- Tổng quan
- Nội dung
- Tiêu chuẩn liên quan
- Lược đồ
- Tải về
Tiêu chuẩn TCVN 14195-2:2024 Đất, đá quặng antimon - Phần 2: Xác định hàm lượng lưu huỳnh - Phương pháp khối lượng
| Số hiệu: | TCVN 14195-2:2024 | Loại văn bản: | Tiêu chuẩn Việt Nam |
| Cơ quan ban hành: | Bộ Khoa học và Công nghệ | Lĩnh vực: | Tài nguyên-Môi trường , Công nghiệp |
| Trích yếu: | Đất, đá quặng antimon - Phần 2: Xác định hàm lượng lưu huỳnh - Phương pháp khối lượng | ||
|
Ngày ban hành:
Ngày ban hành là ngày, tháng, năm văn bản được thông qua hoặc ký ban hành.
|
29/10/2024 |
Hiệu lực:
|
Đã biết
|
| Người ký: | Đang cập nhật |
Tình trạng hiệu lực:
Cho biết trạng thái hiệu lực của văn bản đang tra cứu: Chưa áp dụng, Còn hiệu lực, Hết hiệu lực, Hết hiệu lực 1 phần; Đã sửa đổi, Đính chính hay Không còn phù hợp,...
|
Đã biết
|
TÓM TẮT TIÊU CHUẨN VIỆT NAM TCVN 14195-2:2024
Tiêu chuẩn quốc gia TCVN 14195-2:2024: Phương pháp xác định hàm lượng lưu huỳnh trong đất, đá quặng antimon
Tiêu chuẩn quốc gia TCVN 14195-2:2024 được Cục Địa chất Việt Nam biên soạn và Bộ Tài nguyên và Môi trường đề nghị, đã được công bố bởi Bộ Khoa học và Công nghệ. Tiêu chuẩn này có hiệu lực từ năm 2024, quy định phương pháp khối lượng để xác định hàm lượng lưu huỳnh có trong đất, đá quặng antimon, với tỷ lệ từ 0,1% đến 30% khối lượng.
Đối tượng áp dụng và phạm vi
TCVN 14195-2:2024 áp dụng cho việc phân tích hàm lượng lưu huỳnh trong các mẫu đất và đá quặng antimon. Phương pháp này được thiết kế nhằm tăng cường tính chính xác và độ tin cậy trong các kết quả phân tích phục vụ cho các hoạt động nghiên cứu và sản xuất liên quan đến quặng antimon.
Nguyên tắc phương pháp
Phương pháp xác định hàm lượng lưu huỳnh theo tiêu chuẩn này dựa trên việc nung mẫu trong môi trường ôxy hóa để chuyển hóa lưu huỳnh thành sulfat. Sau đó, ion sulfat được kết tủa dưới dạng bari sunfat (BaSO4), giúp phép xác định hàm lượng lưu huỳnh một cách chính xác.
Thuốc thử và dụng cụ
Tiêu chuẩn quy định rõ các loại thuốc thử và dụng cụ cần thiết cho quá trình phân tích. Chỉ sử dụng các thuốc thử chuyên dụng, bao gồm natri cacbonat, magie oxit, và các dung dịch khác như bari clorua, bạc nitrat. Cùng với đó, tiêu chuẩn cũng nhấn mạnh việc sử dụng cân phân tích và lò nung điều khiển nhiệt độ để đảm bảo độ chính xác trong quá trình thực nghiệm.
Cách tiến hành
Quy trình thực hiện theo TCVN 14195-2:2024 bao gồm các bước từ chuẩn bị mẫu cho đến phân tích hóa học để xác định hàm lượng lưu huỳnh. Mẫu thử phải được gia công theo quy định, sau đó kết hợp với hỗn hợp nung và nung ở nhiệt độ cao để hoàn thành phản ứng. Các thao tác lọc, làm sạch và cân khối lượng cuối cùng phải được thực hiện một cách cẩn thận để đạt được kết quả đúng đắn.
