- Tổng quan
- Nội dung
- VB gốc
- Tiếng Anh
- Hiệu lực
- VB liên quan
- Lược đồ
-
Nội dung hợp nhất
Tính năng này chỉ có tại LuatVietnam.vn. Nội dung hợp nhất tổng hợp lại tất cả các quy định còn hiệu lực của văn bản gốc và các văn bản sửa đổi, bổ sung, đính chính... trên một trang. Việc hợp nhất văn bản gốc và những văn bản, Thông tư, Nghị định hướng dẫn khác không làm thay đổi thứ tự điều khoản, nội dung.
Khách hàng chỉ cần xem Nội dung hợp nhất là có thể nắm bắt toàn bộ quy định hiện hành đang áp dụng, cho dù văn bản gốc đã qua nhiều lần chỉnh sửa, bổ sung.
- Tải về
Thông tư 09/2019/TT-BXD hướng dẫn xác định và quản lý chi phí đầu tư xây dựng
| Cơ quan ban hành: | Bộ Xây dựng |
Số công báo:
Số công báo là mã số ấn phẩm được đăng chính thức trên ấn phẩm thông tin của Nhà nước. Mã số này do Chính phủ thống nhất quản lý.
|
Đã biết
|
| Số hiệu: | 09/2019/TT-BXD | Ngày đăng công báo: |
Đã biết
|
| Loại văn bản: | Thông tư | Người ký: | Bùi Phạm Khánh |
|
Ngày ban hành:
Ngày ban hành là ngày, tháng, năm văn bản được thông qua hoặc ký ban hành.
|
26/12/2019 |
Ngày hết hiệu lực:
Ngày hết hiệu lực là ngày, tháng, năm văn bản chính thức không còn hiệu lực (áp dụng).
|
Đã biết
|
|
Áp dụng:
Ngày áp dụng là ngày, tháng, năm văn bản chính thức có hiệu lực (áp dụng).
|
Đã biết
|
Tình trạng hiệu lực:
Cho biết trạng thái hiệu lực của văn bản đang tra cứu: Chưa áp dụng, Còn hiệu lực, Hết hiệu lực, Hết hiệu lực 1 phần; Đã sửa đổi, Đính chính hay Không còn phù hợp,...
|
Đã biết
|
| Lĩnh vực: | Xây dựng |
TÓM TẮT THÔNG TƯ 09/2019/TT-BXD
Ngày 26/12/2019, Bộ Xây dựng ban hành Thông tư 09/2019/TT-BXD về việc hướng dẫn xác định và quản lý chi phí đầu tư xây dựng.
Theo đó, tổng mức đầu tư xây dựng được xác lập dựa trên nội dung báo cáo nghiên cứu khả thi xây dựng, bao gồm: Thiết kế cơ sở, thuyết minh thiết kế cơ sở, quy chuẩn và tiêu chuẩn áp dụng, giải pháp công nghệ và kỹ thuật, thiết bị; Giải pháp về kiến trúc, kết cấu chính của công trình; giải pháp về xây dựng và vật liệu chủ yếu, điều kiện thi công công trình…
Tổng mức đầu tư xây dựng được xác định theo 04 phương pháp: Xác định từ khối lượng xây dựng tính theo thiết kế cơ sở, kế hoạch thực hiện dự án, biện pháp tổ chức thi công định hướng, điều kiện thực tiễn thực hiện dự án, các yêu cầu cần thiết khác của dự án và hệ thống định mức, đơn giá xây dựng…; Xác định từ dữ liệu chi phí các công trình tương tự; Xác định theo suất vốn đầu tư xây dựng công trình; Kết hợp các phương pháp trên.
Các khoản chi phí thuộc nội dung chi phí xây dựng, thiết bị, chi phí quản lý dự án, chi phí tư vấn đầu tư xây dựng, chi phí khác có thể được bổ sung và dự tính đưa vào tổng mức đầu tư sau, nếu tại thời điểm lập tổng mức đầu tư chưa có quy định cụ thể hoặc cơ sở để tính toán.
Thông tư có hiệu lực từ ngày 15/02/2020.
Xem chi tiết Thông tư 09/2019/TT-BXD có hiệu lực kể từ ngày 15/02/2020
Tải Thông tư 09/2019/TT-BXD
|
BỘ XÂY DỰNG ----------------- |
CỘNG HOÀ XÃ HỘI CHỦ NGHĨA VIỆT NAM ---------------------- |
THÔNG TƯ
Hướng dẫn xác định và quản lý chi phí đầu tư xây dựng
Căn cứ Luật Xây dựng số 50/2014/QH13 ngày 18 tháng 6 năm 2014;
Căn cứ Nghị định số 81/2017/NĐ-CP ngày 17 tháng 7 năm 2017 của Chính phủ quy định chức năng, nhiệm vụ, quyền hạn và cơ cấu tổ chức của Bộ Xây dựng;
Căn cứ Nghị định số 68/2019/NĐ-CP ngày 14 ngày 8 năm 2019 của Chính phủ về quản lý chi phí đầu tư xây dựng;
Theo đề nghị của Cục trưởng Cục Kinh tế xây dựng;
Bộ trưởng Bộ Xây dựng ban hành Thông tư hướng dẫn xác định và quản lý chi phí đầu tư xây dựng.
Chương I
QUY ĐỊNH CHUNG
Điều 1. Phạm vi điều chỉnh
Thông tư này hướng dẫn xác định và quản lý chi phí đầu tư xây dựng các dự án đầu tư xây dựng sử dụng vốn ngân sách nhà nước, vốn nhà nước ngoài ngân sách và dự án đầu tư xây dựng theo hình thức đối tác công tư (sau đây viết tắt là dự án PPP) gồm: sơ bộ tổng mức đầu tư xây dựng, tổng mức đầu tư xây dựng, dự toán xây dựng, giá gói thầu xây dựng, định mức xây dựng, giá xây dựng công trình, suất vốn đầu tư và giá xây dựng tổng hợp bộ phận kết cấu công trình.
Điều 2. Đối tượng áp dụng
1. Các cơ quan, tổ chức, cá nhân có liên quan đến xác định và quản lý chi phí đầu tư xây dựng thuộc các dự án đầu tư xây dựng sử dụng vốn ngân sách nhà nước, vốn nhà nước ngoài ngân sách và dự án PPP.
2. Các cơ quan, tổ chức, cá nhân có liên quan đến xác định và quản lý chi phí đầu tư xây dựng các dự án đầu tư xây dựng, xác định chi phí đầu tư xây dựng làm căn cứ thực hiện nghĩa vụ tài chính đối với Nhà nước của các dự án sử dụng vốn khác.
Chương II
SƠ BỘ TỔNG MỨC ĐẦU TƯ, TỔNG MỨC ĐẦU TƯ XÂY DỰNG
Điều 3. Nội dung sơ bộ tổng mức đầu tư, tổng mức đầu tư xây dựng
1. Nội dung sơ bộ tổng mức đầu tư, tổng mức đầu tư xây dựng theo quy định tại khoản 2, khoản 4 Điều 4 Nghị định số 68/2019/NĐ-CP ngày 14/8/2019 của Chính phủ về quản lý chi phí đầu tư xây dựng (sau đây viết tắt là Nghị định số 68/2019/NĐ-CP), trong đó chi phí xây dựng, chi phí thiết bị, chi phí quản lý dự án, chi phí tư vấn đầu tư xây dựng và chi phí khác được quy định cụ thể như sau:
a) Chi phí xây dựng, chi phí thiết bị gồm các chi phí theo quy định tại khoản 2, khoản 3 Điều 8 của Thông tư này.
b) Chi phí quản lý dự án gồm các chi phí theo quy định tại khoản 2 Điều 21 Nghị định số 68/2019/NĐ-CP là các chi phí cần thiết để tổ chức thực hiện các công việc quản lý dự án từ giai đoạn chuẩn bị dự án đến khi kết thúc xây dựng đưa công trình của dự án vào khai thác sử dụng, cụ thể như sau:
- Giám sát công tác khảo sát xây dựng;
- Tuyển chọn thiết kế kiến trúc công trình hoặc lựa chọn phương án thiết kế kiến trúc công trình;
- Công tác bồi thường, hỗ trợ và tái định cư thuộc trách nhiệm của chủ đầu tư;
- Thẩm định báo cáo nghiên cứu khả thi đầu tư xây dựng hoặc báo cáo kinh tế - kỹ thuật đầu tư xây dựng;
- Lập, thẩm định, thẩm tra, phê duyệt thiết kế kỹ thuật, thiết kế bản vẽ thi công, dự toán xây dựng;
- Lựa chọn nhà thầu trong hoạt động xây dựng;
- Quản lý chất lượng, khối lượng, tiến độ, chi phí xây dựng, hợp đồng xây dựng;
- Quản lý hệ thống thông tin công trình; Thu thập và cung cấp thông tin dữ liệu phục vụ công tác quản lý chi phí đầu tư xây dựng theo yêu cầu của cơ quan Nhà nước có thẩm quyền;
- Đảm bảo an toàn lao động và vệ sinh môi trường của công trình;
- Lập mới hoặc điều chỉnh định mức xây dựng của công trình;
- Xác định giá xây dựng công trình, chỉ số giá xây dựng công trình;
- Kiểm tra chất lượng vật liệu, cấu kiện, sản phẩm xây dựng, thiết bị lắp đặt vào công trình;
- Kiểm định chất lượng bộ phận công trình, hạng mục công trình, toàn bộ công trình và thí nghiệm chuyên ngành xây dựng theo yêu cầu;
- Kiểm soát chi phí đầu tư xây dựng;
- Quy đổi vốn đầu tư xây dựng công trình sau khi hoàn thành được nghiệm thu, bàn giao đưa vào sử dụng;
- Nghiệm thu, thanh toán, quyết toán hợp đồng; thanh toán, quyết toán vốn đầu tư xây dựng công trình;
- Tổ chức và thực hiện công tác giám sát, đánh giá dự án đầu tư xây dựng công trình;
- Nghiệm thu, bàn giao công trình;
- Khởi công, khánh thành (nếu có), tuyên truyền quảng cáo;
- Xác định, cập nhật giá gói thầu xây dựng;
- Các công việc quản lý của cơ nhà nước có thẩm quyền (nếu có);
- Các công việc quản lý dự án khác.
c) Nội dung chi phí tư vấn đầu tư xây dựng gồm các chi phí theo quy định tại khoản 2 Điều 23 Nghị định số 68/2019/NĐ-CP là các chi phí cần thiết để thực hiện các công việc tư vấn đầu tư xây dựng ở các giai đoạn khác nhau theo trình tự đầu tư xây dựng gồm: giai đoạn chuẩn bị dự án, thực hiện dự án và kết thúc xây dựng đưa công trình của dự án vào khai thác sử dụng. Cụ thể như sau:
- Lập nhiệm vụ khảo sát xây dựng, thực hiện khảo sát xây dựng, giám sát khảo sát xây dựng.
- Lập báo cáo nghiên cứu tiền khả thi đầu tư xây dựng (nếu có), báo cáo đề xuất chủ trương đầu tư (nếu có), báo cáo nghiên cứu khả thi đầu tư xây dựng hoặc báo cáo kinh tế - kỹ thuật đầu tư xây dựng;
- Thẩm tra thiết kế cơ sở, thiết kế công nghệ của dự án;
- Thẩm tra phương án bồi thường, hỗ trợ, tái định cư;
- Thi tuyển thiết kế kiến trúc công trình xây dựng;
- Thiết kế xây dựng công trình;
- Thẩm tra tổng mức đầu tư xây dựng, thiết kế xây dựng công trình, dự toán xây dựng;
- Lập, thẩm định hồ sơ mời quan tâm, hồ sơ mời sơ tuyển, hồ sơ mời thầu, hồ sơ yêu cầu và đánh giá hồ sơ quan tâm, hồ sơ dự sơ tuyển, hồ sơ dự thầu, hồ sơ đề xuất để lựa chọn nhà thầu trong hoạt động xây dựng;
- Thẩm định kết quả lựa chọn nhà thầu trong hoạt động xây dựng;
- Giám sát thi công xây dựng, giám sát lắp đặt thiết bị;
- Lập, thẩm tra định mức xây dựng, giá xây dựng công trình, chỉ số giá xây dựng công trình;
- Thẩm tra an toàn giao thông;
- Ứng dụng hệ thống thông tin công trình (BIM) (nếu có);
- Tư vấn quản lý dự án (trường hợp thuê tư vấn);
- Thí nghiệm chuyên ngành xây dựng;
- Kiểm tra chất lượng vật liệu, cấu kiện, sản phẩm xây dựng, thiết bị lắp đặt vào công trình theo yêu cầu của chủ đầu tư (nếu có);
- Kiểm định chất lượng bộ phận công trình, hạng mục công trình, toàn bộ công trình (nếu có);
- Giám sát, đánh giá dự án đầu tư xây dựng công trình (trường hợp thuê tư vấn);
- Lập báo cáo đánh giá tác động môi trường theo quy định của pháp luật về bảo vệ môi trường;
- Quy đổi vốn đầu tư xây dựng công trình sau khi hoàn thành được nghiệm thu, bàn giao đưa vào sử dụng;
- Thực hiện các công việc tư vấn khác.
Riêng đối với chi phí khảo sát xây dựng gồm chi phí trực tiếp, chi phí gián tiếp, thu nhập chịu thuế tính trước, thuế giá trị gia tăng được xác định và quản lý như chi phí xây dựng trong dự toán xây dựng.
d) Chi phí khác gồm các chi phí cần thiết để thực hiện dự án đầu tư xây dựng được xác định theo quy định của cơ quan nhà nước có thẩm quyền bằng định mức hoặc dự toán chi phí phù hợp với chế độ chính sách để thực hiện các công việc của dự án gồm các chi phí sau:
- Rà phá bom mìn, vật nổ;
- Bảo hiểm công trình (bắt buộc) trong thời gian xây dựng;
- Đăng kiểm chất lượng quốc tế, quan trắc biến dạng công trình (nếu có);
- Kiểm toán, thẩm tra, phê duyệt quyết toán vốn đầu tư;
- Kiểm tra công tác nghiệm thu trong quá trình thi công xây dựng và khi nghiệm thu hoàn thành hạng mục công trình, công trình của cơ quan quản lý nhà nước có thẩm quyền (đối với trường hợp phải thuê chuyên gia cùng thực hiện) ;
- Nghiên cứu khoa học công nghệ liên quan đến dự án; vốn lưu động ban đầu đối với các dự án đầu tư xây dựng nhằm mục đích kinh doanh, lãi vay trong thời gian xây dựng; chi phí cho quá trình chạy thử không tải và có tải theo quy trình công nghệ trước khi bàn giao (sau khi trừ giá trị sản phẩm thu hồi được);
- Các khoản thuế tài nguyên, phí và lệ phí theo quy định;
- Các chi phí khác (nếu có) .
2. Đối với dự án chỉ yêu cầu lập Báo cáo kinh tế - kỹ thuật đầu tư xây dựng, nội dung tổng mức đầu tư xây dựng được quy định tại khoản 3 Điều 4 Nghị định số 68/2019/NĐ-CP.
3. Đối với dự án sử dụng vốn phát triển chính thức (gọi tắt là ODA), dự án PPP thì ngoài các nội dung được tính toán trong sơ bộ tổng mức đầu tư, tổng mức đầu tư xây dựng nói trên còn được bổ sung các khoản mục chi phí cần thiết khác cho phù hợp với đặc thù, tính chất của dự án đầu tư xây dựng sử dụng nguồn vốn này theo các quy định pháp luật hiện hành có liên quan.
Điều 4. Phương pháp xác định sơ bộ tổng mức đầu tư xây dựng
1. Sơ bộ tổng mức đầu tư xây dựng được xác định theo quy định tại khoản 1 Điều 5 Nghị định số 68/2019/NĐ-CP. Trường hợp chưa đủ điều kiện xác định quy mô, công suất hoặc năng lực phục vụ theo phương án thiết kế sơ bộ của dự án hoặc đã xác định được nhưng chưa có dữ liệu suất vốn đầu tư xây dựng công trình được công bố, sơ bộ tổng mức đầu tư xây dựng xác định trên cơ sở dữ liệu chi phí của các dự án tương tự về loại, cấp công trình, quy mô, công suất hoặc năng lực phục vụ đã, đang thực hiện và điều chỉnh, bổ sung những chi phí cần thiết khác, đồng thời được quy đổi chi phí cho phù hợp với thời điểm xác định sơ bộ tổng mức đầu tư, địa điểm xây dựng và đặc điểm, tính chất của dự án.
2. Đối với các dự án thực hiện theo hình thức hợp đồng chìa khóa trao tay (turnkey) thì chi phí xây dựng, chi phí thiết bị trong sơ bộ tổng mức đầu tư xây dựng được tính toán theo phương pháp xác định từ khối lượng công tác xây dựng tính theo thiết kế sơ bộ là chủ yếu, kết hợp với phương pháp sử dụng suất vốn đầu tư hoặc dữ liệu chi phí công trình tương tự, đảm bảo nguyên tắc tính đúng, tính đủ để xác định dự toán gói thầu chìa khóa trao tay.
3. Việc thẩm định và phê duyệt sơ bộ tổng mức đầu tư xây dựng được quy định như sau:
a) Đối với dự án sử dụng vốn ngân sách Nhà nước và vốn Nhà nước ngoài ngân sách thực hiện theo quy định của pháp luật về đầu tư công và pháp luật về đầu tư.
b) Đối với các dự án PPP thực hiện theo quy định của pháp luật về PPP.
4. Căn cứ để xác định dự toán gói thầu chìa khóa trao tay thực hiện theo quy định tại khoản 2 Điều 11 Thông tư này. Người quyết định đầu tư thẩm định và phê duyệt dự toán gói thầu chìa khóa trao tay.
5. Chi tiết các phương pháp xác định sơ bộ tổng mức đầu tư xây dựng được hướng dẫn tại mục 1 Phụ lục số 1 ban hành kèm theo Thông tư này.
Điều 5. Phương pháp xác định tổng mức đầu tư xây dựng
1. Tổng mức đầu tư xây dựng được lập trên cơ sở nội dung báo cáo nghiên cứu khả thi đầu tư xây dựng gồm: thiết kế cơ sở, thuyết minh thiết kế cơ sở, quy chuẩn và tiêu chuẩn áp dụng, giải pháp công nghệ và kỹ thuật, thiết bị; giải pháp về kiến trúc, kết cấu chính của công trình; giải pháp về xây dựng và vật liệu chủ yếu, điều kiện thi công công trình của dự án; kế hoạch thực hiện dự án và các yêu cầu cần thiết khác phù hợp với nội dung báo cáo nghiên cứu khả thi đầu tư xây dựng.
2. Tổng mức đầu tư xây dựng được xác định theo một trong các phương pháp quy định tại khoản 2 Điều 5 Nghị định số 68/2019/NĐ-CP, cụ thể như sau:
a) Xác định từ khối lượng xây dựng tính theo thiết kế cơ sở, kế hoạch thực hiện dự án, biện pháp tổ chức thi công định hướng, điều kiện thực tiễn thực hiện dự án, các yêu cầu cần thiết khác của dự án và hệ thống định mức, đơn giá xây dựng, các chế độ, chính sách liên quan.
b) Xác định từ dữ liệu chi phí các công trình tương tự.
c) Xác định theo suất vốn đầu tư xây dựng công trình.
d) Kết hợp các phương pháp quy định tại điểm a, b, c khoản này.
3. Các phương pháp quy định tại điểm b, c khoản 2 Điều này chỉ sử dụng đối với công trình xây dựng phổ biến.
4. Một số khoản mục chi phí thuộc nội dung chi phí xây dựng, thiết bị, chi phí quản lý dự án, chi phí tư vấn đầu tư xây dựng, chi phí khác của dự án nếu chưa có quy định hoặc chưa có cơ sở tính toán được tại thời điểm lập tổng mức đầu tư xây dựng thì được bổ sung và dự tính để đưa vào tổng mức đầu tư xây dựng.
5. Đối với các dự án thực hiện theo hình thức hợp đồng thiết kế - cung cấp thiết bị công nghệ và thi công xây dựng công trình (viết tắt là EPC); thiết kế và thi công xây dựng công trình (viết tắt là EC); thiết kế và cung cấp thiết bị (viết tắt là EP) thì chi phí xây dựng và chi phí thiết bị trong tổng mức đầu tư xây dựng phải được xác định trên cơ sở phương pháp nêu tại điểm a khoản 2 Điều này là chủ yếu và kết hợp với phương pháp khác.
6. Chi tiết các phương pháp xác định tổng mức đầu tư xây dựng được hướng dẫn tại mục 2 Phụ lục số 1 ban hành kèm theo Thông tư này.
Điều 6. Nội dung, thẩm quyền thẩm định và phê duyệt tổng mức đầu tư xây dựng
1. Nội dung thẩm định tổng mức đầu tư xây dựng theo quy định tại khoản 1 Điều 6 Nghị định số 68/2019/NĐ-CP.
2. Thẩm quyền thẩm định tổng mức đầu tư xây dựng thực hiện theo quy định tại khoản 3, khoản 4 Điều 6 Nghị định số 68/2019/NĐ-CP. Riêng đối với các dự án chỉ yêu cầu lập báo cáo kinh tế - kỹ thuật sử dụng vốn nhà nước ngoài ngân sách thì thẩm quyền thẩm định thực hiện theo khoản 5 Điều 1 Nghị định số 42/2017/NĐ-CP ngày 05/4/2017 của Chính phủ sửa đổi, bổ sung một số điều Nghị định số 59/2015/NĐ-CP ngày 18/6/2015 của Chính phủ về quản lý dự án đầu tư xây dựng.
3. Thẩm quyền phê duyệt tổng mức đầu tư xây dựng theo quy định tại khoản 7 Điều 6 Nghị định số 68/2019/NĐ-CP.
4. Mẫu báo cáo kết quả thẩm định, thẩm tra tổng mức đầu tư xây dựng theo hướng dẫn tại Phụ lục số 10 ban hành kèm theo Thông tư này.
Điều 7. Điều chỉnh sơ bộ tổng mức đầu tư và tổng mức đầu tư xây dựng
1. Việc điều chỉnh sơ bộ tổng mức đầu tư xây dựng thực hiện theo quy định của pháp luật về đầu tư công, pháp luật về đầu tư và pháp luật về PPP.
2. Việc điều chỉnh tổng mức đầu tư đã được phê duyệt thực hiện theo quy định tại Điều 7 Nghị định số 68/2019/NĐ-CP.
3. Mẫu báo cáo kết quả thẩm tra, thẩm định sơ bộ tổng mức đầu tư, tổng mức đầu tư xây dựng điều chỉnh theo hướng dẫn tại Phụ lục số 10 ban hành kèm theo Thông tư này.
Chương III
DỰ TOÁN XÂY DỰNG
Điều 8. Nội dung dự toán xây dựng
1. Nội dung dự toán xây dựng theo quy định tại Điều 8 Nghị định số 68/2019/NĐ-CP. Các thành phần chi phí trong dự toán xây dựng được quy định cụ thể từ khoản 2 đến khoản 7 Điều này.
2. Chi phí xây dựng gồm chi phí trực tiếp, chi phí gián tiếp, thu nhập chịu thuế tính trước, thuế giá trị gia tăng và được quy định cụ thể như sau:
a) Chi phí trực tiếp gồm chi phí vật liệu (kể cả vật liệu do chủ đầu tư cấp), chi phí nhân công, chi phí máy và thiết bị thi công.
b) Chi phí gián tiếp gồm:
- Chi phí chung gồm: Chi phí quản lý chung của doanh nghiệp, chi phí quản lý, điều hành sản xuất tại công trường xây dựng, chi phí bảo hiểm cho người lao động do người sử dụng lao động nộp.
- Chi phí nhà tạm để ở và điều hành thi công.
- Chi phí một số công việc không xác định được khối lượng từ thiết kế như: Chi phí an toàn lao động và bảo vệ môi trường cho người lao động trên công trường và môi trường xung quanh; chi phí thí nghiệm vật liệu của nhà thầu; chi phí di chuyển lực lượng lao động trong nội bộ công trường; chi phí bơm nước, vét bùn không thường xuyên.
- Căn cứ vào điều kiện cụ thể của từng dự án, công trình, gói thầu xây dựng chi phí gián tiếp có thể bổ sung một số chi phí gián tiếp khác gồm: chi phí di chuyển máy, thiết bị thi công đặc chủng đến và ra khỏi công trường; chi phí bảo đảm an toàn giao thông phục vụ thi công (nếu có); chi phí hoàn trả hạ tầng kỹ thuật do bị ảnh hưởng khi thi công xây dựng (nếu có); chi phí kho bãi chứa vật liệu (nếu có); chi phí xây dựng nhà bao che cho máy, nền móng máy, hệ thống cấp điện, khí nén, hệ thống cấp nước tại hiện trường, lắp đặt, tháo dỡ một số loại máy (như trạm trộn bê tông xi măng, trạm trộn bê tông nhựa, cần trục di chuyển trên ray, cần trục tháp, một số loại máy, thiết bị thi công xây dựng khác có tính chất tương tự).
c) Thu nhập chịu thuế tính trước (khoản lợi nhuận của doanh nghiệp xây dựng được dự tính trước trong dự toán xây dựng).
d) Thuế giá trị gia tăng theo quy định của Nhà nước.
3. Chi phí thiết bị của công trình, hạng mục công trình gồm các khoản mục chi phí như quy định tại điểm b khoản 2 Điều 9 Nghị định số 68/2019/NĐ-CP.
4. Chi phí quản lý dự án gồm các khoản mục chi phí như quy định tại điểm b khoản 1 Điều 3 của Thông tư này.
5. Chi phí tư vấn đầu tư xây dựng như quy định tại điểm c khoản 1 Điều 3 của Thông tư này.
6. Chi phí khác trong dự toán xây dựng gồm các khoản mục chi phí như quy định tại điểm d khoản 1 Điều 3 của Thông tư này. Đối với dự án có nhiều công trình thì chi phí khác trong dự toán xây dựng công trình không bao gồm chi phí lãi vay trong thời gian xây dựng; chi phí rà phá bom mìn, vật nổ; chi phí kiểm toán; thẩm tra, phê duyệt quyết toán vốn đầu tư; chi phí nghiên cứu khoa học công nghệ liên quan đến dự án; vốn lưu động ban đầu đối với các dự án đầu tư xây dựng nhằm mục đích kinh doanh; chi phí cho quá trình chạy thử không tải và có tải theo quy trình công nghệ trước khi bàn giao (trừ giá trị sản phẩm thu hồi được); các khoản phí, lệ phí và một số chi phí khác đã tính cho dự án.
7. Chi phí dự phòng gồm chi phí dự phòng cho yếu tố khối lượng công việc phát sinh và chi phí dự phòng cho yếu tố trượt giá trong thời gian xây dựng công trình.
Điều 9. Phương pháp xác định dự toán xây dựng
1. Cơ sở xác định dự toán xây dựng theo quy định tại khoản 1 Điều 9 Nghị định số 68/2019/NĐ-CP.
2. Xác định chi phí xây dựng
Chi phí xây dựng có thể xác định theo từng nội dung chi phí hoặc tổng hợp các nội dung chi phí theo các phương pháp nêu tại các điểm a, b dưới đây:
a) Tính theo khối lượng và giá xây dựng công trình
- Chi phí trực tiếp gồm: Chi phí vật liệu, chi phí nhân công, chi phí máy và thiết bị thi công được xác định trên cơ sở khối lượng các công việc xây dựng và giá xây dựng công trình.
- Chi phí gián tiếp được xác định bằng tỷ lệ (%) hoặc lập dự toán chi phí theo hướng dẫn tại mục 3.1 Phụ lục số 3 ban hành kèm theo Thông tư này.
- Thu nhập chịu thuế tính trước được tính bằng tỷ lệ phần trăm (%) trên chi phí trực tiếp và chi phí gián tiếp được hướng dẫn tại Bảng 3.11 Phụ lục số 3 ban hành kèm theo Thông tư này.
- Thuế giá trị gia tăng theo quy định của Nhà nước.
- Khối lượng các công tác xây dựng được đo bóc, tính toán từ bản vẽ thiết kế kỹ thuật hoặc thiết kế bản vẽ thi công hoặc thiết kế FEED và chỉ dẫn kỹ thuật, yêu cầu công việc phải thực hiện của công trình. Phương pháp đo bóc khối lượng công tác xây dựng thực hiện theo hướng dẫn của Bộ trưởng Bộ Xây dựng.
- Giá xây dựng công trình sử dụng để tính dự toán chi phí xây dựng có thể là giá xây dựng chi tiết hoặc giá xây dựng tổng hợp phù hợp với khối lượng công việc xây dựng được đo bóc, tính toán từ bản vẽ thiết kế kỹ thuật hoặc thiết kế bản vẽ thi công hoặc thiết kế FEED và chỉ dẫn kỹ thuật, yêu cầu công việc phải thực hiện của công trình. Nội dung và phương pháp xác định giá xây dựng công trình thực hiện theo quy định tại Điều 18 Thông tư này.
b) Tính theo hao phí vật liệu, nhân công, máy và thiết bị thi công và giá của các yếu tố chi phí tương ứng
- Chi phí vật liệu, nhân công, máy và thiết bị thi công trong chi phí trực tiếp xác định theo khối lượng vật liệu, nhân công, máy và thiết bị thi công và giá của các yếu tố chi phí này.
- Khối lượng các loại vật liệu, nhân công, máy và thiết bị thi công được xác định trên cơ sở khối lượng công tác xây dựng đo bóc từ thiết kế kỹ thuật, thiết kế bản vẽ thi công hoặc thiết kế FEED và định mức kinh tế kỹ thuật.
- Giá vật liệu xây dựng được xác định theo hướng dẫn tại Bảng 4.1 Phụ lục số 4 ban hành kèm theo Thông tư này.
- Giá nhân công, máy và thiết bị thi công xác định theo hướng dẫn của Bộ trưởng Bộ Xây dựng.
- Chi phí gián tiếp, thu nhập chịu thuế tính trước, thuế giá trị gia tăng như hướng dẫn tại điểm a khoản này.
3. Xác định chi phí thiết bị
a) Chi phí thiết bị được xác định theo quy định tại điểm b khoản 2 Điều 9 Nghị định số 68/2019/NĐ-CP và quy định sau:
- Khối lượng, số lượng, chủng loại thiết bị được xác định từ thiết kế công nghệ, xây dựng và danh mục trang thiết bị trong dự án được duyệt.
- Giá mua thiết bị được xác định theo giá thị trường hoặc báo giá của nhà cung cấp, nhà sản xuất hoặc của công trình có thiết bị tương tự đã và đang thực hiện phù hợp với thời điểm tính toán.
- Đối với các thiết bị cần sản xuất, gia công thì chi phí này được xác định trên cơ sở khối lượng, số lượng thiết bị cần sản xuất, gia công và đơn giá sản xuất, gia công phù hợp với tính chất, chủng loại thiết bị theo hợp đồng sản xuất, gia công đã được ký kết hoặc căn cứ vào báo giá sán xuất, gia công thiết bị của nhà sản xuất được chủ đầu tư lựa chọn hoặc giá sản xuất, gia công thiết bị tương tự của công trình đã và đang thực hiện phù hợp với thời điểm tính toán.
b) Chi phí quản lý mua sắm (bao gồm cả chi phí giám sát lắp đặt thiết bị của nhà cung cấp), giám sát lắp đặt thiết bị của nhà thầu; chi phí mua bản quyền phần mềm sử dụng cho thiết bị công trình, thiết bị công nghệ của dự án (nếu có); chi phí đào tạo, chuyển giao công nghệ; chi phí gia công, chế tạo thiết bị phi tiêu chuẩn (nếu có) được xác định bằng dự toán hoặc căn cứ định mức chi phí do cơ quan nhà nước có thẩm quyền ban hành.
c) Chi phí lắp đặt thiết bị được xác định bằng cách lập dự toán như đối với dự toán chi phí xây dựng theo quy định tại khoản 2 Điều này.
d) Chi phí thí nghiệm, hiệu chỉnh, đào tạo, chuyển giao công nghệ và các chi phí khác có liên quan được xác định bằng cách lập dự toán phù hợp nội dung công việc thực hiện.
4. Xác định chi phí quản lý dự án
Chi phí quản lý dự án được xác định trên cơ sở định mức tỷ lệ phần trăm (%) hoặc bằng cách lập dự toán phù hợp với hình thức tổ chức quản lý dự án, quy mô, địa điểm, thời gian quản lý dự án do Bộ trưởng Bộ Xây dựng ban hành. Phương pháp xác định chi phí quản lý dự án thực hiện theo hướng dẫn của Bộ trưởng Bộ Xây dựng.
5. Xác định chi phí tư vấn đầu tư xây dựng
a) Chi phí tư vấn trong dự toán xây dựng được xác định trên cơ sở định mức tỷ lệ phần trăm (%), định mức tính bằng khối lượng hoặc bằng cách lập dự toán phù hợp với khối lượng, phạm vi công việc, chế độ, chính sách do Bộ trưởng Bộ Xây dựng ban hành hoặc công bố, cơ quan nhà nước có thẩm quyền ban hành hoặc công bố. Trường hợp một số công việc tư vấn đầu tư xây dựng thực hiện trước khi xác định dự toán xây dựng thì được xác định bằng giá trị hợp đồng tư vấn đã ký kết phù hợp với quy định của Nhà nước.
b) Trường hợp phải thuê chuyên gia tư vấn nước ngoài thì chi phí tư vấn được xác định bằng cách lập dự toán phù hợp với yêu cầu sử dụng tư vấn (số lượng, chất lượng), các quy định của cấp có thẩm quyền và thông lệ quốc tế. Phương pháp xác định chi phí thuê chuyên gia tư vấn nước ngoài theo hướng dẫn của Bộ trưởng Bộ Xây dựng.
c) Phương pháp xác định chi phí tư vấn đầu tư xây dựng thực hiện theo hướng dẫn của Bộ trưởng Bộ Xây dựng. Riêng phương pháp xác định chi phí khảo sát xây dựng thực hiện theo hướng dẫn tại Phụ lục số 9 ban hành kèm theo Thông tư này.
6. Chi phí khác được xác định trên cơ sở định mức tỷ lệ phần trăm (%) theo hướng dẫn của các cơ quan có thẩm quyền hoặc bằng cách lập dự toán hoặc giá trị hợp đồng đã ký kết phù hợp với quy định của pháp luật. Trường hợp một số chi phí khác chưa đủ điều kiện để xác định thì được ước tính trong dự toán xây dựng công trình.
Đối với một số công trình xây dựng chuyên ngành có các yếu tố chi phí đặc thù, công trình sử dụng vốn ODA, nếu còn các chi phí khác có liên quan được quy định trong điều ước quốc tế thì bổ sung các chi phí này.
7. Xác định chi phí dự phòng
a) Chi phí dự phòng cho yếu tố khối lượng công việc phát sinh được tính bằng tỷ lệ phần trăm (%) trên tổng chi phí xây dựng, chi phí thiết bị, chi phí quản lý dự án, chi phí tư vấn đầu tư xây dựng và chi phí khác.
b) Chi phí dự phòng cho yếu tố trượt giá được xác định trên cơ sở thời gian xây dựng công trình, thời gian thực hiện gói thầu, kế hoạch thực hiện dự án, kế hoạch lựa chọn nhà thầu, kế hoạch bố trí vốn và chỉ số giá xây dựng (tính bằng tháng, quý, năm) phù hợp với loại công trình xây dựng có tính đến các khả năng biến động giá trong nước và quốc tế.
c) Đối với dự án có nhiều công trình hoặc dự án đã phê duyệt kế hoạch lựa chọn nhà thầu thì chi phí dự phòng trong dự toán xây dựng (tổng dự toán) là tổng chi phí dự phòng của các công trình hoặc các gói thầu xây dựng và chi phí dự phòng còn lại của dự án chưa phân bổ vào từng công trình, gói thầu xây dựng thuộc dự án. Chi phí dự phòng phân bổ cho từng công trình đối với dự án có nhiều công trình hoặc các gói thầu xây dựng đối với dự án đã phê duyệt kế hoạch lựa chọn nhà thầu được xác định dựa trên tính chất công việc, độ dài thời gian thực hiện công việc, yêu cầu kỹ thuật, điều kiện thực tế và các yếu tố khác. Việc quản lý chi phí dự phòng thực hiện theo quy định tại Điều 15 Thông tư này.
8. Phương pháp xác định chi phí xây dựng, chi phí thiết bị, chi phí khác, chi phí dự phòng được hướng dẫn cụ thể tại Phụ lục số 2 và Phụ lục số 3 ban hành kèm theo Thông tư này.
Điều 10. Dự toán gói thầu xây dựng
1. Dự toán gói thầu xây dựng bao gồm:
a) Dự toán gói thầu thi công xây dựng;
b) Dự toán gói thầu mua sắm vật tư, thiết bị công trình, thiết bị công nghệ;
c) Dự toán gói thầu lắp đặt thiết bị;
d) Dự toán gói thầu tư vấn đầu tư xây dựng;
đ) Dự toán gói thầu thiết kế và thi công xây dựng (EC);
e) Dự toán gói thầu thiết kế và mua sắm vật tư, thiết bị (EP);
g) Dự toán gói thầu mua sắm vật tư, thiết bị và thi công xây dựng (PC);
h) Dự toán gói thầu thiết kế - mua sắm vật tư, thiết bị và thi công xây dựng (EPC);
i) Dự toán gói thầu lập dự án - thiết kế - mua sắm vật tư, thiết bị và thi công xây dựng (chìa khóa trao tay);
k) Dự toán gói thầu xây dựng khác.
Dự toán gói thầu xây dựng xác định theo từng gói thầu, phù hợp với kế hoạch lựa chọn nhà thầu. Trường hợp đã có dự toán xây dựng công trình, tổng dự toán thì không lập dự toán gói thầu.
2. Nội dung các thành phần chi phí của dự toán gói thầu xây dựng
a) Dự toán gói thầu thi công xây dựng gồm các chi phí: chi phí trực tiếp, chi phí gián tiếp, thu nhập chịu thuế tính trước, thuế giá trị gia tăng, chi phí dự phòng cho yếu tố phát sinh khối lượng và yếu tố trượt giá .
b) Dự toán gói thầu mua sắm vật tư, thiết bị gồm các chi phí: mua sắm vật tư, thiết bị công trình và thiết bị công nghệ, thuế giá trị gia tăng; chi phí sản xuất, gia công chế tạo thiết bị phi tiêu chuẩn (nếu có); chi phí quản lý mua sắm thiết bị công trình của nhà thầu; chi phí đào tạo chuyển giao công nghệ (nếu có); chi phí vận chuyển, bảo hiểm và các loại phí (nếu có); chi phí liên quan khác; chi phí dự phòng cho yếu tố phát sinh khối lượng và yếu tố trượt giá.
c) Dự toán gói thầu lắp đặt thiết bị gồm các chi phí: lắp đặt, thí nghiệm, hiệu chỉnh, thuế giá trị gia tăng, chi phí liên quan khác, chi phí dự phòng cho yếu tố phát sinh khối lượng và yếu tố trượt giá.
d) Dự toán gói thầu tư vấn đầu tư xây dựng gồm các chi phí: chuyên gia, chi phí quản lý, chi phí khác, thu nhập chịu thuế tính trước, thuế và chi phí dự phòng cho yếu tố phát sinh khối lượng và yếu tố trượt giá.
đ) Dự toán gói thầu thiết kế và thi công xây dựng (EC) gồm dự toán nêu tại điểm a và điểm d khoản này.
e) Dự toán gói thầu thiết kế và mua sắm vật tư, thiết bị (EP) gồm dự toán nêu tại điểm b và điểm d khoản này.
g) Dự toán gói thầu mua sắm vật tư, thiết bị và thi công xây dựng (PC) gồm dự toán nêu tại điểm a và điểm b khoản này.
h) Dự toán gói thầu thiết kế - mua sắm vật tư, thiết bị - thi công xây dựng (EPC) gồm các khoản mục chi phí thiết kế; mua sắm vật tư, thiết bị và thi công xây dựng trong tổng mức đầu tư xây dựng được duyệt.
i) Dự toán gói thầu lập dự án - thiết kế - mua sắm vật tư, thiết bị và thi công xây dựng (chìa khóa trao tay) gồm các khoản mục chi phí trong tổng mức đầu tư xây dựng của dự án được quy định tại điểm b, c, d, đ, e và g khoản 4 Điều 4 Nghị định số 68/2019/NĐ-CP.
k) Nội dung chi phí của dự toán gói thầu xây dựng khác được xác định căn cứ vào phạm vi công việc của gói thầu.
3. Chủ đầu tư xác định dự toán gói thầu khi có đủ năng lực theo quy định của pháp luật. Trường hợp không đủ năng lực thì Chủ đầu tư được thuê các tổ chức, cá nhân tư vấn quản lý chi phí đủ điều kiện năng lực theo quy định tại Nghị định về quản lý dự án đầu tư xây dựng thực hiện xác định dự toán gói thầu xây dựng.
Điều 11. Căn cứ và phương pháp xác định dự toán gói thầu xây dựng
1. Căn cứ xác định dự toán gói thầu xây dựng được quy định như sau:
a) Trường hợp dự án đầu tư xây dựng đã được người có thẩm quyền phê duyệt kế hoạch lựa chọn nhà thầu, thì dự toán xây dựng có thể được xác định trên cơ sở chi phí của từng gói thầu xây dựng. Khi đó, các chi phí thuộc gói thầu xây dựng được xác định tương tự cách xác định các thành phần chi phí trong dự toán xây dựng theo quy định tại Điều 10 Thông tư này.
b) Đối với các gói thầu được triển khai trước khi khi thiết kế kỹ thuật, thiết kế bản vẽ thi công, thiết kế FEED được duyệt, thì dự toán gói thầu được xác định trên cơ sở tổng mức đầu tư xây dựng được phê duyệt, phù hợp với kế hoạch lựa chọn nhà thầu, yêu cầu của hồ sơ mời thầu hoặc hồ sơ yêu cầu.
c) Đối với các gói thầu để thực hiện công tác chuẩn bị đầu tư, thì dự toán gói thầu được thực hiện trên cơ sở nhiệm vụ, đề cương công việc cần thực hiện và dự toán cho công tác chuẩn bị đầu tư, phù hợp với kế hoạch lựa chọn nhà thầu, yêu cầu của hồ sơ mời thầu hoặc hồ sơ yêu cầu.
d) Đối với gói thầu chìa khóa trao tay, dự toán gói thầu được xác định trên cơ sở sơ bộ tổng mức đầu tư xây dựng được phê duyệt phù hợp với báo cáo nghiên cứu tiền khả thi, chủ trương đầu tư được phê duyệt, thiết kế sơ bộ và phạm vi gói thầu theo kế hoạch lựa chọn nhà thầu được phê duyệt, yêu cầu của hồ sơ mời thầu hoặc hồ sơ yêu cầu. Trường hợp căn cứ vào báo cáo nghiên cứu tiền khả thi, chủ trương đầu tư được phê duyệt, thiết kế sơ bộ chưa đủ cơ sở để xác định dự toán gói thầu chìa khóa trao tay thì chủ đầu tư phải triển khai làm rõ thiết kế sơ bộ, những yêu cầu, quy chuẩn, tiêu chuẩn áp dụng cho gói thầu để xác định các chi phí của gói thầu cho phù hợp.
2. Phương pháp xác định dự toán gói thầu xây dựng được hướng dẫn tại mục 2 Phụ lục số 2 ban hành kèm theo Thông tư này.
Điều 12. Thẩm định, thẩm tra và phê duyệt dự toán xây dựng
1. Nội dung thẩm định dự toán xây dựng thực hiện theo quy định tại khoản 2 Điều 10 Nghị định số 68/2019/NĐ-CP.
2. Thẩm quyền thẩm định và phê duyệt dự toán xây dựng thực hiện theo quy định tại khoản 3 và khoản 4 Điều 10 Nghị định số 68/2019/NĐ-CP. Riêng đối với dự toán gói thầu chìa khóa trao tay và các gói thầu hỗn hợp (EPC, EC, EP, PC) thì dự toán gói thầu phải được Người quyết định đầu tư tổ chức thẩm định và phê duyệt trước khi lựa chọn nhà thầu.
3. Mẫu báo cáo kết quả thẩm định, thẩm tra dự toán xây dựng theo hướng dẫn tại Phụ lục số 10 ban hành kèm theo Thông tư này.
Điều 13. Điều chỉnh dự toán xây dựng
1. Dự toán xây dựng đã phê duyệt được điều chỉnh trong các trường hợp theo quy định tại khoản 1, khoản 3 Điều 11 Nghị định số 68/2019/NĐ-CP và quy định như sau:
a) Đối với trường hợp điều chỉnh dự toán xây dựng do điều chỉnh thiết kế có thay đổi về địa chất công trình, tải trọng thiết kế, giải pháp kết cấu, vật liệu của kết cấu chịu lực, biện pháp tổ chức thi công ảnh hưởng đến an toàn chịu lực của công trình thì phải được Cơ quan chuyên môn về xây dựng thẩm định lại đối với những nội dung chi phí bị ảnh hưởng của việc điều chỉnh thiết kế xây dựng.
b) Đối với trường hợp điều chỉnh cơ cấu chi phí do trượt giá; điều chỉnh khối lượng theo thiết kế đã được thẩm định, phê duyệt hoặc thay đổi điều chỉnh thiết kế không thuộc trường hợp quy định tại điểm a khoản này, thì không phải thẩm định lại của Cơ quan chuyên môn về xây dựng. Chủ đầu tư có trách nhiệm tổ chúc thẩm định và phê duyệt các nội dung chi phí điều chỉnh sau khi có ý kiến chấp thuận của người quyết định đầu tư.
c) Người quyết định đầu tư phê duyệt dự toán xây dựng điều chỉnh đối với trường hợp điều chỉnh dự toán quy định tại điểm a khoản này. Trường hợp điều chỉnh cơ cấu dự toán xây dựng trong báo cáo kinh tế - kỹ thuật theo quy định tại điểm b khoản này thì chủ đầu tư phê duyệt dự toán xây dựng điều chỉnh.
2. Phương pháp xác định dự toán xây dựng điều chỉnh được hướng dẫn tại mục 3 Phụ lục số 2 ban hành kèm theo Thông tư này.
Điều 14. Giá gói thầu xây dựng
1. Giá gói thầu xây dựng là toàn bộ chi phí cần thiết để thực hiện gói thầu bao gồm: chi phí trực tiếp, chi phí gián tiếp, thu nhập chịu thuế tính trước, thuế, phí theo quy định của pháp luật và chi phí dự phòng cho khối lượng phát sinh, dự phòng cho yếu tố trượt giá cho các khối lượng công việc thuộc phạm vi của gói thầu trong kế hoạch lựa chọn nhà thầu được phê duyệt.
2. Căn cứ để xác định giá gói thầu xây dựng được quy định tại khoản 2 Điều 12 Nghị định số 68/2019/NĐ-CP.
3. Chi phí trực tiếp của giá gói thầu được xác định trên cơ sở dự toán xây dựng hoặc dự toán xây dựng công trình hoặc dự toán gói thầu xây dựng.
4. Chi phí gián tiếp của giá gói thầu xây dựng được xác định phù hợp với nội dung, phạm vi công việc của từng gói thầu.
5. Chi phí dự phòng trong giá gói thầu xây dựng được xác định phù hợp với tính chất công việc, thời gian thực hiện và hình thức hợp đồng của gói thầu gồm:
a) Chi phí dự phòng cho yếu tố khối lượng công việc phát sinh được tính bằng tỷ lệ phần trăm (%) trên tổng chi phí của gói thầu trước chi phí dự phòng. Trường hợp đối với những gói thầu khối lượng các công việc được xác định cụ thể, chính xác thì chủ đầu tư quyết định tỷ lệ dự phòng cho yếu tố khối lượng phát sinh và không vượt quá 5%.
b) Chi phí dự phòng cho yếu tố trượt giá được xác định trên cơ sở thời gian thực hiện của gói thầu và chỉ số giá xây dựng phù hợp với tính chất, loại công việc của gói thầu xây dựng, có tính đến các khả năng biến động giá trong nước và quốc tế.
c) Tùy từng gói thầu xây dựng, mức chi phí dự phòng trong giá gói thầu không được vượt mức chi phí dự phòng trong sơ bộ tổng mức đầu tư, tổng mức đầu tư, dự toán xây dựng, dự toán gói thầu đã được phê duyệt.
d) Phương pháp xác định chi phí dự phòng cho gói thầu xây dựng được thực hiện tương tự như đối với chi phí dự phòng trong tổng mức đầu tư, dự toán xây dựng.
6. Các chi phí của giá gói thầu xây dựng phải được xác định hoặc cập nhật tương ứng với mặt bằng giá ở thời điểm 28 ngày trước ngày đóng thầu. Trường hợp giá gói thầu xây dựng sau khi cập nhật cao hơn dự toán gói thầu hoặc dự toán xây dựng đã phê duyệt và làm vượt tổng mức đầu tư xây dựng của dự án, thì chủ đầu tư phải điều chỉnh chủng loại, xuất xứ vật tư, thiết bị đảm bảo yêu cầu về chất lượng, kỹ thuật nhưng có giá phù hợp để không vượt tổng mức đầu tư và báo cáo Người quyết định đầu tư quyết định. Người quyết định đầu tư quyết định sử dụng dự phòng phí khi xác định, hoặc cập nhật giá gói thầu.
Điều 15. Sử dụng chi phí dự phòng
Việc sử dụng chi phí dự phòng theo quy định tại khoản 4 Điều 11 Nghị định số 68/2019/NĐ-CP và quy định sau:
Người quyết đầu tư quyết định việc sử dụng chi phí dự phòng của dự án và dự toán xây dựng. Trong phạm vi chi phí dự phòng được Người quyết định đầu tư phê duyệt, chủ đầu tư quyết định việc sử dụng chi phí dự phòng cho phù hợp với đặc điểm, tính chất, thời gian thực hiện và điều kiện cụ thể của từng gói thầu xây dựng.
CHƯƠNG IV
ĐỊNH MỨC, GIÁ XÂY DỰNG CÔNG TRÌNH
Mục 1
Định mức xây dựng
Điều 16. Hệ thống định mức xây dựng
1. Hệ thống định mức xây dựng gồm định mức cơ sở, định mức dự toán xây dựng công trình và định mức chi phí được quy định tại Điều 13 và Điều 14 Nghị định số 68/2019/NĐ-CP.
2. Phương pháp xác định định mức xây dựng theo hướng dẫn tại Phụ lục số 6, Phụ lục số 7 và Phụ lục số 8 ban hành kèm theo Thông tư này.
Điều 17. Quản lý định mức xây dựng
Việc Quản lý hệ thống định mức xây dựng theo quy định tại Điều 15 Nghị định số 68/2019/NĐ-CP và quy định cụ thể như sau:
1. Định mức xây dựng mới là các định mức dự toán xây dựng chưa có trong hệ thống định mức xây dựng được ban hành hoặc các định mức xây dựng đã có tên công tác trong hệ thống định mức xây dựng được ban hành nhưng sử dụng công nghệ thi công khác.
2. Định mức xây dựng điều chỉnh là định mức được điều chỉnh thành phần hao phí, trị số định mức của định mức xây dựng đã được ban hành cho phù hợp với điều kiện thi công hoặc biện pháp thi công hoặc yêu cầu kỹ thuật của công trình cụ thể hoặc cả ba yếu tố này.
3. Khi sử dụng các định mức xây dựng nêu tại khoản 1 và khoản 2 Điều này để xác định đơn giá xây dựng nhưng cao hơn đơn giá xây dựng áp dụng định mức đã ban hành, thì chủ đầu tư phải báo cáo Người quyết định đầu tư hoặc Bộ trưởng Bộ Xây dựng, Bộ trưởng Bộ quản lý công trình xây dựng chuyên ngành, Chủ tịch Ủy ban nhân dân cấp tỉnh đối với các dự án đầu tư xây dựng do Thủ tướng Chính phủ quyết định đầu tư thống nhất với Bộ Xây dựng trước khi áp dụng.
Mục 2
Giá xây dựng công trình
Điều 18. Giá xây dựng công trình
1. Giá xây dựng công trình theo quy định tại Điều 16 Nghị định số 68/2019/NĐ-CP và được quy định như sau:
a) Đơn giá xây dựng chi tiết gồm đơn giá xây dựng chi tiết đầy đủ và không đầy đủ.
b) Giá xây dựng tổng hợp gồm giá xây dựng tổng hợp đầy đủ và không đầy đủ.
2. Nội dung chi phí cấu thành giá xây dựng công trình
a) Nội dung chi phí cấu thành đơn giá xây dựng chi tiết:
- Đơn giá xây dựng chi tiết không đầy đủ gồm chi phí trực tiếp về vật liệu, chi phí nhân công, chi phí máy và thiết bị thi công xây dựng.
- Đơn giá xây dựng chi tiết đầy đủ gồm chi phí trực tiếp, chi phí gián tiếp, thu nhập chịu thuế tính trước.
b) Nội dung chi phí cấu thành giá xây dựng tổng hợp được quy định như sau:
- Giá xây dựng tổng hợp không đầy đủ bao gồm chi phí trực tiếp về vật liệu, nhân công, máy và thiết bị thi công xây dựng và được tổng hợp từ đơn giá xây dựng chi tiết tại điểm a khoản này.
- Giá xây dựng tổng hợp đầy đủ bao gồm chi phí trực tiếp, chi phí gián tiếp, thu nhập chịu thuế tính trước, được tổng hợp từ đơn giá xây dựng chi tiết tại điểm a khoản này.
3. Giá các yếu tố chi phí trong giá xây dựng công trình
a) Giá vật liệu xây dựng là giá của một đơn vị vật liệu phù hợp với đơn vị tính trong định mức xây dựng (giá cho 1 m3 cát, 1 kg thép, 1 viên gạch xây, ...) do cơ quan nhà nước có thẩm quyền công bố hoặc giá thị trường.
b) Đơn giá nhân công xây dựng là giá tính cho một ngày công của công nhân xây dựng trực tiếp và được xác định theo hướng dẫn của Bộ trưởng Bộ Xây dựng.
c) Giá ca máy và thiết bị thi công xây dựng là giá bình quân tính cho một ca làm việc và được xác định theo hướng dẫn của Bộ trưởng Bộ Xây dựng.
4. Cơ sở xác định giá xây dựng công trình
a) Đơn giá xây dựng chi tiết được xác định trên cơ sở định mức xây dựng và giá của các yếu tố chi phí tương ứng hoặc được xác định theo giá thị trường phù hợp với thời điểm tính toán.
b) Giá xây dựng tổng hợp được xác định trên cơ sở tổng hợp từ đơn giá xây dựng chi tiết hoặc được xác định theo giá thị trường phù hợp với thời điểm tính toán.
5. Phương pháp xác định giá xây dựng công trình và giá vật liệu xây dựng thực hiện theo hướng dẫn tại Phụ lục số 4 ban hành kèm theo Thông tư này.
Điều 19. Quản lý giá xây dựng công trình
Việc quản lý giá xây dựng công trình thực hiện theo quy định tại Điều 17 Nghị định số 68/2019/NĐ-CP và quy định cụ thể như sau:
1. Ủy ban Nhân dân cấp tỉnh giao Sở Xây dựng chủ trì, phối hợp với các cơ quan có liên quan căn cứ vào hướng dẫn của Bộ trưởng Bộ Xây dựng để xác định và công bố giá vật liệu xây dựng, đơn giá nhân công xây dựng, giá ca máy và thiết bị thi công, chỉ số giá xây dựng làm cơ sở quản lý giá xây dựng công trình theo quy định tại khoản 2 Điều 35 Nghị định số 68/2019/NĐ-CP.
2. Chủ đầu tư, các đơn vị tư vấn (lập dự án đầu tư, thiết kế, thẩm tra), đơn vị thẩm định có trách nhiệm lựa chọn loại vật liệu xây dựng thông dụng, thân thiện với môi trường, tiết kiệm năng lượng, phổ biến trên thị trường khi lập báo cáo nghiên cứu tiền khả thi, báo cáo nghiên cứu khả thi, thiết kế xây dựng và xác định chi phí đầu tư xây dựng đảm bảo tiết kiệm chi phí, hiệu quả đầu tư và đáp ứng yêu cầu của dự án.
3. Trường hợp theo yêu cầu về kiến trúc, kết cấu, hoặc các yêu cầu khác của dự án phải lựa chọn các loại vật liệu xây dựng đặc thù, không phổ biển trên thị trường hoặc nhập khẩu thì phải được thuyết minh rõ trong báo cáo nghiên cứu tiền khả thi, báo cáo nghiên cứu khả thi hoặc thuyết minh thiết kế kỹ thuật, thiết kế bản vẽ thi công, thiết kế FEED và phải được Người quyết định đầu tư chấp thuận hoặc phê duyệt.
CHƯƠNG V
SUẤT VỐN ĐẦU TƯ XÂY DỰNG VÀ GIÁ XÂY DỰNG TỔNG HỢP
BỘ PHẬN KẾT CẤU CÔNG TRÌNH
Mục 1
Suất vốn đầu tư xây dựng công trình
Điều 20. Nội dung suất vốn đầu tư xây dựng công trình
1. Suất vốn đầu tư xây dựng công trình (sau đây viết tắt là suất vốn đầu tư) là mức chi phí cần thiết cho một đơn vị tính (diện tích, thể tích, chiều dài,...), công suất hoặc năng lực phục vụ,... theo thiết kế để xác định chi phí đầu tư xây dựng công trình.
2. Suất vốn đầu tư bao gồm các chi phí: xây dựng, thiết bị, quản lý dự án đầu tư xây dựng, tư vấn đầu tư xây dựng và một số khoản mục chi phí khác. Suất vốn đầu tư bao gồm thuế giá trị gia tăng cho các chi phí nêu trên.
Suất vốn đầu tư chưa bao gồm chi phí thực hiện một số loại công việc theo yêu cầu riêng của dự án/công trình xây dựng, cụ thể như:
a) Chi phí bồi thường, hỗ trợ và tái định cư gồm: chi phí bồi thường về đất, nhà, công trình trên đất, các tài sản gắn liền với đất, trên mặt nước và chi phí bồi thường khác theo quy định; các khoản hỗ trợ khi nhà nước thu hồi đất; chi phí tái định cư; chi phí tổ chức bồi thường, hỗ trợ và tái định cư; chi phí sử dụng đất, thuê đất trong thời gian xây dựng (nếu có); chi phí di dời, hoàn trả cho phần hạ tầng kỹ thuật đã được đầu tư xây dựng (nếu có) và các chi phí có liên quan khác;
b) Lãi vay trong thời gian thực hiện đầu tư xây dựng (đối với các dự án có sử dụng vốn vay);
c) Vốn lưu động ban đầu (đối với các dự án đầu tư xây dựng nhằm mục đích sản xuất, kinh doanh);
d) Chi phí dự phòng trong tổng mức đầu tư (dự phòng cho khối lượng công việc phát sinh và dự phòng cho yếu tố trượt giá trong thời gian thực hiện dự án);
đ) Một số chi phí có tính chất riêng biệt theo từng dự án gồm: đánh giá tác động môi trường và xử lý các tác động của dự án đến môi trường; đăng kiểm chất lượng quốc tế, quan trắc biến dạng công trình; chi phí kiểm định chất lượng công trình; gia cố đặc biệt về nền móng công trình; chi phí thuê tư vấn nước ngoài.
Điều 21. Nguyên tắc xác định suất vốn đầu tư xây dựng
1. Công trình xây dựng đại diện lựa chọn tính toán phải phù hợp với tiêu chuẩn xây dựng, quy chuẩn xây dựng, tiêu chuẩn ngành, quy định về phân loại, phân cấp công trình xây dựng, có xu hướng được đầu tư xây dựng và phù hợp với xu hướng phát triển của khoa học công nghệ, kinh tế - xã hội tại thời điểm xác định;
2. Đối với mỗi nhóm, loại công trình thì công trình điển hình phải được lựa chọn phù hợp với phân loại, phân cấp công trình xây dựng theo quy định;
3. Chỉ dẫn kỹ thuật, tiêu chuẩn xây dựng áp dụng để tính toán suất vốn đầu tư phải đầy đủ, rõ ràng;
4. Suất vốn đầu tư phải tính toán đầy đủ, hợp lý các chi phí cấu thành, bảo đảm mang tính đại diện, tổng hợp;
5. Số liệu, dữ liệu được sử dụng để xác định suất vốn đầu tư phải đảm bảo độ tin cậy và phù hợp với giai đoạn thiết kế;
6. Đơn vị tính sử dụng cho suất vốn đầu tư phải được lựa chọn phù hợp với loại công trình.
Điều 22. Phương pháp xác định suất vốn đầu tư xây dựng
Phương pháp xác định suất vốn đầu tư theo hướng dẫn tại Phụ lục số 5 ban hành kèm theo Thông tư này.
Mục 2
Giá xây dựng tổng hợp bộ phận kết cấu công trình
Điều 23. Nội dung giá xây dựng tổng hợp bộ phận kết cấu công trình
1. Giá xây dựng tổng hợp bộ phận kết cấu công trình bao gồm toàn bộ chi phí cần thiết để hoàn thành một khối lượng nhóm, loại công tác xây dựng, bộ phận kết cấu công trình xây dựng.
2. Giá xây dựng tổng hợp bộ phận kết cấu công trình gồm các khoản mục chi phí trực tiếp, gián tiếp, thu nhập chịu thuế tính trước và thuế giá trị gia tăng.
Điều 24. Nguyên tắc xác định giá xây dựng tổng hợp bộ phận kết cấu công trình
1. Công trình xây dựng đại diện lựa chọn tính toán phải phù hợp với tiêu chuẩn xây dựng, quy chuẩn xây dựng, tiêu chuẩn ngành, quy định về phân loại, phân cấp công trình xây dựng và được đầu tư xây dựng phổ biến tại thời điểm xác định;
2. Danh mục công tác xây dựng theo bộ phận kết cấu công trình phải thống nhất, khoa học, đảm bảo thuận tiện trong quá trình sử dụng. Bộ phận kết cấu công trình được lựa chọn phải cỏ đủ thông tin về ký hiệu, kích thước và số lượng để đo bóc khối lượng từ hồ sơ thiết kế;
3. Số liệu, dữ liệu được sử dụng để tính toán phải đảm bảo độ tin cậy và phù hợp với giai đoạn thiết kế;
4. Giá xây dựng tổng hợp bộ phận kết cấu công trình phải tính toán đầy đủ, hợp lý các chi phí cấu thành, bảo đảm mang tính đại diện, tổng hợp;
5. Chỉ dẫn kỹ thuật, tiêu chuẩn xây dựng áp dụng để tính toán Giá xây dựng tổng hợp bộ phận kết cấu công trình phải đầy đủ, rõ ràng;
6. Đơn vị tính giá xây dựng tổng hợp bộ phận kết cấu công trình phải được lựa chọn phù hợp với loại công tác tính toán.
Điều 25. Phương pháp xác định giá xây dựng tổng hợp bộ phận kết cấu công trình
Phương pháp xác định giá xây dựng tổng hợp bộ phận kết cấu công trình theo hướng dẫn tại Phụ lục số 5 ban hành kèm theo Thông tư này.
CHƯƠNG VI
TỔ CHỨC THỰC HIỆN
Điều 26. Xử lý chuyển tiếp
Việc xác định và quản lý chi phí đầu tư xây dựng trong giai đoạn chuyển tiếp quy định tại khoản 1 và 2 Điều 36 Nghị định số 68/2019/NĐ-CP, được quy định cụ thể như sau:
1. Dự án đầu tư xây dựng đã triển khai là dự án đã có quyết định đầu tư và đã triển khai các công việc sau khi dự án được phê duyệt như: đã thực hiện khảo sát phục vụ thiết kế xây dựng sau thiết kế cơ sở; đã lựa chọn nhà thầu thực hiện thiết kế xây dựng sau thiết kế cơ sở.
2. Dự án đầu tư xây dựng đã phê duyệt nhưng chưa triển khai là dự án đã được cấp có thẩm quyền quyết định đầu tư nhưng chưa triển khai các công việc như được nêu tại khoản 1 Điều này.
3. Các dự án đầu tư xây dựng khi điều chỉnh tổng mức đầu tư, điều chỉnh dự toán xây dựng thì việc điều chỉnh, cập nhật định mức, giá xây dựng, giá gói thầu thời điểm 28 ngày trước ngày mở thầu theo quy định các văn bản hiện hành tại thời điểm điều chỉnh do Người quyết định đầu tư quyết định trên cơ sở đảm bảo nguyên tắc hiệu quả, tiến độ và tiết kiệm chi phí của dự án.
4. Các gói thầu xây dựng đã đóng thầu, đã lựa chọn được nhà thầu, đã ký kết hợp đồng thì thực hiện theo nội dung hồ sơ mời thầu, hồ sơ dự thầu và nội dung hợp đồng đã ký kết.
Điều 27. Hiệu lực thi hành
1. Thông tư này có hiệu lực kể từ ngày 15/02/2020 và thay thế Thông tư số 06/2016/TT-BXD ngày 10/3/2016 hướng dẫn lập và quản lý chi phí đầu tư xây dựng công trình.
2. Trong quá trình thực hiện nếu có vướng mắc, cơ quan, tổ chức, cá nhân gửi ý kiến về Bộ Xây dựng để nghiên cứu, giải quyết.
|
Nơi nhận: - Thủ tướng, các PTT Chính phủ; - Các Bộ, cơ quan ngang Bộ, cơ quan thuộc Chính phủ; - HĐND, UBND các tỉnh, thành phố trực thuộc TW; - Văn phòng TW Đảng và các ban của Đảng; - Văn phòng Quốc hội; - Văn phòng Chính phủ; - Văn phòng Chủ tịch nước; - Toà án nhân dân tối cao; - Viện Kiểm sát nhân dân tối cao; - Cơ quan TW của các đoàn thể; - Cục kiểm tra văn bản - Bộ Tư pháp; - Các Tập đoàn kinh tế, Tổng công ty nhà nước; - Sở Xây dựng các tỉnh, thành phố trực thuộc TW; - Công báo; Website Chính phủ; Website Bộ Xây dựng; - Lưu: VP, Cục KTXD (100b). |
KT. BỘ TRƯỞNG THỨ TRƯỞNG
Bùi Phạm Khánh |
PHỤ LỤC SỐ 1
PHƯƠNG PHÁP XÁC ĐỊNH SƠ BỘ TỔNG MỨC ĐẦU TƯ XÂY DỰNG,
TỔNG MỨC ĐẦU TƯ XÂY DỰNG
(Ban hành kèm theo Thông tư số 09/2019/TT-BXD ngày 26/12/2019
của Bộ trưởng Bộ Xây dựng)
1. PHƯƠNG PHÁP XÁC ĐỊNH SƠ BỘ TỔNG MỨC ĐẦU TƯ
Căn cứ thông tin từ phương án thiết kế sơ bộ của dự án về quy mô, công suất hoặc năng lực phục vụ, sơ bộ tổng mức đầu tư được xác định theo công thức sau:
Công thức tổng quát ước tính sơ bộ tổng mức đầu tư xây dựng:
VSB = GSBbt,tđc + GSBXD + Gsbtb + GSBQLDA + Gsbtv + GsbK + Gsbdp (1.1)
Trong đó:
- VSB: sơ bộ tổng mức đầu tư của dự án đầu tư xây dựng;
- GSBBT,TĐC: chi phí bồi thường, hỗ trợ và tái định cư;
- GSBXD: chi phí xây dựng;
- Gsbtb: chi phí thiết bị;
- Gsbqlda: chi phí quản lý dự án;
- Gsbtv: chi phí tư vấn đầu tư xây dựng;
- GSBK: chi phí khác;
- GSBDP: chi phí dự phòng.
1.1. Phương pháp xác định sơ bộ tổng mức đầu tư theo suất vốn đầu tư xây dựng công trình
1.1.1. Chi phí bồi thường, hỗ trợ và tái định cư
Căn cứ dự kiến về địa điểm, diện tích mặt đất cần sử dụng cho dự án đầu tư xây dựng, việc ước tính chi phí bồi thường, hỗ trợ tái định cư theo diện tích đất cần sử dụng và các chế độ chính sách về thu hồi đất, bồi thường về đất, hỗ trợ khi Nhà nước thu hồi đất tại địa điểm dự kiến có dự án và các chế độ chính sách của Nhà nước có liên quan.
Khi có thể xác định được khối lượng phải bồi thường, hỗ trợ, tái định cư, việc ước tính chi phí bồi thường, hỗ trợ và tái định cư thì căn cứ vào khối lượng cần tính toán để xác định.
1.1.2. Chi phí xây dựng
Căn cứ phương án thiết kế sơ bộ của dự án thể hiện được quy mô, công suất hoặc năng lực phục vụ của công trình thuộc dự án thì chi phí xây dựng của dự án được ước tính như sau:
Chi phí xây dựng của dự án (GSbXD) bằng tổng chi phí xây dựng của các công trình thuộc dự án.
Chi phí xây dựng của công trình (GSbXDCT) được ước tính theo công thức sau:
GSbXDCT = P x SXS x kĐCXD + CCT-SXD (1.2)
Trong đó:
- P: quy mô, công suất hoặc năng lực phục vụ của công trình thuộc dự án;
- Sxd: suất chi phí xây dựng tính cho một đơn vị công suất hoặc năng lực phục vụ do Bộ Xây dựng ban hành, trường hợp chưa có suất vốn đầu tư được ban hành hoặc suất vốn đầu tư ban hành không phù hợp thì tham khảo suất chi phí từ các dự án, công trình tương tự.
- kĐCXD: hệ số điều chỉnh suất chi phí xây dựng. Hệ số này căn cứ vào thời điểm xây dựng, địa điểm xây dựng công trình, tiêu chuẩn kỹ thuật, công năng sử dụng, điều kiện xây dựng và các yếu tố khác có liên quan để xác định hệ số điều chỉnh hoặc sử dụng phương pháp chuyên gia, chỉ số giá xây dựng.
- CCT-SXD: các khoản mục chi phí thuộc dự án chưa được tính trong suất chi phí xây dựng công trình.
1.1.3. Chi phí thiết bị
1.1.3.1. Căn cứ phương án thiết kế sơ bộ thể hiện được quy mô, công suất hoặc năng lực phục vụ của công trình thuộc dự án thì chi phí thiết bị của dự án được ước tính như sau:
Chi phí thiết bị của dự án (GSbTB) bằng tổng chi phí thiết bị của các công trình thuộc dự án. Chi phí thiết bị của công trình (GSbTBCT) được ước tính theo công thức sau:
GSbTBCT = P x STB x kĐCTB + CCT-STB (1.3)
Trong đó:
- Stb: suất chi phí thiết bị công trình, thiết bị công nghệ tính cho một đơn vị công suất, năng lực phục vụ của công trình do Bộ Xây dựng ban hành, trường hợp chưa có suất chi phí thiết bị được ban hành hoặc suất chi phí ban hành không phù hợp thì tham khảo suất chi phí từ các dự án, công trình tương tự.
- kĐCTB: hệ số điều chỉnh suất chi phí thiết bị của công trình, phụ thuộc mức độ đầu tư, loại, cấp công trình, năng lực phục vụ của công trình và các yếu tố khác có liên quan để xác định hệ số điều chỉnh hoặc xác định bằng kinh nghiệm chuyên gia;
- Cct-stb: các khoản mục chi phí thuộc công trình chưa được tính trong suất chi phí thiết bị công trình.
1.1.3.2. Đối với phương án thiết kế sơ bộ chỉ có sơ lược về dây chuyền công nghệ, thiết bị thì chi phí thiết bị của dự án được ước tính từ các dữ liệu chi phí thiết bị của các dự án tương tự về loại, quy mô, tính chất dự án đã hoặc đang thực hiện, quy đổi về thời điểm tính toán.
1.1.4. Chi phí quản lý dự án, chi phí tư vấn đầu tư xây dựng, chi phí khác
Chi phí quản lý dự án (GSbQLDA), chi phí tư vấn đầu tư xây dựng (GsbTV) và chi phí khác (GSbK) được ước tính không vượt quá 15% của tổng chi phí xây dựng và chi phí thiết bị của dự án.
1.1.5. Chi phí dự phòng
Chi phí dự phòng (GSbDP) được xác định bằng tổng chi phí dự phòng cho yếu tố khối lượng công việc phát sinh, chi phí dự phòng cho yếu tố trượt giá (xác định như chi phí dự phòng trong tổng mức đầu tư tại mục 2.1.5 Phụ lục này).
Bảng 1.1. TỔNG HỢP SƠ BỘ TỔNG MỨC ĐẦU TƯ XÂY DỰNG
Dự án: .............................
Đơn vị tính:...
|
STT |
NỘI DUNG CHI PHÍ |
GIÁ TRỊ TRƯỚC THUẾ |
THUẾ GTGT |
GIÁ TRỊ SAU THUẾ |
|
[1] |
[2] |
[3] |
[4] |
[5] |
|
1 |
Chi phí bồi thường, hỗ trợ và tái định cư |
|
|
GSbBT, TĐC |
|
2 |
Chi phí xây dựng |
|
|
GSbXD |
|
3 |
Chi phí thiết bị |
|
|
GSbTB |
|
4 |
Chi phí quản lý dự án |
|
|
GSbQLDA |
|
5 |
Chi phí tư vấn đầu tư xây dựng |
|
|
GSbTV |
|
6 |
Chi phí khác |
|
|
GSbK |
|
7 |
Chi phí dự phòng |
|
|
GSbDP |
|
|
TỔNG CỘNG (1+2+3+4+5+6+7) |
|
|
VSb |
1.2. Phương pháp xác định sơ bộ tổng mức đầu tư xây dựng từ dữ liệu về chi phí các công trình tương tự
Đối với trường hợp khi phương án thiết kế sơ bộ của dự án chỉ thể hiện ý tưởng ban đầu về thiết kế xây dựng công trình, thông tin sơ bộ về quy mô, công suất hoặc năng lực phục vụ theo phương án thiết kế sơ bộ của dự án thì sơ bộ tổng mức đầu tư được ước tính từ dữ liệu chi phí của các dự án tương tự về loại, quy mô, tính chất đã hoặc đang thực hiện.
Các dự án tương tự là những dự án có cùng quy mô, tính chất dự án, các công trình xây dựng cùng loại, cấp công trình, công suất của dây chuyền công nghệ (đối với công trình sản xuất) tương tự nhau.
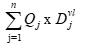
1.2.1. Trường hợp có đầy đủ thông tin, số liệu về chi phí đầu tư xây dựng của công trình, hạng mục công trình xây dựng tương tự đã hoặc đang thực hiện thì sơ bộ tổng mức đầu tư được xác định theo công thức sau:
Trong đó:
- n: số công trình, hạng mục công trình tương tự đã hoặc đang thực hiện;
- i: công trình, hạng mục công trình thứ i của dự án đã hoặc đang thực hiện;
- GTti: chi phí đầu tư xây dựng của công trình, hạng mục công trình tương tự thứ i của dự án đầu tư đã và đang thực hiện (i = 1÷n);
- Hti: hệ số qui đổi chi phí đầu tư xây dựng của công trình, hạng mục công trình thứ i về thời điểm xác định sơ bộ tổng mức đầu tư. Hệ số Hti được xác định bằng chỉ số giá xây dựng. Năm gốc chỉ số giá xây dựng phải thống nhất để sử dụng hệ số này.
- Hkvi: hệ số qui đổi chi phí đầu tư của công trình, hạng mục công trình thứ i cho phù hợp với khu vực xây dựng các công trình, hạng mục công trình của dự án đang xác định sơ bộ tổng mức đầu tư. Hệ số Hkvi xác định bằng phương pháp chuyên gia trên cơ sở so sánh mặt bằng giá khu vực nơi thực hiện đầu tư dự án và mặt bằng giá khu vực của dự án tương tự sử dụng để tính toán;
- CTti: chi phí bổ sung hoặc loại bỏ, giảm trừ đã tính trong chi phí đầu tư xây dựng công trình, hạng mục công trình tương tự đã thực hiện thứ i.
1.2.2. Trường hợp nguồn dữ liệu về chi phí đầu tư xây dựng của các công trình, hạng mục công trình tương tự của dự án đã và đang thực hiện chỉ có thể xác định được chi phí xây dựng và chi phí thiết bị của các công trình thì cần qui đối các chi phí này về thời điểm xác định sơ bộ tổng mức đầu tư, địa điểm xây dựng dự án và điều chỉnh, bổ sung chi phí cần thiết khác của chi phí xây dựng và thiết bị (nếu có). Đồng thời tính toán bổ sung các chi phí bồi thường, hỗ trợ và tái định cư, chi phí quản lý dự án, chi phí tư vấn đầu tư xây dựng, chi phí khác và chi phí dự phòng được xác định tương tự như hướng dẫn tại mục 1.1 Phụ lục này.
1.2.3. Việc xác định sơ bộ tổng mức đầu tư trên cơ sở từ nguồn dữ liệu các công trình tương tự thì Chủ đầu tư, nhà thầu tư vấn phải có trách nhiệm phân tích, đánh giá mức độ tương đồng của dự án.
1.3. Phương pháp xác định sơ bộ tổng mức đầu tư xây dựng từ khối lượng công tác xây dựng tổng hợp tính theo thiết kế sơ bộ, giá xây dựng tổng hợp bộ phận kết cấu công trình và các yêu cầu cần thiết khác
1.3.1. Khối lượng các công tác xây dựng; số lượng, khối lượng thiết bị được xác định từ hồ sơ thiết kế sơ bộ, phương án công nghệ, thuyết minh báo cáo nghiên cứu tiền khả thi, thuyết minh thiết kế sơ bộ, tiêu chuẩn áp dụng và các yêu cầu thực tế của dự án. Khối lượng các công tác xây dựng; số lượng, khối lượng thiết bị được đo bóc phù hợp giá xây dựng tổng hợp bộ phận kết cấu công trình và giá thiết bị sử dụng để tính toán sơ bộ tổng mức đầu tư.
1.3.2. Giá xây dựng tổng hợp bộ phận kết cấu công trình, giá thiết bị được xác định theo hướng dẫn tại Phụ lục số 5 ban hành kèm theo Thông tư này và giá thị trường.
1.3.3. Chi phí bồi thường, hỗ trợ và tái định cư, chi phí quản lý dự án, chi phí tư vấn đầu tư xây dựng, chi phí khác và chi phí dự phòng được xác định tương tự như hướng dẫn tại mục 1.1 Phụ lục này.
1.4. Phương pháp kết hợp để xác định sơ bộ tổng mức đầu tư xây dựng
Tùy theo điều kiện, yêu cầu cụ thể của dự án và nguồn cơ sở dữ liệu, thì có thể kết hợp các phương pháp nêu trên để xác định sơ bộ tổng mức đầu tư của dự án đầu tư xây dựng công trình.
2. PHƯƠNG PHÁP XÁC ĐỊNH TỔNG MỨC ĐẦU TƯ XÂY DỰNG
2.1. Phương pháp xác định khối lượng xây dựng tính theo thiết kế cơ sở, kế hoạch thực hiện dự án, biện pháp tổ chức thi công định hướng, các yêu cầu cần thiết khác của dự án và hệ thống định mức, đơn giá xây dựng, các chế độ, chính sách liên quan
Tổng mức đầu tư của dự án đầu tư xây dựng của dự án được tính theo công thức sau:
Vtm = Gbt, tđc +Gxd + Gtb + G QLDA + Gtv + Gk + Gdp (1.5)
Trong đó:
- Vtm: tổng mức đầu tư xây dựng của dự án;
- Gbt, tđc: chi phí bồi thường, hỗ trợ và tái định cư;
- Gxd: chi phí xây dựng;
- Gtb: chi phí thiết bị;
- Gqlda: chi phí quản lý dự án;
- GTV: chi phí tư vấn đầu tư xây dựng;
- Gk: chi phí khác;
- Gdp: chi phí dự phòng.
2.1.1. Xác định chi phí bồi thường, hỗ trợ và tái định cư
- Chi phí bồi thường, hỗ trợ và tái định cư xác định theo khối lượng phải bồi thường, hỗ trợ và tái định cư của dự án và các quy định hiện hành về giá bồi thường, tái định cư tại địa phương nơi xây dựng công trình, được cấp có thẩm quyền ban hành hoặc phê duyệt.
Khối lượng phải bồi thường, hỗ trợ và tái định cư của dự án khi kiểm kê, kê khai phải được đo đem cụ thể để xác định đúng, đủ về số lượng, khối lượng, tỷ lệ % còn lại của tài sản phải bồi thường, phải có ảnh chụp để lưu hồ sơ kiểm kê.
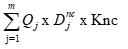
2.1.2. Xác định chi phí xây dựng
Chi phí xây dựng của dự án (GXD) bằng tổng chi phí xây dựng của các công trình thuộc dự án.

