- Tổng quan
- Nội dung
- VB gốc
- Tiếng Anh
- Hiệu lực
- VB liên quan
- Lược đồ
-
Nội dung hợp nhất
Tính năng này chỉ có tại LuatVietnam.vn. Nội dung hợp nhất tổng hợp lại tất cả các quy định còn hiệu lực của văn bản gốc và các văn bản sửa đổi, bổ sung, đính chính... trên một trang. Việc hợp nhất văn bản gốc và những văn bản, Thông tư, Nghị định hướng dẫn khác không làm thay đổi thứ tự điều khoản, nội dung.
Khách hàng chỉ cần xem Nội dung hợp nhất là có thể nắm bắt toàn bộ quy định hiện hành đang áp dụng, cho dù văn bản gốc đã qua nhiều lần chỉnh sửa, bổ sung.
- Tải về
Quyết định 42/QĐ-ĐTĐL 2020 Quy trình lập lịch huy động và vận hành thời gian thực
| Cơ quan ban hành: | Cục Điều tiết điện lực |
Số công báo:
Số công báo là mã số ấn phẩm được đăng chính thức trên ấn phẩm thông tin của Nhà nước. Mã số này do Chính phủ thống nhất quản lý.
|
Đang cập nhật |
| Số hiệu: | 42/QĐ-ĐTĐL | Ngày đăng công báo: | Đang cập nhật |
| Loại văn bản: | Quyết định | Người ký: | Nguyễn Anh Tuấn |
|
Ngày ban hành:
Ngày ban hành là ngày, tháng, năm văn bản được thông qua hoặc ký ban hành.
|
16/03/2020 |
Ngày hết hiệu lực:
Ngày hết hiệu lực là ngày, tháng, năm văn bản chính thức không còn hiệu lực (áp dụng).
|
Đã biết
|
|
Áp dụng:
Ngày áp dụng là ngày, tháng, năm văn bản chính thức có hiệu lực (áp dụng).
|
Đã biết
|
Tình trạng hiệu lực:
Cho biết trạng thái hiệu lực của văn bản đang tra cứu: Chưa áp dụng, Còn hiệu lực, Hết hiệu lực, Hết hiệu lực 1 phần; Đã sửa đổi, Đính chính hay Không còn phù hợp,...
|
Đã biết
|
| Lĩnh vực: | Công nghiệp, Điện lực |
TÓM TẮT QUYẾT ĐỊNH 42/QĐ-ĐTĐL
Theo đó, giá trần bản chào của nhà máy thủy điện có hồ chứa điều tiết trên 01 tuần được xác định căn cứ theo giá trị nước tuần tới của nhà máy, cụ thể như sau:
Thứ nhất, giá trần bản chào bằng giá trị lớn nhất của: 120% giá trị nước của nhà máy thủy điện; Giá trung bình của các giá trần bản chào của các tổ máy nhiệt điện tham gia thị trường điện trong kế hoạch vận hành tháng.
Thứ hai, hàng tháng, Đơn vị vận hành hệ thống điện và thị trường điện có trách nhiệm công bố giá trung bình của các giá trần bản chào của các tổ máy nhiệt điện tháng tới cho các nhà máy thuỷ điện cùng thời gian biểu công bố giá trần bản chào của tổ máy nhiệt điện trong tháng tới.
Ngoài ra, trước 16h00 hàng ngày, Đơn vị vận hành hệ thống điện và thị trường điện có trách nhiệm công bố các thông tin trong lịch huy động ngày tới, như là: Công suất huy động dự kiến bao gồm cả công suất huy động cho dịch vụ dự phòng điều chỉnh tần số của các tổ máy trong từng chu kỳ giao dịch của ngày tới; Giá biên từng miền trong từng chu kỳ giao dịch ngày tới…
Quyết định này có hiệu lực từ ngày ký.
Xem chi tiết Quyết định 42/QĐ-ĐTĐL có hiệu lực kể từ ngày 16/03/2020
Tải Quyết định 42/QĐ-ĐTĐL
|
BỘ CÔNG THƯƠNG Số: 42/QĐ-ĐTĐL |
CỘNG HÒA XÃ HỘI CHỦ NGHĨA VIỆT NAM Hà Nội, ngày 16 tháng 3 năm 2020 |
BAN HÀNH QUY TRÌNH LẬP LỊCH HUY ĐỘNG VÀ VẬN HÀNH THỜI GIAN THỰC
______________
CỤC TRƯỞNG CỤC ĐIỀU TIẾT ĐIỆN LỰC
Căn cứ Quyết định số 3771/QĐ-BCT ngày 02 tháng 10 năm 2017 của Bộ trưởng Bộ Công Thương quy định chức năng, nhiệm vụ, quyền hạn và cơ cấu tổ chức của Cục Điều tiết điện lực;
Căn cứ Thông tư số 45/2018/TT-BCT ngày 15 tháng 11 năm 2018 của Bộ trưởng Bộ Công Thương quy định vận hành thị trường bán buôn điện cạnh tranh và sửa đổi, bổ sung một số điều của Thông tư số 56/2014/TT-BCT ngày 19 tháng 12 năm 2014 của Bộ trưởng Bộ Công Thương quy định phương pháp xác định giá phát điện, trình tự kiểm tra hợp đồng mua bán điện;
Căn cứ Thông tư số 24/2019/TT-BCT ngày 14 tháng 11 năm 2019 của Bộ trưởng Bộ Công Thương sửa đổi, bổ sung một số điều của Thông tư số 45/2018/TT-BCT ngày 15 tháng 11 năm 2018 của Bộ trưởng Bộ Công Thương quy định vận hành thị trường bán buôn điện cạnh tranh và sửa đổi, bổ sung một số điều của Thông tư số 56/2014/TT-BCT ngày 19 tháng 12 năm 2014 của Bộ trưởng Bộ Công Thương quy định phương pháp xác định giá phát điện, trình tự kiểm tra hợp đồng mua bán điện;
Theo đề nghị của Trưởng phòng Thị trường điện,
QUYẾT ĐỊNH:
Điều 1. Ban hành kèm theo Quyết định này Quy trình Lập lịch huy động và vận hành thời gian thực hướng dẫn thực hiện Thông tư số 45/2018/TT-BCT ngày 15 tháng 11 năm 2018 của Bộ trưởng Bộ Công Thương quy định vận hành thị trường bán buôn điện cạnh tranh và sửa đổi, bổ sung một số điều của Thông tư số 56/2014/TT-BCT ngày 19 tháng 12 năm 2014 của Bộ trưởng Bộ Công Thương quy định phương pháp xác định giá phát điện, trình tự kiểm tra hợp đồng mua bán điện và Thông tư số 24/2019/TT-BCT ngày 14 tháng 11 năm 2019 của Bộ trưởng Bộ Công Thương sửa đổi, bổ sung một số điều của Thông tư số 45/2018/TT-BCT.
Điều 2. Quyết định này có hiệu lực thi hành kể từ ngày ký.
Điều 3. Chánh Văn phòng Cục, các Trưởng phòng, Giám đốc Trung tâm Nghiên cứu phát triển thị trường điện lực và Đào tạo thuộc Cục Điều tiết điện lực, Tổng giám đốc Tập đoàn Điện lực Việt Nam, Giám đốc các đơn vị điện lực và đơn vị có liên quan chịu trách nhiệm thi hành Quyết định này./.
|
Nơi nhận: |
CỤC TRƯỞNG |
|
BỘ CÔNG THƯƠNG
|
CỘNG HÒA XÃ HỘI CHỦ NGHĨA VIỆT NAM
|
QUY TRÌNH
LẬP LỊCH HUY ĐỘNG VÀ VẬN HÀNH THỜI GIAN THỰC
(Ban hành kèm theo Quyết định số 42 /QĐ-ĐTĐL ngày 16 tháng 3 năm 2020 của Cục trưởng Cục Điều tiết điện lực)
___________
Chương I
QUY ĐỊNH CHUNG
Điều 1. Phạm vi điều chỉnh
Quy trình này quy định về trình tự, phương pháp và trách nhiệm của các đơn vị trong việc lập lịch huy động tổ máy ngày tới, chu kỳ giao dịch tới, vận hành thời gian thực trong thị trường điện.
Điều 2. Đối tượng áp dụng
Quy trình này áp dụng đối với các đơn vị sau đây:
1. Đơn vị mua buôn điện.
2. Đơn vị phát điện.
3. Đơn vị vận hành hệ thống điện và thị trường điện.
4. Đơn vị truyền tải điện.
5. Tập đoàn Điện lực Việt Nam.
Điều 3. Giải thích từ ngữ
Trong Quy trình này, các từ ngữ dưới đây được hiểu như sau:
1. AGC (viết tắt theo tiếng Anh: Automatic Generation Control) là hệ thống thiết bị tự động điều chỉnh tăng giảm công suất tác dụng của tổ máy phát điện nhằm duy trì tần số của hệ thống điện ổn định trong phạm vi cho phép theo nguyên tắc vận hành kinh tế tổ máy phát điện.
2. Bản chào giá là bản chào bán điện năng lên thị trường điện của mỗi tổ máy, được đơn vị chào giá nộp cho Đơn vị vận hành hệ thống điện và thị trường điện theo mẫu bản chào giá quy định tại Quy trình này.
3. Bản chào giá lập lịch là bản chào giá được Đơn vị vận hành hệ thống điện và thị trường điện chấp nhận để lập lịch huy động ngày tới, chu kỳ giao dịch tới.
4. Bản chào giá mặc định là bản chào giá được Đơn vị vận hành hệ thống điện và thị trường điện sử dụng để lập lịch huy động ngày tới, chu kỳ giao dịch tới trong trường hợp không nhận được bản chào giá hợp lệ của Đơn vị phát điện.
5. Can thiệp vào thị trường điện là hành động thay đổi chế độ vận hành bình thường của thị trường điện mà Đơn vị vận hành hệ thống điện và thị trường điện phải áp dụng để xử lý các tình huống quy định tại Điều 46 Quy trình này.
6. Công suất công bố là mức công suất sẵn sàng lớn nhất của tổ máy phát điện được đơn vị chào giá hoặc Đơn vị vận hành hệ thống điện và thị trường điện và Đơn vị phát điện ký hợp đồng cung cấp dịch vụ phụ trợ công bố theo lịch vận hành thị trường điện.
7. Công suất điều độ là mức công suất của tổ máy phát điện được Đơn vị vận hành hệ thống điện và thị trường điện huy động thực tế trong chu kỳ giao dịch.
8. Công suất huy động chu kỳ giao dịch tới là mức công suất của tổ máy phát điện dự kiến được huy động cho chu kỳ giao dịch đầu tiên trong lịch huy động chu kỳ giao dịch tới.
9. Công suất huy động ngày tới là mức công suất của tổ máy phát điện dự kiến được huy động cho các chu kỳ giao dịch trong lịch huy động ngày tới theo kết quả lập lịch có ràng buộc.
10. Dịch vụ phụ trợ là các dịch vụ điều khiển tần số thứ cấp, khởi động nhanh, dự phòng vận hành phải phát để đảm bảo an ninh hệ thống điện, điều chỉnh điện áp và khởi động đen.
11. Dịch vụ dự phòng điều chỉnh tần số là dịch vụ phụ trợ phục vụ công tác điều khiển tần số thứ cấp theo quy định tại Quy định hệ thống điện truyền tải do Bộ Công Thương ban hành.
12. Đơn vị chào giá là các đơn vị trực tiếp nộp bản chào giá trong thị trường điện, bao gồm các Đơn vị phát điện hoặc các nhà máy điện được đăng ký chào giá trực tiếp và đơn vị đại diện chào giá cho nhóm nhà máy thủy điện bậc thang.
13. Đơn vị mua buôn điện là đơn vị điện lực có chức năng mua buôn điện trên thị trường điện giao ngay (tại các điểm giao nhận giữa lưới truyền tải điện và lưới phân phối điện và tại các điểm giao nhận với các nhà máy điện trên lưới phân phối). Trong giai đoạn đầu vận hành thị trường điện, đơn vị mua buôn điện bao gồm 05 Tổng công ty Điện lực thuộc Tập đoàn Điện lực Việt Nam (Tổng công ty Điện lực miền Bắc, miền Trung, miền Nam, Thành phố Hà Nội và Thành phố Hồ Chí Minh).
14. Đơn vị mua điện là đơn vị tham gia thị trường bán buôn điện với vai trò là bên mua điện, bao gồm đơn vị mua buôn điện và Tập đoàn Điện lực Việt Nam (Công ty Mua bán điện - đơn vị được Tập đoàn Điện lực Việt Nam ủy quyền thực hiện chức năng mua điện).
15. Đơn vị nhập khẩu điện là đơn vị điện lực có chức năng ký kết và quản lý các hợp đồng nhập khẩu điện, trong đó các điểm giao nhận nhập khẩu trên lưới điện truyền tải có đấu nối hoặc không đấu nối vào hệ thống điện quốc gia theo quy định.
16. Đơn vị phát điện là đơn vị sở hữu một hoặc nhiều nhà máy điện tham gia thị trường điện và ký hợp đồng mua bán điện cho các nhà máy điện này với đơn vị mua điện.
17. Đơn vị phát điện gián tiếp giao dịch là Đơn vị phát điện có nhà máy điện không chào giá trực tiếp trên thị trường điện và không áp dụng cơ chế thanh toán trên thị trường điện.
18. Đơn vị phát điện trực tiếp giao dịch là Đơn vị phát điện có nhà máy điện được chào giá trực tiếp trên thị trường điện.
19. Đơn vị truyền tải điện là đơn vị điện lực được cấp phép hoạt động điện lực trong lĩnh vực truyền tải điện, chịu trách nhiệm quản lý, vận hành lưới điện truyền tải quốc gia.
20. Đơn vị vận hành hệ thống điện và thị trường điện là đơn vị chỉ huy điều khiển quá trình phát điện, truyền tải điện, phân phối điện trong hệ thống điện quốc gia, điều hành giao dịch thị trường điện.
21. Đơn vị xuất khẩu điện là đơn vị điện lực có chức năng ký kết và quản lý các hợp đồng xuất khẩu điện với điểm giao nhận xuất khẩu trên lưới điện truyền tải thuộc hệ thống điện quốc gia theo quy định.
22. Giá sàn bản chào là mức giá thấp nhất mà đơn vị chào giá được phép chào cho một tổ máy phát điện trong bản chào giá ngày tới.
