- Tổng quan
- Nội dung
- Tiêu chuẩn liên quan
- Lược đồ
- Tải về
Tiêu chuẩn TCVN 14195-1:2024 Đất, đá quặng antimon - Phần 1: Xác định hàm lượng antimon và hàm lượng asen
| Số hiệu: | TCVN 14195-1:2024 | Loại văn bản: | Tiêu chuẩn Việt Nam |
| Cơ quan ban hành: | Bộ Khoa học và Công nghệ | Lĩnh vực: | Tài nguyên-Môi trường , Công nghiệp |
| Trích yếu: | Đất, đá quặng antimon - Phần 1: Xác định hàm lượng antimon và hàm lượng asen - Phương pháp oxi hóa khử với chất chuẩn là kali bromat | ||
|
Ngày ban hành:
Ngày ban hành là ngày, tháng, năm văn bản được thông qua hoặc ký ban hành.
|
29/10/2024 |
Hiệu lực:
|
Đã biết
|
| Người ký: | Đang cập nhật |
Tình trạng hiệu lực:
Cho biết trạng thái hiệu lực của văn bản đang tra cứu: Chưa áp dụng, Còn hiệu lực, Hết hiệu lực, Hết hiệu lực 1 phần; Đã sửa đổi, Đính chính hay Không còn phù hợp,...
|
Đã biết
|
TÓM TẮT TIÊU CHUẨN VIỆT NAM TCVN 14195-1:2024
Tiêu chuẩn quốc gia TCVN 14195-1:2024: Xác định hàm lượng antimon từ 0,5% đến 40% và asen từ 0,5% đến 20%
Tiêu chuẩn quốc gia TCVN 14195-1:2024 được ban hành nhằm quy định phương pháp xác định hàm lượng antimon và asen trong đất, đá quặng antimon. Văn bản này được Cục Địa chất Việt Nam biên soạn và có hiệu lực từ ngày ban hành nhưng không có thông tin cụ thể về ngày ban hành. Phương pháp xác định được áp dụng là phương pháp oxy hóa khử với chất chuẩn kali bromat.
Tiêu chuẩn này chỉ rõ rằng hàm lượng antimon cần xác định là từ 0,5% (theo khối lượng) tới 40% (theo khối lượng) và hàm lượng asen trong mẫu là từ 0,5% đến 20%. Tài liệu viện dẫn bao gồm các tiêu chuẩn quốc gia về nước dùng để phân tích, dụng cụ thí nghiệm và quy trình gia công mẫu.
Nguyên tắc của phương pháp xác định phần trăm khối lượng antimon và asen bao gồm việc phân hủy mẫu bằng axit nitric (HNO3) và axit sunfuric (H2SO4), sau đó tách chúng ở dạng sunfua bằng thioaxetamid và xác định theo phương pháp oxy hóa khử với kali bromat trong môi trường axit, với chỉ thị màu là mêtyl da cam.
Tiêu chuẩn cũng quy định rõ các hóa chất và nồng độ cần thiết, ví dụ như dung dịch kali bromat có nồng độ 0,05 N và 0,025 N, và chỉ dẫn cách chuẩn bị thuốc thử một cách cụ thể nhằm đảm bảo độ chính xác của phép phân tích.
Phương pháp tiến hành chuẩn bị mẫu thử cũng được nêu rõ, yêu cầu các thao tác cẩn thận để lọc kết tủa và rửa sạch với axit clohidric, đảm bảo không làm ảnh hưởng đến kết quả cuối cùng. Việc xác định hàm lượng asen và antimon sẽ dựa vào thể tích kali bromat tiêu tốn trong quá trình chuẩn độ.
Cuối cùng, tiêu chuẩn quy định cách tính kết quả phân tích và trình bày báo cáo thử nghiệm với các thông tin cần thiết để đảm bảo tính minh bạch và chính xác cho các thử nghiệm diễn ra. Bảng xác định độ lệch cho các mức hàm lượng antimon và asen theo quy định của tiêu chuẩn cũng là nội dung quan trọng, cho phép người thực hiện đánh giá độ chính xác của kết quả phân tích.