Kết quả phân tích
Hàm lượng lưu huỳnh được tính toán dựa trên khối lượng kết tủa bari sunfat và được báo cáo với độ chính xác đến hai chữ số sau dấu phẩy. Tiêu chuẩn cũng quy định giới hạn sai lệch cho phép giữa các mẫu phân tích song song nhằm đảm bảo tính nhất quán và độ tin cậy trong kết quả.
Kết luận
TCVN 14195-2:2024 đưa ra một phương pháp chi tiết và khoa học cho việc xác minh hàm lượng lưu huỳnh trong đất, đá quặng antimon, tạo điều kiện thuận lợi cho các tổ chức, doanh nghiệp trong ngành khai thác và chế biến quặng trong nước. Tiêu chuẩn có hiệu lực từ năm 2024, thay thế các phương pháp cũ không còn phù hợp, từ đó cải thiện chất lượng phân tích trong lĩnh vực này.
Tải tiêu chuẩn Việt Nam TCVN 14195-2:2024
TIÊU CHUẨN QUỐC GIA
TCVN 14195-2:2024
ĐẤT, ĐÁ QUẶNG ANTIMON - PHẦN 2: XÁC ĐỊNH HÀM LƯỢNG LƯU HUỲNH - PHƯƠNG PHÁP KHỐI LƯỢNG
Soils, rocks antimony ores - Part 2: Determination of of sulfur content - Gravimetric method
Lời nói đầu
TCVN 14195-2:2024 do Cục Địa chất Việt Nam biên soạn, Bộ Tài nguyên và Môi trường đề nghị, Tổng Cục Tiêu chuẩn Đo lường Chất lượng thẩm định, Bộ Khoa học và Công nghệ công bố.
Bộ TCVN 14195 Đất, đá quặng antimon gồm các phần sau:
| 1 | TCVN 14195-1:2024 | Phần 1: Xác định hàm lượng antimon và hàm lượng asen- Phương pháp oxi hóa khử với chất chuẩn là kali bromat |
| 2 | TCVN 14195-2:2024 | Phần 2: Xác định hàm lượng lưu huỳnh - Phương pháp khối lượng |
| 3 | TCVN 14195-3:2024 | Phần 3: Xác định hàm lượng chì - Phương pháp quang phổ hấp thụ nguyên tử |
ĐẤT, ĐÁ QUẶNG ANTIMON - PHẦN 2: XÁC ĐỊNH HÀM LƯỢNG LƯU HUỲNH - PHƯƠNG PHÁP KHỐI LƯỢNG
Soils, rocks antimony ores - Part 2: Determination of of sulfur content - Gravimetric method
1 Phạm vi áp dụng
Tiêu chuẩn này quy định phương pháp khối lượng xác định hàm lượng lưu huỳnh trong mẫu đất, đá quặng antimon có hàm lượng từ 0,1 % (theo khối lượng) đến 30 % (theo khối lượng).
2 Tài liệu viện dẫn
Các tài liệu viện dẫn sau rất cần thiết cho việc áp dụng tiêu chuẩn này. Đối với các tài liệu viện dẫn ghi năm công bố thì áp dụng phiên bản được nêu. Đối với các tài liệu viện dẫn không ghi năm công bố thì áp dụng phiên bản mới nhất, bao gồm cà các sửa đổi, bổ sung (nếu có).
TCVN 4851 (ISO 3696), Nước dùng để phân tích trong phòng thí nghiệm - Yêu cầu kỹ thuật và phương pháp thử.
TCVN 7153 (ISO 1042), Dụng cụ thí nghiệm bằng thủy tinh - Bình định mức.
TCVN 9924:2013, Đất, đá quặng - Quy trình gia công mẫu sử dụng cho các phương pháp phân tích hóa học, hóa lý, rơnghen, nhiệt.
