- Tổng quan
- Nội dung
- Tiêu chuẩn liên quan
- Lược đồ
- Tải về
Tiêu chuẩn quốc gia TCVN 14262:2024 Phân bón - Định lượng Lactobacillus plantarum/Lactobacillus acidophilus bằng kỹ thuật đếm khuẩn lạc và real-time PCR
| Số hiệu: | TCVN 14262:2024 | Loại văn bản: | Tiêu chuẩn Việt Nam |
| Cơ quan ban hành: | Bộ Khoa học và Công nghệ | Lĩnh vực: | Công nghiệp , Nông nghiệp-Lâm nghiệp |
| Trích yếu: | Phân bón - Định lượng Lactobacillus plantarum/Lactobacillus acidophilus bằng kỹ thuật đếm khuẩn lạc và real-time PCR | ||
|
Ngày ban hành:
Ngày ban hành là ngày, tháng, năm văn bản được thông qua hoặc ký ban hành.
|
31/12/2024 |
Hiệu lực:
|
Đã biết
|
| Người ký: | Đang cập nhật |
Tình trạng hiệu lực:
Cho biết trạng thái hiệu lực của văn bản đang tra cứu: Chưa áp dụng, Còn hiệu lực, Hết hiệu lực, Hết hiệu lực 1 phần; Đã sửa đổi, Đính chính hay Không còn phù hợp,...
|
Đã biết
|
TÓM TẮT TIÊU CHUẨN VIỆT NAM TCVN 14262:2024
Tiêu chuẩn quốc gia TCVN 14262:2024 về định lượng Lactobacillus trong phân bón
Ngày 31/12/2024, Bộ Khoa học và Công nghệ đã công bố Tiêu chuẩn quốc gia TCVN 14262:2024 về "Phân bón - Định lượng Lactobacillus plantarum/Lactobacillus acidophilus bằng kỹ thuật đếm khuẩn lạc và real-time PCR". Tiêu chuẩn này sẽ có hiệu lực ngay sau khi công bố.
Tiêu chuẩn này quy định phương pháp định lượng hai loại vi khuẩn Lactobacillus plantarum và Lactobacillus acidophilus có trong phân bón và nguyên liệu sản xuất phân bón. Phương pháp sử dụng là đếm khuẩn lạc và kỹ thuật real-time PCR nhằm xác định chính xác số lượng của các vi khuẩn này.
Phạm vi áp dụng
Tiêu chuẩn quy định cách thức kiểm tra, xác định và định lượng Lactobacillus trong các mẫu phân bón vi sinh nhằm đảm bảo chất lượng sản phẩm trước khi đưa ra thị trường.
Phương pháp định lượng
Phương pháp thực hiện bao gồm:
- Đếm số lượng khuẩn lạc L. plantarum và L. acidophilus giả định qua đĩa thạch mMRS - BPB và nhuộm Gram.
- Sử dụng kỹ thuật real-time PCR để xác định chắc chắn khuẩn lạc L. plantarum và L. acidophilus.
Thiết bị và dụng cụ cần thiết
Một số thiết bị yêu cầu bao gồm tủ cấy vô trùng, nồi hấp áp lực, máy trộn mẫu, máy chu trình nhiệt thực hiện real-time PCR, và kính hiển vi. Các dụng cụ cần thiết khác bao gồm ống ly tâm, que cấy vi sinh, đĩa Petri và dụng cụ ly tâm.
Môi trường và hóa chất sử dụng
Mẫu chuẩn, môi trường nuôi cấy và thuốc thử cần tuân thủ theo các tiêu chuẩn hiện hành, đảm bảo độ tinh khiết và chất lượng trong quá trình thực hiện.
Cách tiến hành thử nghiệm
Quá trình thử nghiệm bao gồm việc pha loãng mẫu, cấy trải trên đĩa thạch mMRS - BPB và theo dõi sự phát triển của khuẩn lạc. Khuẩn lạc nghi ngờ sẽ được xác định và tiến hành tách chiết ADN để phục vụ cho quy trình PCR nhằm phân tích và xác định các vi khuẩn.
Kết quả và báo cáo thử nghiệm
Kết quả định lượng phải được làm tròn đến một chữ số sau dấu phẩy, và biểu thị dưới dạng CFU trên mililit hoặc gam. Báo cáo thử nghiệm cần bao gồm thông tin chi tiết về mẫu, phương pháp lấy mẫu, kết quả thử nghiệm và các thông số không quy định khác nếu có.
Tiêu chuẩn này là cơ sở quan trọng trong việc kiểm tra chất lượng sản phẩm phân bón có sử dụng vi khuẩn Lactobacillus, nhằm nâng cao hiệu quả sản xuất nông nghiệp và bảo vệ môi trường.
