- Tổng quan
- Nội dung
- VB gốc
- Tiếng Anh
- Hiệu lực
- VB liên quan
- Lược đồ
-
Nội dung hợp nhất
Tính năng này chỉ có tại LuatVietnam.vn. Nội dung hợp nhất tổng hợp lại tất cả các quy định còn hiệu lực của văn bản gốc và các văn bản sửa đổi, bổ sung, đính chính... trên một trang. Việc hợp nhất văn bản gốc và những văn bản, Thông tư, Nghị định hướng dẫn khác không làm thay đổi thứ tự điều khoản, nội dung.
Khách hàng chỉ cần xem Nội dung hợp nhất là có thể nắm bắt toàn bộ quy định hiện hành đang áp dụng, cho dù văn bản gốc đã qua nhiều lần chỉnh sửa, bổ sung.
- Tải về
Thông tư 122/2017/TT-BTC của Bộ Tài chính về việc ban hành Tiêu chuẩn thẩm định giá Việt Nam số 12
| Cơ quan ban hành: | Bộ Tài chính |
Số công báo:
Số công báo là mã số ấn phẩm được đăng chính thức trên ấn phẩm thông tin của Nhà nước. Mã số này do Chính phủ thống nhất quản lý.
|
Đang cập nhật |
| Số hiệu: | 122/2017/TT-BTC | Ngày đăng công báo: | Đang cập nhật |
| Loại văn bản: | Thông tư | Người ký: | Trần Văn Hiếu |
|
Ngày ban hành:
Ngày ban hành là ngày, tháng, năm văn bản được thông qua hoặc ký ban hành.
|
15/11/2017 |
Ngày hết hiệu lực:
Ngày hết hiệu lực là ngày, tháng, năm văn bản chính thức không còn hiệu lực (áp dụng).
|
Đã biết
|
|
Áp dụng:
Ngày áp dụng là ngày, tháng, năm văn bản chính thức có hiệu lực (áp dụng).
|
Đã biết
|
Tình trạng hiệu lực:
Cho biết trạng thái hiệu lực của văn bản đang tra cứu: Chưa áp dụng, Còn hiệu lực, Hết hiệu lực, Hết hiệu lực 1 phần; Đã sửa đổi, Đính chính hay Không còn phù hợp,...
|
Đã biết
|
| Lĩnh vực: | Tài chính-Ngân hàng |
TÓM TẮT THÔNG TƯ 122/2017/TT-BTC
Thông thường giá trị của doanh nghiệp là giá trị doanh nghiệp hoạt động liên tục. Trong trường hợp thẩm định viên nhận định rằng doanh nghiệp sẽ chấm dứt hoạt động sau thời điểm thẩm định giá thì giá trị của doanh nghiệp sẽ là giá trị doanh nghiệp hoạt động có thời hạn hoặc giá trị thanh lý.
Giá trị doanh nghiệp cuối cùng có thể được xác định thông qua việc tính bình quân có trọng số kết quả của các phương pháp thẩm định giá được áp dụng. Việc xác định trọng số cho từng phương án dựa trên độ tin cậy của từng phương pháp, thông tin dữ liệu đầu vào, mục đích thẩm định giá…đảm bảo phù hợp với thị trường.
Báo cáo tài chính được sử dụng trong thẩm định giá doanh nghiệp bao gồm: Báo cáo tài chính năm, báo cáo tài chính năm được kiểm toán, báo cáo tài chính giữa niên độ, báo cáo tài chính giữa niên độ được soát xét, báo cáo tài chính tại thời điểm thẩm định giá được kiểm toán. Trong đó, đối với cùng một số liệu, chỉ tiêu, thứ tự ưu tiên như sau: Số liệu, chỉ tiêu tại báo cáo tài chính gần nhất với thời điểm thẩm định giá được ưu tiên sử dụng; Tại cùng một thời điểm, số liệu, chỉ tiêu tại báo cáo tài chính được kiểm toán, soát xét được ưu tiên sử dụng.
Thông tư này có hiệu lực từ ngày 01/01/2018.
Xem chi tiết Thông tư 122/2017/TT-BTC có hiệu lực kể từ ngày 01/01/2018
Tải Thông tư 122/2017/TT-BTC
|
BỘ TÀI CHÍNH Số: 122/2017/TT-BTC |
CỘNG HÒA XÃ HỘI CHỦ NGHĨA VIỆT NAM Hà Nội, ngày 15 tháng 11 năm 2017 |
THÔNG TƯ
BAN HÀNH TIÊU CHUẨN THẨM ĐỊNH GIÁ VIỆT NAM SỐ 12
Căn cứ Luật Giá số 11/2012/QH13 ngày 20 tháng 6 năm 2012;
Căn cứ Nghị định số 89/2013/NĐ-CP ngày 06 tháng 8 năm 2013 của Chính phủ quy định chi tiết thi hành một số điều của Luật Giá về thẩm định giá;
Căn cứ Nghị định số 87/2017/NĐ-CP ngày 26 tháng 07 năm 2017 của Chính phủ quy định chức năng, nhiệm vụ, quyền hạn và cơ cấu tổ chức của Bộ Tài chính;
Theo đề nghị của Cục trưởng Cục Quản lý giá,
Bộ trưởng Bộ Tài chính ban hành Thông tư ban hành Tiêu chuẩn thẩm định giá Việt Nam số 12
Điều 1. Ban hành kèm theo Thông tư này Tiêu chuẩn thẩm định giá Việt Nam số 12 - Tiêu chuẩn thẩm định giá Doanh nghiệp.
Điều 2. Tổ chức thực hiện
1. Thông tư này có hiệu lực thi hành kể từ ngày 01 tháng 01 năm 2018.
2. Cục Quản lý giá chủ trì, phối hợp với các cơ quan có liên quan chỉ đạo, hướng dẫn, kiểm tra việc thực hiện các quy định tại Tiêu chuẩn thẩm định giá ban hành kèm theo Thông tư này và các văn bản pháp luật có liên quan.
3. Trong quá trình thực hiện nếu có vướng mắc đề nghị các đơn vị phản ánh về Bộ Tài chính để hướng dẫn giải quyết và sửa đổi, bổ sung cho phù hợp./.
|
Nơi nhận: |
KT. BỘ TRƯỞNG |
HỆ THỐNG TIÊU CHUẨN THẨM ĐỊNH GIÁ VIỆT NAM
Tiêu chuẩn thẩm định giá Việt Nam số 12
Thẩm định giá doanh nghiệp
(Ký hiệu: TĐGVN 12)
(Ban hành kèm theo Thông tư số 122/2017/TT-BTC ngày 15/11/2017 của Bộ Tài chính)
I. QUY ĐỊNH CHUNG
1. Phạm vi điều chỉnh: Tiêu chuẩn này quy định và hướng dẫn thực hiện thẩm định giá doanh nghiệp.
2. Đối tượng áp dụng: Thẩm định viên về giá hành nghề (sau đây gọi chung là thẩm định viên), doanh nghiệp thẩm định giá, các tổ chức và cá nhân khác thực hiện hoạt động thẩm định giá theo quy định của Luật Giá và các quy định khác của pháp luật có liên quan.
3. Khách hàng thẩm định giá và bên thứ ba sử dụng kết quả thẩm định giá (nếu có) theo hợp đồng thẩm định giá đã ký kết phải có những hiểu biết cần thiết về các quy định trong tiêu chuẩn này để hợp tác với doanh nghiệp thẩm định giá trong quá trình thẩm định giá.
Tài sản hoạt động là những tài sản sử dụng trong quá trình hoạt động sản xuất, kinh doanh của doanh nghiệp và góp phần tạo ra doanh thu bán hàng và cung cấp dịch vụ hoặc giúp tiết giảm chi phí hoạt động sản xuất, kinh doanh của doanh nghiệp.
Tài sản phi hoạt động là những tài sản không tham gia vào hoạt động sản xuất, kinh doanh của doanh nghiệp, bao gồm: khoản đầu tư vào công ty khác (trừ trường hợp các doanh nghiệp cần thẩm định giá là các công ty đầu tư tài chính) không góp phần tạo ra doanh thu bán hàng và cung cấp dịch vụ hoặc không giúp tiết giảm chi phí hoạt động sản xuất, kinh doanh của doanh nghiệp cần thẩm định giá; các khoản đầu tư tài chính ngắn hạn; tiền mặt và các khoản tương đương tiền; tài sản thuộc quyền sở hữu, sử dụng của doanh nghiệp không đóng góp vào việc tạo ra thu nhập cho doanh nghiệp nhưng vẫn có giá trị (tài sản chưa khai thác, bằng sáng chế chưa sử dụng, quyền sử dụng đất, quyền thuê đất chưa khai thác...); tài sản thuộc quyền sở hữu, sử dụng của doanh nghiệp có tạo ra thu nhập cho doanh nghiệp nhưng không góp phần tạo ra doanh thu bán hàng và cung cấp dịch vụ hoặc không giúp tiết giảm chi phí hoạt động sản xuất, kinh doanh của doanh nghiệp cần thẩm định giá (quyền sử dụng đất, quyền thuê đất khai thác không đúng với ngành nghề kinh doanh của doanh nghiệp...) và tài sản phi hoạt động khác. Khi xác định giá trị doanh nghiệp bằng cách tiếp cận từ thu nhập cần cộng giá trị của các tài sản phi hoạt động tại thời điểm thẩm định giá với giá trị chiết khấu dòng thu nhập của các tài sản hoạt động tại thời điểm thẩm định giá. Riêng phương pháp chiết khấu cổ tức thì không cộng thêm phần tài sản phi hoạt động là tiền mặt và tương đương tiền.
Giá trị doanh nghiệp hoạt động liên tục là giá trị doanh nghiệp đang hoạt động với giả thiết doanh nghiệp sẽ tiếp tục hoạt động sau thời điểm thẩm định giá.
Giá trị doanh nghiệp hoạt động có thời hạn là giá trị doanh nghiệp đang hoạt động với giả thiết tuổi đời của doanh nghiệp là hữu hạn do doanh nghiệp buộc phải chấm dứt hoạt động sau một thời điểm được xác định trong tương lai.
Giá trị doanh nghiệp thanh lý là giá trị doanh nghiệp với giả thiết các tài sản của doanh nghiệp sẽ được bán riêng lẻ và doanh nghiệp sẽ sớm chấm dứt hoạt động sau thời điểm thẩm định giá.
II. NỘI DUNG TIÊU CHUẨN
1. Lựa chọn cơ sở giá trị và sử dụng báo cáo tài chính trong thẩm định giá doanh nghiệp
1.1 Cơ sở giá trị trong thẩm định giá doanh nghiệp
Cơ sở giá trị doanh nghiệp là cơ sở giá trị thị trường hoặc cơ sở giá trị phi thị trường. Cơ sở giá trị doanh nghiệp được xác định trên cơ sở mục đích thẩm định giá, đặc điểm pháp lý, đặc điểm kinh tế - kỹ thuật và đặc điểm thị trường của doanh nghiệp cần thẩm định giá, yêu cầu của khách hàng thẩm định giá tại hợp đồng thẩm định giá (nếu phù hợp với mục đích thẩm định giá) và quy định của pháp luật có liên quan. Các nội dung khác thực hiện theo quy định tại Tiêu chuẩn thẩm định giá Việt Nam số 2 và số 3.
Căn cứ vào triển vọng thực tế của doanh nghiệp, thị trường kinh doanh của doanh nghiệp, mục đích thẩm định giá và quy định của pháp luật, thẩm định viên đưa ra nhận định về tình trạng hoạt động, tình trạng giao dịch (thực tế hoặc giả thiết) của doanh nghiệp cần thẩm định giá sau thời điểm thẩm định giá. Thông thường giá trị của doanh nghiệp là giá trị doanh nghiệp hoạt động liên tục. Trong trường hợp thẩm định viên nhận định rằng doanh nghiệp sẽ chấm dứt hoạt động sau thời điểm thẩm định giá thì giá trị của doanh nghiệp sẽ là giá trị doanh nghiệp hoạt động có thời hạn hoặc giá trị thanh lý.
Việc áp dụng các phương pháp thẩm định giá doanh nghiệp cần phù hợp với cơ sở giá trị doanh nghiệp và nhận định của thẩm định viên về trạng thái hoạt động của doanh nghiệp tại và sau thời điểm thẩm định giá.