3 Nguyên tắc
Mẫu thử được nung trong môi trường ôxy hóa với hỗn hợp nung tại nhiệt độ cao để chuyển lưu huỳnh thành sulfat. Phương pháp dựa trên phản ứng giữa ion sunfat SO42- và ion Ba2+ tạo thành kết tủa BaSO4 khó tan. Hàm lượng lưu huỳnh được xác định bằng phương pháp khối lượng thông qua kết tủa bari sunfat thu được
4 Thuốc thử
Trong qua trình phân tích, chỉ sử dụng thuốc thử loại siêu tinh khiết phân tích và nước phù hợp với TCVN 4851 (ISO 3696)
4.1 Hỗn hợp nung, hỗn hợp gồm natri cacbonat khan và magie oxit và kali nitrat (Na2CO3+MgO+KNO3) tỷ lệ 3+2+0,2. Trộn đều hỗn hợp gồm natri cacbonat Na2CO3 khan và magie oxit MgO và kali nitrat khan theo tỷ lệ 3:2:0,2. Sau khi trộn đều, bảo quản hỗn hợp trong bình hút ẩm.
4.2 Rượu etylic 96°;
4.3 Natri cacbonat Na2CO3, dung dịch 2 %. Hòa tan 20 gam natri cacbonat tinh thể vào cốc 1 lít, định mức đến vạch bằng nước cất, khuấy đều
4.4 Metyl dacam, dung dịch 0,1%. Hòa tan 0,1 gam metyl da cam tinh thể trong bình 100 ml, định mức bằng nước cất đến vạch, lắc đều, bảo quản trong bình thủy tinh tối màu, có nút kín.
4.5 Axit tatric C4H6O6, tinh thể;
4.6 Axit xitric C6H8O7, tinh thể;
4.7 Bari clorua BaCl2, dung dịch 10 %. Hòa tan 100 gam bari clorua BaCl2 tinh thể vào nước cất dùng trong phân tích trong bình định mức 1 lít, định mức đến vạch, lắc đều.
4.8 Bạc nitrat AgNO3, dung dịch 1 %. Hòa tan 1 gam bạc nitrat AgNO3 tinh thể trong bình định mức 100 ml, định mức bằng nước cất đến vạch, lắc đều, bảo quản trong bình thủy tinh tối màu, có nút kín.
4.9 Axit clohidric HCl, dung dịch (1+1) (theo thể tích).
5 Thiết bị, dụng cụ
Trong tiêu chuẩn này sử dụng các thiết bị, dụng cụ thông thường trong phòng thử nghiệm và các thiết bị, dụng cụ sau:
5.1 Cân phân tích có độ chính xác đến 0,0001 gam
5.2 Lò nung có điều khiển nhiệt độ đến 1000 °C
5.3 Chén sứ dung tích 15ml; 30 ml; 50 ml
5.4 Cốc chịu nhiệt dung tích 250 ml; 500 ml
5.5 Bình hút ẩm Φ 25 cm
5.6 Tủ sấy có thể đặt nhiệt độ ở 105 °C ± 2 °C.
6 Chuẩn bị mẫu thử
Chuẩn bị và gia công mẫu thử theo TCVN 9924:2013.
7 Cách tiến hành
Cân (5.1) 0,5000 gam mẫu đã được sấy khô ở 105 °C trong 2 h vào chén sứ dung tích 30 ml ÷ 50 ml (5.3) đã có lót 3 gam ÷ 4 gam hỗn hợp nung (4.1). Dùng đũa thủy tinh trộn đều mẫu và hỗn hợp ở phần giữa chén sao cho mẫu không dính vào thành chén. Lấy 1 gam ÷ 2 gam hỗn hợp nung phủ đều hỗn hợp nung đó lên mặt chén.
Cho chén sứ (5.3) chứa mẫu và hỗn hợp vào lò nung (5.2) ở nhiệt độ phòng, tăng dần nhiệt độ đến 750 °C ÷ 800 °C, giữ ở nhiệt độ này khoảng 1,5 h ÷ 2 h.
