- Tổng quan
- Nội dung
- VB gốc
- Tiếng Anh
- Hiệu lực
- VB liên quan
- Lược đồ
-
Nội dung hợp nhất
Tính năng này chỉ có tại LuatVietnam.vn. Nội dung hợp nhất tổng hợp lại tất cả các quy định còn hiệu lực của văn bản gốc và các văn bản sửa đổi, bổ sung, đính chính... trên một trang. Việc hợp nhất văn bản gốc và những văn bản, Thông tư, Nghị định hướng dẫn khác không làm thay đổi thứ tự điều khoản, nội dung.
Khách hàng chỉ cần xem Nội dung hợp nhất là có thể nắm bắt toàn bộ quy định hiện hành đang áp dụng, cho dù văn bản gốc đã qua nhiều lần chỉnh sửa, bổ sung.
- Tải về
Quyết định 1030/QĐ-CTK 2025 của Cục Thống kê ban hành phương án điều tra thủy sản
| Cơ quan ban hành: | Cục Thống kê |
Số công báo:
Số công báo là mã số ấn phẩm được đăng chính thức trên ấn phẩm thông tin của Nhà nước. Mã số này do Chính phủ thống nhất quản lý.
|
Đang cập nhật |
| Số hiệu: | 1030/QĐ-CTK | Ngày đăng công báo: | Đang cập nhật |
| Loại văn bản: | Quyết định | Người ký: | Nguyễn Thị Hương |
| Trích yếu: | Ban hành Phương án điều tra thủy sản | ||
|
Ngày ban hành:
Ngày ban hành là ngày, tháng, năm văn bản được thông qua hoặc ký ban hành.
|
15/08/2025 |
Ngày hết hiệu lực:
Ngày hết hiệu lực là ngày, tháng, năm văn bản chính thức không còn hiệu lực (áp dụng).
|
Đang cập nhật |
|
Áp dụng:
Ngày áp dụng là ngày, tháng, năm văn bản chính thức có hiệu lực (áp dụng).
|
Đã biết
|
Tình trạng hiệu lực:
Cho biết trạng thái hiệu lực của văn bản đang tra cứu: Chưa áp dụng, Còn hiệu lực, Hết hiệu lực, Hết hiệu lực 1 phần; Đã sửa đổi, Đính chính hay Không còn phù hợp,...
|
Đã biết
|
| Lĩnh vực: | Nông nghiệp-Lâm nghiệp | ||
TÓM TẮT QUYẾT ĐỊNH 1030/QĐ-CTK
Quyết định 1030/QĐ-CTK: Phương án điều tra thủy sản ảnh hưởng đến ngành thủy sản
Quyết định 1030/QĐ-CTK của Cục Thống kê, ban hành ngày 15/08/2025, có hiệu lực từ ngày ký và yêu cầu thực hiện Phương án điều tra thủy sản bắt đầu từ ngày 01/12/2025. Quyết định này cung cấp khung pháp lý cho cuộc điều tra nhằm thu thập thông tin chi tiết về hoạt động nuôi trồng và khai thác thủy sản trên toàn quốc.
Mục đích chính của cuộc điều tra là thu thập thông tin phục vụ cho việc tính toán các chỉ tiêu thống kê cấp quốc gia và địa phương liên quan đến ngành thủy sản, từ đó hỗ trợ cho việc quản lý và hoạch định chính sách phát triển sản xuất thủy sản. Ngành thủy sản cần chú ý đến việc bảo mật thông tin và sử dụng kinh phí điều tra theo quy định.
Phạm vi điều tra sẽ bao gồm toàn bộ các tỉnh, thành phố trực thuộc trung ương và tập trung vào các loại thủy sản, bao gồm cá, tôm và các giống thủy sản khác. Đối tượng được điều tra là các hộ gia đình nuôi trồng thủy sản, các tổ chức, hợp tác xã và doanh nghiệp thuộc lĩnh vực này.
Quy trình điều tra sẽ áp dụng cả phương pháp điều tra toàn bộ và điều tra chọn mẫu, với việc thu thập thông tin được thực hiện thông qua phỏng vấn và phiếu điện tử. Thời gian thu thập thông tin tối đa là 25 ngày cho các kỳ điều tra chính vào tháng 6 và tháng 12.
Mục nội dung điều tra rất phong phú, sẽ gồm có diện tích nuôi trồng, sản lượng thủy sản, số lượng tàu thuyền khai thác, doanh thu từ việc bán giống thủy sản và nhiều thông tin khác liên quan đến hoạt động của ngành thủy sản.
