- Tổng quan
- Nội dung
- VB gốc
- Tiếng Anh
- Hiệu lực
- VB liên quan
- Lược đồ
-
Nội dung hợp nhất
Tính năng này chỉ có tại LuatVietnam.vn. Nội dung hợp nhất tổng hợp lại tất cả các quy định còn hiệu lực của văn bản gốc và các văn bản sửa đổi, bổ sung, đính chính... trên một trang. Việc hợp nhất văn bản gốc và những văn bản, Thông tư, Nghị định hướng dẫn khác không làm thay đổi thứ tự điều khoản, nội dung.
Khách hàng chỉ cần xem Nội dung hợp nhất là có thể nắm bắt toàn bộ quy định hiện hành đang áp dụng, cho dù văn bản gốc đã qua nhiều lần chỉnh sửa, bổ sung.
- Tải về
Quyết định 34/QĐ-ĐTĐL 2020 Quy trình tính toán thanh toán trong thị trường điện
| Cơ quan ban hành: | Cục Điều tiết điện lực |
Số công báo:
Số công báo là mã số ấn phẩm được đăng chính thức trên ấn phẩm thông tin của Nhà nước. Mã số này do Chính phủ thống nhất quản lý.
|
Đang cập nhật |
| Số hiệu: | 34/QĐ-ĐTĐL | Ngày đăng công báo: | Đang cập nhật |
| Loại văn bản: | Quyết định | Người ký: | Nguyễn Anh Tuấn |
|
Ngày ban hành:
Ngày ban hành là ngày, tháng, năm văn bản được thông qua hoặc ký ban hành.
|
27/02/2020 |
Ngày hết hiệu lực:
Ngày hết hiệu lực là ngày, tháng, năm văn bản chính thức không còn hiệu lực (áp dụng).
|
Đang cập nhật |
|
Áp dụng:
Ngày áp dụng là ngày, tháng, năm văn bản chính thức có hiệu lực (áp dụng).
|
Đã biết
|
Tình trạng hiệu lực:
Cho biết trạng thái hiệu lực của văn bản đang tra cứu: Chưa áp dụng, Còn hiệu lực, Hết hiệu lực, Hết hiệu lực 1 phần; Đã sửa đổi, Đính chính hay Không còn phù hợp,...
|
Đã biết
|
| Lĩnh vực: | Công nghiệp, Điện lực |
TÓM TẮT QUYẾT ĐỊNH 34/QĐ-ĐTĐL
Ngày 27/02/2020, Cục Điều tiết điện lực đã ban hành Quyết định 34/QĐ-ĐTĐL năm 2020 về Quy trình tính toán thanh toán trong thị trường điện.
Theo đó, đơn vị vận hành hệ thống điện và thị trường điện có trách nhiệm quy đổi số liệu đo đếm về đầu cực các tổ máy phát điện và ngược lại để phục vụ tính toán giá điện năng thị trường, công suất lập lịch thanh toán và lập bảng kê thanh toán, tính toán các phần sản lượng điện năng của nhà máy điện trong chu kỳ giao dịch phục vụ thanh toán trong thị trường điện.
Bên cạnh đó, việc phân bổ sản lượng đo đếm cho các đơn vị phát điện trực tiếp giao dịch phải đảm bảo các nguyên tắc sau: Sử dụng hệ số quy đổi chung của nhà máy cho từng tổ máy; Phản ánh đúng sản lượng điện năng phát sai khác so với sản lượng huy động theo lệnh điều độ (Qdu) khi thay đổi cấu hình tự dùng của nhà máy; Xử lý được các trường hợp đặc biệt trong thiết kế hệ thống đo đếm của nhà máy;…
Ngoài ra, Cục Điều tiết điện lực cũng quy định cụ thể công thức thanh toán điện năng thị trường, khoản thanh toán theo giá công suất thị trường, khoản thanh toán sai khác trong hợp đồng mua bán điện cũng như việc tính toán thanh toán cho đơn vị mua điện,…
Quyết định này có hiệu lực kể từ ngày ký.
Xem chi tiết Quyết định 34/QĐ-ĐTĐL có hiệu lực kể từ ngày 27/02/2020
Tải Quyết định 34/QĐ-ĐTĐL
|
BỘ CÔNG THƯƠNG |
CỘNG HÒA XÃ HỘI CHỦ NGHĨA VIỆT NAM |
|
Số: 34/QĐ-ĐTĐL |
Hà Nội, ngày 27 tháng 02 năm 2020 |
QUYẾT ĐỊNH
BAN HÀNH QUY TRÌNH TÍNH TOÁN THANH TOÁN TRONG THỊ TRƯỜNG ĐIỆN
_________
CỤC TRƯỞNG CỤC ĐIỀU TIẾT ĐIỆN LỰC
Căn cứ Quyết định số 3771/QĐ-BCT ngày 02 tháng 10 năm 2017 của Bộ trưởng Bộ Công Thương quy định chức năng, nhiệm vụ, quyền hạn và cơ cấu tổ chức của Cục Điều tiết điện lực;
Căn cứ Thông tư số 45/2018/TT-BCT ngày 15 tháng 11 năm 2018 của Bộ trưởng Bộ Công Thương quy định vận hành thị trường bán buôn điện cạnh tranh và sửa đổi, bổ sung một số điều của Thông tư số 56/2014/TT-BCT ngày 19 tháng 12 năm 2014 của Bộ trưởng Bộ Công Thương quy định phương pháp xác định giá phát điện, trình tự kiểm tra hợp đồng mua bán điện;
Căn cứ Thông tư số 24/2019/TT-BCT ngày 14 tháng 11 năm 2019 của Bộ trưởng Bộ Công Thương về sửa đổi, bổ sung một số điều của Thông tư số 45/2018/TT-BCT ngày 15 tháng 11 năm 2018 của Bộ trưởng Bộ Công Thương quy định vận hành thị trường bán buôn điện cạnh tranh và sửa đổi, bổ sung một số điều của Thông tư số 56/2014/TT-BCT ngày 19 tháng 12 năm 2014 của Bộ trưởng Bộ Công Thương quy định phương pháp xác định giá phát điện, trình tự kiểm tra hợp đồng mua bán điện;
Theo đề nghị của Trưởng phòng Thị trường điện,
QUYẾT ĐỊNH:
Điều 1. Ban hành kèm theo Quyết định này Quy trình tính toán thanh toán trong thị trường điện hướng dẫn thực hiện Thông tư số 45/2018/TT-BCT ngày 15 tháng 11 năm 2018 của Bộ trưởng Bộ Công Thương quy định vận hành thị trường bán buôn điện cạnh tranh và sửa đổi, bổ sung một số điều của Thông tư số 56/2014/TT-BCT ngày 19 tháng 12 năm 2014 của Bộ trưởng Bộ Công Thương quy định phương pháp xác định giá phát điện, trình tự kiểm tra hợp đồng mua bán điện và Thông tư số 24/2019/TT-BCT ngày 14 tháng 11 năm 2019 của Bộ trưởng Bộ Công Thương sửa đổi, bổ sung một số điều của Thông tư số 45/2018/TT-BCT.
Điều 2. Quyết định này có hiệu lực thi hành kể từ ngày ký.
Điều 3. Chánh Văn phòng Cục, các Trưởng phòng, Giám đốc Trung tâm Nghiên cứu phát triển thị trường điện lực và Đào tạo thuộc Cục Điều tiết điện lực, Tổng giám đốc Tập đoàn Điện lực Việt Nam, Giám đốc các đơn vị điện lực và đơn vị có liên quan chịu trách nhiệm thi hành Quyết định này./.
|
Nơi nhận: |
CỤC TRƯỞNG |
QUY TRÌNH
Tính toán thanh toán trong thị trường điện
(Ban hành kèm theo Quyết định số 34 /QĐ-ĐTĐL
ngày 27 tháng 02 năm 2020 của Cục trưởng Cục Điều tiết điện lực)
Quy định chung
Điều 1. Phạm vi điều chỉnh
Quy trình này quy định về trình tự, phương pháp và trách nhiệm của các đơn vị trong việc điều chỉnh sản lượng hợp đồng của các đơn vị phát điện trực tiếp tham gia thị trường điện, tính toán và lập bảng kê thanh toán, phối hợp xác nhận các sự kiện phục vụ công tác tính toán thanh toán trong thị trường bán buôn điện cạnh tranh.
Điều 2. Đối tượng áp dụng
Quy trình này áp dụng đối với các đơn vị tham gia thị trường điện sau đây:
1. Đơn vị vận hành hệ thống điện và thị trường điện.
2. Đơn vị mua buôn điện.
3. Đơn vị phát điện.
4. Đơn vị truyền tải điện.
5. Tập đoàn Điện lực Việt Nam.
Điều 3. Giải thích từ ngữ
Trong Quy trình này, các từ ngữ dưới đây được hiểu như sau:
1. AGC (viết tắt theo tiếng Anh: Automatic Generation Control) là hệ thống thiết bị tự động điều chỉnh tăng giảm công suất tác dụng của tổ máy phát điện nhằm duy trì tần số của hệ thống điện ổn định trong phạm vi cho phép theo nguyên tắc vận hành kinh tế tổ máy phát điện.
2. Bản chào giá là bản chào bán điện năng lên thị trường điện của mỗi tổ máy, được đơn vị chào giá nộp cho Đơn vị vận hành hệ thống điện và thị trường điện theo mẫu bản chào giá quy định tại Quy trình lập lịch huy động và thời gian thực do Cục Điều tiết điện lực ban hành.
3. Bản chào giá lập lịch là bản chào giá được Đơn vị vận hành hệ thống điện và thị trường điện chấp nhận để lập lịch huy động ngày tới, chu kỳ giao dịch tới.
4. Bảng kê thanh toán là bảng tính toán các khoản thanh toán cho đơn vị phát điện trực tiếp giao dịch và các đơn vị mua điện được Đơn vị vận hành hệ thống điện và thị trường điện lập cho mỗi ngày giao dịch và cho mỗi chu kỳ thanh toán.
5. Can thiệp vào thị trường điện là hành động thay đổi chế độ vận hành bình thường của thị trường điện mà Đơn vị vận hành hệ thống điện và thị trường điện phải áp dụng để xử lý các tình huống quy định tại Điều 64 Thông tư số 45/2018/TT-BCT.
6. Chu kỳ thanh toán là chu kỳ lập chứng từ, hoá đơn cho các khoản giao dịch trên thị trường điện trong khoảng thời gian 01 tháng, tính từ ngày 01 hàng tháng.
7. Công suất công bố là mức công suất sẵn sàng lớn nhất của tổ máy phát điện được đơn vị chào giá hoặc Đơn vị vận hành hệ thống điện và thị trường điện và đơn vị phát điện ký hợp đồng cung cấp dịch vụ phụ trợ công bố theo lịch vận hành thị trường điện.
8. Công suất điều độ là mức công suất của tổ máy phát điện được Đơn vị vận hành hệ thống điện và thị trường điện huy động thực tế trong chu kỳ giao dịch.
9. Công suất huy động chu kỳ giao dịch tới là mức công suất của tổ máy phát điện dự kiến được huy động cho chu kỳ giao dịch đầu tiên trong lịch huy động chu kỳ giao dịch tới.
10. Công suất huy động ngày tới là mức công suất của tổ máy phát điện dự kiến được huy động cho các chu kỳ giao dịch trong lịch huy động ngày tới theo kết quả lập lịch có ràng buộc.
11. Công suất phát tăng thêm là phần công suất chênh lệch giữa công suất điều độ và công suất được sắp xếp trong lịch tính giá thị trường của tổ máy phát điện.
12. Cụm nhà máy điện tuabin khí bao gồm các nhà máy: Phú Mỹ 1, Phú Mỹ 4, Phú Mỹ 2.1, Nhơn Trạch 1, Nhơn Trạch 2.
13. Dịch vụ phụ trợ là các dịch vụ điều khiển tần số thứ cấp, khởi động nhanh, dự phòng vận hành phải phát để đảm bảo an ninh hệ thống điện, điều chỉnh điện áp và khởi động đen.
14. Dịch vụ dự phòng điều chỉnh tần số là dịch vụ phụ trợ phục vụ công tác điều khiển tần số thứ cấp theo Quy định hệ thống điện truyền tải do Bộ Công Thương ban hành.
15. Điện năng phát tăng thêm là lượng điện năng phát của tổ máy phát điện do được huy động tương ứng với công suất phát tăng thêm.
16. Đơn vị chào giá là đơn vị trực tiếp nộp bản chào giá trong thị trường điện, bao gồm đơn vị phát điện hoặc nhà máy điện được đăng ký chào giá trực tiếp và đơn vị đại diện chào giá cho nhóm nhà máy thủy điện bậc thang.
17. Đơn vị mua buôn điện là đơn vị điện lực có chức năng mua buôn điện trên thị trường điện giao ngay (tại các điểm giao nhận giữa lưới truyền tải điện và lưới phân phối điện tại các điểm giao nhận với các nhà máy điện trên lưới phân phối). Trong giai đoạn đầu vận hành thị trường điện, đơn vị mua buôn điện bao gồm 05 Tổng công ty Điện lực thuộc Tập đoàn Điện lực Việt Nam (Tổng công ty Điện lực miền Bắc, miền Trung, miền Nam, Thành phố Hà Nội và Thành phố Hồ Chí Minh).
18. Đơn vị mua điện là đơn vị tham gia thị trường bán buôn điện với vai trò là bên mua điện, bao gồm đơn vị mua buôn điện và Tập đoàn Điện lực Việt Nam (Công ty Mua bán điện - đơn vị được Tập đoàn Điện lực Việt Nam ủy quyền thực hiện chức năng mua điện).
19. Đơn vị nhập khẩu điện là đơn vị điện lực có chức năng ký kết và quản lý các hợp đồng nhập khẩu điện, trong đó các điểm giao nhận nhập khẩu trên lưới điện truyền tải có đấu nối hoặc không đấu nối vào hệ thống điện quốc gia theo quy định.
20. Đơn vị phát điện là đơn vị sở hữu một hoặc nhiều nhà máy điện tham gia thị trường điện và ký hợp đồng mua bán điện cho các nhà máy điện này với Đơn vị mua điện.
21. Đơn vị phát điện gián tiếp giao dịch là đơn vị phát điện có nhà máy điện không chào giá trực tiếp trên thị trường điện và không áp dụng cơ chế thanh toán trên thị trường điện.
22. Đơn vị phát điện trực tiếp giao dịch là đơn vị phát điện có nhà máy điện được chào giá, lập lịch huy động theo bản chào giá và tính toán thanh toán theo quy định tại Chương VIII Thông tư số 45/2018/TT-BCT ngày 15 tháng 11 năm 2018 của Bộ trưởng Bộ Công Thương về quy định vận hành thị trường bán buôn điện cạnh tranh và sửa đổi, bổ sung một số điều của Thông tư số 56/2014/TT-BCT ngày 19 tháng 12 năm 2014 của Bộ trưởng Bộ Công Thương về quy định phương pháp xác định giá phát điện, trình tự kiểm tra hợp đồng mua bán điện (sau đây viết tắt là Thông tư số 45/2018/TT-BCT).
23. Đơn vị quản lý số liệu đo đếm điện năng là đơn vị quản lý vận hành hệ thống thu thập, xử lý, lưu trữ số liệu đo đếm điện năng phục vụ thị trường điện, bao gồm Đơn vị vận hành hệ thống điện và thị trường điện, đơn vị phát điện, đơn vị truyền tải điện, đơn vị mua buôn điện theo phạm vi quản lý số liệu đo đếm của đơn vị.
24. Đơn vị truyền tải điện là đơn vị điện lực được cấp phép hoạt động điện lực trong lĩnh vực truyền tải điện, chịu trách nhiệm quản lý, vận hành lưới điện truyền tải quốc gia.
25. Đơn vị vận hành hệ thống điện và thị trường điện là đơn vị chỉ huy điều khiển quá trình phát điện, truyền tải điện, phân phối điện trong hệ thống điện quốc gia, điều hành giao dịch thị trường điện.
26. Giá công suất thị trường là mức giá tính toán cho mỗi chu kỳ giao dịch và áp dụng để tính toán khoản thanh toán công suất cho các đơn vị phát điện trong thị trường điện.
27. Giá sàn bản chào là mức giá thấp nhất mà đơn vị chào giá được phép chào cho một tổ máy phát điện trong bản chào giá ngày tới.
28. Giá điện năng thị trường là mức giá cho một đơn vị điện năng xác định cho mỗi chu kỳ giao dịch, áp dụng để tính toán khoản thanh toán điện năng trong thị trường điện.
29. Giá thị trường điện toàn phần là tổng giá điện năng thị trường và giá công suất thị trường của mỗi chu kỳ giao dịch.
30. Giá trần bản chào là mức giá cao nhất mà đơn vị chào giá được phép chào cho một tổ máy phát điện trong bản chào giá ngày tới.
31. Giá trần thị trường điện là mức giá điện năng thị trường cao nhất, được xác định cho từng năm.
32. Giá trị nước là mức giá biên kỳ vọng tính toán cho lượng nước tích trong các hồ thủy điện khi được sử dụng để phát điện thay thế cho các nguồn nhiệt điện trong tương lai, tính quy đổi cho một đơn vị điện năng.
33. Hệ thống thông tin thị trường điện là hệ thống các trang thiết bị và cơ sở dữ liệu phục vụ quản lý, trao đổi thông tin thị trường điện do Đơn vị vận hành hệ thống điện và thị trường điện quản lý.
34. Hợp đồng mua bán điện là hợp đồng mua bán điện ký kết giữa đơn vị mua điện với đơn vị phát điện trực tiếp giao dịch theo mẫu do Bộ Công Thương ban hành.
35. Khởi động và hòa lưới thành công là sự kiện tổ máy hoàn thành lệnh Hòa lưới tổ máy của Đơn vị vận hành hệ thống điện và thị trường điện và có sản lượng điện đo đếm được trong tối thiểu 01 (một) chu kỳ giao dịch liên quan.
36. Lập lịch có ràng buộc là việc sắp xếp thứ tự huy động các tổ máy phát điện theo phương pháp tối thiểu chi phí mua điện có xét đến các ràng buộc kỹ thuật trong hệ thống điện.
37. Lập lịch không ràng buộc là việc sắp xếp thứ tự huy động các tổ máy phát điện theo phương pháp tối thiểu chi phí mua điện không xét đến các ràng buộc trong hệ thống điện.
38. Lịch huy động chu kỳ giao dịch tới là lịch huy động dự kiến của các tổ máy để phát điện và cung cấp dịch vụ phụ trợ cho chu kỳ giao dịch tới và 03 chu kỳ giao dịch trong 03 giờ liền kề sau đó do Đơn vị vận hành hệ thống điện và thị trường điện tính toán, công bố.
39. Lịch huy động ngày tới là lịch huy động dự kiến của các tổ máy để phát điện và cung cấp dịch vụ phụ trợ cho các chu kỳ giao dịch của ngày giao dịch tới do Đơn vị vận hành hệ thống điện và thị trường điện lập.
40. Lịch tính giá điện năng thị trường là lịch do Đơn vị vận hành hệ thống điện và thị trường điện lập sau ngày giao dịch hiện tại để xác định giá điện năng thị trường cho từng chu kỳ giao dịch.
41. Mức nước giới hạn là mức nước thượng lưu thấp nhất của hồ chứa thủy điện cuối mỗi tháng trong năm hoặc cuối mỗi tuần trong tháng do Đơn vị vận hành hệ thống điện và thị trường điện tính toán và công bố theo Quy trình thực hiện đánh giá an ninh hệ thống điện trung hạn và ngắn hạn do Cục Điều tiết điện lực ban hành hướng dẫn thực hiện Quy định hệ thống điện truyền tải do Bộ Công Thương ban hành.
42. Năm N là năm hiện tại vận hành thị trường điện, được tính theo năm dương lịch.
43. Ngày D là ngày giao dịch hiện tại.
44. Ngày giao dịch là ngày diễn ra các hoạt động giao dịch thị trường điện, tính từ 00h00 đến 24h00 hàng ngày.
45. Nhà máy điện BOT là nhà máy điện được đầu tư theo hình thức Xây dựng - Kinh doanh - Chuyển giao thông qua hợp đồng giữa nhà đầu tư và cơ quan nhà nước có thẩm quyền.
46. Nhóm nhà máy thủy điện bậc thang là tập hợp các nhà máy thủy điện, trong đó lượng nước xả từ hồ chứa của nhà máy thuỷ điện bậc thang trên chiếm toàn bộ hoặc phần lớn lượng nước về hồ chứa nhà máy thuỷ điện bậc thang dưới và giữa hai nhà máy điện này không có hồ chứa điều tiết nước lớn hơn 01 tuần.
47. Nút giao dịch là vị trí được sử dụng để xác định sản lượng điện năng giao nhận cho các giao dịch mua bán điện trên thị trường điện giao ngay trong thị trường điện.
48. Phần mềm lập lịch huy động là hệ thống phần mềm được Đơn vị vận hành hệ thống điện và thị trường điện sử dụng để lập lịch huy động ngày tới và chu kỳ giao dịch tới cho các tổ máy phát điện trong thị trường điện.
49. Phụ tải hệ thống là tổng sản lượng điện năng của toàn hệ thống điện tính quy đổi về đầu cực các tổ máy phát điện và sản lượng điện năng nhập khẩu trong một chu kỳ giao dịch trừ đi sản lượng của các nhà máy phát điện có tổng công suất đặt nhỏ hơn hoặc bằng 30MW không tham gia thị trường điện và sản lượng của các nhà máy thủy điện đáp ứng điều kiện áp dụng quy định về biểu giá chi phí tránh được do Bộ Công Thương ban hành.
50. Sản lượng đo đếm là lượng điện năng đo đếm được của nhà máy điện tại vị trí đo đếm.
51. Thành viên tham gia thị trường điện là đơn vị tham gia vào các hoạt động giao dịch hoặc cung cấp dịch vụ trên thị trường điện, quy định tại Điều 2 Quy trình này.
52. Tháng M là tháng hiện tại vận hành thị trường điện, được tính theo tháng dương lịch.
53. Thị trường điện giao ngay là thị trường thực hiện lập lịch huy động, tính toán giá thị trường theo bản chào và thanh toán theo từng chu kỳ giao dịch trong ngày cho các giao dịch mua bán điện năng giữa các đơn vị phát điện và các đơn vị mua điện.
54. Thiếu công suất là tình huống khi tổng công suất công bố của tất cả các đơn vị phát điện nhỏ hơn nhu cầu phụ tải hệ thống dự báo trong một chu kỳ giao dịch.
55. Thông tin bảo mật là các thông tin mật theo quy định của pháp luật hoặc theo thỏa thuận giữa các bên.
56. Thông tin thị trường là toàn bộ dữ liệu và thông tin liên quan đến các hoạt động của thị trường điện.
57. Thứ tự huy động là kết quả sắp xếp các dải công suất trong bản chào theo nguyên tắc về giá từ thấp đến cao có xét đến các ràng buộc của hệ thống điện.
58. Thừa công suất là tình huống khi tổng lượng công suất được chào ở mức giá sàn của các đơn vị phát điện trực tiếp giao dịch và công suất dự kiến huy động của các nhà máy điện thuộc các đơn vị phát điện gián tiếp giao dịch do Đơn vị vận hành hệ thống điện và thị trường điện công bố trong chu kỳ giao dịch lớn hơn phụ tải hệ thống dự báo.
59. Tổ máy khởi động chậm là tổ máy phát điện không có khả năng khởi động và hoà lưới trong thời gian nhỏ hơn 30 phút.
60. Tổ máy vận hành qua hệ thống ACG là trường hợp tổ máy được kết nối với hệ thống AGC tại Đơn vị vận hành hệ thống điện và thị trường điện để điều khiển công suất tác dụng theo chế độ điều chỉnh tần số hệ thống điện quốc gia trong phạm vi cho phép.
61. Tuần T là tuần hiện tại vận hành thị trường điện.
62. Vị trí đo đếm là vị trí đặt hệ thống đo đếm điện năng để xác định sản lượng điện năng giao nhận phục vụ thanh toán thị trường điện tuân thủ theo Quy định đo đếm điện năng trong hệ thống điện do Bộ Công Thương ban hành và các quy định khác có liên quan.
Chương II
TÍNH TOÁN THANH TOÁN TRONG THỊ TRƯỜNG ĐIỆN
Mục 1
TÍNH TOÁN THANH TOÁN
CHO ĐƠN VỊ PHÁT ĐIỆN GIAO DỊCH TRỰC TIẾP
Điều 4. Quy đổi sản lượng đo đếm cho các đơn vị phát điện trực tiếp giao dịch
1. Đơn vị vận hành hệ thống điện và thị trường điện có trách nhiệm quy đổi số liệu đo đếm về đầu cực các tổ máy phát điện và ngược lại để phục vụ tính toán giá điện năng thị trường, công suất lập lịch thanh toán và lập bảng kê thanh toán.
2. Việc quy đổi số liệu đo đếm về đầu cực các tổ máy phát điện và ngược lại được tính toán bằng hệ số quy đổi do đơn vị mua điện và đơn vị phát điện thoả thuận và được đơn vị mua điện cung cấp cho Đơn vị vận hành hệ thống điện và thị trường điện.
Điều 5. Nguyên tắc phân bổ sản lượng đo đếm cho các đơn vị phát điện trực tiếp giao dịch
Đơn vị vận hành hệ thống điện và thị trường điện có trách nhiệm tính toán phân bổ sản lượng đo đếm của nhà máy điện về từng tổ máy điện và quy đổi về đầu cực máy phát điện theo nguyên tắc sau:
1. Sử dụng hệ số quy đổi chung của nhà máy cho từng tổ máy.
2. Phản ánh đúng sản lượng điện năng phát sai khác so với sản lượng huy động theo lệnh điều độ (Qdu) khi thay đổi cấu hình tự dùng của nhà máy.
3. Xử lý được các trường hợp đặc biệt trong thiết kế hệ thống đo đếm của nhà máy (trường hợp các tổ máy chung một công tơ đo đếm, không xác định được rõ công tơ đo đếm nào cho tổ máy nào).
4. Phân bổ sản lượng đo đếm về từng tổ máy điện được thực hiện căn cứ trên việc phân bổ sản lượng đo đếm cả nhà máy với trọng số công tơ đầu cực (nếu có) hoặc theo sản lượng tính theo mệnh lệnh điều độ (Qdd), trong đó có một tổ máy được phân bổ sản lượng bằng sản lượng nhà máy trừ đi tổng sản lượng các tổ máy còn lại.
5. Trong trường hợp tổ máy vận hành qua hệ thống AGC không có số liệu thu thập từ công tơ đầu cực và không xác định được Qdd, sản lượng đo đếm được phân bổ theo tỷ trọng công suất lập lịch chu kỳ tới của tổ máy.
6. Phân bổ sản lượng đo đếm của tổ máy đuôi hơi (ST) vào từng tổ máy tuabin khí khi vận hành chu trình hỗn hợp được thực hiện theo tỷ lệ sản lượng đo đếm thanh toán của tổ máy tuabin khí (GT) và thời gian vận hành chu trình hỗn hợp của tổ máy GT đó.
Điều 6. Xác định giá điện năng thị trường áp dụng cho đơn vị phát điện
1. Sau ngày giao dịch D, Đơn vị vận hành hệ thống điện và thị trường điện có trách nhiệm lập lịch tính giá điện năng thị trường cho từng chu kỳ giao dịch của ngày D theo trình tự sau:
a) Tính toán phụ tải hệ thống trong chu kỳ giao dịch bằng cách quy đổi sản lượng đo đếm về phía đầu cực các tổ máy phát điện;
b) Thực hiện lập lịch tính giá điện năng thị trường theo phương pháp lập lịch không ràng buộc theo trình tự như sau:
- Sắp xếp cố định dưới phần nền của biểu đồ phụ tải hệ thống điện sản lượng phát thực tế của các nhà máy điện gián tiếp tham gia thị trường điện và các nhà máy trực tiếp tham gia thị trường điện nhưng tách ra ngoài thị trường điện trong chu kỳ giao dịch;
- Sắp xếp các dải công suất trong bản chào giá lập lịch của các đơn vị phát điện trực tiếp giao dịch.
2. Giá điện năng thị trường áp dụng cho đơn vị phát điện bằng giá chào của dải công suất cuối cùng được xếp lịch để đáp ứng mức phụ tải hệ thống trong lịch tính giá điện năng thị trường. Trong trường hợp giá chào của dải công suất cuối cùng trong lịch tính giá điện năng thị trường cao hơn giá trần thị trường, giá điện năng thị trường được tính bằng giá trần thị trường.
Điều 7. Sản lượng điện năng của nhà máy điện phục vụ thanh toán trong thị trường điện
1. Đơn vị vận hành hệ thống điện và thị trường điện có trách nhiệm tính toán các phần sản lượng điện năng của nhà máy điện trong chu kỳ giao dịch phục vụ thanh toán trong thị trường điện, bao gồm:
a) Sản lượng điện năng thanh toán theo giá chào đối với nhà máy nhiệt điện có giá chào cao hơn giá trần thị trường điện (Qbp);
b) Sản lượng điện năng phát tăng thêm (Qcon);
c) Sản lượng điện năng phát sai khác so với sản lượng huy động theo lệnh điều độ (Qdu) trong trường hợp tổ máy điện không vận hành qua hệ thống AGC;
d) Sản lượng điện năng thanh toán theo giá điện năng thị trường (Qsmp).
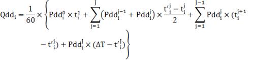
2. Sản lượng điện năng phát sai khác so với sản lượng huy động theo lệnh điều độ (Qdu) của nhà máy điện trong chu kỳ giao dịch được xác định theo trình tự sau:
a) Xác định sản lượng huy động theo lệnh điều độ
Sản lượng huy động theo lệnh điều độ là sản lượng tại đầu cực máy phát được tính toán căn cứ theo lệnh điều độ huy động tổ máy của Đơn vị vận hành hệ thống điện và thị trường điện, căn cứ vào công suất theo lệnh điều độ và tốc độ tăng giảm tải của tổ máy phát điện. Sản lượng huy động theo lệnh điều độ được xác định theo công thức sau:

