56,5 | 279 | 25,5 | 328 | 23,3 | 377 | 10,2 |
| 231 | 56,5 | 280 | 21,4 | 329 | 20,5 | 378 | 8,9 |
| 232 | 56,2 | 281 | 20,2 | 330 | 17,5 | 379 | 8,0 |
| 233 | 54,9 | 282 | 22,9 | 331 | 16,9 | 380 | 7,2 |
| 234 | 52,9 | 283 | 26,6 | 332 | 16,7 | 381 | 6,1 |
| 235 | 51,0 | 284 | 30,2 | 333 | 15,9 | 382 | 4,9 |
| 236 | 49,8 | 285 | 34,1 | 334 | 15,6 | 383 | 3,7 |
| 384 | 2,3 | 433 | 31,3 | 482 | 0,0 | 531 | 0,0 |
| 385 | 0,9 | 434 | 31,1 | 483 | 0,0 | 532 | 0,0 |
| 386 | 0,0 | 435 | 30,6 | 484 | 0,0 | 533 | 0,2 |
| 387 | 0,0 | 436 | 29,2 | 485 | 0,0 | 534 | 1,2 |
| 388 | 0,0 | 437 | 26,7 | 486 | 0,0 | 535 | 3,2 |
| 389 | 0,0 | 438 | 23,0 | 487 | 0,0 | 536 | 5,2 |
| 390 | 0,0 | 439 | 18,2 | 488 | 0,0 | 537 | 8,2 |
| 391 | 0,0 | 440 | 12,9 | 489 | 0,0 | 538 | 13 |
| 392 | 0,5 | 441 | 7,7 | 490 | 0,0 | 539 | 18,8 |
| 393 | 2,1 | 442 | 3,8 | 491 | 0,0 | 540 | 23,1 |
| 394 | 4,8 | 443 | 1,3 | 492 | 0,0 | 541 | 24,5 |
| 395 | 8,3 | 444 | 0,2 | 493 | 0,0 | 542 | 24,5 |
| 396 | 12,3 | 445 | 0,0 | 494 | 0,0 | 543 | 24,3 |
| 397 | 16,6 | 446 | 0,0 | 495 | 0,0 | 544 | 23,6 |
| 398 | 20,9 | 447 | 0,0 | 496 | 0,0 | 545 | 22,3 |
| 399 | 24,2 | 448 | 0,0 | 497 | 0,0 | 546 | 20,1 |
| 400 | 25,6 | 449 | 0,0 | 498 | 0,0 | 547 | 18,5 |
| 401 | 25,6 | 450 | 0,0 | 499 | 0,0 | 548 | 17,2 |
| 402 | 24,9 | 451 | 0,0 | 500 | 0,0 | 549 | 16,3 |
| 403 | 23,3 | 452 | 0,0 | 501 | 0,0 | 550 | 15,4 |
| 404 | 21,6 | 453 | 0,0 | 502 | 0,0 | 551 | 14,7 |
| 405 | 20,2 | 454 | 0,0 | 503 | 0,0 | 552 | 14,3 |
| 406 | 18,7 | 455 | 0,0 | 504 | 0,0 | 553 | 13,7 |
| 407 | 17,0 | 456 | 0,0 | 505 | 0,0 | 554 | 13,3 |
| 408 | 15,3 | 457 | 0,0 | 506 | 0,0 | 555 | 13,1 |
| 409 | 14,2 | 458 | 0,0 | 507 | 0,0 | 556 | 13,1 |
| 410 | 13,9 | 459 | 0,0 | 508 | 0,0 | 557 | 13,3 |
| 411 | 14,0 | 460 | 0,0 | 509 | 0,0 | 558 | 13,8 |
| 412 | 14,2 | 461 | 0,0 | 510 | 0,0 | 559 | 14,5 |
| 413 | 14,5 | 462 | 0,0 | 511 | 0,0 | 560 | 16,5 |
| 414 | 14,9 | 463 | 0,0 | 512 | 0,5 | 561 | 17,0 |
| 415 | 15,9 | 464 | 0,0 | 513 | 2,5 | 562 | 17,0 |
| 416 | 17,4 | 465 | 0,0 | 514 | 6,6 | 563 | 17,0 |
| 417 | 18,7 | 466 | 0,0 | 515 | 11,8 | 564 | 15,4 |
| 418 | 19,1 | 467 | 0,0 | 516 | 16,8 | 565 | 10,1 |
| 419 | 18,8 | 468 | 0,0 | 517 | 20,5 | 566 | 4,8 |
| 420 | 17,6 | 469 | 0,0 | 518 | 21,9 | 567 | 0,0 |
| 421 | 16,6 | 470 | 0,0 | 519 | 21,9 | 568 | 0,0 |
| 422 | 16,2 | 471 | 0,0 | 520 | 21,3 | 569 | 0,0 |
| 423 | 16,4 | 472 | 0,0 | 521 | 20,3 | 570 | 0,0 |
| 424 | 17,2 | 473 | 0,0 | 522 | 19,2 | 571 | 0,0 |
| 425 | 19,1 | 474 | 0,0 | 523 | 17,8 | 572 | 0,0 |
| 426 | 22,6 | 475 | 0,0 | 524 | 15,5 | 573 | 0,0 |
| 427 | 27,4 | 476 | 0,0 | 525 | 11,9 | 574 | 0,0 |
| 428 | 31,6 | 477 | 0,0 | 526 | 7,6 | 575 | 0,0 |
| 429 | 33,4 | 478 | 0,0 | 527 | 4,0 | 576 | 0,0 |
| 430 | 33,5 | 479 | 0,0 | 528 | 2,0 | 577 | 0,0 |
| 431 | 32,8 | 480 | 0,0 | 529 | 1,0 | 578 | 0,0 |
| 432 | 31,9 | 481 | 0,0 | 530 | 0,0 | 579 | 0,0 |
| 580 | 0,0 |
|
|
|
|
|
|
| 581 | 0,0 |
|
|
|
|
|
|
| 582 | 0,0 |
|
|
|
|
|
|
| 583 | 0,0 |
|
|
|
|
|
|
| 584 | 0,0 |
|
|
|
|
|
|
| 585 | 0,0 |
|
|
|
|
|
|
| 586 | 0,0 |
|
|
|
|
|
|
| 587 | 0,0 |
|
|
|
|
|
|
| 588 | 0,0 |
|
|
|
|
|
|
| 589 | 0,0 |
|
|
|
|
|
|
Bảng B1/8 - WLTC, chu trình thử kiểu llla, pha Medium3a (giây 589 là điểm cuối của pha Low3 và bắt đầu của pha Medium3a)
| Thời gian (s) | Vận tốc (km/h) | Thời gian (s) | Vận tốc (km/h) | Thời gian (s) | Vận tốc (km/h) | Thời gian (s) | Vận tốc (km/h) |
| 590 | 0,0 | 637 | 53,0 | 684 | 18,9 | 731 | 41,9 |
| 591 | 0,0 | 638 | 53,0 | 685 | 18,9 | 732 | 42,0 |
| 592 | 0,0 | 639 | 52,9 | 686 | 21,3 | 733 | 42,2 |
| 593 | 0,0 | 640 | 52,7 | 687 | 23,9 | 734 | 42,4 |
| 594 | 0,0 | 641 | 52,6 | 688 | 25,9 | 735 | 42,7 |
| 595 | 0,0 | 642 | 53,1 | 689 | 28,4 | 736 | 43,1 |
| 596 | 0,0 | 643 | 54,3 | 690 | 30,3 | 737 | 43,7 |
| 597 | 0,0 | 644 | 55,2 | 691 | 30,9 | 738 | 44,0 |
| 598 | 0,0 | 645 | 55,5 | 692 | 31,1 | 739 | 44,1 |
| 599 | 0,0 | 646 | 55,9 | 693 | 31,8 | 740 | 45,3 |
| 600 | 0,0 | 647 | 56,3 | 694 | 32,7 | 741 | 46,4 |
| 601 | 1,0 | 648 | 56,7 | 695 | 33,2 | 742 | 47,2 |
| 602 | 2,1 | 649 | 56,9 | 696 | 32,4 | 743 | 47,3 |
| 603 | 5,2 | 650 | 56,8 | 697 | 28,3 | 744 | 47,4 |
| 604 | 9,2 | 651 | 56,0 | 698 | 25,8 | 745 | 47,4 |
| 605 | 13,5 | 652 | 54,2 | 699 | 23,1 | 746 | 47,5 |
| 606 | 18,1 | 653 | 52,1 | 700 | 21,8 | 747 | 47,9 |
| 607 | 22,3 | 654 | 50,1 | 701 | 21,2 | 748 | 48,6 |
| 608 | 26,0 | 655 | 47,2 | 702 | 21,0 | 749 | 49,4 |
| 609 | 29,3 | 656 | 43,2 | 703 | 21,0 | 750 | 49,8 |
| 610 | 32,8 | 657 | 39,2 | 704 | 20,9 | 751 | 49,8 |
| 611 | 36,0 | 658 | 36,5 | 705 | 19,9 | 752 | 49,7 |
| 612 | 39,2 | 659 | 34,3 | 706 | 17,9 | 753 | 49,3 |
| 613 | 42,5 | 660 | 31,0 | 707 | 15,1 | 754 | 48,5 |
| 614 | 45,7 | 661 | 26,0 | 708 | 12,8 | 755 | 47,6 |
| 615 | 48,2 | 662 | 20,7 | 709 | 12,0 | 756 | 46,3 |
| 616 | 48,4 | 663 | 15,4 | 710 | 13,2 | 757 | 43,7 |
| 617 | 48,2 | 664 | 13,1 | 711 | 17,1 | 758 | 39,3 |
| 618 | 47,8 | 665 | 12,0 | 712 | 21,1 | 759 | 34,1 |
| 619 | 47,0 | 666 | 12,5 | 713 | 21,8 | 760 | 29,0 |
| 620 | 45,9 | 667 | 14,0 | 714 | 21,2 | 761 | 23,7 |
| 621 | 44,9 | 668 | 19,0 | 715 | 18,5 | 762 | 18,4 |
| 622 | 44,4 | 669 | 23,2 | 716 | 13,9 | 763 | 14,3 |
| 623 | 44,3 | 670 | 28,0 | 717 | 12,0 | 764 | 12,0 |
| 624 | 44,5 | 671 | 32,0 | 718 | 12,0 | 765 | 12,8 |
| 625 | 45,1 | 672 | 34,0 | 719 | 13,0 | 766 | 16,0 |
| 626 | 45,7 | 673 | 36,0 | 720 | 16,3 | 767 | 20,4 |
| 627 | 46,0 | 674 | 38,0 | 721 | 20,5 | 768 | 24,0 |
| 628 | 46,0 | 675 | 40,0 | 722 | 23,9 | 769 | 29,0 |
| 629 | 46,0 | 676 | 40,3 | 723 | 26,0 | 770 | 32,2 |
| 630 | 46,1 | 677 | 40,5 | 724 | 28,0 | 771 | 36,8 |
| 631 | 46,7 | 678 | 39,0 | 725 | 31,5 | 772 | 39,4 |
| 632 | 47,7 | 679 | 35,7 | 726 | 33,4 | 773 | 43,2 |
| 633 | 48,9 | 680 | 31,8 | 727 | 36,0 | 774 | 45,8 |
| 634 | 50,3 | 681 | 27,1 | 728 | 37,8 | 775 | 49,2 |
| 635 | 51,6 | 682 | 22,8 | 729 | 40,2 | 776 | 51,4 |
| 636 | 52,6 | 683 | 21,1 | 730 | 41,6 | 777 | 54,2 |
| 778 | 56,0 | 827 | 37,1 | 876 | 75,8 | 925 | 62,3 |
| 779 | 58,3 | 828 | 38,9 | 877 | 76,6 | 926 | 62,7 |
| 780 | 59,8 | 829 | 41,4 | 878 | 76,5 | 927 | 62,0 |
| 781 | 61,7 | 830 | 44,0 | 879 | 76,2 | 928 | 61,3 |
| 782 | 62,7 | 831 | 46,3 | 880 | 75,8 | 929 | 60,9 |
| 783 | 63,3 | 832 | 47,7 | 881 | 75,4 | 930 | 60,5 |
| 784 | 63,6 | 833 | 48,2 | 882 | 74,8 | 931 | 60,2 |
| 785 | 64,0 | 834 | 48,7 | 883 | 73,9 | 932 | 59,8 |
| 786 | 64,7 | 835 | 49,3 | 884 | 72,7 | 933 | 59,4 |
| 787 | 65,2 | 836 | 49,8 | 885 | 71,3 | 934 | 58,6 |
| 788 | 65,3 | 837 | 50,2 | 886 | 70,4 | 935 | 57,5 |
| 789 | 65,3 | 838 | 50,9 | 887 | 70,0 | 936 | 56,6 |
| 790 | 65,4 | 839 | 51,8 | 888 | 70,0 | 937 | 56,0 |
| 791 | 65,7 | 840 | 52,5 | 889 | 69,0 | 938 | 55,5 |
| 792 | 66,0 | 841 | 53,3 | 890 | 68,0 | 939 | 55,0 |
| 793 | 65,6 | 842 | 54,5 | 891 | 67,3 | 940 | 54,4 |
| 794 | 63,5 | 843 | 55,7 | 892 | 66,2 | 941 | 54,1 |
| 795 | 59,7 | 844 | 56,5 | 893 | 64,8 | 942 | 54,0 |
| 796 | 54,6 | 845 | 56,8 | 894 | 63,6 | 943 | 53,9 |
| 797 | 49,3 | 846 | 57,0 | 895 | 62,6 | 944 | 53,9 |
| 798 | 44,9 | 847 | 57,2 | 896 | 62,1 | 945 | 54,0 |
| 799 | 42,3 | 848 | 57,7 | 897 | 61,9 | 946 | 54,2 |
| 800 | 41,4 | 849 | 58,7 | 898 | 61,9 | 947 | 55,0 |
| 801 | 41,3 | 850 | 60,1 | 899 | 61,8 | 948 | 55,8 |
| 802 | 43,0 | 851 | 61,1 | 900 | 61,5 | 949 | 56,2 |
| 803 | 45,0 | 852 | 61,7 | 901 | 60,9 | 950 | 56,1 |
| 804 | 46,5 | 853 | 62,3 | 902 | 59,7 | 951 | 55,1 |
| 805 | 48,3 | 854 | 62,9 | 903 | 54,6 | 952 | 52,7 |
| 806 | 49,5 | 855 | 63,3 | 904 | 49,3 | 953 | 48,4 |
| 807 | 51,2 | 856 | 63,4 | 905 | 44,9 | 954 | 43,1 |
| 808 | 52,2 | 857 | 63,5 | 906 | 42,3 | 955 | 37,8 |
| 809 | 51,6 | 858 | 63,9 | 907 | 41,4 | 956 | 32,5 |
| 810 | 49,7 | 859 | 64,4 | 908 | 41,3 | 957 | 27,2 |
| 811 | 47,4 | 860 | 65,0 | 909 | 42,1 | 958 | 25,1 |
| 812 | 43,7 | 861 | 65,6 | 910 | 44,7 | 959 | 27,0 |
| 813 | 39,7 | 862 | 66,6 | 911 | 46,0 | 960 | 29,8 |
| 814 | 35,5 | 863 | 67,4 | 912 | 48,8 | 961 | 33,8 |
| 815 | 31,1 | 864 | 68,2 | 913 | 50,1 | 962 | 37,0 |
| 816 | 26,3 | 865 | 69,1 | 914 | 51,3 | 963 | 40,7 |
| 817 | 21,9 | 866 | 70,0 | 915 | 54,1 | 964 | 43,0 |
| 818 | 18,0 | 867 | 70,8 | 916 | 55,2 | 965 | 45,6 |
| 819 | 17,0 | 868 | 71,5 | 917 | 56,2 | 966 | 46,9 |
| 820 | 18,0 | 869 | 72,4 | 918 | 56,1 | 967 | 47,0 |
| 821 | 21,4 | 870 | 73,0 | 919 | 56,1 | 968 | 46,9 |
| 822 | 24,8 | 871 | 73,7 | 920 | 56,5 | 969 | 46,5 |
| 823 | 27,9 | 872 | 74,4 | 921 | 57,5 | 970 | 45,8 |
| 824 | 30,8 | 873 | 74,9 | 922 | 59,2 | 971 | 44,3 |
| 825 | 33 0 | 874 | 75,3 | 923 | 60,7 | 972 | 41,3 |
| 826 | 35,1 | 875 | 75,6 | 924 | 61,8 | 973 | 36,5 |
| 974 | 31,7 |
|
|
|
|
|
|
| 975 | 27,0 |
|
|
|
|
|
|
| 976 | 24,7 |
|
|
|
|
|
|
| 977 | 19,3 |
|
|
|
|
|
|
| 978 | 16,0 |
|
|
|
|
|
|
| 979 | 13,2 |
|
|
|
|
|
|
| 980 | 10,7 |
|
|
|
|
|
|
| 981 | 8,8 |
|
|
|
|
|
|
| 982 | 7,2 |
|
|
|
|
|
|
| 983 | 5,5 |
|
|
|
|
|
|
| 984 | 3,2 |
|
|
|
|
|
|
| 985 | 1,1 |
|
|
|
|
|
|
| 986 | 0,0 |
|
|
|
|
|
|
| 987 | 0,0 |
|
|
|
|
|
|
| 988 | 0,0 |
|
|
|
|
|
|
| 989 | 0,0 |
|
|
|
|
|
|
| 990 | 0,0 |
|
|
|
|
|
|
| 991 | 0,0 |
|
|
|
|
|
|
| 992 | 0,0 |
|
|
|
|
|
|
| 993 | 0,0 |
|
|
|
|
|
|
| 994 | 0,0 |
|
|
|
|
|
|
| 995 | 0,0 |
|
|
|
|
|
|
| 996 | 0,0 |
|
|
|
|
|
|
| 997 | 0,0 |
|
|
|
|
|
|
| 998 | 0,0 |
|
|
|
|
|
|
| 999 | 0,0 |
|
|
|
|
|
|
| 1 000 | 0,0 |
|
|
|
|
|
|
| 1 001 | 0,0 |
|
|
|
|
|
|
| 1 002 | 0,0 |
|
|
|
|
|
|
| 1 003 | 0,0 |
|
|
|
|
|
|
| 1 004 | 0,0 |
|
|
|
|
|
|
| 1 005 | 0,0 |
|
|
|
|
|
|
| 1 006 | 0,0 |
|
|
|
|
|
|
| 1 007 | 0,0 |
|
|
|
|
|
|
| 1 008 | 0,0 |
|
|
|
|
|
|
| 1 009 | 0,0 |
|
|
|
|
|
|
| 1 010 | 0,0 |
|
|
|
|
|
|
| 1 011 | 0,0 |
|
|
|
|
|
|
| 1 012 | 0,0 |
|
|
|
|
|
|
| 1 013 | 0,0 |
|
|
|
|
|
|
| 1 014 | 0,0 |
|
|
|
|
|
|
| 1 015 | 0,0 |
|
|
|
|
|
|
| 1 016 | 0,0 |
|
|
|
|
|
|
| 1 017 | 0,0 |
|
|
|
|
|
|
| 1 018 | 0,0 |
|
|
|
|
|
|
| 1 019 | 0,0 |
|
|
|
|
|
|
| 1 020 | 0,0 |
|
|
|
|
|
|
| 1 021 | 0,0 |
|
|
|
|
|
|
| 1 022 | 0,0 |
|
|
|
|
|
|
Bảng B1/9 - WLTC, chu trình thử kiểu IIIb, pha Medium3b (giây 589 là điểm cuối của pha Low3 và bắt đầu của pha Medium3b)
| Thời gian (s) | Vận tốc (km/h) | Thời gian (s) | Vận tốc (km/h) | Thời gian (s) | Vận tốc (km/h) | Thời gian (s) | Vận tốc (km/h) |
| 590 | 0,0 | 637 | 53,0 | 684 | 18,9 | 731 | 41,9 |
| 591 | 0,0 | 638 | 53,0 | 685 | 18,9 | 732 | 42,0 |
| 592 | 0,0 | 639 | 52,9 | 686 | 21,3 | 733 | 42,2 |
| 593 | 0,0 | 640 | 52,7 | 687 | 23,9 | 734 | 42,4 |
| 594 | 0,0 | 641 | 52,6 | 688 | 25,9 | 735 | 42,7 |
| 595 | 0,0 | 642 | 53,1 | 689 | 28,4 | 736 | 43,1 |
| 596 | 0,0 | 643 | 54,3 | 690 | 30,3 | 737 | 43,7 |
| 597 | 0,0 | 644 | 55,2 | 691 | 30,9 | 738 | 44,0 |
| 598 | 0,0 | 645 | 55,5 | 692 | 31,1 | 739 | 44,1 |
| 599 | 0,0 | 646 | 55,9 | 693 | 31,8 | 740 | 45,3 |
| 600 | 0,0 | 647 | 56,3 | 694 | 32,7 | 741 | 46,4 |
| 601 | 1,0 | 648 | 56,7 | 695 | 33,2 | 742 | 47,2 |
| 602 | 2,1 | 649 | 56,9 | 696 | 32,4 | 743 | 47,3 |
| 603 | 4,8 | 650 | 56,8 | 697 | 28,3 | 744 | 47,4 |
| 604 | 9,1 | 651 | 56,0 | 698 | 25,8 | 745 | 47,4 |
| 605 | 14,2 | 652 | 54,2 | 699 | 23,1 | 746 | 47,5 |
| 606 | 19,8 | 653 | 52,1 | 700 | 21,8 | 747 | 47,9 |
| 607 | 25,5 | 654 | 50,1 | 701 | 21,2 | 748 | 48,6 |
| 608 | 30,5 | 655 | 47,2 | 702 | 21,0 | 749 | 49,4 |
| 609 | 34,8 | 656 | 43,2 | 703 | 21,0 | 750 | 49,8 |
| 610 | 38,8 | 657 | 39,2 | 704 | 20,9 | 751 | 49,8 |
| 611 | 42,9 | 658 | 36,5 | 705 | 19,9 | 752 | 49,7 |
| 612 | 46,4 | 659 | 34,3 | 706 | 17,9 | 753 | 49,3 |
| 613 | 48,3 | 660 | 31,0 | 707 | 15,1 | 754 | 48,5 |
| 614 | 48,7 | 661 | 26,0 | 708 | 12,8 | 755 | 47,6 |
| 615 | 48,5 | 662 | 20,7 | 709 | 12,0 | 756 | 46,3 |
| 616 | 48,4 | 663 | 15,4 | 710 | 13,2 | 757 | 43,7 |
| 617 | 48,2 | 664 | 13,1 | 711 | 17,1 | 758 | 39,3 |
| 618 | 47,8 | 665 | 12,0 | 712 | 21,1 | 759 | 34,1 |
| 619 | 47,0 | 666 | 12,5 | 713 | 21,8 | 760 | 29,0 |
| 620 | 45,9 | 667 | 14,0 | 714 | 21,2 | 761 | 23,7 |
| 621 | 44,9 | 668 | 19,0 | 715 | 18,5 | 762 | 18,4 |
| 622 | 44,4 | 669 | 23,2 | 716 | 13,9 | 763 | 14,3 |
| 623 | 44,3 | 670 | 28,0 | 717 | 12,0 | 764 | 12,0 |
| 624 | 44,5 | 671 | 32,0 | 718 | 12,0 | 765 | 12,8 |
| 625 | 45,1 | 672 | 34,0 | 719 | 13,0 | 766 | 16,0 |
| 626 | 45,7 | 673 | 36,0 | 720 | 16,0 | 767 | 19,1 |
| 627 | 46,0 | 674 | 38,0 | 721 | 18,5 | 768 | 22,4 |
| 628 | 46,0 | 675 | 40,0 | 722 | 20,6 | 769 | 25,6 |
| 629 | 46,0 | 676 | 40,3 | 723 | 22,5 | 770 | 30,1 |
| 630 | 46,1 | 677 | 40,5 | 724 | 24,0 | 771 | 35,3 |
| 631 | 46,7 | 678 | 39,0 | 725 | 26,6 | 772 | 39,9 |
| 632 | 47,7 | 679 | 35,7 | 726 | 29,9 | 773 | 44,5 |
| 633 | 48,9 | 680 | 31,8 | 727 | 34,8 | 774 | 47,5 |
| 634 | 50,3 | 681 | 27,1 | 728 | 37,8 | 775 | 50,9 |
| 635 | 51,6 | 682 | 22,8 | 729 | 40,2 | 776 | 54,1 |
| 636 | 52,6 | 683 | 21,1 | 730 | 41,6 | 777 | 56,3 |
| 778 | 58,1 | 827 | 37,1 | 876 | 72,7 | 925 | 64,1 |
| 779 | 598 | 828 | 38,9 | 877 | 71,3 | 926 | 62,7 |
| 780 | 61,1 | 829 | 41,4 | 878 | 70,4 | 927 | 62,0 |
| 781 | 62,1 | 830 | 44,0 | 879 | 70,0 | 928 | 61,3 |
| 782 | 62,8 | 831 | 46,3 | 880 | 70,0 | 929 | 60,9 |
| 783 | 63,3 | 832 | 47,7 | 881 | 69,0 | 930 | 60,5 |
| 784 | 63,6 | 833 | 48,2 | 882 | 68,0 | 931 | 60,2 |
| 785 | 64,0 | 834 | 48,7 | 883 | 68,0 | 932 | 59,8 |
| 786 | 64,7 | 835 | 49,3 | 884 | 68,0 | 933 | 59,4 |
| 787 | 65,2 | 836 | 49,8 | 885 | 68,1 | 934 | 58,6 |
| 788 | 65,3 | 837 | 50,2 | 886 | 68,4 | 935 | 57,5 |
| 789 | 65,3 | 838 | 50,9 | 887 | 68,6 | 936 | 56,6 |
| 790 | 65,4 | 839 | 51,8 | 888 | 68,7 | 937 | 56,0 |
| 791 | 65,7 | 840 | 52,5 | 889 | 68,5 | 938 | 55,5 |
| 792 | 66,0 | 841 | 53,3 | 890 | 68,1 | 939 | 55,0 |
| 793 | 65,6 | 842 | 54,5 | 891 | 67,3 | 940 | 54,4 |
| 794 | 63,5 | 843 | 55,7 | 892 | 66,2 | 941 | 54,1 |
| 795 | 59,7 | 844 | 56,5 | 893 | 64,8 | 942 | 54,0 |
| 796 | 54,6 | 845 | 56,8 | 894 | 63,6 | 943 | 53,9 |
| 797 | 49,3 | 846 | 57,0 | 895 | 62,6 | 944 | 53,9 |
| 798 | 44,9 | 847 | 57,2 | 896 | 62,1 | 945 | 54,0 |
| 799 | 42,3 | 848 | 57,7 | 897 | 61,9 | 946 | 54,2 |
| 800 | 41,4 | 849 | 58,7 | 898 | 61,9 | 947 | 55,0 |
| 801 | 41,3 | 850 | 60,1 | 899 | 61,8 | 948 | 55,8 |
| 802 | 42,1 | 851 | 61,1 | 900 | 61,5 | 949 | 56,2 |
| 803 | 44,7 | 852 | 61,7 | 901 | 60,9 | 950 | 56,1 |
| 804 | 48,4 | 853 | 62,3 | 902 | 59,7 | 951 | 55,1 |
| 805 | 51,4 | 854 | 62,9 | 903 | 54,6 | 952 | 52,7 |
| 806 | 52,7 | 855 | 63,3 | 904 | 49,3 | 953 | 48,4 |
| 807 | 53,0 | 856 | 63,4 | 905 | 44,9 | 954 | 43,1 |
| 808 | 52,5 | 857 | 63,5 | 906 | 42,3 | 955 | 37,8 |
| 809 | 51,3 | 858 | 64,5 | 907 | 41,4 | 956 | 32,5 |
| 810 | 49,7 | 859 | 65,8 | 908 | 41,3 | 957 | 27,2 |
| 811 | 47,4 | 860 | 66,8 | 909 | 42,1 | 958 | 25,1 |
| 812 | 43,7 | 861 | 67,4 | 910 | 44,7 | 959 | 26,0 |
| 813 | 39,7 | 862 | 68,8 | 911 | 48,4 | 960 | 29,3 |
| 814 | 35,5 | 863 | 71,1 | 912 | 51,4 | 961 | 34,6 |
| 815 | 31,1 | 864 | 72,3 | 913 | 52,7 | 962 | 40,4 |
| 816 | 26,3 | 865 | 72,8 | 914 | 54,0 | 963 | 45,3 |
| 817 | 21,9 | 866 | 73,4 | 915 | 57,0 | 964 | 49,0 |
| 818 | 18,0 | 867 | 74,6 | 916 | 58,1 | 965 | 51,1 |
| 819 | 17,0 | 868 | 76,0 | 917 | 59,2 | 966 | 52,1 |
| 820 | 18,0 | 869 | 76,6 | 918 | 59,0 | 967 | 52,2 |
| 821 | 21,4 | 870 | 76,5 | 919 | 59,1 | 968 | 52,1 |
| 822 | 24,8 | 871 | 76,2 | 920 | 59,5 | 969 | 51,7 |
| 823 | 27,9 | 872 | 75,8 | 921 | 60,5 | 970 | 50,9 |
| 824 | 30,8 | 873 | 75,4 | 922 | 62,3 | 971 | 49,2 |
| 825 | 33,0 | 874 | 74,8 | 923 | 63,9 | 972 | 45,9 |
| 826 | 35,1 | 875 | 73,9 | 924 | 65,1 | 973 | 40,6 |
| 974 | 35,3 |
|
|
|
|
|
|
| 975 | 30,0 |
|
|
|
|
|
|
| 976 | 24,7 |
|
|
|
|
|
|
| 977 | 19,3 |
|
|
|
|
|
|
| 978 | 16,0 |
|
|
|
|
|
|
| 979 | 13,2 |
|
|
|
|
|
|
| 980 | 10,7 |
|
|
|
|
|
|
| 981 | 8,8 |
|
|
|
|
|
|
| 982 | 7,2 |
|
|
|
|
|
|
| 983 | 5,5 |
|
|
|
|
|
|
| 984 | 3,2 |
|
|
|
|
|
|
| 985 | 1,1 |
|
|
|
|
|
|
| 986 | 0,0 |
|
|
|
|
|
|
| 987 | 0,0 |
|
|
|
|
|
|
| 988 | 0,0 |
|
|
|
|
|
|
| 989 | 0,0 |
|
|
|
|
|
|
| 990 | 0,0 |
|
|
|
|
|
|
| 991 | 0,0 |
|
|
|
|
|
|
| 992 | 0,0 |
|
|
|
|
|
|
| 993 | 0,0 |
|
|
|
|
|
|
| 994 | 0,0 |
|
|
|
|
|
|
| 995 | 0,0 |
|
|
|
|
|
|
| 996 | 0,0 |
|
|
|
|
|
|
| 997 | 0,0 |
|
|
|
|
|
|
| 998 | 0,0 |
|
|
|
|
|
|
| 999 | 0,0 |
|
|
|
|
|
|
| 1 000 | 0,0 |
|
|
|
|
|
|
| 1 001 | 0,0 |
|
|
|
|
|
|
| 1 002 | 0,0 |
|
|
|
|
|
|
| 1 003 | 0,0 |
|
|
|
|
|
|
| 1 004 | 0,0 |
|
|
|
|
|
|
| 1 005 | 0,0 |
|
|
|
|
|
|
| 1 006 | 0,0 |
|
|
|
|
|
|
| 1 007 | 0,0 |
|
|
|
|
|
|
| 1 008 | 0,0 |
|
|
|
|
|
|
| 1 009 | 0,0 |
|
|
|
|
|
|
| 1 010 | 0,0 |
|
|
|
|
|
|
| 1 011 | 0,0 |
|
|
|
|
|
|
| 1 012 | 0,0 |
|
|
|
|
|
|
| 1 013 | 0,0 |
|
|
|
|
|
|
| 1 014 | 0,0 |
|
|
|
|
|
|
| 1 015 | 0,0 |
|
|
|
|
|
|
| 1 016 | 0,0 |
|
|
|
|
|
|
| 1 017 | 0,0 |
|
|
|
|
|
|
| 1 018 | 0,0 |
|
|
|
|
|
|
| 1 019 | 0,0 |
|
|
|
|
|
|
| 1 020 | 0,0 |
|
|
|
|
|
|
| 1 021 | 0,0 |
|
|
|
|
|
|
| 1 022 | 0,0 |
|
|
|
|
|
|
Bảng B1/10 - WLTC, Chu trình thử kiểu llla, pha High3a (giây 1022 là điểm bắt đầu của pha này)
| Thời gian (s) | Vận tốc (km/h) | Thời gian (s) | Vận tốc (km/h) | Thời gian (s) | Vận tốc (km/h) | Thời gian (s) | Vận tốc (km/h) |
| 1 023 | 0,0 | 1 070 | 29,0 | 1 117 | 66,2 | 1 164 | 52,6 |
| 1 024 | 0,0 | 1 071 | 32,0 | 1 118 | 65,8 | 1 165 | 54,5 |
| 1 025 | 0,0 | 1 072 | 34,8 | 1 119 | 64,7 | 1 166 | 56,6 |
| 1 026 | 0,0 | 1 073 | 37,7 | 1 120 | 63,6 | 1 167 | 58,3 |
| 1 027 | 0,8 | 1 074 | 40,8 | 1 121 | 62,9 | 1 168 | 60,0 |
| 1 028 | 3,6 | 1 075 | 43,2 | 1 122 | 62,4 | 1 169 | 61,5 |
| 1 029 | 8,6 | 1 076 | 46,0 | 1 123 | 61,7 | 1 170 | 63,1 |
| 1 030 | 14,6 | 1 077 | 48,0 | 1 124 | 60,1 | 1 171 | 64,3 |
| 1 031 | 20,0 | 1 078 | 50,7 | 1 125 | 57,3 | 1 172 | 65,7 |
| 1 032 | 24,4 | 1 079 | 52,0 | 1 126 | 55,8 | 1 173 | 67,1 |
| 1 033 | 28,2 | 1 080 | 54,5 | 1 127 | 50,5 | 1 174 | 68,3 |
| 1 034 | 31,7 | 1 081 | 55,9 | 1 128 | 45,2 | 1 175 | 69,7 |
| 1 035 | 35,0 | 1 082 | 57,4 | 1 129 | 40,1 | 1 176 | 70,6 |
| 1 036 | 37,6 | 1 083 | 58,1 | 1 130 | 36,2 | 1 177 | 71,6 |
| 1 037 | 39,7 | 1 084 | 58,4 | 1 131 | 32,9 | 1 178 | 72,6 |
| 1 038 | 41,5 | 1 085 | 58,8 | 1 132 | 29,8 | 1 179 | 73,5 |
| 1 039 | 43,6 | 1 086 | 58,8 | 1 133 | 26,6 | 1 180 | 74,2 |
| 1 040 | 46,0 | 1 087 | 58,6 | 1 134 | 23,0 | 1 181 | 74,9 |
| 1 041 | 48,4 | 1 088 | 58,7 | 1 135 | 19,4 | 1 182 | 75,6 |
| 1 042 | 50,5 | 1 089 | 58,8 | 1 136 | 16,3 | 1 183 | 76,3 |
| 1 043 | 51,9 | 1 090 | 58,8 | 1 137 | 14,6 | 1 184 | 77,1 |
| 1 044 | 52,6 | 1 091 | 58,8 | 1 138 | 14,2 | 1 185 | 77,9 |
| 1 045 | 52,8 | 1 092 | 59,1 | 1 139 | 14,3 | 1 186 | 78,5 |
| 1 046 | 52,9 | 1 093 | 60,1 | 1 140 | 14,6 | 1 187 | 79,0 |
| 1 047 | 53,1 | 1 094 | 61,7 | 1 141 | 15,1 | 1 188 | 79,7 |
| 1 048 | 53,3 | 1 095 | 63,0 | 1 142 | 16,4 | 1 189 | 80,3 |
| 1 049 | 53,1 | 1 096 | 63,7 | 1 143 | 19,1 | 1 190 | 81,0 |
| 1 050 | 52,3 | 1 097 | 63,9 | 1 144 | 22,5 | 1 191 | 81,6 |
| 1 051 | 50,7 | 1 098 | 63,5 | 1 145 | 24,4 | 1 192 | 82,4 |
| 1 052 | 48,8 | 1 099 | 62,3 | 1 146 | 24,8 | 1 193 | 82,9 |
| 1 053 | 46,5 | 1 100 | 60,3 | 1 147 | 22,7 | 1 194 | 83,4 |
| 1 054 | 43,8 | 1 101 | 58,9 | 1 148 | 17,4 | 1 195 | 83,8 |
| 1 055 | 40,3 | 1 102 | 58,4 | 1 149 | 13,8 | 1 196 | 84,2 |
| 1 056 | 36,0 | 1 103 | 58,8 | 1 150 | 12,0 | 1 197 | 84,7 |
| 1 057 | 30,7 | 1 104 | 60,2 | 1 151 | 12,0 | 1 198 | 85,2 |
| 1 058 | 25,4 | 1 105 | 62,3 | 1 152 | 12,0 | 1 199 | 85,6 |
| 1 059 | 21,0 | 1 106 | 63,9 | 1 153 | 13,9 | 1 200 | 86,3 |
| 1 060 | 16,7 | 1 107 | 64,5 | 1 154 | 17,7 | 1 201 | 86,8 |
| 1 061 | 13,4 | 1 108 | 64,4 | 1 155 | 22,8 | 1 202 | 87,4 |
| 1 062 | 12,0 | 1 109 | 63,5 | 1 156 | 27,3 | 1 203 | 88,0 |
| 1 063 | 12,1 | 1 110 | 62,0 | 1 157 | 31,2 | 1 204 | 88,3 |
| 1 064 | 12,8 | 1 111 | 61,2 | 1 158 | 35,2 | 1 205 | 88,7 |
| 1 065 | 15,6 | 1 112 | 61,3 | 1 159 | 39,4 | 1 206 | 89,0 |
| 1 066 | 19,9 | 1 113 | 61,7 | 1 160 | 42,5 | 1 207 | 89,3 |
| 1 067 | 23,4 | 1 114 | 62,0 | 1 161 | 45,4 | 1 208 | 89,8 |
| 1 068 | 24,6 | 1 115 | 64,6 | 1 162 | 48,2 | 1 209 | 90,2 |
| 1 069 | 27,0 | 1 116 | 66,0 | 1 163 | 50,3 | 1 210 | 90,6 |
| 1 211 | 91,0 | 1 260 | 95,7 | 1 309 | 75,9 | 1 358 | 68,2 |
| 1 212 | 91,3 | 1 261 | 95,5 | 1 310 | 76,0 | 1 359 | 66,1 |
| 1 213 | 91,6 | 1 262 | 95,3 | 1 311 | 76,0 | 1 360 | 63,8 |
| 1 214 | 91,9 | 1 263 | 95,2 | 1 312 | 76,1 | 1 361 | 61,6 |
| 1 215 | 92,2 | 1 264 | 95,0 | 1 313 | 76,3 | 1 362 | 60,2 |
| 1 216 | 92,8 | 1 265 | 94,9 | 1 314 | 76,5 | 1 363 | 59,8 |
| 1 217 | 93,1 | 1 266 | 94,7 | 1 315 | 76,6 | 1 364 | 60,4 |
| 1 218 | 93,3 | 1 267 | 94,5 | 1 316 | 76,8 | 1 365 | 61,8 |
| 1 219 | 93,5 | 1 268 | 94,4 | 1 317 | 77,1 | 1 366 | 62,6 |
| 1 220 | 93,7 | 1 269 | 94,4 | 1 318 | 77,1 | 1 367 | 62,7 |
| 1 221 | 93,9 | 1 270 | 94,3 | 1 319 | 77,2 | 1 368 | 61,9 |
| 1 222 | 94,0 | 1 271 | 94,3 | 1 320 | 77,2 | 1 369 | 60,0 |
| 1 223 | 94,1 | 1 272 | 94,1 | 1 321 | 77,6 | 1 370 | 58,4 |
| 1 224 | 94,3 | 1 273 | 93,9 | 1 322 | 78,0 | 1 371 | 57,8 |
| 1 225 | 94,4 | 1 274 | 93,4 | 1 323 | 78,4 | 1 372 | 57,8 |
| 1 226 | 94,6 | 1 275 | 92,8 | 1 324 | 78,8 | 1 373 | 57,8 |
| 1 227 | 94,7 | 1 276 | 92,0 | 1 325 | 79,2 | 1 374 | 57,3 |
| 1 228 | 94,8 | 1 277 | 91,3 | 1 326 | 80,3 | 1 375 | 56,2 |
| 1 229 | 95,0 | 1 278 | 90,6 | 1 327 | 80,8 | 1 376 | 54,3 |
| 1 230 | 95,1 | 1 279 | 90,0 | 1 328 | 81,0 | 1 377 | 50,8 |
| 1 231 | 95,3 | 1 280 | 89,3 | 1 329 | 81,0 | 1 378 | 45,5 |
| 1 232 | 95,4 | 1 281 | 88,7 | 1 330 | 81,0 | 1 379 | 40,2 |
| 1 233 | 95,6 | 1 282 | 88,1 | 1 331 | 81,0 | 1 380 | 34,9 |
| 1 234 | 95,7 | 1 283 | 87,4 | 1 332 | 81,0 | 1 381 | 29,6 |
| 1 235 | 95,8 | 1 284 | 86,7 | 1 333 | 80,9 | 1 382 | 28,7 |
| 1 236 | 96,0 | 1 285 | 86,0 | 1 334 | 80,6 | 1 383 | 29,3 |
| 1 237 | 96,1 | 1 286 | 85,3 | 1 335 | 80,3 | 1 384 | 30,5 |
| 1 238 | 96,3 | 1 287 | 84,7 | 1 336 | 80,0 | 1 385 | 31,7 |
| 1 239 | 96,4 | 1 288 | 84,1 | 1 337 | 79,9 | 1 386 | 32,9 |
| 1 240 | 96,6 | 1 289 | 83,5 | 1 338 | 79,8 | 1 387 | 35,0 |
| 1 241 | 96,8 | 1 290 | 82,9 | 1 339 | 79,8 | 1 388 | 38,0 |
| 1 242 | 97,0 | 1 291 | 82,3 | 1 340 | 79,8 | 1 389 | 40,5 |
| 1 243 | 97,2 | 1 292 | 81,7 | 1 341 | 79,9 | 1 390 | 42,7 |
| 1 244 | 97,3 | 1 293 | 81,1 | 1 342 | 80,0 | 1 391 | 45,8 |
| 1 245 | 97,4 | 1 294 | 80,5 | 1 343 | 80,4 | 1 392 | 47,5 |
| 1 246 | 97,4 | 1 295 | 79,9 | 1 344 | 80,8 | 1 393 | 48,9 |
| 1 247 | 97,4 | 1 296 | 79,4 | 1 345 | 81,2 | 1 394 | 49,4 |
| 1 248 | 97,4 | 1 297 | 79,1 | 1 346 | 81,5 | 1 395 | 49,4 |
| 1 249 | 97,3 | 1 298 | 78,8 | 1 347 | 81,6 | 1 396 | 49,2 |
| 1 250 | 97,3 | 1 299 | 78,5 | 1 348 | 81,6 | 1 397 | 48,7 |
| 1 251 | 97,3 | 1 300 | 78,2 | 1 349 | 81,4 | 1 398 | 47,9 |
| 1 252 | 97,3 | 1 301 | 77,9 | 1 350 | 80,7 | 1 399 | 46,9 |
| 1 253 | 97,2 | 1 302 | 77,6 | 1 351 | 79,6 | 1 400 | 45,6 |
| 1 254 | 97,1 | 1 303 | 77,3 | 1 352 | 78,2 | 1 401 | 44,2 |
| 1 255 | 97,0 | 1 304 | 77,0 | 1 353 | 76,8 | 1 402 | 42,7 |
| 1 256 | 96,9 | 1 305 | 76,7 | 1 354 | 75,3 | 1 403 | 40,7 |
| 1 257 | 96,7 | 1 306 | 76,0 | 1 355 | 73,8 | 1 404 | 37,1 |
| 1 258 | 96,4 | 1 307 | 76,0 | 1 356 | 72,1 | 1 405 | 33,9 |
| 1 259 | 96,1 | 1 308 | 76,0 | 1 357 | 70,2 | 1 406 | 30,6 |
| 1 407 | 28,6 | 1 456 | 0,0 |
|
|
|
|
| 1 408 | 27,3 | 1 457 | 0,0 |
|
|
|
|
| 1 409 | 27,2 | 1 458 | 0,0 |
|
|
|
|
| 1 410 | 27,5 | 1 459 | 0,0 |
|
|
|
|
| 1 411 | 27,4 | 1 460 | 0,0 |
|
|
|
|
| 1 412 | 27,1 | 1 461 | 0,0 |
|
|
|
|
| 1 413 | 26,7 | 1 462 | 0,0 |
|
|
|
|
| 1 414 | 26,8 | 1 463 | 0,0 |
|
|
|
|
| 1 415 | 28,2 | 1 464 | 0,0 |
|
|
|
|
| 1 416 | 31,1 | 1 465 | 0,0 |
|
|
|
|
| 1 417 | 34,8 | 1 466 | 0,0 |
|
|
|
|
| 1 418 | 38,4 | 1 467 | 0,0 |
|
|
|
|
| 1 419 | 40,9 | 1 468 | 0,0 |
|
|
|
|
| 1 420 | 41,7 | 1 469 | 0,0 |
|
|
|
|
| 1 421 | 40,9 | 1 470 | 0,0 |
|
|
|
|
| 1 422 | 38,3 | 1 471 | 0,0 |
|
|
|
|
| 1 423 | 35,3 | 1 472 | 0,0 |
|
|
|
|
| 1 424 | 34,3 | 1 473 | 0,0 |
|
|
|
|
| 1 425 | 34,6 | 1 474 | 0,0 |
|
|
|
|
| 1 426 | 36,3 | 1 475 | 0,0 |
|
|
|
|
| 1 427 | 39,5 | 1 476 | 0,0 |
|
|
|
|
| 1 428 | 41,8 | 1 477 | 0,0 |
|
|
|
|
| 1 429 | 42,5 |
|
|
|
|
|
|
| 1 430 | 41,9 |
|
|
|
|
|
|
| 1 431 | 40,1 |
|
|
|
|
|
|
| 1 432 | 36,6 |
|
|
|
|
|
|
| 1 433 | 31,3 |
|
|
|
|
|
|
| 1 434 | 26,0 |
|
|
|
|
|
|
| 1 435 | 20,6 |
|
|
|
|
|
|
| 1 436 | 19,1 |
|
|
|
|
|
|
| 1 437 | 19,7 |
|
|
|
|
|
|
| 1 438 | 21,1 |
|
|
|
|
|
|
| 1 439 | 22,0 |
|
|
|
|
|
|
| 1 440 | 22,1 |
|
|
|
|
|
|
| 1 441 | 21,4 |
|
|
|
|
|
|
| 1 442 | 19,6 |
|
|
|
|
|
|
| 1 443 | 18,3 |
|
|
|
|
|
|
| 1 444 | 18,0 |
|
|
|
|
|
|
| 1 445 | 18,3 |
|
|
|
|
|
|
| 1 446 | 18,5 |
|
|
|
|
|
|
| 1 447 | 17,9 |
|
|
|
|
|
|
| 1 448 | 15,0 |
|
|
|
|
|
|
| 1 449 | 9,9 |
|
|
|
|
|
|
| 1 450 | 4,6 |
|
|
|
|
|
|
| 1 451 | 1,2 |
|
|
|
|
|
|
| 1 452 | 0,0 |
|
|
|
|
|
|
| 1 453 | 0,0 |
|
|
|
|
|
|
| 1 454 | 0,0 |
|
|
|
|
|
|
| 1 455 | 0,0 |
|
|
|
|
|
|
Bảng B1/11 - WLTC, Chu trình thử kiểu IIIb, pha High3b (giây 1022 là thời điểm bắt đầu của pha này)
| Thời gian (s) | Vận tốc (km/h) | Thời gian (s) | Vận tốc (km/h) | Thời gian (s) | Vận tốc (km/h) | Thời gian (s) | Vận tốc (km/h) |
| 1 023 | 0,0 | 1 070 | 26,4 | 1 117 | 69,7 | 1 164 | 52,6 |
| 1 024 | 0,0 | 1 071 | 28,8 | 1 118 | 69,3 | 1 165 | 54,5 |
| 1 025 | 0,0 | 1 072 | 31,8 | 1 119 | 68,1 | 1 166 | 56,6 |
| 1 026 | 0,0 | 1 073 | 35,3 | 1 120 | 66,9 | 1 167 | 58,3 |
| 1 027 | 0,8 | 1 074 | 39,5 | 1 121 | 66,2 | 1 168 | 60,0 |
| 1 028 | 3,6 | 1 075 | 44,5 | 1 122 | 65,7 | 1 169 | 61,5 |
| 1 029 | 8,6 | 1 076 | 49,3 | 1 123 | 64,9 | 1 170 | 63,1 |
| 1 030 | 14,6 | 1 077 | 53,3 | 1 124 | 63,2 | 1 171 | 64,3 |
| 1 031 | 20,0 | 1 078 | 56,4 | 1 125 | 60,3 | 1 172 | 65,7 |
| 1 032 | 24,4 | 1 079 | 58,9 | 1 126 | 55,8 | 1 173 | 67,1 |
| 1 033 | 28,2 | 1 080 | 61,2 | 1 127 | 50,5 | 1 174 | 68,3 |
| 1 034 | 31,7 | 1 081 | 62,6 | 1 128 | 45,2 | 1 175 | 69,7 |
| 1 035 | 35,0 | 1 082 | 63,0 | 1 129 | 40,1 | 1 176 | 70,6 |
| 1 036 | 37,6 | 1 083 | 62,5 | 1 130 | 36,2 | 1 177 | 71,6 |
| 1 037 | 39,7 | 1 084 | 60,9 | 1 131 | 32,9 | 1 178 | 72,6 |
| 1 038 | 41,5 | 1 085 | 59,3 | 1 132 | 29,8 | 1 179 | 73,5 |
| 1 039 | 43,6 | 1 086 | 58,6 | 1 133 | 26,6 | 1 180 | 74,2 |
| 1 040 | 46,0 | 1 087 | 58,6 | 1 134 | 23,0 | 1 181 | 74,9 |
| 1 041 | 48,4 | 1 088 | 58,7 | 1 135 | 19,4 | 1 182 | 75,6 |
| 1 042 | 50,5 | 1 089 | 58,8 | 1 136 | 16,3 | 1 183 | 76,3 |
| 1 043 | 51,9 | 1 090 | 58,8 | 1 137 | 14,6 | 1 184 | 77,1 |
| 1 044 | 52,6 | 1 091 | 58,8 | 1 138 | 14,2 | 1 185 | 77,9 |
| 1 045 | 52,8 | 1 092 | 59,1 | 1 139 | 14,3 | 1 186 | 78,5 |
| 1 046 | 52,9 | 1 093 | 60,1 | 1 140 | 14,6 | 1 187 | 79,0 |
| 1 047 | 53,1 | 1 094 | 61,7 | 1 141 | 15,1 | 1 188 | 79,7 |
| 1 048 | 53,3 | 1 095 | 63,0 | 1 142 | 16,4 | 1 189 | 80,3 |
| 1 049 | 53,1 | 1 096 | 63,7 | 1 143 | 19,1 | 1 190 | 81,0 |
| 1 050 | 52,3 | 1 097 | 63,9 | 1 144 | 22,5 | 1 191 | 81,6 |
| 1 051 | 50,7 | 1 098 | 63,5 | 1 145 | 24,4 | 1 192 | 82,4 |
| 1 052 | 48,8 | 1 099 | 62,3 | 1 146 | 24,8 | 1 193 | 82,9 |
| 1 053 | 46,5 | 1 100 | 60,3 | 1 147 | 22,7 | 1 194 | 83,4 |
| 1 054 | 43,8 | 1 101 | 58,9 | 1 148 | 17,4 | 1 195 | 83,8 |
| 1 055 | 40,3 | 1 102 | 58,4 | 1 149 | 13,8 | 1 196 | 84,2 |
| 1 056 | 36,0 | 1 103 | 58,8 | 1 150 | 12,0 | 1 197 | 84,7 |
| 1 057 | 30,7 | 1 104 | 60,2 | 1 151 | 12,0 | 1 198 | 85,2 |
| 1 058 | 25,4 | 1 105 | 62,3 | 1 152 | 12,0 | 1 199 | 85,6 |
| 1 059 | 21,0 | 1 106 | 63,9 | 1 153 | 13,9 | 1 200 | 86,3 |
| 1 060 | 16,7 | 1 107 | 64,5 | 1 154 | 17,7 | 1 201 | 86,8 |
| 1 061 | 13,4 | 1 108 | 64,4 | 1 155 | 22,8 | 1 202 | 87,4 |
| 1 062 | 12,0 | 1 109 | 63,5 | 1 156 | 27,3 | 1 203 | 88,0 |
| 1 063 | 12,1 | 1 110 | 62,0 | 1 157 | 31,2 | 1 204 | 88,3 |
| 1 064 | 12,8 | 1 111 | 61,2 | 1 158 | 35,2 | 1 205 | 88,7 |
| 1 065 | 15,6 | 1 112 | 61,3 | 1 159 | 39,4 | 1 206 | 89,0 |
| 1 066 | 19,9 | 1 113 | 62,6 | 1 160 | 42,5 | 1 207 | 89,3 |
| 1 067 | 23,4 | 1 114 | 65,3 | 1 161 | 45,4 | 1 208 | 89,8 |
| 1 068 | 24,6 | 1 115 | 68,0 | 1 162 | 48,2 | 1 209 | 90,2 |
| 1 069 | 25,2 | 1 116 | 69,4 | 1 163 | 50,3 | 1 210 | 90,6 |
| 1 211 | 91,0 | 1 260 | 95,7 | 1 309 | 75,9 | 1 358 | 68,2 |
| 1 212 | 91,3 | 1 261 | 95,5 | 1 310 | 75,9 | 1 359 | 66,1 |
| 1 213 | 91,6 | 1 262 | 95,3 | 1 311 | 75,8 | 1 360 | 63,8 |
| 1 214 | 91,9 | 1 263 | 95,2 | 1 312 | 75,7 | 1 361 | 61,6 |
| 1 215 | 92,2 | 1 264 | 95,0 | 1 313 | 75,5 | 1 362 | 60,2 |
| 1 216 | 92,8 | 1 265 | 94,9 | 1 314 | 75,2 | 1 363 | 59,8 |
| 1 217 | 93,1 | 1 266 | 94,7 | 1 315 | 75,0 | 1 364 | 60,4 |
| 1 218 | 93,3 | 1 267 | 94,5 | 1 316 | 74,7 | 1 365 | 61,8 |
| 1 219 | 93,5 | 1 268 | 94,4 | 1 317 | 74,1 | 1 366 | 62,6 |
| 1 220 | 93,7 | 1 269 | 94,4 | 1 318 | 73,7 | 1 367 | 62,7 |
| 1 221 | 93,9 | 1 270 | 94,3 | 1 319 | 73,3 | 1 368 | 61,9 |
| 1 222 | 94,0 | 1 271 | 94,3 | 1 320 | 73,5 | 1 369 | 60,0 |
| 1 223 | 94,1 | 1 272 | 94,1 | 1 321 | 74,0 | 1 370 | 58,4 |
| 1 224 | 94,3 | 1 273 | 93,9 | 1 322 | 74,9 | 1 371 | 57,8 |
| 1 225 | 94,4 | 1 274 | 93,4 | 1 323 | 76,1 | 1 372 | 57,8 |
| 1 226 | 94,6 | 1 275 | 92,8 | 1 324 | 77,7 | 1 373 | 57,8 |
| 1 227 | 94,7 | 1 276 | 92,0 | 1 325 | 79,2 | 1 374 | 57,3 |
| 1 228 | 94,8 | 1 277 | 91,3 | 1 326 | 80,3 | 1 375 | 56,2 |
| 1 229 | 95,0 | 1 278 | 90,6 | 1 327 | 80,8 | 1 376 | 54,3 |
| 1 230 | 95,1 | 1 279 | 90,0 | 1 328 | 81,0 | 1 377 | 50,8 |
| 1 231 | 95,3 | 1 280 | 89,3 | 1 329 | 81,0 | 1 378 | 45,5 |
| 1 232 | 95,4 | 1 281 | 88,7 | 1 330 | 81,0 | 1 379 | 40,2 |
| 1 233 | 95,6 | 1 282 | 88,1 | 1 331 | 81,0 | 1 380 | 34,9 |
| 1 234 | 95,7 | 1 283 | 87,4 | 1 332 | 81,0 | 1 381 | 29,6 |
| 1 235 | 95,8 | 1 284 | 86,7 | 1 333 | 80,9 | 1 382 | 27,3 |
| 1 236 | 96,0 | 1 285 | 86,0 | 1 334 | 80,6 | 1 383 | 29,3 |
| 1 237 | 96,1 | 1 286 | 85,3 | 1 335 | 80,3 | 1 384 | 32,9 |
| 1 238 | 96,3 | 1 287 | 84,7 | 1 336 | 80,0 | 1 385 | 35,6 |
| 1 239 | 96,4 | 1 288 | 84,1 | 1 337 | 79,9 | 1 386 | 36,7 |
| 1 240 | 96,6 | 1 289 | 83,5 | 1 338 | 79,8 | 1 387 | 37,6 |
| 1 241 | 96,8 | 1 290 | 82,9 | 1 339 | 79,8 | 1 388 | 39,4 |
| 1 242 | 97,0 | 1 291 | 82,3 | 1 340 | 79,8 | 1 389 | 42,5 |
| 1 243 | 97,2 | 1 292 | 81,7 | 1 341 | 79,9 | 1 390 | 46,5 |
| 1 244 | 97,3 | 1 293 | 81,1 | 1 342 | 80,0 | 1 391 | 50,2 |
| 1 245 | 97,4 | 1 294 | 80,5 | 1 343 | 80,4 | 1 392 | 52,8 |
| 1 246 | 97,4 | 1 295 | 79,9 | 1 344 | 80,8 | 1 393 | 54,3 |
| 1 247 | 97,4 | 1 296 | 79,4 | 1 345 | 81,2 | 1 394 | 54,9 |
| 1 248 | 97,4 | 1 297 | 79,1 | 1 346 | 81,5 | 1 395 | 54,9 |
| 1 249 | 97,3 | 1 298 | 78,8 | 1 347 | 81,6 | 1 396 | 54,7 |
| 1 250 | 97,3 | 1 299 | 78,5 | 1 348 | 81,6 | 1 397 | 54,1 |
| 1 251 | 97,3 | 1 300 | 78,2 | 1 349 | 81,4 | 1 398 | 53,2 |
| 1 252 | 97,3 | 1 301 | 77,9 | 1 350 | 80,7 | 1 399 | 52,1 |
| 1 253 | 97,2 | 1 302 | 77,6 | 1 351 | 79,6 | 1 400 | 50,7 |
| 1 254 | 97,1 | 1 303 | 77,3 | 1 352 | 78,2 | 1 401 | 49,1 |
| 1 255 | 97,0 | 1 304 | 77,0 | 1 353 | 76,8 | 1 402 | 47,4 |
| 1 256 | 96,9 | 1 305 | 76,7 | 1 354 | 75,3 | 1 403 | 45,2 |
| 1 257 | 96,7 | 1 306 | 76,0 | 1 355 | 73,8 | 1 404 | 41,8 |
| 1 258 | 96,4 | 1 307 | 76,0 | 1 356 | 72,1 | 1 405 | 36,5 |
| 1 259 | 96,1 | 1 308 | 76,0 | 1 357 | 70,2 | 1 406 | 31,2 |
| 1 407 | 27,6 | 1 456 | 0,0 |
|
|
|
|
| 1 408 | 26,9 | 1 457 | 0,0 |
|
|
|
|
| 1 409 | 27,3 | 1 458 | 0,0 |
|
|
|
|
| 1 410 | 27,5 | 1 459 | 0,0 |
|
|
|
|
| 1 411 | 27,4 | 1 460 | 0,0 |
|
|
|
|
| 1 412 | 27,1 | 1 461 | 0,0 |
|
|
|
|
| 1 413 | 26,7 | 1 462 | 0,0 |
|
|
|
|
| 1 414 | 26,8 | 1 463 | 0,0 |
|
|
|
|
| 1 415 | 28,2 | 1 464 | 0,0 |
|
|
|
|
| 1 416 | 31,1 | 1 465 | 0,0 |
|
|
|
|
| 1 417 | 34,8 | 1 466 | 0,0 |
|
|
|
|
| 1 418 | 38,4 | 1 467 | 0,0 |
|
|
|
|
| 1 419 | 40,9 | 1 468 | 0,0 |
|
|
|
|
| 1 420 | 41,7 | 1 469 | 0,0 |
|
|
|
|
| 1 421 | 40,9 | 1 470 | 0,0 |
|
|
|
|
| 1 422 | 38,3 | 1 471 | 0,0 |
|
|
|
|
| 1 423 | 35,3 | 1 472 | 0,0 |
|
|
|
|
| 1 424 | 34,3 | 1 473 | 0,0 |
|
|
|
|
| 1 425 | 34,6 | 1 474 | 0,0 |
|
|
|
|
| 1 426 | 36,3 | 1 475 | 0,0 |
|
|
|
|
| 1 427 | 39,5 | 1 476 | 0,0 |
|
|
|
|
| 1 428 | 41,8 | 1 477 | 0,0 |
|
|
|
|
| 1 429 | 42,5 |
|
|
|
|
|
|
| 1 430 | 41,9 |
|
|
|
|
|
|
| 1 431 | 40,1 |
|
|
|
|
|
|
| 1 432 | 36,6 |
|
|
|
|
|
|
| 1 433 | 31,3 |
|
|
|
|
|
|
| 1 434 | 26,0 |
|
|
|
|
|
|
| 1 435 | 20,6 |
|
|
|
|
|
|
| 1 436 | 19,1 |
|
|
|
|
|
|
| 1 437 | 19,7 |
|
|
|
|
|
|
| 1 438 | 21,1 |
|
|
|
|
|
|
| 1 439 | 22,0 |
|
|
|
|
|
|
| 1 440 | 22,1 |
|
|
|
|
|
|
| 1 441 | 21,4 |
|
|
|
|
|
|
| 1 442 | 19,6 |
|
|
|
|
|
|
| 1 443 | 18,3 |
|
|
|
|
|
|
| 1 444 | 18,0 |
|
|
|
|
|
|
| 1 445 | 18,3 |
|
|
|
|
|
|
| 1 446 | 18,5 |
|
|
|
|
|
|
| 1 447 | 17,9 |
|
|
|
|
|
|
| 1 448 | 15,0 |
|
|
|
|
|
|
| 1 449 | 9,9 |
|
|
|
|
|
|
| 1 450 | 4,6 |
|
|
|
|
|
|
| 1 451 | 1,2 |
|
|
|
|
|
|
| 1 452 | 0,0 |
|
|
|
|
|
|
| 1 453 | 0,0 |
|
|
|
|
|
|
| 1 454 | 0,0 |
|
|
|
|
|
|
| 1 455 | 0,0 |
|
|
|
|
|
|
Bảng B1/12-WLTC, Chu trình thử kiểu III, pha ExtraHigh3 (giây 1477 là thời điểm bắt đầu của pha này)
| Thời gian (s) | Vận tốc (km/h) | Thời gian (s) | Vận tốc (km/h) | Thời gian (s) | Vận tốc (km/h) | Thời gian (s) | Vận tốc (km/h) |
| 1 478 | 0,0 | 1 525 | 72,5 | 1 572 | 120,7 | 1 619 | 113,0 |
| 1 479 | 2,2 | 1 526 | 70,8 | 1 573 | 121,8 | 1 620 | 114,1 |
| 1 480 | 4,4 | 1 527 | 68,6 | 1 574 | 122,6 | 1 621 | 115,1 |
| 1 481 | 6,3 | 1 528 | 66,2 | 1 575 | 123,2 | 1 622 | 115,9 |
| 1 482 | 7,9 | 1 529 | 64,0 | 1 576 | 123,6 | 1 623 | 116,5 |
| 1 483 | 9,2 | 1 530 | 62,2 | 1 577 | 123,7 | 1 624 | 116,7 |
| 1 484 | 10,4 | 1 531 | 60,9 | 1 578 | 123,6 | 1 625 | 116,6 |
| 1 485 | 11,5 | 1 532 | 60,2 | 1 579 | 123,3 | 1 626 | 116,2 |
| 1 486 | 12,9 | 1 533 | 60,0 | 1 580 | 123,0 | 1 627 | 115,2 |
| 1 487 | 14,7 | 1 534 | 60,4 | 1 581 | 122,5 | 1 628 | 113,8 |
| 1 488 | 17,0 | 1 535 | 61,4 | 1 582 | 122,1 | 1 629 | 112,0 |
| 1 489 | 19,8 | 1 536 | 63,2 | 1 583 | 121,5 | 1 630 | 110,1 |
| 1 490 | 23,1 | 1 537 | 65,6 | 1 584 | 120,8 | 1 631 | 108,3 |
| 1 491 | 26,7 | 1 538 | 68,4 | 1 585 | 120,0 | 1 632 | 107,0 |
| 1 492 | 30,5 | 1 539 | 71,6 | 1 586 | 119,1 | 1 633 | 106,1 |
| 1 493 | 34,1 | 1 540 | 74,9 | 1 587 | 118,1 | 1 634 | 105,8 |
| 1 494 | 37,5 | 1 541 | 78,4 | 1 588 | 117,1 | 1 635 | 105,7 |
| 1 495 | 40,6 | 1 542 | 81,8 | 1 589 | 116,2 | 1 636 | 105,7 |
| 1 496 | 43,3 | 1 543 | 84,9 | 1 590 | 115,5 | 1 637 | 105,6 |
| 1 497 | 45,7 | 1 544 | 87,4 | 1 591 | 114,9 | 1 638 | 105,3 |
| 1 498 | 47,7 | 1 545 | 89,0 | 1 592 | 114,5 | 1 639 | 104,9 |
| 1 499 | 49,3 | 1 546 | 90,0 | 1 593 | 114,1 | 1 640 | 104,4 |
| 1 500 | 50,5 | 1 547 | 90,6 | 1 594 | 113,9 | 1 641 | 104,0 |
| 1 501 | 51,3 | 1 548 | 91,0 | 1 595 | 113,7 | 1 642 | 103,8 |
| 1 502 | 52,1 | 1 549 | 91,5 | 1 596 | 113,3 | 1 643 | 103,9 |
| 1 503 | 52,7 | 1 550 | 92,0 | 1 597 | 112,9 | 1 644 | 104,4 |
| 1 504 | 53,4 | 1 551 | 92,7 | 1 598 | 112,2 | 1 645 | 105,1 |
| 1 505 | 54,0 | 1 552 | 93,4 | 1 599 | 111,4 | 1 646 | 106,1 |
| 1 506 | 54,5 | 1 553 | 94,2 | 1 600 | 110,5 | 1 647 | 107,2 |
| 1 507 | 55,0 | 1 554 | 94,9 | 1 601 | 109,5 | 1 648 | 108,5 |
| 1 508 | 55,6 | 1 555 | 95,7 | 1 602 | 108,5 | 1 649 | 109,9 |
| 1 509 | 56,3 | 1 556 | 96,6 | 1 603 | 107,7 | 1 650 | 111,3 |
| 1 510 | 57,2 | 1 557 | 97,7 | 1 604 | 107,1 | 1 651 | 112,7 |
| 1 511 | 58,5 | 1 558 | 98,9 | 1 605 | 106,6 | 1 652 | 113,9 |
| 1 512 | 60,2 | 1 559 | 100,4 | 1 606 | 106,4 | 1 653 | 115,0 |
| 1 513 | 62,3 | 1 560 | 102,0 | 1 607 | 106,2 | 1 654 | 116,0 |
| 1 514 | 64,7 | 1 561 | 103,6 | 1 608 | 106,2 | 1 655 | 116,8 |
| 1 515 | 67,1 | 1 562 | 105,2 | 1 609 | 106,2 | 1 656 | 117,6 |
| 1 516 | 69,2 | 1 563 | 106,8 | 1 610 | 106,4 | 1 657 | 118,4 |
| 1 517 | 70,7 | 1 564 | 108,5 | 1 611 | 106,5 | 1 658 | 119,2 |
| 1 518 | 71,9 | 1 565 | 110,2 | 1 612 | 106,8 | 1 659 | 120,0 |
| 1 519 | 72,7 | 1 566 | 111,9 | 1 613 | 107,2 | 1 660 | 120,8 |
| 1 520 | 73,4 | 1 567 | 113,7 | 1 614 | 107,8 | 1 661 | 121,6 |
| 1 521 | 73,8 | 1 568 | 115,3 | 1 615 | 108,5 | 1 662 | 122,3 |
| 1 522 | 74,1 | 1 569 | 116,8 | 1 616 | 109,4 | 1 663 | 123,1 |
| 1 523 | 74,0 | 1 570 | 118,2 | 1 617 | 110,5 | 1 664 | 123,8 |
| 1 524 | 73,6 | 1 571 | 119,5 | 1 618 | 111,7 | 1 665 | 124,4 |
| 1 666 | 125,0 | 1 715 | 127,7 | 1 764 | 82,0 |
|
|
| 1 667 | 125,4 | 1 716 | 128,1 | 1 765 | 81,3 |
|
|
| 1 668 | 125,8 | 1 717 | 128,5 | 1 766 | 80,4 |
|
|
| 1 669 | 126,1 | 1 718 | 129,0 | 1 767 | 79,1 |
|
|
| 1 670 | 126,4 | 1 719 | 129,5 | 1 768 | 77,4 |
|
|
| 1 671 | 126,6 | 1 720 | 130,1 | 1 769 | 75,1 |
|
|
| 1 672 | 126,7 | 1 721 | 130,6 | 1 770 | 72,3 |
|
|
| 1 673 | 126,8 | 1 722 | 131,0 | 1 771 | 69,1 |
|
|
| 1 674 | 126,9 | 1 723 | 131,2 | 1 772 | 65,9 |
|
|
| 1 675 | 126,9 | 1 724 | 131,3 | 1 773 | 62,7 |
|
|
| 1 676 | 126,9 | 1 725 | 131,2 | 1 774 | 59,7 |
|
|
| 1 677 | 126,8 | 1 726 | 130,7 | 1 775 | 57,0 |
|
|
| 1 678 | 126,6 | 1 727 | 129,8 | 1 776 | 54,6 |
|
|
| 1 679 | 126,3 | 1 728 | 128,4 | 1 777 | 52,2 |
|
|
| 1 680 | 126,0 | 1 729 | 126,5 | 1 778 | 49,7 |
|
|
| 1 681 | 125,7 | 1 730 | 124,1 | 1 779 | 46,8 |
|
|
| 1 682 | 125,6 | 1 731 | 121,6 | 1 780 | 43,5 |
|
|
| 1 683 | 125,6 | 1 732 | 119,0 | 1 781 | 39,9 |
|
|
| 1 684 | 125,8 | 1 733 | 116,5 | 1 782 | 36,4 |
|
|
| 1 685 | 126,2 | 1 734 | 114,1 | 1 783 | 33,2 |
|
|
| 1 686 | 126,6 | 1 735 | 111,8 | 1 784 | 30,5 |
|
|
| 1 687 | 127,0 | 1 736 | 109,5 | 1 785 | 28,3 |
|
|
| 1 688 | 127,4 | 1 737 | 107,1 | 1 786 | 26,3 |
|
|
| 1 689 | 127,6 | 1 738 | 104,8 | 1 787 | 24,4 |
|
|
| 1 690 | 127,8 | 1 739 | 102,5 | 1 788 | 22,5 |
|
|
| 1 691 | 127,9 | 1 740 | 100,4 | 1 789 | 20,5 |
|
|
| 1 692 | 128,0 | 1 741 | 98,6 | 1 790 | 18,2 |
|
|
| 1 693 | 128,1 | 1 742 | 97,2 | 1 791 | 15,5 |
|
|
| 1 694 | 128,2 | 1 743 | 95,9 | 1 792 | 12,3 |
|
|
| 1 695 | 128,3 | 1 744 | 94,8 | 1 793 | 8,7 |
|
|
| 1 696 | 128,4 | 1 745 | 93,8 | 1 794 | 5,2 |
|
|
| 1 697 | 128,5 | 1 746 | 92,8 | 1 795 | 0,0 |
|
|
| 1 698 | 128,6 | 1 747 | 91,8 | 1 796 | 0,0 |
|
|
| 1 699 | 128,6 | 1 748 | 91,0 | 1 797 | 0,0 |
|
|
| 1 700 | 128,5 | 1 749 | 90,2 | 1 798 | 0,0 |
|
|
| 1 701 | 128,3 | 1 750 | 89,6 | 1 799 | 0,0 |
|
|
| 1 702 | 128,1 | 1 751 | 89,1 | 1 800 | 0,0 |
|
|
| 1 703 | 127,9 | 1 752 | 88,6 |
|
|
|
|
| 1 704 | 127,6 | 1 753 | 88,1 |
|
|
|
|
| 1 705 | 127,4 | 1 754 | 87,6 |
|
|
|
|
| 1 706 | 127,2 | 1 755 | 87,1 |
|
|
|
|
| 1 707 | 127,0 | 1 756 | 86,6 |
|
|
|
|
| 1 708 | 126,9 | 1 757 | 86,1 |
|
|
|
|
| 1 709 | 126,8 | 1 758 | 85,5 |
|
|
|
|
| 1 710 | 126,7 | 1 759 | 85,0 |
|
|
|
|
| 1 711 | 126,8 | 1 760 | 84,4 |
|
|
|
|
| 1 712 | 126,9 | 1 761 | 83,8 |
|
|
|
|
| 1 713 | 127,1 | 1 762 | 83,2 |
|
|
|
|
| 1 714 | 127,4 | 1 763 | 82,6 |
|
|
|
|
7 Nhận dạng chu trình
Để xác nhận việc đã chọn được chính xác phiên bản chu trình hay chưa hoặc liệu chu trình đúng đã được triển khai vào hệ thống vận hành băng thử hay chưa, tổng kiểm tra các giá trị vận tốc của xe cho các pha chu trình và toàn bộ chu trình được liệt kê trong Bảng B1/13.
Bảng B1/13 - Tổng kiểm tra 1Hz (nếu có)
| Chu trình loại | Pha chu trình | Tổng kiểm tra các vận tốc xe mục tiêu 1 Hz |
| Loại I | Thấp | 11 988,4 |
| Trung bình | 17 162,8 | |
| Cao | 11 988,4 | |
| Tổng | 41 139,6 | |
| Loại II | Thấp | 11 162,2 |
| Trung bình | 17 054,3 | |
| Cao | 24 450,6 | |
| Rất cao | 28 869,8 | |
| Tổng | 81 536,9 | |
| Loại IIla | Thấp | 11 140,3 |
| Trung bình | 16 995,7 | |
| Cao | 25 646,0 | |
| Rất cao | 29 714,9 | |
| Tổng | 83 496,9 | |
| Loại IIIb | Thấp | 11 140,3 |
| Trung bình | 17 121,2 | |
| Cao | 25 782,2 | |
| Rất cao | 29 714,9 | |
| Tổng | 83 758,6 |
8 Sửa đổi chu trình
8.1 Lưu ý chung
Các vấn đề về khả năng lái có thể xảy ra đối với các xe có tỷ số công suất trên khối lượng gần với ranh giới giữa các xe Loại 1 và xe Loại 2, xe Loại 2 và xe Loại 3 hoặc các xe có công suất rất thấp thuộc Loại 1.
Vì những vấn đề này chủ yếu liên quan đến các pha của chu trình với sự kết hợp giữa vận tốc xe cao và gia tốc cao hơn là vận tốc lớn nhất của chu trình nên quy trình thu nhỏ quy mô phải được áp dụng để cải thiện khả năng chạy xe.
8.2 Điều này mô tả phương pháp sửa đổi cấu hình chu trình bằng cách sử dụng quy trình thu nhỏ quy mô. Giá trị vận tốc xe sửa đổi được tính toán theo các 8.2.1 đến 8.2.3 phải được làm tròn theo 6.1.4 của tiêu chuẩn này đến 1 chữ số thập phân ở bước cuối cùng.
8.2.1 Quy trình thu nhỏ quy mô cho chu trình thử kiểu I
Hình B1/14 thể hiện một ví dụ về pha vận tốc trung bình được thu nhỏ của WLTC thử kiểu I.

