- Tổng quan
- Nội dung
- Tiêu chuẩn liên quan
- Lược đồ
- Tải về
Tiêu chuẩn TCVN 12005-8:2017 Đánh giá độ tách lớp, độ ăn mòn xung quanh vết khía lớp phủ sơn, vecni
| Số hiệu: | TCVN 12005-8:2017 | Loại văn bản: | Tiêu chuẩn Việt Nam |
| Cơ quan ban hành: | Bộ Khoa học và Công nghệ | Lĩnh vực: | Xây dựng , Công nghiệp |
|
Ngày ban hành:
Ngày ban hành là ngày, tháng, năm văn bản được thông qua hoặc ký ban hành.
|
2017 |
Hiệu lực:
|
Đã biết
|
| Người ký: | Đang cập nhật |
Tình trạng hiệu lực:
Cho biết trạng thái hiệu lực của văn bản đang tra cứu: Chưa áp dụng, Còn hiệu lực, Hết hiệu lực, Hết hiệu lực 1 phần; Đã sửa đổi, Đính chính hay Không còn phù hợp,...
|
Đã biết
|
TÓM TẮT TIÊU CHUẨN VIỆT NAM TCVN 12005-8:2017
Nội dung tóm tắt đang được cập nhật, Quý khách vui lòng quay lại sau!
Tải tiêu chuẩn Việt Nam TCVN 12005-8:2017
TIÊU CHUẨN QUỐC GIA
TCVN 12005-8:2017
ISO 4628-8:2012
SƠN VÀ VECNI - ĐÁNH GIÁ SỰ SUY BIẾN CỦA LỚP PHỦ - KÝ HIỆU SỐ LƯỢNG, KÍCH CỠ CỦA KHUYẾT TẬT VÀ MỨC BIẾN ĐỔI ĐỒNG NHẤT VỀ NGOẠI QUAN - PHẦN 8: ĐÁNH GIÁ ĐỘ TÁCH LỚP VÀ ĐỘ ĂN MÒN XUNG QUANH VẾT KHÍA HOẶC KHUYẾT TẬT NHÂN TẠO KHÁC
Paints and varnishes - Evaluation of degradation of coatings - Designation of quantity and size of defects, and of intensity of uniform changes in appearance - Part 8: Assessment of degree of delamination and corrosion around a scribe or other artificial defect
Lời nói đầu
TCVN 12005-8:2017 hoàn toàn tương đương ISO 4628-8:2012.
TCVN 12005-8:2017 do Ban kỹ thuật tiêu chuẩn quốc gia TCVN/TC35 Sơn và vecni biên soạn, Tổng cục Tiêu chuẩn Đo lường Chất lượng đề nghị, Bộ Khoa học và Công nghệ công bố.
Bộ TCVN 12005 (ISO 4628), Sơn và vecni - Đánh giá sự suy biến của lớp phủ - Ký hiệu số lượng, kích cỡ của khuyết tật và mức biến đổi đồng nhất về ngoại quan, bao gồm các tiêu chuẩn sau:
- TCVN 12005-1:2017 (ISO 4628-1:2016), Phần 1: Giới thiệu chung và hệ thống ký hiệu
- TCVN 12005-2:2017 (ISO 4628-2:2016), Phần 2: Đánh giá độ phồng rộp
- TCVN 12005-3:2017 (ISO 4628-3:2016), Phần 3: Đánh giá độ gỉ
- TCVN 12005-4:2017 (ISO 4628-4:2016), Phần 4: Đánh giá độ rạn nứt
- TCVN 12005-5:2017 (ISO 4628-5:2016), Phần 5: Đánh giá độ bong tróc
- TCVN 12005-6:2017 (ISO 4628-6:2011), Phần 6: Đánh giá độ phấn hóa bằng phương pháp băng dính
- TCVN 12005-7:2017 (ISO 4628-7:2016), Phần 7: Đánh giá độ phấn hóa bằng phương pháp vải nhung
- TCVN 12005-8:2017 (ISO 4628-8:2012), Phần 8: Đánh giá độ tách lớp và độ ăn mòn xung quanh vết khía hoặc khuyết tật nhân tạo khác
- TCVN 12005-10:2017 (ISO 4628-10:2016), Phần 10: Đánh giá độ ăn món dạng sợi
SƠN VÀ VECNI - ĐÁNH GIÁ SỰ SUY BIẾN CỦA LỚP PHỦ - KÝ HIỆU SỐ LƯỢNG, KÍCH CỠ CỦA KHUYẾT TẬT VÀ MỨC BIẾN ĐỔI ĐỒNG NHẤT VỀ NGOẠI QUAN - PHẦN 8: ĐÁNH GIÁ ĐỘ TÁCH LỚP VÀ ĐỘ ĂN MÒN XUNG QUANH VẾT KHÍA HOẶC KHUYẾT TẬT NHÂN TẠO KHÁC
Paints and varnishes - Evaluation of degradation of coatings - Designation of quantity and size of defects, and of intensity of uniform changes in appearance - Part 8: Assessment of degree of delamination and corrosion around a scribe or other artificial defect
1 Phạm vi áp dụng
Tiêu chuẩn này quy định phương pháp đánh giá độ tách lớp và độ ăn mòn xung quanh vết khía hoặc khuyết tật nhân tạo khác trên tấm nền được sơn phủ hoặc tấm mẫu thử đã phủ khác, gây ra bởi môi trường ăn mòn.