23. Giá trần bản chào là mức giá cao nhất mà đơn vị chào giá được phép chào cho một tổ máy phát điện trong bản chào giá ngày tới.
24. Giá trị nước là mức giá biên kỳ vọng tính toán cho lượng nước tích trong các hồ thủy điện khi được sử dụng để phát điện thay thế cho các nguồn nhiệt điện trong tương lai, tính quy đổi cho một đơn vị điện năng.
25. Hệ thống thông tin thị trường điện là hệ thống các trang thiết bị và cơ sở dữ liệu phục vụ quản lý, trao đổi thông tin thị trường điện do Đơn vị vận hành hệ thống điện và thị trường điện quản lý.
26. Hợp đồng mua bán điện là hợp đồng mua bán điện ký kết giữa đơn vị mua điện với đơn vị phát điện trực tiếp giao dịch theo mẫu do Bộ Công Thương ban hành.
27. Lập lịch có ràng buộc là việc sắp xếp thứ tự huy động các tổ máy phát điện theo phương pháp tối thiểu chi phí mua điện có xét đến các ràng buộc kỹ thuật trong hệ thống điện.
28. Lập lịch không ràng buộc là việc sắp xếp thứ tự huy động các tổ máy phát điện theo phương pháp tối thiểu chi phí mua điện không xét đến các ràng buộc trong hệ thống điện.
29. Lịch huy động chu kỳ giao dịch tới là lịch huy động dự kiến của các tổ máy để phát điện và cung cấp dịch vụ phụ trợ cho chu kỳ giao dịch tới và các chu kỳ giao dịch trong 03 giờ liền kề sau đó do Đơn vị vận hành hệ thống điện và thị trường điện tính toán, công bố.
30. Lịch huy động ngày tới là lịch huy động dự kiến của các tổ máy để phát điện và cung cấp dịch vụ phụ trợ cho các chu kỳ giao dịch của ngày giao dịch tới do Đơn vị vận hành hệ thống điện và thị trường điện lập.
31. Mô hình mô phỏng thị trường điện là hệ thống các phần mềm mô phỏng huy động các tổ máy phát điện và tính giá điện năng thị trường được Đơn vị vận hành hệ thống điện và thị trường điện sử dụng trong lập kế hoạch vận hành năm, tháng và tuần.
32. Mô hình tính toán giá trị nước là hệ thống các phần mềm tối ưu thủy nhiệt điện để tính toán giá trị nước được Đơn vị vận hành hệ thống điện và thị trường điện sử dụng trong lập kế hoạch vận hành năm, tháng và tuần.
33. Mức nước giới hạn là mức nước thượng lưu thấp nhất của hồ chứa thủy điện cuối mỗi tháng trong năm hoặc cuối mỗi tuần trong tháng do Đơn vị vận hành hệ thống điện và thị trường điện tính toán và công bố theo quy định tại Quy trình thực hiện đánh giá an ninh hệ thống điện trung hạn và ngắn hạn do Cục Điều tiết điện lực ban hành hướng dẫn thực hiện Quy định hệ thống điện truyền tải do Bộ Công Thương ban hành.
34. Mức nước tối ưu là mức nước thượng lưu của hồ chứa thủy điện vào thời điểm cuối mỗi tháng hoặc cuối mỗi tuần, đảm bảo việc sử dụng nước cho mục đích phát điện đạt hiệu quả cao nhất và đáp ứng các yêu cầu ràng buộc, do Đơn vị vận hành hệ thống điện và thị trường điện tính toán và công bố.
35. Năm N là năm hiện tại vận hành thị trường điện, được tính theo năm dương lịch.
36. Ngày D là ngày giao dịch hiện tại.
37. Nhà máy điện BOT là nhà máy điện được đầu tư theo hình thức Xây dựng - Kinh doanh - Chuyển giao thông qua hợp đồng giữa nhà đầu tư và cơ quan nhà nước có thẩm quyền.
38. Nhà máy thủy điện chiến lược đa mục tiêu là nhà máy thủy điện trong danh mục nhà máy điện lớn có ý nghĩa đặc biệt quan trọng về kinh tế - xã hội, quốc phòng, an ninh do Thủ tướng Chính phủ phê duyệt hoặc thuộc danh mục nhà máy điện phối hợp vận hành với nhà máy điện lớn có ý nghĩa đặc biệt quan trọng về kinh tế - xã hội, quốc phòng, an ninh do Bộ Công Thương phê duyệt.
39. Nhóm nhà máy thủy điện bậc thang là tập hợp các nhà máy thủy điện, trong đó lượng nước xả từ hồ chứa của nhà máy thuỷ điện bậc thang trên chiếm toàn bộ hoặc phần lớn lượng nước về hồ chứa nhà máy thuỷ điện bậc thang dưới và giữa hai nhà máy điện này không có hồ chứa điều tiết nước lớn hơn 01 tuần.
40. Nguồn khí PM3 là nguồn khí thiên nhiên được lấy từ mỏ PM3-CAA và lô 46 Cái Nước cung cấp cho Cụm nhà máy điện Cà Mau.
41. Nguồn khí Nam Côn Sơn là nguồn khí thiên nhiên được lấy từ bể khí Nam Côn Sơn, cung cấp cho các nhà máy điện tuabin khí khu vực Đông Nam Bộ (Phú Mỹ 1, Phú Mỹ 2.1, Phú Mỹ 2.1 mở rộng, BOT - Phú Mỹ 2.2, BOT - Phú Mỹ 3, Phú Mỹ 4, Nhơn Trạch 1, Nhơn Trạch 2, Bà Rịa).
42. Nguồn khí Cửu Long là nguồn khí đồng hành được lấy từ bể khí Cửu Long, cung cấp cho các nhà máy điện Bà Rịa, Phú Mỹ 2.1, Phú Mỹ 2.1 mở rộng và Phú Mỹ 4.
43. Nút giao dịch là vị trí được sử dụng để xác định sản lượng điện năng giao nhận cho các giao dịch mua bán điện trên thị trường điện giao ngay trong thị trường điện.
44. Phần mềm lập lịch huy động là hệ thống phần mềm được Đơn vị vận hành hệ thống điện và thị trường điện sử dụng để lập lịch huy động ngày tới và chu kỳ giao dịch tới cho các tổ máy phát điện trong thị trường điện.
45. Phần mềm tối ưu thủy nhiệt điện ngắn hạn là phần mềm để tính toán lịch lên xuống các tổ máy nhiệt điện và biểu đồ huy động của các tổ máy được Đơn vị vận hành hệ thống điện và thị trường điện sử dụng trong lập kế hoạch vận hành thị trường điện tuần và tính toán lập biểu đồ của các nhà máy điện ngoài thị trường điện.
46. Phụ tải hệ thống là tổng sản lượng điện năng của toàn hệ thống điện tính quy đổi về đầu cực các tổ máy phát điện và sản lượng điện năng nhập khẩu trong một chu kỳ giao dịch trừ đi sản lượng của các nhà máy phát điện có tổng công suất đặt nhỏ hơn hoặc bằng 30 MW không tham gia thị trường điện và sản lượng của các nhà máy thủy điện bậc thang trên cùng một dòng sông thuộc một Đơn vị phát điện có tổng công suất đặt nhỏ hơn hoặc bằng 60 MW (đáp ứng tiêu chuẩn áp dụng biểu giá chi phí tránh được).
47. PV Gas là Tổng công ty khí Việt Nam.
48. Suất hao nhiệt là lượng nhiệt năng tiêu hao của tổ máy hoặc nhà máy điện để sản xuất ra một đơn vị điện năng.
49. Tháng M là tháng hiện tại vận hành thị trường điện, được tính theo tháng dương lịch.
50. Thị trường điện giao ngay là thị trường thực hiện lập lịch huy động, tính toán giá thị trường theo bản chào và thanh toán theo từng chu kỳ giao dịch trong ngày cho các giao dịch mua bán điện năng giữa các đơn vị phát điện và các đơn vị mua điện.
51. Thiếu công suất là tình huống khi tổng công suất công bố của tất cả các Đơn vị phát điện nhỏ hơn nhu cầu phụ tải hệ thống dự báo trong một chu kỳ giao dịch.
52. Thông tin bảo mật là các thông tin mật theo quy định của pháp luật hoặc theo thỏa thuận giữa các bên.
53. Thông tin thị trường là toàn bộ dữ liệu và thông tin liên quan đến các hoạt động của thị trường điện.
54. Thời điểm chấm dứt chào giá là thời điểm mà sau đó các Đơn vị phát điện không được phép thay đổi bản chào giá ngày tới, trừ các trường hợp đặc biệt được quy định trong Quy trình này. Trong thị trường điện, thời điểm chấm dứt chào giá ngày D là 11h30 của ngày D-1.
55. Thứ tự huy động là kết quả sắp xếp các dải công suất trong bản chào theo nguyên tắc về giá từ thấp đến cao có xét đến các ràng buộc của hệ thống điện.
56. Thừa công suất là tình huống khi tổng lượng công suất được chào ở mức giá sàn của các đơn vị phát điện trực tiếp giao dịch và công suất dự kiến huy động của các nhà máy điện thuộc các đơn vị phát điện gián tiếp giao dịch do Đơn vị vận hành hệ thống điện và thị trường điện công bố tại một miền hoặc cả hệ thống điện trong chu kỳ giao dịch lớn hơn phụ tải miền hoặc phụ tải hệ thống dự báo.
57. Tổ máy khởi động chậm là tổ máy phát điện không có khả năng khởi động và hoà lưới trong thời gian nhỏ hơn 30 phút.
58. Tuần T là tuần hiện tại vận hành thị trường điện.
Chương II
CÁC NGUYÊN TẮC CHUNG
Điều 4. Công bố và cung cấp thông tin
Các đơn vị có trách nhiệm công bố và cung cấp thông tin theo quy định tại Quy trình Quản lý, vận hành hệ thống công nghệ thông tin điều hành thị trường điện do Cục Điều tiết Điện lực ban hành theo thứ tự ưu tiên sau đây:
1. Trang thông tin điện tử thị trường điện.
2. Thư điện tử từ địa chỉ do các đơn vị đăng ký với Đơn vị vận hành hệ thống điện và thị trường điện.
3. Fax theo số fax do các đơn vị đăng ký với Đơn vị vận hành hệ thống điện và thị trường điện.
4. Giao dịch trực tiếp qua đường điện thoại có ghi âm hoặc nộp trực tiếp tại trụ sở Đơn vị vận hành hệ thống điện và thị trường điện.
Các đơn vị phát điện chỉ thực hiện công bố và cung cấp thông tin theo quy định tại Khoản 2, Khoản 3 và Khoản 4 Điều này khi đã thông báo và nhận được sự chấp thuận của Đơn vị vận hành hệ thống điện và thị trường điện.
Điều 5. Ngày giao dịch, chu kỳ giao dịch, chu kỳ điều độ
1. Ngày giao dịch được tính từ thời điểm 00h00 đến 24h00 của ngày dương lịch.
2. Chu kỳ giao dịch là 60 phút, tính từ thời điểm bắt đầu của mỗi giờ trong ngày giao dịch. Khi các điều kiện về cơ sở hạ tầng được đáp ứng, Cục Điều tiết điện lực xem xét giảm chu kỳ giao dịch xuống 30 phút.
3. Chu kỳ điều độ là 60 phút, tính từ thời điểm bắt đầu của mỗi giờ trong ngày giao dịch. Khi các điều kiện về cơ sở hạ tầng được đáp ứng, Cục Điều tiết điện lực xem xét giảm chu kỳ điều độ xuống 30 phút đồng bộ với việc giảm chu kỳ giao dịch tại Khoản 2 Điều này.
Điều 6. Giới hạn giá chào
1. Giá chào của các tổ máy phát điện trên thị trường điện được giới hạn từ giá sàn bản chào đến giá trần bản chào.
2. Đối với tổ máy nhiệt điện:
a) Mức giá trần bản chào của tổ máy nhiệt điện được xác định hàng năm, điều chỉnh hàng tháng.
b) Giá sàn của tổ máy nhiệt điện là 01 đồng/kWh.
3. Đối với tổ máy thủy điện:
a) Giá trần bản chào của các tổ máy thuỷ điện được thực hiện theo quy định tại Điều 7 Quy trình này;
b) Giá sàn bản chào của tổ máy thuỷ điện là 0 đồng/kWh.
Điều 7. Giá trần bản chào của nhà máy thuỷ điện
1. Giá trần bản chào của nhà máy thủy điện có hồ chứa điều tiết trên 01 tuần được xác định căn cứ theo giá trị nước tuần tới của nhà máy, cụ thể như sau:
a) Giá trần bản chào bằng giá trị lớn nhất của:
- 120% giá trị nước của nhà máy thủy điện;
- Giá trung bình của các giá trần bản chào của các tổ máy nhiệt điện tham gia thị trường điện trong kế hoạch vận hành tháng.
b) Hàng tháng, Đơn vị vận hành hệ thống điện và thị trường điện có trách nhiệm công bố giá trung bình của các giá trần bản chào của các tổ máy nhiệt điện tháng tới cho các nhà máy thuỷ điện cùng thời gian biểu công bố giá trần bản chào của tổ máy nhiệt điện trong tháng tới.
2. Giá trần bản chào của nhà máy thủy điện có hồ chứa điều tiết từ 02 ngày đến 01 tuần được xác định bằng giá trị lớn nhất của:
a) 120% giá trị nước cao nhất của các nhà máy thuỷ điện tham gia thị trường;
b) Giá trung bình của các giá trần bản chào của các tổ máy nhiệt điện tham gia thị trường điện trong kế hoạch vận hành tháng.