Hình B1/14 - Pha vận tốc trung bình được thu nhỏ của WLTC thử kiểu I
Đối với chu trình thử kiểu I, khoảng thời gian thu nhỏ quy mô là khoảng thời gian giữa giây 651 và giây 906. Trong khoảng thời gian này, gia tốc của chu trình gốc được tính theo công thức sau:
![]()
Trong đó:
vi vận tốc của xe, km/h;
I thời gian giữa giây 651 và giây 906.
Việc thu nhỏ quy mô phải được áp dụng lần đầu trong khoảng thời gian giữa giây 651 và 848. Sau đó, đường vận tốc được thu nhỏ quy mô phải được tính toán theo phương trình sau:
![]()
Với i = 651 đến 847.
Với i = 651, vdsci = vorigi
Để đáp ứng vận tốc xe ban đầu tại giây thứ 907, hệ số hiệu chỉnh đối với sự giảm tốc phải được tính theo phương trình sau:
![]()
Trong đó: 36,7 km/h là vận tốc xe ban đầu ở giây 907.
Vận tốc xe giảm dần giữa giây 849 và giây 906 phải được tính toán sau đó theo phương trình sau:
![]()
Với i = 849 đến 906
8.2.2 Quy trình thu nhỏ quy mô cho chu trình thử II
Do các vấn đề về khả năng chạy xe chỉ liên quan đến các pha vận tốc cao hơn của chu trình thử kiểu II và kiểu III nên việc thu nhỏ quy mô có liên quan đến các khoảng thời gian của các pha vận tốc cao hơn mà các vấn đề về khả năng chạy xe dự kiến phải xảy ra (xem Hình B1/15 và B1/16).

Hình B1/15 - Pha vận tốc rất cao được thu nhỏ lại của WLTC thử kiểu II
Đối với chu trình thử kiểu II, khoảng thời gian thu nhỏ quy mô là khoảng thời gian giữa giây 1520 và giây 1742. Trong khoảng thời gian này, gia tốc cho chu trình gốc phải được tính theo phương trình sau:
![]()
Trong đó:
vi vận tốc xe, km/h;
l thời gian giữa giây 1520 và giây 1742.
Việc thu nhỏ quy mô phải được áp dụng trước tiên cho khoảng thời gian từ giây 1520 đến giây 1725. Giây 1725 là thời điểm đạt vận tốc lớn nhất của pha vận tốc rất cao. Sau đó, đường vận tốc được thu nhỏ quy mô phải được tính toán bằng phương trình sau:
![]()
Với i = 1520 đến 1724
Với i = 1520, vdsci = vorigi
Để đáp ứng vận tốc ban đầu của xe ở giây thứ 1743, hệ số hiệu chỉnh cho việc giảm tốc phải được tính theo phương trình sau:

90,4 km/h là vận tốc ban đầu của xe ở giây thứ 1743.
Vận tốc xe giảm dần giữa giây 1726 và giây 1742 phải được tính theo phương trình sau:
![]()
với i = 1726 đến 1742.
8.2.3 Quy trình thu nhỏ quy mô cho chu trình thử kiểu III
Hình B1/16 cho thấy một ví dụ về pha vận tốc rất cao được thu nhỏ lại của WLTC thử kiểu III.

Hình B1/16 - Pha vận tốc rất cao được thu nhỏ quy mô lại của WLTC thử kiểu III
Đối với chu trình thử kiểu III, khoảng thời gian thu nhỏ quy mô là khoảng thời gian giữa giây 1533 và giây 1762. Trong khoảng thời gian này, gia tốc cho chu trình gốc phải được tính theo phương trình sau:
![]()
Trong đó:
vi vận tốc xe, km/h;
I thời gian giữa giây 1533 và giây 1762.
Việc thu nhỏ quy mô phải được áp dụng trước tiên trong khoảng thời gian từ giây 1533 đến giây 1724. Giây 1724 là thời điểm đạt vận tốc lớn nhất của pha vận tốc rất cao. Sau đó, đường vận tốc được thu nhỏ quy mô phải được tính toán bằng phương trình sau:
![]()
Với i=1533 đến 1762
Với i=1533, vdsci = vorigi
Để đáp ứng vận tốc ban đầu của xe ở giây thứ 1763, hệ số hiệu chỉnh cho việc giảm tốc phải được tính theo phương trình sau:
![]()
82,6 km/h là vận tốc ban đầu của xe ở giây thứ 1763.
Vận tốc xe giảm dần giữa giây 1725 và giây 1762 phải được tính toán sau đó theo phương trình sau:
![]()
Với i = 1725 đến 1762.
8.3 Xác định hệ số thu nhỏ quy mô (nếu có)
Hệ số thu nhỏ quy mô fdsc là hàm của tỷ số rmax giữa công suất yêu cầu lớn nhất của các pha trong chu trình nơi áp dụng thu nhỏ quy mô và công suất danh định của xe, Prated.
Công suất yêu cầu lớn nhất Preq,max,i (tính bằng kW) liên quan đến thời gian cụ thể i và vận tốc vi tương ứng của xe trong đường chu trình và được tính theo phương trình sau:

Trong đó:
| f0, f1, f2 | các lực cản trên đường áp dụng, N, N/(km/h), và N/(km/h)2 tương ứng; |
| TM | khối lượng thử nghiệm áp dụng, kg; |
| vi | vận tốc tại thời điểm thứ i, km/h; |
| ai | gia tốc tại thời điểm thứ i, m/s2. |
Thời gian chu trình i tại đó yêu cầu các giá trị công suất lớn nhất hoặc công suất gần với công suất lớn nhất là 764 giây đối với chu trình thử kiểu I, 1574 giây đối với chu trình thử kiểu II và 1566 giây thứ hai đối với chu trình thử kiểu III.
Các giá trị vận tốc xe tương ứng, vi, và các giá trị gia tốc, ai, như sau:
vi = 61,4 km/h, ai = 0,22 m/s2 đối với xe loại 1,
vi = 109,9 km/h, ai = 0,36 m/s2 đối với xe loại 2,
vi = 111,9 km/h, ai = 0,50 m/s2 đối với xe loại 3.
rmax phải được tính theo công thức sau:
![]()
Hệ số thu nhỏ quy mô, fdsc, phải được tính bằng các công thức sau:
Nếu rmax < r0, thì fdsc = 0 Và không áp dụng thu nhỏ quy mô.
Nếu rmax ≥ r0, thì fdsc = a1 × rmax + b1
Các tham số/hệ số tính toán r0, a1 và b1 như sau:
Xe Loại 1 r0 = 0,978, a1 = 0,680, b1 = -0,665
Xe Loại 2 r0 = 0,866, a1 = 0,606, b1 = -0,525.
Xe Loại 3 r0 = 0,867, a1 = 0,588 b1 = -0,510.
Kết quả fdsc phải được làm tròn theo 6.1.4 của tiêu chuẩn này đến 3 chữ số thập phân và chỉ được áp dụng nếu vượt quá 0,010.
Ghi lại các số liệu sau:
(a) fdsc;
(b) vmax;
(c) dcycle (khoảng cách chạy xe), m.
Khoảng cách được tính theo công thức sau:
![]()
i = tstart + 1 to tend
Trong đó:
tstart là thời điểm bắt đầu chu trình thử nghiệm áp dụng (xem Điều 3 của phụ lục này), s;
tend là thời điểm mà chu trình thử nghiệm áp dụng kết thúc (xem Điều 3 của phụ lục này), s.
8.4 Yêu cầu bổ sung (nếu có)
Đối với các cấu hình xe khác nhau về khối lượng thử nghiệm và hệ số lực cản dẫn động, việc thu nhỏ quy mô phải được áp dụng riêng lẻ.
Nếu sau khi áp dụng thu nhỏ quy mô, vận tốc lớn nhất của xe thấp hơn vận tốc lớn nhất của chu trình thì quy trình được mô tả tại Điều 9 của phụ lục này phải được áp dụng với chu trình có thể áp dụng.
Nếu xe không thể áp dụng chu trình trong phạm vi dung sai ở vận tốc thấp hơn vận tốc lớn nhất thì xe phải được chạy với bộ điều khiển chân ga được kích hoạt hoàn toàn trong khoảng thời gian này. Trong thời gian hoạt động như vậy, được phép vi phạm chu trình.
9 Sửa đổi chu trình đối với xe có vận tốc lớn nhất thấp hơn vận tốc lớn nhất của chu trình quy định tại các điều trước của phụ lục này
9.1 Lưu ý chung
Điều này áp dụng cho các xe có khả năng kỹ thuật chu trình chạy của chu trình áp dụng được quy định tại Điều 1 của phụ lục này (chu trình cơ sở) ở vận tốc thấp hơn vận tốc lớn nhất của nó nhưng vận tốc lớn nhất được giới hạn ở giá trị thấp hơn vận tốc lớn nhất của nó. Vận tốc lớn nhất của chu trình cơ sở vì các lý do khác.
Vì mục đích của điều này, chu trình áp dụng được quy định tại Điều 1 phải được gọi là "chu trình cơ sở" và được sử dụng để xác định chu trình vận tốc giới hạn.
Trong trường hợp thu nhỏ quy mô theo 8.2 của phụ lục này được áp dụng thì chu trình thu nhỏ quy mô phải được sử dụng làm chu trình cơ sở.
Vận tốc lớn nhất của chu trình cơ sở được gọi là vmax,cycle.
Vận tốc lớn nhất của xe phải được gọi là vận tốc giới hạn vcap.
Nếu vcap được áp dụng cho xe loại 3b, chu trình thử kiểu IIIb như được định nghĩa trong 3.3.2 của phụ lục này phải được sử dụng làm chu trình cơ sở. Điều này phải được áp dụng ngay cả khi vcap thấp hơn 120 km/h.
Trong trường hợp áp dụng vcap, chu trình cơ sở phải được sửa đổi như mô tả trong 9.2 của phụ lục này để đạt được cùng khoảng cách chu trình cho chu trình vận tốc giới hạn như đối với chu trình cơ sở.
9.2 Các bước tính toán
9.2.1 Xác định chênh lệch khoảng cách trên mỗi pha chu trình
Chu trình vận tốc giới hạn tạm thời phải được tính bằng cách thay thể tất cả các mẫu vận tốc xe vi khi vi > vcap bằng vcap.
9.2.1.1 Nếu Vcap Vmax,medium, khoảng cách của các pha vận tốc trung bình của chu trình cơ sở dbase,medium và chu trình vận tốc giới hạn tạm thời dcap,medium phải được tính bằng phương trình sau cho cả hai chu trình:
![]()
Trong đó:
| vmax,medium | vận tốc xe lớn nhất của pha vận tốc trung bình như được liệt kê trong Bảng B1/2 cho chu trình thử kiểu I, trong Bảng B1/4 cho chu trình thử kiểu II, trong Bảng B1/8 cho chu trình thử kiểu llla và trong Bảng B1/9 cho chu trình thử kiểu IIIb. |
9.2.1.2 Nếu vcap < vmax,high, khoảng cách của các pha vận tốc cao của chu trình cơ sở dbase,high và chu trình vận tốc giới hạn tạm thời dcap,high phải được tính bằng phương trình sau cho cả hai chu trình:
![]()
vmax,high là vận tốc lớn nhất của xe trong pha vận tốc cao như được liệt kê trong Bảng B1/5 cho chu trình thử kiểu III, trong Bảng B1/10 cho chu trình thử kiểu loại llla và trong Bảng B1/11 cho chu trình thử kiểu IIIb.
9.2.1.3 Khoảng cách của pha vận tốc rất cao của chu trình cơ sở dbase,exhigh và chu trình vận tốc giới hạn tạm thời dcap,exhigh phải được tính toán bằng cách áp dụng phương trình sau cho pha vận tốc rất cao của cả hai chu trình:
![]()
9.2.2 Xác định khoảng thời gian được thêm vào chu trình vận tốc giới hạn tạm thời để bù đắp cho sự khác biệt về khoảng cách.
Để bù đắp cho sự khác biệt về khoảng cách giữa chu trình cơ sở và chu trình vận tốc giới hạn tạm thời, các khoảng thời gian tương ứng với vi = vcap phải được thêm vào chu trình vận tốc giới hạn tạm thời như mô tả trong 9.2.2.1 đến 9.2.2.3 phụ lục này.
9.2.2.1 Khoảng thời gian bổ sung cho pha vận tốc trung bình
Nếu vcap < vmax,medium, khoảng thời gian bổ sung được thêm vào pha vận tốc trung bình của chu trình vận tốc giới hạn tạm thời phải được tính theo phương trình sau:
![]()
Số lượng mẫu thời gian nadd,medium có vi = vcap được thêm vào pha vận tốc trung bình của chu trình vận tốc giới hạn tạm thời bằng Δtmedium, được làm tròn theo 6.1.4 của tiêu chuẩn này đến số nguyên gần nhất.
9.2.2.2 Khoảng thời gian bổ sung cho pha vận tốc cao
Nếu vcap < vmax,high, khoảng thời gian bổ sung được thêm vào các pha vận tốc cao của chu trình vận tốc giới hạn tạm thời phải được tính theo phương trình sau:
![]()
Số lượng mẫu thời gian nadd,high với vi = vcap được thêm vào pha vận tốc cao của chu trình vận tốc giới hạn tạm thời bằng Δthigh, được làm tròn theo 6.1.4 của tiêu chuẩn này đến số nguyên gần nhất.
9.2.2.3 Khoảng thời gian bổ sung được thêm vào pha vận tốc rất cao của chu trình vận tốc giới hạn tạm thời phải được tính theo phương trình sau:
![]()
Số lượng mẫu thời gian nadd,exhigh có vi = vcap được thêm vào pha vận tốc rất cao của chu trình vận tốc giới hạn tạm thời bằng Δtexhigh, được làm tròn theo 6.1.4 của tiêu chuẩn này đến số nguyên gần nhất.
9.2.3 Xây dựng chu trình vận tốc giới hạn cuối cùng
9.2.3.1 Chu trình thử kiểu I
Phần đầu tiên của chu trình vận tốc giới hạn cuối cùng bao gồm chu trình chạy xe của chu trình vận tốc giới hạn tạm thời cho đến mẫu cuối cùng trong pha vận tốc trung bình trong đó v = vcap. Thời gian của mẫu này được gọi là tmedium. Sau đó thêm các mẫu nadd,medium có vi = vcap sao cho thời gian của mẫu cuối cùng là (tmedium + nadd,medium).
Phần còn lại của pha vận tốc trung bình của chu trình vận tốc giới hạn tạm thời, giống với phần tương tự của chu trình cơ sở, sau đó phải được thêm vào, sao cho thời gian của mẫu cuối cùng là (1022 + nadd,medium).
9.2.3.2 Chu trình thử kiểu II và kiểu III
9.2.3.2.1 vcap < vmax,medium
Phần đầu tiên của chu trình vận tốc giới hạn cuối cùng bao gồm chu trình chạy xe của chu trình vận tốc giới hạn tạm thời cho đến mẫu cuối cùng trong pha vận tốc trung bình trong đó v = vcap. Thời gian của mẫu này được gọi là tmedium. Sau đó thêm các mẫu nadd,medium có vi = vcap sao cho thời gian của mẫu cuối cùng là (tmedium + nadd,medium).
Phần còn lại của pha vận tốc trung bình của chu trình vận tốc giới hạn tạm thời, giống hệt với phần tương tự của chu trình cơ sở, sau đó phải được thêm vào, sao cho thời gian của mẫu cuối cùng là (1022 + nadd,medium).
Trong bước tiếp theo, phần đầu tiên của pha vận tốc cao của chu trình vận tốc giới hạn tạm thời cho đến mẫu cuối cùng trong pha vận tốc cao trong đó v = vcap phải được thêm vào. Thời gian của mẫu này ở vận tốc giới hạn tạm thời được gọi là thigh, do đó thời gian của mẫu này trong chu trình vận tốc giới hạn cuối cùng là (thigh + nadd,medium).
Khi đó, các mẫu nadd, high có vi = vcap phải là được thêm vào, sao cho thời gian của mẫu cuối cùng trở thanh (thigh + nadd,medium + nadd,high).
Phần còn lại của pha vận tốc cao của chu trình vận tốc giới hạn tạm thời, giống hệt với phần tương tự của chu trình cơ sở, sau đó phải được thêm vào, sao cho thời gian của mẫu cuối cùng là (1477 + nadd,medium + nadd,high).
Trong bước tiếp theo, phần đầu tiên của pha vận tốc rất cao (nếu có) của chu trình vận tốc giới hạn tạm thời cho đến mẫu cuối cùng trong pha vận tốc rất cao trong đó v = vcap phải được thêm vào. Thời gian của mẫu này ở vận tốc giới hạn tạm thời được gọi là texhigh, do đó thời gian của mẫu này trong chu trình vận tốc giới hạn cuối cùng là (texhigh + nadd,medium + nadd,high).
Sau đó cộng các mẫu nadd,exhigh có vi = vcap sao cho thời gian của mẫu cuối cùng là (texhigh + nadd,medium + nadd,high + nadd,exhigh).
Phần còn lại của pha vận tốc rất cao (nếu có) của chu trình vận tốc giới hạn tạm thời, giống với phần tương tự của chu trình cơ sở, sau đó phải được thêm vào, sao cho thời gian của mẫu cuối cùng là (1800 + nadd,medium + nadd,high + nadd,exhigh).
Độ dài của chu trình vận tốc giới hạn cuối cùng tương đương với độ dài của chu trình cơ sở ngoại trừ những khác biệt do quá trình làm tròn gây ra theo 6.1.4 của tiêu chuẩn này đối với nadd,medium, + nadd,high và nadd,exhigh.
9.2.3.2.2 vmax,medium ≤ vcap < vmax,exhigh
Phần đầu tiên của chu trình vận tốc giới hạn cuối cùng bao gồm chu trình chạy xe của chu trình vận tốc giới hạn tạm thời cho đến mẫu cuối cùng trong pha vận tốc cao trong đó v = vcap. Thời gian của mẫu này được gọi là thigh.
Sau đó, thêm các mẫu nadd,high có vi = vcap sao cho thời gian của mẫu cuối cùng là (thigh + nadd,high).
Phần còn lại của pha vận tốc cao của chu trình vận tốc giới hạn tạm thời, giống với phần tương tự của chu trình cơ sở, sau đó phải được thêm vào, sao cho thời gian của mẫu cuối cùng là (1477 + nadd,high).
Trong bước tiếp theo, phần đầu tiên của pha vận tốc rất cao (nếu có) của chu trình vận tốc giới hạn tạm thời cho đến mẫu cuối cùng trong pha vận tốc rất cao trong đó v = vcap phải được thêm vào. Thời gian của mẫu này ở vận tốc giới hạn tạm thời được gọi là texhigh, do đó thời gian của mẫu này trong chu trình vận tốc giới hạn cuối cùng là (texhigh + nadd,high).
Sau đó các mẫu nadd,exhigh có vi = vcap phải được thêm vào, sao cho thời gian của mẫu cuối cùng là (texhigh + nadd,high + nadd,exhigh).
Phần còn lại của pha vận tốc rất cao (nếu có) của chu trình vận tốc giới hạn tạm thời, giống với phần tương tự của chu trình cơ sở, sau đó phải được thêm vào, sao cho thời gian của mẫu cuối cùng là (1800 + nadd,high + nadd,exhigh).
Độ dài của chu trình vận tốc giới hạn cuối cùng tương đương với độ dài của chu trình cơ sở ngoại trừ những khác biệt do quá trình làm tròn gây ra theo 6.1.4 của tiêu chuẩn này đối với nadd,high và nadd,exhigh.
9.2.3.2.3 vmax,high ≤ vcap < vmax,exhigh
Phần đầu tiên của chu trình vận tốc giới hạn cuối cùng bao gồm chu trình chạy xe của chu trình vận tốc giới hạn tạm thời cho đến mẫu cuối cùng trong pha vận tốc rất cao trong đó v = vcap. Thời gian của mẫu này được gọi là texhigh.
Sau đó, các mẫu nadd,exhigh có vi = vcap được thêm vào sao cho thời gian của mẫu cuối cùng là (texhigh + nadd,exhigh).
Phần còn lại của pha vận tốc rất cao của chu trình vận tốc giới hạn tạm thời, giống với phần tương tự của chu trình cơ sở, sau đó phải được thêm vào, sao cho thời gian của mẫu cuối cùng là (1800 + nadd,exhigh).
Độ dài của chu trình vận tốc giới hạn cuối cùng tương đương với độ dài của chu trình cơ sở ngoại trừ những khác biệt do quá trình làm tròn gây ra theo 6.1.4 của tiêu chuẩn này đối với nadd,exhigh.
10 Phân bổ chu trình cho các xe
10.1 Một xe thuộc loại nhất định phải được thử nghiệm trên chu trình của cùng một loại, tức là xe Loại 1 theo chu trình thử kiểu I, xe Loại 2 theo chu trình thử kiểu II xe Loại 3a theo chu trình thử kiểu llla và xe Loại 3b theo chu trình thử kiểu IIIb. Tuy nhiên, theo yêu cầu của nhà sản xuất và được sự chấp thuận của cơ quan có thẩm quyền, xe có thể được thử nghiệm ở cấp chu trình cao hơn, ví dụ: xe Loại 2 có thể được thử nghiệm theo chu trình thử kiểu III. Trong trường hợp này, sự khác biệt giữa xe Loại 3a và xe loại 3b phải được tôn trọng và chu trình có thể được thu nhỏ quy mô theo Điều 8 đến 8.3 của phụ lục này.
Phụ lục B2
(Quy định)
Lựa chọn số và xác định điểm chuyển số cho ô tô trang bị hộp số cơ khí
1 Tiếp cận chung
1.1 Quy trình chuyển số được mô tả trong phụ lục này phải áp dụng cho xe trang bị hộp số cơ khí chuyển số bằng tay.
1.2 Các tay số và điểm chuyển số được quy định dựa trên sự cân bằng giữa công suất cần thiết để vượt lực cản lái và khả năng tăng tốc, và công suất do động cơ cung cấp ở tất cả các số có thể có ở một pha chu trình cụ thể.
1.3 Việc tính toán để xác định các số được sử dụng phải dựa trên vận tốc động cơ và đường cong công suất toàn tải so với vận tốc động cơ.
1.4 Đối với xe được trang bị hộp số hai cấp (thấp và cao), chỉ cấp số được thiết kế cho hoạt động bình thường trên đường mới được xem xét để xác định việc sử dụng hộp số.
1.5 Các quy định về hoạt động của ly hợp phải không được áp dụng nếu ly hợp được vận hành tự động mà không cần đến sự gài hoặc nhả của người lái.
1.6 Phụ lục này không áp dụng cho xe được thử nghiệm theo Phụ lục B7.
2 Dữ liệu yêu cầu và tính toán trước
Cần có các dữ liệu sau đây và phải thực hiện các tính toán để xác định các số được sử dụng khi chạy chu trình trên băng thử động lực:
(a) Prated, công suất danh định lớn nhất của động cơ do nhà sản xuất công bố, kW;
(b) nrated, Vận tốc danh định của động cơ được nhà sản xuất công bố là vận tốc động cơ tại đó động cơ phát huy công suất cực đại, min-1.
(c) nidle, vận tốc chạy không tải, min-1.
nidle phải được đo trong khoảng thời gian ít nhất là 1 min ở vận tốc lấy mẫu ít nhất là 1 Hz với động cơ chạy ở điều kiện ấm, cần số ở vị trí trung gian và ly hợp đóng. Các điều kiện về nhiệt độ, thiết bị ngoại vi và phụ trợ, v.v. phải giống như mô tả trong Phụ lục B5 đối với phép thử kiểu l.
Giá trị được sử dụng trong phụ lục này phải là giá trị trung bình số học trên khoảng thời gian đo và làm tròn theo 6.1.4 của tiêu chuẩn này chính xác đến 10 min-1 gần nhất;
(d) ng, số tiến.
Các số tiến trong phạm vi truyền động được thiết kế để vận hành bình thường trên đường phải được đánh số theo thứ tự tỷ số giảm dần giữa vận tốc động cơ tính bằng min-1 và vận tốc xe tính bằng km/h. Số 1 là số có tỷ số cao nhất, số ng là số có tỷ số thấp nhất, ng xác định số tiến;
(e) (n/v)i, tỷ số thu được bằng cách chia vận tốc động cơ n cho vận tốc xe v đối với mỗi số i, với i = 1 đến ng, min-1 /(km/h). (n/v)i phải được tính theo các phương trình tại Điều 4 của Phụ lục B6;
(f) f0, f1, f2, lực cản trên đường được chọn để thử nghiệm, lần lượt là N, N/(km/h) và N/(km/h)2
(9) nmax
nmax1 = n95_high, vận tốc lớn nhất của động cơ khi đạt được 95 % công suất danh định, min-1;
Nếu không thể xác định được n95_high do vận tốc động cơ bị giới hạn ở giá trị nlim thấp hơn đối với tất cả các số và công suất toàn tải tương ứng cao hơn 95 % công suất danh định thì n95_high phải được đặt ở nlim.
nmax2 = (n/v)(ngvmax) × vmax,cyle
nmax3 = (n/v)(ngvmax) × vmax,vehicle
Trong đó:
| vmax,cycle | vận tốc lớn nhất của chu trình chạy xe theo Phụ lục B1, km/h; |
| vmax,vehicle | vận tốc lớn nhất của xe theo Điều 2(i) của phụ lục này, km/h; |
| (n/v)(ngvmax) | tỷ số thu được bằng cách chia vận tốc động cơ n cho vận tốc xe v đối với hộp số ngvmax, min-1(km/h); |
được định nghĩa tại Điều 2(i) của phụ lục này;
| nmax | giá trị lớn nhất của nmax1, nmax2 và nmax3, min-1; |
| (h) Pwot(n), | đường cong công suất toàn tải trên phạm vi vận tốc động cơ. |
Đường cong công suất phải bao gồm đủ số lượng bộ dữ liệu (n,Pwot) để việc tính toán các điểm tạm thời giữa các tập dữ liệu liên tiếp có thể được thực hiện bằng phép nội suy tuyến tính. Độ lệch của phép nội suy tuyến tính so với đường cong công suất toàn tải theo TCVN 9725:2013 không được vượt quá 2 %. Tập dữ liệu đầu tiên phải ở nmin_drive_set (xem (k)(3) bên dưới) hoặc thấp hơn. Tập dữ liệu cuối cùng phải ở vận tốc động cơ nmax hoặc cao hơn. Các bộ dữ liệu không cần phải cách đều nhau nhưng tất cả các bộ dữ liệu đều phải được báo cáo.
Các bộ dữ liệu và các giá trị danh định Prated và nrated phải được lấy từ đường cong công suất do nhà sản xuất công bố.
Công suất toàn tải ở vận tốc động cơ không được quy định trong TCVN 9725:2013 được xác định theo phương pháp mô tả trong TCVN 9725:2013.
(i) Xác định ngvmax và vmax
ngvmax, số mà xe đạt được vận tốc lớn nhất và được xác định như sau:
Nếu: vmax(ng) ≥ vmax(ng-1) và vmax(ng-1) ≥ vmax(ng-2), khi đó:
ngvmax = ng và vmax = vmax(ng).
Nếu vmax(ng) < vmax(ng-1) và vmax(ng-1) > vmax(ng-2), thì:
ngvmax = ng-1 và vmax = vmax(ng-1),
ngược lại, ngvmax = ng-2 và vmax = vmax(ng-2)
Trong đó:
| vmax(ng) | vận tốc xe tại đó công suất tải đường yêu cầu bằng công suất khả dụng Pwot trong số ng (xem Hình B2/1a); |
| vmax(ng-1) | vận tốc xe tại đó công suất tải đường yêu cầu bằng công suất khả dụng Pwot ở số thấp hơn tiếp theo (số ng-1). Xem Hình B2/1b; |
| vmax(ng-2) | vận tốc xe tại đó công suất tải đường yêu cầu bằng công suất khả dụng Pwot trong số ng-2. |
Giá trị vận tốc xe được làm tròn theo 6.1.4 của tiêu chuẩn này đến một chữ số thập phân phải được sử dụng để xác định vmax và ngvmax.
Công suất tải yêu cầu trên đường, kW, phải được tính bằng công thức phương trình sau:
![]()
Trong đó:
v là vận tốc xe quy định ở trên, km/h.
Công suất khả dụng ở vận tốc xe vmax ở số ng, số ng-1 hoặc số ng-2 phải được xác định từ đường cong công suất toàn tải, Pwot(n), bằng sử dụng các phương trình sau:
nng = (n/v)ng x vmax(ng);
nng-1 = (n/v)ng-1 x vmax(ng-1);
nng-2 = (n/v)ng-2 x vmax(ng-2),
và bằng cách giảm các giá trị công suất của đường cong công suất toàn tải 10 %.
Phương pháp được mô tả ở trên phải được mờ rộng cho các số thấp hơn nữa, tức là ng-3, ng-4, v.v. nếu cần.
Nếu vì mục đích giới hạn vận tốc lớn nhất của xe, vận tốc lớn nhất của động cơ được giới hạn ở mức nlim thấp hơn vận tốc động cơ tương ứng với giao điểm của đường cong công suất tải đường vả đường cong thì công suất khả dụng:
ngvmax = ng and vmax = nlim / (n/v)(ng).