Tải tiêu chuẩn Việt Nam TCVN 14195-1:2024
TIÊU CHUẨN QUỐC GIA
TCVN 14195-1:2024
ĐẤT, ĐÁ QUẶNG ANTIMON - PHẦN 1: XÁC ĐỊNH HÀM LƯỢNG ANTIMON VÀ HÀM LƯỢNG ASEN - PHƯƠNG PHÁP OXI HÓA KHỬ VỚI CHẤT CHUẨN LÀ KALI BROMAT
Soils, rocks antimony ores - Part 1: Determination of antimony content and arsenic content - Redox titration with potassium bromate method
Lời nói đầu
TCVN 14195-1:2024 do Cục Địa chất Việt Nam biên soạn, Bộ Tài nguyên và Môi trường đề nghị, Tổng Cục Tiêu chuẩn Đo lường Chất lượng thẩm định, Bộ Khoa học và Công nghệ công bố.
Bộ TCVN 14195 Đất, đá quặng antimon gồm các phần sau:
| 1 | TCVN 14195-1:2024 | Phần 1: Xác định hàm lượng antimon và hàm lượng asen - Phương pháp oxi hóa khử với chất chuẩn là kali bromat |
| 2 | TCVN 14195-2:2024 | Phần 2: Xác định hàm lượng lưu huỳnh - Phương pháp khối lượng |
| 3 | TCVN 14195-3:2024 | Phần 3: Xác định hàm lượng chì - Phương pháp quang phổ hấp thụ nguyên tử |
ĐẤT, ĐÁ QUẶNG ANTIMON - PHẦN 1: XÁC ĐỊNH HÀM LƯỢNG ANTIMON VÀ HÀM LƯỢNG ASEN - PHƯƠNG PHÁP OXI HÓA KHỬ VỚI CHẤT CHUẨN LÀ KALI BROMAT
Soils, rocks antimony ores - Part 1: Determination of antimony content and arsenic content - Redox titration with potassium bromate method
1 Phạm vi áp dụng
Tiêu chuẩn này quy định phương pháp oxit hóa khử với chất chuẩn là kali bromat xác định hàm lượng antimon và hàm lượng asen. Antimon có hàm lượng từ 0,5 % (theo khối lượng) đến 40 % (theo khối lượng) và asen có hàm lượng từ 0,5 % (theo khối lượng) đến 20 % (theo khối lượng).
2 Tài liệu viện dẫn
Các tài liệu viện dẫn sau rất cần thiết cho việc áp dụng tiêu chuẩn này. Đối với các tài liệu viện dẫn ghi năm công bố thì áp dụng phiên bản được nêu. Đối với các tài liệu viện dẫn không ghi năm công bố thì áp dụng phiên bản mới nhất, bao gồm cả các sửa đổi, bổ sung (nếu có).
TCVN 4851 (ISO 3696), Nước dùng để phân tích trong phòng thí nghiệm - Yêu cầu kỹ thuật và phương pháp thử.
TCVN 7153 (ISO 1042), Dụng cụ thí nghiệm bằng thủy tinh - Bình định mức.
TCVN 9924:2013, Đất, đá quặng - Quy trình gia công mẫu sử dụng cho các phương pháp phân tích hóa học, hóa lý, rơnghen, nhiệt.
3 Nguyên tắc
Mẫu sau khi phân hủy bằng hỗn hợp axit HNO3 và H2SO4. Antimon và asen được tách ra khỏi các nguyên tố đi kèm ở dạng sunfua bằng thioaxetamid. Bằng cách thay đổi nồng độ axit của môi trường. Hàm lượng antimon và hàm lượng asen được xác định bằng phương pháp oxy hóa - khử với chất chuẩn là kali bromat trong môi trường axit, chỉ thị là mêtyl da cam.
4 Thuốc thử
Trong qua trình phân tích, chỉ sử dụng thuốc thử loại siêu tinh khiết phân tích và nước phù hợp với TCVN 4851 (ISO 3696)
4.1 Axit nitric HNO3, d= 1,40.
4.2 Axit clohidric HCl, d=1,19; dung dịch (2+1).
4.3 Axit sunfuric H2SO4, d=1,84; các dung dịch (1+1) và dung dịch (2+1), dung dịch (1+5).
4.4 Thioaxetamid CH3CSNH2, dung dịch 20 % mới pha. Hòa tan 200 gam thioaxetamid trong nước vào cốc 1 lít, định mức đến vạch bằng nước cất, khuấy đều.
4.5 Natri hidroxit NaOH, dung dịch 10 %. Hòa tan 100 gam NaOH trong 1 lit nước, khuấy đều
4.6 Amoni sunfat (NH4)2SO4, dung dịch 3 %. Hòa tan 30 gam amoni sunfat trong cốc 1 lít, định mức bằng nước cất đến vạch, khuấy đều.