Ban Điều tra thống kê được giao chủ trì thực hiện và phối hợp với các cơ quan liên quan để triển khai kế hoạch chi tiết, bảo đảm các bước tổ chức và hướng dẫn thực hiện đúng quy định. Quyết định này cũng yêu cầu các đơn vị liên quan phải chịu trách nhiệm thi hành các quy định trong Phương án điều tra.
Tóm lại, Nội dung của Quyết định 1030/QĐ-CTK sẽ có ảnh hưởng sâu rộng đối với việc quản lý hoạt động thủy sản và đóng góp cho phát triển bền vững của ngành này.
Xem chi tiết Quyết định 1030/QĐ-CTK có hiệu lực kể từ ngày 15/08/2025
Tải Quyết định 1030/QĐ-CTK
| BỘ TÀI CHÍNH Số: 1030/QĐ-CTK | CỘNG HÒA XÃ HỘI CHỦ NGHĨA VIỆT NAM Hà Nội, ngày 15 tháng 8 năm 2025 |
QUYẾT ĐỊNH
Ban hành Phương án điều tra thủy sản
_______
CỤC TRƯỞNG CỤC THỐNG KÊ
Căn cứ Luật Thống kê ngày 23 tháng 11 năm 2015; Luật sửa đổi, bổ sung một số điều và Phụ lục Danh mục chỉ tiêu thống kê quốc gia của Luật Thống kê ngày 12 tháng 11 năm 2021;
Căn cứ Nghị định số 94/2016/NĐ-CP ngày 01 tháng 7 năm 2016 của Chính phủ quy định chi tiết và hướng dẫn thi hành một số điều của Luật Thống kê;
Căn cứ Nghị định số 94/2022/NĐ-CP ngày 07 tháng 11 năm 2022 của Chính phủ quy định nội dung chỉ tiêu thống kê thuộc hệ thống chỉ tiêu thống kê quốc gia và quy trình biên soạn chỉ tiêu tổng sản phẩm trong nước, chỉ tiêu tổng sản phẩm trên địa bàn tỉnh, thành phố trực thuộc trung ương;
Căn cứ Nghị định số 62/2024/NĐ-CP ngày 07 tháng 6 năm 2024 của Chính phủ sửa đổi, bổ sung một số điều, Phụ lục của Nghị định số 94/2016/NĐ-CP ngày 01 tháng 7 năm 2016 của Chính phủ quy định chi tiết và hướng dẫn thi hành một số điều của Luật Thống kê và Nghị định số 94/2022/NĐ-CP ngày 07 tháng 11 năm 2022 của Chính phủ quy định nội dung chỉ tiêu thống kê thuộc hệ thống chỉ tiêu thống kê quốc gia và quy trình biên soạn chỉ tiêu tổng sản phẩm trong nước, chỉ tiêu tổng sản phẩm trên địa bàn tỉnh, thành phố trực thuộc trung ương;
Căn cứ Nghị định số 29/2025/NĐ-CP ngày 24 tháng 02 năm 2025 của Chính phủ quy định chức năng, nhiệm vụ, quyền hạn và cơ cấu tổ chức của Bộ Tài chính;
Căn cứ Nghị định số 166/2025/NĐ-CP ngày 30 tháng 6 năm 2025 của Chính phủ sửa đổi, bổ sung một số điều của Nghị định số 29/2025/NĐ-CP ngày 24 tháng 02 năm 2025 của Chính phủ quy định chức năng, nhiệm vụ, quyền hạn và cơ cấu tổ chức của Bộ Tài chính;
Căn cứ Nghị định số 130/2025/NĐ-CP ngày 11 tháng 6 năm 2025 của Chính phủ quy định về phân quyền, phân cấp trong lĩnh vực thống kê;
Căn cứ Quyết định số 03/2023/QĐ-TTg ngày 15 tháng 02 năm 2023 của Thủ tướng Chính phủ về việc ban hành Chương trình điều tra thống kê quốc gia;
Căn cứ Quyết định số 384/QĐ-BTC ngày 26 tháng 02 năm 2025 của Bộ Tài chính quy định chức năng, nhiệm vụ, quyền hạn và cơ cấu tổ chức của Cục Thống kê;
Căn cứ Quyết định số 2288/QĐ-BTC ngày 30 tháng 6 năm 2025 của Bộ trưởng Bộ Tài chính sửa đổi, bổ sung Quyết định số 384/QĐ-BTC ngày 26 tháng 02 năm 2025 của Bộ Tài chính quy định chức năng, nhiệm vụ, quyền hạn và cơ cấu tổ chức của Cục Thống kê;
Căn cứ Quyết định số 1892/QĐ-BTC ngày 30 tháng 5 năm 2025 của Bộ trưởng Bộ Tài chính về sửa đổi, bổ sung các Quyết định quy định chức năng, nhiệm vụ, quyền hạn và cơ cấu tổ chức của đơn vị thuộc Bộ Tài chính;
Căn cứ Quyết định số 1933/QĐ-BTC ngày 02 tháng 6 năm 2025 của Bộ trưởng Bộ Tài chính về việc ban hành Kế hoạch điều tra thống kê năm 2026 của Bộ Tài chính do Cục Thống kê chủ trì thực hiện;
Theo đề nghị của Trưởng ban Ban Điều tra thống kê.