Hình B2/1a - Một ví dụ trong đó ngvmax là số cao nhất

Hình B2/1b - Một ví dụ trong đó ngvmax là số cao thứ 2
(j) Loại trừ số bánh xích
Số 1 có thể bị loại theo yêu cầu của nhà sản xuất nếu đáp ứng đầy đủ tất cả các điều kiện sau:
(1) Họ xe được coi là có khả năng kéo rơ moóc;
(2) (n/v)1 × (vmax/n95_high) > 6,74;
(3) (n/v)2 × (vmax/n95_high) > 3,85;
(4) Xe có khối lượng mt như được xác định trong phương trình dưới đây, có thể thoát khỏi trạng thái đứng yên trong vòng 4 s, trên độ dốc lên dốc ít nhất 12 %, trong năm trường hợp riêng biệt trong khoảng thời gian 5 min.
mt = mr0 + 25 kg + (MC - mr0 - 25 kg) × 0,28
(hệ số 0,28 trong phương trình trên áp dụng cho xe loại 2 có tổng khối lượng xe đến 3500 kg và thay bằng hệ số 0,15 đối với xe loại 1),
Trong đó:
| vmax | vận tốc lớn nhất của xe quy định tại Điều 2(i) của phụ lục này. Chỉ giá trị vmax thu được từ giao điểm của đường cong công suất lực cản trên đường yêu cầu và đường cong công suất khả dụng của hộp số liên quan mới được sử dụng cho các điều kiện tại (2) và (3) ở trên. Không được sử dụng giá trị vmax do giới hạn vận tốc động cơ ngăn cản sự giao nhau của các đường cong này; |
| (n/v)(ngvmax) | tỷ số thu được bằng cách chia vận tốc động cơ n cho vận tốc xe v đối với số ngvmax, min-1/(km/h); |
| mr0 | khối lượng chạy xe quy định, kg; |
| MC | khối lượng có tải lớn nhất cho phép về mặt kỹ thuật của tổ hợp (xem 3.2.26 của tiêu chuẩn này), kg. |
Trong trường hợp này, không được sử dụng số 1 khi dẫn động chu trình trên băng thử và các số phải được đánh số lại bắt đầu từ số thứ hai là số 1.
(k) Định nghĩa nmin_drive
nmin_drive là vận tốc động cơ nhỏ nhất khi xe chuyển động, min-1;
(1) Với ngear = 1, nmin_drive = nidle,
(2) Với ngear = 2,
(i) khi chuyển từ số một sang số hai: nmin_drive = 1.15 × nidle,
(ii) khi giảm tốc dừng lại: nmin_drive = nidle,
(iii) đối với tất cả các điều kiện chạy xe khác: nmin_drive = 0.9 × nidle.
(3) Đối với ngear > 2, nmin_drive được xác định bởi:
nmin_drive = nidle + 0,125 × (nrated - nidle).
Giá trị này phải được gọi là nmin_drive_set.
nmin_drive_set phải được làm tròn theo 6.1.4 của tiêu chuẩn này đến số nguyên gần nhất.
Các giá trị cao hơn nmin_drive_set có thể được sử dụng cho ngear > 2 nếu nhà sản xuất yêu cầu. Trong trường hợp này, nhà sản xuất có thể chỉ định một giá trị cho các pha tăng tốc/vận tốc không đổi (nmin_drive_up) và một giá trị khác cho các pha giảm tốc (nmin_drive_down).
Các mẫu có giá trị gia tốc ≥ -0,1389 m/s2 thuộc về các pha tăng tốc/vận tốc không đổi. Thông số pha này chỉ được sử dụng để xác định số ban đầu theo 3.5 của phụ lục này và phải không được áp dụng cho các yêu cầu quy định tại Điều 4 của phụ lục này.
Ngoài ra, trong khoảng thời gian đầu (tstart_phase), nhà sản xuất có thể chỉ định các giá trị cao hơn (nmin_drive_start hoặc nmin_drive_up_start và nmin_drive_down_start) cho các giá trị nmin_drive hoặc nmin_drive_up và nmin_drive_down cho ngear > 2 so với giá trị được chỉ định ở trên.
Khoảng thời gian ban đầu phải được nhà sản xuất quy định nhưng không được vượt quá pha vận tốc thấp của chu trình và phải kết thúc ở pha dừng sao cho không có sự thay đổi nmin_drive trong một chuyến đi ngắn.
Tất cả các giá trị nmin_drive được chọn riêng lẻ phải bằng hoặc cao hơn nmin_drive_set nhưng không được vượt quá (2 × nmin_drive_set).
Tất cả các giá trị nmin_drive và tstart_phase được chọn riêng lẻ phải được ghi lại. Chỉ nmin_drive_set mới được sử dụng làm giới hạn dưới cho đường cong công suất toàn tải theo 2(h) ở trên.
(I) TM, khối lượng thử của xe, kg.
3 Tính toán công suất cần thiết, vận tốc động cơ, công suất khả dụng và các khả năng có số có thể được sử dụng
3.1 Tính toán công suất cần thiết
Đối với mỗi giây j của chu trình quỹ đạo, công suất cần thiết để vượt lực cản và gia tốc phải được tính theo công thức sau:
![]()
Trong đó:
Prequired,j công suất yêu cầu tại giây thứ j, kW;
aj gia tốc của xe ở giây thứ j, m/s2 và được tính như sau:
![]()
j = tstart đến tend - 1,
| tstart | thời điểm bắt đầu chu trình thử nghiệm áp dụng (xem Điều 3 Phụ lục B1 của tiêu chuẩn này), s; |
| tend | thời điểm kết thúc chu trình thử nghiệm áp dụng (xem Điều 3 Phụ lục B1 của tiêu chuẩn này), s; |
|
| Giá trị gia tốc tại giây tend (giây 1611 cho chu trình loại 1 và giây 1800 cho chu trình thử kiểu II và III có thể được đặt thành 0 để tránh các pin đã cạn. |
| Kr | hệ số lấy điện trở quán tính của hệ động lực trong quá trình tính đến gia tốc và được đặt thành 1,03. |
3.2 Xác định vận tốc động cơ
Với bất kỳ vj < 1,0 km/h, phải giả định rằng xe đang đứng yên và vận tốc động cơ phải được đặt tại nidle. Cần số phải được đặt ở vị trí trung gian và ly hợp được đóng ngoại trừ 1 s trước khi bắt đầu tăng tốc từ trạng thái dừng trong đó số đầu tiên phải được chọn khi ly hợp được ngắt.
Đối với mỗi vj ≥ 1,0 km/h của đường chu trình và mỗi số i, i = 1 đến ng vận tốc động cơ, ni,j, phải được tính theo công thức sau:
ni,j = (n/v)i × vj
Việc tính toán được thực hiện bằng số dấu phẩy động; kết quả không được làm tròn.
3.3 Lựa chọn các số có thể có liên quan đến vận tốc động cơ
Các số sau đây có thể được chọn để truyền động chu trình chạy tại vj;
(a) Tất cả các số i < ngvmax trong đó nmin_drive ≤ ni,j < nmax1;
(b) Tẩt cả các số i ≥ ngvmax trong đó nmin_drive ≤ ni,j ≤ nmax2;
(c) Số 1, nếu n1,j < nmin_drive.
Nếu aj < 0 và ni,j < nidle,ni,j phải được đặt thành nidle và ly hợp phải được ngắt.
Nếu aj ≥ 0 và ni,j < max (1,15 × nidle; vận tốc động cơ nhỏ nhất của đường cong Pwot(n)), ni,j phải được đặt ở mức lớn nhất là (1,15 × nidle) hoặc vận tốc động cơ nhỏ nhất của đường cong Pwot(n) và ly hợp phải được đặt ở mức “không xác định”.
“Không xác định” bao gồm mọi trạng thái của ly hợp từ lúc nhà khớp đến lúc vào khớp, tùy thuộc vào từng động cơ và thiết kế hộp số. Trong trường hợp đó, vận tốc thực của động cơ có thể sai lệch so với vận tốc tính toán của động cơ.
Liên quan đến định nghĩa của nmin_drive trong 2(k), các yêu cầu (a) đến (c) có thể được thể hiện như sau đối với các pha giảm tốc:
Trong pha giảm tốc, các số có giá trị ngear > 2 miễn là vận tốc động cơ không giảm xuống dưới nmin_drive.
Phải sử dụng số 2 trong pha giảm tốc trong một hành trình ngắn của chu trình (không phải ở cuối hành trình ngắn) miễn là vận tốc động cơ không giảm xuống dưới (0,9 × nidle).
Nếu vận tốc động cơ giảm xuống dưới mức nidle, ly hợp phải được ngắt.
Nếu pha giảm tốc là phần cuối cùng của một chuyến đi ngắn ngay trước pha dừng thì phải sử dụng số thứ hai miễn là vận tốc động cơ không giảm xuống dưới mức lớn nhất. Yêu cầu này phải được áp dụng cho toàn bộ pha giảm tốc kết thúc ở trạng thái dừng.
Pha giảm tốc là khoảng thời gian dài hơn 2 s với vận tốc xe > 1,0 km/h và vận tốc xe giảm đều đều (xem Điều 4 của phụ lục này).
3.4 Tính toán công suất khả dụng
Đối với mỗi giá trị vận tốc động cơ nk của đường cong công suất toàn tải như quy định tại Điều 2(h) của phụ lục này, công suất khả dụng Pavailable_k phải được tính theo công thức sau:
Pavailable_k = Pwot (nk) × (1 - (SM + ASM))
Trong đó:
| Pwot | công suất khả dụng ở nk ở điều kiện toàn tải tính từ đường cong công suất toàn tải; |
| SM | giới hạn an toàn tính đến sự khác biệt giữa đường cong công suất ở trạng thái đầy tải cố định và công suất khả dụng trong các điều kiện chuyển tiếp. SM phải được đặt ở mức 10 %; |
ASM giới hạn an toàn nguồn bổ sung có thể được áp dụng tại yêu cầu của nhà sản xuất.
Khi được yêu cầu, nhà sản xuất phải cung cấp các giá trị ASM (tính bằng phần trăm giảm công suất wot) cùng với các bộ dữ liệu cho Pwot(n) như được trình bày trong ví dụ trong Bảng B2/1. Nội suy tuyến tính phải được sử dụng giữa các điểm dữ liệu liên tiếp. ASM bị giới hạn ở mức 50 %.
Việc áp dụng ASM cần có sự chấp thuận của cơ quan có thẩm quyền.
Bảng B2/1
| n | Pwot | SM | ASM | Pavailable |
| min-1 | kW | % | % | kW |
| 700 | 6,3 | 10,0 | 20,0 | 4,4 |
| 1 000 | 15,7 | 10,0 | 20,0 | 11,0 |
| 1 500 | 32,3 | 10,0 | 15,0 | 24,2 |
| 1 800 | 56,6 | 10,0 | 10,0 | 45,3 |
| 1 900 | 59,7 | 10,0 | 5,0 | 50,8 |
| 2 000 | 62,9 | 10,0 | 0,0 | 56,6 |
| 3 000 | 94,3 | 10,0 | 0,0 | 84,9 |
| 4 000 | 125,7 | 10,0 | 0,0 | 113,2 |
| 5 000 | 157,2 | 10,0 | 0,0 | 141,5 |
| 5 700 | 179,2 | 10,0 | 0,0 | 161,3 |
| 5 800 | 180,1 | 10,0 | 0,0 | 162,1 |
| 6 000 | 174,7 | 10,0 | 0,0 | 157,3 |
| 6 200 | 169,0 | 10,0 | 0,0 | 152,1 |
| 6 400 | 164,3 | 10,0 | 0,0 | 147,8 |
| 6 600 | 156,4 | 10,0 | 0,0 | 140,8 |
Đối với mỗi số có thể có i và từng giá trị vận tốc xe của chu trình quỹ đạo vj (j như quy định tại 3.1 của Phụ lục này) và mỗi giá trị vận tốc động cơ ni,j ≥ nmin của đường cong công suất đầy tải, công suất khả dụng phải được tính từ giá trị nk, Pavailable_k liền kề của đường cong công suất toàn tải bằng phép nội suy tuyến tính.
3.5 Xác định các số có thể được sử dụng
Các số có thể sử dụng phải được xác định theo các điều kiện sau:
(a) Các điều kiện của 3.3 của phụ lục này được đáp ứng, và
(b) Với ngear > 2, nếu Pavailable_i,j ≥ Prequired,j.
Số ban đầu được sử dụng cho mỗi giây thứ j của đường chu trình là số cuối cùng cao nhất có thể, imax. Khi bắt đầu từ trạng thái dừng, chỉ sử dụng số thứ nhất.
Số cuối cùng thấp nhất có thể là imin.
4 Yêu cầu bổ sung đối với việc hiệu chỉnh và/hoặc sửa đổi việc sử dụng hộp số
Việc lựa chọn tay số ban đầu phải được thử nghiệm và sửa đổi để tránh chuyển số quá thường xuyên và đảm bảo khả năng lái và tính thực tế.
Pha tăng tốc là khoảng thời gian dài hơn 2 s với vận tốc xe ≥ 1,0 km/h và vận tốc xe tăng đều đều. Pha giảm tốc là khoảng thời gian hơn 2 s với vận tốc xe ≥ 1,0 km/h và vận tốc xe giảm đều đều. Pha vận tốc không đổi là khoảng thời gian trên 2 s với vận tốc xe không đổi ≥ 1,0 km/h.
Việc kết thúc pha tăng/giảm tốc được xác định bởi mẫu thời gian cuối cùng trong dó vận tốc xe cao hơn/thấp hơn vận tốc xe của mẫu thời gian trước đó. Trong nội dung này, sự kết thúc của pha giảm tốc có thể là sự khởi đầu của pha tăng tốc. Trong trường hợp này, các yêu cầu đối với các pha tăng tốc phải cao hơn các yêu cầu đối với các pha giảm tốc.
Việc sửa chữa và/hoặc sửa đổi phải được thực hiện theo các yêu cầu sau:
Việc kiểm tra sửa đổi được mô tả trong 4(a) của phụ lục này phải được áp dụng cho chu trình quỹ đạo hoàn chỉnh hai lần trước khi áp dụng 4(b) đến 4(f) của phụ lục này.
(a) Nếu chỉ cần chuyển số cao hơn một cáp (n+1) trong 1 s và số trước và sau giống nhau (n) hoặc một trong số chúng thấp hơn một bậc (n - 1), số (n+1) được hiệu chỉnh về số n.
VÍ DỤ:
Chuỗi số i -1, i, i - 1 được thay thế bằng:
i - 1, i - 1, i - 1;
Chuỗi số i - 1, i, i - 2 được thay thế bằng:
i - 1, i - 1, i - 2;
Chuỗi số i - 2, i, i - 1 được thay thế bằng:
i - 2, i - 1, i - 1.
Nếu, trong quá trình tăng tốc hoặc các pha hoặc chuyển đổi vận tốc không đổi từ vận tốc không đổi để tăng tốc hoặc tăng tốc đến các pha vận tốc không đổi trong đó các pha này chỉ chứa các số lên, một số chỉ được sử dụng cho một giây, số ở giây tiếp theo phải được điều chỉnh thành số trước đó để sử dụng số trong ít nhất 2 s.
VÍ DỤ:
Chuỗi số 1, 2, 3, 3, 3, 3, 3 được thay thế bằng:
1, 1, 2, 2, 3, 3, 3.
Chuỗi số 1, 2, 3, 4, 5, 5, 6, 6, 6, 6, 6 được thay thế bằng:
1, 1, 2, 2, 3, 3, 4, 4, 5, 5, 6.
Yêu cầu này không được áp dụng cho việc giảm số trong pha tăng tốc hoặc nếu việc sử dụng số chỉ trong một giây ngay sau khi giảm số đó hoặc nếu việc giảm số xảy ra ngay khi bắt đầu pha tăng tốc. Trong những trường hợp này, việc giảm số trước tiên phải được sửa theo 4(b) của phụ lục này.
VÍ DỤ:
Trình tự số 4, 4, 3, 4, 5, 5, 5, trong đó giây đầu tiên hoặc giây thứ ba xác định thời điểm bắt đầu pha tăng tốc và khi 4(b) không áp dụng trong pha tiếp theo của pha tăng tốc, phải được thay thế bằng:
4, 4, 4, 4, 5, 5, 5.
Tuy nhiên, nếu số ở đầu pha tăng tốc thấp hơn một bậc so với số ở giây trước và các số ở giây tiếp theo (lớn nhất năm) giây giống với số ở giây trước nhưng sau đó là chuyển số, đề việc áp dụng 4(c) phải điều chỉnh chúng về cùng số như khi bắt đầu pha tăng tốc, thay vào đó, việc áp dụng Điều 4(c) nên được thực hiện.
VÍ DỤ:
Đối với chuỗi chu trình chạy
19,6 18,3 18,0 18,3 18,5 17,9 15,0 km/h
với việc sử dụng số ban đầu là
3 3 2 3 3 2 2,
các số ở giây thứ tư và thứ năm phải được điều chỉnh về số thấp hơn một bậc (điều này phải được thực hiện bằng cách áp dụng 4(c) thay vì điều chỉnh số khi bắt đầu pha tăng tốc (giây ba), sao cho kết quả hiệu chỉnh theo trình tự số sau
3 3 2 2 2 2 2
Hơn nữa, nếu số ở giây đầu tiên của pha tăng tốc giống với số ở giây trước và số ở những giây tiếp theo cao hơn một bậc thì số ở giây thứ 2 của pha tăng tốc phải được thay thế bằng số được sử dụng trong giây đầu tiên của pha tăng tốc.
VÍ DỤ:
Đối với chuỗi chu trình chạy
30,9 25,5 21,4 20,2 22,9 26,6 30,2 km/h
với việc sử dụng số ban đầu là
3 3 2 2 3 3 3,
số ở giây thứ năm (giây thứ 2 của pha tăng tốc) phải được hiệu chỉnh về số thấp hơn một bậc đề đảm bảo sử dụng số trong pha tăng tốc trong ít nhất hai giây, sao cho việc hiệu chỉnh dẫn đến trình tự số sau
3 3 2 2 2 3 3
Không được bỏ qua các số khi tăng số trong các pha tăng tốc. Tuy nhiên, được phép tăng số bằng hai số khi chuyển từ pha tăng tốc sang pha vận tốc không đổi nếu thời gian của pha vận tốc không đổi vượt quá 5 s.
(b) Nếu cần giảm số trong pha tăng tốc hoặc khi bắt đầu pha tăng tốc thì số cần thiết trong quá trình giảm số này phải được ghi chú (iDS). Điểm bắt đầu của quy trình hiệu chỉnh được xác định bằng giây cuối cùng trước đó khi iDS được xác định hoặc bằng điểm bắt đầu của pha tăng tốc nếu tất cả các mẫu thời gian trước đó đều có số > iDS. Số cao nhất của các mẫu thời gian trước khi giảm số phải xác định iref của số tham chiếu cho việc giảm số.
Dịch chuyển xuống trong đó iDS = iref - 1 được gọi là dịch chuyển xuống một bước, dịch chuyển xuống trong đó iDS = iref - 2 được gọi là dịch chuyển xuống hai bước, dịch chuyển xuống trong đó iDS = iref - 3 được gọi là dịch chuyển xuống ba bước .
Việc kiểm tra sau đây phải được áp dụng.
(i) Giảm số một bậc
Tiến hành từ điểm bắt đầu của quy trình hiệu chỉnh đến điểm cuối của pha tăng tốc, phải xác định lần xuất hiện muộn nhất của cửa sổ 10 s chứa iDS trong 2 s liên tiếp trở lên hoặc 2 s riêng lẻ trở lên. Lẩn sử dụng iDS cuối cùng trong cửa sổ này phải xác định điểm cuối của quy trình hiệu chỉnh. Giữa thời điểm bắt đầu và kết thúc pha hiệu chỉnh, tất cả các yêu cầu đối với các số lớn hơn iDS phải được hiệu chỉnh theo yêu cầu của iDS.
Từ khi kết thúc pha hiệu chỉnh (trong trường hợp cửa sổ 10 s chứa iDS trong 2 s liên tiếp trở lên hoặc 2 s riêng lẻ trở lên) hoặc từ điểm bắt đầu của quy trình hiệu chỉnh (trong trường hợp tất cả cửa sổ 10 s đều chứa iDS chỉ trong một giây hoặc khoảng cửa sổ 10 s không chứa iDS) cho đến khi kết thúc pha tăng tốc, tất cả các lần giảm số trong thời gian chỉ một giây phải bị loại bỏ.
(ii) Giảm số hai hoặc ba bậc
Làm việc từ điểm bắt đầu của quy trình hiệu chỉnh đến điểm cuối của pha tăng tốc, sự xuất hiện mới nhất của iDS phải được xác định. Từ điểm bắt đầu của quy trình hiệu chỉnh, tất cả các yêu cầu đối với các số lớn hơn hoặc bằng iDS cho đến lần xuất hiện iDS gần đây nhất phải được sửa thành (iDS +1).
(iii) Về số một bậc và về số hai bậc và/hoặc ba bậc
Nếu xảy ra việc giảm số một bậc cũng như việc giảm số hai bậc và/hoặc ba bậc trong pha tăng tốc thì số lần giảm số ba bậc phải được hiệu chỉnh trước khi số giảm hai hoặc một bậc được hiệu chỉnh và số lần giảm số hai bậc phải được hiệu chỉnh trước khi số số xuống một bậc phải được hiệu chỉnh. Trong những trường hợp như vậy, điểm bắt đầu của quy trình hiệu chỉnh cho cả hai hoặc giảm số một bậc là thời điểm thứ hai ngay sau khi kết thúc pha hiệu chỉnh đối với số giảm số ba bậc và điểm bắt đầu của quy trình hiệu chỉnh đối với số giảm số một bậc là thời điểm thứ hai ngay sau khi kết thúc pha hiệu chỉnh đối với số giảm số hai bậc. Nếu việc giảm số ba bậc xảy ra sau khi giảm số một hoặc hai bậc thì nó phải loại bỏ những lần giảm số này trong khoảng thời gian trước khi giảm số ba bậc. Nếu xảy ra việc giảm số hai bậc sau khi giảm số một bậc thì nó phải loại trừ việc giảm số một bậc trống khoảng thời gian trước khi giảm số hai bậc.
Các ví dụ được trình bày trong Bảng B2/2 đến B2/6
Bảng B2/2
| Thời gian | j | j+1 | j+2 | j+3 | j+4 | j+5 | j+6 | j+7 | j+8 | j+9 | j+10 | j+11 | j+12 | j+13 | j+14 | j+15 | j+16 | j+17 | j+18 |
|
| Bắt đầu tăng tốc |
|
|
|
|
|
|
| Giảm số iDS=3 |
|
|
|
|
|
| Giảm số iDS=3 |
|
| Kết thúc tăng tốc |
| Số ban đầu sử dụng | 2 | 2 | 3 | 3 | 4 | 4 | 4 | 4 | 3 | 4 | 4 | 4 | 4 | 4 | 4 | 3 | 4 | 4 | 4 |
|
|
|
| Bắt đầu kiểm tra hiệu chỉnh |
|
|
|
|
|
|
|
|
|
|
|
|
|
|
|
|
|
|
|
|
| iref =4 | |||||||||||||||
|
|
|
|
| 10 s cửa sổ đầu cho kiểm tra hiệu chỉnh |
| ||||||||||||||
|
|
|
|
|
|
|
|
|
| 10 s cửa sổ cuối cho kiểm tra hiệu chỉnh | ||||||||||
|
|
|
|
|
|
|
| 10 s cửa sổ gần nhất bao gồm hai lần iDS |
|
|
| |||||||||
|
|
|
|
|
|
|
|
|
|
|
|
|
|
|
| Kết thúc hiệu Chỉnh |
|
|
|
|
| Hiệu chỉnh |
|
|
|
| 3 | 3 | 3 | 3 |
| 3 | 3 | 3 | 3 | 3 |
|
|
|
|
|
| Loại bỏ |
|
|
|
|
|
|
|
|
|
|
|
|
|
|
|
|
|
|
|
| Số sử dụng cuối | 2 | 2 | 3 | 3 | 3 | 3 | 3 | 3 | 3 | 3 | 3 | 3 | 3 | 3 | 3 | 3 | 4 | 4 | 4 |
Bảng B2/3
| Thời gian | j | j+1 | j+2 | j+3 | j+4 | j+5 | j+6 | j+7 | j+8 | j+9 | j+10 | j+11 | j+12 | j+13 | j+14 | j+15 | j+16 | j+17 | j+18 |
|
| Bắt đầu tăng tốc |
|
|
|
|
| Giảm số iDS=3 |
|
|
|
|
|
|
|
|
|
| Giảm số iDS=3 | Kết thúc tăng tốc |
| Số ban đầu sử dụng | 2 | 2 | 3 | 3 | 4 | 4 | 3 | 4 | 3 | 4 | 4 | 4 | 4 | 4 | 4 | 4 | 4 | 3 | 4 |
|
|
|
|
| Bắt đầu kiểm tra hiệu chỉnh |
|
|
|
|
|
|
|
|
|
|
|
|
|
|
|
|
|
|
|
| iref =4 | |||||||||||||||
|
|
|
|
| 10 s cửa sổ đầu cho kiểm tra hiệu chỉnh |
| ||||||||||||||
|
|
|
|
|
|
|
| 10 s cửa sổ cuối cho kiểm tra hiệu chỉnh | ||||||||||||
|
|
|
|
|
|
|
| 10 s cửa sổ gần nhất bao gồm hai lần iDS |
|
|
| |||||||||
|
|
|
|
|
|
| Kết thúc hiệu chỉnh |
|
|
|
|
|
|
|
|
|
|
|
|
|
| Hiệu chỉnh |
|
|
|
| 3 |
|
|
|
|
|
|
|
|
|
|
|
|
|
|
| Loai bỏ |
|
|
|
|
|
|
|
|
|
|
|
|
|
|
|
|
| 4 |
|
| Số sử dụng cuối | 2 | 2 | 3 | 3 | 3 | 3 | 3 | 4 | 4 | 4 | 4 | 4 | 4 | 4 | 4 | 4 | 4 | 4 | 4 |
Bảng B2/4
| Thời gian | j | j+1 | j+2 | j+3 | j+4 | j+5 | j+6 | j+7 | j+8 | j+9 | j+10 | j+11 | j+12 | j+13 | j+14 | j+15 | j+16 | j+17 | j+18 |
|
| Bắt đầu tăng tốc |
|
| Giảm số iDS=3 |
|
|
|
|
|
|
|
|
|
| Giảm số iDS=3 |
|
|
| Kết thúc tăng tốc |
| Số ban đầu sử dụng | 4 | 4 | 4 | 3 | 4 | 4 | 4 | 4 | 4 | 4 | 4 | 4 | 4 | 4 | 3 | 4 | 4 | 5 | 5 |
|
| Bắt đầu kiểm tra hiệu chỉnh |
|
|
|
|
|
|
|
|
|
|
|
|
|
|
|
|
|
|
|
| iref=4 | ||||||||||||||||||
|
| 10 s cửa sổ đầu cho kiểm tra hiệu chỉnh |
|
|
|
|
|
|
|
| ||||||||||
|
|
|
|
|
|
|
|
|
|
| 10 s cửa sổ cuối cho kiểm tra hiệu chỉnh | |||||||||
|
|
|
|
|
|
|
| 10 s cửa sổ gần nhất bao gồm hai lần iDS |
|
|
| |||||||||
|
|
|
|
|
|
| Kết thúc hiệu chỉnh |
|
|
|
|
|
|
|
|
|
|
|
|
|
| Hiệu chỉnh |
|
|
|
|
|
|
|
|
|
|
|
|
|
|
|
|
|
|
|
| Loại bỏ |
|
|
| 4 |
|
|
|
|
|
|
|
|
|
| 4 |
|
|
|
|
| Số sử dụng cuối | 4 | 4 | 4 | 4 | 4 | 4 | 4 | 4 | 4 | 4 | 4 | 4 | 4 | 4 | 4 | 4 | 4 | 4 | 4 |
Bảng B2/5
| Thời gian | j | j+1 | j+2 | j+3 | j+4 | j+5 | j+6 | j+7 | j+8 | j+9 | j+10 | j+11 | j+12 | j+13 | j+14 | j+15 | j+16 | j+17 | j+18 | j+19 |
|
| Bắt đầu tăng tốc |
|
| Giảm số, iDS1=5 |
| Giảm số 2 bước, iDS1=5 |
|
|
|
|
|
|
|
|
|
|
|
| Giảm số 1 bước, iDS1=5 | Kết thúc tăng tốc |
| Số ban đầu sử dụng | 6 | 6 | 6 | 5 | 5 | 4 | 4 | 4 | 4 | 4 | 5 | 6 | 6 | 6 | 6 | 6 | 6 | 6 | 5 | 5 |
|
| Bắt đầu kiểm tra hiệu chỉnh với iDS1 |
|
|
|
|
|
|
|
|
| Bắt đầu kiểm tra hiệu chỉnh với iDS1 |
|
|
|
|
|
|
|
|
|
|
| iref=6 | iref=6 | ||||||||||||||||||
|
| 10 s cửa sổ gần nhất bao gồm hai lần iDS1 hoặc hơn | 10 s cửa sổ gần nhất bao gồm hai lần iDS2 hoặc hơn | ||||||||||||||||||
|
|
|
|
|
| Kết thúc hiệu chỉnh với iDS1 |
|
|
|
|
|
|
|
|
|
|
|
| Kết thúc hiệu chỉnh với iDS2 |
|
|
| Hiệu chỉnh | 4 | 4 | 4 | 4 | 4 |
|
|
|
|
|
| 5 | 5 | 5 | 5 | 5 | 5 | 5 |
|
|
| Loại bỏ |
|
|
|
|
|
|
|
|
|
|
|
|
|
|
|
|
|
|
|
|
| Số sử dụng cuối | 4 | 4 | 4 | 4 | 4 | 4 | 4 | 4 | 4 | 4 | 5 | 5 | 5 | 5 | 5 | 5 | 5 | 5 | 5 | 5 |
Bảng B2/6
| Thời gian | j | j+1 | j+2 | j+3 | j+4 | j+5 | j+6 | j+7 | j+8 | j+9 | j+10 | j+11 | j+12 | j+13 | j+14 | j+15 | j+16 | j+17 | j+18 |
|
| Bắt đầu tăng tốc | Giảm số, iDS1=3 |
|
|
|
| Giảm số, iDS2=4 |
|
|
|
|
|
| Giảm số, iDS3=5 |
|
|
|
| Kết thúc tăng tốc |
|
| 4 | 3 | 3 | 4 | 5 | 5 | 4 | 5 | 5 | 6 | 6 | 6 | 6 | 5 | 5 | 6 | 6 | 6 | 6 |
|
| Bắt đầu kiểm tra hiệu chỉnh với iDS1 |
|
| Bắt đầu kiểm tra hiệu chỉnh với iDS2 |
|
|
|
| Bắt đầu kiểm tra hiệu chỉnh với iDS3 |
|
|
|
|
|
|
|
|
|
|
|
| iref = 4 | iref = 5 | iref = 6 | ||||||||||||||||
|
| 10 s cửa sổ gần nhất bao gồm hai lần iDS1 hoặc hơn |
|
|
|
|
|
|
|
|
| |||||||||
|
|
|
|
| 10 s cửa sổ gần nhất bao gồm hai lần iDS2 hoặc hơn |
|
|
|
|
|
| |||||||||
|
|
|
|
|
|
|
|
|
| 10 s cửa sổ gần nhất bao gồm hai lần iDS3 hoặc hơn |
| |||||||||
|
| Kết thúc hiệu chỉnh iDS1 |
|
|
|
| Kết thúc hiệu chỉnh iDS2 |
|
|
|
|
|
| Kết thúc hiệu chỉnh iDS3 |
|
|
|
|
|
|
| Hiệu chỉnh | 3 |
|
|
| 4 | 4 |
|
|
| 5 | 5 | 5 | 5 |
|
|
|
|
|
|
| Loại bỏ |
|
|
|
|
|
|
|
|
|
|
|
|
|
|
|
|
|
|
|
| Số sử dụng cuối | 3 | 3 | 3 | 4 | 4 | 4 | 4 | 5 | 5 | 5 | 5 | 5 | 5 | 5 | 5 | 6 | 6 | 6 | 6 |
Việc hiệu chỉnh này phải không được thực hiện đối với số 1. Các yêu cầu của đoạn thứ 3 trong 3.3 phụ lục này (Nếu aj ≥ 0 ) phải không được áp dụng cho việc hiệu chỉnh số được mô tả trong đoạn này đối với các số > 2.
Việc kiểm tra sửa đổi mô tả trong 4(c) của phụ lục này phải được áp dụng cho quỹ đạo chu trình hoàn chỉnh hai lần trước khi áp dụng 4(d) đến 4(f) của phụ lục này.
(c) Nếu sử dụng số i trong trình tự thời gian từ 1 s đến 5 s và số trước trình tự này thấp hơn một bậc và số sau trình tự này thấp hơn một hoặc hai bậc so với trong trình tự này hoặc số trước đó trình tự thấp hơn hai bậc và số sau trình tự này thấp hơn một bậc so với trong trình tự, thì số trong trình tự phải được hiệu chỉnh đến mức lớn nhất của các số trước và sau trình tự.
VÍ DỤ:
(i) Thay trình tự số i - 1, i, i - 1 bằng:
i - 1, i - 1, i - 1;
Trình tự số i - 1, i, i - 2 được thay thế bằng:
i - 1, i - 1, i - 2;
Trình tự số i - 2, i, i - 1 được thay thế bằng:
i - 2, i - 1, i - 1.
(ii) Trình tự số i - 1, i, i, i - 1 được thay thế bằng:
i - 1, i - 1, i - 1, i - 1;
Trình tự số i - 1, i, i, i - 2 được thay thế bằng:
i - 1, i - 1, i - 1, i - 2;
Trình tự số i - 2, i, i, i - 1 được thay thế bằng:
i - 2, i - 1, i - 1, i - 1.
(iii) Trình tự số i - 1, i, i, i, i - 1 được thay thế bằng:
i - 1, i - 1, i - 1, i - 1, i - 1;
Trình tự số i - 1, i, i, i, i - 2 được thay thế bằng:
i - 1, i - 1, i - 1, i - 1, i - 2;
Trình tự số i - 2, i, i, i, i - 1 được thay thế bằng:
i - 2, i - 1, i - 1, i - 1, i - 1.
(iv) Trình tự số i - 1, i, i, i, i, i - 1 được thay thế bằng:
i - 1, i - 1, i - 1, i - 1, i - 1, i - 1;
Trình tự số i - 1, i, i, i, i, i - 2 được thay thế bằng:
i - 1, i - 1, i - 1, i - 1, i - 1, i - 2;
Trình tự số i - 2, i, i, i, i, i - 1 được thay thế bằng:
i -2, i - 1, i - 1, i - 1, i - 1, i - 1.
(v) Trình tự số i - 1, i, i, i, i, i, i - 1 được thay thế bằng:
i - 1, i - 1, i - 1, i - 1, i - 1, i - 1, i - 1;
Trình tự số i - 1, i, i, i, i, i, i - 2 được thay thế bằng:
i - 1, i - 1, i - 1, i - 1, i - 1, i - 1, i - 2;
Trình tự số i - 2, i, i, i, i, i, i - 1 được thay thế bằng:
i - 2, i - 1, i - 1, i - 1, i - 1, i - 1, i - 1.
Trong mọi trường hợp từ (i) đến (v), i - 1 > imin đều phải được đáp ứng.
(d) Không được chuyển số lên số cao hơn trong pha giảm tốc.
(e) Không được chuyển số lên số cao hơn khi chuyển từ pha tăng tốc hoặc vận tốc không đổi sang pha giảm tốc nếu một trong các số trong hai giây đầu tiên sau khi kết thúc pha giảm tốc thấp hơn số được tăng số hoặc là số 0.
VÍ DỤ:
Nếu vi ≤ vi+1 và vi+2 < vi+1 và số i = 4 và số (i + 1 = 5) và số (i + 2 = 5), thì số (i + 1) và số (i + 2) phải được đặt thành 4 nếu số cho pha sau pha giảm tốc là số 4 hoặc thấp hơn. Đối với tất cả các điểm quỹ đạo chu trình tiếp theo có số 5 trong pha giảm tốc, số cũng phải được đặt thành 4. Nếu số theo pha giảm tốc là số 5 thì phải thực hiện chuyển số lên.
Nếu có sự tăng số trong quá trình chuyển tiếp và pha giảm tốc ban đầu bằng 2 số thì thay vào đó thực hiện tăng số bằng 1 số. Trong trường hợp này, không được thực hiện sửa đổi gì thêm trong các lần kiểm tra sử dụng thiết bị sau đây.
(f) Các sửa đổi khác về số cho các pha giảm tốc
Không được phép giảm số về số một trong pha giảm tốc. Nếu việc giảm số như vậy là cần thiết trong phần cuối của chuyến đi ngắn ngay trước pha dừng, vì vận tốc động cơ phải giảm xuống dưới nidle ở số 2, nên sử dụng số 0 thay thế và cần số phải được đặt ở số trung gian và ly hợp phải được gài.
Nếu số đầu tiên được yêu cầu trong khoảng thời gian ít nhất 2 s ngay trước khi dừng giảm tốc thì nên sử dụng số này cho đến khi lấy mẫu đầu tiên của pha giảm tốc. Đối với phần còn lại của pha giảm tốc, phải sử dụng số 0 và cần số phải được đặt ở vị trí trung gian và ly hợp phải được gài.
Nếu trong pha giảm vận tốc, thời gian của một khoảng số (thời gian trình tự với số không đổi) giữa hai khoảng số từ 3 s trở lên chỉ là 1 s thì được thay bằng số 0 và ly hợp phải được ngắt.
Nếu trong pha giảm vận tốc, khoảng thời gian chuyển số giữa hai khoảng số từ 3 s trở lên là 2 s thì phải thay thế bằng số 0 trong giây đầu tiên và trong giây thứ 2 với số tiếp theo sau khoảng thời gian 2 s. Ly hợp phải được ngắt trong giây đầu tiên.
VÍ DỤ: trình tự số 5, 4, 4, 2 phải được thay thế bằng 5, 0, 2, 2.
Yêu cầu này chỉ được áp dụng nếu số tiếp theo sau khoảng thời gian 2 s > 0.
Nếu có nhiều khoảng số có thời lượng 1 hoặc 2 s nối tiếp nhau thì việc hiệu chỉnh được thực hiện như sau:
Đây số i, i, i, i - 1, i - 1, i - 2 hoặc i, i, i, i - 1, i - 2, i - 2 được đổi thành i, i, i, 0, i - 2, i - 2.
Trình tự số như i, i, i, i - 1, i - 2, i - 3 hoặc i, i, i, i - 2, i - 2, i - 3 hoặc các tổ hợp có thể khác phải được thay đổi thành i, i, i, 0, i - 3, i - 3.
Sự thay đổi này cũng phải được áp dụng cho trình tự số trong đó gia tốc ≥ 0 trong 2 s đầu tiên và < 0 trong giây thứ 3 hoặc khi gia tốc ≥ 0 trong 2 s cuối cùng.
Đối với các thiết kế truyền động khắc nghiệt, có thể các khoảng số có thời lượng 1 s hoặc 2 s nối tiếp nhau có thể kéo dài tới 7 s. Trong những trường hợp như vậy, việc khắc phục ở trên phải được bổ sung bằng các yêu cầu hiệu chỉnh sau trong bước thứ hai.
Trình tự số j, 0, i, i, i - 1, k với j > (i + 1) và k ≤ (i - 1) nhưng k > 0 phải đổi thành j, 0, i - 1, i - 1, i - 1, k,
nếu số (i - 1) thấp hơn imax một hoặc hai bậc đối với số 3 thứ hai của chuỗi này (một sau số 0).
Nếu số (i - 1) nhiều hơn hai bậc nhỏ hơn imax đối với giây 3 của chuỗi này, thì trình tự số j, 0, i, i, i - 1, k với j > (i + 1) và k ≤ (i - 1) nhưng k > 0 phải đổi thành j, 0, 0, k, k, k.
Trình tự số j, 0, i, i, i - 2, k có j > (i + 1) và k ≤ (i - 2) nhưng k > 0 phải đổi thành j, 0, i - 2, i - 2, i - 2, k, nếu số (i - 2) là một hoặc hai bậc dưới imax cho giây 3 của trình tự số này (một sau số 0).
Nếu số (i - 2) nhiều hơn hai bậc thấp hơn imax đối với giây 3 của trình tự số này, thì chuỗi số j, 0, i, i, i - 2, k với j > (i + 1) và k ≤ (i - 2) nhưng k > 0 phải đổi thành j, 0, 0, k, k, k.
Trong tất cả các trường hợp được nêu ở trên trong 4(f) của phụ lục này, việc ngắt ly hợp (số 0) trong 1 s được sử dụng để tránh vận tốc động cơ quá cao trong giây này. Nếu đây không phải là vấn đề và nếu nhà sản xuất yêu cầu thì được phép sử dụng trực tiếp số thấp hơn của giây tiếp theo thay vì số 0 để giảm số lớn nhất 3 cấp. Việc sử dụng tùy chọn này phải được ghi lại.
Nếu pha giảm tốc là phần cuối cùng của hành trình ngắn ngay trước pha dừng và số cuối cùng > 0 trước pha dừng chỉ được sử dụng trong khoảng thời gian lớn nhất 2 s thì phải sử dụng số 0 thay thế và phải sử dụng cần số được đặt ở vị trí trung gian và ly hợp phải được gài.
VÍ DỤ: Trình tự số 4, 0, 2, 2, 0 trong 5 s cuối cùng trước pha dừng phải được thay thế bằng 4, 0, 0, 0, 0. Trình tự số 4, 3, 3, 0 dành cho 4 s cuối cùng trước khi dừng pha được thay bằng 4, 0, 0, 0.
5 Yêu cầu cuối cùng
(a) Từ 4(a) đến 4(f) trong phụ lục này phải được áp dụng tuần tự, quét quỹ đạo chu trình hoàn chỉnh trong từng trường hợp. Khi sửa đổi các 4(a) đến 4(f) trong phụ lục này có thể tạo trình tự sử dụng số mới, các trình tự thiết bị mới này phải được thử nghiệm hai lần và sửa đổi nếu cần thiết.
(b) Sau khi áp dụng 4(b) của phụ lục này, việc giảm số nhiều hơn một số có thể xảy ra khi chuyển từ pha giảm tốc hoặc vận tốc không đổi sang pha tăng tốc.
Trong trường hợp này, số cho mẫu cuối cùng của pha giảm tốc hoặc vận tốc không đổi phải được thay thế bằng số 0 và ly hợp phải được ngắt. Nếu tùy chọn “triệt tiêu số 0 khi giảm số” theo 4(f) của phụ lục này được chọn thì số của giây tiếp theo (giây đầu tiên của pha tăng tốc) phải được sử dụng thay cho số 0.
(c) Để có thể đánh giá tính đúng đắn của phép tính, tổng kiểm tra v* số đối với v ≥ 1,0 km/h, được làm tròn theo 6.1.4 của tiêu chuẩn này đến bốn chữ số thập phân thì được tính toán và ghi lại.
6 Công cụ tính toán
Có thể tìm thấy ví dụ về các công cụ tính toán chuyển số trong UNR 15 trên trang web UNECE (https://unece.orgAransport/standardsAransport/vehicle-regulations-wp29/global-technical-regulations- gtrs?accordion=15)
Các công cụ sau đây được cung cấp:
(a) Công cụ dựa trên ACCESS,
(b) Công cụ mã Matlab,
(c) Công cụ .NETframework,
(d) Công cụ dựa trên Python.
Các công cụ này được xác thực bằng cách so sánh kết quả tính toán giữa công cụ ACCESS, mã Matlab, mã NET framework và công cụ dựa trên Python cho 115 cấu hình phương tiện khác nhau được bổ sung bằng các tính toán bổ sung cho 7 trong số đó với các tùy chọn bổ sung như "áp dụng giới hạn tốc độ", "ngăn chặn thu nhỏ quy mô", "chọn chu kỳ loại xe khác" và "chọn các giá trị nmin_drive riêng lẻ".
115 cấu hình xe bao gồm các thiết kế kỹ thuật cao cấp về hộp số, động cơ và tất cả các loại xe.
Tất cả bốn công cụ đều mang lại kết quả giống nhau khi sử dụng hộp số và vận hành ly hợp và mặc dù chỉ có văn bản trong Phụ lục B1 và Phụ lục B2 mang tính ràng buộc về mặt pháp lý nhưng các công cụ này đã đạt được trạng thái đủ chuẩn làm công cụ tham khảo.
Phụ lục B3
(Quy định)
Chỉnh đặt lực cản trên đường và băng thử
1 Phạm vi áp dụng
Phụ lục này mô tả việc xác định lực cản trên đường của xe thử nghiệm và truyền tải trọng đó trên đường tới băng thử.
2 Thuật ngữ và định nghĩa
2.1 Vì mục đích của tài liệu này, các thuật ngữ và định nghĩa được đưa ra trong Điều 3 của tiêu chuẩn nấy phải có giá trị ưu tiên. Khi các định nghĩa không được cung cấp tại Điều 3 của tiêu chuẩn này thì phải áp dụng các định nghĩa trong TCVN 6211:2003.
2.2 Các điểm vận tốc tham chiếu bắt đầu ở vận tốc 20 km/h với bước tăng dần 10 km/h và có vận tốc tham chiếu cao nhất theo quy định sau:
(a) Điểm vận tốc tham chiếu cao nhất phải là 130 km/h hoặc điểm vận tốc tham chiếu ngay trên vận tốc lớn nhất của chu trình thử áp dụng nếu giá trị này nhỏ hơn 130 km/h. Trong trường hợp chu trình thử nghiệm áp dụng có ít hơn 4 pha chu trình (Thấp, Trung bình, Cao và Rất cao) và theo yêu cầu của nhà sản xuất và với sự chấp thuận của cơ quan có thẩm quyền, vận tốc tham chiếu cao nhất có thể được tăng lên đến điểm vận tốc tham chiếu ngay trên vận tốc lớn nhất của pha cao hơn tiếp theo, nhưng không cao hơn 130 km/h; trong trường hợp này việc xác định lực cản trên đường và chỉnh đặt băng thử động lực phải được thực hiện tại cùng các điểm vận tốc tham chiếu;
(b) Nếu điểm vận tốc tham chiếu áp dụng cho chu trình cộng với 14 km/h lớn hơn hoặc bằng vận tốc lớn nhất vmax của xe thì điểm vận tốc tham chiếu này phải được loại khỏi phép thử chạy quán tính và loại khỏi việc chỉnh đặt băng thử động lực. Điểm vận tốc tham chiếu thấp hơn tiếp theo phải trở thành điểm vận tốc tham chiếu cao nhất của xe.
2.3 Trừ khi có quy định khác, nhu cầu năng lượng của chu trình phải được tính toán theo Điều 2 của Phụ lục B6 trên đường vận tốc mục tiêu của chu trình chạy áp dụng.
2.4 f0, f1, f2 là các lực cản trên đường của phương trình lực cản trên đường
F = f0 + f1 × v + f2 x v2 được xác định theo phụ lục này.
| f0 | lực cản trên đường không đổi và được làm tròn theo 6.1.4 của tiêu chuẩn này đến một chữ số thập phân N; |
| f1 | lực cản trên đường bậc một và được làm tròn theo 6.1.4 của tiêu chuẩn này đến ba chữ số thập phân, N/(km/h); |
| f2 | lực cản trên đường bậc hai và được làm tròn theo 6.1.4 của tiêu chuẩn này đến năm chữ số thập phân, N/(km/h)2. |
Trừ khi có quy định khác, các lực cản trên đường phải được tính bằng phân tích hồi quy bình phương nhỏ nhất trên phạm vi các điểm vận tốc tham chiếu.
2.5 Khối lượng quay
2.5.1 Xác định của mr
mr là khối lượng hiệu dụng tương đương của tất cả các bánh xe và các bộ phận của xe quay cùng với các bánh xe trên đường khi hộp số ở số trung tính, tính bằng kilôgam (kg). mr phải được đo hoặc tính toán bằng cách sử dụng kỹ thuật thích hợp đã được cơ quan có thẩm quyền đồng ý. Ngoài ra, mr có thể được ước tính bằng 3 % tổng khối lượng chạy xe quy định với 25 kg.
2.5.2 Tác dụng của khối lượng quay lên lực cản trên đường
Thời gian chạy theo quán tính phải được chuyển sang các lực và ngược lại bằng cách tính đến khối lượng thử áp dụng cộng với mr. Điều này phải áp dụng cho các phép đo trên đường cũng như trên băng thử động lực.
2.5.3 Áp dụng khối lượng quay để thiết lập quán tính
Nếu xe được thử nghiệm trên băng thử ở chế độ dẫn động 4WD thì khối lượng quán tính tương đương của băng thử động lực phải được đặt ở khối lượng thử.
Ngược lại, khối lượng quán tính tương đương của băng thử phải được đặt bằng khối lượng thử cộng với khối lượng hiệu dụng tương đương của các bánh xe không ảnh hưởng đến kết quả đo hoặc 50 % mr.
2.6 Khối lượng bổ sung để đặt khối lượng thử phải được sử dụng sao cho sự phân bổ khối lượng của xe đó gần bằng với khối lượng của xe với khối lượng chạy xe quy định. Đối với xe loại N hoặc xe chở khách được sản xuất từ xe loại N, khối lượng bổ sung phải được đặt theo cách đại diện và phải được giải trình trước cơ quan có thẩm quyền theo yêu cầu của họ. Sự phân bổ khối lượng của xe phải được ghi lại và được sử dụng cho bất kỳ thử nghiệm xác định lực cản trên đường tiếp theo nào.
3 Yêu cầu chung
Nhà sản xuất phải chịu trách nhiệm về tính chính xác của lực cản trên đường và phải đảm bảo điều này cho từng xe sản xuất trong họ lực cản trên đường. Không được sử dụng dung sai trong các phương pháp xác định, mô phỏng và tính toán lực cản trên đường để đánh giá thấp lực cản trên đường của xe sản xuất. Khi được yêu cầu, phải chứng minh độ chính xác của lực cản trên đường của từng xe.
3.1 Độ chính xác đo tổng, độ lặp lại, độ phân giải và tần số đo
Độ chính xác đo tổng yêu cầu phải như sau:
(a) Độ chính xác vận tốc xe: ± 0,2 km/h với tần số đo nhỏ nhất 10 Hz;
(b) Thời gian: độ chính xác nhỏ nhất: ±10 ms; độ lặp lại nhỏ nhất và độ phân giải: 10 ms;
(c) Độ chính xác của mô men xoắn bánh xe: ± 6 Nm hoặc ± 0,5 phần trăm của tổng mô men xoắn cực đại đo được, tùy theo giá trị nào lớn hơn, đối với toàn bộ xe, với tần số đo ít nhất là 10 Hz;
(d) Độ chính xác của vận tốc gió: ± 0,3 m/s, với tần số đo nhỏ nhất là 1 Hz;
(e) Độ chính xác hướng gió: ± 3°, với tần số đo nhỏ nhất là 1 Hz;
(f) Độ chính xác của nhiệt độ khí quyển: ± 1 °C, với tần số đo nhỏ nhất là 0,1 Hz;
(g) Độ chính xác áp suất khí quyển: ± 0,3 kPa, với tần số đo nhỏ nhất là 0,1 Hz;
(h) Độ chính xác về khối lượng của xe đo trên cùng một cân trước và sau khi thử: ± 10 kg (± 20 kg đối với xe > 4000 kg);
(i) Độ chính xác áp suất lốp: ± 5 kPa;
(j) Độ chính xác của vận tốc quay bánh xe: ± 0,05 s-1 hoặc 1 %, tùy theo giá trị nào lớn hơn.
3.2 Tiêu chí đường hầm tạo gió
3.2.1 Vận tốc gió
vận tốc gió trong quá trình đo phải duy trì trong phạm vi ± 2 km/h tại tâm của phần thử nghiệm. Vận tốc gió có thể đạt nhỏ nhất là 140 km/h.
3.2.2 Nhiệt độ không khí
Nhiệt độ không khí trong quá trình đo phải duy trì trong khoảng ± 3 °C tại tâm của phần thử nghiệm. Sự phân bố nhiệt độ không khí ở đầu ra của vòi phun phải duy trì trong khoảng ± 3 °C.
3.2.3 Nhiễu loạn
Đối với lưới 3 x 3 cách đều nhau trên toàn bộ đầu ra của vòi phun, cường độ nhiễu loạn Tu không được vượt quá 1 %. Xem Hình B3/1.

