Mục lục
  • Tổng quan
  • Nội dung
  • VB gốc
  • Tiếng Anh
  • Hiệu lực
  • VB liên quan
  • Lược đồ
  • Nội dung hợp nhất 

    Tính năng này chỉ có tại LuatVietnam.vn. Nội dung hợp nhất tổng hợp lại tất cả các quy định còn hiệu lực của văn bản gốc và các văn bản sửa đổi, bổ sung, đính chính... trên một trang. Việc hợp nhất văn bản gốc và những văn bản, Thông tư, Nghị định hướng dẫn khác không làm thay đổi thứ tự điều khoản, nội dung.

    Khách hàng chỉ cần xem Nội dung hợp nhất là có thể nắm bắt toàn bộ quy định hiện hành đang áp dụng, cho dù văn bản gốc đã qua nhiều lần chỉnh sửa, bổ sung.

    =>> Xem hướng dẫn chi tiết cách sử dụng Nội dung hợp nhất

  • Tải về
Mục lục
Lưu
Đây là tiện ích dành cho tài khoản Tiêu chuẩn hoặc Nâng cao . Vui lòng Đăng nhập tài khoản để xem chi tiết.
Theo dõi VB
Đây là tiện ích dành cho tài khoản Tiêu chuẩn hoặc Nâng cao . Vui lòng Đăng nhập tài khoản để xem chi tiết.
Ghi chú
Báo lỗi
In

Văn bản hợp nhất 38/VBHN-BNNMT 2026 về định mức kinh tế - kỹ thuật lập quy hoạch đê điều và phòng, chống lũ của tuyến sông có đê

Ngày cập nhật: Thứ Hai, 30/03/2026 08:53 (GMT+7)
Số hiệu: 38/VBHN-BNNMT Ngày ký xác thực: 27/03/2026
Loại văn bản: Văn bản hợp nhất Cơ quan hợp nhất: Bộ Nông nghiệp và Môi trường
Ngày đăng công báo:
Đang cập nhật
Người ký:
Nguyễn Hoàng Hiệp
Trích yếu: Thông tư ban hành Định mức kinh tế - kỹ thuật lập quy hoạch đê điều và phòng, chống lũ của tuyến sông có đê
Số công báo:
Số công báo là mã số ấn phẩm được đăng chính thức trên ấn phẩm thông tin của Nhà nước. Mã số này do Chính phủ thống nhất quản lý.
Đang cập nhật
Ngày hết hiệu lực:
Ngày hết hiệu lực là ngày, tháng, năm văn bản chính thức không còn hiệu lực (áp dụng).
Đang cập nhật

TÓM TẮT VĂN BẢN HỢP NHẤT 38/VBHN-BNNMT

Nội dung tóm tắt đang được cập nhật, Quý khách vui lòng quay lại sau!

Tải văn bản hợp nhất 38/VBHN-BNNMT

Tải văn bản tiếng Việt (.pdf) Văn bản hợp nhất 38/VBHN-BNNMT PDF (Bản có dấu đỏ)

Đây là tiện ích dành cho tài khoản thành viên. Vui lòng Đăng nhập để xem chi tiết. Nếu chưa có tài khoản, Đăng ký tại đây!

Tải văn bản tiếng Việt (.doc) Văn bản hợp nhất 38/VBHN-BNNMT DOC (Bản Word)

Đây là tiện ích dành cho tài khoản thành viên. Vui lòng Đăng nhập để xem chi tiết. Nếu chưa có tài khoản, Đăng ký tại đây!

Tình trạng hiệu lực: Đã biết
Tình trạng hiệu lực: Đã biết

 

 

CỘNG HÒA XÃ HỘI CHỦ NGHĨA VIỆT NAM
Độc lập - Tự do - Hạnh phúc

______________________

 

 

THÔNG TƯ

Ban hành Định mức kinh tế - kỹ thuật lập quy hoạch đê điều và phòng, chống lũ của tuyến sông có đê[1]

 

Thông tư số 22/2022/TT-BNNPTNT ngày 29 tháng 12 tháng 2022 của Bộ trưởng Bộ Nông nghiệp và Phát triển nông thôn ban hành Định mức kinh tế - kỹ thuật lập quy hoạch phòng, chống lũ của tuyến sông có đê và quy hoạch đê điều, có hiệu lực kể từ ngày 15 tháng 02 năm 2023, được sửa đổi, bổ sung bởi:

Thông tư số 10/2026/TT-BNNMT ngày 06 tháng 02 năm 2026 của Bộ trưởng Bộ Nông nghiệp và Môi trường sửa đổi, bổ sung một số điều của các Thông tư trong lĩnh vực đê điều và phòng, chống thiên tai, có hiệu lực kể từ ngày 06 tháng 02 năm 2026.

Căn cứ Luật Đê điều ngày 29 tháng 11 năm 2006;

Căn cứ Luật sửa đổi, bổ sung một số điều của Luật phòng, chống thiên tai và Luật Đê điều ngày 17 tháng 6 năm 2020;

Căn cứ Luật Quy hoạch ngày 24 tháng 11 năm 2017;

Căn cứ Luật sửa đổi, bổ sung một số điều của 37 luật có liên quan đến quy hoạch ngày 20 tháng 11 năm 2018;

Căn cứ Nghị định số 105/2022/NĐ-CP ngày 22 tháng 12 năm 2022 của Chính phủ quy định chức năng, nhiệm vụ, quyền hạn và cơ cấu tổ chức của Bộ Nông nghiệp và Phát triển nông thôn;

Căn cứ Nghị định số 113/2007/NĐ-CP ngày 28 tháng 6 năm 2007 của Chính phủ về việc quy định chi tiết và hướng dẫn thi hành một số điều của Luật Đê điều;

Căn cứ Nghị định số 53/2019/NĐ-CP ngày 17 tháng 6 năm 2019 của Chính phủ quy định chi tiết việc lập, thẩm định, phê duyệt và điều chỉnh quy hoạch thủy lợi; đê điều; quy hoạch phòng chống lũ tuyến sông có đê;

Căn cứ Nghị định số 05/2022/NĐ-CP ngày 07 tháng 01 năm 2022 sửa đổi, bổ sung một số điều của Nghị định số 53/2019/NĐ-CP ngày 17 tháng 6 năm 2019 của Chính phủ;

Căn cứ Nghị định số 32/2019/NĐ-CP ngày 10 tháng 4 năm 2019 của Chính phủ quy định về giao nhiệm vụ, đặt hàng hoặc đấu thầu cung cấp sản phẩm, dịch vụ công sử dụng ngân sách nhà nước từ nguồn kinh phí thường xuyên;

Theo đề nghị của Tổng cục trưởng Tổng cục Phòng, chống thiên tai;

Bộ trưởng Bộ Nông nghiệp và Phát triển nông thôn ban hành Thông tư ban hành Định mức kinh tế - kỹ thuật lập quy hoạch phòng, chống lũ của tuyến sông có đê và quy hoạch đê điều[2].

Điều 1. Ban hành kèm theo Thông tư này Định mức kinh tế - kỹ thuật lập quy hoạch đê điều và phòng, chống lũ của tuyến sông có đê. [3]

Điều 2. Thông tư này có hiệu lực thi hành kể từ ngày 15 tháng 02 năm 2023.[4]

Điều 3. Tổ chức thực hiện

1. Thủ trưởng các đơn vị trực thuộc Bộ Nông nghiệp và Môi trường[5] và các cơ quan, tổ chức, cá nhân có liên quan chịu trách nhiệm thi hành Thông tư này.

2. Trong quá trình áp dụng định mức kinh tế - kỹ thuật, nếu có khó khăn, vướng mắc hoặc có các quy định mới phát sinh đề nghị phản ánh về Bộ Nông nghiệp và Môi trường[6] để tổng hợp, điều chỉnh, bổ sung kịp thời./.

 

BỘ NÔNG NGHIỆP VÀ MÔI TRƯỜNG
_______________

Số: 38/VBHN-BNNMT
 

Nơi nhận:
- Văn phòng Chính phủ (để đăng Công báo);
- Bộ trưởng (để báo cáo);
- Cổng Thông tin điện tử Bộ NN&MT;
- Bộ NN&MT: Văn phòng Bộ, Vụ Pháp chế;
- Lưu VT, ĐĐ.

XÁC THỰC VĂN BẢN HỢP NHẤT

 

Hà Nội, ngày 27 tháng 3 năm 2026

 

KT. BỘ TRƯỞNG
THỨ TRƯỞNG





Nguyễn Hoàng Hiệp

 

ĐỊNH MỨC

KINH TẾ - KỸ THUẬT LẬP QUY HOẠCH ĐÊ ĐIỀU VÀ PHÒNG, CHỐNG LŨ CỦA TUYẾN SÔNG CÓ ĐÊ[7]
(Kèm theo Thông tư số 10/2026/TT-BNNMT ngày 06 tháng 02 năm 2026 của Bộ trưởng Bộ Nông nghiệp và Môi trường)

 

Chương I

QUY ĐỊNH CHUNG

 

1. Phạm vi điều chỉnh

Định mức kinh tế - kỹ thuật lập quy hoạch đê điều và phòng, chống lũ của tuyến sông có đê áp dụng cho việc lập quy hoạch và điều chỉnh quy hoạch đê điều và phòng, chống lũ của tuyến sông có đê theo quy định của Luật Đê điều.

2. Đối tượng áp dụng

Định mức kinh tế - kỹ thuật này áp dụng đối với cơ quan quản lý nhà nước, đơn vị sự nghiệp, các tổ chức, cá nhân có liên quan đến hoạt động quy hoạch đê điều và phòng, chống lũ của tuyến sông có đê hoặc công việc có tính chất kỹ thuật chuyên ngành tương tự quy hoạch đê điều và phòng, chống lũ của tuyến sông có đê.