3. Giá trần bản chào của nhà máy thủy điện trong trường hợp đặc biệt
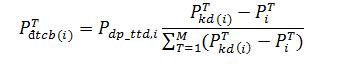
a) Giá trần bản chào của nhà máy thủy điện trong các trường hợp quy định tại Điểm b và Điểm c Khoản này được xác định theo công thức sau:
Ptr = 1,2 × max (Pgtn ; PDOmax)
Trong đó:
Ptr: Giá trần bản chào của nhà máy thủy điện áp dụng trong các trường hợp đặc biệt (đ/kWh);
Pgtn: Giá trị nước của nhà máy thủy điện, trường hợp nhà máy thủy điện có hồ chứa điều tiết từ 02 ngày đến 01 tuần sử dụng giá trị nước cao nhất của các nhà máy thuỷ điện tham gia thị trường (đ/kWh);
PDOmax: Chi phí biến đổi của tổ máy nhiệt điện chạy dầu DO đắt nhất trong hệ thống điện (đ/kWh).
b) Trường hợp hồ chứa của nhà máy thuỷ điện vi phạm mức nước giới hạn tuần đầu tiên: Giá trần bản chào của nhà máy thủy điện này áp dụng cho tuần kế tiếp được xác định theo quy định tại Điểm a Khoản này. Khi đã đảm bảo không vi phạm mức nước giới hạn tuần, nhà máy tiếp tục áp dụng giá trần bản chào theo quy định tại Khoản 1 hoặc Khoản 2 Điều này từ thứ Ba tuần kế tiếp. Hàng tháng, Đơn vị vận hành hệ thống điện và thị trường điện có trách nhiệm công bố giá của tổ máy nhiệt điện dầu DO đắt nhất trong hệ thống điện;
c) Trường hợp nhà máy thuỷ điện đặt tại miền có dự phòng điện năng thấp hơn 5% được công bố theo Quy trình thực hiện đánh giá an ninh hệ thống điện trung hạn và ngắn hạn do Cục Điều tiết điện lực ban hành hướng dẫn thực hiện Quy định hệ thống điện truyền tải do Bộ Công Thương ban hành thì giá trần bản chào của nhà máy thủy điện trong miền này của tuần đánh giá được xác định theo quy định tại Điểm a Khoản này. Khi dự phòng điện năng của miền bằng hoặc cao hơn 5%, nhà máy điện trong miền này tiếp tục áp dụng giá trần bản chào theo quy định tại Khoản 1 và Khoản 2 Điều này.
4. Hàng tuần, Đơn vị vận hành hệ thống điện và thị trường điện có trách nhiệm:
a) Tính toán giá trần bản chào các tổ máy thủy điện của nhà máy thuỷ điện tham gia thị trường điện theo quy định tại Khoản 1 và Khoản 2 và Khoản 3 Điều này;
b) Công bố kết quả tính toán giá trần bản chào của từng tổ máy thủy điện của nhà máy thuỷ điện có hồ chứa điều tiết từ 02 ngày đến 01 tuần tham gia thị trường điện áp dụng cho tuần tới và các thông số đầu vào phục vụ tính toán bao gồm: Giá trị nước, giá của tổ máy nhiệt điện dầu DO đắt nhất trong hệ thống điện, giá trung bình của các giá trần bản chào của các tổ máy nhiệt điện tham gia thị trường điện trong kế hoạch vận hành tháng.
5. Nhà máy thủy điện tham gia thị trường điện có trách nhiệm:
a) Chào giá tuân thủ các quy định về giá trần bản chào và giá sàn bản chào;
b) Đáp ứng các yêu cầu về ràng buộc nhu cầu sử dụng nước phía hạ du và các ràng buộc về thủy văn khác.
Điều 8. Bản chào giá mặc định
1. Đối với các nhà máy nhiệt điện, bản chào giá mặc định là bản chào giá hợp lệ gần nhất. Trong trường hợp bản chào giá hợp lệ gần nhất không phù hợp với trạng thái vận hành thực tế của tổ máy, bản chào giá mặc định là bản chào giá tương ứng với trạng thái hiện tại và nhiên liệu sử dụng trong bộ bản chào giá mặc định áp dụng cho tháng đó của tổ máy. Đơn vị chào giá có trách nhiệm xây dựng bộ bản chào mặc định áp dụng cho tháng tới của tổ máy nhiệt điện tương ứng với các trạng thái vận hành và nhiên liệu của tổ máy và nộp cho Đơn vị vận hành hệ thống điện và thị trường điện trước ngày 28 hàng tháng.
2. Đối với các nhà máy thủy điện:
a) Đối với các nhà máy thủy điện có hồ chứa điều tiết dưới 02 ngày, bản chào giá mặc định là bản chào giá hợp lệ gần nhất. Đơn vị phát điện có trách nhiệm cập nhật bản chào giá sửa đổi cho phù hợp với tình hình thực tế để đáp ứng yêu cầu hệ thống điện;
b) Đối với nhà máy thuỷ điện có hồ chứa điều tiết từ 02 ngày trở lên và nhóm nhà máy thuỷ điện bậc thang, bản chào giá mặc định như sau:
- Áp dụng mức giá sàn bản chào cho sản lượng tương ứng với yêu cầu về lưu lượng cấp nước hạ du;
- Áp dụng mức giá trần bản chào của tổ máy quy định tại Điều 7 Quy trình này cho phần sản lượng còn lại.
c) Bản chào của nhà máy thủy điện có 02 tuần liên tiếp vi phạm mức nước giới hạn được đơn vị chào giá thực hiện theo nguyên tắc sau:
- Chào giá sàn cho sản lượng tương ứng với yêu cầu về lưu lượng cấp nước hạ du theo yêu cầu của cơ quan có thẩm quyền;
- Chào giá trần cho phần sản lượng còn lại. Giá trần bản chào áp dụng cho nhà máy thủy điện vi phạm mức nước giới hạn 02 tuần liên tiếp được quy định tại Điểm a Khoản 3 Điều 7 Quy trình này.
Đơn vị chào giá có trách nhiệm xây dựng bộ bản chào mặc định áp dụng cho tuần tới của các tổ máy thủy điện và nộp cho Đơn vị vận hành hệ thống điện và thị trường điện trước 15h00 ngày thứ Bảy hàng tuần. Trong trường hợp Đơn vị chào giá không gửi bản chào giá mặc định hoặc bản chào mặc định không đúng quy định, Đơn vị vận hành hệ thống điện và thị trường điện có trách nhiệm xây dựng bản chào giá mặc định theo nguyên tắc quy định tại Điểm này cho tổ máy để sử dụng làm bản chào giá lập lịch.
Điều 9. Xuất, nhập khẩu điện trong lập lịch huy động
1. Sản lượng điện năng xuất khẩu trong lập lịch huy động được tính như phụ tải tại điểm xuất khẩu và được dùng để tính toán dự báo phụ tải hệ thống phục vụ lập lịch huy động ngày tới và chu kỳ giao dịch tới.
2. Sản lượng điện năng nhập khẩu trong lập lịch huy động được tính như nguồn phải phát với biểu đồ đã được công bố trước trong lập lịch huy động ngày tới và chu kỳ giao dịch tới.
Điều 10. Nguyên tắc cung cấp khí cho phát điện
Đơn vị phát điện có trách nhiệm phối hợp với đơn vị cấp khí và vận hành hệ thống khí để đảm bảo cung cấp khí cho phát điện theo quy định của cơ quan nhà nước có thẩm quyền.
Điều 11. Nguyên tắc sử dụng nguồn khí PM3
1. Trước thời điểm Nhà máy điện Cà Mau 1 và Nhà máy điện Cà Mau 2 trực tiếp tham gia thị trường điện, việc lập lịch huy động các tổ máy Nhà máy điện Cà Mau 1 và Nhà máy điện Cà Mau 2 trong hệ thống điện quốc gia được mô phỏng gồm 2 dải giá như sau:
a) Dải giá đầu tiên tương ứng cho phần khí tiêu thụ tương ứng với quyền nhận khí;
b) Dải giá tiếp theo cho phần khí cấp tăng thêm.
2. Kể từ thời điểm Nhà máy điện Cà Mau 1 và Nhà máy điện Cà Mau 2 trực tiếp tham gia thị trường điện, tính toán việc sử dụng khí của các nhà máy điện Cà Mau 1 và nhà máy điện Cà Mau 2 căn cứ theo lịch huy động được lập theo bản chào giá của các Đơn vị phát điện trên cơ sở sử dụng tối ưu nguồn khí theo quy định tại Điều 21 Quy trình này.
Điều 12. Nguyên tắc sử dụng nguồn khí Nam Côn Sơn và Cửu Long
1. Nguồn khí Cửu Long được ưu tiên sử dụng trước nguồn khí Nam Côn Sơn để sử dụng hết lượng khí đồng hành.
2. Đảm bảo cung cấp khí Nam Côn Sơn cho các Nhà máy điện BOT Phú Mỹ 2.2 và Phú Mỹ 3 theo cam kết của hợp đồng mua bán điện tương ứng.
3. Tính toán việc sử dụng khí của các nhà máy điện trực tiếp tham gia thị trường điện căn cứ theo lịch huy động được lập theo bản chào giá của các Đơn vị phát điện trên cơ sở sử dụng tối ưu nguồn khí theo quy định tại Điều 21 Quy trình này.
Điều 13. Nguyên tắc lựa chọn tổ máy cung cấp dịch vụ dự phòng điều chỉnh tần số
1. Các tổ máy cung cấp dịch vụ dự phòng điều chỉnh tần số phải đảm bảo yêu cầu kỹ thuật của các tổ máy cung cấp dịch vụ điều tần theo quy định tại Quy định hệ thống điện truyền tải do Bộ Công Thương ban hành.
2. Việc lựa chọn tổ máy cung cấp dịch vụ điều tần và dự phòng quay được thực hiện theo thứ tự ưu tiên như sau:
a) Đảm bảo các ràng buộc vận hành của hệ thống điện quốc gia và hệ thống điện miền;
b) Tốc độ tăng giảm tải;
c) Đảm bảo tối ưu chi phí mua điện;
d) Đảm bảo tối ưu sử dụng nước.
Điều 14. Các bước xác định lượng công suất dự phòng điều chỉnh tần số của các tổ máy trong chu kỳ giao dịch
1. Xác định nhu cầu công suất dự phòng điều chỉnh tần số cho từng chu kỳ giao dịch i theo quy định tại Quy trình xác định và vận hành dịch vụ phụ trợ do Cục Điều tiết điện lực ban hành.
2. Xác định danh sách các tổ máy cung cấp dịch vụ dự phòng điều chỉnh tần số theo nguyên tắc quy định tại Điều 13 bao gồm các tổ máy gián tiếp tham gia thị trường điện và trực tiếp tham gia thị trường điện (nếu có).
3. Sử dụng phần mềm lập lịch huy động, lập lịch có ràng buộc để tính toán biểu đồ huy động các tổ máy đảm bảo các ràng buộc kỹ thuật trong hệ thống điện và nhu cầu công suất dự phòng điều chỉnh tần số.

Trong đó:
Tổng công suất dựphòng điều chỉnh tần số của các tổ máy gián tiếp tham gia thị trường điện chu kỳgiao dịch i (MW);
Công suấtcông bố của tổ máy G tại đầu cực máy phát điện trong chu kỳ i (MW);
Kết quảcông suất theo lịch huy động chu kỳ giao dịch tới được xác định tại Khoản 3 Điềunày của tổ máy G tại đầu cực máy phát điệncho chu kỳ i (MW).

Trong đó:
: Công suất dự phòng điều chỉnh tần số công bố của tổ máy G tại đầu cực máy phát điện trong chu kỳ i (MW);
: Tổng công suất dựphòng điều chỉnh tần số của các tổ máy gián tiếp tham gia thị trường điện chu kỳgiao dịch i (MW);
: Công suấtcông bố của tổ máy G tại đầu cực máy phát điện trong chu kỳ i (MW);
: Kết quảcông suất theo lịch huy động chu kỳ giao dịch tới được xác định tại Khoản 3 Điềunày của tổ máy G tại đầu cực máy phát điện cho chu kỳ i (MW);
: Nhu cầucông suất dự phòng điều chỉnh tần số cho chu kỳ giao dịch i, MW.

Trong đó:
: Tổng công suất dựphòng điều chỉnh tần số của các tổ máy gián tiếp tham gia thị trường điện chu kỳgiao dịch i (MW);
M:Tổng số tổ máy tham gia trực tiếp thị trường điện trong danh sách được xác định tại Khoản 2 Điều này;
: Nhu cầucông suất dự phòng điều chỉnh tần số cho chu kỳ giao dịch i, MW;
: Công suấtcông bố của tổ máy T tại đầu cực máy phát điện trong chu kỳ i (MW);
: Kết quảcông suất theo lịch huy động chu kỳ giao dịch tới được xác định tại Khoản 3 Điềunày của tổ máy T tại đầu cực máy phát điện cho chu kỳ i (MW);
: Tổngcông suất dự phòng điều chỉnh tần số của các tổ máy trực tiếp tham gia thị trườngđiện chu kỳ giao dịch i (MW).

Trong đó:
: Công suấtcông bố của tổ máy T tại đầu cực máy phát điện trong chu kỳ i (MW);
M:Tổng số tổ máy tham gia trực tiếp thị trường điện trong danh sách tại Khoản 2 Điềunày;
: Kết quảcông suất theo lịch huy động chu kỳ giao dịch tới được xác định tại Khoản 3 Điềunày của tổ máy T tại đầu cực máy phát điện cho chu kỳ i (MW);
: Tổngcông suất dự phòng điều chỉnh tần số của các tổ máy trực tiếp tham gia thị trườngđiện chu kỳ giao dịch i (MW);
: Công suất dự phòng điều chỉnh tần số công bố của tổ máy T tại đầu cực máy phát điện trong chu kỳ i (MW).
Chương III
VẬN HÀNH THỊ TRƯỜNG ĐIỆN
Mục 1. PHẦN MỀM LẬP LỊCH HUY ĐỘNG
Điều 15. Phần mềm lập lịch huy động
1. Đơn vị vận hành hệ thống điện và thị trường điện có trách nhiệm sử dụng phần mềm lập lịch huy động để tính toán lập lịch huy động ngày tới và chu kỳ giao dịch tới.
2. Hàm mục tiêu của phần mềm lập lịch huy động là tối thiểu hoá chi phí mua điện qua thị trường từ các tổ máy phát điện và các chi phí phạt vi phạm ràng buộc cho từng chu kỳ tính toán.
3. Phần mềm lập lịch huy động mô phỏng hệ thống điện với các ràng buộc trong vận hành nhà máy điện và hệ thống điện.
Điều 16. Số liệu đầu vào của phần mềm lập lịch huy động
Số liệu đầu vào của phần mềm lập lịch huy động bao gồm:
1. Phụ tải hệ thống điện miền.
2. Giới hạn trên hệ thống đường dây liên kết miền.
3. Trạng thái của các tổ máy phát điện.
4. Bản chào của các tổ máy phát điện.
5. Các ràng buộc trong vận hành nhà máy điện và hệ thống điện.
6. Các thông số đầu vào khác.
Điều 17. Lập lịch có ràng buộc và không ràng buộc
1. Đơn vị vận hành hệ thống điện và thị trường điện có trách nhiệm sử dụng phần mềm lập lịch huy động, lập lịch có ràng buộc để tính toán biểu đồ huy động, lịch ngừng, khởi động các tổ máy.