Trong đó:
| Tu | cường độ nhiễu loạn; |
| u' | dao động vận tốc nhiễu loạn, m/s; |
| U∞ | vận tốc dòng chảy tự do, m/s. |
Hình B3/1 - Cường độ nhiễu loạn
3.2.4 Tỷ lệ tắc nghẽn
Tỷ lệ tắc nghẽn của xe εsb được biểu thị bằng thương số giữa diện tích mặt trước của xe và diện tích đầu ra của vòi phun được tính toán theo phương trình sau, không được vượt quá 0,35.
![]()
Trong đó:
εsb tỷ lệ tắc nghẽn của xe;
Af diện tích mặt trước của xe, m2;
Anozzle diện tích đầu ra của vòi phun, m2
3.2.5 Bánh xe quay
Để xác định chính xác ảnh hưởng khí động học của các bánh xe, các bánh xe của xe thử nghiệm phải quay với vận tốc sao cho vận tốc xe thu được nằm trong khoảng ± 3 km/h so với vận tốc gió.
3.2.6 Vành đai di chuyển
Để mô phỏng dòng chất lỏng ở gầm xe thử nghiệm, đường đường hầm tạo gió phải có một đai chuyển động kéo dài từ phía trước ra phía sau xe. Vận tốc của đai chuyển động phải nằm trong khoảng ± 3 km/h so với vận tốc gió.
3.2.7 Góc dòng chất lỏng
Tại chín điểm phân bố đều trên diện tích vòi phun, độ lệch bình phương trung bình gốc của cả góc nghiêng a và góc lệch p (mặt phẳng Y, Z) tại đầu ra của vòi phun không được vượt quá 1°.
3.2.8 Áp suất không khí
Tại chín điểm phân bố đều trên diện tích đầu ra của vòi phun, độ lệch chuẩn của áp suất tổng tại đầu ra của vòi phun phải nhỏ hơn hoặc bằng 0,02.
![]()
Trong đó:
| σ | độ lệch chuẩn của tỷ lệ áp suất |
| ΔPt | sự biến thiên của áp suất tổng giữa các điểm đo, N/m2; |
| q | áp suất động, N/m2 |
Chênh lệch tuyệt đối của hệ số áp suất cp trên khoảng cách 3 m phía trước và 3 m phía sau tâm cân bằng trong phần thử trống và ở độ cao tâm đầu ra vòi phun không được sai lệch quá ± 0,02.
|cpx=+3m - cpx=-3m | ≤ 0.02
Trong đó:
cp hệ số áp suất.
3.2.9 Độ dày lớp ranh giới
Tại x = 0 (điểm cân bằng tâm), vận tốc gió nhỏ nhất phải có 99 % vận tốc dòng khí vào ở độ cao 30 mm so với sàn đường hầm tạo gió.
δ99(x = 0 m) ≤ 30 mm
Trong đó:
δ99 khoảng cách vuông góc với đường nơi đạt tới 99 % vận tốc dòng chảy tự do (độ dày lớp ranh giới).
3.2.10 Tỷ lệ tắc nghẽn hạn chế
Việc lắp đặt hệ thống hạn chế không được đặt ở phía trước xe. Tỷ lệ tắc nghẽn tương đối của diện tích phía trước xe do hệ thống hạn chế xe, εrestr, không được vượt quá 0,10.
![]()
Trong đó:
εrestr tỷ lệ tắc nghẽn tương đối của hệ thống hạn chế;
Arestr diện tích phía trước của Hệ thống hạn chế xe chiếu lên mặt vòi phun, m2;
Af diện tích mặt trước của xe, m2.
3.2.11 Độ chính xác phép đo cân bằng theo hướng X
Độ thiểu chính xác của lực tạo ra theo hướng x không được vượt quá ± 5 N. Độ phân giải của lực đo được phải nằm trong khoảng ± 3 N.
3.2.12 Độ lặp lại phép đo
Độ lặp lại của lực đo được phải nằm trong phạm vi ± 3 N.
4 Đo lực cản trên đường trên đường
4.1 Yêu cầu đối với thử nghiệm trên đường
4.1.1 Điều kiện khí quyển để thử nghiệm trên đường
Điều kiện khí quyển (điều kiện gió, nhiệt độ môi trường và áp suất khí quyển) phải được đo theo 3.1 của phụ lục này. Chỉ những điều kiện khí quyển đo được trong quá trình đo thời gian chạy quán tính và/hoặc đo mô men xoắn mới được sử dụng để kiểm tra dữ liệu giá trị và sự hiệu chỉnh.
4.1.1.1 Điều kiện gió cho phép khi sử dụng máy đo gió cố định và máy đo gió trên xe.
4.1.1.1.1 Điều kiện gió cho phép khi đo gió cố định.
Vận tốc gió phải được đo tại vị trí và độ cao so với mặt đường dọc theo đường thử, nơi phải có điều kiện gió đại diện nhất. Trong trường hợp không thể thực hiện các phép thử theo hướng ngược nhau trên cùng một phần của đường thử (ví dụ: trên đường thử hình bầu dục với hướng chạy xe bắt buộc), vận tốc và hướng gió phải được đo ở các phần đối diện của đường thử.
Điều kiện gió trong các cặp chạy phải đáp ứng tất cả các tiêu chí sau:
(a) Vận tốc gió phải nhỏ hơn 5 m/s trong khoảng thời gian trung bình chuyển động là 5 s;
(b) Vận tốc gió cao nhất không được vượt quá 8 m/s trong hơn 2 s liên tục;
(c) Thành phần vectơ trung bình số học của Vận tốc gió trên đường thử phải nhỏ hơn 2 m/s.
Việc hiệu chỉnh gió phải được tính toán theo 4.5.3 của phụ lục này.
4.1.1.1.2 Điều kiện gió cho phép khi sử dụng máy đo gió trên xe
Để thử nghiệm bằng máy đo gió trên xe, một thiết bị như được mô tả trong 4.3.2 của phụ lục này phải được sử dụng.
Điều kiện gió trong các cặp chạy phải đáp ứng tất cả các tiêu chí sau:
(a) Vận tốc gió trung bình số học phải nhỏ hơn 7 m/s;
(b) Vận tốc gió cao nhất không được vượt quá 10 m/s trong thời gian hơn 2 s liên tục;
(c) Thành phần vectơ trung bình số học của Vận tốc gió trên đường phải nhỏ hơn 4 m/s.
4.1.1.2 Nhiệt độ khí quyển
Nhiệt độ môi trường phải nằm trong khoảng từ 5 °C đến và bao gồm 40 °C.
Theo lựa chọn của nhà sản xuất, việc thử chạy theo quán tính có thể được thực hiện trong khoảng nhiệt độ từ 1 °C đến 5 °C.
Nếu chênh lệch giữa nhiệt độ cao nhất và nhiệt độ thấp nhất đo được trong quá trình thử chạy theo quán tính lớn hơn 5 °C thì việc hiệu chỉnh nhiệt độ phải được áp dụng riêng cho từng lần chạy với giá trị trung bình số học của nhiệt độ môi trường xung quanh lần chạy đó.
Trong trường hợp đó, các giá trị của lực cản trên đường f0, f1 và f2 phải được xác định và hiệu chỉnh cho từng cặp chạy. Tập hợp cuối cùng của các giá trị f0, f1 và f2 phải là trung bình số học của các hệ số f0, f1 và f2 được hiệu chỉnh riêng lẻ tương ứng.
4.1.2 Đường thử
Mặt đường phải bằng phẳng, sạch phải, khô ráo và không có chướng ngại vật hoặc rào cản gió có thể cản trở việc đo lực cản trên đường, kết cấu và thành phần của nó phải đại diện cho bề mặt đường thành phố và đường cao tốc hiện tại, ví dụ không có bề mặt đường băng cụ thể. Độ dốc dọc của đường thử không được vượt quá ± 1 %. Độ dốc cục bộ giữa bất kỳ điểm nào cách nhau 3 m không được sai lệch quá ± 0,5 % so với độ dốc dọc này. Nếu không thể thực hiện các phép thử theo hướng ngược nhau trên cùng một phần của đường thử (ví dụ: trên đường thử hình bầu dục với hướng chạy xe bắt buộc), thì tổng độ dốc dọc của các đoạn đường thử song song phải nằm trong khoảng từ 0 đến độ dốc hướng lên 0,1 %. Độ cong lớn nhất của đường thử là 1,5 %.
4.2 Chuẩn bị xe
4.2.1 Xe thử nghiệm
Mỗi xe thử nghiệm phải phù hợp với tất cả các bộ phận của nó với loạt sản xuất (ví dụ: gương chiếu hậu phải ở cùng vị trí như khi xe hoạt động bình thường, các khe hở trên thân xe không được bịt kín), hoặc, nếu xe khác với xe sản xuất, một mô tả đầy đủ phải được ghi lại.
4.2.1.1 Yêu cầu lựa chọn xe thử nghiệm
4.2.1.1.1 Không sử dụng phương pháp nội suy
Xe thử nghiệm (xe H) có sự kết hợp của các đặc tính liên quan đến lực cản trên đường (tức là khối lượng, lực cản khí động học và lực cản lăn của lốp) tạo ra nhu cầu năng lượng chu trình cao nhất phải được chọn từ họ (xem 6.3.2 và 6.3.3 của tiêu chuẩn này).
Nếu không biết ảnh hưởng khí động học của các bánh xe khác nhau trong cùng một họ nội suy thì việc lựa chọn phải dựa trên lực cản khí động học dự kiến cao nhất. Theo hướng dẫn, lực cản khí động học cao nhất có thể được dự kiến đối với các bánh xe có (a) chiều rộng lớn nhất, (b) đường kính lớn nhất và
(c) thiết kế cấu trúc mở nhất (theo thứ tự quan trọng).
Việc lựa chọn bánh xe phải được thực hiện bổ sung cho yêu cầu về nhu cầu năng lượng chu trình cao nhất.
4.2.1.1.2 Sử dụng phương pháp nội suy
Theo yêu cầu của nhà sản xuất, phương pháp nội suy có thể được áp dụng.
Trong trường hợp này, hai xe thử nghiệm phải được chọn từ nhóm xe phù hợp với yêu cầu của nhóm xe tương ứng.
Xe thử nghiệm H phải là xe tạo ra nhu cầu năng lượng chu trình cao hơn và tốt nhất là cao nhất của lựa chọn đó, xe thử nghiệm L là xe tạo ra nhu cầu năng lượng chu trình thấp hơn và tốt nhất là thấp nhất của lựa chọn đó.
Tất cả các hạng mục của thiết bị tùy chọn và/hoặc hình dạng thân xe được chọn không được xem xét khi áp dụng phương pháp nội suy phải giống hệt nhau đối với cả hai xe thử nghiệm H và L sao cho các hạng mục của thiết bị tùy chọn này tạo ra sự kết hợp cao nhất của nhu cầu năng lượng chu trình do các đặc tính liên quan đến lực cản trên đường của chúng (tức là khối lượng, lực cản khí động học và lực cản lăn của lốp).
Trong trường hợp các xe cá nhân có thể được cung cấp một bộ bánh xe và lốp tiêu chuẩn hoàn chỉnh, ngoài ra còn có một bộ lốp tuyết hoàn chỉnh (được đánh dấu bằng 3 Peaked Mountain và Snowflake - 3PMS) có hoặc không có bánh xe thì các bánh xe/lốp bổ sung phải không được coi là thiết bị tùy chọn.
4.2.1.1.2.1 Các yêu cầu sau đây giữa các xe H và L phải được đáp ứng đối với các đặc tính liên quan đến lực cản trên đường:
Đối với mỗi đặc tính lực cản trên đường (khối lượng, lực cản khí động học và lực cản lăn của lốp) cũng như các lực cản trên đường f0 và f2, giá trị của xe H phải cao hơn giá trị của xe L, nếu không thì trường hợp xấu nhất phải được thực hiện, được áp dụng cho đặc tính liên quan đến lực cản trên đường đó. Theo yêu cầu của nhà sản xuất và sau khi được cơ quan có thẩm quyền phê duyệt, các yêu cầu của điểm này có thể được miễn bỏ.
4.2.1.1.2.2 Để đạt được sự khác biệt vừa đủ giữa xe H và xe L về một đặc tính liên quan đến lực cản trên đường cụ thể hoặc để đáp ứng 4.2.1.1.2.1 của phụ lục này, nhà sản xuất có thể làm xấu đi xe H một cách giả tạo, ví dụ: bằng cách áp dụng khối lượng thử nghiệm cao hơn.
4.2.1.2 Yêu cầu đối với họ
4.2.1.2.1 Yêu cầu khi áp dụng họ nội suy không sử dụng phương pháp nội suy Để biết tiêu chí xác định họ nội suy, xem 6.3.2 của tiêu chuẩn này.
4.2.1.2.2 Yêu cầu để áp dụng họ nội suy bằng phương pháp nội suy là:
(a) Đáp ứng các tiêu chí họ nội suy được liệt kê trong 6.3.2 của tiêu chuẩn này;
(b) Đáp ứng các yêu cầu tại 2.3.1 của Phụ lục B5;
4.2.1.2.3 Yêu cầu áp dụng họ lực cản trên đường
4.2.1.2.3.1 Theo yêu cầu của nhà sản xuất và đáp ứng các tiêu chí ở 6.3.3. Trong tiêu chuẩn này phải tính giá trị lực cản trên đường cho xe H và L thuộc họ nội suy.
4.2.1.2.3.2 Thử nghiệm xe H và L theo quy định tại 4.2.1.1.2 của phụ lục này phải được gọi là HR và LR cho mục đích phân loại lực cản trên đường.
4.2.1.2.3.3 Sự khác biệt về nhu cầu năng lượng chu trình giữa HR và LR của họ lực cản trên đường phải nhỏ nhất là 4 % và không quá 35 % dựa trên HR trong toàn bộ chu trình WLTC thử kiểu III.
Nếu có nhiều hơn một sự truyền động được đưa vào họ lực cản trên đường, truyền động có tổn thất điện năng cao nhất phải được sử dụng để xác định lực cản trên đường.
4.2.1.2.3.4 Nếu biến thiên lực cản trên đường của lựa chọn xe gây ra chênh lệch ma sát được xác định theo 6.8. của phụ lục này, một họ lực cản trên đường mới phải được tính toán bao gồm biến thiên lực cản trên đường ở cả xe L và xe H thuộc họ lực cản trên đường mới đó.

Trong đó:
N lực cản trên đường của họ lực cản trên đường mới;
là lực cản trên đường của họ lực cản trên đường tham chiếu; Delta đề cập đến lực cản trên đường delta được xác định trong 6.8.1 của phụ lục này.
4.2.1.3 Sự kết hợp được phép giữa việc lựa chọn xe thử nghiệm và các yêu cầu họ
Bảng B3/1 cho thấy sự kết hợp được phép giữa việc lựa chọn xe thử nghiệm và các yêu cầu họ như được mô tả trong 4.2.1.1 và 4.2.1.2 của phụ lục này.
Bảng B3/1 - Sự kết hợp cho phép giữa lựa chọn xe thử nghiệm và yêu cầu của họ
| Các yêu cầu phải đáp ứng | (1) Không có phương pháp nội suy | (2) Phương pháp nội suy không có họ lực cản trên đường | (3) Áp dụng họ lực cản trên đường | (2) Phương pháp nội suy sử dụng một hoặc nhiều họ lực cản trên đường |
| Xe thử nghiệm lực cản trên đường | 4.2.1.1.1 của phụ lục này. | 4.2.1.1.2 của phụ lục này. | 4.2.1.1.2 của phụ lục này. | Không áp dụng |
| Họ | 4.2.1.2.1 của phụ lục này | 4.2.1.2.2 của phụ lục này | 4.2.1.2.3 của phụ lục này | 4.2.1.2.2 của phụ lục này |
| Bổ sung | Không | không | không | Áp dụng cột (3) “Áp dụng họ lực cản trên đường" và áp dụng 4.2.1.3.1 của Phụ lục này. |
4.2.1.3.1 Lấy lực cản trên đường của họ nội suy từ họ lực cản trên đường
Lực cản trên đường HR và/hoặc LR phải được xác định theo phụ lục này.
Lực cản trên đường của xe H (và L) thuộc họ nội suy trong họ lực cản trên đường được tính theo phụ lục này bằng:
(a) Sử dụng HR và LR của họ lực cản trên đường thay vì H và L làm đầu vào cho các phương trình;
(b) Sử dụng các thông số lực cản trên đường (tức là khối lượng thử, ∆(CD x Af) so với LR của xe và lực cản lăn của lốp) của xe H (hoặc L) thuộc họ nội suy làm đầu vào cho từng xe;
(c) Lặp lại phép tính này cho từng xe H và L của mỗi họ nội suy trong họ lực cản trên đường. Nội suy lực cản trên đường chỉ được áp dụng trên các đặc tính liên quan đến lực cản trên đường được xác định là khác nhau giữa xe thử nghiệm LR và HR. Đối với (các) đặc tính liên quan đến lực cản trên đường khác, phải áp dụng giá trị HR của xe.
H và L của họ nội suy có thể được lấy từ các họ lực cản trên đường khác nhau. Nếu sự khác biệt giữa các họ lực cản trên đường này xuất phát từ việc áp dụng phương pháp delta, tham khảo 4.2.1.2.3.4 của phụ lục này.
4.2.1.4 Áp dụng họ ma trận lực cản trên đường
Một chiếc xe đáp ứng các tiêu chí của 6.3.4 của tiêu chuẩn này:
(a) Đại diện cho loạt xe hoàn chỉnh dự kiến phải được đưa vào họ ma trận lực cản trên đường về giá trị CD xấu nhất và hình dạng thân xe ước tính; Và
(b) Đại diện của loạt xe dự kiến phải thuộc họ ma trận lực cản trên đường theo khối lượng trung bình ước tính của thiết bị tùy chọn phải được sử dụng để xác định lực cản trên đường.
Trong trường hợp không xác định được hình dạng thân xe đại diện cho một chiếc xe hoàn chỉnh thì xe thử nghiệm phải được trang bị một hộp hình vuông có các góc bo tròn có bán kính lớn nhất là 25 mm và có chiều rộng bằng chiều rộng lớn nhất của xe được che phủ bởi tấm che. Họ ma trận lực cản trên đường và tổng chiều cao của xe thử nghiệm là 3,0 m ± 0,1 m, bao gồm cả hộp.
Nhà sản xuất và cơ quan có thẩm quyền phải thống nhất mẫu xe thử nghiệm nào là đại diện.
Các giá trị của thông số thử nghiệm khối lượng xe, lực cản lăn của lốp và diện tích mặt trước của cả xe HM và LM phải được xác định sao cho xe HM tạo ra nhu cầu năng lượng chu trình cao nhất và xe LM có năng lượng chu trình thấp nhất trong nhóm ma trận lực cản trên đường. Nhà sản xuất và cơ quan có thẩm quyền phải thỏa thuận về các thông số của xe đối với xe HM và LM.
Lực cản trên đường của tất cả các xe riêng lẻ thuộc họ ma trận lực cản trên đường, bao gồm HM và LM, phải được tính theo 5.1 của phụ lục này.
4.2.1.5 Các bộ phận thân khí động học có thể di chuyển được
Các bộ phận thân khí động học có thể di chuyển được trên xe thử nghiệm phải hoạt động trong quá trình xác định lực cản trên đường như dự định trong các điều kiện phép thử WLTP thử kiểu I (nhiệt độ thử nghiệm, vận tốc xe và phạm vi tăng tốc, tải trọng động cơ, v.v.).
Mọi hệ thống của xe điều chỉnh động lực cản khí động học của xe (ví dụ: kiểm soát độ cao của xe) phải được coi là bộ phận thân xe có thể chuyển động được theo khí động học. Các yêu cầu thích hợp phải được bổ sung nếu các xe trong tương lai được trang bị các bộ phận khí động học có thể di chuyển được của thiết bị tùy chọn mà ảnh hưởng của chúng lên lực cản khí động học làm rõ sự cần thiết phải có các yêu cầu tiếp theo.
4.2.1.6 Cân
Trước và sau quy trình xác định lực cản trên đường, xe được chọn phải được cân, bao gồm cả người lái và thiết bị, để xác định khối lượng trung bình số học mav. Khối lượng của xe phải lớn hơn hoặc bằng khối lượng thử của xe H hoặc xe L khi bắt đầu quy trình xác định lực cản trên đường.
4.2.1.7 Cấu hình xe thử nghiệm
Cấu hình xe thử nghiệm phải được ghi lại và phải được sử dụng cho bất kỳ thử nghiệm chạy theo quán tính tiếp theo nào.
4.2.1.8 Điều kiện thử nghiệm xe
4.2.1.8.1 Chạy rà
Xe thử nghiệm phải được chạy rà phù hợp cho mục đích phép thử tiếp theo trong nhỏ nhất 10 000 km nhưng không quá 80 000 km.
Theo yêu cầu của nhà sản xuất, có thể sử dụng xe có quãng đường nhỏ nhất 3 000 km.
4.2.1.8.2 Thông số kỹ thuật của nhà sản xuất
Xe phải phù hợp với các thông số kỹ thuật xe sản xuất dự định của nhà sản xuất về áp suất lốp được mô tả trong 4.2.2.3 của phụ lục này, việc căn chỉnh bánh xe được mô tả ở 4.2.1.8.3 của phụ lục này, khoảng sáng gầm xe, chiều cao xe, chất bôi trơn truyền động và ổ trục bánh xe, và điều chỉnh phanh để tránh lực cản ký sinh không đáng kể.
4.2.1.8.3 Căn chỉnh bánh xe
Góc nghiêng và độ khum phải được đặt ở độ lệch lớn nhất so với trục dọc của xe trong phạm vi do nhà sản xuất xác định. Nếu nhà sản xuất quy định các giá trị về góc nghiêng và độ khum cho xe thì phải sử dụng các giá trị này.
Theo yêu cầu của nhà sản xuất, có thể sử dụng các giá trị có độ lệch so với trục dọc của xe cao hơn giá trị quy định. Các giá trị quy định phải là giá trị tham chiếu cho mọi hoạt động bảo trì trong suốt vòng đời của xe.
Các thông số căn chỉnh bánh xe có thể điều chỉnh khác (chẳng hạn như bánh xe) phải được đặt theo giá trị do nhà sản xuất khuyến nghị. Trong trường hợp không có giá trị khuyến nghị thì chúng phải được đặt ở mức trung bình số học của dải do nhà sản xuất xác định. Các thông số điều chỉnh và giá trị chỉnh đặt như vậy phải được ghi lại.
4.2.1.8.4 Tấm đóng
Trong quá trình xác định lực cản trên đường, nắp khoang động cơ, nắp khoang hành lý, các tấm di chuyển bằng tay và tất cả các cửa sổ phải được đóng lại.
4.2.1.8.5 Chế độ dừng xe
Nếu việc xác định chỉnh đặt băng thử không thể đáp ứng các tiêu chí được mô tả trong 8.1.3 hoặc 8.2.3 của phụ lục này do lực không tái tạo nên xe phải được trang bị chế độ chạy theo quán tính. Chế độ chạy theo quán tính của xe phải được phê duyệt và việc sử dụng nó phải được cơ quan có thẩm quyền ghi lại.
Nếu xe được trang bị chế độ chạy theo quán tính thì xe này phải được kích hoạt cả trong quá trình xác định lực cản trên đường và trên băng thử động lực.
4.2.2 Lốp xe
4.2.2.1 Lực cản lăn của lốp
Lực cản lăn của lốp phải được đo theo Phụ lục 6 của UNR 117 sửa đổi 2 hoặc tiêu chuẩn tương đương. Các hệ số lực cản lăn phải được căn chỉnh theo các quy trình khu vực tương ứng (ví dụ: EU 1235/2011) và được phân loại theo các cấp lực cản lăn trong Bảng B3/2.
Bảng B3/2 - cấp hiệu suất năng lượng theo hệ số lực cản lăn (RRC) cho lốp C1, C2 và C3 và các giá trị RRC được sử dụng cho các cấp hiệu suất năng lượng đó trong phép nội suy, kg/tấn
| Cấp hiệu suất năng lượng | Giới hạn RRC cho lốp C1 | Giới hạn RRC cho lốp C2 | Giới hạn RRC cho lốp C3 |
| 1 | RRC ≤ 6,5 | RRC ≤ 5,5 | RRC ≤ 4,0 |
| 2 | 6,5 < RRC ≤ 7,7 | 5,5 < RRC ≤ 6,7 | 4,0 < RRC ≤ 5,0 |
| 3 | 7,7 < RRC ≤ 9,0 | 6,7 < RRC ≤ 8,0 | 5,0 < RRC ≤ 6,0 |
| 4 | 9,0 < RRC ≤ 10,5 | 8,0 < RRC ≤ 9,2 | 6,0 < RRC ≤ 7,0 |
| 5 | 10,5 < RRC ≤ 12,0 | 9,2 < RRC ≤ 10,5 | 7,0 < RRC ≤ 8,0 |
| 6 | RRC> 12,0 | RRC > 10,5 | RRC > 8,0 |
| Cấp hiệu suất năng lượng | Giá trị RRC được sử dụng cho nội suy lốp C1 | Giá trị RRC được sử dụng cho nội suy lốp C2 | Giá trị RRC được sử dụng cho nội suy lốp C3 |
| 1 | RRC = 5,9 | RRC = 4,9 | RRC = 3,5 |
| 2 | RRC = 7,1 | RRC = 6,1 | RRC = 4,5 |
| 3 | RRC = 8,4 | RRC = 7,4 | RRC = 5,5 |
| 4 | RRC = 9,8 | RRC = 8,6 | RRC = 6,5 |
| 5 | RRC= 11,3 | RRC = 9,9 | RRC = 7,5 |
| 6 | RRC = 12,9 | RRC = 11,2 | RRC = 8,5 |
Nếu áp dụng phương pháp nội suy cho lực cản lăn thì các giá trị lực cản lăn thực tế của lốp lắp trên xe thử nghiệm L và H phải được sử dụng làm đầu vào cho phương pháp nội suy. Đối với một xe riêng lẻ trong họ nội suy, phải sử dụng giá trị RRC cho cấp hiệu suất năng lượng của lốp được lắp.
Trong trường hợp các xe cá nhân có thể được cung cấp một bộ bánh xe và lốp tiêu chuẩn hoàn chỉnh, ngoài ra còn có một bộ lốp tuyết hoàn chỉnh (được đánh dấu bằng 3 Peaked Mountain và Snowflake - 3PMS) có hoặc không có bánh xe thì các bánh xe/lốp bổ sung phải không được coi là thiết bị tùy chọn.
4.2.2.2 Tình trạng lốp
Lốp được sử dụng cho phép thử phải:
(a) Không quá 2 năm kể từ ngày sản xuất;
(b) Không được xử lý đặc biệt (ví dụ: nung nóng hoặc lão hóa nhân tạo), ngoại trừ việc mài theo hình dạng ban đầu của mặt lốp;
(c) Chạy rà trên đường nhỏ nhất 200 km trước khi xác định lực cản trên đường;
(d) Có độ sâu gai lốp không đổi trước khi thử trong khoảng từ 100 đến 80 % độ sâu gai lốp ban đầu tại bất kỳ điểm nào trên toàn bộ chiều rộng gai lốp của lốp.
Sau khi đo độ sâu gai lốp, quãng đường chạy xe phải được giới hạn ở mức 500 km. Nếu vượt quá 500 km thì phải đo lại độ sâu gai lốp.
4.2.2.3 Áp suất của lốp
Lốp trước và lốp sau phải được bơm căng tới giới hạn dưới của phạm vi áp suất lốp đối với trục tương ứng đối với lốp được chọn ở khối lượng thử chạy quán tính theo quy định của nhà sản xuất xe.
42.2.3.1 Điều chỉnh áp suất lốp
Nếu chênh lệch giữa nhiệt độ môi trường xung quanh và nhiệt độ ngâm lớn hơn 5 °C, áp suất lốp phải được điều chỉnh như sau:
(a) Lốp phải được ngâm trong thời gian hơn 1 h ở mức áp suất cao hơn 10 % so với áp suất quy định;
(b) Trước khi thử nghiệm, áp suất lốp phải giảm xuống mức áp suất bơm hơi như quy định tại 4.2.2.3 của phụ lục này, được điều chỉnh về chênh lệch giữa nhiệt độ môi trường ngâm và nhiệt độ môi trường thử nghiệm ở vận tốc 0,8 kPa/1 °C bằng cách sử dụng phương trình sau:
Δpt = 0.8 × (Tsoak - Tamb)
Trong đó:
| Δpt | mức điều chỉnh áp suất lốp được cộng vào áp suất lốp được xác định tại 4.2.2.3 của phụ lục này, kPa; |
| 0,8 | hệ số điều chỉnh áp suất, kPa/°C; |
| Tsoak | nhiệt độ ngâm lốp, °C; |
| Tamb | nhiệt độ môi trường thử nghiệm, °C. |
(c) Giữa việc điều chỉnh áp suất và khởi động xe, lốp phải được che chắn khỏi các nguồn nhiệt bên ngoài bao gồm cả bức xạ mặt trời.
4.2.3 Thiết bị đo đạc
Các thiết bị phải được lắp đặt sao cho giảm thiểu ảnh hưởng của chúng đến các đặc tính khí động học của xe.,
Nếu ảnh hưởng của thiết bị được lắp đặt lên (CD × Af) dự kiến lớn hơn 0015 m2 thì sự thay đổi giá trị (CD × Af) của xe có và không có thiết bị đó phải được đo trong đường hầm tạo gió đáp ứng các tiêu chí tại 3.2 của phụ lục này. Sự khác biệt tương ứng phải được trừ từ f2. Theo yêu cầu của nhà sản xuất và được sự chấp thuận của cơ quan có thẩm quyền, việc xác định giá trị có thể được sử dụng trong các xe tương tự trong đó ảnh hưởng của thiết bị được cho là như nhau.
4.2.4 Khởi động xe
4.2.4.1 Trên đường
Việc khởi động nóng máy chỉ được thực hiện bằng cách chạy xe.
4.2.4.1.1 Trước khi khởi động, xe phải được giảm tốc với ly hợp được ngắt hoặc hộp số tự động được đặt ở vị trí số 0 bằng cách phanh vừa phải từ 80 km/h đến 20 km/h trong vòng 5 s đến 10 s. Sau lần phanh này, không được phép tác động hoặc điều chỉnh bằng tay hệ thống phanh nữa.
Phanh cũng có thể được kích hoạt sau khi khởi động với mức giảm tốc tương tự như mô tả trong đoạn này và chỉ khi cần thiết.
4.2.4.1.2 Khởi động và ổn định
Tất cả các xe phải được lái ở vận tốc 90 % vận tốc lớn nhất của WLTC thích hợp. Xe có thể được lái ở vận tốc 90 % vận tốc lớn nhất của giai đoạn cao hơn tiếp theo (xem Bảng B3/3) nếu giai đoạn này được thêm vào quy trình khởi động WLTC thích hợp như được xác định trong 7.3.4 của phụ lục này. Xe phải được khởi động ít nhất 20 min cho đến khi đạt được điều kiện ổn định.
Bảng B3/3 - Khởi động và ổn định qua các giai đoạn (nếu có)
| Loại chu trình | WLTC thích hợp | 90 % của vận tốc lớn nhất | Pha cao hơn tiếp theo |
| Thử kiểu I | Low1 + Medium1 | 58 km/h | Không áp dụng |
| Thử kiểu II | Low2 + Medium2 +High2 + Extra High2 | 111 km/h | Không áp dụng |
| Low2 + Medium2 +High2 | 77 km/h | Rất cao (111 km/h) | |
| Thử kiểu III | Low3 + Medium3 +High3 + Extra High3 | 118 km/h | Không áp dụng |
| Low3 + Medium3 +High3 | 88 km/h | Rất cao (118 km/h) |
4.2.4.1.3 Tiêu chí về điều kiện ổn định
Tham khảo 4.3.1.4.2 của phụ lục này.
4.3 Đo và tính toán lực cản trên đường bằng phương pháp chạy rà quán tính
Lực cản trên đường phải được xác định bằng cách sử dụng phương pháp đo gió cố định (4.3.1 của phụ lục này) hoặc phương pháp đo gió trên xe (4.3.2 của phụ lục này).
4.3.1 Phương pháp chạy rà quán tính sử dụng phương pháp đo gió cố định
4.3.1.1 Lựa chọn vận tốc tham chiếu để xác định đường cong lực cản trên đường.
Vận tốc tham chiếu để xác định lực cản trên đường phải được chọn theo 2.2 của phụ lục này.
4.3.1.2 Thu thập dữ liệu
Trong quá trình thử, thời gian trôi qua và vận tốc của xe phải được đo ở tần số nhỏ nhất là 10 Hz.
4.3.1.3 Quy trình chạy rà quán tính của xe
4.3.1.3.1 Thực hiện theo quy trình khởi động xe được mô tả tại 4.2.4 của phụ lục này và ngay trước mỗi lần chạy rà quán tính, xe phải được tăng tốc lên cao hơn vận tốc tham chiếu cao nhất từ 10 km/h đến 15 km/h và phải được lái ở vận tốc đó trong thời gian lớn nhất là 1 min. Sau đó, chạy rà quán tính phải được bắt đầu ngay lập tức.
4.3.1.3.2 Trong quá trình chạy rà quán tính, hệ thống truyền động phải ở trạng thái trung tính. Mọi chuyển động của vô lăng phải được tránh càng nhiều càng tốt và không được sử dụng phanh xe.
4.3.1.3.3 Việc thử nghiệm phải được lặp lại cho đến khi dữ liệu về chạy quán tính đáp ứng các yêu cầu về độ chính xác thống kê như quy định tại 4.3.1.4.2 của phụ lục này.
4.3.1.3.4 Mặc dù khuyến nghị rằng mỗi lần chạy rà quán tính nên được thực hiện không bị gián đoạn, nhưng nếu không thể thu thập dữ liệu trong một lần chạy cho tất cả các điểm vận tốc tham chiếu thì phép thử chạy quán tính có thể được thực hiện với các lần chạy rà quán tính trong đó vận tốc tham chiếu đầu tiên và cuối cùng không nhất thiết phải bằng vận tốc tham chiếu cao nhất và thấp nhất. Trong trường hợp này, phải áp dụng các yêu cầu bổ sung sau:
(a) Ít nhất một vận tốc tham chiếu trong mỗi lần chạy quán tính theo dải vận tốc cao hơn ngay lập tức. Vận tốc tham chiếu này được coi là điểm phân chia;
(b) Tại mỗi vận tốc tham chiếu chồng chéo, lực trung bình của chạy quán tính theo vận tốc thấp hơn ngay lập tức không được sai lệch so với lực trung bình của chạy quán tính theo vận tốc cao hơn ngay lập tức ± 10 N hoặc ± 5 %, tùy theo giá trị nào lớn hơn;
(c) Dữ liệu vận tốc tham chiếu trùng lặp của lần chạy quán tính vận tốc thấp hơn phải chỉ được sử dụng để kiểm tra tiêu chí (b) và phải bị loại khỏi việc đánh giá độ chính xác thống kê như được xác định trong 4.3.1.4.2 của phụ lục này;
(d) Vận tốc chồng lấn có thể nhỏ hơn 10 km/h nhưng không nhỏ hơn 5 km/h. Trong trường hợp này, tiêu chí trùng lặp (b) phải được thử nghiệm bằng cách ngoại suy các đường cong đa thức cho đoạn vận tốc thấp hơn và cao hơn thành đoạn chồng chéo 10 km/h hoặc bằng cách so sánh lực trung bình trong phạm vi vận tốc cụ thể.
4.3.1.3.5 Khuyến cáo rằng các hoạt động chạy rà quán tính nên được tiến hành liên tục mà không có sự chậm trễ quá mức giữa các lần chạy. Nếu có sự chậm trễ giữa các lần chạy (ví dụ: do người lái nghỉ, kiểm tra tính nguyên vẹn của xe, v.v.), xe phải được khởi động lại như mô tả tại 4.2.4 và việc chạy rà quán tính phải được bắt đầu lại từ thời điểm này.
4.3.1.4 Đo thời gian chạy rà quán tính
4.3.1.4.1 Phải đo thời gian chạy rà quán tính tương ứng với vận tốc tham chiếu vj khi thời gian trôi qua từ vận tốc xe (vj + 5 km/h) đến (vj - 5 km/h).
4.3.1.4.2 Các phép đo này phải được thực hiện theo các hướng ngược nhau cho đến khi thu được nhỏ nhất ba cặp phép đo thỏa mãn độ chính xác thống kê pj xác định trong phương trình sau:

Trong đó:
pj độ chính xác thống kê của phép đo được thực hiện ở vận tốc tham chiếu vj;
n số cặp số đo;
Δtpj trung bình hài hòa của thời gian chạy rà quán tính ở vận tốc tham chiếu vj tính bằng giây được tính theo phương trình sau:

Trong đó:
Δtji thời gian chạy rà quán tính trung bình hài hòa của phép đo cặp ith với vận tốc vj, giây, s, tính theo phương trình sau:

Trong đó:
Δtjai và Δtjbi thời gian chạy rà quán tính của phép đo ith ở vận tốc tham chiếu vj, tính bằng giây, s, theo các hướng tương ứng a và b;
σj độ lệch chuẩn, tính bằng giây, s, được xác định bởi:

Trong đó:
h hệ số cho trong Bảng B3/4.
Bảng B3/4 - Hệ số h là hàm của n
| n | h | n | H |
| 3 | 4,3 | 17 | 2,1 |
| 4 | 3,2 | 18 | 2,1 |
| 5 | 2,8 | 19 | 2,1 |
| 6 | 2,6 | 20 | 2,1 |
| 7 | 2,5 | 21 | 2,1 |
| 8 | 2,4 | 22 | 2,1 |
| 9 | 2,3 | 23 | 2,1 |
| 10 | 2,3 | 24 | 2,1 |
| 11 | 2,2 | 25 | 2,1 |
| 12 | 2,2 | 26 | 2,1 |
| 13 | 2,2 | 27 | 2,1 |
| 14 | 22 | 28 | 2,1 |
| 15 | 2,2 | 29 | 2,0 |
| 16 | 2,1 | 30 | 2,0 |
4.3.1.4.3 Nếu trong quá trình đo theo một hướng, bất kỳ yếu tố bên ngoài hoặc tác động nào của người lái xảy ra ảnh hưởng rõ ràng đến thử lực cản trên đường thì phép đo đó và phép đo tương ứng theo hướng ngược lại phải bị loại bỏ. Tất cả các dữ liệu bị từ chối và lý do từ chối phải được ghi lại và số lượng cặp đo bị loại không quá 1/3 tổng số cặp đo. Trong trường hợp chạy tách quãng, tiêu chí loại bỏ phải được áp dụng ở mỗi dải vận tốc chạy ngắt quãng.
Do tính không chắc chắn về tính hợp lệ của dữ liệu và vi lý do thực tế, nhiều hơn số lượng cặp chạy nhỏ nhất được yêu cầu tại 4.3.1.4.2 của phụ lục này có thể được thực hiện nhưng tổng số cặp lượt chạy không được vượt quá 30 lượt chạy bao gồm cả các cặp bị loại như mô tả trong đoạn này. Trong trường hợp này, việc đánh giá dữ liệu phải được thực hiện như mô tả tại 4.3.1.4.2 của phụ lục này bắt đầu từ cặp lần chạy đầu tiên, sau đó bao gồm nhiều cặp lần chạy liên tiếp nếu cần để đạt được độ chính xác thống kê trên một tập dữ liệu chứa không quá 1/3 số cặp bị loại bỏ. Các cặp chạy còn lại phải được bỏ qua.
4.3.1.4.4 Phương trình sau đây phải được sử dụng để tính trung bình số học của lực cản trên đường trong đó phải sử dụng trung bình hài hòa của các thời gian chạy quán tính thay thế:
![]()
Trong đó:
Δv 5 km/h;
Δtj mức trung bình hài hòa của các phép đo thời gian chạy quán tính thay thế tại vận tốc vj, giây, s, cho bởi:

Trong đó:
Δtja và Δtjb lần lượt là thời gian chạy quán tính trung bình hài hòa theo các hướng a và b, tương ứng với vận tốc tham chiếu vj, tính bằng giây, s, được cho bởi hai phương trình sau:

Trong đó:
mav trung bình số học của khối lượng xe thử tại thời điểm bắt đầu và kết thúc xác định lực cản trên đường, kg;
mr khối lượng hiệu dụng tương đương của các bộ phận quay theo 2.5.1 của phụ lục này.
Các hệ số f0, f1 và f2 trong phương trình lực cản trên đường phải được tính toán bằng phân tích hồi quy bình phương nhỏ nhất.
Trong trường hợp xe thử là xe đại diện của họ ma trận lực cản trên đường, hệ số f1 phải được đặt bằng 0 và các hệ số f0 và f2 phải được tính toán lại bằng phân tích hồi quy bình phương nhỏ nhất.
4.3.1.4.5 Hiệu chỉnh các điều kiện tham chiếu
Đường cong được xác định tại 4.3.1.4.4 của phụ lục này phải được hiệu chỉnh theo các điều kiện tham chiếu như quy định tại 4.5 của phụ lục này.
4.3.2 Phương pháp chạy rà quán tính sử dụng máy đo gió trên xe
Xe phải được khởi động và ổn định tại 4.2.4 của phụ lục này.
4.3.2.1 Thiết bị bổ sung để đo gió trên xe
Máy đo gió và thiết bị đo gió trên xe phải được hiệu chuẩn bằng phương pháp vận hành trên xe thử nghiệm khi việc hiệu chuẩn đó diễn ra trong quá trình khởi động thử nghiệm.
4.3.2.1.1 Vận tốc gió tương đối phải được đo ở tần số nhỏ nhất là 1 Hz và có độ chính xác 0,3 m/s. Sự tắc nghẽn của xe phải được tính đến khi hiệu chỉnh máy đo gió.
4.3.2.1.2 Hướng gió phải tương ứng với hướng của xe. Hướng gió tương đối (nghiêng) phải được đo với độ phân giải 1 ° và độ chính xác 3 °; dải chết của thiết bị không được vượt quá 10 ° và hướng về phía sau xe.
4.3.2.1.3 Trước khi thực hiện chạy rà quán tính, máy đo gió phải được hiệu chuẩn về vận tốc và độ lệch theo quy định trong ISO 10521-1:2006(E) Phụ lục A.
4.3.2.1.4 Sự tắc nghẽn của máy đo gió phải được khắc phục trong quy trình hiệu chuẩn như được mô tả trong ISO 10521-1:2006(E) Phụ lục A để giảm thiểu ảnh hưởng của nó.
4.3.2.2 Lựa chọn dải vận tốc của xe để xác định đường cong lực cản trên đường
Phạm vi vận tốc của xe thử nghiệm phải được chọn theo 2.2 của phụ lục này.
4.3.2.3 Thu thập dữ liệu
Trong quá trình thực hiện, thời gian trôi qua, vận tốc của xe và vận tốc không khí (vận tốc, hướng) so với xe phải được đo ở tần số nhỏ nhất là 5 Hz. Nhiệt độ môi trường xung quanh phải được đồng bộ hóa và lấy mẫu ở tần số nhỏ nhất 0,1 Hz.
4.3.2.4 Quy trình chạy rà quán tính của xe
Các phép đo phải được thực hiện theo các cặp lần chạy theo các hướng ngược nhau cho đến khi đạt được nhỏ nhất mười lần chạy liên tiếp (năm cặp). Nếu một lần chạy riêng lẻ không đáp ứng được các điều kiện kiểm tra đo gió trên xe theo yêu cầu thì cặp đó, tức là lần chạy đó và lần chạy tương ứng theo hướng ngược lại, phải phải bị từ chối. Tất cả các cặp hợp lệ phải được đưa vào phân tích cuối cùng với nhỏ nhất 5 cặp lần chạy rà quán tính. Xem 4.3.2.6.10 của phụ lục này đối với các tiêu chí xác nhận thống kê.
Máy đo gió phải được lắp đặt ở vị trí sao cho giảm thiểu ảnh hưởng đến đặc tính vận hành của xe.
Máy đo gió phải được lắp đặt theo một trong các phương án dưới đây:
(a) Dùng cần cách điểm cản khí động về phía trước của xe khoảng 2 m;
(b) Trên nóc xe tại đường tâm của nó. Nếu có thể, máy đo gió phải được lắp cách đỉnh kính chắn gió trong phạm vi 30 cm;
(c) Trên nắp khoang động cơ của xe ở đường tâm của nó, được gắn ở vị trí giữa giữa mặt trước của xe và chân kính chắn gió.
Trong mọi trường hợp, máy đo gió phải được lắp song song với mặt đường. Trong trường hợp sử dụng các vị trí (b) hoặc (c), kết quả chạy quán tính phải được điều chỉnh về mặt phân tích đối với lực cản khí động học bổ sung do máy đo gió gây ra. Việc điều chỉnh phải được thực hiện bằng cách thử nghiệm xe chạy quán tính trong đường hầm tạo gió có và không có máy đo gió được lắp đặt ở cùng vị trí như được sử dụng trên đường ray. Sự khác biệt được tính toán phải là hệ số lực cản khí động học gia tăng CD kết hợp với khu vực phía trước, mà phải được sử dụng để hiệu chỉnh các kết quả chạy rà quán tính.
4.3.2.4.1 Thực hiện theo quy trình khởi động xe được mô tả tại 4.2.4 của phụ lục này và ngay trước mỗi lần chạy quán tính, xe phải được tăng tốc lên cao hơn vận tốc tham chiếu cao nhất từ 10 đến 15 km/h và phải được lái ở vận tốc đó trong thời gian lớn nhất là 1 min. Sau đó chạy rà quán tính phải được bắt đầu ngay lập tức.
4.3.2.4.2 Trong quá trình chạy quán tính, hệ thống truyền động phải ở trạng thái trung tính. Mọi chuyển động của vô lăng phải được tránh càng nhiều càng tốt và phanh của xe không được hoạt động.
4.3.2.4.3 Mặc dù khuyến nghị rằng mỗi lần chạy quán tính nên được thực hiện không bị gián đoạn, nhưng nếu không thể thu thập dữ liệu trong một lần chạy cho tất cả các điểm vận tốc tham chiếu thì thử nghiệm chạy quán tính có thể được thực hiện với các lần chạy quán tính trong đó vận tốc tham chiếu đầu tiên và cuối cùng không nhất thiết phải là vận tốc tham chiếu cao nhất và thấp nhất. Đối với các lần chạy tách, phải áp dụng các yêu cầu bổ sung sau:
(a) Ít nhất một vận tốc tham chiếu trong mỗi lần chạy quán tính theo dải vận tốc cao hơn ngay lập tức. Vận tốc tham chiếu này được coi là điểm phân chia;
(b) Tại mỗi vận tốc tham chiếu trùng lặp, lực trung bình của lần chạy quán tính ở vận tốc thấp hơn ngay lập tức phải không sai lệch so với lực trung bình của lần chạy quán tính trong phạm vi vận tốc cao hơn ngay lập tức ± 10 N hoặc ± 5 %, tùy theo giá trị nào lớn hơn;
(c) Dữ liệu vận tốc tham chiếu trùng lặp của lần chạy chạy quán tính vận tốc thấp hơn phải chỉ được sử dụng để kiểm tra tiêu chí (b) và phải bị loại khỏi việc đánh giá độ chính xác thống kê như được xác định trong 4.3.1.4.2 của phụ lục này;
(d) Vận tốc chồng lấn có thể nhỏ hơn 10 km/h nhưng không nhỏ hơn 5 km/h. Trong trường hợp này, tiêu chí trùng lặp (b) phải được thử nghiệm bằng cách ngoại suy các đường cong đa thức cho đoạn vận tốc thấp hơn và cao hơn thành đoạn chồng chéo 10 km/h hoặc bằng cách so sánh lực trung bình trong phạm vi vận tốc cụ thể.
4.3.2.4.4 Khuyến cáo rằng các hoạt động chạy quán tính nên được tiến hành liên tục mà không có sự chậm trễ quá mức giữa các lần chạy. Nếu có sự chậm trễ giữa các lần chạy (ví dụ: do người lái nghỉ, kiểm tra tính nguyên vẹn của xe, v.v.), xe phải được khởi động lại như mô tả trong 4.2.4 và việc chạy quán tính phải được bắt đầu lại từ thời điểm này.
4.3.2.5 Xác định phương trình chuyển động
Các ký hiệu được sử dụng trong phương trình chuyển động của máy đo gió trên xe được liệt kê trong Bảng B3/5
4.3.2.5.1 Công thức chung
Dạng tổng quát của phương trình chuyển động như sau:
![]()
Trong đó:

Trong trường hợp độ dốc của đường thử bằng hoặc nhỏ hơn 0,1 % trên toàn bộ chiều dài của nó, Dgrave có thể được đặt bằng 0.
4.3.2.5.2 Mô hình kéo cơ học
Lực cản cơ học gồm các thành phần riêng biệt biểu thị lốp Dtyre và tổn thất ma sát trục trước và sau Df và Dr (bao gồm cả tổn thất truyền động) phải được mô hình hóa dưới dạng đa thức ba số hạng như là hàm của vận tốc xe V như trong phương trình dưới đây:
Dmech = Am + BmV + CmV2
Trong đó:
Am, Bm và Cm được xác định trong phân tích dữ liệu bằng phương pháp bình phương nhỏ nhất. Các hằng số này phản ánh kết hợp đường truyền và lực cản của lốp.
Trong trường hợp xe thử là xe đại diện của họ ma trận lực cản trên đường, hệ số Bm phải được đặt bằng 0 và các hệ số Am và Cm phải được tính toán lại bằng phân tích hồi quy bình phương nhỏ nhất.
Bảng B3/5 - Các ký hiệu được sử dụng trong phương trình chuyển động của máy đo gió trên xe
| Ký hiệu | Đơn vị | Mô tả |
| Af | m2 | Diện tích mặt trước của xe |
| a0 ... an | Degrees-1 | lực cản trên đường khí động học là hàm của góc lệch |
| Am | N | lực cản trên đường cơ học |
| Bm | N/(km/h) | lực cản trên đường cơ học |
| Cm | N/(km/h)2 | lực cản trên đường cơ học |
| CD(Y) |
| lực cản trên đường khí động học tại góc lệch Y |
| D | N | Lực cản |
| Daero | N | Lực cản khí động học |
| Df | N | Lực cản trục trước (bao gồm cả đường truyền) |
| Dgrav | N | Lực cản trọng lực |
| Dmech | N | Lực cản cơ học |
| Dr | N | Lực cản trục sau (bao gồm cả đường truyền) |
| Dtyre | N | lực cản lăn của lốp |
| (dh/ds) | - | sin của độ dốc của đường theo hướng di chuyển (+ biểu thị tăng dần) |
| (dv/dt) | m/s2 | Tăng tốc |
| g | m/s2 | Hằng số hấp dẫn |
| mav | kg | khối lượng trung bình số học của xe thử nghiệm trước và sau khi xác định lực cản trên đường |
| me | kg | khối lượng hiệu dụng của xe bao gồm cả các bộ phận quay |
| ρ | kg/m3 | Khối lượng riêng của không khí |
| t | s | Thời gian |
| T | K | Nhiệt độ |
| v | km/h | Vận tốc xe |
| vr | km/h | Vận tốc gió tương đối |
| Y | độ | góc lệch của gió biểu kiến so với hướng di chuyển của xe |
4.3.2.5.3 Mô hình kéo khí động học
Lực cản trên đường khí động học CD(Y) phải được mô hình hóa dưới dạng đa thức bốn số hạng là hàm của góc lệch Y như trong phương trình dưới đây:
CD(Y) = a0 + a1Y +a2Y2 +a3Y3 + a4Y4
Trong đó:
a0 đến a4 các hệ số không đổi có giá trị được xác định trong phân tích dữ liệu.
Lực cản khí động học phải được xác định bằng cách kết hợp hệ số lực cản với diện tích phía trước Af của xe và vận tốc gió tương đối vr:.