3. Nguyên tắc áp dụng định mức

3.1. Định mức kinh tế - kỹ thuật này là định mức tối đa để thực hiện các nội dung công việc được quy định cụ thể trong định mức.

3.2. Căn cứ yêu cầu của nhiệm vụ lập quy hoạch, các công việc liên quan trực tiếp đến nhiệm vụ chưa được quy định trong định mức kinh tế - kỹ thuật tại văn bản này thì áp dụng định mức, giá, đơn giá theo quy định của pháp luật về giá và quy định của các pháp luật khác có liên quan.

3.3. Trường hợp các văn bản trích dẫn tại định mức này được sửa đổi, bổ sung hoặc thay thế bằng văn bản khác thì áp dụng các điều, khoản, điểm tương ứng tại văn bản sửa đổi, bổ sung hoặc thay thế.

4. Giải thích thuật ngữ và quy định chữ viết tắt

4.1. Giải thích thuật ngữ

a) Vùng nghiên cứu là toàn bộ khu vực cần nghiên cứu để lập quy hoạch đê điều và phòng, chống lũ của tuyến sông có đê.

b) Diện tích vùng nghiên cứu là diện tích tự nhiên của vùng nghiên cứu.

c) Vùng quy hoạch là vùng cần lập quy hoạch đê điều và phòng, chống lũ của tuyến sông có đê.

d) Diện tích vùng quy hoạch là phần diện tích tự nhiên của vùng quy hoạch.

đ) Vùng chuẩn là vùng quy hoạch được thiết lập có điều kiện tự nhiên và KTXH thỏa mãn các điều kiện chuẩn.

4.2. Quy định chữ viết tắt

TT

Chữ viết tắt

Nội dung được viết tắt

1

ĐMC

Đánh giá môi trường chiến lược

2

KS3

Kỹ sư bậc 3/9 chuyên ngành phù hợp hoặc tương đương

3

KS5

Kỹ sư bậc 5/9 chuyên ngành phù hợp hoặc tương đương

4

KSC3

Kỹ sư chính bậc 3/8 chuyên ngành phù hợp hoặc tương đương

5

KTXH

Kinh tế - xã hội

6

QHĐĐPCL

Quy hoạch đê điều và phòng, chống lũ của tuyến sông có đê

5. Vùng chuẩn

5.1. Vùng chuẩn là vùng quy hoạch được thiết lập có điều kiện tự nhiên và KTXH thỏa mãn các điều kiện chuẩn được quy định tại Bảng 1.1.

Bảng 1.1. Điều kiện tự nhiên và kinh tế - xã hội quy định cho vùng chuẩn

TT

Điều kiện tự nhiên và kinh tế - xã hội

Điều kiện vùng chuẩn

1

Diện tích vùng quy hoạch

100.000 ha (1.000 km2)

2

Mật độ sông suối trong vùng quy hoạch

< 1,0 km/km2

3

Mối quan hệ giữa mạng sông suối trong vùng quy hoạch với sông lớn bên ngoài

Không gắn với sông lớn bên ngoài

4

Lưu vực sông vùng nghiên cứu

Nằm trong một quốc gia

5

Ảnh hưởng thủy triều

Không quá 10% diện tích vùng quy hoạch

6

Tỷ lệ diện tích vùng nghiên cứu so với diện tích vùng quy hoạch

< 1,5

7

Tỷ lệ diện tích đất phi nông nghiệp so với diện tích vùng quy hoạch

< 10%

5.2. Định mức lập quy hoạch đê điều và phòng, chống lũ của tuyến sông có đê cho vùng chuẩn được ký hiệu là Mc.

6. Hệ số điều chỉnh

6.1. Hệ số điều chỉnh phi chuẩn

Khi vùng quy hoạch có các điều kiện tự nhiên, KTXH khác với điều kiện được quy định cho vùng chuẩn, định mức lao động, dụng cụ, thiết bị, vật tư sẽ được điều chỉnh bởi các hệ số điều chỉnh.

Hệ số phi chuẩn Ki là hệ số điều chỉnh điều kiện tự nhiên và KTXH vùng quy hoạch so với vùng chuẩn được quy định tại Bảng 1.2.

Bảng 1.2. Bảng hệ số phi chuẩn Ki

TT

Điều kiện tự nhiên và kinh tế - xã hội vùng quy hoạch

Giá trị hệ số phi chuẩn Ki

Số hiệu hệ số phi chuẩn

1

Mật độ sông suối trong vùng quy hoạch

 

K1

Vùng có mật độ sông suối từ 1,0 đến 1,5 km/km2

0,1

Vùng có mật độ sông suối > 1,5 km/km2

0,15

2

Mạng sông suối trong vùng quy hoạch ảnh hưởng bởi chế độ dòng chảy, thủy lực và gắn với sông lớn bên ngoài

0,15

K2

3

Tỷ lệ diện tích vùng nghiên cứu ngoài nước và diện tích vùng nghiên cứu

 

K3

< 20%

0,10

từ 20% trở lên

0,20

4

Tỷ lệ giữa diện tích vùng quy hoạch chịu ảnh hưởng thủy triều và diện tích vùng quy hoạch

 

K4

từ 10% đến < 30%

0,10

từ 30% đến < 50%

0,15

từ 50% trở lên

0,20

5

Tỷ lệ giữa diện tích vùng nghiên cứu và diện tích vùng quy hoạch

 

K5

từ 1,5 đến < 2,0

0,05

từ 2,0 đến < 3,0

0,10

từ 3,0 trở lên

0,15

6

Tỷ lệ diện tích đất phi nông nghiệp so với diện tích vùng quy hoạch

 

K6

từ 10% đến < 20%

0,10

từ 20% đến < 30%

0,15

từ 30% trở lên

0,20

Cách xác định hệ số phi chuẩn Ki tại Bảng 1.2:

- Mật độ sông suối trong vùng quy hoạch; mạng sông suối trong vùng quy hoạch ảnh hưởng bởi chế độ dòng chảy, thủy lực và gắn với sông lớn bên ngoài: xác định theo các danh mục lưu vực sông được cấp có thẩm quyền ban hành.

- Sông lớn: xác định theo quy định tại Thông tư số 08/2022/TT-BTNMT ngày 05/7/2022 của Bộ Tài nguyên và Môi trường quy định về loại bản tin và thời hạn dự báo, cảnh báo khí tượng thủy văn.

- Vùng quy hoạch chịu ảnh hưởng thủy triều: xác định theo vùng sông của khu vực quy hoạch, ranh giới từ nơi xuất hiện biên độ triều bằng 0 hoặc rất nhỏ đến cửa sông; trong giai đoạn quy hoạch cho phép xác định bằng 30km đối với khu vực ven biển các tỉnh, thành phố từ Quảng Ninh đến Hà Tĩnh, 15km đối với khu vực ven biển các tỉnh, thành phố từ Quảng Trị đến Lâm Đồng, 50km đối với khu vực ven biển các tỉnh, thành phố từ thành phố Hồ Chí Minh đến An Giang.

- Diện tích đất phi nông nghiệp xác định theo số liệu trong Niên giám thống kê năm gần nhất.

6.2. Hệ số điều chỉnh quy mô diện tích vùng quy hoạch KF

a) KF là hệ số điều chỉnh theo quy mô diện tích vùng quy hoạch thực tế so với diện tích đất quy hoạch vùng chuẩn, được xác định theo Bảng 1.3.

Bảng 1.3. Bảng hệ số điều chỉnh theo quy mô diện tích vùng quy hoạch KF

Diện tích vùng quy hoạch
(1000 ha)

Hệ số KF

20

0,50

50

0,70

100

1,00

500

4,39

1.000

5,91

1.500

6,81

2.000

7,44

2.500

7,93

3.000

8,33

3.500

8,67

4.000

8,97

b) Trường hợp diện tích vùng quy hoạch (Fv) nằm giữa 2 vùng quy mô diện tích, hệ số điều chỉnh KF được xác định theo phép nội suy tuyến tính giữa hai quy mô cận trên và cận dưới, như sau:

Trong đó:

- : Hệ số điều chỉnh theo quy mô diện tích vùng quy hoạch;

- : Hệ số điều chỉnh của vùng có quy mô cận dưới quy định trong bảng;

- : Hệ số điều chỉnh của vùng có quy mô cận trên quy định trong bảng;

- Fa, Fb: Quy mô diện tích cận dưới, cận trên của vùng quy hoạch;

- Fv: Diện tích vùng quy hoạch.

c) Trường hợp quy mô diện tích vùng quy hoạch nằm ngoài các trị số quy mô lớn nhất và nhỏ nhất trong bảng, hệ số điều chỉnh theo quy mô diện tích KF được xác định theo phép ngoại suy tuyến tính.

6.3. Hệ số định mức điều chỉnh quy hoạch đê điều và phòng, chống lũ của tuyến sông có đê

K là hệ số điều chỉnh đối với công tác điều chỉnh quy hoạch đê điều và phòng, chống lũ của tuyến sông có đê được xác định theo Bảng 1.4.

Bảng 1.4. Bảng giá trị hệ số điều chỉnh K đối với công tác điều chỉnh quy hoạch đê điều và phòng, chống lũ của tuyến sông có đê

TT

Thời gian quy hoạch đã được phê duyệt

Hệ số điều chỉnh K

1

Dưới 3 năm

0,50

2

Từ 3 đến dưới 5 năm

0,70

3

Từ 5 đến dưới 7 năm

0,85

4

Từ 7 đến 10 năm

0,95

5

Từ trên 10 năm

1,00

7. Thành phần định mức kinh tế - kỹ thuật

7.1. Số lượng công lao động gồm số lượng, cơ cấu thành phần lao động được tổ chức để thực hiện từng bước công việc cụ thể căn cứ vào tính chất, mức độ phức tạp, yêu cầu về chuyên môn của công việc.