1.2. Sử dụng báo cáo tài chính trong thẩm định giá doanh nghiệp
a) Báo cáo tài chính được sử dụng trong thẩm định giá doanh nghiệp
Báo cáo tài chính được sử dụng trong thẩm định giá doanh nghiệp bao gồm: Báo cáo tài chính năm, báo cáo tài chính năm được kiểm toán, báo cáo tài chính giữa niên độ, báo cáo tài chính giữa niên độ được soát xét, báo cáo tài chính tại thời điểm thẩm định giá được kiểm toán. Trong đó, đối với cùng một số liệu, chỉ tiêu, thứ tự ưu tiên như sau:
- Số liệu, chỉ tiêu tại báo cáo tài chính gần nhất với thời điểm thẩm định giá được ưu tiên sử dụng.
- Tại cùng một thời điểm, số liệu, chỉ tiêu tại báo cáo tài chính được kiểm toán, soát xét được ưu tiên sử dụng.
Trường hợp doanh nghiệp cần thẩm định giá là công ty mẹ và có báo cáo hợp nhất tại thời điểm thẩm định giá thì thẩm định viên cần xem xét cả báo cáo tài chính hợp nhất và báo cáo tài chính riêng của công ty mẹ và công ty con để sử dụng cho phù hợp với cách tiếp cận và phương pháp thẩm định giá lựa chọn, ưu tiên sử dụng báo cáo tài chính riêng.
b) Một số lưu ý khi sử dụng báo cáo tài chính
- Thẩm định viên nên đối chiếu, kiểm tra tính chính xác để bảo đảm độ tin cậy, trường hợp cần thiết, thẩm định viên yêu cầu doanh nghiệp điều chỉnh lại báo cáo tài chính và sổ sách kế toán chính xác trước khi đưa vào phân tích thông tin, áp dụng các cách tiếp cận và phương pháp thẩm định giá. Trường hợp doanh nghiệp cần thẩm định giá không điều chỉnh thì thẩm định viên có thể xác định chênh lệch và có phân tích rõ nội dung, căn cứ xác định chênh lệch và ghi rõ trong Báo cáo kết quả thẩm định giá.
- Khi sử dụng số liệu từ báo cáo tài chính chưa được kiểm toán, soát xét mà không thực hiện đối chiếu, kiểm tra tính chính xác của các số liệu, thẩm định viên phải nêu rõ hạn chế này trong phần hạn chế của Chứng thư và Báo cáo kết quả thẩm định giá để khách hàng thẩm định giá và người sử dụng kết quả thẩm định giá được biết.
- Đối với phương pháp trong cách tiếp cận từ thị trường: khi sử dụng số liệu từ báo cáo tài chính của doanh nghiệp cần thẩm định giá, doanh nghiệp so sánh để tính toán các chỉ tiêu: lãi cơ bản trên một cổ phiếu (EPS), lợi nhuận trước thuế, lãi vay và khấu hao (EBITDA) trong tính toán các tỷ số thị trường nhằm mục đích thẩm định giá, thẩm định viên cần cân nhắc điều chỉnh để loại trừ thu nhập và chi phí của các tài sản phi hoạt động, các khoản chi phí, thu nhập bất thường, không mang tính thường xuyên.
- Đối với phương pháp trong cách tiếp cận từ chi phí, cách tiếp cận từ thu nhập: khi sử dụng số liệu về lợi nhuận từ báo cáo tài chính trong các năm gần nhất của doanh nghiệp cần thẩm định giá nhằm mục đích dự báo dòng thu nhập hàng năm của doanh nghiệp cần thẩm định giá, thẩm định viên cần cân nhắc loại trừ thu nhập và chi phí của các tài sản phi hoạt động, các khoản chi phí, thu nhập bất thường, không mang tính thường xuyên.
- Các khoản chi phí, lợi nhuận không mang tính thường xuyên bao gồm: các khoản chi phí liên quan đến việc tái cấu trúc doanh nghiệp; các khoản tăng, giảm ghi nhận khi bán tài sản; thay đổi các nguyên tắc hạch toán kế toán; ghi nhận giảm giá hàng tồn kho; suy giảm lợi thế thương mại; xóa sổ nợ; tổn thất hoặc lợi ích từ các quyết định của tòa án và các khoản lợi nhuận, chi phí không thường xuyên khác. Các khoản mục này khi điều chỉnh phải xem xét đến tác động của thuế thu nhập doanh nghiệp (nếu có).
2. Các cách tiếp cận và phương pháp thẩm định giá doanh nghiệp
Các cách tiếp cận áp dụng trong thẩm định giá doanh nghiệp bao gồm: cách tiếp cận từ thị trường, cách tiếp cận từ chi phí và cách tiếp cận từ thu nhập. Doanh nghiệp thẩm định giá có thể sử dụng tất cả các cách tiếp cận để thẩm định giá doanh nghiệp.
- Trong cách tiếp cận từ thị trường, giá trị doanh nghiệp được xác định thông qua giá trị của doanh nghiệp tương tự hoặc giống hệt với doanh nghiệp cần thẩm định giá về các yếu tố: ngành nghề kinh doanh chính; khách hàng và thị trường tiêu thụ; các chỉ số tài chính hoặc giá giao dịch đã thành công của chính doanh nghiệp cần thẩm định giá. Phương pháp được sử dụng trong cách tiếp cận từ thị trường để xác định giá trị doanh nghiệp là phương pháp tỷ số bình quân và phương pháp giá giao dịch.
- Trong cách tiếp cận từ chi phí, giá trị doanh nghiệp được xác định thông qua giá trị các tài sản của doanh nghiệp. Phương pháp được sử dụng trong cách tiếp cận từ chi phí để xác định giá trị doanh nghiệp là phương pháp tài sản.
- Trong cách tiếp cận từ thu nhập, giá trị doanh nghiệp được xác định thông qua việc quy đổi dòng thu nhập thuần có được trong tương lai về giá trị hiện tại. Phương pháp được sử dụng trong cách tiếp cận từ thu nhập để xác định giá trị doanh nghiệp là phương pháp chiết khấu dòng tiền tự do của doanh nghiệp, phương pháp chiết khấu dòng cổ tức và phương pháp chiết khấu dòng tiền thuần vốn chủ sở hữu.
3. Phương pháp tỷ số bình quân
- Tương tự với doanh nghiệp cần thẩm định giá về các yếu tố: ngành nghề kinh doanh chính; khách hàng và thị trường tiêu thụ; các chỉ số tài chính.
- Có cổ phần được giao dịch thành công trên thị trường tại thời điểm thẩm định giá hoặc gần thời điểm thẩm định giá nhưng không quá 01 năm tính đến thời điểm thẩm định giá.
Các tỷ số thị trường được sử dụng trong phương pháp tỷ số bình quân bao gồm: tỷ số giá trên thu nhập bình quân
, tỷ số giá trên doanh thu bình quân
, tỷ số giá trên giá trị sổ sách bình quân
, tỷ số giá trị doanh nghiệp trên lợi nhuận trước thuế, lãi vay và khấu hao bình quân
.
3.2. Trường hợp áp dụng phương pháp tỷ số bình quân
Có ít nhất 03 doanh nghiệp so sánh. Ưu tiên các doanh nghiệp so sánh là các doanh nghiệp đã niêm yết trên sàn chứng khoán hoặc đăng ký giao dịch trên UPCoM.
3.3. Nguyên tắc thực hiện
- Cách thức xác định các chỉ số tài chính, tỷ số thị trường phải nhất quán đối với tất cả các doanh nghiệp so sánh và doanh nghiệp cần thẩm định giá.
- Các chỉ số tài chính, tỷ số thị trường của các doanh nghiệp so sánh được thu thập từ các nguồn khác nhau phải được rà soát, điều chỉnh để bảo đảm tính nhất quán về cách thức xác định trước khi đưa vào sử dụng trong thẩm định giá.
3.4. Các bước xác định giá trị doanh nghiệp
- Bước 1: Đánh giá, lựa chọn các doanh nghiệp so sánh.
- Bước 2: Xác định tỷ số thị trường được sử dụng để ước tính giá trị doanh nghiệp cần thẩm định giá.
- Bước 3: Ước tính giá trị doanh nghiệp cần thẩm định giá.
3.5. Đánh giá, lựa chọn các doanh nghiệp so sánh
Tiêu chí đánh giá, lựa chọn các doanh nghiệp so sánh bao gồm:
(i) Doanh nghiệp so sánh phải tương tự với doanh nghiệp cần thẩm định giá về các yếu tố: ngành nghề kinh doanh chính; nhóm khách hàng và thị trường tiêu thụ. Trong nhiều trường hợp, các doanh nghiệp tương tự với doanh nghiệp cần thẩm định giá về các yếu tố này có thể được lựa chọn từ các đối thủ cạnh tranh của doanh nghiệp cần thẩm định giá.
(ii) Doanh nghiệp so sánh phải tương tự với doanh nghiệp cần thẩm định giá về các chỉ số tài chính, bao gồm:
- Chỉ số phản ánh quy mô của doanh nghiệp: vốn điều lệ, doanh thu, lợi nhuận gộp về bán hàng và cung cấp dịch vụ.
- Chỉ số phản ánh khả năng tăng trưởng của doanh nghiệp: tốc độ tăng trưởng lợi nhuận sau thuế thu nhập doanh nghiệp trung bình trong 03 năm gần nhất.
- Chỉ số phản ánh hiệu quả hoạt động của doanh nghiệp: tỷ suất lợi nhuận trên vốn chủ sở hữu (ROE), tỷ suất lợi nhuận trên tài sản (ROA).
Thẩm định viên tiến hành đánh giá theo các tiêu chí trên để lựa chọn được ít nhất 03 doanh nghiệp so sánh. Tỷ số thị trường của các doanh nghiệp so sánh này được sử dụng để ước tính giá trị doanh nghiệp cần thẩm định giá. Số lượng doanh nghiệp so sánh càng nhiều thì độ tin cậy của các tỷ số thị trường bình quân càng cao.
Thẩm định viên xác định các tỷ số thị trường của doanh nghiệp so sánh, bao gồm:
. Khi thẩm định giá các công ty tài chính, ngân hàng, thẩm định viên có thể không cần xác định tỷ số thị trường
.
- Giá cổ phần của doanh nghiệp so sánh được lấy là mức giá đóng cửa trong ngày giao dịch gần nhất của các cổ phần này trên thị trường chứng khoán tại thời điểm thẩm định giá. Trong trường hợp cổ phần của doanh nghiệp so sánh chưa niêm yết trên sàn chứng khoán hoặc chưa đăng ký giao dịch trên UPCoM, giá cổ phần của doanh nghiệp so sánh là giá cổ phần của doanh nghiệp này được giao dịch thành công trên thị trường gần nhất với thời điểm thẩm định giá nhưng không quá 01 năm tính đến thời điểm thẩm định giá.
- Giá trị sổ sách của cổ phần trong chỉ số
cần lưu ý trừ phần giá trị sổ sách của tài sản cố định vô hình (không bao gồm quyền sử dụng đất, quyền khai thác tài sản trên đất) để hạn chế tác động của quy định về hạch toán kế toán đối với tài sản cố định vô hình có thể làm sai lệch kết quả thẩm định giá trong trường hợp các doanh nghiệp so sánh, doanh nghiệp cần thẩm định giá có tài sản cố định vô hình trong bảng cân đối kế toán. Trong trường hợp không trừ phần giá trị sổ sách của tài sản cố định vô hình phải nêu rõ lý do.
- Tham số giá trị thị trường của các doanh nghiệp so sánh (EV) trong tỷ số thị trường
được tính theo công thức sau:
|
Giá trị thị trường của doanh nghiệp |
= |
Vốn hóa thị trường của cổ phần thường |
+ |
Giá trị các khoản nợ |
+ |
Giá trị cổ phần ưu đãi (nếu có) |
+ |
Lợi ích của cổ đông không nắm quyền kiểm soát (nếu có) |
- |
Giá trị tiền và các khoản tương đương tiền |
+ Giá trị các khoản nợ, giá trị cổ phần ưu đãi, lợi ích của cổ đông không nắm quyền kiểm soát, giá trị tiền và các khoản tương đương tiền được xác định theo giá trị sổ sách kế toán.
