- Tổng quan
- Nội dung
- VB gốc
- Tiếng Anh
- Hiệu lực
- VB liên quan
- Lược đồ
-
Nội dung hợp nhất
Tính năng này chỉ có tại LuatVietnam.vn. Nội dung hợp nhất tổng hợp lại tất cả các quy định còn hiệu lực của văn bản gốc và các văn bản sửa đổi, bổ sung, đính chính... trên một trang. Việc hợp nhất văn bản gốc và những văn bản, Thông tư, Nghị định hướng dẫn khác không làm thay đổi thứ tự điều khoản, nội dung.
Khách hàng chỉ cần xem Nội dung hợp nhất là có thể nắm bắt toàn bộ quy định hiện hành đang áp dụng, cho dù văn bản gốc đã qua nhiều lần chỉnh sửa, bổ sung.
- Tải về
Quyết định 1032/QĐ-CTK 2025 của Cục Thống kê ban hành Phương án điều tra lâm nghiệp
| Cơ quan ban hành: | Cục Thống kê |
Số công báo:
Số công báo là mã số ấn phẩm được đăng chính thức trên ấn phẩm thông tin của Nhà nước. Mã số này do Chính phủ thống nhất quản lý.
|
Đang cập nhật |
| Số hiệu: | 1032/QĐ-CTK | Ngày đăng công báo: | Đang cập nhật |
| Loại văn bản: | Quyết định | Người ký: | Nguyễn Thị Hương |
| Trích yếu: | Ban hành Phương án điều tra lâm nghiệp | ||
|
Ngày ban hành:
Ngày ban hành là ngày, tháng, năm văn bản được thông qua hoặc ký ban hành.
|
15/08/2025 |
Ngày hết hiệu lực:
Ngày hết hiệu lực là ngày, tháng, năm văn bản chính thức không còn hiệu lực (áp dụng).
|
Đang cập nhật |
|
Áp dụng:
Ngày áp dụng là ngày, tháng, năm văn bản chính thức có hiệu lực (áp dụng).
|
Đã biết
|
Tình trạng hiệu lực:
Cho biết trạng thái hiệu lực của văn bản đang tra cứu: Chưa áp dụng, Còn hiệu lực, Hết hiệu lực, Hết hiệu lực 1 phần; Đã sửa đổi, Đính chính hay Không còn phù hợp,...
|
Đã biết
|
| Lĩnh vực: | Nông nghiệp-Lâm nghiệp | ||
TÓM TẮT QUYẾT ĐỊNH 1032/QĐ-CTK
Nội dung tóm tắt đang được cập nhật, Quý khách vui lòng quay lại sau!
Tải Quyết định 1032/QĐ-CTK
| BỘ TÀI CHÍNH | CỘNG HÒA XÃ HỘI CHỦ NGHĨA VIỆT NAM |
| Số: 1032/QĐ-CTK | Hà Nội, ngày 15 tháng 8 năm 2025 |
QUYẾT ĐỊNH
Ban hành phương án điều tra lâm nghiệp
________
CỤC TRƯỞNG CỤC THỐNG KÊ
Căn cứ Luật Thống kê ngày 23 tháng 11 năm 2015; Luật sửa đổi, bổ sung một số điều và Phụ lục Danh mục chỉ tiêu thống kê quốc gia của Luật Thống kê ngày 12 tháng 11 năm 2021;
Căn cứ Nghị định số 94/2016/NĐ-CP ngày 01 tháng 7 năm 2016 của Chính phủ quy định chi tiết và hướng dẫn thi hành một số điều của Luật Thống kê;
Căn cứ Nghị định số 94/2022/NĐ-CP ngày 07 tháng 11 năm 2022 của Chính phủ quy định nội dung chỉ tiêu thống kê thuộc hệ thống chỉ tiêu thống kê quốc gia và quy trình biên soạn chỉ tiêu tổng sản phẩm trong nước, chỉ tiêu tổng sản phẩm trên địa bàn tỉnh, thành phố trực thuộc trung ương;
Căn cứ Nghị định số 62/2024/NĐ-CP ngày 07 tháng 6 năm 2024 của Chính phủ sửa đổi, bổ sung một số điều, phụ lục của Nghị định số 94/2016/NĐ-CP ngày 01 tháng 7 năm 2016 của Chính phủ quy định chi tiết và hướng dẫn thi hành một số điều của Luật Thống kê và Nghị định số 94/2022/NĐ-CP ngày 07 tháng 11 năm 2022 của Chính phủ quy định nội dung chỉ tiêu thống kê thuộc hệ thống chỉ tiêu thống kê quốc gia và quy trình biên soạn chỉ tiêu tổng sản phẩm trong nước, chỉ tiêu tổng sản phẩm trên địa bàn tỉnh, thành phố trực thuộc trung ương;
Căn cứ Nghị định số 29/2025/NĐ-CP ngày 24 tháng 02 năm 2025 của Chính phủ quy định chức năng, nhiệm vụ, quyền hạn và cơ cấu tổ chức của Bộ Tài chính;