Tải tiêu chuẩn Việt Nam TCVN 14262:2024
TIÊU CHUẨN QUỐC GIA
TCVN 14262:2024
PHÂN BÓN - ĐỊNH LƯỢNG LACTOBACILLUS PLANTARUM / LACTOBACILLUS ACIDOPHILUS BẰNG KỸ THUẬT ĐẾM KHUẨN LẠC VÀ REAL-TIME PCR
Fertilizer - Enumeration of Lactobacillus plantarum / Lactobacillus acidophilus - The plate count and real-time PCR method
Lời nói đầu
TCVN 14262:2024 do Trường Đại học Khoa học Tự nhiên biên soạn, Bộ Nông nghiệp và Phát triển nông thôn đề nghị, Bộ Khoa học và Công nghệ thẩm định, công bố.
PHÂN BÓN - ĐỊNH LƯỢNG LACTOBACILLUS PLANTARUM / LACTOBACILLUS ACIDOPHILUS BẰNG KỸ THUẬT ĐẾM KHUẨN LẠC VÀ REAL-TIME PCR
Fertilizer - Enumeration of Lactobacillus plantarum / Lactobacillus acidophilus - The plate count and real-time PCR method
1 Phạm vi áp dụng
Tiêu chuẩn này quy định phương pháp định lượng Lactobacillus plantarum / Lactobacillus acidophilus trong phân bón và nguyên liệu sản xuất phân bón bằng kỹ thuật đếm khuẩn lạc và real-time PCR. Tiêu chuẩn này sử dụng quy trình real-time PCR cho phép thử khẳng định L. plantarum /L. acidophilus.
2 Tài liệu viện dẫn
Các tài liệu viện dẫn sau là rất cần thiết cho việc áp dụng tiêu chuẩn này. Đối với các tài liệu viện dẫn ghi năm công bố thì áp dụng phiên bản được nêu. Đối với các tài liệu viện dẫn không ghi năm công bố thì áp dụng phiên bản mới nhất, bao gồm cả các sửa đổi, bổ sung (nếu có).
TCVN 6166, Phân bón vi sinh vật cố định nitơ.
TCVN 6404 (ISO 7218), Vi sinh vật trong thực phẩm và thức ăn chăn nuôi. Yêu cầu chung và hướng dẫn kiểm tra vi sinh vật.
TCVN 7682 (ISO 20838), Vi sinh vật trong thực phẩm và thức ăn chăn nuôi. Phản ứng chuỗi Polymeraza (PCR) để phát hiện sinh vật gây bệnh từ thực phẩm. Yêu cầu về khuếch đại và phát hiện đối với các phương pháp định tính.
TCVN 8128 (ISO 11133), Vi sinh vật trong thực phẩm, thức ăn chăn nuôi và nước. Chuẩn bị, sản xuất, bảo quản và thử hiệu năng của môi trường nuôi cấy.
TCVN 11133 (ISO 22119), Vi sinh vật trong thực phẩm và thức ăn chăn nuôi - Phản ứng chuỗi polymerase real-time (PCR real-time) để phát hiện vi sinh vật gây bệnh từ thực phẩm - Định nghĩa và yêu cầu chung.
TCVN 11134 (ISO 22174), Vi sinh vật trong thực phẩm và thức ăn chăn nuôi. Phản ứng chuỗi polymerase (PCR) để phát hiện vi sinh vật gây bệnh từ thực phẩm. Định nghĩa và yêu cầu chung.
TCVN 11925 (ISO 20837), Vi sinh vật trong thực phẩm và thức ăn chăn nuôi. Phản ứng chuỗi Polymerase (PCR) để phát hiện vi sinh vật gây bệnh từ thực phẩm. Yêu cầu về chuẩn bị mẫu để phát hiện định tính.
TCVN 12105, Phân bón vi sinh vật. Lấy mẫu.
TCVN 13637 (ISO 21148), Mỹ phẩm. Vi sinh vật. Hướng dẫn chung về kiểm tra chỉ tiêu vi sinh vật.
3 Thuật ngữ và định nghĩa
Trong tiêu chuẩn này áp dụng các thuật ngữ, định nghĩa sau:
3.1
Khuẩn lạc L. plantarum / L. acidophilus giả định (Putative L. plantarum /L. acidophilus CFU - PLC) khuẩn lạc mang các đặc điểm phù hợp với các mô tả (8.2) về khuẩn lạc của L. plantarum/L. acidophilus trên môi trường mMRS - BPB, khi tiến hành thử nghiệm theo tiêu chuẩn này và chưa qua phép thử khẳng định.
3.2
Phép thử khẳng định L. plantarum /L. acidophilus (L. plantarum /L. acidophilus confirmation) phương pháp xác định khuẩn lạc L. plantarum /L. acidophilus giả định (3.1) là đúng hay sai, khi tiến hành thử nghiệm theo tiêu chuẩn này.
3.3
Lactobacillus plantarum / Lactobacillus acidophilus
vi khuẩn hình thành khuẩn lạc L. plantarum /L. acidophilus giả định trên môi trường mMRS - BPB và được khẳng định đúng với phép thử khẳng định L. plantarum /L. acidophilus, khi tiến hành thử nghiệm theo tiêu chuẩn này.