+ Trường hợp doanh nghiệp có phát hành chứng khoán chuyển đổi, chứng khoán quyền chọn, thẩm định viên cân nhắc việc chuyển đổi các chứng khoán này sang cổ phần thường nếu phù hợp khi xác định vốn hóa thị trường của doanh nghiệp.
- EBITDA của doanh nghiệp so sánh không bao gồm các khoản thu nhập từ tiền và các khoản tương đương tiền.
3.7. Ước tính giá trị doanh nghiệp cần thẩm định giá
a) Xác định tỷ số thị trường bình quân cho từng tỷ số thị trường:
Tỷ số thị trường bình quân có thể được xác định bằng trung bình cộng tỷ số thị trường của các doanh nghiệp so sánh hoặc xác định bằng việc tính bình quân có trọng số tỷ số thị trường của các doanh nghiệp so sánh. Việc xác định trọng số tỷ số thị trường cho từng doanh nghiệp so sánh có thể dựa trên phân tích về đặc thù phát triển ngành, khả năng phát triển của từng doanh nghiệp.
- Xác định giá trị doanh nghiệp cần thẩm định giá theo tỷ số thị trường 
|
Giá trị thị trường doanh nghiệp cần thẩm định giá |
= |
EBITDA của doanh nghiệp cần thẩm định giá |
× |
|
+ |
Giá trị tiền và các khoản tương đương tiền |
- Xác định giá trị doanh nghiệp cần thẩm định giá theo tỷ số thị trường 
+ Xác định giá trị doanh nghiệp cần thẩm định giá theo tỷ số thị trường 
|
Giá trị thị trường vốn chủ sở hữu của doanh nghiệp cần thẩm định giá |
= |
Lợi nhuận sau thuế thu nhập doanh nghiệp 4 quý gần nhất của doanh nghiệp cần thẩm định giá |
× |
|
+ Xác định giá trị doanh nghiệp cần thẩm định giá theo tỷ số thị trường 
|
Giá trị thị trường vốn chủ sở hữu của doanh nghiệp cần thẩm định giá |
= |
Giá trị sổ sách của vốn chủ sở hữu của doanh nghiệp cần thẩm định giá gần nhất thời điểm thẩm định giá |
× |
|
+ Xác định giá trị doanh nghiệp cần thẩm định giá theo tỷ số thị trường 
|
Giá trị thị trường vốn chủ sở hữu của doanh nghiệp cần thẩm định giá |
= |
Doanh thu thuần 4 quý gần nhất của doanh nghiệp cần thẩm định thẩm định giá |
× |
|
|
Giá trị thị trường của doanh nghiệp |
= |
Giá trị thị trường vốn chủ sở hữu của doanh nghiệp |
+ |
Giá trị các khoản nợ |
c) Ước tính giá trị doanh nghiệp cần thẩm định giá theo phương pháp tỷ số bình quân:
Giá trị doanh nghiệp cần thẩm định giá theo phương pháp tỷ số bình quân có thể được xác định bằng trung bình cộng các kết quả giá trị doanh nghiệp cần thẩm định giá được xác định theo từng tỷ số thị trường bình quân hoặc xác định bằng việc tính bình quân có trọng số của các kết quả. Việc xác định trọng số cho từng kết quả giá trị có thể dựa trên đánh giá mức độ tương đồng giữa các doanh nghiệp so sánh đối với từng loại tỷ số thị trường được sử dụng để tính toán kết quả giá trị đó theo nguyên tắc: tỷ số thị trường nào có mức độ tương đồng càng cao giữa các doanh nghiệp so sánh thì kết quả giá trị sử dụng tỷ số thị trường đó có trọng số càng lớn.
4. Phương pháp giá giao dịch
4.1. Phương pháp giá giao dịch ước tính giá trị doanh nghiệp cần thẩm định giá thông qua giá giao dịch chuyển nhượng phần vốn góp hoặc chuyển nhượng cổ phần thành công trên thị trường của chính doanh nghiệp cần thẩm định giá.
4.2. Trường hợp áp dụng phương pháp giá giao dịch
Doanh nghiệp cần thẩm định giá có ít nhất 03 giao dịch chuyển nhượng phần vốn góp hoặc chuyển nhượng cổ phần thành công trên thị trường, đồng thời, thời điểm diễn ra giao dịch không quá 01 năm tính đến thời điểm thẩm định giá.
4.3. Nguyên tắc áp dụng
Thẩm định viên cần cân nhắc điều chỉnh giá các giao dịch thành công cho phù hợp với thời điểm thẩm định giá nếu cần thiết.
|
Giá trị thị trường của doanh nghiệp |
= |
Giá trị thị trường vốn chủ sở hữu của doanh nghiệp |
+ |
Giá trị các khoản nợ |
+ Giá trị thị trường vốn chủ sở hữu của doanh nghiệp cần thẩm định giá được tính theo giá bình quân theo khối lượng giao dịch của ít nhất 03 giao dịch thành công của việc chuyển nhượng phần vốn góp hoặc cổ phần gần nhất trước với thời điểm thẩm định giá. Riêng trường hợp doanh nghiệp cần thẩm định giá là doanh nghiệp đã niêm yết cổ phần trên sàn chứng khoán, đăng ký giao dịch trên UPCoM, giá cổ phần để tính giá thị trường vốn chủ sở hữu là giá đóng cửa bình quân theo khối lượng giao dịch 15 ngày giao dịch gần nhất trước thời điểm thẩm định giá. Trường hợp các giao dịch trước thời điểm thẩm định giá có dấu hiệu bất thường, thẩm định viên có thể xem xét cả các giao dịch 15 ngày giao dịch gần nhất sau thời điểm thẩm định giá.
+ Giá trị các khoản nợ của doanh nghiệp cần thẩm định giá được xác định theo giá thị trường nếu có chứng cứ thị trường, nếu không có thì xác định theo giá trị sổ sách kế toán
5. Phương pháp tài sản
5.1. Phương pháp tài sản là phương pháp ước tính giá trị của doanh nghiệp cần thẩm định giá thông qua tính tổng giá trị thị trường của các tài sản thuộc quyền sở hữu và sử dụng của doanh nghiệp cần thẩm định giá.
5.2. Nguyên tắc thực hiện:
- Tài sản được xem xét trong quá trình thẩm định giá là tất cả các tài sản của doanh nghiệp, bao gồm cả tài sản hoạt động và tài sản phi hoạt động.
- Khi thẩm định giá doanh nghiệp theo cơ sở giá trị thị trường thì giá trị các tài sản của doanh nghiệp là giá trị thị trường của tài sản đó tại thời điểm thẩm định giá. Tài sản trong sổ sách kế toán cần được thẩm định giá đúng với giá trị thị trường, một số trường hợp cá biệt được thực hiện theo hướng dẫn tại mục 5.4.
- Tài sản vô hình không thỏa mãn các điều kiện để được ghi nhận trên sổ sách kế toán (tên thương mại, nhãn hiệu, sáng chế, kiểu dáng công nghiệp…) và các tài sản không được ghi nhận trên sổ sách kế toán cần được áp dụng phương pháp thẩm định giá phù hợp để xác định.
- Đối với tài sản được hạch toán bằng ngoại tệ: Tỷ giá ngoại tệ được xác định theo tỷ giá mua ngoại tệ của ngân hàng thương mại nơi doanh nghiệp có giá trị giao dịch ngoại tệ lớn nhất tại thời điểm thẩm định giá. Trường hợp doanh nghiệp cần thẩm định giá không có giao dịch ngoại tệ tại thời điểm thẩm định giá thì xác định theo tỷ giá trung tâm do Ngân hàng nhà nước công bố áp dụng tại thời điểm thẩm định giá.
5.3. Các bước tiến hành
- Bước 1: Ước tính tổng giá trị các tài sản hữu hình và tài sản tài chính của doanh nghiệp cần thẩm định giá.
- Bước 2: Ước tính tổng giá trị các tài sản vô hình của doanh nghiệp cần thẩm định giá.
- Bước 3: Ước tính giá trị của doanh nghiệp cần thẩm định giá.
5.4. Ước tính tổng giá trị các tài sản hữu hình và tài sản tài chính của doanh nghiệp cần thẩm định giá
Tổng giá trị các tài sản hữu hình và tài sản tài chính của doanh nghiệp cần thẩm định giá được tính bằng tổng giá trị của các tài sản hữu hình và tài sản tài chính của doanh nghiệp cần thẩm định giá.
Việc ước tính giá thị trường các tài sản hữu hình và tài sản tài chính của doanh nghiệp được thực hiện theo các tiêu chuẩn thẩm định giá Việt Nam về cách tiếp cận từ thị trường, cách tiếp cận từ chi phí, cách tiếp cận từ thu nhập và tiêu chuẩn thẩm định giá bất động sản. Ngoài ra, thẩm định viên có thể thực hiện theo hướng dẫn như sau:
a) Xác định giá trị tài sản cố định hữu hình:
- Đối với tài sản cố định hữu hình là nhà cửa, vật kiến trúc, bất động sản đầu tư:
+ Đối với công trình xác định được quy mô công trình và đơn giá hoặc suất vốn đầu tư: xác định theo phương pháp chi phí tái tạo tại Tiêu chuẩn thẩm định giá Việt Nam về cách tiếp cận từ chi phí.
+ Đối với công trình mới hoàn thành đầu tư xây dựng trong 03 năm trước thời điểm thẩm định giá thì sử dụng giá trị quyết toán công trình đã được cơ quan có thẩm quyền phê duyệt. Trường hợp chưa có giá trị quyết toán thì sử dụng giá tạm tính trên sổ sách kế toán, đồng thời phải nêu rõ hạn chế này trong Chứng thư thẩm định giá và Báo cáo kết quả thẩm định giá.
+ Đối với các công trình đặc thù không xác định được quy mô công trình hoặc đơn giá xây dựng, suất vốn đầu tư: tính theo nguyên giá sổ sách kế toán có tính đến yếu tố trượt giá trừ đi giá trị hao mòn tại thời điểm thẩm định giá.
- Đối với tài sản cố định là máy móc, phương tiện vận tải, thiết bị truyền dẫn, thiết bị, dụng cụ quản lý:
+ Đối với tài sản đặc thù là tài sản không có tài sản tương đương giao dịch trên thị trường, không có đủ hồ sơ đầu tư, hồ sơ kỹ thuật và không còn được sản xuất: giá trị các tài sản này được xác định theo nguyên giá sổ sách kế toán trừ đi giá trị hao mòn tại thời điểm thẩm định giá.
b) Xác định giá trị công cụ, dụng cụ:
- Giá trị công cụ, dụng cụ có thể xác định theo giá trị tại sổ sách kế toán hoặc được xác định như sau:
Giá trị công cụ, dụng cụ được xác định theo giá giao dịch trên thị trường của tài sản so sánh; khi không thu thập được giá giao dịch trên thị trường của tài sản so sánh thì xác định theo giá giao dịch của công cụ dụng cụ mới cùng loại hoặc có tính năng tương đương hoặc theo giá mua ban đầu theo dõi trên sổ kế toán trừ đi giá trị hao mòn tại thời điểm thẩm định giá.
- Trường hợp giá trị công cụ, dụng cụ được xác định theo giá trị tại sổ sách kế toán, thẩm định viên phải nêu rõ hạn chế này trong phần hạn chế của Chứng thư thẩm định giá và Báo cáo kết quả thẩm định giá.
c) Xác định giá trị đối với chi phí sản xuất kinh doanh dở dang, nguyên vật liệu, hàng tồn kho:
- Chi phí sản xuất kinh doanh dở dang được xác định theo chi phí thực tế phát sinh đang hạch toán trên sổ kế toán. Trường hợp chi phí sản xuất kinh doanh dở dang trong xây dựng cơ bản gắn liền với việc tạo ra các bất động sản hình thành trong tương lai thì được xác định lại theo các tiêu chuẩn thẩm định giá Việt Nam về cách tiếp cận từ thị trường và/ hoặc cách tiếp cận từ chi phí và/hoặc cách tiếp cận từ thu nhập và/ hoặc theo tiêu chuẩn thẩm định giá bất động sản.
- Nguyên vật liệu, hàng tồn kho
+ Hàng hóa tồn kho, nguyên vật liệu, công cụ dụng cụ tồn kho phục vụ nhu cầu hoạt động, sản xuất bình thường, đang luân chuyển được xác định bằng chi phí thực tế phát sinh trên sổ kế toán.