Căn cứ Nghị định số 166/2025/NĐ-CP ngày 30 tháng 6 năm 2025 của Chính phủ sửa đổi, bổ sung một số điều của Nghị định số 29/2025/NĐ-CP ngày 24 tháng 02 năm 2025 của Chính phủ quy định chức năng, nhiệm vụ, quyền hạn và cơ cấu tổ chức của Bộ Tài chính;
Căn cứ Nghị định số 130/2025/NĐ-CP ngày 11 tháng 6 năm 2025 của Chính phủ quy định về phân quyền, phân cấp trong lĩnh vực thống kê;
Căn cứ Quyết định số 03/2023/QĐ-TTg ngày 15 tháng 02 năm 2023 của Thủ tướng Chính phủ về việc ban hành Chương trình điều tra thống kê quốc gia;
Căn cứ Quyết định số 384/QĐ-BTC ngày 26 tháng 02 năm 2025 của Bộ Tài chính quy định chức năng, nhiệm vụ, quyền hạn và cơ cấu tổ chức của Cục Thống kê;
Căn cứ Quyết định số 2288/QĐ-BTC ngày 30 tháng 6 năm 2025 của Bộ trưởng Bộ Tài chính sửa đổi, bổ sung Quyết định số 384/QĐ-BTC ngày 26 tháng 02 năm 2025 của Bộ Tài chính quy định chức năng, nhiệm vụ, quyền hạn và cơ cấu tổ chức của Cục Thống kê;
Căn cứ Quyết định số 1892/QĐ-BTC ngày 30 tháng 5 năm 2025 của Bộ trưởng Bộ Tài chính về sửa đổi, bổ sung các Quyết định quy định chức năng, nhiệm vụ, quyền hạn và cơ cấu tổ chức của đơn vị thuộc Bộ Tài chính;
Căn cứ Quyết định số 1933/QĐ-BTC ngày 02 tháng 6 năm 2025 của Bộ trưởng Bộ Tài chính về việc ban hành Kế hoạch điều tra thống kê năm 2026 của Bộ Tài chính do Cục Thống kê chủ trì thực hiện;
Theo đề nghị của Trưởng ban Ban Điều tra thống kê.
QUYẾT ĐỊNH:
Điều 1. Ban hành kèm theo Quyết định này Phương án điều tra lâm nghiệp thực hiện từ năm 2026. Quyết định này có hiệu lực kể từ ngày ký.
Điều 2. Giao Ban Điều tra thống kê chủ trì, phối hợp với Ban Thống kê Nông, Lâm nghiệp và Thủy sản và đơn vị liên quan xây dựng kế hoạch thực hiện chi tiết; thiết kế mẫu, phiếu điều tra và các nội dung liên quan khác trình Lãnh đạo Cục ban hành; chỉ đạo tổ chức và hướng dẫn thực hiện cuộc điều tra theo đúng quy định của Phương án điều tra.
Điều 3. Trưởng ban Ban Điều tra thống kê, Trưởng ban Ban Thống kê Nông, Lâm nghiệp và Thủy sản, Trưởng ban Ban Kế hoạch tài chính, Chánh Văn phòng và Thủ trưởng các đơn vị liên quan chịu trách nhiệm thi hành Quyết định này./.
| Nơi nhận: | CỤC TRƯỞNG |
PHƯƠNG ÁN ĐIỀU TRA LÂM NGHIỆP
(Kèm theo Quyết định số 1032/QĐ-CTK ngày 15 tháng 8 năm 2025 của Cục trưởng Cục Thống kê)
I. MỤC ĐÍCH VÀ YÊU CẦU ĐIỀU TRA
1. Mục đích điều tra
Điều tra lâm nghiệp là cuộc điều tra thuộc Chương trình điều tra thống kê quốc gia được thực hiện nhằm mục đích thu thập thông tin về tình hình sản xuất lâm nghiệp trên phạm vi cả nước phục vụ việc tính toán các chỉ tiêu thống kê cấp quốc gia, cấp tỉnh của ngành lâm nghiệp; đáp ứng yêu cầu quản lý, lập kế hoạch, quy hoạch, hoạch định các chính sách phát triển sản xuất lâm nghiệp của các cấp, các ngành và nhu cầu thông tin của các đối tượng dùng tin khác.
2. Yêu cầu điều tra
- Thực hiện điều tra đúng các nội dung quy định trong Phương án điều tra.
- Bảo mật thông tin thu thập từ các đối tượng điều tra theo quy định của Luật Thống kê.
- Quản lý và sử dụng kinh phí của cuộc điều tra đúng chế độ hiện hành, sử dụng kinh phí tiết kiệm, hiệu quả.
- Kết quả điều tra phải đáp ứng yêu cầu của người dùng tin trong và ngoài nước; bảo đảm tính so sánh quốc tế.
II. PHẠM VI, ĐỐI TƯỢNG, ĐƠN VỊ ĐIỀU TRA
1. Phạm vi điều tra
Cuộc điều tra được tiến hành trên toàn bộ các tỉnh, thành phố trực thuộc trung ương (sau đây viết gọn là tỉnh).
