- Tổng quan
- Nội dung
- Tiêu chuẩn liên quan
- Lược đồ
- Tải về
Tiêu chuẩn TCVN 14195-3:2024 Đất, đá quặng antimon - Phần 3: Xác định hàm lượng chì
| Số hiệu: | TCVN 14195-3:2024 | Loại văn bản: | Tiêu chuẩn Việt Nam |
| Cơ quan ban hành: | Bộ Khoa học và Công nghệ | Lĩnh vực: | Tài nguyên-Môi trường , Công nghiệp |
| Trích yếu: | Đất, đá quặng antimon - Phần 3: Xác định hàm lượng chì - Phương pháp quang phổ hấp thụ nguyên tử | ||
|
Ngày ban hành:
Ngày ban hành là ngày, tháng, năm văn bản được thông qua hoặc ký ban hành.
|
29/10/2024 |
Hiệu lực:
|
Đã biết
|
| Người ký: | Đang cập nhật |
Tình trạng hiệu lực:
Cho biết trạng thái hiệu lực của văn bản đang tra cứu: Chưa áp dụng, Còn hiệu lực, Hết hiệu lực, Hết hiệu lực 1 phần; Đã sửa đổi, Đính chính hay Không còn phù hợp,...
|
Đã biết
|
TÓM TẮT TIÊU CHUẨN VIỆT NAM TCVN 14195-3:2024
Tiêu chuẩn quốc gia TCVN 14195-3:2024 về xác định hàm lượng chì trong đất, đá quặng antimon
Ngày 29/10/2024, Bộ Khoa học và Công nghệ đã công bố Tiêu chuẩn quốc gia TCVN 14195-3:2024 với nội dung hướng dẫn phương pháp xác định hàm lượng chì (Pb) trong mẫu đất, đá quặng antimon bằng phương pháp quang phổ hấp thụ nguyên tử. Tiêu chuẩn này có hiệu lực từ ngày công bố.
Tiêu chuẩn này áp dụng cho việc phân tích hàm lượng chì trong các mẫu đất, đá quặng antimon có hàm lượng chì từ 0,001% đến 10% (theo khối lượng).
Phương pháp xác định hàm lượng chì: Mẫu sẽ được phân tích bằng cách phân hủy thành dung dịch bằng hỗn hợp axit clohidric và axit nitric (hoặc hỗn hợp khác tùy thuộc vào thành phần mẫu). Sau đó, mẫu sẽ được hoá hơi và nguyên tử hóa trong ngọn lửa axetylen - không khí. Độ hấp thụ của vạch phổ chì sẽ được đo, từ đó tính toán hàm lượng chì trong mẫu.
Thuốc thử và thiết bị sử dụng:
- Các loại thuốc thử như axit clohidric, axit nitric, axit flohidric, và axit pecloric đều phải đạt tiêu chuẩn siêu tinh khiết.
- Thiết bị chính yêu cầu bao gồm máy quang phổ hấp thụ nguyên tử, các dụng cụ như cân phân tích, bình định mức và chén teflon.
Chuẩn bị mẫu thử: Mẫu cần phải được gia công theo quy trình chuẩn đã quy định để đảm bảo độ chính xác của các phép phân tích. Các bước chuẩn bị mẫu bao gồm việc phân hủy bằng Axit HCl và HNO3 hoặc bằng hỗn hợp HF, HClO4 và HNO3.
Quy trình và tiêu chuẩn đo: Tiến hành đo mẫu theo các thông số tối ưu đã xác định cho chì, với đường chuẩn được xây dựng từ các dung dịch chuẩn có nồng độ khác nhau, đảm bảo rằng mức nồng độ đo trùng khớp với độ nhạy của thiết bị.
Kết quả được xác định bằng công thức tính toán từ cường độ hấp thụ và nồng độ, đảm bảo tất cả các sai số nằm trong giới hạn cho phép theo quy định trong tiêu chuẩn.
Tóm lại, tiêu chuẩn TCVN 14195-3:2024 cung cấp phương pháp khoa học và chính xác để kiểm tra hàm lượng chì trong đất và đá quặng antimon, nhằm đảm bảo sự an toàn và chất lượng trong quá trình khai thác và sử dụng tài nguyên thiên nhiên.