Tiêu chuẩn này không áp dụng cho việc đánh giá sự ăn mòn điểm hoặc độ sâu của điểm ăn mòn.
CHÚ THÍCH 1: Ví dụ về các môi trường ăn mòn khí quyển nhân tạo như phun muối, như được sử dụng trong phương pháp thử quy định trong ISO 9227[7] và ngâm nước biển như được sử dụng trong các phương pháp thử quy định tại ISO 15711[8] Cũng có thể sử dụng môi trường tự nhiên.
CHÚ THÍCH 2: Các khuyết tật khác cũng có thể được xác định cùng lúc với sự tách lớp và ăn mòn. Các phương pháp được đưa ra như sau:
- phồng rộp theo TCVN 12005-2 (ISO 4628-2)[2];
- gỉ theo TCVN 12005-3 (ISO 4628-3)[3];
- rạn nứt theo TCVN 12005-4 (ISO 4628-4)[4];
- bong tróc theo TCVN 12005-5 (ISO 4628-5)[5];
- ăn mòn dạng sợi theo TCVN 12005-10 (ISO 4628-10)[6].
2 Tài liệu viện dẫn
Các tài liệu viện dẫn sau đây là cần thiết để áp dụng tiêu chuẩn này. Đối với các tài liệu viện dẫn ghi năm công bố thì áp dụng bản được nêu. Đối với các tài liệu viện dẫn không ghi năm công bố thì áp dụng phiên bản mới nhất, bao gồm cả các sửa đổi, bổ sung (nếu có).
TCVN 5668 (ISO 3270), Sơn, vecni và nguyên liệu của chúng - Nhiệt độ và độ ẩm để điều hòa và thử nghiệm
3 Thuật ngữ và định nghĩa
Trong tiêu chuẩn này áp dụng các thuật ngữ và định nghĩa sau đây.
3.1
Khuyết màng sơn (holiday)
Không có màng sơn ở một số vùng nhất định của nền đã được phủ sơn
3.2
Khuyết tật nhân tạo (artificial defect)
Khuyết màng sơn xuyên qua lớp phủ, được chủ ý tạo ra để làm lộ nền kim loại bên dưới trước khi cho phơi nhiễm với môi trường ăn mòn
3.3
Khuyết tật tròn (circular defect)
Khuyết màng sơn có hình tròn xuyên qua lớp phủ, được chủ ý tạo ra để làm lộ nền kim loại bên dưới trước khi cho phơi nhiễm với môi trường ăn mòn
3.4
Vùng bị ăn mòn (corroded area)
Vùng xung quanh khuyết tật mà nền bị ăn mòn tấn công
3.5
Vùng bị tách lớp (delaminated area)
Vùng xung quanh khuyết tật, ở đó không còn độ bám dính giữa lớp phủ và nền hoặc xuất hiện lớp phủ bên dưới
3.6
Vết khía (scribe)
Khuyết màng sơn có dạng thẳng xuyên qua màng sơn, được chủ ý tạo ra để làm lộ nền kim loại bên dưới trước khi phơi nhiễm với môi trường ăn mòn
4 Nguyên tắc
Đánh giá sự tách lớp xung quanh vết khía hoặc khuyết tật nhân tạo khác tại cuối giai đoạn thử nghiệm, ngay sau khi lấy tấm thử ra khỏi môi trường ổn định hoặc sau khi ổn định trong một thời gian quy định.