7.2. Định mức lao động là thời gian lao động trực tiếp để sản xuất ra một sản phẩm (hoặc để thực hiện một bước công việc hoặc thực hiện một công việc cụ thể) và thời gian lao động trực tiếp phục vụ trong quá trình kiểm tra nghiệm thu sản phẩm theo quy chế kiểm tra nghiệm thu, đơn vị tính là công nhóm/đơn vị sản phẩm. Đối với những công việc bình thường, một công làm việc tính là 8 giờ.

7.3. Định mức vật liệu, dụng cụ và thiết bị

a) Định mức vật liệu là số lượng vật liệu cần thiết để sản xuất ra một đơn vị sản phẩm (thực hiện một công việc); đơn vị tính theo đơn vị của từng loại vật liệu/đơn vị sản phẩm; định mức vật liệu phụ được tính bằng % định mức vật liệu chính trong bảng định mức vật liệu.

b) Định mức dụng cụ và thiết bị là thời gian sử dụng dụng cụ và thiết bị cần thiết để sản xuất ra một đơn vị sản phẩm (thực hiện một công việc); đơn vị tính là ca/đơn vị sản phẩm; thời hạn sử dụng dụng cụ và thiết bị tính là tháng; định mức dụng cụ phụ được tính bằng % định mức dụng cụ chính trong bảng định mức dụng cụ.

c) Số ca máy sử dụng thiết bị trong một năm: Máy ngoại nghiệp là 250 ca; máy nội nghiệp là 500 ca.

d) Điện năng tiêu thụ của các dụng cụ, thiết bị dùng điện được tính trên cơ sở công suất và định mức dụng cụ, thiết bị và được tính theo công thức:

Định mức điện = (công suất thiết bị/giờ x 8 giờ làm việc x số ca sử dụng dụng cụ, thiết bị) + 5% hao hụt.

8. Cách tính định mức

8.1. Định mức quy hoạch đê điều và phòng, chống lũ của tuyến sông có đê

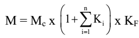
Định mức cho việc lập nội dung quy hoạch cho vùng quy hoạch thực tế được tính theo công thức sau:

Trong đó:

- M: Mức hao phí (lao động, vật liệu, dụng cụ và máy móc thiết bị) cho công tác lập quy hoạch của vùng quy hoạch;

- Mc: Mức hao phí (lao động, vật liệu, dụng cụ và máy móc thiết bị) cho công tác lập quy hoạch của vùng có điều kiện chuẩn (điều kiện áp dụng);

- KF: Hệ số điều chỉnh theo quy mô diện tích vùng quy hoạch (được xác định tại Bảng 1.3);

- Ki: Hệ số điều chỉnh thứ i theo mức độ phức tạp của từng yếu tố ảnh hưởng đến mức chuẩn, hệ số phi chuẩn Ki (được xác định tại Bảng 1.2);

- n: Số các hệ số điều chỉnh.

8.2. Định mức điều chỉnh quy hoạch đê điều và phòng, chống lũ của tuyến sông có đê

a) Định mức cho việc điều chỉnh quy hoạch đê điều và phòng, chống lũ của tuyến sông có đê được tính trên cơ sở định mức quy hoạch lập mới và áp dụng hệ số điều chỉnh như sau:

M = MQH x K

Trong đó:

- M: Định mức điều chỉnh quy hoạch đê điều và phòng, chống lũ của tuyến sông có đê;

- MQH: Định mức lập mới quy hoạch đê điều và phòng, chống lũ của tuyến sông có đê;

- K: hệ số điều chỉnh, K được xác định theo quy định tại Bảng 1.4.

8.3. Trường hợp điều chỉnh cục bộ quy hoạch đê điều và phòng, chống lũ của tuyến sông có đê:

Căn cứ yêu cầu phải điều chỉnh của quy hoạch để xác định các thành phần, nội dung công việc lập điều chỉnh quy hoạch và kinh phí tương ứng theo quyết định của cơ quan có thẩm quyền lập quy hoạch.

9. Định mức chi phí cho các hoạt động liên quan đến lập quy hoạch

Các chi phí: lập đề cương (bao gồm lập, thẩm định, phê duyệt đề cương); quản lý lập quy hoạch; thẩm tra, giám sát lập quy hoạch; công bố quy hoạch được xác định theo tỷ lệ % chi phí lập quy hoạch và không phải lập dự toán chi tiết.

Chi phí giám sát thực hiện quy hoạch đã bao gồm trong mục Thẩm tra, giám lập quy hoạch quy định tại Bảng 1.5.

Bảng 1.5. Định mức cho các công tác khác theo chi phí lập quy hoạch (%)

TT

Nội dung công việc

Chi phí lập quy hoạch (triệu đồng)

200

500

700

1000

2000

5000

7000

10.000

1

Lập đề cương

8,0

6,0

5,0

4,5

3,0

2,0

1,8

1,6

2

Quản lý lập quy hoạch

6,0

5,0

4,5

4,0

3,0

2,0

1,8

1,6

3

Thẩm tra, giám sát lập quy hoạch

7,0

6,7

6,4

6,1

5,9

5,6

5,3

5,0

4

Công bố quy hoạch

7,0

5,5

4,5

4,0

3,0

2,0

1,8

1,6

Trường hợp chi phí lập quy hoạch nằm giữa 2 mốc chi phí, định mức cho các công tác khác theo chi phí lập quy hoạch được xác định theo phép nội suy tuyến tính giữa hai chi phí cận trên và cận dưới, như sau:

Trong đó:

- : Tỷ lệ % chi phí lập quy hoạch;

- : Hệ số điều chỉnh của vùng có quy mô cận dưới quy định trong bảng;

- : Hệ số điều chỉnh của vùng có quy mô cận trên quy định trong bảng;

- Ga, Gb: Chi phí lập quy hoạch cận dưới, cận trên;

- Gv: Chi phí lập quy hoạch.

10. Thành phần chi phí của dự toán chi phí lập quy hoạch

Dự toán chi phí lập quy hoạch đê điều và phòng, chống lũ của tuyến sông có đê bao gồm các khoản chi phí: Chi phí trực tiếp (Ctt); Chi phí chung (Cc); Chi phí ngoài chưa tính trong định mức (Cn); Thu nhập chịu thuế tính trước (TN); Thuế giá trị gia tăng (VAT); Chi phí dự phòng (Cdp). Các khoản chi phí được xác định cụ thể như sau:

10.1. Chi phí trực tiếp (Ctt), bao gồm:

a) Chi phí lao động (C): Số lượng người lao động, thời gian làm việc xác định theo định mức cho từng nội dung công việc. Tiền lương người lao động (đã bao gồm các chi phí xã hội (đóng quỹ bảo hiểm xã hội, bảo hiểm y tế, bảo hiểm thất nghiệp,…) theo quy định thuộc trách nhiệm của người lao động tại thời điểm lập dự toán) được xác định trên cơ sở lương theo cấp bậc của người lao động (hệ số lương theo Bảng 3 Nghị định số 204/2004/NĐ-CP ngày 14/12/2004 của Chính phủ về chế độ tiền lương đối với cán bộ, công chức, viên chức và lực lượng vũ trang; thời gian làm việc xác định theo định mức này là 8 giờ/ngày, 26 ngày/tháng; mức lương cơ sở theo Nghị định số 73/2024/NĐ-CP ngày 30/6/2024 của Chính phủ ban hành quy định mức lương cơ sở và chế độ tiền thưởng đối với cán bộ, công chức, viên chức và lực lượng vũ trang hoặc các văn bản thay thế) và phụ cấp lưu động xác định theo Thông tư số 06/2005/TT-BNV ngày 05/01/2005 của Bộ trưởng Bộ Nội vụ hướng dẫn thực hiện chế độ phụ cấp lưu động đối với cán bộ, công chức, viên chức.

b) Chi phí thiết bị (Ctb), Chi phí công cụ, dụng cụ (Cdc): Loại thiết bị, công cụ, dụng cụ, thời hạn sử dụng, ca máy xác định theo định mức. Giá thiết bị, công cụ, dụng cụ xác định theo giá thị trường trước thuế tại thời điểm lập dự toán.

c) Chi phí vật liệu (Cvl): Danh mục vật liệu, số lượng xác định theo định mức. Giá vật liệu xác định theo giá thị trường trước thuế tại thời điểm lập dự toán.

10.2. Chi phí chung (Cc): Bao gồm các chi phí liên quan đến hoạt động của bộ phận quản lý, điều hành tổ chức tư vấn (tiền lương của bộ phận quản lý), chi phí duy trì hoạt động của tổ chức tư vấn; chi phí văn phòng làm việc; chi phí xã hội (đóng quỹ bảo hiểm xã hội, bảo hiểm y tế, bảo hiểm thất nghiệp,... theo quy định thuộc trách nhiệm của tổ chức tư vấn); mua bảo hiểm trách nhiệm nghề nghiệp và các khoản chi phí quản lý khác có liên quan đến hoạt động của tổ chức tư vấn. Chi phí chung được xác định bằng tỷ lệ phần trăm (%) của chi phí lao động, cụ thể tại ở Bảng 1.6.

Bảng 1.6. Tỷ lệ chi phí chung

Chi phí lao động (tỷ đồng)

C < 1

1 < C < 5

C ≥ 5

Chi phí chung (tỷ lệ %)

55

50

45

10.3. Chi phí các công việc ngoài chưa được tính trong định mức (Cn): Dự toán chi phí các công việc chưa được tính trong định mức được lập riêng (theo khối lượng công việc và định mức chuyên ngành tương ứng).

10.4. Thu nhập chịu thuế tính trước (TN): Để dự toán khoản chi phí đảm bảo sự phát triển của nhà thầu tư vấn trong quá trình hoạt động sản xuất kinh doanh. Thu nhập chịu thuế tính trước xác định bằng 6% của (Ctt + Cc).

10.5. Thuế giá trị gia tăng (VAT): được xác định theo quy định, đối với hoạt động lập quy hoạch đê điều và phòng, chống lũ của tuyến sông có đê, VAT tính bằng tỷ lệ % của (Ctt + Cc + Cn + TN).