QUYẾT ĐỊNH:
Điều 1. Ban hành kèm theo Quyết định này Phương án điều tra thủy sản thực hiện từ 01/12/2025. Quyết định này có hiệu lực kể từ ngày ký.
Điều 2. Giao Ban Điều tra thống kê chủ trì, phối hợp với Ban Thống kê Nông, Lâm nghiệp và Thủy sản và đơn vị liên quan xây dựng kế hoạch thực hiện chi tiết; thiết kế mẫu, phiếu điều tra và các nội dung liên quan khác trình Lãnh đạo Cục ban hành; chỉ đạo tổ chức và hướng dẫn thực hiện cuộc điều tra theo đúng quy định của Phương án điều tra.
Điều 3. Trưởng ban Ban Điều tra thống kê, Trưởng ban Ban Thống kê Nông, Lâm nghiệp và Thủy sản, Trưởng ban Ban Kế hoạch tài chính, Chánh Văn phòng và Thủ trưởng các đơn vị liên quan chịu trách nhiệm thi hành Quyết định này./.
| Nơi nhận: | CỤC TRƯỞNG |
| BỘ TÀI CHÍNH | CỘNG HÒA XÃ HỘI CHỦ NGHĨA VIỆT NAM |
PHƯƠNG ÁN ĐIỀU TRA THỦY SẢN
(Kèm theo Quyết định số 1030/QĐ-CTK ngày 15 tháng 8 năm 2025 của Cục trưởng Cục Thống kê)
_______
I. MỤC ĐÍCH, YÊU CẦU ĐIỀU TRA
1. Mục đích điều tra
Điều tra thủy sản là cuộc điều tra thuộc Chương trình điều tra thống kê quốc gia được thực hiện nhằm mục đích thu thập thông tin về kết quả hoạt động nuôi trồng và khai thác thủy sản phục vụ tính toán các chỉ tiêu thống kê cấp quốc gia, cấp tỉnh của ngành thủy sản; đáp ứng yêu cầu quản lý, lập kế hoạch, quy hoạch, hoạch định các chính sách phát triển sản xuất thủy sản của các cấp, các ngành và nhu cầu thông tin của các đối tượng dùng tin khác.
2. Yêu cầu điều tra
- Thực hiện điều tra đúng các nội dung quy định trong Phương án điều tra.
- Bảo mật thông tin thu thập từ các đối tượng điều tra theo quy định của Luật Thống kê.
- Quản lý và sử dụng kinh phí của cuộc điều tra đúng chế độ hiện hành, sử dụng kinh phí tiết kiệm, hiệu quả.
- Kết quả điều tra phải đáp ứng yêu cầu của người dùng tin trong và ngoài nước; bảo đảm tính so sánh quốc tế.
II. PHẠM VI, ĐỐI TƯỢNG, ĐƠN VỊ ĐIỀU TRA
1. Phạm vi điều tra
Điều tra thủy sản được thực hiện trên toàn bộ các tỉnh, thành phố trực thuộc trung ương (viết gọn là tỉnh).
2. Đối tượng điều tra
- Các loại thủy sản (cá, tôm, thủy sản khác, giống thủy sản) được nuôi trồng, khai thác của các đơn vị điều tra;
- Tàu thuyền khai thác thủy sản biển.