4.3.2.5.4 Phương trình chuyển động cuối cùng
Thông qua sự thay thế, công thức cuối cùng của phương trình chuyển động trở thành:
![]()
4.3.2.6 Giảm dữ liệu
Một phương trình ba số hạng phải được tạo ra để mô tả lực tải trên đường là hàm của vận tốc, F = A +Bv + Cv2, được hiệu chỉnh theo các điều kiện áp suất và nhiệt độ môi trường tiêu chuẩn và trong không khí tĩnh. Phương pháp cho quá trình phân tích này được mô tả trong 4.3.2.6.1 đến 4.3.2.6.10 của phụ lục này.
4.3.2.6.1 Xác định hệ số hiệu chuẩn
Nếu chưa được xác định trước đó, các hệ số hiệu chuẩn để hiệu chỉnh tình trạng tắc nghẽn của xe phải được xác định đối với Vận tốc gió tương đối và góc lệch. Vận tốc xe V, vận tốc gió tương đối vr và các phép đo góc lệch Y trong giai đoạn khởi động của quy trình thử phải được ghi lại. Chạy theo cặp theo các hướng khác nhau trên phải thực hiện trên đường thử với vận tốc không đổi 80 km/h và xác định các giá trị trung bình số học của v, vr và Y cho mỗi lần chạy.
Các hệ số hiệu chỉnh giúp giảm thiểu tổng sai số về gió đầu và ngang trên tất cả các cặp chạy, ví dụ tổng của (headi - headi+1)2, v.v., phải được chọn trong đó headi và headi+1 đề cập đến Vận tốc gió và hướng gió từ thử nghiệm ghép đôi chạy theo các hướng ngược nhau trong quá trình khởi động/ổn định xe trước khi thử nghiệm.
4.3.2.6.2 Giây bắt đầu từ lần quan sát thứ hai
Từ dữ liệu được thu thập trong quá trình chạy quán tính, các giá trị của v,
, và Y phải được xác định bằng cách áp dụng các hệ số hiệu chuẩn thu được trong 4.3.2.1.3 và 4.3.2.1.4 của phụ lục này. Việc lọc dữ liệu phải được sử dụng để điều chỉnh mẫu về tần số 1 Hz.
4.3.2.6.3 Phân tích sơ bộ
Sử dụng kỹ thuật hồi quy tuyến tính bình phương nhỏ nhất, tất cả các điểm dữ liệu phải được phân tích cùng một lúc để xác định Am, Bm, Cm, a0, a1, a2, a3 và a4 cho trước me,
, v, vr, và ρ
4.3.2.6.4 Dữ liệu ngoại lệ
Một lực được dự đoán me
phải được tính toán và so sánh với các điểm dữ liệu quan sát được. Các điểm dữ liệu có độ lệch quá mức, ví dụ: trên ba độ lệch chuẩn, phải được gắn cờ.
4.3.2.6.5 Lọc dữ liệu (tùy chọn)
Các kỹ thuật lọc dữ liệu phù hợp có thể được áp dụng và các điểm dữ liệu còn lại phải được làm mịn.
4.3.2.6.6 Loại bỏ dữ liệu
Các điểm dữ liệu được thu thập ở những nơi góc lệch lớn hơn ± 20 ° so với hướng di chuyển của xe phải được gắn cờ. Các điểm dữ liệu được thu thập ở nơi có Vận tốc gió tương đổi nhỏ hơn + 5 km/h (để tránh điều kiện Vận tốc gió xuôi chiều cao hơn vận tốc xe) cũng phải được gắn cờ. Phân tích dữ liệu phải được giới hạn ở vận tốc của xe trong phạm vi vận tốc được chọn theo 4.3.2.2 của phụ lục này.
4.3.2.6.7 Phân tích dữ liệu cuối cùng
Tất cả dữ liệu chưa được gắn cờ phải được phân tích bằng kỹ thuật hồi quy bình phương nhỏ nhất tuyến tính dẫn đến me,
, v, vr, ρ, Am, Bm, Cm, a0, a1, a2, a3 và a4 được xác định.
4.3.2.6.8 Phân tích ràng buộc (tùy chọn)
Để tách biệt tốt hơn lực cản khí động học và cơ học của xe, một ràng buộc phân tích có thể được áp dụng sao cho diện tích phía trước Af và lực cản trên đường CD có thể cố định nếu chúng đã được xác định trước đó.
4.3.2.6.9 Hiệu chỉnh các điều kiện tham chiếu
Các phương trình chuyển động phải được hiệu chỉnh theo điều kiện tham chiếu như quy định tại 4.5 của phụ lục này.
4.3.2.6.10 Tiêu chí thống kê cho phép đo gió trên xe
Việc loại trừ từng cặp chạy quán tính phải làm thay đổi lực cản trên đường tính toán cho mỗi vận tốc tham chiếu chạy quán tính vj nhỏ hơn yêu cầu hội tụ, với mọi i và j:
![]()
Trong đó:
| ΔFi(vj) | chênh lệch giữa lực cản trên đường tính toán với tất cả các lần chạy quán tính và lực cản trên đường tính toán khi loại trừ cặp chạy quán tính thứ i, N; |
| F(vj) | lực cản trên đường tính toán bao gồm tất cả các đoạn chạy quán tính, N; |
| vj | vận tốc tham chiếu, km/h; |
| n | số cặp chạy rà quán tính, bao gồm tất cả các cặp hợp lệ. |
Trong trường hợp không đáp ứng được yêu cầu về độ hội tụ, các cặp phải bị loại khỏi phân tích, bắt đầu từ cặp có sự thay đổi cao nhất trong kết quả tính toán lực cản trên đường, cho đến khi đáp ứng yêu cầu hội tụ, miễn là sử dụng nhỏ nhất 5 cặp hợp lệ để xác định lực cản trên đường cuối cùng.
4.4 Đo và tính toán lực cản chạy bằng phương pháp đo mô men xoắn
Để thay thế cho phương pháp chạy quán tính, phương pháp đo mô men xoắn cũng có thể được sử dụng trong đó lực cản chuyển động được xác định bằng cách đo mô men xoắn của bánh xe trên các bánh xe được dẫn động tại các điểm vận tốc tham chiếu trong khoảng thời gian ít nhất là 5 s.
4.4.1 Lắp đặt thiết bị đo mô men xoắn
Thiết bị đo mô men bánh xe phải được lắp đặt giữa moay ơ bánh xe và bánh xe của mỗi bánh dẫn động, đo mô men xoắn cần thiết để giữ cho xe ở vận tốc không đổi.
Máy đo mômen xoắn phải được hiệu chuẩn định giai đoạn ít nhất mỗi năm một lần, theo các tiêu chuẩn quốc gia hoặc quốc tế để đáp ứng độ chính xác và độ chính xác cần thiết.
4.4.2 Quy trình và lấy mẫu dữ liệu
4.4.2.1 Lựa chọn vận tốc tham chiếu để xác định đường cong lực cản chuyển động
Các điểm vận tốc tham chiếu để xác định lực cản chuyển động phải được chọn theo 2.2 của phụ lục này.
Vận tốc tham chiếu phải được đo theo thứ tự giảm dần. Theo yêu cầu của nhà sản xuất, có thể có các khoảng thời gian ổn định giữa các lần đo nhưng vận tốc ổn định không được vượt quá vận tốc của vận tốc tham chiếu tiếp theo.
4.4.2.2 Thu thập dữ liệu
Bộ dữ liệu bao gồm vận tốc thực tế vji mô men xoắn thực tế Cji và thời gian trong khoảng thời gian ít nhất là 5 s phải được đo cho mỗi vj ở tần số lấy mẫu ít nhất là 10 Hz. Các bộ dữ liệu được thu thập trong một khoảng thời gian đối với vận tốc tham chiếu vj phải được coi là một phép đo.
4.4.2.3 Quy trình đo thiết vị đo mô men xe
Trước khi đo kiểm bằng phương pháp đồng hồ đo mô men, việc khởi động xe phải được thực hiện theo 4.2.4 của phụ lục này.
Trong quá trình đo thử, phải tránh chuyển động của vô lăng càng nhiều càng tốt và không được vận hành phanh xe.
Thử nghiệm phải được lặp lại cho đến khi dữ liệu lực cản chuyển động đáp ứng các yêu cầu về độ chính xác đo như quy định trong 4.4.3.2 của phụ lục này.
4.4.2.4 Độ lệch vận tốc
Trong quá trình đo tại một điểm vận tốc tham chiếu duy nhất, độ lệch vận tốc so với vận tốc trung bình số học (vji-vjm) được tính theo 4.4.3 của phụ lục này phải nằm trong các giá trị trong Bảng B3/6.
Ngoài ra, vận tốc trung bình số học Vjm tại mỗi điểm vận tốc tham chiếu không được sai lệch so với vận tốc tham chiếu vj quá ± 1 km/h hoặc 2 % vận tốc tham chiếu vj, tùy theo giá trị nào lớn hơn.
Bảng B3/6 - Độ lệch vận tốc
| Khoảng thời gian, s | Độ lệch vận tốc, km/h |
| 5-10 10-15 15 - 20 20 - 25 25 - 30 ≥ 30 | ±0,2 ±0,4 ±0,6 ±0,8 ±1,0 ±1,2 |
4.4.2.5 Nhiệt độ khí quyển
Các phép thử phải được thực hiện trong cùng điều kiện nhiệt độ như được xác định trong 4.1.1.2 của phụ lục này.
4.4.3 Tính vận tốc trung bình số học và mô men xoắn trung bình số học
4.4.3.1 Quá trình tính toán
Vận tốc trung bình số học vjm, km/h và mô men xoắn trung bình số học Cjm, tính bằng Nm, của mỗi phép đo phải được tính từ các bộ dữ liệu được thu thập theo yêu cầu tại 4.4.2.2 của phụ lục này bằng cách sử dụng các phương trình sau:
![]()
Trong đó:
| vji | vận tốc xe thực tế của dữ liệu thứ i tại điểm vận tốc tham chiếu j, km/h |
| k | số lượng tập dữ liệu trong một phép đo; |
| Cji | mômen xoắn thực tế của tập dữ liệu ith, Nm; |
| Cjs | hạng bù cho độ lệch vận tốc, Nm, được tính theo phương trình sau: |

Trong đó:
| mst | khối lượng xe thử tại thời điểm bắt đầu phép đo và phải được đo ngay trước quy trình khởi động và không được đo sớm hơn, kg; |
| mr | khối lượng hiệu dụng tương đương của các bộ phận quay theo 2.5.1 của phụ lục này, kg; |
| rj | bán kính động của lốp được xác định tại điểm tham chiếu 80 km/h hoặc tại điểm vận tốc tham chiếu cao nhất của xe nếu vận tốc này thấp hơn 80 km/h, được tính theo công thức sau: |

Trong đó:
| n | là tần số quay của lốp được dẫn động, s-1; |
| αji | là gia tốc trung bình số học, m/s2, được tính theo phương trình sau: |

Trong đó:
| ti | là thời điểm tập dữ liệu ith được lấy mẫu, s. |
4.4.3.2 Độ lặp lại phép đo
Các phép đo phải được thực hiện theo các hướng ngược nhau cho đến khi thu được nhỏ nhất ba cặp phép đo ở mỗi vận tốc tham chiếu vi, sao cho Cj thỏa mãn độ chính xác pj theo phương trình sau:

Trong đó:
| n | số cặp số đo của Cjm; |
|
| lực cản chạy ở vận tốc vj, Nm, tính theo phương trình: |
![]()
Trong đó:
| Cjmi | mô men xoắn trung bình số học của cặp số đo ith ở vận tốc vj, Nm, và được cho bởi: |
![]()
Trong đó:
Cjmai và Cjmbi mô men xoắn trung bình số học của ith đo ở vận tốc vj xác định tại 4.4.3.1 của phụ lục này cho mỗi hướng lần lượt là a và b, Nm;
s độ lệch chuẩn, Nm, được tính theo công thức sau:

Trong đó:
h hệ số là hàm số của n như cho trong Bảng B3/4 trong 4.3.1.4.2 của phụ lục này.
4.4.4 Xác định đường cong sức cản chạy
Vận tốc trung bình số học và mô men xoắn trung bình số học tại mỗi điểm vận tốc tham chiếu phải được tính toán theo các công thức sau:

Đường cong hồi quy bình phương nhỏ nhất sau đây của lực cản chạy trung bình số học phải phù hợp với tất cả các cặp dữ liệu (vjm, Cjm) ở tất cả các vận tốc tham chiếu được mô tả trong 4.4.2.1 của phụ lục này để xác định các hệ số c0, c1 và c2.
Các hệ số c0, c1 và c2 cũng như thời gian chạy đà đo được trên băng thử động lực (xem 8.2.4 của phụ lục này) phải được ghi lại.
Trong trường hợp xe được thử nghiệm là xe đại diện của họ ma trận lực cản trên đường, hệ số c1 phải được đặt bằng 0 và các hệ số c0 và c2 phải được tính toán lại bằng phân tích hồi quy bình phương nhỏ nhất.
4.5 Hiệu chỉnh các điều kiện tham chiếu và thiết bị đo
4.5.1 Hệ số hiệu chỉnh sức cản không khí
Hệ số hiệu chỉnh sức cản không khí K2 được xác định theo công thức sau:
![]()
Trong đó:
T nhiệt độ môi trường trung bình số học của tất cả các lần chạy riêng lẻ, Kelvin (K);
P áp suất môi trường trung bình số học, kPa.
4.5.2 Hệ số hiệu chỉnh lực cản lăn
Hệ số hiệu chỉnh Ko đối với lực cản lăn, tính bằng độ Celsius-1 (°C-1), có thể được xác định dựa trên dữ liệu thực nghiệm và được cơ quan có thẩm quyền phê duyệt đối với sự kết hợp giữa xe và lốp cụ thể được thử nghiệm, hoặc có thể giả định như sau:
K0 = 8.6 × 10-3 °C-1
4.5.3 Hiệu chỉnh gió
4.5.3.1 Hiệu chỉnh gió khi sử dụng máy đo gió cố định
Việc hiệu chỉnh gió có thể được miễn khi Vận tốc gió trung bình số học cho mỗi cặp chạy hợp lệ là 2 m/s hoặc nhỏ hơn. Trong trường hợp Vận tốc gió được đo ở nhiều phần của đường thử, chẳng hạn như khi thử nghiệm được thực hiện trên đường thử hình bầu dục (xem 4.1.1.1.1 của phụ lục này), Vận tốc gió phải được tính trung bình tại mỗi vị trí đo và giá trị cao hơn của hai điểm gió trung bình Vận tốc gió phải được sử dụng để xác định liệu việc điều chỉnh vận tốc gió phải được áp dụng hay có thể được miễn bỏ.
4.5.3.1.1 Sức cản điều chỉnh của gió w1 đối với phương pháp chạy quán tính hoặc w2 đối với phương pháp đo mô men xoắn phải được tính toán theo các công thức sau:
![]()
Trong đó:
| w1 | sức cản hiệu chỉnh của gió đối với phương pháp chạy quán tính, N; |
| f2 | hệ số giới hạn khí động học được xác định theo 4.3.1.4.4 của phụ lục này; |
| vw | trong trường hợp vận tốc gió chỉ được đo tại một điểm, vw là thành phần vectơ trung bình số học của vận tốc gió song song với đường thử trong tất cả các cặp chạy hợp lệ m/s; |
| vw | trong trường hợp vận tốc gió được đo tại hai điểm, vw là giá trị thấp hơn trong hai thành phần vectơ trung bình số học của Vận tốc gió song song với đường thử trong tất cả các cặp chạy hợp lệ, m/s; |
| w2 | lực cản hiệu chỉnh gió đối với phương pháp đo mô men xoắn, Nm; |
| c2 | hệ số thuật ngữ khí động học đối với phương pháp đo mô men xoắn được xác định theo 4.4.4 của phụ lục này. |
4.5.3.2 Hiệu chỉnh gió khi sử dụng phép đo gió trên xe
Trong trường hợp phương pháp chạy quán tính dựa trên phép đo gió trên xe, w1 và w2 trong các phương trình tại 4.5.3.1.1 của phụ lục này phải được đặt về 0 vì việc hiệu chỉnh gió đã được áp dụng theo 4.3.2 của phụ lục này.
4.5.4 Kiểm tra hệ số hiệu chỉnh khối lượng
Hệ số hiệu chỉnh K1 đối với khối lượng thử nghiệm của xe thử nghiệm phải được xác định theo công thức sau:

Trong đó:
TM khối lượng thử của xe thử, kg;
mav giá trị trung bình số học của khối lượng xe thử tại điểm xác định lực cản trên đường đầu và cuối, kg.
4.5.5 Hiệu chỉnh đường cong lực cản trên đường
4.5.5.1 Đường cong được xác định tại 4.3.1.4.4 của phụ lục này phải được hiệu chỉnh về các điều kiện chuẩn như sau:
![]()
Trong đó:
F* lực cản trên đường đã hiệu chỉnh, N;
f0 lực cản trên đường không đổi, N;
f1 lực cản trên đường bậc một, N/(km/h);
f2 lực cản trên đường bậc hai, N/(km/h)2;
K0 hệ số hiệu chỉnh lực cản lăn như định nghĩa tại 4.5.2 của phụ lục này;
K1 hiệu chỉnh khối lượng thử như định nghĩa tại 4.5.4 của phụ lục này;
K2 hệ số hiệu chỉnh lực cản không khí như xác định tại 4.5.1 của phụ lục này;
T nhiệt độ môi trường trung bình số học trong tất cả các cặp chạy hợp lệ, °C;
v vận tốc xe, km/h;
w1 hiệu chỉnh sức cản của gió như định nghĩa tại 4.5.3 của phụ lục này, N.
Kết quả tính toán dưới đây phải được sử dụng làm lực cản trên đường mục tiêu At khi tính toán chỉnh đặt tải trọng băng thử động lực được mô tả trong 8.1 của phụ lục này:
![]()
Kết quả tính toán dưới đây phải được sử dụng làm lực cản trên đường mục tiêu Bt trong tính toán chỉnh đặt tải trọng băng thử động lực được mô tả trong 8.1 của phụ lục này:
![]()
Kết quả tính toán dưới đây phải được sử dụng làm hệ số tải trọng mục tiêu của đường Ct trong tính toán chỉnh đặt tải trọng băng thử động lực được mô tả trong 8.1 của phụ lục này:
![]()
4.5.5.2 Đường cong được xác định tại 4.4.4 của phụ lục này phải được hiệu chỉnh về các điều kiện chuẩn và thiết bị đo được lắp đặt theo quy trình sau.
4.5.5.2.1 Hiệu chỉnh các điều kiện tham chiếu
![]()
Trong đó:
C* lực cản chạy đã hiệu chỉnh, Nm;
c0 số hạng không đổi như được xác định tại 4.4.4 của phụ lục này, Nm;
c1 hệ số của số hạng thứ nhất được xác định tại 4.4.4 của phụ lục này, Nm/(km/h);
c2 hệ số của số hạng bậc hai được xác định tại 4.4.4 của phụ lục này, Nm/(km/h)2;
K0 hệ số hiệu chỉnh lực cản lăn như xác định tại 4.5.2 của phụ lục này;
K1 hiệu chỉnh khối lượng thử như định nghĩa tại 4.5.4 của phụ lục này;
K2 hệ số hiệu chỉnh sức cản không khí như định nghĩa tại 4.5.1 của phụ lục này;
v vận tốc của xe, km/h;
T nhiệt độ môi trường trung bình số học trong tất cả các cặp chạy hợp lệ, °C;
w2 sức cản hiệu chỉnh của gió như định nghĩa tại 4.5.3 của phụ lục này.
4.5.5.2.2 Hiệu chỉnh cho đồng hồ đo mô men xoắn được lắp đặt
Nếu lực cản chuyển động được xác định theo phương pháp đo mô men xoắn thì lực cản chuyển động phải được hiệu chỉnh theo ảnh hưởng của thiết bị đo mô men xoắn lắp bên ngoài xe đến các đặc tính khí động học của xe. Hệ số lực cản chuyển động c2 phải được hiệu chỉnh theo công thức sau:
![]()
Trong đó:
![]()
| CD' × Af' | tích của lực cản trên đường khí động học với diện tích phía trước của xe với thiết bị đo đồng hồ đo mômen xoắn được lắp đặt đo trong đường hầm tạo gió đáp ứng các tiêu chí tại 3.2 của phụ lục này, m2; |
| CD × Af | tích của hệ số lực cản khí động học với diện tích phía trước của xe với thiết bị đo đồng hồ đo mô men xoắn không được lắp đặt đo trong đường hầm tạo gió đáp ứng các tiêu chí tại 3.2 của phụ lục này, m2. |
4.5.5.2.3 Lực cản trên đường mục tiêu
Kết quả tính toán dưới đây phải được sử dụng làm lực cản trên đường mục tiêu trong tính toán chỉnh đặt tải trọng băng thử động lực được mô tả tại 8.2 của phụ lục này:
![]()
Kết quả tính toán dưới đây phải được sử dụng làm lực cản trên đường mục tiêu bt trong tính toán chỉnh đặt tải trọng băng thử động lực được mô tả trong 8.2 của phụ lục này:
![]()
Kết quả tính toán dưới đây phải được sử dụng làm lực cản trên đường mục tiêu trong tính toán chỉnh đặt tải trọng băng thử động lực được mô tả trong 8.2 của phụ lục này:
![]()
5 Phương pháp tính lực cản trên đường hoặc lực cản chuyển động
Lực cản trên đường của một xe riêng lẻ phải được tính theo 5.1 của phụ lục này.
Nếu lực cản chạy của xe đại diện được xác định theo phương pháp đo mômen mô tả tại 4.4 của phụ lục này, lực cản chạy của từng xe phải được tính theo 5.2 của phụ lục này.
5.1 Tính toán lực cản trên đường của một xe riêng lẻ
5.1 Để tính toán lực cản trên đường của các xe thuộc họ ma trận lực cản trên đường, các thông số xe được mô tà tại 4.2.1.4 của phụ lục này và lực cản trên đường của xe thử nghiệm đại diện được xác định trong 4.3 của phụ lục này phải được sử dụng.
5.1.1 Lực cản đối với một xe riêng lẻ được tính theo công thức sau:
![]()
Trong đó:
Fc lực tải trên đường tính toán theo hàm vận tốc xe, N;
f0 lực cản trên đường không đổi, N, được xác định theo phương trình:

Trong đó:
f0r lực cản trên đường không đổi của xe đại diện họ ma trận lực cản trên đường, N;
f1 lực cản trên đường bậc một, N/(km/h) và được lấy bằng 0;
f2 lực cản trên đường bậc hai, N/(km/h)2, được xác định theo phương trình:
![]()
Trong đó:
f2r f2r lực cản trên đường bậc hai của xe đại diện thuộc họ ma trận lực cản trên đường, N/(km/h)2;
v vận tốc của xe, km/h;
TM khối lượng thử thực tế của từng xe thuộc họ ma trận lực cản trên đường, kg;
TMr khối lượng thử của xe đại diện thuộc họ ma trận lực cản trên đường, kg;
Af diện tích mặt trước của xe cá nhân thuộc họ ma trận lực cản trên đường, m2,
Afr diện tích mặt trước của xe đại diện họ ma trận lực cản trên đường, m2;
RR lực cản lăn của lốp xe cá nhân thuộc họ ma trận lực cản trên đường, kg/tấn;
RRr lực cản lăn của lốp xe đại diện cho họ ma trận lực cản trên đường, kg/tấn.
Đối với lốp được lắp cho một xe riêng lẻ, giá trị lực cản lăn RR phải được đặt ở giá trị loại của loại hiệu suất năng lượng của lốp áp dụng theo Bảng B3/2 của Phụ lục B3.
Nếu lốp giống nhau được lắp để kiểm tra xe L và H thì giá trị RRind khi sử dụng phương pháp nội suy phải được đặt thành RRH.
5.1.2 Để tính toán lực cản chạy của các xe thuộc họ ma trận lực cản trên đường, các thông số của xe được mô tả trong 4.2.1.4 của phụ lục này và hệ số lực cản chuyển động của xe thử nghiệm đại diện được xác định trong 4.4 của phụ lục này phải được sử dụng.
5.1.2.1 Lực cản chạy đối với một xe riêng lẻ được tính theo công thức sau:
![]()
Trong đó:
Cc lực cản chạy tính toán là hàm của vận tốc xe, Nm;
c0 là lực cản trên đường chạy không đổi, Nm, được xác định theo phương trình:

Trong đó
| c0r | hệ số lực cản chạy không đổi của xe đại diện họ ma trận lực cản trên đường, Nm; |
| c1 | lực cản trên đường khi chạy bậc thứ nhất, Nm/(km/h) và phải được đặt bằng 0; |
| c2 | lực cản trên đường khi chạy bậc hai, Nm/(km/h)2, được xác định theo phương trình: |
![]()
| c2r | hệ số lực cản chạy bậc hai của xe đại diện họ ma trận lực cản trên đường, N/(km/h)2; |
| v | vận tốc của xe, km/h; |
| TM | khối lượng thử thực tế của từng xe thuộc họ ma trận lực cản trên đường, kg; |
| TMr | khối lượng thử của xe đại diện thuộc họ ma trận lực cản trên đường, kg; |
| Af | diện tích mặt trước của xe cá nhân thuộc họ ma trận lực cản trên đường, m2; |
| Afr | diện tích mặt trước của xe đại diện họ ma trận lực cản trên đường, m2; |
| RR | lực cản lăn của lốp xe cá nhân thuộc họ ma trận lực cản trên đường, kg/tấn; |
| RRr | lực cản lăn của lốp xe đại diện cho họ ma trận lực cản trên đường, kg/tấn; |
| r’ | bán kính động của lốp trên băng thử của khung xe đạt được ở vận tốc 80 km/h, m; |
| 1,02 | hệ số gần đúng bù cho tổn thất của hệ thống truyền động. |
5.2 Tính toán lực cản trên đường mặc định dựa trên thông số xe
5.2.1 Để thay thế cho việc xác định lực cản trên đường bằng phương pháp chạy quán tính hoặc đo mô men xoắn, có thể sử dụng phương pháp tính toán tải trọng mặc định của đường.
Để tính toán lực cản trên đường mặc định dựa trên các thông số của xe, phải sử dụng một số thông số như khối lượng thử, chiều rộng và chiều cao của xe. Lực cản trên đường mặc định Fc phải được tính cho các điểm vận tốc tham chiếu.
5.2.2 Lực cản mặc định được tính theo công thức sau:
![]()
Trong đó:
| Fcis | lực cản mặc định được tính toán là hàm số của vận tốc xe, N; |
| f0 | lực cản trên đường không đổi, N, được xác định theo công thức sau phương trình: f0 = 0.140 x TM; |
| f1 | lực cản trên đường bậc một, N/(km/h), lấy bằng 0; |
| f2 | lực cản trên đường bậc hai, N/(km/h)2, được xác định theo phương trình sau: |
|
| f2 = (2.8 × 10-6 × TM) + (0.0170 × chiều rộng × chiều cao); |
| v | vận tốc xe, km/h; |
| TM | Khối lượng thử, kg; |
Chiều rộng xe như xác định tại 6.2 TCVN 6528:1999, m;
Chiều cao xe như xác định tại 6.3 TCVN 6528:1999, m.
6 Phương pháp đường hầm tạo gió
Phương pháp đường hầm tạo gió là phương pháp đo lực cản trên đường bằng cách sử dụng kết hợp giữa đường hầm tạo gió và băng thử động lực hoặc đường hầm tạo gió và một băng thử đai phẳng. Băng ghế thử nghiệm có thể là các phần riêng biệt hoặc tích hợp với nhau.
6.1 Phương pháp đo lường
6.1.1 Lực cản trên đường được xác định theo:
(a) Cộng các lực cản đo trong đường hầm tạo gió và lực đo bằng băng thử đai phẳng; hoặc
(b) Cộng các lực cản được đo trong đường hầm tạo gió và lực đo trên băng thử động lực.
6.1.2 Lực cản khí động học phải được đo trong đường hầm tạo gió.
6.1.3 Lực cản lăn và tổn thất của hệ thống truyền động phải được đo bằng băng thử đai phẳng hoặc băng thử động lực, đo đồng thời trục trước và trục sau.
6.2 Phê duyệt của cơ quan có thẩm quyền
Các kết quả của phương pháp đường hầm tạo gió phải được so sánh với kết quả thu được bằng phương pháp chạy quán tính để chứng minh chất lượng của cơ sở vật chất và được ghi lại.
6.2.1 Cơ quan có thẩm quyền phải lựa chọn ba xe. Các xe phải bao gồm phạm vi xe (ví dụ: kích thước, Khối lượng) được lên kế hoạch đo lường với các cơ sở liên quan.
6.2.2 Hai thử nghiệm chạy quán tính riêng biệt phải được thực hiện với từng xe trong số ba xe theo 4.3 của phụ lục này và các lực cản trên đường thu được f0, f1 và f2 phải được xác định theo đoạn đó và được hiệu chỉnh theo 4.5.5 của phụ lục này. Kết quả thử chạy quán tính của xe thử nghiệm phải là trung bình số học của các lực cản trên đường của hai lần thử nghiệm chạy quán tính riêng biệt. Nếu cần nhiều hơn hai phép thử chạy quán tính để hoàn thành việc phê duyệt các tiêu chí của cơ sở thì tất cả các phép thử hợp lệ phải được tính trung bình.
6.2.3 Đo bằng phương pháp đường hầm tạo gió theo 6.3 đến 6,7 của phụ lục này phải được thực hiện trên cùng ba xe như đã chọn trong 6.2.1 của phụ lục này và trong cùng điều kiện, phải xác định các lực cản trên đường thu được f0, f1 và f2.
Nếu nhà sản xuất chọn sử dụng một hoặc nhiều quy trình thay thế có sẵn trong phương pháp đường hầm tạo gió (tức là 6.5.2.1 về thuần hoá, 6.5.2.2 và 6.5.2.3 về quy trình, bao gồm cả 6.5.2.3.3 về chỉnh đặt băng thử), các quy trình này cũng phải được sử dụng để phê duyệt các xe.
6.2.4 Tiêu chí phê duyệt
Cơ sở hoặc tổ hợp các cơ sở được sử dụng phải được phê duyệt nếu đáp ứng cả hai tiêu chí sau:
(a) Chênh lệch năng lượng chu trình, biểu thị bằng εk, giữa phương pháp đường hầm tạo gió và phương pháp chạy quán tính phải nằm trong khoảng ± 0,05 đối với mỗi xe trong số ba xe k theo phương trình sau:
![]()
Trong đó:
| εk | sự khác biệt về năng lượng chu trình trên WLTC Loại 3 hoàn chỉnh cho xe k giữa phương pháp đường đường hầm tạo gió và phương pháp chạy quán tính, %; |
| Ek,wTM | năng lượng chu trình trên WLTC Loại 3 hoàn chỉnh cho xe k, được tính toán với lực cản trên đường lấy từ phương pháp đường hầm tạo gió (WTM) được tính toán theo Điều 2 của Phụ lục B6, J; |
| Ek, Chạy quán tính | năng lượng chu trình trên WLTC Loại 3 hoàn chỉnh cho xe k, được tính toán với lực cản trên đường lấy từ phương pháp chạy quán tính được tính theo Điều 2 của Phụ lục B6, J.; Và |
(b) Trung bình số học
của ba khác biệt về năng lượng chu trình phải nằm trong khoảng 0,02.
![]()
Cơ quan có thẩm quyền phải lập hồ sơ phê duyệt bao gồm số liệu đo đạc và cơ sở vật chất liên quan.
Cơ sở này có thể được sử dụng để xác định lực cản trên đường trong tối đa hai năm sau khi được phê duyệt.
Mỗi sự kết hợp giữa băng thử động lực hoặc đai chuyển động và đường hầm tạo gió phải được phê duyệt riêng. Mọi sự kết hợp của vận tốc gió (xem 6.4.3 của phụ lục này) được sử dụng để xác định các giá trị lực cản trên đường phải được xác nhận riêng biệt.
6.3 Chuẩn bị xe và nhiệt độ
Việc biến đổi và chuẩn bị xe phải được thực hiện theo 4.2.1 và 4.2.2 của phụ lục này và áp dụng cho cả băng thử đai phẳng hoặc băng thử động lực và các phép đo trong đường hầm tạo gió.
Trong trường hợp quy trình khởi động thay thế được mô tả trong 6.5.2.1 của phụ lục này, việc điều chỉnh khối lượng mục tiêu, việc cân xe và phép đo đều phải được thực hiện mà không có người lái trong xe.
Băng thử phẳng hoặc băng thử động lực tại phòng thử nghiệm phải có điểm đặt nhiệt độ là 20 °C với dung sai là ± 3 °C. Theo yêu cầu của nhà sản xuất, điểm đặt cũng có thể là 23 °C với dung sai là ± 3 °C.
6.4 Quy trình đường hầm tạo gió
6.4.1 Tiêu chí đường hầm tạo gió
Thiết kế đường hầm tạo gió, các phương pháp thử nghiệm và các hiệu chỉnh phải cung cấp giá trị (CD × Af) đại diện cho giá trị trên đường (CD × Af) và có độ lặp lại là ± 0,015 m2.
Đối với tất cả các phép đo (CD × Af), tiêu chí về đường hầm tạo gió được liệt kê trong 3.2 của phụ lục này phải đáp ứng với những sửa đổi sau:
(a) Tỷ lệ tắc nghẽn chất rắn được mô tả trong 3.2.4 của phụ lục này phải nhỏ hơn 25 %;
(b) Bề mặt đai tiếp xúc với bất kỳ lốp nào phải vượt quá chiều dài vùng tiếp xúc của lốp đó nhỏ nhất 20 % và phải rộng ít nhất bằng miếng vá tiếp xúc đó;
(c) Độ lệch chuẩn của áp suất không khí tổng tại đầu ra của vòi phun được mô tả trong 3.2.8 của phụ lục này phải nhỏ hơn 1 %;
(d) Tỷ lệ tắc nghẽn của hệ thống hạn chế được mô tả trong 3.2.10 của phụ lục này phải nhỏ hơn 3 %;
(e) Ngoài yêu cầu được xác định tại 3.2.11 của phụ lục này, khi đo xe loại 1, độ chính xác của lực đo không được vượt quá ± 2,0 N.
6.4.2 Đo đường đường hầm tạo gió
Xe phải ở trong tình trạng được mô tà ở 6.3 của phụ lục này.
Xe phải được đặt song song với tim dọc đường hầm với dung sai lớn nhất là ± 10 mm.
Xe phải được đặt ở góc lệch 0° với sai số ± 0,1 °.
Lực cản khí động học phải được đo trong nhỏ nhất 60 s và ở tần số nhỏ nhất là 5 Hz. Ngoài ra, lực cản có thể được đo ở tần số nhỏ nhất là 1 Hz và với nhỏ nhất 300 mẫu tiếp theo. Kết quả phải là giá trị trung bình số học của lực kéo.
Trước khi thử nghiệm, phải kiểm tra xem lực khí động học đo được ở vận tốc gió 0 km/h có cho kết quả bằng 0 N hay không.
Trong trường hợp xe có các bộ phận thân khí động học có thể di chuyển được, 4.2.1.5 của phụ lục này phải được áp dụng. Khi các bộ phận chuyển động phụ thuộc vào vận tốc thì mọi vị trí áp dụng phải được đo trong ống dẫn gió và phải cung cấp bằng chứng cho cơ quan có thẩm quyền chỉ ra rằng mối quan hệ giữa vận tốc tham chiếu, vị trí bộ phận chuyển động và tương ứng (CD × Af).
6.4.3 Vận tốc gió để đo trong đường hầm tạo gió
Lực khí động học phải được đo ở hai vận tốc gió trong các điều kiện vận tốc sau:
(a) Xe loại 1
Vận tốc gió thấp hơn vlow để đo lực khí động học phải < 80 km/h;
Vận tốc gió cao hơn vhigh phải là (vlow + 40 km/h ≤ vhigh ≤ 150 km/h).
(b) Xe loại 2 và 3
Vận tốc gió thấp hơn vlow để đo lực khí động học là 80 km/h ≤ vlow ≤ 100 km/h;
Vận tốc gió cao hơn phải là (vlow + 40 km/h ≤ vhigh ≤ 150 km).
6.5 Đai phẳng áp dụng cho phương pháp đường hầm tạo gió
6.5.1 Tiêu chí đai phẳng
6.5.1.1 Mô tả băng thử đai phẳng
Các bánh xe phải quay trên các đai phẳng không làm thay đổi đặc tính lăn của bánh xe so với bánh xe trên đường. Các lực đo theo phương X phải bao gồm cả lực ma sát trong hệ thống truyền động.
6.5.1.2 Hệ thống hạn chế xe
Máy đo lực phải được trang bị một thiết bị định tâm để căn chỉnh xe trong phạm vi dung sai ± 0,5 độ quay quanh trục z. Hệ thống hạn chế phải duy trì vị trí chính giữa của bánh dẫn động trong suốt quá trình chạy quán tính xác định lực cản trên đường trong các giới hạn sau:
6.5.1.2.1 Vị trí chiều ngang (trục y)
Xe phải giữ thẳng hàng theo hướng y và giảm thiểu chuyển động ngang.
6.5.1.2.2 Vị trí phía trước và phía sau (trục x)
Bổ sung cho yêu cầu của 6.5.1.2.1 của phụ lục này, cả hai trục bánh xe phải nằm trong phạm vi ± 10 mm tính từ đường tâm bên của đai.
6.5.1.2.3 Lực dọc
Hệ thống hạn chế xe phải được thiết kế sao cho không tác dụng lực thẳng đứng lên các bánh dẫn động.
6.5.1.3 Độ chính xác của lực đo
Chỉ đo lực tác động làm quay bánh xe. Không có ngoại lực nào được đưa vào kết quả (ví dụ: lực của không khí quạt làm mát, lực cản xe, phản lực khí động học của đai phẳng, tổn thất băng thử, v.v.).
Lực theo hướng × phải được đo với độ chính xác ± 5 N.
6.5.1.4 Kiểm soát vận tốc đai phẳng
Vận tốc băng tải phải được kiểm soát với độ chính xác ± 0,1 km/h.
6.5.1.5 Bề mặt đai phẳng
Bề mặt đai phẳng phải sạch, khô và không có vật liệu lạ có thể gây trượt lốp.
6.5.1.6 Làm mát
Một dòng không khí có vận tốc thay đổi phải được thổi về phía xe. Điểm đặt của vận tốc tuyến tính của không khí ở đầu ra của quạt gió phải bằng vận tốc của băng thử tương ứng trên vận tốc đo 5 km/h. Các vận tốc tuyến tính của không khí tại đầu ra của quạt gió phải nằm trong phạm vi ± 5 km/h hoặc ± 10 % vận tốc đo tương ứng, chọn giá trị nào lớn hơn.
6.5.2 Đo đai phẳng
Quy trình đo có thể được thực hiện theo 6.5.2.2 hoặc 6.5.2.3 của phụ lục này.
6.5.2.1 Thuần hóa
Xe phải được ổn định trên băng thử như mô tả trong 4.2.4.1.1 đến 4.2.4.1.3 của phụ lục này.
Việc chỉnh đặt lực cản trên đường cho băng thử Fd cho thuần hoá phải là:
Fd = ad + (bd × v) + (cd × v2)
Trong trường hợp áp dụng 6.7.2.1:
ad = 0
bd = f1a;
cd = f2a
hoặc, trong trường hợp áp dụng 6.7.2.2:
ad = 0
bd = 0
![]()
Quán tính tương đương của băng thử phải là khối lượng thử.
Lực cản khí động học được sử dụng để thiết lập tải trọng phải được lấy từ 6.7.2 của phụ lục này và có thể được đặt trực tiếp làm đầu vào. Nếu không, ad, bd và cd từ phần này phải được sử dụng.
Theo yêu cầu của nhà sản xuất, thay thế cho 4.2.4.1.2 của phụ lục này, việc khởi động có thể được tiến hành bằng cách chạy xe với đai phẳng.
Trong trường hợp này, vận tốc khởi động phải bằng 110 % vận tốc lớn nhất của WLTC thích hợp. Quá trình khởi động được coi là hoàn tất khi xe đã được lái trong ít nhất 1.200 s và sự thay đổi lực đo được trong khoảng thời gian 200 s nhỏ hơn 5 N.
6.5.2.2 Quy trình đo với vận tốc ổn định
6.5.2.2.1 Việc thử nghiệm phải được tiến hành từ điểm vận tốc tham chiếu cao nhất đến điểm vận tốc tham chiếu thấp nhất.
6.5.2.2.2 Ngay sau khi đo ở điểm vận tốc trước đó, việc giảm tốc từ hiện tại đến điểm vận tốc tham chiếu áp dụng tiếp theo phải được thực hiện với vận tốc chuyển tiếp trơn tru khoảng 1 m/s2.
6.5.2.2.3 Vận tốc tham chiếu phải được ổn định trong ít nhất 4 s và lớn nhất là 10 s. Thiết bị đo phải đảm bảo tín hiệu của lực đo được ổn định sau khoảng thời gian đó.
6.5.2.2.4 Lực ở mỗi vận tốc tham chiếu phải được đo trong ít nhất 6 s trong khi vận tốc xe được giữ không đổi. Lực tạo ra đối với điểm vận tốc tham chiếu FjDyno phải là trung bình số học của lực trong quá trình đo.
6.5.2.2.5 Các bước trong 6.5.2.2.2 đến 6.5.2.2.4 bao gồm phụ lục này phải được lặp lại cho mỗi vận tốc tham chiếu.
6.5.2.3 Quy trình đo bằng cách giảm tốc
6.5.2.3.1 Việc chỉnh đặt Thuần hoá và băng thử phải được thực hiện theo 6.5.2.1 của phụ lục này. Trước mỗi lần chạy quán tính, xe phải được lái ở vận tốc tham chiếu cao nhất hoặc, trong trường hợp quy trình khởi động thay thế được sử dụng ở 110 % vận tốc tham chiếu cao nhất, trong ít nhất 1 min. Sau đó, xe phải được tăng tốc lên ít nhất là 10 km/h so với vận tốc tham chiếu cao nhất và việc chạy theo quán tính phải được bắt đầu ngay lập tức.
6.5.2.3.2 Phép đo phải được thực hiện theo 4.3.1.3.1 đến 4.3.1.4.4 của phụ lục này nhưng không bao gồm 4.3.1.4.2, trong đó Δtja và Δtjb được thay thế bằng Δtj. Phép đo phải dừng lại sau hai lần giảm tốc nếu lực của cả hai lần chạy theo quán tính tại mỗi điểm vận tốc tham chiếu nằm trong phạm vi ± 10 N, nếu không thì phải thực hiện ít nhất ba lần chạy theo quán tính bằng cách sử dụng các tiêu chí nêu trong 4.3.1.4.2 của phụ lục này.
6.5.2.3.3 Lực fjDyno tại mỗi vận tốc tham chiếu vj phải được tính bằng cách loại bỏ lực chỉnh đặt của băng thử:
fjDyno = fjDecel - fdj
Trong đó:
| fjDecel | lực được xác định theo phương trình tính Fj tại 4.3.1.4.4 của phụ lục này tại điểm vận tốc tham chiếu j, N; |
| fdj | lực xác định theo phương trình tính Fd tại 6.5.2.1 của phụ lục này tại điểm vận tốc tham chiếu j, N. |
Ngoài ra, theo yêu cầu của nhà sản xuất, cd có thể được đặt về 0 trong quá trình chạy quán tính để tính fjDyno.
6.5.2.4 Điều kiện đo
Xe phải ở trong tình trạng được mô tả trong 4.3.1.3.2 của phụ lục này.
6.5.3 Kết quả đo của phương pháp đai phẳng
Kết quả của băng thử phẳng fjDyno phải được gọi là fj cho các tính toán tiếp theo trong 6.7 của phụ lục này.
6.6 Băng thử động Lực áp dụng cho phương pháp đường hầm tạo gió
6.6.1 Tiêu chí
Ngoài các mô tả trong Điều 1 và Điều 2 của Phụ lục B4, các tiêu chí được mô tả trong các đoạn từ 6.6.1.1 đến 6.6.1.6 phải được áp dụng.
6.6.1.1 Mô tả băng thử động lực
Trục trước và trục sau phải được trang bị một con lăn đơn có đường kính không nhỏ hơn 1,2m.
6.6.1.2 Hệ thống hạn chế xe
Máy đo lực phải được trang bị thiết bị định tắm để căn chỉnh xe. Hệ thống hạn chế phải duy trì vị trí giữa của bánh dẫn động trong các giới hạn được khuyến nghị sau đây trong suốt quá trình chạy quán tính để xác định lực cản trên đường:
6.6.1.2.1 Vị trí xe
Xe được thử nghiệm phái được lắp đặt trên con lăn của băng thử động lực như quy định tại 7.3.3 của phụ lục này.
6.6.1.2.2 Lực dọc
Hệ thống hạn chế phải đáp ứng các yêu cầu 6.5.1.2.3 của phụ lục này.
6.6.1.3 Độ chính xác của lực đo
Độ chính xác của lực đo được phải như mô tả ở 6.5.1.3 của phụ lục này ngoài lực theo hướng X phải được đo với độ chính xác như mô tả trong 2.4.1 của Phụ lục B4.
6.6.1.4 Kiểm soát vận tốc băng thử
Vận tốc con lăn phải được kiểm soát với độ chính xác ± 0,2 km/h.
6.6.1.5 Bề mặt con lăn
Bề mặt con lăn phải sạch, khô và không có vật lạ có thể gây trượt lốp.
6.6.1.6 làm mát
Quạt làm mát phải như mô tả ở 6.5.1.6 của phụ lục này.
6.6.2 Phép đo băng thử
Phép đo phải được thực hiện như mô tả trong 6.5.2 của phụ lục này.
6.6.3 Hiệu chỉnh băng thử động lực theo lực trên bề mặt phẳng
Các lực đo được trên băng thử động lực phải được hiệu chỉnh về giá trị tham chiếu tương đương với mặt đường (mặt phẳng) và kết quả phải được gọi là fj.

Trong đó:
c1 hệ số lực cản lăn của lốp fjDyno;
c2 hệ số hiệu chỉnh bán kính đặc trưng của băng thử động lực;
fjDyno lực được tính ở 6.5.2.3.3 của phụ lục này đối với từng vận tốc tham chiếu j, N;
RWheel bán kính lốp thiết kế danh nghĩa, m;
RDyno bán kính của con lăn băng thử động lực, m.
Nhà sản xuất và cơ quan có thẩm quyền phải thỏa thuận về các hệ số c1 và c2 được sử dụng, dựa trên bằng chứng thử nghiệm tương quan do nhà sản xuất cung cấp đối với phạm vi các đặc tính của lốp dự định được thử trên băng thử động lực.
Để thay thế, phương trình bảo toàn sau đây có thể được sử dụng:

C2 phải là 0,2 ngoại trừ trường hợp 2,0 phải được sử dụng nếu sử dụng phương pháp biến thiên lực cản trên đường (xem 6.8 của phụ lục này) và biến thiên lực cản trên đường được tính theo 6.8.1 của phụ lục này là tiêu cực.
6.7 Tính toán
6.7.1 Hiệu chỉnh kết quả băng thử phẳng và băng thử động lực
Các lực đo được xác định tại 6.5 và 6.6 của phụ lục này phải được hiệu chỉnh về các điều kiện chuẩn bằng cách sử dụng phương trình sau:
![]()
Trong đó:
| FDj | lực cản đã hiệu chỉnh đo tại băng thử phẳng hoặc băng thử động lực tại vận tốc tham chiếu j, N; |
| fji | lực đo được ở vận tốc tham chiếu j, N; |
| K0 | hệ số hiệu chỉnh lực cản lăn như định nghĩa tại 4.5.2 của phụ lục này, K-1; |
| K1 | hiệu chỉnh khối lượng thử nghiệm như định nghĩa tại 4.5.4 của phụ lục này, N; |
| T | nhiệt độ trung bình số học trong phòng thử nghiệm trong quá trình đo, K. |
6.7.2 Tính toán lực khí động học
Cách tính tại 6.7.2.1 phải được áp dụng có tính đến kết quả của cả hai vận tốc gió. Tuy nhiên, nếu chênh lệch tích của hệ số lực kéo và diện tích phía trước (CD × Af) đo ở Vận tốc gió vlow và vhigh nhỏ hơn 0,015 m2 thì tính toán tại 6.7.2.2 có thể được áp dụng theo yêu cầu của nhà sản xuất.
6.7.2.1 Lực khí động học của từng vận tốc gió F0wind, Flow và Fhigh phải được tính toán theo phương trình dưới đây:
![]()
Trong đó:
| (CD × Af)j | tích của hệ số kéo và diện tích phía trước được đo trong đường hầm tạo gió tại điểm vận tốc tham chiếu j nhất định, nếu có, m2; |
| ρ0 | mật độ không khí khô được xác định tại 3.2.10 của tiêu chuẩn này, kg/m3; |
| Fw | lực khí động học tính toán ở vận tốc gió w, N; |
| vw | Vận tốc gió áp dụng, km/h. |
| w | Vận tốc gió áp dụng tham chiếu đến “0wind”, “low" và “high”: |
| F0wind | lực khí động học ở vận tốc 0 km/h, N; |
| Flow | lực khí động học ở vlow, N; |
| Fhigh | lực khí động học tại vhigh, N. |
Các hệ số lực khí động học f1a và f2a phải được tính toán bằng phân tích hồi quy bình phương nhỏ nhất sử dụng F0wind, Flow và Fhigh và phương trình dưới đây:
F = f1a × v + f2a × v2
Kết quả cuối cùng của lực khí động học FAj phải được tính toán theo phương trình dưới đây tại mỗi điểm vận tốc tham chiếu vj. Nếu xe được trang bị các bộ phận thân khí động học có thể di chuyển được phụ thuộc vào vận tốc thì lực khí động học tương ứng phải được áp dụng cho các điểm vận tốc tham chiếu liên quan.
![]()
6.7.2.2 Lực khí động học phải được tính toán bằng phương trình dưới đây, trong đó giá trị cuối cùng (CD × Af) của Vận tốc gió đó phải được sử dụng, giá trị này cũng được sử dụng để xác định thiết bị tùy chọn trong phương pháp nội suy. Nếu xe được trang bị các bộ phận thân khí động học có thể di chuyển được phụ thuộc vào vận tốc thì các giá trị (CD × Af) tương ứng phải được áp dụng cho các điểm vận tốc tham chiếu liên quan.
![]()
Trong đó:
| FAj | lực khí động học tính toán ở vận tốc tham chiếu j, N; |
| (CD × Af)j | tích của hệ số kéo và diện tích phía trước được đo trong đường hầm tạo gió tại điểm vận tốc tham chiếu j nhất định, nếu có, m2; |
| ρ0 | mật độ không khí khô được xác định tại 3.2.10 của tiêu chuẩn này, kg/m3; |
| vj | vận tốc tham chiếu j, km/h |
6.7.3 Tính toán giá trị lực cản trên đường
Tổng lực cản trên đường là tổng của các kết quả ở 6.7.1 và 6.7.2 của phụ lục này phải được tính toán theo công thức sau:
Fj* = FDj + FAj
Đối với tất cả các điểm vận tốc tham chiếu áp dụng j, N.
Đối với tất cả Fj* được tính toán, các hệ số f0, f1 và f2 trong phương trình lực cản trên đường phải được tính bằng phân tích hồi quy bình phương nhỏ nhất và phải được sử dụng làm hệ số mục tiêu trong 8.1.1 của phụ lục này.
Trong trường hợp xe được thử nghiệm theo phương pháp đường hầm tạo gió là đại diện cho họ xe ma trận lực cản trên đường thì hệ số f1 phải được đặt bằng 0 và các hệ số f0 và f2 phải được tính toán lại bằng phân tích hồi quy bình phương nhỏ nhất.
6.8 Phương pháp biến thiên lực cản trên đường
Với mục đích bao gồm các tùy chọn khi sử dụng phương pháp nội suy không được kết hợp với nội suy lực cản trên đường (tức là khí động học, lực cản lăn và khối lượng), có thể đo biến thiên ma sát xe bằng phương pháp biến thiên lực cản trên đường (ví dụ: chênh lệch ma sát giữa các hệ thống phanh). Các bước sau đây phải được thực hiện:
(a) Đo ma sát của xe tham chiếu R;
(b) Đo ma sát của xe tùy chọn (xe N) gây ra chênh lệch ma sát;
(c) Khoản chênh lệch phải được tính theo 6.8.1 của phụ lục này.
Các phép đo này phải được thực hiện trên đai phẳng theo 6.5 của phụ lục này hoặc trên băng thử động lực theo 6.6 của phụ lục này và việc hiệu chỉnh các kết quả (không bao gồm lực khí động học) được tính toán theo 6.7.1 của phụ lục này.
Việc áp dụng phương pháp này chỉ được phép nếu đáp ứng được tiêu chí sau:
![]()
Trong đó:
| FDj,R | lực cản hiệu chỉnh của xe R được đo trên băng thử phẳng hoặc băng thử động lực ở vận tốc tham chiếu j tính theo 6.7.1 của phụ lục này, N; |
| FDj,N | lực cản hiệu chỉnh của xe N được đo trên băng thử phẳng hoặc băng thử động lực ở vận tốc tham chiếu j tính theo 6.7.1 của phụ lục này, N; |
| N | tổng số điểm vận tốc. |
Phương pháp xác định lực cản trên đường thay thế này chỉ có thể được áp dụng nếu xe R và N có lực cản khí động học giống hệt nhau và nếu biến thiên đo được bao hàm toàn bộ ảnh hưởng đến mức tiêu thụ năng lượng của xe một cách thích hợp. Phương pháp này phải không được áp dụng nếu độ chính xác tổng thể của lực cản trên đường tuyệt đối của xe N bị ảnh hưởng dưới bất kỳ hình thức nào.
6.8.1 Xác định hệ số băng thử phẳng hoặc băng thử động lực
Biến thiên lực cản trên đường được tính theo công thức sau:
FDj,Delta = FDj,N - FDj,R
Trong đó:
| FDj,Delta | biến thiên lực cản trên đường ở vận tốc tham chiếu j,N; |
| FDj,N | lực cản đã hiệu chỉnh được đo trên băng thử phẳng hoặc băng thử động lực ở vận tốc tham chiếu j tính theo 6.7.1 của phụ lục này đối với xe N, N; |
| FDj,R | lực cản đã hiệu chỉnh của xe tham chiếu được đo trên băng thử phẳng hoặc băng thử động lực ở vận tốc tham chiếu j tính toán theo 6.7.1 của phụ lục này cho xe tham chiếu R, N. |
Đối với tất cả FDj,Delta được tính toán, các hệ số f0,Delta, f1,Delta và f2,Delta trong phương trình lực cản trên đường phải được tính bằng phân tích hồi quy bình phương nhỏ nhất.
6.8.2 Xác định tổng lực cản trên đường
Phương pháp biến thiên lực cản trên đường cho xe N phải được tính theo các phương trình sau:
f0,N = f0,R + f0,Delta
f1,N = f1,R + f1,Delta
f2,N = f2,R + f2,Delta
Trong đó:
N lực cản trên đường của xe N;
R lực cản trên đường của xe tham chiếu R;
Delta đề cập đến biến thiên lực cản trên đường được xác định trong 6.8.1 của phụ lục này
7 Chuyển lực cản trên đường sang băng thử động lực
7.1 Chuẩn bị cho thử nghiệm băng thử động lực
7.1.0 Lựa chọn hoạt động của băng thử
Việc kiểm tra phải được thực hiện theo 2.4.2.4 của Phụ lục B5.
7.1.1 Điều kiện phòng thí nghiệm
7.1.1.1 Con lăn
(Các) con lăn của băng thử động lực phải sạch, khô và không có vật liệu lạ có thể gây trượt lốp. Băng thử phải được chạy ở cùng trạng thái ghép nối hoặc không ghép nối như phép thử kiểu I tiếp theo. Vận tốc của băng thử động lực phải được đo từ con lăn được ghép nối với đơn vị bộ nguồn hấp thụ
7.1.1.1.1 Trượt lốp
Khối lượng bổ sung có thể được đặt trên hoặc trong xe để loại bỏ hiện tượng trượt lốp. Nhà sản xuất phải thực hiện việc chỉnh đặt tải trên băng thử động lực với khối lượng bổ sung. Khối lượng bổ sung phải có trong cả việc chỉnh đặt tải và các phép thử khí thải và mức tiêu thụ nhiên liệu. Việc sử dụng bất kỳ Khối lượng bổ sung phải được ghi lại.
7.1.1.2 Nhiệt độ phòng
Nhiệt độ môi trường trong phòng thí nghiệm phải ở điểm đặt là 23 °C và không được sai lệch quá ± 5 °C trong quá trình thử nghiệm trừ khi có yêu cầu khác trong bất kỳ phép thử tiếp theo nào.
7.2 Chuẩn bị băng thử động lực
7.2.1 Thiết lập khối lượng quán tính
Khối lượng quán tính tương đương của băng thử động lực phải được đặt theo 2.5.3 của phụ lục này. Nếu băng thử động lực không có khả năng đáp ứng việc chỉnh đặt chính xác quán tính thì phải áp dụng mức quán tính cao hơn tiếp theo với mức tăng lớn nhất là 10 kg.
7.2.2 Khởi động băng thử động lực
Băng thử động lực phải được khởi động theo khuyến nghị của nhà sản xuất, hoặc khi thích hợp, sao cho tổn hao do ma sát của băng thử có thể được ổn định.
7.3 Chuẩn bị xe
7.3.1 Điều chỉnh áp suất lốp
Áp suất lốp ở nhiệt độ ngâm trong phép thử kiểu I phải được đặt ở mức không quá 50 % so với giới hạn dưới của phạm vi áp suất lốp đối với loại lốp đã chọn, theo quy định của nhà sản xuất xe (xem 4.2.2.3 của phụ lục này) và phải được ghi lại.
7.3.2 Nếu việc xác định chỉnh đặt băng thử không thể đáp ứng các tiêu chí được mô tả trong 8.1.3 của phụ lục này do lực không tái tạo, nên xe phải được trang bị chế độ chạy quán tính. Chế độ chạy quán tính phải được cơ quan có thẩm quyền phê duyệt và việc sử dụng nó phải được đưa vào tất cả các báo cáo thử nghiệm liên quan.
Nếu xe được trang bị chế độ chạy quán tính thì xe này phải được kích hoạt cả trong quá trình xác định lực cản trên đường và trên băng thử động lực.
7.3.3 Vị trí xe trên băng thử
Xe thử nghiệm phải được đặt trên băng thử ở tư thế thẳng về phía trước và được giữ lại một cách an toàn.
7.3.3.1 Trong trường hợp sử dụng băng thử động lực con lăn đơn thì xe phải được định vị và giữ nguyên vị trí trong suốt quy trình theo các yêu cầu trong 7.3.3.1.1 đến 7.3.3.1.3.
7.3.3.1.1 Căn chỉnh quay (xoay quanh trục z)
Xe phải được bố trí thẳng hàng với trục X để giảm thiểu chuyển động quay quanh trục z
7.3.3.1.2 Vị trí bên (trục y)
Xe phải giữ thẳng hàng theo hướng y và giảm thiểu chuyển động ngang.
7.3.3.1.3 Vị trí phía trước và phía sau (trục x)
Đối với tất cả các bánh xe quay, tâm của phần tiếp xúc của lốp trên con lăn phải nằm trong phạm vi ± 25 mm hoặc ± 2 % đường kính con lăn, lấy giá trị nào nhỏ hơn, tính từ đỉnh con lăn.
7.3.3.1.4 Xe được thử nghiệm phải được hạn chế bằng hệ thống phù hợp với 2.3.2 của Phụ lục B4.
Nếu sử dụng phương pháp đo mô men xoắn, áp suất lốp phải được điều chỉnh sao cho bán kính động nằm trong khoảng 0,5 % bán kính động rj được tính toán bằng các phương trình trong 4.4.3.1 của phụ lục này tại điểm vận tốc tham chiếu 80 km/h. Bán kính động trên băng thử động lực phải được tính toán theo quy trình được mô tả trong 4.4.3.1 của phụ lục này.
Nếu sự điều chỉnh này nằm ngoài phạm vi được xác định trong 7.3.1 của phụ lục này, không áp dụng phương pháp đo mô men xoắn.
7.3.4 Khởi động xe
7.3.4.1 Xe phải được khởi động bằng WLTC thích hợp. Trong trường hợp xe được khởi động ở mức 90 % vận tốc lớn nhất của giai đoạn cao hơn tiếp theo trong quy trình được xác định tại 4.2.4.1.2 của phụ lục này, pha cao hơn này phải được thêm vào WLTC thích hợp.
Bảng B3/7 - Khởi động xe
| Loại xe | WLTC thích hợp | Áp dụng pha cao hơn tiếp theo | Chu trình khởi động |
| Loại 1 | Low1 + Medium1 | Không áp dụng | Low1 + Medium1 |
| Loại 2 | Low2 + Medium2 + High2 + Extra High2 | Không áp dụng | Low2 + Medium2 + High2 + Extra High2 |
| Low2 + Medium2 + High2 | Có (Extra High2) | ||
| Không | Low2 + Medium2 + High2 | ||
| Loại 3 | Low3 + Medium3 + High3 + Extra High3 | Low3 + Medium3 + High3 + Extra High3 | Low3 + Medium3 + High3 + Extra High3 |
| Low3 + Medium3 + High3 | Có (Extra High3) | ||
| Không | Low3 + Medium3 + High3 |
7.3.4.2 Nếu xe đã khởi động, pha WLTC được áp dụng theo 7.3.4.1 của phụ lục này, với vận tốc cao nhất, phải được đáp ứng.
7.3.4.3 Quy trình khởi động thay thế
7.3.4.3.1 Theo yêu cầu của nhà sản xuất xe và được sự chấp thuận của cơ quan có thẩm quyền, có thể sử dụng quy trình khởi động thay thế. Quy trình khởi động thay thế đã được phê duyệt có thể được sử dụng cho các xe trong cùng loại lực cản trên đường và phải đáp ứng các yêu cầu nêu trong 7.3.4.3.2 đến 7.3.4.3.5 của phụ lục này.
7.3.4.3.2 Phải chọn ít nhất một xe đại diện cho họ lực cản trên đường.
7.3.4.3.3 Nhu cầu năng lượng chu trình được tính theo Điều 2 của Phụ lục B6 với các lực cản trên đường đã hiệu chỉnh f0a, f1a và f2a, đối với quy trình khởi động thay thế phải bằng hoặc cao hơn nhu cầu năng lượng chu trình được tính toán với các lực cản trên đường mục tiêu f0, f1 và f2 cho từng giai đoạn áp dụng.
Các lực cản trên đường hiệu chỉnh f0a, f1a và f2a được tính theo công thức sau:
f0a = f0 + Ad_alt - Ad_WLTC
f1a = f1 + Bd_alt - Bd_WLTC
f2a = f2 + Cd_alt - Cd_WLTC
Trong đó:
| Ad_alt, Bd_alt và Cd_alt | các hệ số chỉnh đặt băng thử động lực sau quy trình khởi động thay thế; |
| Ad_WLTC Bd_WLTC và Cd_WLTC | các hệ số chỉnh đặt băng thử động lực sau quy trình khởi động WLTC được mô tả trong 7.3.4.1 của phụ lục này và chỉnh đặt tải trọng băng thử động lực hợp lệ theo Điều 8 của phụ lục này. |
7.3.4.3.4 Các lực cản trên đường đã hiệu chỉnh f0a, f1a và f2a chỉ được sử dụng cho mục đích tại 7.3.4.3.3 của phụ lục này. Đối với các mục đích khác, các lực cản trên đường mục tiêu f0, f1 và f2 phải được sử dụng làm lực cản trên đường mục tiêu.
7.3.4.3.5 Các chi tiết về quy trình và tính tương đương của nó phải được cung cấp cho cơ quan có thẩm quyền.
8 Chỉnh đặt lực cản trên đường cho băng thử động lực
8.1 Thiết lập lực cản trên đường cho băng thử động lực bằng phương pháp chạy quán tính
Phương pháp này được áp dụng khi đã xác định được các lực cản trên đường f0, f1 và f2.
Trong trường hợp họ ma trận lực cản trên đường, phương pháp này phải được áp dụng khi lực cản trên đường của xe đại diện được xác định bằng phương pháp chạy quán tính được mô tả trong 4.3 của phụ lục này. Giá trị lực cản trên đường mục tiêu là các giá trị được tính toán bằng phương pháp được mô tả trong 5.1 của phụ lục này.
8.1.1 Chỉnh đặt tải ban đầu
Đối với băng thử động lực có hệ số điều khiển, bộ phận hấp thụ công suất của băng thử động lực phải được điều chỉnh với các hệ số ban đầu tùy ý Ad, Bd và Cd theo phương trình sau:
Fd = Ad + Bdv + Cdv2
Trong đó:
Fd tải chỉnh đặt băng thử động lực, N;
v vận tốc của con lăn băng thử động lực, km/h.
Sau đây là các hệ số được khuyến nghị sử dụng cho chỉnh đặt tải ban đầu:
(a) Ad = 0.5 × At, Bd = 0.2 × Bt, Cd = Ct
đối với băng thử động lực một trục, hoặc
Ad = 0.1 × At, Bd = 0.2 × Bt, Cd = Ct
đối với băng thử động lực hai trục, trong đó At, Bt và Ct là lực cản trên đường mục tiêu;
(b) Các giá trị thực nghiệm, chẳng hạn như các giá trị được sử dụng để chỉnh đặt cho một loại xe tương tự.
Đối với băng thử động lực điều khiển đa giác, các giá trị tải thích hợp ở mỗi vận tốc tham chiếu phải được đặt cho bộ phận hấp thụ công suất của băng thử động lực.
8.1.2 Chạy quán tính
Thử nghiệm chạy quán tính trên băng thử động lực phải được thực hiện theo quy trình nêu trong đoạn 8.1.3.4.1 hoặc 8.1.3.4.2 của phụ lục này và phải bắt đầu không muộn hơn 120 s sau khi hoàn thành quy trình khởi động.
Các hoạt động chạy quán tính liên tiếp phải được bắt đầu ngay lập tức. Theo yêu cầu của nhà sản xuất và được sự chấp thuận của cơ quan có thẩm quyền, thời gian giữa quy trình khởi động và chạy quán tính bằng phương pháp lặp lại có thể được kéo dài để đảm bảo việc điều chỉnh xe thích hợp cho chạy quán tính. Nhà sản xuất phải cung cấp cho cơ quan có thẩm quyền bằng chứng về việc yêu cầu thêm thời gian và bằng chứng cho thấy các thông số chỉnh đặt tải của băng thử động băng thử (ví dụ: chất làm mát và/hoặc nhiệt độ dầu, lực tác dụng lên băng thử) không bị ảnh hưởng.
8.1.3 Kiểm tra xác nhận
8.1.3.1 Giá trị lực cản trên đường mục tiêu phải được tính bằng lực cản trên đường mục tiêu At, Bt và Ct cho từng vận tốc tham chiếu, vj:
Ftj = At + Btvj + Ctvj2
Trong đó:
At, Bt và Ct các thông số lực cản trên đường mục tiêu;
Ftj lực cản trên đường mục tiêu ở vận tốc tham chiếu vj, N;
vj vận tốc tham chiếu thứ j, km/h.
8.1.3.2 Lực cản trên đường đo được được tính theo công thức sau:
![]()
Trong đó:
| Δv | 5 km/h; |
| Fmj | lực cản trên đường đo được cho từng vận tốc tham chiếu vj, N; |
| TM | khối lượng thử của xe, kg; |
| mr | khối lượng hiệu dụng tương đương của các bộ phận quay theo 2.5.1 của phụ lục này, kg; |
| Δtj | thời gian chạy quán tính tương ứng với vận tốc vj, s. |
8.1.3.3 Các hệ số As, Bs và Cs trong phương trình lực cản trên đường của lực cản trên đường mô phỏng trên băng thử động lực xe được tính toán bằng phương pháp phân tích hồi quy bình phương nhỏ nhất;
Fs = As + (Bs × v)+ (Cs × v2)
Lực cản trên đường mô phỏng cho mỗi vận tốc tham chiếu vj phải được xác định theo công thức sau, sử dụng As, Bs và Cs được tính toán:
Fsj = As + (Bs × vj) + (Cs × vj2)
8.1.3.4 Để chỉnh đặt tải trọng băng thử, có thể sử dụng hai phương pháp khác nhau. Nếu xe được tăng tốc bằng băng thử, các phương pháp được mô tả trong 8.1.3.4.1 của phụ lục này được sử dụng. Nếu xe được tăng tốc bằng chính năng lượng của nó thì áp dụng các phương pháp nêu tại 8.1.3.4.1 hoặc 8.1.3.4.2 của phụ lục này phải được sử dụng và gia tốc nhỏ nhất nhân với vận tốc phải là 6 m2/s3. Những xe không thể đạt được vận tốc 6 m2/s3 phải được lái với bộ điều khiển gia tốc được áp dụng hoàn toàn.
8.1.3.4.1 Phương pháp chạy cố định
8.1.3.4.1.1 Phần mềm băng thử phải thực hiện tổng cộng bốn làn chạy quán tính. Từ lần chạy quán tính đầu tiên, các hệ số chỉnh đặt băng thử cho lần chạy thứ hai phải được tính toán theo 8.1.4 của phụ lục này. Sau lần chạy quán tính đầu tiên, phần mềm phải thực hiện ba lần chạy quán tính bổ sung với hệ số chỉnh đặt băng thử cố định được xác định sau lần chạy quán tính đầu tiên hoặc hệ số chỉnh đặt băng thử được điều chỉnh theo 8.1.4 của phụ lục này.
8.1.3.4.1.2 Các hệ số chỉnh đặt băng thử cuối cùng A, B và C phải được tính toán theo các công thức sau:

Trong đó:
At, Bt và Ct các thông số lực cản trên đường mục tiêu;
Asn, Bsn và Csn lực cản trên đường mô phỏng ở lần chạy thứ n;
Adn, Bdn và Cdn các hệ số chỉnh đặt băng thử của lần chạy thứ n;
n số chỉ số của các lần chạy quán tính bao gồm cả lần chạy ổn định đầu tiên.
8.1.3.4.2 Phương pháp lặp
Các lực tính toán trong phạm vi vận tốc quy định phải nằm trong phạm vi ± 10 N sau khi bình phương hồi quy nhỏ nhất của các lực trong hai lần chạy quán tính liên tiếp khi so sánh với các giá trị mục tiêu, hoặc các lần chạy quán tính bổ sung phải được thực hiện sau khi điều chỉnh chỉnh đặt tải trọng băng thử động lực theo 8.1.4 của phụ lục này cho đến khi thỏa mãn dung sai.
8.1.4 Điều chỉnh
Tải trọng chỉnh đặt băng thử động lực phải được điều chỉnh theo các phương trình sau:

Vì thế:

Trong đó:
| Fdj | tải đặt ban đầu của băng thử động lực, N; |
|
| tải chỉnh đặt băng thử động lực đã điều chỉnh, N; |
| Fj | lực cản trên đường điều chỉnh bằng (Fsj - Ftj), N; |
| Fsj | lực cản trên đường mô phỏng ở vận tốc tham chiếu vj, N; |
| Ftj | lực cản trên đường mục tiêu ở vận tốc tham chiếu vj, N; |
|
| các hệ số chỉnh đặt băng thử động lực mới. |
8.1.5 At, Bt và Ct phải được sử dụng làm giá trị cuối cùng của f0, f1 và f2 và được sử dụng cho các mục đích sau:
(a) Xác định thu nhỏ quy mô, Điều 8 Phụ lục B1;
(b) Xác định điểm sang số, Phụ lục B2;
(c) Tính toán kết quả xe, Điều 4 Phụ lục B7.
8.2 Chỉnh đặt lực cản trên đường cho băng thử động lực bằng phương pháp đo mômen xoắn
Phương pháp này có thể áp dụng khi lực cản chạy được xác định bằng phương pháp đo mô-men xoắn được mô tả trong 4.4 của phụ lục này.
Trong trường hợp họ ma trận lực cản trên đường, phương pháp này phải được áp dụng khi lực cản chạy của xe đại diện được xác định bằng phương pháp đo mô men xoắn như quy định tại 4.4 của phụ lục này. Các giá trị cản chạy mục tiêu là các giá trị được tính toán bằng phương pháp được chỉ định trong 5.1 của phụ lục này.
8.2.1 Chỉnh đặt tải ban đầu
Đối với băng thử động lực có điều khiển hệ số, bộ phận hấp thụ công suất của băng thử động lực phải được điều chỉnh với các hệ số ban đầu tùy ý Ad, Bd và Cd theo phương trình sau:
Fd = Ad + Bdv + Cdv2
Trong đó:
Fd tải chỉnh đặt băng thử động lực, N;
v vận tốc của con lăn băng thử động lực, km/h.
Các hệ số sau được khuyến nghị cho chỉnh đặt tải ban đầu:
(a) ![]()
Đối với động băng thử động lực một trục, hoặc
![]()
Đối với băng thử động lực hai trục, trong đó:
at, bt và ct là hệ số lực cản chuyển động mục tiêu; và
Trong đó:
r’ bán kính động của lốp trên băng thử động lực đạt được ở vận tốc 80 km/h, m, hoặc
(b) Các giá trị thực nghiệm, chẳng hạn như các giá trị được sử dụng để chỉnh đặt cho một loại xe tương tự.
Đối với băng thử động lực điều khiển đa giác, các giá trị tải thích hợp ở mỗi vận tốc tham chiếu phải được thiết lập cho bộ phận hấp thụ công suất của băng thử động lực.
8.2.2 Đo mômen bánh xe
Thử nghiệm đo mômen xoắn trên băng thử động lực phải được thực hiện theo quy trình được xác định trong 4.4.2 của phụ lục này. (Các) đồng hồ đo mômen xoắn phải giống hệt với (các) đồng hồ được sử dụng trong phép thử đường trước đó.
8.2.3 Kiểm tra xác nhận
8.2.3.1 Đường cong lực cản chạy (mô men xoắn) mục tiêu phải được xác định bằng phương trình trong 4.5.5.2.1 của phụ lục này và có thể được viết như sau:
![]()
8.2.3.2 Đường cong lực cản chuyển động mô phỏng (mô-men xoắn) trên băng thử động lực phải được tính toán theo phương pháp được mô tả và độ chính xác đo được quy định trong 4.4.3.2 của phụ lục này và xác định đường cong lực cản chạy (mô men xoắn) như mô tả trong 4.4.4 của phụ lục này với các sửa đổi áp dụng theo 4.5 của phụ lục này, tất cả đều ngoại trừ việc đo theo các hướng ngược nhau, dẫn đến đường cong lực cản chuyển động mô phỏng:
![]()
Lực cản chuyển động mô phỏng (mô-men xoắn) phải nằm trong dung sai ± 10 N×r' so với lực cản chuyển động mục tiêu ở mọi điểm tham chiếu vận tốc trong đó r' là bán kính động của lốp tính bằng mét trên băng thử động lực đạt được ở vận tốc 80 km/ h.
Nếu dung sai ở bất kỳ vận tốc tham chiếu nào không đáp ứng tiêu chí của phương pháp được mô tả trong đoạn này thì quy trình được nêu trong 8.2.3.3 của phụ lục này phải được sử dụng để điều chỉnh chỉnh đặt tải của băng thử động lực.
8.2.3.3 Điều chỉnh
Việc đặt lực cản trên đường cho băng thử động lực phải được điều chỉnh theo công thức sau:

Khi đó:

Trong đó:
|
| tải chỉnh đặt băng thử động lực mới, N; |
| Fej | lực cản trên đường điều chỉnh bằng (Fsj - Ftj), Nm; |
| Fsj | lực cản trên đường mô phỏng ở vận tốc tham chiếu vj, Nm; |
| Ftj | lực cản trên đường mục tiêu ở vận tốc tham chiếu vj, Nm; |
|
| các hệ số chỉnh đặt băng thử động lực mới; |
| r’ | bán kính động của lốp trên băng thử động lực ở vận tốc 80 km/h, m. |
Điều 8.2.2 và 8.2.3 của phụ lục này phải được lặp lại cho đến dung sai trong 8.2.3.2 của phụ lục này được đáp ứng.
8.2.3.4 Khối lượng của (các) trục dẫn động, thông số kỹ thuật của lốp và việc chỉnh đặt tải trọng của băng thử động lực phải được ghi lại khi có yêu cầu 8.2.3.2 của phụ lục này được thực hiện.
8.2.4 Chuyển hệ số lực cản chuyển động về lực cản trên đường f0, f1, f2
8.2.4.1 Nếu xe không giảm vận tốc theo cách lặp lại và chế độ giảm vận tốc theo 4.2.1.8.5 của phụ lục này không khả thi thì các hệ số f0, f1 và f2 trong phương trình lực cản trên đường phải được tính theo các phương trình tại 8.2.4.1.1 của phụ lục này. Trong mọi trường hợp khác, quy trình được mô tả trong 8.2.4.2 đến 8.2.4.4 của phụ lục này phải được thực hiện.
8.2.4.1.1

Trong đó:
| c0, c1, c2 | các hệ số lực cản chuyển động được xác định tại 4.4.4 của phụ lục này, Nm, Nm/(km/h), Nm/(km/h)2; |
| r | bán kính động của lốp xe để xác định lực cản chạy, m; |
| 1,02 | hệ số gần đúng bù cho tổn thất của hệ thống truyền động. |
8.2.4.1.2 Các giá trị f0, f1, f2 đã xác định không được sử dụng cho việc chỉnh đặt băng thử động lực hoặc bất kỳ thử nghiệm phát thải hoặc phạm vi nào. Chúng chỉ được sử dụng trong các trường hợp sau:
(a) Xác định thu nhỏ quy mô, Điều 8 Phụ lục B1;
(b) Xác định điểm sang số, Phụ lục B2;
(c) Tính toán kết quả xe điện, Điều 4 Phụ lục B7.
8.2.4.2 Sau khi băng thử động lực đã được đặt trong phạm vi dung sai quy định, quy trình chạy quán tính của xe phải được thực hiện trên băng thử động lực như đã nêu trong 4.3.1.3 của phụ lục này. Thời gian chạy quán tính phải được ghi lại.
8.2.4.3 Lực cản trên đường Fj ở vận tốc tham chiếu vj, N, được xác định theo công thức sau:

Trong đó:
| Fj | lực cản trên đường ở vận tốc tham chiếu Vj, N; |
| TM | khối lượng thử của xe, kg; |
| mr | khối lượng hiệu dụng tương đương của các bộ phận quay theo 2.5.1 của phụ lục này, kg; |
| Δv = 5 km/h | |
| Δtj | thời gian chạy quán tính tương ứng với vận tốc vj, s. |
8.2.4.4 Các hệ số f0, f1 và f2 trong phương trình lực cản trên đường được tính toán bằng phân tích hồi quy bình phương nhỏ nhất trên dải vận tốc tham chiếu.
Phụ lục B4
(Quy định)
Thiết bị thử nghiệm và hiệu chuẩn
1 Thông số kỹ thuật và chỉnh đặt của phòng thử
1.1 Thông số quạt làm mát
1.1.1 Một luồng không khí có vận tốc thay đổi phải được thổi về phía xe. Điểm đặt của vận tốc tuyến tính của không khí ở đầu ra của quạt gió phải bằng vận tốc con lăn tương ứng trên vận tốc con lăn 5 km/h. Vận tốc tuyến tính của không khí ở đầu ra của quạt gió phải nằm trong khoảng ± 5 km/h hoặc ± 10 % vận tốc con lăn tương ứng, chọn giá trị nào lớn hơn.
1.1.2 Vận tốc không khí nêu trên phải được xác định bằng giá trị trung bình của một số điểm đo:
(a) Đối với quạt có đầu ra hình chữ nhật, được đặt tại tâm của mỗi hình chữ nhật chia toàn bộ đầu ra quạt thành 9 phần (chia cả hai mặt ngang và dọc của đầu ra quạt thành 3 phần bằng nhau). Diện tích trung tâm không được đo (như trong Hình B4/1);

Hình B4/1 - Quạt có đầu ra hình chữ nhật
(b) Đối với quạt có đầu ra hình tròn, đầu ra phải được chia thành 8 phần bằng nhau bằng các đường thẳng đứng, nằm ngang và 45 °. Các điểm đo phải nằm trên đường tâm hướng tâm của từng khu vực (22,5 °) tại 2/3 bán kính đầu ra (như trong Hình B4/2).

Hình B4/2 - Quạt có đầu ra hình tròn
Các phép đo này phải được thực hiện khi không có xe cộ hoặc vật cản khác ở phía trước quạt. Thiết bị dùng để đo vận tốc tuyến tính của không khí phải được đặt cách cửa thoát khí từ 0 cm đến 20 cm.
1.1.3 Đầu ra của quạt phải có các đặc điểm sau:
(a) Diện tích ít nhất là 0,3 m2; Và
(b) Chiều rộng/đường kính ít nhất là 0,8 m.
1.1.4 Vị trí của quạt như sau:
(a) Chiều cao của mép dưới so với mặt đất: khoảng 20 cm;
(b) Khoảng cách từ phía trước xe: khoảng 30 cm;
(c) Gần như nằm trên đường tâm dọc của xe.
1.1.5 Theo yêu cầu của nhà sản xuất và nếu được cơ quan có thẩm quyền cho là phù hợp, chiều cao, vị trí ngang và khoảng cách so với xe của quạt làm mát có thể được sửa đổi.
Nếu cấu hình quạt được chỉ định là không thực tế đối với các thiết kế xe đặc biệt, chẳng hạn như xe có động cơ gắn phía sau hoặc cửa hút gió bên, hoặc nó không cung cấp đủ khả năng làm mát để thể hiện đúng hoạt động đang sử dụng, theo yêu cầu của nhà sản xuất và nếu được coi là phù hợp bởi cơ quan có thẩm quyền, chiều cao, công suất, vị trí dọc và ngang của quạt làm mát có thể được sửa đổi và có thể sử dụng các quạt bổ sung có thể có thông số kỹ thuật khác (bao gồm cả quạt vận tốc không đổi).
1.1.6 Trong các trường hợp được mô tả trong 1.1.5 của phụ lục này, vị trí và công suất của (các) quạt làm mát và các chi tiết giải thích được cung cấp cho cơ quan có thẩm quyền phải được ghi lại. Đối với bất kỳ phép thử tiếp theo nào, các vị trí và thông số kỹ thuật tương tự phải được sử dụng có tính đến lý do biện minh để tránh các đặc tính làm mát không mang tính đại diện.
2 Băng thử động lực
2.1 Yêu cầu chung
2.1.1 Băng thử phải có khả năng mô phỏng lực cản trên đường với ba lực cản trên đường có thể điều chỉnh được để định hình đường cong tải trọng.
2.1.2 Băng thử động lực có thể có cấu hình một hoặc hai con lăn. Trong trường hợp sử dụng băng thử động lực con lăn đôi, các con lăn phải được ghép cố định hoặc con lăn phía trước phải dẫn động trực tiếp hoặc gián tiếp mọi khối lượng quán tính và thiết bị hấp thụ công suất.
2.2 Yêu cầu cụ thể
Các yêu cầu cụ thể sau đây liên quan đến thông số kỹ thuật của nhà sản xuất băng thử.
2.2.1 Độ đảo của con lăn phải nhỏ hơn 0,25 mm ở tất cả các vị trí đo.
2.2.2 Đường kính con lăn phải nằm trong khoảng ±1,0 mm so với giá trị danh nghĩa được chỉ định tại tất cả các vị trí đo.
2.2.3 Băng thử phải có hệ thống đo thời gian để sử dụng trong việc xác định vận tốc tăng tốc và đo thời gian chạy đà của xe/máy đo lực. Hệ thống đo thời gian này không được vượt quá độ chính xác ± 0,001 % sau ít nhất 1.000 s hoạt động. Điều này phải được xác nhận khi chỉnh đặt lần đầu.
2.2.4 Băng thử phải có hệ thống đo vận tốc với độ chính xác ít nhất là ± 0,080 km/h. Điều này phải được xác nhận khi chỉnh đặt lần đầu.
2.2.5 Băng thử phải có thời gian đáp ứng (90 % đáp ứng với sự thay đổi bước lực kéo) nhỏ hơn 100 ms với gia tốc tức thời ít nhất là 3 m/s2. Điều này phải được thử nghiệm xác nhận khi lắp đặt lần đầu và sau khi bảo trì lớn.
2.2.6 Quán tính cơ bản của băng thử phải được nhà sản xuất công bố và phải được xác nhận trong phạm vi 0,5 % hoặc 7,5 kg, lấy giá trị nào lớn hơn đối với mỗi quán tính cơ bản đo được và ± 0,2 % so với bất kỳ giá trị trung bình số học nào bằng đạo hàm động từ các phép thử với gia tốc, giảm tốc và lực không đổi.
2.2.7 Vận tốc con lăn phải được đo ở tần số không nhỏ hơn 10 Hz.
2.3 Yêu cầu cụ thể bổ sung đối với băng thử động lực khi vận hành 4WD
2.3.1 Để thử nghiệm ở chế độ vận hành 4WD, trừ khi các điều kiện trong 2.3.1.3 được đáp ứng thì băng thử động lực phải có cấu hình một con lăn. Hệ thống điều khiển 4WD phải được thiết kế sao cho đáp ứng được các yêu cầu sau khi thử nghiệm với xe chạy qua WLTC.
2.3.1.1 Mô phỏng lực cản trên đường phải được áp dụng sao cho băng thử khi vận hành bằng hệ dẫn động 4WD tái tạo tỷ lệ lực tương tự như khi chạy xe trên mặt đường bằng phẳng, khô ráo và nhẵn.
2.3.1.2 Khi lắp đặt lần đầu và sau khi bảo trì lớn, các yêu cầu của 2.3.1.2.1 của phụ lục này và của 2.3.1.2.2 hoặc 2.3.1.2.3 của phụ lục này phải được đáp ứng. Sự chênh lệch vận tốc giữa các con lăn phía trước và phía sau phải được đánh giá bằng cách áp dụng bộ lọc trung bình chuyển động 1 s cho dữ liệu vận tốc con lăn thu được ở tần số nhỏ nhất là 20 Hz.
2.3.1.2.1 Chênh lệch khoảng cách được bao phủ bởi các con lăn phía trước và phía sau phải nhỏ hơn 0,2 % khoảng cách được lái qua WLTC. số tuyệt đối phải được tích hợp để tính tổng chênh lệch khoảng cách trên WLTC.
2.3.1.2.2 Sự khác biệt về khoảng cách được bao phủ bởi các con lăn phía trước và phía sau phải nhỏ hơn 0,1 m trong khoảng thời gian 200 ms bất kỳ.
2.3.1.2.3 Chênh lệch vận tốc của tất cả các vận tốc con lăn phải nằm trong khoảng ±0,16 km/h.
2.3.1.3 Sử dụng băng thử động lực con lăn đôi có cấu hình 4WD có thể được chấp nhận nếu đáp ứng các điều kiện sau:
(a) Khoảng cách tách biệt giữa bộ con lăn đôi phía trước và phía sau của băng thử (X trong sơ đồ bên dưới) được đặt càng gần càng tốt để phù hợp với chiều dài cơ sở công bố của nhà sản xuất xe thử nghiệm, và
(b) Phải đảm bảo rằng việc thiết lập khoảng cách tách biệt giữa các bộ con lăn được sử dụng để thiết lập tải dyno được lặp lại cho thử nghiệm xe.

2.3.2 Hệ thống hãm xe cho băng thử động lực con lăn đơn
2.3.2.1 Lực dọc
Ngoài yêu cầu của 7.3.3.1.3 của Phụ lục B3, Hệ thống hạn chế xe phải được thiết kế sao cho lực thẳng đứng tác dụng lên xe được giảm thiểu và không đổi trong quá trình chỉnh đặt băng thử động lực và tất cả các phép thử. Tiêu chí này được đáp ứng nếu hệ thống hạn chế được thiết kế sao cho nó không thể tác dụng bất kỳ lực thẳng đứng nào khác hoặc nếu quy trình chứng minh cách đáp ứng yêu cầu này đã được thỏa thuận giữa cơ quan có thẩm quyền và nhà sản xuất.
2.3.2.2 Hạn chế độ cứng
Hệ thống hạn chế phải có đủ độ cứng để giảm thiểu mọi chuyển động và chuyển động quay. Chỉ cho phép các chuyển động hạn chế dọc theo trục z và quay trên trục y để tránh những ảnh hưởng không đáng kể đến kết quả thử nghiệm và đáp ứng các yêu cầu của 2.3.2.1 của phụ lục này.
2.4 Hiệu chuẩn băng thử động lực
2.4.1 Hệ thống đo lực
Độ chính xác của bộ chuyển đổi lực phải ít nhất là ± 10 N đối với tất cả các số gia đo được. Điều này phải được thử nghiệm xác nhận khi lắp đặt lần đầu, sau đợt bảo trì lớn và trong vòng 370 ngày trước khi thử nghiệm.
2.4.2 Hiệu chuẩn tổn thất ký sinh của băng thử
Tổn thất ký sinh của băng thử phải được đo và cập nhật nếu bất kỳ giá trị đo được nào khác với đường cong tổn thất hiện tại lớn hơn 9,0 N. Điều này phải được thử nghiệm khi lắp đặt lần đầu, sau bảo trì lớn và trong vòng 35 ngày trước khi thử nghiệm.
2.4.3 Kiểm tra mô phỏng lực cản trên đường khi không có xe
Hiệu suất của băng thử phải được thử nghiệm bằng cách thực hiện thử nghiệm chạy quán tính không tải khi lắp đặt lần đầu, sau khi bảo trì lớn và trong vòng 7 ngày trước khi thử nghiệm. Sai số lực dọc trung bình số học phải nhỏ hơn 10 N hoặc 2 %, chọn giá trị nào lớn hơn, tại mỗi điểm vận tốc tham chiếu.
Phụ lục B5
(Quy định)
Quy trình và điều kiện phép thử kiểu I
1 Mô tả phép thử
1.1 Phép thử kiểu được sử dụng đề kiểm tra xác nhận mức tiêu thụ điện năng và quãng đường chạy trong chu trình phép thử WLTP thích hợp và độ chính xác của OBFCM.
1.1.1 Các phép thử phải được thực hiện theo phương pháp được mô tả trong Điều 2 của phụ lục này hoặc Điều 3 của Phụ lục B7.
1.2 Xác định giá trị chu trình tổng
1.2.1 Tùy thuộc vào loại xe, nhà sản xuất phải công bố giá trị chu trình tổng của mức tiêu thụ điện năng cũng như PER và AER theo Bảng A5/1.
1.2.2 Nếu sau phép thử đầu tiên, tất cả các tiêu chí ở hàng 1 của Bảng A5/2 được áp dụng đều được đáp ứng thì tất cả các giá trị do nhà sản xuất công bố phải được chấp nhận là giá trị phê duyệt kiểu. Nếu bất kỳ tiêu chí nào ở hàng 1 của Bảng A5/2 không được đáp ứng thì phải thực hiện phép thử thứ hai với cùng một xe.
1.2.3 Sau lần thử thứ hai, tính kết quả trung bình số học của hai lần thử. Nếu tất cả các tiêu chí ở hàng 2 của Bảng A5/2 có thể áp dụng được đáp ứng bởi các kết quả trung bình số học này thì tất cả các giá trị do nhà sản xuất công bố phải được chấp nhận là giá trị phê duyệt kiểu. Nếu bất kỳ tiêu chí nào ở hàng 2 của Bảng A5/2 áp dụng không được đáp ứng thì phép thử thứ ba phải được thực hiện với cùng một xe.
1.2.4 Sau lần thử thứ ba, tính kết quả trung bình số học của ba lần thử. Đối với tất cả các tham số đáp ứng tiêu chí tương ứng ở hàng 3 của Bảng A5/2, giá trị khai báo phải được lấy làm giá trị phê duyệt kiểu. Đối với bất kỳ thông số nào không đáp ứng tiêu chí tương ứng ở hàng 3 của Bảng A5/2, kết quả trung bình số học phải được lấy làm giá trị phê duyệt kiểu.
1.2.5 Trong trường hợp bất kỳ tiêu chí nào của Bảng A5/2 áp dụng không được đáp ứng sau thử nghiệm thứ nhất hoặc thứ hai, theo yêu cầu của nhà sản xuất và được cơ quan có thẩm quyền phê duyệt, các giá trị có thể được công bố lại ở mức cao hơn giá trị tiêu thụ, hoặc giá trị thấp hơn với quãng đường chạy, nhằm giảm số lượng thử nghiệm cần thiết để phê duyệt kiểu.
1.2.6 Trong trường hợp kết quả thử nghiệm hoặc giá trị trung bình của các kết quả thử nghiệm được lấy và xác nhận là giá trị phê duyệt kiểu thì kết quả này phải được gọi là “giá trị công bố” cho việc tính toán tiếp theo.
Bảng A5/1 - Quy tắc áp dụng cho các giá trị được công bố của nhà sản xuất
(tổng giá trị Chu trình)(a)(nếu có)
| Hệ động lực | Chỉ phép thử WLTP 4 pha MCO2(b) (g/km) | Phép thử WLTP 4 pha FC (kg/100km) | Phép thử WLTP 3 pha FE (kg/l hoặc km/kg) | Tiêu thụ điện năng(c) (Wh/km) | Tất cả quãng đường chạy thuần điện/PEV(c) (km) |
| PEV | - | - | - | ECWLTC Điều 4.1.1.2 của Phụ lục B7. | PERWLTC Điều 4.1.1.2 của Phụ lục B7. |
CHÚ THÍCH
(a) Giá trị được công bố phải là giá trị mà các hiệu chỉnh cần thiết, nếu có, được áp dụng.
(b) Làm tròn đến 2 chữ số thập phân theo 6.1.4 của tiêu chuẩn này
(c) Làm tròn đến 1 chữ số thập phân theo 6.1.4 của tiêu chuẩn này
Bảng A5/2 - Tiêu chí về số lượng thử nghiệm
Dành cho PEV
|
| Thử nghiệm | Tham số quyết định | Tiêu thụ điện năng | PER |
| Hàng 1 | Đầu tiên | Các kết quả thử nghiệm đầu | ≤ giá trị công bố × 1,0 | ≥ giá trị công bố × 1,0 |
| Hàng 2 | Thứ hai | Trung bình cộng của kết quả thử nghiệm thứ nhất và thứ hai | ≤ giá trị công bố × 1,0 | ≥ giá trị công bố × 1,0 |
| Hàng 3 | Thứ ba | Trung bình cộng của kết quả ba thử nghiệm | ≤ giá trị công bố × 1,0 | ≥ giá trị công bố × 1,0 |
2 Phép thử kiểu I
2.1 Tổng quan
2.1.1 Phép thử kiểu I phải bao gồm các trình tự quy định về chuẩn bị băng thử, ngâm xe và các điều kiện vận hành.
2.1.2 Phép thử kiểu I phải bao gồm vận hành của xe trên băng thử động lực theo WLTC thích hợp cho họ nội suy. WLTC áp dụng cho từng phần của quy trình phải được lấy từ bảng sau:
| Loại xe | Vận hành WLTC cho thuần hóa | Vận hành WLTC cho thử kiểu I | Tính toán kết quả cuối cùng |
| PEV | Theo khuyến nghị của nhà sản xuất | 4 pha* | Chu trình 3 pha, 4 pha và chu trình trong đô thị |
* Phân đoạn động của phép thử kiểu 1 rút gọn gồm 4 pha theo chu trình trong đô thị.
2.2 Thiết bị phòng thử nghiệm
2.2.1 Thông số cần kiểm tra
2.2.1.1 Nhiệt độ không khí xung quanh của phòng thử nghiệm phải được đo với độ chính xác ± 1,5 °C
2.2.1.2 Áp suất khí quyển phải được đo với độ chính xác ±0,1 kPa.
2.2.1.3 Độ ẩm riêng H phải được đo với độ chính xác ± 1 g H2O/kg không khí khô.
2.2.2 Phòng thử nghiệm và khu vực ngâm
2.2.2.1 Phòng thử nghiệm
2.2.2.1.1 Phòng thử nghiệm phải đặt tại nhiệt độ là 23 °C. Dung sai của giá trị thực tế phải nằm trong khoảng ± 5 °C. Nhiệt độ và độ ẩm không khí phải được đo tại đầu ra quạt làm mát của phòng thử nghiệm ở tần số nhỏ nhất là 0,1 Hz.
Về nhiệt độ khi bắt đầu thử nghiệm, nhiệt độ của phòng thử khi bắt đầu thử nghiệm phải nằm trong khoảng ± 3 °C so với điểm đặt là 23 °C. Nhiệt độ dầu động cơ và nhiệt độ nước làm mát, nếu có, phải nằm trong khoảng ± 2 °C so với điểm đặt 23 °C.
2.2.2.1.2 Độ ẩm riêng H của không khí trong buồng thử hoặc không khí sạc của động cơ phải thỏa mãn:
5,5 ≤ H ≤ 12,2 (g H2O/kg không khí khô)
2.2.2.1.3 Độ ẩm phải được đo liên tục ở tần số nhỏ nhất 0,1 Hz.
2.2.2.2 Khu vực ngâm
Khu vực ngâm phải đặt nhiệt độ là 23 °C và dung sai của giá trị thực tế phải nằm trong khoảng ± 3 °C trên trung bình số học chạy trong 5 min và không được thể hiện sai lệch hệ thống so với điểm đặt. Nhiệt độ phải được đo liên tục ở tần số nhỏ nhất là 0,033 Hz (cứ sau 30 s).
2.3 Xe thử nghiệm
2.3.1 Tổng quan
Xe thử nghiệm phải phù hợp với tất cả các bộ phận của nó với loạt sản xuất hoặc nếu xe khác với loạt sản xuất (ví dụ: đối với thử nghiệm trường hợp xấu nhất) thì phải ghi lại mô tả đầy đủ. Khi lựa chọn xe thử nghiệm, nhà sản xuất và cơ quan có thẩm quyền phải thống nhất mẫu xe nào đại diện cho họ nội suy.
Lực cản trên đường và khối lượng thử nghiệm của xe thử nghiệm L và H có thể được lấy từ các họ ma trận lực cản trên đường khác nhau. Chúng cũng có thể được lấy từ các họ lực cản trên đường khác nhau miễn là sự khác biệt giữa các họ lực cản trên đường này đã được cơ quan có thẩm quyền chứng minh và chấp nhận và là kết quả của việc áp dụng Điều 6.8. của Phụ lục B3 hoặc lốp lấy từ các chủng loại lốp khác nhau.
2.3.3 Chạy rà
Xe phải trong tình trạng kỹ thuật tốt. Nó phải được chạy rà trong khoảng từ 3 000 km đến 15 000 km trước khi thử nghiệm. Động cơ, hộp số và xe phải được vận hành phù hợp với khuyến nghị của nhà sản xuất.
2.4 Chỉnh đặt
2.4.1 Việc chỉnh đặt và kiểm tra xác nhận băng thử phải được thực hiện theo Phụ lục B3.
2.4.2 Vận hành băng thử
2.4.2.1 Các thiết bị phụ trợ phải được tắt hoặc ngừng hoạt động trong quá trình hoạt động của băng thử trừ khi luật pháp yêu cầu hoạt động của chúng (ví dụ: đèn chạy ban ngày).
2.4.2.1.1 Nếu xe được trang bị chức năng dừng xe thì chức năng này phải được tắt bằng công tắc hoặc bằng chế độ vận hành băng thử của xe trong quá trình thử nghiệm băng thử động lực, ngoại trừ các phép thử trong đó chức năng dừng xe được yêu cầu rõ ràng trong quy trình thử nghiệm.
2.4.2.2 Chế độ vận hành băng thử của xe, nếu có, phải được kích hoạt theo hướng dẫn của nhà sản xuất (ví dụ: sử dụng các nút trên vô lăng xe theo trình tự đặc biệt, sử dụng máy thử tại xưởng của nhà sản xuất, tháo cầu chì).
Nhà sản xuất phải cung cấp cho cơ quan có thẩm quyền danh sách các thiết bị và/hoặc chức năng bị vô hiệu hóa và lý do giải thích cho việc vô hiệu hóa.
Chế độ vận hành của băng thử phải được cơ quan có thẩm quyền phê duyệt và việc sử dụng chế độ vận hành của băng thử phải được ghi lại.
2.4.2.4 Phân bổ loại băng thử cho xe thử nghiệm
2.4.2.4.1 Nếu xe thử nghiệm có hai trục chủ động và trong điều kiện WLTP, nó được vận hành một phần hoặc vĩnh viễn với hai trục được cung cấp năng lượng hoặc phục hồi năng lượng trong chu trình áp dụng thì xe phải được thử nghiệm trên một băng thử ở chế độ hoạt động 4WD đáp ứng các thông số kỹ thuật trong 2.2 và 2.3 của Phụ lục B4.
2.4.2.4.2 Nếu xe thử nghiệm chỉ được thử nghiệm với một trục dẫn động thì xe thử nghiệm phải được thử nghiệm trên một băng thử chạy bằng hệ dẫn động 2WD đáp ứng các yêu cầu kỹ thuật trong 2.2 của Phụ lục B4.
Theo yêu cầu của nhà sản xuất và được sự chấp thuận của cơ quan phê duyệt, một xe có một trục được dẫn động có thể được thử nghiệm trên băng thử 4WD ở chế độ vận hành 4WD.
2.4.2.4.3 Nếu xe thử nghiệm được vận hành với hai trục được cấp nguồn ở các chế độ có thể lựa chọn dành riêng cho người lái, chế độ này không dành cho hoạt động bình thường hàng ngày mà chỉ dành cho các mục đích giới hạn đặc biệt, chẳng hạn như 'chế độ leo núi' hoặc 'chế độ bảo trì' hoặc khi chế độ có hai trục. Các trục chủ động chỉ được kích hoạt trong tình huống địa hình, xe phải được thử nghiệm trên một băng thử ở chế độ vận hành 2WD đáp ứng các thông số kỹ thuật trong 2.2 của Phụ lục B4.
Theo yêu cầu của nhà sản xuất và được sự chấp thuận của cơ quan phê duyệt, xe có thể được thử trên băng thử 4WD ở chế độ vận hành 4WD.
2.4.2.4.4 Nếu xe thử nghiệm được thử nghiệm trên băng thử 4WD ở chế độ hoạt động 2WD thì các bánh xe trên trục bị động có thể quay trong quá trình thử nghiệm, với điều kiện là chế độ vận hành băng thử của xe và chế độ chạy coastdown của xe hỗ trợ cách vận hành này.