2. Đơn vị vận hành hệ thống điện và thị trường điện có trách nhiệm sử dụng phần mềm lập lịch huy động, lập lịch không ràng buộc để tính toán giá điện năng thị trường, công suất thanh toán và thứ tự huy động tổ máy.
Mục 2. LẬP LỊCH HUY ĐỘNG THỊ TRƯỜNG ĐIỆN NGÀY TỚI
Điều 18. Tính toán biểu đồ các nhà máy điện không tham gia thị trường điện và các nhà máy điện gián tiếp tham gia thị trường điện
Trước 10h00 ngày D-1, Đơn vị vận hành hệ thống điện và thị trường điện có trách nhiệm xác định biểu đồ ngày D của các nhà máy gián tiếp tham gia thị trường căn cứ theo các số liệu sau:
1. Dự báo phụ tải hệ thống điện miền theo quy định tại Quy trình dự báo nhu cầu phụ tải điện hệ thống điện quốc gia do Cục Điều tiết điện lực ban hành.
2. Biểu đồ điện năng xuất khẩu, nhập khẩu.
3. Biểu đồ các nhà máy điện sử dụng năng lượng tái tạo không phải thủy điện.
4. Biểu đồ phụ tải riêng của các nhà máy điện thuộc khu công nghiệp chỉ bán một phần sản lượng lên hệ thống điện quốc gia.
5. Biểu đồ của các nhà máy điện có công suất đặt từ 30MW trở xuống.
6. Giới hạn công suất chạy khí của nhà máy điện bị giới hạn sản lượng do khí.
7. Sản lượng huy động của các nhà máy thủy điện căn cứ theo tình hình thủy văn, mức nước hồ chứa hiện tại, mức nước hồ chứa dự kiến theo kế hoạch huy động tuần tới.
8. Giá hợp đồng mua bán điện của các nhà máy nhiệt điện:
a) Tổng giá biến đổi theo hợp đồng mua bán điện và giá công suất (CAN) lớn nhất trong ngày tới, áp dụng cho các nhà máy nhiệt điện trực tiếp chào giá;
b) Giá biến đổi theo hợp đồng mua bán điện, áp dụng cho các nhà máy không trực tiếp chào giá và thanh toán chi phí cố định hàng tháng;
c) Tổng giá biến đổi và giá cố định theo hợp đồng mua bán điện, áp dụng cho các nhà máy nhiệt điện không trực tiếp chào giá còn lại.
Điều 19. Thông tin cho vận hành thị trường điện ngày tới
Trước 10h00 ngày D-1, Đơn vị vận hành hệ thống điện và thị trường điện có trách nhiệm xác định, tính toán và công bố các thông tin sau:
1. Biểu đồ dự báo phụ tải ngày D của toàn hệ thống điện quốc gia và từng miền Bắc, Trung, Nam.
2. Công suất huy động dự kiến trong từng chu kỳ giao dịch trong ngày tới của các nhà máy điện gián tiếp tham gia thị trường điện.
3. Tổng sản lượng khí dự kiến ngày tới của các nhà máy nhiệt điện khí sử dụng chung một nguồn khí.
4. Công suất huy động dự kiến của các nguồn điện năng xuất khẩu, nhập khẩu dự kiến trong từng chu kỳ giao dịch của ngày D.
5. Các kết quả đánh giá an ninh hệ thống ngắn hạn cho ngày D theo quy định tại Quy định hệ thống điện truyền tải do Bộ Công Thương ban hành.
6. Công suất huy động dự kiến của các nhà máy thuỷ điện có hồ chứa điều tiết dưới 02 ngày trong từng chu kỳ giao dịch của ngày tới.
7. Nhu cầu dịch vụ dự phòng điều chỉnh tần số của hệ thống điện trong từng chu kỳ giao dịch của ngày tới được công bố từ kế hoạch vận hành tuần tới.
Điều 20. Số liệu đầu vào tính toán giới hạn công suất từng chu kỳ giao dịch cho cụm các nhà máy tuabin khí bị giới hạn sản lượng bởi khí
Số liệu đầu vào cho việc tính toán tối ưu nguồn khí trong công tác lập lịch huy động ngày tới bao gồm:
1. Dự kiến phụ tải hệ thống điện: Đơn vị vận hành hệ thống điện và thị trường điện và các đơn vị liên quan có trách nhiệm dự báo phụ tải hệ thống điện theo quy định tại Quy trình dự báo nhu cầu phụ tải điện hệ thống điện quốc gia do Cục Điều tiết điện lực ban hành.
2. Kế hoạch bảo dưỡng, sửa chữa các nhà máy điện: Là kế hoạch bảo dưỡng, sửa chữa của các nhà máy điện đã được Đơn vị vận hành hệ thống điện và thị trường điện phê duyệt theo quy định tại Quy trình lập kế hoạch bảo dưỡng, sửa chữa lưới điện và nhà máy điện trong hệ thống điện truyền tải do Cục Điều tiết điện lực ban hành.
3. Trạng thái của các tổ máy phát điện: Do Đơn vị vận hành hệ thống điện và thị trường điện cập nhật từ trạng thái vận hành hiện tại, kế hoạch bảo dưỡng, sửa chữa của các nhà máy và thông tin cập nhật được cung cấp từ các Đơn vị phát điện.
4. Khả năng cung cấp nhiên liệu cho các nhà máy điện: Do PV Gas cung cấp theo biểu mẫu tại Phụ lục 4 Quy trình này.
5. Suất hao nhiệt của tổ máy nhiệt điện (HR) được xác định bằng suất hao nhiệt được thống nhất trong hợp đồng hoặc trong hồ sơ đàm phán hợp đồng mua bán điện và được điều chỉnh theo hệ số suy giảm hiệu suất.
Trường hợp suất hao nhiệt trong hợp đồng là suất hao nhiệt bình quân cả đời dự án thì không phải điều chỉnh theo hệ số suy giảm hiệu suất.
Trường hợp trong hợp đồng hoặc hồ sơ đàm phán hợp đồng chỉ có đường đặc tính suất hao tại các mức tải thì suất hao nhiệt của các tổ máy được xác định tại mức tải tương ứng với sản lượng điện năng phát bình quân nhiều năm của nhà máy điện được quy định trong hợp đồng mua bán điện.
Trường hợp tổ máy nhiệt điện không có số liệu suất hao nhiệt trong hợp đồng hoặc trong hồ sơ đàm phán hợp đồng mua bán điện, suất hao nhiệt của nhà máy điện đó được xác định bằng suất hao nhiệt của nhà máy điện chuẩn cùng nhóm theo công nghệ phát điện và công suất đặt, Đơn vị vận hành hệ thống điện và thị trường điện có trách nhiệm tính toán suất tiêu hao nhiệt của nhà máy điện chuẩn.
6. Giới hạn khả năng truyền tải của các đường dây liên kết hệ thống điện giữa các miền: Căn cứ theo kế hoạch vận hành hệ thống điện và thị trường điện tuần tới và được cập nhật theo kế hoạch sửa chữa lưới điện đã được Đơn vị vận hành hệ thống điện và thị trường điện phê duyệt theo quy định tại Quy trình lập kế hoạch bảo dưỡng, sửa chữa lưới điện và nhà máy điện trong hệ thống điện truyền tải do Cục Điều tiết điện lực ban hành.
7. Các ràng buộc trong vận hành nhà máy điện và hệ thống điện.
8. Trạng thái nối lưới của các tổ máy tuabin khí được xác định theo dữ liệu vận hành quá khứ hoặc từ kết quả tính toán chế độ hệ thống điện (nếu có).
Điều 21. Trình tự tính toán giới hạn công suất từng chu kỳ cho cụm các nhà máy tuabin khí bị giới hạn sản lượng bởi khí
1. Đơn vị vận hành hệ thống điện và thị trường điện phải tính toán giới hạn công suất từng chu kỳ cho cụm các nhà máy tuabin khí bị giới hạn sản lượng bởi khí theo trình tự sau:
a) Xác định trạng thái nối lưới của các tổ máy tuabin khí trong từng chu kỳ giao dịch của ngày D từ dữ liệu vận hành quá khứ hoặc từ kết quả tính toán chế độ hệ thống điện (nếu có);
b) Tính toán nhu cầu tiêu thụ khí lớn nhất của từng tổ máy trong ngày D từ trạng thái nối lưới trong ngày D và suất hao nhiệt của các tổ máy xác định tại Điều 20 Quy trình này;

Vipb: Là tổng lượng khí được phân bổ cho tổ máy điện i (triệu m3);
Vimax: Là nhu cầu tiêu thụ khí lớn nhất của tổ máy điện i (triệu m3);
Vimin: Là nhu cầu tiêu thụ khí nhỏ nhất của tổ máy điện i (triệu m3);
Vmax: Là lượng khí cấp lớn nhất của ngày D cấp cho các tổ máy điện (triệu m3).
d) Tính toán giới hạn sản lượng điện ngày lớn nhất của từng tổ máy tương ứng với lượng khí được phân bổ cho từng tổ máy và suất hao nhiệt của tổ máy;
đ) Giới hạn sản lượng điện ngày của từng tổ máy và các giới hạn khác để hạn chế các nguy cơ quá tải trên lưới được đưa vào phần mềm tối ưu thủy nhiệt điện ngắn hạn để tính toán đưa ra biểu đồ huy động từng chu kỳ của các tổ máy tuabin khí;
e) Tính toán giới hạn công suất từng chu kỳ giao dịch ngày D của cụm các nhà máy chạy khí sử dụng chung nguồn khí từ kết quả tính toán biểu đồ huy động của các tổ máy tuabin khí như sau:
- Giới hạn công suất từng chu kỳ giao dịch ngày D của cụm nhà máy điện sử dụng nguồn khí PM3 được tính bằng tổng công suất từng chu kỳ giao dịch của các tổ máy thuộc Nhà máy điện Cà Mau 1 và Nhà máy điện Cà Mau 2;
- Giới hạn công suất từng chu kỳ giao dịch ngày D của cụm nhà máy điện sử dụng nguồn khí Nam Côn Sơn và Cửu Long được tính bằng tổng công suất từng chu kỳ giao dịch của các tổ máy tuabin khí sử dụng nguồn khí Nam Côn Sơn và Cửu Long.
2. Trong trường hợp bình thường giới hạn công suất từng chu kỳ giao dịch của cụm các nhà máy tuabin khí bị giới hạn sản lượng bởi khí được tính toán theo trình tự tính toán tại Khoản 1 Điều này.
3. Trường hợp có giới hạn khí từng chu kỳ giao dịch theo yêu cầu của PV Gas cho từng cụm nhà máy điện cụ thể, Đơn vị vận hành hệ thống điện và thị trường điện có trách nhiệm cập nhật giới hạn khí từng chu kỳ giao dịch này như một ràng buộc trong việc tính toán lập biểu đồ của các nhà máy điện ngoài thị trường điện cũng như tính toán lập lịch huy động ngày tới của các tổ máy trong thị trường điện. Đơn vị phát điện có trách nhiệm phối hợp cung cấp thông tin xác nhận về tình trạng thiếu nguồn nhiên liệu khí cung cấp cho nhà máy điện tuabin khí.
Điều 22. Bản chào giá
1. Bản chào giá tuân thủ các nguyên tắc sau:
a) Gồm 05 cặp giá chào (đồng/kWh) và công suất (MW) cho tổ máy cho từng chu kỳ giao dịch của ngày D. Khi đáp ứng đủ các điều kiện cần thiết, Cục Điều tiết điện lực xem xét tăng số cặp giá chào, công suất lên 10 cặp, đồng bộ với việc giảm chu kỳ giao dịch xuống còn 30 phút theo quy định;
b) Công suất trong bản chào giá là công suất tại đầu cực máy phát điện;
c) Công suất chào của dải chào sau không được thấp hơn công suất của dải chào liền trước. Bước chào tối thiểu là 03 MW;
d) Có các thông tin về thông số kỹ thuật của tổ máy, bao gồm:
- Công suất công bố của tổ máy cho ngày D;
- Công suất phát ổn định thấp nhất của tổ máy;
- Tốc độ tăng và giảm công suất tối đa của tổ máy;
- Ràng buộc kỹ thuật khi vận hành đồng thời các tổ máy;
- Tình trạng nhiên liệu của nhà máy nhiệt điện.
đ) Công suất công bố của tổ máy trong bản chào ngày D không thấp hơn mức công suất công bố trong ngày D-2 theo quy định tại Quy trình thực hiện đánh giá an ninh hệ thống điện trung hạn và ngắn hạn do Cục Điều tiết điện lực ban hành hướng dẫn thực hiện Quy định hệ thống điện truyền tải do Bộ Công Thương ban hành trừ trường hợp dừng máy sửa chữa đột xuất (việc dừng máy sửa chữa đột xuất này phải được phê duyệt) hoặc sự cố kỹ thuật bất khả kháng. Nhà máy có trách nhiệm cập nhập công suất công bố khi giảm công suất khả dụng;
e) Trong điều kiện bình thường dải công suất chào đầu tiên trong bản chào giá của các tổ máy nhiệt điện phải bằng công suất phát ổn định thấp nhất của tổ máy. Dải công suất chào cuối cùng phải bằng công suất công bố. Đối với các nhà máy nhiệt điện trong quá trình khởi động hòa lưới và dừng máy được phép cập nhật bản chào giá cho chu kỳ giao dịch tới với công suất thấp hơn công suất phát ổn định thấp nhất;
g) Nhà máy thủy điện có thể chào các dải công suất đầu tiên trong từng chu kỳ giao dịch bằng 0 MW. Đối với nhà máy thủy điện có khả năng điều tiết trên 02 ngày thì dải công suất chào cuối cùng phải bằng công suất công bố, trường hợp mức nước của hồ chứa thủy điện đã xuống mức nước chết nhà máy được phép điều chỉnh công suất công bố bằng 0 MW;
h) Đơn vị của giá chào là đồng/kWh, với số thập phân nhỏ nhất là 0,1;
i) Giá chào trong khoảng từ giá sàn đến giá trần của tổ máy và không giảm theo chiều tăng của công suất chào.