2. Đối tượng điều tra
- Rừng sản xuất;
- Rừng phòng hộ;
- Rừng đặc dụng;
- Cây giống lâm nghiệp;
- Cây lâm nghiệp trồng phân tán.
3. Đơn vị điều tra
- Thôn, ấp, bản, tổ dân phố,... có rừng (gọi chung là Thôn có rừng).
- Doanh nghiệp, hợp tác xã, tổ chức kinh tế khác có hoạt động lâm nghiệp, dịch vụ lâm nghiệp trong 12 tháng trước thời điểm điều tra.
- Các Ban quản lý rừng;
- Tổ chức khác là các chủ rừng[1];
- Hộ thuộc thôn có rừng.
III. LOẠI ĐIỀU TRA
Cuộc điều tra được thực hiện kết hợp giữa điều tra toàn bộ với điều tra chọn mẫu.
1. Điều tra toàn bộ
Áp dụng với các đơn vị điều tra là:
- Thôn có rừng;
- Doanh nghiệp, hợp tác xã, các ban quản lý rừng, tổ chức kinh tế và tổ chức khác có hoạt động sản xuất lâm nghiệp;
- Hộ chuyên sản xuất cây giống lâm nghiệp.
2. Điều tra chọn mẫu
Áp dụng đối với các đơn vị điều tra là:
(1) Hộ có diện tích rừng trồng được khai thác trong kỳ điều tra;
(2) Hộ có diện tích cây lâm nghiệp trọng điểm cho thu hoạch trong kỳ điều tra;
(3) Hộ thuộc các thôn có rừng.
Cục Thống kê chịu trách nhiệm thiết kế mẫu, hướng dẫn việc rà soát, cập nhật và thay thế mẫu điều tra.
IV. THỜI ĐIỂM, THỜI GIAN VÀ PHƯƠNG PHÁP ĐIỀU TRA
1. Thời điểm điều tra
- Thời điểm điều tra: 01/01 hằng năm.
2. Thời điểm, thời kỳ số liệu
- Thời điểm số liệu: Tại thời điểm điều tra 01/01 hằng năm.
- Thời kỳ số liệu: Số phát sinh thực tế trong 12 tháng trước thời điểm điều tra, từ ngày 01/01 đến ngày 31/12 năm trước năm điều tra.
3. Thời gian thu thập thông tin
15 ngày, bắt đầu từ thời điểm điều tra.
4. Phương pháp điều tra
Áp dụng hai phương pháp thu thập thông tin:
a) Thu thập thông tin trực tiếp: Áp dụng đối với đơn vị điều tra là hộ.
Điều tra viên (ĐTV) đến từng hộ điều tra, thực hiện phỏng vấn trực tiếp người nắm được thông tin về sản xuất lâm nghiệp của hộ và điền thông tin vào phiếu điều tra điện tử (CAPI).
b) Thu thập thông tin gián tiếp:
- Đối với các doanh nghiệp, hợp tác xã, ban quản lý rừng, tổ chức kinh tế và tổ chức khác là chủ rừng có hoạt động sản xuất lâm nghiệp trong năm: Các đơn vị thực hiện cung cấp thông tin trên Trang điều hành tác nghiệp của điều tra lâm nghiệp (Webform). ĐTV sẽ cung cấp tài khoản đăng nhập hệ thống trước khi tiến hành điều tra.
- Đối với các thôn có rừng: ĐTV[2] căn cứ vào tình hình sản xuất lâm nghiệp của thôn, kết hợp với tài liệu theo lĩnh vực liên quan của cấp xã (thống kê, địa chính, khuyến lâm,...) để tiến hành tổng hợp thông tin và ghi vào phiếu điều tra. Trong trường hợp cần bổ sung, xác minh thông tin, ĐTV đến gặp trực tiếp người nắm được thông tin của hộ để ghi chép, tổng hợp thông tin.
V. NỘI DUNG ĐIỀU TRA, PHIẾU ĐIỀU TRA
1. Nội dung điều tra
Cuộc điều tra nhằm thu thập các thông tin:
- Diện tích rừng trồng mới;
- Diện tích rừng trồng được chăm sóc;
- Diện tích rừng tự nhiên được khoanh nuôi, xúc tiến tái sinh;
- Diện tích ươm giống và số cây giống lâm nghiệp sản xuất;
- Số cây lâm nghiệp trồng phân tán;
- Diện tích và sản lượng gỗ khai thác;
- Sản lượng sản phẩm lâm nghiệp ngoài gỗ khai thác, thu nhặt từ rừng và từ cây lâm nghiệp trồng phân tán;
- Diện tích và sản lượng sản phẩm lâm nghiệp trọng điểm;
- Diện tích rừng được bảo vệ;
- Chi phí của hoạt động trồng và chăm sóc rừng trồng;
- Doanh thu bán ra của các sản phẩm lâm nghiệp và các hoạt động dịch vụ lâm nghiệp.