+ Trường hợp hàng tồn kho là hàng hóa, thành phẩm bất động sản thì giá trị các bất động sản này có thể được xác định theo các tiêu chuẩn thẩm định giá Việt Nam về cách tiếp cận từ thị trường, cách tiếp cận từ chi phí, cách tiếp cận từ thu nhập, thẩm định giá bất động sản.
+ Trường hợp hàng tồn kho, nguyên vật liệu, công cụ dụng cụ tồn kho lâu ngày do lỗi sản xuất, sản phẩm dở dang không tiếp tục hoàn thiện do không tiêu thụ được, do thay đổi sản phẩm sản xuất … dẫn đến kém phẩm chất cần yêu cầu doanh nghiệp phân loại để thẩm định theo giá trị thu hồi theo nguyên tắc sử dụng tốt nhất hiệu quả nhất.
d) Xác định giá trị tài sản bằng tiền:
- Tiền mặt được xác định theo biên bản kiểm quỹ của doanh nghiệp cần thẩm định giá.
- Tiền gửi được xác định theo số dư đã đối chiếu xác nhận hoặc sổ phụ với ngân hàng nơi doanh nghiệp cần thẩm định giá mở tài khoản tại thời điểm xác định giá trị doanh nghiệp.
- Tiền mặt và tiền gửi là ngoại tệ được xác định theo nguyên tắc tại Mục 5.2 Tiêu chuẩn này.
đ) Xác định giá trị các khoản phải thu, phải trả:
- Giá trị các khoản phải thu được xác định theo số dư thực tế trên sổ kế toán. Đối với các khoản phải thu không có khả năng thu hồi được, thẩm định viên phải nêu rõ các khoản này kèm theo lý do có thể không thu hồi được trong phần hạn chế của Chứng thư thẩm định giá và Báo cáo kết quả thẩm định giá.
- Trường hợp không có đối chiếu công nợ, thẩm định viên cần nêu rõ trong phần hạn chế của Chứng thư thẩm định giá, Báo cáo kết quả thẩm định giá để đối tượng sử dụng kết quả thẩm định giá cân nhắc khi sử dụng kết quả thẩm định giá.
- Trường hợp doanh nghiệp (mà doanh nghiệp cần thẩm định giá đầu tư góp vốn, mua cổ phần) có các giao dịch chuyển nhượng vốn hoặc cổ phần thành công trên thị trường, giá trị các khoản đầu tư góp vốn, mua cổ phần được xác định theo giá trị thị trường vốn chủ sở hữu của doanh nghiệp mà doanh nghiệp cần thẩm định giá đã đầu tư trong đó giá trị thị trường vốn chủ sở hữu của doanh nghiệp mà doanh nghiệp cần thẩm định giá đã đầu tư được xác định theo các phương pháp nêu tại Mục 2 của Tiêu chuẩn này hoặc được xác định như sau:
+ Trường hợp cổ phần của các doanh nghiệp chưa niêm yết trên sàn chứng khoán hoặc chưa đăng ký giao dịch trên UPCoM, đồng thời các giao dịch chuyển nhượng vốn hoặc cổ phần thành công trên thị trường thỏa mãn cả 2 điều kiện: (i) trên 51% số vốn chủ sở hữu của doanh nghiệp được chuyển nhượng trong tổng các giao dịch; (ii) thời điểm các giao dịch không quá 01 năm tính đến thời điểm thẩm định giá; thì giá trị các khoản đầu tư của doanh nghiệp cần thẩm định giá có thể được xác định theo giá chuyển nhượng bình quân theo khối lượng của các giao dịch gần nhất trước thời điểm thẩm định giá.
+ Trường hợp khoản đầu tư là cổ phần của các doanh nghiệp đã niêm yết trên sàn chứng khoán hoặc đã đăng ký giao dịch trên UPCoM thì giá trị các khoản đầu tư được xác định theo giá cổ phần là giá đóng cửa bình quân theo khối lượng giao dịch 15 ngày giao dịch gần nhất trước với thời điểm thẩm định giá. Trường hợp các giao dịch trước thời điểm thẩm định giá có dấu hiệu bất thường, thẩm định viên có thể xem xét cả các giao dịch 15 ngày giao dịch gần nhất sau thời điểm thẩm định giá.
- Trường hợp doanh nghiệp (mà doanh nghiệp cần thẩm định giá đầu tư góp vốn, mua cổ phần) không có các giao dịch chuyển nhượng vốn hoặc cổ phần thành công trên thị trường, giá trị các khoản đầu tư góp vốn, mua cổ phần được xác định như sau:
+ Trường hợp doanh nghiệp cần thẩm định giá nắm giữ 100% phần vốn của các doanh nghiệp được đầu tư, góp vốn: giá trị khoản đầu tư được xác định theo giá trị của doanh nghiệp được đầu tư, góp vốn và được xác định theo các phương pháp nêu tại Mục 2 của Tiêu chuẩn này.
+ Trường hợp doanh nghiệp cần thẩm định giá nắm giữ từ 51 % đến dưới 100% phần vốn của các doanh nghiệp được đầu tư, góp vốn: Giá trị các khoản đầu tư được xác định theo giá trị thị trường vốn chủ sở hữu của các doanh nghiệp mà doanh nghiệp cần thẩm định giá đã đầu tư trong đó giá trị thị trường vốn chủ sở hữu của các doanh nghiệp mà doanh nghiệp cần thẩm định giá đã đầu tư được xác định theo các phương pháp nêu tại Mục 2 của Tiêu chuẩn này, ngoài ra có thể được xác định theo hướng sau:
(i) Đối với phương pháp chiết khấu dòng tiền thuần vốn chủ: chi phí sử dụng vốn chủ sở hữu có thể được ước tính trên cơ sở tỷ suất lợi nhuận trên vốn chủ sở hữu bình quân 5 năm gần nhất, dòng tiền thuần vốn chủ có thể được dự báo trên cơ sở số liệu lợi nhuận dành cho chủ sở hữu, tốc độ tăng tỷ suất lợi nhuận trên vốn chủ sở hữu 5 năm gần nhất.
(ii) Đối với phương pháp tỷ số
bình quân: các tỷ số
bình quân có thể được ước tính trên cơ sở tỷ số
của ít nhất 03 doanh nghiệp có cùng ngành sản xuất, kinh doanh.(iii) Trường hợp không xác định được theo 2 phương pháp trên, giá trị khoản đầu tư có thể được xác định trên cơ sở: tỷ lệ vốn đầu tư của doanh nghiệp cần thẩm định giá trên vốn điều lệ hoặc tổng số vốn thực góp tại các doanh nghiệp khác và giá trị vốn chủ sở hữu tại các doanh nghiệp khác theo báo cáo tài chính đã được kiểm toán. Trường hợp chưa kiểm toán thì căn cứ vào giá trị vốn chủ sở hữu theo báo cáo tài chính tại thời điểm gần nhất của doanh nghiệp đó để xác định.
+ Trường hợp doanh nghiệp cần thẩm định giá nắm giữ dưới 51 % phần vốn của các doanh nghiệp được đầu tư, góp vốn: giá trị các khoản đầu tư có thể được xác định theo hướng dẫn tại điểm (iii), đồng thời phải nêu rõ trong phần hạn chế của Chứng thư và Báo cáo kết quả thẩm định giá. Tuy nhiên, khuyến khích các thẩm định viên xác định theo các phương pháp nêu tại Mục 2 của Tiêu chuẩn này hoặc theo hướng dẫn tại điểm (i) và (ii).
g) Xác định chi phí xây dựng cơ bản dở dang, các khoản ký quỹ, ký cược ngắn hạn và dài hạn theo sổ sách kế toán.
h) Giá trị tài sản tài chính dưới dạng hợp đồng được ưu tiên áp dụng phương pháp chiết khấu dòng thu nhập trong tương lai.
5.5. Ước tính tổng giá trị các tài sản vô hình của doanh nghiệp cần thẩm định giá
Tài sản vô hình của doanh nghiệp cần thẩm định giá bao gồm những tài sản cố định vô hình đã được ghi nhận trong sổ sách kế toán và các tài sản vô hình khác được xác định thỏa mãn điều kiện quy định tại điểm 3.1 mục 3 của Tiêu chuẩn Thẩm định giá tài sản vô hình.
Tổng giá trị các tài sản vô hình của doanh nghiệp cần thẩm định giá được xác định thông qua một trong các phương pháp sau:
a) Phương pháp 1: Ước tính tổng giá trị các tài sản vô hình của doanh nghiệp cần thẩm định giá thông qua việc ước tính giá trị của từng tài sản vô hình có thể xác định và giá trị của tài sản vô hình không xác định được (các tài sản vô hình còn lại).
Giá trị tài sản vô hình của doanh nghiệp cần thẩm định giá được tính bằng tổng giá trị của các tài sản vô hình có thể xác định được và giá trị tài sản vô hình không xác định được.
Thẩm định viên thực hiện xác định giá trị của từng tài sản vô hình có thể xác định được theo quy định tại Tiêu chuẩn thẩm định giá Việt Nam số 13. Riêng giá trị quyền sử dụng đất, quyền thuê đất được xác định theo quy định tại Tiêu chuẩn thẩm định giá Việt Nam về cách tiếp cận từ thị trường, cách tiếp cận từ thu nhập và thẩm định giá bất động sản.
Thẩm định viên xác định giá trị của các tài sản vô hình không xác định được (các tài sản vô hình còn lại) thông qua các bước sau:
Bước 1: Ước tính tổng giá trị thị trường của các tài sản hữu hình và tài sản vô hình xác định được tham gia vào quá trình tạo ra thu nhập cho doanh nghiệp cần thẩm định giá. Giá trị thị trường của các tài sản này được xác định theo quy định tại Mục 5.4 Tiêu chuẩn này và các hướng dẫn tại Hệ thống Tiêu chuẩn thẩm định giá Việt Nam.
Bước 2: Ước tính mức thu nhập mà doanh nghiệp cần thẩm định giá có thể đạt được hàng năm. Mức thu nhập này là mức thu nhập trong điều kiện hoạt động bình thường của doanh nghiệp cần thẩm định giá, được ước tính trên cơ sở kết quả đạt được của doanh nghiệp cần thẩm định giá trong 03 năm gần nhất, có tính đến triển vọng phát triển của doanh nghiệp sau khi đã loại trừ các yếu tố bất thường ảnh hưởng đến thu nhập như: các khoản thu nhập tăng giảm từ thanh lý tài sản cố định, đánh giá lại tài sản tài chính, rủi ro tỉ giá…
Bước 3: Ước tính tỷ suất lợi nhuận phù hợp cho các tài sản hữu hình và các tài sản vô hình xác định được của doanh nghiệp cần thẩm định giá. Tỷ suất lợi nhuận của tài sản hữu hình này phải không quá chi phí sử dụng vốn bình quân gia quyền của doanh nghiệp cần thẩm định giá. Tỷ suất lợi nhuận của các tài sản vô hình này phải không thấp hơn chi phí sử dụng vốn bình quân gia quyền của doanh nghiệp cần thẩm định giá. Việc xác định chi phí sử dụng vốn bình quân gia quyền của doanh nghiệp cần thẩm định theo công thức quy định tại Mục 6.4 Tiêu chuẩn này; trong đó: tỷ trọng nợ dài hạn trên tổng nguồn vốn dài hạn của doanh nghiệp cần thẩm định giá được xác định theo cơ cấu vốn của doanh nghiệp cần thẩm định giá, chi phí nợ dài hạn được xác định trên cơ sở bình quân gia quyền lãi suất các khoản nợ dài hạn của doanh nghiệp cần thẩm định giá.
Bước 4: Ước tính thu nhập do tài sản hữu hình, tài sản vô hình xác định được đem lại cho doanh nghiệp cần thẩm định giá hàng năm thông qua giá trị các tài sản hữu hình và tài sản vô hình đã xác định được giá trị của doanh nghiệp cần thẩm định giá được tính tại bước 1 nhân với (×) các mức tỷ suất lợi nhuận tương ứng xác định tại bước 3.
Bước 5: Ước tính thu nhập do các tài sản vô hình không xác định được đem lại cho doanh nghiệp cần thẩm định giá được tính bằng thu nhập mà doanh nghiệp cần thẩm định giá có thể đạt được tính tại bước 2 trừ đi (-) thu nhập do các tài sản hữu hình và tài sản vô hình xác định được đem lại cho doanh nghiệp cần thẩm định giá tính tại bước 4.