10.6. Chi phí dự phòng (Cdp): để dự tính chi phí cho những khối lượng và công việc phát sinh trong quá trình thực hiện công việc tư vấn. Chi phí dự phòng xác định tối đa không quá 10% tổng của các khoản chi phí nêu trên. Chi phí dự phòng phải được quy định riêng trong giá gói thầu và chỉ được thanh toán cho khối lượng công việc phát sinh được cấp có thẩm quyền phê duyệt trong quá trình thực hiện (nếu có).

Tổng hợp chi phí lập quy hoạch xem tại Bảng 1.7.

Bảng 1.7. Tổng hợp chi phí lập quy hoạch

TT

Khoản mục chi phí

Ký hiệu

Cách tính

I

Chi phí trực tiếp

Ctt

C + Ctb + Cdc + Cvl

1

Chi phí lao động

C

 

2

Chi phí thiết bị, công cụ, dụng cụ

Ctb, Cdc

 

3

Chi phí vật liệu

Cvl

 

II

Chi phí chung

Cc

C x Tỷ lệ

III

Chi phí các công việc chưa tính trong định mức

Cn

Tính theo đơn giá hiện hành hoặc chiết tính

IV

Thu nhập chịu thuế tính trước

TN

(Ctt + Cc) x Tỷ lệ

V

Thuế giá trị gia tăng

VAT

(Ctt + Cc + Cn + TN) x Tỷ lệ

VI

Chi phí dự phòng

Cdp

(Ctt + Cc + Cn + TN + VAT) x Tỷ lệ

 

Tổng cộng

Cqh

Ctt + Cc + Cn + TN + VAT + Cdp

11. Các công việc liên quan trực tiếp đến hoạt động quy hoạch đê điều và phòng, chống lũ của tuyến sông có đê

Các công việc liên quan trực tiếp đến nhiệm vụ lập, điều chỉnh quy hoạch chưa có trong định mức kinh tế - kỹ thuật này sẽ được xác định theo định mức, đơn giá có liên quan do cơ quan có thẩm quyền ban hành, bao gồm một số nội dung sau:

11.1. Khảo sát kỹ thuật: Các công việc đo đạc khảo sát phục vụ lập quy hoạch (địa hình, địa chất, thủy văn,…).

11.2. Mua tài liệu cơ bản: Bản đồ, ảnh vệ tinh, số liệu khí tượng, thủy văn,…

11.3. Điều tra chuyên đề: Điều tra bãi sông; hiện trạng đê điều;…

11.4. Lập và thẩm định báo cáo đánh giá môi trường chiến lược (ĐMC): Xác định chi phí lập ĐMC theo quy định tại Thông tư số 01/2024/TT-BTNMT ngày 02/02/2024 của Bộ Tài nguyên và Môi trường (nay là Bộ Nông nghiệp và Môi trường) quy định định mức cho hoạt động thực hiện đánh giá môi trường chiến lược của quy hoạch.

11.5. Dịch tài liệu liên quan đến lập quy hoạch, hồ sơ quy hoạch (nếu có).

11.6. Chi phí đi lại phục vụ lập nhiệm vụ và lập quy hoạch.

11.7. Tổ chức hội thảo: Tổ chức lấy ý kiến của cơ quan, tổ chức và đại diện cộng đồng dân cư góp ý cho đồ án quy hoạch (nếu có). Số lượng và quy mô tổ chức hội thảo được lập theo nhu cầu cần thiết của việc lập quy hoạch.

11.8. Các nội dung công việc khác (nếu có).

Chương II

ĐỊNH MỨC KINH TẾ - KỸ THUẬT

I. THÀNH PHẦN CÔNG VIỆC

1. Nội dung công việc lập đề cương

1.1. Thu thập tài liệu, số liệu, thông tin cơ bản

- Đặc điểm tự nhiên, hiện trạng và chiến lược phát triển KTXH vùng nghiên cứu;

- Hiện trạng công trình đê điều và công trình phòng, chống lũ khác: hồ chứa, hệ thống đê điều,… kết quả thực hiện quy hoạch đã phê duyệt trong thời kỳ trước; các vấn đề đặt ra bảo đảm phòng, chống lũ và an toàn đê điều;

- Tình hình lũ lụt trong những năm gần đây (từ 5 - 10 năm);

- Công tác quản lý, điều hành vận hành hệ thống công trình phòng, chống lũ; các giải pháp phi công trình trong công tác phòng, chống lũ.

- Công tác quản lý hệ thống công trình đê điều; các giải pháp phi công trình trong công tác đê điều.

1.2. Tổng hợp, phân tích, đánh giá

- Đánh giá tổng quát đặc điểm tự nhiên, KTXH, hiện trạng hệ thống công trình đê điều, công trình phòng, chống lũ khác và công tác quản lý vận hành các công trình trong vùng nghiên cứu.;

- Đánh giá kết quả thực hiện quy hoạch và các vấn đề còn tồn tại của quy hoạch đã được phê duyệt thời kỳ trước, nguyên nhân của các vấn đề tồn tại;

- Đánh giá về điều kiện và diễn biến lũ lụt những năm gần đây, nhu cầu bảo vệ theo định hướng, chiến lược phát triển KTXH vùng nghiên cứu trong thời kỳ quy hoạch;

- Phân tích sự cần thiết phải lập quy hoạch đối với sự phát triển KTXH của vùng nghiên cứu;

- Xác định các tài liệu cơ bản, dữ liệu, tài liệu khảo sát; rà soát kế thừa từ các quy hoạch, các dự án liên quan đã có;

- Tổng hợp, phân tích các căn cứ pháp lý, tiêu chuẩn, quy chuẩn,… phục vụ lập quy hoạch.

1.3. Xác định yêu cầu về mục tiêu, nhiệm vụ và nội dung công tác lập quy hoạch

- Xác định tên quy hoạch;

- Xác định căn cứ lập quy hoạch;

- Xác định thời kỳ quy hoạch, phạm vi ranh giới quy hoạch;

- Xác định quan điểm, mục tiêu, phương pháp lập quy hoạch;

- Xác định thời hạn lập quy hoạch;

- Xác định yêu cầu về nội dung quy hoạch; yêu cầu khảo sát kỹ thuật;

- Xác định tiến độ thực hiện lập quy hoạch;

- Xác định yêu cầu về thành phần, số lượng và tiêu chuẩn, quy cách sản phẩm quy hoạch;

- Xây dựng dự toán kinh phí chi tiết cho việc lập quy hoạch.

1.4. Xác định trách nhiệm của các cơ quan liên quan trong việc lập quy hoạch.

2. Nội dung công việc lập quy hoạch

2.1. Thu thập tài liệu cơ bản

2.1.1. Thu thập tài liệu cơ bản đã có của các quy hoạch thời kỳ trước; các nghiên cứu có liên quan, bao gồm:

a) Các loại bản đồ nền và bản đồ kỹ thuật số hiện có trong vùng nghiên cứu, các ảnh vệ tinh (nếu có);

b) Niên giám thống kê 3 năm gần nhất các địa phương thuộc vùng nghiên cứu lập quy hoạch;

c) Tài liệu khí tượng, thủy văn, hải văn;

d) Tài liệu về tình hình ngập lụt qua các năm;

đ) Tài liệu địa hình, địa chất.

2.1.2. Xử lý, biên tập tài liệu thu thập

2.2. Điều tra, thu thập tài liệu dân sinh kinh tế

2.2.1. Điều tra, thu thập tài liệu dân sinh kinh tế - xã hội

Điều tra, thu thập tài liệu về quá trình phát triển kinh tế, hiện trạng dân sinh kinh tế và định hướng phát triển KTXH từng địa phương, khu vực hành chính vùng nghiên cứu, những vấn đề có liên quan đến công tác phòng, chống lũ, những vấn đề trọng tâm cần giải quyết liên quan đến công tác đê điều.

a) Hiện trạng kinh tế - xã hội

- Tài liệu về dân số, hiện trạng sử dụng đất;

- Tài liệu hiện trạng của các ngành có liên quan: nông nghiệp, công nghiệp, điện lực, giao thông, y tế, giáo dục, du lịch, dịch vụ, đô thị,…

b) Phương hướng phát triển kinh tế - xã hội trong kỳ quy hoạch

- Tài liệu chiến lược phát triển KTXH, chiến lược phát triển các ngành: nông nghiệp, công nghiệp, điện lực, giao thông, y tế, giáo dục, du lịch, dịch vụ, đô thị,…;

- Tài liệu quy hoạch quốc gia, quy hoạch ngành có liên quan;

- Tài liệu quy hoạch vùng, quy hoạch tỉnh trong vùng quy hoạch theo giai đoạn và tầm nhìn quy hoạch.

c) Tài liệu về hiện trạng công tác phòng, chống lũ

- Thông tin, dữ liệu, nhiệm vụ về các công trình phòng, chống lũ (hồ chứa, công trình điều tiết lũ, công trình chỉnh trị sông, công trình bảo vệ bờ sông…) hiện có;

- Tài liệu quản lý, điều hành công tác phòng, chống lũ;

- Tài liệu tình hình thiệt hại do lũ, lụt;

- Tài liệu về tình hình sạt lở bờ sông, cửa sông, ven biển;

d) Tài liệu về hiện trạng đê điều

- Thông tin, dữ liệu về các công trình đê điều hiện có;

- Tài liệu quản lý điều hành công tác đê điều;

- Thu thập tài liệu về tình hình sự cố, hư hỏng đê điều;

đ) Thu thập các loại bản đồ

- Bản đồ hiện trạng và định hướng phát triển KTXH;

- Bản đồ hiện trạng công trình phòng, chống lũ, đê điều;

- Bản đồ ngập lụt, sạt lở;

- Bản đồ hiện trạng sử dụng đất;

- Bản đồ quy hoạch sử dụng đất;

- Các loại bản đồ khác có liên quan (nếu có).