Hình A5/1 - Cấu hình thử nghiệm có thể có trên động băng thử 2WD và 4WD
2.4.2.5 Chứng minh sự tương đương giữa băng thử làm việc 2WD và băng thử làm việc 4WD
2.4.2.5.1 Theo yêu cầu của nhà sản xuất và được sự chấp thuận của cơ quan phê duyệt, xe phải thử nghiệm trên băng thử trong vận hành 4WD có thể được thử nghiệm thay thế trên băng thử trong vận hành 2WD nếu đáp ứng các điều kiện sau:
(a) xe thử nghiệm được chuyển đổi sang chỉ có một trục dẫn động;
(b) nhà sản xuất chứng minh với cơ quan phê duyệt rằng mức tiêu thụ điện năng của xe được chuyển đổi là bằng hoặc cao hơn so với xe không được chuyển đổi đang được thử nghiệm trên băng thử ở chế độ vận hành 4WD;
(c) đảm bảo vận hành an toàn cho thử nghiệm (ví dụ bằng cách tháo cầu chỉ hoặc tháo trục dẫn động) và hướng dẫn được cung cấp cùng với chế độ vận hành của băng thử;
(d) Việc chuyển đổi chỉ áp dụng cho xe thử nghiệm ở băng thử khung gầm, quy trình xác định lực cản trên đường được áp dụng cho xe thử nghiệm không chuyển đổi.
2.4.2.5.2 Việc chứng minh tính tương đương này phải áp dụng cho tất cả các xe trong cùng một họ lực cản trên đường. Theo yêu cầu của nhà sản xuất và được sự chấp thuận của cơ quan phê duyệt, việc chứng minh tính tương đương này có thể được mở rộng cho các họ lực cản trên đường khác dựa trên bằng chứng cho thấy xe thuộc họ lực cản trên đường trong trường hợp xấu nhất đã được chọn làm xe thử nghiệm.
2.4.2.6 Thông tin về việc xe đã được thử nghiệm trên băng thử 2WD hoặc băng thử 4WD và liệu nó đã được thử nghiệm trên băng thử ở chế độ vận hành 2WD hay 4WD phải được đưa vào tất cả các báo cáo thử nghiệm liên quan. Trong trường hợp xe được thử nghiệm trên băng thử 4WD, với băng thử đó vận hành tại chế độ 2WD, thông tin này cũng phải cho biết các bánh xe không được trợ lực có quay hay không.
2.4.3 Các thông số chỉnh đặt của hệ thống truyền động và bộ điều khiển xe phải theo quy định của nhà sản xuất đối với sản xuất hàng loạt.
2.4.4 Lốp phải là loại được nhà sản xuất xe quy định là thiết bị nguyên bản. Áp suất lốp có thể tăng lên tới 50 % so với áp suất quy định tại 4.2.2.3 của Phụ lục B3. Áp suất lốp tương tự phải được sử dụng để chỉnh đặt băng thử và cho tất cả các phép thử tiếp theo. Áp suất lốp được sử dụng phải được ghi lại.
2.5 Chu trình thử nghiệm sơ bộ
Các chu trình thử nghiệm sơ bộ có thể được thực hiện nếu nhà sản xuất đề nghị để đáp ứng chu trình chạy trong giới hạn quy định.
2.6 Thuần hoá xe
2.6.1 Chuẩn bị xe
2.6.1.2 Sạc REESS
Trước thuần hoá chu trình thử nghiệm, REESS phải được sạc đầy. Theo yêu cầu của nhà sản xuất, việc sạc có thể được bỏ qua trước thuần hoá. Không được xả REESS trước khi thử nghiệm chính thức.
2.6.1.3 Áp suất lốp
Áp suất lốp của bánh dẫn động phải được thiết lập phù hợp với 2.4.4 của phụ lục này.
2.6.2 Phòng thử nghiệm
2.6.2.1 Nhiệt độ
Trong thuần hoá, nhiệt độ của phòng thử nghiệm phải giống như nhiệt độ được xác định cho phép thử loại 1 (2.2.2.1.1 của phụ lục này).
2.6.3 Quy trình
2.6.3.1 Xe thử nghiệm phải được lái hoặc đẩy lên trên một băng thử và vận hành thông qua chu trình WLTC thích hợp. Xe không cần phải nguội và có thể được sử dụng để chỉnh đặt lực cản trên đường cho băng thử.
2.6.3.2 Lực cản trên đường cho băng thử phải được đặt theo Điều 7 và Điều 8 của Phụ lục B3. Trong trường hợp sử dụng băng thử ở chế độ vận hành 2WD để thử nghiệm thì việc chỉnh đặt lực cản trên đường phải được thực hiện trên băng thử ở chế độ vận hành 2WD, và trong trường hợp sử dụng băng thử tại chế độ vận hành 4WD để chỉnh đặt lực cản trên đường thử nghiệm thì phải tiến hành trên đường trên băng thử ở chế độ vận hành 4WD.
2.6.4 Vận hành xe
2.6.4.1 Quy trình khởi động hệ thống truyền động phải được bắt đầu bằng các thiết bị được cung cấp cho mục đích này theo hướng dẫn của nhà sản xuất.
Không được phép chuyển đổi phương thức vận hành không phải do xe vận chuyển trong quá trình thử trừ khi có quy định khác.
2.6.4.1.1 Nếu việc bắt đầu quy trình khởi động hệ thống truyền động không thành công, ví dụ: động cơ không khởi động như dự kiến hoặc xe có lỗi khởi động, thử nghiệm không có giá trị, các phép thử thuần hoá phải được lặp lại và phải vận hành một thử nghiệm mới.
2.6.4.2 Chu trình khởi động khi bắt đầu quy trình khởi động hệ thống truyền động.
2.6.4.3 Với thuần hoá, phải vận hành WLTC thích hợp.
Theo yêu cầu của nhà sản xuất hoặc cơ quan có thẩm quyền, các WLTC bổ sung có thể được thực hiện để đưa xe và hệ thống điều khiển về trạng thái ổn định.
Mức độ thuần hoá bổ sung này phải được nêu trong tất cả các báo cáo thử nghiệm liên quan.
2.6.4.4 Tăng tốc
Xe phải được vận hành với chuyển động điều khiển chân ga cần thiết để quỹ đạo chính xác vận tốc.
Xe phải được vận hành êm ái theo vận tốc chuyển số và quy trình đại diện.
Đối với số sàn, việc kiểm soát tăng tốc phải được nhả trong mỗi lần chuyển số và việc chuyển số phải được thực hiện trong thời gian ít nhất.
Nếu xe không thể chu trình chạy thì nó phải được vận hành ở công suất lớn nhất sẵn có cho đến khi vận tốc xe đạt lại vận tốc mục tiêu tương ứng.
2.6.4.5 Giảm tốc
Trong quá trình giảm vận tốc, người lái xe phải tắt bộ điều khiển giảm tốc nhưng không được nhả ly hợp bằng tay cho đến điểm được chỉ định trong 3.3. hoặc 4(f) của Phụ lục B2.
Nếu xe giảm tốc nhanh hơn quy định của chu trình chạy xe thì việc điều khiển chân ga phải được vận hành sao cho xe đi theo chu trình chạy xe một cách chính xác.
Nếu xe giảm tốc quá chậm so với mức giảm tốc dự kiến thì phải tác động phanh sao cho có thể quỹ đạo chính xác đường vận tốc.
2.6.4.6 Ứng dụng phanh
Trong các giai đoạn xe đứng yên/không tải, phanh phải được tác dụng với lực thích hợp để ngăn bánh dẫn động quay.
2.6.5 Cách chuyển số
2.6.5.1 Chuyển số bằng tay
2.6.5.1.1 Phải tuân thủ các quy định về chuyển số quy định tại Phụ lục B2. Xe được thử nghiệm theo Phụ lục B7 phải được lái theo Điều 1.5 của phụ lục đó.
2.6.5.1.2 Việc chuyển số phải được bắt đầu và hoàn thành trong vòng + 1,0 s kể từ điểm chuyển số quy định.
2.6.5.1.3 Ly hợp phải được đóng trong vòng ± 1,0 s kể từ điểm vận hành ly hợp quy định.
2.6.5.2 Chuyển số tự động
2.6.5.2.1 Sau lần gài số đầu tiên, bộ chọn không được vận hành bất kỳ lúc nào trong quá trình thử nghiệm. Việc gài lần đầu phải được thực hiện 1 s trước khi bắt đầu lần tăng tốc đầu tiên.
2.6.5.2.2 Xe có hộp số tự động với chế độ số sàn không được phép thử ở chế độ số sàn.
2.6.6 Hủy bỏ phép thử kiểu I và hoàn thành chu trình thử
Nếu động cơ dừng đột ngột thỉ phép thử thuần hoá hoặc phép thử kiểu I phải được tuyên bố vô hiệu.
Sau khi hoàn thành chu trình, động cơ phải được tắt. Xe không được khởi động lại cho đến khi bắt đầu phép thử thuần hoá cho xe.
2.6.7 Dữ liệu cần thiết, kiểm soát chất lượng
2.6.7.1 Đo vận tốc
Trong quá trình thuần hoá, vận tốc phải được đo theo thời gian hoặc được thu thập bởi hệ thống thu thập dữ liệu ở tần số không nhỏ hơn 1 Hz để có thể đánh giá được vận tốc truyền động thực tế.
2.6.7.2 Quãng đường đã đi
Khoảng cách thực tế mà xe đã chạy phải được ghi lại cho từng giai đoạn WLTC.
2.6.7.3 Dung sai khi chạy
Những xe không thể đạt được giá trị gia tốc và vận tốc lớn nhất được yêu cầu trong WLTC thích hợp phải được vận hành với bộ điều khiển chân ga được kích hoạt hoàn toàn cho đến khi chúng đạt được vận tốc yêu cầu một lần nữa. Vi phạm vận tốc trong những trường hợp này sẽ không làm mất hiệu lực của phép thử. Những sai lệch so với chu trình chạy xe phải được ghi lại.
2.6.7.3.1 Trừ khi có quy định khác trong các phần cụ thể, các dung sai sau đây phải được cho phép giữa vận tốc thực tế của xe và vận tốc quy định của các chu trình thử nghiệm thích hợp dựa trên các tình huống chạy xe:
2.6.7.3.1.1 Dung sai (1)
(a) Giới hạn trên: cao hơn 2,0 km/h so với điểm cao nhất của chu trình thử trong khoảng ± 5,0 s tính từ điểm xác định dung sai;
(b) Giới hạn dưới: Thấp hơn 2,0 km/h so với điểm thấp nhất của chu trình thử trong khoảng ± 5,0 s tính từ điểm xác định dung sai.
2.6.7.3.1.2 Dung sai (2)
(a) Giới hạn trên: cao hơn 2,0 km/h so với điểm cao nhất của chu trình thử trong khoảng ± 1,0 s tính từ điểm xác định dung sai;
(b) Giới hạn dưới: Thấp hơn 2,0 km/h so với điểm thấp nhất của chu trình thử trong khoảng ± 1,0 s tính từ điểm xác định dung sai.
(i) Dung sai vận tốc lớn hơn giá trị quy định phải được chấp nhận với điều kiện dung sai không bao giờ vượt quá 1 s trong bất kỳ trường hợp nào.
(ii) Không được có quá mười sai lệch như vậy trong mỗi chu trình thử nghiệm.
2.6.7.3.1.3 Dung sai (3)
| IWR | Trong dải - 2,0 đến + 4,0 % |
| RMSSE | Nhỏ hơn 0,8 km/h |
2.6.7.3.1.4 Dung sai (4)
| IWR | Trong dải - 2,0 đến + 4,0 % |
| RMSSE | Nhà sản xuất công bố tiêu chí nhưng không được lớn hơn 1,3 km/h |
2.6.7.3.1.5 Các chỉ số chu trình chạy IWR và RMSSE phải được tính toán theo yêu cầu của Điều 3 của Phụ lục B6.
2.6.7.3.2 Các sự kiện vận hành xe và dung sai cho phép đối với các sự kiện này như sau:
| Vận hành xe | Chu trình khởi động để chỉnh đặt băng thử | Thuần hoá | Thử nghiệm đo thông số hiệu suất sau thuần hoá |
| Phụ lục B5 và B7; Phép thử kiểu I | Dung sai (1) | Dụng sai (2) | Dung sai (2)* và Dung sai (3) |
| Thử nghiệm COP | Dung sai (1) | Dung sai (2) | Dung sai (2)* và Dung sai (4) |
| Các yếu tố vận hành chạy rà cho COP | Dung sai (1) | Dung sai (2) | Dung sai (2)* và Dung sai (3) |
* không được hiển thị dung sai cho người lái xe.
Nếu chu trình chạy nằm ngoài phạm vi hiệu lực tương ứng của bất kỳ thử nghiệm nào thì các phép thử riêng lẻ đó phải coi là không hợp lệ.

Hình B5/2 - Dung sai chu trình chạy
2.7 Ngâm
2.7.1 Sau thuần hóa và trước khi thử nghiệm, xe thử nghiệm phải được ngâm trong khu vực có điều kiện môi trường xung quanh như quy định tại 2.2.22 của phụ lục này.
2.7.2 Xe phải được ngâm trong thời gian nhỏ nhất là 6 h và lớn nhất là 36 h khi nắp khoang động cơ được mở hoặc đóng. Nếu không bị loại trừ bởi các quy định cụ thể đối với một xe cụ thể, việc làm mát có thể được thực hiện bằng cách làm mát cưỡng bức đến nhiệt độ điểm đặt. Nếu việc làm mát được tăng tốc bằng quạt thì quạt phải được đặt sao cho việc làm mát lớn nhất cho bộ truyền động, động cơ và hệ thống xử lý sau xả đạt được một cách đồng nhất.
Phụ lục B6
(Quy định)
Tính toán
1 Yêu cầu chung
1.1 Trừ khi có quy định rõ ràng khác trong Phụ lục B7, tất cả các yêu cầu và quy trình quy định trong phụ lục này phải áp dụng cho PEV.
1.2 Làm tròn kết quả thử nghiệm
1.2.1 Các bước trung gian trong phép tính không được làm tròn trừ khi có yêu cầu làm tròn trung gian.
1.2.2 Đối với thông tin không liên quan đến tiêu chuẩn, phải sử dụng đánh giá kỹ thuật tốt.
2. Tính toán nhu cầu năng lượng chu trình
Trừ khi có quy định khác, việc tính toán phải dựa trên đường tốc độ mục tiêu được đưa ra tại các điểm mẫu thời gian riêng biệt.
Tổng nhu cầu năng lượng E cho toàn bộ chu trình hoặc một giai đoạn chu trình cụ thể phải được tính bằng cách tính tổng Ei trong thời gian chu trình tương ứng giữa tstart + 1 và tend theo phương trình sau:
![]()
Trong đó:
Ei = Fi × di nếu Fi > 0
Ei = 0 nếu Fi ≤ 0
và:
| tstart | thời điểm bắt đầu chu trình hoặc giai đoạn thử nghiệm áp dụng (xem Điều 3 của Phụ lục B1), s; |
| tend | thời điểm mà chu trình hoặc giai đoạn thử nghiệm áp dụng kết thúc (xem Điều 3 của Phụ lục B1), s; |
| Ei | nhu cầu năng lượng trong khoảng thời gian (i - 1) đến (i), Ws; |
| Fi | động lực trong khoảng thời gian (i - 1) đến (i), N; |
di quãng đường đi được trong khoảng thời gian (i - 1) đến (i), m.
![]()
Trong đó:
| Fi | động lực trong khoảng thời gian (i - 1) đến (i), N; |
| vi | vận tốc mục tiêu tại thời điểm ti, km/h; |
| TM | khối lượng thử, kg; |
| ai | gia tốc trong khoảng thời gian (i - 1) đến (i), m/s2; |
| f0, f1, f2 | lần lượt là các hệ số lực cản trên đường của xe thử nghiệm đang xét (TML, TMH hoặc TMind) tính bằng N, N/km/h và tính bằng N/(km/h)2 tương ứng. |
![]()
Trong đó:
di quãng đường đi được trong khoảng thời gian (i - 1) đến (i), m.
vi vận tốc mục tiêu tại thời điểm ti, km/h;
ti thời gian, s.
![]()
Trong đó:
ai là gia tốc trong khoảng thời gian (i - 1) đến (i), m/s2;
vi là vận tốc mục tiêu tại thời điểm ti, km/h;
ti là thời gian, s.
3 Chỉ số chu trình chạy
3.1 Yêu cầu chung
Vận tốc quy định giữa các điểm thời gian trong Bảng B1/1 đến B1/12 phải được xác định bằng phép nội suy tuyến tính ở tần số 10 Hz.
Trong trường hợp chân ga điều khiển được kích hoạt hoàn toàn, vận tốc quy định phải được sử dụng thay cho vận tốc thực tế của xe để tính toán chỉ số chu trình chạy trong các khoảng thời gian vận hành đó.
Trong trường hợp xe được trang bị hộp số cơ khí, cho phép loại trừ việc tính toán chỉ số chu trình chạy trong quá trình chuyển số lên. Từ thời điểm xe thực tế vận hành ly hợp cho đến khi tốc độ thực tế của xe đạt tốc độ quy định ở số cao hơn tối đa là 2 s. Cơ quan phê duyệt kiểu có thể yêu cầu nhà sản xuất chứng minh rằng không thể đáp ứng các yêu cầu về chu trình chạy nếu không có loại trừ như vậy do thiết kế của xe.
3.2 Tính toán chỉ số chu trình chạy
Các chỉ số sau đây phải được tính toán theo SAE J2951 (Đã sửa đổi vào tháng 1 năm 2014):
(a) IWR Tỷ lệ làm việc quán tính, %;
(b) RMSSE Căn bậc hai sai số vận tốc bình phương trung bình, km/h.
3.3 Ứng dụng cụ thể của chỉ số chu trình chạy
3.3.1 PEV
3.3.1.1 Thử nghiệm chu trình liên tiếp
Quy trình thử nghiệm chu trình liên tiếp phải được thực hiện theo 3.2.4.1 của Phụ lục B7. Các chỉ số chu trình chạy IWR và RMSSE phải được tính toán cho từng chu trình thử nghiệm riêng lẻ của quy trình thử nghiệm chu trình liên tiếp và được báo cáo. Chu trình thử nghiệm trong đó đạt được tiêu chí dừng lại, như được quy định trong 3.2.4.1.3 của Phụ lục B7, phải được kết hợp với chu trình thử nghiệm trước đó. Các chỉ số chu trình chạy IWR và RMSSE phải được tính toán coi đây là một chu trình.
3.3.1.2 Phép thử kiểu I rút gọn
Các chỉ số chu trình chạy IWR và RMSSE cho quy trình thử kiểu I rút gọn, như được thực hiện theo 3.2.4.2 của Phụ lục B7, phải được tính riêng cho 1 và 2 và được báo cáo. Việc tính toán các chỉ số chu trình chạy trong các đoạn vận tốc không đổi phải bị bỏ qua.
3.3.1.3 Quy trình kiểm tra chu trình trong đô thị (3.2.4.1 Phụ lục B7 thay thế WLTC bằng WLTCcity)
Để áp dụng tính toán chỉ số chu trình chạy, hai chu trình chạy trong đô thị liên tiếp phải được coi là một chu trình.
Đối với chu trình trong đô thị đạt được tiêu chí kết thúc như quy định tại 3.2.4.1.3 của Phụ lục B7, các chỉ số chu trình chạy IWR và RMSSE không được tính toán riêng lẻ. Thay vào đó, tùy thuộc vào số chu trình trong đô thị đã hoàn thành trước chu trình trong đô thị khi đạt tiêu chí kết thúc, chu trình trong đô thị chưa hoàn thành phải được kết hợp với các chu trình trong đô thị trước đó và phải được coi là một chu trình trong nội dung tính toán chỉ số chu trình chạy.
Nếu số chu trình trong đô thị đã hoàn thành là số chẵn thì chu trình trong đô thị chưa hoàn thành phải được kết hợp với hai chu trình trong đô thị đã hoàn thành trước đó. Xem ví dụ trong Hình B6/1 bên dưới.

Hình B6/1- Ví dụ với số lượng chẵn các chu trình thử trong đô thị đã hoàn thành trước chu trình trong đô thị có tiêu chí kết thúc
Nếu số chu trình trong đô thị đã hoàn thành là số lẻ thì chu trình trong đô thị chưa hoàn thành phải được kết hợp với ba chu trình trong đô thị đã hoàn thành trước đó. Xem ví dụ trong Hình B6/2 bên dưới.

Hình B6/2 - Ví dụ với số lẻ các chu trình thử nghiệm thành phố đã hoàn thành trước chu trình thành phố có tiêu chí kết thúc
Nếu số chu trình thu được theo Hình B6/1 hoặc Hình B6/2 nhỏ hơn bốn thì chỉ số chu trình chạy IWR và RMSSE phải được tính toán cho từng chu trình này và được báo cáo.
Nếu số chu trình thu được theo Hình B6/1 hoặc Hình B6/2 lớn hơn hoặc bằng bốn thì chỉ số chu trình chạy IWR và RMSSE phải được tính toán cho từng chu trình này và được báo cáo. Trong trường hợp này, IWR trung bình và RMSSE trung bình cho sự kết hợp của hai chu trình bất kỳ phải được so sánh với các tiêu chí tương ứng như quy định tại 2.6.7.3.1 của Phụ lục B5 và IWR của bất kỳ chu trình riêng lẻ nào phải không được nhỏ hơn - 3,0 hoặc lớn hơn + 5,0 %.
4 Tính toán tỷ số n/v
Tỷ số n/v được tính theo công thức sau:
![]()
Trong đó:
n vận tốc động cơ, min-1;
v vận tốc của xe, km/h;
n tỷ số truyền ở bánh răng thứ i;
raxle tỷ số truyền trục.
Udyn chu vi lăn động các lốp của trục lái và được tính theo công thức sau:

Trong đó:
H/W tỷ lệ khung hình của lốp, ví dụ: "45" cho lốp 225/45 R17;
W chiều rộng lốp, mm; ví dụ. "225" cho lốp 225/45 R17;
R đường kính bánh xe, inch; ví dụ "17" cho lốp 225/45 R17.
Udyn phải được làm tròn theo 6.1.4 của tiêu chuẩn này đến số milimét.
Nếu Udyn khác nhau đối với trục trước và trục sau thì giá trị n/v đối với trục được dẫn động chính phải được áp dụng trên băng thử ở cả chế độ vận hành 2WD và 4WD.
Khi có yêu cầu, cơ quan có thẩm quyền phải được cung cấp thông tin cần thiết cho việc lựa chọn đó.
Phụ lục B7
(Quy định)
Xe chạy thuần điện - PEV
1 Yêu cầu chung
Trừ khi có quy định khác, tất cả các yêu cầu trong phụ lục này phải áp dụng cho xe có và không có các chế độ người lái chọn. Trừ khi có quy định khác rõ ràng trong phụ lục này, tất cả các yêu cầu và quy trình quy định tại Phụ lục B5 và Phụ lục B6 phải tiếp tục áp dụng cho PEV.
1.1 Đơn vị, độ chính xác và độ phân giải của các thông số điện
Đơn vị, độ chính xác và độ phân giải của phép đo được nêu trong Bảng B7/1.
Bảng B7/1 - Thông số, đơn vị, độ chính xác và độ phân giải của phép đo
| Thông số | Đơn vị | Độ chính xác | Độ phân giải |
| Điện năng (a) | Wh | ± 1 % | 0,001 kWh (b) |
| Điện sạc | A | ± 0,3 % FSD hoặc ± 1 % đọc (c, d) | 0,1 A |
| Điện áp | V | ± 0,3 % FSD hoặc ± 1 % đọc (c) | 0,1 V |
CHÚ THÍCH:
(a) Thiết bị: máy đo tĩnh năng lượng hoạt động.
(b) Đồng hồ đo điện xoay chiều W-h, Loại 1 theo TCVN 7589-21:2007 hoặc tương đương.
(c) Cái nào lớn hơn.
(d) Tần số tích hợp dòng điện từ 20 Hz trở lên.
1.3 Làm tròn kết quả thử nghiệm
1.3.1 Trừ khi có yêu cầu làm tròn số trung gian, các bước trung gian trong tính toán phải không được làm tròn.
1.3.3 Đối với thông tin không liên quan đến tiêu chuẩn, phải sử dụng đánh giá kỹ thuật tốt.
1.3.4 Kết quả làm tròn quãng đường chạy thuần điện, năng lượng tiêu thụ được mô tả trong bảng tính toán của phụ lục này
1.4 Phân loại xe
Các xe PEV phải được phân loại là xe Loại 3. Chu trình thử nghiệm áp dụng cho quy trình phép thử loại 1 phải được xác định theo 1.4.2 của phụ lục này dựa trên chu trình thử nghiệm tham chiếu tương ứng như được mô tả trong 1.4.1 của phụ lục này.
1.4.1 Chu trình thử nghiệm tham chiếu
1.4.1.1 Chu trình thử nghiệm tham chiếu kiểu III được quy định trong 3.3 của Phụ lục B1.
1.4.1.2 Đối với PEV, quy trình thu nhỏ quy mô, theo 8.2.3 và 8.3 của Phụ lục B1, có thể được áp dụng trong các chu trình thử nghiệm theo 3.3 của Phụ lục B1 bằng cách thay thế công suất định mức bằng công suất ròng lớn nhất theo TCVN 9725:2013. Trong trường hợp như vậy, chu trình thu nhỏ quy mô là chu trình thử nghiệm tham chiếu.
1.4.2 Chu trình thử nghiệm thích hợp
1.4.2.1 Chu trình phép thử WLTP thích hợp
Chu trình thử nghiệm tham chiếu theo 1.4.1 của phụ lục này phải là chu trình phép thử WLTP (WLTC) thích hợp cho quy trình phép thử kiểu I.
Trong trường hợp áp dụng Điều 9 của Phụ lục B1 dựa trên chu trình thử nghiệm tham chiếu như được mô tả trong 1.4.1 của phụ lục này, chu trình thử nghiệm được sửa đổi này phải là chu trình phép thử WLTP (WLTC) thích hợp cho quy trình phép thử kiểu I.
1.4.2.2 Chu trình WLTP thành phố thích hợp
Chu trình WLTP thành phố kiểu III (WLTCcity) được quy định tại 3.5 của Phụ lục B1.
1.5 PEV có hộp số cơ khí
Xe phải được điều khiển theo đèn báo chuyển số kỹ thuật, nếu có, hoặc theo hướng dẫn trong số tay của nhà sản xuất.
2 Chạy rà xe
Xe thử theo phụ lục này phải ở tình trạng kỹ thuật tốt và phải được đưa vào vận hành theo khuyến nghị của nhà sản xuất. Trong trường hợp REESS được vận hành trên phạm vi nhiệt độ vận hành bình thường, người vận hành phải tuân theo quy trình do nhà sản xuất xe khuyến nghị để giữ nhiệt độ của REESS trong quãng đường hoạt động bình thường của nó. Nhà sản xuất phải cung cấp bằng chứng cho thấy hệ thống quản lý nhiệt của REESS không bị vô hiệu hóa hoặc bị suy giảm.
2.1 PEV phải được chạy ít nhất 300 km hoặc một quãng đường sạc đầy, tùy theo thời gian nào dài hơn.
2.2 Tất cả REESS không có ảnh hưởng đến lượng phát thải khối lượng CO2 hoặc mức tiêu thụ H2 sẽ bị loại khỏi quá trình giám sát.
3 Quy trình thử nghiệm
3.1 Yêu cầu chung
3.1.1 Đối với tất cả PEV những điều sau phải được áp dụng nếu có:
3.1.1.1 Xe phải được thử nghiệm theo các chu trình thử nghiệm thích hợp được mô tả trong 1.4.2 của phụ lục này.
3.1.1.2 Nếu xe không thể tuân theo chu trình thử nghiệm thích hợp trong phạm vi dung sai chu trình chạy theo 2.6.7.3.1.2 của Phụ lục B5, bộ điều khiển chân ga phải, trừ khi có quy định khác, được kích hoạt hoàn toàn cho đến khi đạt được vận tốc yêu cầu lần nữa.
3.1.1.3 Quy trình khởi động hệ thống truyền động phải được bắt đầu bằng các thiết bị được cung cấp cho mục đích này theo hướng dẫn của nhà sản xuất.
3.1.1.4 Việc đo mức tiêu thụ điện năng phải bắt đầu cho mỗi chu trình thử nghiệm thích hợp trước hoặc khi bắt đầu quy trình khởi động xe và kết thúc khi kết thúc mỗi chu trình thử nghiệm thích hợp.
3.1.3 Các yêu cầu tại các 2.2.2.1.2 và 2.2.2.1.3 của Phụ lục B5 được miễn khi thử nghiệm được tiến hành đối với PEV theo 3.2 như sau.
3.2 PEV
3.2.1 Yêu cầu chung
Quy trình thử nghiệm để xác định quãng đường chạy thuần điện và mức tiêu thụ điện năng phải được lựa chọn theo quãng đường chạy thuần điện (PER) ước tính của xe thử nghiệm trong Bảng B7/2. Trong trường hợp áp dụng phương pháp nội suy, quy trình thử nghiệm thích hợp phải được chọn theo PER của xe H trong họ nội suy cụ thể.
Bảng B7/2 - Quy trình xác định quãng đường chạy thuần điện và mức tiêu thụ điện năng (nếu có)
| Chu trình thử nghiệm thích hợp | PER ước tính là ... | Quy trình thử nghiệm thích hợp |
| Chu trình thử theo 1.4.2.1 của phụ lục này bao gồm pha rất cao | ... ít hơn độ dài của 3 chu trình phép thử WLTP thích hợp | Quy trình thử nghiệm Chu trình liên tục kiểu I (theo 3.2.4.1 của phụ lục này). |
| ... không ít hơn độ dài của 3 chu trình phép thử WLTP thích hợp | Quy trình phép thử kiểu I rút gọn (theo 3.2.4.2 của phụ lục này) | |
| Chu trình thử theo 1.4.2.1. của phụ lục này không bao gồm pha rất cao | ... ít hơn độ dài của 4 chu trình phép thử WLTP thích hợp | Quy trình thử nghiệm Chu trình liên tục kiểu I (theo 3.2.4.1 của phụ lục này). |
| ... không ít hơn độ dài của 4 chu trình phép thử WLTP thích hợp | Quy trình phép thử kiểu I rút gọn (theo 3.2.4.2 của phụ lục này) | |
| Chu trình trong đô thị theo 1.4.2.2. của phụ lục này | ...không khả dụng trong chu trình phép thử WLTP thích hợp. | Quy trình thử nghiệm Chu trình liên tục kiểu I (theo 3.2.4.1 của phụ lục này). |
Nhà sản xuất phải cung cấp bằng chứng cho cơ quan có thẩm quyền liên quan đến quãng đường chạy thuần điện ước tính (PER) trước khi thử nghiệm. Trong trường hợp áp dụng phương pháp nội suy, quy trình thử nghiệm áp dụng phải được xác định dựa trên PER ước tính của xe H thuộc họ nội suy. PER được xác định bằng quy trình thử nghiệm được áp dụng phải xác nhận rằng đã áp dụng đúng quy trình thử nghiệm.
Trình tự thử nghiệm đối với quy trình thử nghiệm chu trình liên tiếp kiểu I, như được mô tả trong 3.2.2, 3.2.3 và 3.2.4.1 của phụ lục này, cũng như hồ sơ trạng thái sạc REESS tương ứng, được thể hiện trong Hình B7-1/1 của Phụ lục B7-1.
Trình tự thử nghiệm đối với quy trình phép thử loại 1 rút gọn, như được mô tả trong 3.2.2, 3.2.3 và 3.2.4.2 của phụ lục này cũng như hồ sơ trạng thái sạc REESS tương ứng, được thể hiện trong Hình B7-1/2 trong Phụ lục B7-1.
3.2.2 Thuần hoá
Xe phải được chuẩn bị theo quy trình tại Điều 3 của Phụ lục B7-4.
3.2.3 Lựa chọn chế độ tùy chỉnh hệ thống lái
Đối với xe được trang bị chế độ tùy chỉnh hệ thống lái, chế độ thử nghiệm phải được chọn theo Điều 2 của Phụ lục B7-4.
3.2.4 Quy trình thử nghiệm phép thử kiểu I cho xe PEV
3.2.4.1 Quy trình thử nghiệm phép thử kiểu I liên tục
3.2.4.1.1 Chu trình chạy và quãng nghỉ
Thử nghiệm phải được thực hiện bằng cách thực hiện các chu trình thử nghiệm thích hợp liên tiếp cho đến khi đạt tiêu chí ngắt theo 3.2.4.1.3 của phụ lục này.
Người lái và/hoặc người vận hành chỉ được phép nghỉ giải lao giữa các chu trình thử nghiệm và với tổng thời gian nghỉ giải lao lớn nhất là 10 min. Trong thời gian nghỉ, hệ thống truyền động phải được tắt.
3.2.4.1.2 Đo dòng điện và điện áp REESS
Từ khi bắt đầu thử nghiệm cho đến khi đạt tiêu chí kết thúc, dòng điện của tất cả các REESS phải được đo theo Phụ lục B7-2 và điện áp phải được xác định theo Phụ lục B7-2.
3.2.4.1.3 Tiêu chí kết thúc
Tiêu chí kết thúc đạt được khi xe vượt quá dung sai chu trình chạy quy định tại 2.6.7.3.1.2 của Phụ lục B5 trong 4 s liên tiếp trở lên. Việc điều khiển máy gia tốc phải bị vô hiệu hóa.
Xe phải được phanh để đứng yên trong vòng 60 s.
3.2.4.2 Quy trình phép thử kiểu I rút gọn
3.2.4.2.1 Chu trình chạy
Quy trình kiểm tra kiểu I rút gọn bao gồm hai phân đoạn động lực (DS1 và DS2) kết hợp với hai phân đoạn vận tốc không đổi (CSSM và CSSE) như trong Hình B7/1.

Hình B7/1 - Chu trình thử cho quy trình phép thử kiểu I rút gọn
3.2.4.2.1.1 Phân đoạn động lực
Mỗi phân đoạn động lực DS1 và DS2 bao gồm một chu trình thử nghiệm WLTP thích hợp theo 1.4.2.1 của phụ lục này, sau đó là chu trình thử nghiệm thành phố WLTP thích hợp theo 1.4.2.2 của phụ lục này.
3.2.4.2.1.2 Phân đoạn vận tốc không đổi
Vận tốc không đổi trong các phân đoạn CSSM và CSSE phải giống nhau. Nếu áp dụng phương pháp nội suy thì vận tốc không đổi tương tự phải được áp dụng trong họ nội suy.
(a) Thông số vận tốc
Vận tốc nhỏ nhất của các đoạn vận tốc không đổi là 100 km/h.
Nếu loại trừ pha rất cao (Extra High3) (nếu có), vận tốc nhỏ nhất của các đoạn vận tốc không đổi phải được đặt thành 80 km/h.
Theo yêu cầu của nhà sản xuất và được sự chấp thuận của cơ quan có thẩm quyền, có thể chọn vận tốc không đổi cao hơn trong các đoạn vận tốc không đổi.
Khi tăng tốc đến mức vận tốc không đổi phải êm ái và hoàn thành trong vòng 1 min sau khi hoàn thành các giai đoạn động và, trong trường hợp bị ngắt theo Bảng B7/3, sau khi bắt đầu quy trình khởi động hệ động lực.
Việc giảm tốc từ mức vận tốc không đổi phải trơn tru và hoàn thành trong vòng 1 min sau khi hoàn thành các phân đoạn vận tốc không đổi.
Nếu vận tốc lớn nhất của xe thấp hơn vận tốc yêu cầu nhỏ nhất cho các đoạn vận tốc không đổi theo quy định về vận tốc tại phần này thì vận tốc yêu cầu trong các đoạn vận tốc không đổi phải bằng vận tốc lớn nhất của xe.
(b) Xác định khoảng cách CSSE và CSSM
Độ dài của đoạn vận tốc không đổi CSSE phải được xác định dựa trên phần trăm năng lượng REESS có thể sử dụng được UBESTP theo 4.2.2.1 của phụ lục này. Năng lượng còn lại trong REESS kéo sau đoạn vận tốc động DS2 phải bằng hoặc nhỏ hơn 10 % UBESTP. Nhà sản xuất phải cung cấp bằng chứng cho cơ quan có thẩm quyền sau thử nghiệm rằng yêu cầu này được đáp ứng.
Độ dài dCSSM của đoạn vận tốc không đổi CSSM có thể được tính theo phương trình sau:
dCSSM = PERest - dDS1 - dDS2 - dCSSE
Trong đó:
dCSSM độ dài đoạn có vận tốc không đổi CSSM, km;
PERest quãng đường chạy thuần điện ước tính của PEV đang xem xét, km;
dDS1 chiều dài đoạn vận vận tốc ng 1, km;
dDS2 chiều dài đoạn vận vận tốc ng 2, km;
dCSSE độ dài đoạn có vận tốc không đổi CSSE, km.
3.2.4.2.1.3 Quãng nghỉ
Chỉ cho phép người lái xe và/hoặc người vận hành nghỉ ngơi trong các đoạn vận tốc không đổi như quy định trong Bảng B7/3.
Bảng B7/3 - Quãng nghỉ cho người lái xe và/hoặc người vận hành thử nghiệm
| Khoảng cách điều khiển trong đoạn vận tốc không đổi CSSM (km) | Tổng quảng nghỉ lớn nhất (min) |
| Đến 100 | 10 |
| Đến 150 | 20 |
| Đến 200 | 30 |
| Đến 300 | 60 |
| Trên 300 | Phải dựa trên khuyến nghị của nhà sản xuất |
CHÚ THÍCH: Trong thời gian quãng nghỉ, hệ thống truyền động phải được tắt.
3.2.4.2.2 Đo dòng điện và điện áp REESS
Từ khi bắt đầu thử nghiệm cho đến khi đạt tiêu chí kết thúc, dòng điện và điện áp của tất cả các REESS phải được xác định theo Phụ lục B7-2.
3.2.4.2.3 Tiêu chí kết thúc
Tiêu chí kết thúc đạt được khi xe vượt quá dung sai chu trình chạy quy định tại 2.6.7.3.1.2 của Phụ lục B5 trong 4 s liên tiếp trở lên trong đoạn vận tốc không đổi CSSE thứ hai. Việc điều khiển tăng tốc phải được vô hiệu hóa. Xe phải được phanh lại để đứng yên trong vòng 60 s.
3.2.4.3 Sạc REESS và đo điện năng được sạc lại
3.2.4.3.1 Sau khi ngừng lại theo 3.2.4.1.3 của phụ lục này đối với quy trình thử nghiệm chu trình phép thử kiểu I liên tiếp và trong 3.2.4.2.3 của phụ lục này đối với quy trình phép thử kiểu I rút gọn, xe phải được kết nối với nguồn điện trong vòng 120 min.
REESS được sạc đầy khi tiêu chí dừng sạc, như được xác định tại Phụ lục B7-3 đã đạt được.
3.2.4.3.2 Thiết bị đo năng lượng, được đặt giữa bộ sạc của xe và nguồn điện lưới, phải đo điện năng được sạc lại EAC được cung cấp từ nguồn điện lưới cũng như thời lượng của nó. Việc đo điện năng có thể bị dừng khi tiêu chí dừng sạc, như được xác định tại Phụ lục B7-3 đã đạt được.
4 Tính toán cho xe chạy thuần điện
Để có kết quả sau 4 pha và kết quả sau 3 pha, các phép tính trong chương này cần được thực hiện riêng.
4.1 Tính toán điện năng tiêu thụ
Để xác định điện năng tiêu thụ theo dòng điện và điện áp xác định theo Phụ lục B7-2 phải sử dụng các phương trình sau:
![]()
Trong đó:
| ECDC,j | mức tiêu thụ điện năng trong khoảng thời gian j được xem xét dựa trên mức tiêu thụ REESS, Wh/km; |
| AEREESS,j | độ biến thiên điện năng của tất cả các REESS trong thời gian xem xét j, Wh; |
| dj | quãng đường đi được trong khoảng thời gian j, km; |
Và:

Trong đó:
ΔEREESS,j,i độ biến thiên điện năng của REESS i trong khoảng thời gian đang xét j, Wh;
Và:

Trong đó:
| U(t)REESS,j,i | điện áp của REESS i trong khoảng thời gian xét j được xác định theo Phụ lục B7-2, V; |
| t0 | thời điểm bắt đầu khoảng thời gian đang xét j, s; |
| tend | thời điểm kết thúc khoảng thời gian đang xét j, s; |
| l(t)j,i | dòng điện của REESS i trong khoảng thời gian j đang xét được xác định theo Phụ lục B7-2, A; |
| i | chỉ số REESS đang được xem xét; |
| n | tổng số REESS; |
| j | chỉ số cho khoảng thời gian được xem xét, trong đó một khoảng thời gian có thể là sự kết hợp bất kỳ của các giai đoạn hoặc chu trình; |
|
| hệ số chuyển đổi từ Ws sang Wh. |
4.1.1 Tiêu thụ điện năng của PEV
4.1.1.1 Mức tiêu thụ điện năng được xác định trong đoạn này chỉ được tính nếu xe có thể tuân theo chu trình thử nghiệm áp dụng trong phạm vi dung sai của chu trình chạy theo 2.6.7.3.1.2 của Phụ lục B5 trong toàn bộ thời gian được xem xét.
4.1.1.2 Xác định mức tiêu thụ điện năng của chu trình phép thử WLTP thích hợp.
Mức tiêu thụ điện năng của chu trình phép thử WLTP thích hợp dựa trên điện năng được sạc lại từ nguồn điện lưới và quãng đường chạy thuần điện phải được tính theo phương trình sau:
![]()
Trong đó:
| ECWLTC | mức tiêu thụ điện năng của chu trình phép thử WLTP thích hợp dựa trên điện năng được sạc lại từ nguồn điện lưới và quãng đường chạy thuần điện cho chu trình phép thử WLTP thích hợp, Wh/km; |
| EAC | điện năng được sạc lại từ nguồn điện theo công thức 3.2.4.3 của phụ lục này, Wh; |
| PERWLTC | quãng đường chạy thuần điện cho chu trình phép thử WLTP thích hợp được tính toán theo 4.4.2.1.1 hoặc 4.4.2.2.1 của phụ lục này, tùy thuộc vào quy trình thử nghiệm PEV được sử dụng, km. |
4.1.1.3 Xác định mức tiêu thụ điện năng của chu trình thử nghiệm WLTP trong đô thị thích hợp (nếu có)
Mức tiêu thụ điện năng của chu trình thử nghiệm WLTP đô thị WLTP dựa trên điện năng được sạc lại từ nguồn điện lưới và quãng đường chạy thuần điện cho chu trình thử nghiệm WLTP thành phố thích hợp phải được tính theo phương trình sau:
![]()
Trong đó:
| ECcity | mức tiêu thụ điện năng của chu trình thử nghiệm đô thị WLTP thích hợp dựa trên điện năng được sạc lại từ nguồn điện lưới và quãng đường chạy thuần điện cho chu trình thử nghiệm đô thị WLTP thích hợp, Wh/km; |
| EAC | điện năng được sạc lại từ nguồn điện theo 3.2.4.3 của phụ lục này, Wh; |
| PERcity | là quãng đường chạy thuần điện cho chu trình thử nghiệm đô thị WLTP thích hợp được tính toán theo 4.2.1.1.2 hoặc 4.2.1.2.2 của phụ lục này, tùy thuộc vào quy trình thử nghiệm PEV được sử dụng, km. |
4.1.1.4 Xác định mức tiêu thụ điện năng của các giá trị theo pha cụ thể
Điện năng tiêu thụ của từng pha riêng lẻ dựa trên điện năng được sạc lại từ nguồn điện lưới và quãng đường chạy thuần điện của từng pha phải được tính theo phương trình sau:
![]()
Trong đó:
| ECp | mức tiêu thụ điện năng của từng pha dựa trên điện năng được sạc lại từ nguồn điện lưới và quãng đường chạy thuần điện theo pha, Wh/km |
| EAC | điện năng được sạc lại từ nguồn điện theo 3.2.4.3 của phụ lục này, Wh; |
| PERp | quãng đường chạy thuần điện theo pha cụ thể được tính theo 4.2.2.1.3 hoặc 4.2.1.2.3 của phụ lục này, tùy thuộc vào quy trình thử PEV được sử dụng, km. |
4.2 Tính toán quãng đường chạy thuần điện
4.2.1 Quãng đường chạy thuần điện cho PEV
Các dải được xác định trong đoạn này phải chỉ được tính nếu xe có thể tuân theo chu trình thử nghiệm WLTP thích hợp trong phạm vi dung sai chu trình chạy theo 2.6.7.3.1.2 của Phụ lục B5 trong toàn bộ thời gian được xem xét.
4.2.1.1 Xác định quãng đường chạy thuần điện khi áp dụng quy trình phép thử kiểu I rút gọn
4.2.1.1.1 Quãng đường chạy thuần điện cho chu trình phép thử WLTP thích hợp PERWLTC cho PEV phải được tính toán từ phép thử kiểu I rút gọn như mô tà trong 3.2.4.2 của phụ lục này bằng cách sử dụng các phương trình sau:
![]()
Trong đó:
| PERWLTC | quãng đường chạy thuần điện cho quy trình thử nghiệm WLTC áp dụng cho PEV, km; |
| UBESTP | năng lượng REESS có thể sử dụng được xác định từ khi bắt đầu quy trình phép thử kiểu I rút gọn cho đến khi đạt tiêu chí ngắt như được xác định trong 3.2.4.2.3 của phụ lục này, Wh; |
| ECDC,WLTC | mức tiêu thụ điện năng có trọng số cho quy trình phép thử WLTP thích hợp của quy trình phép thử kiểu I rút gọn phép thử kiểu I, Wh/km; |
Và
UBESTP = ΔEREESS,DS1 + ΔEREESS,DS2 + ΔEREESS,CSSM + ΔEREESS,CCSE
| Trong đó: |
|
| ΔEREESS,DS1 | sự thay đổi điện năng của tất cả các REESS trong DS1 của quy trình phép thử kiểu I rút gọn, Wh; |
| ΔEREESS,DS2 | sự thay đổi điện năng của tất cả các REESS trong DS2 của quy trình phép thử kiểu I rút gọn, Wh; |
| ΔEREESS,CSSM | sự thay đổi điện năng của tất cả REESS trong CSSM của quy trình phép thử kiểu I rút gọn, Wh; |
| ΔEREESS,CSSE | là sự thay đổi điện năng của tất cả các REESS trong CSSE của quy trình phép thử kiểu I rút gọn, Wh; |
Và

Trong đó:
| ECDC,WLTC,j | mức tiêu thụ điện năng cho quy trình phép thử WLTP thích hợp của DSj của quy trình phép thử kiểu I rút gọn theo 4.1 của phụ lục này, Wh/km; |
| KWLTC,j | là hệ số trọng số cho quy trình phép thử WLTP thích hợp của DSj của quy trình phép thử kiểu I rút gọn; |
Và:
![]()
| KWLTC,j | hệ số trọng số cho quy trình phép thử WLTP thích hợp của DSj của quy trình phép thử kiểu I rút gọn; |
| ΔEREESS,WLTC,1 | sự thay đổi điện năng của tất cả REESS trong chu trình phép thử WLTP thích hợp từ DS1 của quy trình phép thử kiểu I rút gọn, Wh. |
4.2.1.1.2 Quãng đường chạy thuần điện trong thành phố (PERcity) (nếu có)
Quãng đường chạy thuần điện cho chu trình thử đô thị WLTP thích hợp PERcity cho PEV phải được tính toán từ quy trình phép thử kiểu I rút gọn như mô tả trong 3.2.4.2 của phụ lục này bằng cách sử dụng các phương trình sau:
![]()
Trong đó:
| PERcity | quãng đường chạy thuần điện dành cho chu trình thử đô thị WLTP thích hợp cho PEV, km; |
| UBESTP | năng lượng REESS có thể sử dụng được theo 4.2.1.1.1 của phụ lục này, Wh; |
| ECDC,city | mức tiêu thụ điện năng có trọng số cho chu trình thử trong đô thị WLTP thích hợp của DS1 và DS2 của quy trình phép thử kiểu I rút gọn, Wh/km; |
Và:
![]()
| Trong đó: |
|
| ECDC,city,j | mức tiêu thụ điện năng cho chu trình thử đô thị WLTP thích hợp trong đó chu trình thử đô thị WLTP thích hợp đầu tiên của DS1 được biểu thị là j = 1, chu trình thử đô thị WLTP thích hợp thứ hai của DS1 được biểu thị là j = 2, chu trình thử đô thị WLTP thích hợp đầu tiên của DS2 được biểu thị là j = 3 và chu trình thử đô thị WLTP thích hợp thứ hai của DS2 được biểu thị là j = 4 của quy trình thử kiểu I rút gọn theo 4.1 của phụ lục này, Wh/km; |
| Kcity,j | là hệ số trọng số cho chu trình thử đô thị WLTP thích hợp trong đó chu trình thử đô thị WLTP thích hợp đầu tiên của DS1 được biểu thị là j = 1, Chu trình thử đô thị WLTP thích hợp thứ hai của DS1 được biểu thị là j = 2, chu trình áp dụng đầu tiên chu trình thử đô thị WLTP của DS2 được biểu thị là j = 3 và chu trình thử đô thị WLTP thích hợp thứ hai của DS2 được biểu thị là j = 4, |
Và:

| Trong đó: |
|
| ΔEREESS,city,1 | sự thay đổi năng lượng của tất cả REESS trong quy trình phép thử đầu tiên trong đô thị WLTP thích hợp của DS1 của quy trình phép thử kiểu I rút gọn, Wh. |
4.2.1.1.3 Quãng đường chạy thuần điện pha cụ thể PERp của đối với PEV phải được tính toán từ phép thử kiểu I như mô tả trong 3.2.4.2 của phụ lục này bằng cách sử dụng các phương trình sau:

Trong đó:
| PERp | quãng đường chạy thuần điện theo pha cụ thể của PEV, km; |
| UBESTP | năng lượng REESS có thể sử dụng được theo 4.2.1.1.1 của phụ lục này, Wh; |
| ECDC,p | mức tiêu thụ điện năng có trọng số cho từng giai đoạn riêng lẻ của DS1 và DS2 của quy trình phép thử kiểu I rút gọn, Wh/km; |
Trong trường hợp pha p = thấp và pha p = trung bình, phải sử dụng các phương trình sau:
![]()
Trong đó:
| ECDC,p,j | mức tiêu thụ điện năng cho pha p trong đó pha p đầu tiên của DS1 được ký hiệu là j = 1, pha p thứ hai của DS1 được ký hiệu là j = 2, pha p đầu tiên của DS2 được ký hiệu là j = 3 và pha thứ hai p của DS2 được ký hiệu là j = 4 của quy trình phép thử kiểu I rút ngắn theo 4.1 của phụ lục này, Wh/km; |
| Kp,j | hệ số trọng số cho pha p trong đó pha p đầu tiên của DS1 được ký hiệu là j = 1, pha thứ hai p của DS1 được ký hiệu là j = 2, pha p đầu tiên của DS2 được ký hiệu là j = 3, và giai đoạn thứ hai p của DS2 được biểu thị là j = 4 của quy trình phép thử kiểu I rút gọn; |
Và
![]()
Trong đó:
| ΔEREESS,p,1 | Sự thay đổi năng lượng của tất cả các REESS trong giai đoạn p đầu tiên của DS1 của quy trình phép thử kiểu I rút gọn, Wh. |
Trong trường hợp pha p = cao và pha p = rất cao, phải sử dụng các phương trình sau:
![]()
Trong đó:
| ECDC,p,j | mức tiêu thụ điện năng cho pha p của DSj của quy trình phép thử kiểu I rút gọn theo 4.1 của phụ lục này, Wh/km; |
| Kp,j | là hệ số trọng số cho pha p của DSj của quy trình phép thử kiểu I rút gọn |
Và:

Trong đó:
| ΔEREESS,p,1 | sự thay đổi điện năng của tất cả các REESS trong giai đoạn p đầu tiên của DS1 của quy trình phép thử kiểu I rút gọn, Wh. |
4.2.1.2 Xác định quãng đường chạy thuần điện khi áp dụng chu trình thử liên tiếp kiểu I.
4.2.1.2.1 Quãng đường chạy thuần điện cho chu trình phép thử WLTP thích hợp PERWLTP cho PEV phải được tính toán từ phép thử kiểu I như được mô tả trong 3.2.4.1 của phụ lục này bằng cách sử dụng các phương trình sau:

| Trong đó: |
|
| UBECCP | năng lượng REESS có thể sử dụng được xác định từ khi bắt đầu chu trình thử liên tiếp kiểu 1 cho đến khi đạt tiêu chí dừng theo 3.2.4.1.3 của phụ lục này, Wh; |
| ECDC,WLTC | mức tiêu thụ điện năng cho chu trình phép thử WLTP thích hợp được xác định từ các chu trình phép thử WLTP thích hợp được dẫn động hoàn toàn của chu trình thử liên tiếp kiểu I, Wh/km; |
Và:
![]()
| Trong đó: |
|
| ΔEREESS,j | sự thay đổi điện năng của tất cả các REESS trong giai đoạn j của chu trình thử liên kiểu I, Wh; |
| j | số chỉ số của pha; |
| k | số pha được điều khiển từ đầu đến và bao gồm cả pha đạt tiêu chuẩn ngắt; |
Và:
![]()
| Trong đó: |
|
| ECDC,WLTC,j | mức tiêu thụ điện năng cho chu trình phép thử WLTP j thích hợp của chu trình thử liên tiếp kiểu I theo 4.1 của phụ lục này, Wh/km; |
| KWLTC,j | hệ số trọng số cho chu trình phép thử WLTP j thích hợp của chu trình thử liên tiếp kiểu I; |
| j | số chỉ số của chu trình thử WLTP thích hợp; |
| nWLTC | toàn bộ số chu trình phép thử WLTP thích hợp hoàn chỉnh được thực hiện; |
Và:
![]()
Trong đó:
| ΔEREESS,WLTC,1 | sự thay đổi điện năng của tất cả REESS trong chu trình phép thử WLTP thích hợp đầu tiên của chu trình thử kiểu I, Wh. |
4.2.1.2.2 Quãng đường chạy thuần điện trong thành phố (PERcity) (nếu có)
Quãng đường chạy thuần điện cho chu trình thử đô thị WLTP PERcity cho PEV phải được tính toán từ phép thử kiểu I như được mô tả trong 3.2.4.1 của phụ lục này bằng cách sử dụng các phương trình sau:
![]()
Trong đó:
| PERcity | quãng đường chạy thuần điện cho chu trình thử đô thị WLTP dành cho PEV, km; |
| UBECCP | năng lượng REESS có thể sử dụng theo 4.2.1.2.1 của phụ lục này, Wh; |
| ECDC,city
| mức tiêu thụ điện năng cho chu trình thử đô thị WLTP thích hợp được xác định từ các chu trình thử đô thị WLTP thích hợp được điều khiển hoàn toàn của chu trình thử liên tiếp kiểu I, Wh/km; |
Và