2. Bản chào giá trong những trường hợp đặc biệt:
a) Bản chào của nhà máy có hồ chứa điều tiết dưới 02 ngày được quy định như sau:
- Giá chào bằng 0 đồng/kWh cho các dải công suất chào;
- Công suất chào bằng công suất dự kiến phát của tổ máy trong chu kỳ giao dịch. Đơn vị phát điện sở hữu nhà máy thủy điện có hồ chứa điều tiết dưới 02 ngày được nộp bản chào giá sửa đổi tăng công suất theo tình hình thuỷ văn thực tế của nhà máy;
- Nhà máy thủy điện có hồ chứa điều tiết dưới 02 ngày được nộp bản chào giá chu kỳ giao dịch tới sửa đổi công suất theo tình hình thủy văn thực tế của nhà máy.
b) Bản chào của nhà máy thủy điện có 02 tuần liên tiếp vi phạm mức nước giới hạn:
- Chào giá sàn cho sản lượng tương ứng với yêu cầu về lưu lượng cấp nước hạ du theo yêu cầu của cơ quan có thẩm quyền;
- Phần sản lượng còn lại được chào bằng mức giá trần bản chào áp dụng cho nhà máy thủy điện vi phạm mức nước giới hạn 02 tuần liên tiếp được quy định tại Điểm a Khoản 3 Điều 7 Quy trình này;
c) Bản chào của tổ máy nhiệt điện trong quá trình khởi động hòa lưới và dừng máy:
- Công suất chào được thấp hơn mức công suất phát ổn định thấp nhất;
- Giá chào bằng giá sàn bản chào của tổ máy nhiệt điện cho toàn bộ dải công suất từ 0 MW đến công suất phát ổn định thấp nhất.
d) Đối với tổ máy thủy điện phải đảm bảo cung cấp nước hạ du theo yêu cầu của cơ quan có thẩm quyền và đã được tính xét đến khi xác định sản lượng hợp đồng cho chu kỳ giao dịch trong kế hoạch vận hành tháng tới hoặc tuần tới: Đơn vị phát điện có trách nhiệm chào mức giá sàn bản chào cho sản lượng tương ứng với yêu cầu về lưu lượng cấp nước hạ du đã được xét đến khi tính toán sản lượng hợp đồng trong kế hoạch vận hành tháng tới hoặc tuần tới.
Điều 23. Sửa đổi bản chào giá
1. Các trường hợp được sửa đổi bản chào giá
Bản chào giá sửa đổi của Đơn vị chào giá được áp dụng trong các trường hợp sau đây:
a) Tổ máy nhiệt điện đang trong quá trình khởi động, hòa lưới hoặc ngừng máy: Đơn vị chào giá cho tổ máy nhiệt điện được sửa đổi tăng hoặc giảm công suất và nộp lại bản chào giá cho tổ máy nhiệt điện này;
b) Tổ máy nhiệt điện hòa lưới sớm theo yêu cầu của Đơn vị vận hành hệ thống điện và thị trường điện: Đơn vị chào giá được sửa đổi tăng công suất công bố và nộp lại bản chào giá cho tổ máy nhiệt điện này;
c) Tổ máy phát điện bị sự cố gây ngừng máy hoặc giảm công suất khả dụng; hoặc sửa chữa tổ máy ngoài kế hoạch đã được Đơn vị vận hành hệ thống điện và thị trường điện phê duyệt theo quy định tại Quy định hệ thống điện truyền tải do Bộ Công Thương ban hành: Đơn vị chào giá được sửa đổi giảm công suất công bố và nộp lại bản chào giá cho tổ máy phát điện này;
d) Các nhà máy thủy điện có hồ chứa điều tiết dưới 02 ngày: Đơn vị chào giá được nộp bản chào giá sửa đổi phù hợp với tình hình vận hành thực tế (trong trường hợp nước về hồ nhiều dẫn đến phải xả hoặc mức nước hồ chứa về đến mức nước chết);
đ) Nhà máy thủy điện có hồ chứa điều tiết từ 02 ngày trở lên, đơn vị chào giá được sửa đổi bản chào giá trong các trường hợp sau:
- Yêu cầu cấp nước hạ du trong ngày D của nhà máy thủy điện theo quy định tại quy trình vận hành hồ chứa (hoặc liên hồ chứa) hoặc văn bản của cơ quan nhà nước có thẩm quyền được xác định tại thời điểm sau 11h30 ngày D-1 (thời điểm kết thúc chào giá cho ngày D);
- Mức nước hồ của nhà máy thủy điện vi phạm mức nước quy định tại quy trình vận hành hồ chứa hoặc đến ngưỡng xả tràn do lưu lượng nước thực tế về hồ chứa trong ngày D cao nhiều hơn so với dự báo;
- Nhà máy thủy điện không đáp ứng được yêu cầu cấp nước hạ du trong ngày D theo yêu cầu của cơ quan có thẩm quyền do tổ máy của nhà máy điện bị sự cố trong ngày D.
2. Nguyên tắc sửa đổi bản chào giá
a) Đối với các trường hợp quy định tại Điểm a, Điểm b, Điểm c Khoản 1 Điều này:
- Bản chào giá sửa đổi không được thay đổi giá chào so với bản chào ngày tới của đơn vị chào giá đó;
- Trong trường hợp quy định tại Điểm a Khoản 1 Điều này: Toàn bộ các dải công suất chào trong bản chào giá sửa đổi của tổ máy nhiệt điện phải bằng nhau và bằng công suất dự kiến phát trong quá trình hòa lưới hoặc ngừng máy;
- Trong trường hợp quy định tại Điểm b Khoản 1 Điều này: Bản chào giá sửa đổi không được thay đổi công suất ở các mức công suất nhỏ hơn hoặc bằng công suất công bố cho chu kỳ giao dịch tới trừ trường hợp vi phạm yêu cầu kỹ thuật của bản chào. Bản chào giá sửa đổi tăng công suất cho các chu kỳ vận hành sớm trong ngày D của tổ máy nhiệt điện hòa lưới sớm là bản chào giá hợp lệ của chu kỳ gần nhất có công suất công bố lớn hơn 0 MW của tổ máy này.
b) Đối với các trường hợp quy định tại Điểm đ Khoản 1 Điều này:
- Đơn vị phát điện chỉ được thay đổi mức công suất trong các dải chào của bản chào giá ngày tới;
- Đơn vị phát điện gửi cho Đơn vị vận hành hệ thống điện và thị trường điện (thông qua hệ thống công nghệ thông tin phục vụ vận hành thị trường điện) bản chào giá sửa đổi cho các chu kỳ giao dịch còn lại của ngày D, đồng thời nêu rõ lý do và các thông tin, số liệu cần thiết làm căn cứ cho Đơn vị vận hành hệ thống điện và thị trường điện xem xét chấp thuận việc sử dụng bản chào giá sửa đổi;
- Bản chào giá sửa đổi phải tuân thủ các quy định tại Điều 22 Quy trình này.
3. Đơn vị chào giá được sửa đổi và nộp lại bản chào giá ngày tới hoặc cho các chu kỳ giao dịch còn lại trong ngày D cho Đơn vị vận hành hệ thống điện và thị trường điện ít nhất 30 phút trước chu kỳ giao dịch có thay đổi bản chào giá.
4. Sau khi nhận được bản chào giá sửa đổi của đơn vị chào giá, Đơn vị vận hành hệ thống điện và thị trường điện căn cứ tình hình thực tế của hệ thống điện thực hiện kiểm tra, xác nhận tính hợp lệ của bản chào giá sửa đổi:
a) Trường hợp bản chào giá sửa đổi không hợp lệ: Đơn vị vận hành hệ thống điện và thị trường điện có trách nhiệm thông báo lý do cho đơn vị phát điện;
b) Trường hợp bản chào giá hợp lệ:
- Đối với các bản chào giá sửa đổi tăng công suất (trừ trường hợp quy định tại Điểm d và Điểm đ Khoản 1 Điều này): Đơn vị vận hành hệ thống điện và thị trường điện có trách nhiệm sử dụng bản chào giá sửa đổi này trong vận hành thị trường điện khi lịch công bố ngày tới, chu kỳ giao dịch tới có cảnh báo thiếu công suất hoặc trong các trường hợp cần thiết để đảm bảo an ninh cung cấp điện;
- Đối với các trường hợp còn lại: Đơn vị vận hành hệ thống điện và thị trường điện có trách nhiệm sử dụng bản chào giá sửa đổi này trong quá trình vận hành thị trường điện.
Điều 24. Chào giá nhóm nhà máy thuỷ điện bậc thang
1. Nhóm nhà máy thuỷ điện bậc thang có trách nhiệm chào giá theo một bản chào giá chung cả nhóm và tuân thủ giới hạn giá chào theo quy định tại Điều 7 Quy trình này.
2. Các nhà máy điện trong nhóm nhà máy thuỷ điện bậc thang có trách nhiệm thỏa thuận và thống nhất chỉ định đơn vị đại diện chào giá. Đơn vị đại diện chào giá cho nhóm nhà máy thủy điện bậc thang có trách nhiệm nộp văn bản đăng ký kèm theo văn bản thỏa thuận giữa các nhà máy điện trong nhóm cho Đơn vị vận hành hệ thống điện và thị trường điện.
3. Trong trường hợp không đăng ký đơn vị đại diện chào giá cho nhóm nhà máy thuỷ điện bậc thang, Đơn vị vận hành hệ thống điện và thị trường điện có trách nhiệm công bố biểu đồ huy động cho các nhà máy thuộc nhóm này căn cứ theo kết quả tính toán giá trị nước của nhóm.
4. Đơn vị đại diện chào giá có trách nhiệm tuân thủ các quy định về chào giá đối với tất cả các nhà máy điện trong nhóm nhà máy thủy điện bậc thang.
5. Trong trường hợp nhà máy thuỷ điện thuộc nhóm nhà máy thuỷ điện bậc thang đề xuất tự chào giá, căn cứ theo đề xuất của nhà máy thuỷ điện thuộc nhóm nhà máy thuỷ điện bậc thang và các ràng buộc tối ưu sử dụng nước của cả nhóm, Cục Điều tiết điện lực xem xét, quyết định việc chào giá của nhà máy thuỷ điện này.
6. Giá trị nước của nhóm nhà máy thuỷ điện bậc thang là giá trị nước của hồ thuỷ điện lớn nhất trong bậc thang đó. Đơn vị vận hành hệ thống điện và thị trường điện có trách nhiệm xác định hồ thuỷ điện dùng để tính toán giá trị nước cho nhóm nhà máy thuỷ điện bậc thang cùng với việc phân loại các nhà máy thuỷ điện theo quy định.
7. Trong trường hợp nhóm nhà máy thuỷ điện bậc thang có nhà máy thủy điện chiến lược đa mục tiêu:
a) Đơn vị vận hành hệ thống điện và thị trường điện có trách nhiệm công bố sản lượng phát từng chu kỳ giao dịch trong tuần tới của từng nhà máy điện trong nhóm nhà máy thủy điện bậc thang;
b) Khi sản lượng công bố của nhà máy thủy điện đa mục tiêu trong nhóm bị điều chỉnh theo quy định tại Điều 38 Quy trình này, Đơn vị vận hành hệ thống điện và thị trường điện có trách nhiệm điều chỉnh sản lượng công bố của các nhà máy điện ở bậc thang dưới cho phù hợp.
Điều 25. Xử lý trong trường hợp hồ chứa của nhà máy thuỷ điện vi phạm mức nước giới hạn tuần
1. Đơn vị vận hành hệ thống điện và thị trường điện có trách nhiệm cảnh báo nhà máy điện vi phạm mức nước giới hạn tuần, nhà máy điện có trách nhiệm điều chỉnh giá chào trong các ngày tiếp theo để đảm bảo không vi phạm mức nước giới hạn tuần tiếp theo.
2. Trong trường hợp hồ chứa của nhà máy điện có 02 tuần liên tiếp vi phạm mức nước giới hạn tuần thì bắt đầu từ 00h00 thứ Ba tuần tiếp theo, Đơn vị vận hành hệ thống điện và thị trường điện lập lịch huy động nhà máy điện này căn cứ theo bản chào mặc định quy định tại Điểm b Khoản 2 Điều 22 Quy trình này để đưa mức nước của hồ chứa về mức nước giới hạn tuần.
3. Khi đã đảm bảo không vi phạm mức nước giới hạn tuần, nhà máy thuỷ điện tiếp tục chào giá vào tuần tiếp theo.
4. Trước 10h00 thứ Hai hàng tuần, Đơn vị vận hành hệ thống điện và thị trường điện có trách nhiệm thông báo về việc lập lịch huy động từ thứ Ba cho đơn vị phát điện và đơn vị mua điện trong các trường hợp sau:
a) Nhà máy vi phạm mức nước hồ chứa tuần đầu tiên, nhà máy vi phạm mức nước tuần thứ hai;
b) Mức nước hồ chứa của nhà máy đã về mức nước giới hạn tuần, nhà máy được chào giá.
Điều 26. Nộp bản chào giá
1. Trước 11h30 ngày D-1, đơn vị chào giá có trách nhiệm nộp bản chào giá ngày D.
2. Đơn vị chào giá nộp bản chào giá qua hệ thống thông tin thị trường điện. Trong trường hợp do sự cố không thể sử dụng hệ thống thông tin thị trường điện, đơn vị chào giá có trách nhiệm thống nhất với Đơn vị vận hành hệ thống điện và thị trường điện về các phương thức khác cho việc nộp bản chào giá theo thứ tự ưu tiên sau:
a) Bằng thư điện tử vào địa chỉ do Đơn vị vận hành hệ thống điện và thị trường điện quy định;
b) Bằng fax theo số fax do Đơn vị vận hành hệ thống điện và thị trường điện cung cấp;
c) Nộp bản chào trực tiếp tại trụ sở Đơn vị vận hành hệ thống điện và thị trường điện.
Điều 27. Kiểm tra tính hợp lệ của bản chào giá
1. Trước 11h00 ngày D-1, Đơn vị vận hành hệ thống điện và thị trường điện có trách nhiệm kiểm tra tính hợp lệ của bản chào giá đã nhận được từ các đơn vị chào giá theo quy định tại Điều 26 Quy trình này. Trường hợp đơn vị chào giá gửi nhiều bản chào giá thì chỉ xem xét bản chào giá nhận được cuối cùng.