Bước 6: Ước tính tỷ suất vốn hóa phù hợp cho thu nhập do các tài sản vô hình không xác định được đem lại cho doanh nghiệp cần thẩm định giá. Tỷ suất vốn hóa này ít nhất phải bằng chi phí sử dụng vốn chủ sở hữu của doanh nghiệp cần thẩm định giá. Việc xác định chi phí sử dụng vốn chủ sở hữu của doanh nghiệp cần thẩm định giá theo quy định tại điểm d Mục 6.4 Tiêu chuẩn này.
Bước 7: Ước tính tổng giá trị các tài sản vô hình không xác định được của doanh nghiệp cần thẩm định giá bằng cách vốn hóa phần thu nhập do các tài sản vô hình này đem lại cho doanh nghiệp cần thẩm định giá.
b) Phương pháp 2: Ước tính tổng giá trị các tài sản vô hình của doanh nghiệp cần thẩm định giá thông qua vốn hóa dòng thu nhập do tất cả các tài sản vô hình đem lại cho doanh nghiệp cần thẩm định giá.
Bước 1: Ước tính tổng giá trị thị trường của các tài sản hữu hình tham gia vào quá trình tạo ra thu nhập cho doanh nghiệp cần thẩm định giá. Giá trị thị trường của các tài sản này được xác định theo quy định tại Mục 5.4 Tiêu chuẩn này.
Bước 2: Ước tính mức thu nhập mà doanh nghiệp cần thẩm định giá có thể đạt được hàng năm. Mức thu nhập này là mức thu nhập trong điều kiện hoạt động bình thường của doanh nghiệp cần thẩm định giá, được ước tính trên cơ sở kết quả đạt được của doanh nghiệp cần thẩm định giá trong các năm gần nhất, có tính đến triển vọng phát triển của doanh nghiệp sau khi đã loại trừ các yếu tố bất thường ảnh hưởng đến thu nhập như: các khoản thu nhập tăng giảm từ thanh lý tài sản cố định, đánh giá lại tài sản tài chính, rủi ro tỉ giá…
Bước 3: Ước tính tỷ suất lợi nhuận phù hợp cho tài sản hữu hình của doanh nghiệp cần thẩm định giá. Tỷ suất lợi nhuận này phải không quá chi phí sử dụng vốn bình quân gia quyền của doanh nghiệp cần thẩm định giá. Việc xác định chi phí sử dụng vốn bình quân gia quyền của doanh nghiệp cần thẩm định giá theo công thức quy định tại Mục 6.4 Tiêu chuẩn này; trong đó: tỷ trọng nợ dài hạn trên tổng nguồn vốn dài hạn của doanh nghiệp cần thẩm định giá được xác định theo cơ cấu vốn của doanh nghiệp cần thẩm định giá, chi phí nợ dài hạn được xác định trên cơ sở bình quân gia quyền lãi suất các khoản nợ dài hạn của doanh nghiệp cần thẩm định giá.
Bước 4: Ước tính thu nhập do tài sản hữu hình đem lại cho doanh nghiệp cần thẩm định giá hàng năm được tính bằng tổng giá trị các tài sản hữu hình của doanh nghiệp cần thẩm định giá được tính tại bước 1 nhân với (×) tỷ suất lợi nhuận được tính tại bước 3.
Bước 5: Ước tính thu nhập do tất cả các tài sản vô hình đem lại cho doanh nghiệp cần thẩm định giá được tính bằng thu nhập mà doanh nghiệp cần thẩm định giá có thể đạt được tính tại bước 2 trừ đi (-) thu nhập do các tài sản hữu hình đem lại cho doanh nghiệp cần thẩm định giá tính tại bước 4.
Bước 6: Ước tính tỷ suất vốn hóa phù hợp cho thu nhập do tất cả các tài sản vô hình đem lại cho doanh nghiệp cần thẩm định giá. Tỷ suất vốn hóa này ít nhất phải bằng chi phí sử dụng vốn chủ sở hữu của doanh nghiệp cần thẩm định giá. Việc xác định chi phí sử dụng vốn chủ sở hữu của doanh nghiệp cần thẩm định giá quy định tại điểm d Mục 6.4 Tiêu chuẩn này.
Bước 7: Ước tính tổng giá trị các tài sản vô hình của doanh nghiệp cần thẩm định giá bằng cách vốn hóa phần thu nhập do các tài sản vô hình đem lại cho doanh nghiệp cần thẩm định giá.
| Giá trị thị trường của doanh nghiệp cần thẩm định giá | = | Tổng giá trị các tài sản hữu hình và tài sản tài chính của doanh nghiệp cần thẩm định giá | + | Tổng giá trị các tài sản vô hình của doanh nghiệp cần thẩm định giá |
| Giá trị vốn chủ sở hữu của doanh nghiệp cần thẩm định giá | = | Giá trị thị trường của doanh nghiệp cần thẩm định giá | - | Giá trị các khoản nợ |
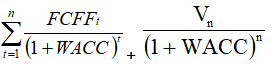
6. Phương pháp chiết khấu dòng tiền tự do của doanh nghiệp
6.1. Phương pháp chiết khấu dòng tiền tự do của doanh nghiệp xác định giá trị doanh nghiệp cần thẩm định giá thông qua ước tính tổng của giá trị chiết khấu dòng tiền tự do của doanh nghiệp cần thẩm định giá với giá trị hiện tại của các tài sản phi hoạt động của doanh nghiệp tại thời điểm thẩm định giá. Trường hợp doanh nghiệp cần thẩm định giá là công ty cổ phần, phương pháp chiết khấu dòng tiền tự do của doanh nghiệp được sử dụng với giả định coi các cổ phần ưu đãi của doanh nghiệp cần thẩm định giá như cổ phần thường. Giả định này cần được nêu rõ trong phần hạn chế của Chứng thư thẩm định giá và Báo cáo kết quả thẩm định giá.
6.2. Các bước xác định giá trị doanh nghiệp:
- Bước 1: Dự báo dòng tiền tự do của doanh nghiệp cần thẩm định giá.
- Bước 2: Ước tính chi phí sử dụng vốn bình quân gia quyền của doanh nghiệp cần thẩm định giá.
- Bước 3: Ước tính giá trị cuối kỳ dự báo.
- Bước 4: Ước tính giá trị doanh nghiệp cần thẩm định giá.
6.3. Dự báo dòng tiền tự do của doanh nghiệp cần thẩm định giá:
Thẩm định viên cần ước tính giai đoạn dự báo dòng tiền. Đối với các doanh nghiệp đã tăng trưởng bền vững thì giai đoạn dự báo dòng tiền thông thường là 05 năm. Đối với các doanh nghiệp mới thành lập hoặc đang tăng trưởng nhanh thì giai đoạn dự báo dòng tiền có thể kéo dài hơn 5 năm cho đến khi doanh nghiệp bước vào giai đoạn tăng trưởng đều. Đối với doanh nghiệp hoạt động có thời hạn thì giai đoạn dự báo dòng tiền được xác định theo tuổi đời của doanh nghiệp.
Công thức tính dòng tiền tự do hàng năm của doanh nghiệp:
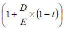
FCFF = Lợi nhuận trước lãi vay sau thuế (EBIAT) + Khấu hao - Chi đầu tư vốn - Thay đổi vốn lưu động thuần ngoài tiền mặt và tài sản phi hoạt động ngắn hạn (chênh lệch vốn hoạt động thuần)
Lợi nhuận trước lãi vay sau thuế (EBIAT) là lợi nhuận trước lãi vay sau thuế đã loại trừ các khoản doanh thu và chi phí từ tài sản phi hoạt động.
Công thức tính lợi nhuận trước lãi vay sau thuế (EBIAT) từ lợi nhuận trước lãi vay và thuế (EBIT) như sau:
EBIAT = EBIT × (1 ̶ t)
Trong đó:
t: mức thuế suất thuế thu nhập doanh nghiệp
Chi đầu tư vốn bao gồm: chi đầu tư tài sản cố định và tài sản dài hạn khác; chi đầu tư tài sản hoạt động nằm trong nhóm chi mua công cụ nợ của đơn vị khác và chi đầu tư góp vốn vào đơn vị khác (nếu có).
- Công thức tính vốn lưu động ngoài tiền mặt và tài sản phi hoạt động ngắn hạn:
Vốn lưu động ngoài tiền mặt và tài sản phi hoạt động ngắn hạn = (Các khoản phải thu ngắn hạn + Hàng tồn kho + Tài sản ngắn hạn khác) - Nợ ngắn hạn không bao gồm vay ngắn hạn
Thẩm định viên ước tính chi phí sử dụng vốn bình quân gia quyền của doanh nghiệp cần thẩm định giá theo công thức:
WACC = Rd × Fd × (1 - t) + Re × Fe
Trong đó:
WACC: Chi phí sử dụng vốn bình quân gia quyền
Rd: Chi phí sử dụng nợ của doanh nghiệp
Fd: Tỷ trọng nợ dài hạn trên tổng nguồn vốn dài hạn tài trợ cho hoạt động của doanh nghiệp
t: Thuế suất thuế thu nhập doanh nghiệp
Re: Chi phí sử dụng vốn chủ sở hữu
Fe: Tỷ trọng vốn chủ sở hữu trên tổng nguồn vốn dài hạn tài trợ cho hoạt động của doanh nghiệp
a) Ước tính tỷ trọng nợ dài hạn trên tổng nguồn vốn của doanh nghiệp cần thẩm định giá:
Tỷ trọng nợ dài hạn trên tổng nguồn vốn của doanh nghiệp cần thẩm định giá được xác định theo tỷ trọng vốn vay của các doanh nghiệp có cùng ngành sản xuất, kinh doanh với doanh nghiệp cần thẩm định giá. Trường hợp không xác định được theo hướng dẫn trên thì có thể xác định theo tỷ trọng nợ dài hạn trên tổng nguồn vốn trong các năm gần nhất của doanh nghiệp cần thẩm định giá có xem xét đến cơ cấu vốn dài hạn trong tương lai.
b) Ước tính chi phí sử dụng nợ dài hạn của doanh nghiệp cần thẩm định giá
Chi phí sử dụng nợ dài hạn của doanh nghiệp cần thẩm định giá được xác định theo lãi suất của các khoản vay dài hạn của doanh nghiệp cần thẩm định giá. Trường hợp trong cơ cấu vốn của doanh nghiệp cần thẩm định giá hiện không có các khoản vay dài hạn, lãi suất của các khoản vay dài hạn là mức lãi suất dự kiến trên cơ sở đánh giá khả năng thương thảo của doanh nghiệp cần thẩm định giá với các nhà cung cấp tín dụng, lãi vay dài hạn của các doanh nghiệp cùng ngành nghề sản xuất kinh doanh với doanh nghiệp cần thẩm định giá. Trường hợp doanh nghiệp vay từ nhiều nguồn với các mức lãi suất khác nhau, chi phí sử dụng nợ dài hạn được xác định theo lãi suất bình quân gia quyền của các khoản nợ dài hạn.
Tỷ trọng vốn chủ sở hữu của doanh nghiệp cần thẩm định giá được xác định theo công thức: Fe = (1 − Fd)
d) Uớc tính chi phí sử dụng vốn chủ sở hữu của doanh nghiệp cần thẩm định giá (Re)
Chi phí sử dụng vốn chủ sở hữu của doanh nghiệp cần thẩm định giá được tính theo các phương pháp sau:
d1) Phương pháp 1: có ít nhất 03 doanh nghiệp cùng ngành nghề kinh doanh với doanh nghiệp cần thẩm định giá đã có cổ phiếu niêm yết hoặc đăng ký giao dịch trên thị trường chứng khoán Việt Nam.
Chi phí sử dụng vốn chủ sở hữu của doanh nghiệp cần thẩm định giá được tính theo công thức sau:
Re = Rf + bL × (Rm – Rf)
- Tỷ suất lợi nhuận phi rủi ro (Rf) được ước tính trên cơ sở lãi suất trái phiếu Chính phủ kỳ hạn 10 năm hoặc kỳ hạn dài nhất gần thời điểm thẩm định giá.