3.4
Real-time PCR
phản ứng tổng hợp chuỗi polymerase thời gian thực cho phép theo dõi sự gia tăng và định lượng DNA mục tiêu trong mẫu thử trong suốt thời gian thực tế diễn ra phản ứng nhờ vào công nghệ phát huỳnh quang.
3.5
Định lượng L. plantarum / L. acidophilus (L. plantarum /L. acidophilus enumeration) xác định số lượng đơn vị hình thành khuẩn lạc L. plantarum / L. acidophilus (3.3) có trong một khối lượng hoặc thể tích cụ thể của phân bón, nguyên liệu sản xuất phân bón, khi tiến hành các thử nghiệm theo tiêu chuẩn này.
3.6
Giá trị chu kỳ ngưỡng (Threshold cycle value - Ct)
giá trị chu kỳ mà tại đó tín hiệu huỳnh quang được tạo ra vượt qua ngưỡng huỳnh quang nền, trong quy trình real-time PCR (phản ứng tổng hợp chuỗi polymerase thời gian thực).
3.7
Đường cong nóng chảy (Melting curve)
đồ thị biểu diễn sự thay đổi của nhiệt độ trong các bước của quy trình real-time PCR. Đỉnh cao nhất của đường cong nóng chảy thể hiện giá trị Tm, đại diện cho mẫu nghiên cứu.
3.8
Giá trị Tm (Tm value)
điểm nhiệt độ mà tại đó 50 % sợi đôi ADN phân tách nhau và tạo thành sợi đơn.
4 Nguyên tắc
Định lượng L. plantarum/L. acidophilus trong phân bón, nguyên liệu sản xuất phân bón bằng phương pháp đếm khuẩn lạc và khẳng định bằng kỹ thuật real-time PCR với quy trình như sau:
- Đếm số lượng khuẩn lạc L. plantarum /L. acidophilus giả định PLC, trên đĩa thạch mMRS - BPB và nhuộm Gram (đối với L. plantarum);
- Thực hiện phép thử khẳng định khuẩn lạc L. plantarum /L. acidophilus;
- Khẳng định số lượng khuẩn lạc đúng L. plantarum /L. acidophilus (3.3) dựa theo giá trị Ct;
- Từ số lượng khuẩn lạc đã khẳng định, áp dụng công thức tính để định lượng L. plantarum / L. acidophilus.
5 Thiết bị, dụng cụ
Sử dụng các thiết bị của phòng thử nghiệm vi sinh và các thiết bị, dụng cụ sau:
5.1 Thiết bị
5.1.1 Tủ cấy vô trùng, tủ cấy vi sinh, luồng không khí thổi theo chiều dọc.
5.1.2 Nồi hấp áp lực, có nhiệt độ hơi nước bão hòa trong buồng có khả năng duy trì nhiệt độ ở 121 °C ± 3 °C tương ứng áp suất tối thiểu 101,3 kPa.
5.1.3 Cân kỹ thuật, có độ chính xác đến 0,01 g.
5.1.4 Tủ ấm, thông gió đối lưu, có thể duy trì ở nhiệt độ từ 25 °C đến 40 °C, độ chính xác đến 1 °C.
5.1.5 Tủ lạnh, với ngăn đông duy trì nhiệt độ ổn định ở âm 20 °C ± 1 °C và ngăn lạnh duy trì nhiệt độ ổn định ở 4 °C ± 1 °C.
5.1.6 Bể ổn nhiệt, có khả năng điều chỉnh tự động về nhiệt độ từ 0 °C đến 100 °C, độ chính xác đến 1 °C.
5.1.7 Máy trộn mẫu (máy vortex), có khả năng khuấy trộn mẫu đồng đều.
5.1.8 Máy quang phổ, định lượng ADN/ARN có phạm vi bước sóng từ 200 nm đến 850 nm, độ chính xác bước sóng 1 nm.
5.1.9 Máy đo pH, có độ chính xác đến ± 0,01 đơn vị pH ở nhiệt độ phòng.
5.1.10 Máy chu trình nhiệt (máy real-time PCR), phần nhiệt với khả năng luân nhiệt ở nhiệt độ khác nhau trong phạm vi từ 4 °C đến 115 °C một cách chính xác và quá trình luân nhiệt này được lặp đi lặp lại từ 30 đến 45 chu kỳ. Phần quang dùng để ghi nhận (detector) nhiều tín hiệu quang phát ra cùng lúc.
5.1.11 Máy ly tâm, có thể ly tâm với gia tốc 6 000 g và 20 000 g.
5.1.12 Bình nuôi kị khí, hoặc túi kị khí tạo không khí thích hợp để nuôi cấy vi sinh vật kị khí.
5.1.13 Kính hiển vi quang học, có vật kính dầu độ phóng đại 100 X.
5.2 Dụng cụ
5.2.1 Ống ly tâm, 1,5 mL.