Tải tiêu chuẩn Việt Nam TCVN 14195-3:2024
TIÊU CHUẨN QUỐC GIA
TCVN 14195-3:2024
ĐẤT, ĐÁ QUẶNG ANTIMON - PHẦN 3: XÁC ĐỊNH HÀM LƯỢNG CHÌ - PHƯƠNG PHÁP QUANG PHỔ HẤP THỤ NGUYÊN TỬ
Soils, rocks antimony ores - Part 3: Determination of lead content. Atomic absorption spectrometric method
Lời nói đầu
TCVN 14195-3:2024 do Cục Địa chất Việt Nam biên soạn, Bộ Tài nguyên và Môi trường đề nghị, Tổng Cục Tiêu chuẩn Đo lường Chất lượng thẩm định, Bộ Khoa học và Công nghề công bố.
Bộ TCVN 14995 Đất, đá quặng antimon gồm các phần sau:
| 1 | TCVN 14195-1:2024 | Phần 1: Xác định hàm lượng antimon và hàm lượng asen- Phương pháp oxi hóa khử với chất chuẩn là kali bromat |
| 2 | TCVN 14195-2:2024 | Phần 2: Xác định hàm lượng lưu huỳnh - Phương pháp khối lượng |
| 3 | TCVN 14195-3:2024 | Phần 3: Xác định hàm lượng chì. Phương pháp quang phổ hấp thụ nguyên tử |
ĐẤT, ĐÁ QUẶNG ANTIMON - PHẦN 3: XÁC ĐỊNH HÀM LƯỢNG CHÌ - PHƯƠNG PHÁP QUANG PHỔ HẤP THỤ NGUYÊN TỬ
Soils, rocks antimony ores - Part 3: Determination of lead content. Atomic absorption spectrometric method
1 Phạm vi áp dụng
Tiêu chuẩn này quy định phương pháp phân tích quang phổ hấp thụ nguyên tử ngọn lửa xác định hàm lượng Chì (Pb) trong mẫu đất, đá quặng antimon có hàm lượng từ 0,001 % đến 10 % (theo khối lượng).
2 Tài liệu viện dẫn
Các tài liệu viện dẫn sau rất cần thiết cho việc áp dụng tiêu chuẩn này. Đối với các tài liệu viện dẫn ghi năm công bố thì áp dụng phiên bản được nêu. Đối với các tài liệu viện dẫn không ghi năm công bố thì áp dụng phiên bản mới nhất, bao gồm cả các sửa đổi, bổ sung (nếu có).
TCVN 4851 (ISO 3696), Nước dùng để phân tích trong phòng thí nghiệm - Yêu cầu kỹ thuật và phương pháp thử.
TCVN 7153 (ISO 1042), Dụng cụ thí nghiệm bằng thủy tinh - Bình định mức.
TCVN 9924:2013, Đất, đá quặng - Quy trình gia công mẫu sử dụng cho các phương pháp phân tích hóa học, hóa lý, rơnghen, nhiệt.
3 Nguyên tắc
Mẫu sau khi phân hủy thành dung dịch bằng hỗn hợp axit clohidric và axit nitric, hoặc hỗn hợp axit clohidric, axit nitric và axit pecloric (tùy theo đặc điểm thành phần của mẫu) được hóa hơi, nguyên tử hóa trong ngọn lửa axetylen - không khí. Đo độ hấp thụ của của vạch phổ đặc trưng các nguyên tử tự do (thể khí) của nguyên tố chì ở trạng thái hơi, từ đó tính được hàm lượng nguyên tố theo phương pháp đường chuẩn.
4 Thuốc thử
Trong quá trình phân tích, chỉ sử dụng thuốc thử loại siêu tinh khiết phân tích và nước phù hợp với TCVN 4851 (ISO 3696).
4.1 Axit clohidric HCl d = 1,19; dung dịch (1+5) (theo thể tích); 4 M;
4.2 Axit nitric HNO3 d = 1,40; dung dịch 1 % (theo thể tích);
4.3 Axit flohidric HF d = 1,14;
4.4 Axit pecloric HClO4 d = 1,68;
4.5 Chì kim loại hoặc chì nitrat;
4.6 Chất chuẩn gốc nguyên tố chì: 1000 mg/L loại dùng cho AAS
4.7 Dung dịch tiêu chuẩn làm việc: Từ dung dịch tiêu chuẩn gốc, chuẩn bị các dung dịch tiêu chuẩn làm việc như sau:
Dung dịch A có nồng độ 100 mg/l (100 ppm): Lấy chính xác 10 ml dung dịch tiêu chuẩn gốc cho vào bình định mức 100 ml, pha loãng bằng dung dịch HNO3 1 % (4.2) (theo thể tích) (để tránh thủy phân) đến vạch, lắc kỹ.
Dung dịch B có nồng độ 10 mg/l (10 ppm): Lấy chính xác 10 ml dung dịch tiêu chuẩn A cho vào bình định mức 100 ml, pha loãng băng dung dịch HNO3 1 % (theo thể tích) (4.2) (để tránh thủy phân) đến vạch, lắc kỹ.