4.7 Metyl da cam, dung dịch 0,1 %. Hòa tan 0,1 gam metyl da cam tinh thể trong bình 100 ml, định mức bằng nước cất đến vạch, lắc đều, bảo quản trong bình thủy tinh tối màu, có nút kín.
4.8 Kali bromat KBrO3, dung dịch chuẩn 0,05 N, 0,025 N.
Hòa tan 1,3918 gam kali bromat vào bình định mức 1 lít, thêm nước đến vạch, lắc kĩ. Dung dịch thu được có nồng độ 0,05 N. Pha loãng gấp đôi dung dịch trên sẽ thu được dung dịch có nồng độ 0,025 N. Tiêu chuẩn hóa dung dịch kali bromat theo dung dịch natri thiosunfat (4.10): Dùng pipet lấy chính xác 25 ml dung dịch kali bromat 0,05 N vào bình nón dung tích 250 ml, thêm 5 ml axit clohidric (4.2) 4 N hoặc 5 ml axit sunfuric (1+5) (4.3), 10 ml dung dịch kali iodua 10 % (4.9), để yên trong bóng tối 10 min, thêm nước đến thể tích 200 ml, chuẩn độ bằng dung dịch natri thiosunfat 0,05 N (4.10) đến khi dung dịch có màu vàng nhạt, thêm 2 ml ÷ 3 ml hồ tinh bột 0,5 % và chuẩn độ tiếp đến khi dung dịch mất màu. Tiến hành song song 3 đến 4 thí nghiệm, ghi thể tích dung dịch natri thiosunfat đã tiêu tốn. Nồng độ chính xác của dung dịch kali bromat được tính theo công thức:
![]()
Trong đó:
N1: Nồng độ (N) của dung dịch kali bromat;
V1: Thể tích dung dịch kali bromat lấy để xác định, tính bằng mililit (ml):
N2: Nồng độ (N) của dung dịch natri thiosunfat;
V2: Thể tích dung dịch natri thiosunfat tiêu tốn trong quá trình chuẩn độ, tính bằng mililit (ml).
4.9 Dung dịch Kali iodua KI 10 %. Hòa tan 10 gam kali iodua trong 100 ml nước, khuấy đều.
4.10 Dung dịch Natri thiosunfat Na2S2O3 0,05 N. Pha từ ống chuẩn Natri thiosunfat 0,1 N. Dùng nước cất đun sôi để nguội hòa tan lượng Natri thiosunfat có trong fixanal vào cốc 500 ml, sau đó chuyển toàn bộ vào bình định mức 1 lít, định mức đến vạch bằng nước, lắc kỹ. Ta có dung dịch Na2S2O3 0,1 N. Từ dung dịch này pha loãng gấp đôi sẽ thu được dung dịch Na2S2O3 có nồng độ 0,05 N. Chuyển dung dịch vào bình nâu đen có nút kín và để trong bóng tối cho ổn (rồi xác định lại bằng dung dịch K2Cr2O7 0,05 N)
4.11 Bạc nitrat AgNO3, dung dịch 1 %. Hòa tan 1 gam bạc nitrat AgNO3 tinh thể trong bình 100 ml, định mức bằng nước cất đến vạch, lắc đều, bảo quản trong bình thủy tinh tối màu, có nút kín.
5 Thiết bị, dụng cụ
Trong tiêu chuẩn này sử dụng các thiết bị, dụng cụ thông thường trong phòng thử nghiệm và các thiết bị, dụng cụ sau:
5.1 Cân phân tích có độ chính xác đến 0,0001 gam;
5.2 Bếp gia nhiệt
5.3 Bình nón 100 ml; 250 ml; 500 ml;
5.4 Phễu Φ 3;
5.5 Tủ sấy có thể đặt nhiệt độ ở 105 °C ± 2 °C.
6 Chuẩn bị mẫu thử
Chuẩn bị và gia công mẫu thử theo TCVN 9924:2013.
7 Cách tiến hành
Cân 0,5000 gam đã được sấy khô ở 105 °C trong 2 h vào bình nón dung tích 100 ml (5.3), thấm ướt mẫu bằng vài giọt nước. Thêm vào đó 10 ml ÷ 15 ml axit nitric HNO3 d=1,40 (4.1). Đun sôi nhẹ trên bếp điện khoảng 15 min, để nguội bớt, thêm 5 ml ÷ 10 ml axit sunfuric H2SO4 dung dịch (1+1) (4.3), đun tiếp cho đến khi thoát ra nhiều SO3 trong khoảng 30 min ÷ 40 min. Sau đó để nguội.