2. Trong trường hợp bản chào giá không hợp lệ, Đơn vị vận hành hệ thống điện và thị trường điện có trách nhiệm thông báo cho đơn vị chào giá và yêu cầu nộp lại bản chào giá lần cuối trước thời điểm chấm dứt chào giá.
3. Sau khi nhận được thông báo của Đơn vị vận hành hệ thống điện và thị trường điện về bản chào giá không hợp lệ, đơn vị chào giá có trách nhiệm sửa đổi và nộp lại bản chào giá trước thời điểm chấm dứt chào giá.
Điều 28. Bản chào giá lập lịch
1. Sau thời điểm chấm dứt chào giá, Đơn vị vận hành hệ thống điện và thị trường điện có trách nhiệm kiểm tra tính hợp lệ của các bản chào giá nhận được cuối cùng theo quy định tại Điều 26 Quy trình này. Bản chào giá cuối cùng hợp lệ được sử dụng làm bản chào giá lập lịch cho việc lập lịch huy động ngày tới.
2. Trong trường hợp Đơn vị vận hành hệ thống điện và thị trường điện không nhận được bản chào giá hoặc bản chào giá cuối cùng của đơn vị chào giá không hợp lệ, Đơn vị vận hành hệ thống điện và thị trường điện được sử dụng bản chào giá mặc định của đơn vị phát điện đó làm bản chào giá lập lịch.
Điều 29. Số liệu sử dụng cho lập lịch huy động ngày tới
Đơn vị vận hành hệ thống điện và thị trường điện có trách nhiệm sử dụng các số liệu để lập lịch huy động ngày tới sau đây:
1. Biểu đồ phụ tải ngày của toàn hệ thống điện quốc gia và từng miền Bắc, Trung, Nam.
2. Bản chào giá lập lịch của đơn vị chào giá.
3. Công suất huy động dự kiến trong từng chu kỳ giao dịch của ngày tới của nhà máy điện quy định tại Điều 18 Quy trình này.
4. Sản lượng điện năng xuất khẩu, nhập khẩu quy định tại Điều 9 Quy trình này.
5. Công suất các tổ máy của nhà máy điện cung cấp dịch vụ phụ trợ.
6. Yêu cầu về công suất dịch vụ dự phòng điều chỉnh tần số.
7. Thông tin về khả năng cung cấp dịch vụ dự phòng điều chỉnh tần số của các tổ máy.
8. Lịch bảo dưỡng sửa chữa lưới điện truyền tải và các tổ máy phát điện được Đơn vị vận hành hệ thống điện và thị trường điện phê duyệt.
9. Lịch thí nghiệm tổ máy phát điện.
10. Kết quả đánh giá an ninh hệ thống ngắn hạn cho ngày D theo quy định tại Quy định hệ thống điện truyền tải do Bộ Công Thương ban hành.
11. Thông tin cập nhật về độ sẵn sàng của lưới điện truyền tải và các tổ máy phát điện từ hệ thống SCADA hoặc do Đơn vị truyền tải điện và các đơn vị phát điện cung cấp.
12. Các ràng buộc nhiên liệu khí xác định từ các đường giới hạn công suất được tính toán theo quy định tại Điều 21 Quy trình này.
Điều 30. Lập lịch huy động ngày tới
Đơn vị vận hành hệ thống điện và thị trường điện có trách nhiệm lập lịch huy động ngày tới. Lịch huy động ngày tới bao gồm:
1. Lịch huy động không ràng buộc, bao gồm:
a) Giá điện năng thị trường dự kiến trong từng chu kỳ giao dịch của ngày tới;
b) Thứ tự huy động các tổ máy phát điện trong từng chu kỳ giao dịch của ngày tới.
2. Lịch huy động ràng buộc, bao gồm:
a) Biểu đồ dự kiến huy động từng tổ máy trong từng chu kỳ giao dịch của ngày tới, giá biên từng miền trong từng chu kỳ giao dịch ngày tới;
b) Lịch ngừng, khởi động và trạng thái nối lưới dự kiến của từng tổ máy trong ngày tới;
c) Phương thức vận hành, sơ đồ kết dây dự kiến của hệ thống điện trong từng chu kỳ giao dịch của ngày tới;
d) Thông tin cảnh báo (nếu có);
đ) Lượng công suất cho dịch vụ dự phòng điều chỉnh tần số của tổ máy phát điện.
3. Lập lịch huy động ngày tới trong trường hợp thừa công suất
Đơn vị vận hành hệ thống điện và thị trường điện có trách nhiệm tính toán giảm công suất dần về công suất phát ổn định thấp nhất hoặc ngừng và thay đổi thời gian khởi động lại các tổ máy trong trường hợp thừa công suất theo nguyên tắc sau:
a) Giảm công suất phát của các tổ máy phát điện có chi phí biến đổi theo thứ tự từ cao đến thấp;
b) Ngừng các tổ máy khởi động chậm có chi phí biến đổi theo thứ tự từ cao đến thấp; trường hợp các tổ máy khởi động chậm có cùng chi phí biến đổi, ngừng tổ máy theo thứ tự chi phí khởi động từ thấp đến cao;
c) Khi khởi động lại theo thứ tự các tổ máy khởi động chậm có chi phí biến đổi theo thứ tự từ thấp đến cao;
d) Tính toán thời gian ngừng các tổ máy để đáp ứng yêu cầu của hệ thống, hạn chế việc vận hành lên, xuống các tổ máy nhiều lần; đảm bảo khai thác tối ưu hồ chứa thủy điện.
Đơn vị vận hành hệ thống điện và thị trường điện có trách nhiệm lập và công bố danh sách tổ máy theo thứ tự huy động để giảm công suất và ngừng máy trong trường hợp thừa nguồn theo nguyên tắc quy định tại Khoản này.
4. Đơn vị vận hành hệ thống điện và thị trường điện có trách nhiệm xác định công suất cho dịch vụ dự phòng điều chỉnh tần số của các tổ máy phát điện theo các bước tại Điều 14 Quy trình này cho từng chu kỳ giao dịch của ngày tới.
Điều 31. Xác định tình trạng thiếu khí trong lập lịch huy động ngày tới
1. Xác định tổng lượng khí cấp ngày tới cho sản xuất điện của cụm khí (
- triệu m3) theo thông báo của PVGas.
2. Xác định tổng lượng khí tiêu thụ của các nhà máy điện tuabin gián tiếp tham gia thị trường điện trong cụm khí (
- triệu m3).
3. Xác định tổng lượng khí tiêu thụ của các nhà máy điện tuabin trực tiếp tham gia thị trường điện ứng với sản lượng điện hợp đồng của từng nhà máy (
- triệu m3).
4. Xác định tổng lượng khí tiêu thụ của các nhà máy điện tuabin trực tiếp tham gia thị trường điện ứng với sản lượng dự kiến của các nhà máy theo kết quả lập lịch huy động ngày tới không sử dụng ràng buộc giới hạn tổng công suất các nhà máy tuabin khí thuộc cụm khí (
- triệu m3).
a) 
b) 
6. Số liệu phục vụ tính toán quy đổi sản lượng điện và sản lượng khí của các tổ máy tuabin khí để xác định tổng lượng khí quy định tại Khoản 2 Khoản 3 và Khoản 4 Điều này do Đơn vị vận hành hệ thống điện và thị trường điện cập nhật theo số liệu trung bình thực tế của tháng liền trước.
Điều 32. Tính toán kế hoạch vận hành lưới điện truyền tải ngày tới
Trước 15h00 hàng ngày, Đơn vị vận hành hệ thống điện và thị trường điện có trách nhiệm tính toán kế hoạch vận hành lưới điện truyền tải ngày tới theo trình tự sau:
1. Tính toán cân bằng công suất hệ thống điện quốc gia tại các thời điểm cao điểm và thấp điểm trong ngày tương ứng với kết quả dự báo nhu cầu phụ tải điện tại các thời điểm đó.
2. Xây dựng cơ sở dữ liệu cho tính toán các chế độ vận hành lưới điện tại thời điểm cao điểm và thấp điểm trong ngày căn cứ kết quả dự báo phụ tải, cân bằng công suất và cấu hình lưới điện của hệ thống điện.
3. Tính toán chế độ vận hành bình thường của lưới điện tại các thời điểm cao điểm và thấp điểm trong ngày; cảnh báo các phần tử của lưới điện (đường dây hoặc máy biến áp) mang tải cao theo quy định tại Quy định hệ thống điện truyền tải do Bộ Công Thương ban hành; đánh giá khả năng đáp ứng nhu cầu phụ tải điện của lưới điện quốc gia, vùng, miền.
4. Tính toán chế độ vận hành lưới điện khi sự cố một phần tử bất kỳ nguy hiểm trong hệ thống điện (chế độ N-1) tại các thời điểm cao điểm và thấp điểm trong ngày. Cảnh báo các phần tử của lưới điện (đường dây hoặc máy biến áp) có khả năng xảy ra sự cố nguy hiểm.
5. Tính toán các chế độ vận hành đặc biệt khác (nếu cần).
6. Đề xuất các giải pháp để đảm bảo vận hành lưới điện an toàn, tin cậy.
Điều 33. Công bố lịch huy động ngày tới
Trước 16h00 hàng ngày, Đơn vị vận hành hệ thống điện và thị trường điện có trách nhiệm công bố các thông tin trong lịch huy động ngày tới, cụ thể như sau:
1. Công suất huy động dự kiến bao gồm cả công suất huy động cho dịch vụ dự phòng điều chỉnh tần số của các tổ máy trong từng chu kỳ giao dịch của ngày tới. Giá biên từng miền trong từng chu kỳ giao dịch ngày tới.
2. Giá điện năng thị trường dự kiến cho từng chu kỳ giao dịch của ngày tới.
3. Danh sách các tổ máy dự kiến phải phát tăng hoặc phát giảm công suất trong từng chu kỳ giao dịch của ngày tới (nếu có).
4. Thông tin về cảnh báo thiếu công suất trong ngày tới (nếu có), bao gồm:
a) Chu kỳ giao dịch dự kiến thiếu công suất;
b) Lượng công suất thiếu;
c) Các ràng buộc an ninh hệ thống bị vi phạm.
5. Thông tin về cảnh báo thừa công suất (nếu có) trong ngày tới, bao gồm:
a) Chu kỳ giao dịch dự kiến thừa công suất;
b) Tổ máy dự kiến sẽ dừng phát điện.
6. Thông tin về việc cung cấp dịch vụ dự phòng điều chỉnh tần số
a) Nhu cầu công suất cho dịch vụ dự phòng điều chỉnh tần số của hệ thống điện;
b) Danh sách các tổ máy cung cấp dịch vụ dự phòng điều chỉnh tần số;
c) Công suất cho dịch vụ dự phòng điều chỉnh tần số của tổ máy phát điện trong danh sách quy định tại Điểm b Khoản này;
d) Thông tin cảnh báo tình trạng thiếu công suất cho dịch vụ dự phòng điều chỉnh tần số (nếu có).
7. Thông tin dự kiến về tình trạng thiếu nguồn nhiên liệu khí ngày tới được xác định theo nguyên tắc quy định tại Điều 31 Quy trình này.
8. Thông tin dự kiến về tình trạng thiếu nguồn nhiên liệu than ngày tới của nhà máy nhiệt điện căn cứ theo bản chào giá ngày tới của đơn vị phát điện. Trong đó, tình trạng thiếu nguồn nhiên liệu than cung cấp cho nhà máy điện than được xác định khi nhà máy công bố tình trạng thiếu than trong bản chào ngày tới và sản lượng điện năng tương ứng với mức công suất công bố trong bản chào ngày tới của nhà máy điện thấp hơn sản lượng hợp đồng của nhà máy.
9. Đường giới hạn công suất dự kiến từng chu kỳ giao dịch ngày D của cụm các nhà máy điện tuabin khí bị giới hạn sản lượng bởi khí.
Điều 34. Hoà lưới tổ máy phát điện
1. Đối với tổ máy khởi động chậm, Đơn vị phát điện có trách nhiệm chuẩn bị sẵn sàng để hoà lưới tổ máy này theo lịch huy động ngày tới do Đơn vị vận hành hệ thống điện và thị trường điện công bố. Trường hợp thời gian khởi động của tổ máy lớn hơn 24 giờ, Đơn vị phát điện có trách nhiệm hoà lưới tổ máy này căn cứ trên kết quả đánh giá an ninh hệ thống ngắn hạn do Đơn vị vận hành hệ thống điện và thị trường điện công bố.
2. Đối với tổ máy không phải là khởi động chậm, Đơn vị phát điện có trách nhiệm chuẩn bị sẵn sàng để hoà lưới tổ máy này theo lịch huy động chu kỳ giao dịch tới do Đơn vị vận hành hệ thống điện và thị trường điện công bố.
3. Trong quá trình hòa lưới của các tổ máy nhiệt điện, Đơn vị phát điện có trách nhiệm cập nhật công suất từng chu kỳ giao dịch vào bản chào tổ máy và gửi cho Đơn vị vận hành hệ thống điện và thị trường điện 30 phút trước chu kỳ giao dịch để phục vụ vận hành và tính toán thanh toán.
Điều 35. Xử lý trong trường hợp có cảnh báo thiếu công suất
1. Đơn vị vận hành hệ thống điện và thị trường điện được sửa đổi công suất công bố của các nhà máy thủy điện chiến lược đa mục tiêu theo quy định tại Khoản 2 Điều 41 Quy trình này.
2. Đơn vị vận hành hệ thống điện và thị trường điện có trách nhiệm sử dụng bản chào tăng công suất làm bản chào giá lập lịch để lập lịch huy động chu kỳ giao dịch tới và tính giá thị trường điện.
Điều 36. Xử lý trong trường hợp có cảnh báo thiếu công suất cho dịch vụ dự phòng điều chỉnh tần số
1. Đơn vị vận hành hệ thống điện và thị trường điện có trách nhiệm lập lịch huy động đảm bảo yêu cầu dịch vụ dự phòng điều chỉnh tần số trừ trường hợp thiếu công suất cho dịch vụ dự phòng điều chỉnh tần số.
2. Đơn vị vận hành hệ thống điện và thị trường điện được sử dụng bản chào tăng công suất làm bản chào giá lập lịch để lập lịch huy động ngày tới.