3. Đơn vị điều tra
- Thôn, ấp, bản,... của xã (gọi chung là thôn) có hoạt động nuôi trồng thủy sản trên địa bàn;
- Tổ dân phố, khu phố, tiểu khu,... của phường, đặc khu (gọi chung là tổ dân phố) có diện tích nuôi trồng thủy sản trên địa bàn từ 0,2 ha trở lên;
- UBND xã, phường, đặc khu (gọi chung là UBND xã) có hoạt động khai thác thủy sản biển trên địa bàn;
- Doanh nghiệp, hợp tác xã, tổ chức khác có nuôi trồng thủy sản; sản xuất, thuần dưỡng giống thủy sản; nuôi cá cảnh;
- Hộ nuôi trồng thủy sản[1]; hộ chuyên sản xuất, thuần dưỡng giống thủy sản; hộ chuyên nuôi cá cảnh;
- Hộ khai thác thủy sản nội địa và hộ khai thác thủy sản biên không sử dụng phương tiện cơ giới;
- Cơ sở sử dụng tàu, thuyền có động cơ khai thác thủy sản biển.
III. LOẠI ĐIỀU TRA
Cuộc điều tra thực hiện kết hợp giữa điều tra toàn bộ với điều tra chọn mẫu cụ thể như sau:
1. Điều tra toàn bộ
Áp dụng với các đơn vị điều tra:
- Thôn có hoạt động nuôi trồng thủy sản trên địa bàn;
- Tổ dân phố có diện tích nuôi trồng thủy sản trên địa bàn từ 0,2 ha trở lên;
- UBND xã có hoạt động khai thác thủy sản biển trên địa bàn các tỉnh ven biển và tỉnh Tây Ninh;
- Doanh nghiệp, hợp tác xã, tổ chức khác có nuôi trồng thủy sản; sản xuất, thuần dưỡng giống thủy sản; chuyên nuôi cá cảnh.
- Hộ chuyên sản xuất, thuần dưỡng giống thủy sản; các hộ chuyên nuôi cá cảnh.
2. Điều tra chọn mẫu
Áp dụng với các đơn vị điều tra:
- Hộ nuôi trồng thủy sản;
- Tàu/thuyền khai thác thủy sản biển có động cơ;
- Hộ khai thác thủy sản nội địa (điều tra đại diện một số tỉnh);
- Hộ khai thác thủy sản biển không sử dụng phương tiện cơ giới.
Cục Thống kê chịu trách nhiệm thiết kế mẫu, hướng dẫn việc rà soát, cập nhật và thay thế mẫu điều tra tương ứng với từng kỳ điều tra.
IV. THỜI ĐIỂM, THỜI GIAN VÀ PHƯƠNG PHÁP ĐIỀU TRA
1. Thời điểm điều tra
(1) Đối với kỳ điều tra 01/6: Thực hiện vào ngày 01/6;
(2) Đối với kỳ điều tra 01/12: Thực hiện vào ngày 01/12;
(3) Đối với kỳ điều tra hằng tháng: Thực hiện vào các ngày rải đều trong tháng đối với điều tra khai thác thủy sản biển bằng tàu/thuyền có động cơ.
2. Thời điểm, thời kỳ số liệu
- Thời điểm số liệu
(1) Đối với kỳ điều tra 01/6: Là thông tin của chỉ tiêu thống kê có tại ngày 01/6 năm điều tra.
(2) Đối với kỳ điều tra 01/12: Là thông tin của chỉ tiêu thống kê có tại ngày 01/12 năm điều tra.
(3) Đối với kỳ điều tra hằng tháng: Là thông tin của chỉ tiêu thống kê có tại ngày thực hiện điều tra.
- Thời kỳ số liệu
(1) Đối với kỳ điều tra 01/6: Là thông tin của chỉ tiêu thống kê phát sinh trong 06 tháng trước thời điểm điều tra, tính từ 01/12 năm trước đến 31/5 năm điều tra.
(2) Đối với kỳ điều tra 01/12: Là thông tin của chỉ tiêu thống kê phát sinh trong 06 tháng, tính từ 01/6 đến 30/11 năm điều tra đối với các tỉnh thực hiện điều tra 02 kỳ/năm; và 12 tháng, tính từ 01/12 năm trước đến 30/11 năm điều tra đối với các tỉnh thực hiện điều tra 01 kỳ/năm.
Riêng điều tra khai thác thủy sản nội địa và điều tra khai thác thủy sản biển không dùng phương tiện cơ giới, thời kỳ số liệu là 12 tháng, tính từ 01/12 năm trước đến 30/11 năm điều tra đối với các tỉnh thực hiện điều tra.
(3) Đối với kỳ điều tra tháng: Là thông tin của chỉ tiêu thống kê về chuyến khai thác gần thời điểm điều tra nhất.
Cục Thống kê xác định danh sách các tỉnh thực hiện các kỳ điều tra: 01/6; 01/12 và điều tra hằng tháng.