Đánh giá sự ăn mòn quanh vết khía hoặc khuyết tật nhân tạo khác ngay sau khi lấy tấm thử ra khỏi môi trường ổn định hoặc sau khi loại bỏ lớp phủ.
Xác định độ tách lớp và độ ăn mòn bằng cách đo và tính toán.
5 Cách tiến hành
5.1 Tổng quan
Việc đánh giá sự tách lớp phải được thực hiện ngay sau khi lấy các tấm ra khỏi môi trường ổn định (5.2.1) trừ khi có quy định khác hay được thỏa thuận, trong đó việc đánh giá có thể được thực hiện sau một thời gian ổn định thêm, trong thời gian đó độ bám dính có thể phục hồi (5.2.2).
Việc đánh giá ăn mòn có thể được thực hiện trên tấm đã được phủ sơn (5.3.1) hoặc sau khi loại bỏ lớp phủ (5.3.2), nếu có thỏa thuận hoặc quy định khác.
Nếu phải đánh giá sự ăn mòn sau khi loại bỏ lớp phủ, cần thực hiện sau khi đánh giá sự tách lớp.
Cần thử nghiệm ít nhất ba tấm thử riêng biệt, trừ khi có quy định hoặc thỏa thuận khác.
5.2 Đánh giá tách lớp
5.2.1 Trực tiếp tại cuối giai đoạn thử nghiệm
Rửa các tấm thử bằng nước sạch ngay sau khi phơi nhiễm, nghĩa là trước khi lớp phủ khô, thổi nước còn bám khỏi bề mặt bằng khí nén nếu cần và kiểm tra các thay đổi có thể nhìn thấy, cẩn thận loại bỏ lớp phủ bám không chắc bằng cách sử dụng một lưỡi dao được giữ theo một góc nhất định, đặt lưỡi dao vào giao diện lớp phủ/nền và cậy lớp phủ ra khỏi nền.
Tùy thuộc vào loại lớp phủ và độ tách lớp, có thể cần một số lực để loại bỏ lớp phủ, nhưng phải phát hiện được ranh giới mà tại đó lớp phủ bám chặt với nền, đây là giới hạn của sự tách lớp. Để có thể xác định chính xác vị trí của ranh giới giữa sự bám dính yếu và chắc, cần phải đánh giá độ bám dính phía bên kia ranh giới.
Nếu độ bám dính của lớp phủ với nền bị xấu đi đến mức không thấy ranh giới và lớp phủ có thể dễ dàng loại bỏ đến cạnh của tấm thử thì phải ghi điều này trong báo cáo thử nghiệm.
Nếu muốn, có thể sử dụng không khí nén hoặc băng dính thay cho lưỡi dao. Điều quan trọng là phải loại bỏ hoàn toàn lớp phủ bám không chắc.
Nếu cần, rửa lại các tấm thử bằng nước sạch.
Đo bằng thước, chính xác đến 0,5 mm, tổng chiều rộng tách lớp tại ít nhất sáu điểm phân bố đều dọc vết khía hoặc xung quanh các khuyết tật nhân tạo (xem Hình 1, các phép đo từ a đến f). Bỏ qua vùng bị tách lớp vượt quá đầu và cuối của vết khía ban đầu.
Nếu cần đo chính xác hơn, có thể sử dụng kính lúp với thang đo phù hợp.
Sự tách lớp có thể được đo tại nhiều hơn sáu điểm nếu tiêu chuẩn thử áp dụng yêu cầu, ghi rõ thông tin này trong báo cáo thử nghiệm. Tương tự, đối với vết khía dài nhỏ hơn 50 mm, có thể thực hiện ít hơn sáu phép đo, miễn là mỗi phép đo cách nhau tối thiểu 6 mm và thông tin được nêu trong báo cáo thử nghiệm.