Trong đó:
i: Chu kỳ giao dịch thứ i;
J: Số lần thay đổi lệnh điều độ trong chu kỳ giao dịch i;
: Thời điểm lần thứ j trong chu kỳ giao dịch i Đơn vị vận hành hệ thống điện và thị trường điện có lệnh điều độ thay đổi công suất của tổ máy phát điện (phút);
: Thời điểm tổ máy đạt được mức công suất do Đơn vị vận hành hệ thống điện và thị trường điện có lệnh điều độ tại thời điểm
(phút);
ΔT: Độ dài thời gian của một chu kỳ giao dịch (phút);
: Sản lượng huy động theo lệnh điều độ tính tại đầu cực máy phát điện xác định cho chu kỳ giao dịch i (MWh);
: Công suất do Đơn vị vận hành hệ thống điện và thị trường điện lệnh điều độ cho tổ máy phát điện tại thời điểm
(MW);
: Công suất tổ máy đạt được tại thời điểm
(MW).
Khoảng thời gian từ thời điểm lệnh điều độ
công suất
đến thời điểm
mà tổ máy phát điện đạt được công suất
được xác định như sau:

Trong đó:
a: Tốc độ tăng giảm tải của tổ máy đăng ký trong bản chào giá lập lịch (MW/phút).
Tốc độ tăng giảm tải của tổ máy đăng ký trong bản chào giá lập lịch phải phù hợp với tốc độ tăng giảm tải được quy định trong hợp đồng mua bán điện. Trường hợp hợp đồng mua bán điện không có tốc độ tăng giảm tải hoặc tốc độ tăng giảm tải trong hợp đồng có sai khác với thực tế, đơn vị phát điện có trách nhiệm xác định các số liệu này theo kết quả thí nghiệm hoặc tổng hợp từ thực tế vận hành của tổ máy và ký kết bổ sung phụ lục hợp đồng về đặc tính kỹ thuật này với đơn vị mua điện để làm căn cứ thanh toán.
b) Thực hiện quy đổi sản lượng huy động theo lệnh điều độ (Qddi ) tính toán về vị trí đo đếm theo quy định tại Điểm a Khoản này;
c) Tính toán chênh lệch giữa sản lượng điện năng đo đếm và sản lượng điện năng huy động theo lệnh điều độ theo công thức sau:
ΔQi=Qmqi – Qddi
Trong đó:
ΔQi : Sản lượng điện năng phát sai khác so với sản lượng huy động theo lệnh điều độ trong chu kỳ giao dịch i (kWh);
: Sản lượng điện năng đo đếm của tổ máy phát điện quy đổi về đầu cực tổ máy phát điện trong chu kỳ giao dịch i (kWh);
Qddi: Sản lượng huy động theo lệnh điều độ của tổ máy phát điện trong chu kỳ giao dịch i được tính toán theo quy định tại Điểm a Khoản này (kWh).
Trường hợp không có lệnh điều độ trong chu kỳ giao dịch i, Qdd được xác định theo công thức:

Trong đó:
Qddi: Sản lượng huy động theo lệnh điều độ của tổ máy phát điện trong chu kỳ giao dịch i (kWh);
: Công suất do Đơn vị vận hành hệ thống điện và thị trường điện lệnh điều độ cho tổ máy phát điện tại thời điểm
(MW);
ΔT: Độ dài thời gian của một chu kỳ giao dịch (phút).
d) Tính toán sản lượng điện năng phát sai khác so với lệnh điều độ của tổ máy phát điện theo nguyên tắc sau:
- Tính toán mức sai lệch cho phép theo công thức sau:
+ Đối với tổ máy phát điện có công suất đặt dưới 100 MW:

+ Đối với tổ máy phát điện có công suất đặt từ 100 MW trở lên:

Trong đó:
: Mức sai lệch cho phép đối với tổ máy phát điện theo từng chu kỳ giao dịch (kWh);
: Sản lượng điện năng huy động theo lệnh điều độ tại đầu cực của tổ máy phát điện (kWh);
ΔT: Độ dài thời gian của một chu kỳ giao dịch (phút).
- Tính toán sản lượng điện năng phát sai khác so với lệnh điều độ trong chu kỳ giao dịch của tổ máy phát điện theo công thức sau:
+ Trường hợp ΔQi ≤ Ɛ: Qdui = 0
+ Trường hợp ΔQi > Ɛ: Qdui = ΔQi × kqd
Trong đó:
Qdui: Sản lượng điện năng phát sai khác so với lệnh điều độ trong chu kỳ giao dịch i của tổ máy phát điện (kWh);
ΔQi : Sản lượng điện năng phát sai khác so với sản lượng huy động theo lệnh điều độ trong chu kỳ giao dịch i (kWh);
kqd: Hệ số quy đổi sản lượng từ đầu cực tổ máy về vị trí đo đếm.
- Tính toán sản lượng điện năng phát sai khác so với lệnh điều độ trong chu kỳ giao dịch của nhà máy điện theo công thức sau:
Qdui = 
Trong đó:
Qdui: Sản lượng điện năng phát sai khác so với lệnh điều độ trong chu kỳ giao dịch i của nhà máy điện (kWh);
Qdui,g: Sản lượng điện năng phát sai khác so với lệnh điều độ trong chu kỳ giao dịch i của tổ máy phát điện g của nhà máy điện (kWh);
G: Tổng số tổ máy phát điện của nhà máy điện.
đ) Trường hợp tổ máy nhiệt điện trong quá trình khởi động hoặc quá trình dừng máy (không phải do sự cố) thì không xét đến sản lượng điện năng phát sai khác so với lệnh điều độ trong giai đoạn này. Trường hợp tổ máy này có ràng buộc kỹ thuật, gây ảnh hưởng đến công suất phát của tổ máy khác của nhà máy điện (các tổ máy tuabin khí vận hành chung đuôi hơi hoặc các trường hợp khác có xác nhận giữa đơn vị phát điện và Đơn vị vận hành hệ thống điện và thị trường điện), không xét đến sản lượng điện năng phát sai khác so với lệnh điều độ của các tổ máy bị ảnh hưởng;
e) Trường hợp tổ máy tham gia dịch vụ dự phòng điều chỉnh tần số thì không xét đến sản lượng điện năng phát sai khác so với lệnh điều độ trong giai đoạn này;
g) Công tơ đo đếm đầu cực tổ máy và công tơ lắp tại các vị trí đo đếm tự dùng của tổ máy (nếu có) được ưu tiên sử dụng để xác định sản lượng thực phát đầu cực của tổ máy phát điện để so sánh với việc tuân thủ lệnh điều độ theo hệ thống quản lý lệnh điều độ.
3. Sản lượng điện năng thanh toán theo giá chào đối với nhà máy nhiệt điện có giá chào lớn hơn giá trần thị trường điện trong chu kỳ giao dịch được xác định như sau:
a) Xác định tổ máy có giá chào cao hơn giá trần thị trường điện được xếp lịch tính giá thị trường cho chu kỳ giao dịch i và vị trí đo đếm của tổ máy đó;
b) Tính toán sản lượng điện năng thanh toán theo giá chào tại từng vị trí đo đếm xác định tại Điểm a Khoản này theo công thức sau:
Trường hợp
và
≥ 0:

Trường hợp
và
< 0:

Trường hợp
: 
Trong đó:
i: Chu kỳ giao dịch thứ i;
j: Vị trí đo đếm thứ j của nhà máy nhiệt điện, xác định tại Điểm a Khoản này;
: Sản lượng điện năng thanh toán theo giá chào tại vị trí đo đếm j trong chu kỳ giao dịch i (kWh);
: Sản lượng điện năng đo đếm tại vị trí đo đếm j trong chu kỳ giao dịch i (kWh);
: Sản lượng điện năng ứng với lượng công suất có giá chào thấp hơn hoặc bằng giá trần thị trường điện trong chu kỳ giao dịch i của tổ máy đấu nối vào vị trí đo đếm j và được quy đổi về vị trí đo đếm đó (kWh);
: Sản lượng điện năng ứng với lượng công suất có giá chào cao hơn giá trần thị trường điện và được xếp trong lịch tính giá thị trường trong chu kỳ giao dịch i của tổ máy đấu nối vào vị trí đo đếm j và được quy đổi về vị trí đo đếm đó (kWh);
: Sản lượng điện năng phát sai khác so với sản lượng huy động theo lệnh điều độ của tổ máy đấu nối vào vị trí đo đếm j và được quy đổi về vị trí đo đếm đó (kWh).
c) Tính toán sản lượng điện năng thanh toán theo giá chào cho nhà máy điện theo công thức sau:

Trong đó:
j: Vị trí đo đếm thứ j của nhà máy nhiệt điện, xác định tại Điểm a Khoản này;
J: Tổng số các vị trí đo đếm của nhà máy điện có tổ máy chào cao hơn giá trần thị trường điện và được xếp lịch tính giá thị trường;
Qbpi: Sản lượng điện năng thanh toán theo giá chào của nhà máy điện trong chu kỳ giao dịch i (kWh);
: Sản lượng điện năng thanh toán theo giá chào tại vị trí đo đếm j trong chu kỳ giao dịch i (kWh).
4. Sản lượng điện năng phát tăng thêm của nhà máy điện trong chu kỳ giao dịch được xác định theo trình tự sau:
a) Tính toán sản lượng điện năng phát tăng thêm trong chu kỳ giao dịch tại đầu cực của tổ máy theo công thức sau:
Trường hợp Qdu > 0:

Trường hợp Qdu ≤ 0:

Trong đó:
: Sản lượng đo đếm thanh toán của tổ máy phát điện trong chu kỳ giao dịch i quy đổi về đầu cực tổ máy (kWh);
: Sản lượng điện năng phát sai khác so với sản lượng huy động theo lệnh điều độ của tổ máy phát điện quy đổi về đầu cực tổ máy (kWh);
: Sản lượng điện năng tương ứng với mức công suất của tổ máy được xếp trong lịch tính giá điện năng thị trường trong chu kỳ giao dịch i (kWh);
: Sản lượng điện năng tương ứng với công suất điều độ của tổ máy phát điện trong chu kỳ giao dịch, được xác định theo công thức sau:

Trong đó:
J: Số lần thay đổi lệnh điều độ do ràng buộc trong chu kỳ giao dịch i;
: Thời điểm lần thứ j trong chu kỳ giao dịch i Đơn vị vận hành hệ thống điện và thị trường điện có lệnh điều độ thay đổi công suất của tổ máy phát điện do ràng buộc (phút). Trường hợp tại thời điểm này mà công suất của tổ máy phát điện thấp hơn mức công suất được xếp trong lịch tính giá điện năng thị trường trong chu kỳ giao dịch (
) thì
được xác định là thời điểm tổ máy đạt công suất
;
: Thời điểm tổ máy đạt được mức công suất do Đơn vị vận hành hệ thống điện và thị trường điện có lệnh điều độ tại thời điểm
(phút). Trường hợp tại thời điểm này công suất của tổ máy phát điện thấp hơn công suất của tổ máy được xếp trong lịch tính giá điện năng thị trường trong chu kỳ giao dịch i (
) thì
được xác định là thời điểm tổ máy đạt mức công suất
;
ΔT: Độ dài thời gian của một chu kỳ giao dịch (phút);
: Công suất do Đơn vị vận hành hệ thống điện và thị trường điện lệnh điều độ cho tổ máy phát điện tại thời điểm
. Trường hợp công suất này nhỏ hơn mức công suất được xếp trong lịch tính giá điện năng thị trường trong chu kỳ giao dịch (
) thì công suất này được tính bằng công suất
(MW);
: Công suất tổ máy đạt được tại thời điểm
(MW);
: Khoảng thời gian từ thời điểm lệnh điều độ
công suất
đến thời điểm
mà tổ máy phát điện đạt được công suất
được xác định như sau:

a: Tốc độ tăng giảm tải của tổ máy phát điện đăng ký trong bản chào giá lập lịch (MW/phút).
Đối với trường hợp tổ máy phát điện tham gia cung cấp dịch vụ điều chỉnh tần số trong chu kỳ giao dịch, trong trường hợp không xác định được số liệu về các mức công suất theo lệnh điều độ của Đơn vị vận hành hệ thống điện và thị trường điện, mức sản lượng này được tính bằng sản lượng điện năng đo đếm của tổ máy phát điện trong chu kỳ giao dịch quy đổi về đầu cực tổ máy (trường hợp tổ máy có công tơ đầu cực ưu tiên sử dụng sản lượng đo đếm công tơ đầu cực của tổ máy).
Trường hợp tổ máy nhiệt điện trong quá trình khởi động hoặc quá trình dừng máy (không phải do sự cố) thì sản lượng điện năng phát tăng thêm của tổ máy phát điện này trong chu kỳ giao dịch bằng 0.
Đối với các tổ máy của nhà máy thủy điện thanh toán theo hình thức nhà máy thủy điện có hồ chứa điều tiết dưới 02 ngày, sản lượng điện năng phát tăng thêm của tổ máy phát điện này trong chu kỳ giao dịch bằng 0.
b) Tính toán sản lượng điện năng phát tăng thêm của nhà máy điện trong chu kỳ giao dịch i theo công thức sau:

Trong đó:
: Tổng sản lượng phát tăng thêm của nhà máy điện trong chu kỳ giao dịch i quy đổi về vị trí đo đếm (kWh);
g: Tổ máy phát tăng thêm của nhà máy điện trong chu kỳ giao dịch i;
G: Tổng số tổ máy phát tăng thêm của nhà máy điện trong chu kỳ giao dịch i;
k: Hệ số quy đổi sản lượng từ đầu cực tổ máy về vị trí đo đếm;
: Sản lượng phát tăng thêm của tổ máy g trong chu kỳ giao dịch i tại đầu cực tổ máy tính toán theo quy định tại Điểm a Khoản này (kWh).
5. Sản lượng điện năng thanh toán theo giá điện năng thị trường của nhà máy điện trong chu kỳ giao dịch i được xác định theo công thức sau:
Trường hợp sản lượng điện năng phát sai khác so với sản lượng huy động theo lệnh điều độ dương (
> 0):
Qsmpi = Qmqi – Qbpi – Qconi - Qdui
Trường hợp sản lượng điện năng phát sai khác so với sản lượng huy động theo lệnh điều độ âm (Qdui < 0):
Qsmpi = Qmqi – Qbpi – Qconi
Trong đó:
Qsmpi : Sản lượng điện năng thanh toán theo giá điện năng thị trường của nhà máy điện trong chu kỳ giao dịch i (kWh);
Qmqi : Sản lượng điện năng đo đếm của nhà máy điện trong chu kỳ giao dịch i (kWh);
Qbpi : Sản lượng điện được thanh toán theo giá chào trong chu kỳ giao dịch i đối với nhà máy nhiệt điện có giá chào cao hơn giá trần thị trường điện (kWh);
Qconi : Sản lượng điện năng phát tăng thêm của nhà máy điện trong chu kỳ giao dịch i (kWh);
Qdui : Sản lượng điện năng phát sai khác so với sản lượng huy động theo lệnh điều độ trong chu kỳ giao dịch i (kWh).
Điều 8. Điều chỉnh sản lượng điện năng của nhà máy điện phục vụ thanh toán trong thị trường điện
1. Các thành phần sản lượng điện năng phục vụ thanh toán trong thị trường được điều chỉnh trong các trường hợp sau:
a) Trường hợp trong chu kỳ giao dịch i sản lượng phát thực hiệu chỉnh của nhà máy điện được xác định tại Khoản 4 Điều này nhỏ hơn hoặc bằng sản lượng điện hợp đồng từng chu kỳ giao dịch (
≤
);
b) Trường hợp trong chu kỳ giao dịch i sản lượng phát thực hiệu chỉnh của nhà máy điện được xác định tại Khoản 4 Điều này lớn hơn sản lượng điện hợp đồng từng chu kỳ giao dịch của nhà máy điện (
>
) đồng thời sản lượng điện năng thanh toán theo giá điện năng thị trường của nhà máy điện nhỏ hơn sản lượng hợp đồng từng chu kỳ giao dịch (
<
).
2. Đơn vị vận hành hệ thống điện và thị trường điện có trách nhiệm tính toán điều chỉnh lại các thành phần sản lượng điện năng phục vụ thanh toán trong thị trường trong các chu kỳ giao dịch căn cứ vào các thành phần sản lượng sau:
a) Sản lượng điện hợp đồng của nhà máy điện tại chu kỳ giao dịch i (
);
b) Sản lượng điện hợp đồng của tổ máy điện g trong chu kỳ giao dịch i (
);
c) Sản lượng điện năng thanh toán theo giá điện năng thị trường (Qsmpi) của tổ máy điện trong chu kỳ giao dịch i;
d) Sản lượng phát thực hiệu chỉnh của tổ máy điện trong chu kỳ giao dịch i (
);
đ) Sản lượng phát thực hiệu chỉnh của nhà máy điện trong chu kỳ giao dịch i (
);
3. Sản lượng phát thực hiệu chỉnh của tổ máy phát điện g trong chu kỳ giao dịch i (
) được xác định như sau:
Trường hợp sản lượng điện năng phát sai khác so với sản lượng huy động theo lệnh điều độ trong chu kỳ giao dịch của tổ máy phát điện dương (
> 0):
=
- 
Trường hợp sản lượng điện năng phát sai khác so với sản lượng huy động theo lệnh điều độ trong chu kỳ giao dịch của tổ máy phát điện âm (
< 0):
= 
Trong đó:
: Sản lượng phát thực hiệu chỉnh trong chu kỳ giao dịch i của tổ máy phát điện g;
: Sản lượng đo đếm của tổ máy phát điện g;
: Sản lượng điện năng phát sai khác so với sản lượng huy động theo lệnh điều độ trong chu kỳ giao dịch i của tổ máy phát điện g.
4. Sản lượng phát thực hiệu chỉnh của nhà máy điện trong chu kỳ giao dịch i (
) được xác định như sau:

Trong đó:
i: Chu kỳ giao dịch;
G: Tổng số tổ máy phát của nhà máy;
: Sản lượng phát thực hiệu chỉnh của nhà máy điện;
: Sản lượng phát thực hiệu chỉnh của tổ máy phát điện g;
5. Phân bổ sản lượng hợp đồng từng chu kỳ giao dịch phục vụ điều chỉnh các sản lượng điện năng thanh toán trong thị trường điện
a) Việc phân bổ sản lượng điện hợp đồng từng chu kỳ giao dịch của tổ máy phát điện chỉ để phục vụ cho việc điều chỉnh các sản lượng điện năng phục vụ thanh toán của tổ máy, không ảnh hưởng đến khoản thanh toán theo hợp đồng mua bán điện sai khác của cả nhà máy điện;
b) Sản lượng điện hợp đồng của tổ máy phát điện trong chu kỳ giao dịch i được phân bổ như sau:

Trong đó:
: Sản lượng điện hợp đồng trong chu kỳ giao dịch i của tổ máy phát điện g;
: Sản lượng hợp đồng trong chu kỳ giao dịch i của nhà máy điện;
: Sản lượng điện năng thanh toán theo giá điện năng thị trường của tổ máy phát điện g của nhà máy điện trong chu kỳ giao dịch i;
G: Tổng số tổ máy phát của nhà máy.
c) Trường hợp sản lượng hợp đồng của tổ máy phát điện trong chu kỳ giao dịch i lớn hơn sản lượng phát thực hiệu chỉnh (
) của tổ máy phát điện đó thì sản lượng hợp đồng trong chu kỳ giao dịch đó được điều chỉnh bằng sản lượng
của tổ máy phát điện đó;
d) Sản lượng chênh lệch do việc điều chỉnh sản lượng hợp đồng từng chu kỳ giao dịch được quy định tại Điểm c Khoản này được phân bổ vào các tổ máy khác trên nguyên tắc đảm bảo sản lượng hợp đồng từng chu kỳ giao dịch của cả nhà máy là không đổi.
6. Nguyên tắc điều chỉnh
a) Trong trường hợp quy định tại Điểm a Khoản 1 Điều này, sản lượng điện năng phát tăng thêm (Qconi) và sản lượng điện năng thanh toán theo giá chào đối với các tổ máy của nhà máy có giá chào cao hơn giá trần thị trường (Qbpi) được điều chỉnh trong chu kỳ giao dịch này bằng không (Qconi = 0; Qbpi = 0);
b) Trong trường hợp quy định tại Điểm b Khoản 1 Điều này, các sản lượng điện năng phục vụ thanh toán trong thị trường điện Qsmp, Qcon, Qbp của các tổ máy tương ứng của đơn vị phát điện được hiệu chỉnh thành Qsmp’, Qcon’, Qbp’ theo nguyên tắc đảm bảo không được làm thay đổi sản lượng điện năng đo đếm trong chu kỳ giao dịch này và được xác định như sau:
- Nếu Qdu > 0 và (Qmq – Qdu – Qc – Qbp) ≤ 0:
Qcon được hiệu chỉnh thành Qcon’ = 0;
Qbp được hiệu chỉnh thành Qbp’ = max (Qmq – Qdu – Qc, 0);
Qsmp được hiệu chỉnh thành Qsmp’ = Qmq – Qdu – Qbp’.
- Nếu Qdu > 0 và (Qmq – Qdu – Qc – Qbp) > 0:
Qcon được hiệu chỉnh thành Qcon’ = Qmq – Qdu – Qc – Qbp;
Qsmp được hiệu chỉnh thành Qsmp’ = Qc;
Qbp không hiệu chỉnh.
- Nếu Qdu ≤ 0 và (Qmq – Qc – Qbp) ≤ 0:
Qcon được hiệu chỉnh thành Qcon’ = 0;
Qbp được hiệu chỉnh thành Qbp’ = Qmq – Qc;
Qsmp được hiệu chỉnh thành Qsmp’ = Qc.
- Nếu Qdu ≤ 0 và (Qmq – Qc – Qbp) > 0:
Qcon được hiệu chỉnh thành Qcon’ = Qmq – Qbp - Qc;
Qsmp được hiệu chỉnh thành Qsmp’ = Qc;
Qbp không hiệu chỉnh.
Trong đó:
Qmq: Sản lượng điện năng đo đếm trong chu kỳ giao dịch;
Qdu: Sản lượng điện năng phát sai khác so với sản lượng huy động theo lệnh điều độ;
Qbp: Sản lượng điện năng có giá chào cao hơn giá trần thị trường cho từng chu kỳ giao dịch;
Qc: Sản lượng hợp đồng trong chu kỳ giao dịch cho từng tổ máy phát điện.
7. Điều chỉnh các thành phần sản lượng đối với các nhà máy có bù trừ sản lượng
Đối với các nhà máy có bù trừ sản lượng, chu kỳ tổ máy tham gia thị trường điện có sản lượng thực phát âm (Qmq < 0) thì các thành phần sản lượng điện năng thanh toán trên thị trường như sau:
a) Qbp = 0;
b) Qcon = 0;
c) Qsmp = 0;
d) Qcan = 0.
8. Điều chỉnh các thành phần sản lượng đối với nhà máy nhiệt điện vận hành trong thời gian thiếu nhiên liệu
Đối với các nhà máy nhiệt điện vận hành trong thời gian thiếu nhiên liệu thì các thành phần sản lượng điện năng thanh toán trên thị trường như sau:
a) Qbp = 0;
b) Qcon = 0.
Điều 9. Thanh toán điện năng thị trường
1. Đơn vị vận hành hệ thống điện và thị trường điện có trách nhiệm tính toán tổng các khoản thanh toán điện năng thị trường của nhà máy điện trong chu kỳ thanh toán theo công thức sau:
Rg = Rsmp + Rbp + Rcon + Rdu
Trong đó:
Rg: Tổng các khoản thanh toán điện năng thị trường trong chu kỳ thanh toán (đồng);
Rsmp: Khoản thanh toán cho phần sản lượng được thanh toán theo giá điện năng thị trường trong chu kỳ thanh toán (đồng);
Rbp: Khoản thanh toán cho phần sản lượng được thanh toán theo giá chào đối với nhà máy nhiệt điện có giá chào lớn hơn giá trần thị trường điện trong chu kỳ thanh toán (đồng);
Rcon: Khoản thanh toán cho phần sản lượng điện năng phát tăng thêm trong chu kỳ thanh toán (đồng);
Rdu: Khoản thanh toán cho phần sản lượng điện năng phát sai khác so với sản lượng huy động theo lệnh điều độ trong chu kỳ thanh toán (đồng).
2. Khoản thanh toán cho phần sản lượng được thanh toán theo giá điện năng thị trường của nhà máy điện trong chu kỳ thanh toán được xác định theo trình tự sau:
a) Tính toán cho từng chu kỳ giao dịch i theo công thức sau:

Trong đó:
: Khoản thanh toán cho phần sản lượng được thanh toán theo giá điện năng thị trường của nhà máy điện của chu kỳ giao dịch i trong chu kỳ thanh toán (đồng);
SMPi : Giá điện năng thị trường của chu kỳ giao dịch i trong chu kỳ thanh toán (đồng/kWh);
: Sản lượng điện năng được thanh toán theo giá điện năng thị trường của chu kỳ giao dịch i trong chu kỳ thanh toán (kWh).
b) Tính toán cho chu kỳ thanh toán theo công thức sau:

Trong đó:
: Khoản thanh toán cho phần sản lượng được thanh toán theo giá điện năng thị trường của nhà máy điện trong chu kỳ thanh toán (đồng);
i: Chu kỳ giao dịch thứ i trong chu kỳ thanh toán;
I: Tổng số chu kỳ giao dịch của chu kỳ thanh toán;
: Khoản thanh toán cho phần sản lượng được thanh toán theo giá điện năng thị trường của nhà máy điện của chu kỳ giao dịch i (đồng).
3. Khoản thanh toán cho phần sản lượng được thanh toán theo giá chào đối với nhà máy nhiệt điện có giá chào lớn hơn giá trần thị trường điện trong chu kỳ thanh toán được xác định theo trình tự sau:
a) Tính toán cho từng chu kỳ giao dịch theo công thức sau:

Trong đó:
Rbpi : Khoản thanh toán cho phần điện năng chào cao hơn giá trần của nhà máy điện trong chu kỳ giao dịch i (đồng);
j: Dải chào thứ j trong bản chào giá của tổ máy thuộc nhà máy nhiệt điện có giá chào cao hơn giá trần thị trường điện và được sắp xếp trong lịch tính giá điện năng thị trường;
J: Tổng số dải chào trong bản chào giá của nhà máy nhiệt điện có giá chào cao hơn giá trần thị trường điện và được sắp xếp trong lịch tính giá điện năng thị trường;
: Giá chào tương ứng với dải chào j trong bản chào của tổ máy của nhà máy nhiệt điện g trong chu kỳ giao dịch i (đồng/kWh);
: Mức giá chào cao nhất trong các dải chào được sắp xếp trong lịch tính giá điện năng thị trường của nhà máy nhiệt điện trong chu kỳ giao dịch i (đồng/kWh);
: Sản lượng điện năng thanh toán theo công suất được chào với mức giá
trong bản chào của nhà máy nhiệt điện được huy động trong chu kỳ giao dịch i và quy đổi về vị trí đo đếm (kWh);
: Sản lượng điện năng có giá chào cao hơn giá trần thị trường điện của nhà máy nhiệt điện trong chu kỳ giao dịch i quy đổi về vị trí đo đếm (kWh).
b) Tính toán cho chu kỳ thanh toán theo công thức sau:

Trong đó:
: Khoản thanh toán cho phần điện năng chào cao hơn giá trần của nhà máy điện trong chu kỳ thanh toán (đồng);
i: Chu kỳ giao dịch i trong đó nhà máy điện được huy động với mức giá chào cao hơn giá trần;
I: Tổng số chu kỳ giao dịch trong đó nhà máy điện được huy động với mức giá chào cao hơn giá trần;
: Khoản thanh toán cho phần điện năng chào cao hơn giá trần của nhà máy điện trong chu kỳ giao dịch i (đồng).
4. Khoản thanh toán cho sản lượng điện năng phát tăng thêm của nhà máy điện trong chu kỳ giao dịch được xác định theo trình tự sau:
a) Tính toán cho từng chu kỳ giao dịch theo công thức sau:

Trong đó:
: Khoản thanh toán cho sản lượng điện năng phát tăng thêm trong chu kỳ giao dịch i (đồng);
g: Tổ máy phát tăng thêm của nhà máy điện trong chu kỳ giao dịch i;
G: Tổng số tổ máy phát tăng thêm của nhà máy điện trong chu kỳ giao dịch i;
: Điện năng phát tăng thêm của tổ máy g trong chu kỳ giao dịch i quy đổi về vị trí đo đếm, (kWh);
: Giá chào cao nhất tương ứng với dải công suất phát tăng thêm của tổ máy g trong chu kỳ giao dịch i (đồng/kWh). Đối với nhà máy thuỷ điện nếu giá chào này lớn hơn giá trần thị trường điện thì lấy bằng giá trần thị trường điện.
Trường hợp tổ máy có sản lượng phát tăng thêm thuộc các dải chào có công suất bằng nhau với các mức giá chào khác nhau, sản lượng phát tăng thêm được thanh toán với giá chào thấp nhất trong các dải chào trên.
b) Tính toán cho chu kỳ thanh toán theo công thức sau:

Trong đó:
Rcon: Khoản thanh toán cho sản lượng điện năng phát tăng thêm trong chu kỳ thanh toán (đồng);
i: Chu kỳ giao dịch thứ i của chu kỳ thanh toán trong đó nhà máy điện phải phát tăng thêm theo lệnh điều độ;
I: Tổng số chu kỳ giao dịch của của chu kỳ thanh toán trong đó nhà máy điện phải phát tăng thêm theo lệnh điều độ;
Rconi : Khoản thanh toán cho sản lượng điện năng phát tăng thêm trong chu kỳ giao dịch i (đồng).
5. Trường hợp nhà máy thuỷ điện được huy động do điều kiện ràng buộc phải phát và có giá chào cao hơn giá trần thị trường điện hoặc được huy động công suất với dải chào giá cao hơn giá trần thị trường điện thì nhà máy được thanh toán cho phần sản lượng phát tương ứng trong chu kỳ đó bằng giá trần thị trường điện.
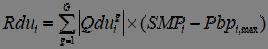
6. Khoản thanh toán cho sản lượng điện năng phát sai khác so với sản lượng huy động theo lệnh độ của nhà máy điện trong chu kỳ giao dịch.
a) Tính toán cho từng chu kỳ giao dịch theo công thức sau:
- Trường hợp sản lượng điện năng phát tăng thêm so với lệnh điều độ:

Trong đó:
: Khoản thanh toán cho sản lượng điện năng phát sai khác so với lệnh điều độ trong chu kỳ giao dịch i (đồng);
g: Tổ máy phát tăng thêm so với lệnh điều độ của nhà máy điện trong chu kỳ giao dịch i;
G: Tổng số tổ máy phát tăng thêm so với lệnh điều độ của nhà máy điện trong chu kỳ giao dịch i;
: Điện năng phát tăng thêm so với lệnh điều độ của tổ máy g trong chu kỳ giao dịch i (kWh);
: Giá chào thấp nhất của tất cả các tổ máy trong chu kỳ giao dịch i (đồng/kWh).
- Trường hợp sản lượng điện năng phát giảm so với lệnh điều độ:

Trong đó:
: Khoản thanh toán cho sản lượng điện năng phát sai khác so với lệnh điều độ trong chu kỳ giao dịch i (đồng);
g: Tổ máy phát giảm so với lệnh điều độ của nhà máy điện trong chu kỳ giao dịch i;
G: Tổng số tổ máy phát giảm so với lệnh điều độ của nhà máy điện trong chu kỳ giao dịch i;
: Điện năng phát giảm so với lệnh điều độ của tổ máy g trong chu kỳ giao dịch i (kWh);
SMPi : Giá điện năng thị trường trong chu kỳ giao dịch i (đồng/kWh);
Pbpi,max: Giá điện năng của tổ máy đắt nhất được thanh toán trong chu kỳ giao dịch i (đồng/kWh).
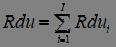
b) Tính toán cho chu kỳ thanh toán theo công thức sau:

Trong đó:
Rdu: Khoản thanh toán cho sản lượng điện năng phát sai khác so với lệnh điều độ trong chu kỳ thanh toán (đồng);
i: Chu kỳ giao dịch thứ i của chu kỳ thanh toán trong đó nhà máy nhiệt điện đã phát sai khác so với lệnh điều độ;
I: Tổng số chu kỳ giao dịch của của chu kỳ thanh toán trong đó nhà máy nhiệt điện đã phát sai khác so với lệnh điều độ;
Rdu(i): Khoản thanh toán cho sản lượng điện năng phát sai khác so với sản lượng huy động theo lệnh độ trong chu kỳ giao dịch i (đồng).
Điều 10. Khoản thanh toán theo giá công suất thị trường
Đơn vị vận hành hệ thống điện và thị trường điện có trách nhiệm tính toán khoản thanh toán công suất thị trường cho nhà máy điện trong chu kỳ thanh toán theo trình tự sau:
1. Tính toán cho từng chu kỳ giao dịch theo công thức sau:

Trong đó:
Rcan(i): Khoản thanh toán công suất cho nhà máy điện trong chu kỳ giao dịch i (đồng);
CAN(i): Giá công suất thị trường trong chu kỳ giao dịch i (đồng/kWh);
Qmq(i): Sản lượng điện năng đo đếm của nhà máy điện trong chu kỳ giao dịch i (kWh).
2. Tính toán cho chu kỳ thanh toán theo công thức sau:

Trong đó:
Rcan: Khoản thanh toán công suất cho nhà máy điện trong chu kỳ thanh toán (đồng);
i: Chu kỳ giao dịch thứ i trong chu kỳ thanh toán;
I: Tổng số chu kỳ giao dịch trong chu kỳ thanh toán;
Rcani : Khoản thanh toán công suất cho nhà máy điện trong chu kỳ giao dịch i (đồng).
Điều 11. Khoản thanh toán sai khác trong hợp đồng mua bán điện
Căn cứ giá điện năng thị trường và giá công suất thị trường do Đơn vị vận hành hệ thống điện và thị trường điện công bố, đơn vị phát điện có trách nhiệm tính toán khoản thanh toán theo hợp đồng mua bán điện và gửi cho đơn vị mua điện theo quy định tại Điều 104 Thông tư số 45/2018/TT-BCT trong chu kỳ thanh toán theo trình tự sau:
1. Tính toán cho từng chu kỳ giao dịch theo công thức sau:

Trong đó:
Rc(i): Khoản thanh toán sai khác trong chu kỳ giao dịch i (đồng);
Qc(i): Sản lượng hợp đồng trong chu kỳ giao dịch i (kWh);
Pc: Giá hợp đồng mua bán điện (đồng/kWh);
FMP(i): Giá thị trường toàn phần áp dụng cho đơn vị phát điện trong chu kỳ giao dịch i (đồng/kWh).
2. Tính toán cho chu kỳ thanh toán theo công thức sau:

Trong đó:
Rc: Khoản thanh toán sai khác trong chu kỳ thanh toán (đồng);
i: Chu kỳ giao dịch thứ i của chu kỳ thanh toán;
I: Tổng số chu kỳ giao dịch của chu kỳ thanh toán;
Rc(i): Khoản thanh toán sai khác trong chu kỳ giao dịch i (đồng).
Mục 2
TÍNH TOÁN THANH TOÁN CHO ĐƠN VỊ MUA ĐIỆN
Điều 12. Tính toán khoản chi phí mua điện theo giá thị trường điện giao ngay của đơn vị mua buôn điện trong chu kỳ giao dịch
1. Sản lượng giao nhận đầu nguồn của đơn vị mua buôn điện l trong chu kỳ giao dịch i được xác định theo quy định tại Khoản 2 Điều 76 Thông tư 45/2018/TT-BCT.
2. Sản lượng điện năng mua theo giá thị trường của đơn vị mua buôn điện trong chu kỳ giao dịch được xác định như sau:
a) Sản lượng điện năng mua theo giá thị trường từ các nhà máy điện được phân bổ hợp đồng của đơn vị mua buôn điện trong chu kỳ giao dịch i được xác định theo công thức sau:

Trong đó:
Qm1(l,i): Sản lượng điện năng mua theo giá thị trường từ các nhà máy điện được phân bổ hợp đồng của đơn vị mua buôn điện l trong chu kỳ giao dịch i (kWh);
X1: Tỷ lệ điện năng mua theo giá thị trường điện giao ngay của đơn vị mua buôn điện l từ các nhà máy điện được phân bổ hợp đồng do Đơn vị vận hành hệ thống điện và thị trường điện tính toán và công bố theo quy định tại Quy trình lập kế hoạch vận hành thị trường điện do Cục Điều tiết điện lực ban hành;
Q(l,i): Sản lượng điện năng giao nhận đầu nguồn của đơn vị mua buôn điện l trong chu kỳ giao dịch i, được xác định theo quy định tại Khoản 1 Điều này (kWh).
b) Sản lượng điện năng mua theo giá thị trường của đơn vị mua buôn điện l trong chu kỳ giao dịch i từ nhà máy điện g ký hợp đồng mua bán điện trực tiếp được xác định theo công thức sau:

Trong đó:
Qm2(l,g,i): Sản lượng điện năng mua theo giá thị trường của đơn vị mua buôn điện l trong chu kỳ giao dịch i từ nhà máy điện g ký hợp đồng trực tiếp (kWh);
Q(l,i): Sản lượng giao nhận đầu nguồn của đơn vị mua buôn điện l trong chu kỳ giao dịch i, được xác định theo quy định tại Khoản 1 Điều này (kWh);
X2(g,i): Tỷ lệ sản lượng điện năng được tính toán theo công thức sau:

Trong đó:
Qmq(g,i): Sản lượng điện năng giao tại điểm giao nhận trong chu kỳ giao dịch i trực tiếp tham gia thị trường điện của nhà máy điện g ký hợp đồng mua bán điện trực tiếp với đơn vị mua buôn điện (kWh);
Q(l,i): Sản lượng điện năng giao nhận đầu nguồn của đơn vị mua buôn điện l trong chu kỳ giao dịch i, được xác định theo quy định tại Khoản 1 Điều này (kWh);
L: Tổng số đơn vị mua buôn điện;
k(i): Hệ số quy đổi theo tổn thất điện năng trong chu kỳ giao dịch i.
c) Tổng sản lượng điện năng mua từ thị trường điện giao ngay của đơn vị mua buôn điện trong chu kỳ giao dịch được xác định theo công thức sau:

Trong đó:
Qm(l,i): Tổng sản lượng điện năng mua từ thị trường điện giao ngay của đơn vị mua buôn điện l trong chu kỳ giao dịch i (kWh);
Qm1(l,i): Sản lượng điện năng mua theo giá thị trường từ các nhà máy điện được phân bổ hợp đồng của đơn vị mua buôn điện l trong chu kỳ giao dịch i (kWh);
Qm2(l,g,i): Sản lượng điện năng mua theo giá thị trường của đơn vị mua buôn điện l trong chu kỳ giao dịch i từ nhà máy điện g ký hợp đồng trực tiếp (kWh);
G: Tổng số nhà máy điện ký hợp đồng mua bán điện với đơn vị mua buôn điện.
3. Tính toán khoản chi phí mua điện theo giá thị trường điện giao ngay của đơn vị mua buôn điện trong chu kỳ giao dịch i được xác định như sau:
a) Khoản chi phí mua điện theo giá thị trường điện giao ngay của đơn vị mua buôn điện trong chu kỳ giao dịch i từ các nhà máy điện được phân bổ được xác định theo công thức sau:
Cm1(l,i) = CFMP(i) × Qm1(l,i)
Trong đó:
Cm1(l,i): Khoản chi phí mua điện theo giá thị trường điện giao ngay của đơn vị mua buôn điện trong chu kỳ giao dịch i từ các nhà máy điện được phân bổ hợp đồng (đồng);
CFMP(i): Giá thị trường điện toàn phần áp dụng cho các đơn vị mua buôn điện trong chu kỳ giao dịch i, (đồng/kWh);
Qm1(l,i): Tổng sản lượng điện năng mua theo giá thị trường của đơn vị mua buôn điện l trong chu kỳ giao dịch i từ các nhà máy điện được phân bổ hợp đồng được tính toán theo quy định tại Điểm a Khoản 2 Điều này (kWh).
b) Khoản chi phí mua điện theo giá thị trường điện giao ngay của đơn vị mua buôn điện trong chu kỳ giao dịch i từ nhà máy điện g có hợp đồng mua bán điện với đơn vị mua buôn điện được xác định theo công thức sau:
Cm2(l,g,i) = CFMP(i) × Qm2(l,g,i)
Trong đó:
Cm2(l,g,i): Khoản chi phí mua điện theo giá thị trường điện giao ngay của đơn vị mua buôn điện trong chu kỳ giao dịch i cho nhà máy điện g (đồng);
CFMP(i): Giá thị trường điện toàn phần áp dụng cho các đơn vị mua buôn điện trong chu kỳ giao dịch i (đồng/kWh);
Qm2(l,g,i): Sản lượng điện năng mua theo giá thị trường của đơn vị mua buôn điện l trong chu kỳ giao dịch i từ nhà máy điện g được tính toán theo quy định tại Điểm b Khoản 2 Điều này (kWh);
g: Nhà máy điện có hợp đồng mua bán điện với đơn vị mua buôn điện.
c) Tổng chi phí mua điện từ thị trường điện giao ngay của đơn vị mua buôn điện trong chu kỳ giao dịch được xác định theo công thức sau:

Trong đó:
Cm(l,i): Tổng chi phí mua điện từ thị trường điện giao ngay của đơn vị mua buôn điện l trong chu kỳ giao dịch i (đồng);
Cm1(l,i): Khoản chi phí mua điện theo giá thị trường điện giao ngay của đơn vị mua buôn điện trong chu kỳ giao dịch i từ các nhà máy điện được phân bổ hợp đồng (đồng);
g: Nhà máy điện có hợp đồng mua bán điện với đơn vị mua buôn điện;
G: Tổng số nhà máy điện có hợp đồng mua bán điện với đơn vị mua buôn điện;
Cm2(l,g,i): Khoản chi phí mua điện theo giá thị trường điện giao ngay của đơn vị mua buôn điện trong chu kỳ giao dịch i từ nhà máy điện g (đồng).
Điều 13. Tính toán khoản chi phí mua điện theo thị trường điện giao ngay của đơn vị mua buôn điện trong chu kỳ thanh toán
Khoản chi phí mua điện theo thị trường điện giao ngay của đơn vị mua buôn điện trong chu kỳ thanh toán được xác định như sau:
1. Khoản chi phí mua điện trên thị trường điện giao ngay của đơn vị mua buôn điện l trong chu kỳ thanh toán M từ các nhà máy điện được phân bổ hợp đồng được xác định theo công thức sau:

Trong đó:
TCm1(l,M): Khoản chi phí mua điện trên thị trường điện giao ngay của đơn vị mua buôn điện l trong chu kỳ thanh toán M từ các nhà máy điện được phân bổ hợp đồng (đồng);
Cm1(l,i): Khoản chi phí mua điện trên thị trường điện giao ngay của đơn vị mua buôn điện l trong chu kỳ giao dịch i từ các nhà máy điện được phân bổ hợp đồng, xác định tại Điểm a Khoản 3 Điều 12 Quy trình này (đồng);
i: Chu kỳ giao dịch thứ i trong chu kỳ thanh toán;
I: Tổng số chu kỳ giao dịch của chu kỳ thanh toán.
2. Khoản chi phí mua điện trên thị trường điện giao ngay của đơn vị mua buôn điện trong chu kỳ thanh toán cho nhà máy điện g có hợp đồng mua bán điện với đơn vị mua buôn điện được xác định theo công thức sau:

Trong đó:
TCm2(l,g,M): Khoản chi phí mua điện trên thị trường điện giao ngay của đơn vị mua buôn điện l trong chu kỳ thanh toán M từ các nhà máy điện g có hợp đồng mua bán điện với đơn vị mua buôn điện (đồng);
Cm2 (l,g,i): Tổng khoản chi phí mua điện theo giá thị trường điện giao ngay của đơn vị mua buôn điện l trong chu kỳ giao dịch i từ nhà máy điện g có hợp đồng mua bán điện với đơn vị mua buôn điện (đồng);
i: Chu kỳ giao dịch thứ i trong chu kỳ thanh toán;
I: Tổng số chu kỳ giao dịch trong chu kỳ thanh toán;
g: Nhà máy điện có hợp đồng mua bán điện với đơn vị mua buôn điện;
UpliftM(g): Thành phần hiệu chỉnh giá thị trường điện giao ngay áp dụng cho đơn vị mua buôn điện của nhà máy điện g trong chu kỳ thanh toán M do Đơn vị vận hành hệ thống điện và thị trường điện tính toán trên cơ sở các số liệu do đơn vị phát điện cung cấp sau tháng vận hành theo công thức:
UpliftM(g) = 
Trong đó:
Tổng các khoản thanh toán điện năng thị trường trong chu kỳ thanh toán M của nhà máy điện g theo bảng kê thanh toán thị trường điện tháng do Đơn vị vận hành hệ thống điện và thị trường điện phát hành được xác định theo quy định tại Điều 9 Quy trình này (đồng);
: Tổng doanh thu theo giá công suất trong chu kỳ thanh toán M của nhà máy điện g theo bảng kê thanh toán thị trường điện tháng do Đơn vị vận hành hệ thống điện và thị trường điện phát hành được xác định theo quy định tại Điều 10 Quy trình này (đồng);
Cm2(l,g,i) Khoản chi phí mua điện theo giá thị trường điện giao ngay của đơn vị mua buôn điện l trong chu kỳ giao dịch i từ nhà máy điện g được xác định tại Điểm b Khoản 3 Điều 12 Quy trình này (đồng);
: Sản lượng điện năng mua theo giá thị trường của đơn vị mua buôn điện l trong chu kỳ giao dịch i từ nhà máy điện g được xác định theo quy định tại Điểm b Khoản 2 Điều 12 Quy trình này (kWh);
g: Nhà máy điện có hợp đồng mua bán điện với đơn vị mua buôn điện;
i: Chu kỳ giao dịch thứ i trong chu kỳ thanh toán M;
I: Tổng số chu kỳ giao dịch của chu kỳ thanh toán M;
L: Tổng số đơn vị mua buôn điện.
3. Tổng các khoản chi phí mua điện của đơn vị mua buôn điện theo thị trường điện giao ngay trong chu kỳ thanh toán được xác định theo công thức sau:

Trong đó:
TC(l,M): Tổng các khoản chi phí mua điện của đơn vị mua buôn điện l theo thị trường điện giao ngay trong chu kỳ thanh toán M (đồng);
TCm1(l,M): Khoản chi phí mua điện theo thị trường điện giao ngay của đơn vị mua buôn điện l trong chu kỳ thanh toán M từ các nhà máy điện được phân bổ hợp đồng, được xác định tại Khoản 1 Điều này (đồng);
g: Nhà máy điện có hợp đồng mua bán điện với đơn vị mua buôn điện;
G: Tổng số nhà máy điện có hợp đồng mua bán điện với đơn vị mua buôn điện;
TCm2(l,g,M): Khoản chi phí mua điện theo thị trường điện giao ngay của đơn vị mua buôn điện l trong chu kỳ thanh toán M từ nhà máy điện g được xác định tại Khoản 2 Điều này (đồng).
Điều 14. Tính toán khoản thanh toán sai khác theo hợp đồng mua bán điện của đơn vị mua buôn điện
Bên bán điện có trách nhiệm tính toán khoản thanh toán sai khác theo hợp đồng mua bán điện trong chu kỳ thanh toán theo trình tự sau:
1. Tính toán cho từng chu kỳ giao dịch theo công thức sau:

Trong đó:
Rc(i): Khoản thanh toán sai khác trong chu kỳ giao dịch i (đồng);
Qc(i): Sản lượng hợp đồng trong chu kỳ giao dịch i (kWh);
Pc: Giá hợp đồng mua bán điện (đồng/kWh);
FMPi: Giá thị trường toàn phần áp dụng cho đơn vị phát điện trong chu kỳ giao dịch i (đồng/kWh).
2. Tính toán cho chu kỳ thanh toán theo công thức sau:

Trong đó:
: Khoản thanh toán sai khác trong chu kỳ thanh toán M (đồng);
i: Chu kỳ giao dịch thứ i của chu kỳ thanh toán;
I: Tổng số chu kỳ giao dịch của chu kỳ thanh toán;
Rc(i): Khoản thanh toán sai khác trong chu kỳ giao dịch i (đồng).
THANH TOÁN DỊCH VỤ PHỤ TRỢ VÀ THANH TOÁN KHÁC
Điều 15. Thanh toán cho dịch vụ dự phòng điều chỉnh tần số
Đơn vị vận hành hệ thống điện và thị trường điện có trách nhiệm tính toán khoản thanh toán cho đơn vị phát điện cung cấp dịch vụ dự phòng điều chỉnh tần số, bao gồm:
1. Đối với phần sản lượng điện năng đo đếm của nhà máy điện cung cấp dịch vụ dự phòng điều chỉnh tần số trong chu kỳ giao dịch: Tính toán thanh toán theo quy định tại Điều 9 và Điều 10 Quy trình này.
2. Khoản thanh toán theo giá công suất CAN cho phần sản lượng tương ứng với phần công suất cung cấp cho dịch vụ dự phòng điều chỉnh tần số, cụ thể như sau:
Rđt(i) = CAN(i) × Qđt(i)
Trong đó:
Rđt(i): Khoản thanh toán theo giá công suất CAN cho phần sản lượng tương ứng với phần công suất cung cấp cho dịch vụ dự phòng điều chỉnh tần số trong chu kỳ giao dịch i (đồng);
CAN(i): Giá công suất thị trường áp dụng cho đơn vị phát điện trong chu kỳ giao dịch i (kWh);
Qđt(i): Sản lượng tương ứng với phần công suất cung cấp cho dịch vụ dự phòng điều chỉnh tần số của tổ máy trong chu kỳ giao dịch i đã quy đổi về vị trí đo đếm (kWh) và được xác định theo công thức sau:
Qđt = Min {[Qcb – Qmq], Qđtcb}
Qđtcb: Sản lượng tương ứng với công suất dự phòng điều chỉnh tần số công bố cho chu kỳ giao dịch tới của tổ máy được quy đổi về vị trí đo đếm trong chu kỳ giao dịch i (kWh);
Qcb: Sản lượng tương ứng với công suất công bố của tổ máy trong bản chào lập lịch của tổ máy được quy đổi về vị trí đo đếm trong chu kỳ giao dịch i (kWh);
Qmq: Sản lượng điện năng đo đếm của tổ máy trong chu kỳ giao dịch i (kWh).
Trường hợp trong chu kỳ giao dịch thực tế, tổ máy không tham gia dịch vụ dự phòng điều chỉnh tần số hoặc tổ máy bị sự cố thì sản lượng tương ứng với phần công suất cung cấp cho dịch vụ dự phòng điều chỉnh tần số trong chu kỳ đó bằng không (Qđt = 0);
Trường hợp sản lượng tương ứng với công suất công bố của tổ máy trong bản chào lập lịch của tổ máy được quy đổi về vị trí đo đếm trong chu kỳ giao dịch i nhỏ hơn sản lượng điện năng đo đếm của tổ máy trong chu kỳ giao dịch i (Qcb < Qmq) thì sản lượng tương ứng với phần công suất cung cấp cho dịch vụ dự phòng điều chỉnh tần số trong chu kỳ đó bằng không (Qđt = 0).
Điều 16. Thanh toán cho dịch vụ dự phòng khởi động nhanh, dịch vụ vận hành phải phát để đảm bảo an ninh hệ thống điện, dịch vụ điều chỉnh điện áp và khởi động đen
Đơn vị cung cấp dịch vụ dự phòng khởi động nhanh, dịch vụ vận hành phải phát để đảm bảo an ninh hệ thống điện, dịch vụ điều chỉnh điện áp và khởi động đen được thanh toán theo hợp đồng cung cấp dịch vụ phụ trợ theo mẫu do Bộ Công Thương ban hành.
Điều 17. Thanh toán cho các nhà máy thuỷ điện có hồ chứa điều tiết dưới 02 ngày
Các khoản thanh cho các nhà máy thuỷ điện có hồ chứa điều tiết dưới 02 ngày trực tiếp giao dịch trên thị trường điện được tính toán như sau:
1. Các khoản thanh toán theo thị trường điện: Thực hiện theo các quy định tại Khoản 2, Khoản 6 Điều 9 và Điều 10 Quy trình này.
2. Khoản thanh toán sai khác trong hợp đồng mua bán điện
a) Sản lượng hợp đồng mua bán điện trong chu kỳ giao dịch của nhà máy điện này được tính toán theo công thức sau:
Qc(i) = Qhc(i)× α
Trong đó:
Qc(i): Sản lượng hợp đồng của nhà máy điện trong chu kỳ giao dịch i (kWh);
α: Tỷ lệ sản lượng điện năng thanh toán theo giá hợp đồng cho các nhà máy thủy điện có hồ điều tiết dưới 02 ngày do Cục Điều tiết điện lực quy định.
Qhc(i): Sản lượng điện hiệu chỉnh trong chu kỳ giao dịch i (kWh) được xác định như sau:
- Trường hợp Qdu(i)> 0, Qhc(i) = Qm(i) – Qdu(i);
- Trường hợp Qdu(i) ≤ 0, Qhc(i) = Qm(i).
Qm(i): Sản lượng điện năng tại vị trí đo đếm trong chu kỳ giao dịch i (kWh);
Qdu(i): Sản lượng điện năng phát sai khác so với lệnh điều độ trong chu kỳ giao dịch i (kWh).
b) Khoản thanh toán theo hợp đồng mua bán điện của nhà máy điện được tính toán căn cứ theo sản lượng hợp đồng theo quy định tại Điểm a Khoản này và theo công thức quy định tại Điều 11 Quy trình này.
Điều 18. Thanh toán khác đối với nhà máy điện ký hợp đồng với Tập đoàn Điện lực Việt Nam
1. Trường hợp sản lượng đo đếm điện năng tháng do đơn vị quản lý số liệu đo đếm cung cấp theo quy định tại Khoản 2 Điều 76 Thông tư số 45/2018/TT-BCT có sai khác so với tổng điện năng đo đếm các ngày trong tháng do đơn vị quản lý số liệu đo đếm cung cấp theo quy định tại Khoản 1 Điều 76 Thông tư số 45/2018/TT-BCT, phần điện năng chênh lệch được thanh toán theo quy định tại Hợp đồng mua bán điện đã ký giữa Tập đoàn Điện lực Việt Nam và đơn vị phát điện.
2. Tổ máy nhiệt điện bị buộc phải ngừng theo quy định tại Điểm d Khoản 3 Điều 60 Thông tư số 45/2018/TT-BCT hoặc phải ngừng 01 (một) lò hơi để giảm công suất theo quy định tại Điểm c Khoản 3 Điều 60 Thông tư số 45/2018/TT-BCT được thanh toán chi phí khởi động theo quy định tại Hợp đồng mua bán điện đã ký giữa Tập đoàn Điện lực Việt Nam và đơn vị phát điện. Đơn vị vận hành hệ thống điện và thị trường điện có trách nhiệm xác nhận sự kiện này đối với tổ máy do Đơn vị phát điện công bố để Đơn vị mua điện làm căn cứ thanh toán chi phí khởi động.
3. Trường hợp nhà máy có tổ máy phát điện thí nghiệm thì tách toàn bộ nhà máy đó ra ngoài thị trường điện trong các chu kỳ chạy thí nghiệm. Toàn bộ sản lượng phát của nhà máy lên lưới trong các chu kỳ có thí nghiệm được thanh toán theo quy định tại Hợp đồng mua bán điện đã ký giữa Tập đoàn Điện lực Việt Nam và đơn vị phát điện, tương ứng với cấu hình tổ máy và loại nhiên liệu sử dụng.
4. Trường hợp tổ máy đã có kế hoạch ngừng máy được phê duyệt nhưng vẫn phải phát công suất theo yêu cầu của Đơn vị vận hành hệ thống điện và thị trường điện để đảm bảo an ninh hệ thống điện, thì tách toàn bộ nhà máy đó ra ngoài thị trường điện trong khoảng thời gian phát công suất theo yêu cầu của Đơn vị vận hành hệ thống điện và thị trường điện. Toàn bộ sản lượng phát của nhà máy lên lưới trong khoảng thời gian này được thanh toán theo quy định tại Hợp đồng mua bán điện đã ký giữa Tập đoàn Điện lực Việt Nam và đơn vị phát điện.
5. Trường hợp nhà máy điện có tổ máy phát điện tách lưới phát độc lập theo yêu cầu của Đơn vị vận hành hệ thống điện và thị trường điện, toàn bộ sản lượng phát điện của nhà máy điện trong các chu kỳ giao dịch có liên quan được thanh toán theo quy định tại Hợp đồng mua bán điện đã ký giữa Tập đoàn Điện lực Việt Nam và đơn vị phát điện.
6. Trường hợp nhà máy điện có tổ máy phát điện tách ra ngoài hệ thống điện quốc gia và đấu nối vào lưới điện mua từ nước ngoài, căn cứ theo kết quả tính toán vận hành hệ thống điện năm tới của Đơn vị vận hành hệ thống điện và thị trường điện, việc tham gia thị trường điện trong năm tới và thanh toán cho nhà máy điện này được quy định như sau:
a) Nhà máy thủy điện có hồ chứa điều tiết dưới 02 ngày có kế hoạch đấu nối vào lưới điện mua điện từ nước ngoài thì tách toàn bộ nhà máy điện này tham gia gián tiếp thị trường điện trong năm tới. Toàn bộ sản lượng phát điện của nhà máy điện trong năm tới được thanh toán theo quy định tại Hợp đồng mua bán điện đã ký giữa Tập đoàn Điện lực Việt Nam và đơn vị phát điện;
b) Trừ trường hợp quy định tại Điểm a Khoản này, trường hợp trong năm vận hành nhà máy điện có tổ máy phát điện đấu nối vào lưới điện mua điện từ nước ngoài, toàn bộ sản lượng phát điện của nhà máy điện trong ngày giao dịch mà tổ máy có chu kỳ đấu nối vào lưới điện mua điện từ nước ngoài được thanh toán theo theo quy định tại Hợp đồng mua bán điện đã ký giữa Tập đoàn Điện lực Việt Nam và đơn vị phát điện.
7. Trường hợp tổ máy thủy điện phải phát công suất lớn hơn công suất công bố trong bản chào giá lập lịch huy động chu kỳ giao dịch tới theo yêu cầu của Đơn vị vận hành hệ thống điện và thị trường điện vì lý do an ninh hệ thống, toàn bộ sản lượng phát của nhà máy lên lưới trong khoảng thời gian này được thanh toán theo quy định tại Hợp đồng mua bán điện đã ký giữa Tập đoàn Điện lực Việt Nam và đơn vị phát điện.
8. Trường hợp nhà máy điện có tổ máy phát điện tham gia thử nghiệm hệ thống AGC theo yêu cầu của Đơn vị vận hành hệ thống điện và thị trường điện thì tách toàn bộ nhà máy điện này ra ngoài thị trường điện, toàn bộ sản lượng phát của nhà máy lên lưới trong các chu kỳ có thử nghiệm được thanh toán theo quy định tại Hợp đồng mua bán điện đã ký giữa Tập đoàn Điện lực Việt Nam và đơn vị phát điện. Trước ngày 01 tháng 12 năm N-1, Đơn vị vận hành hệ thống điện và thị trường điện có trách nhiệm lập và công bố danh sách các tổ máy phát điện dự kiến tham gia thử nghiệm hệ thống AGC trong năm N cho các thành viên tham gia thị trường điện.
9. Trường hợp nhà máy tuabin khí vận hành chu trình đơn hoặc thiếu nhiên liệu chính phải sử dụng một phần hoặc toàn bộ nhiên liệu phụ theo lệnh của Đơn vị vận hành hệ thống điện và thị trường điện để đảm bảo an ninh hệ thống điện, thực hiện thanh toán theo hợp đồng cung cấp dịch vụ phụ trợ.
Điều 19. Thanh toán khác đối với nhà máy điện ký hợp đồng trực tiếp với đơn vị mua buôn điện
1. Các khoản thanh toán khác cho nhà máy điện ký hợp đồng trực tiếp với đơn vị mua buôn điện bao gồm:
a) Phần sản lượng chênh lệch giữa sản lượng đo đếm điện năng tháng do đơn vị quản lý số liệu đo đếm cung cấp theo quy định tại Khoản 2 Điều 76 Thông tư số 45/2018/TT-BCT với tổng sản lượng điện năng đo đếm các chu kỳ giao dịch trong tháng do đơn vị quản lý số liệu đo đếm cung cấp theo quy định tại Khoản 1 Điều 76 Thông tư số 45/2018/TT-BCT, được thanh toán theo quy định tại Hợp đồng mua bán điện đã ký giữa đơn vị mua buôn điện và đơn vị phát điện;
b) Tổ máy nhiệt điện bị buộc phải ngừng phát điện theo quy định tại Điểm d Khoản 3 Điều 60 Thông tư số 45/2018/TT-BCT hoặc phải ngừng một lò hơi để giảm công suất theo quy định tại Điểm c Khoản 3 Điều 60 Thông tư số 45/2018/TT-BCT được thanh toán chi phí khởi động theo quy định tại Hợp đồng mua bán điện đã ký giữa đơn vị mua buôn điện và đơn vị phát điện. Đơn vị vận hành hệ thống điện và thị trường điện có trách nhiệm xác nhận sự kiện này đối với tổ máy do Đơn vị phát điện công bố để Đơn vị mua điện làm căn cứ thanh toán chi phí khởi động;
c) Trường hợp nhà máy có tổ máy phát điện thí nghiệm thì tách toàn bộ nhà máy đó ra ngoài thị trường điện trong các chu kỳ chạy thí nghiệm. Toàn bộ sản lượng phát của nhà máy lên lưới trong các chu kỳ có thí nghiệm được thanh toán theo quy định tại Hợp đồng mua bán điện đã ký giữa đơn vị mua buôn điện và đơn vị phát điện, tương ứng với cấu hình tổ máy và loại nhiên liệu sử dụng;
d) Trường hợp nhà máy điện có tổ máy phát điện tham gia thử nghiệm hệ thống AGC theo yêu cầu của Đơn vị vận hành hệ thống điện và thị trường điện thì tách toàn bộ nhà máy điện này ra ngoài thị trường điện, toàn bộ sản lượng phát của nhà máy lên lưới trong các chu kỳ có thử nghiệm được thanh toán theo quy định tại Hợp đồng mua bán điện đã ký giữa đơn vị mua buôn điện và đơn vị phát điện. Trước ngày 01 tháng 12 năm N-1, Đơn vị vận hành hệ thống điện và thị trường điện có trách nhiệm lập và công bố danh sách các tổ máy phát điện dự kiến tham gia thử nghiệm hệ thống AGC trong năm N cho các thành viên tham gia thị trường điện;
đ) Các khoản thuế, phí thanh toán cho nhà máy điện có hợp đồng trực tiếp với các đơn vị mua buôn điện trong chu kỳ thanh toán M (thuế tài nguyên nước, phí môi trường rừng, phí bảo vệ môi trường đối với nước thải công nghiệp, tiền thuê đất, các khoản thuế phí khác nếu có).
2. Các khoản thanh toán khác quy định tại Khoản 1 Điều này được phân bổ cho các đơn vị mua buôn điện theo tỷ trọng sản lượng điện năng giao nhận trong chu kỳ thanh toán do Đơn vị vận hành hệ thống điện và thị trường điện công bố và được xác định theo công thức sau:

Trong đó:
Rkh(l,g,M): Khoản thanh toán khác phân bổ cho đơn vị mua buôn điện l từ nhà máy điện g ký hợp đồng mua bán điện trực tiếp trong chu kỳ thanh toán M được thỏa thuận tại hợp đồng mua bán điện ký giữa hai bên (đồng);
Rkh(g,M): Tổng các khoản thanh toán khác quy định tại Khoản 1 Điều này của các nhà máy điện g ký hợp đồng mua bán điện trực tiếp với đơn vị mua buôn điện trong chu kỳ thanh toán M (đồng);
Q(l,M): Sản lượng điện năng giao nhận của đơn vị mua buôn điện l trong chu kỳ thanh toán M (kWh);
L: Tổng số đơn vị mua buôn điện.
Điều 20. Thanh toán khi can thiệp vào thị trường điện
Trường hợp có phát sinh tình huống can thiệp thị trường điện được quy định tại Điều 64 Thông tư số 45/2018/TT-BCT, đơn vị mua điện có trách nhiệm thanh toán cho đơn vị phát điện có hợp đồng trực tiếp theo quy định tại hợp đồng mua bán điện. Đơn vị vận hành hệ thống điện và thị trường điện có trách nhiệm xác nhận các sự kiện liên quan để đơn vị phát điện có căn cứ hoàn chỉnh hồ sơ thanh toán gửi đơn vị mua điện.
Điều 21. Thanh toán khi dừng thị trường điện
Trong thời gian dừng thị trường điện được quy định tại Điều 65 Thông tư số 45/2018/TT-BCT, đơn vị mua điện có trách nhiệm thanh toán cho đơn vị phát điện có hợp đồng trực tiếp theo quy định tại hợp đồng mua bán điện. Đơn vị vận hành hệ thống điện và thị trường điện có trách nhiệm xác nhận các sự kiện liên quan để đơn vị phát điện có căn cứ hoàn chỉnh hồ sơ thanh toán gửi đơn vị mua điện.
Mục 4
TRÌNH TỰ, THỦ TỤC THANH TOÁN
Điều 22. Số liệu phục vụ tính toán thanh toán thị trường điện
1. Trước 10h00 ngày D+1, đơn vị phát điện có trách nhiệm công bố các sự kiện phục vụ thanh toán trên thị trường điện theo quy định tại Chương IV Quy trình này.
2. Trước 15h00 ngày D+1, đơn vị phát điện có trách nhiệm phối hợp với Đơn vị vận hành hệ thống điện và thị trường điện xác nhận các sự kiện phục vụ thanh toán trên thị trường điện. Trong trường hợp đơn vị phát điện chưa công bố các sự kiện hoặc các sự kiện chưa được thống nhất, Đơn vị vận hành hệ thống điện và thị trường điện có trách nhiệm công bố các sự kiện được sử dụng để tính toán thanh toán trên thị trường điện.
3. Trước 15h00 ngày D+1, Đơn vị vận hành hệ thống điện và thị trường điện có trách nhiệm kiểm tra số liệu đo đếm điện năng, số liệu đo đếm đầu cực tổ máy và các số liệu đo đếm tự dùng của từng chu kỳ giao dịch của ngày D.
4. Trước 9h00 ngày D+2, Đơn vị vận hành hệ thống điện và thị trường điện có trách nhiệm tổng hợp và cung cấp cho đơn vị mua điện và các đơn vị phát điện số liệu phục vụ việc tính toán thanh toán cho từng nhà máy điện.
5. Trước 16h00 ngày D+2, Đơn vị vận hành hệ thống điện và thị trường điện có trách nhiệm tổng hợp và cung cấp cho đơn vị mua điện và các đơn vị phát điện số liệu phục vụ việc tính toán thanh toán.
Điều 23. Bảng kê thanh toán thị trường điện cho ngày giao dịch
1. Trước 16h00 ngày D+4, Đơn vị vận hành hệ thống điện và thị trường điện có trách nhiệm lập và gửi cho các đơn vị phát điện bảng kê thanh toán thị trường điện sơ bộ bao gồm bảng kê dịch vụ dự phòng điều chỉnh tần số cho ngày giao dịch D qua trang thông tin điện tử thị trường điện theo mẫu quy định tại Phụ lục 3 Quy trình này.
2. Trước 16h00 ngày D+5, Đơn vị vận hành hệ thống điện và thị trường điện lập và gửi cho các đơn vị mua điện bảng kê thanh toán thị trường điện giao ngay của ngày D qua trang thông tin điện tử thị trường điện theo mẫu quy định tại Phụ lục 3 Quy trình này.
3. Trước 12h00 ngày D+6, đơn vị phát điện trực tiếp giao dịch và đơn vị mua điện có trách nhiệm xác nhận bảng kê thanh toán thị trường điện bao gồm bảng kê dịch vụ dự phòng điều chỉnh tần số theo quy định trên trang thông tin điện tử thị trường điện; thông báo lại cho Đơn vị vận hành hệ thống điện và thị trường điện các sai sót trong bảng kê thanh toán thị trường điện sơ bộ (nếu có).
4. Trước 16h00 ngày D+6, Đơn vị vận hành hệ thống điện và thị trường điện có trách nhiệm lập và gửi cho đơn vị mua điện và các đơn vị phát điện bảng kê thanh toán thị trường điện bao gồm bảng kê dịch vụ dự phòng điều chỉnh tần số hoàn chỉnh cho ngày D qua Trang thông tin điện tử thị trường điện theo mẫu quy định tại Phụ lục 3 Quy trình này. Đơn vị phát điện có trách nhiệm phát hành bảng kê thanh toán ngày và đưa vào hồ sơ phục vụ công tác thanh toán cho chu kỳ thanh toán.
Điều 24. Bảng kê thanh toán thị trường điện cho chu kỳ thanh toán
1. Đơn vị vận hành hệ thống điện và thị trường điện có trách nhiệm tổng hợp các số liệu thanh toán cho các ngày giao dịch trong chu kỳ thanh toán và kiểm tra, đối chiếu với biên bản tổng hợp sản lượng điện năng do đơn vị quản lý số liệu đo đếm điện năng cung cấp.
2. Trong thời hạn 10 ngày làm việc tính từ ngày giao dịch cuối cùng của chu kỳ thanh toán, Đơn vị vận hành hệ thống điện và thị trường điện có trách nhiệm công bố:
a) Biên bản chốt sản lượng chênh lệch giữa tổng sản lượng trong từng chu kỳ giao dịch và sản lượng chốt cho chu kỳ thanh toán;
b) Tổng sản lượng điện năng giao nhận đầu nguồn của từng đơn vị mua buôn điện và tỷ trọng sản lượng điện năng giao nhận đầu nguồn của đơn vị mua buôn điện tính toán theo quy định tại Khoản 2 Điều 19 Thông tư số 45/2018/TT-BCT.
3. Trong thời hạn 13 ngày làm việc tính từ ngày giao dịch cuối cùng của chu kỳ thanh toán, Đơn vị vận hành hệ thống điện và thị trường điện có trách nhiệm lập và phát hành bảng kê thanh toán thị trường điện bao gồm bảng kê dịch vụ dự phòng điều chỉnh tần số của chu kỳ thanh toán cho đơn vị mua điện và đơn vị phát điện.
4. Bảng kê thanh toán thị trường điện cho chu kỳ thanh toán bao gồm bảng tổng hợp theo mẫu quy định tại Phụ lục 4 Quy trình này và biên bản xác nhận chỉ số công tơ và sản lượng điện năng.
5. Hình thức xác nhận bảng kê thanh toán và sự kiện thị trường điện: Đơn vị phát điện trực tiếp giao dịch, đơn vị mua điện và Đơn vị vận hành hệ thống điện và thị trường điện có trách nhiệm sử dụng chữ ký số để phục vụ công tác xác nhận, phát hành bảng kê thanh toán thị trường điện và xác nhận các sự kiện thị trường điện. Trong trường hợp chữ ký số bị sự cố, đơn vị mua điện và Đơn vị vận hành hệ thống điện và thị trường điện có trách nhiệm xác nhận, phát hành bằng văn bản giấy bảng kê thanh toán thị trường điện và xác nhận các sự kiện thị trường điện trực tiếp và xác nhận lại sau khi sự cố được khắc phục.
Chương III
ĐIỀU CHỈNH SẢN LƯỢNG CỦA ĐƠN VỊ PHÁT ĐIỆN
TRỰC TIẾP GIAO DỊCH TRONG THỊ TRƯỜNG ĐIỆN
Mục 1
ĐIỀU CHỈNH SẢN LƯỢNG HỢP ĐỒNG THÁNG
Điều 25. Các trường hợp được xem xét điều chỉnh Qc tháng
1. Trường hợp Đơn vị phát điện và Đơn vị mua điện thống nhất trong hợp đồng mua bán điện về sản lượng hợp đồng tháng hoặc các nội dung về điều chỉnh sản lượng hợp đồng tháng (các trường hợp điều chỉnh, nguyên tắc điều chỉnh) trước tháng vận hành: Việc điều chỉnh sản lượng hợp đồng tháng được thực hiện theo quy định tại hợp đồng mua bán điện, không thuộc phạm vi áp dụng của Thông tư số 45/2018/TT-BCT và Thông tư số 24/2019/TT-BCT ngày 14 tháng 11 năm 2019 của Bộ trưởng Bộ Công Thương sửa đổi, bổ sung một số điều của Thông tư số 45/2018/TT-BCT ngày 15 tháng 11 năm 2018 của Bộ trưởng Bộ Công Thương quy định vận hành thị trường bán buôn điện cạnh tranh và sửa đổi, bổ sung một số điều của Thông tư số 56/2014/TT-BCT ngày 19 tháng 12 năm 2014 thị trường bán buôn điện cạnh tranh và sửa đổi, bổ sung một số điều của Thông tư số 56/2014/TT-BCT ngày 19 tháng 12 năm 2014 của Bộ trưởng Bộ Công Thương quy định phương pháp xác định giá phát điện, trình tự kiểm tra hợp đồng mua bán điện (sau đây viết tắt là Thông tư số 24/2019/TT-BCT). Các đơn vị có trách nhiệm thông báo cho Đơn vị vận hành hệ thống điện và thị trường điện về các nội dung đã thống nhất để phục vụ công tác vận hành thị trường điện.
2. Trường hợp sản lượng hợp đồng tháng do Đơn vị vận hành hệ thống điện và thị trường điện tính toán theo quy định tại Khoản 2 Điều 27 Thông tư số 45/2018/TT-BCT và không có thỏa thuận khác trong hợp đồng mua bán điện về điều chỉnh sản lượng hợp đồng tháng: Sản lượng hợp đồng tháng M+1 của nhà máy điện (sản lượng đã được ký kết từ đầu năm) được xem xét điều chỉnh trong các trường hợp sau:
a) Lịch bảo dưỡng sửa chữa của nhà máy trong tháng M+1 bị thay đổi so với kế hoạch vận hành năm trong trường hợp:
- Theo yêu cầu của Đơn vị vận hành hệ thống điện và thị trường điện để đảm bảo an ninh hệ thống điện không phải do các nguyên nhân của nhà máy;
- Theo yêu cầu của cơ quan nhà nước có thẩm quyền và được Đơn vị vận hành hệ thống điện và thị trường điện thống nhất căn cứ vào điều kiện vận hành thực tế của hệ thống.
b) Thủy văn thực tế của nhà máy thủy điện khác biệt lớn so với dự báo thủy văn sử dụng trong tính toán lập kế hoạch;
c) Sản lượng khả dụng tháng M+1 của nhà máy điện không đảm bảo sản lượng hợp đồng tháng;
d) Tổ máy được điều chỉnh lịch sửa chữa trong tháng M và đáp ứng các điều kiện sau:
- Đơn vị vận hành hệ thống điện và thị trường điện điều chỉnh lịch sửa chữa do lý do an ninh hệ thống;
- Thời điểm bắt đầu sửa chữa theo lịch sửa chữa điều chỉnh sớm hơn so với thời điểm bắt đầu sửa chữa trong kế hoạch tháng M;
- Thời điểm kết thúc sửa chữa theo lịch sửa chữa điều chỉnh không trong tháng M.
3. Sản lượng hợp đồng từng chu kỳ giao dịch đã được ký kết trong tháng M và các tháng trước trong năm N của nhà máy điện không điều chỉnh trừ trường hợp quy định tại Điểm d Khoản 2 Điều này và Điều 31 Quy trình này
Điều 26. Nguyên tắc điều chỉnh Qc tháng trong trường hợp lịch bảo dưỡng sửa chữa của nhà máy trong tháng M+1 thay đổi
Nguyên tắc điều chỉnh Qc tháng như sau:
1. Qc tháng được điều chỉnh không vượt sản lượng khả dụng đã tính đến kế hoạch bảo dưỡng sửa chữa thay đổi.
2. Qc tháng của các tháng có lịch sửa chữa thay đổi được điều chỉnh bằng cách dịch chuyển giữa các tháng phần sản lượng Qc tương ứng với thời gian sửa chữa bị dịch chuyển, đảm bảo tổng Qc năm không đổi trừ trường hợp quy định tại Điểm c Khoản này, cụ thể như sau:
a) Phần sản lượng Qc giảm tương ứng với thời gian sửa chữa bị dịch chuyển làm giảm khả dụng của tháng i được tính bằng công thức sau:

Trong đó:
: Phần sản lượng Qc điều chỉnh giảm của tháng i;
Ts: Tổng thời gian khả dụng tháng i của các tổ máy trong nhà máy theo lịch sửa chữa thay đổi;
Tt: Tổng thời gian khả dụng tháng i của các tổ máy trong nhà máy theo lịch sửa chữa trong kế hoạch năm;
Qci: Sản lượng hợp đồng tháng i theo theo kế hoạch vận hành thị trường điện năm của nhà máy.
b) Phần sản lượng Qc tăng tương ứng với thời gian sửa chữa bị dịch chuyển của tháng làm tăng khả dụng được tính bằng công thức sau:

Trong đó:
∆Qc: Phần sản lượng Qc tăng tương ứng dịch chuyển;
: Phần sản lượng Qc điều chỉnh tăng của tháng i.
3. Trường hợp nhà máy thay đổi lịch bảo dưỡng sửa chữa vào tháng cuối năm thì không dịch chuyển sản lượng Qc tương ứng với thời gian sửa chữa của tháng này vào năm tiếp theo.
4. Trước ngày 22 hàng tháng, căn cứ kết quả đánh giá an ninh hệ thống tháng tới và yêu cầu của cơ quan nhà nước có thẩm quyền liên quan đến việc thay đổi lịch bảo dưỡng sửa chữa của nhà máy điện, Đơn vị vận hành hệ thống điện và thị trường điện có trách nhiệm phê duyệt kế hoạch bảo dưỡng sửa chữa làm cơ sở cho lập kế hoạch vận hành thị trường điện tháng tới. Trường hợp phát sinh việc thay đổi kế hoạch bảo dưỡng sửa chữa sau ngày 25 hàng tháng thì không điều chỉnh Qc tháng tiếp theo của nhà máy điện.
Điều 27. Điều chỉnh Qc tháng trong trường hợp thủy văn thực tế khác biệt lớn so với dự báo thủy văn sử dụng trong tính toán lập kế hoạch
1. Nhà máy thủy điện có hồ chứa điều tiết trên 01 tuần (trừ nhà máy thủy điện được áp dụng cơ chế chào giá như nhà máy thủy điện có hồ chứa dưới 02 ngày) được xem xét điều chỉnh sản lượng hợp đồng tháng tiếp theo khi đáp ứng đủ các điều kiện sau:
a) Trường hợp 1
- Lưu lượng nước về bình quân tính từ ngày 01 tháng 01 năm N đến ngày 20 tháng M chênh lệch +50% so với lưu lượng nước về dự báo được sử dụng trong công tác lập kế hoạch vận hành năm tới;
- Sản lượng phát tại điểm giao nhận quy đổi của nhà máy điện từ ngày 01 tháng 01 năm N đến ngày 20 tháng M chênh lệch +20% so với sản lượng hợp đồng lũy kế. Sản lượng phát quy đổi của nhà máy điện được tính toán bằng sản lượng thực phát nhân với tỷ lệ sản lượng thanh toán theo giá hợp đồng;
- Dung tích hữu ích đầu kỳ dự kiến của tháng M+1 chênh lệch +10% so dung tích hữu ích hồ đầu tháng tính toán trong kế hoạch năm;
- Sản lượng hợp đồng tháng M+1 thấp hơn 10% so với sản lượng dự kiến huy động quy đổi tại điểm giao nhận trong kế hoạch vận hành tháng M+1 đã được phê duyệt;
- Chỉ điều chỉnh tăng sản lượng hợp đồng của nhà máy thủy điện trong trường hợp tổng sản lượng hợp đồng tháng của các nhà máy điện tham gia thị trường điện theo kế hoạch vận hành năm thấp hơn 95% tổng sản lượng dự kiến phát (quy đổi về điểm giao nhận) của các nhà máy điện theo kế hoạch vận hành tháng.
b) Trường hợp 2
- Lưu lượng nước về bình quân tính từ ngày 01 tháng 01 năm N đến ngày 20 tháng M chênh lệch -50% so với lưu lượng nước về dự báo được sử dụng trong công tác lập kế hoạch vận hành năm tới;
- Sản lượng phát tại điểm giao nhận quy đổi của nhà máy điện từ ngày 01 tháng 01 năm N đến ngày 20 tháng M chênh lệch -20% so với sản lượng hợp đồng lũy kế. Sản lượng phát quy đổi của nhà máy điện được tính toán bằng sản lượng thực phát nhân với tỷ lệ sản lượng thanh toán theo giá hợp đồng;
- Dung tích hữu ích đầu kỳ dự kiến của tháng M+1 chênh lệch -10% so dung tích hữu ích hồ đầu tháng tính toán trong kế hoạch năm;
- Sản lượng hợp đồng tháng M+1 cao hơn 10% so với sản lượng dự kiến huy động quy đổi tại điểm giao nhận trong kế hoạch vận hành tháng M+1 đã được phê duyệt.
c) Trường hợp 3
- Lưu lượng nước về bình quân thực tế tính đến ngày 20 tháng M thấp hơn so với lưu lượng nước về dự báo tháng M được sử dụng trong công tác lập kế hoạch vận hành năm tới;
- Sản lượng phát tại điểm giao nhận ước thực hiện của tháng M (số liệu thực đến ngày 20 tháng M và ước các ngày còn lại của tháng M) thấp hơn hoặc bằng sản lượng hợp đồng đã được phân bổ cho tháng M;
- Mực nước dự kiến đầu tháng M+1 của hồ thấp hơn mực nước tối thiểu hoặc mực nước thấp nhất trong dải mực nước điều hành được quy định trong Quy trình vận hành hồ chứa do cơ quan có thẩm quyền ban hành;
- Sản lượng hợp đồng tháng M+1 cao hơn so với sản lượng dự kiến huy động quy đổi tại điểm giao nhận trong kế hoạch vận hành tháng M+1 đã được phê duyệt.
2. Đơn vị phát điện có trách nhiệm công bố lưu lượng nước về và mực nước hồ chứa thủy điện thực tế hàng ngày lên trang thông tin điện tử phục vụ vận hành hệ thống điện và thị trường điện theo quy định tại Quy trình quản lý vận hành hệ thống công nghệ thông tin điều hành thị trường điện và công bố thông tin thị trường điện do Cục Điều tiết điện lực ban hành. Đơn vị phát điện chịu trách nhiệm về tính chính xác của số liệu do đơn vị mình cung cấp.
3. Trước ngày 21 hàng tháng, đơn vị phát điện có trách nhiệm dự kiến mức nước hồ chứa đầu tháng M+1 và tính toán dự kiến dung tích hữu ích hồ chứa tại thời điểm đầu tháng M+1. Đơn vị phát điện và đơn vị mua điện có trách nhiệm phối hợp xem xét, đối chiếu các số liệu căn cứ các điều kiện theo quy định tại Khoản 1 Điều này và có ý kiến đề xuất phương án điều chỉnh Qc tháng M+1 với Đơn vị vận hành hệ thống điện và thị trường điện.
4. Sản lượng hợp đồng tháng M+1 của đơn vị phát điện được xem xét điều chỉnh trong các trường hợp quy định tại Khoản 1 Điều này bằng sản lượng dự kiến huy động quy đổi tại điểm giao nhận được tính toán theo phương thức hệ thống điện tháng M+1 đã được Tập đoàn Điện lực Việt Nam phê duyệt nhân với tỷ lệ sản lượng thanh toán theo giá hợp đồng (α), đồng thời không vượt sản lượng khả dụng và không điều chỉnh vào các tháng tiếp sau.
Điều 28. Điều chỉnh Qc tháng trong trường hợp sản lượng khả dụng tháng M+1 của nhà máy điện không đảm bảo sản lượng hợp đồng tháng
Trong trường hợp sản lượng khả dụng tháng M+1 của nhà máy điện không đảm bảo sản lượng hợp đồng tháng thì sản lượng hợp đồng tháng được điều chỉnh bằng sản lượng khả dụng tháng đó.
Sản lượng khả dụng tháng M+1 của nhà máy điện do đơn vị phát điện công bố theo quy định tại Khoản 4 Điều 38 Quy trình lập kế hoạch vận hành thị trường điện.
Điều 29. Điều chỉnh Qc tháng M+1 trong trường hợp Tổ máy được điều chỉnh lịch sửa chữa trong tháng M
Trong trường hợp quy định tại Điểm d Khoản 2 Điều 25 Quy trình này, sản lượng hợp đồng từng chu kỳ giao dịch trong thời gian lịch sửa chữa điều chỉnh của tháng M lớn hơn sản lượng khả dụng được điều chỉnh theo lịch sửa chữa thì sản lượng hợp đồng từng chu kỳ giao dịch được điều chỉnh bằng sản lượng khả dụng và phần sản lượng hợp đồng thiếu hụt của tháng M được phân bổ vào sản lượng hợp đồng tháng có thời điểm kết thúc lịch sửa chữa điều chỉnh theo phê duyệt lịch sửa chữa.
Điều 30. Công bố và xác nhận sản lượng hợp đồng tháng điều chỉnh
1. Vào ngày 22 hàng tháng, Đơn vị vận hành hệ thống điện và thị trường điện tổng hợp, báo cáo Tập đoàn Điện lực Việt Nam các trường hợp quy định tại Điều 25 Quy trình này.
2. Vào ngày 25 hàng tháng, Tập đoàn Điện lực Việt Nam, căn cứ vào kế hoạch vận hành tháng M+1, tình hình thực tế của hệ thống và từng đơn vị để có ý kiến gửi Đơn vị vận hành hệ thống điện và thị trường điện về việc điều chỉnh sản lượng hợp đồng tháng M+1 và các tháng tiếp theo trong năm N cho nhà máy điện.
3. Vào ngày 25 hàng tháng, Đơn vị vận hành hệ thống điện và thị trường có trách nhiệm công bố sản lượng hợp đồng các tháng điều chỉnh lên trang thông tin điện tử thị trường điện theo Quy trình quản lý vận hành hệ thống công nghệ thông tin điều hành thị trường điện và công bố thông tin thị trường điện do Cục Điều tiết điện lực ban hành.
4. Trước ngày cuối cùng hàng tháng, đơn vị mua điện và đơn vị phát điện trực tiếp giao dịch có trách nhiệm ký xác nhận Qc tháng M+1 tại điểm giao nhận và Qc tháng M+1 và các tháng tiếp theo trong năm N đã được điều chỉnh (nếu có) theo công bố của Đơn vị vận hành hệ thống điện và thị trường điện.
5. Đơn vị vận hành hệ thống điện và thị trường điện có trách nhiệm báo cáo Cục Điều tiết điện lực kết quả thực hiện việc điều chỉnh sản lượng hợp đồng tháng M và các tháng tiếp theo trong năm N của các nhà máy điện có điều chỉnh sản lượng hợp đồng theo quy định về chế độ báo cáo vận hành thị trường điện tại Khoản 35 Điều 1 Thông tư số 24/2019/TT-BCT.
Mục 2
ĐIỀU CHỈNH SẢN LƯỢNG HỢP ĐỒNG TRONG CHU KỲ GIAO DỊCH
Điều 31. Các trường hợp được xem xét điều chỉnh sản lượng hợp đồng từng chu kỳ giao dịch
1. Trường hợp Đơn vị phát điện và Đơn vị mua điện thống nhất trong hợp đồng mua bán điện về sản lượng hợp đồng từng chu kỳ giao dịch hoặc các nội dung về điều chỉnh sản lượng hợp đồng chu kỳ giao dịch (các trường hợp điều chỉnh, nguyên tắc điều chỉnh): Việc điều chỉnh sản lượng hợp đồng chu kỳ giao dịch được thực hiện theo quy định tại hợp đồng mua bán điện. Các đơn vị có trách nhiệm thông báo cho Đơn vị vận hành hệ thống điện và thị trường điện về các nội dung đã thống nhất để phục vụ công tác vận hành thị trường điện.
2. Trường hợp sản lượng hợp đồng từng chu kỳ giao dịch do Đơn vị vận hành hệ thống điện và thị trường điện tính toán theo quy định tại Điều 38 và Điều 40 Thông tư số 45/2018/TT-BCT và không có thỏa thuận khác trong hợp đồng mua bán điện về điều chỉnh sản lượng hợp đồng chu kỳ giao dịch: Sản lượng hợp đồng từng chu kỳ giao dịch của nhà máy điện được xem xét điều chỉnh trong các trường hợp sau:
a) Tổ máy bị sự cố với thời gian sự cố lớn hơn 72 giờ;
b) Lò hơi của tổ máy nhiệt điện than có nhiều lò hơi có thời gian sự cố lớn hơn 72 giờ;
c) Thời gian sửa chữa của tổ máy kéo dài so với kế hoạch đã được phê duyệt và được đưa vào tính sản lượng hợp đồng từng chu kỳ giao dịch;
d) Thời gian sửa chữa lò hơi của tổ máy nhiệt điện than có nhiều lò hơi kéo dài so với kế hoạch đã được phê duyệt và được đưa vào tính sản lượng hợp đồng từng chu kỳ giao dịch;
đ) Có công bố thông tin về việc thiếu nguồn nhiên liệu khí trong kết quả lập lịch huy động ngày tới của Đơn vị vận hành hệ thống điện và thị trường điện theo quy định tại Khoản 7 Điều 54 Thông tư số 45/2018/TT-BCT;
e) Có công bố thông tin về trường hợp nhà máy nhiệt điện than xảy ra tình trạng thiếu nhiên liệu dẫn đến tổng sản lượng điện năng ngày tương ứng với mức công suất công bố trong bản chào lập lịch ngày tới của nhà máy điện thấp hơn tổng sản lượng hợp đồng các chu kỳ giao dịch trong ngày của nhà máy theo quy định tại Khoản 13 Điều 1 Thông tư số 24/2019/TT-BCT.
Điều 32. Điều chỉnh sản lượng hợp đồng từng chu kỳ giao dịch của nhà máy điện trong trường hợp thời gian sự cố của tổ máy hoặc lò máy của nhà máy điện lớn hơn 72 giờ
Sản lượng hợp đồng từng chu kỳ giao dịch (Qc) của nhà máy trong trường hợp tổ máy hoặc lò máy của nhà máy bị sự cố, được điều chỉnh như sau:
1. Trường hợp thời điểm tổ máy hoặc lò máy trả lại trạng thái dự phòng sau sự cố quá 72 giờ:
a) Trong giai đoạn từ chu kỳ giao dịch có sự cố đến hết 72 giờ: Giữ nguyên sản lượng hợp đồng (Qc) đã phân bổ cho nhà máy điện;
b) Trong giai đoạn từ chu kỳ giao dịch đầu tiên sau khi kết thúc 72 giờ đến chu kỳ tổ máy hoặc lò máy khắc phục sự cố và khả dụng:
- Trường hợp sản lượng phát thực tế tại điểm giao nhận (Qmq) của nhà máy nhỏ hơn sản lượng hợp đồng (Qc) nhà máy trong giai đoạn này, thực hiện điều chỉnh sản lượng hợp đồng từng chu kỳ giao dịch bằng sản lượng Qmq của nhà máy điện;
- Trường hợp Qmq của nhà máy điện lớn hơn hoặc bằng Qc nhà máy điện trong giai đoạn này, không điều chỉnh Qc nhà máy điện.
2. Trường hợp nhà máy điện có tổ máy hoặc lò máy trả lại trạng thái dự phòng sau sự cố trong vòng 72 giờ và lần khởi động sau khi trả lại trạng thái dự phòng là khởi động thành công: Không điều chỉnh sản lượng hợp đồng của nhà máy điện.
Điều 33. Điều chỉnh sản lượng hợp đồng từng chu kỳ giao dịch của nhà máy điện trong trường hợp sửa chữa kéo dài
Trường hợp tổ máy hoặc lò máy của nhà máy kéo dài thời gian sửa chữa so với kế hoạch đã được phê duyệt và được đưa vào tính sản lượng hợp đồng từng chu kỳ giao dịch, sản lượng hợp đồng từng chu kỳ giao dịch của nhà máy trong các chu kỳ kéo dài sửa chữa được điều chỉnh như sau:
1. Trong các chu kỳ kéo dài sửa chữa, chu kỳ mà sản lượng phát thực tế tại điểm giao nhận (Qmq) của nhà máy nhỏ hơn Qc của nhà máy thì điều chỉnh sản lượng hợp đồng tại các chu kỳ đó bằng sản lượng Qmq của nhà máy.
2. Trong các chu kỳ kéo dài sửa chữa, chu kỳ mà sản lượng phát thực tế tại điểm giao nhận (Qmq) của nhà máy lớn hơn hoặc bằng Qc của nhà máy thì không điều chỉnh sản lượng hợp đồng tại các chu kỳ đó.
Điều 34. Điều chỉnh sản lượng hợp đồng từng chu kỳ giao dịch của nhà máy điện có công bố thông tin về việc thiếu nhiên liệu
1. Trong trường hợp có công bố thông tin về việc thiếu nguồn nhiên liệu khí, thực hiện điều chỉnh sản lượng hợp đồng của nhà máy tuabin khí trong các chu kỳ giao dịch bằng sản lượng thực tế tại điểm giao nhận của nhà máy điện.
2. Trong trường hợp có công bố thông tin về việc thiếu nguồn nhiên liệu than dẫn đến tổng sản lượng điện năng ngày tương ứng với mức công suất công bố trong bản chào lập lịch ngày tới của nhà máy điện thấp hơn tổng sản lượng hợp đồng các chu kỳ giao dịch trong ngày của nhà máy, thực hiện điều chỉnh sản lượng hợp đồng của nhà máy nhiệt điện than trong các chu kỳ giao dịch bằng sản lượng thực tế tại điểm giao nhận của nhà máy điện.
Điều 35. Công bố và xác nhận sản lượng hợp đồng từng chu kỳ giao dịch điều chỉnh
1. Đơn vị phát điện và Đơn vị vận hành hệ thống điện và thị trường điện có trách nhiệm xác nhận các sự kiện phục vụ điều chỉnh sản lượng hợp đồng từng chu kỳ theo quy định tại Chương IV Quy trình này và Quy trình phối hợp đối soát số liệu thanh toán giữa Đơn vị vận hành hệ thống điện và thị trường điện, đơn vị phát điện và đơn vị mua điện.
2. Đơn vị vận hành hệ thống điện và thị trường điện có trách nhiệm tính toán và công bố sản lượng hợp đồng từng chu kỳ giao dịch hiệu chỉnh do sửa chữa kéo dài, sự cố kéo dài quá 72 giờ và vận hành trong thời gian thiếu nguồn nhiên liệu của nhà máy điện ký hợp đồng trực tiếp với đơn vị mua buôn điện trên Trang thông tin điện tử thị trường điện theo quy định tại Quy trình quản lý, vận hành hệ thống công nghệ thông tin điều hành thị trường điện do Cục Điều tiết điện lực ban hành.
3. Đơn vị mua điện và đơn vị phát điện trực tiếp giao dịch có trách nhiệm ký xác nhận sản lượng hợp đồng tháng và sản lượng hợp đồng từng chu kỳ giao dịch tháng M-1 được điều chỉnh.
Chương IV
PHỐI HỢP XÁC NHẬN CÁC SỰ KIỆN PHỤC VỤ CÁC KHOẢN THANH TOÁN TRÊN THỊ TRƯỜNG ĐIỆN
Điều 36. Danh sách các sự kiện cần xác nhận
Danh sách các sự kiện cần xác nhận phục vụ tính toán thanh toán trong thị trường điện bao gồm:
1. Tổ máy nhiệt điện khởi động sau khi bị buộc phải ngừng trong trường hợp thừa công suất.
2. Tổ máy nhiệt điện than nhiều lò hơi khởi động lại đối với lò hơi bị buộc phải ngừng trong trường hợp thừa công suất.
3. Tổ máy nhiệt điện khởi động hoặc ngừng máy theo yêu cầu của Đơn vị vận hành hệ thống điện và thị trường điện.
4. Tổ máy thí nghiệm.
5. Tổ máy phải phát trong thời điểm đã có kế hoạch ngừng máy được phê duyệt.
6. Tổ máy tách lưới phát điện độc lập.
7. Tổ máy đấu nối vào lưới mua điện từ nước ngoài.
8. Tổ máy thủy điện phải phát công suất lớn hơn công suất công bố trong bản chào giá lập lịch huy động chu kỳ giao dịch tới theo yêu cầu của Đơn vị vận hành hệ thống điện và thị trường điện vì lý do an ninh hệ thống điện.
9. Tổ máy có thời gian sự cố lớn hơn 72 giờ.
10. Tổ máy kéo dài lịch sửa chữa so với kế hoạch đã được phê duyệt và được đưa vào tính sản lượng hợp đồng từng chu kỳ giao dịch.
11. Lò hơi của tổ máy nhiệt điện than có nhiều lò hơi có thời gian sự cố lớn hơn 72 giờ.
12. Lò hơi của tổ máy nhiệt điện than có nhiều lò hơi kéo dài lịch sửa chữa so với kế hoạch đã được phê duyệt và được đưa vào tính sản lượng hợp đồng từng chu kỳ giao dịch.
13. Nhà máy nhiệt điện vận hành trong thời gian thiếu nguồn nhiên liệu.
14. Tổ máy phát hoặc nhận công suất phản kháng trong chế độ chạy bù đồng bộ.
15. Tổ máy tham gia dịch vụ dự phòng điều chỉnh tần số theo yêu cầu của Đơn vị vận hành hệ thống điện và thị trường điện.
16. Tổ máy nhiệt điện tuabin khí có chung đuôi hơi có thời điểm vận hành chu trình đơn theo yêu cầu của Đơn vị vận hành hệ thống điện và thị trường điện.
17. Tổ máy nhiệt điện tuabin khí có chung đuôi hơi vận hành với nhiên liệu hỗn hợp hoặc không phải nhiên liệu chính theo yêu cầu của Đơn vị vận hành hệ thống điện và thị trường điện để đảm bảo an ninh hệ thống điện.
Điều 37. Nguyên tắc xác định tổ máy nhiệt điện khởi động sau khi bị buộc phải ngừng trong trường hợp thừa công suất
1. Đơn vị phát điện được xác định có tổ máy nhiệt điện khởi động sau khi bị buộc phải ngừng trong trường hợp thừa công suất khi có đủ các điều kiện sau:
a) Ngừng máy trước và tiến hành khởi động tiếp theo được thực hiện theo yêu cầu của Đơn vị vận hành hệ thống điện và thị trường điện;
b) Tại chu kỳ ngừng máy, giá chào dải công suất đầu tiên trong bản chào lập lịch của tổ máy tại chu kỳ ngừng máy bằng giá sàn bản chào của tổ máy nhiệt điện;
c) Tại chu kỳ ngừng máy, giá biên miền tương ứng nhỏ hơn hoặc bằng giá sàn bản chào của tổ máy nhiệt điện;
d) Trong khoảng thời gian từ khi tổ máy ngừng do thừa nguồn đến khi tổ máy khởi động lại thành công, tổ máy không có sửa chữa hoặc xử lý sự cố.
2. Thông tin cần xác nhận bao gồm:
a) Thời điểm hoàn thành ngừng tổ máy được xác định theo quy định tại Điểm b Khoản 2 Điều 39 Quy trình này;
b) Thời điểm khởi động tổ máy được xác định theo thứ tự ưu tiên sau:
- Thời điểm tổ máy nhận tín hiệu khởi động qua hệ thống điều khiển DCS;
- Thời điểm Đơn vị vận hành hệ thống điện và thị trường điện ra lệnh khởi động tổ máy hoặc thời điểm đơn vị phát điện thông báo bắt đầu khởi động tổ máy;
- Thời điểm bắt đầu của lệnh Khởi động lò.
c) Thời điểm hoàn thành lệnh khởi động tổ máy được xác định theo quy định tại Điểm a Khoản 3 Điều 39 Quy trình này;
d) Đối với các tổ máy tuabin khí:
- Nhiên liệu sử dụng để khởi động (nhiên liệu chính hoặc không phải nhiên liệu chính);
- Cấu hình khởi động (chu trình đơn hoặc chu trình hỗn hợp).
3. Dữ liệu phục vụ xác nhận sự kiện bao gồm:
a) Bản chào lập lịch ngày tới, bản chào chu kỳ giao dịch tới của tổ máy, giá biên miền lấy theo cơ sở dữ liệu hệ thống thông tin thị trường điện;
b) Nhiên liệu sử dụng để khởi động, cấu hình khởi động (đối với các tổ máy tuabin khí) lấy theo bản ghi DCS do đơn vị phát điện cung cấp;
c) Thời điểm tổ máy nhận tín hiệu khởi động tổ máy lấy theo bản ghi DCS do đơn vị phát điện cung cấp;
d) Thời điểm đơn vị phát điện thông báo bắt đầu khởi động tổ máy lấy theo bản sao ghi âm công nghiệp hoặc bản sao sổ ghi chép ca của của Đơn vị vận hành hệ thống điện và thị trường điện hoặc của đơn vị phát điện;
đ) Các dữ liệu khác theo quy định tại Khoản 4 Điều 39 Quy trình này.
Điều 38. Nguyên tắc xác định tổ máy nhiệt điện than nhiều lò hơi khởi động lại 01 (một) lò hơi sau khi buộc phải ngừng để giảm công suất trong trường hợp thừa công suất
1. Đơn vị phát điện được xác định có tổ máy nhiệt điện than nhiều lò hơi khởi động 01 (một) lò hơi sau khi buộc phải ngừng trong trường hợp thừa công suất khi có đủ các điều kiện sau:
a) Ngừng 01 (một) lò hơi trước đó và khởi động tiếp theo được thực hiện theo yêu cầu của Đơn vị vận hành hệ thống điện và thị trường điện;
b) Tại chu kỳ ngừng 01 (một) lò hơi, giá chào dải công suất đầu tiên trong bản chào lập lịch của tổ máy tại chu kỳ ngừng máy bằng giá sàn bản chào của tổ máy nhiệt điện;
c) Tại chu kỳ ngừng 01 (một) lò hơi, giá biên miền tương ứng nhỏ hơn hoặc bằng giá sàn bản chào của tổ máy nhiệt điện;
d) Trong khoảng thời gian từ khi lò hơi ngừng do thừa nguồn đến khi hòa hơi lại thành công, lò hơi hoặc tổ máy tương ứng không có sửa chữa hoặc xử lý sự cố.
2. Thông tin cần xác nhận bao gồm:
a) Thời điểm hoàn thành lệnh ngừng lò hơi được xác định theo thứ tự ưu tiên sau:
- Thời điểm hoàn thành lệnh Ngừng lò hơi;
- Thời điểm đơn vị phát điện thông báo lò hơi đã ngừng theo lệnh điều độ của Đơn vị vận hành hệ thống điện và thị trường điện.
b) Thời điểm khởi động lò hơi được xác định theo thứ tự ưu tiên sau:
- Thời điểm lò hơi nhận tín hiệu khởi động qua hệ thống điều khiển DCS;
- Thời điểm Đơn vị vận hành hệ thống điện và thị trường điện ra lệnh Khởi động lò hơi hoặc thời điểm đơn vị phát điện thông báo bắt đầu khởi động lò hơi;
- Thời điểm bắt đầu của lệnh Khởi động lò hơi.
c) Thời điểm hoàn thành lệnh Khởi động lò hơi được xác định theo thứ tự ưu tiên sau:
- Thời điểm kết thúc của lệnh Hòa lưới hoặc lệnh Hòa hơi lò;
- Thời điểm đơn vị phát điện thông báo lò hơi đã hòa hơi.
3. Dữ liệu phục vụ xác nhận sự kiện bao gồm:
a) Bản chào lập lịch ngày tới, bản chào chu kỳ giao dịch tới của tổ máy, giá biên miền lấy theo cơ sở dữ liệu hệ thống thông tin thị trường điện;
b) Dữ liệu từ hệ thống DIM của Đơn vị vận hành hệ thống điện và thị trường điện và đơn vị phát điện;
c) Dữ liệu về ngừng và khởi động lò hơi lấy từ bản sao ghi âm công nghiệp hoặc bản sao sổ ghi chép ca của Đơn vị vận hành hệ thống điện và thị trường điện hoặc của đơn vị phát điện;
d) Dữ liệu về ngừng và khởi động lò hơi lấy từ bản ghi DCS do đơn vị phát điện cung cấp.
Điều 39. Nguyên tắc xác định sự kiện tổ máy nhiệt điện khởi động hoặc ngừng máy theo yêu cầu của Đơn vị vận hành hệ thống điện và thị trường điện
1. Đơn vị phát điện được xác định có sự kiện khi tổ máy khởi động, ngừng máy theo yêu cầu của Đơn vị vận hành hệ thống điện và thị trường điện (không áp dụng xác nhận sự kiện cho tổ máy bị ngừng máy do sự cố).
2. Các thông tin cần xác nhận cho sự kiện ngừng tổ máy bao gồm:
a) Thời điểm bắt đầu ngừng tổ máy là thời điểm bắt đầu thực hiện lệnh Ngừng tổ máy hoặc lệnh Thay đổi công suất về giá trị 0 (không) hoặc thời điểm Đơn vị vận hành hệ thống điện và thị trường điện ra lệnh ngừng tổ máy;
b) Thời điểm hoàn thành ngừng tổ máy được xác định theo thứ tự ưu tiên sau:
- Thời điểm hoàn thành lệnh Ngừng tổ máy hoặc lệnh Thay đổi công suất về giá trị 0 (không);
- Thời điểm cắt máy cắt đầu cực hoặc máy cắt cao áp tổ máy (đối với tổ máy không có máy cắt đầu cực);
- Thời điểm đơn vị phát điện thông báo tổ máy đã tách lưới.
3. Các thông tin cần xác nhận cho sự kiện khởi động bao gồm:
a) Thời điểm hoàn thành lệnh khởi động được xác định theo thứ tự ưu tiên sau:
- Thời điểm hoàn thành lệnh Hòa lưới hoặc lệnh Khởi động và hòa lưới tổ máy;
- Thời điểm đóng máy cắt đầu cực hoặc máy cắt cao áp tổ máy (đối với tổ máy không có máy cắt đầu cực);
- Thời điểm đơn vị phát điện thông báo tổ máy đã hòa lưới thành công.
b) Thời điểm tổ máy đạt lệnh điều độ hoặc đạt công suất phát ổn định thấp nhất được xác định theo thứ tự ưu tiên sau:
- Thời điểm tổ máy đạt công suất phát ổn định thấp nhất;
- Thời điểm tổ máy đạt công suất theo yêu cầu của Đơn vị vận hành hệ thống điện và thị trường điện;
- Thời điểm đơn vị phát điện thông báo tổ máy đã đạt công suất phát ổn định thấp nhất hoặc công suất theo yêu cẩu của Đơn vị vận hành hệ thống điện và thị trường điện;
- Thời điểm hoàn thành lệnh Ngừng tổ máy hoặc lệnh Thay đổi công suất về giá trị 0 (không) trong trường hợp tổ máy ngừng sự cố sau khi đã khởi động và hòa lưới thành công nhưng chưa đạt công suất phát ổn định thấp nhất.
4. Dữ liệu phục vụ xác nhận sự kiện bao gồm:
a) Thời điểm bắt đầu, hoàn thành lệnh, thời điểm tổ máy đạt công suất theo yêu cầu lấy theo dữ liệu từ hệ thống DIM của Đơn vị vận hành hệ thống điện và thị trường điện và đơn vị phát điện;
b) Thời điểm đóng, cắt máy cắt lấy theo bản ghi DCS do đơn vị phát điện cung cấp;
c) Thời điểm tổ máy đạt công suất phát ổn định thấp nhất lấy theo bản ghi DCS do đơn vị phát điện cung cấp;
d) Công suất phát ổn định thấp nhất lấy theo Hồ sơ đăng ký tham gia thị trường điện của đơn vị phát điện;
đ) Dữ liệu đo đếm của nhà máy điện đã được xác thực theo quy định tại Quy định đo đếm điện năng trong thị trường phát điện cạnh tranh do Bộ Công Thương ban hành.
Điều 40. Nguyên tắc xác định sự kiện tổ máy thí nghiệm
1. Đơn vị phát điện được xác định có tổ máy thí nghiệm khi có đủ các điều kiện sau:
a) Tổ máy có thí nghiệm nối lưới đã được Đơn vị vận hành hệ thống điện và thị trường điện phê duyệt theo hình thức Phiếu đăng ký công tác hoặc theo văn bản thông báo của Đơn vị vận hành hệ thống điện và thị trường điện về kế hoạch thử nghiệm tổ máy theo yêu cầu hệ thống;
b) Tổ máy thực hiện thí nghiệm khi có sự đồng ý của Đơn vị vận hành hệ thống điện và thị trường điện;
c) Tổ máy thực hiện thí nghiệm với khoảng thời gian, cấu hình tổ máy, loại nhiên liệu sử dụng, loại hình thí nghiệm phù hợp trong đăng ký đã được phê duyệt hoặc trong văn bản thông báo của Đơn vị vận hành hệ thống điện và thị trường điện.
2. Thông tin cần xác nhận bao gồm:
a) Đối với tổ máy tuabin khí
- Thời điểm bắt đầu sự kiện được xác định theo thứ tự ưu tiên sau:
+ Thời điểm đóng máy cắt đầu cực hoặc máy cắt cao áp tổ máy (đối với tổ máy không có máy cắt đầu cực);
+ Thời điểm Đơn vị vận hành hệ thống điện và thị trường điện đồng ý cho phép hoặc ra lệnh điều độ cho tổ máy chuyển sang trạng thái thí nghiệm đối với tổ máy đang nối lưới;
+ Thời điểm hoàn thành lệnh Khởi động và hòa lưới tổ máy đối với các tổ máy đang ngừng;
+ Thời điểm tổ máy chuyển sang chế độ thử nghiệm theo ghi nhận DCS.
- Thời điểm kết thúc sự kiện được xác định theo thứ tự ưu tiên sau:
+ Thời điểm cắt máy cắt đầu cực hoặc máy cắt cao áp tổ máy thí nghiệm (đối với tổ máy không có máy cắt đầu cực);
+ Thời điểm hoàn thành lệnh Ngừng tổ máy hoặc lệnh Thay đổi công suất về giá trị 0 (không);
+ Thời điểm Đơn vị vận hành hệ thống điện và thị trường điện ra lệnh điều độ cho tổ máy kết thúc thí nghiệm hoặc đơn vị phát điện thông báo kết thúc thí nghiệm đối với các tổ máy nối lưới.
- Nhiên liệu (nhiên liệu chính, không phải nhiên liệu chính, hỗn hợp) và cấu hình (chu trình đơn, hỗn hợp) thí nghiệm tương ứng;
- Thời điểm chuyển đổi nhiên liệu và cấu hình thí nghiệm theo quy định tại Điều 51 hoặc Điều 52 Quy trình này.
b) Đối với các tổ máy không phải là tổ máy tuabin khí
- Thời điểm bắt đầu sự kiện được xác định theo thứ tự ưu tiên sau:
+ Thời điểm Đơn vị vận hành hệ thống điện và thị trường điện đồng ý cho phép hoặc ra lệnh điều độ cho tổ máy chuyển sang trạng thái thí nghiệm đối với tổ máy đang nối lưới;
+ Thời điểm hoàn thành lệnh Khởi động và hòa lưới hoặc lệnh Hòa lưới tổ máy đối với các tổ máy đang ngừng;
+ Thời điểm đóng máy cắt đầu cực hoặc máy cắt cao áp tổ máy (đối với tổ máy không có máy cắt đầu cực);
+ Thời điểm tổ máy chuyển sang chế độ thử nghiệm theo ghi nhận DCS.
- Thời điểm kết thúc sự kiện được xác định theo thứ tự ưu tiên sau:
+ Thời điểm cắt máy cắt đầu cực hoặc máy cắt cao áp tổ máy thí nghiệm (đối với tổ máy không có máy cắt đầu cực);
+ Thời điểm hoàn thành lệnh Ngừng tổ máy hoặc lệnh Thay đổi công suất về 0 (không) MW;
+ Thời điểm Đơn vị vận hành hệ thống điện và thị trường điện ra lệnh điều độ cho tổ máy kết thúc thí nghiệm hoặc đơn vị phát điện thông báo kết thúc thí nghiệm đối với các tổ máy nối lưới.
3. Dữ liệu phục vụ xác nhận sự kiện bao gồm:
a) Phiếu đăng ký công tác được Đơn vị vận hành hệ thống điện và thị trường điện phê duyệt lấy theo cơ sở dữ liệu hệ thống thông tin thị trường điện;
b) Thời điểm bắt đầu, hoàn thành lệnh lấy theo dữ liệu từ hệ thống DIM của Đơn vị vận hành hệ thống điện và thị trường điện và đơn vị phát điện;
c) Thời điểm đóng, cắt máy cắt, chuyển đổi chế độ thí nghiệm lấy theo bản ghi DCS do đơn vị phát điện cung cấp;
d) Thời điểm Đơn vị vận hành hệ thống điện và thị trường điện đồng ý cho phép hoặc ra lệnh Thí nghiệm và thời điểm đơn vị phát điện thông báo kết thúc thí nghiệm hoặc thời điểm Đơn vị vận hành hệ thống điện và thị trường điện ra lệnh điều độ cho tổ máy kết thúc thí nghiệm lấy từ bản sao ghi âm công nghiệp hoặc bản sao sổ ghi chép ca của của Đơn vị vận hành hệ thống điện và thị trường điện hoặc của đơn vị phát điện;
đ) Trường hợp đơn vị phát điện có tổ máy tham gia thử nghiệm hệ thống tự động điều chỉnh công suất (AGC) theo yêu cầu của Đơn vị vận hành hệ thống điện và thị trường điện thì trong Bảng xác nhận thời điểm tổ máy chạy thí nghiệm cần chú thích rõ là thí nghiệm AGC.
Điều 41. Nguyên tắc xác định sự kiện tổ máy phải phát trong thời điểm đã có kế hoạch ngừng máy được phê duyệt
1. Đơn vị phát điện được xác định có tổ máy phải phát trong thời điểm đã có kế hoạch ngừng máy được phê duyệt khi có đủ các điều kiện sau:
a) Tổ máy có kế hoạch ngừng máy đã được Đơn vị vận hành hệ thống điện và thị trường điện phê duyệt theo hình thức Phiếu đăng ký công tác đồng thời kế hoạch này đã được đơn vị phát điện thể hiện thông qua bản chào giá ngày tới cho tổ máy (công suất tại dải chào cuối cùng trong bản chào bằng 0 (không));
b) Trong các chu kỳ đã có kế hoạch ngừng máy, tổ máy nối lưới và phát điện theo yêu cầu của Đơn vị vận hành hệ thống điện và thị trường điện (sản lượng đo đếm điện năng và sản lượng huy động theo lệnh điều độ của tổ máy trong các chu kỳ đã có kế hoạch dừng máy lớn hơn 0 (không));
c) Thời điểm Đơn vị vận hành hệ thống điện và thị trường điện ra lệnh ngừng tổ máy vượt quá 01 (một) chu kỳ tính từ chu kỳ tổ máy chào công suất bằng 0 (không).
2. Thông tin cần xác nhận bao gồm:
a) Thời điểm bắt đầu sự kiện
- Trường hợp tổ máy tiếp tục nối lưới và phát điện: Thời điểm bắt đầu sự kiện được xác định là thời điểm bắt đầu của chu kỳ mà tổ máy bắt đầu chào dải công suất cuối cùng bằng 0 (không) trong bản chào giá ngày tới;
- Trường hợp tổ máy đã ngừng máy và khởi động lên: Thời điểm bắt đầu sự kiện được xác định là thời điểm hoàn thành lệnh Hòa lưới tổ máy hoặc thời điểm đóng máy cắt đầu cực hoặc máy cắt cao áp tổ máy (đối với tổ máy không có máy cắt đầu cực) hoặc thời điểm đơn vị phát điện thông báo tổ máy đã hòa lưới.
b) Thời điểm kết thúc sự kiện là thời điểm xuất hiện sớm nhất trong các thời điểm sau:
- Thời điểm hoàn thành lệnh Ngừng máy hoặc lệnh Thay đổi công suất về giá trị 0 (không) hoặc thời điểm cắt máy cắt đầu cực hoặc máy cắt cao áp tổ máy (đối với tổ máy không có máy cắt đầu cực) hoặc thời điểm đơn vị phát điện thông báo tổ máy đã tách lưới;
- Thời điểm kết thúc chu kỳ liền trước chu kỳ tổ máy bắt đầu chào công suất khác giá trị 0 (không) trong bản chào ngày tới.
3. Dữ liệu phục vụ xác nhận sự kiện bao gồm:
a) Thời điểm hoàn thành lệnh lấy theo dữ liệu từ hệ thống DIM của Đơn vị vận hành hệ thống điện và thị trường điện và đơn vị phát điện;
b) Thời điểm cắt máy cắt lấy theo bản ghi DCS do đơn vị phát điện cung cấp;
c) Bản chào ngày tới lấy theo cơ sở dữ liệu hệ thống thông tin thị trường điện;
d) Dữ liệu khác theo quy định tại Khoản 2 Điều 39 Quy trình này.
Điều 42. Nguyên tắc xác định sự kiện nhà máy điện tách lưới phát độc lập
1. Đơn vị phát điện được xác định có sự kiện khi nhà máy phải thay đổi công suất để điều chỉnh tần số lưới trong khoảng thời gian lưới điện khu vực bị tách ra ngoài lưới điện quốc gia.
2. Thông tin cần xác nhận bao gồm:
a) Thời điểm bắt đầu sự kiện được xác định theo thứ tự ưu tiên sau:
- Thời điểm Đơn vị vận hành hệ thống điện và thị trường điện ghi nhận được về sự cố khu vực có nhà máy tách lưới phát độc lập;
- Thời điểm hệ thống điều chỉnh công suất tổ máy chuyển sang chế độ thay đổi công suất để điều chỉnh tần số lưới.
b) Thời điểm kết thúc sự kiện là thời điểm lưới điện khu vực đã hòa được vào lưới điện quốc gia theo ghi nhận của Đơn vị vận hành hệ thống điện và thị trường điện hoặc thời điểm đơn vị phát điện hoàn thành lệnh Thay đổi công suất tại một mức công suất xác định theo yêu cầu của Đơn vị vận hành hệ thống điện và thị trường điện.
3. Dữ liệu phục vụ xác nhận sự kiện bao gồm:
a) Thời điểm lưới điện khu vực (có nhà máy tách lưới phát độc lập) tách ra ngài hệ thống điện quốc gia theo ghi nhận của Đơn vị vận hành hệ thống điện và thị trường điện;
b) Thời điểm Đơn vị vận hành hệ thống điện và thị trường điện yêu cầu và thông báo cho đơn vị phát điện lấy theo bản sao ghi âm công nghiệp hoặc bản sao ghi chép ca vận hành do đơn vị phát điện cung cấp;