- Phần bù rủi ro thị trường (Rm – Rf) được ước tính bằng tỷ suất lợi nhuận dự kiến khi đầu tư trên thị trường chứng khoán (Rm) trừ đi (−) tỷ suất lợi nhuận phi rủi ro (Rf). Tỷ suất lợi nhuận dự kiến khi đầu tư trên thị trường chứng khoán Việt Nam được thẩm định viên ước tính theo phương pháp thống kê theo chỉ số VN-INDEX trong giai đoạn 05 năm gần nhất thời điểm thẩm định giá. Chỉ số VN-INDEX được thống kê theo tháng, cụ thể là chỉ số đóng cửa của phiên giao dịch cuối cùng của tháng.
- Hệ số rủi ro có tính đến ảnh hưởng của cơ cấu vốn (bL) của doanh nghiệp cần thẩm định giá được ước tính thông qua hệ số rủi ro của các cổ phần của các doanh nghiệp có cùng ngành nghề kinh doanh với doanh nghiệp cần thẩm định giá trên thị trường chứng khoán.
Thẩm định viên cần lựa chọn ít nhất 03 doanh nghiệp có cùng ngành nghề kinh doanh với doanh nghiệp cần thẩm định giá và xác định hệ số bL của các doanh nghiệp này.
Việc xác định hệ số bL được thực hiện theo phương pháp hồi quy biến động giá của cổ phiếu với biến động giá của thị trường theo công thức:
|
bL = |
Hiệp phương sai (cổ phiếu, thị trường) |
|
Phương sai của thị trường |
Trong đó biến động giá được xác định theo tháng và tối thiểu là 5 năm (đối với doanh nghiệp không có số liệu đủ 5 năm thì tính kể từ ngày doanh nghiệp niêm yết hoặc đăng ký giao dịch), thu nhập thị trường được tính toán dựa trên chỉ số VN-INDEX. Thẩm định viên có thể lấy hệ số bL đã được công bố trong điều kiện cách tính được thực hiện tương tự như trên.
Do có thể có sự khác nhau về cơ cấu vốn giữa doanh nghiệp cần thẩm định giá và các doanh nghiệp cùng ngành nghề, thẩm định viên cần điều chỉnh hệ số rủi ro của các doanh nghiệp cùng ngành nghề theo cơ cấu vốn của doanh nghiệp cần thẩm định giá theo các bước sau:
+ Bước 1: Loại bỏ sự ảnh hưởng của cơ cấu vốn trong hệ số rủi ro theo công thức:
bU = 
Trong đó:
bU : Hệ số rủi ro phi đòn bẩy
: Tỷ trọng nợ trên vốn chủ sở hữu của doanh nghiệp cùng ngành nghề với doanh nghiệp cần thẩm định giá
t: Thuế suất thuế thu nhập doanh nghiệp
+ Bước 2: Tính toán hệ số rủi ro phi đòn bẩy bình quân của các doanh nghiệp có cùng ngành nghề kinh doanh với doanh nghiệp cần thẩm định giá.
+ Bước 3: Ước tính hệ số rủi ro có tính đến ảnh hưởng của cơ cấu vốn (bL) của doanh nghiệp cần thẩm định giá theo công thức
bL thẩm định = bU bình quân × 
Trong đó:
bL thẩm định: Hệ số rủi ro có tính đến ảnh hưởng của cơ cấu vốn của doanh nghiệp cần thẩm định giá
bU bình quân: Hệ số rủi ro phi đòn bẩy bình quân
: Tỷ trọng nợ trên vốn chủ sở hữu của doanh nghiệp cần thẩm định giá
t: Thuế suất thuế thu nhập doanh nghiệp
d2) Phương pháp 2: chưa đủ 03 doanh nghiệp cùng ngành nghề kinh doanh với doanh nghiệp cần thẩm định giá đã có cổ phiếu niêm yết và giao dịch trên thị trường chứng khoán Việt Nam nhưng thu thập được thông tin về tỷ lệ phụ phí rủi ro theo chỉ số phụ phí rủi ro chứng khoán quốc tế.
Chi phí sử dụng vốn chủ sở hữu của doanh nghiệp cần thẩm định giá được tính theo công thức sau:
Re = Rf + Rp
- Tỷ suất lợi nhuận phi rủi ro (Rf) được ước tính trên cơ sở lãi suất trái phiếu Chính phủ kỳ hạn 10 năm hoặc kỳ hạn dài nhất tại thời điểm thẩm định giá.
- Tỷ lệ phụ phí rủi ro (Rp) được xác định theo chỉ số phụ phí rủi ro chứng khoán quốc tế do các tổ chức tư vấn tài chính quốc tế công bố. Thẩm định viên cần cân nhắc lập luận, điều chỉnh để áp dụng phù hợp với thực tế của doanh nghiệp cần thẩm định giá.
d3) Phương pháp 3: chưa đủ 03 doanh nghiệp cùng ngành nghề kinh doanh với doanh nghiệp cần thẩm định giá đã có cổ phiếu niêm yết và giao dịch trên thị trường chứng khoán Việt Nam nhưng thu thập được thông tin về hệ số rủi ro của các doanh nghiệp cùng ngành nghề kinh doanh với doanh nghiệp cần thẩm định giá tại thị trường Mỹ.
Chi phí sử dụng vốn chủ sở hữu của doanh nghiệp cần thẩm định giá được tính theo công thức sau:
Re = Rf + b × (Rm – Rf) + rủi ro quốc gia + rủi ro tỷ giá (nếu có)
- Tỷ suất lợi nhuận phi rủi ro (Rf) được ước tính trên cơ sở lãi suất trái phiếu Chính phủ Mỹ kỳ hạn 10 năm.
- Phần bù rủi ro thị trường (Rm – Rf) được ước tính bằng tỷ suất lợi nhuận dự kiến khi đầu tư trên thị trường chứng khoán Mỹ (Rm) trừ đi (-) tỷ suất lợi nhuận phi rủi ro (Rf).
- b: Hệ số rủi ro của các doanh nghiệp cùng ngành nghề kinh doanh với doanh nghiệp cần thẩm định giá tại thị trường Mỹ. Trường hợp hệ số rủi ro có ảnh hưởng bởi cơ cấu vốn thì cần điều chỉnh theo các bước tại trường hợp 1 điểm này.
- Trường hợp 1: dòng tiền sau giai đoạn dự báo là dòng tiền không tăng trưởng và kéo dài vô tận. Công thức tính giá trị cuối kỳ dự báo là:
Vn = 
- Trường hợp 2: dòng tiền sau giai đoạn dự báo là dòng tiền tăng trưởng đều đặn mỗi năm và kéo dài vô tận. Công thức tính giá trị cuối kỳ dự báo là:
Vn = 
g: tốc độ tăng trưởng của dòng tiền Tốc độ tăng trưởng của dòng tiền được xác định theo tốc độ tăng trưởng của lợi nhuận. Tốc độ tăng trưởng của lợi nhuận được dự báo trên cơ sở triển vọng phát triển của doanh nghiệp, tốc độ tăng trưởng lợi nhuận trong quá khứ của doanh nghiệp, kế hoạch sản xuất kinh doanh, tỷ lệ lợi nhuận sau thuế để lại để bổ sung vốn, tỷ suất lợi nhuận trên tổng nguồn vốn.
- Trường hợp 3: doanh nghiệp chấm dứt hoạt động vào cuối kỳ dự báo. Giá trị cuối kỳ dự báo được xác định theo giá trị thanh lý của doanh nghiệp cần thẩm định giá.
- Tính tổng giá trị hiện tại thuần của dòng tiền tự do và giá trị cuối kỳ dự báo sau khi chiết khấu các dòng tiền tự do của doanh nghiệp và giá trị cuối kỳ dự báo của doanh nghiệp theo tỷ suất chiết khấu là chi phí sử dụng vốn bình quân gia quyền của doanh nghiệp.
V0 = 
- Ước tính giá trị doanh nghiệp cần thẩm định giá bằng cách cộng giá trị hiện tại thuần của các dòng tiền tự do của doanh nghiệp và giá trị cuối kỳ dự báo với giá trị các tài sản phi hoạt động của doanh nghiệp cần thẩm định giá.
7. Phương pháp chiết khấu dòng cổ tức
| Giá trị thị trường của doanh nghiệp | = | Giá trị vốn chủ sở hữu của doanh nghiệp | + | Giá trị các khoản nợ |
7.2 Các bước xác định giá trị vốn chủ sở hữu
a) Bước 1: dự báo dòng cổ tức của doanh nghiệp cần thẩm định giá. Thẩm định viên cần dự báo tỉ lệ chia cổ tức và tỷ lệ tăng trưởng cổ tức của doanh nghiệp cần thẩm định giá. Đối với các doanh nghiệp đã tăng trưởng bền vững thì giai đoạn dự báo tỷ lệ chia cổ tức, tỷ lệ tăng trưởng cổ tức thông thường là 05 năm. Đối với các doanh nghiệp mới thành lập hoặc đang tăng trưởng nhanh thì giai đoạn dự báo tỷ lệ chia cổ tức, tỷ lệ tăng trưởng cổ tức có thể kéo dài hơn 05 năm hoặc lâu hơn nữa cho đến khi doanh nghiệp bước vào giai đoạn tăng trưởng đều, có tỉ lệ cổ tức không đổi hoặc tăng trưởng cổ tức đều. Đối với doanh nghiệp hoạt động có thời hạn thì giai đoạn dự báo dòng cổ tức được xác định theo tuổi đời của doanh nghiệp.
b) Bước 2: ước tính chi phí sử dụng vốn chủ sở hữu theo hướng dẫn tại điểm d Mục 6.4 Tiêu chuẩn này.
- Trường hợp 1: dòng cổ tức sau giai đoạn dự báo (Dn) là dòng tiền không tăng trưởng và kéo dài vô tận. Công thức tính giá trị cuối kỳ dự báo là:
Vn = 
Vn = 
Dn+1: Dòng cổ tức của doanh nghiệp năm n + 1
g: tốc độ tăng trưởng của dòng cổ tức Tốc độ tăng trưởng của dòng cổ tức được dự báo trên cơ sở tỷ lệ lợi nhuận sau thuế để lại để bổ sung vốn, tỷ suất lợi nhuận trên vốn chủ sở hữu.
- Trường hợp 3: doanh nghiệp chấm dứt hoạt động vào cuối kỳ dự báo, giá trị cuối kỳ dự báo được xác định theo giá trị thanh lý của doanh nghiệp cần thẩm định giá.
- Tính tổng giá trị hiện tại thuần của các dòng cổ tức của doanh nghiệp và giá trị vốn chủ sở hữu cuối kỳ dự báo sau khi chiết khấu các dòng cổ tức của doanh nghiệp và giá trị vốn chủ sở hữu cuối kỳ dự báo của doanh nghiệp theo tỷ suất chiết khấu là chi phí sử dụng vốn chủ sở hữu.
V0 =
- Ước tính giá trị vốn chủ sở hữu của doanh nghiệp cần thẩm định giá bằng cách cộng giá trị hiện tại thuần của các dòng cổ tức của doanh nghiệp và giá trị vốn chủ sở hữu cuối kỳ dự báo với giá trị các tài sản phi hoạt động (không bao gồm tiền mặt và tương đương tiền) của doanh nghiệp cần thẩm định giá.
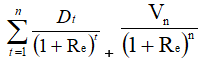
8. Phương pháp chiết khấu dòng tiền thuần vốn chủ sở hữu
| Giá trị thị trường của doanh nghiệp | = | Giá trị vốn chủ sở hữu của doanh nghiệp | + | Giá trị các khoản nợ |
8.2. Các bước xác định giá trị vốn chủ sở hữu
a) Bước 1: dự báo dòng tiền thuần vốn chủ sở hữu của doanh nghiệp cần thẩm định giá. Thẩm định viên cần ước tính giai đoạn dự báo dòng tiền. Đối với các doanh nghiệp đã tăng trưởng bền vững thì giai đoạn dự báo dòng tiền thông thường là 05 năm. Đối với các doanh nghiệp mới thành lập hoặc đang tăng trưởng nhanh thì giai đoạn dự báo dòng tiền có thể kéo dài hơn 05 năm cho đến khi doanh nghiệp bước vào giai đoạn tăng trưởng đều. Đối với doanh nghiệp hoạt động có thời hạn thì giai đoạn dự báo dòng tiền được xác định theo tuổi đời của doanh nghiệp.