2.2.2. Công tác nội nghiệp

Xử lý, biên tập tổng hợp tài liệu thu thập:

- Xử lý, phân loại, biên tập dữ liệu, thông tin theo các nhóm;

- Số hóa dữ liệu, thông tin cần thiết;

- Chuẩn hóa các dữ liệu, thông tin, xác định và lập danh mục dữ liệu, thông tin được sử dụng phục vụ lập quy hoạch;

- Tổng hợp dữ liệu, thông tin.

2.2.3. Tổng hợp kết quả điều tra, thu thập, khảo sát

- Tổng hợp, đánh giá kết quả khảo sát, điều tra, thu thập tài liệu dân sinh kinh tế, tài liệu quy hoạch, tài liệu cơ bản hiện có và tài liệu cần thu thập;

- Hoàn chỉnh đề cương; thống nhất về mục tiêu, nhiệm vụ và nội dung quy hoạch cho phù hợp thực tế; đề xuất điều chỉnh, bổ sung, sửa chữa những thiếu sót trong đề cương (nếu có);

- Đánh giá sơ bộ các dự án nghiên cứu về quy hoạch và đầu tư xây dựng công trình đê điều và các công trình phòng, chống lũ khác đã có; đề ra phương hướng lập quy hoạch cho giai đoạn tiếp theo;

- Kế hoạch, tiến độ chi tiết công việc cần thực hiện để đạt mục tiêu, nhiệm vụ lập quy hoạch đã được phê duyệt;

- Tổng hợp, đánh giá các tài liệu khảo sát đã có, lập nhiệm vụ khảo sát phục vụ lập quy hoạch;

Tổng hợp báo cáo kết quả tài liệu khảo sát, điều tra, thu thập; trình cấp có thẩm quyền phê duyệt bổ sung, điều chỉnh đề cương (nếu có).

2.3. Các nội dung tính toán đề xuất giải pháp quy hoạch

2.3.1. Phân tích, đánh giá điều kiện tự nhiên; điều kiện kinh tế - xã hội; nguồn lực; hiện trạng đê điều và công trình phòng, chống lũ khác; kết quả thực hiện quy hoạch thời kỳ trước trên phạm vi vùng quy hoạch.

a) Phân tích, đánh giá điều kiện tự nhiên

- Đặc điểm địa lý tự nhiên: Vị trí địa lý, phạm vi hành chính, giới hạn, diện tích tự nhiên của vùng quy hoạch;

- Đặc điểm địa hình chung toàn vùng về độ cao, độ dốc, hướng dốc và diện tích phân bố từng dạng địa hình;

- Đặc điểm địa hình địa mạo, cấu tạo địa chất chung và phân vùng địa chất lưu vực. Điều kiện địa chất công trình và vật liệu xây dựng ở vùng tuyến công trình dự kiến xây dựng.

b) Phân tích, đánh giá điều kiện kinh tế - xã hội, nguồn lực phát triển

- Đặc điểm dân cư, dân số, tốc độ tăng dân số hàng năm,...; phân bố dân cư theo đơn vị hành chính và theo vùng bảo vệ;

- Quá trình phát triển các ngành kinh tế chủ yếu trong vùng chịu ảnh hưởng lũ lụt, trong tuyến đê bảo vệ như nông nghiệp, công nghiệp, năng lượng, xây dựng - đô thị, giao thông, du lịch - dịch vụ,…;

- Phương hướng phát triển KTXH các ngành kinh tế chủ yếu trong vùng chịu ảnh hưởng lũ lụt như nông nghiệp, công nghiệp, năng lượng, xây dựng - đô thị, giao thông, du lịch - dịch vụ,…

c) Đánh giá hiện trạng phòng, chống lũ; kết quả thực hiện quy hoạch thời kỳ trước trên phạm vi vùng quy hoạch

- Hiện trạng phòng, chống lũ: Số lượng, quy mô các công trình phòng, chống lũ (hồ chứa, không gian thoát lũ, kênh thoát lũ, công trình điều tiết lũ, dân sinh kinh tế vùng bãi sông,…). Đánh giá mức đảm bảo chống lũ, chất lượng công trình và khả năng chống lũ thực tế của các hệ thống công trình phòng, chống lũ hiện có;

- Công tác quản lý, điều hành phòng, chống lũ: Bộ máy tổ chức, năng lực quản lý; cơ chế chính sách về phòng, chống lũ;

- Đánh giá tình trạng mưa bão, lũ lụt xảy ra hàng năm; phân tích nguyên nhân lũ, lụt, mức độ và phạm vi ảnh hưởng một số năm lũ điển hình, lũ lịch sử;

- Tình hình thiệt hại do lũ lụt: Phạm vi và mức độ ảnh hưởng, tổn thất về người và tài sản do lũ lụt gây ra;

- Đánh giá kết quả thực hiện quy hoạch thời kỳ trước trên phạm vi vùng quy hoạch; những kết quả đạt được, tồn tại, nguyên nhân.

d) Đánh giá hiện trạng đê điều, kết quả thực hiện quy hoạch thời kỳ trước trên phạm vi vùng quy hoạch

- Phân tích, đánh giá hiện trạng các tuyến đê (đê chính, đê bao, đê bối), thân đê, cao trình, mặt cắt ngang, kết cấu mặt đê, hành lang chân đê, giếng giảm áp, kè, cống, cửa khẩu, điếm canh đê, tre chắn sóng, công tác quản lý, trang thiết bị, kho vật tư;

- Tình hình dân sinh, kinh tế dọc đê;

- Các vị trí trọng điểm xung yếu đê điều;

- Các hệ thống đê bao, đê bối, đê chuyên dùng;

- Khả năng chống lũ của các tuyến đê;

- Hiện trạng công tác quản lý;

- Tình hình sự cố, hư hỏng đê điều;

2.3.2. Dự báo xu thế mưa lũ trong bối cảnh chịu tác động của biến đổi khí hậu, nước biển dâng; dự báo tiến bộ khoa học và công nghệ, nguồn lực ảnh hưởng trực tiếp đến công tác phòng, chống lũ, hệ thống đê điều và công tác đê điều.

a) Dự báo xu thế mưa lũ trong bối cảnh chịu tác động của biến đổi khí hậu, nước biển dâng.

- Phân tích đặc điểm và đánh giá sự thay đổi chế độ khí tượng, thủy văn, hải văn vùng nghiên cứu do biến đổi khí hậu, nước biển dâng;

- Đánh giá xu thế biến đổi dòng chảy năm, dòng chảy lũ trên các lưu vực trong vùng quy hoạch. Sự biến động của dòng chảy đến các hồ chứa tham gia điều tiết lũ;

- Phân tích, nhận định, đánh giá những ảnh hưởng của xu thế biến đổi mưa lũ đối với khả năng phòng, chống lũ và khả năng chống lũ của hệ thống đê điều.

b) Dự báo tiến bộ khoa học và công nghệ, nguồn lực ảnh hưởng trực tiếp đến công tác phòng, chống lũ, đê điều.

2.3.3. Đánh giá về liên kết ngành, liên kết vùng; cơ hội và thách thức đối với công tác phòng, chống lũ, đê điều

a) Đánh giá về liên kết ngành, liên kết vùng trong công tác phòng, chống lũ với hạ tầng ngành nông nghiệp và các ngành khác;

b) Đánh giá sự liên kết, đồng bộ của hệ thống kết cấu hạ tầng công trình đê điều và các công trình phòng, chống lũ khác trong phạm vi vùng nghiên cứu;

c) Các cơ hội và thách thức đối với công tác phòng, chống lũ, đê điều trong vùng quy hoạch do phát triển KTXH, khoa học công nghệ, biến đổi khí hậu.

2.3.4. Xác định quan điểm, mục tiêu, nhiệm vụ và phạm vi quy hoạch

a) Quan điểm quy hoạch: Phù hợp với Chiến lược quốc gia phòng, chống thiên tai; phù hợp với quy hoạch tổng thể quốc gia; quy hoạch tài nguyên nước, thủy lợi và phòng, chống thiên tai; quy hoạch vùng;

b) Mục tiêu:

- Đảm bảo chống lũ thiết kế của từng tuyến sông; đảm bảo thoát được lũ thiết kế và lũ lịch sử đã xảy ra trên từng tuyến sông;

- Đảm bảo an toàn đê điều; các tuyến đê đảm bảo chống lũ, bão theo tiêu chuẩn thiết kế

c) Nhiệm vụ:

- Xác định mức đảm bảo phòng, chống lũ cho từng khu vực; xác định lũ thiết kế và các giải pháp phòng, chống lũ;

- Xác định nhiệm vụ của tuyến đê, thông số kỹ thuật của tuyến đê; vị trí quy mô các công trình đầu mối trên đê, diện tích đất dành cho xây dựng, tu bổ nâng cấp đê điều và các giải pháp thực hiện quy hoạch.

d) Phạm vi quy hoạch: Xác định phạm vi về không gian; phạm vi về thời gian: thời gian quy hoạch, thời gian định hướng.