Thêm vào đó 15 ml nước cất (tia tráng thành bình), dùng đũa thủy tinh dầm nát bã, nếu cần đun nóng nhẹ cho tan muối. Để nguội. Thêm 40 ml axit clohidric HCl đặc (d=1,19) (4.2) và 5 ml dung dịch thioxetamid CH3CSNH2 20 % (4.4) lắc kĩ. Nếu thấy có kết tủa màu đỏ tách ra thì thêm axit clohidric HCl đặc (d=1,19) (4.2) từng ít một vào bình và lắc kĩ cho đến khi tan hết kết tủa màu đỏ.
Để yên kết tủa 6 h ÷ 8 h (hoặc để qua đêm). Lọc kết tủa qua giấy lọc chảy trung bình đã được thấm ướt bằng axit clohidric HCl (2+1) (4.2). Hứng dung dịch lọc vào bình nón dung tích 500 ml (5.3). Rửa bình và kết tủa bằng axit clohidric HCl (2+1) (4.2) từ 8 lần ÷ 10 lần.
Chuyển phễu (5.4) có giấy lọc và tủa sang bình nón dung tích 250 ml (5.3). Phần nước lọc được giữ lại để xác định antimon.
Xác định hàm lượng asen:
Hòa tan kết tủa asen sunfua trên giấy lọc bằng dung dịch natri hidroxit NaOH 10 % (4.5) nóng vào bình nón dung tích 250 ml (5.3). Sau đó rửa kĩ giấy lọc bằng dung dịch natri hidroxit NaOH (4.5) loãng 2 % nóng. Thêm vào bình nón 35 ml ÷ 40 ml axit sunfuric H2SO4 (2+1) (4.3), đun nóng đến thoát khí SO3. Thêm vào đó 1 cm2 ÷ 2 cm2 giấy lọc, đậy bình bằng phễu ϕ 3 (5.6) và tiếp tục đun cho đến khi dung dịch trắng hoàn toàn. Để nguội. Tráng phễu (5.6) và thành bình bằng nước cất, thêm nước đến 70 ml ÷ 80 ml, để nguội đến khoảng 70 °C ÷ 80 °C. Thêm vào đó 20 ml axit clohidric HCl d=1,19 (4.2), 2 ÷ 3 giọt chỉ thị metyl da cam (4.7) và chuẩn độ nóng đến mất màu hồng của chỉ thị bằng dung dịch Kali bromat KBrO3 0,05 N hoặc 0,025 N (4.8). Quá trình chuẩn độ tiến hành chậm và lắc kĩ. Ghi lấy thể tích Kali bromat tiêu tốn (V1)
Làm mẫu trắng thuốc thử đồng thời với mẫu phân tích.
Xác định hàm lượng antimon:
Phần dung dịch lọc thêm nước cất đến thể tích gấp 3,5 lần thể tích dung dịch lọc chứa trong bình nón dung tích 500 ml (5.3) (để dung dịch trong bình có nồng độ axit clohidric HCl là (1+4)). Thêm 2 ml dung dịch thioaxetamid CH3CSNH2 20 % (4.4). Đun trên bếp điện (5.2) đến khoảng 60 °C ÷ 80 °C, lắc kĩ. Để yên 6 h ÷ 8 h (hoặc để cách đêm).
Lọc kết tủa antimon sunfua bằng giấy lọc chảy trung bình. Rửa bình và kết tủa bằng dung dịch amoni sunfat (NH4)2SO4 3 % (4.6) ấm cho đến sạch ion Cl-.
Hòa tan kết tủa antimon sunfua trên giấy lọc bằng dung dịch natri hidroxit NaOH 10 % (4.5) nóng vào bình nón dung tích 250 ml (5.3). Sau đó rửa kĩ giấy lọc bằng dung dịch natri hidroxit NaOH loãng (2 % ÷ 3 %) (4.5) nóng. Thêm vào bình nón (5.3) 35 ml ÷ 40 ml axit sunfuric H2SO4 (2+1) (4.3), đun nóng cho đến khi thoát khí SO3. Thêm vào đó 1 cm2 ÷ 2 cm2 giấy lọc, đậy bình bằng phễu Φ 3 (5.4) và tiếp tục đun cho đến khi dung dịch trắng hoàn toàn. Để nguội. Tráng phễu (5.4) và thành bình bằng nước cất, thêm nước đến 70 ml ÷ 80 ml, đun nóng đến khoảng 70 °C ÷ 80 °C.