CHÚ DẪN:
1 vùng bị ăn mòn hoặc bị tách lớp
2 chiều rộng của khuyết tật tròn ban đầu, w
3 chiều rộng của vết khía ban đầu, w
Hình 1 - Đo chiều rộng tách lớp hoặc ăn mòn
5.2.2 Sau khi ổn định
Đánh giá sự tách lớp theo quy định tại 5.2.1 sau khi ổn định trong thời gian 24 h ở nhiệt độ (23 ± 2) °C và độ ẩm tương đối (50 ± 5) %, theo quy định trong TCVN 5668 (ISO 3270).
5.3 Đánh giá ăn mòn
5.3.1 Trực tiếp sau khi kết thúc giai đoạn thử nghiệm
Rửa các tấm thử bằng nước sạch ngay sau khi phơi nhiễm, nghĩa là trước khi lớp phủ khô, thổi nước còn bám khỏi bề mặt bằng khí nén nếu cần và kiểm tra các thay đổi có thể nhìn thấy. Cẩn thận loại bỏ lớp phủ bám không chắc bằng cách sử dụng một lưỡi dao được giữ theo một góc nhất định, đặt lưỡi dao vào giao diện lớp phủ/nền và cạy lớp phủ ra khỏi nền.
Các cách loại bỏ sơn phù hợp hoặc các cách khác, ví dụ có thể được sử dụng không khí nén hoặc băng dính thay cho lưỡi dao. Điều quan trọng là phải loại bỏ hoàn toàn lớp phủ bám không chắc.
Nếu cần, rửa lại các tấm thử bằng nước sạch.
Đo bằng thước, chính xác đến 0,5 mm, chiều rộng ăn mòn tại ít nhất sáu điểm phân bố đều dọc theo vết khía hoặc xung quanh các khuyết tật nhân tạo (xem hình 1). Bỏ qua vùng bị ăn mòn vượt quá đầu và cuối của vết khía ban đầu.
Nếu cần đo chính xác hơn, có thể sử dụng kính lúp với thang đo phù hợp.
Sự ăn mòn có thể được đo tại nhiều hơn sáu điểm nếu tiêu chuẩn thử áp dụng yêu cầu, ghi rõ thông tin này trong báo cáo thử nghiệm. Tương tự, đối với vết khía dài nhỏ hơn 50 mm, có thể thực hiện ít hơn sáu phép đo, miễn là mỗi phép đo cách nhau tối thiểu 6 mm và thông tin được nêu trong báo cáo thử nghiệm.
CHÚ THÍCH: Thường có thể quan sát được vùng ăn mòn bằng mắt do sự khác biệt về màu sắc so với các nền không bị ăn mòn.
5.3.2 Đánh giá ăn mòn trên các tấm thử đã bóc sơn
Loại bỏ lớp phủ cẩn thận khỏi tấm thử bằng dung dịch tẩy sơn phù hợp không làm tăng thêm sự ăn mòn hoặc bằng phương pháp cơ khí. Rửa nhanh các tấm thử bằng nước sạch, thổi khô bằng khí nén và ngay lập tức phủ kín tấm thử bằng một loại sơn trong, ví dụ sơn xịt.
Đo chiều rộng ăn mòn theo phương pháp quy định trong 5.3.1.
5.4 Đánh giá bằng cách sử dụng chuẩn hình ảnh
Tốt hơn là đánh giá bằng cách đo và tính toán. Tuy nhiên, nếu được quy định bởi các bên liên quan, sự tách lớp và ăn mòn từ vết khía có thể được đánh giá bằng cách sử dụng các chuẩn hình ảnh được nêu trong Hình 2.
CHÚ THÍCH: Các chuẩn hình ảnh này dựa trên hệ thống xếp hạng được định nghĩa trong TCVN 12005-1 (ISO 4628-1).[1]
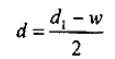
6 Tính và biểu thị kết quả
6.1 Đo và tính độ tách lớp
Xác định tổng chiều rộng tách lớp trung bình, d1 chính xác đến 0,5 mm, sử dụng Công thức (1):
|
| (1) |
Tính độ tách lớp, d, tính bằng milimét, sử dụng Công thức (2):
|
| (2) |
trong đó:
d1 là tổng chiều rộng tách lớp trung bình, tính bằng milimét;
w là chiều rộng của vết khía ban đầu hoặc khuyết tật nhân tạo khác, tính bằng milimét;
a, b, c, d, e, f là số đo tách lớp riêng lẻ - xem Hình 1.