Dung dịch C có nồng độ 1 mg/l (1 ppm): Lấy chính xác 10 ml dung dịch tiêu chuẩn B cho vào bình định mức 100 ml, pha loãng bằng dung dịch HNO3 1 % (theo thể tích) (4.2) (để tránh thủy phân) đến vạch, lắc kỹ
5 Thiết bị, dụng cụ
Trong tiêu chuẩn này sử dụng các thiết bị, dụng cụ thông thường trong phòng thử nghiệm và các thiết bị, dụng cụ sau:
5.1 Cân phân tích có độ chính xác đến 0,0001 gam
5.2 Máy quang phổ hấp thụ nguyên tử có các thông số như sau:
Khoảng bước sóng: 185 nm đến 900 nm
Đèn chì
Hệ thống ngọn lửa, đầu đốt
Hệ thống cung cấp khí đốt
Và các hệ thống phụ kiện cần thiết khác cho thiết bị hoạt động.
5.3 Bình khí nén axetylen ≥ 98,5 %.
5.4 Đèn catot rỗng chì
5.5 Cốc thủy tinh chịu nhiệt dung tích 100 ml; 150 ml; 250 ml;
5.6 Chén teflon dung tích 10 ml; 25 ml; 50 ml;
5.7 Pipet chia vạch có dung dịch 1,0 ml; 2,0 ml; 5,0 ml;
5.8 Bình định mức dung tích 50 ml; 100 ml; 250 ml;
5.9 Nắp kính thủy tinh;
5.10 Bình hút ẩm Φ 25 cm;
5.11 Tủ sấy có thể đặt nhiệt độ ở 105 °C ± 2 °C.
6 Chuẩn bị mẫu thử
Chuẩn bị và gia công mẫu thử theo TCVN 9924:2013.
7 Cách tiến hành
7.1 Phân hủy mẫu
7.1.1 Phân hủy mẫu bằng hỗn hợp axit clohidric và axit nitric
Áp dụng để phân tích chì trong các mẫu không chứa Silic và chất hữu cơ
Cân (5.1) 0,5000 gam mẫu đã được sấy khô ở 105 °C trong 2 h cho vào cốc thủy tinh chịu nhiệt 150 ml (5.5). Thấm ướt mẫu bằng một ít nước. Sau đó thêm từ từ 20 ml axit clohidric HCl (d=1,19) (4.1). Đậy nắp kính thủy tinh (5.9), giữ yên trong 10 min ÷ 15 min. Sau đó đun đến sôi nhẹ trên bếp trong 5 min. Để nguội bớt, thêm 5 ml ÷ 10 ml axit nitric HNO3 (d=1,40) (4.2). Tiếp tục đun đến sôi nhẹ, mở nắp kính (5.9) và cho bốc hơi đến khô. Cho thêm 10 ml axit clohidric HCl (d=1,19) (4.1), đun và cô tiếp đến muối ẩm, lặp lại 1 lần nữa. Tia nước tráng nắp kính (5.9) và thành cốc (5.5). Cho 15 ml axit clohidric HCl (d=1,19) (4.1), đun nóng nhẹ để hoà tan muối.
Chuyển toàn bộ dung dịch và cặn không tan vào bình định mức thủy tinh 50 ml (5.8) (hoặc 250 ml nếu hàm lượng chì cao). Rửa sạch cốc và pha loãng đến vạch bằng nước cất. Lắc đều dung dịch. Lọc dung dịch qua giấy lọc chảy trung bình hoặc để lắng rồi lấy phần dung dịch trong bên trên để phân tích.
Tiến hành làm đồng thời mẫu không quặng.và mẫu chuẩn
7.1.2 Phân hủy mẫu bằng hỗn hợp axit flohidric, axit pecloric và axit nitric
Áp dụng để phân tích chì trong các mẫu có hàm lượng silic cao hoặc có mặt chất hữu cơ.
Cân (5.1) 0,5000 gam mẫu đã được sấy ở 105 °C trong 2 h cho vào chén teflon 50 ml (5.6). Thấm ướt mẫu bằng một ít nước. Thêm từ từ 5 ml ÷ 7 ml axit nitric HNO3 (d=1,40) (4.2), đun khoảng 5 min để loại chất hữu cơ, thêm 15 ml ÷ 20 ml axit flohidric HF (d=1,14) (4.3) và 5 ml ÷ 7 ml axit pecloric HClO4 (d=1,68) (4.4). Đun nóng trên bếp đến bốc khói dày đặc. Để nguội bớt, cho thêm 5 ml axit nitric HNO3 (d=1,40) (4.2), đun nóng tiếp đến bốc khói trắng dày đặc (để loại HF dư) đến khi trong chén còn khoảng 0,5 ml. Để nguội, tia nước rửa quanh thành chén và tiếp tục đun nóng đến cạn khô, để nguội bớt, cho vào chén 15 ml (5.6) axit clohidric HCl (d=1,19) (4.1) để hòa tan muối.