2. Phiếu điều tra
Trong cuộc điều tra này sử dụng 06 loại phiếu, bao gồm:
- Phiếu số 01/ĐTLN-THON: Phiếu thu thập thông tin kết quả hoạt động sản xuất lâm nghiệp của hộ gia đình và cộng đồng dân cư trên địa bàn thôn;
- Phiếu số 02/ĐTLN-DN,TCK: Phiếu thu thập thông tin kết quả hoạt động sản xuất lâm nghiệp của doanh nghiệp, hợp tác xã, ban quản lý rừng, các tổ chức kinh tế khác và tổ chức khác;
- Phiếu số 03/ĐTLN-HM-GO: Phiếu thu thập thông tin sản lượng gỗ khai thác từ rừng trồng của hộ;
- Phiếu số 04/ĐTLN-HM-LS: Phiếu thu thập thông tin sản lượng gỗ khai thác từ cây lâm nghiệp trồng phân tán; khai thác, thu nhặt sản phẩm lâm nghiệp ngoài gỗ của hộ;
- Phiếu số 05/ĐTLN-HM-LSTĐ: Phiếu thu thập thông tin diện tích thu hoạch và sản lượng lâm sản trọng điểm thu hoạch của hộ;
- Phiếu số 06/ĐTLN-HO-GIONG: Phiếu thu thập thông tin về kết quả sản xuất cây giống lâm nghiệp của hộ.
VI. PHÂN LOẠI THỐNG KÊ SỬ DỤNG TRONG ĐIỀU TRA
Các bảng danh mục được áp dụng trong cuộc điều tra này gồm:
(1) Danh mục các đơn vị hành chính Việt Nam ban hành theo Quyết định số 19/2025/QĐ-TTg ngày 30/6/2025 của Thủ tướng Chính phủ, cập nhật đến thời điểm điều tra;
(2) Hệ thống ngành kinh tế Việt Nam (VSIC) ban hành theo Quyết định số 27/2018/QĐ-TTg ngày 06 tháng 07 năm 2018 của Thủ tướng Chính phủ và được cập nhật khi có quyết định mới;
(3) Hệ thống ngành sản phẩm Việt Nam (VCPA) ban hành theo Quyết định số 43/2018/QĐ-TTg ngày 01 tháng 11 năm 2018 của Thủ tướng Chính phủ và được cập nhật khi có quyết định mới;
(4) Bảng phân loại tạm thời các loại gỗ sử dụng ban hành kèm theo Quyết định số 2198/CNR ngày 26 tháng 11 năm 1977 và Quyết định số 334/CNR ngày 10 tháng 5 năm 1988 của Bộ Lâm nghiệp.
VII. QUY TRÌNH XỬ LÝ VÀ BIỂU ĐẦU RA CỦA ĐIỀU TRA
1. Quy trình xử lý thông tin điều tra
a) Hoàn thành dữ liệu các phiếu điều tra
- Phiếu điều tra CAPI: Áp dụng mẫu phiếu điều tra số 03/ĐTLN-HM-GO; 04/ĐTLN-HM-LS; 05/ĐTLN-HM-LSTĐ và 06/ĐTLN-HO-GIONG.
Trong quá trình điều tra thực địa, thông tin trên phiếu điện tử được ĐTV hoàn thành và gửi về máy chủ của Cục Thống kê. Tại đây, dữ liệu điều tra được công chức thống kê các cấp kiểm tra, duyệt và nghiệm thu số liệu.
- Phiếu điều tra Webform: Áp dụng mẫu phiếu điều tra số 02/ĐTLN-DN, TCK.
Dữ liệu được thu thập trên phiếu Webform sẽ được lưu trữ trên máy chủ của Cục Thống kê. Dữ liệu điều tra sẽ được công chức thống kê các cấp kiểm tra, duyệt, nghiệm thu.
- Phiếu điều tra giấy: Áp dụng mẫu phiếu điều tra số 01/ĐTLN-THON.
Thống kê cấp tỉnh trực tiếp nghiệm thu số lượng, chất lượng theo từng loại phiếu điều tra, và chủ trì việc phân quyền nhập tin phiếu điều tra bằng phần mềm trực tuyến.
b) Tích hợp vào dữ liệu chung
Dữ liệu điều tra phiếu CAPI, dữ liệu phiếu điều tra Webform, dữ liệu điều tra phiếu giấy được tích hợp vào cơ sở dữ liệu chung điều tra lâm nghiệp; dữ liệu được làm sạch, xử lý và tổng hợp kết quả điều tra.
2. Biểu đầu ra kết quả điều tra
Biểu đầu ra của điều tra lâm nghiệp được thiết kế phục vụ tổng hợp các chỉ tiêu thống kê theo yêu cầu, mục đích điều tra.