Công thức tính dòng tiền thuần vốn chủ sở hữu của doanh nghiệp:
FCFE = Lợi nhuận sau thuế + Khấu hao - Chi đầu tư vốn - Thay đổi vốn lưu động thuần ngoài tiền mặt và tài sản phi hoạt động ngắn hạn (chênh lệch vốn hoạt động thuần) - Các khoản trả nợ gốc + Các khoản nợ mới phát hành
Lợi nhuận sau thuế là lợi nhuận sau thuế đã loại trừ các khoản doanh thu và chi phí từ tài sản phi hoạt động.
Chi đầu tư vốn bao gồm: chi đầu tư tài sản cố định và tài sản dài hạn khác; chi đầu tư tài sản hoạt động nằm trong nhóm chi mua công cụ nợ của đơn vị khác và chi đầu tư góp vốn vào đơn vị khác (nếu có).
Công thức tính vốn lưu động ngoài tiền mặt và tài sản phi hoạt động ngắn hạn:
Vốn lưu động ngoài tiền mặt và tài sản phi hoạt động ngắn hạn = (Các khoản phải thu ngắn hạn + Hàng tồn kho + Tài sản ngắn hạn khác) - Nợ ngắn hạn không bao gồm vay ngắn hạn
b) Bước 2: ước tính chi phí sử dụng vốn chủ sở hữu của doanh nghiệp cần thẩm định giá theo hướng dẫn tại điểm d Mục 6.4 Tiêu chuẩn này.
Vn = 
FCFEn+1: Dòng tiền vốn chủ sở hữu năm n + 1
- Trường hợp 2: dòng tiền sau giai đoạn dự báo là dòng tiền tăng trưởng đều đặn mỗi năm và kéo dài vô tận. Công thức tính giá trị cuối kỳ dự báo là:
Vn = 
g: tốc độ tăng trưởng của dòng tiền vốn chủ sở hữu.
Tốc độ tăng trưởng của dòng tiền được dự báo trên cơ sở triển vọng phát triển của doanh nghiệp, tốc độ tăng trưởng dòng tiền trong quá khứ của doanh nghiệp, kế hoạch sản xuất kinh doanh, tỷ lệ lợi nhuận sau thuế để lại để bổ sung vốn, tỷ suất lợi nhuận trên vốn chủ sở hữu.
- Trường hợp 3: doanh nghiệp chấm dứt hoạt động tại cuối kỳ dự báo. giá trị cuối kỳ dự báo được xác định theo giá trị thanh lý của doanh nghiệp cần thẩm định giá.
- Tính tổng giá trị hiện tại thuần của các dòng tiền thuần vốn chủ sở hữu và giá trị vốn chủ sở hữu cuối kỳ dự báo của doanh nghiệp sau khi chiết khấu các dòng tiền thuần vốn chủ sở hữu và giá trị vốn chủ sở hữu cuối kỳ dự báo của doanh nghiệp theo tỷ suất chiết khấu là chi phí sử dụng sử dụng vốn chủ sở hữu.
V0 = 
- Ước tính giá trị vốn chủ sở hữu của doanh nghiệp cần thẩm định giá bằng cách cộng giá trị hiện tại thuần của các dòng tiền thuần vốn chủ sở hữu và giá trị vốn chủ sở hữu cuối kỳ dự báo với giá trị các tài sản phi hoạt động của doanh nghiệp cần thẩm định giá.
8.3. Đối với nội dung chưa có quy định cụ thể tại Tiêu chuẩn thẩm định giá này thẩm định viên cần căn cứ thêm các hướng dẫn về áp dụng phương pháp dòng tiền chiết khấu quy định tại Tiêu chuẩn thẩm định giá Việt Nam về cách tiếp cận từ thu nhập.
9. Kết luận về giá trị doanh nghiệp
Giá trị doanh nghiệp cuối cùng có thể được xác định thông qua việc tính bình quân có trọng số kết quả của các phương pháp thẩm định giá được áp dụng. Việc xác định trọng số cho từng phương án dựa trên độ tin cậy của từng phương pháp, thông tin dữ liệu đầu vào, mục đích thẩm định giá… đảm bảo phù hợp với thị trường./.
PHỤ LỤC
VÍ DỤ MINH HỌA
(Ban hành kèm theo Tiêu chuẩn thẩm định giá Việt Nam số 12)
Các ví dụ đã được giản lược và chỉ mang tính chất minh họa
1. Ví dụ 1: áp dụng phương pháp chỉ số bình quân để xác định giá trị doanh nghiệp
Cần thẩm định giá một doanh nghiệp hoạt động trong lĩnh vực bất động sản. Thông tin về doanh nghiệp cần thẩm định giá như sau:
- Các chỉ số tài chính:
|
Chỉ số phản ánh quy mô doanh nghiệp (ĐVT: tỷ đồng) |
|
|
Vốn điều lệ |
4.500 |
|
Doanh thu |
3.395 |
|
Lợi nhuận gộp |
1.155 |
|
Chỉ số phản ánh khả năng tăng trưởng của doanh nghiệp (ĐVT: %) |
|
|
Tốc độ tăng trưởng lợi nhuận sau thuế thu nhập doanh nghiệp trung bình trong 03 năm gần nhất |
7 |
|
Chỉ số phản ánh hiệu quả hoạt động của doanh nghiệp (ĐVT: %) |
|
|
ROE |
7 |
|
ROA |
4 |
- Lợi nhuận sau thuế 4 quý gần nhất: 458.08 tỷ đồng
- Doanh thu thuần 4 quý gần nhất: 3.395 tỷ đồng
- EPS: 1.017,96 đồng/cổ phần
- EBITDA (không bao gồm các khoản thu nhập từ tiền và các khoản tương đương tiền): 1.155 tỷ đồng
- Giá trị sổ sách của vốn chủ sở hữu của doanh nghiệp cần thẩm định giá gần nhất với thời điểm thẩm định giá: 6.544 tỷ đồng
- Giá trị nợ vay: 4.908 tỷ đồng
- Tại thời điểm thẩm định giá, giá trị tiền và các khoản tương đương tiền của doanh nghiệp là không có.
Lời giải:
Qua thu thập thông tin, thẩm định viên được biết hiện doanh nghiệp cần thẩm định giá có 5 doanh nghiệp là đối thủ cạnh tranh trong lĩnh vực bất động sản. Các doanh nghiệp này đều đã có cổ phiếu được niêm yết và giao dịch trên thị trường chứng khoán.
Thẩm định viên nhận định các doanh nghiệp này đều là đối thủ cạnh tranh với doanh nghiệp cần thẩm định giá, do đó, có nhiều điểm tương đồng với doanh nghiệp cần thẩm định giá về ngành nghề kinh doanh chính, nhóm khách hàng và thị trường tiêu thụ. Cổ phiếu của các doanh nghiệp này đã niêm yết và đang được giao dịch trên thị trường chứng khoán. Do đó, thẩm định viên tiến hành thu thập thông tin tài chính của các doanh nghiệp này để đánh giá sự tương đồng giữa các doanh nghiệp này và doanh nghiệp cần thẩm định giá về các chỉ tiêu tài chính. Sau khi tính toán các chỉ số tài chính của các doanh nghiệp này thu được kết quả như sau:
|
|
Chỉ số phản ánh quy mô doanh nghiệp (ĐVT: tỷ đồng) |
Chỉ số phản ánh khả năng tăng trưởng của doanh nghiệp (ĐVT: %) |
Chỉ số phản ánh hiệu quả hoạt động của doanh nghiệp (ĐVT: %) |
|||
|
Vốn điều lệ |
Doanh thu |
Lợi nhuận gộp |
Tốc độ tăng trưởng lợi nhuận sau thuế thu nhập doanh nghiệp trung bình trong 03 năm gần nhất |
ROE |
ROA |
|
|
Doanh nghiệp số 1 |
3.500 |
3.187 |
922 |
8 |
10 |
6 |
|
Doanh nghiệp số 2 |
4.000 |
4.769 |
1.431 |
4 |
11 |
5 |
|
Doanh nghiệp số 3 |
2.000 |
3.712 |
854 |
6 |
12 |
6 |
|
Doanh nghiệp số 4 |
3.000 |
3.223 |
903 |
6 |
7 |
4 |
|
Doanh nghiệp số 5 |
1.000 |
1.550 |
387 |
4 |
7 |
3 |
- Đánh giá sự tương đồng về các chỉ tiêu tài chính:
+ Đánh giá sự tương đồng về chỉ số phản ánh quy mô doanh nghiệp
|
Chỉ số phản ánh quy mô doanh nghiệp |
||||||
|
|
Doanh nghiệp cần thẩm định giá |
Doanh nghiệp số 1 |
Doanh nghiệp số 2 |
Doanh nghiệp số 3 |
Doanh nghiệp số 4 |
Doanh nghiệp số 5 |
|
Vốn điều lệ |
4.500 |
3.500 |
4.000 |
2.000 |
3.000 |
1.000 |
|
|
Tương đồng |
Tương đồng |
Ít tương đồng |
Tương đồng |
Ít tương đồng |
|
|
Doanh thu |
3.395 |
3.187 |
4.769 |
3.712 |
3.223 |
1.550 |
|
|
Tương đồng |
Ít tương đồng |
Tương đồng |
Tương đồng |
Ít tương đồng |
|
|
Lợi nhuận gộp |
1.155 |
922 |
1.431 |
854 |
903 |
387 |
|
|
Tương đồng |
Tương đồng |
Ít tương đồng |
Tương đồng |
Ít tương đồng |
|
|
Đánh giá chung |
|
Tương đồng |
Tương đồng |
Ít tương đồng |
Tương đồng |
Ít tương đồng |
+ Đánh giá sự tương đồng về chỉ số phản ánh khả năng tăng trưởng của doanh nghiệp
|
Chỉ số phản ánh khả năng tăng trưởng của doanh nghiệp (ĐVT: %) |
||||||
|
|
Doanh nghiệp cần thẩm định giá |
Doanh nghiệp số 1 |
Doanh nghiệp số 2 |
Doanh nghiệp số 3 |
Doanh nghiệp số 4 |
Doanh nghiệp số 5 |
|
Tốc độ tăng trưởng lợi nhuận sau thuế thu nhập doanh nghiệp trung bình trong 03 năm gần nhất |
7 |
8 |
4 |
6 |
6 |
4 |
|
Đánh giá chung |
|
Tương đồng |
Ít tương đồng |
Tương đồng |
Tương đồng |
Ít ương đồng |
+ Đánh giá sự tương đồng về chỉ số phản ánh hiệu quả hoạt động của doanh nghiệp
|
Chỉ số phản ánh khả năng tăng trưởng của doanh nghiệp (ĐVT: %) |
||||||
|
|
Doanh nghiệp cần thẩm định giá |
Doanh nghiệp số 1 |
Doanh nghiệp số 2 |
Doanh nghiệp số 3 |
Doanh nghiệp số 4 |
Doanh nghiệp số 5 |
|
ROE |
7 |
10 |
11 |
12 |
7 |
7 |
|
|
Tương đồng |
Ít tương đồng |
Ít ương đồng |
Tương đồng |
Tương đồng |
|
|
ROA |
4 |
6 |
5 |
6 |
4 |
3 |
|
|
Ít tương đồng |
Tương đồng |
Ít tương đồng |
Tương đồng |
Tương đồng |
|
|
Đánh giá chung |
|
Ít tương đồng |
Tương đồng |
Ít tương đồng |
Tương đồng |
Tương đồng |
Nhận định: các doanh nghiệp số 1, 2 và 4 có nhiều điểm tương đồng về mặt các chỉ số tài chính với doanh nghiệp cần thẩm định giá, do đó, các doanh nghiệp này được lựa chọn là doanh nghiệp so sánh. Theo đó, tỷ số thị trường của các doanh nghiệp này được sử dụng để xác định giá trị của doanh nghiệp cần thẩm định giá.