Chi phí xây dựng của công trình, hạng mục công trình thứ i (i=1÷n) thuộc dự án được xác định theo công thức sau:
Trong đó:
- GXDCTi: chi phí xây dựng của các công trình, hạng mục công trình thứ i thuộc dự án (i=1÷n);
- n: số công trình, hạng mục công trình thuộc dự án.
- QXDj: khối lượng công tác xây dựng, đơn vị kết cấu hoặc bộ phận kết cấu thứ j của công trình, hạng mục công trình thứ i thuộc dự án (j=1÷m) và được đo bóc phù hợp với Zj;
- Zj: giá xây dựng tổng hợp đầy đủ hoặc giá xây dựng tổng hợp bộ phận kết cấu công trình tương ứng với công tác xây dựng, đơn vị kết cấu hoặc bộ phận kết cấu thứ j của công trình. Trường hợp Zj là giá xây dựng công trình không đầy đủ thì chi phí xây dựng công trình, hạng mục công trình được tổng hợp theo Bảng 3.1 Phụ lục số 3 ban hành kèm theo Thông tư này;
2.1.3. Xác định chi phí thiết bị
Căn cứ vào điều kiện cụ thể của dự án và nguồn thông tin, số liệu có được có thể sử dụng một trong các phương pháp sau đây để xác định chi phí thiết bị của dự án:
2.1.3.1. Trường hợp dự án có các nguồn thông tin, số liệu chi tiết về thiết bị công trình và thiết bị công nghệ, số lượng, chủng loại, giá trị từng thiết bị hoặc giá trị toàn bộ dây chuyền công nghệ và giá một tấn, một cái hoặc toàn bộ dây chuyền thiết bị tương ứng thì chi phí thiết bị của dự án (Gtb) bằng tổng chi phí thiết bị của các công trình thuộc dự án.
Chi phí thiết bị của công trình được xác định theo phương pháp lập dự toán nêu ở mục 1.2 Phụ lục số 2 ban hành kèm theo Thông tư này.
2.1.3.2. Trường hợp dự án có thông tin về giá chào hàng đồng bộ về thiết bị công trình, thiết bị công nghệ của nhà sản xuất hoặc đơn vị cung ứng thiết bị thi chi phí thiết bị của dự án (GTB) có thể được lấy trực tiếp từ các báo giá hoặc giá chào hàng thiết bị đồng bộ này.
2.1.3.3. Trường hợp dự án chỉ có thông tin, dữ liệu chung về công suất, đặc tính kỹ thuật của thiết bị công trình, thiết bị công nghệ thì chi phí thiết bị có thể được xác định theo chỉ tiêu suất chi phí thiết bị tính cho một đơn vị công suất hoặc năng lực phục vụ của công trình và được xác định theo công thức (1.14) tại mục 2.3.2 Phụ lục này hoặc dự tính theo báo giá của nhà cung cấp, nhà sản xuất hoặc giá những thiết bị tương tự trên thị trường tại thời điểm tính toán hoặc của công trình có thiết bị tương tự đã và đang thực hiện.
2.1.4. Xác định chi phí quản lý dự án, chi phí tư vấn đầu tư xây dựng và các chi phí khác
Chi phí quản lý dự án (GQLDA), chi phí tư vấn đầu tư xây dựng (GTV) và chi phí khác (GK) được xác định theo định mức chi phí tỷ lệ hoặc bằng cách lập dự toán hoặc từ dữ liệu của các dự án tương tự đã thực hiện. Trong trường hợp ước tính thì tổng các chi phí này (không bao gồm lãi vay trong thời gian thực hiện dự án và vốn lưu động ban đầu) không vượt quá 15% tổng chi phí xây dựng và chi phí thiết bị của dự án.
Vốn lưu động ban đầu (VLđ) (đối với các dự án sản xuất, kinh doanh), lãi vay trong thời gian xây dựng (LVay) (đối với dự án có sử dụng vốn vay) và lãi của nhà đầu tư đối với dự án PPP thì tùy theo điều kiện cụ thể, tiến độ thực hiện và kế hoạch phân bổ vốn của từng dự án để xác định.
2.1.5. Xác định chi phí dự phòng
Chi phí dự phòng (GDP) được xác định bằng tổng của chi phí dự phòng cho yếu tố khối lượng công việc phát sinh (GDP1) và chi phí dự phòng do yếu tố trượt giá (GDP2) theo công thức:
GDP = GDP1 + GDP2 (1.8)
Chi phí dự phòng cho yếu tố khối lượng công việc phát sinh (GDP1) xác định theo công thức sau:
GDP1 = (GBT, TĐC + GXD + GTB + GQLDA + GTV + GK ) x kps (1.9)
Trong đó:
- kps: tỷ lệ dự phòng cho khối lượng công việc phát sinh, kps≤10%.
Đối với dự án đầu tư xây dựng chỉ lập báo cáo kinh tế - kỹ thuật đầu tư xây dựng thì kps≤5%.
Chi phí dự phòng do yếu tố trượt giá (GDP2) được xác định trên cơ sở độ dài thời gian xây dựng công trình của dự án, tiến độ phân bổ vốn theo năm, bình quân năm mức độ biến động giá xây dựng công trình của tối thiểu 3 năm gần nhất, phù hợp với loại công trình, theo khu vực xây dựng và phải tính đến xu hướng biên động của các yếu tố chi phí, giá cả trong khu vực và quốc tế. Chi phí dự phòng do yếu tố trượt giá (GDP2) được xác định theo công thức sau:

Trong đó:
- T: độ dài thời gian thực hiện dự án đầu tư xây dựng, T>1 (năm);
- t: số thứ tự năm phân bổ vốn theo kế hoạch thực hiện dự án, t = 1÷T;
- Vt: vốn đầu tư trước dự phòng theo kế hoạch thực hiện trong năm thứ t;
- LVayt: chi phí lãi vay của vốn đầu tư thực hiện theo kế hoạch trong năm thứ t.
- IXDCTbq: chỉ số giá xây dựng sử dụng tính dự phòng cho yếu tố trượt giá được xác định bằng cách tính bình quân các chỉ số giá xây dựng liên hoàn theo loại công trình của tối thiểu 3 năm gần nhất so với thời điểm tính toán (không tính đến những thời điểm có biến động bất thường về giá nguyên liệu, nhiên liệu và vật liệu xây dựng), được xác định theo công thức sau:

Trong đó:
T: số năm (năm gần nhất so với thời điểm tính toán sử dụng để xác định IXDCTbq b; T≥3;
In: chỉ số giá xây dựng năm thứ n được lựa chọn;
In+1: chỉ số giá xây dựng năm thứ n+1;
±ΔI XDCT: mức biến động bình quân của chỉ số giá xây dựng theo năm xây dựng công trình so với mức độ trượt giá bình quân của năm đã tính và được xác định trên cơ sở dự báo xu hướng biến động của các yếu tố chi phí giá cả trong khu vực và quốc tế bằng kinh nghiệm chuyên gia.
2.2. Phương pháp xác định từ dữ liệu về chi phí các công trình tương tự
Các dự án tương tự là những dự án có cùng quy mô, tính chất dự án, các công trình xây dựng cùng loại, cấp công trình, công suất của dây chuyền công nghệ (đối với công trình sản xuất) tương tự nhau.
Tùy theo tính chất, đặc thù của các dự án tương tự đã thực hiện và mức độ nguồn thông tin, dữ liệu của dự án có thể sử dụng một trong các phương pháp sau đây để xác định tổng mức đầu tư:
2.2.1. Trường hợp có đầy dủ thông tin, số liệu về chi phí đầu tư xây dựng của công trình, hạng mục công trình xây dựng tương tự thì tổng mức đầu tư được xác định theo công thức sau:
Trong đó:
- n: số công trình, hạng mục công trình của dự án tương tự;
- i: công trình, hạng mục công trình thứ i của dự án tương tự;
- GTti: chi phí đầu tư xây dựng của công trình, hạng mục công trình tương tự thứ i của dự án đầu tư (i = 1÷n);
- Hti: hệ số qui đổi chi phí đầu tư xây dựng của công trình, hạng mục công trình thứ i về thời điểm xác định tổng mức đầu tư. Hệ số Hti được xác định bằng chỉ số giá xây dựng. Năm gốc chỉ số giá xây dựng phải thống nhất để sử dụng hệ số này;
- Hkvi: hệ số qui đổi chi phí đầu tư của công trình, hạng mục công trình thứ i cho phù hợp với khu vực xây dựng các công trình, hạng mục công trình của dự án đang xác định tổng mức đầu tư. Hệ số Hkvi xác định bằng phương pháp chuyên gia trên cơ sở so sánh mặt bằng giá khu vực nơi thực hiện đầu tư dự án và mặt bằng giá khu vực của dự án tương tự sử dụng để tính toán;
- CTti: chi phí bổ sung hoặc loại bỏ, giảm trừ đã tính trong chi phí đầu tư xây dựng công trình, hạng mục công trình tương tự thứ i.
2.2.2. Trường hợp nguồn dữ liệu về chi phí đầu tư xây dựng của các công trình, hạng mục công trình tương tự của dự án chỉ có thể xác định được chi phí xây dựng và chi phí thiết bị của các công trình thì cần quy đổi các chi phí này về thời điểm lập xác định tổng mức đầu tư, địa điểm xây dựng dự án và điều chỉnh, bổ sung chi phí cần thiết khác của chi phí xây dựng và thiết bị (nếu có). Đồng thời tính toán bổ sung các chi phí bồi thường, hỗ trợ và tái định cư, chi phí quản lý dự án, chi phí tư vấn đầu tư xây dựng, chi phí khác và chi phí dự phòng được xác định tương tự như hướng dẫn tại mục 2.1 Phụ lục này.
2.2.3. Việc xác định tổng mức đầu tư trên cơ sở từ nguồn dữ liệu các công trình tương tự thì Chủ đầu tư, nhà thầu tư vấn phải có trách nhiệm phân tích, đánh giá mức độ tương đồng của dự án.
2.3. Phương pháp xác định theo suất vốn đầu tư xây dựng công trình
2.3.1. Xác định chi phí xây dựng
Chi phí xây dựng của dự án (GXD) bằng tổng chi phí xây dựng của các công trình, hạng mục công trình hoặc nhóm loại công tác xây dựng, đơn vị kết cấu hoặc bộ phận công trình thuộc dự án được xác định theo công thức (1.6) tại mục 2.1.2 Phụ lục này. Chi phí xây dựng của công trình, hạng mục công trình hoặc nhóm loại công tác xây dựng, đơn vị kết cấu hoặc bộ phận công trình (GXDCT) được xác định theo công thức sau:
GXDCT= SXD x P + CCT-SXD (1.13)
Trong đó:
- SXD: suất chi phí xây dựng tính cho một đơn vị công suất hoặc năng lực phục vụ do Bộ Xây dựng ban hành, trường hợp chưa có suất vốn đầu tư được ban hành hoặc suất vốn đầu tư ban hành không phù hợp thì tham khảo suất chi phí từ các dự án, công trình tương tự;
- P: công suất sản xuất hoặc năng lực phục vụ của công trình, hạng mục công trình hoặc nhóm loại công tác xây dựng, đơn vị kết cấu hoặc bộ phận công trình thuộc dự án;
- CCT-SXD: các khoản mục chi phí chưa được tính trong suất chi phí xây dựng hoặc chưa tính trong đơn giá xây dựng tổng hợp tính cho một đơn vị công suất, năng lực phục vụ của công trình, hạng mục công trình thuộc dự án.
2.3.2. Xác định chi phí thiết bị
Chi phí thiết bị công trình, thiết bị công nghệ của dự án (GTB) bằng tổng chi phí thiết bị công trình, thiết bị công nghệ của các công trình thuộc dự án. Chi phí thiết bị của công trình (GTBCT) được xác định theo công thức sau:
GTBCT = STB x P + CCT-STB (1-14)
Trong đó:
- STB: suất chi phí thiết bị công trình, thiết bị công nghệ tính cho một đơn vị công suất, năng lực phục vụ của công trình do Bộ Xây dựng ban hành, trường hợp chưa có suất chi phí thiết bị được ban hành hoặc suất chi phí ban hành không phù hợp thì tham khảo suất chi phí từ các dự án, công trình tương tự;
- P: công suất sản xuất hoặc năng lực phục vụ của công trình, hạng mục công trình hoặc nhóm loại công tác xây dựng, đơn vị kết cấu hoặc bộ phận công trình thuộc dự án xác định;
- CCT-STB: các khoản mục chi phí chưa được tính trong suất chi phí thiết bị công nghệ, thiết bị công trình của công trình thuộc dự án.
2.3. Xác định các khoản mục chi phí còn lại trong tổng mức đầu tư xây dựng
Chi phí bồi thường, hỗ trợ và tái định cư; chi phí quản lý dự án; chi phí tư vấn đầu tư xây dựng; chi phí khác và chi phí dự phòng được xác định như hướng dẫn tại mục 2.1 Phụ lục này.
2.4. Phương pháp kết hợp để xác định tổng mức đầu tư xây dựng
Tuỳ theo điều kiện, yêu cầu cụ thể của dự án và nguồn cơ sở dữ liệu, thì có thể kết hợp các phương pháp nêu trên để xác định tổng mức đầu tư của dự án đầu tư xây dựng công trình.
Bảng 1.2. TỔNG HỢP TỔNG MỨC ĐẦU TƯ XÂY DỰNG
Dự án:..............................................................................................................................
Chủ đầu tư/Cơ quan chuẩn bị dự án:..................................................................................
Tư vấn lập dự án:..............................................................................................................
Địa điểm XD:.....................................................................................................................
Thời điểm lập dự án: tháng/năm
Thời gian thực hiện dự án: từ tháng/năm đến tháng/năm
Nguồn vốn đầu tư:.............................................................................................................
Loại, cấp công trình có cấp cao nhất:..................................................................................
Đơn vị tính:...
|
TT |
NỘI DUNG CHI PHÍ |
GIÁ TRỊ TRƯỚC THUẾ |
THUẾ GTGT |
GIÁ TRỊ SAU THUẾ |
|
[1] |
[2] |
[3] |
[4] |
[5] |
|
1 |
Chi phí bồi thường, hỗ trợ và tái định cư |
|
|
GBT, TĐC |
|
2 |
Chi phí xây dựng |
|
|
GXD |
|
2.1 |
Công trình... |
|
|
|
|
2.2 |
Công trình |
|
|
|
|
2.2 |
Chi phí xây dựng công trình phụ trợ |
|
|
|
|
|
........................... |
|
|
|
|
3 |
Chi phí thiết bị |
|
|
GTB |
|
4 |
Chi phí quản lý dự án |
|
|
GQLDA |
|
5 |
Chi phí tư vấn đầu tư xây dựng |
|
|
GTV |
|
5.1 |
Chi phí lập báo cáo nghiên cứu khả thi đầu tư xây dựng |
|
|
|
|
5.2 |
Chi phí thiết kế xây dựng công trình |
|
|
|
|
5.3 |
Chi phí giám sát thi công xây dựng |
|
|
|
|
|
............................ |
|
|
|
|
6 |
Chi phí khác |
|
|
GK |
|
6.1 |
Chi phí rà phá bom mìn, vật nổ |
|
|
|
|
6.2 |
Chi phí bảo hiểm |
|
|
|
|
|
.............................. |
|
|
|
|
7 |
Chi phí dự phòng (GDP1 + GDP2) |
|
|
GDP |
|
7.1 |
Chi phí dự phòng cho yếu tố khối lượng công việc phát sinh |
|
|
GDP1 |
|
7.2 |
Chi phí dự phòng cho yếu tố trượt giá |
|
|
GDP2 |
|
|
TỔNG CỘNG (1+2+3+4+5+6+7) |
|
|
VTM |
|
NGƯỜI LẬP (Ký, họ tên) |
NGƯỜI CHỦ TRÌ (Ký, họ tên) |
Chứng chỉ hành nghề định giá XD hạng ..., số ...
PHỤ LỤC SỐ 2
PHƯƠNG PHÁP XÁC ĐỊNH DỰ TOÁN XÂY DỰNG
(Ban hành kèm theo Thông tư số 09/2019/TT-BXD ngày 26/12/2019
của Bộ trưởng Bộ Xây dựng)
1. DỰ TOÁN XÂY DỰNG CÔNG TRÌNH
- Dự toán xây dựng công trình được xác định theo công thức 2.1 sau đây và được tổng hợp theo Bảng 2.1:
GXDCT = GXD + GTB + GQLDA + GTV + GK + GDP (2.1)
Trong đó:
- GXDCT: chi phí xây dựng công trình;
- GXD: chi phí xây dựng;
- GTB: chi phí thiết bị;
- GQLDA: chi phí quản lý dự án;
- GTV: chi phí tư vấn đầu tư xây dựng;
- GK: chi phí khác;
- GDP: chi phí dự phòng.
1.1. Xác định chi phí xây dựng (GXD)
Các thành phần chi phí được xác định theo từng chi phí hoặc tổng hợp các nội dung chi phí theo một trong các phương pháp hướng dẫn tại Phụ lục số 3 ban hành kèm theo Thông tư này.
1.2. Xác định chi phí thiết bị (GTB)
Chi phí thiết bị công trình (GTB) được xác định theo công thức sau:
GTB = GMS + GGC + GQLMSTB + GCN + GĐT + GLĐ + GCT + GK (2.2)
Trong đó:
- GMS: chi phí mua sắm thiết bị công trình và thiết bị công nghệ;
- GGC: chi phí gia công, chế tạo thiết bị phi tiêu chuẩn;
- GQLMSTBCT: chi phí quản lý mua sắm thiết bị của nhà thầu;
- GCN: chi phí mua bản quyền công nghệ;
- GĐT : chi phí đào tạo và chuyển giao công nghệ;
- GLĐ: chi phí lắp đặt thiết bị và thí nghiệm, hiệu chỉnh thiết bị;
- GCT: chi phí chạy thử thiết bị theo yêu cầu kỹ thuật;
- GK : Chi phí liên quan khác.
1.2.1. Chi phí mua sắm thiết bị công trình và thiết bị công nghệ được xác định theo công thức sau:

Trong đó:
- Qi: khối lượng hoặc số lượng thiết bị (nhóm thiết bị) thứ i (i = 1÷n) cần mua;
- Mi: giá tính cho một đơn vị khối lượng hoặc một đơn vị số lượng thiết bị (nhóm thiết bị) thứ i (i = 1÷n), được xác định theo công thức:
Mi= Gg + Cvc + Clk + Cbq + T (2.4)
Trong đó:
- Gg: giá thiết bị ở nơi mua hay giá tính đến cảng Việt Nam và các phí bảo hiểm, thuế nhập khấu,...theo quy định của pháp luật (đối với thiết bị nhập khẩu) đã bao gồm chi phí thiết kế và giám sát chế tạo thiết bị;
- Cvc: chi phí vận chuyển một đơn vị khối lượng hoặc một đơn vị số lượng thiết bị (nhóm thiết bị) từ nơi mua hay từ cảng Việt Nam hoặc từ nơi gia công, chế tạo đến hiện trường công trình;
- Clk: chi phí lưu kho, lưu bãi, lưu container một đơn vị khối lượng hoặc một đơn vị số lượng thiết bị (nhóm thiết bị) tại cảng Việt Nam đối với thiết bị nhập khẩu;
- Cbq: chi phí bảo quản, bảo dưỡng một đơn vị khối lượng hoặc một đơn vị số lượng thiết bị (nhóm thiết bị) tại hiện trường;
- T: các loại thuế và phí có liên quan.
Đối với những thiết bị chưa đủ điều kiện xác định được giá theo công thức (2.4) thì có thể dự tính trên cơ sở lựa chọn mức giá phù hợp nhất giữa các báo giá của nhà sản xuất hoặc nhà cung ứng thiết bị (trừ những loại thiết bị lần đầu xuất hiện trên thị trường và chi có duy nhất trên thị trường) đảm bảo đáp ứng yêu cầu cung cấp thiết bị cho công trình hoặc giá những thiết bị tương tự công suất, công nghệ và xuất xứ trên thị trường tại thời điểm tính toán hoặc của công trình có thiết bị tương tự đã và đang thực hiện. Trong quá trình xác định chi phí đầu tư xây dựng, nhà thầu tư vấn có trách nhiệm xem xét, đánh giá mức độ phù hợp của giá thiết bị khi sứ dụng các báo giá nêu trên.
1.2.2. Chi phí gia công thiết bị phi tiêu chuẩn được xác định trên cơ sở khối lượng thiết bị cần sản xuất, gia công và giá sản xuất, gia công một tấn (hoặc một đơn vị tính) phù hợp với tính chất, chủng loại thiết bị theo hợp đồng sản xuất, gia công đã được ký kết hoặc căn cứ vào báo giá gia công sản xuất của nhà sản xuất được chủ đầu tư lựa chọn hoặc giá sản xuất, gia công thiết bị tương tự của công trình đã và đang thực hiện.
1.2.3. Chi phí quản lý mua sắm thiết bị của nhà thầu được xác định theo công thức sau:
GQLMSTB = GMS x tql (2.5)
Trong đó:
- GQLMSTB: chi phí quản lý mua sắm thiết bị của nhà thầu;
- GMS: chi phí mua sắm thiết bị;
- tql: định mức tỷ lệ phần trăm (%) được xác định trên chi phí mua sắm thiết bị (chưa có thuế VAT) được quy định tại Bảng 2.2 của Phụ lục này.
1.2.4. Chi phí mua bản quyền công nghệ được xác định theo giá cả tùy vào đặc tính cụ thể của từng công nghệ.
1.2.5. Chi phí đào tạo và chuyển giao công nghệ được xác định theo giá thị trường hoặc bằng cách lập dự toán, dự tính tuỳ theo đặc điểm cụ thể của từng dự án.
1.2.6. Chi phí lắp đặt thiết bị và chi phí thí nghiệm, hiệu chỉnh thiết bị được xác định bằng cách lập dự toán như đối với chi phí xây dựng.
1.2.7. Chi phí chạy thử thiết bị theo yêu cầu kỹ thuật, chi phí khác có liên quan được xác định bằng cách lập dự toán hoặc dự tính tuỳ theo đặc điểm cụ thể của từng dự án.
Chi phí thiết bị được tổng hợp theo Bảng 2.3 của Phụ lục này.
1.3. Xác định chi phí quản lý dự án (GQLDA)
1.3.1. Chi phí quản lý dự án được xác định theo công thức sau:
GQLDA = N x (GXDtt + GTBtt) (2.6)
Trong đó:
- N: định mức tỷ lệ phần trăm (%) chi phí quản lý dự án tương ứng với quy mô xây lắp và thiết bị đầu tư của dự án theo hướng dẫn của Bộ trưởng Bộ Xây dựng;
- GXDtt: chi phí xây dựng trước thuế giá trị gia tăng;
- GTBtt: chi phí thiết bị trước thuế giá trị gia tăng.
1.3.2. Trường hợp chi phí quản lý dự án được xác định theo hướng dẫn tại điểm 1.3.1 Phụ lục này không phù hợp thì được xác định bằng cách lập dự toán. Phương pháp lập dự toán theo hướng dẫn của Bộ trưởng Bộ Xây dựng.
1.4. Xác định chi phí tư vấn đầu tư xây dựng (GTV)
1.4.1. Chi phí tư vấn đầu tư xây dựng được xác định theo công thức sau:
Trong đó:
- Cj: chi phí tư vấn đầu tư xây dựng thứ i (i=1÷n) được xác định theo định mức tỷ lệ phần trăm (%) theo hướng dẫn của Bộ trưởng Bộ Xây dựng;
- Dj: chi phí tư vấn đầu tư xây dựng thứ j (j=1÷m) được xác định bằng cách lập dự toán theo hướng dẫn của Bộ trưởng Bộ Xây dựng.
1.4.2. Trường hợp một số công việc tư vấn đầu tư xây dựng thực hiện trước khi xác định dự toán xây dựng công trình thì chi phí tư vấn đầu tư xây dựng được xác định bằng giá trị hợp đồng tư vấn đó ký kết và phù hợp với quy định về quản lý chi phí.
1.5. Xác định chi phí khác (GK)
Chi phí khác được xác định theo công thức sau:
Trong đó:
- Ci: chi phí khác thứ i (i=1÷n) được xác định theo định mức tỷ lệ phần trăm (%) theo hướng dẫn của cơ quan có thẩm quyền;
- Dj: chi phí khác thứ j (j=1÷m) được xác định bằng lập dự toán;
- Ek: chi phí khác thứ k (k= 1÷1).
1.6. Xác định chi phí dự phòng (Gdp)
Chi phí dự phòng cho từng công trình của dự án được xác định theo 2 yếu tố: chi phí dự phòng cho yếu tố khối lượng công việc phát sinh và chi phí dự phòng cho yếu tố trượt giá.
Chi phí dự phòng được xác định theo công thức sau:
GDP = GDP1 + GDP2 (2.9)
Trong đó:
- GDP1: chi phí dự phòng cho yếu tố khối lượng công việc phát sinh được xác định theo công thức sau:
GDP = GXDCT x kps (2.10)
+ GXDCT1: giá trị dự toán xây dựng công trình trước chi phí dự phòng;
+ kps là hệ số dự phòng cho khối lượng công việc phát sinh, mức tỷ lệ này phụ thuộc vào mức độ phức tạp của công trình thuộc dự án và điều kiện địa chất công trình nơi xây dựng công trình và mức tỷ lệ là kps ≤ 5%.
- Gdp2: chi phí dự phòng cho yếu tố trượt giá (Gdp2) được xác định theo công thức sau:
Trong đó:
- T: thời gian xây dựng công trình xác định theo (quý, năm);
- t: số thứ tự thời gian phân bổ vốn theo kế hoạch xây dựng công trình (t=1÷T);
- GtXDCT: giá trị dự toán xây dựng công trình trước chi phí dự phòng thực hiện trong khoảng thời gian thứ t;
- IXDCTTbq : chỉ số giá xây dựng sử dụng tính dự phòng cho yếu tố trượt giá được xác định theo công thức (1.11) tại mục 2.1.5 Phụ lục số 1 ban hành kèm theo Thông tư này
±ΔI XDCT : mức biến động bình quân của chỉ số giá xây dựng theo thời gian xây dựng công trình so với mức độ trượt giá bình quân của đơn vị thời gian (quý, năm) đã tính và được xác định trên cơ sở dự báo xu hướng biến động của các yếu tố chi phí giá cả trong khu vực và quốc tế bằng kinh nghiệm chuyên gia.
Bảng 2.1. TỔNG HỢP DỰ TOÁN XÂY DỰNG CÔNG TRÌNH
Tên Dự án:........................................................................................................................
Tên Công trình:.................................................................................................................
Thời điểm lập dự toán (ngày, tháng, năm):..........................................................................
|
STT |
NỘI DUNG CHI PHÍ |
GIÁ TRỊ TRƯỚC THUẾ |
THUẾ GTGT |
GIÁ TRỊ SAU THUẾ |
KÝ HIỆU |
|
[1] |
12] |
[3] |
[4] |
[5] |
[6] |
|
1 |
Chi phí xây dựng |
|
|
|
GXD |
|
1.1 |
Chi phí xây dựng công trình |
|
|
|
|
|
1.2 |
Chi phí xây dựng công trình phụ trợ (trừ lán trại). |
|
|
|
|
|
... |
... |
|
|
|
|
|
2 |
Chi phí thiết bị |
|
|
|
GTB |
|
3 |
Chi phí quản lý dự án đầu tư |
|
|
|
gqlda |
|
4 |
Chi tư vấn đầu tư xây dựng |
|
|
|
gtv |
|
4.1 |
Chi phí thiết kế xây dựng công trình |
|
|
|
|
|
4.2 |
Chi phí giám sát thi công xây dựng |
|
|
|
|
|
... |
... |
|
|
|
|
|
5 |
Chi phí khác |
|
|
|
GK |
|
5.1 |
Chi phí rà phá bom mìn, vật nổ |
|
|
|
|
|
5.2 |
Chi phí bảo hiểm công trình |
|
|
|
|
|
5.3 |
... |
|
|
|
|
|
6 |
Chi phí dự phòng (GDP1 + GDP2) |
|
|
|
Gdp |
|
6.1 |
Chi phi dự phòng cho yếu tố khối lượng công việc phát sinh |
|
|
|
GDP1 |
|
6.2 |
Chi phí dự phòng cho yếu tố trượt giá |
|
|
|
GDP2 |
|
|
TỔNG CỘNG ( 1 + 2 + 3 + 4 + 5 + 6) |
|
|
|
GXDCT |
|
NGƯỜI LẬP (Ký, họ tên) |
NGƯỜI CHỦ TRÌ (Ký, họ tên) |
Bảng 2.2: ĐỊNH MỨC TỶ LỆ (%) CHI PHÍ QUẢN LÝ MUA SẮM THIẾT BỊ
Đơn vị tính: %
|
TT |
Khoản mục chi phí |
Chi phí mua sắm thiết bị chưa có thuế giá trị gia tăng (tỷ đồng) |
||
|
< 10.000 |
10.000 ÷ ≤20.000 |
>20.000 |
||
|
11] |
[2] |
[3] |
[4] |
[7] |
|
|
Chi phí quản lý mua sắm thiết bị của nhà thầu |
1,1 |
1 |
0,9 |
Bảng 2.3 TỔNG HỢP CHI PHÍ THIẾT BỊ
Tên Dự án: .......................
Tên Công trình:........................
Thời điểm lập dự toán (ngày, tháng, năm):......................
Đơn vị tính: đồng
|
STT |
NỘI DUNG CHI PHÍ |
GIÁ TRỊ TRƯỚC THUẾ |
THUẾ GTGT |
GIÁ TRỊ SAU THUẾ |
KÝ HIỆU |
|
[1] |
[2] |
[3] |
[4] |
[5] |
[6] |
|
1 |
Chi phí mua sắm thiết bị; Chi phí gia công, chế tạo thiết bị phi tiêu chuẩn |
|
|
|
Gms |
|
1.1 |
Chi phí mua sắm thiết bị |
|
|
|
|
|
1.1.1 |
Loại thiết bị 1 |
|
|
|
|
|
1.1.2 |
... |
|
|
|
|
|
1.2 |
Chi phí gia công, chế tạo thiết bị phi tiêu chuẩn |
|
|
|
|
|
1.2.1 |
Loại thiết bị 1 |
|
|
|
|
|
1.2.2 |
... |
|
|
|
|
|
2 |
Chi phí quản lý mua sắm thiết bị của nhà thầu |
|
|
|
Gqlmstb |
|
3 |
Chi phí mua bản quyền công nghệ |
|
|
|
Gcn |
|
4 |
Chi phí đào tạo và chuyển giao công nghệ |
|
|
|
Gđt |
|
5 |
Chi phí lắp dặt thiết bị và thí nghiệm, hiệu chinh thiết bị |
|
|
|
GLĐ |
|
6 |
Chi phí chạy thứ thiết bị theo ycu cầu kỹ thuật |
|
|
|
Gct |
|
7 |
Chi phí khác có liên quan (nếu có) |
|
|
|
Gki |
|
|
TỔNG CỘNG (1+2+3+4+5+6+7) |
|
|
|
Gtb |
|
NGƯỜI LẬP (Ký, họ tên) |
NGƯỜI CHỦ TRÌ (Ký, họ tên) |
Chứng chỉ hành nghề định giá XD hạng ... , số ...
2. DỰ TOÁN GÓI THẦU XÂY DỰNG
2.1. Dự toán gói thầu thi công xây dựng
Dự toán gói thầu thi công xây dựng được xác định theo công thức sau:
Ggtxu = Gxd + Gdpxd (2.12)
Trong đó:
- Ggtxd: dự toán gói thầu thi công xây dựng;
- Gxd: chi phí xây dựng của dự toán gói thầu thi công xây dựng;
- Gdpxd: chi phí dự phòng của dự toán gói thầu thi công xây dựng.
a) Chi phí xây dựng của dự toán gói thầu thi công xây dựng được xác định cho công trình, hạng mục công trình chính, công trình phụ trợ, công trình tạm phục vụ thi công thuộc phạm vi gói thầu thi công xây dựng, gồm chi phí trực tiếp, chi phí gián tiếp, thu nhập chịu thuế tính trước, thuế giá trị gia tăng.
Phương pháp xác định chi phí xây dựng của dự toán gói thầu thi công xây dựng theo hướng dẫn tại Phụ lục số 3 ban hành kèm theo Thông tư này.
b) Gdpxd: chi phí dự phòng của dự toán gói thầu thi công xây dựng được xác định bằng 2 yếu tố dự phòng chi phí cho yếu tố khối lượng công việc phát sinh và dự phòng chi phí cho yếu tố trượt giá.
Chi phí dự phòng trong dự toán gói thầu thi công xây dựng được xác định theo công thức sau:
Gdpxd = Gdpxd1 + Gdpxd2 (2.13)
Trong đó:
+ Gdp1: chi phí dự phòng cho yếu tố khối lượng công việc phát sinh của dự toán gói thầu thi công xây dựng được xác định theo công thức:
Gdpxd1 = Gxd x kps (2.14)
Kps là hệ số dự phòng cho khối lượng công việc phát sinh (Kps ≤ 5%).
+ Gdpxd2 : chi phí dự phòng cho yếu tố trượt giá của dự toán gói thầu thi công xây dựng được xác định như đối với chi phí dự phòng cho yếu tố trượt giá trong dự toán xây dựng công trình theo công thức (2.11) tại mục 1.6 Phụ lục này, trong đó Gtxdct là chi phí xây dựng của gói thầu thi công xây dựng.
Thời gian để tính chi phí dự phòng cho yếu tố trượt giá trong dự toán gói thầu thi công xây dựng là thời gian thực hiện gói thầu thi công xây dựng.
Tổng hợp nội dung của dự toán gói thầu thi công xây dựng theo Bảng 2.4 Phụ lục này.
2.2. Dự toán gói thầu mua sắm thiết bị
Dự toán gói thầu mua sắm thiết bị được xác định phù hợp với phạm vi công việc của gói thầu, các chỉ dẫn kỹ thuật, khối lượng, số lượng thiết bị, giá thiết bị và các chi phí có liên quan theo công thức sau:
Ggtmstb = Gms + Ggc + G qlmstb + G ĐT + GVC + GK + Gdpmstb (2.15)
Trong đó:
- Ggtmstb: dự toán gói thầu mua sắm thiết bị;
- Gms : chi phí mua sắm thiết bị công trình và thiết bị công nghệ đối với những thiết bị có sẵn trên thị trường;
- Ggc : chi phí gia công, chế tạo thiết bị phi tiêu chuẩn (nếu có);
- Gqlmstb: chi phí quản lý mua sắm thiết bị của nhà thầu;
- Gđt: chi phí đào tạo chuyển giao công nghệ;
- GVC : chi phí vận chuyển (nếu có);
- Gr: chi phí khác có liên quan;
- Gdpmstb : chi phí dự phòng trong dự toán gói thầu mua sắm thiết bị.
a) Dự toán gói thầu mua sắm thiết bị được tính toán và xác định căn cứ nhiệm vụ công việc phải thực hiện của gói thầu, các chỉ dẫn kỹ thuật, khối lượng công tác thực hiện của gói thầu và giá thiết bị; các chi phí khác có liên quan phù hợp với thời điểm xác định dự toán gói thầu.
Phương pháp xác định các nội dung chi phí trong dự toán gói thầu mua sắm thiết bị (chi phí mua sắm thiết bị công trình và thiết bị công nghệ; chi phí quản lý mua sắm thiết bị công trình của nhà thầu; chi phí đào tạo và chuyển giao công nghệ (nếu có); chi phí bảo hiểm và các loại phí (nếu có); chi phí liên quan khác) được xác định theo hướng dẫn tại mục 1.2 Phụ lục này.
b) Chi phí dự phòng của dự toán gói thầu mua sắm thiết bị được xác định bằng 2 yếu tố: dự phòng chi phí cho yếu tố khối lượng công việc phát sinh và dự phòng chi phí cho yếu tố trượt giá.
Chi phí dự phòng trong dự toán gói thầu mua sắm thiết bị được xác định theo công thức sau:
Gdptb = Gdptb1 + Gdptb2 (2.16)
Trong đó:
+ Gdp1: chi phí dự phòng cho yếu tố khối lượng công việc phát sinh của dự toán gói thầu mua sắm thiết bị được xác định theo công thức:
Gdptb1 = (Gms + Ggc + Gqlmstb + Gđt + GVC + GK) x Kps (2.17)
Kps là hệ số dự phòng cho khối lượng thiết bị phát sinh (Kps ≤ 5%).
Trường hợp đối với khối lượng các gói thầu thiết bị được xác định trên cơ sở danh mục thiết bị được phê duyệt thì không được tính chi phí dự phòng cho yếu tố khối lượng phát sinh.
+ Gdptb2 : chi phí dự phòng cho yếu tố trượt giá của dự toán gói thầu mua sắm vật tư, thiết bị công trình được xác định như đối với chi phí dự phòng cho yếu tố trượt giá trong dự toán xây dựng công trình theo công thức (2.11) tại mục 1.6 Phụ lục này, trong đó Gxdct là chi phí mua sắm thiết bị công trình và thiết bị công nghệ; chi phí gia công, chế tạo thiết bị phi tiêu chuẩn (nếu có); chi phí đào tạo, chuyển giao công nghệ; chi phí vận chuyển, bảo hiểm của gói thầu mua sắm vật tư, thiết bị công trình thực hiện trong khoảng thời gian thứ t.
Thời gian để tính chi phí dự phòng cho yếu tố trượt giá trong dự toán gói thầu mua sắm thiết bị là thời gian thực hiện gói thầu.
Tổng hợp nội dung của dự toán gói thầu mua sắm thiết bị theo Bảng 2.5 Phụ lục này.
2.3. Dự toán gói thầu lắp đặt thiết bị
Dự toán gói thầu lắp đặt thiết bị được xác định theo công thức sau:
Glđtb = Glđ + Gct + Gklđ + Gdplđ (2.18)
Trong đó:
- Gldtb: dự toán gói thầu lắp đặt thiết bị;
- Glđ: chi phí lắp đặt, thí nghiệm và hiệu chỉnh;
- Gct: chi phí chạy thử thiết bị theo yêu cầu kỹ thuật;
- Gklđ: chi phí khác có liên quan (nếu có);
- GDPLĐ: chi phí dự phòng trong dự toán gói thầu lắp đặt thiết bị.
a) Dự toán gói thầu lắp đặt thiết bị được tính toán và xác định bằng cách lập dự toán trên cơ sở khối lượng các công tác thực hiện của gói thầu và đơn giá xây dựng.
Phương pháp xác định các nội dung chi phí trong dự toán gói thầu lắp đặt thiết bị (chi phí lắp đặt, thí nghiệm và hiệu chỉnh) được xác định theo hướng dẫn tại mục 1.2.6 Phụ lục này.
b) Chi phí dự phòng của dự toán gói thầu lắp đặt thiết bị được xác định bằng 2 yếu tố: dự phòng chi phí cho yếu tố khối lượng công việc phát sinh và dự phòng chi phí cho yếu tố trượt giá.
Chi phí dự phòng trong dự toán gói thầu lắp đặt thiết bị được xác định theo công thức sau:
GDPLĐTB = GDPLĐTB1 + GDPLĐTB2 (2.19)
Trong đó:
+ GDPLĐTB1 chi phí dự phòng cho yếu tố khối lượng công việc phát sinh của dự toán gói thầu mua sắm thiết bị được xác định theo công thức:
GDPLĐTB1= (Glđ + Gct + Gk) x Kps (2.20)
Kps là hệ số dự phòng cho khối lượng công việc lắp đặt thiết bị phát sinh (Kps ≤ 5%).
+ GDPLĐTB2 : chi phí dự phòng cho yếu tố trượt giá của dự toán gói thầu lắp đặt vật tư, thiết bị vào công trình được xác định như đối với chi phí dự phòng cho yếu tố trượt giá trong dự toán xây dựng công trình theo công thức (2.11) tại mục 1.6 Phụ lục này, trong đó GtXDCT là chi phí lắp đặt, thí nghiệm, hiệu chỉnh; chi phí chạy thử nghiệm thiết bị theo yêu cầu kỹ thuật của gói thầu lấp đặt thiết bị vào công trình thực hiện trong khoảng thời gian thứ t.
Thời gian để tính chi phí dự phòng cho yếu tố trượt giá trong dự toán gói thầu lắp đặt thiết bị là thời gian thực hiện gói thầu được tính bằng tháng, quý, năm.
Tổng hợp nội dung của dự toán gói thầu lắp đặt thiết bị theo Bảng 2.6 Phụ lục này.
2.4 Dự toán gói thầu tư vấn đầu tư xây dựng
- Dự toán gói thầu tư vấn lập dự án đầu tư xây dựng, thiết kế xây dựng, giám sát thi công xây dựng, ... xác định bằng tỷ lệ % hoặc bằng cách lập dự toán (gồm chi phí chuyên gia, chi phí quản lý, chi phí khác, thu nhập chịu thuế tính trước) theo hướng dẫn của Bộ trưởng Bộ Xây dựng.
- Dự toán gói thầu tư vấn khảo sát xây dựng, thí nghiệm vật tư, vật liệu, cấu kiện và kết cấu xây dựng được lập dự toán như chi phí xây dựng theo hướng dẫn tại mục 1.1 Phụ lục này.
Tổng hợp nội dung của dự toán gói thầu tư vấn đầu tư xây dựng theo Bảng 2.7 Phụ lục này.
2.5 Dự toán gói thầu thiết kế và thi công xây dựng (EC)
Phương pháp xác định nội dung các chi phí thiết kế, chi phí xây dựng trong dự toán gói thầu EC được xác định theo hướng dẫn tại mục 2.1 và mục 2.4 Phụ lục này.
2.6 Dự toán gói thầu thiết kế và mua sắm vật tư, thiết bị (EP)
Phương pháp xác định nội dung các chi phí thiết kế, chi phí mua sắm vật tư, thiết bị trong dự toán gói thầu EP được xác định theo hướng dẫn tại mục 2.2 và mục 2.4 Phụ lục này.
2.7 Dự toán gói thầu mua sắm vật tư, thiết bị và thi công xây dựng (PC)
Phương pháp xác định nội dung các chi phí xây dựng, chi phí mua sắm vật tư, thiết bị trong dự toán gói thầu PC được xác định theo hướng dẫn tại mục 2.1 và mục 2.2 của Phụ lục này.
2.8 Dự toán gói thầu thiết kế - mua sắm vật tư, thiết bị và thi công xây dựng (EPC)
Phương pháp xác định nội dung các chi phí xây dựng, chi phí mua sắm vật tư, thiết bị, chi phí thiết kế trong dự toán gói thầu thầu EPC được xác định theo hướng dẫn tại mục 2.1, mục 2.2 và mục 2.4 Phụ lục này.
Bảng 2.4. TỔNG HỢP DỰ TOÁN GÓI THẦU THI CÔNG XÂY DỰNG
Tên dự án:.........................................................................................................................
Tên gói thầu:......................................................................................................................
Thời điểm lập dự toán gói thầu (ngày...tháng..năm...):..........................................................
Thời gian thực hiện gói thầu (....tháng...năm....):..................................................................
Đơn vị tính: đồng
|
STT |
NỘI DUNG CHI PHÍ |
GIÁ TRỊ TRƯỚC THUẾ |
THUẾ GTGT |
GIÁ TRỊ SAU THUẾ |
KÝ HIỆU |
|
[1] |
[2] |
[3] |
[4] |
[5] |
[6] |
|
1 |
Chi phí xây dựng của gói thầu |
|
|
|
GXD |
|
1.1 |
Chi phí xây dựng công trình |
|
|
|
|
|
1.2 |
Chi phí xây dựng hạng mục công trình |
|
|
|
|
|
1.3 |
Chi phí xây dựng công trình phụ trợ |
|
|
|
|
|
... |
... |
|
|
|
|
|
2 |
Chi phí dự phòng (GDPXD1 + GDPXD2) |
|
|
|
GDPXD |
|
2.1 |
Chi phí dự phòng cho yếu tố khối lượng phát sinh |
|
|
|
GDPXD1 |
|
2.2 |
Chi phí dự phòng cho yếu tố trượt giá |
|
|
|
GDPXD2 |
|
|
TỔNG CỘNG (1+2) |
|
|
|
GGTXD |
|
NGƯỜI LẬP
|
NGƯỜI CHỦ TRÌ Chứng chỉ hành nghề định giá XD hạng ..., số ...
|
Bảng 2.5. TỔNG HỢP DỰ TOÁN GÓI THẦU MUA SẮM THIẾT BỊ
Tên dự án:..........................................................................................................................
Tên gói thầu:......................................................................................................................
Thời điểm lập dự toán gói thầu (ngày...tháng..năm...):...........................................................
Thời gian thực hiện gói thầu (....tháng...năm....):...................................................................
Đơn vị tính: đồng
|
STT |
NỘI DUNG CHI PHÍ |
GIÁ TRỊ TRƯỚC THUẾ |
THUẾ GIÁ TRỊ GIA TĂNG |
GIÁ TRỊ SAU THUẾ |
KÝ HIỆU |
|
[1] |
[2] |
[3] |
[4] |
[5] |
[6] |
|
1 |
Chi phí mua sắm thiết bị |
|
|
|
GMS |
|
1.1 |
Chi phí mua sắm thiết bị công nghệ |
|
|
|
|
|
1.2 |
Chi phí mua sắm thiết bị công trình |
|
|
|
|
|
2 |
Chi phí gia công, chế tạo thiết bị phi tiêu chuẩn (nếu có) |
|
|
|
GGC |
|
3 |
Chi phí quản lý mua sắm thiết bị của nhà thầu |
|
|
|
GQLMSTB |
|
4 |
Chi phí đào tạo và chuyển giao công nghệ |
|
|
|
GDT |
|
5 |
Chi phí vận chuyển thiết bị (nếu có) |
|
|
|
GVC |
|
6 |
Chi phí khác liên quan (nếu có) |
|
|
|
Gk |
|
7 |
Chi phí dự phòng (GDPTB1 + GDPTB2) |
|
|
|
GDPTB |
|
7.1 |
Chi phí dự phòng cho yếu tố khối lượng phát sinh |
|
|
|
GDPTB1 |
|
7.2 |
Chi phí dự phòng cho yếu tố trượt giá |
|
|
|
GDPTB2 |
|
|
TỔNG CỘNG (1+2+3+4+5+6+7) |
|
|
|
GMSTB |
|
NGƯỜI LẬP (ký, họ tên)
|
NGƯỜI CHỦ TRÌ (ký, họ tên) Chứng chỉ hành nghề định giá XD hạng ..., số ...
|
Bảng 2.6. TỔNG HỢP DỰ TOÁN GÓI THẦU LẮP ĐẶT THIẾT BỊ
CÔNG TRÌNH
Tên dự án:.............................................................................................................
Tên gói thầu:.........................................................................................................
Thời điểm lập dự toán gói thầu (ngày... tháng... năm...):......................................
Thời gian thực hiện gói thầu (.... tháng... năm....):...............................................
Đơn vị tính: đồng
|
STT |
NỘI DUNG CHI PHÍ |
GIÁ TRỊ TRƯỚC THUẾ |
THUẾ GIÁ TRỊ GIA TĂNG |
GIÁ TRỊ SAU THUẾ |
KÝ HIỆU |
|
[1] |
[2] |
[3] |
[4] |
[5] |
[6] |
|
1 |
Chi phí lắp đặt, thí nghiệm hiệu chỉnh |
|
|
|
GLĐ |
|
1.1 |
- Chi phí lắp đặt thiết bị công nghệ |
|
|
|
|
|
1.2 |
- Chi phí lắp đặt thiết bị công trình |
|
|
|
|
|
2 |
Chi phí chạy thử nghiệm thiết bị theo yêu cầu kỹ thuật |
|
|
|
GCT |
|
3 |
Chi phí liên quan khác (nếu có) |
|
|
|
GK |
|
4 |
Chi phí dự phòng (GDPTB1 + GDPTB2) |
|
|
|
GDPTB |
|
4.1 |
- Chi phí dự phòng cho yếu tố khối lượng phát sinh |
|
|
|
GDPTB1 |
|
4.2 |
- Chi phí dự phòng cho yếu tố trượt giá |
|
|
|
GDPTB2 |
|
|
TỔNG CỘNG (1 + 2 + 3 + 4) |
|
|
|
GLĐTB |
NGƯỜI LẬP NGƯỜI CHỦ TRÌ
(Ký, họ tên) (Ký, họ tên)
Chứng chỉ hành nghề định giá XD hạng..., số...
Bảng 2.7. TỔNG HỢP DỰ TOÁN GÓI THẦU TƯ VẤN XÂY DỰNG
Tên dự án:.............................................................................................................
Tên gói thầu:.........................................................................................................
Thời điểm lập dự toán gói thầu (ngày... tháng.. năm...):......................................
Thời gian thực hiện gói thầu (.... tháng... năm....):...............................................
Đơn vị tính: đồng
|
STT |
NỘI DUNG CHI PHÍ |
GIÁ TRỊ TRƯỚC THUẾ |
THUẾ GIÁ TRỊ GIA TĂNG |
GIÁ TRỊ SAU THUẾ |
KÝ HIỆU |
|
[1] |
[2] |
[3] |
[4] |
[5] |
[6] |
|
1 |
Công việc tư vấn đầu tư xây dựng (ví dụ: lập dự án ĐTXD)... |
|
|
|
|
|
2 |
Công việc tư vấn đầu tư xây dựng (ví dụ: khảo sát xây dựng)... |
|
|
|
|
|
... |
... |
|
|
|
|
|
|
TỔng cỘng |
|
|
|
GGTTV |
NGƯỜI LẬP NGƯỜI CHỦ TRÌ
(Ký, họ tên) (Ký, họ tên)
Chứng chỉ hành nghề định giá XD hạng..., số...
3. DỰ TOÁN XÂY DỰNG CỦA DỰ ÁN (TỔNG DỰ TOÁN)
3.1. Dự án có nhiều công trình thì dự toán của dự án (tổng dự toán) bằng tổng các dự toán xây dựng công trình, chi phí quản lý dự án và chi phí tư vấn, chi phí khác, chi phí dự phòng có tính chất chung liên quan của dự án và được tổng hợp theo Bảng 2.8 Phụ lục này.
3.2. Đối với dự án đã được phê duyệt kế hoạch lựa chọn nhà thầu thì tổng dự toán gồm các dự toán của gói thầu xây dựng, chi phí quản lý dự án và chi phí tư vấn đầu tư xây dựng, chi phí khác, chi phí dự phòng có tính chất chung liên quan của dự án.
Bảng 2.8. TỔNG HỢP DỰ TOÁN XÂY DỰNG CỦA DỰ ÁN
Dự án:....................................................................................................................
Địa điểm XD:........................................................................................................
Đơn vị tính: đồng
|
STT |
NỘI DUNG CHI PHÍ |
GIÁ TRỊ TRƯỚC THUẾ |
THUẾ GTGT |
GIÁ TRỊ SAU THUẾ |
KÝ HIỆU |
|
[1] |
[2] |
[3] |
[4] |
[5] |
[6] |
|
1 |
Dự toán xây dựng |
|
|
|
GXD |
|
1.1 |
Dự toán xây dựng công trình thứ nhất |
|
|
|
GXDCT1 |
|
1.2 |
Dự toán xây dựng công trình thứ nhất |
|
|
|
GXDCT2 |
|
... |
... |
|
|
|
|
|
2 |
Chi phí quản lý dự án |
|
|
|
GQLDA |
|
3 |
Chi phí tư vấn đầu tư xây dựng khác chưa tính đến trong DTXDCT |
|
|
|
GTVDA |
|
4 |
Chi phí khác chưa tính đến trong DTXDCT |
|
|
|
GKDA |
|
5 |
Chi phí dự phòng |
|
|
|
GDPDA |
|
|
TỔNG CỘNG ( 1+2+3+4+5) |
|
|
|
GXDDA |
NGƯỜI LẬP NGƯỜI CHỦ TRÌ
(Ký, họ tên) (Ký, họ tên)
Chứng chỉ hành nghề định giá XD hạng..., số...
Trong đó:
+ GTVDA: chi phí tư vấn đầu tư xây dựng chung của dự án chưa tính trong dự toán xây dựng công trình;
+ GKDA: chi phí khác chưa tính trong dự toán xây dựng công trình;
+ GDPDA: chi phí dự phòng cho những khoản mục chưa tính trong dự toán xây dựng công trình.
4. PHƯƠNG PHÁP XÁC ĐỊNH DỰ TOÁN XÂY DỰNG CÔNG TRÌNH ĐIỀU CHỈNH
Dự toán xây dựng công trình điều chỉnh áp dụng cho trường hợp thiết kế thay đổi được sự chấp thuận của cấp có thẩm quyền. Đối với gói thầu đã ký hợp đồng thì việc xác định dự toán xây dựng công trình điều chỉnh chỉ áp dụng cho công việc phát sinh chưa có trong hợp đồng phải lập dự toán theo quy định về quản lý hợp đồng xây dựng và phải phù hợp với các nội dung đã thỏa thuận trong hợp đồng xây dựng.
Dự toán xây dựng công trình điều chỉnh (GDC) được xác định bằng dự toán xây dựng đã được phê duyệt (GPD) cộng (hoặc trừ) phần giá trị tăng (hoặc giảm). Phần giá trị tăng (hoặc giảm) là phần giá trị dự toán điều chỉnh (GPDC). Dự toán xây dựng công trình điều chỉnh xác định theo công thức sau:
GPDCi =
(2.21)
Phần dự toán xây dựng công trình điều chỉnh được xác định do yếu tố thay đổi khối lượng và yếu tố trượt giá:
GPDC = GPDCm + GPDCi (2.22)
Trong đó:
- GPDCm: phần dự toán xây dựng công trình điều chỉnh do yếu tố thay đổi khối lượng;
- GBSi: phần dự toán xây dựng công trình điều chỉnh do yếu tố trượt giá.
Dự toán xây dựng công trình điều chỉnh được tổng hợp theo Bảng 2.9 Phụ lục này.
4.1. Phần dự toán xây dựng điều chỉnh do yếu tố thay đổi khối lượng
Phần dự toán xây dựng điều chỉnh do yếu tố thay đổi khối lượng được xác định theo công thức sau:
GPDCm = GPDCXDm + GPDCTBm + GPDCTVm + GPDCKm (2.23)
4.1.1. Phần chi phí xây dựng điều chỉnh do yếu tố thay đổi khối lượng (GPDCXDm) được xác định theo công thức:
GPDCXDm =
(2.24)
Trong đó:
- Qi: khối lượng công tác xây dựng thay đổi (tăng, giảm, phát sinh);
- Di: đơn giá xây dựng tương ứng với khối lượng công tác xây dựng thay đổi tại thời điểm điều chỉnh.
4.1.2. Phần chi phí thiết bị điều chỉnh cho yếu tố thay đổi khối lượng (GPDCTBm) được xác định theo công thức:
GPDCTBm =
(2.25)
Trong đó:
- Qj: khối lượng loại thiết bị thay đổi (tăng, giảm, phát sinh);
- Dj: đơn giá thiết bị tương ứng với khối lượng thiết bị thay đổi tại thời điểm điều chỉnh.
4.1.3. Phần chi phí tư vấn đầu tư xây dựng điều chỉnh (GPDCTVm) và phần chi phí khác điều chỉnh GPDCKm) do yếu tố thay đổi khối lượng được xác định như mục 1.4 và mục 1.5 của Phụ lục này. Trong đó, khối lượng cần tính toán xác định là phần khối lượng thay đổi (tăng, giảm, phát sinh).
4.2. Phần dự toán xây dựng công trình điều chỉnh do yếu tố biến động giá
Phần dự toán xây dựng công trình điều chỉnh do yếu tố biến động giá được xác định theo công thức sau:
GPDCi =
(2.26)
Trong đó:
-
: phần chi phí xây dựng điều chỉnh;
-
: phần chi phí thiết bị điều chỉnh.
4.2.1. Xác định phần chi phí xây dựng điều chỉnh (
)
4.2.1.1. Phương pháp bù trừ trực tiếp
a) Xác định chi phí vật liệu điều chỉnh (VL)
Phần chi phí vật liệu điều chỉnh (VL) được xác định bằng tổng chi phí điều chỉnh của từng loại vật liệu thứ j (VLj ) theo công thức sau:
VL =
(j = 1 ¸ m) (2.27)
Phần chi phí điều chỉnh loại vật liệu thứ j được xác định theo công thức sau:
VLj =
(2.28)
Trong đó:
- QJiVL: lượng hao phí vật liệu thứ j của công tác xây dựng thứ i trong khối lượng xây dựng cần điều chỉnh (i=1¸n);
- CLJVL: giá trị chênh lệch giá của loại vật liệu thứ j tại thời điểm điều chỉnh so với giá vật liệu xây dựng trong dự toán được duyệt.
Giá vật liệu xây dựng tại thời điểm điều chỉnh được xác định trên cơ sở công bố giá vật liệu xây dựng của địa phương phù hợp với thời điểm điều chỉnh và mặt bằng giá thị trường tại nơi xây dựng công trình. Trường hợp giá vật liệu xây dựng theo công bố giá của địa phương không phù hợp với mặt bằng giá thị trường tại nơi xây dựng công trình và các loại vật liệu xây dựng không có trong công bố giá vật liệu xây dựng của địa phương thì giá của các loại vật liệu này được xác định trên cơ sở lựa chọn mức giá phù hợp giữa các báo giá của nhà sản xuất hoặc nhà cung ứng vật liệu xây dựng (trừ những loại vật liệu xây dựng lần đầu xuất hiện trên thị trường và chỉ có duy nhất trên thị trường) đảm bảo đáp ứng nhu cầu sử dụng vật liệu của công trình về tiến độ, khối lượng cung cấp, tiêu chuẩn chất lượng, kỹ thuật của vật liệu hoặc giá của loại vật liệu xây dựng có tiêu chuẩn, chất lượng tương tự đã và đang được sử dụng ở công trình khác.
b) Xác định chi phí nhân công điều chỉnh (NC)
Chi phí nhân công điều chỉnh được xác định theo công thức sau:
NC =
(2.29)
Trong đó:
- QiNC: lượng hao phí nhân công của công tác thứ i trong khối lượng xây dựng cần điều chỉnh (i = 1¸ n);
- CLiNC: giá trị chênh lệch đơn giá nhân công của công tác thứ i tại thời điểm điều chỉnh so với đơn giá nhân công trong dự toán được duyệt (i = 1 ¸ n).
Đơn giá nhân công tại thời điểm điều chỉnh được xác định theo công bố giá nhân công của địa phương hoặc theo hướng dẫn của Bộ trưởng Bộ Xây dựng phù hợp với quy định hiện hành.
c) Xác định chi phí máy thi công điều chỉnh (MTC)
Chi phí máy thi công điều chỉnh (MTC) được xác định bằng tổng chi phí điều chỉnh của từng loại máy thi công thứ j (MTCj ) theo công thức sau:
MTC =
(2.30)
Chi phí điều chỉnh máy thi công thứ j được xác định theo công thức sau:
MTCj =
(2.31)
Trong đó:
- QJiMTC: lượng hao phí máy thi công thứ j của công tác xây dựng thứ i trong khối lượng xây dựng cần điều chỉnh (i = 1 ¸ n);
- CLJMTC: giá trị chênh lệch giá ca máy thi công thứ j tại thời điểm điều chỉnh so với giá ca máy thi công trong dự toán được duyệt (i = 1 ¸ n).
Giá ca máy thi công tại thời điểm điều chỉnh được xác định theo quy định hiện hành.
Phần chi phí xây dựng điều chỉnh được tổng hợp theo Bảng 2.10 Phụ lục này.
4.2.1.2. Phương pháp theo chỉ số giá xây dựng
4.2.1.2.1. Trường hợp sử dụng chỉ số giá phần xây dựng
Chi phí xây dựng điều chỉnh (
) được xác định theo công thức sau:
(2.32)
Trong đó:
-
: chi phí xây dựng trong dự toán được duyệt của khối lượng xây dựng cần điều chỉnh;
-
: chỉ số giá phần xây dựng tại thời điểm điều chỉnh;
-
: chỉ số giá phần xây dựng tại thời điểm lập dự toán
.
Chỉ số giá phần xây dựng công trình được xác định theo quy định hiện hành.
4.2.1.2.2. Trường hợp sử dụng chỉ số giá xây dựng theo các yếu tố chi phí (chỉ số giá vật liệu xây dựng công trình, chỉ số giá nhân công xây dựng công trình, chỉ số giá máy thi công xây dựng công trình)
a) Xác định chi phí vật liệu điều chỉnh (VL)
Chi phí vật liệu điều chỉnh được xác định theo công thức sau:
(2.33)
Trong đó:
- GVL: chi phí vật liệu trong dự toán được duyệt của khối lượng xây dựng cần điều chỉnh;
- PVL: tỷ trọng chi phí vật liệu xây dựng công trình cần điều chỉnh trên chi phí vật liệu trong dự toán được duyệt;
-
: chỉ số giá vật liệu xây dựng công trình tại thời điểm điều chỉnh;
-
: chỉ số giá vật liệu xây dựng công trình tại thời điểm lập dự toán GVL.
Chỉ số giá vật liệu xây dựng công trình được xác định theo quy định hiện hành.
b) Xác định chi phí nhân công điều chỉnh (NC)
Chi phí nhân công điều chỉnh được xác định theo công thức sau:
NC = GNC x
(2.34)
Trong đó:
- GNC: chi phí nhân công trong dự toán được duyệt của khối lượng xây dựng cần điều chỉnh;
-
: chỉ số giá nhân công xây dựng công trình tại thời điểm điều chỉnh;
-
: chỉ số giá nhân công xây dựng công trình tại thời điểm lập dự toán GNC.
Chỉ số giá nhân công xây dựng công trình được xác định theo quy định hiện hành.
c) Xác định chi phí máy thi công điều chỉnh (MTC)
Chi phí máy thi công điều chỉnh được xác định theo công thức sau:
MTC = GMTC x
(2.35)
Trong đó:
- GMTC: chi phí máy thi công trong dự toán được duyệt của khối lượng xây dựng cần điều chỉnh;
-
: chỉ số giá máy thi công xây dựng công trình tại thời điểm điều chỉnh;
-
: chỉ số giá máy thi công xây dựng công trình tại thời điểm lập dự toán GMTC.
Chỉ số giá máy thi công xây dựng công trình được xác định theo quy định hiện hành.
Chi phí xây dựng điều chỉnh được tổng hợp như Bảng 2.10 của Phụ lục này.
4.2.1.3. Phương pháp kết hợp
Tùy theo các điều kiện cụ thể của từng công trình có thể sử dụng kết hợp các phương pháp trên để xác định chi phí xây dựng điều chỉnh cho phù hợp.
4.2.2. Xác định phần chi phí thiết bị điều chỉnh (
)
Chi phí thiết bị điều chỉnh được xác định bằng tổng của các chi phí mua sắm thiết bị điều chỉnh (
), chi phí lắp đặt thiết bị điều chỉnh, chi phí thí nghiệm hiệu chỉnh thiết bị điều chỉnh và các chi phí điều chỉnh khác.
4.2.2.1. Chi phí mua sắm thiết bị điều chỉnh (
)
Chi phí mua sắm thiết bị điều chỉnh được xác định theo công thức sau:
(2.36)
Trong đó:
-
: chi phí thiết bị trong dự toán được duyệt;
-
: chi phí thiết bị tại thời điểm cần điều chỉnh.
4.2.2.2. Chi phí lắp đặt thiết bị điều chỉnh và chi phí thí nghiệm hiệu chỉnh thiết bịđiều chỉnh được xác định như chi phí xây dựng điều chỉnh.
Bảng 2.9. TỔNG HỢP DỰ TOÁN XÂY DỰNG
CÔNG TRÌNH ĐIỀU CHỈNH
Dự án:...................................................................................................................
Tên công trình:......................................................................................................
Thời điểm điều chỉnh (ngày... tháng... năm...):....................................................
Đơn vị tính: đồng
|
STT |
NỘI DUNG |
GIÁ TRỊ TRƯỚC THUẾ |
THUẾ GIÁ TRỊ GIA TĂNG |
GIÁ TRỊ SAU THUẾ |
KÝ HIỆU |
|
[1] |
[2] |
[3] |
[4] |
[5] |
[6] |
|
I |
Dự toán xây dựng công trình đã được phê duyệt |
|
|
|
GPD |
|
II |
Phần dự toán xây dựng công trình điều chỉnh |
|
|
|
GPDC |
|
II.1 |
Phần dự toán công trình điều chỉnh cho yếu tố thay đổi khối lượng |
|
|
|
GPDCm |
|
II.2 |
Phần dự toán công trình điều chỉnh cho yếu tố biến động giá |
|
|
|
GBSi |
|
|
TỔNG CỘNG (I + II) |
|
|
|
GDC |
NGƯỜI LẬP NGƯỜI CHỦ TRÌ
(Ký, họ tên) (Ký, họ tên)
Chứng chỉ hành nghề định giá XD hạng..., số...
Bảng 2.10. TỔNG HỢP DỰ TOÁN PHẦN CHI PHÍ
XÂY DỰNG ĐIỀU CHỈNH
Dự án:....................................................................................................................
Tên công trình:.....................................................................................................
Thời điểm điều chỉnh (ngày... tháng... năm...):.....................................................
Đơn vị tính: đồng
|
STT |
NỘI DUNG CHI PHÍ |
CÁCH TÍNH |
GIÁ TRỊ |
KÝ HIỆU |
|
I |
CHI PHÍ TRỰC TIẾP |
|
|
|
|
1 |
Chi phí vật liệu |
|
|
VL |
|
2 |
Chi phí nhân công |
|
|
NC |
|
3 |
Chi phí máy và thiết bị thi công |
|
|
M |
|
|
Chi phí trực tiếp |
VL + NC + M |
|
T |
|
II |
CHI PHÍ GIÁN TIẾP |
|
|
|
|
1 |
Chi phí chung |
T x tỷ lệ |
|
C |
|
2 |
Chi phí nhà tạm để ở và điều hành thi công |
T x tỷ lệ |
|
LT |
|
3 |
Chi phí không xác định được khối lượng từ thiết kế |
T x tỷ lệ |
|
TT |
|
4 |
Chi phí gián tiếp khác |
Dự toán |
|
GTk |
|
|
Chi phí gián tiếp |
C + LT + TT + GTk |
|
GT |
|
III |
THU NHẬP CHỊU THUẾ TÍNH TRƯỚC |
(T + GT) x tỷ lệ |
|
TL |
|
|
Chi phí xây dựng trước thuế |
(T + GT + TL) |
|
G |
|
IV |
THUẾ GIÁ TRỊ GIA TĂNG |
G x TGTGT-XD |
|
GTGT |
|
|
Chi phí xây dựng sau thuế |
G + GTGT |
|
GXD |
PHỤ LỤC SỐ 3
PHƯƠNG PHÁP XÁC ĐỊNH DỰ TOÁN CHI PHÍ XÂY DỰNG
(Ban hành kèm theo thông tư số 09/2019/TT-BXD ngày 26/12/2019
của Bộ trưởng Bộ xây dựng)
Chi phí xây dựng được xác định cho công trình, hạng mục công trình, công trình phụ trợ, công trình tạm phục vụ thi công theo một trong các phương pháp sau:
1. PHƯƠNG PHÁP TÍNH THEO KHỐI LƯỢNG VÀ GIÁ XÂY DỰNG CÔNG TRÌNH
1.1 Xác định theo khối lượng và đơn giá xây dựng chi tiết của công trình
1.1.1 Khối lượng các công tác xây dựng được xác định từ hồ sơ thiết kế kỹ thuật hoặc thiết kế bản vẽ thi công hoặc thiết kế FEED, các chỉ dẫn kỹ thuật, yêu cầu kỹ thuật, nhiệm vụ công việc phải thực hiện của dự án, công trình, hạng mục công trình.
1.1.2 Đơn giá xây dựng chi tiết của công trình gồm: đơn giá không đầy đủ (bao gồm chi phí vật liệu, chi phí nhân công, chi phí máy và thiết bị thi công) hoặc đơn giá đầy đủ (gồm chi phí vật liệu, chi phí nhân công, chi phí máy và thiết bị thi công, chi phí gián tiếp và thu nhập chịu thuế tính trước). Chủ đầu tư căn cứ vào đặc điểm, tính chất và điều kiện cụ thể của từng công trình, gói thầu để quyết định việc sử dụng đơn giá xây dựng chi tiết không đầy đủ hoặc đầy đủ để xác định dự toán xây dựng.
Đơn giá xây dựng chi tiết của công trình được tổng hợp theo Bảng 3.3 Phụ lục này.
1.2 Xác định theo khối lượng và giá xây dựng tổng hợp
1.2.1 Khối lượng công tác xây dựng được xác định từ hồ sơ thiết kế kỹ thuật hoặc thiết kế bản vẽ thi công hoặc thiết kế FEED, các chỉ dẫn kỹ thuật, yêu cầu kỹ thuật, nhiệm vụ công việc phải thực hiện của công trình, hạng mục công trình và được tổng hợp theo nhóm, loại công tác xây dựng để tạo thành một đơn vị kết cấu hoặc bộ phận của công trình.
1.2.2 Giá xây dựng tổng hợp được lập tương ứng với danh mục và nội dung của khối lượng nhóm loại công tác xây dựng, đơn vị kết cấu, bộ phận của công trình.
Giá xây dựng tổng hợp gồm: giá xây dựng tổng hợp không đầy đủ (bao gồm chi phí vật liệu, chi phí nhân công, chi phí máy và thiết bị thi công) hoặc giá xây dựng tổng hợp đầy đủ (bao gồm chi phí vật liệu, chi phí nhân công, chi phí máy và thiết bị thi công, chi phí gián tiếp và thu nhập chịu thuế tính trước) được lập trên cơ sở đơn giá xây dựng chi tiết của công trình. Chủ đầu tư căn cứ vào đặc điểm, tính chất và điều kiện cụ thể của từng công trình, gói thầu để quyết định việc sử dụng giá xây dựng tổng hợp không đầy đủ hoặc đầy đủ để xác định dự toán xây dựng.
Giá xây dựng tổng hợp được tổng hợp theo Bảng 3.3 Phụ lục này.
Phương pháp lập giá xây dựng công trình theo hướng dẫn tại Phụ lục số 4 ban hành kèm theo Thông tư này.
Chi phí xây dựng tính theo khối lượng và đơn giá xây dựng chi tiết của công trình không đầy đủ và giá xây dựng tổng hợp không đầy đủ được xác định và tổng hợp theo Bảng 3.1 Phụ lục này.
Bảng 3.1. TỔNG HỢP DỰ TOÁN CHI PHÍ XÂY DỰNG TÍNH THEO
ĐƠN GIÁ XÂY DỰNG CHI TIẾT KHÔNG ĐẦY ĐỦ VÀ GIÁ XÂY DỰNG
TỔNG HỢP KHÔNG ĐẦY ĐỦ
Tên dự án:.........................................................................................................................
Tên công trình:...................................................................................................................
Thời điểm lập:....................................................................................................................
Đơn vị tính: đồng
|
STT |
NỘI DUNG CHI PHÍ |
CÁCH TÍNH |
GIÁ TRỊ |
KÝ HIỆU |
|
I |
CHI PHÍ TRỰC TIẾP |
|
|
|
|
1 |
Chi phí vật liệu |
|
|
VL |
|
2 |
Chi phí nhân công |
|
|
NC |
|
3 |
Chi phí máy và thiết bị thi công |
|
|
M |
|
|
Chi phí trực tiếp |
VL+NC+M |
|
T |
|
II |
CHI PHÍ GIÁN TIẾP |
|
|
|
|
1 |
Chi phí chung |
T x tỷ lệ |
|
c |
|
2 |
Chi phí nhà tạm để ở và điều hành thi công |
T x tỷ lệ |
|
LT |
|
3 |
Chi phí một số công việc không xác định được khối lượng từ thiết kế |
T x tỷ lệ |
|
TT |
|
4 |
Chi phí gián tiếp khác |
Dự toán |
|
GTk |
|
|
Chi phí gián tiếp |
C + LT + TT + GTk |
|
GT |
|
III |
THU NHẬP CHỊU THUẾ TÍNH TRƯỚC |
(T+GT) x tỷ lệ |
|
TL |
|
|
Chi phí xây dựng trước thuế |
(T+GT+TL) |
|
G |
|
IV |
THUẾ GIÁ TRỊ GIA TĂNG |
G x TGTGT-XD |
|
GTGT |
|
|
Chi phí xây dựng sau thuế |
G + GTGT |
|
|
|
NGƯỜI LẬP (ký, họ tên)
|
NGƯỜI CHỦ TRÌ (ký, họ tên) Chứng chỉ hành nghề định giá XD hạng ..., số ...
|
Trong đó:
- Trường hợp chi phí vật liệu, nhân công, máy và thiết bị thi công được xác định theo khối lượng và giá xây dựng tổng hợp không đầy đủ:
+ Qj là khối lượng một nhóm danh mục công tác hoặc một đơn vị kết cấu, bộ phận thứ j của công trình;
+ Djvl, Djnc, Djm là chi phí vật liệu, nhân công, máy và thiết bị thi công trong giá xây dựng tổng hợp một nhóm danh mục công tác hoặc một đơn vị kết cấu, bộ phận thứ j của công trình.
- Trường hợp chi phí vật liệu, nhân công, máy và thiết bị thi công được xác định theo cơ sở khối lượng và đơn giá xây dựng chi tiết của công trình không đầy đủ:
+ Qj là khối lượng công tác xây dựng thứ j;
+ Djvl, Djnc, Djm là chi phí vật liệu, nhân công, máy và thiết bị thi công trong đơn giá xây dựng chi tiết của công trình đối với công tác xây dựng thứ j.
Chi phí vật liệu (Djvl), chi phí nhân công (Djnc), chi phí máy và thiết bị thi công (Djm) trong đơn giá xây dựng chi tiết của công trình không đầy đủ và giá xây dựng tổng hợp không đầy đủ được tính toán và tổng hợp theo Bảng 3.4 Phụ lục này.
+ Định mức tỷ lệ chi phí gián tiếp và thu nhập chịu thuế tính trước được quy định tại Bảng 3.7, Bảng 3.8, Bảng 3.9, Bảng 3.10 và Bảng 3.11 Phụ lục này;
+ LT: chi phí nhà tạm để ở và điều hành thi công;
+ TT: chi phí một số công việc không xác định được khối lượng từ thiết kế;
+ GTk: chi phí gián tiếp khác;
+ G: chi phí xây dựng công trình, hạng mục công trình, bộ phận, phân việc, công tác trước thuế;
+ TGTGT-XD: mức thuế suất thuế GTGT quy định cho công tác xây dựng;
+ Knc: hệ số nhân công làm đêm (nếu có) và được xác định như sau:
Knc = 1 + tỷ lệ khối lượng công việc phải làm đêm x 30% (đơn giá nhân công của công việc làm việc vào ban đêm).
+ Km: hệ số máy thi công làm đêm (nếu có) và được xác định như sau:
Km = 1 - g + g x Knc
Trong đó: g là tỷ lệ tiền lương bình quân trong giá ca máy.
Khối lượng công việc phải làm đêm được xác định theo yêu cầu tiến độ thi công xây dựng của công trình và được chủ đầu tư thống nhất.
Chi phí xây dựng tính theo khối lượng và đơn giá xây dựng chi tiết của công trình đầy đủ và giá xây dựng tổng hợp đầy đủ được xác định và tổng hợp theo Bảng 3.2 Phụ lục này.
Bảng 3.2.TỔNG HỢP DỰ TOÁN CHI PHÍ XÂY DỰNG TÍNH THEO ĐƠN GIÁ
XÂY DỰNG CHI TIẾT ĐẦY ĐỦ VÀ GIÁ XÂY DỰNG TỔNG HỢP ĐẦY ĐỦ
Đơn vị tính:...
|
STT |
KHOẢN MỤC CHI PHÍ |
CÁCH TÍNH |
GIÁ TRỊ |
KÝ HIỆU |
|
1 |
Chi phí xây dựng trước thuế |
|
|
G |
|
2 |
Thuế giá trị gia tăng |
G x TGTGT-XD |
|
GTGT |
|
3 |
Chi phí xây dựng sau thuế |
G + GTGT |
|
GXD |
|
NGƯỜI LẬP (ký, họ tên)
|
NGƯỜI CHỦ TRÌ (ký, họ tên) Chứng chỉ hành nghề định giá XD hạng ..., số ...
|
Trong đó:
- Trường hợp chi phí xây dựng được xác định trên cơ sở khối lượng và giá xây dựng tổng hợp đầy đủ:
+ Qi là khối lượng một nhóm công tác hoặc một đơn vị kết cấu, bộ phận thứ i của công trình (i= 1÷n);
+ Di là giá xây dựng tổng hợp đầy đủ (bao gồm chi phí trực tiếp về vật liệu, nhân công, máy thi công, chi phí gián tiếp và thu nhập chịu thuế tính trước) để thực hiện một nhóm công tác hoặc một đơn vị kết cấu, bộ phận thứ i của công trình.
- Trường hợp chi phí xây dựng được xác định trên cơ sở khối lượng và đơn giá xây dựng chi tiết của công trình đầy đủ:
+ Qi là khối lượng công tác xây dựng thứ i của công trình (i= 1÷n);
+ Di là đơn giá xây dựng công trình đầy đủ (bao gồm chi phí trực tiếp về vật liệu, nhân công, máy thi công, chi phí gián tiếp và thu nhập chịu thuế tính trước) để thực hiện công tác xây dựng thứ i của công trình;
+ G: chi phí xây dựng công trình trước thuế;
+ Tgtgt-xd: mức thuế suất thuế giá trị gia tăng quy định cho công tác xây dựng;
+ GXD: chi phí xây dựng công trình sau thuế.
Trường hợp chi phí xây dựng lập cho bộ phận, phần việc, công tác thi chi phí xây dựng sau thuế trong dự toán công trình, hạng mục công trình được xác định theo công thức sau:

Trong đó:
- gi: chi phí xây dựng sau thuế của bộ phận, phần việc, công tác thứ i của công trình, hạng mục công trình (i= 1÷n).
Trên cơ sở mức độ tổng hợp hoặc chi tiết của các khối lượng công tác xây dựng xác định theo mục 1.1 và mục 1.2 Phụ lục này có thể kết hợp sử dụng đơn giá xây dựng chi tiết của công trình và giá xây dựng tổng hợp để xác định chi phí xây dựng trong dự toán xây dựng công trình.
Bảng 3.3. TỔNG HỢP GIÁ XÂY DỰNG CÔNG TRÌNH
Tên dự án:........................................................................................................................
Tên công trình:..................................................................................................................
PHẦN ĐƠN GIÁ XÂY DỰNG CHI TIẾT CỦA CÔNG TRÌNH
Stt. (Tên công tác xây dựng)
Thời điểm lập :..................................................................................................................
Đơn vị tính:...
|
MÃ HIỆU ĐƠN GIÁ |
MÃ HIỆU VL, NC, M |
THÀNH PHẦN HAO PHÍ |
ĐƠN VỊ TÍNH |
KHỐI LƯỢNG |
ĐƠN GIÁ |
THÀNH TIỀN |
|
[1] |
[2] |
[3] |
[4] |
[5] |
[6] |
[7] |
|
DG.1 |
|
Chi phí VL |
|
|
|
|
|
V.1 |
|
|
|
|
|
|
|
V.2 |
|
|
|
|
|
|
|
... |
|
|
|
|
|
|
|
|
Cộng |
|
|
|
VL |
|
|
|
Chi phí NC (theo cấp bậc thợ bình quân) |
công |
|
|
NC |
|
|
|
Chi phí MTC |
|
|
|
|
|
|
M.1 |
|
ca |
|
|
|
|
|
M.2 |
|
ca |
|
|
|
|
|
... |
|
|
|
|
|
|
|
|
Cộng |
|
|
|
M |
PHẦN GIÁ XÂY DỰNG TỔNG HỢP
Stt. (Tên nhóm loại công tác xây dựng, đơn vị kết cấu, bộ phận của công trình)
Đơn vị tính:...
|
MÃ HIỆU ĐƠN GIÁ |
THÀNH PHẦN CÔNG VIỆC |
ĐƠN VỊ TÍNH |
KHỐI LƯỢNG |
THÀNH PHẦN CHI PHÍ |
TỔNG CỘNG |
||
|
VẬT LIỆU |
NHÂN CÔNG |
MÁY |
|||||
|
[1] |
[2] |
[3] |
[4] |
[5] |
[6] |
[7] |
[8] |
|
DG.1 |
|
|
|
|
|
|
|
|
DG.2 |
|
|
|
|
|
|
|
|
... |
|
|
|
|
|
|
|
|
|
Cộng |
|
|
VL |
NC |
M |
Ʃ |
Ghi chú:
- Mã hiệu đơn giá, mã hiệu vật liệu, nhân công, máy thi công thể hiện bằng số và được thống nhất với mã hiệu định mức được cơ quan có thẩm quyền ban hành.
- Trường hợp xác định giá xây dựng tổng hợp đầy đủ thì bao gồm cả chi phí gián tiếp, thu nhập chịu thuế tính trước.
2. PHƯƠNG PHÁP TÍNH THEO KHỐI LƯỢNG HAO PHÍ VẬT LIỆU, NHÂN CÔNG, MÁY VÀ THIẾT BỊ THI CÔNG VÀ BẢNG GIÁ TƯƠNG ỨNG
Chi phí vật liệu, nhân công, máy và thiết bị thi công trong chi phí xây dựng có thể được xác định trên cơ sở tổng khối lượng hao phí vật liệu, nhân công, máy và thiết bị thi công cần thiết và bảng giá vật liệu, giá nhân công, giá máy và thiết bị thi công tương ứng.
2.1 Xác định tổng khối lượng hao phí vật liệu, nhân công, máy và thiết bị thi công
Tống khối lượng hao phí các loại vật liệu, nhân công, máy và thiết bị thi công được xác định trên cơ sở hao phí vật liệu, nhân công, máy và thiết bị thi công cho từng khối lượng công tác xây dựng của công trình, hạng mục công trình như sau:
- Xác định từng khối lượng công tác xây dựng của công trình, hạng mục công trình tại mục 1.1.1 Phụ lục này.
- Xác định khối lượng các loại vật liệu, nhân công, máy và thiết bị thi công tương ứng với từng khối lượng công tác xây dựng theo thiết kế kỹ thuật hoặc thiết kế bản vẽ thi công của công trình, hạng mục công trình thông qua mức hao phí về vật liệu, nhân công, máy và thiết bị thi công để hoàn thành một đơn vị khối lượng công tác xây dựng trên cơ sở các định mức kinh tế kỹ thuật do cơ quan nhà nước có thẩm quyền ban hành, quy chuẩn, tiêu chuẩn xây dựng, quy phạm kỹ thuật.
- Tính tổng khối lượng hao phí từng loại vật liệu, nhân công, máy và thiết bị thi công cho công trình, hạng mục công trình bằng cách tổng hợp hao phí tất cả các loại vật liệu, nhân công, máy và thiết bị thi công giống nhau của các công tác xây dựng khác nhau.
Khi tính toán cần xác định rõ số lượng, đơn vị, chủng loại, quy cách đối với vật liệu; số lượng ngày công cho từng cấp bậc công nhân; số lượng ca máy cho từng loại máy và thiết bị thi công theo thông số kỹ thuật chủ yếu và mà hiệu trong bảng giá ca máy và thiết bị thi công của công trình.
2.2 Xác định bảng giá vật liệu, giá nhân công, giá máy và thiết bị thi công
Giá vật liệu, giá nhân công, giá máy và thiết bị thi công được xác định trên cơ sở giá thị trường nơi xây dựng công trình hoặc theo hướng dẫn tại Phụ lục số 4 ban hành kèm theo Thông tư này.
- Xác định chi phí vật liệu, chi phí nhân công, chi phí máy và thiết bị thi công trong chi phí trực tiếp trên cơ sở tổng khối lượng hao phí từng loại vật liệu, nhân công, máy và thiết bị thi công và giá vật liệu, giá nhân công, giá máy và thiết bị thi công tương ứng theo Bảng 3.4 và Bảng 3.5 Phụ lục này.
Chi phí xây dựng tính theo tổng khối lượng hao phí vật liệu, nhân công, máy và thiết bị thi công được xác định và tổng hợp theo Bảng 3.6 Phụ lục này.
Bảng 3.4. HAO PHÍ VẬT LIỆU, NHÂN CÔNG, MÁY VÀ THIẾT BỊ THI
CÔNG CHO CÁC CÔNG TÁC XÂY DỰNG
|
STT |
Mã hiệu |
Tên công tác |
Đơn vị |
Khối lượn g |
Mức hao phí |
Khối lượng hao phí |
||||
|
Vật liệu |
Nhân công |
Máy |
Vật liệu |
Nhân công |
Máy |
|||||
|
[1] |
[2] |
[3] |
[4] |
[5] |
[6] |
[7] |
[8] |
[9] |
[10] |
[11] |
|
001 |
ĐM.001 |
Công tác thứ 1 |
m3 |
|
|
|
|
|
|
|
|
|
V.001 |
Cát mịn |
m3 |
|
|
|
|
|
|
|
|
|
V.002 |
Gạch chỉ |
viên |
|
|
|
|
|
|
|
|
|
|
... |
|
|
|
|
|
|
|
|
|
|
N.001 |
Nhân công 3/7 |
công |
|
|
|
|
|
|
|
|
|
N.002 |
Nhân công 3,5/7 |
công |
|
|
|
|
|
|
|
|
|
|
... |
|
|
|
|
|
|
|
|
|
|
M.001 |
Máy trộn vữa 80 lít |
ca |
|
|
|
|
|
|
|
|
|
M.002 |
Vận thăng 0.8T |
ca |
|
|
|
|
|
|
|
|
|
|
... |
|
|
|
|
|
|
|
|
|
002 |
ĐM.002 |
Công tác thứ 2 …. |
|
|
|
|
|
|
|
|
Bảng 3.5. TỔNG HỢP CHI PHÍ VẬT LIỆU, CHI PHÍ NHÂN CÔNG, CHI PHÍ
MÁY VÀ THIẾT BỊ THI CÔNG TRONG CHI PHÍ TRỰC TIẾP
Đơn vị tính: ...
|
STT |
Mã hiệu |
Nội dung |
Đơn vị |
Khối lượng |
Giá |
Thành tiền |
|
[1] |
[2] |
[3] |
[4] |
[5] |
[6] |
[7]=[5]x[6] |
|
I |
|
Vật liệu |
|
|
|
|
|
I.1 |
V.001 |
Cát mịn |
m3 |
|
|
|
|
I.2 |
V.002 |
Gạch chỉ |
viên |
|
|
|
|
... |
... |
... |
|
|
|
|
|
|
|
Tổng cộng |
|
|
|
VL |
|
II |
|
Nhân công |
|
|
|
|
|
II.1 |
N.001 |
Nhân công 3/7 |
công |
|
|
|
|
II.2 |
N.002 |
Nhân công 3,5/7 |
công |
|
|
|
|
... |
... |
... |
|
|
|
|
|
|
|
Tổng cộng |
|
|
|
NC |
|
III |
|
Máy thi công |
|
|
|
|
|
III.1 |
M.001 |
Máy trộn vữa 80 lít |
ca |
|
|
|
|
III.2 |
M.002 |
Vận thăng 0,8T |
ca |
|
|
|
|
... |
... |
... |
|
|
|
|
|
|
|
Tổng cộng |
|
|
|
M |
Ghi chú:
Nhu cầu về các loại vật liệu, nhân công, máy và thiết bị thi công (cột 5) được tổng hợp từ hao phí vật liệu, nhân công, máy và thiết bị thi công giống nhau của toàn bộ các công tác xây dựng của công trình, hạng mục công trình (cột 9, cột 10, cột 11 trong Bảng 3.4 Phụ lục này).
Bảng 3.6. TỔNG HỢP CHI PHÍ XÂY DỰNG TÍNH THEO KHỐI LƯỢNG
HAO PHÍ VẬT LIỆU, NHÂN CÔNG, MÁY VÀ THIẾT BỊ THI CÔNG VÀ
BẢNG GIÁ TƯƠNG ỨNG
Đơn vị tính: ...
|
STT |
NỘI DUNG CHI PHÍ |
CÁCH TÍNH |
GIÁ TRỊ |
KÝ HIỆU |
|
I |
CHI PHÍ TRỰC TIẾP |
|
|
|
|
1 |
Chi phí vật liệu |
Lấy từ Bảng 3.5 |
|
VL |
|
2 |
Chi phí nhân công |
Lấy từ Bảng 3.5 |
|
NC |
|
3 |
Chi phí máy và thiết bị thi công |
Lấy từ Bảng 3.5 |
|
M |
|
|
Chi phí trực tiếp |
VL+NC+M |
|
T |
|
II |
CHI PHÍ GIÁN TIẾP |
|
|
|
|
1 |
Chi phí chung |
T x tỷ lệ |
|
C |
|
2 |
Chi phí nhà tạm để ở và điều hành thi công |
T x tỷ lệ |
|
LT |
|
3 |
Chi phí một số công việc không xác định được khối lượng từ thiết kế |
T x tỷ lệ |
|
TT |
|
4 |
Chi phí gián tiếp khác |
Dự toán |
|
GTk |
|
|
Chi phí gián tiếp |
C + LT + TT + GTk |
|
GT |
|
III |
THU NHẬP CHỊU THUẾ TÍNH TRƯỚC |
(T+GT) x tỷ lệ |
|
TL |
|
|
Chi phí xây dựng trước thuế |
(T+GT+TL) |
|
G |
|
IV |
THUẾ GIÁ TRỊ GIA TĂNG |
G xTGTGT-XD |
|
GTGT |
|
|
Chi phí xây dựng sau thuế |
G + GTGT |
|
GXD |
|
NGƯỜI LẬP (ký, họ tên)
|
NGƯỜI CHỦ TRÌ (ký, họ tên) Chứng chỉ hành nghề định giá XD hạng ..., số ...
|
Trong đó:
- Định mức tỷ lệ chi phí chung theo Bảng 3.7 và Bảng 3.8 Phụ lục này;
- Định mức nhà tạm để ở và điều hành thi công theo hướng dẫn tại mục 3.1.2 Phụ lục này;
- Định mức chi phí một số công việc không xác định được khối lượng từ thiết kế theo hướng dẫn tại mục 3.1.3 Phụ lục này.
- Chi phí gián tiếp khác được xác định theo hướng dẫn tại mục 3.1.4 Phụ lục này;
- Định mức thu nhập chịu thuế tính trước theo hướng dẫn tại Bảng 3.11 Phụ lục này;
- G: chi phí xây dựng công trình, hạng mục công trình trước thuế;
- TGTGT-XD: mức thuế suất thuế giá trị gia tăng quy định cho công tác xây dựng;
- GXD: chi phí xây dựng công trình, hạng mục công trình sau thuế.
3. XÁC ĐỊNH CÁC CHI PHÍ LIÊN QUAN
3.1 Chi phí gián tiếp
3.1.1 Chi phí chung gồm:
- Chi phí quản lý tại doanh nghiệp, là chi phí quản lý của doanh nghiệp phân bổ cho công trình, gồm các chi phí: lương cho ban điều hành; lương cho người lao động; chi trả trợ cấp mất việc; chi phí đóng bảo hiểm cho người lao động theo quy định; chi phí phúc lợi; chi phí bảo trì văn phòng và các phương tiện; chi phí tiện ích văn phòng; chi phí thông tin liên lạc và giao thông đi lại; chi phí sử dụng tiện ích điện, nước; chi phí nghiên cứu và phát triển; chi phí quảng cáo; chi phí xã hội; chi phí tặng, biếu, từ thiện; chi phí thuê đất, văn phòng và chỗ ở; chi phí khấu hao; khấu hao chi phí nghiên cứu thử nghiệm; khấu hao chi phí phát triển; thuế, lệ phí, phí theo quy định; bảo hiểm tổn thất; chi phí bảo đảm hợp đồng; các chi phí khác.
- Chi phí điều hành sản xuất tại công trường là toàn bộ chi phí cho bộ máy quản lý của doanh nghiệp tại công trường, gồm các chi phí: chi phí quản lý lao động; điện nước tại công trường, chi phí huấn luyện an toàn; lương và phụ cấp cho người lao động bao gồm lương và các loại phụ cấp cho cán bộ, nhân viên tại văn phòng hiện trường; v.v...
- Chi phí bảo hiểm của người lao động trực tiếp mà người sử dụng lao động phải nộp cho Nhà nước theo quy định (bảo hiểm xã hội, bảo hiểm y tế, công đoàn, bảo hiếm thất nghiệp).
Chi phí chung được xác định bằng định mức tỷ lệ (%) trên chi phí trực tiếp. Định mức tỷ lệ (%) chi phí chung được xác định trên chi phí trực tiếp của từng loại, từng nhóm công trình trong tổng mức đầu tư hoặc dự toán xây dựng theo hướng dẫn tại Bảng 3.7 Phụ lục này.
Bảng 3.7: ĐỊNH MỨC TỶ LỆ (%) CHI PHÍ CHUNG
Đơn vị tính: %
|
TT |
Loại công trình thuộc dự án |
Chi phí trực tiếp của từng loại, từng nhóm công trình (tỷ đồng) |
||||
|
≤ 15 |
≤100 |
≤500 |
≤1000 |
>1000 |
||
|
[1] |
[2] |
[3] |
[4] |
[5] |
[6] |
[7] |
|
1 |
Công trình dân dựng |
7,3 |
6,7 |
6,2 |
6,0 |
5,8 |
|
|
Riêng công trình tu bổ, phục hồi di tích lịch sử, văn hoá |
11,6 |
10,3 |
9,9 |
9,6 |
9,4 |
|
2 |
Công trình công nghiệp |
6.2 |
5,6 |
5,0 |
4,9 |
4,6 |
|
|
Riêng công trình xây dựng đường hầm thủy điện, hầm lò |
7,3 |
7,1 |
6,7 |
6,5 |
6,4 |
|
3 |
Công trình giao thông |
6,2 |
5,6 |
5,1 |
4,9 |
4,6 |
|
|
Riêng công trình hầm giao thông |
7,3 |
7,1 |
6,7 |
6,5 |
6,4 |
|
4 |
Công trình nông nghiệp và phát triển nông thôn |
6,1 |
5,5 |
5,1 |
4,8 |
4,6 |
|
5 |
Công trình hạ tầng kỹ thuật |
5,5 |
5,0 |
4,5 |
4,3 |
4,0 |
Ghi chú:
- Trường hợp quy mô chi phí trực tiếp nằm trong khoảng quy mô chi phí tại Bảng 3.7 thì định mức tỷ lệ chi phí chung (Kc) được xác định bằng phương pháp nội suy theo công thức sau:

Trong đó:
+ Gt: chi phí trực tiếp trong dự toán đang cần xác định;
+ Ga: giá trị chi phí trực tiếp cận trên giá trị cần tính định mức;
+ Gb: giá trị chi phí trực tiếp cận dưới giá trị cần tính định mức;
+ Ka: Định mức tỷ lệ chi phí chung tương ứng với Ga;
+ Kb: Định mức tỷ lệ chi phí chung tương ứng với Gb.
- Trường hợp dự án đầu tư xây dựng có nhiều loại công trình thì định mức tỷ lệ (%) chi phí chung trong dự toán xây dựng được xác định theo loại công trình tương ứng với chi phí trực tiếp của từng loại, từng nhóm công trình.
- Trường hợp nhà thầu thi công xây dựng công trình phải tự tổ chức khai thác và sản xuất các loại vật liệu đất, đá, cát sỏi để phục vụ thi công xây dựng công trình thì chi phí chung tính trong dự toán xác định giá vật liệu bằng tỷ lệ 2,5% trên chi phí nhân công và chi phí máy thi công.
- Chi phí chung được xác định bằng định mức tỷ lệ (%) trên chi phí nhân công trong dự toán xây dựng của các loại công tác xây dựng, lắp đặt của công trình theo hướng dẫn tại Bảng 3.8 Phụ lục này.
Bảng 3.8: ĐỊNH MỨC CHI PHÍ CHUNG TÍNH TRÊN CHI PHÍ NHÂN CÔNG
Đơn vị tính: %
|
TT |
Loại công tác |
Chi phí nhân công trong chi phí trực tiếp(tỷ đồng) |
||
|
≤15 |
≤100 |
>100 |
||
|
[1] |
[2] |
[3] |
[4] |
[5] |
|
1 |
Công tác duy tu sửa chữa đường bộ, đường sắt, đường thủy nội địa, hệ thống báo hiệu hàng hải và đường thuỷ nội địa |
66 |
60 |
56 |
|
2 |
Công tác đào, đắp đất công trình nông nghiệp và phát triển nông thôn hoàn toàn bằng thủ công |
51 |
45 |
42 |
|
3 |
Công tác lắp đặt thiết bị công nghệ trong các công trình xây dựng, công tác xây lắp đường dây, thí nghiệm hiệu chỉnh điện đường dây và trạm biến áp, thí nghiệm vật liệu, cấu kiện và kết cấu xây dựng |
65 |
59 |
55 |
Ghi chú:
- Trường hợp quy mô chi phí nhân công trong chi phí trực tiếp nằm trong khoảng quy mô chi phí tại Bảng 3.8 thì định mức tỷ lệ chi phí chung tính trên chi phí nhân công được xác định bằng phương pháp nội suy theo công thức (3.2) Phụ lục này.
- Đối với các công trình xây dựng tại vùng núi, biên giới, trên biển và hải đảo thì định mức tỷ lệ chi phí chung quy định tại Bảng 3.7 và Bảng 3.8 được điều chỉnh với hệ số từ 1,05 đến 1,1 tuỳ điều kiện cụ thể của công trình.
3.1.2 Chi phí nhà tạm để ở và điều hành thi công
- Chi phí nhà tạm để ở và điều hành thi công được xác định bằng tỷ lệ phần trăm (%) trên chi phí trực tiếp. Định mức tỷ lệ (%) chi phí nhà tạm để ở và điều hành thi công được xác định trên chi phí trực tiếp của từng loại, từng nhóm công trình trong tổng mức đầu tư hoặc dự toán xây dựng theo hướng dẫn tại Bảng 3.9 Phụ lục này.
Bảng 3.9: ĐỊNH MỨC CHI PHÍ NHÀ TẠM ĐỂ Ở VÀ ĐIỀU HÀNH THI CÔNG
Đơn vị tính: %
|
TT |
Loại công trình |
Chi phí trực tiếp của từng loại, từng nhóm công trình (tỷ đồng) |
||||
|
≤ 15 |
≤100 |
≤500 |
≤1000 |
>1000 |
||
|
[1] |
[2] |
[3] |
[4] |
[5] |
[6] |
[7] |
|
1 |
Công trình xây dựng theo tuyến |
2,3 |
2,2 |
2,0 |
1,9 |
1,8 |
|
2 |
Công trình xây dựng còn lại |
1,2 |
1,1 |
1,0 |
0,95 |
0,9 |
3.1.3 Chi phí một số công việc không xác định được khối lượng từ thiết kế
Chi phí không xác định được khối lượng từ thiết kế được xác định bằng tỷ lệ phần trăm (%) trên chi phí trực tiếp được quy định tại Bảng 3.10 Phụ lục này.
Bảng 3.10. ĐỊNH MỨC CHI PHÍ MỘT SỐ CÔNG VIỆC KHÔNG XÁC ĐỊNH
ĐƯỢC KHỐI LƯỢNG TỪ THIẾT KẾ
(Gồm các khoản mục chi phí tại điểm b khoản 2 Điều 8 của Thông tư này)
Đơn vị tính: %
|
STT |
LOẠI CÔNG TRÌNH |
TỶ LỆ (%) |
|
1 |
Công trình dân dụng |
2 5 |
|
2 |
Công trình công nghiệp |
2,0 |
|
|
Riêng công tác xây dựng trong đường hầm thủy điện, hầm lò |
6,5 |
|
3 |
Công trình giao thông |
2,0 |
|
|
Riêng công tác xây dựng trong đường hầm giao thông |
6,5 |
|
4 |
Công trình nông nghiệp và phát triển nông thôn |
2,0 |
|
5 |
Công trình hạ tầng kỹ thuật |
2,0 |
- Đối với công trình xây dựng có nhiều hạng mục công trình thì các hạng mục công trình đều áp dụng định mức tỷ lệ trên theo loại công trình.
- Đối với công trình có chi phí xây dựng và chi phí lắp đặt, thí nghiệm hiệu chỉnh thiết bị trước thuế giá trị dưới 50 (tỷ đồng) thì định mức chi phí một số công việc thuộc chi phí gián tiếp nhưng không xác định được khối lượng từ thiết kế quy định tại bảng 3.10 nêu trên chưa bao gồm chi phí xây dựng phòng thí nghiệm tại hiện trường.
- Riêng chi phí một số công việc thuộc chi phí gián tiếp của các công tác xây dựng trong hầm giao thông, hầm thủy điện, hầm lò đã bao gồm chi phí vận hành, chi phí sửa chữa thường xuyên hệ thống cấp nước, thoát nước, cấp gió, cấp điện phục vụ thi công trong hầm và không bao gồm chi phí đầu tư ban đầu cho hệ thống thông gió, chiếu sáng, hệ thống điện, cấp thoát nước, giao thông phục vụ thi công trong hầm.
- Đối với công trình xây dựng thủy điện, thủy lợi thì định mức tỷ lệ trên không bao gồm các chi phí:
+ Chi phí đầu tư ban đầu hệ thống nước kỹ thuật để thi công công trình;
+ Chi phí đầu tư ban đầu cho công tác bơm nước, vét bùn, bơm thoát nước hố móng ngay sau khi ngăn sông, chống lũ, hệ thống điện phục vụ thi công;
+ Chi phí bơm thoát nước hố móng ngay sau khi ngăn sông, chống lũ;
+ Chi phí thí nghiệm tăng thêm của thí nghiệm thi công bê tông đầm lăn (RCC).
3.1.4 Chi phí gián tiếp khác
- Một số chi phí gián tiếp khác gồm: chi phí di chuyển máy, thiết bị thi công đặc chủng đến và ra khỏi công trường; chi phí bảo đảm an toàn giao thông phục vụ thi công (nếu có); chi phí hoàn trả hạ tầng kỹ thuật do bị ảnh hưởng khi thi công xây dựng (nếu có); chi phí kho bài chứa vật liệu (nếu có); chi phí xây dựng nhà bao che cho máy, nền móng máy, hệ thống cấp điện, khí nén, hệ thống cấp nước tại hiện trường, lắp đặt, tháo dỡ một số loại máy (như trạm trộn bê tông xi măng, trạm trộn bê tông nhựa, cần trục di chuyển trên ray, cần trục tháp, một số loại máy, thiết bị thi công xây dựng khác có tính chất tương tự).
- Chi phí gián tiếp khác được xác định bằng cách lập dự toán phù hợp với điều kiện cụ thể của từng dự án, công trình, gói thầu xây dựng.
3.2 Thu nhập chịu thuế tính trước
Bảng 3.11. ĐỊNH MỨC THU NHẬP CHỊU THUẾ TÍNH TRƯỚC
Đơn vị tính: %
|
STT |
LOẠI CÔNG TRÌNH |
THU NHẬP CHỊU THUẾ TÍNH TRƯỚC |
|
[1] |
[2] |
[3] |
|
1 |
Công trình dân dụng |
5,5 |
|
2 |
Công trình công nghiệp |
6,0 |
|
3 |
Công trình giao thông |
6,0 |
|
4 |
Công trình nông nghiệp và phát triển nông thôn |
5,5 |
|
5 |
Công trình hạ tầng kỹ thuật |
5,5 |
|
6 |
Công tác lắp đặt thiết bị công nghệ trong các công trình xây dựng, công tác xây lắp đường dây, thí nghiệm hiệu chỉnh điện đường dây và trạm biến áp, thí nghiệm vật liệu, cấu kiện và kết cấu xây dựng |
6,0 |
- Thu nhập chịu thuế tính trước được tính bằng tỷ lệ phần trăm (%) trên chi phí trực tiếp và chi phí gián tiếp trong dự toán chi phí xây dựng.
- Đối với công trình xây dựng có nhiều hạng mục công trình thì các hạng mục công trình có công năng riêng biệt áp dụng định mức tỷ lệ thu nhập chịu thuế tính trước theo loại công trình phù hợp.
- Trường hợp nhà thầu thi công xây dựng công trình phải tự tổ chức khai thác và sản xuất các loại vật liệu đất, đá, cát sỏi để phục vụ thi công xây dựng công trình thì thu nhập chịu thuế tính trước tính trong dự toán xác định giá vật liệu bằng tỷ lệ 3% trên chi phí trực tiếp và chi phí gián tiếp.
Trường hợp dự án yêu cầu lập báo cáo kinh tế - kỹ thuật đầu tư xây dựng thì định mức tỷ lệ chi phí gián tiếp và thu nhập chịu thuế tính trước được xác định theo tỷ lệ quy định tại cột [3] theo hướng dẫn tại Bảng 3.7, Bảng 3.8, Bảng 3.9, Bảng 3.10 và Bảng 3.11 Phụ lục này.
Đối với công trình an ninh quốc phòng thì tùy thuộc loại hình công trình tương ứng để áp dụng định mức tỷ lệ chi phí gián tiếp và thu nhập chịu thuế tính trước quy định tại Bảng 3.7, Bảng 3.8, Bảng 3.9, Bảng 3.10 và Bảng 3.11 Phụ lục này cho phù hợp.
PHỤ LỤC SỐ 4
PHƯƠNG PHÁP XÁC ĐỊNH GIÁ XÂY DỰNG CÔNG TRÌNH
(ban hành kèm theo Thông tư số 09/2019/TT-BXD ngày 26/12/2019
của Bộ trưởng Bộ Xây dựng)
1. PHƯƠNG PHÁP XÁC ĐỊNH ĐƠN GIÁ XÂY DỰNG CHI TIẾT CỦA CÔNG TRÌNH
Đơn giá xây dựng chi tiết của công trình được xác định trên cơ sở giá thị trường hoặc xác định từ định mức xây dựng và giá các yếu tố chi phí theo hướng dẫn sau:
1.1 Cơ sở xác định đơn giá xây dựng chi tiết của công trình
Cơ sở xác định đơn giá xây dựng chi tiết của công trình:
- Danh mục các công tác xây dựng của công trình cần lập đơn giá;
- Định mức dự toán xây dựng theo danh mục cần lập đơn giá;
- Giá vật liệu (chưa bao gồm thuế giá trị gia tăng) đến hiện trường công trình;
- Giá nhân công xây dựng của công trình;
- Giá ca máy và thiết bị thi công của công trình (hoặc giá thuê máy và thiết bị thi công).
1.2 Xác định đơn giá xây dựng chi tiết của công trình không đầy đủ
1.2.1 Xác định chi phí vật liệu (VL)
1.2.1.1 Công thức xác định chi phí vật liệu
Chi phí vật liệu được xác định theo công thức:

Trong đó:
- Vi: lượng vật liệu thứ i (i= 1÷n) tính cho một đơn vị khối lượng công tác xây dựng trong định mức dự toán xây dựng công trình;
- Givl: giá của một đơn vị vật liệu thứ i (i= 1÷n) và phải đảm bảo nguyên tắc:
+ Phù hợp với tiêu chuẩn kỹ thuật, chất lượng vật liệu, yêu cầu của dự án được quy định theo yêu cầu sử dụng vật liệu của công trình, dự án;
+ Phù hợp với nhu cầu sử dụng vật liệu của công trình về tiến độ, khối lượng cung cấp;
Phù hợp với kế hoạch sử dụng vật liệu dự kiến của công trường; thời điểm lập và mặt bằng giá thị trường tại nơi xây dựng công trình và được tính đến hiện trường công trình.
Tổng hợp giá vật liệu xây dựng công trình chưa được tính đến hiện trường công trình giá vật liệu đến hiện trường công trình được xác định theo hướng dẫn tại mục 1.2 Phụ lục này.
Hệ số tính chi phí vật liệu khác so với tổng chi phí vật liệu chủ yếu xác định định mức dự toán xây dựng công trình.
Đối với các loại vật liệu có trong thị trường trong nước:
Vật liệu xây dựng được xác định theo công bố giá vật liệu của địa phương đảm bảo phù hợp với các nguyên tắc nêu tại mục 1.2.1.1 Phụ lục này;
Tổng hợp giá vật liệu trong công bố giá vật liệu của địa phương không đảm bảo nguyên tắc trên thì giá vật liệu được xác định trên cơ sở:
Chỉ chọn mức giá phù hợp giữa các báo giá của nhà sản xuất hoặc nhà cung ứng xây dựng (không áp dụng đối với các loại vật liệu lần đầu xuất hiện trên thị trường chỉ có duy nhất trên thị trường);
Tham khảo giá của loại vật liệu xây dựng có tiêu chuẩn, chất lượng tương tự đã được sử dụng ở công trình khác.
Đối với các loại vật liệu xây dựng phải nhập khẩu (do thị trường trong nước không hoặc theo quy định tại hiệp định vay vốn của nhà tài trợ đối với các dự án sử dụng nguồn vốn ODA) thì giá các loại vật liệu này xác định trên cơ sở lựa chọn mức giá thấp nhất đưa ra các báo giá của nhà sản xuất hoặc nhà cung ứng vật liệu xây dựng phù hợp chuẩn chất lượng, xuất xứ hàng hóa và mặt bằng giá khu vực. Giá vật liệu được quy đổi ra tiền Việt Nam theo tỷ giá tại thời điểm lập dự toán.
1.2.1.2. Phương pháp xác định giá vật liệu đến hiện trường công trình (Gvl)
Vật liệu đến hiện trường công trình được xác định theo công thức:
Gvl = Gng + Cv/c + Cbx + Cvcnb + Chh (4.2)
Trong đó:
Gng: là giá vật liệu tại nguồn cung cấp (giá vật liệu trên phương tiện vận chuyển);
Cv/c: chi phí vận chuyển đến hiện trường công trình (bao gồm cả chi phí trung chuyển, nếu có);
Cbx: chi phí bốc xếp (nếu có);
Cvcnb: chi phí vận chuyển nội bộ trong công trình (nếu có);
Chh: Chi phí hao hụt bảo quản tại hiện trường công trình (nếu có).
Bảng 4.1. BẢNG TÍNH GIÁ VẬT LIỆU ĐẾN HIỆN TRƯỜNG CÔNG TRÌNH
|
TT |
Loại vật liệu |
Đơn vị tính |
Giá vật liệu đến công trình |
Chi phí vận chuyển nội bộ công trình (nếu có) |
Chi phí hao hụt bảo quản tại hiện trường công trình (nếu có) |
Giá vật liệu đến hiện trường công trình |
||
|
Giá tại nguồn |
Chi phí vận chuyển đến công trình |
Chi phi bốc xếp (nếu có) |
||||||
|
[1] |
[2] |
[3] |
[4] |
[5] |
[6] |
[7] |
[8] |
[9] = [4]+[5]+[6] +[7]+[8] |
|
1 |
|
|
|
|
|
|
|
|
|
2 |
|
|
|
|
|
|
|
|
|
3 |
|
|
|
|
|
|
|
|
|
... |
|
|
|
|
|
|
|
|
1.2.2. Xác định chi phí nhân công (NC)
Chi phí nhân công được xác định theo công thức:
NC = N x Gnc (4.5)
Trong đó:
- N: lượng hao phí lao động tính bằng ngày công trực tiếp theo cấp bậc bình quân cho một đơn vị khối lượng công tác xây dựng;
- Gnc: đơn giá nhân công của công nhân trực tiếp xây dựng được xác định theo hướng dẫn của Bộ trưởng Bộ Xây dựng và Ủy ban nhân dân cấp tỉnh.
1.2.3. Xác định chi phí máy thi công (MTC)
Chi phí máy thi công được xác định bằng công thức sau:

Trong đó:
- Mi: lượng hao phí ca máy của loại máy, thiết bị thi công chính thứ i (i= 1÷n) tính cho một đơn vị khối lượng công tác xây dựng;
- Gimtc: giá ca máy của loại máy, thiết bị thi công chính thứ i (i=1÷i) theo bảng giá ca máy và thiết bị thi công của công trình hoặc giá thuê máy xác định theo hướng dẫn của Bộ Xây dựng và công bố của Ủy ban nhân dân cấp tỉnh;
- Kmtc: hệ số tính chi phí máy khác (nếu có) so với tổng chi phí máy, thiết bị thi công chủ yếu xác định trong định mức dự toán xây dựng công trình.
1.3 Xác định đơn giá xây dựng chi tiết đầy đủ của công trình
Đơn giá xây dựng chi tiết đầy dủ của công trình bao gồm chi phí trực tiếp, các chi phí gián tiếp, thu nhập chịu thuế tính trước. Các chi phí trong đơn giá xây dựng chi tiết đầy đủ được xác định như sau:
- Chi phí trực tiếp gồm chi phí vật liệu, chi phí nhân công và chi phí máy thi công được xác định theo hướng dẫn tại mục 1.2 Phụ lục này.
- Chi phí gián tiếp được xác định theo hướng dẫn tại mục 3.1 Phụ lục số 3 ban hành kèm theo Thông tư này.
- Thu nhập chịu thuế tính trước được xác định theo hướng dẫn tại mục 3.2 Phụ lục số 3 ban hành kèm theo Thông tư này.
2. PHƯƠNG PHÁP XÁC ĐỊNH GIÁ XÂY DỰNG TỔNG HỢP
2.1 Cơ sở xác định giá xây dựng tống hợp
- Danh mục nhóm loại công tác xây dựng, đơn vị kết cấu, bộ phận của công trình.
- Đơn giá xây dựng công trình tương ứng với nhóm loại công tác, đơn vị kết cấu, bộ phận của công trình.
2.2 Xác định giá xây dựng tống hợp không đầy đủ
Trình tự xác định giá xây dựng tổng hợp không đầy đủ như sau:
- Bước 1. Xác định danh mục nhóm loại công tác xây lắp, đơn vị kết cấu, bộ phận của công trình cần lập giá xây dựng tổng hợp, một số chỉ tiêu kỹ thuật chủ yếu, đơn vị tính và nội dung thành phần công việc phù hợp.
- Bước 2. Tính khối lượng xây lắp (q) của từng loại công tác xây dựng cấu thành giá xây dựng tổng hợp.
- Bước 3. Xác định chi phí vật liệu (VL), nhân công (NC), máy thi công (M) tương ứng với khối lượng xây dựng (q) tính từ hồ sơ thiết kế của từng loại công tác xây lắp cấu thành giá xây dựng tổng hợp theo công thức:
VLi = q x vl; NCi = q x nc ; Mi = q x m (4.7)
- Bước 4. Tổng hợp kết quả theo từng khoản mục chi phí trong giá xây dựng tổng hợp theo công thức:

Trong đó:
- VLi, NCi, Mi: là chi phí vật liệu, chi phí nhân công và chi phí máy thi công của công tác xây dựng thứ i (i= 1÷n) cấu thành trong giá xây dựng tổng hợp.
2.3 Xác định giá xây dựng tổng hợp đầy đủ
- Chi phí trực tiếp gồm chi phí vật liệu, chi phí nhân công và chi phí máy thi công của giá xây dựng tổng hợp đầy đủ được xác định theo hướng dẫn tại mục 2.2 Phụ lục này.
- Chi phí gián tiếp được xác định theo hướng dẫn tại mục 3.1 Phụ lục số 3 ban hành kèm theo Thông tư này.
- Thu nhập chịu thuế tính trước được xác định theo hướng dẫn tại mục 3.2 Phụ lục số 3 ban hành kèm theo Thông tư này.
PHỤ LỤC SỐ 5
PHƯƠNG PHÁP XÁC ĐỊNH SUẤT VỐN ĐẦU TƯ, GIÁ XÂY DỰNG
TỔNG HỢP BỘ PHẬN KẾT CẤU CÔNG TRÌNH
(Ban hành kèm theo thông tư số 09/2019/TT-BXD ngày 26/12/2019
của Bộ trưởng Bộ Xây dựng)
1. PHƯƠNG PHÁP XÁC ĐỊNH SUẤT VỐN ĐẦU TƯ XÂY DỰNG CÔNG TRÌNH
1.1 Khái niệm suất vốn đầu tư xây dựng công trình
Suất vốn đầu tư xây dựng công trình (gọi tắt là suất vốn đầu tư) là mức chi phí cần thiết để đầu tư xây dựng công trình mới tính theo một đơn vị diện tích, công suất hoặc năng lực phục vụ theo thiết kế của công trình. Suất vốn đầu tư là một trong những cơ sở để xác định sơ bộ tổng mức đầu tư, tổng mức đầu tư dự án, xác định và quản lý chi phí đầu tư xây dựng ở giai đoạn chuẩn bị dự án.
Công suất hoặc năng lực phục vụ theo thiết kế của công trình là khả năng sản xuất hoặc khai thác sử dụng công trình theo thiết kế được xác định bằng đơn vị đo thích hợp.
1.2 Nội dung của suất vốn đầu tư
Suất vốn đầu tư bao gồm các chi phí: xây dựng, thiết bị, quản lý dự án đầu tư xây dựng, tư vấn đầu tư xây dựng và các khoản chi phí khác. Suất vốn đầu tư tính toán đã bao gồm thuế giá trị gia tăng cho các chi phí nêu trên.
Nội dung chi phí trong suất vốn đầu tư chưa bao gồm chi phí thực hiện một số loại công việc theo yêu cầu riêng của dự án/công trình xây dựng cụ thể như:
- Chi phí bồi thường, hỗ trợ và tái định cư gồm: chi phí bồi thường về đất, nhà, công trình trên đất, các tài sản gắn liền với đất, trên mặt nước và chi phí bồi thường khác theo quy định; các khoản hỗ trợ khi nhà nước thu hồi đất; chi phí tái định cư; chi phí tổ chức bồi thường, hỗ trợ và tái định cư; chi phí sử dụng đất trong thời gian xây dựng (nếu có); chi phí chi trả cho phần hạ tầng kỹ thuật đã được đầu tư xây dựng (nếu có) và các chi phí có liên quan khác;
- Lãi vay trong thời gian thực hiện đầu tư xây dựng (đối với các dự án có sử dụng vốn vay);
- vốn lưu động ban đầu (đối với các dự án đầu tư xây dựng nhằm mục đích sản xuất, kinh doanh);
- Chi phí dự phòng trong tổng mức đầu tư (dự phòng cho khối lượng công việc phát sinh và dự phòng cho yếu tố trượt giá trong thời gian thực hiện dự án);
- Một số chi phí khác gồm: đánh giá tác động môi trường và xử lý các tác động của dự án đến môi trường; đăng kiểm chất lượng quốc tế, quan trắc biến dạng công trình; chi phí kiểm định chất lượng công trình; gia cố đặc biệt về nền móng công trình; chi phí thuê tư vấn nước ngoài.
1.3 Phân loại, phân vùng xác định suất vốn đầu tư
Danh mục suất vốn đầu tư xây dựng công trình cần khảo sát tương ứng với danh mục công trình thuộc dự án được phân loại theo Phụ lục số 7 ban hành kèm theo Thông tư này.
Suất vốn đầu tư xây dựng công trình phải được xác định để ban hành theo vùng (khu vực).
1.4 Xác định suất vốn đầu tư xây dựng bằng phương pháp điều tra, khảo sát
Suất vốn đầu tư được xác định cho công trình xây dựng mới, có tính chất phổ biến, với mức độ kỹ thuật công nghệ thi công trung bình tiên tiến.
1.4.1 Phạm vi, đối tượng khảo sát
a) Phạm vi/khu vực khảo sát:
Thực hiện kháo sát định mức cơ sở trên 63 tỉnh, thành phố Việt Nam.
b) Đối tượng khảo sát:
- Khảo sát thông qua các chủ thể tham gia trong quá trình xây dựng gồm: Nhà thầu thi công; Nhà thầu tư vấn; Cơ quan quản lý nhà nước; Ban Quản lý dự án/ Chủ đầu tư và các chuyên gia khác.
- Khảo sát, thống kê thông qua cơ sở dữ liệu các công trình, dự án.
1.4.2 Nội dung và biểu mẫu khảo sát
Nội dung khảo sát phải được thể hiện đầy đủ trong Biểu mẫu phiếu khảo sát bao gồm các thông tin, số liệu cơ bản sau:
a) Thông tin chung về công trình xây dựng (tên, loại, cấp công trình, địa điểm xây dựng, công suất, năng lực, quy chuẩn xây dựng, tiêu chuẩn xây dựng áp dụng, thời gian xây dựng, diện tích xây dựng...).
b) Thông tin về kinh tế - tài chính (nguồn vốn, hình thức đầu tư, các chỉ tiêu kinh tế-tài chính, tỷ giá ngoại tệ, ...).
c) Các khoản mục chi phí đầu tư xây dựng công trình trong tổng mức đầu tư; dự toán xây dựng công trình hoặc quyết toán của dự án, công trình.
d) Các cơ chế chính sách, căn cứ xác định chi phí của công trình,
đ) Chỉ dẫn điền mẫu khảo sát.
e) Liệt kê các tài liệu minh chứng kèm theo (nếu có).
1.4.3 Quy trình thực hiện xác định suất vốn đầu tư
Bước 1: Lập danh mục công trình xây dựng cần xác định suất vốn đầu tư, lựa chọn công trình xây dựng đại diện.
Bước 2: Thu thập số liệu, dữ liệu từ công trình xây dựng đại diện đã lựa chọn.
Bước 3: Xử lý số liệu, dữ liệu và xác định suất vốn đầu tư.
Bước 4: Tổng hợp kết quả tính toán, biên soạn suất vốn đầu tư để sử dụng hoặc ban hành.
Cụ thể như sau:
Bước 1: Lập danh mục công trình xây dựng cần xác định suất vốn đầu tư, lựa chọn công trình xây dựng đại diện.
a) Lập danh mục công trình xây dựng cần xác định suất vốn đầu tư dựa trên cơ sở: Phân loại, phân cấp công trình; số lượng hạng mục công trình xây dựng; Tính năng sử dụng, quy mô, hình thức đầu tư; Đặc điểm kết cấu, công nghệ và yêu cầu kỹ thuật của công trình; Loại vật tư, vật liệu xây dựng, nhân công và thiết bị sử dụng cho công trình; Quy chuẩn, tiêu chuẩn áp dụng; Địa điểm xây dựng công trình; Thời điểm và thời gian xây dựng.
b) Xác định đơn vị tính suất vốn đầu tư.
c) Lựa chọn công trình xây dựng đại diện: Trên cơ sở danh mục công trình xây dựng cần xác định suất vốn đầu tư, tiến hành lựa chọn công trình xây dựng đại diện có đặc điểm, nội dung cơ bản phù hợp với yêu cầu tính toán.
Bước 2: Thu thập số liệu, dữ liệu từ công trình xây dựng đại diện đã lựa chọn.
a) Nội dung số liệu, dữ liệu công trình cần thu thập theo nội dung và biểu mẫu khảo sát tại mục 1.4.2 Phụ lục này.
b) Yêu cầu về số lượng và thời gian thu thập
Việc tính suất vốn đầu tư cho một nhóm, loại công trình xây dựng, thì số lượng công trình xây dựng đại diện thu thập tối thiểu phải từ 3 công trình xây dựng trở lên và được thực hiện xây dựng trong khoảng thời gian gần với thời điểm tính toán.
Bước 3: Xử lý số liệu, dữ liệu và xác định suất vốn đầu tư
a) Xử lý số liệu, dữ liệu:
- Số liệu, dữ liệu thu thập được từ công trình xây dựng đại diện trước khi tính toán cần được xử lý, bổ sung, hiệu chỉnh để loại trừ những yếu tố chưa phù hợp, không cần thiết trong tính toán (nếu có).
- Đánh giá và phân tích các khoản mục chi phí đầu tư xây dựng công trình (nội dung hạng mục xây dựng/công tác xây dựng/công việc, thời điểm tính chi phí/mặt bằng giá, chế độ chính sách đã áp dụng trong tính toán chi phí đầu tư xây dựng công trình và trong các số liệu thu thập).
b) Quy đổi giá trị các khoản mục chi phí về cùng mặt bằng giá tại thời điểm tính toán:
Căn cứ vào các nguồn số liệu, dữ liệu thu thập được (tổng mức đầu tư/dự toán/quyết toán) để lựa chọn phương pháp quy đổi vốn cho phù hợp. Một số phương pháp quy đổi vốn được vận dụng như hướng dẫn quy đổi chi phí đầu tư xây dựng công trình về mặt bằng giá tại thời điểm bàn giao đưa vào khai thác sử dụng của Bộ Xây dựng; phương pháp tính toán quy đổi trực tiếp và phương pháp kết hợp các phương pháp trên.
- Nguồn số liệu, dữ liệu thu thập là tổng mức đầu tư: giá trị tổng mức đầu tư công trình xây dựng được quy đổi về mặt bằng giá tại thời điểm tính toán theo yếu tố thời gian và khu vực/vùng được tính theo các công thức sau:

Trong đó:
- Vi: tổng mức đầu tư công trình i tại thời điểm tính toán suất vốn đầu tư bao gồm các chi phí: xây dựng, thiết bị, quản lý dự án đầu tư xây dựng, tư vấn đầu tư xây dựng và các khoản chi phí khác, thuế giá trị gia tăng cho các công việc nêu trên. Tổng mức đầu tư tại thời điểm tính toán suất vốn đầu tư chưa bao gồm các chi phí sau: Chi phí bồi thường, hỗ trợ và tái định cư; Lãi vay trong thời gian thực hiện đầu tư xây dựng (đối với các dự án có sử dụng vốn vay); Vốn lưu động ban đầu (đối với các dự án đầu tư xây dựng nhằm mục đích sản xuất, kinh doanh); Chi phí dự phòng trong tổng mức đầu tư; Một số chi phí có tính chất riêng biệt theo từng dự án;
- Vt: tổng mức đầu tư công trình i tại thời điểm phê duyệt (t);
- Ki hệ số điều chỉnh suất vốn đầu tư từ thời điểm (t) về thời điểm tính toán;
- Kkv: hệ số khu vực/vùng (kể tới sự khác biệt về điều kiện khu vực/vùng) của công trình i so với điều kiện nơi cần tính toán suất vốn đầu tư được xác định bằng chỉ số giá kết hợp với phương pháp chuyên gia trên cơ sở so sánh mặt bằng giá hai khu vực trên;
- Ktg: hệ số điều chỉnh giá xây dựng công trình (Hệ số này xác định theo chỉ số giá xây dựng được ban hành theo quy định).
- Trường hợp nguồn số liệu, dữ liệu thu thập là giá trị dự toán xây dựng công trình: Tổng mức đầu tư được xác định từ số liệu dự toán xây dựng công trình thu thập được bằng cách tính bổ sung thêm các khoản chi phí mà chưa tính trong dự toán xây dựng công trình nhưng thuộc tổng mức đầu tư hoặc loại bỏ những khoản mục chi phí không phù hợp với công trình xây dựng cần tính suất vốn đầu tư. Việc quy đổi tổng mức đầu tư công trình xây dựng về mặt bằng giá tại thời điểm tính toán được xác định theo công thức (5.1) và (5.2) Phụ lục này.
c) Tính toán suất vốn đầu tư theo công thức sau:

Trong đó:
- S: suất vốn đầu tư đại diện cho nhóm/loại công trình;
- Si: suất vốn đầu tư công trình xây dựng đại diện thứ i của nhóm/loại công trình đã quy đổi về thời điểm tính toán;
- n: số lượng công trình xây dựng dại diện thứ i (1 ≤ i ≤ n), n ít nhất từ 3 công trình trở lên;
- Vi: tổng mức đầu tư công trình xây dựng đại diện thứ i đã quy đổi;
- Ni: đơn vị diện tích, công suất hoặc năng lực phục vụ theo thiết kế của công trình xây dựng đại diện thứ i.
Bước 4: Tổng hợp kết quả tính toán, biên soạn suất vốn đầu tư để sử dụng hoặc ban hành.
a) Tập hợp các kết quả tính toán suất vốn đầu tư theo nhóm/loại công trình.
b) Biên soạn suất vốn đầu tư để ban hành.
1.4.4. Hoàn thiện bảng định mức chi phí quản lý dự án
Thông qua các kết quả phân tích dữ liệu khảo sát để quyết định suất vốn đầu tư, thẩm định và ban hành.
2. PHƯƠNG PHÁP XÁC ĐỊNH GIÁ XÂY DỰNG TỔNG HỢP BỘ PHẬN KẾT CẤU CÔNG TRÌNH
2.1 Khái niệm giá bộ phận kết cấu công trình
Giá xây dựng tổng hợp bộ phận kết cấu công trình (viết tắt là giá bộ phận kết cấu) bao gồm toàn bộ chi phí cần thiết để hoàn thành một đơn vị khối lượng nhóm, loại công tác xây dựng, đơn vị kết cấu hoặc bộ phận công trình xây dựng.
Giá bộ phận kết cấu là một trong những cơ sở để xác định chi phí xây dựng trong sơ bộ tổng mức đầu tư, tổng mức đầu tư dự án, dự toán xây dựng công trình, quản lý và kiểm soát chi phí xây dựng công trình.
2.2 Nội dung của giá bộ phận kết cấu công trình
Giá bộ phận kết cấu bao gồm chi phí trực tiếp (vật liệu, nhân công, máy thi công), chi phí gián tiếp, thu nhập chịu thuế tính trước, thuế giá trị gia tăng.
2.3 Phân loại, phân vùng xác định giá bộ phận kết cấu công trình
Việc phân loại, phân vùng để xác định giá bộ phận kết cấu được được hướng dẫn tại mục 1.3 Phụ lục này.
2.4 Phương pháp khảo sát giá bộ phận kết cấu công trình
2.4.1. Phạm vi, đối tượng khảo sát
a) Phạm vi/khu vực khảo sát:
Thực hiện khảo sát định mức cơ sở trên 63 tỉnh, thành phố Việt Nam.
b) Đối tượng khảo sát:
- Khảo sát thông qua các chủ thể tham gia trong quá trình xây dựng gồm: Nhà thầu thi công; Nhà thầu tư vấn; Cơ quan quản lý nhà nước; Ban Quản lý dự án/ Chủ đầu tư và các chuyên gia khác.
- Khảo sát, thống kê thông qua cơ sở dữ liệu các công trình, dự án.
2.4.2 Nội dung và biểu mẫu khảo sát
Nội dung khảo sát phải được thế hiện đầy đủ trong Biểu mẫu phiếu khảo sát bao gồm các thông tin, số liệu cơ bản sau:
a) Thông tin chung về công trình xây dựng (tên, loại, cấp công trình, địa điểm xây dựng, quy chuẩn xây dựng, tiêu chuẩn xây dựng áp dụng, thời gian xây dựng, giải pháp kết cấu chính; công nghệ thi công; vật liệu chính sử dụng trong công trình;...).
b) Thông tin về kinh tế - tài chính (nguồn vốn, hình thức đầu tư, các chỉ tiêu kinh tế-tài chính, tỷ giá ngoại tệ...)
c) Các số liệu, dừ liệu về chi phí đầu tư xây dựng công trình như tổng mức đầu tư, dự toán, đơn giá xây dựng công trình, Các khoản mục chi phí đầu tư xây dựng công trình.
d) Các cơ chế, căn cứ xác định đơn giá, chi phí của công trình, dự án.
đ) Chỉ dẫn điền mẫu khảo sát.
e) Liệt kê các tài liệu minh chứng kèm theo (nếu có).
2.4.3 Quy trình thực hiện xác định giá bộ phận kết cấu công trình
Trình tự xác định giá bộ phận kết cấu công trình bao gồm các bước sau:
- Bước 1: Lựa chọn công trình điển hình theo loại, cấp công trình xây dựng cần xác định giá và lập danh mục bộ phận công trình.
- Bước 2: Thu thập dữ liệu.
- Bước 3: Xử lý dữ liệu.
- Bước 4: Xác định giá xây dựng tổng hợp bộ phận kết cấu công trình kèm chỉ dẫn kỹ thuật theo danh mục bộ phận công trình để ban hành.
Cụ thể như sau
Bước 1: Lựa chọn công trình điển hình theo loại, cấp công trình xây dựng cần xác định giá và lập danh mục bộ phận kết cấu công trình.
a) Trên cơ sở loại công trình xây dựng cần xác định giá xây dựng bộ phận kết cấu công trình, tiến hành lựa chọn công trình điển hình phù hợp theo các nội dung sau: Phân loại, cấp công trình; số lượng hạng mục công trình xây dựng; Tính năng sử dụng, quy mô, hình thức đầu tư; Đặc điểm kết cấu, công nghệ, yêu cầu kỹ thuật của công trình; Loại vật tư, vật liệu xây dựng, nhân công và thiết bị sử dụng cho công trình; Quy chuẩn, tiêu chuẩn áp dụng; Địa điểm xây dựng công trình; Thời điểm và thời gian xây dựng.
b) Danh mục bộ phận kết cấu công trình xây dựng được lập trên cơ sở công trình điển hình có thể phân định theo các hệ thống sau:
- Danh mục bộ phận kết cấu công trình xây dựng được lập theo hệ bộ phận cấu tạo chính (cọc, móng, cột, trụ, dầm, sàn, mố, ...).
- Danh mục bộ phận kết cấu công trình xây dựng được lập theo hệ đơn vị chức năng (nền móng, khung, hoàn thiện, hệ thống kỹ thuật trong công trình, V.V.).
- Một số phương thức khác trong việc lập danh mục bộ phận kết cấu công trình xây dựng như: theo loại hình công trình; theo số tầng nổi, tầng hầm; ....
c) Việc phân định danh mục bộ phận kết cấu trên cơ sở dự toán, quyết toán của công trình điển hình được lựa chọn. Tùy theo mức độ chi tiết của dự toán công trình được lựa chọn, sắp xếp dữ liệu vào các bộ phận kết cấu công trình theo cấp độ phù hợp.
- Trường hợp lập danh mục bộ phận kết cấu công trình xây dựng theo hệ “Bộ phận cấu tạo chính” thì cần lập danh mục bộ phận phù hợp với loại công trình và đảm bảo việc hình thành danh sách đó có tính tổng hợp đầy đủ hết các bộ phận kết cấu chính cấu tạo nên công trình và các công tác xây lắp quy ước thuộc bộ phận đó. Ví dụ công trình nhà ở, nhà làm việc, nhà khách có thể phân chia bộ phận hạng mục là các phần: phần ngầm, phần thân, phần bao che (bao gồm cả kết cấu chịu tải), phần các bộ phận kiến trúc trong nhà; trong công trình cầu giao thông các loại, bộ phận hạng mục công trình có thể hình thành theo danh mục, mố, trụ, dầm (giàn), mặt, đường dẫn, công trình bảo vệ,....
- Trường hợp lập danh mục bộ phận kết cấu công trình xây dựng theo hệ “Đơn vị chức năng”, cần phân tích và nhóm các chi phí đảm bảo không bị thiếu hoặc trùng lặp. Ví dụ trong công tác nền móng sẽ bao gồm các công tác đóng cọc, công tác móng và công tác đất; công tác kết cấu chính sẽ bao gồm các chi phí được hiểu là chi phí cho công tác bê tông cốt thép của các kết cấu chính như cột, sàn, cầu thang, mái, tường, vách ngăn; công tác hoàn thiện bao gồm các loại công tác trát, lát, láng, ốp, sơn cho tường, sàn, trần.
Bước 2: Thu thập dữ liệu.
a) Dữ liệu cơ bản về công trình lựa chọn.
- Số liệu, dữ liệu về chi phí đầu tư xây dựng công trình như tổng mức đầu tư, dự toán, đơn giá xây dựng công trình.
- Các khoản mục chi phí đầu tư xây dựng công trình.
- Số lượng hạng mục trong công trình.
- Giải pháp kết cấu chính; công nghệ thi công; vật liệu chính sử dụng trong công trình.
- Hệ tiêu chuẩn, quy chuẩn áp dụng cho công trình.
- Các thông tin về kinh tế tài chính (nguồn vốn, hình thức đầu tư, các chỉ tiêu kinh tế-tài chính, tỷ giá ngoại tệ, ...).
- Các chế độ, chính sách, quy định về lập và quản lý chi phí đầu tư xây dựng công trình được áp dụng.
- Thời gian, thời điểm xây dựng công trình.
b) Thông tin về đơn giá và chế độ chính sách áp dụng
- Thông tin về dữ liệu sử dụng tính tổng mức đầu tư; dự toán xây dựng công trình của công trình điển hình như định mức, đơn giá các yếu tố đầu vào chi phí xây dựng (vật tư, nhân công, máy thi công), cơ chế chính sách áp dụng trong tính toán.
- Thông tin về định mức, đơn giá và chế độ chính sách áp dụng tại thời điểm cần xác định giá xây dựng công trình.
Bước 3: Xử lý dữ liệu
Tùy thuộc nguồn dữ liệu thu thập được là tổng mức đầu tư, dự toán xây dựng công trình và mức độ tổng hợp, chi tiết của số liệu, dữ liệu thu thập để lựa chọn cách thức xử lý số liệu, dữ liệu. Yêu cầu về xử lý số liệu, dữ liệu gồm:
- Dữ liệu thu thập được từ công trình xây dựng được lựa chọn trước khi tính toán cần được xử lý, bổ sung, hiệu chỉnh để loại trừ những yếu tố chưa phù hợp, không cần thiết trong tính toán (nếu có).
- Đánh giá và phân tích các khoản mục chi phí đầu tư xây dựng công trình, số lượng công tác xây dựng, khối lượng dự toán theo bước thiết kế.
- Điều chỉnh các yếu tố đầu vào về thời điểm mặt bằng giá tính toán.
Bước 4: Xác định giá bộ phận kết cấu công trình kèm chỉ dẫn kỹ thuật theo danh mục bộ phận công trình để ban hành.
a) Giá bộ phận kết cấu công trình được xác định theo công thức:

Trong đó:
- Cibp: giá bộ phận kết cấu công trình xây dựng thứ i;
- Qj: khối lượng công việc loại j thuộc bộ phận công trình thứ i;
- Pj: đơn giá công việc loại j thuộc bộ phận công trình thứ i.
Đơn giá theo bộ phận công trình được tính với các điều chỉnh theo hướng dẫn về lập và quản lý chi phí đầu tư xây dựng công trình và những yếu tố cụ thể khác đã được xử lý ở bước 3.
Chỉ dẫn kỹ thuật kèm theo danh mục bộ phận công trình: Nêu đặc điểm, thông số kỹ thuật chính của bộ phận công trình đã tính toán.
b) Giá xây dựng bộ phận công trình của nhóm công trình như công thức:

Trong đó:
CbpinhómA: giá xây dựng bộ phận kết cấu công trình thứ i thuộc nhóm công trình A;
Cbpi: giá bộ phận kết cấu công trình xây dựng thứ ị xác định theo công thức (5.5) Phụ lục này;
m: số công trình điển hình thuộc nhóm A.
c) Tổng hợp giá các bộ phận kết cấu công trình xây dựng đã được xác định để xem xét và phân tích các mức chi phí và quyết định chọn mức giá bộ phận kết cấu công trình xây dựng (ký hiệu là GBPt) để sử dụng, biên soạn giá xây dựng tổng hợp bộ phận kết cấu công trình để ban hành.
2.4 Phương pháp định lượng các yếu tố hao phí đầu vào cho 1 đơn vị tính của bộ phận kết cấu công trình
Giá xây dựng theo bộ phận kết cấu công trình được xác định theo trình tự sau:
- Bước 1: Lập danh mục các công trình xây dựng;
- Bước 2: Lập danh mục bộ phận kết cấu công trình cho từng loại hình công trình cụ thể;
- Bước 3: Thu thập, xử lý số liệu tính toán, định lượng hao phí các yêu tố chi phí đầu vào cho một đơn vị tính của bộ phận kết cấu công trình;
- Bước 4: Xác định giá xây dựng từng bộ phận kết cấu công trình theo danh mục bộ phận kết cấu công trình đã được xác định ở bước 2 (kèm theo chỉ dẫn về thiết kế và kỹ thuật của bộ phận, tùy thuộc bộ phận công trình mà lựa chọn đơn vị tính phù hợp).
Cụ thể tại các bước như sau
Bước 1: Lập danh mục các loại công trình xây dựng.
- Lựa chọn danh mục loại công trình để tính toán và công bố phải phù hợp với các quy định về quản lý dự án, quản lý chi phí đầu tư xây dựng công trình, quy định về phân loại, phân cấp công trình.
- Trên cơ sở loại công trình xây dựng cần định giá xây dựng bộ phận kết cấu công trình, tiến hành lựa chọn công trình điển hình phù hợp theo các yếu tố sau: Phân loại, cấp công trình; Tính năng sử dụng, quy mô, hình thức đầu tư; Đặc điểm kết cấu, công nghệ của công trình; Quy chuẩn, tiêu chuẩn áp dụng; Địa điểm xây dựng công trình; Thời điểm, thời gian xây dựng công trình.
- Lựa chọn và lập công trình đại diện cho loại công trình đó (số lượng công trình đại diện không ít hơn 3 công trình).
- Trường hợp định giá xây dựng theo bộ phận công trình cho một công trình cụ thể thì công trình đó là công trình đại diện.
Bước 2: Lập danh mục bộ phận kết cấu công trình cho từng loại công trình cụ thể.
Thực hiện tương tự nội dung lập danh mục bộ phận kết cấu công trình trong bước 1 của phương pháp thống kê.
Bước 3: Thu thập, xử lý số liệu tính toán, định lượng hao phí các yếu tố chi phí đầu vào của bộ phận kết cấu công trình.
a) Thu thập, xử lý số liệu tính toán.
- Số liệu, dữ liệu thu thập được từ công trình xây dựng đại diện trước khi tính toán cần được xử lý, bổ sung, hiệu chỉnh để loại trừ những yếu tố chưa phù hợp, không cần thiết trong tính toán (nếu có).
- Đánh giá và phân tích các khoản mục chi phí đầu tư xây dựng công trình (nội dung hạng mục xây dựng/công tác xây dựng/công việc, thời điểm tính chi phí/mặt bằng giá, chế độ chính sách đã áp dụng trong tính toán chi phí đầu tư xây dựng công trình và trong các số liệu thu thập).
- Quy đổi giá trị chi phí về cùng mặt bằng giá tại thời điểm tính toán.
b) Định lượng các yếu tố hao phí đầu vào cho 1 đơn vị tính của bộ phận kết cấu công trình.
Xác định khối lượng hao phí các loại vật liệu chủ yếu, nhân công sử dụng, chủng loại máy và thiết bị thi công cho một đơn vị tính của bộ phận kết cấu công trình dựa trên cơ sở là bản vẽ thiết kế, hệ thống định mức xây dựng được cơ quản lý nhà nước ban hành. Đây được coi là định lượng hao phí vật liệu, nhân công, máy thi công để tính chi phí trực tiếp.
Bước 4: Xác định giá xây dựng từng bộ phận kết cấu công trình theo danh mục bộ phận kết cấu công trình đã được xác định ở bước 2
a) Xác định giá trị vật liệu (GVL) trên một đơn vị của bộ phận kết cấu công trình.

Trong đó:
- GVLi: giá loại vật liệu xây dựng thứ i đến hiện trường xây dựng (i=1÷n);
- mVli: khối lượng loại vật liệu xây dựng thứ i (i=1÷n);
- n: số loại vật liệu xây dựng.
b) Xác định giá trị nhân công (GNC) trên một đơn vị tính của bộ phận kết cấu công trình.

Trong đó:
- GNCj: Giá nhân công bậc thợ loại j (j=1÷l);
- mNCj: số ngày công của bậc thợ loại j (j=1÷l);
- l: Số loại bậc thợ.
c) Xác định giá trị máy thi công (GMTC) trên một đơn vị tính của bộ phận kết cấu công trình.

Trong đó:
GMTCk: giá ca máy thi công xây dựng chủ yếu thứ k (k=1÷f);
mMTCk: khối lượng ca máy thi công xây dựng dựng chủ yếu thứ k (k=1÷f);
f: số loại máy thi công xây dựng.
d) Tổng hợp chi phí của 1 đơn vị bộ phận kết cấu công trình.
GBP = GVL x HVL + GNC x HNC + GMTC x HMTC (5.10)
Trong đó HVL, HNC, HMTC là hệ số các khoản mục chi phí còn lại trong chi phí xây dựng được tính trên chi phí trực tiếp (vật liệu, nhân công, máy thi công) gồm chi phí gián tiếp, thu nhập chịu thuế tính trước, thuế giá trị gia tăng, dự phòng. Các hệ số này được xác định trên cơ sở hướng dẫn về lập và quản lý chi phí đầu tư xây dựng công trình hiện hành.
Sau khi xác định được giá bộ phận kết cấu công trình xây dựng cho loại công trình, tiến hành xác định giá xây dựng bộ phận kết cấu công trình của nhóm công trình theo công thức (5.2) Phụ lục này.
2.5 Xử lý số liệu
Số liệu sau khi khảo sát được thu thập, sàng lọc và xử lý dữ liệu bằng phương pháp hội quy trước khi tính toán xác định giá bộ phận kết cấu.
2.6 Hoàn thiện bảng định mức chi phí quản lý dự án.
Thông qua các kết quả phân tích dữ liệu khảo sát để xác định giá bộ phận kết cấu, thẩm định và ban hành.
BẢNG SỐ 5.1: DANH MỤC SUẤT VỐN ĐẦU TƯ
XÂY DỰNG CÔNG TRÌNH
1.1 Nhóm công trình dân dụng
1.1.1. Nhà ở
1.1.2. Trường học
1.1.3. Bệnh viện
1.1.4. Công trình thể thao
1.1.5. Sân vận động
1.1.6. Nhà thi đấu, tập luyện
1.1.7. Nhà hát, rạp chiếu phim
1.1.8. Bảo tàng, thư viện, triển lãm
1.1.9. Công trình thông tin, truyền thông
1.1.10. Nhà đa năng
1.1.11. Khách sạn
1.1.12. Trụ sở cơ quan, văn phòng làm việc
1.1.13. Công trình dân dụng khác
1.2. Nhóm công trình công nghiệp
1.2.1. Nhà máy sản xuất xi măng
1.2.2. Nhà máy sản xuất gạch ốp
1.2.3. Nhà máy sản xuất gạch ngói, sét nung
1.2.4. Nhà máy sản xuất sứ vệ sinh
1.2.5. Nhà máy sản xuất kính xây dựng
1.2.6. Nhà máy sản xuất cấu kiện bê tông đúc sẵn và trạm bê tông
1.2.7. Nhà máy sản xuất vật liệu chịu lửa
1.2.8. Kho xăng dầu
1.2.9. Nhà máy luyện kim
1.2.10. Nhà máy nhiệt điện
1.2.11. Nhà máy thủy điện
1.2.12. Công trình đường dây tải điện
1.2.13. Công trình đường dây cáp điện hạ thế
1.2.14. Công trình đường dây tải điện trên không
1.2.15. Công trình cáp ngầm
1.2.16. Công trình trạm biến áp
1.2.17. Công trình thực phẩm
1.2.18. Nhà máy sản xuất bia, giải khát
1.2.19. Nhà máy chế biến nông sản
1.2.20. Nhà máy sản xuất sản phẩm may
1.2.21. Nhà xưởng, kho chuyên dụng
1.2.22. Công trình hầm lò
1.2.23. Công trình đường ống dẫn năng lượng
1.2.24. Công trình công nghiệp khác
1.3 Nhóm công trình giao thông
1.3.1. Công trình đường bộ, đường lăn - sân đỗ
1.3.2. Công trình đường sắt
1.3.3. Công trình cầu đường bộ
1.3.4. Công trình cầu đường sắt
1.3.5. Công trình cảng
1.3.6. Công trình hầm
1.3.7. Công trình giao thông khác
1.4. Nhóm công trình nông nghiệp và phát triển nông thôn
1.4.1. Công trình kênh, mương
1.4.2. Công trình đê, đập
1.4.3. Công trình hồ chứa
1.4.4. Công trình nông nghiệp khác
1.5. Nhóm công trình hạ tầng kỹ thuật
1.5.1. Công trình cấp nước
1.5.2. Công trình hạ tầng kỹ thuật khu công nghiệp, khu đô thị
1.5.3. Công trình chiếu sáng công cộng
1.5.4. Công trình viễn thông
1.5.5. Công trình đường ống
1.5.6. Công trình hạ tầng kỹ thuật khácPHỤ LỤC SỐ 6
PHƯƠNG PHÁP XÁC ĐỊNH ĐỊNH MỨC DỰ TOÁN
(ban hành kèm theo Thông tư số 09/2019/TT-BXD ngày 26/12/2019
của Bộ trưởng Bộ Xây dựng)
1. XÁC ĐỊNH ĐỊNH MỨC DỰ TOÁN XÂY DỰNG CÔNG TRÌNH MỚI
Định mức dự toán xây dựng mới của công trình được xác định theo trình tự sau:
Bước 1. Lập danh mục công tác xây dựng hoặc kết cấu mới của công trình chưa có trong danh mục định mức dự toán được công bố
Mỗi danh mục công tác xây dựng hoặc kết cấu mới cần thể hiện rõ đơn vị tính khối lượng và yêu cầu về kỹ thuật, điều kiện, biện pháp thi công chủ yếu của công tác hoặc kết cấu xây dựng.
Bước 2. Xác định thành phần công việc
Thành phần công việc cần thể hiện các bước công việc thực hiện của từng công đoạn theo thiết kế tổ chức dây chuyền công nghệ thi công từ khi chuẩn bị đến khi hoàn thành, phù hợp với điều kiện, biện pháp thi công và phạm vi thực hiện công việc của công tác hoặc kết cấu xây dựng.
Bước 3: Tính toán hao phí vật liệu, lao động và máy thi công
1.1. Tính toán hao phí vật liệu
1.1.1. Xác định thành phần hao phí vật liệu
Thành phần hao phí vật liệu là những vật liệu được xác định theo yêu cầu thiết kế, quy chuẩn, tiêu chuẩn xây dựng, quy phạm kỹ thuật về thiết kế - thi công - nghiệm thu theo quy định và những vật liệu khác để hoàn thành một đơn vị khối lượng công tác hoặc kết cấu xây dựng. Thành phần hao phí vật liệu gồm:
1.1.1.1. Vật liệu chính
- Là những loại vật liệu cơ bản tham gia cấu thành nên một đơn vị sản phẩm theo thiết kế và có tỷ trọng chi phí lớn trong chi phí vật liệu;
- Đơn vị tính được xác định theo quy định trong hệ thống đơn vị đo lường thông thường hoặc bằng hiện vật.
1.1.1.2. Vật liệu khác
- Là những loại vật liệu tham gia cấu thành nên một đơn vị sản phẩm theo thiết kế nhưng có tỷ trọng chi phí nhỏ trong chi phí vật liệu;
- Đơn vị tính được xác định bằng tỷ lệ phần trăm (%) so với chi phí của các loại vật liệu chính trong chi phí vật liệu.
1.1.2. Tính toán mức hao phí vật liệu
Mức hao phí vật liệu là lượng hao phí cần thiết theo yêu cầu thiết kế để hoàn thành một đơn vị khối lượng của công tác hoặc kết cấu xây dựng.
Công thức tính toán hao phí vật liệu chính như sau:
1.1.2.1 Đối với những loại vật liệu không luân chuyển

Trong đó:
- Qv: lượng hao phí của vật liệu cần thiết theo yêu cầu thiết kế tính trên đơn vị tính định mức.
- Ht/c: tỷ lệ hao hụt vật liệu trong thi công theo hướng dẫn trong định mức sử dụng vật liệu được công bố. Đối với những vật liệu mới, tỷ lệ hao hụt vật liệu trong thi công có thể vận dụng theo định mức sử dụng vật liệu đã được công bố; theo tiêu chuẩn, chỉ dẫn của nhà sản xuất; theo hao hụt thực tế hoặc theo kinh nghiệm của chuyên gia.
1.1.2.2. Đối với những loại vật liệu luân chuyển
Lượng hao phí vật liệu phục vụ thi công theo thiết kế biện pháp tổ chức thi công được xác định theo kỹ thuật thi công và số lần luân chuyển theo định mức sử dụng vật liệu được công bố hoặc tính toán đổi với trường hợp chưa có trong định mức sử dụng vật liệu.
Công thức tính toán

Trong đó:
- QvLC: lượng hao phí vật liệu luân chuyển (ván khuôn, giàn giáo, cầu công tác...);
- Ht/c: được xác định theo công thức (6.1) tại mục 1.1.2.1 Phụ lục này;
- KLC: hệ số luân chuyển của loại vật liệu được xác định theo định mức sử dụng vật liệu được ban hành.
+ Đối với vật liệu có số lần luân chuyển, tỷ lệ bù hao hụt khác với quy định trong định mức sử dụng vật liệu được ban hành, hệ số luân chuyển được xác định theo công thức sau:

Trong đó:
- h: tỷ lệ được bù hao hụt từ lần thứ 2 trở đi, trường hợp không bù hao hụt h=0;
- n: số lần sử dụng vật liệu luân chuyển.
1.1.2.3 Xác định hao phí vật liệu khác
+ Đối với các loại vật liệu khác được định mức bằng tỷ lệ phần trăm so với tổng chi phí các loại vật liệu chính định lượng trong định mức dự toán xây dựng và được xác định theo loại công việc, theo số liệu kinh nghiệm của chuyên gia hoặc định mức dự toán của công trình tương tự.
1.2 Tính toán hao phí nhân công
Hao phí nhân công được xác định trên số lượng, cấp bậc công nhân trực tiếp (không bao gồm công nhân điều khiển máy và thiết bị thi công xây dựng) thực hiện để hoàn thành đơn vị khối lượng công tác hoặc kết cấu xây dựng theo một chu kỳ hoặc theo nhiều chu kỳ.
Mức hao phí lao động được tính toán theo phương pháp sau:
1.2.1. Theo dây chuyền công nghệ tổ chức thi công
Mức hao phí nhân công cho một đơn vị khối lượng công tác hoặc kết cấu xây dựng được xác định theo tổ chức lao động trong dây chuyền công nghệ phù hợp với điều kiện, biện pháp thi công của công trình.
Công thức xác định mức hao phí nhân công như sau:

Trong đó:
- NC: mức hao phí nhân công cho một đơn vị công tác hoặc kết cấu xây dựng;
- TNC: số ngày công cần thực hiện để hoàn thành khối lượng công tác hoặc kết cấu xây dựng;
- Q: khối lượng cần thực hiện của công tác hoặc kết cấu xây dựng;
- Kcđ: hệ số chuyển đổi sang định mức dự toán xây dựng. Hệ số này phụ thuộc vào nhóm công tác (đơn giản hay phức tạp theo dây chuyền công nghệ tổ chức thi công), yêu cầu kỹ thuật, điều kiện thi công, chu kỳ làm việc liên tục hoặc gián đoạn. Kcđ thường trong khoảng 1,05÷1,2 được xác định theo kinh nghiệm chuyên gia.
1.2.2. Theo số liệu thống kê của công trình đã và đang thực hiện có điều kiện, biện pháp thi công tương tự
Mức hao phí nhân công cho một đơn vị khối lượng công tác hoặc kết cấu xây dựng được tính toán trên cơ sở phân tích các số liệu tổng hợp, thống kê.
Mức hao phí nhân công được xác định theo công thức (6.4) tại mục 1.2.1 Phụ lục này.
1.2.3. Theo số liệu khảo sát thực tế
Mức hao phí nhân công cho một đơn vị khối lượng của công tác hoặc kết cấu xây dựng được tính toán trên cơ sở số lượng công nhân từng khâu trong dây chuyền sản xuất và tổng sổ lượng công nhân trong cả dây chuyền theo số liệu khảo sát thực tế của công trình (theo thời gian, địa điểm, khối lượng thực hiện trong một hoặc nhiều chu kỳ,...) và tham khảo các quy định về sử dụng công nhân.
Công thức xác định mức hao phí nhân công như sau:

Trong đó:
- tđm: là mức hao phí nhân công trực tiếp từ khi chuẩn bị đến khi kết thúc công việc của từng công đoạn hoặc theo dây chuyền công nghệ thi công cho một đơn vị khối lượng công tác hoặc kết cấu xây dựng cụ thể (giờ công);
- Kcđ: được xác định theo công thức (6.5) Phụ lục này;
- Ktg = 1/8: Hệ số chuyển đổi từ định mức giờ công sang định mức ngày công.
1.2.4. Phương pháp kết hợp
Căn cứ điều kiện cụ thể, có thể kết hợp 3 phương pháp trên để xác định hao phí nhân công cho công tác hoặc kết cấu xây dựng chưa có trong hệ thống định mức dự toán xây dựng được ban hành.
1.3 Tính toán hao phí máy thi công
1.3.1 Xác định thành phần hao phí máy thì công
Thành phần hao phí máy thi công là những máy, thiết bị thi công được xác định theo dây chuyền công nghệ tổ chức thi công để hoàn thành một đơn vị khối lượng công tác hoặc kết cấu xây dựng. Thành phần hao phí máy thi công bao gồm:
1.3.1.1. Máy thi công chính
Là những máy thi công chiếm tỷ trọng chi phí lớn trong chi phí máy thi công trên đơn vị khối lượng công tác hoặc kết cẩu xây dựng.
1.3.1.2. Máy khác
- Là những loại máy thi công có tỷ trọng chi phí nhỏ trong chi phí máy thi công trên đơn vị khối lượng công tác hoặc kết cấu xây dựng;
- Đơn vị tính được xác định bằng tỷ lệ phần trăm (%) so với tổng chi phí của các loại máy và thiết bị thi công chính trong chi phí máy và thiết bị thi công.
1.3.2. Xác định mức hao phí máy và thiết bị thi công
Mức hao phí máy và thiết bị thi công là lượng hao phí cần thiết theo yêu cầu dây chuyền công nghệ tổ chức thi công để hoàn thành một đơn vị khối lượng của công tác hoặc kết cấu xây dựng.
Tính toán hao phí máy thi công chính
Công thức tổng quát xác định mức hao phí máy thi công chính như sau:

Trong đó:
- Kcđ: hệ số chuyến đổi sang định mức dự toán xây dựng. Hệ số này phụ thuộc vào nhóm công tác (đơn giản hay phức tạp theo dây chuyền công nghệ tổ chức thi công), yêu cầu kỹ thuật, điều kiện thi công, chu kỳ làm việc liên tục hoặc gián đoạn. Kcđ thường trong khoảng 1,05 ÷1,2 được xác định theo kinh nghiệm chuyên gia.
- Kcs: hệ số sử dụng năng suất là hệ số phản ánh việc sử dụng hiệu quả năng suất của tổ hợp máy trong dây chuyền liên hợp, hệ số này được tính toán theo năng suất máy thi công của các bước công việc và có sự điều chỉnh phù hợp khi trong dây chuyền dùng loại máy có năng suất nhỏ nhất, Kcs > 1.
- Qcm: định mức năng suất máy thi công trong một ca.
Định mức năng suất máy thi công được xác định theo phương pháp như sau:
1.3.2.1. Theo dây chuyền công nghệ tổ chức thi công
Định mức năng suất máy thi công xác định theo thông số kỹ thuật của từng máy trong dây chuyền công nghệ tổ chức thi công hoặc tham khảo năng suất máy thi công trong các tài liệu về sử dụng máy hoặc xác định theo công thức sau.
Qcm = Nlt x Kt (6.7)
Trong đó:
- Nlt: năng suất lý thuyết trong một ca;
- Kt: hệ số sử dụng thời gian trong một ca làm việc của máy thi công.
1.3.2.2. Theo số liệu thống kế của công trình đã và đang thực hiện có điều kiện, biện pháp thi công tương tự
Định mức năng suất máy thi công được xác định trên cơ sở phân tích số liệu thống kê, tổng hợp từ công trình cho một đơn vị tính để hoàn thành khối lượng công tác hoặc kết cấu xây dựng theo một chu kỳ hoặc theo nhiều chu kỳ và được xác định theo công thức sau.

Trong đó:
- mTK: khối lượng công tác hoặc kết cấu xây dựng theo số liệu thống kê, tổng hợp;
- tCM: thời gian hoàn thành khối lượng công tác hoặc kết cấu xây dựng theo số liệu thống kê (giờ máy);
- Ktgm = 1/8: Hệ số chuyển đổi từ định mức giờ máy sang ca máy.
1.3.2.3. Theo số liệu khảo sát thực tế
Định mức năng suất máy thi công được tính toán theo số liệu khảo sát (theo thời gian, địa điểm, khối lượng thực hiện trong một hoặc nhiều chu kỳ,...) của từng loại máy hoặc tham khảo các quy định về năng suất kỹ thuật của máy và các quy định về sử dụng máy thi công và được xác định theo công thức sau:

Trong đó:
- mks: khối lượng công tác hoặc kết cấu xây dựng theo số liệu khảo sát thực tế của công trình;
- tCM: thời gian hoàn thành khối lượng công tác hoặc kết cấu xây dựng theo số liệu khảo sát thực tế (giờ máy);
- Ktgm = 1/8: hệ số chuyển đổi từ định mức giờ máy sang ca máy.
1.3.2.4. Phương pháp kết hợp
Căn cứ điều kiện cụ thể, có thể kết hợp 3 phương pháp trên để xác định hao phí máy thi công cho công tác hoặc kết cấu xây dựng chưa có trong hệ thống định mức dự toán xây dựng được ban hành.
1.3.2.5. Xác định hao phí máy và thiết bị thi công khác
Đối với các loại máy và thiết bị thi công khác được định mức bằng tỷ lệ phần trăm (%) so với tổng chi phí các loại máy chính định lượng trong định mức xây dựng và được xác định theo loại công việc theo kinh nghiệm của chuyên gia hoặc định mức dự toán công trình tương tự.
Bước 4. Lập các tiết định mức trên cơ sở tổng hợp các hao phí về vật liệu, nhân công, máy thi công
Tập hợp các tiết định mức trên cơ sở tổng hợp các khoản mục hao phí về vật liệu, nhân công và máy thi công.
Mỗi tiết định mức gồm 2 phần:
- Thành phần công việc: Quy định rõ, đầy đủ nội dung các bước công việc theo thứ tự từ khâu chuẩn bị đến khi kết thúc hoàn thành công tác hoặc kết cấu xây dựng, bao gồm cả điều kiện và biện pháp thi công cụ thể.
- Bằng định mức các khoản mục hao phí: Mô tả rõ tên, chủng loại, quy cách vật liệu chính trong công tác hoặc kết cấu xây dựng, và các vật liệu khác; cấp bậc công nhân xây dựng bình quân; tên, công suất của các loại máy, thiết bị thi công chính và một số máy, thiết bị khác trong dây chuyền công nghệ thi công để thực hiện hoàn thành công tác hoặc kết cấu xây dựng.
Trong bảng định mức, hao phí vật liệu chính được tính bằng hiện vật, các vật liệu khác tính bằng tỷ lệ phần trăm (%) so với chi phí vật liệu chính; hao phí nhân công tính bằng ngày công theo cấp bậc công nhân xây dựng bình quân; hao phí máy, thiết bị thi công chính được tính bằng số ca máy, các loại máy khác được tính bằng tỷ lệ phần trăm (%) so với chi phí của các loại máy, thiết bị thi công chính.
Các tiết định mức xây dựng mới được tập hợp theo nhóm, loại công tác hoặc kết cấu xây dựng và thực hiện mã hoá thống nhất.
2. XÁC ĐỊNH ĐỊNH MỨC DỰ TOÁN XÂY DỰNG CÔNG TRÌNH ĐIỀU CHỈNH
Khi sử dụng định mức dự toán được ban hành, định mức dự toán công trình tương tự nhưng do điều kiện thi công hoặc biện pháp thi công hoặc yêu cầu kỹ thuật của công trình hoặc cả ba yếu tố này có một hoặc một số thông số chưa phù hợp với quy định trong định mức dự toán được ban hành, định mức dự toán của công trình tương tự thì điều chỉnh các thành phần hao phí vật liệu, nhân công, máy thi công cho phù hợp với công trình theo các bước như sau:
Bước 1: Lập danh mục định mức dự toán cần điều chỉnh.
Bước 2: Phân tích, so sánh về yêu cầu kỹ thuật, điều kiện thi công, biện pháp thi công cụ thể với nội dung trong định mức dự toán được ban hành.
Bước 3: Điều chỉnh hao phí vật liệu, nhân công, máy thi công
2.1. Điều chỉnh hao phí vật liệu
- Đối với những loại vật liệu cấu thành nên sản phẩm theo yêu cầu thiết kế thì căn cứ quy định, tiêu chuẩn thiết kế của công trình để tính toán điều chỉnh;
- Đối với vật liệu phục vụ thi công thì điều chỉnh các yếu tố thành phần trong định mức dự toán ban hành, định mức dự toán công trình tương tự thì tính toán điều chỉnh hao phí vật liệu theo thiết kế biện pháp thi công hoặc theo kinh nghiệm của chuyên gia hoặc các tổ chức chuyên môn.
2.2. Điều chỉnh hao phí nhân công
Điều chỉnh thành phần, hao phí nhân công căn cứ theo điều kiện tổ chức thi công của công trình hoặc theo kinh nghiệm của chuyên gia hoặc các tổ chức chuyên môn.
2.3. Điều chỉnh hao phí máy thi công
Trường hợp thay đổi dây chuyền máy, thiết bị thi công theo điều kiện tổ chức của công trình khác với quy định trong định mức dự toán đã ban hành, định mức dự toán công trình tương tự thì tính toán điều chỉnh mức hao phí theo điều kiện tổ chức thi công hoặc theo kinh nghiệm của chuyên gia hoặc các tổ chức chuyên môn.
PHỤ LỤC SỐ 7
PHƯƠNG PHÁP XÁC ĐỊNH ĐỊNH MỨC CƠ SỞ
(Ban hành kèm theo thông tư số 09/2019/TT-BXD ngày 26/12/2019 của Bộ trưởng Bộ Xây dựng)
1. KHÁI NIỆM VÀ PHÂN LOẠI DANH MỤC
1.1. Khái niệm
(1). Định mức cơ sở là định mức kinh tế - kỹ thuật quy định về quy cách, chủng loại, mức độ sử dụng vật liệu, năng suất lao động, máy và thiết bị thi công của một dây chuyền sản xuất xây dựng theo quy trình thực hiện gắn với yêu cầu kỹ thuật, biện pháp và điều kiện thi công cụ thể để tạo nên sản phẩm của một công tác xây dựng, đối với dây chuyền sản xuất xây dựng của một công tác có thể xác định định mức cơ sở theo từng bước công việc thì xác định định mức cơ sở theo từng bước công việc, trong đó:
a) Định mức sử dụng vật liệu là lượng vật liệu cần dùng và lượng vật liệu hao tổn để tạo nên một đơn vị khối lượng công tác xây dựng hoặc mỗi bước công việc của mỗi công tác xây dựng;
b) Định mức năng suất lao động là lượng sản phẩm hoàn thành trên một đơn vị thời gian của một tổ, nhóm công nhân xây dựng trong một đơn vị khối lượng công tác xây dựng hoặc mỗi bước công việc của mỗi công tác xây dựng;
c) Định mức năng suất máy là lượng sản phẩm hoàn thành trên một đơn vị thời gian của mỗi loại máy xây dựng trong một đơn vị khối lượng công tác xây dựng hoặc mỗi bước công việc cúa mỗi công tác xây dựng;
(2). Định mức cơ sở của từng bước công việc là cơ sở tính toán xác định hao phí vật liệu, nhân công, máy thi công để tạo nên một đơn vị khối lượng sản phẩm xây dựng của một công tác xây dựng.
(3). Đối với các công tác xây dựng phổ biến, định mức cơ sở được xác định bằng phương pháp điều tra khảo sát thị trường xây dựng, phù hợp với tổ chức xây dựng, yêu cầu kỹ thuật, công nghệ và điều kiện thi công. Đối với các công tác xây dựng áp dụng công nghệ mới định mức cơ sở được xác định trên cơ sở yêu cầu của công nghệ và điều kiện áp dụng công nghệ.
Định mức cơ sở là một căn cứ để xác định và quản lý chi phí dự án đầu tư xây dựng, lập kế hoạch quản lý xây dựng.
1.2. Phân loại danh mục và quy định mã hiệu định mức cơ sở:
(1). Danh mục định mức cơ sở được xây dựng và phân loại theo 05 cấp độ sau:
- Cấp 1: gồm nhóm công tác xây dựng áp dụng chung và 05 loại công trình xây dựng chuyên ngành (dân dụng, công nghiệp, giao thông, nông nghiệp và phát triển nông thôn, và hạ tầng kỹ thuật);
- Cấp 2: gồm các nhóm công trình cơ sở thuộc từng loại công trình hoặc theo các công tác chung thuộc nhóm công tác xây dựng áp dụng chung trong cấp 1;
- Cấp 3: gồm các hạng mục, bộ phận công trình của từng nhóm công trình cơ sở, hoặc theo nhóm công tác chính của từng công tác chung trong cấp 2;
- Cấp 4: gồm các công tác xây dựng thuộc hạng mục, bộ phận công trình hoặc công tác cụ thể thuộc nhóm công tác chính trong cấp 3;
- Cấp 5: là các công tác xây dựng với các điều kiện thi công, công nghệ, biện pháp thi công, tiêu chuẩn thi công, yêu cầu kỹ thuật... được sử dụng trong mỗi công tác xây dựng.
Ví dụ phân loại danh mục định mức cơ sở tham khảo tại Bảng 7.1 như sau:
BẢNG 7.1: VÍ DỤ PHÂN LOẠI DANH MỤC ĐỊNH MỨC CƠ SỞ
|
Cấp 1 |
Cấp 2 |
Cấp 3 |
Cấp 4 |
Cấp 5 |
|
Công tác áp dụng chung |
Công tác khảo sát |
Công tác vẽ lập lưới khống chế mặt bằng |
Công tác đo vẽ mặt cắt dọc trên cạn bằng máy toàn đạc điện tử và máy thủy bình |
Địa hình cấp I |
|
Địa hình cấp II |
||||
|
Địa hình cấp III |
||||
|
Địa hình cấp IV
|
||||
|
Địa hình cấp V |
||||
|
Địa hình cấp VI |
||||
|
Công trình dân dụng |
Công trình dân dụng kết cấu bê tông cốt thép |
Hạng mục nền móng |
Công tác bê tông móng |
Đổ bằng thủ công |
|
Đổ bằng bơm tự hành |
||||
|
Đổ bằng cần cẩu tháp |
||||
|
Công tác ván khuôn móng |
Ván khuôn gỗ |
|||
|
Ván khuôn thép |
||||
|
Ván khuôn ván phủ phim |
||||
|
Công tác thép móng |
Thép ≤ 10mm |
|||
|
|
|
|
|
Thép ≤ 18mm |
|
Thép > 18mm |
||||
|
Công trình giao thông |
Công trình giao thông |
Hạng mục nền đường |
Công tác đào đất nền đường |
Bằng máy đào l,25m3, đào đất cấp I |
|
Bằng máy đào l,25m3, đào đất cấp II |
||||
|
Bằng máy đào l,25m3, đào đất cấp III |
||||
|
Bằng máy đào l,25m3, đào đất cấp IV |
||||
|
Công tác đắp đất nền đường |
Bằng máy đầm 16T, độ chặt K = 0,85 |
|||
|
Bằng máy đầm 16T, độ chặt K = 0,9 |
||||
|
Bằng máy đầm 16T, độ chặt K = 0,95 |
||||
|
Bằng máy đầm 16T, độ chặt K = 0,98 |
||||
|
.......... |
.......... |
.......... |
.......... |
.......... |
(2). Danh mục định mức cơ sở được mã hóa bằng cách gắn mã hiệu xác định tương ứng với 05 cấp phân loại của danh mục định mức.
Mã hiệu định mức cơ sở là một dãy số gồm 5 thành phần tương ứng với 5 cấp độ phân loại danh mục định mức và được phân tách nhau bởi dấu trong đó: cấp 1 gồm 02 chữ số; cấp 2 gồm 02 chữ số; cấp 3 gồm 02 chữ số; cấp 4 gồm 02 chữ số; cấp 5 gồm 03 chữ số.
(3). Ví dụ tham khảo phân loại danh mục định mức cơ sở và quy định gắn mã hiệu định mức cơ sở tham khảo theo Bảng 7.2 Phụ lục này.
2. PHƯƠNG PHÁP XÁC ĐỊNH ĐỊNH MỨC CƠ SỞ
2.1. .Nội dung và kết cấu định mức cơ sở của một công tác xây dựng:
Định mức cơ sở của một công tác xây dựng gồm các thành phần chính sau:
(1). Mã hiệu
(2). Tên định mức
(3). Đơn vị tính định mức
(4). Phạm vi áp dụng và hướng dẫn sử dụng định mức: Mô tả rõ thành phần công việc; điều kiện tổ chức thi công được định mức; phạm vi thực hiện công việc và các điều kiện đảm bảo an toàn lao động, vệ sinh môi trường; các tiêu chuẩn, quy chuẩn xây dựng, chỉ dẫn kỹ thuật được áp dụng.
(5). Quy trình công nghệ thi công, sơ đồ thi công của công tác tương ứng với từng biện pháp thi công áp dụng cho công tác xây dựng: thể hiện rõ quy trình các bước công việc (công đoạn) thuộc công tác xây dựng được xác định, tính toán trong định mức.
(6). Biện pháp thi công được áp dụng cho công tác xây dựng: Thể hiện rõ các loại vật tư, máy móc, thiết bị của công nghệ xây dựng sử dụng trong biện pháp thi công, hoặc nhân công được sử dụng trong biện pháp thi công theo các bước trong quy trình thi công.
(7). Xác định định mức các thành phần cơ sở của từng công đoạn, bước công việc gồm: định mức sử dụng vật liệu, định mức năng suất lao động, định mức năng suất máy và thiết bị thi công.
(8). Bảng tổng hợp định mức cơ sở
2.2. Trình tự, quy trình xác định định mức cơ sở:
Bước 1: Lập danh mục các công tác xây dựng xác định định mức cơ sở:
Xác định danh mục công tác xây dựng của từng nhóm công trình cơ sở thuộc từng loại công trình để khảo sát xây dựng định mức cơ sở.
Bước 2: Xác định phạm vi, đối tượng khảo sát:
a) Phạm vi/ khu vực khảo sát: 63 tỉnh, thành phố.
b) Đối tượng khảo sát gồm:
- Các chủ thể tham gia trong quá trình xây dựng gồm: nhà thầu thi công; nhà thầu tư vấn; chuyên gia; cơ quan quản lý nhà nước; Ban Quản lý dự án/ Chủ đầu tư có kinh nghiệm, thời gian tham gia tư vấn giám sát, quản lý, thi công xây dựng.
- Các công trình, dự án đầu tư xây dựng: lựa chọn công trình, dự án mục tiêu để khảo sát phải phù hợp với nhóm công trình cơ sở khảo sát định mức cơ sở.
Bước 3: Xác định sơ bộ các nội dung chính định mức cơ sở của từng công tác để khảo sát
Dựa trên các tài liệu về tiêu chuẩn kỹ thuật, tiêu chuẩn thi công, yêu cầu, chỉ dẫn kỹ thuật...xác định sơ bộ 03 nội dung chính của định mức cơ sở của một công tác xây dựng để thực hiện khảo sát, bao gồm:
a) Các biện pháp thi công áp dụng cho công tác xây dựng, tương ứng với các điều kiện thi công;
b) Quy trình thi công các bước công việc của từng biện pháp;
c) Các thành phần chính vật liệu, năng suất lao động và máy thi công của từng bước công việc.
Bước 4: Lập biểu mẫu khảo sát:
Biểu mẫu khảo sát được lập riêng cho 02 đối tượng khảo sát được quy định tại điểm b bước 2 tại mục 2.2 Phụ lục này.
Mẫu khảo sát các chủ thể tham gia trong quá trình xây dựng được thiết kế theo dạng bảng hỏi về các nội dung cần khảo sát và bảng thu thập các thông tin, tài liệu liên quan (nếu có) quy định tại bước 3.
Mẫu khảo sát tại các công trình, dự án đầu tư xây dựng là một tập hợp các biểu mẫu được thiết kế phù hợp cho từng biện pháp thi công của công tác, từng bước công việc theo quy trình của biện pháp và từng thành phần hao phí.
Các biễu mẫu khảo sát phải đảm bảo bao gồm các thông tin, số liệu cơ bản sau:
a) Thông tin về cơ quan, cá nhân thực hiện khảo sát;
b) Thông tin về đối tượng khảo sát;
c) Tên loại dự án;
d) Địa điểm xây dựng dự án;
đ) Thời gian khảo sát;
e) Thông tin về công tác xây dựng khảo sát định mức cơ sở;
g) Thông tin khảo sát về 3 nội dung chính:
- Các biện pháp thi công được áp dụng;
- Quy trình các bước công việc, sơ đồ tổ chức thi công tương ứng với từng biện pháp; nội dung thành phần công việc của từng bước công việc;
- Thành phần hao phí vật tư, năng suất lao động và máy thi công của từng bước công việc.
h) Thông tin về các chỉ dẫn thực hiện khảo sát, chỉ dẫn điền mẫu khảo sát;
i) Thông tin liên quan khác (nếu có).
Bước 5: Tổ chức khảo sát:
a) Yêu cầu số lượng đối tượng khảo sát
- Đối với đối tượng khảo sát là các chủ thể tham gia trong quá trình xây dựng: số lượng tối thiểu đối tượng chủ thể khảo sát cho 01 công tác xây dựng phải đảm bảo > 100 chủ thể, trong đó 50% phải là nhà thầu thi công xây dựng.
- Đối tượng khảo sát là quá trình thi công xây dựng tại các dự án đầu tư xây dựng: Số lượng công trình cần khảo sát tối thiểu là 20 công trình đại điện/ 01 công trình cơ sở phổ biến; 02 công trình đại điện/ 01 nhóm công trình cơ sở đặc thù; 01 công trình đại diện đối với nhóm công trình cơ sở mới xuất hiện.
b) Khảo sát các nội dung cơ bản của định mức cơ sở theo phương pháp hướng dẫn tại mục 2.3 Phụ lục này.
c) Cơ quan chuyên môn về xây dựng thực hiện kiểm tra công tác khảo sát thu thập số liệu xây dựng định mức cơ sở để điều chỉnh, xử lý kịp thời các nội dung vướng mắc, bất cập trong quá trình khảo sát thực tế.
Bước 6: Tổng hợp số liệu khảo sát, xử lý số liệu:
Số liệu sau khi khảo sát được thu thập, sàng lọc và xử lý dữ liệu trên cơ sở tổng hợp các thông tin, số liệu theo từng nội dung cơ bản của định mức cơ sở một công tác xây dựng như sau:
a) Tổng hợp, xử lý, phân tích số liệu khảo sát, thống kê về biện pháp thi công;
b) Tổng hợp, xử lý, phân tích số liệu khảo sát, thống kê về quy trình thi công.
c) Tổng hợp, xử lý, phân tích số liệu khảo sát, thống kê về năng suất và thành phần hao phí định mức của từng bước công việc.
Số liệu sau khi khảo sát được thu thập, sàng lọc và xử lý dữ liệu bằng phương pháp hồi quy, chuyển đổi số liệu về thời điểm tính toán.
Bước 7: Phân tích, tính toán xây dựng định mức cơ sở:
a) Định mức cơ sở của mỗi công tác xây dựng được xác định trên cơ sở số liệu sau khi phân tích phù hợp với từng biện pháp thi công phổ biển và quy trình thi công của công tác xây dựng.
b) Định mức cơ sở được xác định theo điều kiện thi công như: địa hình, địa chất, cấp đất, v.v... và các điều kiện khách quan tác động, ảnh hưởng đến năng suất thi công như thời tiết,...
Bước 8: Hoàn thiện bảng định mức cơ sở
Lập hồ sơ định mức cơ sở trình cơ quan chuyên môn về xây dựng thẩm định, lấy ý kiến và trình Bộ Xây dựng ban hành định mức.
2.3. Phương pháp khảo sát các nội dung cơ bản của định mức cơ sở
Khảo sát định mức cơ sở của từng công tác xây dựng gồm các nội dung chính sau:
2.3.1. Khảo sát các công nghệ, biện pháp thi công được áp dụng cho công tác xây dựng
Áp dụng phương pháp khảo sát phỏng vấn chuyên gia, thống kê và khảo sát để xác định các nội dung sau:
a) Khảo sát các biện pháp thi công được áp dụng để thực hiện công tác xây dựng gồm: xác định số lượng các biện pháp thi công áp dụng đối với mỗi công tác xây dựng; xác định biện pháp thi công phổ biển được sử dụng tương ứng với từng điều kiện, yêu cầu thi công của mỗi công tác.
b) Khảo sát công nghệ thi công (máy và thiết bị thi công) áp dụng đối với từng biện pháp: Xác định số lượng, chủng loại máy và thiết bị thi công áp dụng; tỷ trọng của mỗi chủng loại máy và thiết bị thi công áp dụng cho từng biện pháp trong thực tế; xác định công nghệ phổ biến được sử dụng đối với từng biện pháp.
2.3.2. Khảo sát quy trình thực hiện các bước để hoàn thành một công tác xây dựng tương ứng với từng biện pháp thi công, công nghệ thi công
Áp dụng phương pháp khảo sát phỏng vấn chuyên gia thống kê và khảo sát để xác định các nội dung sau:
a) Khảo sát xác định các bước thực hiện (các công đoạn) trong quy trình thực hiện của từng biện pháp thi công một công tác xây dựng;
b) Khảo sát xác định quy trình thi công của từng bước công việc;
c) Khảo sát xác định các thông tin cơ bản của các thành phần vật liệu, nhân công, máy thi công được sử dụng cho từng bước công việc, gồm:
- Tên, chủng loại, thông số kỹ thuật của vật liệu;
- Thành phần, số lượng nhân công;
- Tên, chủng loại, thông số kỹ thuật của máy và thiết bị thi công.
2.3.3. Khảo sát số liệu định mức sử dụng vật liệu, định mức năng suất lao động, định mức năng suất máy của từng buớc công việc
Áp dụng phương pháp khảo sát phỏng vấn chuyên gia, thống kê theo dõi và khảo sát theo số liệu ngày làm việc để xác định các nội dung sau:
a) Khảo sát hao phí vật liệu:
- Đối với vật tư không luân chuyển: khảo sát, thống kê số liệu khối lượng vật tư nhập, xuất, tồn khi thi công tại công trường; khối lượng vật tư thực hiện của từng công đoạn, khối lượng sản phẩm công tác xây dựng được nghiệm thu; định lượng mức độ lãng phí, mất mát vật tư.
- Đối với vật tư luân chuyển: khảo sát số liệu liên quan đến thời gian, số lần sử dụng vật liệu tại công trình; tình trạng vật tư ban đầu và tình trạng sau khi thi công (nếu còn sử dụng); định lượng mức độ lãng phí, mất mát vật tư.
b) Khảo sát hao phí nhân công: khảo sát số lượng công nhân, trình độ tay nghề trong từng công đoạn; thời gian (thời gian hữu ích, thời gian ngừng theo số liệu ngày làm việc) đối với từng bước công việc; điều kiện thi công; khối lượng công việc thực hiện của từng công đoạn, khối lượng sản phẩm công tác xây dựng được nghiệm thu.
c) Khảo sát hao phí máy thi công: khảo sát số lượng máy móc thiết bị, thông số kỹ thuật, tình trạng máy thi công được sử dụng trong từng công đoạn, thời gian máy thi công (thời gian hữu ích, thời gian ngừng theo số liệu ngày làm việc) tham gia trong quá trình thi công đối với từng bước công việc; điều kiện thi công; khối lượng công việc thực hiện của từng công đoạn, khối lượng sản phẩm công tác xây dựng được nghiệm thu.
2.4. Hồ sơ xác định định mức cơ sở
- Tổng hợp tài liệu làm căn cứ xây dựng định mức, ví dụ: tiêu chuẩn xây dựng; tiêu chuẩn nhà sản xuất; bản vẽ thiết kế thi công, chỉ dẫn kỹ thuật, biện pháp thi công được duyệt,...;
- Tổng hợp biểu khảo sát và kết quả khảo sát các nội dung cơ bản của định mức;
- Thuyết minh phân tích, đánh giá và bảng tính toán, xử lý số liệu khảo sát theo từng nội dung cơ bản của định mức;
- Thuyết minh và bảng tính toán, xây dựng các định mức cơ sở chi tiết của từng bước công việc và định mức cơ sở tổng hợp của công tác xây dựng.
BẢNG SỐ 7.2
DANH MỤC MÃ HIỆU ĐỊNH MỨC CƠ SỞ CÁC CÔNG TÁC XÂY DỰNG
Định mức cơ sở được phân loại và gắn mã hiệu theo từng loại, nhóm, công trình và bộ phận kết cấu công trình như sau:
01. CÔNG TÁC CHUNG
01.01. Khảo sát xây dựng
01.01.01. Công tác đo đạc
01.01.01.001. Công tác đo vẽ lập lưới khống chế mặt bằng
01.01.01.001.001. Đo lưới khống chế mặt bằng
01.01.01.001.002. Cắm mốc chỉ giới đường đỏ, cắm mốc ranh giới khu vực xây dựng 01.01.02. Công tác đào đất, đá để lấy mẫu thí nghiệm 01.01.03. Công tác khoan mẫu
01.01.04. Công tác thăm dò địa vật lý
01.01.05. Công tác thí nghiệm tại hiện trường
01.01.06. Một số công tác khác
...
01.02. Thí nghiệm vật liệu, cấu kiện, kết cấu và công trình xây dựng
01.02.01. Thí nghiệm vật liệu xây dựng
01.02.01.001. Thí nghiêm nhóm vật liệu xi măng gạch, ngói, đá, cát, sỏi
01.02.01.002. Thí nghiệm nhóm vật liệu vữa, bê tông, bê tông nhựa
01.02.01.003. Thí nghiệm nhóm vật liệu thiết bị vệ sinh, gỗ, kính, sơn
01.02.01.004. Thí nghiệm nhóm vật liệu kim loại
01.02.01.005. Thí nghiệm nhóm vật liệu khác
01.02.02. Thí nghiệm cấu kiện, kết cấu và công trình xây dựng
01.02.02.001. Thí nghiệm nhóm cấu kiện xây dựng
01.02.02.002. Thí nghiệm nhóm kết cấu xây dựng
01.02.02.003. Thí nghiệm nhóm công trình xây dựng
01.02.03. Công tác thí nghiệm trong phòng phục vụ khảo sát xây dựng
01.02.03.001. Thí nghiêm tính chất cơ lý của đất, đá
01.02.03.002. Thí nghiệm khác
...
01.03. Chuẩn bị mặt bằng
01.03.01. Phát rừng tạo mặt bằng
01.03.01.001. Phát rừng tạo mặt bằng bằng thủ công
01.03.02.002. Phát rừng tạo mặt bằng bằng cơ giới
01.03.03. Chặt cây, đào gốc cây, bụi cây
...
01.04. Phá dỡ, tháo dỡ kết cấu công trình
01.04.01. Phá dỡ bằng thủ công
01.04.02. Phá dỡ bằng máy
01.04.03. Tháo dỡ bằng thủ công
01.04.04. Tháo dỡ bằng máy
...
01.05. Công tác vận chuyển phế thải
01.06. Xử lý nền đất yếu
01.06.01. Gia cố nền đất yếu bằng bấc thấm, vải địa kỹ thuật
01.06.02. Xử lý nền đất yếu bằng phương pháp cố kết hút chân không có màng kín khí
01.06.03. Thi công đệm cát
...
01.07. Công tác thi công cọc
01.07.01. Công tác đóng cọc
01.07.02.001. Đóng cọc bằng thủ công
01.07.02.002. Đóng cọc bằng máy
01.07.02.002.001. Đóng cọc bằng máy đóng cọc
01.07.02.002.002. Đóng cọc bằng máy đóng cọc búa rung
01.07.02.002.003. Đóng cọc bằng tàu đóng cọc búa thủy lực
01.07.03. Công tác ép cọc, nhổ cọc
01.07.04. Công tác nối cọc
01.07.05. Công tác thi công cọc khoan nhồi
...
01.08. Công tác phục vụ thi công
01.08.01. Công tác bốc xếp vận chuyển vật liệu, cấu kiện xây dựng
01.08.02. Công tác vận chuyển
01.08.03. Vận chuyển vật liệu lên cao
01.08.04. Thi công hạng mục tạm phục vụ thi công
...
02. CÔNG TRÌNH DÂN DỤNG
02.01. Công trình bê tông cốt thép
02.01.01. Thi công nền, móng
02.01.01.001. Công tác đào, đắp, đầm đất, đá
02.01.01.001.001. Đào, đắp đất bằng thủ công
02.01.01.001.002. Đào, đắp đất bằng máy
02.01.01.002. Công tác xây gạch, đá
02.01.01.003. Công tác ván khuôn
02.01.01.004. Công tác cốt thép
02.01.01.005. Công tác bê tông
...
02.01.02. Thi công kết cấu phần
02.01.02.001. Thi công cột, trụ
02.01.02.001.001. Công tác ván khuôn
02.01.02.001.002. Công tác cốt thép
02.01.02.001.003. Công tác bê tông
02.01.02.002. Thi công xà, dầm, giằng
02.01.02.002.001. Công tác ván khuôn
02.01.02.002.002. Công tác cốt thép
02.01.02.002.003. Công tác bê tông
02.01.02.003. Thi công sàn, mái
02.01.02.003.001. Công tác ván khuôn
02.01.02.003.002. Công tác cốt thép
02.01.02.003.003. Công tác bê tông
02.01.02.003.004. Công tác chống thấm sàn, mái
02.01.02.003.005. Lắp dựng tấm sàn, mái
02.01.02.004. Thi công cầu thang, lõi thang máy, tường
02.01.02.004.001. Công tác ván khuôn
02.01.02.004.002. Công tác cốt thép
02.01.02.004.003. Công tác bê tông
02.01.02.005. Thi công một số kết cấu khác
02.01.02.005.001. Lanh tô, tấm đan, ô văng
02.01.02.005.002. Chống nóng công trình
...
02.01.03. Công tác hoàn thiện
02.01.03.001. Công tác xây tường, trụ, cột
02.01.03.002. Công tác trát tường, trụ, cột, lam, cầu thang, xà, dầm, giằng
02.01.03.003. Công tác láng nền, ốp, lát gạch, đá
02.01.03.004. Công tác quét vôi, nước xi măng, sơn, bả
02.01.03.005. Công tác lắp dựng tấm tường
02.01.03.006. Lắp dụng lam
02.01.03.007. Công tác lắp dựng tấm trần
02.01.03.008. Công tác lắp dựng khuôn cửa, cửa
02.01.03.009. Công tác lắp dựng kính bao che công trình
02.01.03.010. Công tác lợp mái
...
02.01.04. Công tác cơ điện
02.01.04.001. Lắp đặt hệ thống điện, nước trong công trình
02.01.04.002. Lắp đặt hệ thống thông tin liên lạc
02.01.04.003. Lắp đặt hệ thống điều hòa
02.01.04.004. Lắp đặt hệ thống phòng cháy chữa cháy
...
02.01.05. Công tác sửa chữa, bảo dưỡng công trình
02.01.05.001. Công tác phá dỡ, tháo dỡ, làm sạch kết cấu công trình
02.01.05.002. Công tác sửa chữa, gia cố kết cấu, nhà cửa, vật kiến trúc
02.01.05.003. Công tác sửa chữa, gia cố các kết cấu khác
...
02.02. Công trình kết cấu thép
02.02.01. Thi công nền, móng
02.02.01.001. Công tác đào, đắp, đầm đất, đá
02.02.01.002. Công tác xây gạch, đá
02.02.01.003. Công tác ván khuôn
02.02.01.004. Công tác cốt thép
02.02.01.005. Công tác bê tông
...
02.02.02. Thi công kết cấu phần thân
02.02.02.001. Thi công lắp dựng cột thép
02.02.02.002. Thi công lắp dựng xà dầm, vì kèo thép
02.02.02.003. Thi công lợp mái
...
02.02.03. Công tác hoàn thiện
02.02.03.001. Công tác xây tường, trụ, cột
02.02.03.002. Công tác trát tường, trụ, cột, lam, cầu thang, xà, dầm, giằng
02.02.03.003. Công tác láng nền, ốp, lát gạch, đá
02.02.03.004. Công tác quét vôi, nước xi măng, sơn, bá
02.02.03.005. Công tác lắp dựng tấm trần
02.02.03.006. Công tác lắp dựng khuôn cửa, cửa
02.02.03.007. Công tác lắp dựng tôn bao che công trình
...
02.02.04. Công tác cơ điện
02.02.04.001. Lắp đặt hệ thống điện, nước trong công trình
02.02.04.002. Lắp đặt hệ thống thông tin liên lạc
02.02.04.003. Lắp đặt hệ thống điều hòa
02.02.04.004. Lắp đặt hệ thống phòng cháy chữa cháy
...
02.02.05. Công tác sửa chữa, bảo dưỡng công trình
02.02.05.001. Công tác phá dỡ, tháo dỡ, làm sạch kết cấu công trình
02.02.05.002. Công tác sửa chữa, gia cố kết cấu, nhà cửa, vật kiến trúc
02.02.05.003. Công tác sửa chữa, gia cố các kết cấu khác
...
02.03. Công trình kết cấu gỗ
02.03.01. Thi công nền, móng
02.03.01.001. Công tác đào, đắp, đầm đất, đá
02.03.01.002. Công tác xây gạch, đá
02.03.01.003. Công tác ván khuôn
02.03.01.004. Công tác cốt thép
02.03.01.005. Công tác bê tông
...
02.03.02. Thi công kết cấu phần thân
02.03.02.001. Thi công lắp dựng cột gỗ
02.03.02.002. Thi công lắp dựng xà dầm, vì kèo gỗ
02.03.02.003. Thi công lợp mái
...
02.03.03. Công tác hoàn thiện
02.03.03.001. Công tác xây tường, trụ, cột
02.03.03.002. Công tác trát tường, trụ, cột, lam, cầu thang, xà, dầm, giằng
02.03.03.003. Công tác láng nền, ốp, lát gạch, đá
02.03.03.004. Công tác quét vôi, nước xi măng, sơn, bả
02.03.03.005. Công tác lắp dựng tấm trần
02.03.03.006. Công tác lắp dựng khuôn cửa, cửa
02.03.03.007. Công tác lắp dựng tôn bao che công trình
...
02.03.04. Công tác cơ điện
02.03.04.001. Lắp đặt hệ thống điện, nước trong công trình
02.03.04.002. Lắp đặt hệ thống thông tin liên lạc
02.03.04.003. Lắp đặt hệ thống điều hòa
02.03.04.004. Lắp đặt hệ thống phòng cháy chữa cháy
...
02.03.05. Công tác sửa chữa, bảo dưỡng công trình
02.03.05.001. Công tác phá dỡ, tháo dỡ, làm sạch kết cấu công trình
02.03.05.002. Công tác sửa chữa, gia cố kết cấu, nhà cửa, vật kiến trúc 02.03.05.003. Công tác sửa chữa, gia cố các kết cấu khác
...
03: CÔNG TRÌNH GIAO THÔNG
03.01. Công trình đường bộ
03.01.01. Thi công móng đường
03.01.02. Thi công nền đường
03.01.03. Công tác sản xuất đá dăm đen và bê tông nhựa
03.01.04. Công tác thi công kết cấu phụ trợ
03.01.05. Sửa chữa, bảo dưỡng đường bộ
...
03.02. Công trình cầu
03.02.01. Thi công mố, trụ cầu
03.02.02. Thi công dầm cầu
03.02.03. Lao lắp dựng dầm
03.02.04. Thi công cáp, dây văng
03.02.05. Bản mặt cầu
03.02.06. Công tác thi công kết cấu phụ trợ
03.02.07. Sửa chữa, bảo dưỡng cầu
...
03.03. Công trình hầm
03.03.01. Đào đường hầm
03.03.02. Xử lý nước bùn trong đường hầm
03.03.03. Hệ thống lỗ thông hơi
03.03.04. Khu vực đậu xe khẩn cấp
03.03.05. Phun vừa lắp hố đường hầm
03.03.06. Sửa chữa, bảo dưỡng hầm
...
03.04. Công trình đường sắt
03.05. Công trình đường thủy nội địa
03.06. Công trình hàng hải
03.07. Công trình hàng không
...
04. CÔNG TRÌNH HẠ TẦNG KỸ THUẬT
04.01. Công trình cấp nước
04.01.01. Thi công trạm thu nước
04.01.02. Thi công trạm bơm cấp nước
04.02.03. Thi công trạm xử lý, làm sạch nước
04.02.03. Thi công công trình điều hòa, dự trữ nước
04.02.04. Thi công mạng lưới đường ống
...
04.02. Công trình thoát nước
04.02.01. Thi công mạng lưới cống, mương
04.02.02. Thi công trạm bơm
04.02.03. Thi công nhà máy xử lý nước
04.02.04. Thi công cống bao
04.02.05. Thi công hồ điều hòa
04.02.06. Thi công điểm đấu nối
04.02.07. Thi công điểm xả
...
04.03. Công trình xử lý chất thải rắn
04.03.01. Thi công bãi chôn lấp
04.03.02. Thi công trạm trung chuyển rác thải
04.03.03. Thi công trạm cân rác thải
04.03.04. Thi công nhà máy xử lý rác thải
04.03.05. Thi công trạm xử lý nước rỉ rác
04.03.06. Thi công hồ chứa nước
04.03.07. Thi công hệ thống truyền tải điện
...
04.04. Công trình chiếu sáng công cộng và thông tin liên lạc
04.04.01. Thi công lắp đặt trạm biến áp
04.04.02. Thi công lắp đặt cột đèn
04.04.03. Thi công lắp đặt đường dây
04.04.04. Thi công lắp đặt hệ thống tủ điều khiển
04.04.05. Thi công lắp đặt thiết bị chiếu sáng
04.04.06. Thi công tháp thu, phát sóng viễn thông, truyền thanh, truyền hình
04.04.07. Thi công nhà phục vụ thông tin liên lạc (bưu điện, bưu cục, nhà lắp đặt thiết bị thông tin, đài lưu không)
04.04.07. Thi công trạm viba
04.04.09. Thi công trạm vệ tinh mặt đất
04.04.10. Thi công công trình điều khiển hệ thống thông tin liên lạc
...
04.05. Nghĩa trang, cơ sở hỏa táng, nhà tang lễ
04.05.01. Thi công lăng mộ
04.05.02. Thi công hạ tầng kỹ thuật
04.05.03. Thi công lò hỏa táng
04.05.04. Thi công khu văn phòng, kỹ thuật
04.05.05. Thi công khu lưu trữ tro cốt
04.05.06. Thi công nhà tang lễ
04.05.07. Thi công công trình hạ tầng
04.05.07. Thi công hệ thống cây xanh cảnh quan
...
04.06. Công viên cây xanh
04.06.01. Hồ điều hòa
04.06.02. Thi công hệ thống vòi phun nước
04.06.03. Thi công khuôn viên sân, đường
04.06.04. Thi công hệ thống xây xanh, tiểu cảnh
04.06.05. Thi công nhà điều hành
04.06.06. Thi công khu dịch vụ
04.07. Nhà, sân bãi để xe, máy móc, thiết bị
....
05. CÔNG TRÌNH CÔNG NGHIỆP
05.01. Công trình sản xuất vật liệu xây dựng
05.01.01. Công trình mỏ khai thác nguyên liệu cho ngành vật liệu xây dựng
05.01.02. Nhà máy sản xuất xi măng, trạm nghiền xi măng
05.01.03. Nhà máy sản xuất vật liệu xây dựng
05.01.04. Nhà máy sản xuất cấu kiện bê tông đúc sẵn
05.02. Công trình luyện kim và cơ khí chế tạo
05.02.01. Nhà máy luyện kim
05.02.02. Nhà máy chế tạo thiết bị, máy xây dựng, lắp ráp phương tiện giao thông 05.03. Công trình khai thác mỏ và chế biến khoáng sản
05.03.01. Hầm lò
05.03.01.001. Đào lò ngang
05.03.01.002. Đào lò hạ
05.03.01.003. Đào lò thượng
05.03.01.004. Đào ngã ba
05.03.01.005. Thi công giếng đứng
...
05.03.02. Nhà máy tuyển than, quặng
05.03.03. Công trình sản xuất alumin
05.04. Công trình dầu khí
05.04.01. Công trình giàn khai thác
05.04.02. Công trình lọc dầu
05.04.03. Công trình chế biến khí
05.04.04. Công trình sản xuất nhiên liệu sinh học
05.04.05. Kho xăng dầu
05.04.06. Kho chứa khí hóa lỏng, trạm chiết nạp khí hóa lỏng
05.04.07. Trạm bán lẻ xăng, dầu, khí hóa lỏng
05.05. Công trình năng luợng
05.02.01. Công trình nhiệt điện
05.02.01.001. Công tác lắp đặt thiết bị cơ nhiệt
05.02.01.002. Công tác lắp đặt thiết bị và phụ kiện
05.02.01.003. Công tác lắp đặt kết cấu thép
05.02.01.004. Công tác lắp đặt đường ống
05.02.01.005. Công tác bảo ôn
05.02.01.006. Công tác lắp đặt hệ thống đo lường và điều khiển (c&i)
...
05.02.02. Công trình thủy điện
05.02.02.001. Thi công cửa nhận nước
05.02.02.002. Thi công đường hầm dẫn nước
05.02.02.003. Thi công tháp điều áp
05.02.02.004. Thi công nhà máy
05.02.02.005. Thi công kênh xả
05.02.02.006. Thi công trạm phân phối điện
05.02.02.007. Thi công hầm phụ
05.02.02.008. Thi công đê quai cửa nhận nước
05.02.02.009. Thi công đê quai nhà máy
...
05.02.03. Công trình điện hạt nhân
05.02.04. Công trình điện gió
05.02.05. Công trình điện mặt trời
05.02.06. Công trình điện thủy triều
05.02.07. Công trình điện địa nhiệt
05.02.08. Công trình điện rác
05.02.09. Công trình điện sinh khối
05.02.10. Công trình điện khí biogas
05.02.11. Đường dây và trạm biến áp
05.06. Công trình hóa chất
05.06.01. Công trình sản xuất hóa chất ngành nông nghiệp
05.06.02. Công trình sản xuất sản phẩm ngành hóa, dược
05.06.03. Công trình sản xuất sản phẩm nguồn điện hóa, vật liệu nổ
05.06.04. Công trình sản xuất sản phẩm cao su
05.07. Công trình công nghiệp nhẹ
05.07.01. Công trình công nghiệp thực phẩm, tiêu dùng
05.07.02. Công trình công nghiệp chế biến nông, thủy và hải sản
...
06: CÔNG TRÌNH NÔNG NGHIỆP VÀ PHÁT TRIỂN NÔNG THÔN
06.01. Công trình thủy lợi
06.01.01. Công trình cấp nước
06.04.01. Công tác san lấp mặt bằng, đào, nạo vét kênh mương
06.04.02. Công tác đào, đắp đất, cát, đá
06.04.03. Công tác đào đá móng công trình thủy lợi
06.04.05. Công tác xây dựng cống
06.04.04. Công tác sản xuất, lắp đặt cửa van
06.04.05. Công tác lắp đặt thiết bị thủy công
...
06.01.02. Công trình hồ chứa
06.02. Công trình đê điều
06.02.01. Công tác điều tra, khảo sát mối
06.02.02. Công tác xử lý mối
06.02.03. Công tác đào đất, đá
06.02.04. Công tác đắp đê
06.02.05. Công tác làm kè đá
06.02.06. Đúc và lắp ghép các tấm bê tông định hình lát mái kè
06.02.07. Công tác làm và định vị thả rọ đá, rồng thép
06.02.08. Công tác duy tu bảo dưỡng đê điều
06.02.09. Trồng cây ngập mặn chắn sóng áp dụng cho các dự án duy tu, sửa chữa và nâng cấp đê biển
...
PHỤ LỤC SỐ 8
PHƯƠNG PHÁP XÁC ĐỊNH ĐỊNH MỨC CHI PHÍ TÍNH THEO TỶ LỆ PHẦN TRĂM
(Ban hành kèm theo Thông tư số 09/2019/TT-BXD ngày 26/12/2019 của Bộ trưởng Bộ Xây dựng)
1. ĐỊNH MỨC CHI PHÍ QUẢN LÝ DỰ ÁN
1.1. Khái niệm về định mức chi phí quản lý dự án
Định mức chi phí quản lý dự án là các chi phí cần thiết để chủ đầu tư tổ chức thực hiện các công việc quản lý dự án từ giai đoạn chuẩn bị dự án, thực hiện dự án và kết thúc xây dựng đưa công trình của dự án vào khai thác sử dụng (không bao gồm chi phí để Cơ quan nhà nước có thẩm quyền thực hiện các công việc quản lý dự án đối với các dự án đầu tư xây dựng theo hình thức đối tác công tư - PPP).
Chi phí quản lý dự án bao gồm tiền lương của cán bộ quản lý dự án; tiền công trả cho người lao động theo hợp đồng; các khoản phụ cấp lương; tiền thưởng; phúc lợi tập thể; các khoản đóng góp (bảo hiểm xã hội; bảo hiểm y tế; bảo hiểm thất nghiệp; kinh phí công đoàn, trích nộp khác theo quy định của pháp luật đối với cá nhân được hưởng lương từ dự án); ứng dụng khoa học công nghệ, quản lý hệ thống thông tin công trình, đào tạo nâng cao năng lực cán bộ quản lý dự án; thanh toán các dịch vụ công cộng; vật tư văn phòng phẩm; thông tin, tuyên truyền, liên lạc; tổ chức hội nghị có liên quan đến dự án; công tác phí; thuê mướn; sửa chữa, mua sắm tài sản phục vụ quản lý dự án; chi phí khác và chi phí dự phòng.
1.2. Phương pháp xác định định mức chi phí quản lý dự án
1.2.1. Xác định danh mục định mức chi phí quản lý dự án
Danh mục định mức chi phí quản lý dự án xác định theo các quy mô tương ứng với danh mục dự án được phân loại tại các điểm b, c, d, đ, 3 Phụ lục số 7 ban hành kèm theo Thông tư này.
1.2.2. Lập biếu mẫu khảo sát định mức chi phí quản lý dự án
Biểu mẫu phiếu khảo sát bao gồm các thông tin, số liệu cơ bản sau:
a) Tên cơ quan khảo sát
b) Tên đối tượng khảo sát
c) Tên loại dự án
d) Địa điểm xây dựng dự án
đ) Thời gian, căn cứ xác định chi phí
e) Các chi phí của dự án, công trình gồm: Tổng mức đầu tư/ dự toán hoặc quyết toán dự án, công trình. Trong đó, cần xác định các chi phí:
- Chi phí xây dựng
- Chi phí thiết bị
- Chi phí quản lý dự án
f) Thông tin liên quan khác (nếu có)
g) Chữ ký kèm ghi rõ họ tên của cơ quan khảo sát và đối tượng khảo sát.
1.2.3. Khảo sát thu thập số liệu
1.2.3.1. Phạm vi, đối tượng khảo sát:
a) Phạm vi/khu vực khảo sát: Thực hiện khảo sát định mức chi phí quản lý dự án trên 63 tỉnh, thành phố Việt Nam.
b) Đối tượng khảo sát: Khảo sát thông qua các chủ thể tham gia trong quá trình xây dựng gồm: Nhà thầu tư vấn; Cơ quan quản lý nhà nước; Ban Quản lý dự án/ Chủ đầu tư và các chuyên gia khác.
1.2.3.2. Nội dung khảo sát
Nội dung khảo sát bao gồm các thông tin trong biểu mẫu khảo sát của các dự án.
1.2.4. Xử lý số liệu và xác định mức chi phí quản lý dự án
Số liệu sau khi khảo sát được thu thập, sàng lọc và xử lý dữ liệu bằng phương pháp hội quy, chuyển đổi số liệu về thời điểm tính toán.
1.2.5. Hoàn thiện bảng định mức chi phí quản lý dự án
Định mức chi phí quản lý dự án theo mỗi quy mô của loại công trình được xác định theo công thức sau:

Trong đó:
- Nqlda: định mức chi phí quản lý dự án theo quy mô chi phí xây dựng và thiết bị của loại công trình cần tính, đơn vị tính (%).
- Gqlda: chi phí quản lý dự án theo quy mô của công trình cần tính, đơn vị tính (đồng).
- Gxd: chi phí xây dựng theo quy mô của công trình cần tính, đơn vị tính (đồng).
- GTb: chi phí thiết bị theo quy mô của công trình cần tính, đơn vị tính (đồng).
2. ĐỊNH MỨC CHI PHÍ TƯ VẤN ĐẦU TƯ XÂY DỰNG
2.1. Khái niệm định mức chi phí tư vấn đầu tư xây dựng
Định mức chi phí tư vấn đầu tư xây dựng là quy định về mức chi phí cần thiết để thực hiện các công việc liên quan đến tư vấn đầu tư xây dựng.
Nội dung chi phí tư vẩn đầu tư xây dựng bao gồm chi phí chi trả cho chuyên gia trực tiếp thực hiện công việc tư vấn; chi phí quản lý của tổ chức tư vấn; chi phí khác (gồm cả chi phí mua bảo hiểm trách nhiệm nghề nghiệp); thu nhập chịu thuế tính trước nhưng chưa gồm thuế giá trị gia tăng. Trường hợp áp dụng mô hình thông tin công trình (viết tắt là BIM) trong quá trình thực hiện công việc tư vấn thì bổ sung chi phí này bằng dự toán.
2.2. Phương pháp xác định định mức chi phí tư vấn đầu tư xây dựng
2.2.1. Xác định danh mục định mức chi phí tư vấn đầu tư xây dựng
Danh mục định mức chi phí tư vấn đầu tư xây dựng xác định theo các quy mô tương ứng với danh mục dự án được phân loại tại các điểm b, c, d, đ, e Phụ lục số 7 ban hành kèm theo Thông tư này.
2.2.2. Lập biểu mẫu khảo sát định mức tư vấn đầu tư xây dựng
Biểu mẫu phiếu khảo sát bao gồm các thông tin, số liệu cơ bản sau:
- Tên cơ quan khảo sát;
- Tên đối tượng khảo sát;
- Tên loại dự án;
- Địa điểm xây dựng dự án;
- Thời gian, căn cứ xác định chi phí tư vấn đầu tư xây dựng.
- Các chi phí của dự án, công trình gồm: Tổng mức đầu tư/ dự toán hoặc quyết toán dự án, công trình. Trong đó, cần xác định các chi phí:
+ Chi phí xây dựng;
+ Chi phí tư vấn đầu tư xây dựng (Chi phí lập và thẩm tra báo cáo nghiên cứu tiền khả thi; Chi phí lập và thẩm tra báo cáo nghiên cứu khả thi; Lập báo cáo kinh tế kỹ thuật; Chi phí thiết kế; Chi phí thẩm tra thiết kế xây dựng; Chi phí thẩm tra dự toán xây dựng; Chi phí lập hồ sơ mời thầu, đánh giá hồ sơ dự thầu tư vấn; Chi phí lập hồ sơ mời thầu, đánh giá hồ sơ dự thầu thi công xây dựng; Chi phí lập hồ sơ mời thầu, đánh giá hồ sơ dự thầu mua sắm vật tư, thiết bị; Chi phí giám sát thi công xây dựng; Chi phí giám sát lắp đặt thiết bị; Chi phí giám sát công tác khảo sát; Chi phí quy đổi suất vốn đầu tư;...)
- Thông tin liên quan khác (nếu có);
- Chữ ký kèm ghi rõ họ tên của cơ quan khảo sát và đối tượng khảo sát.
2.2.3. Khảo sát thu thập số liệu
2.2.3.1. Phạm vi, đối tượng khảo sát:
a) Phạm vi/khu vực khảo sát: Thực hiện khảo sát định mức chi phí tư vấn đầu tư xây dựng trên 63 tỉnh, thành phố Việt Nam.
b) Đối tượng khảo sát: Khảo sát thông qua các chủ thể tham gia trong quá trình xây dựng gồm: Nhà thầu tư vấn; Cơ quan quản lý nhà nước; Ban Quản lý dự án/Chủ đầu tư và các chuyên gia khác.
2.2.3.2. Nội dung khảo sát
Nội dung khảo sát bao gồm các thông tin trong biểu mẫu khảo sát của các dự án.
2.2.4. Xử lý số liệu và xác định mức chi phí tư vấn đầu tư xây dựng
Số liệu sau khi khảo sát được thu thập, sàng lọc và xử lý dữ liệu bằng phương pháp hội quy, chuyển đổi số liệu về thời điểm tính toán.
2.2.5. Hoàn thiện bảng định mức chi phí tư vấn đầu tư xây dựng
Mỗi định mức chi phí tư vấn đầu tư xây dựng tương ứng với các công việc tư vấn đầu tư xây dựng theo quy mô của loại công trình được xác định theo công thức sau:

Trong đó:
- Ntv: Mỗi định mức chi phí tư vấn đầu tư xây dựng tương ứng với mỗi công việc tư vấn đầu tư xây dựng theo quy mô chi phí xây dựng và thiết bị của loại công trình cần tính, đơn vị tính (%).
- Gtv: chi phí từng loại công việc tư vấn đầu tư xây dựng theo quy mô của công trình cần tính, đơn vị tính (đồng).
- Gxd: chi phí xây dựng theo quy mô của công trình cần tính, đơn vị tính (đồng).
3. ĐỊNH MỨC CHI PHÍ GIÁN TIẾP
3.1. Khái niệm định mức chi phí gián tiếp
Định mức chi phí gián tiếp là quy định về mức chi phí cần thiết để thực hiện các công việc liên quan đến quá trình sản xuất nhưng không trực tiếp hình thành sản phẩm xây dựng của công trình, dự án.
Nội dung chi phí gián tiếp: chi phí chung, chi phí lán trại, chi phí một số công việc không xác định được khối lượng từ thiết kế và chi phí gián tiếp khác, cụ thể như sau:
- Chi phí chung gồm: chi phí quản lý tại doanh nghiệp được phân bổ cho dự án (công trình), chi phí quản lý tại hiện trường và chi phí phục vụ công nhân trực tiếp (chi phí bảo hiểm mà người sử dụng lao động phải nộp cho nhà nước thay người lao động theo quy định).
- Chi phí lán trại: là chi phí nhà tạm tại hiện trường để ở và điều hành thi công xây dựng.
- Chi phí một số công việc không xác định được khối lượng từ thiết kế gồm: chi phí bảo đảm an toàn, môi trường, thí nghiệm vật liệu của nhà thầu, ....
- Chi phí gián tiếp khác.
3.2. Phương pháp xác định định mức chi phí gián tiếp
3.2.1. Xác định danh mục định mức chi phí gián tiếp
Danh mục định mức chi phí gián tiếp xác định theo các quy mô tương ứng với danh mục dự án được phân loại tại các điểm b, c, d, đ, e Phụ lục số 7 ban hành kèm theo Thông tư này.
3.2.2. Lập biểu mẫu khảo sát định mức tư vấn đầu tư xây dựng
Biểu mẫu phiếu khảo sát bao gồm các thông tin, số liệu cơ bản sau:
- Tên cơ quan khảo sát
- Tên đối tượng khảo sát
- Tên loại dự án
- Địa điểm xây dựng dự án
- Thời gian, căn cứ xác định chi phí tư vấn đầu tư xây dựng.
- Các chi phí của dự án, công trình gồm: Tổng mức đầu tư/ dự toán hoặc quyết toán dự án, công trình. Trong đó, cần xác định các chi phí:
+ Chi phí vật liệu;
+ Chi phí nhân công;
+ Chi phí máy và thiết bị thi công xây dựng;
+ Chi phí chung (Chi phí tại doanh nghiệp; Chi phí điều hành sản xuất tại công trường);
+ Chi phí lán trại;
+ Chi phí một số công việc không xác định được khối lượng từ thiết kế;
+ Chi phí gián tiếp khác.
(Nội dung chi phí cụ thể của từng chi phí được liệt kê tại Bảng 8 Phụ lục này).
- Thông tin liên quan khác (nếu có)
- Chữ ký kèm ghi rõ họ tên của cơ quan khảo sát và đối tượng khảo sát.
3.2.3. Khảo sát thu thập số liệu
3.2.3.1. Phạm vi, đối tượng khảo sát:
a) Phạm vi/khu vực khảo sát: Thực hiện khảo sát định mức chi phí gián tiếp trên 63 tỉnh, thành phố Việt Nam.
b) Đối tượng khảo sát: Khảo sát thông qua các chủ thể tham gia trong quá trình xây dựng (Nhà thầu thi công xây dựng; nhà thầu tư vấn; cơ quan quản lý nhà nước; Ban quản lý dự án/ chủ đầu tư và các chuyên gia khác) và khảo sát tại các công trình, dự án.
3.2.3.2. Nội dung khảo sát
Nội dung khảo sát bao gồm các thông tin trong biểu mẫu khảo sát của các dự án.
3.2.4. Xử lý số liệu và xác định định mức chi phí gián tiếp
Số liệu sau khi khảo sát được thu thập, sàng lọc và xử lý dữ liệu bằng phương pháp hội quy, chuyển đổi số liệu về thời điểm tính toán.
3.2.5. Hoàn thiện bảng định mức chi phí gián tiếp
Mỗi định mức chi phí gián tiếp tương ứng theo quy mô của loại công trình được xác định theo công thức sau:

Trong đó:
+ Ngt: các định mức bao gồm: định mức chi phí chung (Chi phí tại doanh nghiệp; Chi phí điều hành sản xuất tại công trường); định mức chi phí lán trại; định mức chi phí một số công việc không xác định được khối lượng từ thiết kế; định mức chi phí gián tiếp khác, đơn vị tính (%).
+ Ggt: các chi phí gián tiếp tương ứng với từng định mức chi phí gián tiếp cần xác định (chi phí chung; chi phí lán trại; chi phí một số công việc không xác định được khối lượng từ thiết kế; chi phí gián tiếp khác) theo quy mô của công trình cần tính, đơn vị tính (đồng).
+ VL, NC, M: chi phí vật liệu, nhân công, máy thi công theo quy mô của công trình cần tính, đơn vị tính (đồng).
Bảng 8. BIỂU MẪU CHI PHÍ GIÁN TIẾP CẦN THỰC HIỆN KHẢO SÁT
|
STT |
CHI PHÍ |
NỘI DUNG |
Tỷ lệ (%) cần khảo sát |
|||
|
1 |
Chi phí chung |
a) Chi phí tại doanh nghiệp bao gồm các chi phí: lương cho ban điều hành; lương cho người lao động; chi trả trợ cấp mất việc; chi phí đóng bảo hiểm cho người lao động theo quy định; chi phí phúc lợi; chi phí bảo trì văn phòng và các phương tiện; chi phí tiện ích văn phòng; chi phí thông tin liên lạc và giao thông đi lại; chi phí sử dụng tiện ích điện, nước; chi phí nghiên cứu và phát triển; chi phí quảng cáo; chi phí xã hội; chi phí tặng, biếu, từ thiện; chi phí thuê đất, văn phòng và chỗ ở; chi phí khấu hao; khấu hao chi phí nghiên cứu thử nghiệm; khấu hao chi phí phát triển; thuế, lệ phí, phí theo quy định; bảo hiểm tổn thất; chi phí bảo đảm hợp đồng; các chi phí khác |
|
|||
|
b) Chi phí điều hành sản xuất tại công trường bao gồm các chi phí: - Chi phí quản lý lao động: chi phí tuyển dụng và chấm dứt hợp đồng; chi phí giải trí và phúc lợi cho công nhân; chi phí quần áo và dụng cụ làm việc; chi phí đi lại; chi phí chăm sóc y tế tại hiện trường cho công nhân ngoài phạm vi được bảo hiểm (nếu cần thiết). - Chi phí huấn luyện an toàn: chi phí cho các hoạt động và huấn luyện về an toàn; chi phí các buổi họp về bồi dưỡng, huấn luyện về an toàn và vệ sinh lao động cho công nhân. - Thuế, lệ phí, phí theo quy định bao gồm các loại thuế, lệ phí, phí theo quy định phải nộp trong quá trình triển khai thi công xây dựng (như kiểm định an toàn máy móc thiết bị thi công xây dựng,v.v...). - Chi phí bảo hiểm: bảo hiểm công trình; bảo hiểm xe cộ (nếu sở hữu). - Lương và phụ cấp cho người lao động bao gồm lương và các loại phụ cấp cho cán bộ, nhân viên tại văn phòng hiện trường. - Chi trả trợ cấp mất việc bao gồm chi trả trợ cấp cho các trường hợp về hưu hoặc mất việc do kết thúc dự án cho cán bộ, nhân viên tại văn phòng hiện trường. - Chi phí đóng bảo hiểm cho người lao động của bộ phận quản lý tại hiện trường theo quy định: chi phí doanh nghiệp đóng bảo hiểm xã hội, bảo hiểm y tế, bảo hiểm thất nghiệp, kinh phí công đoàn cho công nhân, cán bộ, nhân viên; chi phí doanh nghiệp đóng bảo hiểm tai nạn cho công nhân, cán bộ, nhân viên thi công trên công trường. - Chi phí phúc lợi: chi phí giải trí, nghỉ ngơi; chi phí thuê quần áo; chi phí chăm sóc y tế; chi phí chúc mừng, khen ngợi, hiếu hỉ và các hoạt động văn hóa; chi phí khác. - Chi phí tiện ích văn phòng: chi phí các thiết bị văn phòng; chi phí nội thất văn phòng; chi phí vật tư văn phòng; chi phí mua sách; chi phí in ấn, bản vẽ. - Chi phí thông tin liên lạc và giao thông đi lại: chi phí điện thoại tại văn phòng; chi phí điện thoại di động; chi phí thư tín; chi phí giao thông đi lại. - Chi phí xã hội bao gồm các chi phí cần thiết để đón tiếp các đoàn khách, v.v... tới thăm công trường. - Chi phí dịch vụ mua ngoài bao gồm chi phí chung của thầu phụ trong trường hợp có một phần công việc xây dựng được nhà thầu giao cho thầu phụ thực hiện. - Chi phí đo đạc phục vụ thi công tại hiện trường. |
|
|||||
|
|
|
c) Chi phí phục vụ công nhân (của công nhân trực tiếp): chi phí bảo hiểm (bảo hiểm xà hội, y tế, công đoàn, thất nghiệp) mà người sử dụng lao động phải nộp cho nhà nước thay người lao động (công nhân trực tiếp). |
|
|||
|
2 |
Chi phí lán trại |
- Chi phí xây lắp, di dời và bảo trì văn phòng và phòng thí nghiệm hiện trường; - Chi phí xây lắp, di dời và bảo trì nhà ở cho cán bộ, nhân viên và công nhân tại hiện trường; - Chi phí xây lắp, di dời và bảo trì nhà kho chứa hàng và thiết bị, kho vật liệu; - Phí thuê đất cho các hạng mục trên. |
|
|||
|
3 |
Chi phí không xác định được khối lượng từ thiết kế |
- Chi phí vận chuyển máy thi công, vật liệu tạm và lực lượng lao động bao gồm: chi phí đưa các thiết bị, máy xây dựng đến và rời khỏi công trường và vận chuyển trong nội bộ công trường bao gồm cả công tác tháo rời và lắp ráp; chi phí vận chuyển của các thiết bị, máy xây dựng tự hành; chi phí đưa đến và đưa đi khỏi công trường và vận chuyển trong nội bộ công trường các vật liệu tạm phục vụ thi công như khung thép, cọc thép, bản thép, vật liệu phụ trợ, vật liệu đã giáo, giá đờ, tháp lao dầm, các phương tiện lao lắp dầm cầu, ống đố bê tông, khung trượt trong hầm, vv...); chi phí huy động và di chuyển công nhân trong nội bộ công trường. - Chi phí công tác chuẩn bị: chi phí chuẩn bị và dọn dẹp làm sạch bao gồm chi phí cho công tác chuẩn bị khởi công xây dựng, công tác chuẩn bị và dọn dẹp làm sạch hàng ngày, chi phí bơm nước, vét bùn không thường xuyên và không xác định được từ khối lượng thiết kế, dọn dẹp làm sạch công trình lần cuối; chi phí khảo sát chung, khảo sát hiện trường, hoàn tất hệ mốc mạng, v.v..., khảo sát hiện trường cơ bản trước khi thi công, kiểm tra các bản vẽ được cung cấp trong tài liệu hợp đồng, xác nhận công trường xây dựng, công tác khảo sát trong quá trình xây dựng. - Chi phí an toàn bao gồm: chi phí theo dõi và thư tín phục vụ công tác quản lý an toàn trong toàn bộ công trường xây dựng; chi phí cho nhản viên an ninh tại nơi ra vào công trường; chi phí lắp đặt, di dời và bảo dưỡng các phương tiện an toàn như biển báo, bảng hiệu, chiếu sáng an toàn, hàng rào bảo vệ, lan can tạm, v.v...; chi phí chiếu sáng trong trường hợp công trình cần được chiếu sáng như là làm việc vào buổi tối; chi phí các đồ dùng, tiện ích an toàn như mũ, đai an toàn, giày, găng tay, v.v...; chi phí cho ban an toàn và các hoạt động an toàn khác không bao gồm công tác huấn luyện an toàn; chi phí biện pháp công tác ngăn ngừa bụi. - Chi phí sử dụng tiện ích bao gồm phí, lệ phí sử dụng điện, nước cơ bản phục vụ thi công xây dựng công trình. - Chi phí quản lý kỹ thuật bao gồm: chi phí cho tất cả các thử nghiệm, thí nghiệm cần thiết; hồ sơ hoàn công, dữ liệu tập tin của các hồ sơ giấy tờ cần thiết phát sinh trong quá trình thi công xây dựng công trình; chi phí cho việc lưu trữ các hồ sơ ghi chép về chất lượng của tất cả các vật liệu xây dựng được sử dụng; chi phí giấy chứng nhận chất lượng cho các loại vật liệu xây dựng được sử dụng; chi phí hồ sơ, tài liệu được lập cho công tác quản lý tiến độ; chi phí khảo sát, bản vẽ, ảnh phục vụ công tác kiểm tra các hạng mục hoàn thành. |
|
|||
PHỤ LỤC SỐ 9
PHƯƠNG PHÁP XÁC ĐỊNH DỰ TOÁN CHI PHÍ KHẢO SÁT XÂY DỰNG
(Ban hành kèm theo Thông tư số 09/2019/TT-BXD ngày 26/12/2019 của Bộ trưởng Bộ Xây dựng)
1. PHƯƠNG PHÁP XÁC ĐỊNH THEO KHỐI LƯỢNG VÀ ĐơN GIÁ KHẢO SÁT
1.1. Dự toán chi phí khảo sát xây dựng xác định theo phương pháp này sử dụng công thức sau:
Gks = (T + GT + TL) + Cpvks x (1 + Tgtgt) + Cdp (9.1)
Trong đó:
- Gks: dự toán chi phí khảo sát xây dựng;
- T: chi phí trực tiếp;
- GT: chi phí gián tiếp;
- TL: thu nhập chịu thuế tính trước;
- Cpvks: chi phí khác phục vụ công tác khảo sát;
- TgTgT: thuế suất thuế GTGT quy định cho công tác khảo sát xây dựng;
- CDP: chi phí dự phòng.
1.2. Xác định các khoản mục chi phí:
1.2.1. Chi phí trực tiếp (T) xác định theo công thức sau:

Trong đó:
- Qj : khối lượng công tác khảo sát xây dựng thứ j được xác định phù hợp với nhiệm vụ khảo sát xây dựng;
- Dvlj Dncj,Dmksj: đơn giá vật liệu, nhiên liệu; đơn giá nhân công; đơn giá máy và thiết bị khảo sát để hoàn thành công tác khảo sát xây dựng thứ j của công trình. Đơn giá vật liệu, nhiên liệu; đơn giá nhân công; đơn giá máy và thiết bị khảo sát được vận dụng đơn giá do cơ quan có thẩm quyền công bố hoặc xác định theo hướng dẫn sau:
+ Đơn giá vật liệu, nhiên liệu Dvlj xác định theo công thức:

Trong đó:
- Vi: mức hao phí vật liệu, nhiên liệu thứ i (i=1÷n) tính cho một đơn vị khối lượng công tác khảo sát xây dựng theo định mức dự toán khảo sát xây dựng;
- Gvli: giá của một đơn vị khối lượng vật liệu, nhiên liệu thứ i(i=1÷n) được xác định theo mức giá do cơ quan có thẩm quyền công bố. Trường hợp loại vật liệu, nhiên liệu không có trong công bố giá của cơ quan có thẩm quyền được xác định theo báo giá phù hợp với thời điểm lập đơn giá và giá thị trường nơi thực hiện công tác khảo sát xây dựng;
- Kvl: hệ số chi phí vật liệu, nhiên liệu khác (nếu có) so với tổng chi phí vật liệu, nhiên liệu chủ yếu xác định trong định mức dự toán khảo sát xây dựng.
+ Đơn giá nhân công (Dncj) xác định theo công thức:

Trong đó:
- Ni: mức hao phí ngày công của kỹ sư, công nhân cho một đơn vị khối lượng công tác khảo sát xây dựng thứ i (i= 1÷n) theo định mức dự toán khảo sát xây dựng;
- Gnc: giá nhân công của kỹ sư, nhân công trực tiếp khảo sát được xác định theo hướng dẫn của Ủy ban nhân dân cấp tỉnh nơi thực hiện công tác khảo sát xây dựng hoặc theo hướng dẫn của Bộ Xây dựng.
+ Đơn giá ca máy và thiết bị khảo sát (Dmksj) xác định theo công thức:

Trong đó:
- Mi: mức hao phí ca máy của loại máy, thiết bị khảo sát chính thứ i (i=1÷n) tính cho một đơn vị khối lượng công tác khảo sát xây dựng theo định mức dự toán khảo sát xây dựng;
- Gmksi: giá ca máy của loại máy, thiết bị khảo sát chính thứ i (i=1÷n) theo bảng giá ca máy do cơ quan có thẩm quyền công bố hoặc giá thuê máy phù hợp với thời điểm lập đơn giá và giá thị trường tại nơi thực hiện công tác khảo sát xây dựng;
- Kmks: hệ số chi phí máy khác (nếu có) so với tổng chi phí máy, thiết bị khảo sát chủ yếu xác định trong định mức dự toán khảo sát xây dựng.
1.2.2. Chi phí gián tiếp (GT)
Chi phí gián tiếp gồm các chi phí theo hướng dẫn cụ thể tại Bảng 8 Phụ lục 8 ban hành kèm theo Thông tư này.
a) Chi phí chung (chi phí tại doanh nghiệp, chi phí điều hành sản xuất tại công trường và chi phí bảo hiểm của người sử dụng lao động phải nộp cho người lao động) được xác định bằng tỷ lệ (%) trên chi phí nhân công trong chi phí trực tiếp. Định mức tỷ lệ chi phí chung được quy định tại Bảng 9.1:
Bảng 9.1. ĐỊNH MỨC CHI PHÍ CHUNG CHO CÁC CÔNG TÁC KHẢO SÁT XÂY DỰNG
|
Chi phí nhân công trong chi phí trực tiếp (tỷ đồng) |
≤ 1 |
1 ÷ ≤ 2 |
> 2 |
|
Định mức tỷ lệ chi phí chung (%) |
70 |
65 |
60 |
b) Chi phí lán trại, chi phí không xác định được khối lượng từ thiết kế, chi phí gián tiếp khác (nếu có) được xác định như sau:
- Tùy theo loại công tác khảo sát, khối lượng công tác khảo sát, điều kiện thực tế của công tác khảo sát và cấp công trình, chi phí gián tiếp xác định trong khoảng từ 5% đến 8% trên tổng chi phí trực tiếp (T).
- Trường hợp chi phí gián tiếp xác định theo tỷ lệ phần trăm (%) nêu trên không đủ chi phí thì lập dự toán cụ thể đối với khoản chi phí này.
1.2.3. Thu nhập chịu thuế tính trước (TL)
Thu nhập chịu thuế tính trước được xác định bằng 6% trên tổng chi phí trực tiếp (T) và chi phí gián tiếp (GT).
1.2.4. Chi phí khác phục vụ công tác khảo sát xây dựng (Cpvks)
a) Chi phí khác phục vụ công tác khảo sát xây dựng bao gồm chi phí lập phương án kỹ thuật khảo sát, lập báo cáo kết quả khảo sát xây dựng được xác định bằng tỷ lệ (%) trên tổng chi phí trực tiếp (T), cụ thể tại Bảng 9.2:
Bảng 9.2. ĐỊNH MỨC CHI PHÍ PHỤC VỤ CÔNG TÁC KHẢO SÁT XÂY DỰNG
|
Tổng chi phí trực tiếp, chi phí gián tiếp (tỷ đồng) |
≤ 2 |
> 2 |
|
1. Lập phương án kỹ thuật khảo sát xây dựng (%) |
2 |
1,5 |
|
2. Lập báo cáo kết quả khảo sát xây dựng (%) |
3 |
2,5 |
1.2.5. Thuế suất thuế giá trị gia tăng (Tgtgt)
Thuế giá trị gia tăng được xác định theo quy định đối với công tác khảo sát xây dựng.
1.2.6. Chi phí dự phòng (Cdp)
Chi phí dự phòng được xác định tối đa bằng 10% trên tổng chi phí trực tiếp, chi phí gián tiếp, thu nhập chịu thuế tính trước, chi phí khác phục vụ công tác khảo sát và thuế giá trị gia tăng.
2. PHƯƠNG PHÁP XÁC ĐỊNH TRÊN CƠ SỞ KHỐI LƯỢNG HAO PHÍ VẬT LIỆU, NHIÊN LIỆU; NHÂN CÔNG; MÁY THI CÔNG VÀ THIẾT BỊ KHẢO SÁT VÀ BẢNG GIÁ TƯƠNG ỨNG
2.1. Xác định khối lượng vật liệu, nhiên liệu; nhân công; ca máy và thiết bị khảo sát
Khối lượng hao phí vật liệu, nhiên liệu; nhân công; máy và thiết bị khảo sát xác định bằng tổng hao phí vật liệu, nhiên liệu; nhân công; máy và thiết bị khảo sát cho từng khối lượng công tác khảo sát xây dựng, cụ thể như sau:
a) Xác định từng khối lượng công tác khảo sát xây dựng.
b) Xác định khối lượng các loại vật liệu, nhiên liệu; nhân công; máy và thiết bị khảo sát tương ứng với từng khối lượng công tác khảo sát xây dựng theo nhiệm vụ khảo sát xây dựng thông qua mức hao phí về vật liệu, nhiên liệu; nhân công; máy và thiết bị khảo sát để hoàn thành một đơn vị khối lượng công tác khảo sát xây dựng.
c) Tính tổng khối lượng hao phí từng loại vật liệu, nhiên liệu; nhân công; máy và thiết bị khảo sát xây dựng bằng cách tổng hợp hao phí tất cả các loại vật liệu, nhân công, máy và thiết bị khảo sát xây dựng giống nhau của các công tác khảo sát xây dựng khác nhau.
2.2. Xác định giá vật liệu, nhiên liệu; giá nhân công; giá ca máy và thiết bị khảo sát
Bảng giá giá vật liệu, nhiên liệu; giá nhân công; giá ca máy và thiết bị khảo sát tương ứng xác định như sau:
a) Giá vật liệu, nhiên liệu xác định theo mức giá do cơ quan có thẩm quyền công bố. Trường hợp loại vật liệu, nhiên liệu không có trong công bố giá của cơ quan có thẩm quyền được xác định theo báo giá phù hợp với thời điểm lập dự toán và giá thị trường nơi thực hiện công tác khảo sát xây dựng.
b) Giá nhân công xác định theo hướng dẫn của Ủy ban nhân dân cấp tỉnh nơi thực hiện công tác khảo sát xây dựng hoặc theo hướng dẫn của Bộ Xây dựng.
c) Giá ca máy và thiết bị khảo sát xây dựng xác định theo công bố của cơ quan có thẩm quyền hoặc giá thuê máy phù hợp với thời điểm lập dự toán và giá thị trường tại nơi thực hiện công tác khảo sát xây dựng.
2.3. Xác định các khoản mục chi phí còn lại của dự toán chi phí khảo sát xây dựng
Ngoài chi phí trực tiếp của dự toán chi phí khảo sát xây dựng xác định theo hướng dẫn tại mục 2.1 và mục 2.2 Phụ lục này, các khoản mục chi phí còn lại của dự toán chi phí khảo sát xây dựng xác định tương tự theo hướng dẫn tại mục 1.2.2, mục 1.2.3, mục 1.2.4, mục 1.2.5 và mục 1.2.6 Phụ lục này.
3. MỘT SỐ KHOẢN CHI PHÍ CÓ LIÊN QUAN ĐẾN KHẢO SÁT XÂY DỰNG
- Chi phí lập nhiệm vụ khảo sát xây dựng xác định bằng 3% của dự toán chi phí khảo sát xây dựng tương ứng.
- Chi phí giám sát khảo sát xác định trên cơ sở định mức tỷ lệ phần trăm (%) do Bộ trưởng Bộ Xây dựng ban hành.
PHỤ LỤC SỐ 10
MẪU BÁO CÁO
(Ban hành kèm theo Thông tư số 09/2019/TT-BXD ngày 26/12/2019 của Bộ trưởng Bộ Xây dựng)
Mẫu 10.1: Báo cáo kết quả thẩm định/thẩm tra sơ bộ tổng mức đầu tư/tổng mức đầu tư
|
ĐƠN VỊ THẨM ĐỊNH THẨM TRA ------------ (Số hiệu văn bản) V/v: Thẩm định/thẩm tra tổng mức đầu tư ........... |
CỘNG HÒA XÃ HỘI CHỦ NGHĨA VIỆT NAM Độc lập - Tự do - Hạnh phúc ----------- ..., ngày ... tháng ... năm ... |
BÁO CÁO KẾT QUẢ THẨM ĐỊNH/ THẨM TRA SƠ BỘ TỔNG MỨC ĐẦU TƯ/ TỔNG MỨC ĐẦU TƯ XÂY DỰNG
Dự án: .....................................................................
Địa điểm: ..........................................................................
Kính gửi:....................................................
Thực hiện nhiệm vụ của cơ quan chuyên môn về xây dựng theo phân cấp hoặc cơ quan chuyên môn thuộc người quyết định đầu tư (đối với đơn vị thẩm định) hoặc theo đề nghị của (người quyết định đầu tư/chủ đầu tư) (đối với đơn vị tư vấn thẩm tra) về việc thẩm định/thẩm tra tổng mức đầu tư xây dựng (tên dự án). Sau khi nghiên cứu hồ sơ (tên cơ quan, đơn vị thẩm định/thẩm tra) có ý kiến như sau:
1. Khái quát về dự án
- Tên dự án, công trình; địa điểm xây dựng, quy mô, thời gian thực hiện,... công trình;
- Chủ đầu tư; các đơn vị tư vấn khảo sát, lập dự án,...;
- Quá trình thực hiện công tác chuẩn bị đầu tư.
2. Các cơ sở pháp lý và tài liệu sử dụng trong thẩm định/thẩm tra
- Luật Xây dựng;
- Nghị định về quản lý dự án đầu tư xây dựng;
- Nghị định về quản lý chi phí đầu tư xây dựng;
- Thông tư hướng dẫn xác định và quản lý chi phí đầu tư xây dựng;
- Các văn bản khác của Nhà nước, của các Bộ, ngành, địa phương,...;
- Các hồ sơ, tài liệu của dự án đầu tư gồm...
3. Nhận xét về sự đảm bảo về pháp lý và chất lượng hồ sơ sơ bộ tổng mức đầu tư/ tổng mức đầu tư xây dựng
- Nhận xét về cơ sở pháp lý lập sơ bộ tổng mức đầu tư/tổng mức đầu tư.
- Nhận xét về phương pháp lập tổng mức đầu tư xây dựng được lựa chọn tính toán;
- Nhận xét về các cơ sở để xác định các khoản mục chi phí trong tổng mức đầu tư;
- Kết luận về đủ hay không đủ điều kiện thẩm định/thẩm tra.
4. Nguyên tắc thẩm định/thẩm tra
- Sự phù hợp của các căn cứ pháp lý để xác định dự toán xây dựng;
- Sự phù hợp của phương pháp xác định tổng mức đầu tư xây dựng với đặc điểm, tính chất, yêu cầu kỹ thuật, công nghệ của dự án;
- Kiểm tra sự đầy đủ của các khối lượng sử dụng để xác định tổng mức đầu tư xây dựng; sự hợp lý, phù hợp với quy định, hướng dẫn của nhà nước đối với các chi phí sử dụng để tính toán, xác định các chi phí trong tổng mức đầu tư xây dựng;
- Xác định giá trị tổng mức đầu tư xây dựng sau khi thực hiện thẩm định/thẩm tra. Phân tích nguyên nhân tăng, giảm và đánh giá việc bảo đảm hiệu quả đầu tư của dự án theo giá trị tổng mức đầu tư xây dựng xác định sau thẩm định/thẩm tra.
5. Kết quả thẩm định/thẩm tra
Dựa vào các căn cứ và nguyên tắc nêu trên thì giá trị tổng mức đầu tư xây dựng (tên dự án) sau thẩm định/thẩm tra như sau:
Đơn vị tính:...
|
TT |
Nội dung chi phí |
Giá trị đề nghị thẩm định/thẩm tra |
Giá trị thẩm định/thẩm tra |
Tăng, giảm |
|
1 |
Chi phí bồi thường, hỗ trợ và tái định cư |
|
|
|
|
2 |
Chi phí xây dựng |
|
|
|
|
3 |
Chi phí thiết bị |
|
|
|
|
4 |
Chi phí quản lý dự án |
|
|
|
|
5 |
Chi phí tư vấn đầu tư xây dựng |
|
|
|
|
6 |
Chi phí khác |
|
|
|
|
7 |
Chi phí dự phòng |
|
|
|
|
|
Tổng cộng |
|
|
|
(có phụ lục chi tiết kèm theo)
6. Nguyên nhân tăng, giảm và đánh giá việc bảo đảm hiệu quả đầu tư của dự án:
6.1. Nêu và phân tích nguyên nhân tăng, giảm đối với những nội dung chi phí tăng, giảm chủ yếu.
6.2. Đánh giá việc bảo đảm hiệu quả đầu tư của dự án theo các chỉ tiêu trên cơ sở giá trị tổng mức đầu tư xây dựng được thẩm định/thẩm tra.
7. Kết luận và kiến nghị
|
NGƯỜI/ THẨM TRA (ký, họ tên) |
NGƯỜI CHỦ TRÌ (ký, họ tên) chứng chỉ hành nghề định giá XD hạng ...., số ... |
|
Nơi nhận: - - - |
THỦ TRƯỞNG ĐƠN VỊ THẨM ĐỊNH/THẨM TRA (ký tên, đóng dấn) |
Mẫu 10.2. Báo cáo kết quả thẩm định/thẩm tra dự toán xây dựng công trình
|
ĐƠN VỊ THẨM ĐỊNH THẨM TRA ------------ (Số hiệu văn bản) V/v: Thẩm định/thẩm tra dự toán công trình ....................................... |
CỘNG HÒA XÃ HỘI CHỦ NGHĨA VIỆT NAM Độc lập - Tự do - Hạnh phúc ----------- ..., ngày ... tháng ... năm ... |
BÁO CÁO KẾT QUẢ THẨM ĐỊNH/THẨM TRA DỰ TOÁN XÂY DỰNG CÔNG TRÌNH
Công trình: ................................................................................
Địa điểm: .........................................................................
Kính gửi: .................................................
Thực hiện nhiệm vụ của cơ quan chuyên môn về xây dựng theo phân cấp hoặc cơ quan chuyên môn thuộc người quyết định đầu tư (đối với đơn vị thẩm định) hoặc theo đề nghị của chủ đầu tư hoặc theo hợp đồng (số hiệu hợp đồng) (đối với đơn vị tư vấn thẩm tra) về việc thẩm định/thẩm tra dự toán xây dựng công trình (tên công trình). Sau khi nghiên cứu hồ sơ (tên cơ quan, đơn vị thẩm định/thẩm tra) có ý kiến như sau:
1. Căn cứ thẩm định/thẩm tra
- Nghị định về quản lý dự án đầu tư xây dựng;
- Nghị định về quản lý chi phí đầu tư xây dựng;
- Thông tư hướng dẫn xác định và quản lý chi phí đầu tư xây dựng;
- Các văn bản khác có liên quan của nhà nước, của các Bộ, ngành, địa phương,...;
- Các hồ sơ, tài liệu về dự án đầu tư, thiết ke, dự toán xây dựng công trình gồm...
2. Giới thiệu chung về công trình
- Tên công trình;
- Chủ đầu tư;
- Các đơn vị tư vấn lập thiết kế, lập dự toán công trình;
3. Nhận xét về chất lượng hồ sơ dự toán xây dựng công trình
- Nhận xét về cơ sở pháp lý dự toán trình thẩm tra/thẩm định;
- Nhận xét phương pháp lập dự toán được lựa chọn;
- Nhận xét về các cơ sở để xác định các khoản mục chi phí trong trong dự toán xây dựng công trình;
- Kết luận về đủ hay không đủ điều kiện thẩm định/thẩm tra.
4. Nguyên tắc thẩm định/thẩm tra
- Kiểm tra sự đầy đủ, phù hợp của các căn cứ pháp lý để xác định dự toán xây dựng;
- Kiểm tra sự phù hợp khối lượng công tác xây dựng, chủng loại và số lượng thiết bị trong dự toán so với khối lượng, chủng loại và số lượng thiết bị tính toán từ thiết kế xây dựng, công nghệ;
- Kiểm tra tính đúng đắn, hợp lý của việc áp dụng, vận dụng định mức dự toán, giá xây dựng của công trình và quy định khác có liên quan trong việc xác định các khoản mục chi phí của dự toán xây dựng công trình;
- Xác định giá trị dự toán xây dựng công trình sau thẩm định/thẩm tra và kiến nghị giá trị dự toán xây dựng để cấp có thẩm quyền xem xét, phê duyệt. Đánh giá mức độ tăng, giảm của các khoản mục chi phí, phân tích nguyên nhân tăng, giảm so với giá trị dự toán xây dựng công trình đề nghị thẩm định/thẩm tra.
5. Kết quả thẩm định/thẩm tra
Theo các căn cứ và nguyên tắc nêu trên thì giá trị dự toán xây dựng công trình sau thẩm định/thẩm tra như sau:
Đối với dự án có nhiều công trình, giá trị dự toán xây dựng được tổng hợp như sau:
Đơn vị tính: ...
|
STT |
Nội dung chi phí |
Giá trị đề nghị thẩm định/thẩm tra |
Giá trị thẩm định/thẩm tra |
Tăng, giảm |
|
1 |
Dự toán công trình thứ nhất 1.1. Chi phí xây dựng 1.2. Chi phí thiết bị 1.3. Chi phí tư vấn ĐTXD 1.4. Chi phí khác 1.5. Chi phí dự phòng |
|
|
|
|
2 |
Dự toán công trình thứ hai 2.1. Chi phí xây dựng 2.2. Chi phí thiết bị 2.3. Chi phí tư vấn ĐTXD 2.4. Chi phí khác 2.5. Chi phí dự phòng |
|
|
|
|
3 |
Chi phí quản lý dự án |
|
|
|
|
4 |
Chi phí tư vấn đầu tư xây dựng chưa tính trong dự toán xây dựng công trình. |
- |
|
|
|
5 |
Chi phí khác chưa tính trong dự toán xây dựng công trình. |
|
|
|
|
6 |
Chi phí dự phòng của dự án |
|
|
|
|
|
Tổng cộng |
|
|
|
(có phụ lục chi tiết kèm theo)
Đối với dự án đã phê duyệt kế hoạch lựa chọn nhà thầu, giá trị dự toán xây dựng được tổng hợp như sau:
Đơn vị tính: ...
|
STT |
Nội dung chi phí |
Giá trị đề nghị thẩm định/thẩm tra |
Giá trị thẩm định/thẩm tra |
Tăng, giảm |
|
1 |
Dự toán gói thầu thứ nhất |
|
|
|
|
2 |
Dự toán gói thầu thứ hai |
|
|
|
|
3 |
Chi phí quản lý dự án |
|
|
|
|
4 |
Chi phí tư vấn đầu tư xây dựng chưa tính trong dự toán xây dựng công trình. |
|
|
|
|
5 |
Chi phí khác chưa tính trong dự toán xây dựng công trình. |
|
|
|
|
6 |
Chi phí dự phòng của dự án |
|
|
|
|
|
Tổng cộng |
|
|
|
(có phụ lục chi tiết kèm theo)
6. Nguyên nhân tăng, giảm:
(Nêu và phân tích nguyên nhân tăng, giảm đối với những nội dung chi phí tăng, giảm chủ yếu).
7. Kết luận và kiến nghị
|
NGƯỜI THẨM ĐỊNH / THẨM TRA (ký, họ tên) |
NGƯỜI CHỦ TRÌ (ký, họ tên) Chứng chỉ hành nghề định giá XD hạng ...., số ... |
|
Nơi nhận: - - - |
THỦ TRƯỞNG ĐƠN VỊ THẨM ĐỊNH/THẨM TRA (ký tên, đóng dấn) |
Bạn chưa Đăng nhập thành viên.
Đây là tiện ích dành cho tài khoản thành viên. Vui lòng Đăng nhập để xem chi tiết. Nếu chưa có tài khoản, vui lòng Đăng ký tại đây!
Bạn chưa Đăng nhập thành viên.
Đây là tiện ích dành cho tài khoản thành viên. Vui lòng Đăng nhập để xem chi tiết. Nếu chưa có tài khoản, vui lòng Đăng ký tại đây!