2.3.5. Tính toán quy hoạch

a) Phân tích, tính toán đặc điểm khí tượng, thủy văn, hải văn

- Phân tích tình hình lưới trạm quan trắc và tình hình tài liệu quan trắc khí tượng, thủy văn dòng chảy, các đặc trưng và liệt năm quan trắc, chất lượng tài liệu quan trắc;

- Phân tích diễn biến dòng chảy trên sông qua một số năm gần đây; khi các công trình thượng nguồn được xây dựng, lòng dẫn thay đổi;

- Tính toán các đặc trưng dòng chảy mùa lũ như lưu lượng, mực nước lũ lớn nhất, nhỏ nhất hàng năm và năm lũ lịch sử theo tài liệu thực đo và theo tính toán tần suất; đường quá trình lũ tính toán tại các tuyến đặc trưng;

- Tính toán đặc trưng chế độ thủy văn vùng triều gồm chế độ triều, biên độ triều, tần suất triều, nước dâng do bão;

- Tính toán các đặc trưng thủy văn công trình gồm mực nước, lưu lượng thiết kế và kiểm tra tại các tuyến công trình, các biên và nút tính toán thủy lực;

- Tính toán ảnh hưởng của biến đổi khí hậu và nước biển dâng đến đặc trưng khí tượng, thủy văn, thủy lực mùa lũ.

b) Tính toán thủy lực lũ mạng lưới sông theo các phương án bằng mô hình toán

Yêu cầu tính toán thủy lực bằng mô hình toán:

- Thiết lập mô hình thủy lực: Xử lý số liệu; thiết lập sơ đồ mạng sông; thiết lập tài liệu địa hình, cập nhật số liệu mặt cắt ngang; thiết lập điều kiện biên; thiết lập và mô phỏng các công trình; hiệu chỉnh mô hình; kiểm định mô hình;

- Tính toán mô hình thủy lực theo các kịch bản mưa lũ và các phương án, giải pháp phòng, chống lũ; các phương án tuyến đê, trường hợp tuyến đê theo hiện trạng, trường hợp tuyến đê theo phương án điều chỉnh, xây mới, trường hợp theo các cao trình đê khác nhau;

- Trích xuất kết quả, bản đồ;

- Phân tích, nhận xét và kiến nghị các phương án.

c) Tính toán phương án phòng, chống lũ

- Phân vùng bảo vệ.

- Xác định tiêu chuẩn phòng, chống lũ:

+ Phân tích, xác định tiêu chuẩn phòng, chống lũ chung của vùng và cho từng tiểu vùng;

+ Tiêu chuẩn phòng chống lũ từng vùng bảo vệ phù hợp với điều kiện tự nhiên và kinh tế xã hội; thực trạng hệ thống công trình phòng chống lũ; khả năng thực hiện các giải pháp;

+ Đề xuất sơ bộ các phương án công trình phòng, chống lũ: Xây dựng hồ chứa nước thượng lưu; xây dựng, tu bổ đê điều; xác định các vùng phân lũ, làm chậm lũ, khả năng phân lũ vào các sông khác; làm thông thoáng dòng chảy đảm bảo tiêu chuẩn chống lũ.

- Xác định lũ thiết kế của tuyến sông gồm lưu lượng lũ thiết kế và mực nước lũ thiết kế.

- Xác định không gian thoát lũ.

d) Tính toán phương án đê điều

- Xác định nhiệm vụ, xác định cấp đê: Dựa vào tiêu chuẩn phòng, chống lũ; yêu cầu về mức đảm bảo chống lũ của tuyến sông có đê xác định được loại đê, nhiệm vụ của từng tuyến đê. Căn cứ vào số liệu về dân cư, kinh tế xã hội, diện tích vùng bảo vệ, độ sâu ngập lụt, mức độ quan trọng của vùng bảo vệ để xác định cấp đê;

- Xác định vị trí tuyến đê: Trên cơ sở không gian thoát lũ, điều kiện địa hình địa chất, điều kiện dân sinh cơ sở hạ tầng xác định vị trí tuyến đê phù hợp đảm bảo ổn định lâu dài;

- Xác định vị trí, quy mô các công trình đầu mối hạ tầng trên tuyến đê theo các quy hoạch có liên quan trong vùng quy hoạch về thủy lợi, đô thị, đất đai, giao thông, công nghiệp,… và không làm ảnh hưởng đến sự phát triển kinh tế - xã hội trong khu vực;

- Xác định các thông số kỹ thuật của tuyến đê: Xác định cao trình đê thiết kế được tính từ mực nước thiết kế đê và độ cao gia thăng an toàn của đê, chiều rộng mặt đê, mái đê phía sông, phía đồng theo tiêu chuẩn thiết kế đê.

đ) Xác định các giải pháp phòng, chống lũ

- Đề xuất giải pháp công trình: Nghiên cứu, tính toán và đề xuất các giải pháp công trình bảo đảm chống lũ thiết kế; nhiệm vụ và quy mô của từng loại công trình.

+ Hồ chứa: Xác định mực nước và dung tích hồ chứa, dung tích phòng, chống lũ hạ du, chế độ cắt lũ, tác dụng cắt lũ cho hạ du, các chỉ tiêu kinh tế - kỹ thuật cơ bản khác của công trình;

+ Vùng chậm lũ: Giới hạn vùng chậm lũ, dung tích vùng chậm lũ, chế độ chậm lũ, tác dụng cắt lũ, một số chỉ tiêu kinh tế - kỹ thuật chính của vùng chậm lũ và công trình trong vùng chậm lũ;

+ Đường phân lũ: Bố trí đường phân lũ và các công trình trên đường phân lũ; lưu lượng phân lũ, chế độ phân lũ, tác dụng giảm lũ cho dòng chính, một số chỉ tiêu kinh tế - kỹ thuật chính của công trình trên đường phân lũ;

+ Đê điều: xác định tần suất chống lũ của đê, mực nước thiết kế đê, xác định vị trí tuyến đê (đối với khu vực chưa có đê), xác định các chỉ tiêu kinh tế, kỹ thuật chính của hệ thống đê điều và công trình kết cấu hạ tầng đầu mối trên đê;

+ Chỉnh trị sông: Các đoạn sông, bờ bãi sông cần nạo vét, nắn dòng, gia cố. Các chỉ tiêu kinh tế - kỹ thuật chính của các công trình chỉnh trị;

+ Kè bảo vệ bờ sông, các khu dân cư, cơ sở hạ tầng;

+ Cải tạo, mở rộng các công trình cản trở thoát lũ.

- Đề xuất giải pháp phi công trình: Quản lý bãi sông; bảo vệ và phát triển rừng đầu nguồn; vận hành công trình; sử dụng hợp lý đất đai, sản xuất thích nghi; xây dựng hệ thống dự báo, cảnh báo; xây dựng kế hoạch ứng phó,…

e) Xác định các giải pháp đê điều:

- Các giải pháp công trình: Xây dựng, nâng cấp, củng cố các tuyến đê đảm bảo mặt cắt theo thiết kế; xử lý những trọng điểm xung yếu về nền đê, thân đê; xây dựng mới các cống dưới đê, kè bảo vệ đê. Xây dựng các công trình phục vụ công tác quản lý, bảo vệ đê,...;

- Giải pháp phi công trình: Cắm mốc chỉ giới hành lang bảo vệ đê điều; đầu tư trang thiết bị, cơ sở vật chất phục vụ công tác quản lý đê. Áp dụng tiến bộ khoa học, công nghệ mới, tiên tiến trong quản lý, xây dựng đê điều. Tuyên truyền nâng cao nhận thức của người dân về quản lý, bảo vệ đê điều.

2.4. Đề xuất danh mục công trình, kinh phí đầu tư, phân tích hiệu quả kinh tế, thứ tự ưu tiên

a) Xác định danh mục các công trình đầu tư thực hiện.

b) Xác định kinh phí đầu tư.

c) Phân tích hiệu quả kinh tế

- Hiệu ích định lượng;

- Hiệu ích định tính;

- Phân tích kinh tế: Kết quả phân tích kinh tế dùng để lựa chọn tần suất bảo đảm, các giải pháp, quy mô công trình đê điều và các công trình phòng, chống lũ khác đảm bảo hiệu quả kinh tế, kỹ thuật.

d) Đề xuất trình tự, phân giai đoạn thực hiện quy hoạch; Danh mục công trình, dự án ưu tiên trên cơ sở yêu cầu cấp bách của các khu vực, khả năng nguồn vốn và hiệu ích đầu tư.

đ) Dự kiến nguồn huy động vốn.

2.5. Xác định nhu cầu sử dụng đất phục vụ xây dựng mới, cải tạo, nâng cấp công trình phòng, chống lũ, đê điều.

Xác định sơ bộ diện tích đất để bố trí xây dựng các công trình theo quy hoạch đề xuất.

2.6. Giải pháp, nguồn lực thực hiện quy hoạch

Đề xuất giải pháp tổ chức thực hiện quy hoạch: Giải pháp về pháp luật, chính sách; giải pháp về tài chính, đầu tư; giải pháp về khoa học và công nghệ; giải pháp về tuyên truyền, nâng cao nhận thức; giải pháp về đào tạo, tăng cường năng lực; giải pháp về hợp tác quốc tế; giải pháp về tổ chức thực hiện và giám sát thực hiện quy hoạch.

2.7. Lập báo cáo tổng hợp, báo cáo tóm tắt

- Báo cáo tổng hợp quy hoạch: Tổng hợp toàn bộ các nội dung chính đã phân tích, tính toán, kết quả đề xuất giải pháp quy hoạch;

- Báo cáo tóm tắt: Tóm tắt các nội dung chính, chủ yếu trong báo cáo tổng hợp.

2.8. Lập các loại bản đồ

2.8.1. Yêu cầu các loại bản đồ cần lập

- Bản đồ hiện trạng các công trình phòng, chống lũ;

- Bản đồ hiện trạng hệ thống đê điều;

- Bản đồ quy hoạch;

- Bản đồ Atlat đóng thành tập phụ lục bản đồ, khổ A3.

2.8.2. Yêu cầu về tỷ lệ bản đồ

- Tỷ lệ tối thiểu 1:50.000 tương ứng với diện tích đất quy hoạch dưới 10.000 ha;

- Tỷ lệ tối thiểu 1:100.000 tương ứng với diện tích đất quy hoạch từ 10.000 ha - 200.000 ha;

- Tỷ lệ tối thiểu 1:250.000 tương ứng với diện tích đất quy hoạch trên 200.000 ha.