5.2.2 Bộ Pipet, cho các kích cỡ từ 1 μL đến 10 μL, 20 μL đến 200 μL, 100 μL đến 1000 μL
5.2.3 Đầu côn, 1 mL; 200 μL; 20 μL; 10 μL.
5.2.4 Ống real-time PCR, thể tích từ 100 μL đến 200 μL.
5.2.5 Bình thủy tinh có nút vặn, thể tích phù hợp (100 mL, 250 mL, 500 mL, 1000 mL).
5.2.6 Bình định mức, 500 mL, 1000 mL.
5.2.7 Que cấy vi sinh, bằng thủy tinh hoặc bằng chất dẻo hoặc bằng thép.
5.2.8 Ống falcon, có nắp vặn, vô trùng và có dung tích 50 ml.
5.2.9 Đĩa Petri, đường kính từ 90 mm đến 100 mm.
5.2.10 Đèn cồn
5.2.11 Khay đá, giữ lạnh mẫu.
5.2.12 Que dàn mẫu, bằng thủy tinh hoặc bằng chất dẻo hoặc bằng thép.
6 Môi trường, thuốc thử và vật liệu thử
6.1 Yêu cầu chung
Nước, thuốc thử và vật liệu thử cho quy trình nuôi cấy vi sinh và real-time PCR theo TCVN 8128 (ISO 11133) và TCVN 11133 (ISO 22119).
Khuyến nghị sử dụng thuốc thử thương mại cho quy trình real-time PCR với thuốc nhuộm SYBR Green (SYBR Green Master Mix)[1]. Việc pha chế, bảo quản và sử dụng thuốc thử phải tuân thủ theo hướng dẫn của nhà sản xuất.
6.2 Môi trường thạch mMRS - BPB (De Man Rogosa Sharpe - bromophenol blue agar)
6.2.1 Thành phần
Thành phần môi trường mMRS - BPB để nuôi cấy L. plantarum /L. acidophilus bao gồm:
| Peptone | 10 g |
| Cao nấm men | 15 g |
| Đường Dextrose | 20 g |
| Polysorbate 80 | 1 g |
| Sodium acetate | 5 g |
| Magnesium sulphate | 0,1 g |
| Manganese sulphate | 0,05 g |
| Dipotassium phosphate | 2 g |
| L-cystein | 0,5 g |
| Bromophenol blue | 0,02 g |
| Bột thạch | 12g |
| Nước | 1000 mL |
pH 6,5 ± 0,2 ở nhiệt độ phòng (25 °C)
6.2.2 Chuẩn bị
Cân và hòa tan các thành phần trong nước theo thứ tự đã liệt kê tại 6.2.1;
Điều chỉnh pH sao cho sau khi khử trùng, dung dịch có pH là 6,5 ± 0,2 ở 25 °C, nếu cần;
Phân phối môi trường với lượng thích hợp vào các bình thủy tinh (5.2.5). Không vặn chặt nắp bình thủy tinh. Khử trùng 15 phút, trong nồi hấp áp lực (5.1.2) ở 121 °C;
Sau khi khử trùng, làm nguội trong khoảng từ 44 °C đến 47 °C; phân phối lượng khoảng từ 18 mL đến 20 mL môi trường vào các đĩa Petri (5 2.9) đã được chuẩn bị và để cho đông đặc. Các thao tác được tiến hành trong tủ cấy vô trùng (5.1.1);
Khi môi trường đã đông đặc, làm khô bề mặt thạch trước khi sử dụng (đảm bảo không có các giọt nước trên bề mặt môi trường) bằng cách lật úp các đĩa thạch và để trong tủ ấm (5.1.4) ở nhiệt độ từ 25 °C đến 35 °C trong 25 min đến 30 min hoặc để qua đêm.
6.3 Dung dịch pha loãng
Chuẩn bị dung dịch pha loãng Natri clorua (NaCl) từ 0,85 % đến 0,9 % theo TCVN 6166.
CHÚ THÍCH: Có thể sử dụng dung dịch NaCl 0.9 % thương mại có sẵn.
6.4 Hóa chất nhuộm Gram
Bộ thuốc nhuộm Gram cho vi khuẩn của các hãng được cung cấp trên thị trường. Tùy thuộc vào điều kiện thực tế để lựa chọn hóa chất phù hợp và làm theo hướng dẫn của nhà sản xuất. Hoặc làm theo mô tả trong TCVN 13637:2023 (ISO 21148).
6.5 Cặp mồi real-time PCR
Cặp mồi được thiết kế và kiểm tra tính đặc hiệu theo TCVN 7682 (ISO 20838).
Cặp mồi đặc hiệu khuếch đại đoạn ADN dài 142 bp sử dụng cho phép thử khẳng định L. plantarum và cặp mồi đặc hiệu khuếch đại đoạn ADN dài 75 bp sử dụng cho phép thử khẳng định L. acidophilus (3.2) bằng quy trình real-time PCR, với trình tự mồi (5' - 3') được thể hiện trong Bảng 1.