3. Đơn vị vận hành hệ thống điện và thị trường điện được thay đổi công suất công bố của các nguồn tham gia gián tiếp thị trường điện theo quy định tại Điều 19 Quy trình này để đảm bảo yêu cầu dự phòng điều chỉnh tần số.
Mục 3. LẬP LỊCH HUY ĐỘNG THỊ TRƯỜNG ĐIỆN CHU KỲ GIAO DỊCH TỚI
Điều 37. Số liệu sử dụng cho lập lịch huy động chu kỳ giao dịch tới
Đơn vị vận hành hệ thống điện và thị trường điện có trách nhiệm sử dụng các số liệu để lập lịch huy động chu kỳ giao dịch tới sau đây:
1. Biểu đồ phụ tải của toàn hệ thống và từng miền Bắc, Trung, Nam dự báo cho chu kỳ giao dịch tới và 03 giờ tiếp theo.
2. Kế hoạch hòa lưới của các tổ máy khởi động chậm theo lịch huy động ngày tới đã được công bố.
3. Bản chào giá lập lịch của đơn vị chào giá có cập nhật các bản chào chu kỳ giao dịch tới (có cập nhật các bản chào chu kỳ tới của các tổ máy khởi động chậm trong quá trình hoà lưới, bản chào chu kỳ giao dịch tới của các tổ máy trong quá trình ngừng tổ máy do sự cố hoặc giảm công suất do sự cố kỹ thuật bất khả kháng, bản chào chu kỳ giao dịch tới của các tổ máy công bố tăng công suất trong trường hợp hệ thống điện thiếu nguồn). Các đơn vị được phép cập nhật bản chào chu kỳ giao dịch tới tối thiểu 30 phút trước chu kỳ giao dịch.
4. Công suất công bố theo lịch huy động ngày tới của các nhà máy điện gián tiếp tham gia thị trường điện do Đơn vị vận hành hệ thống điện và thị trường điện công bố theo quy định tại Điều 29 Quy trình này.
5. Đối với các nhà máy sử dụng năng lượng tái tạo, các nhà máy vận hành theo cơ chế chi phí tránh được thì công suất được cập nhật theo công suất công bố chu kỳ giao dịch tới của đơn vị.
6. Nhu cầu công suất dịch vụ dự phòng điều chỉnh tần số của hệ thống điện và khả năng cung cấp dịch vụ dự phòng điều chỉnh tần số của các tổ máy phát điện cung cấp dịch vụ này.
7. Công suất dự phòng khởi động nhanh và vận hành phải phát để đảm bảo an ninh hệ thống điện cho chu kỳ giao dịch tới.
8. Danh sách cập nhật các tổ máy cung cấp dịch vụ dự phòng điều chỉnh tần số.
9. Độ sẵn sàng của lưới điện truyền tải và các tổ máy phát điện từ hệ thống SCADA hoặc do Đơn vị truyền tải điện và các Đơn vị phát điện cung cấp.
10. Các ràng buộc khác về an ninh hệ thống.
11. Lịch thí nghiệm tổ máy phát điện.
12. Sản lượng điện nhập khẩu.
Điều 38. Điều chỉnh sản lượng công bố của Nhà máy thủy điện chiến lược đa mục tiêu
Trước khi lập lịch huy động chu kỳ giao dịch tới, Đơn vị vận hành hệ thống điện và thị trường điện được phép điều chỉnh sản lượng chu kỳ giao dịch của nhà máy thủy điện chiến lược đa mục tiêu và các nhà máy điện tự điều khiển phát công suất tác dụng theo quy định tại Quy trình điều độ hệ thống điện quốc gia do Bộ Công Thương ban hành cho chu kỳ giao dịch tới đã được công bố trong theo quy định tại Khoản 2 Điều 33 Quy trình này.
1. Sản lượng của nhà máy thủy điện chiến lược đa mục tiêu cho chu kỳ giao dịch tới được điều chỉnh trong các trường hợp sau:
a) Có biến động bất thường về thuỷ văn;
b) Có cảnh báo thiếu công suất theo lịch huy động ngày tới;
c) Có văn bản của cơ quan quản lý nhà nước có thẩm quyền về điều tiết hồ chứa của nhà máy thủy điện chiến lược đa mục tiêu phục vụ mục đích chống lũ, tưới tiêu.
2. Phạm vi điều chỉnh sản lượng chu kỳ giao dịch của nhà máy thủy điện chiến lược đa mục tiêu trong các trường hợp quy định tại Điểm a và Điểm b Khoản 1 Điều này là ±5% của tổng công suất đặt của các nhà máy thuỷ điện chiến lược đa mục tiêu trong hệ thống điện không bao gồm phần công suất dành cho dịch vụ dự phòng điều chỉnh tần số.
3. Đối với các nhà máy điện tự điều khiển phát công suất tác dụng theo quy định tại Quy trình điều độ hệ thống điện quốc gia do Bộ Công Thương ban hành: Sản lượng công bố được điều chỉnh phù hợp với điều kiện vận hành thực tế của nhà máy điện và hệ thống điện.
Điều 39. Điều chỉnh giới hạn công suất chạy khí của nhà máy điện hoặc cụm nhà máy điện bị giới hạn sản lượng do khí
1. Đơn vị vận hành hệ thống điện và thị trường điện có trách nhiệm điều chỉnh giới hạn công suất chạy khí nhà máy điện hoặc cụm nhà máy điện bị giới hạn sản lượng do khí (nếu có).
2. Điều chỉnh giới hạn công suất các tổ máy thuộc nhà máy điện hoặc cụm nhà máy điện bị giới hạn sản lượng do khí thực hiện theo quy định tại Điều 40 Quy trình này.
Điều 40. Giới hạn khí trong tính toán lập lịch huy động chu kỳ giao dịch tới
1. Đường giới hạn công suất từng chu kỳ giao dịch ngày D của cụm nhà máy điện sử dụng chung nguồn khí được sử dụng để tính toán lập lịch huy động chu kỳ giao dịch tới trong các chu kỳ tương ứng.
2. Trường hợp có yêu cầu thay đổi lưu lượng cấp khí từ PV Gas, Đơn vị vận hành hệ thống điện và thị trường điện được phép thay đổi đường giới hạn công suất cho các chu kỳ giao dịch tiếp theo trên nguyên tắc hạn chế tối đa việc thay đổi tổng lượng khí ngày, các sai lệch nếu có sẽ được điều chỉnh vào ngày D+1 nhưng không vượt quá khả năng cấp khí ngày D+1.
3. Trường hợp có yêu cầu huy động thêm hoặc bớt các tổ máy tuabin khí so với phương thức huy động ngày tới để đáp ứng nhu cầu hệ thống hoặc khi có tổ máy tuabin khí bị sự cố, Đơn vị vận hành hệ thống điện và thị trường điện được phép thay đổi đường giới hạn công suất cho các chu kỳ giao dịch tiếp theo trên nguyên tắc hạn chế tối đa việc thay đổi tổng lượng khí ngày, các sai lệch nếu có sẽ được điều chỉnh vào ngày D+1.
4. Trình tự thực hiện khi có yêu cầu thay đổi lưu lượng cấp khí từ PV Gas như sau:
a) Đơn vị vận hành hệ thống điện và thị trường điện thông báo với PV Gas về dự kiến nhu cầu tiêu thụ khí trong các chu kỳ giao dịch tiếp theo, hai bên phối hợp để đưa ra lưu lượng thay đổi trong chu kỳ giao dịch tới và các chu kỳ tiếp theo phù hợp với đặc điểm hệ thống điện quốc gia và khả năng cung cấp khí của hệ thống khí;
b) Từ lưu lượng cấp khí thay đổi và suất hao nhiệt trung bình của cụm các nhà máy điện sử dụng khí, Đơn vị vận hành hệ thống điện và thị trường điện tính toán được lượng công suất thay đổi tương đương;
c) Căn cứ theo giới hạn công suất từng chu kỳ giao dịch ngày D và lượng công suất thay đổi tương đương, Đơn vị vận hành hệ thống điện và thị trường điện tính toán giới hạn công suất cập nhật cho chu kỳ giao dịch tới và 03 giờ tiếp theo;
d) Giá trị giới hạn công suất cập nhật này được sử dụng như một ràng buộc trong phần mềm lập lịch huy động để tính toán lập lịch huy động chu kỳ giao dịch tới.
Điều 41. Lập lịch huy động chu kỳ giao dịch tới
1. Đơn vị vận hành hệ thống điện và thị trường điện có trách nhiệm lập lịch huy động chu kỳ giao dịch tới cho các tổ máy phát điện theo phương pháp lập lịch có ràng buộc và phương pháp lập lịch không ràng buộc.
2. Lập lịch huy động chu kỳ giao dịch tới trong trường hợp thiếu công suất
a) Đơn vị vận hành hệ thống điện và thị trường điện lập lịch huy động các tổ máy theo thứ tự sau:
- Theo bản chào giá lập lịch;
- Các nhà máy thủy điện chiến lược đa mục tiêu theo công suất điều chỉnh;
- Các tổ máy cung cấp dịch vụ dự phòng khởi động nhanh theo lịch huy động ngày tới;
- Các tổ máy cung cấp dịch vụ vận hành phải phát để đảm bảo an ninh hệ thống điện; giảm công suất dự phòng điều chỉnh tần số xuống mức thấp nhất cho phép.
b) Đơn vị vận hành hệ thống điện và thị trường điện kiểm tra, xác định lượng công suất dự kiến cần sa thải để đảm bảo an ninh hệ thống điện.
3. Lập lịch huy động chu kỳ giao dịch tới trong trường hợp thừa công suất
Đơn vị vận hành hệ thống điện và thị trường điện có trách nhiệm điều chỉnh lịch huy động chu kỳ giao dịch tới thông qua các biện pháp theo thứ tự sau:
a) Dừng các tổ máy tự nguyện ngừng phát điện;
b) Giảm tối thiểu công suất phát của tổ máy cung cấp dịch vụ dự phòng điều chỉnh tần số;
c) Giảm dần công suất phát của các tổ máy theo thứ tự huy động tại danh sách tổ máy đã được lập theo quy định tại Điều 30 Quy trình này;
d) Dừng các tổ máy khởi động chậm theo thứ tự huy động tại danh sách tổ máy đã được lập theo quy định tại Điều 30 Quy trình này.
4. Đơn vị vận hành hệ thống điện và thị trường điện có trách nhiệm lập lịch huy động cho chu kỳ giao dịch tới đảm bảo ràng buộc về nhu cầu dịch vụ dự phòng điều chỉnh tần số.
5. Đơn vị vận hành hệ thống điện và thị trường điện có trách nhiệm xác định công suất cho dịch vụ dự phòng điều chỉnh tần số của các tổ máy phát điện theo nguyên tắc tại Điều 14 Quy trình này cho chu kỳ giao dịch tới.
6. Lập lịch huy động chu kỳ giao dịch tới trong trường hợp thiếu công suất dịch vụ dự phòng điều chỉnh tần số
a) Đơn vị vận hành hệ thống điện và thị trường điện có trách nhiệm lập lịch huy động đảm bảo yêu cầu dịch vụ dự phòng điều chỉnh tần số trừ trường hợp thiếu công suất;
b) Đơn vị vận hành hệ thống điện và thị trường điện được sử dụng bản chào tăng công suất làm bản chào giá lập lịch để lập lịch huy động chu kỳ giao dịch tới;
c) Đơn vị vận hành hệ thống điện và thị trường điện được thay đổi công suất công bố theo quy định tại Điều 31 Quy trình này cho các tổ máy tham gia gián tiếp thị trường điện để đảm bảo yêu cầu dự phòng điều chỉnh tần số.
Điều 42. Công bố thông tin điều chỉnh giới hạn khí chu kỳ giao dịch tới
Trong tính toán chu kỳ giao dịch tới, khi có điều chỉnh mức giới hạn khí chu kỳ giao dịch so với phương án giới hạn khí ngày đã công bố từ ngày D-1, Đơn vị vận hành hệ thống điện và thị trường điện công bố lại đường giới hạn công suất từng chu kỳ giao dịch được sử dụng trong tính toán lập lịch huy động chu kỳ giao dịch tới lên Trang thông tin điện tử thị trường điện theo quy định tại Quy trình quản lý vận hành hệ thống công nghệ thông tin điều hành thị trường điện và công bố thông tin thị trường điện do Cục Điều tiết điện lực ban hành.
Điều 43. Công bố lịch huy động chu kỳ giao dịch tới
Đơn vị vận hành hệ thống điện và thị trường điện có trách nhiệm công bố lịch huy động chu kỳ giao dịch tới 10 phút trước chu kỳ giao dịch, bao gồm các nội dung sau:
1. Phụ tải dự báo chu kỳ giao dịch tới của toàn hệ thống điện quốc gia và các miền Bắc, Trung, Nam.
2. Lịch huy động các tổ máy phát điện, giá biên các miền Bắc, Trung, Nam trong chu kỳ giao dịch tới và 03 giờ tiếp theo được lập theo quy định tại Điều 41 Quy trình này.
3. Giá thị trường dự kiến từng chu kỳ của ngày tới áp dụng cho các đơn vị phát điện và đơn vị mua buôn điện.
4. Các biện pháp xử lý của Đơn vị vận hành hệ thống điện và thị trường điện trong trường hợp thiếu hoặc thừa công suất.
5. Các thông tin về việc điều chỉnh công suất công bố của nhà máy thủy điện chiến lược đa mục tiêu theo quy định tại Điều 38 Quy trình này.
6. Lịch sa thải phụ tải dự kiến (nếu có).
7. Thông tin về cung cấp dự phòng điều chỉnh tần số:
a) Nhu cầu công suất cho dịch vụ dự phòng điều chỉnh tần số của hệ thống điện;
b) Danh sách các tổ máy phát điện được lựa chọn để cung cấp dịch vụ dự phòng điều chỉnh tần số;
c) Công suất cho dịch vụ dự phòng điều chỉnh tần số của các tổ máy phát điện trong danh sách quy định tại Điểm b Khoản này.