3. Thời gian thu thập thông tin
- Điều tra kỳ 01/6 và 01/12: Thời gian thu thập thông tin tại địa bàn tối đa là 25 ngày.
- Điều tra hằng tháng: Thời gian thu thập thông tin rải đều các ngày trong tháng.
4. Phương pháp điều tra
Áp dụng hai phương pháp thu thập thông tin:
a) Thu thập thông tin trực tiếp: Áp dụng với các hộ nuôi trồng, khai thác thủy sản; tàu/thuyền khai thác thủy sản biển:
Điều tra viên (ĐTV) đến gặp trực tiếp chủ hộ, chủ tàu/thuyền (hoặc người nắm được tình hình sản xuất nuôi trồng, khai thác thủy sản của hộ) để phỏng vấn và điền thông tin vào phiếu điều tra điện tử được cài đặt trên thiết bị di động (CAPI).
Đối với điều tra sản lượng khai thác thủy sản biển, trong kỳ điều tra, trường hợp tàu mẫu vẫn chưa cập bến, có thể tìm một tàu khác có cùng nghề khai thác và công suất tương đương đã về bến để thay thế.
Riêng đối với điều tra hoạt động tàu, nếu ĐTV không liên lạc được với chủ tàu mẫu thì có thể khai thác qua các nguồn khác như người nhà của chủ tàu,... không được thay thế tàu mẫu đã chọn.
b) Thu thập thông tin gián tiếp
- Đối với đơn vị điều tra là doanh nghiệp, hợp tác xã, tổ chức khác.
Các đơn vị thực hiện cung cấp thông tin trên Trang thông tin điện tử của điều tra thủy sản (Webform). ĐTV sẽ cung cấp tài khoản đăng nhập hệ thống trước khi tiến hành điều tra.
- Đối với đơn vị điều tra phiếu thôn, tổ dân phố; UBND xã.
Thống kê tỉnh cung cấp tài khoản truy cập trang Web cho cấp xã và phối hợp với Lãnh đạo xã lựa chọn, hướng dẫn người được giao nhiệm vụ thu thập số liệu và hoàn thiện phiếu điều tra trên trang Web.
Đối với UBND cấp xã: Công chức cấp xã phối hợp với người được giao nhiệm vụ ở cấp thôn hoàn thiện kê khai thông tin phiếu điều tra trên trang Web.
V. NỘI DUNG, PHIẾU ĐIỀU TRA
1. Nội dung điều tra
Cuộc điều tra thu thập các thông tin chủ yếu sau:
- Diện tích thu hoạch thủy sản, diện tích mặt nước nuôi trồng thủy sản, thể tích nuôi trồng, thu hoạch thủy sản chia theo loại hình mặt nước, loại thủy sản, hình thức nuôi trồng và phương thức nuôi trồng;
- Số lượng, công suất và chiều dài tàu/thuyền khai thác thủy sản biên theo nghề khai thác;
- Số ngày hoạt động của tàu/thuyền khai thác biển;
- Sản lượng thủy sản nuôi trồng và khai thác;
- Số lượng con giống và doanh thu bán giống thủy sản, thuần dưỡng giống;
- Số lượng cá cảnh và doanh thu bán cá cảnh;
- Khối lượng và doanh thu bán sản phẩm đối với hoạt động nuôi trồng và khai thác thủy sản.