2.9. Hoàn chỉnh hồ sơ quy hoạch

- Rà soát, hoàn chỉnh các báo cáo chuyên đề, báo cáo tổng hợp, báo cáo tóm tắt;

- Rà soát, hoàn chỉnh các loại bản đồ;

- Dự thảo tờ trình, quyết định phê duyệt quy hoạch;

- Tổng hợp ý kiến góp ý của các bộ, ngành, địa phương, tổ chức, cá nhân liên quan; báo cáo tiếp thu, giải trình, chỉnh lý hoàn thiện hồ sơ theo các ý kiến góp ý;

- Hội thảo và lấy ý kiến:

+ Chuẩn bị tài liệu và các chuẩn bị khác phục vụ hội thảo (nhân bản tài liệu, gửi các tài liệu quy hoạch và các tài liệu liên quan để lấy ý kiến góp ý);

+ Tổ chức hội thảo;

- Hoàn chỉnh hồ sơ quy hoạch:

+ Tổng hợp các ý kiến góp ý;

+ Hoàn thiện hồ sơ quy hoạch trình cấp có thẩm quyền phê duyệt;

- In ấn, nhân bộ, giao nộp và lưu trữ hồ sơ sản phẩm.

2.10. Sản phẩm quy hoạch

2.10.1. Các báo cáo quy hoạch

- Báo cáo tổng hợp;

- Báo cáo tóm tắt;

- Các báo cáo chuyên đề:

+ Báo cáo hiện trạng và định hướng phát triển KTXH;

+ Báo cáo hiện trạng công tác phòng, chống lũ;

+ Báo cáo hiện trạng đê điều;

+ Báo cáo khí tượng, thủy văn;

+ Báo cáo thủy công, kinh tế;

+ Báo cáo tính toán thủy lực;

+ Báo cáo tính toán phương án quy hoạch;

+ Báo cáo đánh giá môi trường chiến lược (nếu có).

2.10.2. Các loại bản đồ

2.10.3. Các tài liệu khác (nếu có)

- Hồ sơ khảo sát kỹ thuật;

- Tài liệu thu thập, hình ảnh, phiếu điều tra...;

- Các văn bản liên quan về quy hoạch, văn bản góp ý cho báo cáo quy hoạch của các địa phương, Bộ, ngành liên quan.

2.10.4. Hình thức giao nộp và lưu trữ hồ sơ quy hoạch.

Thực hiện theo quy định của pháp luật hiện hành.

3. Nội dung công việc điều chỉnh quy hoạch

3.1. Nội dung công việc điều chỉnh quy hoạch tương tự nội dung công việc lập nhiệm vụ quy hoạch, lập quy hoạch.

3.2. Định mức rà soát, điều chỉnh quy hoạch được tính toán theo quy định tại khoản 6.3 Điều 6, khoản 8.2 Điều 8 Chương I văn bản này.

3.3. Nội dung công việc điều chỉnh cục bộ quy hoạch thực hiện theo quy định tại mục 8.3 Điều 8 Chương I văn bản này.

4. Một số công việc liên quan đến hoạt động lập quy hoạch

4.1. Điều tra chuyên đề

- Điều tra bãi sông: dân cư, các bối, cơ sở hạ tầng khu vực bối, bãi sông phục vụ cho việc quy hoạch quản lý bãi sông;

- Điều tra hiện trạng công trình phòng, chống lũ: hồ chứa, công trình điều tiết lũ, công trình chỉnh trị sông, công trình bảo vệ bờ sông,…

- Điều tra hệ thống đê điều: cao trình, mặt cắt đê, công trình trên tuyến đê; kè; phạm vi bảo vệ đê; tình hình vi phạm đê điều,…;

Các điều tra chuyên đề cần được lập đề cương và dự toán riêng phục vụ lập quy hoạch.

4.2. Khảo sát kỹ thuật

4.2.1. Khảo sát thủy văn

Yêu cầu về khảo sát thủy văn:

- Khảo sát đo đạc mực nước dòng chảy lũ…;

- Vị trí, khối lượng khảo sát: Theo đề cương được duyệt.

Nội dung công việc, định mức áp dụng theo quy định hiện hành về công tác điều tra khảo sát khí tượng thủy văn.

4.2.2. Khảo sát địa hình

Yêu cầu về khảo sát địa hình:

- Khảo sát đo đạc địa hình phục vụ lập quy hoạch;

- Khảo sát đo đạc địa hình phục vụ nghiên cứu bố trí tuyến đê, công trình trên đê;

- Khảo sát đo đạc địa hình phục vụ nghiên cứu bố trí các công trình phòng, chống lũ khác;

- Đo các mặt cắt dọc, ngang sông phục vụ tính toán thủy lực, chỉnh trị sông,... theo đề cương được duyệt;

- Vị trí, khối lượng khảo sát: Theo đề cương được duyệt.

Nội dung công việc, định mức áp dụng theo quy định hiện hành về công tác khảo sát địa hình.

4.2.3. Khảo sát địa chất

Yêu cầu về khảo sát địa chất:

- Khảo sát địa chất địa điểm dự kiến bố trí tuyến đê, công trình trên đê;

- Khảo sát địa chất địa điểm dự kiến bố trí các công trình phòng, chống lũ khác;

- Vị trí, khối lượng khảo sát: Theo đề cương được duyệt.

Nội dung công việc, định mức áp dụng theo quy định hiện hành về công tác khảo sát địa chất.

4.3. Đánh giá môi trường chiến lược

Nội dung Đánh giá môi trường chiến lược (ĐMC) được xác định khối lượng thực hiện theo yêu cầu cụ thể từng quy hoạch và dự toán riêng theo các định mức kinh tế - kỹ thuật chuyên ngành hiện hành về lập báo cáo đánh giá môi trường chiến lược.

II. ĐỊNH MỨC

1. Định mức lao động

Định mức lao động các nội dung công việc được tính theo Bảng 2.1.

Bảng 2.1. Định mức lao động

Đơn vị tính: Công nhóm/vùng chuẩn

TT

Nội dung công việc

Định biên cấp bậc bình quân (người/nhóm)

Định mức lao động (công nhóm)

Hệ số phi chuẩn Ki áp dụng

KS3

KS5

KSC3

Nội nghiệp

Ngoại nghiệp

 

I

Thu thập tài liệu cơ bản

3

2

1

39,79

 

KF, K1, K5

II

Điều tra, thu thập tài liệu dân sinh kinh tế

2

2

2

35,84

44,8

KF, K5, K6

III

Các nội dung tính toán đề xuất giải pháp quy hoạch

 

 

 

 

 

KF, K1, K2, K3, K4, K5, K6

1

Phân tích, đánh giá điều kiện tự nhiên; điều kiện kinh tế - xã hội; nguồn lực; đánh giá hiện trạng phòng, chống lũ, kết quả thực hiện quy hoạch thời kỳ trước trên phạm vi vùng quy hoạch

2

3

2

52,26

 

 

2

Dự báo xu thế mưa lũ trong bối cảnh chịu tác động của biến đổi khí hậu, nước biển dâng, thiên tai; dự báo tiến bộ khoa học và công nghệ, nguồn lực ảnh hưởng trực tiếp đến công tác phòng, chống lũ

2

3

2

23,24

 

 

3

Đánh giá về liên kết ngành, liên kết vùng; cơ hội và thách thức đối với công tác phòng, chống lũ trên vùng quy hoạch

2

3

2

31,37

 

 

4

Xác định quan điểm, mục tiêu, nhiệm vụ và phạm vi quy hoạch

2

3

2

31,37

 

 

5

Tính toán quy hoạch

 

 

 

 

 

 

5.1

Phân tích đặc điểm khí tượng thủy văn, hải văn

2

2

3

79,53

19,89

 

5.2

Tính toán thủy lực, phương án phòng, chống lũ, đê điều

2

2

3

106,04

26,51

 

5.3

Xác định các giải pháp phòng, chống lũ

2

2

3

78,55

19,64

 

5.4

Xác định yêu cầu tiêu chuẩn phòng, chống lũ

2

2

3

10,31

2,58

 

5.5

Xác định các giải pháp đê điều

2

2

3

27,49

6,87

 

6

Đề xuất danh mục công trình, ước tính vốn đầu tư, phân tích hiệu quả kinh tế, thứ tự ưu tiên

1

3

2

62,75

15,69

 

7

Xác định nhu cầu sử dụng đất phục vụ xây dựng mới, cải tạo, nâng cấp công trình phòng, chống lũ

1

3

2

39,17

 

 

8

Giải pháp, nguồn lực thực hiện quy hoạch

1

3

2

23,53

 

 

9

Lập báo cáo tổng hợp, báo cáo tóm tắt

0

4

4

116,95

29,24

 

10

Lập các loại bản đồ

2

2

2

48,38

 

 

11

Hoàn chỉnh hồ sơ quy hoạch

2

2

2

36,29

 

 

2. Định mức thiết bị

Định mức thiết bị được tính theo Bảng 2.2.

Bảng 2.2. Định mức thiết bị

Đơn vị tính: Ca/vùng chuẩn

TT

Danh mục thiết bị

Đơn vị tính

Thời hạn (tháng)

Nội nghiệp

Ngoại nghiệp

1

Điều hòa 2 chiều 12000 BTU - 2,2 KW

Bộ

96

1.510

-

2

Máy Photocopy - 1KW

Cái

96

496

-

3

Máy tính xách tay - 0,04KW

Cái

60

1.510

187

4

Máy GPS cầm tay

Cái

120

-

101

Ghi chú: Các loại thiết bị được xác định theo quy định tại Quyết định số 15/2025/QĐ-TTg ngày 14 tháng 6 năm 2025 của Thủ tướng Chính phủ quy định tiêu chuẩn, định mức sử dụng máy móc, thiết bị.

3. Định mức dụng cụ

Định mức dụng cụ được tính theo Bảng 2.3.