VIII. KẾ HOẠCH TIẾN HÀNH ĐIỀU TRA
| STT | Nội dung công việc | Thời gian thực hiện[3] |
| 1 | Xây dựng Quyết định và Phương án điều tra | Tháng 4-8/2025 |
| 2 | Thiết kế và hoàn thiện phiếu điều tra | Tháng 6-8/2025 |
| 3 | Xây dựng Sổ tay hướng dẫn nghiệp vụ | Tháng 8-10/2025 |
| 4 | Xây dựng Sổ tay hướng dẫn sử dụng các phần mềm và tài liệu khác | Tháng 8-10/2025 |
| 5 | Thiết kế mẫu | Tháng 10/2025 |
| 6 | Chọn địa bàn và rà soát địa bàn điều tra | Trước thời điểm điều tra 15 ngày |
| 7 | Cập nhật bảng kê hộ | Trước thời điểm điều tra 15 ngày |
| 8 | Chọn mẫu hộ | Trước thời điểm 1 điều tra 5 ngày |
| 9 | Xây dựng các chương trình phần mềm điều tra: Trang Web điều hành (cập nhật bảng kê, chọn mẫu hộ; quản lý mạng lưới điều tra, giám sát, kiểm tra và nghiệm thu số liệu, tổng hợp kết quả điều tra, ...) | Tháng 9-11/2025 |
| 10 | Tổ chức hội nghị tập huấn nghiệp vụ cấp trung ương (nếu có) | Tháng 12/2025 |
| 11 | Tổ chức hội nghị tập huấn nghiệp vụ cấp tỉnh (nếu có) | Tháng 12/2025 |
| 11 | Thu thập thông tin tại địa bàn | 15 ngày bắt đầu từ thời điểm điều tra |
| 12 | Kiểm tra và duyệt dữ liệu điều tra | 10 ngày sau khi kết thúc thu thập thông tin |
| 13 | Xử lý số liệu điều tra | 10 ngày sau khi kết thúc kiểm tra và duyệt dữ liệu điều tra |
| 14 | Biên soạn báo cáo kết quả chủ yếu của cuộc điều tra | Sau 15 ngày kết thúc xử lý số liệu điều tra |
IX. TỔ CHỨC THỰC HIỆN
1. Công tác chuẩn bị
a) Chọn mẫu và rà soát địa bàn điều tra; cập nhật bảng kê hộ và chọn hộ điều tra
Hằng năm, Thống kê cấp tỉnh thực hiện chọn mẫu địa bàn điều tra, cập nhật bảng kê hộ theo đúng quy định của Phương án và hướng dẫn công tác lập bảng kê.
b) Tuyển chọn điều tra viên và giám sát viên
- ĐTV: Thủ trưởng đơn vị được giao chủ trì thực hiện điều tra quyết định tuyển chọn ĐTV với số lượng phù hợp với tình hình thực tế của địa phương, dự toán được giao và các quy định tài chính hiện hành.
- Giám sát viên (GSV): Là lực lượng thực hiện công việc giám sát các hoạt động của mạng lưới ĐTV và hỗ trợ chuyên môn cho GSV cấp dưới (nếu có) và các ĐTV trong quá trình điều tra thực địa. GSV có 03 cấp: cấp trung ương, cấp tỉnh và cấp cơ sở.
c) Tập huấn nghiệp vụ điều tra
- Thành phần tham gia tập huấn cấp trung ương bao gồm: GSV cấp trung ương, công chức của các đơn vị thuộc Cục Thống kê; lãnh đạo Thống kê tỉnh và giảng viên cấp tỉnh. Tập huấn nghiệp vụ điều tra cấp trung ương được thực hiện đối với năm thay đổi Phương án điều tra hoặc những năm có nội dung nghiệp vụ mới cần quán triệt. Cục trưởng Cục Thống kê quy định tổ chức tập huấn nghiệp vụ hằng năm. Thời gian tổ chức hội nghị là 01 ngày.
- Thành phần tập huấn cấp tỉnh bao gồm: ĐTV, GSV và công chức cơ quan thống kê cấp tỉnh. Tập huấn nghiệp vụ điều tra cấp tỉnh được thực hiện khi có sự thay đổi về GSV, ĐTV hoặc nghiệp vụ bổ sung mới cần hướng dẫn. Thủ trưởng cơ quan Thống kê cấp tỉnh quy định tổ chức tập huấn nghiệp vụ hằng năm. Thời gian tập huấn là 01 ngày.
d) Tài liệu điều tra
Tài liệu điều tra bao gồm các tài liệu hướng dẫn nghiệp vụ và hướng dẫn sử dụng phần mềm.
đ) Chương trình phần mềm
Chương trình phần mềm sử dụng trong điều tra bao gồm: Phần mềm điều tra trên thiết bị điện tử (CAPI, Webform), phần mềm chọn mẫu hộ, phần mềm quản trị hệ thống điều tra trên Trang Web điều hành tác nghiệp, phần mềm xử lý, tổng hợp kết quả điều tra,....
2. Công tác điều tra thực địa
Thống kê cấp tỉnh chỉ đạo tổ chức thu thập thông tin tại địa bàn, bảo đảm việc thu thập thông tin thực hiện đúng yêu cầu chất lượng và thời gian quy định.
3. Công tác kiểm tra, giám sát
Nhằm bảo đảm chất lượng của cuộc điều tra, công tác kiểm tra, giám sát được thực hiện ở tất cả các khâu của cuộc điều tra.
Nội dung kiểm tra, giám sát bao gồm: Kiểm tra, giám sát việc tổ chức các lớp tập huấn, thu thập thông tin của đơn vị điều tra, số lượng và chất lượng thông tin do đơn vị cung cấp,...