Thêm vào đó 20 ml axit clohidric HCl d=1,19 (4.2), 2+3 giọt chỉ thị metyl da cam (4.7) và chuẩn độ nóng đến mất màu hồng của chỉ thị bằng dung dịch Kali bromat KBrO3 0,05 N hoặc 0,025 N (4.8). Quá trình chuẩn độ tiến hành chậm và lắc kĩ. Ghi lấy thể tích Kali bromat KBrO3 tiêu tốn (V1).
Làm mẫu trắng thuốc thử đồng thời với mẫu phân tích.
8 Tính kết quả
8.1 Tính hàm lượng asen và hàm lượng antimon
Hàm lượng asen và hàm lượng antimon của mẫu thử, tính theo phần trăm khối lượng được xác định theo công thức sau:
![]()
trong đó:
T: Độ chuẩn của dung dịch kali bromat tính theo antimon hoặc asen, tính bằng gam trên mililit (g/ml);
V1: Thể tích dung dịch kali bromat tiêu tốn khi chuẩn độ antimon hoặc asen, tính bằng mililit (ml):
V2: Thể tích dung dịch kali bromat tiêu tốn khi chuẩn độ mẫu trắng thuốc thử tương ứng, tính bằng mililit (ml);
G: Lượng cân mẫu, tính bằng gam (g);
T (độ chuẩn) được xác định theo công thức:
![]()
Trong đó:
N1: Nồng độ (N) của dung dịch kali bicromat;
Đg: đương lượng gam của antimon 40,60 gam và đương lượng gam của asen 24,97 gam;
Kết quả được lấy chính xác đến 2 chữ số sau dấu phẩy.
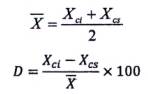
8.2 Sai lệch phép phân tích song song
Sai lệch lớn nhất giữa hai kết quả mẫu phân tích song song không vượt quá giá trị độ lệch tương đối D trong bảng 1 và bảng 2:

Trong đó:
D là độ lệch tương đối của hai kết quả mẫu phân tích song song, (%);
Xci là kết quả phân tích mẫu cơ bản;
Xcs là kết quả phân tích mẫu song song;
là giá trị trung bình của hai kết quả mẫu phân tích song song.
Bảng 1 - Độ lệch tương đối phép phân tích song song của Sb
| Số TT | Cấp hàm lượng Sb | D |
| (%) | (%) | |
| 3 | Từ 0,5 đến nhỏ hơn 1,0 | 28 |
| 4 | Từ 1,0 đến nhỏ hơn 2,0 | 19 |
| 5 | Từ 2,0 đến nhỏ hơn 5,0 | 12 |
| 6 | Từ 5,0 đến nhỏ hơn 10,0 | 6,0 |
| 7 | Từ 10,0 đến nhỏ hơn 20,0 | 3,8 |
| 8 | Từ 20,0 đến nhỏ hơn 30,0 | 2,5 |
| 9 | Từ 20,0 đến nhỏ hơn 40,0 | 1,7 |
Bảng 2 - Độ lệch tương đối phép phân tích song song của As
| Số TT | Cấp hàm lượng As (%) | D (%) |
| 3 | Từ 0,5 đến nhỏ hơn 1,0 | 28 |
| 4 | Từ 1,0 đến nhỏ hơn 2,0 | 19 |
| 5 | Từ 2,0 đến nhỏ hơn 5,0 | 12 |
| 6 | Từ 5,0 đến nhỏ hơn 10,0 | 6,0 |
| 7 | Từ 10,0 đến nhỏ hơn 20,0 | 3,8 |
9 Báo cáo thử nghiệm
Báo cáo thử nghiệm bao gồm các thông tin sau:
a) Viện dẫn tiêu chuẩn này;
b) Nhận dạng mẫu thử;
c) Tên và địa chỉ phòng thử nghiệm;
d) Ngày tiến hành thử nghiệm;
e) Kết quả thử nghiệm;
f) Mọi thao tác không quy định trong tiêu chuẩn này hoặc được coi là tùy chọn và các yếu tố có thể ảnh hưởng đến kết quả thử nghiệm.