c) Thời điểm hệ thống điều tốc chuyển đổi chế độ làm việc lấy theo bản ghi DCS do đơn vị phát điện cung cấp.
Điều 43. Nguyên tắc xác định sự kiện tổ máy đấu nối vào lưới điện mua điện từ nước ngoài
1. Đơn vị phát điện được xác định có sự kiện khi tổ máy có khoảng thời gian đấu nối lưới điện mua điện nước ngoài theo yêu cầu của Đơn vị vận hành hệ thống điện và thị trường điện. Khoảng thời gian này được xác định từ thời điểm tổ máy tách ra ngoài lưới điện quốc gia cho đến thời điểm tổ máy tách ra ngoài lưới điện mua điện nước ngoài.
2. Thông tin cần xác nhận bao gồm:
a) Thời điểm bắt đầu sự kiện được xác định theo thứ tự ưu tiên sau:
- Thời điểm hoàn thành lệnh Ngừng tổ máy hoặc lệnh Thay đổi công suất về giá trị 0 (không) với lý do chuyển sang nối lưới điện mua điện từ nước ngoài;
- Thời điểm cắt máy cắt đầu cực hoặc máy cắt cao áp tổ máy (đối với tổ máy không có máy cắt đầu cực) để tách ra ngoài lưới điện quốc gia với lý do chuyển sang nối lưới điện mua điện từ nước ngoài;
- Thời điểm đơn vị phát điện hoàn thành việc chuyển sang nối lưới điện nước ngoài.
b) Thời điểm kết thúc sự kiện được xác định theo thứ tự ưu tiên sau:
- Thời điểm hoàn thành lệnh Ngừng tổ máy hoặc lệnh Thay đổi công suất về giá trị 0 (không) với lý do chuyển sang nối lưới điện quốc gia;
- Thời điểm cắt máy cắt đầu cực hoặc máy cắt cao áp tổ máy (đối với tổ máy không có máy cắt đầu cực) để tách ra ngoài lưới điện mua điện nước ngoài với lý do chuyển sang nối lưới điện quốc gia;
- Thời điểm đơn vị phát điện hoàn thành việc chuyển sang nối lưới điện quốc gia.
3. Dữ liệu phục vụ xác nhận sự kiện bao gồm:
a) Các thời điểm hoàn thành lệnh lấy theo dữ liệu từ hệ thống DIM của Đơn vị vận hành hệ thống điện và thị trường điện và đơn vị phát điện;
b) Các thời điểm cắt máy cắt lấy theo bản ghi DCS do đơn vị phát điện cung cấp;
c) Thời điểm đơn vị phát điện hoàn thành việc chuyển sang nối lưới điện nước ngoài hoặc lưới điện quốc gia lấy theo ghi nhận của Đơn vị vận hành hệ thống điện và thị trường điện.
Điều 44. Nguyên tắc xác định sự kiện tổ máy thủy điện phải phát công suất lớn hơn công suất công bố trong bản chào lập lịch huy động chu kỳ giao dịch tới theo yêu cầu của Đơn vị vận hành hệ thống điện và thị trường điện
1. Đơn vị phát điện được xác định có sự kiện khi nhà máy thủy điện có khoảng thời gian phát công suất lớn hơn công suất công bố trong bản chào lập lịch huy động chu kỳ tới theo yêu cầu của Đơn vị vận hành hệ thống điện và thị trường điện trừ trường hợp tổ máy thuộc nhóm nhà máy thủy điện có hồ chứa điều tiết dưới 02 ngày khi có đủ các điều kiện sau:
a) Đối với các trường hợp công suất công bố bằng 0 (không), sự kiện chỉ được xác nhận đối với các trường hợp quy định tại Khoản 18 Điều 1 Thông tư số 24/2019/TT-BCT;
b) Thời gian Đơn vị vận hành hệ thống điện và thị trường điện ra lệnh huy động tổ máy cao hơn công suất công bố vượt quá 01 (một) chu kỳ giao dịch;
c) Sản lượng huy động thực tế của tổ máy điện quy đổi về đầu cực tổ máy cao hơn công suất công bố và sai số điều độ
được quy định tại Khoản 2 Điều 7 Quy trình này.
2. Thông tin cần xác nhận bao gồm:
a) Thời điểm bắt đầu sự kiện là thời điểm hoàn thành lệnh Phát công suất lớn hơn công suất công bố trong bản chào lập lịch huy động chu kỳ giao dịch tới;
b) Thời điểm kết thúc sự kiện được xác định theo thứ tự ưu tiên sau:
- Thời điểm hoàn thành lệnh Thay đổi công suất về một mức mang tải cố định nhỏ hơn hoặc bằng công suất công bố trong bản chào lập lịch huy động chu kỳ giao dịch tới;
- Thời điểm đơn vị phát điện thông báo tổ máy đã kết thúc phát công suất lớn hơn công suất công bố trong bản chào lập lịch huy động chu kỳ giao dịch tới theo lệnh của Đơn vị vận hành hệ thống điện và thị trường điện.
3. Dữ liệu phục vụ xác nhận sự kiện bao gồm:
a) Bản chào lập lịch huy động chu kỳ giao dịch tới của đơn vị phát điện lấy theo cơ sở dữ liệu vận hành thị trường điện;
b) Thời điểm bắt đầu, hoàn thành lệnh, công suất lệnh lấy theo dữ liệu từ hệ thống DIM của Đơn vị vận hành hệ thống điện và thị trường điện và Đơn vị phát điện;
c) Thời điểm đơn vị phát điện thông báo tổ máy đã kết thúc phát công suất lớn hơn công suất công bố trong bản chào lập lịch huy động chu kỳ giao dịch tới lấy từ bản sao ghi âm công nghiệp hoặc bản sao sổ ghi chép ca của Đơn vị vận hành hệ thống điện và thị trường điện hoặc của đơn vị phát điện.
Điều 45. Nguyên tắc xác định sự kiện tổ máy có thời gian sự cố lớn hơn 72 giờ
1. Đơn vị phát điện có tổ máy ngừng sự cố được xác định có sự kiện trừ trường hợp tổ máy thuộc nhóm nhà máy thủy điện có hồ chứa điều tiết dưới 02 ngày hoặc tổ máy trở lại trạng thái dự phòng trong thời hạn 72 giờ tính từ chu kỳ có thời điểm tổ máy ngừng sự cố và lần khởi động sau khi trở lại trạng thái dự phòng này là khởi động thành công.
2. Thông tin cần xác nhận bao gồm:
a) Thời điểm tổ máy bắt đầu sự cố được xác định theo thứ tự ưu tiên như sau:
- Thời điểm hoàn thành lệnh Ngừng tổ máy hoặc lệnh Thay đổi công suất về giá trị 0 (không);
- Thời điểm cắt máy cắt đầu cực hoặc máy cắt cao áp tổ máy (đối với tổ máy không có máy cắt đầu cực);
- Thời điểm đơn vị phát điện thông báo tổ máy đã ngừng máy do bị sự cố.
b) Thời điểm tổ máy trả lại trạng thái dự phòng sau sự cố được xác định khi có đủ các điều kiện sau:
- Đơn vị phát điện thông báo tổ máy trả lại trạng thái dự phòng sau sự cố;
- Bản chào giá chu kỳ giao dịch tới hoặc bản chào giá ngày tới (trong trường hợp không có bản chào chu kỳ giao dịch tới) cập nhật công suất khả dụng phù hợp theo khả năng vận hành của tổ máy.
c) Thời điểm tổ máy kết thúc sự cố được xác định theo một trong các thời điểm sau:
- Thời điểm tổ máy trở lại trạng thái dự phòng gần nhất mà lần khởi động sau khi trở lại trạng thái dự phòng này là khởi động thành công;
- Thời điểm tổ máy trở lại trạng thái dự phòng và đơn vị phát điện chào giá sàn cho tổ máy với mức công suất phát ổn định thấp nhất vượt quá 72 giờ, tính từ chu kỳ tổ máy trở lại trạng thái dự phòng;
- Thời điểm tổ máy bắt đầu tách ra sửa chữa theo kế hoạch được phê duyệt và đưa vào tính sản lượng hợp đồng từng chu kỳ giao dịch.
3. Dữ liệu phục vụ xác nhận sự kiện bao gồm:
a) Bản chào ngày tới, chu kỳ giao dịch tới của đơn vị phát điện lấy theo cơ sở dữ liệu vận hành thị trường điện;
b) Thời điểm tổ máy bắt đầu sự cố, thời điểm tổ máy trở lại trạng thái dự phòng căn cứ theo dữ liệu từ hệ thống DIM của Đơn vị vận hành hệ thống điện và thị trường điện và đơn vị phát điện, bản ghi DCS, bản sao ghi âm công nghiệp hoặc bản sao ghi chép ca vận hành do đơn vị phát điện cung cấp;
c) Thời điểm tổ máy tách ra sửa chữa căn cứ theo thời điểm đơn vị phát điện thông báo tách tổ máy ra sửa chữa và được Đơn vị vận hành hệ thống điện và thị trường điện phê duyệt;
d) Thời điểm Đơn vị vận hành hệ thống điện và thị trường điện lệnh khởi động tổ máy, thời điểm tổ máy hòa lưới thành công căn cứ theo dữ liệu từ hệ thống DIM của Đơn vị vận hành hệ thống điện và thị trường điện và đơn vị phát điện, bản ghi DCS, bản sao ghi âm công nghiệp hoặc bản sao sổ ghi chép ca của Đơn vị vận hành hệ thống điện và thị trường điện hoặc của đơn vị phát điện và dữ liệu đo đếm của nhà máy điện đã được xác thực theo quy định tại Quy định đo đếm điện năng trong hệ thống điện do Bộ Công Thương ban hành.
Điều 46. Nguyên tắc xác định sự kiện tổ máy kéo dài lịch sửa chữa so với kế hoạch đã được phê duyệt và được đưa vào tính sản lượng hợp đồng từng chu kỳ giao dịch
1. Đơn vị phát điện được xác định có sự kiện trong trường hợp không thuộc nhóm nhà máy thủy điện có hồ chứa điều tiết dưới 02 ngày và tổ máy có thời gian sửa chữa lớn hơn thời gian sửa chữa đã được phê duyệt và đưa vào tính sản lượng hợp đồng từng chu kỳ giao dịch.
2. Thông tin cần xác nhận bao gồm:
a) Thời điểm bắt đầu và thời điểm kết thúc sửa chữa tổ máy theo kế hoạch đã được phê duyệt và đưa vào tính sản lượng hợp đồng từng chu kỳ giao dịch;
b) Thời điểm tổ máy bắt đầu ngừng sửa chữa thực tế được xác định theo thứ tự ưu tiên như sau:
- Thời điểm hoàn thành lệnh Ngừng tổ máy hoặc lệnh Thay đổi công suất về giá trị 0 (không);
- Thời điểm cắt máy cắt đầu cực hoặc máy cắt cao áp tổ máy (đối với tổ máy không có máy cắt đầu cực);
- Thời điểm đơn vị phát điện thông báo đã tách tổ máy ra sửa chữa theo kế hoạch đã được phê duyệt.
c) Thời điểm tổ máy trở lại trạng thái dự phòng sau sửa chữa được xác định khi có đủ các điều kiện sau:
- Đơn vị phát điện thông báo tổ máy trả lại trạng thái dự phòng sau sửa chữa;
- Bản chào giá chu kỳ giao dịch tới hoặc bản chào giá ngày tới (trong trường hợp không có bản chào chu kỳ giao dịch tới) cập nhật công suất khả dụng phù hợp theo khả năng vận hành của tổ máy.
d) Thời điểm tổ máy kết thúc sửa chữa theo thực tế được xác định theo một trong các thời điểm sau:
- Thời điểm tổ máy trở lại trạng thái dự phòng gần nhất mà lần khởi động sau khi trở lại trạng thái dự phòng này là khởi động thành công;
- Thời điểm tổ máy trở lại trạng thái dự phòng và từ chu kỳ tổ máy trở lại trạng thái dự phòng đơn vị phát điện chào giá sàn cho tổ máy với mức công suất phát ổn định thấp nhất vượt quá 72 giờ.
3. Dữ liệu phục vụ xác nhận sự kiện bao gồm:
a) Thời điểm bắt đầu và thời điểm kết thúc sửa chữa tổ máy theo kế hoạch và được đưa vào tính sản lượng hợp đồng từng chu kỳ giao dịch căn cứ theo lịch sửa chữa đã được phê duyệt và được đưa vào tính toán kế hoạch vận hành thị trường điện tháng tới;
b) Thời điểm tổ máy bắt đầu tách ra sửa chữa, kết thúc sửa chữa theo thực tế căn cứ theo dữ liệu từ hệ thống DIM của Đơn vị vận hành hệ thống điện và thị trường điện và đơn vị phát điện, bản ghi DCS, bản sao ghi âm công nghiệp hoặc bản sao ghi chép ca vận hành do đơn vị phát điện cung cấp;
c) Thời điểm Đơn vị vận hành hệ thống điện và thị trường điện lệnh khởi động tổ máy, thời điểm tổ máy hòa lưới thành công căn cứ theo dữ liệu từ hệ thống DIM của Đơn vị vận hành hệ thống điện và thị trường điện và đơn vị phát điện, bản ghi DCS, bản sao ghi âm công nghiệp hoặc bản sao sổ ghi chép ca của của Đơn vị vận hành hệ thống điện và thị trường điện hoặc của đơn vị phát điện và dữ liệu đo đếm của nhà máy điện đã được xác thực theo quy định tại Quy định đo đếm điện năng trong hệ thống điện do Bộ Công Thương ban hành.
Điều 47. Nguyên tắc xác định sự kiện 01 (một) lò hơi của tổ máy nhiệt điện than có nhiều lò hơi có thời gian sự cố lớn hơn 72 giờ
1. Đơn vị phát điện có lò hơi ngừng sự cố được xác định có sự kiện trừ trường hợp lò hơi trở lại trạng thái dự phòng trong thời hạn 72 giờ tính từ chu kỳ có thời điểm lò hơi ngừng sự cố và lần khởi động sau khi trở lại trạng thái dự phòng này là khởi động thành công.
2. Các thông tin cần xác nhận gồm có:
a) Thời điểm lò hơi sự cố được xác định theo thứ tự ưu tiên như sau:
- Thời điểm hoàn thành lệnh Ngừng lò hơi;
- Thời điểm đơn vị phát điện thông báo lò hơi đã ngừng bị sự cố.
b) Thời điểm lò hơi trả lại trạng thái dự phòng sau sự cố được xác định khi có đủ các điều kiện sau:
- Đơn vị phát điện thông báo lò hơi trả lại trạng thái dự phòng sau sự cố;
- Bản chào giá chu kỳ giao dịch tới hoặc bản chào giá ngày tới (trong trường hợp không có bản chào chu kỳ giao dịch tới) cập nhật công suất khả dụng phù hợp theo khả năng vận hành của tổ máy.
c) Thời điểm lò hơi kết thúc sự cố được xác định như sau:
- Thời điểm lò hơi trở lại trạng thái dự phòng gần nhất mà lần khởi động sau khi trở lại trạng thái dự phòng này là khởi động thành công;
- Thời điểm lò hơi trở lại trạng thái dự phòng và từ chu kỳ lò hơi trở lại trạng thái dự phòng đơn vị phát điện chào giá sàn cho tổ máy với mức công suất phát ổn định thấp nhất phù hợp theo khả năng vận hành của tổ máy vượt quá 72 giờ;
- Thời điểm lò máy bắt đầu tách ra sửa chữa theo kế hoạch được phê duyệt và đưa vào tính sản lượng hợp đồng từng chu kỳ giao dịch.
3. Dữ liệu phục vụ xác nhận sự kiện bao gồm:
a) Bản chào ngày tới, chu kỳ giao dịch tới của đơn vị phát điện lấy theo cơ sở dữ liệu vận hành thị trường điện;
b) Thời điểm lò hơi sự cố, thời điểm lò hơi trở lại trạng thái dự phòng căn cứ theo dữ liệu từ hệ thống DIM của Đơn vị vận hành hệ thống điện và thị trường điện và đơn vị phát điện, bản ghi DCS, bản sao ghi âm công nghiệp hoặc bản sao sổ ghi chép ca của Đơn vị vận hành hệ thống điện và thị trường điện hoặc của đơn vị phát điện;
c) Thời điểm Đơn vị vận hành hệ thống điện và thị trường điện ra lệnh Hòa hơi lò, thời điểm hòa lò thành công căn cứ theo dữ liệu từ hệ thống DIM của Đơn vị vận hành hệ thống điện và thị trường điện và đơn vị phát điện, bản ghi DCS, bản sao ghi âm công nghiệp hoặc bản sao sổ ghi chép ca của của Đơn vị vận hành hệ thống điện và thị trường điện hoặc của đơn vị phát điện và dữ liệu đo đếm của nhà máy điện đã được xác thực theo quy định tại Quy định đo đếm điện năng trong hệ thống điện do Bộ Công Thương ban hành.
Điều 48. Nguyên tắc xác định sự kiện 01 (một) lò hơi của tổ máy nhiệt điện than có nhiều lò hơi kéo dài lịch sửa chữa so với kế hoạch đã được phê duyệt và được đưa vào tính sản lượng hợp đồng từng chu kỳ giao dịch
1. Đơn vị phát điện được xác định có sự kiện trong trường hợp lò hơi có thời gian sửa chữa lớn hơn thời gian sửa chữa đã được phê duyệt và đưa vào tính sản lượng hợp đồng từng chu kỳ giao dịch.
2. Thông tin cần xác nhận bao gồm:
a) Thời điểm bắt đầu và thời điểm kết thúc sửa chữa lò hơi theo kế hoạch đã được phê duyệt và đưa vào tính sản lượng hợp đồng từng chu kỳ giao dịch;
b) Thời điểm lò hơi bắt đầu ngừng sửa chữa thực tế được xác định theo thứ tự ưu tiên như sau:
- Thời điểm hoàn thành lệnh Ngừng lò hơi;
- Thời điểm đơn vị phát điện thông báo đã tách lò hơi ra sửa chữa theo kế hoạch đã được phê duyệt.
c) Thời điểm lò hơi trở lại trạng thái dự phòng sau sửa chữa được xác định khi có đủ các điều kiện sau:
- Đơn vị phát điện thông báo lò hơi trả lại trạng thái dự phòng sau sửa chữa;
- Bản chào giá chu kỳ giao dịch tới hoặc bản chào giá ngày tới (trong trường hợp không có bản chào chu kỳ giao dịch tới) cập nhật công suất khả dụng phù hợp theo khả năng vận hành của tổ máy.
d) Thời điểm lò hơi kết thúc sửa chữa theo thực tế được xác định theo một trong các thời điểm sau:
- Thời điểm lò hơi trở lại trạng thái dự phòng gần nhất mà lần khởi động sau khi trở lại trạng thái dự phòng này là khởi động thành công;
- Thời điểm lò hơi trở lại trạng thái dự phòng và từ chu kỳ lò hơi trở lại trạng thái dự phòng đơn vị phát điện chào giá sàn cho tổ máy với mức công suất phát ổn định thấp nhất phù hợp theo khả năng vận hành của tổ máy vượt quá 72 giờ.
3. Dữ liệu phục vụ xác nhận sự kiện bao gồm:
a) Thời điểm bắt đầu và thời điểm kết thúc sửa chữa lò hơi theo kế hoạch và được đưa vào tính sản lượng hợp đồng từng chu kỳ giao dịch căn cứ theo lịch sửa chữa đã được phê duyệt và được đưa vào tính toán kế hoạch vận hành thị trường điện tháng tới;
b) Thời điểm lò hơi bắt đầu tách ra sửa chữa, kết thúc sửa chữa theo thực tế căn cứ theo dữ liệu từ hệ thống DIM của Đơn vị vận hành hệ thống điện và thị trường điện và đơn vị phát điện, bản ghi DCS, bản sao ghi âm công nghiệp hoặc bản sao sổ ghi chép ca của Đơn vị vận hành hệ thống điện và thị trường điện hoặc của đơn vị phát điện;
c) Thời điểm Đơn vị vận hành hệ thống điện và thị trường điện lệnh khởi động lò hơi, thời điểm hòa lò thành công căn cứ theo dữ liệu từ hệ thống DIM của Đơn vị vận hành hệ thống điện và thị trường điện và đơn vị phát điện, bản ghi DCS, bản sao ghi âm công nghiệp hoặc bản sao sổ ghi chép ca của Đơn vị vận hành hệ thống điện và thị trường điện hoặc của đơn vị phát điện và dữ liệu đo đếm của nhà máy điện đã được xác thực theo quy định tại Quy định đo đếm điện năng trong hệ thống điện do Bộ Công Thương ban hành.
Điều 49. Nhà máy nhiệt điện vận hành trong thời gian thiếu nhiên liệu
1. Đơn vị phát điện được xác định có sự kiện nhà máy nhiệt điện vận hành trong thời gian thiếu nguồn nhiên liệu trong trường hợp Đơn vị vận hành hệ thống điện và thị trường điện có công bố thông tin về việc thiếu nguồn nhiên liệu khí hoặc tổ máy nhiệt điện than xảy ra tình trạng thiếu nhiên liệu dẫn đến sản lượng điện năng tương ứng với mức công suất công bố trong bản chào ngày tới của nhà máy điện thấp hơn sản lượng hợp đồng của nhà máy trong kết quả lập lịch huy động ngày tới.
2. Thông tin cần xác nhận bao gồm:
a) Thời điểm bắt đầu sự kiện là thời điểm bắt đẩu của chu kỳ có công bố thông tin về việc thiếu nguồn nhiên liệu khí hoặc tổ máy nhiệt điện than thiếu nhiên liệu than dẫn đến sản lượng điện năng tương ứng với mức công suất công bố trong bản chào ngày tới của nhà máy điện thấp hơn sản lượng hợp đồng của nhà máy trong kết quả lập lịch huy động ngày tới;
b) Thời điểm kết thúc sự kiện là thời điểm kết thúc của chu kỳ có công bố thông tin về việc thiếu nguồn nhiên liệu khí hoặc tổ máy nhiệt điện than thiếu nhiên liệu than dẫn đến sản lượng điện năng tương ứng với mức công suất công bố trong bản chào ngày tới của nhà máy điện thấp hơn sản lượng hợp đồng của nhà máy trong kết quả lập lịch huy động ngày tới;
c) Dữ liệu phục vụ xác nhận sự kiện bao gồm: Thông tin về việc thiếu nguồn nhiên liệu khí hoặc tổ máy nhiệt điện than thiếu nhiên liệu than dẫn đến sản lượng điện năng tương ứng với mức công suất công bố trong bản chào ngày tới của nhà máy điện thấp hơn sản lượng hợp đồng của nhà máy trong kết quả lập lịch huy động ngày tới trên Trang thông tin điện tử thị trường điện.
Điều 50. Nguyên tắc xác định sự kiện tổ máy phát hoặc nhận công suất phản kháng trong chế độ chạy bù đồng bộ
1. Đơn vị phát điện được xác định có tổ máy phát hoặc nhận công suất phản kháng trong chế độ chạy bù đồng bộ khi tổ máy vận hành trong chế độ bù đồng bộ theo yêu cầu của Đơn vị vận hành hệ thống điện và thị trường điện.
2. Các thông tin cần xác nhận bao gồm:
a) Thời điểm bắt đầu sự kiện được xác định theo thứ tự ưu tiên sau:
- Thời điểm hoàn thành lệnh Chuyển bù;
- Thời điểm đơn vị phát điện thông báo đã chuyển bù thành công.
b) Thời điểm kết thúc sự kiện được xác định theo thứ tự ưu tiên sau:
- Thời điểm hoàn thành lệnh Chuyển phát hoặc thời điểm hoàn thành lệnh Ngừng tổ máy;
- Thời điểm cắt máy cắt đầu cực hoặc máy cắt cao áp tổ máy (đối với tổ máy không có máy cắt đầu cực);
- Thời điểm đơn vị phát điện thông báo đã chuyển phát thành công hoặc ngừng máy.
3. Dữ liệu phục vụ xác nhận sự kiện bao gồm:
a) Các thời điểm hoàn thành lệnh lấy theo dữ liệu từ hệ thống DIM của Đơn vị vận hành hệ thống điện và thị trường điện và đơn vị phát điện;
b) Thời điểm đơn vị phát điện thông báo chuyển bù, chuyển phát hoặc ngừng máy thành công lấy theo bản sao ghi âm công nghiệp hoặc bản sao sổ ghi chép ca của của Đơn vị vận hành hệ thống điện và thị trường điện hoặc của đơn vị phát điện;
c) Thời điểm cắt máy cắt lấy theo bản ghi DCS do đơn vị phát điện cung cấp.
Điều 51. Nguyên tắc xác định sự kiện tổ máy nhiệt điện tuabin khí có chung đuôi hơi có thời điểm vận hành chu trình đơn theo yêu cầu của Đơn vị vận hành hệ thống điện và thị trường điện
1. Đơn vị phát điện được xác định có sự kiện khi tổ máy tuabin khí có một khoảng thời gian vận hành chu trình đơn theo yêu cầu của Đơn vị vận hành hệ thống điện và thị trường điện hoặc khi lò thu hồi nhiệt, tổ máy tuabin hơi bị sự cố nhưng Đơn vị vận hành hệ thống điện và thị trường điện vẫn đồng ý cho vận hành chu trình đơn.
Không áp dụng xác nhận sự kiện cho khoảng thời gian vận hành chu trình đơn trong quá trình khởi động tổ máy và hòa lưới chu trình hỗn hợp hoặc quá trình ngừng máy từ chu trình hỗn hợp.
2. Thông tin cần xác nhận bao gồm:
a) Thời điểm bắt đầu sự kiện:
- Trường hợp tổ máy tuabin khí đang vận hành chu trình hỗn hợp, thời điểm bắt đầu sự kiện được xác định theo thứ tự ưu tiên sau:
+ Thời điểm đóng hoàn toàn van cách ly của lò thu hồi nhiệt;
+ Thời điểm cắt máy cắt đầu cực hoặc máy cắt cao áp tổ máy tuabin hơi (đối với tổ máy không có máy cắt đầu cực);
+ Thời điểm hoàn thành lệnh Ngừng lò.
- Trường hợp tổ máy tuabin khí đang ngừng máy, thời điểm bắt đầu sự kiện được xác định theo thứ tự ưu tiên sau:
+ Thời điểm đóng máy cắt đầu cực hoặc máy cắt cao áp tổ máy tuabin khí (đối với tổ máy không có máy cắt đầu cực);
+ Thời điểm hoàn thành lệnh Khởi động và hòa lưới tổ máy tuabin khí;
+ Thời điểm đơn vị phát điện thông báo tổ máy đã hòa lưới.
b) Thời điểm kết thúc sự kiện:
- Trường hợp tổ máy tuabin khí chuyển từ vận hành chu trình đơn sang vận hành chu trình hỗn hợp, thời điểm kết thúc sự kiện được xác định theo thứ tự ưu tiên sau:
+ Thời điểm đóng máy cắt đầu cực hoặc máy cắt cao áp tổ máy tuabin hơi (đối với tổ máy không có máy cắt đầu cực);
+ Thời điểm đóng hoàn toàn các van xả (van bypass) và tín hiệu mở hoàn toàn các van cách ly lò thu hồi nhiệt;
+ Thời điểm hoàn thành lệnh Hòa hơi lò.
- Trường hợp tổ máy tuabin khí ngừng máy khi đang vận hành chu trình đơn, thời điểm kết thúc sự kiện được xác định theo thứ tự ưu tiên sau:
+ Thời điểm cắt máy cắt đầu cực hoặc máy cắt cao áp tổ máy tuabin khí (đối với tổ máy không có máy cắt đầu cực);
+ Thời điểm hoàn thành lệnh Ngừng tổ máy hoặc lệnh Thay đổi công suất về giá trị 0 (không).
c) Lý do vận hành chu trình đơn;
d) Trường hợp tổ máy có chuyển đổi nhiên liệu trong quá trình vận hành chu trình đơn, đơn vị phát điện cần cung cấp các dữ liệu theo quy định tại Khoản 2 và Khoản 3 Điều 52 Quy trình này.
3. Dữ liệu phục vụ xác nhận sự kiện bao gồm:
a) Các thời điểm hoàn thành lệnh lấy theo dữ liệu từ hệ thống DIM của Đơn vị vận hành hệ thống điện và thị trường điện và đơn vị phát điện;
b) Các thời điểm đóng, cắt máy cắt lấy theo bản ghi DCS do đơn vị phát điện cung cấp;
c) Các thời điểm đóng, mở van xả (van bypass), van cách ly lò thu hồi nhiệt lấy theo bản ghi DCS do đơn vị phát điện cung cấp;
d) Dữ liệu khác theo quy định tại Khoản 3 Điều 52 Quy trình này.
Điều 52. Nguyên tắc xác định sự kiện tổ máy nhiệt điện tuabin khí có chung đuôi hơi vận hành với nhiên liệu hỗn hợp hoặc không phải nhiên liệu chính theo yêu cầu của Đơn vị vận hành hệ thống điện và thị trường điện để đảm bảo an ninh hệ thống
1. Đơn vị phát điện được xác định có sự kiện khi tổ máy tuabin khí có một khoảng thời gian vận hành với nhiên liệu hỗn hợp hoặc không phải nhiên liệu chính theo yêu cầu của Đơn vị vận hành hệ thống điện và thị trường điện.
2. Thông tin cần xác nhận bao gồm:
a) Thời điểm bắt đầu sự kiện:
- Trường hợp tổ máy tuabin khí chuyển sang vận hành với nhiên liệu hỗn hợp hoặc không phải nhiên liệu chính khi đang vận hành nhiên liệu chính, thời điểm bắt đầu sự kiện được xác định theo thứ tự ưu tiên sau:
+ Thời điểm van dầu bắt đầu mở;
+ Thời điểm bắt đầu thực hiện lệnh Chuyển đổi nhiên liệu để chuyển từ nhiên liệu chính sang nhiên liệu hỗn hợp hoặc không phải nhiên liệu chính.
- Trường hợp tổ máy tuabin khí hòa lưới và vận hành với nhiên liệu hỗn hợp hoặc không phải nhiên liệu chính, thời điểm bắt đầu sự kiện được xác định theo thứ tự ưu tiên sau:
+ Thời điểm đóng máy cắt đầu cực hoặc máy cắt cao áp tổ máy tuabin khí (đối với tổ máy không có máy cắt đầu cực);
+ Thời điểm hoàn thành lệnh Khởi động và hòa lưới tổ máy tuabin khí.
b) Thời điểm hoàn thành lệnh Chuyển đổi nhiên liệu sang nhiên liệu hỗn hợp hoặc không phải nhiên liệu chính;
c) Thời điểm bắt đầu lệnh Chuyển đổi nhiên liệu sang nhiên liệu chính;
d) Thời điểm kết thúc sự kiện
- Trường hợp tổ máy tuabin khí chuyển sang vận hành nhiên liệu chính khi đang vận hành với nhiên liệu hỗn hợp hoặc không phải nhiên liệu chính, thời điểm kết thúc sự kiện được xác định theo thứ tự ưu tiên sau:
+ Thời điểm van dầu đóng hoàn toàn;
+ Thời điểm hoàn thành lệnh Chuyển đổi nhiên liệu sang sử dụng hoàn toàn nhiên liệu chính.
- Trường hợp tổ máy tuabin khí ngừng máy khi đang vận hành với nhiên liệu hỗn hợp hoặc không phải nhiên liệu chính, thời điểm kết thúc sự kiện được xác định theo thứ tự ưu tiên sau:
+ Thời điểm cắt máy cắt đầu cực hoặc máy cắt cao áp tổ máy tuabin khí (đối với tổ máy không có máy cắt đầu cực);
+ Thời điểm hoàn thành lệnh Ngừng tổ máy hoặc lệnh Thay đổi công suất về giá trị 0 (không).
đ) Tỷ lệ % (phần trăm) vận hành không phải nhiên liệu chính lấy theo tỉ lệ dầu chỉnh định.
3. Dữ liệu phục vụ xác nhận sự kiện bao gồm:
a) Thời điểm bắt đầu, hoàn thành lệnh lấy theo dữ liệu từ hệ thống DIM của Đơn vị vận hành hệ thống điện và thị trường điện và đơn vị phát điện;
b) Thời điểm đóng, cắt máy cắt lấy theo bản ghi DCS do đơn vị phát điện cung cấp;
c) Thời điểm đóng, mở van dầu lấy theo bản ghi DCS do đơn vị phát điện cung cấp;
d) Tỷ lệ dầu chỉnh định lấy theo bản ghi DCS do đơn vị phát điện cung cấp.
Điều 53. Nguyên tắc xác định sự kiện nhà máy tham gia dự phòng điều tần theo yêu cầu của Đơn vị vận hành hệ thống điện và thị trường điện
1. Đơn vị phát điện được xác định có sự kiện khi nhà máy có khoảng thời gian đảm nhận chức năng điều tần theo yêu cầu của Đơn vị vận hành hệ thống điện và thị trường điện.
2. Thông tin cần xác nhận đối với các nhà máy không kết nối AGC bao gồm:
a) Thời điểm bắt đầu sự kiện là thời điểm hoàn thành lệnh Điều tần hoặc thời điểm đơn vị phát điện thông báo đã chuyển nhà máy sang chế độ Điều tần;
b) Thời điểm kết thúc sự kiện là:
- Thời điểm hoàn thành lệnh Thay đổi công suất về một mức mang tải cố định;
- Thời điểm đơn vị phát điện thông báo các tổ máy đã phát cố định tại mức công suất xác định.
3. Thông tin cần xác nhận đối với các nhà máy kết nối AGC bao gồm:
a) Thời điểm bắt đầu sự kiện được xác định theo thứ tự ưu tiên sau:
- Thời điểm bắt đầu sự kiện là thời điểm hoàn thành việc bắt đầu tham gia cung cấp dịch vụ điều chỉnh tần số qua AGC theo dữ liệu từ hệ thống DIM của Đơn vị vận hành hệ thống điện và thị trường điện và đơn vị phát điện;
- Thời điểm bắt đầu sự kiện là thời điểm hoàn thành việc bắt đầu tham gia cung cấp dịch vụ điều chỉnh tần số qua AGC theo dữ liệu từ hệ thống SCADA/EMS do Đơn vị vận hành hệ thống điện và thị trường điện ghi nhận.
b) Thời điểm kết thúc sự kiện được xác định theo thứ tự ưu tiên sau:
- Thời điểm kết thúc sự kiện là thời điểm hoàn thành việc kết thúc tham gia cung cấp dịch vụ điều chỉnh tần số theo dữ liệu từ hệ thống DIM của Đơn vị vận hành hệ thống điện và thị trường điện và đơn vị phát điện;
- Thời điểm kết thúc sự kiện là thời điểm hoàn thành kết thúc tham gia cung cấp dịch vụ điều chỉnh tần số theo dữ liệu từ hệ thống SCADA/EMS do Đơn vị vận hành hệ thống điện và thị trường điện ghi nhận.
Dữ liệu phục vụ xác nhận sự kiện bao gồm:
c) Thời điểm hoàn thành lệnh lấy theo dữ liệu từ hệ thống DIM của Đơn vị vận hành hệ thống điện và thị trường điện và đơn vị phát điện;
d) Thời điểm đơn vị phát điện thông báo nhà máy điện kết thúc điều tần lấy từ bản sao ghi âm công nghiệp hoặc bản sao sổ ghi chép ca của Đơn vị vận hành hệ thống điện và thị trường điện hoặc của đơn vị phát điện.
Điều 54. Trình tự thực hiện xác nhận sự kiện ngày D
1. Việc xác nhận sự kiện ngày D phục vụ các khoản thanh toán trên thị trường điện được thực hiện theo trình tự sau:
a) Xác định các sự kiện tính toán;
b) Xác nhận các sự kiện thanh toán.
2. Trình tự xác định các sự kiện tính toán
a) Trước 10h00 ngày D+1, đơn vị phát điện có trách nhiệm công bố lên Trang thông tin điện tử thị trường điện:
- Các sự kiện phục vụ các khoản thanh toán trên thị trường điện ngày D của đơn vị mình (nếu có);
- Các dữ liệu phục vụ việc xác nhận các sự kiện này.
b) Trước 15h00 ngày D+1, Đơn vị vận hành hệ thống điện và thị trường điện và đơn vị phát điện có trách nhiệm phối hợp xác nhận các sự kiện đã được công bố trên trang Thông tin điện tử thị trường điện căn cứ vào:
- Các dữ liệu do đơn vị phát điện cung cấp;
- Các dữ liệu do Đơn vị vận hành hệ thống điện và thị trường điện thu thập;
- Nguyên tắc xác nhận sự kiện theo quy định tại Chương này.
Sự kiện được Đơn vị vận hành hệ thống điện và thị trường điện xác nhận được sử dụng làm sự kiện tính toán.
c) Đơn vị phát điện không công bố sự kiện theo khung thời gian quy định tại Điểm a Khoản này, Đơn vị vận hành hệ thống điện và thị trường điện có trách nhiệm xác định và công bố sự kiện tính toán cho đơn vị đó căn cứ:
- Các dữ liệu do Đơn vị vận hành hệ thống điện và thị trường điện thu thập;
- Nguyên tắc xác nhận sự kiện quy định tại Chương này.
d) Đơn vị phát điện đã công bố sự kiện theo khung thời gian quy định tại Điểm a Khoản này nhưng chưa thống nhất với Đơn vị vận hành hệ thống điện sự kiện này theo khung thời gian quy định tại Điểm b Khoản này, Đơn vị vận hành hệ thống điện và thị trường điện có trách nhiệm xác định sự kiện tính toán cho đơn vị đó căn cứ vào ghi nhận của Đơn vị vận hành hệ thống điện.
3. Trình tự xác nhận các sự kiện thanh toán
a) Sự kiện tính toán được xác định theo quy định tại Điểm b Khoản 2 Điều này thì sự kiện tính toán được sử dụng làm sự kiện thanh toán;
b) Sự kiện tính toán được xác định theo quy định tại Điểm c Khoản 2 Điều này:
- Trước ngày D+4, đơn vị phát điện có trách nhiệm công bố ý kiến phản hồi đối với sự kiện tính toán được Đơn vị vận hành hệ thống điện và thị trường điện công bố trên Trang thông tin điện tử thị trường điện;
- Trong thời hạn 02 ngày làm việc, kể từ ngày đơn vị phát điện công bố ý kiến phản hồi đối với một sự kiện tính toán, đơn vị phát điện có trách nhiệm phối hợp với Đơn vị vận hành hệ thống điện và thị trường điện thống nhất sự kiện đó;
- Sự kiện được Đơn vị vận hành hệ thống điện và thị trường điện thống nhất được sử dụng làm sự kiện thanh toán;
- Đơn vị phát điện không công bố ý kiến phản hồi theo khung thời gian quy định tại Điểm này, sự kiện tính toán được sử dụng làm sự kiện thanh toán;
- Ý kiến phản hồi của đơn vị phát điện không được Đơn vị vận hành hệ thống điện và thị trường điện thống nhất theo khung thời gian quy định tại Điểm này, sự kiện thanh toán được tạm xác định căn cứ vào ghi nhận của Đơn vị vận hành hệ thống điện và thị trường điện.
c) Sự kiện tính toán được xác định theo quy định tại Điểm d Khoản 2 Điều này:
- Trước ngày D+6, Đơn vị vận hành hệ thống điện và thị trường điện và đơn vị phát điện có trách nhiệm tiếp tục phối hợp xác nhận sự kiện này;
- Sự kiện được Đơn vị vận hành hệ thống điện và thị trường điện xác nhận được sử dụng làm sự kiện thanh toán;
- Đơn vị phát điện không thống nhất được với Đơn vị vận hành hệ thống điện và thị trường điện sự kiện theo khung thời gian quy định tại Điểm này, sự kiện thanh toán được xác định căn cứ vào ghi nhận của Đơn vị vận hành hệ thống điện và thị trường điện.
Điều 55. Trình tự xác nhận sự kiện tháng M
1. Sau khi kết thúc tháng M, đơn vị phát điện có trách nhiệm phối hợp với Đơn vị vận hành hệ thống điện và thị trường điện để hoàn thiện hồ sơ xác nhận sự kiện tháng của tháng M. Hồ sơ bao gồm các sự kiện ngày đã thống nhất của tháng M theo quy định tại Điều 54 Quy trình này và theo mẫu quy định tại Phụ lục 7.
Đơn vị phát điện phải chịu trách nhiệm về tính chính xác đối với các sự kiện được liệt kê trong hồ sơ yêu cầu.
2. Trong thời hạn 03 ngày làm việc tính từ ngày nhận được hồ sơ xác nhận sự kiện tháng M của đơn vị phát điện, Đơn vị vận hành hệ thống điện và thị trường điện có trách nhiệm kiểm tra, đối soát hồ sơ xác nhận sự kiện tháng của tháng M và thống nhất với đơn vị phát điện để loại bỏ các sự kiện sai khác hoặc bổ sung các sự kiện (nếu có).
Đơn vị phát điện và Đơn vị vận hành hệ thống điện và thị trường điện có trách nhiệm sử dụng chữ ký số để ký xác nhận bảng xác nhận sự kiện tháng M./.
Phụ lục 1
TRÌNH TỰ TÍNH TOÁN VÀ LẬP BẢNG KÊ THANH TOÁN
(Ban hành kèm theo Quy trình tính toán thanh toán trong thị trường điện)