Hình thức kiểm tra, giám sát: Kiểm tra, giám sát trực tiếp công tác tập huấn và thu thập thông tin tại địa bàn; kiểm tra, giám sát trực tuyến trên Trang Web điều hành tác nghiệp.
Để bảo đảm chất lượng thông tin thu thập, công tác kiểm tra giám sát chất lượng phiếu điều tra được thực hiện ngay trong quá trình thu thập thông tin, GSV thường xuyên kiểm tra dữ liệu trên chương trình phần mềm và thông báo đề nghị đơn vị điều tra, ĐTV xác minh hoàn thiện phiếu điều tra.
4. Nghiệm thu, tổng hợp thông tin
a) Nghiệm thu phiếu điều tra
Quy trình nghiệm thu như sau:
- Cơ quan thống kê cấp tỉnh chỉ đạo công tác kiểm tra và nghiệm thu dữ liệu điều tra của tất cả các ĐBĐT được phân công trên địa bàn.
- Cơ quan thống kê trung ương kiểm tra và nghiệm thu dữ liệu điều tra cấp tỉnh.
b) Tổng hợp thông tin
Kết quả điều tra được tổng hợp và suy rộng cho cấp tỉnh.
b.1) Tổng hợp kết quả điều tra toàn bộ
(1) Đối với các thôn có rừng: Kết quả điều tra toàn bộ được tổng hợp cho từng xã từ phiếu số 01/ĐTLNTHON, phiếu số 06/ĐTLN-HO-GIONG theo các chỉ tiêu sau:
- Diện tích rừng trồng mới;
- Diện tích rừng trồng được chăm sóc;
- Diện tích rừng tự nhiên được khoanh nuôi, xúc tiến tái sinh;
- Diện tích rừng được bảo vệ;
- Số cây lâm nghiệp trồng phân tán do xã, thôn trực tiếp thực hiện;
- Diện tích, số cây giống lâm nghiệp sản xuất và doanh thu bán cây giống;
- Diện tích rừng trồng cho khai thác phân theo nhóm gỗ;
- Diện tích hiện có, diện tích trồng mới và diện tích cho thu hoạch theo loại cây lâm nghiệp trọng điểm.
Sau khi hoàn thành công tác thu thập thông tin, trưởng thôn hoặc người có trách nhiệm thu thập thông tin gửi phiếu điều tra về UBND xã. Công chức thống kê cấp xã có trách nhiệm kiểm tra, đối chiếu thông tin trong phiếu với số liệu từ hồ sơ hành chính như: hồ sơ kiểm kê đất đai, kiểm kê rừng, thông tin từ kiểm lâm địa bàn..., để tổng hợp cho toàn xã theo mẫu quy định, trình lãnh đạo UBND xã ký, đóng dấu và gửi Thống kê cơ sở phụ trách địa bàn.
(2) Đối với doanh nghiệp, hợp tác xã, ban quản lý rừng, tổ chức kinh tế, tổ chức khác có hoạt động sản xuất lâm nghiệp trong kỳ điều tra: Kết quả điều tra được tổng hợp từ phiếu số 02/ĐTLN-DN,TCK theo các chỉ tiêu sau:
- Diện tích rừng trồng mới;
- Diện tích rừng trồng được chăm sóc;
- Diện tích rừng tự nhiên được khoanh nuôi, xúc tiến tái sinh;
- Diện tích rừng được bảo vệ;
- Diện tích và số cây giống lâm nghiệp sản xuất;
- Số cây lâm nghiệp trồng phân tán;
- Diện tích và sản lượng gỗ khai thác;
- Sản lượng sản phẩm ngoài gỗ khai thác, thu nhặt từ rừng và từ cây lâm nghiệp trồng phân tán;
- Chi phí hoạt động trồng và chăm sóc rừng trồng;
- Doanh thu bán sản phẩm lâm nghiệp và hoạt động dịch vụ lâm nghiệp.
Thống kê cơ sở có trách nhiệm kiểm tra, xác minh và đối chiếu thông tin trong phiếu của các đơn vị điều tra với thông tin từ các đơn vị liên quan.
b.2) Suy rộng kết quả điều tra mẫu
(1) Suy rộng đối với sản lượng gỗ từ rừng trồng cho khai thác
Sản lượng gỗ khai thác được suy rộng theo từng nhóm gỗ:
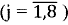
- Tính năng suất khai thác gỗ bình quân một ha của mẫu điều tra theo công thức:
![]()
Trong đó:
: Năng suất khai thác gỗ bình quân một ha của nhóm gỗ thứ j
của mẫu điều tra trong kỳ điều tra, tính bằng m3/ha;
xi j: Sản lượng gỗ khai thác của hộ mẫu thứ i, nhóm gỗ j trong kỳ điều tra, tính bằng m3;
di j: Diện tích rừng trồng được khai thác trong kỳ điều tra của hộ mẫu thứ i, nhóm gỗ j, tính bằng ha.