Lấy chén sứ (5.3) ra khỏi lò, để nguội. Cho khối nung vào cốc chịu nhiệt dung tích 250 ml (5.4). Dùng đũa thủy tinh dầm nát khối nung. Rửa chén sứ (5.3) bằng nước cất và thêm nước cất vào cốc đến khoảng 50 ml. Thêm vài giọt rượu etylic (4.2), đun sôi khoảng 10 min ÷ 15 min. Thêm tiếp khoảng từ 3 đến 5 giọt rượu etylic (4.2) và đun cho đến khi hết màu xanh.
Lọc nóng qua giấy lọc chảy trung bình, hứng dung dịch vào cốc chịu nhiệt 500 ml (5.4). Rửa cốc và bã bằng dung dịch Na2CO3 2 % (4.3) cho đến sạch ion SO42- (thử bằng dung dịch BaCl2). Bã và giấy lọc chảy trung bình bỏ đi. Pha loãng nước lọc bằng nước cất đến 200 ml.
Thêm vào 1 gam axit citric C6H8O7 (4.6) và 3 gam axit tatric (4.5) C4H6O6, 2 giọt chỉ thị metyl dacam (4.4), trung hòa bằng HCl dung dịch (1+1) (4.9) đến đổi màu chỉ thị, cho dư 2 ml HCl dung dịch (1+1) (4.9) nữa. Đun sôi dung dịch đến hết bọt khí CO2. Thêm 10 ml dung dịch BaCl2 10 % (4.7), khuấy đều. Tiếp tục đun sôi 5 min nữa. Lấy cốc khỏi bếp, để yên cách đêm. Lọc lấy kết tủa BaSO4 bằng giấy lọc chảy chậm. Tráng cốc và rửa kết tủa bằng nước cất nóng cho đến hết ion Cl- (thử bằng dung dịch AgNO3 1 %) (4.8).
Cho kết tủa và giấy lọc vào chén sứ dung tích 15 ml (5.3) đã nung đến khối lượng không đổi ở 750 °C-800 °C. Tro hóa giấy lọc và nung kết tủa từ nhiệt độ thấp lên 750 °C ÷ 800 °C. Giữ ở nhiệt độ này 1 h ÷ 1,5 h. Lấy chén ra khỏi lò (5.2), để nguội đến nhiệt độ phòng trong bình hút ẩm (5.5). Cân khối lượng chén và kết tủa.
Làm mẫu trắng thuốc thử đồng thời với mẫu phân tích.
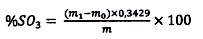
8 Tính kết quả
8.1 Tính hàm lượng Lưu huỳnh
Hàm lượng của lưu huỳnh trong (SO3) của mẫu, tính theo phần trăm khối lượng được tính theo công thức như sau:
![]()
trong đó:
m1: Khối lượng kết tủa BaSO4 trong mẫu phân tích, tính bằng gam (g);
m0: Khối lượng tạp chất trong mẫu trắng thuốc thử, tính bằng gam (g);
m: Lượng cân mẫu, tính bằng gam (g);
0,3429: Hệ số chuyển từ BaSO4 ra lưu huỳnh (SO3).
Kết quả được lấy chính xác đến 2 chữ số sau dấu phẩy.
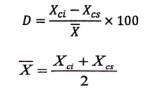
8.2 Sai lệch phép phân tích song song
Sai lệch lớn nhất giữa hai kết quả mẫu phân tích song song không vượt quá giá trị độ lệch tương đối D trong bảng 1.

Trong đó:
D là độ lệch tương đối của hai kết quả mẫu phân tích song song, (%);
Xci là kết quả phân tích mẫu cơ bản;
Xcs là kết quả phân tích mẫu song song:
là giá trị trung bình của kết quả mẫu phân tích song song.