Trong đó:
| ECDC,city,j | mức tiêu thụ điện năng cho chu trình thử đô thị WLTP j áp dụng của chu trình thử liên tiếp kiểu I theo 4.1 của phụ lục này, Wh/km; |
| Kcity,j | hệ số trọng số cho chu trình thử đô thị WLTP j áp dụng của chu trình thử liên tiếp kiểu I; |
| j | số chỉ số của chu trình thử đô thị WLTP thích hợp; |
| ncity | toàn bộ số chu trình thử đô thị WLTP thích hợp hoàn chỉnh được thực hiện; |
Và
![]()
Trong đó:
| ΔEREESS,city,1 | sự thay đổi điện năng của tất cả REESS trong chu trình thử đó thị WLTP thích hợp đầu tiên của chu trình thử liên tiếp kiểu I, Wh. |
4.2.1.2.3 Quãng đường chạy thuần điện pha cụ thể PERp đối với PEV phải được tính toán từ phép thử kiểu I như trong 3.2.4.1 của phụ lục này bằng cách sử dụng các phương trình sau:
![]()
Trong đó:
| PERp | quãng đường chạy thuần điện pha cụ thể của PEV, km; |
| UBECCP | năng lượng REESS có thể sử dụng theo 4.2.1.2.1 của phụ lục này, Wh; |
| ECDC,p | mức tiêu thụ điện năng cho pha đang xem xét p được xác định từ các pha được dẫn động hoàn toàn p của quy trình thử nghiệm chu trình liên tiếp kiểu I, Wh/km; |
Và
![]()
Trong đó:
| ECDC,p,j | mức tiêu thụ điện năng thứ j cho pha p được xem xét của chu trình thử liên tiếp kiểu I theo 4.1 của phụ lục này, Wh/km; |
| Kp,j | hệ số trọng số thứ j cho pha p được xem xét của chu trình thử liên tục kiểu I; |
| j | số chỉ số của pha p đang xét; |
| np | toàn bộ số lượng pha p WLTC hoàn chỉnh được thực hiện; |
Và
![]()
| Trong đó: |
|
| ΔEREESS,p,1 | Sự thay đổi điện năng của tất cả các REESS trong pha được dẫn động đầu tiên p trong chu trình thử liên tiếp kiểu I, Wh. |
4.3 Nội suy các giá trị xe riêng lẻ
4.3.1 Tính toán nhu cầu năng lượng mỗi thời giai đoạn
Nhu cầu năng lượng Ek,p và quãng đường đi được dc,p trong khoảng thời gian p áp dụng cho từng xe trong họ nội suy phải được tính toán theo quy trình tại điều 2 của Phụ lục B6, đối với các bộ k hệ số tải trọng.
4.3.2 Tính hệ số nội suy cho từng loại xe Kind,p
Hệ số nội suy Kind,p cho mỗi giai đoạn được tính cho từng giai đoạn p theo công thức sau:
![]()
Trong đó:
| Kind,p | hệ số nội suy cho từng xe đang xét trong khoảng thời gian p: |
| E1,p | nhu cầu năng lượng trong khoảng thời gian xét đối với xe L theo Điều 2 Phụ lục B6, Ws; |
| E2,p | nhu cầu năng lượng trong khoảng thời gian xét đối với xe H theo Điều 2 Phụ lục B6, Ws; |
| E3,p | nhu cầu năng lượng trong khoảng thời gian được xem xét đối với từng xe theo Điều 2 Phụ lục B6, Ws; |
| p | chỉ số của từng giai đoạn trong chu trình thử nghiệm áp dụng. |
Trong trường hợp khoảng thời gian được xem xét p là chu trình thử WLTP thích hợp, Kind,p được đặt tên là Kind.
4.3.3 Nội suy mức tiêu thụ điện năng cho từng xe
4.3.3.1 Mức tiêu thụ điện năng riêng lẻ cho PEV
Mức tiêu thụ điện năng của một xe cá nhân theo điều 4.1.1 của phụ lục này trong trường hợp PEV phải được tính toán theo công thức sau:
ECind,p = ECL,p + Kind,p × (ECH,p - ECL,p)
Trong đó:
| ECind,p | mức tiêu thụ điện năng của một xe giao thông trong khoảng thời gian xét p, Wh/km; |
| ECL,p | điện năng tiêu thụ của xe L trong khoảng thời gian xét p, Wh/km; |
| ECH,p | điện năng tiêu thụ của xe H trong khoảng thời gian xét p, Wh/km; |
| Kind,p | hệ số nội suy cho từng xe đang xét trong khoảng thời gian p; |
| p | chỉ số của từng giai đoạn trong chu trình thử áp dụng. |
Đối với WLTP 4 pha;
Các giai đoạn được xem xét phải là pha thấp, pha trung bình, pha cao, pha rất cao, chu trình thử đô thị WLTP thích hợp và chu trình thử WLTP thích hợp.
Đối với WLTP 3 pha;
Các khoảng thời gian được xem xét phải là pha thấp, pha trung bình, pha cao và chu trình thử WLTP thích hợp.
4.3.2 Nội suy các quãng đường chạy thuần điện cho từng xe
4.3.2.1 Quãng đường chạy thuần điện riêng cho PEV
Quãng đường chạy thuần điện cho một xe cá nhân phải được tính theo công thức sau:
PERind,p = PERL,p + Kind,p x (PERH,p - PERL,p)
Trong đó:
| PERind,p | quãng đường chạy thuần điện của một xe cá nhân cho khoảng thời gian xem xét p, km; |
| PERL,p | quãng đường chạy thuần điện của xe L trong khoảng thời gian xem xét p, km; |
| PERH,p | quãng đường chạy thuần điện của xe H trong khoảng thời gian xem xét p, km; |
| Kind,p | hệ số nội suy cho xe cá nhân đang xem xét trong khoảng thời gian p; |
| p | chỉ số của từng giai đoạn trong chu trình thử áp dụng. |
Với WLTP 4 pha;
Các giai đoạn được xem xét phải là pha thấp, pha trung bình, pha cao, pha rất cao, chu trình thử đô thị WLTP thích hợp và chu trình thử WLTP thích hợp.
Với WLTP 3 pha;
Khoảng thời gian được xem xét phải là chu trình thử WLTP thích hợp.
4.4 Quy trình từng bước để tính kết quả thử cuối cùng của PEV
Các kết quả phải được tính theo thứ tự mô tả trong Bảng B7/4 của chu trình thử liên tiếp và theo thứ tự mô tả trong Bảng B7/5 trong trường hợp quy trình thử rút ngắn. Tất cả các kết quả có thể áp dụng trong cột "Đầu ra" phải được ghi lại. Cột "Quy trình" mô tả các đoạn được sử dụng để tính toán hoặc chứa các phép tính bổ sung.
4.4.1 Quy trình từng bước để tính kết quả thử cuối cùng cho PEV trong trường hợp chu trình thử liên tiếp
Vì mục đích của bảng này, thuật ngữ sau trong các câu hỏi và kết quả được sử dụng:
j chỉ số cho khoảng thời gian được xem xét.
Bảng B7/4 - tính toán giá trị PEV cuối cùng được xác định bằng cách áp dụng chu trình thử liên tiếp kiểu I
Bảng B7/4 được thực hiện riêng đối với kết quả sau 4 pha và kết quâ sau 3 pha.
Với kết quả sau 4 pha;
Các giai đoạn được xem xét phải là pha thấp, pha trung bình, pha cao, pha rất cao, chu trình thử đô thị WLTP thích hợp và chu trình thử WLTP thích hợp.
Với kết quả sau 3 pha;
Các khoảng thời gian được xem xét phải là pha thấp, pha trung bình, pha cao và chu trình thử WLTP thích hợp.
| Bước số | Nguồn | Đầu vào | Quá trình | Đầu ra |
| 1 | Phụ lục B7 | Các kết quả thử nghiệm | Kết quả đo theo Phụ lục B7 - Phụ lục phụ 2 và tính toán trước theo 4.1 của phụ lục này. | ΔEREESS,j, Wh; dj, km; |
|
|
|
| Năng lượng pin có thể sử dụng theo 4.2.1.2.1 của phụ lục này. | UBECCP, Wh; |
|
|
|
| Điện năng được sạc lại theo 3.2.4.3 của phụ lục này. | EAC, Wh |
|
|
|
| Đầu ra có sẵn cho mỗi bài thử. EAC phải được làm tròn theo 6.1.4 của tiêu chuẩn này đến chữ số thập phân đầu tiên. |
|
| 2 | Đầu ra bước 1 | ΔEREESS,j, Wh; | Xác định số lượng pha và chu trình WLTC áp dụng được thực hiện hoàn chỉnh theo 4.2.1.2 của phụ lục này. | nWLTC; |
|
| UBECCP, Wh; | ncity; | ||
|
|
| nlow; | ||
|
|
| nmed; | ||
|
|
| Đầu ra có sẵn cho mỗi thử nghiệm. | nhigh; | |
|
|
|
| nexHigh. | |
| 3 | Đầu ra bước 1 | ΔEREESS,j, Wh; | Tính hệ số trọng số theo 4.2.1.2 của phụ lục này. | KWLTC,1 |
|
|
|
|
| KWLTC,2 |
|
|
| UBECCP, Wh; | CHÚ THÍCH: số lượng hệ số trọng số phụ thuộc vào chu trình áp dụng được sử dụng (WLTC 3 hoặc 4 pha). Trong trường hợp WLTC 4 pha, có thể cần thêm đầu ra trong ngoặc. | KWLTC,3 |
|
|
|
| (KWLTC,4) | |
|
|
|
| Kcity,1 | |
|
|
| nWLTC; | Kcity,2 | |
|
|
| ncity; | Kcity,3 | |
|
| Đầu ra bước 2 | nlow; | (Kcity,4) | |
|
| nmed; |
| Klow,1 | |
|
|
| nhigh; | Đầu ra có sẵn cho mỗi phép thử. | Klow,2 |
|
|
| nexHigh. |
| Klow,3 |
|
|
|
|
| (Klow,4) |
|
|
|
|
| Kmed,1 |
|
|
|
|
| Kmed,2 |
|
|
|
|
| Kmed,3 |
|
|
|
|
| (Kmed,4) |
|
|
|
|
| Khigh,1 |
|
|
|
|
| Khigh,2 |
|
|
|
|
| Khigh,3 |
|
|
|
|
| (Khigh,4) |
|
|
|
|
| KexHigh,1 |
|
|
|
|
| KexHigh,2 |
|
|
|
|
| KexHigh,3 |
|
|
|
|
| (KexHigh,4) |
| 4 | Đầu ra bước 1 | ΔEREESS,j, Wh; dj, km; UBECCP, Wh; | Tính toán điện năng tiêu thụ tại REESS theo 4.2.1.2 của phụ lục này. | ECDC,WLTC, Wh/km; ECDC,city, Wh/km; ECDC,low, Wh/km; ECDC,med, Wh/km; ECDC,high, Wh/km; ECDC,exHigh, Wh/km; ECDC,first, Wh/km. |
| Đầu ra bước 2 | nWLTC; ncity; nlow; nmed; nhigh; nexHigh. | Tính toán mức tiêu thụ điện năng từ chu trình thử WLTP thích hợp đầu tiên ECdc,first như được mô tả trong Phụ lục B7 - Phụ lục phụ 4, điều 1.1. Đầu ra có sẵn cho mỗi phép thử. | ||
| Đầu ra bước 3 | Tất cả hệ số trọng số |
| ||
| 5 | Đầu ra bước 1 | UBECCP, Wh; | Tính toán quãng đường chạy thuần điện theo 4.2.1.2 của phụ lục này. | PERWLTC, km; PERcity, km; PERlow, km; PERmed, km; PERhigh, km; PERexHigh, km |
| Đầu ra bước 4 | ECDC,WLTC, Wh/km; ECDC,city, Wh/km; ECDC,low, Wh/km; ECDC,med, Wh/km; ECDC,high, Wh/km; ECDC,exHigh, Wh/km; | Đầu ra có sẵn cho mỗi phép thử. | ||
| 6 | Đầu ra bước 1 | EAC, Wh | Tính toán tiêu thụ điện năng chủ yếu theo 4.1.1 của phụ lục này. | ECWLTC, Wh/km; ECcity, Wh/km; EClow, Wh/km; ECmed, Wh/km; EChigh, Wh/km; ECexHigh, Wh/km |
| Đầu ra bước 5 | PERWLTC, km; PERcity, km; PERlow, km; PERmed, km; PERhigh, km; PERexHigh, km | Đầu ra có sẵn cho mỗi phép thử. | ||
| 7 Nếu phương pháp nội suy không được áp dụng thì không cần bước số 10 và đầu ra của bước này cho PERWLTC,dec và ECWLTC,dec là kết quả cuối cùng | Đầu ra bước 5 | PERWLTC, km; PERcity, km; PERlow, km; PERmed, km; PERhigh, km; PERexHigh, km | Trung bình các phép thử cho tất cả các giá trị đầu vào. Tuyên bố về PERWLTC,dec và ECWLTC,dec dựa trên PERWLTC,ave và ECWLTC,ave | PERWLTC,dec, km; PERWLTC,ave, km; PERcity,ave, km; PERlow,ave, km; PERmed,ave, km; PERhigh,ave, km; PERexHigh,ave, km; ECWLTC,dec, Wh/km; ECWLTC,ave, Wh/km; ECcity,ave, Wh/km; EClow,ave, Wh/km; ECmed,ave, Wh/km; EChigh,ave, Wh/km; ECexHigh,ave, Wh/km; ECDC,first,ave, Wh/km. |
| Đầu ra bước 6 | ECWLTC, Wh/km; ECcity, Wh/km; EClow, Wh/km; ECmed, Wh/km; EChigh, Wh/km; ECexHigh, Wh/km | Căn chỉnh PER trong trường hợp thành phố, thấp, trung bình, cao và rất cao dựa trên tỷ lệ giữa PERWLTC,dec và PERWLTC,ave:
Căn chỉnh EC trường hợp trong đô thị, thấp, trung bình, cao và rất cao dựa trên tỷ lệ giữa ECWLTC,dec và ECWLTC,ave:
Trong trường hợp áp dụng phương pháp nội suy, kết quả đầu ra phải có sẵn cho xe H và xe L. PERWLTC,dec cũng như ECWLTC,dec phải được làm tròn theo 6.1.4 của tiêu chuẩn này đến số chữ số thập phân như quy định tại Bảng A5/1 của Phụ lục B5. | ||
|
| Đầu ra bước 4 | ECDC,first, Wh/km. | Trong trường hợp không áp dụng phương pháp nội suy, PERWLTC,dec và ECWLTC,dec phải được làm tròn theo 6.1.4 của tiêu chuẩn này đến số nguyên gần nhất. |
|
| 8 | Đầu ra bước 7 | ECWLTC,dec, Wh/km; ECWLTC,ave, Wh/km; ECDC,first,ave, Wh/km. | Điều chỉnh mức tiêu thụ điện năng cho mục đích COP như mô tả tại điều 1.1 Phụ lục B7 - Phụ lục phụ 4 vào phụ lục này. Trong trường hợp áp dụng phương pháp nội suy, đầu ra có sẵn cho xe H và xe L. | ECDC,COP, Wh/km. |
| 9 Nếu không áp dụng phương pháp nội suy thì không cần thực hiện bước số 10 và đầu ra của bước này là kết quả cuối cùng. | Đầu ra bước 7 | ECcity,ave, Wh/km; EClow,ave, Wh/km; ECmed,ave, Wh/km; EChigh,ave, Wh/km; ECexHigh,ave, Wh/km; PERcity,ave, km; PERlow,ave, km; PERmed,ave, km; PERhigh,ave, km; PERexHigh,ave, km; | Làm tròn trung gian theo 6.1.4 của tiêu chuẩn này. Trong trường hợp áp dụng phương pháp nội suy, việc làm tròn trung gian phải được thực hiện theo 6.1.4 của tiêu chuẩn này: PERcity và PERp được làm tròn đến chữ số thập phân đầu tiên. ECcity và ECp phải được làm tròn đến chữ số thập phân đầu tiên. ECDC,COP được làm tròn đến chữ số thập phân đầu tiên. | PERcity,final, km; PERlow, final, km; PERmed,final, km; PERhigh,final, km; PERexHigh,final, km; ECcity, final, Wh/km; EClow,final, Wh/km; ECmed,final, Wh/km; EChigh, final, Wh/km; ECexHigh,final, Wh/km; |
| Đầu ra bước 8 | ECDC,COP, Wh/km. | Đầu ra có sẵn cho xe H và xe L. Trong trường hợp không áp dụng phương pháp nội suy, làm tròn kết quả thử nghiệm cuối cùng theo 6.1.4 của tiêu chuẩn này: PERcity và PERp phải được làm tròn đến số nguyên gần nhất. ECcity và ECp phải được làm tròn đến số nguyên gần nhất. ECDC,COP được làm tròn đến số nguyên gần nhất | ECDC,COP,final, Wh/km. | |
| 10 Kết quả một xe cá nhân. Kết quả thử nghiệm cuối cùng | Đầu ra bước 7 | PERWLTC,dec, km; ECWLTC,dec, Wh/km; PERcity,final, km; | Nội suy các giá trị riêng lẻ dựa trên đầu vào từ xe H và xe L theo 4.3 của phụ lục này và làm tròn số cuối cùng theo 6.1.4 của tiêu chuẩn này. | PERWLTC,ind,km: PERcity,ind, km; PERlow,ind, km; PERmed,ind,km; PERhigh,ind, km; PERexHigh,ind, km; ECWLTC,ind, Wh/km; ECcity,ind, Wh/km; EClow,ind, Wh/km; ECmed,ind, Wh/km; EChigh,ind, Wh/km; ECexHigh,ind, Wh/km; ECDC,COP,ind, Wh/km. |
| Đầu ra bước 9 | PERlow,final, km; PERmed,final, km; PERhigh,final, km; PERexHigh,final, km; ECcity,final, Wh/km; EClow, final, Wh/km; ECmed, final, Wh/km; EChigh,final, Wh/km; ECexHigh,final, Wh/km; ECDC,COP,final, Wh/km. | PERind, PERcity,ind và PERp,ind phải được làm tròn đến số nguyên gần nhất. ECind,p, EC và ECp,ind phải được làm tròn đến số nguyên gần nhất. ECDC,COP,ind phải được làm tròn đến số nguyên gần nhất. Đầu ra có sẵn cho mỗi chiếc xe riêng lẻ. |
4.4.2 Quy trình từng bước để tính kết quả thử nghiệm cuối cùng của PEV trong trường hợp chu trình thử rút gọn.
Với mục đích của bảng này, thuật ngữ sau trong các câu hỏi và kết quả được sử dụng:
j chỉ số cho khoảng thời gian được xem xét.
Bảng B7/5 -Tính toán giá trị PEV cuối cùng được xác định bằng cách áp dụng chu trình thử kiểu I rút gọn
Bảng B7/5 được trình bày riêng đối với kết quả sau 4 pha và đối với kết quả sau 3 pha.
Với kết quả sau 4 đợt;
Các giai đoạn được xem xét phải là pha thấp, pha trung bình, pha cao, pha rất cao, chu trình thử trong đô thị WLTP thích hợp và chu trình thử WLTP thích hợp.
Với kết quả sau 3 đợt;
Các khoảng thời gian được xem xét phải là pha thấp, pha trung bình, pha cao và chu trình thử WLTP thích hợp.
| Bước số | Nguồn | Đầu vào | Quá trình | Đầu ra |
| 1 | Phụ lục B7 | Các kết quả thử | Kết quả đo theo Phụ lục B7 - Phụ lục phụ 2 và tính toán trước theo 4.1 của phụ lục này. | ΔEREESS,j, Wh; dj, km; |
|
|
|
| Năng lượng pin có thể sử dụng theo 4.2.1.2.1 của phụ lục này. | UBECCP, Wh; |
|
|
|
| Điện năng được sạc lại theo 3.2.4.3 của phụ lục này. | EAC, Wh |
|
|
|
| Đầu ra có sẵn cho mỗi bài thử nghiệm. |
|
|
|
|
| EAC phải được làm tròn theo 6.1.4 của tiêu chuẩn này đến chữ số thập phân đầu tiên. |
|
| 2 | Đầu ra bước 1 | ΔEREESS,j, Wh; UBECCP, Wh. | Tính hệ số trọng số theo 4.2.1.2 của phụ lục này. Đầu ra có sẵn cho mỗi thử nghiệm. | KWLTC,1 KWLTC,2 KCity,1 KCity,2 KCity,3 KCity,4 Klow,1 Klow,2 Klow,3 Klow,4 Kmed,1 Kmed,2 Kmed,3 Kmed,4 Khigh,1 Khigh,2 KexHigh,1 KexHigh,2 KexHigh,3 (KexHigh,4) |
| 3 | Đầu ra bước 1
| ΔEREESS,j, Wh; dj, km; UBECCP, Wh; | Tính toán điện năng tiêu thụ tại REESS theo 4.2.1.1 của phụ lục này.
| ECDC,WLTC,j, Wh/km; ECDC,city, Wh/km; ECDC,low, Wh/km; ECDC,med, Wh/km; ECDC,high, Wh/km; ECDC,exHigh, Wh/km; ECDC,first, Wh/km. |
| Đầu ra bước 2 | Tất cả trọng số | Tính toán mức tiêu thụ điện năng từ chu trình phép thử WLTP thích hợp đầu tiên ECDC,first như được mô tả trong Phụ lục B7 - Phụ lục phụ 4, điều 1.1. Đầu ra có sẵn cho mỗi phép thử. | ||
| 4 | Đầu ra bước 1
| UBESTP, Wh;
| Tính toán quãng đường chạy thuần điện theo 4.2.1.1 của phụ lục này. | PERWLTC, km; PERcity, km; PERlow,km; PERmed, km; PERhigh, km; PERexHigh, km |
| Đầu ra bước 3 | ECDC,WLTC, Wh/km; ECDC,city, Wh/km; ECDC,low, Wh/km; ECDC,med, Wh/km; ECDC,high, Wh/km; ECDC,exHigh, Wh/km; | Đầu ra có sẵn cho mỗi phép thử. | ||
| 5 | Đầu ra bước 1
| EAC, Wh;
| Tính toán tiêu thụ điện năng chủ yếu theo 4.1.1 của phụ lục này. | ECWLTC, Wh/km; ECcity, Wh/km; EClow, Wh/km; ECmed, Wh/km; EChigh, Wh/km; ECexHigh, Wh/km |
| Đầu ra bước 4 | PERWLTC, km; PERcity, km; PERlow, km; PERmed, km; PERhigh, km; PERexHigh, km | Đầu ra có sẵn cho mỗi phép thử. | ||
| 6 Nếu phương pháp nội suy không được áp dụng thì không cần bước số 9 và đầu ra của bước này cho PERWLTC,dec và ECWLTC,dec là kết quả cuối cùng | Đầu ra bước 4 | PERWLTC, km; PERcity, km; PERlow, km; PERmed, km; PERhigh, km; PERexHigh, km | Trung bình các phép thử cho tất cả các giá trị đầu vào. Tuyên bố về PERWLTC,dec và ECWLTC,dec dựa trên PERWLTC,ave va ECWLTC,ave. | PERWLTC,dec, km; PERWLTC,ave, km; PERcity,ave, km; PERlow,ave, km; PERmed,ave, km; PERhigh,ave, km; PERexHigh,ave, km; ECWLTC,dec, Wh/km; ECWLTC,ave, Wh/km; ECcity,ave, Wh/km; EClow,ave, Wh/km; ECmed,ave, Wh/km; EChigh,ave, Wh/km; ECexHigh,ave, Wh/km; ECDC,first,ave, Wh/km. |
| Đầu ra bước 5 | ECWLTC, Wh/km; ECcity, Wh/km; EClow, Wh/km; ECmed, Wh/km; EChigh, Wh/km; ECexHigh, Wh/km | Căn chỉnh PER trường hợp trong đô thị, thấp, trung bình, cao và rất cao dựa trên tỷ lệ giữa PERWLTC,dec và PERWLTC,ave.
| ||
|
| Đầu ra bước 3 | ECDC,first, Wh/km. | Căn chỉnh EC trường hợp trong đô thị, thấp, trung bình, cao và rất cao dựa trên tỷ lệ giữa ECWLTC,dec và ECWLTC,ave:
Trong trường hợp áp dụng phương pháp nội suy, kết quả đầu ra phải có sẵn cho xe H và xe L. PERWLTC,dec cũng như ECWLTC,dec phải được làm tròn theo 6.1.4 của tiêu chuẩn này đến số chữ số thập phân như quy định tại Bảng A5/1 của Phụ lục B5. Trong trường hợp không áp dụng phương pháp nội suy, PERWLTC,dec và ECWLTC,dec phải được làm tròn theo 6.1.4 của tiêu chuẩn này đến số nguyên gần nhất. | |
| 7 | Đầu ra bước 6 | ECWLTC,dec, Wh/km; ECWLTC,ave, Wh/km; ECDC,first,ave, Wh/km. | Điều chỉnh mức tiêu thụ điện năng cho mục đích COP như mô tả tại 1.1 Phụ lục B7 - Phụ lục phụ 4 vào phụ lục này. Trong trường hợp áp dụng phương pháp nội suy, đầu ra có sẵn cho xe H và xe L. | ECDC,COP, Wh/km |
| 8 Nếu không áp dụng phương pháp nội suy thì không cần thực hiện bước số 10 và đầu ra của bước này là kết quả cuối cùng. | Đầu ra bước 6 | ECcity,ave, Wh/km; EClow,ave, Wh/km; ECmed,ave, Wh/km; EChigh,ave, Wh/km; ECexHigh,ave, Wh/km; | Làm tròn trung gian theo 6.1.4 của tiêu chuẩn này. Trong trường hợp áp dụng phương pháp nội suy, việc làm tròn trung gian phải được thực hiện theo 6.1.4 của tiêu chuẩn này: PERcity và PERp được làm tròn đến chữ số thập phân đầu tiên. ECcity và ECp phải được làm tròn đến chữ số thập phân đầu tiên. ECDC,COP được làm tròn đến chữ số thập phân đầu tiên. Đầu ra có sẵn cho xe H và xe L. Trong trường hợp không áp dụng phương pháp nội suy, làm tròn kết quả thử cuối cùng theo 6.1.4 của tiêu chuẩn này: PERcity và PERp phải được làm tròn đến số nguyên gần nhất. ECcity và ECp phải được làm tròn đến số nguyên gần nhất. ECDC,COP được làm tròn đến số nguyên gần nhất | PERcity,final, km; PERlow,final, km; PERmed,final, km; PERhigh,final, km; PERexHigh,final, km; ECcity, final, Wh/km; EClow,final, Wh/km; ECmed,final, Wh/km; EChigh,final, Wh/km; ECexHigh,final, Wh/km; ECDC,COP,final, Wh/km. |
| PERcity,ave, km; PERlow,ave, km; PERmed,ave, km; PERhigh,ave, km; PERexHigh,ave, km; | ||||
| Đầu ra bước 7 | ECDC,COP, Wh/km. | |||
| 9 Kết quả một xe cá nhân. Kết quả thử nghiệm cuối cùng | Đầu ra bước 6 | PERWLTC,dec,km; ECWLTC,dec, Wh/km; | Nội suy các giá trị riêng lẻ dựa trên đầu vào từ xe H và xe L theo 4.3 của phụ lục này và làm tròn số cuối cùng theo 6.1.4 của tiêu chuẩn này. PERind,p, PERcity,ind và PERp,ind phải được làm tròn đến số nguyên gần nhất. ECind, EC và ECp ind phải được làm tròn đến số nguyên gần nhất. ECDC,COP,ind phải được làm tròn đến số nguyên gần nhất. Đầu ra có sẵn cho mỗi chiếc xe riêng lẻ. | PERWLTC,ind, km; PERcity,ind, km; PERlow,ind, km; PERmed,ind, km; PERhigh,ind, km; PERexHigh,ind, km; ECWLTC,ind, Wh/km ECcity,ind, Wh/km; EClow,ind, Wh/km; ECmed,ind, Wh/km; EChigh,ind, Wh/km; ECexHigh,ind, Wh/km; ECDC,COP,ind, Wh/km. |
| Đầu ra bước 8 | PERcity,final, km; PERlow,final, km; PERmed,final, km; PERhigh,final, km; PERexHigh,final, km; ECcity,final, Wh/km; EClow,final, Wh/km; ECmed,final, Wh/km; EChigh,final, Wh/km; ECexHigh,final, Wh/km; ECDC,COP,final, Wh/km. |
Phụ lục B7-1
(Quy định)
Mô tả trạng thái sạc REESS
1 Trình tự thử nghiệm PEV
1.1 Quy trình chu trình thử liên tiếp (Hình B7-1/1)

Hình B7-1/1- Trình tự chu trình thử liên tiếp PEV
1.2 Quy trình chu trình thử rút gọn (Hình B7-1/2)

Hình B7-1/2 - Trình tự chu trình thử rút gọn đối với PEV
Phụ lục B7-2
(Quy định)
Xác định dòng điện và điện áp của REESS cho PEV
1 Giới thiệu
1.1 Phụ lục này xác định phương pháp và thiết bị cần thiết để xác định dòng điện REESS và điện áp REESS của PEV.
1.2 Phép đo dòng điện REESS và điện áp REESS phải bắt đầu cùng lúc với thời điểm bắt đầu phép thử và phải kết thúc ngay sau khi xe kết thúc phép thử.
1.3 Phải xác định dòng điện REESS và điện áp REESS của từng pha.
1.4 Danh sách thiết bị được nhà sản xuất sử dụng để đo điện áp và dòng điện REESS (bao gồm nhà sản xuất thiết bị, số kiểu, số sêri, ngày hiệu chuẩn gần đây nhất (nếu có)) trong khi thực hiện các mục dưới đây phải được cung cấp cho cơ quan có thẩm quyền:
(a) Phép thử kiểu I theo Điều 3 của phụ lục này;
(b) Chỉ dành cho WLTP 4 pha;
2 Dòng điện REESS
Sự suy giảm REESS được coi là dòng điện âm.
2.1 Đo dòng điện REESS bên ngoài
2.1.1 (Các) dòng điện REESS phải được đo trong quá trình thử nghiệm bằng cách sử dụng bộ chuyển đổi dòng điện loại kẹp hoặc loại đóng. Hệ thống đo dòng điện phải đáp ứng các yêu cầu quy định trong Bảng B7/1 của phụ lục này. (Các) bộ chuyển đổi dòng điện phải có khả năng xử lý dòng điện đỉnh khi khởi động động cơ và các điều kiện nhiệt độ tại điểm đo.
Để có phép đo chính xác, việc điều chỉnh điểm 0 và khử từ phải được thực hiện trước khi thử nghiệm theo hướng dẫn của nhà sản xuất thiết bị.
2.1.2 Bộ chuyển đổi dòng điện phải được lắp vào bất kỳ REESS nào trên một trong các cáp được kết nối trực tiếp với REESS và phải bao gồm dòng điện REESS tổng.
Trong trường hợp dây có vỏ bọc, phải áp dụng các phương pháp thích hợp theo cơ quan có thẩm quyền.
Để dễ dàng đo dòng điện REESS bằng thiết bị đo bên ngoài, nhà sản xuất cần cung cấp các điểm đấu nối phù hợp, an toàn và dễ tiếp cận trên xe. Nếu điều đó không khả thi, nhà sản xuất có nghĩa vụ hỗ trợ cơ quan có thẩm quyền kết nối bộ chuyển đổi dòng điện tới một trong các cáp được kết nối trực tiếp với REESS theo cách được mô tả ở trên trong đoạn này.
2.1.3 Đầu ra của bộ chuyển đổi dòng điện phải được lấy mẫu với tần số nhỏ nhất là 20 Hz. Dòng điện đo được phải được tích phân theo thời gian, thu được giá trị Q đo được, biểu thị bằng ampe giờ Ah. Việc tích phân có thể được thực hiện trong hệ thống đo lường dòng điện.
2.2 Dữ liệu dòng điện REESS trên xe
Thay thế cho 2.1 của phụ lục này, nhà sản xuất có thể sử dụng dữ liệu đo dòng điện REESS trên xe. Tính chính xác của những dữ liệu này phải được chứng minh cho cơ quan có thẩm quyền.
3 Điện áp REESS
3.1 Đo điện áp REESS bên ngoài
Trong các phép thử được mô tả trong Điều 3 của phụ lục này, điện áp REESS phải được đo bằng các yêu cầu về thiết bị và độ chính xác được quy định trong 1.1 của phụ lục này. Để đo điện áp REESS bằng thiết bị đo bên ngoài, nhà sản xuất phải hỗ trợ cơ quan có thẩm quyền bằng cách cung cấp các điểm đo điện áp REESS và hướng dẫn an toàn.
3.3 Dữ liệu điện áp REESS trên xe
Thay thế cho 3.1 của phụ lục này, nhà sản xuất có thể sử dụng dữ liệu đo điện áp trên xe. Tính chính xác của những dữ liệu này phải được chứng minh cho cơ quan có thẩm quyền.
Phụ lục B7-3
(Quy định)
Điều kiện thuần hoá, ngâm và sạc REESS cho PEV
1 Phụ lục này mô tả quy trình thử nghiệm thuần hóa REESS để chuẩn bị cho: Đo quãng đường chạy cũng như đo mức tiêu thụ điện năng khi thử nghiệm PEV.
2 Thuần hoá sơ bộ và thuần hoá (ngâm) PEV
2.1 Lần sạc đầu tiên của REESS
Lần sạc đầu tiên của REESS ban đầu bao gồm xả REESS và sạc bình thường.
2.1.1 Xả REESS
Quy trình xả phải được thực hiện theo khuyến nghị của nhà sản xuất. Nhà sản xuất phải đảm bảo rằng REESS được xả cạn hết mức có thể bởi quy trình xả điện.
2.1.2 Ngâm và áp dụng sạc thông thường
2.1.2.1 Ngâm
Việc ngâm xe phải được thực hiện theo 2.7 của Phụ lục B5.
2.1.2.2 Sạc thông thường
Trong quá trình ngâm, REESS phải được sạc theo quy trình sạc thông thường như sau:
- Sạc thông thường là việc truyền điện sang xe điện có công suất nhỏ hơn hoặc bằng 22 kW.
- Trong trường hợp có một số phương pháp khả thi để thực hiện sạc điện xoay chiều (AC) thông thường (ví dụ: cáp, cảm ứng, v.v.), thì phải sử dụng quy trình sạc qua cáp.
- Trong trường hợp có sẵn nhiều mức công suất sạc AC thì phải sử dụng công suất sạc thông thường cao nhất. Có thể chọn nguồn sạc AC thấp hơn nguồn sạc AC thông thường cao nhất nếu được nhà sản xuất khuyển nghị và được cơ quan có thẩm quyền phê duyệt.
2.1.2.2.1 REESS phải được sạc ở nhiệt độ môi trường như quy định tại 2.2.2 2 của Phụ lục B5 cùng với bộ sạc trên xe nếu phù hợp.
Trong các trường hợp sau đây, phải sử dụng bộ sạc do nhà sản xuất khuyến nghị và sử dụng kiểu sạc quy định cho sạc thông thường nếu:
(a) Không có bộ sạc trên xe phù hợp, hoặc
(b) Thời gian sạc vượt quá thời gian ngâm được xác định tại 2.7 của Phụ lục B5.
Các quy trình trong điều này loại trừ tất cả các loại sạc đặc biệt có thể được bắt đầu tự động hoặc thủ công, ví dụ: sạc cân bằng hoặc sạc phục vụ. Nhà sản xuất phải công bố rằng trong quá trình thử nghiệm, không xảy ra quy trình sạc đặc biệt.
2.1.2.2.2 Tiêu chí ngừng sạc
Tiêu chí ngừng sạc đạt được khi thiết bị trên xe hoặc bên ngoài chỉ ra rằng REESS đã được sạc đầy. Nếu quá trình sạc được thực hiện trong quá trình ngâm và kết thúc trước thời gian ngâm nhỏ nhất cần thiết như được xác định trong 2.7 của Phụ lục B5, xe phải duy trì kết nối với lưới điện ít nhất cho đến khi đặt được thời gian ngâm nước nhỏ nhất cần thiết.
Phụ lục B7-4
(Quy định)
Lựa chọn các chế độ do người lái xe chọn
1 Yêu cầu chung
1.1. Nhà sản xuất phải chọn chế độ người lái chọn cho chu trình thử kiểu I theo Điều 2 trong phụ lục này để cho phép xe thực hiện chu trình thử đã xem xét trong phạm vi dung sai chu trình chạy theo 2.6.7.3.1.2 của Phụ lục B5. Điều này sẽ áp dụng cho tất cả các hệ thống trên xe có các chế độ người lái chọn, bao gồm cả các chế độ không chỉ dành riêng cho hộp số.
1.2. Nhà sản xuất phải cung cấp bằng chứng cho cơ quan có thẩm quyền liên quan đến:
(a) Sự khả dụng của chế độ chiếm ưu thế trong các điều kiện được xem xét;
(b) Tốc độ lớn nhất của xe đang xét; và nếu được yêu cầu:
(c) Chế độ tiêu thụ điện năng cao nhất;
(d) Nhu cầu năng lượng chu trình (theo Điều 2 của Phụ lục B6 trong đó tốc độ mục tiêu được thay thế bằng tốc độ thực tế).
1.3. Trên cơ sở bằng chứng kỹ thuật do nhà sản xuất cung cấp và với sự đồng ý của cơ quan có thẩm quyền, các chế độ chuyên dụng người lái chọn, chẳng hạn như "chế độ leo núi" hoặc "chế độ bảo trì" không dành cho hoạt động bình thường hàng ngày mà chỉ dành cho mục đích có giới hạn đặc biệt sẽ không được xem xét.
2. PEV được trang bị chế độ người lái chọn
Đối với xe được trang bị chế độ người lái chọn, chế độ thử phải được chọn theo các điều kiện sau.
Lưu đồ trong Hình A8.App6/3 minh họa việc lựa chọn chế độ theo điều này.
2.1. Nếu có một chế độ ưu tiên cho phép xe thực hiện theo chu trình thử chuẩn thì phải chọn chế độ này.
2.2. Nếu không có chế độ ưu tiên hoặc nếu có chế độ ưu tiên nhưng chế độ này không cho phép xe thực hiện chu trình thử nghiệm chuẩn thì chế độ thử nghiệm phải được chọn theo các điều kiện sau:
(a) Nếu chỉ có một chế độ cho phép xe thực hiện chu trình thử chuẩn thì chọn chế độ này;
(b) Nếu một số chế độ có khả năng tuân theo chu trình thử chuẩn và không có chế độ nào trong số đó là chế độ khởi động có thể đặt cấu hình được thì phải chọn chế độ trong trường hợp xấu nhất về mức tiêu thụ điện năng của các chế độ đó;
(c) Nếu một số chế độ có khả năng tuân theo chu trình thử chuẩn và ít nhất hai trong số các chế độ đó là chế độ khởi động có thể đặt cấu hình được thì chế độ trong trường hợp xấu nhất về tiêu thụ điện năng phải được chọn từ các chế độ khởi động có thể đặt cấu hình được này.
2.3. Nếu không có chế độ theo 2.1 và 2.2 của phụ lục này cho phép xe tuân theo chu trình thử chuẩn thì chu trình thử chuẩn phải được sửa đổi theo Điều 9 của Phụ lục B1. Kết quả chu trình thử phải được đặt tên là chu trình thử WLTP có thể áp dụng:
(a) Nếu có một chế độ ưu tiên cho phép xe thực hiện chu trình thử chuẩn đã sửa đổi thì phải chọn phương thức này;
(b) Nếu không có chế độ ưu tiên nhưng có các chế độ khác cho phép xe thực hiện chu trình thử chuẩn đã sửa đổi thì phải chọn chế độ trường hợp xấu nhất về tiêu thụ điện năng của các chế độ đó. Trong trường hợp có ít nhất hai hoặc nhiều chế độ khởi động có thể cấu hình được thì chế độ trong trường hợp xấu nhất về mức tiêu thụ điện năng phải được chọn từ các chế độ khởi động có thể cấu hình được này;
(c) Nếu không có chế độ nào cho phép xe thực hiện chu trình thử chuẩn đã sửa đổi thì chế độ hoặc các chế độ có nhu cầu năng lượng chu trình cao nhất phải được xác định và phương thức trong trường hợp xấu nhất về tiêu thụ điện năng phải được chọn.

Hình B7-4/1a - Lựa chọn chế độ người lái chọn cho PEVs

Hình B7-4/1b - PEV: chế độ chuyển đổi có thể lựa chọn
Phụ lục B7-5
(Quy định)
Tính toán các giá trị bổ sung được yêu cầu để kiểm tra sự phù hợp của sản xuất tiêu thụ điện năng của PEV
1 PEV
1.1 Giá trị sau đây phải được xác định và sử dụng làm giá trị chuẩn để kiểm tra xác nhận sự phù hợp của sản xuất:
Trong trường hợp áp dụng phương pháp nội suy,
![]()
Trong trường hợp không áp dụng phương pháp nội suy,
![]()
Trong đó:
| ECDC-ind,COP | mức tiêu thụ điện năng chuẩn của một xe riêng lẻ để phù hợp với sản xuất, Wh/km; |
| ECDC-L,COP | mức tiêu thụ điện năng của xe L được xác định theo Điều 1.2 của phụ lục này, Wh/km; |
| ECDC-H,COP | mức tiêu thụ điện năng của xe H được xác định theo Điều 1.2 của phụ lục này, Wh/km; |
| ECDC-i,COP | mức tiêu thụ điện năng của xe i được xác định theo Điều 1.2 của phụ lục này, Wh/km; |
| Kind | hệ số nội suy cho từng xe được xem xét trong chu trình phép thử WLTP được áp dụng, theo 4.3.2 của Phụ lục B7. |
1.2 Tính toán ECDC-L,COP, ECDC-H,COP và ECDC-i,COP
![]()
Trong đó:
| i | đại diện - trong trường hợp phương pháp nội suy được áp dụng - chỉ số L cho xe L và chỉ số H cho xe H. Trong trường hợp không áp dụng phương pháp nội suy, chỉ số i đại diện cho xe được thử nghiệm. |
| ECDC-i,COP | mức tiêu thụ điện năng phù hợp của xe i dựa trên mức suy giảm REESS của chu trình thử nghiệm WLTC áp dụng đầu tiên, Wh/km; |
| ECDC,first,i | mức tiêu thụ điện năng trung bình đo được của xe i dựa trên mức suy giảm REESS của chu trình thử WLTC áp dụng đầu tiên theo 4.3 của Phụ lục B7, Wh/km; |
| AFEC,i | hệ số điều chỉnh của xe i theo Bảng B7/4 cho chu trình thử liên tiếp kiểu I hoặc Bảng B7/5 cho chu trình thử kiểu I rút gọn. |
Phụ lục C
(Quy định)
Quy trình thử khi để xác định các hệ số chạy rà
1 Mô tả quy trình thử để xác định các hệ số chạy rà
1.1 Quy trình thử nghiệm chạy rà phải do nhà sản xuất thực hiện và không được thực hiện bất kỳ điều chỉnh nào đối với xe thử nghiệm có ảnh hưởng đến chỉ tiêu mức tiêu thụ điện năng. Việc hiệu chuẩn phần cứng và ECU liên quan của xe thử nghiệm phải phù hợp với loại xe được phê duyệt. Tất cả phần cứng liên quan có tác động đến tiêu chí mức tiêu thụ điện năng phải không được vận hành trước quy trình thử nghiệm chạy rà.
1.2 Xe thử nghiệm phải có cấu hình là xe H trong họ COP.
Nếu họ COP có nhiều họ nội suy thì xe thử nghiệm phải được cấu hình là xe H thuộc họ nội suy với sản lượng sản xuất dự kiến cao nhất trong họ COP. Theo yêu cầu của nhà sản xuất và được sự chấp thuận của cơ quan có thẩm quyền, có thể chọn xe thử nghiệm khác.
1.3 Xe thử nghiệm phải là xe mới, hoặc xe thử nghiệm đã qua sử dụng và được lắp mới đồng thời ít nhất tất cả các bộ phận sau:
(a) Các bộ phận của đường dẫn động (ít nhất nhưng không giới hạn ở hộp số, lốp, trục, v.v.);
(b) Các bộ phận phanh;
(c) REESS cho xe điện;
và bất kỳ thành phần nào khác có ảnh hưởng không đáng kể đến tiêu chí tiêu thụ điện năng.
Đối với xe mới hoặc xe đã qua sử dụng đã được thay thế các bộ phận nêu trên thì hệ thống đồng hồ đo quãng đường của xe thử nghiệm Ds tính bằng km phải ghi lại.
1.4 Theo yêu cầu của nhà sản xuất và được cơ quan có thẩm quyền chấp thuận, cho phép thực hiện quy trình chạy rà trên nhiều xe thử nghiệm. Trong trường hợp này, kết quả thử nghiệm hợp lệ của tất cả các xe được thử nghiệm phải được xem xét để xác định hệ số chạy rà.
1.5 Chỉnh đặt băng thử động lực
1.5.1 Băng thử động lực phải được chỉnh đặt theo lực cản trên đường mục tiêu cho xe thử nghiệm, theo quy trình quy định tại Điều 7 của Phụ lục B3.
Băng thử động lực phải được chỉnh đặt độc lập trước mỗi lần thử trước khi tích lũy quãng đường chạy rà và phải được chỉnh đặt một lần cho các phép thử sau chạy rà sau khi tích lũy quãng đường chạy rà.
1.6 Trước khi chạy rà, xe thử phải được thử nghiệm theo quy trình phép thử kiểu I được quy định tại Phụ lục B5 và Phụ lục B7. Phép thử phải được lặp lại cho đến khi thu được ba kết quả thử hợp lệ. Các chỉ số chu trình chạy phải được tính toán theo Điều 3 của Phụ lục B6 và các chỉ số này phải đáp ứng các tiêu chí quy định trong 2.6.7.3.1.4 của Phụ lục B5. Việc chỉnh đặt đồng hồ đo quãng đường Di của hệ thống phải được ghi lại trước mỗi lần thử.
Tín hiệu của vị trí điều khiển gia tốc phải được ghi lại trong tất cả các phép thử ở tần số lấy mẫu là 10 Hz. Cho phép sử dụng tín hiệu vị trí điều khiển gia tốc OBD cho mục đích này. Có thể yêu cầu nhà sản xuất đánh giá tín hiệu này để đảm bảo rằng kết quả thử nghiệm được thực hiện chính xác.
1.7 Sau các phép thử ban đầu, xe thử nghiệm phải được chạy rà trong điều kiện vận hành bình thường. Khoảng cách chạy rà phải nhỏ hơn hoặc tương đương với khoảng cách được lái trong quá trình chạy rà của xe đã được thử nghiệm để phê duyệt kiểu của họ nội suy, theo 2.3.3 của Phụ lục B5 hoặc Điều 2 của Phụ lục B7.
1.8 Sau khi chạy rà, xe thử phải được thử nghiệm theo quy trình phép thử kiểu I quy định tại Phụ lục B5 và Phụ lục B7. Phép thử phải được lặp lại cho đến khi thu được ba kết quả thử nghiệm hợp lệ.
Các chỉ số chu trình chạy xe phải được tính toán theo Điều 3 của Phụ lục B6 và các chỉ số này phải đáp ứng các tiêu chí quy định trong 2.6.7.3.1.4 của Phụ lục B5.
Các phép thử này phải được thực hiện trong cùng một phòng thử nghiệm như đã sử dụng cho các phép thử trước khi chạy rà và bằng cách áp dụng cùng một phương pháp chỉnh đặt băng thử động lực. Nếu điều này không thể thực hiện được thi nhà sản xuất phải giải thích lý do sử dụng phòng thử nghiệm khác. Việc chỉnh đặt đồng hồ đo quãng đường của hệ thống Di tính bằng km phải được ghi lại trước mỗi lần kiểm tra. Các tiêu chí đo lường về mức tiêu thụ điện năng, nếu có và phù hợp với 8.2.4.1 của tiêu chuẩn này.
1.9 Để xác định Hệ số chạy rà RIEC(j) cho mức tiêu thụ điện năng của phép thử WLTP 4 pha, các hệ số CRI và Cconst trong phương trình sau phải được tính toán bằng phân tích hồi quy bình phương nhỏ nhất đến bốn chữ số có nghĩa trên tất cả các phép thử hợp lệ trước và sau khi chạy rà:
![]()
Trong đó:
| MEC,i | lượng điện năng tiêu thụ đo được đối với thử nghiệm thứ i, W/km; |
| CRI | độ dốc của đường hồi quy lôgarit; |
| Cconst | giá trị không đổi của đường hồi quy lôgarit. |
Trong trường hợp thử nghiệm nhiều xe, CRI phải được tính cho từng xe và các giá trị thu được phải được tính trung bình. Nhà sản xuất phải cung cấp bằng chứng thống kê cho cơ quan có thẩm quyền rằng sự phù hợp đã được chứng minh đầy đủ về mặt thống kê.
Với tiêu thụ điện năng từ 3 pha đầu tiên của phép thử WLTP, hệ số chạy rà RIEC(j) cho mức tiêu thụ điện năng phải được xác định theo quy trình quy định tại 1.9 và 1.10 của phụ lục này.
1.9.1 Dựa trên độ lệch của các phép đo so với độ phù hợp độ (σfit), độ dốc CRI phải được hiệu chỉnh giảm xuống với độ lệch chuẩn của các sai số trong độ phù hợp:
![]()
Trong đó:
MEC,i-fit kết quả của việc áp dụng phương trình cho từng khoảng cách Di.
Độ dốc CRI phải được hiệu chỉnh đối với độ không đảm bảo vệ độ phù hợp bằng cách:
CRI → CRI - σfit
1.10 Hệ số chạy rà RIEC(j) đối với tiêu thụ điện năng sau 4 pha của thử nghiệm COP cho xe j phải được xác định theo công thức sau:
![]()
Trong đó
Dk khoảng cách trung bình của các lần thử nghiệm hợp lệ sau lần chạy rà, km;
Dj giá trị chỉnh đặt đồng hồ đo hệ thống của xe thử nghiệm COP, km;
MEC,j lượng điện năng tiêu thụ đo được trên xe thử nghiệm COP, w/km.
Trong trường hợp dj thấp hơn Di nhỏ nhất thì Dj phải được thay thế bằng Di nhỏ nhất.
2. Trước khi áp dụng hệ số chạy rà, nhà sản xuất phải cung cấp thông tin sau cho cơ quan có thẩm quyền
(a) Bằng chứng về hệ số chạy rà bao gồm sự tồn tại của ý nghĩa thống kê liên quan đến sự phù hợp của độ dốc
(b) Giải thích về phương pháp xác nhận phải được sử dụng sau khi bắt đầu sản xuất, ví dụ: bằng cách đo hệ số chạy rà từ (các) xe được chọn từ nhà máy và sau đó đánh giá xem hệ số chạy rà có phù hợp hay không.
Phụ lục D
(Quy định)
Thiết bị giám sát mức tiêu thụ điện năng trên xe
1 Giới thiệu
Phụ lục này đưa ra các định nghĩa và yêu cầu áp dụng cho các thiết bị giám sát mức tiêu thụ điện năng trên xe.
2 Định nghĩa
2.1 Thiết bị giám sát mức tiêu thụ năng lượng trên xe (On-board Energy Consumption Monitoring Device) ("thiết bị OBFCM"): Bất kỳ thành phần thiết kế nào, phần mềm và/hoặc phần cứng, có chức năng cảm biến và sử dụng các thông số điện năng, xe để xác định và cung cấp ít nhất những thông tin nêu tại Điều 3 của phụ lục này và lưu trữ giá trị tuổi thọ trên xe.
2.2 Tuổi thọ (lifetime): Giá trị của một đại lượng nào đó được xác định và lưu trữ tại thời điểm t phải là giá trị của đại lượng này được tích lũy kể từ khi xe đưa vào sử dụng cho đến thời điểm t.
2.3 Tổng quãng đường đã chạy (tuổi thọ) (Total Distance Travelled (lifetime): Quãng đường tích lũy đã đi bằng cách sử dụng cùng một nguồn dữ liệu mà đồng hồ đo quãng đường của xe sử dụng.
3 Thông tin chung được xác định, lưu trữ và cung cấp
Thiết bị OBFCM phải xác định ít nhất các thông số sau và lưu trữ các giá trị trọn đời trên xe. Các thông số phải được tính toán và được chia quy mô theo các tiêu chuẩn nêu tại ISO 15031-5.
Thông tin được liệt kê trong 3.1 phải được cung cấp dưới dạng tín hiệu thông qua đầu nối cổng nối tiếp được đề cập trong ISO 15031-3.
Mục lục
Lời nói đầu
1 Phạm vi áp dụng
2 Tài liệu viện dẫn
3 Thuật ngữ, định nghĩa và các chữ viết tắt
4 Tài liệu kỹ thuật và xe mẫu để kiểm tra, thử nghiệm
5 Phê duyệt (dự phòng)
6 Yêu cầu kỹ thuật và các phép thử
Phụ lục A (Quy định) Phép thử kiểu I kiểm tra xác nhận COP về mức tiêu thụ điện năng của PEV
Phụ lục A1 (Quy định) Đặc tính của động cơ và xe
Phụ lục A1 -1 (Quy định) Báo cáo phép thử WLTP
Phụ lục A1 -2 (Quy định) Kết quả thử lực cản trên đường WLTP
Phụ lục A1-3 (Quy định) Phiếu thử nghiệm WLTP
Phụ lục A2 (Tham khảo) Thông tin
Phụ lục B (Quy định) Kiểm tra xác nhận COP đối với phép thử kiểu I - Phương pháp thống kê
Phụ lục B1 (Quy định) Chu trình thử xe hạng nhẹ hài hòa thế giới (WLTC)
Phụ lục B2 (Quy định) Lựa chọn số và xác định điểm chuyển số cho ô tô trang bị hộp số cơ khí
Phụ lục B3 (Quy định) Chỉnh đặt lực cản trên đường và băng thử
Phụ lục B4 (Quy định) Thiết bị thử nghiệm và hiệu chuẩn
Phụ lục B5 (Quy định) Quy trình và điều kiện phép thử kiểu I
Phụ lục B6 (Quy định) Tính toán
Phụ lục B7 (Quy định) Xe chạy thuần điện - PEV
Phụ lục B7-1 (Quy định) Mô tả trạng thái sạc REESS
Phụ lục B7-2 (Quy định) Xác định dòng điện và điện áp của REESS cho PEV
Phụ lục B7-3 (Quy định) Điều kiện thuần hoá, ngâm và sạc REESS cho PEV
Phụ lục B7-4 (Quy định) Lựa chọn các chế độ do người lái xe chọn
Phụ lục B7-5 (Quy định) Tính toán các giá trị bổ sung được yêu cầu đề kiểm tra sự phù hợp của sản xuất tiêu thụ điện năng của PEV
Phụ lục C (Quy định) Quy trình thử khi để xác định các hệ số chạy rà
Phụ lục D (Quy định) Thiết bị giám sát mức tiêu thụ điện năng trên xe
Bạn chưa Đăng nhập thành viên.
Đây là tiện ích dành cho tài khoản thành viên. Vui lòng Đăng nhập để xem chi tiết. Nếu chưa có tài khoản, vui lòng Đăng ký tại đây!