Bảng 1 - Danh sách mồi đặc hiệu phát hiện L. plantarum /L. acidophilus
| Tên mồi | Trình tự mồi 5'- 3' | Ghi chú |
| qPCR.Lac.F3 | GGTCACGGTATTACTGTCGCA | Mồi đặc hiệu cho L. plantarum |
| qPCR.Lac.R3 | ATCCGCATTACGCAAGAAATCAG | |
| qPCR.Lac.F4 | CGACTCGGTGAATAGTTGTTGC | Mồi đặc hiệu cho L. acidophilus |
| qPCR.Lac.R4 | CAGTCTGCTCCATCGTGAATG |
6.6 Vật liệu ADN
Vật liệu ADN sử dụng trong phép thử khẳng định L. plantarum/L. acidophilus (3.2) bao gồm ADN đối chứng dương (Positive control - PC), ADN đối chứng âm (Negative control - NC) và ADN từ khuẩn lạc L. plantarum /L. acidophilus giả định (mẫu thử - Testing colony - TC).
6.6.1 Đối chứng dương
Chủng chuẩn L. plantarum tiếp nhận từ bộ sưu tập chủng của Liên đoàn thế giới các Bảo tàng giống vi sinh vật (WFCC) hoặc Tổ chức Bảo tàng giống vi sinh vật châu Âu (ECCO) theo TCVN 8128 (ISO 11133).
CHÚ THÍCH 1: Chủng chuẩn L. plantarum được ghi nhận trên Trung tâm Thông tin Công nghệ Sinh học Quốc gia Mỹ (NCBI) bao gồm ATCC:14917, CCUG:30503, CIP:103151, DSM:20174, IFO:15891, JCM:1149, BCCM/LMG:6907, NBRC: 15891, NCIMB:11974, NRRLB-4496, CGMCC:1.2437, NCTC:13644, CECT748, BCCM/LMG:6907.
Chủng chuẩn L. acidophilus tiếp nhận từ bộ sưu tập chủng của Liên đoàn thế giới các Bảo tàng giống vi sinh vật (WFCC) hoặc Tổ chức Bảo tàng giống vi sinh vật châu Âu (ECCO) theo TCVN 8128 (ISO 11133).
CHÚ THÍCH 2: Chủng chuẩn L. acidophilus được ghi nhận trên Trung tâm Thông tin Công nghệ Sinh học Quốc gia Mỹ (NCBI) bao gồm DSM:20079, ATCC:4356, NCDO:1748, NCIB:8690, WDCM:00098, CCUG:5917, IFO:13951, CCM:4833, JCM:1132, BCRC:10695, CECT:903, CGMCC:1.1878, CIP:76.13, HAMBL84, KCTC:3111, KCTC:3164, LMG:13550, LMG:9433, NBRC:13951, NCCB:98067, NCFB:1748, NCIMB:8690, NCTC:12980, NRIC:1547, NRRLB- 23431, NRRLB-4239, NRRLB-4495, VKM:B-1660, VPI:6032, VTT:E-96276, IID:893, IMET:10710, PCM:249.
6.6.2 Đối chứng âm
Nước không chứa ADN/ARN hoặc ADN của các chủng không thuộc loài L. plantarum/L. acidophilus.
6.7 Thuốc thử để ngăn ngừa lây nhiễm chéo
Thuốc thử ngăn ngừa nhiễm chéo theo TCVN 7682:2007 (ISO 20838).
7 Lấy mẫu
Lấy mẫu phân bón vi sinh vật theo TCVN 12105. Mẫu gửi đến phòng thử nghiệm phải là mẫu đại diện và không bị hư hỏng hoặc biến đổi trong suốt quá trình vận chuyển và bảo quản.
8 Cách tiến hành
8.1. Pha loãng mẫu thử và cấy trải trên đĩa thạch
Thực hiện pha loãng mẫu thử và cấy trải dung dịch mẫu đã pha loãng trên đĩa thạch mMRS - BPB theo TCVN 6166, rồi chuyển các đĩa này vào bình nuôi kị khí (5.1.12) sau đó đặt trong tủ ấm (5.1.4) ở 37 °C ± 1 °C. Kiểm tra các đĩa nuôi cấy sau mỗi 24 h (trong 03 ngày), cho đến khi không thấy xuất hiện khuẩn lạc mới. Giữ lại các đĩa nuôi cấy có chứa ít hơn 200 khuẩn lạc để thực hiện việc nhận diện, đếm khuẩn lạc L. plantarum / L. acidophilus giả định (PLC) và thực hiện phép thử khẳng định L. plantarum / L. acidophilus.
8.2 Đếm khuẩn lạc L. plantarum / L. acidophilus giả định
Đĩa nuôi cấy được giữ lại (8.1) đạt yêu cầu cho công tác định lượng L. plantarum / L. acidophilus là đĩa có chứa các PLC (3.1) tách rời nhau (Phụ lục A.1).