Bảng 1 - Độ lệch tương đối phép phân tích song song
| Số TT | Cấp hàm lượng SO3 | D |
| (%) | (%) | |
| 1 | Từ 0,1 đến nhỏ hơn 0,2 | 39 |
| 2 | Từ 0,2 đến nhỏ hơn 0,5 | 33 |
| 3 | Từ 0,5 đến nhỏ hơn 1,0 | 28 |
| 4 | Từ 1,0 đến nhỏ hơn 2,0 | 21 |
| 5 | Từ 2,0 đến nhỏ hơn 5,0 | 15 |
| 6 | Từ 5,0 đến nhỏ hơn 10,0 | 9,1 |
| 7 | Từ 10,0 đến nhỏ hơn 20,0 | 4,2 |
| 8 | Trên 30,0 | 3,3 |
9 Báo cáo thử nghiệm
Báo cáo thử nghiệm bao gồm các thông tin sau:
a) Viện dẫn tiêu chuẩn này:
b) Nhận dạng mẫu thử;
c) Tên và địa chỉ phòng thử nghiệm;
d) Ngày tiến hành thử nghiệm;
e) Kết quả thử nghiệm;
f) Mọi thao tác không quy định trong tiêu chuẩn này hoặc được coi là tùy chọn và các yếu tố có thể ảnh hưởng đến kết quả thử nghiệm.
PHỤ LỤC A
(Tham khảo)
Bảng kết quả các mẫu lặp ở các khoảng hàm lượng khác nhau
| Cấp hàm lượng SO3 (%) | Số hiệu mẫu | Kết quả xác nhận (%) | KQ KN lần 1 (%) | KQ KN lần 2 (%) | KQ KN lần 3 (%) | SSTD (S1) | SSTD (S2) | SSTD (S3) |
| 0,20 - < 0,50 | MS 1 | 0,30 | 0,25 | 0,28 | 0,33 | 18,18 | 6,90 | 9,52 |
| MS 2 | 0,45 | 0,46 | 0,47 | 0,43 | 2,20 | 4,35 | 4,55 | |
| 0,50 - < 1,0 | MS 3 | 0,68 | 0,65 | 0,63 | 0,70 | 4,51 | 7,63 | 2,90 |
| MS 4 | 0,80 | 0,77 | 0,80 | 0,75 | 3,82 | 0,00 | 6,45 | |
| 1,0 - < 2,0 | MC 1 | 1,15 | 1,13 | 1,20 | 1,08 | 1,75 | 4,26 | 6,28 |
| MS 5 | 1,58 | 1,68 | 1,75 | 1,55 | 6,13 | 10,21 | 1,92 | |
| 2,0 - < 5,0 | MC 2 | 3,07 | 3,05 | 3,12 | 3,10 | 0,65 | 1,62 | 0,97 |
| MS 6 | 4,78 | 4,50 | 4,55 | 4,65 | 6,03 | 4,93 | 2,76 | |
| 5,0 - < 10,0 | MS 7 | 5,60 | 5,50 | 5,58 | 5,75 | 1,80 | 0,36 | 2,64 |
| MS 8 | 9,64 | 9,44 | 9,49 | 9,59 | 2,10 | 1,57 | 0,52 | |
| 10,0 - < 20,0 | MCS 2 | 12,45 | 12,40 | 12,18 | 12,55 | 0,40 | 2,19 | 0,80 |
| MCS 1 | 13,59 | 13,78 | 14,00 | 13,40 | 1,39 | 2,97 | 1,41 |
Thư mục tài liệu tham khảo
[1] TCNB - Sb: S/2018 Đất đá quặng antimon - Xác định hàm lượng Lưu huỳnh (S) - Phương pháp khối lượng
[2] T.C.N.07 - II PTH/94 Tiêu chuẩn phân tích thành phần hóa học quặng antimon - Phương pháp khối lượng xác định hàm lượng lưu huỳnh.
Bạn chưa Đăng nhập thành viên.
Đây là tiện ích dành cho tài khoản thành viên. Vui lòng Đăng nhập để xem chi tiết. Nếu chưa có tài khoản, vui lòng Đăng ký tại đây!