PHỤ LỤC A
(Tham khảo)
Các kết quả các mẫu lặp ở các cấp hàm lượng khác nhau
Bảng 1. Kết quả mẫu lặp xác định hàm lượng Sb
| Cấp hàm lượng Sb (%) | Số hiệu mẫu | Kết quả mẫu xác nhận (%) | Kết quả KN lần 1 (%) | Kết quả KN lần 2 (%) | Kết quả KN lần 3 (%) | Sai số tương đối (S1) | Sai số tương đối (S2) | Sai số tương đối (S3) |
| 0,5 - < 1,0 | MS 01 | 0,57 | 0,59 | 0,60 | 0,56 | 3,45 | 5,13 | 1,77 |
| MS 02 | 0,80 | 0,79 | 0,74 | 0,83 | 1,26 | 7,79 | 3,68 | |
| 1,0 - < 2,0 | MC S1 | 1,21 | 1,22 | 1,26 | 1,24 | 0,82 | 4,05 | 2,45 |
| MS 03 | 1,85 | 1,80 | 1,90 | 1,74 | 2,74 | 2,67 | 6,13 | |
| 2,0 - < 5,0 | MS 04 | 2,28 | 2,30 | 2,24 | 2,32 | 0,87 | 1,77 | 1,74 |
| MS 05 | 3,79 | 3,70 | 3,84 | 3,60 | 2,40 | 1,31 | 5,14 | |
| 5,0 - < 10,0 | MS 06 | 5,09 | 5,12 | 5,20 | 5,01 | 0,59 | 2,14 | 1,58 |
| MS 07 | 8,59 | 8,70 | 8,50 | 8,76 | 1,27 | 1,05 | 1,96 | |
| 10,0 - < 20,0 | MS 08 | 11,42 | 11,50 | 11,60 | 11,30 | 0,70 | 1,56 | 1,06 |
| MS 09 | 13,52 | 13,34 | 13,60 | 13,74 | 1,34 | 0,59 | 1,61 | |
| 20,0 - < 30,0 | MS 10 | 22,03 | 21,80 | 22,36 | 22,20 | 1,05 | 1,49 | 0,77 |
Bảng 2, Kết quả mẫu lặp xác định hàm lượng As
| Cấp hàm lượng As (%) | Số hiệu mẫu | Kết quả mẫu xác nhận (%) | Kết quả KN lần 1 (%) | Kết quả KN lần 2 (%) | Kết quả KN lần 3 (%) | Sai số tương đối (S1) | Sai số tương đối (S2) | Sai số tương đối (S3) |
| 0,5 - < 1,0 | M 1 | 0,65 | 0,70 | 0,60 | 0,75 | 7,41 | 8,00 | 14,29 |
| M 2 | 0,92 | 0,87 | 0,97 | 0,92 | 5,59 | 5,29 | 0,00 | |
| MCS 1 | 0,75 | 0,70 | 0,65 | 0,75 | 6,90 | 14,29 | 0,00 | |
| 1,0 - < 2,0 | M 3 | 1,34 | 1,50 | 1,24 | 1,30 | 11,27 | 7,75 | 3,03 |
| M 4 | 1,48 | 1,53 | 1,43 | 1,58 | 3,32 | 3,44 | 6,54 | |
| 2,0 - < 5,0 | M 5 | 2,66 | 2,80 | 2,56 | 2,86 | 5,13 | 3,83 | 7,25 |
| M 6 | 3,48 | 3,60 | 3,28 | 3,70 | 3,39 | 5,92 | 6,13 | |
| MCS 2 | 3,52 | 3,47 | 3,62 | 3,72 | 1,43 | 2,80 | 5,52 | |
| 5,0 - < 10,0 | M 7 | 5,86 | 5,96 | 6,12 | 5,70 | 1,69 | 4,34 | 2,77 |
| M 8 | 9,59 | 9,40 | 9,69 | 9,75 | 2,00 | 1,04 | 1,65 | |
| 10,0 - < 20,0 | M 9 | 10,36 | 10,50 | 10,26 | 10,64 | 1,34 | 0,97 | 2,67 |
| M 10 | 15,14 | 15,30 | 15,02 | 15,42 | 1,05 | 0,80 | 1,83 |
Thư mục tài liệu tham khảo
[1] TCNB - Sb:Sb/2018 Đất đá quặng antimon - Xác định hàm lượng Antimon (Sb) - Phương pháp oxy hóa - khử
[2] QTNB - Sb: As/2018 Đất đá quặng antimon - Xác định hàm lượng Asen (As) - Phương pháp oxy hóa - khử
[3] T.C.N - Quặng antimon - Phương pháp xác định hàm lượng antimon và asen
Bạn chưa Đăng nhập thành viên.
Đây là tiện ích dành cho tài khoản thành viên. Vui lòng Đăng nhập để xem chi tiết. Nếu chưa có tài khoản, vui lòng Đăng ký tại đây!