Chuyển toàn bộ dung dịch và cặn không tan vào bình định mức 50 ml (5.8) (hoặc 250 ml nếu hàm lượng chì cao). Rửa sạch chén và pha loãng đến vạch bằng nước cất. Lắc đều dung dịch. Lọc dung dịch qua giấy lọc chảy trung bình hoặc để lắng rồi lấy phần dung dịch trong bên trên để phân tích.
Tiến hành làm đồng thời mẫu không quặng và mẫu chuẩn.
Chuẩn bị dãy dung dịch chuẩn
Nồng độ dãy dung dịch chuẩn của các nguyên tố được thành lập theo thứ tự sau: 0 mg/l; 0,2 mg/l; 0,5 mg/l; 1,0 mg/l; 2,0 mg/l; 5,0 mg/l; 10,0 mg/l.
Lần lượt lấy chính xác một thể tích dung dịch A hoặc B theo chỉ dẫn ở Bảng 1 cho vào bình định mức 50 ml (5.8). Định mức dung dịch trong bình bằng axit clohidric HCl (1+5) (4.1), lắc đều.
Có thể mở rộng phạm vi nồng độ của dãy dung dịch chuẩn căn cứ theo hướng dẫn trong Bảng 2 (mục "Khoảng nồng độ tuân theo định luật Lambe-Bia")
Bảng 1 - Chuẩn bị dãy dung dịch chuẩn
| Số TT | Thể tích dung dịch A hoặc B (ml) | Nồng độ nguyên tố (mg/l) |
| 1 | Dung dịch B |
|
| 2 | 1,0 | 0,2 |
| 3 | 2,5 | 0,5 |
| 4 | Dung dịch A |
|
| 5 | 0,5 | 1,0 |
| 6 | 1,0 | 2,0 |
| 7 | 2,5 | 5,0 |
| 8 | 5,0 | 10,0 |
7.2 Tiến hành đo mẫu
Khởi động máy rồi đặt các thông số đo Pb có bước sóng 283,8 nm như chỉ dẫn ở Bảng 2
Bảng 2 - Các thông số đo tối ưu trong phép đo Pb
| Thông số | Pb |
| Vạch hấp thụ nguyên tử (nm) | 283,8 |
| Khe sáng (nm) | 0,7 |
| Cường độ dòng đèn Catot (mA) | 20 |
| Lưu lượng khí Axetylen (ml/min) | 2,66 |
| Lưu lượng không khí (ml/min) | 10,0 |
| Khoảng nồng độ tuân theo định luật Lambe-Bia (µg/ml) | 0,2 - 20 |
Sau đó tiến hành đo dãy dung dịch chuẩn, lần lượt từ nồng độ thấp đến nồng độ cao. Đồ thị chuẩn sẽ được vẽ và xử lý ở phần mềm máy tính. Cuối cùng, đo các mẫu phân tích. Nếu cường độ phổ hấp thụ của mẫu phân tích cao hơn cường độ phổ hấp thụ của điểm cao nhất trong dãy chuẩn thì có thể pha loãng dung dịch phân tích bằng HCl 4 M (4.1).
8 Tính kết quả
8.1 Tính hàm lượng Chì (Pb)
Nếu máy quang phổ hấp thụ nguyên tử có phần mềm xử lý kết quả thì việc tính toán sẽ được thực hiện trên máy, hàm lượng chì của mẫu, tính theo phần trăm khối lượng được xác định theo công thức sau:
![]()
trong đó:
C: Nồng độ chì trong dung dịch tiêu chuẩn, tính bằng microgam trên mililit (µg/ml);
Ac: Cường độ phổ hấp thụ của dung dịch chuẩn có nồng độ C;
Ax: Cường độ phổ hấp thụ của dung dịch mẫu phân tích;
V: Thể tích dung dịch mẫu, tính bằng mililit (ml);
m: Lượng cân mẫu, tính bằng gam (g);
K: Hệ số pha loãng.
Kết quả được lấy chính xác đến 2 chữ số sau dấu phẩy.