Phụ lục 2
THỜI GIAN BIỂU LẬP VÀ CÔNG BỐ BẢNG KÊ THANH TOÁN
(Ban hành kèm theo Quy trình tính toán thanh toán trong thị trường điện)
|
|
Hoạt động |
Đơn vị thực hiện |
Đơn vị phối hợp |
Thời gian áp dụng |
Chu kỳ |
Nội dung, kết quả |
|
|---|---|---|---|---|---|---|---|
|
Ngày |
Giờ |
||||||
|
Ngày D+1 |
10h00 |
Công bố các sự kiện phục vụ thanh toán trên thị trường điện |
NMĐ |
SMO |
Ngày D |
Hàng ngày |
Sự kiện phục vụ thanh toán trên thị trường điện |
|
15h00 |
Xác nhận các sự kiện phục vụ thanh toán trên thị trường điện |
SMO |
NMĐ |
Ngày D |
Hàng ngày |
Sự kiện phục vụ thanh toán trên thị trường điện |
|
|
Ngày D+2 |
9h00 |
Công bố giá thị trường và lượng công suất thanh toán |
SMO |
NMĐ, ĐVMĐ |
Ngày D |
Hàng ngày |
Bản chào giá các tổ máy, giá thị trường điện năng, giá thị trường toán phần, lượng công suất thanh toán và các kết quả tính toán khác cho từng giờ của ngày D. |
|
Tổng hợp và cung cấp số liệu phục vụ tính toán thanh toán cho ngày D |
SMO |
NMĐ, ĐVMĐ |
Ngày D |
Hàng ngày |
Theo quy định tại Điều 22 Quy trình này. |
||
|
Ngày D+4 |
9h00 |
Cung cấp bảng kê thanh toán sơ bộ cho ngày D |
SMO |
NMĐ, ĐVMĐ |
Ngày D |
Hàng ngày |
Các khoản thanh toán trong từng chu kỳ giao dịch của ngày D. |
|
Ngày D+5 |
|
Thông báo các sai sót trong bảng kê thanh toán sơ bộ của ngày D (nếu có) |
NMĐ, ĐVMĐ |
SMO |
Ngày D |
Hàng ngày |
Thông báo các sai sót trong bảng kê thanh toán sơ bộ của ngày D (nếu có). |
|
Ngày D+6 |
9h00 |
Cung cấp bảng kê thanh toán hoàn chỉnh cho ngày D |
SMO |
NMĐ, ĐVMĐ |
Ngày D |
Hàng ngày |
Các khoản thanh toán trong từng chu kỳ giao dịch của ngày D. |
|
Ngày làm việc thứ 10 tháng M+1 |
|
Cung cấp bảng kê thanh toán hoàn chỉnh cho tháng M |
SMO |
NMĐ, ĐVMĐ |
Tháng M |
Hàng tháng |
Các khoản thanh toán trong từng ngày giao dịch trong tháng M. |
Chú thích:
NMĐ: Nhà máy điện;
SMO: Đơn vị vận hành hệ thống điện và thị trường điện;
ĐVMĐ: Đơn vị mua điện;
Phụ lục 3
MẪU BẢNG KÊ THANH TOÁN NGÀY
(Ban hành kèm theo Quy trình tính toán thanh toán trong thị trường điện)
I. BẢNG KÊ ÁP DỤNG CHO ĐƠN VỊ PHÁT ĐIỆN
1. Tên Công ty phát điện: ___________
2. Tên nhà máy điện:_______________
3. Ngày giao dịch _________________
BẢNG 1. BẢNG TỔNG HỢP CÁC KHOẢN THANH TOÁN HÀNG NGÀY
|
|
Khoản thanh toán |
Thành tiền (VND) |
|
I |
Thanh toán điện năng thị trường (= 1 + 2 + 3 + 4) |
|
|
1 |
Khoản thanh toán tính theo giá điện năng thị trường |
|
|
2 |
Khoản thanh toán tính theo giá chào |
|
|
3 |
Khoản thanh toán cho phần sản lượng phát tăng thêm |
|
|
4 |
Khoản thanh toán do phát sai lệnh điều độ |
|
|
II |
Thanh toán công suất thị trường |
|
|
III |
Thanh toán dịch vụ dự phòng điều chỉnh tần số |
|
|
IV |
Thanh toán khác |
|
|
|
Tổng cộng ( = I + II + III + IV) |
|
BẢNG 2. BẢNG KÊ KHOẢN THANH TOÁN TÍNH THEO
GIÁ ĐIỆN NĂNG THỊ TRƯỜNG
|
Chu kỳ giao dịch (giờ) |
Sản lượng (MWh) |
Giá điện năng thị trường (VNĐ/kWh) |
Thành tiền (VNĐ) |
|
1 |
|
|
|
|
2 |
|
|
|
|
…. |
|
|
|
|
…. |
|
|
|
|
Tổng cộng |
|
|
|
BẢNG 3. BẢNG KÊ KHOẢN THANH TOÁN TÍNH THEO GIÁ CHÀO
|
Chu kỳ giao dịch |
(Tên nhà máy điện) |
||||||||
|
(Tên tổ máy) |
(Tên tổ máy) |
(Tên tổ máy) |
|||||||
|
Dải công suất chào, MWh |
Giá chào, VNĐ/kWh |
Thành tiền, VNĐ |
Dải công suất chào, MWh |
Giá chào, VNĐ/kWh |
Thành tiền, VNĐ |
Dải công suất chào, MWh |
Giá chào, VNĐ/kWh |
Thành tiền, VNĐ |
|
|
1 |
DQ1 |
P1 |
|
|
|
|
|
|
|
|
DQ2 |
P2 |
|
|
|
|
|
|
|
|
|
|
|
|
|
|
|
|
|
|
|
|
|
|
|
|
|
|
|
|
|
|
|
2 |
|
|
|
|
|
|
|
|
|
|
…. |
|
|
|
|
|
|
|
|
|
|
Tổng cộng |
|
|
|
|
|
|
|
|
|
BẢNG 4. BẢNG KÊ KHOẢN THANH TOÁN CHO PHẦN SẢN LƯỢNG PHÁT TĂNG THÊM
|
Chu kỳ giao dịch |
Tên nhà máy điện |
||||||||
|
Tên tổ máy |
Tên tổ máy |
Tên tổ máy |
|||||||
|
Sản lượng, MWh |
Giá thanh toán, VNĐ/kWh |
Thành tiền, VNĐ |
Sản lượng, MWh |
Giá thanh toán, VNĐ/kWh |
Thành tiền, VNĐ |
Sản lượng, MWh |
Giá thanh toán, VNĐ/kWh |
Thành tiền, VNĐ |
|
|
1 |
|
|
|
|
|
|
|
|
|
|
2 |
|
|
|
|
|
|
|
|
|
|
…. |
|
|
|
|
|
|
|
|
|
|
Tổng cộng |
|
|
|
|
|
|
|
|
|
BẢNG 5. BẢNG KÊ KHOẢN THANH TOÁN CÔNG SUẤT THỊ TRƯỜNG
|
Chu kỳ giao dịch (giờ) |
Lượng công suất thanh toán (MW) |
Giá công suất thị trường (VNĐ/kW) |
Thành tiền VNĐ |
|
1 |
|
|
|
|
2 |
|
|
|
|
… |
|
|
|
|
Tổng cộng |
|
|
|
BẢNG 6. BẢNG KÊ KHOẢN THANH TOÁN DO PHÁT SAI LỆNH ĐIỀU ĐỘ
|
Chu kỳ giao dịch (giờ) |
Sản lượng, MWh |
Giá thanh toán, VNĐ/kWh |
Thành tiền, VNĐ |
|
1 |
|
|
|
|
2 |
|
|
|
|
… |
|
|
|
|
Tổng cộng |
|
|
|
BẢNG 7. BẢNG KÊ KHOẢN THANH TOÁN DỊCH VỤ DỰ PHÒNG ĐIỀU CHỈNH TẦN SỐ
|
Chu kỳ giao dịch (giờ) |
Sản lượng, MWh |
Giá thanh toán, VNĐ/kWh |
Thành tiền, VNĐ |
|
1 |
|
|
|
|
2 |
|
|
|
|
… |
|
|
|
|
Tổng cộng |
|
|
|
II. BẢNG KÊ ÁP DỤNG CHO ĐƠN VỊ MUA BUÔN ĐIỆN
Bảng 8. BẢNG KÊ NGÀY THANH TOÁN THỊ TRƯỜNG ĐIỆN GIAO NGAY CỦA ĐƠN VỊ MUA BUÔN ĐIỆN l TỪ CÁC NHÀ MÁY ĐIỆN ĐƯỢC PHÂN BỔ HỢP ĐỒNG GIỮA TẬP ĐOÀN ĐIỆN LỰC VIỆT NAM
VÀ CÁC ĐƠN VỊ MUA BUÔN ĐIỆN
|
Chu kỳ giao dịch |
Sản lượng điện Qm1(l,i) (kWh) |
Giá CFMP(i) (Đồng/kWh) |
Thành tiền Cm1(l,i) Đồng |
|
1 |
|
|
|
|
2 |
|
|
|
|
… |
|
|
|
|
…. |
|
|
|
|
…. |
|
|
|
|
Tổng cộng |
Qm1(l,D) = SQm1(l,i) |
|
TCm1(l,D) = SCm1(l,i) |
Bảng 9. BẢNG KÊ NGÀY THANH TOÁN THỊ TRƯỜNG ĐIỆN GIAO NGAY CỦA ĐƠN VỊ MUA BUÔN ĐIỆN l NHÀ MÁY ĐIỆN g KÝ HỢP ĐỒNG TRỰC TIẾP
|
Chu kỳ giao dịch |
Sản lượng điện Qm2(l,g,i) (kWh) |
Giá CFMP(i) (Đồng/kWh) |
Thành tiền Cm2(l,g,i) Đồng |
|
1 |
|
|
|
|
2 |
|
|
|
|
… |
|
|
|
|
…. |
|
|
|
|
… |
|
|
|
|
Tổng cộng |
Qm2(l,g,D) = SQm2(l,g,i) |
|
Cm2(l,g,D) = SCm2(l,g,i) |
Phụ lục 4
MẪU BẢNG KÊ THANH TOÁN THÁNG
(Ban hành kèm theo Quy trình tính toán thanh toán trong thị trường điện)
I. BẢNG KÊ ÁP DỤNG CHO ĐƠN VỊ PHÁT ĐIỆN
1. Tên Công ty phát điện:
2. Tên nhà máy điện:
3. Chu kỳ thanh toán:
BẢNG 1. BẢNG TỔNG HỢP CÁC KHOẢN THANH TOÁN THÁNG
|
|
Khoản thanh toán |
Thành tiền (VND) |
|
I |
Thanh toán điện năng thị trường (= 1 + 2 + 3 + 4) |
|
|
1 |
Khoản thanh toán tính theo giá điện năng thị trường |
|
|
2 |
Khoản thanh toán tính theo giá chào |
|
|
3 |
Khoản thanh toán cho phần sản lượng phát tăng thêm |
|
|
4 |
Khoản thanh toán do phát sai lệnh điều độ |
|
|
II |
Thanh toán công suất thị trường |
|
|
III |
Thanh toán dịch vụ dự phòng điều chỉnh tần số |
|
|
IV |
Thanh toán khác |
|
|
|
Tổng cộng ( = I + II + III + IV) |
|
BẢNG 2. BẢNG KÊ THANH TOÁN ĐIỆN NĂNG
THỊ TRƯỜNG TRONG THÁNG
|
Ngày giao dịch
|
Thanh toán điện năng thị trường (VNĐ) |
Tổng |
||
|
Thanh toán tính theo giá SMP |
Thanh toán tính theo giá chào |
Thanh toán cho phần sản lượng phát tăng thêm |
||
|
1 |
|
|
|
|
|
2 |
|
|
|
|
|
… |
|
|
|
|
|
…. |
|
|
|
|
|
|
|
|
|
|
|
30 |
|
|
|
|
|
31 |
|
|
|
|
BẢNG 3. BẢNG KÊ THANH TOÁN CÔNG SUẤT THỊ TRƯỜNG TRONG THÁNG
|
Ngày giao dịch
|
Thanh toán công suất (VNĐ) |
|
1 |
|
|
2 |
|
|
… |
|
|
… |
|
|
…. |
|
|
|
|
|
30 |
|
|
31 |
|
|
Tổng cộng |
|
BẢNG 4. BẢNG KÊ THANH TOÁN
DỊCH VỤ DỰ PHÒNG ĐIỀU CHỈNH TẦN SỐ
|
Ngày giao dịch
|
Thanh toán dịch vụ dự phòng điều chỉnh tần số (VNĐ) |
|
1 |
|
|
2 |
|
|
… |
|
|
… |
|
|
…. |
|
|
|
|
|
30 |
|
|
31 |
|
|
Tổng cộng |
|
BẢNG 5. BẢNG KÊ SẢN LƯỢNG THANH TOÁN NGOÀI THỊ TRƯỜNG
|
Ngày giao dịch |
Giờ |
Tên nhà máy điện |
||
|
Tên tổ máy |
Tên tổ máy |
Tên tổ máy |
||
|
Sản lượng, MWh |
Sản lượng, MWh |
Sản lượng, MWh |
||
|
1 |
|
|
|
|
|
2 |
|
|
|
|
|
… |
|
|
|
|
|
… |
|
|
|
|
|
…. |
|
|
|
|
|
|
|
|
|
|
|
30 |
|
|
|
|
|
31 |
|
|
|
|
|
Tổng cộng |
|
|
|
|
II. BẢNG KÊ THANH TOÁN THÁNG TRÊN THỊ TRƯỜNG ĐIỆN GIAO NGAY CỦA ĐƠN VỊ MUA BUÔN ĐIỆN
Bảng 6. BẢNG KÊ THÁNG THANH TOÁN THỊ TRƯỜNG ĐIỆN GIAO NGAY CỦA ĐƠN VỊ MUA BUÔN ĐIỆN l TỪ CÁC NHÀ MÁY ĐIỆN ĐƯỢC PHÂN BỔ HỢP ĐỒNG
|
Ngày giao dịch |
Khoản thanh toán thị trường giao điện ngay mua từ các nhà máy điện được phân bổ hợp đồng Cm1(l,D) (Đồng) |
|
1 |
|
|
2 |
|
|
… |
|
|
…. |
|
|
31 |
|
|
Tổng cộng |
TCm1(l,M)= SCm1(l,D) |
|
Ngày giao dịch |
Khoản thanh toán thị trường điện giao ngay mua từ các nhà máy điện được phân bổ hợp đồng Cm2(l,g,D) |
Sản lượng điện mua theo giá thị trường từ nhà máy điện ký hợp đồng trực tiếp Qm2(l,g,D) |
Giá thanh toán khác Uplift(g,M) Đồng/kWh
|
Tổng chi phí mua điện theo giá thị trường điện giao ngay của ĐVMB l từ NMĐ g – TCm2(l,g,M) (Đồng) |
|
1 |
|
|
|
|
|
2 |
|
|
|
|
|
… |
|
|
|
|
|
…. |
|
|
|
|
|
31 |
|
|
|
|
|
Tổng cộng |
SCm2(l,g,D) |
Qm2(l,g,M) = SQm2(l,g,D) |
|
TCm2(l,g,M) = SCm2(l,g,D) + Qm2(l,g,M)* UpliftM |
Phụ lục 5
DANH SÁCH CÁC LỆNH TỪ HỆ THỐNG DIM
PHỤC VỤ XÁC NHẬN SỰ KIỆN
(Ban hành kèm theo Quy trình tính toán thanh toán trong thị trường điện)
|
STT |
Tên lệnh |
|
1 |
Chuyển bù |
|
2 |
Chuyển đổi nhiên liệu |
|
3 |
Chuyển phát |
|
4 |
Dấm lò |
|
5 |
Điều tần |
|
6 |
Hòa hơi |
|
7 |
Hoà lưới |
|
8 |
Khởi động lò |
|
9 |
Khởi động tổ máy và hòa lưới chu trình hỗn hợp |
|
10 |
Khởi động và hòa hơi lò chu trình hỗn hợp |
|
11 |
Khởi động và hòa lưới tổ máy |
|
12 |
Ngừng lò |
|
13 |
Ngừng tổ máy |
|
14 |
Thay đổi công suất |
Phụ lục 6
TRÌNH TỰ XÁC NHẬN CÁC SỰ KIỆN TRONG THỊ TRƯỜNG ĐIỆN
(Ban hành kèm theo Quy trình tính toán thanh toán trong thị trường điện)