Bảng 2.3. Định mức dụng cụ

Đơn vị tính: Ca/vùng chuẩn

TT

Danh mục dụng cụ

Đơn vị tính

Thời hạn (tháng)

Nội nghiệp

Ngoại nghiệp

1

Bàn làm việc

Cái

60

3.776

-

2

Ghế văn phòng

Cái

60

3.776

-

3

Máy in lazer A4 0,5KW

Cái

60

944

-

4

USB

Cái

12

3.776

202

5

Tủ đựng tài liệu

Cái

60

1.889

-

6

Dụng cụ khác

%

 

3,5

1,5

Ghi chú: Các loại dụng cụ được xác định theo quy định tại Quyết định số 15/2025/QĐ-TTg ngày 14 tháng 6 năm 2025 của Thủ tướng Chính phủ quy định tiêu chuẩn, định mức sử dụng máy móc, thiết bị.

4. Định mức vật liệu

Định mức vật liệu được tính theo Bảng 2.4.

Bảng 2.4. Định mức vật liệu

Đơn vị tính: Mức/vùng chuẩn

TT

Danh mục vật liệu

Đơn vị tính

Nội nghiệp

Ngoại nghiệp

1

Bút viết

Cái

674

166

2

Giấy A4 quy đổi

Ram

506

-

3

Mực in A4 quy đổi

Hộp

114

-

4

Mực photocopy

Hộp

86

-

5

Sổ ghi chép

Quyển

338

-

6

Sổ nhật ký

Quyển

-

166

7

Túi nhựa đựng tài liệu

Cái

2.109

166

8

Vật liệu khác

%

6,0

2,0

5. Định mức sử dụng vật liệu, dụng cụ, máy móc thiết bị cho công tác nội nghiệp

Định mức sử dụng vật liệu, dụng cụ, máy móc thiết bị cho công tác nội nghiệp của từng công việc lập quy hoạch được tính theo hệ số tại Bảng 2.5.

Bảng 2.5. Hệ số sử dụng vật liệu, dụng cụ, máy móc thiết bị

TT

Nội dung công việc

Hệ số

I

Thu thập tài liệu cơ bản

0,03

II

Điều tra, thu thập tài liệu dân sinh kinh tế

0,04

III

Các nội dung tính toán đề xuất giải pháp quy hoạch

 

1

Phân tích, đánh giá điều kiện tự nhiên; điều kiện kinh tế - xã hội; nguồn lực; đánh giá hiện trạng phòng, chống lũ, kết quả thực hiện quy hoạch thời kỳ trước trên phạm vi vùng quy hoạch

0,08

2

Dự báo xu thế mưa lũ trong bối cảnh chịu tác động của biến đổi khí hậu, nước biển dâng, thiên tai; dự báo tiến bộ khoa học và công nghệ, nguồn lực ảnh hưởng trực tiếp đến công tác phòng, chống lũ.

0,03

3

Đánh giá về liên kết ngành, liên kết vùng; xác định yêu cầu của phát triển kinh tế - xã hội đối với phòng, chống lũ; cơ hội và thách thức đối với công tác phòng, chống lũ trên vùng quy hoạch

0,03

4

Xác định quan điểm, mục tiêu, nhiệm vụ và phạm vi quy hoạch

0,03

5

Tính toán quy hoạch

 

5.1

Phân tích, tính toán đặc điểm khí tượng, thủy văn, hải văn

0,12

5.2

Tính toán thủy lực, phương án phòng, chống lũ

0,15

5.3

Xác định các giải pháp phòng, chống lũ

0,09

5.4

Xác định yêu cầu tiêu chuẩn phòng, chống lũ

0,05

5.5

Xác định các giải pháp đê điều

0,09

IV

Đề xuất danh mục công trình, ước tính vốn đầu tư, phân tích hiệu quả kinh tế, thứ tự ưu tiên

0,07

V

Xác định nhu cầu sử dụng đất phục vụ xây dựng mới, cải tạo, nâng cấp công trình phòng, chống lũ

0,03

VI

Giải pháp, nguồn lực thực hiện quy hoạch

0,01

VII

Lập báo cáo tổng hợp, báo cáo tóm tắt quy hoạch

0,22

VIII

Lập các loại bản đồ

0,04

IX

Hoàn chỉnh hồ sơ quy hoạch

0,03

 

 

[1] Tên Thông tư được sửa đổi, bổ sung theo quy định tại Điều 24 của Thông tư số 10/2026/TT- BNNMT sửa đổi, bổ sung một số điều của các Thông tư trong lĩnh vực đê điều và phòng, chống thiên tai, có hiệu lực kể từ ngày 06 tháng 02 năm 2026.

[2] Thông tư số 10/2026/TT-BNNMT sửa đổi, bổ sung một số điều của các Thông tư trong lĩnh vực đê điều và phòng, chống thiên tai có căn cứ ban hành như sau:

Căn cứ Luật Đê điều số 79/2006/QH11 được sửa đổi, bổ sung bởi Luật số 15/2008/QH12, Luật số 35/2018/QH14, Luật số 60/2020/QH14, Luật số 18/2023/QH15, Luật số 47/2024/QH15, Luật số 84/2025/QH15 và Luật số 146/2025/QH15;

Căn cứ Luật Phòng, chống thiên tai số 33/2013/QH13 được sửa đổi, bổ sung bởi Luật số 60/2020/QH14, Luật số 18/2023/QH15, Luật số 47/2024/QH15, Luật số 55/2024/QH15 và Luật số 146/2025/QH15;

Căn cứ Nghị định số 35/2025/NĐ-CP ngày 25 tháng 02 năm 2025 của Chính phủ quy định chức năng, nhiệm vụ, quyền hạn và cơ cấu tổ chức của Bộ Nông nghiệp và Môi trường;

Căn cứ Nghị định số 53/2026/NĐ-CP ngày 05 tháng 02 năm 2026 của Chính phủ sửa đổi, bổ sung một số điều của các Nghị định trong lĩnh vực đê điều và phòng, chống thiên tai;

Theo đề nghị của Cục trưởng Cục Quản lý đê điều và Phòng, chống thiên tai;”

[3] Điều này được sửa đổi, bổ sung theo quy định tại Điều 25 của Thông tư số 10/2026/TT- BNNMT sửa đổi, bổ sung một số điều của các Thông tư trong lĩnh vực đê điều và phòng, chống thiên tai, có hiệu lực kể từ ngày 06 tháng 02 năm 2026.

[4] Điều 29 của Thông tư số 10/2026/TT-BNNMT sửa đổi, bổ sung một số điều của các Thông tư trong lĩnh vực đê điều và phòng, chống thiên tai, có hiệu lực kể từ ngày 06 tháng 02 năm 2026 quy định như sau:

Điều 29. Điều khoản thi hành

1. Thông tư này có hiệu lực thi hành kể từ ngày ký ban hành.

2. Trong quá trình thực hiện nếu có khó khăn, vướng mắc, cơ quan, tổ chức, cá nhân phản ánh kịp thời về Bộ Nông nghiệp và Môi trường để hướng dẫn, nghiên cứu sửa đổi, bổ sung.”

[5] Cụm từ “Bộ Nông nghiệp và Phát triển nông thôn” được thay thế bởi cụm từ “Bộ Nông nghiệp và Môi trường” theo quy định tại khoản 1 Điều 26 của Thông tư số 10/2026/TT-BNNMT sửa đổi, bổ sung một số điều của các Thông tư trong lĩnh vực đê điều và phòng, chống thiên tai, có hiệu lực kể từ ngày 06 tháng 02 năm 2026.

[6] Cụm từ “Bộ Nông nghiệp và Phát triển nông thôn” được thay thế bởi cụm từ “Bộ Nông nghiệp và Môi trường” theo quy định tại khoản 1 Điều 26 của Thông tư số 10/2026/TT-BNNMT sửa đổi, bổ sung một số điều của các Thông tư trong lĩnh vực đê điều và phòng, chống thiên tai, có hiệu lực kể từ ngày 06 tháng 02 năm 2026.

[7] Định mức kinh tế - kỹ thuật lập quy hoạch phòng, chống lũ của tuyến sông có đê và quy hoạch đê điều được thay thế bởi Định mức kinh tế - kỹ thuật lập quy hoạch đê điều và phòng, chống lũ của tuyến sông có đê theo quy định tại khoản 2 Điều 26 Thông tư số 10/2026/BNNMT sửa đổi, bổ sung một số điều của các Thông tư trong lĩnh vực đê điều và phòng, chống thiên tai, có hiệu lực kể từ ngày 06 tháng 02 năm 2026.

Bạn chưa Đăng nhập thành viên.

Đây là tiện ích dành cho tài khoản thành viên. Vui lòng Đăng nhập để xem chi tiết. Nếu chưa có tài khoản, vui lòng Đăng ký tại đây!

Văn bản hợp nhất 38/VBHN-BNNMT năm 2026 do Bộ Nông nghiệp và Môi trường ban hành hợp nhất Thông tư ban hành Định mức kinh tế - kỹ thuật lập quy hoạch đê điều và phòng, chống lũ của tuyến sông có đê

Bạn chưa Đăng nhập thành viên.

Đây là tiện ích dành cho tài khoản thành viên. Vui lòng Đăng nhập để xem chi tiết. Nếu chưa có tài khoản, vui lòng Đăng ký tại đây!

* Lưu ý: Để đọc được văn bản tải trên Luatvietnam.vn, bạn cần cài phần mềm đọc file DOC, DOCX và phần mềm đọc file PDF.
Từ khóa liên quan: 22/2022/TT-BNNPTNT

văn bản cùng lĩnh vực

văn bản mới nhất

CHÍNH SÁCH BẢO VỆ DỮ LIỆU CÁ NHÂN
Yêu cầu hỗ trợYêu cầu hỗ trợ
Chú thích màu chỉ dẫn
Chú thích màu chỉ dẫn:
Các nội dung của VB này được VB khác thay đổi, hướng dẫn sẽ được làm nổi bật bằng các màu sắc:
Sửa đổi, bổ sung, đính chính
Thay thế
Hướng dẫn
Bãi bỏ
Bãi bỏ cụm từ
Bình luận
Click vào nội dung được bôi màu để xem chi tiết.
×