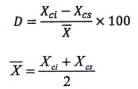
8.2 Sai lệch phép phân tích song song
Sai lệch lớn nhất giữa hai kết quả mẫu phân tích song song không vượt quá giá trị độ lệch tương đối D trong Bảng 3:

trong đó:
D là độ chệch tương đối của hai kết quả phân tích song song, (%);
Xci là kết quả phân tích mẫu cơ bản;
Xcs là kết quả phân tích mẫu song song;
là giá trị trung bình của hai kết quả phân tích song song.
Bảng 3 - Độ lệch tương đối phép phân tích song song
| Hàm lượng Pb (%) | D (%) |
| Từ 0,001 đến nhỏ hơn 0,005 | 39 |
| Từ 0,005 đến nhỏ hơn 0,01 | 32 |
| Từ 0,01 đến nhỏ hơn 0,02 | 29 |
| Từ 0,02 đến nhỏ hơn 0,05 | 26 |
| Từ 0,05 đến nhỏ hơn 0,1 | 22 |
| Từ 0,1 đến nhỏ hơn 0,2 | 20 |
| Từ 0,2 đến nhỏ hơn 0,5 | 15 |
| Từ 0,5 đến nhỏ hơn 1 | 13 |
| Từ 1 đến nhỏ hơn 2 | 10 |
| Từ 2 đến nhỏ hơn 5 | 7 |
| Từ 5 đến nhỏ hơn 10 | 4 |
9 Báo cáo thử nghiệm
Báo cáo thử nghiệm bao gồm các thông tin sau:
a) Viện dẫn tiêu chuẩn này:
b) Nhận dạng mẫu thử;
c) Tên và địa chỉ phòng thử nghiệm;
d) Ngày tiến hành thử nghiệm;
e) Kết quả thử nghiệm;
f) Mọi thao tác không quy định trong tiêu chuẩn này hoặc được coi là tùy chọn và các yếu tố có thể ảnh hưởng đến kết quả thử nghiệm.
PHỤ LỤC A
(Tham khảo)
Bảng kết quả các mẫu lặp ở các cấp hàm lượng khác nhau
| Cấp hàm lượng Pb (%) | Số hiệu mẫu | Kết quả xác nhận (%) | Kết quả KN lần 1 (%) | Kết quả KN lần 2 (%) | Kết quả KN lần 3 (%) | Sai số tương đối (S1) | Sai số tương đối (S2) | Sai số tương đối (S3) |
| 0,001-<0,005 | MS 01 | 0,003 | 0,003 | 0,002 | 0,004 | 0,00 | 40,00 | 28,57 |
| 0,005-<0,010 | MS 02 | 0,007 | 0,006 | 0,007 | 0,008 | 15,38 | 0,00 | 13,33 |
| 0,01-<0,02 | MS 03 | 0,013 | 0,012 | 0,015 | 0,011 | 8,00 | 14,29 | 16,67 |
| 0,02-<0,05 | MS 04 | 0,027 | 0,025 | 0,026 | 0,029 | 7,69 | 3,77 | 7,14 |
| 0,05-<0,10 | MS 05 | 0,059 | 0,058 | 0,061 | 0,056 | 1,71 | 3,33 | 5,22 |
| 0,10-<0,20 | MS 06 | 0,172 | 0,175 | 0,062 | 0,180 | 1,73 | 5,99 | 4,55 |
| 0,20-<0,50 | MS 07 | 0,402 | 0,420 | 0,390 | 0,430 | 4,38 | 3,03 | 6,73 |
| 0,50-<1,0 | MS 08 | 0,741 | 0,730 | 0,756 | 0,760 | 1,50 | 2,00 | 2,53 |
| 1,0-<2,0 | MS 09 | 1,36 | 1,38 | 1,34 | 1,30 | 1,46 | 1,48 | 4,51 |
| 2,0-<5,0 | MCS5 | 3,74 | 3,70 | 3,78 | 3,60 | 1,08 | 1,06 | 3,81 |
| 5,0-<10,0 | MCS4 | 6,76 | 6,70 | 6,86 | 6,60 | 0,89 | 1,47 | 2,40 |
Thư mục tài liệu tham khảo
[1] TCNB - Sb:Pb/2018 Đất đá quặng antimon - Xác định hàm lượng Chì (Pb) - Phương pháp hấp thụ nguyên tử
[2] T.C.N 01-HTNT/94 - Đất đá quặng - Phương pháp quang phổ hấp thụ nguyên tử xác định hàm lượng đồng, chì, kẽm
Bạn chưa Đăng nhập thành viên.
Đây là tiện ích dành cho tài khoản thành viên. Vui lòng Đăng nhập để xem chi tiết. Nếu chưa có tài khoản, vui lòng Đăng ký tại đây!