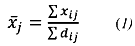
- Suy rộng sản lượng gỗ khai thác cho toàn tỉnh của hộ có diện tích rừng trồng được khai thác trong kỳ điều tra theo công thức:
![]()
Trong đó:
- Xj: Sản lượng gỗ khai thác nhóm gỗ j
toàn tỉnh của hộ trong kỳ điều tra, tính bằng m3;
-
: Năng suất khai thác gỗ bình quân một ha của nhóm gỗ thứ j
;
- Dj: Diện tích rừng trồng được khai thác toàn tỉnh của hộ trong kỳ điều tra của nhóm gỗ thứ j
, tính bằng ha;
(2) Suy rộng sản lượng gỗ khai thác từ cây lâm nghiệp trồng phân tán của hộ trong kỳ điều tra
Bước 1: Suy rộng tổng sản lượng gỗ khai thác từ cây lâm nghiệp trồng phân tán của hộ theo công thức:
![]()
Trong đó:
H: Tổng sản lượng gỗ khai thác từ cây lâm nghiệp trồng phân tán của hộ trên toàn tỉnh trong kỳ điều tra, đơn vị tính m3;
hij: Sản lượng gỗ khai thác từ cây lâm nghiệp trồng phân tán trong kỳ điều tra của hộ điều tra mẫu thứ i trên thôn mẫu j, đơn vị tính m3;
Nj: Tổng số hộ của thôn mẫu thứ j;
nj: Tổng số hộ mẫu thuộc thôn mẫu thứ j (mỗi thôn mẫu chọn 10 hộ mẫu);
P: Tổng số hộ thuộc các thôn có rừng của toàn tỉnh;
∑Nj: Tổng số hộ của các thôn mẫu của toàn tỉnh.
Bước 2: Suy rộng sản lượng gỗ khai thác từ cây lâm nghiệp trồng phân tán của hộ theo từng nhóm gỗ theo công thức:

Trong đó:
Hj : Tổng sản lượng gỗ nhóm j
khai thác từ cây lâm nghiệp trồng phân tán toàn tỉnh trong kỳ điều tra của hộ, tính bằng m3;
H: Tổng sản lượng gỗ khai thác từ cây lâm nghiệp trồng phân tán toàn tỉnh của hộ trong kỳ điều tra, đơn vị tính m3;
fj : Tỷ trọng sản lượng gỗ nhóm j
trong tổng sản lượng gỗ khai thác từ cây lâm nghiệp trồng phân tán của các hộ mẫu, tính bằng %;
hij : Sản lượng gỗ nhóm j
khai thác từ cây lâm nghiệp trồng phân tán hộ mẫu i, tính bằng m3;
hi : Sản lượng gỗ khai thác từ cây lâm nghiệp trồng phân tán của hộ mẫu i
(3) Suy rộng đối với sản lượng sản phẩm lâm nghiệp ngoài gỗ khai thác, thu nhặt của hộ trong kỳ điều tra theo công thức:

Trong đó:
Yk: Tổng sản lượng sản phẩm loại k
khai thác, thu nhặt từ rừng và từ cây lâm nghiệp trồng phân tán của hộ trong kỳ điều tra;
: Sản lượng sản phẩm loại k
của hộ điều tra mẫu i của thôn mẫu j;
Nj: Tổng số hộ của thôn mẫu thứ j;
nj: Tổng số hộ mẫu thuộc thôn mẫu thứ j (mỗi địa bàn điều tra mẫu chọn 10 hộ mẫu);
P: Tổng số hộ thuộc các thôn có rừng của toàn tỉnh;
∑Nj: Tổng số hộ của các thôn mẫu của toàn tỉnh.
(4) Suy rộng số cây lâm nghiệp phân tán trồng mới của hộ trong kỳ điều tra theo công thức:

Trong đó:
L: Tổng số cây lâm nghiệp phân tán trồng mới trong kỳ điều tra toàn tỉnh của hộ;
lij: Số cây lâm nghiệp phân tán trồng mới trong kỳ điều tra của hộ điều tra mẫu i của thôn mẫu j;
Nj: Tổng số hộ của thôn mẫu thứ j;
nj: Tổng số hộ mẫu thuộc thôn mẫu thứ j (mỗi địa bàn điều tra mẫu chọn 10 hộ mẫu);
P: Tổng số hộ thuộc các thôn có rừng của toàn tỉnh;
∑Nj: Tổng số hộ của các thôn mẫu của toàn tỉnh.
(5) Suy rộng đối với sản lượng sản phẩm lâm nghiệp trọng điểm của hộ trồng và cho thu hoạch trong kỳ điều tra
- Tính năng suất thu hoạch bình quân một ha của mẫu điều tra theo công thức:

Trong đó:
: Năng suất thu hoạch sản phẩm lâm nghiệp trọng điểm loại j bình quân một ha
của mẫu điều tra trong kỳ điều tra;
zij: Sản lượng sản phẩm lâm nghiệp trọng điểm loại j
của hộ mẫu thứ i trong kỳ điều tra;
dij: Diện tích thu hoạch sản phẩm lâm nghiệp trọng điểm loại j
của hộ mẫu thứ i trong kỳ điều tra, tính bằng ha.