- Thu thập thông tin thị trường, thẩm định viên xác định 4 tỷ số thị trường của các doanh nghiệp so sánh này
như sau:
|
|
|
|
|
|
|
Doanh nghiệp số 1 |
12,02 |
1,20 |
1,76 |
8,4 |
|
Doanh nghiệp số 2 |
14,71 |
1,62 |
2,51 |
9,7 |
|
Doanh nghiệp số 4 |
12,99 |
0,91 |
1,32 |
8,5 |
- Xác định giá trị của doanh nghiệp cần thẩm định giá:
Nhận định: các doanh nghiệp so sánh về cơ bản đều tương đồng với doanh nghiệp cần thẩm định, do đó, tỷ số bình quân có thể được xác định bằng trung bình cộng tỷ số thị trường của các doanh nghiệp so sánh như sau:
|
|
|
|
|
|
13,24 |
1,24 |
1,86 |
8,87 |
Theo đó, giá trị của doanh nghiệp được xác định theo các tỷ số thị trường như sau:
|
Giá trị doanh nghiệp xác định theo tỷ số |
Giá trị doanh nghiệp xác định theo tỷ số |
Giá trị doanh nghiệp xác định theo tỷ số |
Giá trị doanh nghiệp xác định theo tỷ số |
|
10.972,98 tỷ VNĐ |
13.044,4 tỷ VNĐ |
11.234 tỷ VNĐ |
10.241 tỷ VNĐ |
Nhận định: tỷ số
,
cơ bản tương đồng giữa các doanh nghiệp so sánh, tỷ số
,
ít tương đồng hơn, do đó, giá trị doanh nghiệp xác định theo tỷ số
,
bình quân được tính theo trọng số 30% cho mỗi tỷ số, giá trị doanh nghiệp xác định theo tỷ số
,
bình quân được tính theo trọng số 20% cho mỗi tỷ số.
Giá trị doanh nghiệp cần thẩm định giá = 10.972,98 × 30% + 13.044,4 × 20% + 11.234 × 20% + 10.241 × 30% = 11.219,87 tỷ VNĐ
2. Ví dụ 2: áp dụng phương pháp tài sản để xác định giá trị doanh nghiệp
Cần thẩm định giá một doanh nghiệp có thông tin như sau:
- Bảng cân đối kế toán của doanh nghiệp ngày 31/12/N
Đơn vị tính: triệu đồng
|
Tài sản |
Số tiền |
Nguồn vốn |
Số tiền |
|
A. Tài sản ngắn hạn 1.Tiền mặt 2.Chứng khoán ngắn hạn. 3.Các khoản phải thu. 4.Hàng tồn kho. B. Tài sản dài hạn 1. Giá trị còn lại của TSCĐ hữu hình 2. Đầu tư chứng khoán vào công ty Hoàng Sa (1.000.000 cổ phiếu) 3. Góp vốn liên doanh |
40.000 10.000 2.000 17.600 8.000 80.000 62.000 15.000
|
A. Nợ phải trả. 1. Vay ngắn hạn. 2. Vay dài hạn.
B. Nguồn vốn chủ sở hữu. 1. Nguồn vốn kinh doanh. 2. Lãi chưa phân phối. |
50.000 20.000 30.000
70.000 60.000 10.000 |
|
Tổng tài sản |
120.000 |
Tổng nguồn vốn |
120.000 |
- Việc đánh giá lại toàn bộ tài sản của doanh nghiệp cho thấy có những thay đổi như sau:
+ Kiểm quỹ tiền mặt thiếu 20 triệu đồng không rõ nguyên nhân.
+ Một số khoản phải thu không có khả năng đòi được là 1.000 triệu đồng; 15.000 triệu đồng chắc chắn thu được.
+ Nguyên vật liệu tồn kho hư hỏng 200 triệu đồng; số còn lại theo kết quả đánh giá lại tăng 300 triệu đồng.
+ TSCĐ hữu hình đánh giá lại theo giá thị trường tăng 5.000 triệu đồng.
+ Giá chứng khoán của công ty Hoàng Sa theo tính toán tại thời điểm đánh giá là 25.000 đồng/cổ phiếu.
+ Số vốn góp liên doanh được đánh giá lại tăng 3.000 triệu đồng.
+ Thuế suất thuế nhu nhập doanh nghiệp: 20%
- Các thông tin khác như sau:
+ Chi phí sử dụng vốn chủ sở hữu của Công ty là 20%, lãi suất các khoản vay dài hạn là 7,625%/năm. Theo đó, chi phí sử dụng vốn bình quân gia quyền của doanh nghiệp là 15,83%
+ Lợi nhuận bình quân 3 năm gần nhất của Công ty là 20.000 triệu đồng (trong 3 năm gần nhất công ty không ghi nhận các khoản lợi nhuận bất thường do thanh lý tài sản cố định hay nguồn thu từ lợi nhuận tài chính).
Lời giải:
* Ước tính giá trị các tài sản hữu hình và tài sản tài chính của doanh nghiệp như sau:
1. Kiểm quỹ: - 20
2. Giá trị của khoản phải thu:
Không có khả năng thu: -1.000
3. Nguyên vật liệu:
+ Hư hỏng: - 200
+ Tăng: +300
4. TSCĐ hữu hình: + 5.000
5. Giá trị của số chứng khoán đầu tư vào công ty Trường Sa: Giá thị trường của 1.000.000 cổ phiếu được tính tại thời điểm xác định giá trị doanh nghiệp là: 1.000.000 cổ phiếu ´ 25.000đ/cổ phiếu = 25.000 triệu đồng, tăng 25.000 -15.000 = 10.000 triệu đồng.
6. Vốn góp liên doanh tăng: + 3.000
* Nhận định: các tài sản bao gồm: chứng khoán ngắn hạn, đầu tư chứng khoán, góp vốn liên doanh không tham gia vào quá trình tạo ra doanh thu cho doanh nghiệp cần thẩm định giá, do đó, không được tính vào tài sản hoạt động của doanh nghiệp.
Tổng giá trị tài sản hoạt động:
|
TÀI SẢN |
Giá trị theo sổ sách |
Giá trị theo thị trường |
Chênh lệch |
|
I. Tài sản ngắn hạn |
40.000 |
|
|
|
- Tiền |
10.000 |
9.980 |
(-20) |
|
- Các khoản phải thu |
17.600 |
16.600 |
(-1000) |
|
- Hàng tồn kho |
8.000 |
8.100 |
+100 |
|
II. Tài sản dài hạn |
80.000 |
|
|
|
1. Giá còn lại TSCĐ hữu hình |
62.000 |
67.000 |
+5.000 |
|
Tổng giá trị tài sản hoạt động |
|
101.680 |
|
* Thu nhập có được từ tài sản hoạt động hữu hình và tài sản tài chính của doanh nghiệp = 101.680 × 15,83% = 16.095,944 triệu đồng
* Thu nhập do các tài sản vô hình đem lại cho doanh nghiệp = 20.000 - 16.095,944 = 3.904,056 triệu đồng
* Giá trị các tài sản vô hình của doanh nghiệp =
= 19.520,28 triệu đồng
|
TÀI SẢN |
Giá trị theo sổ sách |
Giá trị theo thị trường |
Chênh lệch |
|
I. Tài sản ngắn hạn |
40.000 |
|
|
|
- Tiền |
10.000 |
9.980 |
(-20) |
|
- Chứng khoán ngắn hạn |
2.000 |
2.000 |
0 |
|
- Các khoản phải thu |
16.600 |
16.600 |
0 |
|
- Hàng tồn kho |
8.000 |
8.100 |
+100 |
|
II. Tài sản dài hạn |
80.000 |
|
|
|
1. Giá còn lại TSCĐ hữu hình |
62.000 |
67.000 |
+5.000 |
|
2. Đầu tư chứng khoán |
15.000 |
25.000 |
+10.000 |
|
3. Góp vốn liên doanh |
3.000 |
6.000 |
+3.000 |
|
III. Giá trị tài sản vô hình |
0 |
19.520,28 |
+19.520,28 |
|
IV. Giá trị công ty |
|
154.200,28 |
|
Kết luận: Vậy giá trị doanh nghiệp cần thẩm định giá là: 154.200,28 triệu đồng.
3. Ví dụ 3: áp dụng phương pháp chiết khấu dòng tiền tự do của doanh nghiệp để xác định giá trị doanh nghiệp
Cần thẩm định giá một doanh nghiệp có thông tin như sau:
- Thông tin từ báo cáo tài chính của doanh nghiệp tại thời điểm 31/12/N như sau:
Đơn vị tính: Triệu đồng
|
STT |
Chỉ tiêu |
Số tiền |
|
1. 2. 3. 4. 5. 6. |
Lợi nhuận trước thuế TNDN Khấu hao Lãi vay Đầu tư vào tài sản cố định Giảm vốn lưu động ngoài tiền mặt Thuế suất thuế TNDN |
200.000 50.000 10.000 35.000 5.000 25% |
- Căn cứ vào tình hình sản xuất kinh doanh 3 năm gần nhất của doanh nghiệp cần thẩm định giá, môi trường kinh doanh, triển vọng kinh tế vĩ mô, dự báo trong vòng 5 năm tới, tỷ lệ tăng trưởng hàng năm của doanh nghiệp là 5%, sau đó tăng ổn định hàng năm là 3%.
- Chi phí sử dụng vốn vay dài hạn là 10%/năm và tỷ trọng nợ dài hạn trên tổng vốn dài hạn là
.
- Lãi suất trái phiếu Chính phủ kỳ hạn 10 năm là 6%/năm.
- Hệ số rủi ro phi đòn bẩy bình quân được tính toán trên cơ sở hệ số rủi ro có đòn bẩy của cổ phiếu của 5 doanh nghiệp có cùng ngành nghề kinh doanh với doanh nghiệp cần thẩm định giá hiện đang niêm yết trên thị trường chứng khoán Việt Nam là 1,145.
- Tỷ suất lợi nhuận dự kiến trên thị trường chứng khoán Việt Nam được tính toán theo phương pháp thống kê theo chỉ số VN-INDEX là 12%/năm.
- Doanh nghiệp không có tài sản phi hoạt động.
Lời giải:
* Xác định dòng tiền dự báo
FCFF tại thời điểm 31/12/N được tính như sau:
FCFF = Thu nhập trước lãi vay sau thuế (EBIAT) + Khấu hao - Chi đầu tư vốn - Thay đổi vốn lưu động thuần ngoài tiền mặt và tài sản phi hoạt động ngắn hạn (chênh lệch vốn hoạt động thuần)
FCFF = (200.000 + 10.000) × (1 - 22%) + 50.000 - 35.000 - (-5.000)
FCFF = 183.800 triệu đồng
FCFF giai đoạn từ năm 1 - 5 được tính như sau:
FCFF1 = 183.800 × (100% + 5%) = 192.990 triệu đồng
FCFF2 = 192.990 × (100% + 5%) = 202.639,5 triệu đồng
FCFF3 = 202.639,5 × (100% + 5%) = 212.771,48 triệu đồng
FCFF4 = 212.771,48 × (100% + 5%) = 223.410,05 triệu đồng
FCFF5 = 223.410,05 × (100% + 5%) = 234.580,55 triệu đồng
* Hệ số rủi ro có tính đến ảnh hưởng của cơ cấu vốn (bL) của doanh nghiệp cần thẩm định giá được tính theo công thức

Chi phí sử dụng vốn chủ sở hữu của doanh nghiệp cần thẩm định giá:
Re = Rf + bL × (Rm – Rf)
Re = 6% + 1,431 × (13% - 6%) = 16%
Chi phí sử dụng vốn bình quân gia quyền của doanh nghiệp cần thẩm định giá:

* Giá trị cuối kỳ dự báo
FCFF năm thứ 6
FCFF6 = 234.580,55 × (100% + 3%) = 241.617,97 triệu đồng
Giá trị cuối kỳ dự báo như sau:

* Giá trị doanh nghiệp cần thẩm định giá như sau:

Kết luận: Do doanh nghiệp cần thẩm định giá không có tài sản phi hoạt động, do đó, giá trị của doanh nghiệp cần thẩm định giá là 2.017.944,75 triệu đồng./.
Bạn chưa Đăng nhập thành viên.
Đây là tiện ích dành cho tài khoản thành viên. Vui lòng Đăng nhập để xem chi tiết. Nếu chưa có tài khoản, vui lòng Đăng ký tại đây!
Bạn chưa Đăng nhập thành viên.
Đây là tiện ích dành cho tài khoản thành viên. Vui lòng Đăng nhập để xem chi tiết. Nếu chưa có tài khoản, vui lòng Đăng ký tại đây!