Mục 4. VẬN HÀNH THỜI GIAN THỰC
Điều 44. Điều độ hệ thống điện thời gian thực
1. Đơn vị vận hành hệ thống điện và thị trường điện có trách nhiệm vận hành hệ thống điện trong thời gian thực căn cứ lịch huy động chu kỳ giao dịch tới đã được công bố và tuân thủ quy định về vận hành hệ thống điện thời gian thực theo quy định tại Quy định hệ thống điện truyền tải do Bộ Công Thương ban hành. Trong trường hợp cần thiết, Đơn vị vận hành hệ thống điện và thị trường điện được can thiệp để đảm bảo yêu cầu dịch vụ dự phòng điều chỉnh tần số của hệ thống điện (trừ trường hợp bất khả kháng).
2. Đơn vị phát điện có trách nhiệm tuân thủ lệnh điều độ của Đơn vị vận hành hệ thống điện và thị trường điện.
3. Đơn vị phát điện sở hữu nhà máy thuỷ điện có trách nhiệm tuân thủ theo quy định về mức nước giới hạn tuần của nhà máy thủy điện do Đơn vị vận hành hệ thống điện và thị trường điện tính toán, công bố.
Điều 45. Giới hạn khí trong vận hành thời gian thực
1. Trong vận hành thời gian thực, khi có yêu cầu giảm khí để đảm bảo an toàn hệ thống cấp khí từ PV Gas, Đơn vị vận hành hệ thống điện và thị trường điện căn cứ theo lưu lượng cần giảm và suất tiêu hao nhiệt trung bình của cụm các nhà máy sử dụng khí để tính toán lượng công suất suy giảm tương đương, từ đó giảm công suất các tổ máy tuabin khí theo thứ tự huy động căn cứ vào bản chào giá của các tổ máy trong thị trường và theo các quy định vận hành thị trường bán buôn điện cạnh tranh.
2. Trong tính toán chu kỳ giao dịch tới tại các chu kỳ tiếp theo, Đơn vị vận hành hệ thống điện và thị trường điện có trách nhiệm cập nhật yêu cầu giảm khí từ PV Gas để tính toán giới hạn công suất cập nhật tương tự tại Điều 40 Quy trình này.
Điều 46. Can thiệp thị trường điện
1. Đơn vị vận hành hệ thống điện và thị trường điện được can thiệp vào thị trường điện trong các trường hợp sau:
a) Hệ thống đang vận hành trong chế độ khẩn cấp theo quy định tại Quy định hệ thống điện truyền tải do Bộ Công Thương ban hành;
b) Không thể đưa ra lịch huy động chu kỳ giao dịch tới 10 phút trước thời điểm bắt đầu chu kỳ giao dịch.
2. Trong trường hợp can thiệp vào thị trường điện, Đơn vị vận hành hệ thống điện và thị trường điện có trách nhiệm huy động các tổ máy để đảm bảo các mục tiêu theo thứ tự ưu tiên sau:
a) Đảm bảo cân bằng được công suất phát và phụ tải;
b) Đáp ứng được yêu cầu về dự phòng điều chỉnh tần số;
c) Đáp ứng được yêu cầu về chất lượng điện áp.
3. Công bố thông tin về can thiệp vào thị trường điện
a) Khi can thiệp vào thị trường điện, Đơn vị vận hành hệ thống điện và thị trường điện phải công bố các nội dung sau:
- Các lý do phải can thiệp thị trường điện;
- Các chu kỳ giao dịch dự kiến can thiệp vào thị trường điện.
b) Trong thời hạn 24 giờ từ khi kết thúc can thiệp vào thị trường điện, Đơn vị vận hành hệ thống điện và thị trường điện có trách nhiệm công bố các nội dung sau:
- Các lý do phải can thiệp vào thị trường điện;
- Các chu kỳ giao dịch can thiệp vào thị trường điện;
- Các biện pháp do Đơn vị vận hành hệ thống điện và thị trường điện áp dụng để can thiệp vào thị trường điện.
Điều 47. Dừng thị trường điện
1. Thị trường điện dừng vận hành khi xảy ra một trong các trường hợp sau:
a) Do các tình huống khẩn cấp về thiên tai hoặc bảo vệ an ninh quốc phòng;
b) Do Đơn vị vận hành hệ thống điện và thị trường điện đề nghị dừng thị trường điện theo một trong các trường hợp sau:
- Hệ thống điện vận hành trong chế độ cực kỳ khẩn cấp được quy định tại Quy định hệ thống điện truyền tải do Bộ Công Thương ban hành;
- Không đảm bảo việc vận hành thị trường điện an toàn, liên tục.
c) Các trường hợp khác theo yêu cầu của cơ quan có thẩm quyền.
2. Cục Điều tiết điện lực có trách nhiệm xem xét, quyết định dừng thị trường điện trong các trường hợp quy định tại Điểm a và Điểm b Khoản 1 Điều này và thông báo cho Đơn vị vận hành hệ thống điện và thị trường điện.
3. Đơn vị vận hành hệ thống điện và thị trường điện có trách nhiệm thông báo cho các thành viên tham gia thị trường điện về quyết định dừng thị trường điện của Cục Điều tiết điện lực và của cơ quan có thẩm quyền.
4. Vận hành hệ thống điện trong thời gian dừng thị trường điện
a) Đơn vị vận hành hệ thống điện và thị trường điện có trách nhiệm điều độ, vận hành hệ thống điện theo các nguyên tắc sau:
- Đảm bảo hệ thống vận hành an toàn, ổn định, tin cậy với chi phí mua điện cho toàn hệ thống thấp nhất;
- Đảm bảo thực hiện các thoả thuận về sản lượng trong các hợp đồng xuất khẩu, nhập khẩu điện, hợp đồng mua bán điện của các nhà máy điện BOT và các hợp đồng mua bán điện có cam kết sản lượng của các nhà máy điện khác;
- Đảm bảo thực hiện các yêu cầu về cấp nước hạ du đối với các nhà máy thủy điện;
b) Đơn vị phát điện, Đơn vị truyền tải điện và các đơn vị có liên quan khác có trách nhiệm tuân thủ lệnh điều độ của Đơn vị vận hành hệ thống điện và thị trường điện.
Điều 48. Khôi phục thị trường điện
1. Thị trường điện được khôi phục vận hành khi đảm bảo các điều kiện sau:
a) Các nguyên nhân dẫn đến việc dừng thị trường điện đã được khắc phục;
b) Đơn vị vận hành hệ thống điện và thị trường điện xác nhận về khả năng vận hành lại thị trường điện.
2. Cục Điều tiết điện lực có trách nhiệm xem xét, quyết định khôi phục thị trường điện và thông báo cho Đơn vị vận hành hệ thống điện và thị trường điện.
3. Đơn vị vận hành hệ thống điện và thị trường điện có trách nhiệm thông báo cho các thành viên tham gia thị trường điện về quyết định khôi phục thị trường điện của Cục Điều tiết điện lực./.
Phụ lục 1
TRÌNH TỰ KẾ HOẠCH VẬN HÀNH THỊ TRƯỜNG ĐIỆN
(Ban hành kèm theo Quy trình Lập lịch huy động và vận hành thời gian thực)


Phụ lục 2
THỜI GIAN BIỂU LẬP LỊCH HUY ĐỘNG
(Ban hành kèm theo Quy trình Lập lịch huy động và vận hành thời gian thực)
|
Thời hạn |
Hoạt động |
Đơn vị thực hiện |
Đơn vị phối hợp |
Thời gian áp dụng |
Chu kỳ |
Nội dung, kết quả |
|
|---|---|---|---|---|---|---|---|
|
Ngày |
Giờ |
||||||
|
Ngày D - 1 |
10h00 |
Cung cấp thông tin về sản lượng điện năng xuất, nhập khẩu |
SMO |
SMO |
Ngày D |
Hàng ngày |
Sản lượng điện năng xuất nhập khẩu dự kiến trong từng chu kỳ giao dịch của ngày D. |
|
Ngày D-1 |
10h00 |
Công bố các thông tin phục vụ vận hành thị trường điện ngày tới |
SMO |
NMĐ, TNO |
Ngày D |
Hàng ngày |
Công bố các thông tin sau: - Dự báo phụ tải ngày D; - Sản lượng dự kiến từng chu kỳ giao dịch của các nhà máy SMHP; - Sản lượng khí hàng ngày D của các nhà máy tuabin khí; - Điện năng xuất nhập khẩu ngày D; - Kết quả đánh giá an ninh hệ thống ngắn hạn cho ngày D. |
|
11h30 |
Nộp bản chào giá |
NMĐ |
SMO |
Ngày D |
Hàng ngày |
Bản chào giá cho từng tổ máy của NMĐ cho ngày D. |
|
|
16h00 |
Công bố lịch huy động ngày D |
SMO |
NMĐ, TNO |
Ngày D |
Hàng ngày |
Công bố các thông tin trong lịch huy động cho từng chu kỳ giao dịch của ngày D. |
|
|
Ngày D |
Liên tục |
Công bố các thay đổi về công suất khả dụng của tổ máy và độ sẵn sàng của lưới truyền tải |
NMĐ, TNO |
SMO |
Ngày D |
Liên tục |
TNO cung cấp thông tin về các thay đổi độ sẵn sàng của lưới truyền tải. |
|
30 phút trước chu kỳ giao dịch |
Công bố các thay đổi về công suất khả dụng của tổ máy |
NMĐ |
SMO |
Chu kỳ giao dịch |
Hàng chu kỳ giao dịch |
NMĐ cung cấp thông tin về các thay đổi công suất khả dụng của các tổ máy. |
|
|
10 phút trước chu kỳ vận hành |
Công bố lịch huy động chu kỳ giao dịch tới |
SMO |
NMĐ, TNO |
Chu kỳ giao dịch |
Hàng chu kỳ giao dịch |
Công bố các thông tin trong lịch huy động cho chu kỳ giao dịch vận hành tới. |
|
Chú thích:
NMĐ: Nhà máy điện;
SMO: Đơn vị vận hành hệ thống điện và thị trường điện;
PCs: Đơn vị mua buôn điện;
TNO: Đơn vị truyền tải điện;
phụ lục 3
CÁC MỐC THỜI GIAN VẬN HÀNH THỊ TRƯỜNG ĐIỆN CHU KỲ GIAO DỊCH TỚI
(Ban hành kèm theo Quy trình Lập lịch huy động và vận hành thời gian thực)

Δt: chu kỳ giao dịch
Phụ lục 4
BIỂU MẪU CUNG CẤP THÔNG TIN
(Ban hành kèm theo Quy trình Lập lịch huy động và vận hành thời gian thực)
|
Giờ |
Sản lượng giờ tối đa (kscm/h) |
Ghi chú |
|||
|
1 |
|
|
|||
|
2 |
|
|
|||
|
3 |
|
|
|||
|
4 |
|
|
|||
|
5 |
|
|
|||
|
6 |
|
|
|||
|
7 |
|
|
|||
|
8 |
|
|
|||
|
9 |
|
|
|||
|
10 |
|
|
|||
|
11 |
|
|
|||
|
12 |
|
|
|||
|
13 |
|
|
|||
|
14 |
|
|
|||
|
15 |
|
|
|||
|
16 |
|
|
|||
|
17 |
|
|
|||
|
18 |
|
|
|||
|
19 |
|
|
|||
|
20 |
|
|
|||
|
21 |
|
|
|||
|
22 |
|
|
|||
|
23 |
|
|
|||
|
24 |
|
|
|||
|
Tổng lượng khí ngày tối đa |
|
|
|||
|
Chuyển Fax |
Ngày/Giờ |
Họ và tên |
Chức vụ |
Chữ ký |
|
|
Nơi gửi |
PV GAS |
|
|
|
|
|
Nơi nhận |
EVN/A0 |
|
|
|
|
Phụ lục 5
MẪU BẢN CHÀO
(Ban hành kèm theo Quy trình Lập lịch huy động và vận hành thời gian thực)
|
Chu kỳ giao dịch |
Ngày |
Tháng |
Năm |
(Tên NMĐ) |
(Tên tổ máy điện) |
(Nhiên liệu) |
Ngày |
Tháng |
Năm |
(Tên NMĐ) |
(Tên tổ máy điện) |
(Nhiên liệu) |
||||||
|
|
|
|
Giá chào (Đồng/kWh) |
|
|
|
Giá chào (Đồng/kWh) |
|||||||||||
|
Khoảng công suất chào, MW |
Mức giá 1 |
Mức giá 2 |
Mức giá 3 |
Mức giá 4 |
Mức giá 5 |
Khoảng công suất chào, MW |
Mức giá 1 |
Mức giá 2 |
Mức giá 3 |
Mức giá 4 |
Mức giá 5 |
|||||||
|
Pmin |
Công suất công bố |
Ngưỡng công suất tương ứng |
Pmin |
Công suất công bố |
Ngưỡng công suất tương ứng |
|||||||||||||
|
1 |
|
|
|
|
|
|
|
|
|
|
|
|
|
|
||||
|
2 |
|
|
|
|
|
|
|
|
|
|
|
|
|
|
||||
|
3 |
|
|
|
|
|
|
|
|
|
|
|
|
|
|
||||
|
|
|
|
|
|
|
|
|
|
|
|
|
|
|
|
||||
|
.. |
|
|
|
|
|
|
|
|
|
|
|
|
|
|
||||
|
.. |
|
|
|
|
|
|
|
|
|
|
|
|
|
|
||||
|
.. |
|
|
|
|
|
|
|
|
|
|
|
|
|
|
||||
|
.. |
|
|
|
|
|
|
|
|
|
|
|
|
|
|
||||
|
.. |
|
|
|
|
|
|
|
|
|
|
|
|
|
|
||||
|
.. |
|
|
|
|
|
|
|
|
|
|
|
|
|
|
||||
|
.. |
|
|
|
|
|
|
|
|
|
|
|
|
|
|
||||
|
.. |
|
|
|
|
|
|
|
|
|
|
|
|
|
|
||||
|
Tốc độ tăng công suất tối đa: |
Tốc độ tăng công suất tối đa: |
|||||||||||||||||
|
Tốc độ giảm công suất tối đa: |
Tốc độ giảm công suất tối đa: |
|||||||||||||||||
Bạn chưa Đăng nhập thành viên.
Đây là tiện ích dành cho tài khoản thành viên. Vui lòng Đăng nhập để xem chi tiết. Nếu chưa có tài khoản, vui lòng Đăng ký tại đây!
Bạn chưa Đăng nhập thành viên.
Đây là tiện ích dành cho tài khoản thành viên. Vui lòng Đăng nhập để xem chi tiết. Nếu chưa có tài khoản, vui lòng Đăng ký tại đây!