- Suy rộng sản lượng sản phẩm lâm nghiệp trọng điểm trồng cho thu hoạch toàn tỉnh của hộ trong kỳ điều tra theo công thức:
![]()
Trong đó:
Zj: Sản lượng sản phẩm lâm nghiệp trọng điểm thu hoạch loại j
toàn tỉnh của hộ trong kỳ điều tra;
: Năng suất thu hoạch sản phẩm lâm nghiệp trọng điểm loại j bình quân một ha
của mẫu điều tra trong kỳ điều tra;
Dj: Diện tích thu hoạch sản phẩm lâm nghiệp trọng điểm loại j
toàn tỉnh của hộ trong kỳ điều tra.
b.3) Tổng hợp kết quả điều tra toàn tỉnh
Kết quả điều tra của toàn tỉnh được tổng hợp theo từng loại chỉ tiêu thuộc nội dung điều tra của từng loại đơn vị điều tra theo nguyên tắc cộng kết quả điều tra toàn bộ và kết quả suy rộng mẫu điều tra, được thể hiện cụ thể trong bảng dưới đây:
| STT | Chỉ tiêu | Kết quả điều tra toàn bộ | Kết quả suy rộng từ điều tra chọn mẫu |
| 1 | Diện tích rừng trồng mới tập trung | x |
|
| 2 | Diện tích rừng trồng được chăm sóc | x |
|
| 3 | Diện tích rừng tự nhiên được khoanh nuôi, xúc tiến tái sinh | x |
|
| 4 | Số cây lâm nghiệp trồng phân tán | x | x |
| 5 | Số cây giống lâm nghiệp sản xuất | x |
|
| 6 | Diện tích rừng được bảo vệ | x |
|
| 7 | Sản lượng gỗ khai thác | x | x |
| 8 | Sản lượng sản phẩm lâm nghiệp ngoài gỗ được khai thác, thu nhặt từ rừng và từ cây lâm nghiệp trồng phân tán | x | x |
| 9 | Sản lượng sản phẩm lâm nghiệp trọng điểm | x | x |
| 10 | Doanh thu từ hoạt động dịch vụ lâm nghiệp (thu thập từ doanh nghiệp, HTX và các tổ chức) | x |
|
| 11 | Chi phí hoạt động trồng và chăm sóc rừng trồng | x |
|
Cục Thống kê chỉ đạo, phân công các đơn vị trực thuộc thực hiện kiểm tra, làm sạch và hoàn thiện cơ sở dữ liệu phục vụ tổng hợp và phân tích kết quả điều tra; thực hiện tính quyền số và tổng hợp kết quả đầu ra.
X. KINH PHÍ VÀ CÁC ĐIỀU KIỆN VẬT CHẤT CHO ĐIỀU TRA
Kinh phí điều tra lâm nghiệp do Ngân sách nhà nước bảo đảm cho các hoạt động quy định trong Phương án này. Việc quản lý, sử dụng và quyết toán kinh phí được thực hiện theo Thông tư số 109/2016/TT-BTC ngày 30/6/2016 của Bộ Tài chính quy định về lập dự toán, quản lý, sử dụng và quyết toán kinh phí thực hiện các cuộc điều tra thống kê, tổng điều tra thống kê quốc gia; Thông tư số 37/2022/TT-BTC ngày 22/6/2022 của Bộ Tài chính về sửa đổi, bổ sung khoản 9 Điều 3 và Mẫu số 01 kèm theo Thông tư số 109/2016/TT-BTC ngày 30/6/2016 của Bộ Tài chính quy định về lập dự toán, quản lý, sử dụng và quyết toán kinh phí thực hiện các cuộc điều tra thống kê, tổng điều tra thống kê quốc gia và các quy định có liên quan.
Cục Thống kê có trách nhiệm hướng dẫn việc quản lý, sử dụng và quyết toán kinh phí điều tra theo đúng quy định của văn bản hiện hành.
Trong phạm vi dự toán được giao, Thủ trưởng các đơn vị được giao nhiệm vụ chịu trách nhiệm tổ chức thực hiện tốt cuộc điều tra lâm nghiệp theo đúng nội dung của Phương án điều tra, văn bản hướng dẫn và các chế độ tài chính hiện hành.
Các điều kiện vật chất khác: Sử dụng cơ sở hạ tầng sẵn có của ngành Thống kê./.
[1] Tham khảo phần giải thích về thú rừng theo Luật Lâm nghiệp 2017
[2] Điều tra viên được tuyển chọn là trưởng thôn hoặc người nắm được thông tin về kết quả sản xuất lâm nghiệp trên địa bàn.
[3] Các mục có số thứ tự: 1, 2, 3, 4, 5, 9, 10, 11 thực hiện năm xây dựng và ban hành phương án: các mục còn lại theo năm điều tra.
Bạn chưa Đăng nhập thành viên.
Đây là tiện ích dành cho tài khoản thành viên. Vui lòng Đăng nhập để xem chi tiết. Nếu chưa có tài khoản, vui lòng Đăng ký tại đây!
Bạn chưa Đăng nhập thành viên.
Đây là tiện ích dành cho tài khoản thành viên. Vui lòng Đăng nhập để xem chi tiết. Nếu chưa có tài khoản, vui lòng Đăng ký tại đây!