Phụ lục 7
TRÌNH TỰ XÁC NHẬN CÁC SỰ KIỆN TRONG THỊ TRƯỜNG ĐIỆN
(Ban hành kèm theo Quy trình tính toán thanh toán trong thị trường điện)
|
ĐƠN VỊ PHÁT ĐIỆN
|
CỘNG HOÀ XÃ HỘI CHỦ NGHĨA VIỆT NAM
...……….., ngày ……. tháng ……. năm 20….. |
BẢNG XÁC NHẬN SỰ KIỆN THÁNG M NĂM N
NHÀ MÁY ĐIỆN: TÊN NHÀ MÁY ĐIỆN
Bảng 1. BẢNG XÁC NHẬN LẦN KHỞI ĐỘNG ĐƯỢC THANH TOÁN CHI PHÍ KHỞI ĐỘNG
|
Tổ máy/lò máy |
Lý do ngừng tổ máy/ lò máy
|
Thời điểm hoàn thành lệnh ngừng tổ máy/lò máy |
Thời điểm khởi động |
Thời điểm hoàn thành lệnh khỏi động |
Nhiên liệu |
Cấu hình |
Ghi chú |
|||
|
Ngày (dd-mm-yyyy) |
Giờ (hh:mm) |
Ngày (dd-mm-yyyy) |
Giờ (hh:mm) |
Ngày (dd-mm-yyyy) |
Giờ (hh:mm) |
|
|
|
||
|
|
|
|
|
|
|
|
|
|
|
|
|
|
|
|
|
|
|
|
|
|
|
|
Bảng 2. BẢNG XÁC NHẬN KHỞI ĐỘNG, NGỪNG MÁY ĐỂ KHÔNG TÍNH SAI LỆNH ĐIỀU ĐỘ
|
Tổ máy |
Thời điểm lệnh ngừng máy hoặc lệnh thay đổi công suất về 0
|
Thời điểm hoàn thành lệnh ngừng máy |
Thời điểm hoàn thành lệnh khỏi động |
Thời điểm tổ máy đạt lệnh điều độ hoặc đạt công suất phát ổn định thấp nhất |
Ghi chú |
||||
|
Ngày (dd-mm-yyyy) |
Giờ (hh:mm) |
Ngày (dd-mm-yyyy) |
Giờ (hh:mm) |
Ngày (dd-mm-yyyy) |
Giờ (hh:mm) |
Ngày (dd-mm-yyyy) |
Giờ (hh:mm) |
||
|
|
|
|
|
|
|
|
|
|
|
|
|
|
|
|
|
|
|
|
|
|
Bảng 3. BẢNG XÁC NHẬN THỜI ĐIỂM TỔ MÁY CHẠY THÍ NGHIỆM
|
Tổ máy |
Thời điểm bắt đầu |
Thời điểm kết thúc |
Cấu hình |
Tỉ lệ % không phải nhiên liệu chính |
Ghi chú
|
||
|
Ngày (dd-mm-yyyy) |
Giờ (hh:mm) |
Ngày (dd-mm-yyyy) |
Giờ (hh:mm) |
||||
|
|
|
|
|
|
|
|
|
|
|
|
|
|
|
|
|
|
Bảng 4. BẢNG XÁC NHẬN THỜI ĐIỂM TỔ MÁY ĐÃ CÓ KẾ HOẠCH NGỪNG MÁY ĐÃ ĐƯỢC PHÊ DUYỆT NHƯNG VẪN PHẢI PHÁT CÔNG SUẤT THEO YÊU CẦU CỦA SMO
|
Tổ máy |
Thời điểm bắt đầu |
Thời điểm kết thúc |
Ghi chú |
||
|
Ngày (dd-mm-yyyy) |
Giờ (hh:mm) |
Ngày (dd-mm-yyyy) |
Giờ (hh:mm) |
||
|
|
|
|
|
|
|
|
|
|
|
|
|
|
Bảng 5. BẢNG XÁC NHẬN THỜI ĐIỂM NHÀ MÁY TÁCH LƯỚI PHÁT ĐỘC LẬP
|
Tổ máy |
Thời điểm bắt đầu |
Thời điểm kết thúc |
Ghi chú |
||
|
Ngày (dd-mm-yyyy) |
Giờ (hh:mm) |
Ngày (dd-mm-yyyy) |
Giờ (hh:mm) |
||
|
|
|
|
|
|
|
|
|
|
|
|
|
|
Bảng 6. BẢNG XÁC NHẬN THỜI ĐIỂM NỐI LƯỚI KHU VỰC NHẬN ĐIỆN MUA TỪ NƯỚC NGOÀI
|
Tổ máy |
Thời điểm bắt đầu |
Thời điểm kết thúc |
Ghi chú |
||
|
Ngày (dd-mm-yyyy) |
Giờ (hh:mm) |
Ngày (dd-mm-yyyy) |
Giờ (hh:mm) |
|
|
|
|
|
|
|
|
|
|
|
|
|
|
|
|
Bảng 7. BẢNG XÁC NHẬN THỜI ĐIỂM NHÀ MÁY THỦY ĐIỆN PHÁT CÔNG SUẤT LỚN HƠN CÔNG SUẤT CÔNG BỐ TRONG BẢN CHÀO GIÁ LẬP LỊCH CHU KỲ TỚI THEO YÊU CẦU CỦA SMO
|
Tổ máy |
Thời điểm bắt đầu |
Thời điểm kết thúc |
Ghi chú |
||
|
Ngày (dd-mm-yyyy) |
Giờ (hh:mm) |
Ngày (dd-mm-yyyy) |
Giờ (hh:mm) |
||
|
|
|
|
|
|
|
|
|
|
|
|
|
|
Bảng 8. BẢNG XÁC NHẬN THỜI GIAN TỔ MÁY BỊ SỰ CỐ KÉO DÀI QUÁ 72 GIỜ
|
Tổ máy |
Thời điểm đắt đầu sự cố |
Thời điểm kết thúc sự cố |
Ghi chú |
||
|
Ngày |
Giờ |
Ngày |
Giờ |
||
|
(dd-mm-yyyy) |
(hh:mm) |
(dd-mm-yyyy) |
(hh:mm) |
||
|
|
|
|
|
|
|
|
|
|
|
|
|
|
Bảng 9. BẢNG XÁC NHẬN THỜI GIAN TỔ MÁY SỬA CHỮA KÉO DÀI SO VỚI
KẾ HOẠCH ĐÃ ĐƯỢC PHÊ DUYỆT
|
Tổ máy |
Thời điểm tổ máy bắt đầu tách ra sửa chữa theo kế hoạch |
Thời điểm tổ máy kết thúc sửa chữa theo kế hoạch |
Thời điểm tổ máy bắt đầu tách ra sửa chữa theo thực tế |
Thời điểm tổ máy kết thúc sửa chữa theo thực tế |
Ghi chú |
||||
|
Ngày |
Giờ |
Ngày |
Giờ |
Ngày |
Giờ |
Ngày |
Giờ |
|
|
|
(dd-mm-yyyy) |
(hh:mm) |
(dd-mm-yyyy) |
(hh:mm) |
(dd-mm-yyyy) |
(hh:mm) |
(dd-mm-yyyy) |
(hh:mm) |
||
|
|
|
|
|
|
|
|
|
|
|
|
|
|
|
|
|
|
|
|
|
|
Bảng 10. BẢNG XÁC NHẬN THỜI ĐIỂM NHÀ MÁY ĐIỆN VẬN HÀNH TRONG THỜI GIAN THIẾU NHIÊN LIỆU
|
Thời điểm bắt đầu |
Thời điểm kết thúc |
Ghi chú |
||
|
Ngày (dd-mm-yyyy) |
Giờ (hh:mm) |
Ngày (dd-mm-yyyy) |
Giờ (hh:mm) |
|
|
|
|
|
|
|
Bảng 11. BẢNG XÁC NHẬN THỜI ĐIỂM TỔ MÁY PHÁT HOẶC NHẬN CÔNG SUẤT PHẢN KHÁNG
TRONG CHẾ ĐỘ CHẠY BÙ ĐỒNG BỘ
|
Tổ máy |
Thời điểm bắt đầu |
Thời điểm kết thúc |
Ghi chú |
||
|
Ngày (dd-mm-yyyy) |
Giờ (hh:mm) |
Ngày (dd-mm-yyyy) |
Giờ (hh:mm) |
|
|
|
|
|
|
|
|
|
|
|
|
|
|
|
|
Bảng 12. BẢNG XÁC NHẬN THỜI ĐIỂM TỔ MÁY THAM GIA DỊCH VỤ DỰ PHÒNG
ĐIỀU CHỈNH TẦN SỐ THEO CHỈ ĐỊNH CỦA SMO
|
Tổ máy |
Thời điểm bắt đầu |
Thời điểm kết thúc |
Ghi chú |
||
|
Ngày (dd-mm-yyyy) |
Giờ (hh:mm) |
Ngày (dd-mm-yyyy) |
Giờ (hh:mm) |
||
|
|
|
|
|
|
|
|
|
|
|
|
|
|
Bảng 13. BẢNG XÁC NHẬN THỜI ĐIỂM VẬN HÀNH CHU TRÌNH ĐƠN
|
Tổ máy |
Thời điểm đắt đầu |
Thời điểm kết thúc |
Tỉ lệ % không phải nhiên liệu chính |
Ghi chú |
||
|
Ngày |
Giờ |
Ngày |
Giờ |
|||
|
(dd-mm-yyyy) |
(hh:mm) |
(dd-mm-yyyy) |
(hh:mm) |
|||
|
|
|
|
|
|
|
|
|
|
|
|
|
|
|
|
Bảng 14. BẢNG XÁC NHẬN CHUYỂN ĐỔI NHIÊN LIỆU
|
Tổ máy |
Cấu hình |
Chế độ chuyển đổi |
Thời điểm bắt đầu chuyển đổi |
Thời điểm hoàn thành lệnh chuyển đổi |
Thời điểm bắt đầu ngừng chế độ chuyển đổi |
Thời điểm kết thúc chuyển đổi hoặc ngừng máy |
Tỉ lệ % không phải nhiên liệu chính |
Ghi chú |
||||
|
Ngày (dd-mm-yyyy) |
Giờ (hh:mm) |
Ngày (dd-mm-yyyy) |
Giờ (hh:mm) |
Ngày (dd-mm-yyyy) |
Giờ (hh:mm) |
Ngày (dd-mm-yyyy) |
Giờ (hh:mm) |
|||||
|
|
|
|
|
|
|
|
|
|
||||
|
|
|
|
|
|
|
|
|
|
||||
Đơn vị phát điện cam kết hoàn toàn chịu trách nhiệm về tính chính xác và trung thực của Hồ sơ xác nhận sự kiện.
|
…, ngày..... tháng........năm ...... ĐƠN VỊ PHÁT ĐIỆN (Ký và đóng dấu) |
Hà Nội, ngày..... tháng........năm ...... ĐƠN VỊ VẬN HÀNH HỆ THỐNG ĐIỆN VÀ THỊ TRƯỜNG ĐIỆN (Ký và đóng dấu) |
Bạn chưa Đăng nhập thành viên.
Đây là tiện ích dành cho tài khoản thành viên. Vui lòng Đăng nhập để xem chi tiết. Nếu chưa có tài khoản, vui lòng Đăng ký tại đây!
Bạn chưa Đăng nhập thành viên.
Đây là tiện ích dành cho tài khoản thành viên. Vui lòng Đăng nhập để xem chi tiết. Nếu chưa có tài khoản, vui lòng Đăng ký tại đây!