2. Phiếu điều tra
Các loại phiếu điều tra được sử dụng trong cuộc điều tra này bao gồm:
(1) Phiếu số 01A-6T.N/ĐTTS-THON: Phiếu thu thập thông tin tình hình cơ bản về nuôi trồng và khai thác thủy sản nội địa của hộ trên địa bàn cấp thôn;
(2) Phiếu số 01B-6T/ĐTTS-XA: Phiếu thu thập thông tin về tàu, thuyền khai thác thủy sản biển và số hộ khai thác thủy sản biển không dùng phương tiện cơ giới trên địa bàn cấp xã;
(3) Phiếu số 02-6T.N/ĐTTS-DN,HTX: Phiếu thu thập thông tin về kết quả hoạt động nuôi trồng thủy sản của doanh nghiệp, hợp tác xã và tổ chức khác;
(4) Phiếu số 03-6T.N/ĐTTS-HM: Phiếu thu thập thông tin về kết quả hoạt động nuôi cá tra nước ngọt của hộ mẫu;
(5) Phiếu số 04-6T.N/ĐTTS-HM: Phiếu thu thập thông tin về kết quả hoạt động nuôi tôm nước lợ của hộ mẫu;
(6) Phiếu số 05-6T.N/ĐTTS-HM: Phiếu thu thập thông tin về kết quả hoạt động nuôi thủy sản trọng điểm của hộ mẫu;
(7) Phiếu số 06-6T.N/ĐTTS-HM: Phiếu thu thập thông tin về kết quả hoạt động nuôi thủy sản còn lại của hộ mẫu;
(8) Phiếu số 07-6T.N/ĐTTS-HM: Phiếu thu thập thông tin về kết quả hoạt động nuôi thủy sản trọng điểm lồng, bè của hộ mẫu;
(9) Phiếu số 08-6T.N/ĐTTS-HM: Phiếu thu thập thông tin về kết quả hoạt động nuôi thủy sản còn lại lồng, bè của hộ mẫu;
(10) Phiếu số 09-6T.N/ĐTTS-HO: Phiếu thu thập thông tin về kết quả sản xuất giống, thuần dưỡng giống thủy sản và nuôi cá cảnh của hộ;
(11) Phiếu số 10/ĐTTS-HM: Phiếu thu thập thông tin về khai thác thủy sản nội địa của hộ mẫu;
(12) Phiếu số 11/ĐTTS-HM: Phiếu thu thập thông tin về khai thác thủy sản biển không dùng phương tiện cơ giới của hộ mẫu;
(13) Phiếu số 12A-T/ĐTTS: Phiếu thu thập thông tin về hoạt động tàu/thuyền khai thác thủy sản biển;
(14) Phiếu số 12B-T/ĐTTS-HM: Phiếu thu thập thông tin về sản lượng khai thác thủy sản biển của hộ mẫu.
- Kỳ điều tra 01/6: Áp dụng các loại phiếu mục: (1), (2), (3), (4), (5), (6), (7), (8), (9), (10);
- Kỳ điều tra 01/12: Áp dụng các loại phiếu tương tự kỳ điều tra 01/6 và phiếu mục (11), (12);
- Kỳ điều tra hằng tháng: Áp dụng phiếu mục (13), (14).
VI. PHÂN LOẠI THỐNG KÊ SỬ DỤNG TRONG ĐIỀU TRA
Cuộc điều tra sử dụng các bảng phân loại và danh mục sau:
(1) Danh mục các đơn vị hành chính Việt Nam ban hành theo Quyết định số 19/2025/QĐ-TTg ngày 30/6/2025 của Thủ tướng Chính phủ, cập nhật đến thời điểm điều tra;
(2) Hệ thống ngành kinh tế Việt Nam ban hành theo Quyết định số 27/2018/QĐ-TTg ngày 06 tháng 7 năm 2018 của Thủ tướng Chính phủ và được cập nhật khi có quyết định mới.
(3) Hệ thống ngành sản phẩm Việt Nam ban hành theo Quyết định số 43/2018/QĐ-TTg ngày 01/11/2018 của Thủ tướng Chính phủ (VCPA 2018) và được cập nhật khi có quyết định mới.
VII. QUY TRÌNH XỬ LÝ VÀ BIỂU ĐẦU RA CỦA ĐIỀU TRA
1. Quy trình xử lý thông tin
a) Hoàn thành dữ liệu các phiếu điều tra
- Phiếu điều tra CAPI: Áp dụng mẫu phiếu điều tra số 03-6T.N/ĐTTS-HM; 04-6T.N/ĐTTS-HM; 05-6T.N/ĐTTS-HM; 06-6T.N/ĐTTS-HM; 07-6T.N/ĐTTS- HM; 08-6T.N/ĐTTS-HM; 09-6T.N/ĐTTS-HO; 10/ĐTTS-HM; 11/ĐTTS-HM và 12B-T/ĐTTS-HM.
Trong quá trình điều tra thực địa, thông tin trên phiếu điện tử được ĐTV hoàn thành và gửi về máy chủ của Cục Thống kê. Tại đây, dữ liệu điều tra được công chức thống kê các cấp kiểm tra, duyệt và nghiệm thu số liệu.
- Phiếu điều tra Webform: Áp dụng mẫu phiếu điều tra số 01A-6T.N/ĐTTS-THON; 01B-6T.N/ĐTTS-XA; 02-6T.N/ĐTTS-DN,HTX và 12A-T/ĐTTS.