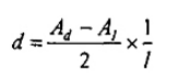
Nếu sự tách lớp không đồng đều, tăng số lượng các điểm đo, nghĩa là đo các điểm đo gần nhau hơn hoặc tính sự tách lớp, d, tính bằng milimét, sử dụng Công thức (3) đối với vết khía tuyến tính hoặc Công thức (4) đối với khuyết tật tròn. Bỏ qua vùng tách lớp lớp vượt quá đầu và cuối của vết khía ban đầu. Xác định kích cỡ của vùng, ví dụ bằng cách đếm các ô vuông tương ứng của giấy lưới milimét trong suốt đặt trên vùng tách lớp.
|
| (3) |
|
| (4) |
trong đó:
Ad là diện tích bị tách lớp, bao gồm cả những vết khía hoặc vùng khuyết tật nhân tạo khác, tính bằng milimét vuông;
AI là diện tích của vết khía hoặc khuyết tật nhân tạo khác trong vùng được đánh giá, tính bằng milimét vuông;
l là chiều dài của vết khía trong các vùng được đánh giá, tính bằng milimét.
Biểu thị các kết quả bằng tổng chiều rộng tách lớp trung bình, chính xác đến 0,5 mm.
6.2 Đo và tính độ ăn mòn
Xác định tổng chiều rộng ăn mòn trung bình, wc, chính xác đến 0,5 mm, sử dụng Công thức (5):
|
| (5) |
Tính độ ăn mòn, c, tính bằng mm, sử dụng công thức (6):
|
| (6) |
trong đó:
wc là tổng chiều rộng ăn mòn trung bình, tính bằng milimét;
w là chiều rộng của vết khía ban đầu hoặc khuyết tật nhân tạo khác, tính bằng milimét;
a, b, c, d, e, f là các số đo ăn mòn riêng lẻ - xem Hình 1.
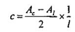
Nếu sự ăn mòn không đồng đều, tăng số lượng các điểm đo, nghĩa là làm cho các điểm đo gần nhau hơn hoặc tính sự ăn mòn, c, tính bằng milimét, sử dụng Công thức (7) đối với vết khía tuyến tính hoặc Công thức (8) đối với khuyết tật tròn. Bỏ qua vùng ăn mòn vượt quá đầu và cuối của vết khía ban đầu. Xác định kích cỡ của vùng, ví dụ bằng cách đếm các ô vuông tương ứng của giấy lưới milimét trong suốt đặt trên vùng ăn mòn.
|
| (7) |
|
| (8) |
trong đó:
Ac là diện tích bị ăn mòn, bao gồm cả vết khía hoặc vùng khuyết tật nhân tạo khác, tính bằng milimét vuông;
Al là diện tích vết khía hoặc vùng khuyết tật nhân tạo khác trong vùng được đánh giá, tính bằng milimét vuông;
l là chiều dài vết khía được đánh giá, tính bằng milimét.
Biểu thị các kết quả bằng tổng chiều rộng ăn mòn trung bình, chính xác đến 0,5 mm.
6.3 Đánh giá bằng cách sử dụng các chuẩn hình ảnh
Đối với tách lớp và ăn mòn xung quanh vết khía, việc xếp hạng bằng số phải được nêu như biểu thị trong ví dụ sau:
Tách lớp và ăn mòn xung quanh vết khía: độ ăn mòn 2; độ tách lớp 3.