Trong đĩa nuôi cấy có thể xuất hiện các khuẩn lạc mọc lan không mang các đặc điểm như mô tả cho L. plantarum /L. acidophilus (8.2). Nếu số khuẩn lạc mọc lan ít hơn một phần tư đĩa, thì đếm PLC trên phần đĩa không bị ảnh hưởng và tính bằng cách ngoại suy số đếm lý thuyết của các PLC cho toàn bộ đĩa. Nếu số khuẩn lạc mọc lan nhiều hơn một phần tư đĩa, thì không đếm PLC trên đĩa này.
Thực hiện đếm tất cả PLC trong các đĩa nuôi cấy giữ lại (8.1), ở 02 độ pha loãng liên tiếp, mỗi độ pha loãng đếm trên 02 đĩa. Ưu tiên đếm từ đĩa có độ pha loãng thấp nhất và có tối thiểu 05 PLC.
8.3 Phép thử khẳng định L. plantarum /L. acidophilus
8.3.1 Nhận diện khuẩn lạc nghi ngờ
Khuẩn lạc L. plantarum nghi ngờ trên môi trường mMRS - BPB có hình tròn, bề mặt trơn nhẵn cao ở giữa tạo tâm tròn, viền tròn đều, có tâm màu xanh dương đậm, viền trắng đến xám, kích thước khoảng từ 06 mm đến 15 mm sau 48h nuôi cấy.
Khuẩn lạc L. acidophilus nghi ngờ trên môi trường mMRS - BPB có khuẩn lạc màu xanh xám, bề mặt phẳng trơn nhẵn, viền không đều, kích thước khoảng từ 02 mm đến 03 mm sau 48h nuôi cấy.
CHÚ THÍCH: Khuẩn lạc của L. plantarum và khuẩn lạc của Pediococcus pentosaceus có hình thái tương đối giống nhau. Có thể phân biệt được 2 loài trên bằng phương pháp nhuộm Gram (L. plantarum có dạng hình que, P. pentosaceus có dạng hình cầu).
8.3.2 Nhuộm Gram đối với L. plantarum
Thực hiện nhuộm Gram và quan sát tế bào vi khuẩn quan sát dưới kính hiển vi. Chỉ giữ lại những khuẩn lạc nghi ngờ là trực khuẩn Gram (+), có màu xanh, dạng hình que riêng rẽ và không sinh bào tử để thực hiện 8.3.4.
8.3.3 Tách chiết ADN từ khuẩn lạc
Phương pháp này áp dụng cho tách chiết ADN vi khuẩn từ khuẩn lạc với đối chứng dương (6.6.1), đối chứng âm (6.6.2) và các khuẩn lạc L. plantarum /L. acidophilus giả định. Để ngăn ngừa nhiễm chéo, không thực hiện tách chiết ADN của đối chứng dương (6.6.1), đối chứng âm (6.6.2) và PLC (3.1) cùng thời điểm.
Các khuẩn lạc, mọc riêng rẽ trên đĩa nuôi cấy, được lấy bằng que cấy vi sinh (5.2.7), hoà tan khuẩn lạc trong 100 μL dung dịch pha loãng (6.2). Dùng máy trộn mẫu (5.1.7), trộn đều, mạnh, tạo huyền phù tế bào vi khuẩn. Sau đó thực hiện tiếp quy trình tách chiết ADN vi khuẩn bằng phương pháp sốc nhiệt theo TCVN 11925 (ISO 20837). Định lượng ADN và kiểm tra độ tinh sạch theo TCVN 11925 (ISO 20837).
ADN sau tách chiết bắt buộc bảo quản trong ngăn mát tủ lạnh (5.1.5) trong 24 h nếu sử dụng ngay cho phép thử khẳng định L. plantarum / L. acidophilus, hoặc lưu trong ngăn đông tủ lạnh (5.1.5) nếu chưa thực hiện phản ứng ngay.
8.3.4 Quy trình real-time PCR
Trên mỗi đĩa đã đếm PLC, chọn 05 khuẩn lạc có hình thái khuẩn lạc điển hình của L. plantarum như mô tả ở Điều 8.2 và 8.3.2 để tách chiết ADN theo quy trình được mô tả ở Điều 8.3.3.
Trên mỗi đĩa đã đếm PLC, chọn 05 khuẩn lạc có hình thái khuẩn lạc điển hình của L. acidophilus như mô tả ở 8.2 để tách chiết ADN theo quy trình được mô tả ở Điều 8.3.3.
Thuốc thử và vật liệu cho quy trình real-time PCR cần được rã đông hoàn toàn và giữ trong khay đá lạnh. Mỗi quy trình real-time PCR, ngoài mẫu TC, cần tiến hành song song 01 mẫu PC (6.6.1), 01 NC (6.6.2), và 01 mẫu nước không chứa ADN/ARN (Bảng 2).