Dữ liệu được thu thập trên phiếu Webform được lưu trữ trên máy chủ của Cục Thống kê. Dữ liệu điều tra được công chức thống kê các cấp kiểm tra, duyệt, nghiệm thu.
b) Tích hợp vào dữ liệu chung và chiết xuất dữ liệu
Dữ liệu điều tra phiếu CAPI và dữ liệu phiếu điều tra Webform được tích hợp vào Cơ sở dữ liệu chung điều tra thủy sản; được làm sạch, xử lý và tổng hợp kết quả điều tra.
2. Tổng hợp kết quả điều tra
Biểu đầu ra của điều tra thủy sản được thiết kế phục vụ tổng hợp các chỉ tiêu thống kê theo yêu cầu, mục đích điều tra.
VIII. KẾ HOẠCH TIẾN HÀNH ĐIỀU TRA
| STT | Nội dung công việc | Thời gian thực hiện[2] |
| 1 | Xây dựng Quyết định và Phương án điều tra | Tháng 4-8/2025 |
| 2 | Thiết kế và hoàn thiện phiếu điều tra | Tháng 6-8/2025 |
| 3 | Xây dựng Sổ tay hướng dẫn nghiệp vụ | Tháng 6-9/2025 |
| 4 | Xây dựng Sổ tay hướng dẫn sử dụng các phần mềm và tài liệu khác | Tháng 9-11/2025 |
| 5 | Thiết kế mẫu | Tháng 9/2025 |
| 6 | Chọn địa bàn điều tra và rà soát địa bàn điều tra | Hoàn thành sau thời điểm điều tra 15 ngày |
| 7 | Cập nhật bảng kê hộ | Hoàn thành sau thời điểm điều tra 15 ngày |
| 8 | Chọn mẫu hộ | Hoàn thành sau thời điểm điều tra 15 ngày |
| 9 | Xây dựng các chương trình phần mềm điều tra: CAPI; Trang Web điều hành (cập nhật bảng kê, chọn mẫu hộ; quản lý mạng lưới điều tra, giám sát, kiểm tra và nghiệm thu số liệu, tổng hợp nhanh kết quả điều tra, ...) | Tháng 9-11/2025 |
| 10 | Tổ chức hội nghị tập huấn nghiệp vụ cấp trung ương (nếu có) | Tháng 12/2025 |
| 11 | Tổ chức hội nghị tập huấn nghiệp vụ cấp địa phương (nếu có) | Tháng 12/2025 |
| 12 | Thu thập thông tin phiếu điều tra |
|
| 12.1 | Đối với kỳ điều tra 01/6 và kỳ điều tra 01/12 | 25 ngày bắt đầu từ thời điểm điều tra |
|
| - Điều tra tình hình cơ bản | 10 ngày từ thời điểm điều tra |
|
| - Chọn hộ mẫu điều tra | 05 ngày sau khi hoàn thành điều tra cơ bản |
|
| - Thu thập thông tin hộ mẫu
| 10 ngày sau khi hoàn thành chọn mẫu 25 ngày bắt đầu từ thời điểm điều tra. |
| 12.2 | Đối với kỳ điều tra tháng | 10 ngày rải đều trong tháng |
| 13 | Kiểm tra và duyệt dữ liệu điều tra |
|
| 13.1 | Đối với kỳ điều tra 01/6 và kỳ điều tra 01/12 | 10 ngày sau khi kết thúc thu thập thông tin |
| 13.2 | Đối với kỳ điều tra tháng | 10 ngày sau khi kết thúc thu thập thông tin |
| 14 | Xử lý số liệu điều tra |
|
| 14.1 | Đối với kỳ điều tra 01/6 và kỳ điều tra 01/12 | 10 ngày sau khi kết thúc kiểm tra và duyệt dữ liệu điều tra |
| 14.2 | Đối với kỳ điều tra tháng | 10 ngày sau khi kết thúc kiểm tra và duyệt dữ liệu điều tra |
| 15 | Biên soạn báo cáo kết quả chủ yếu của cuộc điều tra | 20 ngày sau khi kết thúc xử lý số liệu điều tra |
IX. TỔ CHỨC THỰC HIỆN
1. Công tác chuẩn bị
a) Chọn mẫu và rà soát địa bàn điều tra; cập nhật bảng kê hộ và chọn hộ điều tra
Hằng năm, Thống kê tỉnh thực hiện chọn mẫu địa bàn điều tra, cập nhật bảng kê hộ theo đúng quy định của Phương án và hướng dẫn công tác lập bảng kê.
b) Tuyển chọn điều tra viên và giám sát viên
- ĐTV: Thủ trưởng đơn vị được giao chủ trì thực hiện điều tra quyết định tuyển chọn ĐTV với số lượng phù hợp với tình hình thực tế của địa phương, dự toán được giao và các quy định tài chính hiện hành.