7 Báo cáo thử nghiệm
Báo cáo thử nghiệm phải bao gồm ít nhất các thông tin sau:
a) tất cả các thông tin cần thiết để nhận biết các mẫu sơn được thử nghiệm, bao gồm độ dày màng và số lớp phủ;
b) viện dẫn tiêu chuẩn này, nghĩa là TCVN 12005-8:2017 (ISO 4628-8:2012);
c) số tấm được thử nghiệm lặp lại;
d) các chi tiết về điều kiện thử nghiệm, bao gồm:
1) mô tả về môi trường ăn mòn,
2) thời gian thử nghiệm trong môi trường ăn mòn;
e) các chi tiết về cách tiến hành thử nghiệm, bao gồm:
1) lớp phủ có được loại bỏ hay không và các phương pháp loại bỏ, nếu áp dụng,
2) các loại dụng cụ khía được sử dụng hoặc các phương pháp được sử dụng để tạo ra các khuyết tật nhân tạo khác,
3) hình dạng và các kích thước của vết khía hoặc khuyết tật nhân tạo khác,
4) việc đánh giá được thực hiện ngay vào cuối giai đoạn thử nghiệm hay sau thời kỳ ổn định, mô tả điều kiện và môi trường ổn định;
f) các kết quả thử nghiệm, bao gồm cả các kết quả đánh giá riêng biệt và các giá trị trung bình của các kết quả thử nghiệm, được tính theo Điều 6;
g) sai khác bất kỳ so với quy trình quy định;
h) bất kỳ đặc điểm không bình thường quan sát được trong quá trình đánh giá;
i) ngày kiểm tra.
|
| Cấp độ 1- Rất nhẹ |
|
| Cấp độ 2 - Nhẹ |
|
| |
|
| Cấp độ 3 - Vừa phải |
|
| |
|
| Cấp độ 4 - Đáng kể |
|
| |
|
| Cấp độ 5 - Nghiêm trọng |
|
|
Hình 2 - Các chuẩn hình ảnh để đánh giá độ tách lớp và độ ăn mòn xung quanh vết khía (tỷ lệ xấp xỉ 1 : 1)
Thư mục tài liệu tham khảo
[1] TCVN 12005-1 (ISO 4628-1), Sơn và vecni - Đánh giá sự suy biến của lớp phủ - Ký hiệu số lượng, kích cỡ của khuyết tật và mức biến đổi đồng nhất về ngoại quan - Phần 1: Giới thiệu chung và hệ thống ký hiệu
[2] TCVN 12005-2 (ISO 4628-2), Sơn và vecni - Đánh giá sự suy biến của lớp phủ - Ký hiệu số lượng, kích cỡ của khuyết tật và mức biến đổi đồng nhất về ngoại quan - Phần 2: Đánh giá độ phồng rộp
[3] TCVN 12005-3 (ISO 4628-3), Sơn và vecni - Đánh giá sự suy biến của lớp phủ - Ký hiệu số lượng, kích cỡ của khuyết tật và mức biến đổi đồng nhất về ngoại quan - Phần 3: Đánh giá độ gỉ
[4] TCVN 12005-4 (ISO 4628-4), Sơn và vecni - Đánh giá sự suy biến của lớp phủ - Ký hiệu số lượng, kích cỡ của khuyết tật và mức biến đổi đồng nhất về ngoại quan - Phần 4: Đánh giá độ rạn nứt
[5] TCVN 12005-5 (ISO 4628-5), Sơn và vecni - Đánh giá sự suy biến của lớp phủ - Ký hiệu số lượng, kích cỡ của khuyết tật và mức biến đổi đồng nhất về ngoại quan - Phần 5: Đánh giá độ rạn bong tróc
[6] TCVN 12005-10 (ISO 4628-10), Sơn và vecni - Đánh giá sự suy biến của lớp phủ - Ký hiệu số lượng, kích cỡ của khuyết tật và mức biến đổi đồng nhất về ngoại quan - Phần 10: Đánh giá độ ăn mòn dạng sợi
[7] ISO 9227, Corrosion tests in artificial atmospheres - Salt spray tests (Thử nghiệm ăn mòn trong môi trường nhân tạo - Thử nghiệm mù muối)
[8] ISO 8503-1, Paints and varnishes - Determination of resistance to cathodic disbonding of coatings exposed to sea water (Sơn và vecni - Xác định độ bền bong tróc catot của lớp phủ phơi nhiễm với nước biển)
MỤC LỤC
Lời nói đầu
1 Phạm vi áp dụng
2 Tài liệu viện dẫn
3 Thuật ngữ và định nghĩa
4 Nguyên tắc
5 Cách tiến hành
6 Tính và biểu thị kết quả
7 Báo cáo thử nghiệm
Thư mục tài liệu tham khảo
Bạn chưa Đăng nhập thành viên.
Đây là tiện ích dành cho tài khoản thành viên. Vui lòng Đăng nhập để xem chi tiết. Nếu chưa có tài khoản, vui lòng Đăng ký tại đây!