Bảng 2 - Hỗn hợp thuốc thử cho một mẫu tham gia quy trình real-time PCR khẳng định khuẩn lạc L. plantarum
| Thành phần | Nồng độ cuối | Ghi chú |
| Nước |
| thêm vào cho đủ tổng thể tích phản ứng |
| qPCR.La.F3 | 0,15 pM/μL |
|
| qPCR.La.R3 | 0,15 pM/μL |
|
| SYBR Green Master Mix | 1x |
|
| ADN | 2,5 ng/μL |
|
Bảng 3 - Hỗn hợp thuốc thử cho một mẫu tham gia quy trình real-time PCR khẳng định khuẩn lạc L. acidophilus
| Thành phần | Nồng độ cuối | Ghi chú |
| Nước |
| thêm vào cho đủ tổng thể tích phản ứng |
| qPCR.La.F4 | 0,15 μM/μL |
|
| qPCR.La.R4 | 0,15 μM/μL |
|
| SYBR Green Master Mix | 1x |
|
| ADN | 2,5 ng/μL |
|
Đặt các ống real-time PCR đã hoàn thành bổ sung hỗn hợp thuốc thử vào máy chu trình nhiệt (7.2.1 TCVN 11133) và tiến hành cài đặt chu trình nhiệt, với 40 chu kỳ, theo hướng dẫn của nhà sản xuất thuốc thử SYBR Green Master Mix. Nhiệt độ gắn mồi của cặp mồi đặc hiệu trong phép thử này là 60 °C.
CHÚ THÍCH: Tham khảo Bảng 4 cho quy trình real-time PCR với chu trình nhiệt có phân tích đường cong nóng chảy
Bảng 4 - Chu trình nhiệt cho quy trình real-time PCR có phân tích đường cong nóng chảy
| Bước | Giai đoạn | Nhiệt độ (°C) | Thời gian | Số chu kỳ |
| 1 | Biến tính ban đầu | 95 | 10 min | 1 |
| 2 | Biến tính | 95 | 15 s | 40 |
| Gắn mồi | 60 | 30 s | ||
| Tổng hợp chuỗi | 72 | 30 s | ||
| 3 | Phân tích đường cong nóng chảy | 95 | 10 s | 1 |
| 65 | 20 s | |||
| 95 | 1 s |
8.3.5 Phân tích kết quả
Quy trình real-time PCR đạt yêu cầu khi mẫu PC (6.5.1) cho giá trị Ct ≤ 28, mẫu NC (6.5.2) và mẫu nước cho giá trị Ct > 30 hoặc không có giá trị Ct.
Với mẫu TC có giá trị Ct ≤ 28, khuẩn lạc của mẫu thử được khẳng định là L. plantarum và L. acidophilus (3.3).
Với mẫu TC có giá trị Ct > 30 hoặc không có giá trị Ct, khuẩn lạc của mẫu thử được khẳng định là không phải L. plantarum và L. acidophilus.
Với mẫu thử có giá trị 28 < Ct ≤ 30, mẫu thử cần được kiểm tra lại nồng độ ADN, và cần thực hiện lại quy trình real-time PCR với chu trình nhiệt có phân tích đường cong nóng chảy theo hướng dẫn của nhà sản xuất thuốc thử SYBR Green Master Mix.
Phân tích kết quả quy trình real-time PCR với chu trình nhiệt có phân tích đường cong nóng chảy, nếu giá trị Ct ≤ 30, Tm đạt từ 83,4 °C đến 86 °C đối với L. plantarum và đạt từ 69,4 °C đến 76 °C đối với L. acidophilus, và thể hiện một đỉnh nóng chảy, thì mẫu thử được xác định dương tính, và khuẩn lạc của mẫu thử được khẳng định là L. plantarum /L. acidophilus (3.3) (xem Phụ lục B).
CHÚ THÍCH: Giá trị Tm phụ thuộc vào máy chu trình nhiệt (7.2.1 TCVN 11133) và thuốc thử SYBR Green Master Mix. Tuy nhiên các mẫu thử được khẳng định là L. plantarum / L. acidophilus khi giá trị Ct ≤ 30 và giá trị Tm của mẫu TC và mẫu PC trong cùng một quy trình real-time PCR không khác biệt quá 1 °C.
8.4 Định lượng L. plantarum /L. acidophilus và biểu thị kết quả
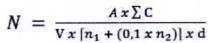
Phương pháp định lượng L. plantarum /L. acidophilus được thực hiện theo TCVN 7715-2 (ISO 10272-2) và được tính theo công thức (1):
|
| (1) |
Trong đó
| N | số lượng CFU L. plantarum / L. acidophilus trong một đơn vị mẫu, ở dạng lỏng được tính bằng CFU trên mililit (CFU/mL), hoặc dạng khô được tính bằng CFU trên gam (CFU/g); |
| A | phần trăm (%) số mẫu thử được khẳng định là L. plantarum / L. acidophilus (8.4.2) trên tổng số PLC tham gia phép thử (8.4). |
|
| (Ví dụ trong 5 PLC tham gia phép thử khẳng định L. plantarum hoặc L. acidophilus (8.4), có 4 mẫu thử được khẳng định là L. plantarum hoặc L. acidophilus (8.4.2) thì A được tính là (4/5) × 100 % = 80 %.) |
| C | tổng các PLC đếm được trên tất cả các đĩa được giữ lại từ hai độ pha loãng liên tiếp, chỉ tính các đĩa có chứa tối thiểu 4 khuẩn lạc; |
| V | thể tích dịch cấy trên mỗi đĩa, tính bằng mililit (mL); n1, n2 số đĩa có PSC được đếm ở hai độ pha loãng liên tiếp; |
| d | hệ số pha loãng tương ứng với độ pha loãng thứ nhất được giữ lại [d = 1 khi mẫu thử ở dạng lỏng, không pha loãng]; |
Kết quả định lượng L. plantarum / L. acidophilus được làm tròn đến một chữ số sau dấu phẩy.
Biểu thị kết quả bằng cách lấy một trong các giá trị từ 1,0 đến 9,9 nhân với 10x, trong đó x là số mũ của 10. Biểu thị kết quả trong trường hợp số đếm thấp hoặc trường hợp đặc biệt theo quy định trong TCVN 6404 (ISO 7218).
9 Báo cáo thử nghiệm
Báo cáo thử nghiệm thực hiện theo TCVN 6404 (ISO 7218), bao gồm ít nhất các thông tin sau:
a) mọi thông tin cần thiết để nhận biết đầy đủ về mẫu thử;
b) phương pháp lấy mẫu đã sử dụng, nếu biết;
c) phương pháp thử nghiệm đã dùng, viện dẫn tiêu chuẩn này;
d) các thao tác không quy định trong tiêu chuẩn này, cùng với các chi tiết bất thường nào khác có thể ảnh hưởng đến kết quả;
e) các kết quả thử nghiệm thu được.
Phụ lục A
(tham khảo)
Hình ảnh nhận diện L. plantarum và L. acidophilus

Hình A.1. Hình thái khuẩn lạc điển hình của L. plantarum ATCC14917 (A), L. acidophilus ATCC 4356 (B) và hỗn hợp 2 chủng (C) trên cùng môi trường mMRS - BPB

Hình A.2. Hình thái của L. plantarum ATCC14917 (A), L. acidophilus ATCC 4356 (B) và P. pentosaceus H5 (C) trên kính hiển vi
Phụ lục B
(tham khảo)
Một số kết quả phân tích phát hiện dựa trên kỹ thuật real-time PCR

Hình B.1 - Kết quả real-time PCR của các chủng L. plantarum và L. acidophilus khác nhau được thử nghiệm.

CHÚ DẪN
A - Đường cong nóng chảy của L. plantarum ATCC14917 với Tm 83 °C;
B - Đường cong nóng chảy của L. acidophilus ATCC 4356 với Tm 76 °C
Hình B.2 - Đường cong nóng chảy của L. plantarum và L. acidophilus
Thư mục tài liệu tham khảo
[1] Amiri, S., Mohammadi, R., & Nami, Y. (2023). Lactobacillus plantarum ABRIINW. N8 eliminates fungal and bacterial contamination and promotes shoot proliferation and root induction in plant tissue culture. Plant Cell, Tissue and Organ Culture (PCTOC), 152(2), 417-425.
[2] Raman, J., Kim, J. S., Choi, K. R., Eun, H., Yang, D., Ko, Y. J., & Kim, S. J. (2022).
Application of lactic acid bacteria (LAB) in sustainable agriculture: Advantages and limitations, international Journal of Molecular Sciences, 23(14), 7784.
[3] Wang, S. L., Huang, T. Y., Wang, C. Y., Liang, T. W., Yen, Y. H., & Sakata, Y. (2008). Bioconversion of squid pen by Lactobacillus paracasei subsp paracasei TKU010 for the production of proteases and lettuce growth enhancing biofertilizers. Bioresource technology, 99(13), 5436-5443.
[4] Yunaira, R., & Pato, U. (2020). Hyposensitivity test of Lactobacillus fermentum InaCC B1295 probiotic bacteria on the growth of mustard greens (Brassica junceae L ). In Journal of Physics: Conference Series (Vol. 1655, No. 1, P. 012108). IOP Publishing.
[5] Zheng, J., Wittouck, S., Salvetti, E., Franz, C. M., Harris, H. M., Mattarelli, P.,... & Lebeer, S. (2020). A taxonomic note on the genus Lactobacillus: Description of 23 novel genera, emended description of the genus Lactobacillus Beijerinck 1901, and union of Lactobacillaceae and Leuconostocaceae. International journal of systematic and evolutionary microbiology, 70(4), 2782-2858.
[1] Thông tin đưa ra để tạo thuận lợi cho người sử dụng, không phải là sự ấn định của tiêu chuẩn cho sản phẩm này.
Bạn chưa Đăng nhập thành viên.
Đây là tiện ích dành cho tài khoản thành viên. Vui lòng Đăng nhập để xem chi tiết. Nếu chưa có tài khoản, vui lòng Đăng ký tại đây!