- Giám sát viên (GSV): Là lực lượng thực hiện công việc giám sát các hoạt động của mạng lưới ĐTV và hỗ trợ chuyên môn cho GSV cấp dưới (nếu có) và các ĐTV trong quá trình điều tra thực địa. GSV có 03 cấp: cấp trung ương, cấp tỉnh và cấp cơ sở.
c) Tập huấn nghiệp vụ
- Thành phần tham gia tập huấn cấp trung ương bao gồm: GSV cấp trung ương, công chức của các đơn vị thuộc Cục Thống kê; lãnh đạo Thống kê tỉnh và giảng viên cấp tỉnh. Tập huấn nghiệp vụ điều tra cấp trung ương được thực hiện đối với năm thay đổi Phương án điều tra hoặc những năm có nội dung nghiệp vụ mới cần hướng dẫn. Cục trưởng Cục Thống kê quy định tổ chức tập huấn nghiệp vụ hằng năm. Thời gian tổ chức hội nghị là 01 ngày.
- Thành phần tập huấn cấp tỉnh bao gồm: ĐTV, GSV và công chức cơ quan thống kê cấp tỉnh. Tập huấn nghiệp vụ điều tra cấp tỉnh được thực hiện khi có sự thay đổi về GSV, ĐTV hoặc nghiệp vụ bổ sung mới cần hướng dẫn. Thủ trưởng cơ quan Thống kê cấp tỉnh quy định tổ chức tập huấn nghiệp vụ hằng năm. Thời gian tập huấn là 01 ngày.
d) Tài liệu điều tra
Tài liệu điều tra bao gồm các tài liệu hướng dẫn nghiệp vụ và hướng dẫn sử dụng phần mềm.
đ) Chương trình phần mềm
Chương trình phần mềm sử dụng trong điều tra bao gồm: Chương trình chọn mẫu đơn vị điều tra, chương trình thu thập thông tin trên Webform, chương trình thu thập thông tin trên máy tính bảng và điện thoại thông minh, chương trình quản lý giám sát, kiểm tra và duyệt phiếu điều tra điện tử, chương trình tổng hợp kết quả điều tra do Cục Thống kê xây dựng.
2. Công tác điều tra thực địa
Thống kê tỉnh chỉ đạo tổ chức thu thập thông tin tại địa bàn, bảo đảm việc thu thập thông tin thực hiện đúng yêu cầu chất lượng và thời gian quy định.
3. Công tác kiểm tra, giám sát
Nhằm bảo đảm chất lượng của cuộc điều tra, công tác kiểm tra, giám sát được thực hiện ở tất cả các khâu của cuộc điều tra.
Nội dung kiểm tra, giám sát bao gồm: Kiểm tra, giám sát việc tổ chức các lớp tập huấn, thu thập thông tin của đơn vị điều tra, số lượng và chất lượng thông tin do đơn vị cung cấp,...
Hình thức kiểm tra, giám sát: Kiểm tra, giám sát trực tiếp công tác tập huấn và thu thập thông tin tại địa bàn; kiểm tra, giám sát trực tuyến trên Trang Web điều hành tác nghiệp.
Để bảo đảm chất lượng thông tin thu thập, công tác kiểm tra giám sát chất lượng phiếu điều tra được thực hiện ngay trong quá trình thu thập thông tin, GSV thường xuyên kiểm tra dữ liệu trên chương trình phần mềm và thông báo đề nghị đơn vị điều tra, ĐTV xác minh hoàn thiện phiếu điều tra.
4. Nghiệm thu, tổng hợp thông tin
a) Nghiệm thu phiếu điều tra
Quy trình nghiệm thu như sau:
- Thống kê tỉnh chỉ đạo công tác kiểm tra và nghiệm thu dữ liệu điều tra của tất cả các địa bàn điều tra được phân công trên Trang thông tin điện tử của cuộc điều tra.
- Cơ quan thống kê trung ương kiểm tra và nghiệm thu dữ liệu điều tra cấp tỉnh.
b) Tổng hợp thông tin
b.1. Tổng hợp kết quả điều tra toàn bộ
- Tổng hợp thông tin về diện tích nuôi trồng thủy sản, diện tích thu hoạch thủy sản theo cấp xã và phân theo loại hình kinh tế từ phiếu điều tra số 01A-6T.N/ĐTTS-THON và phiếu điều tra số 02-6T.N/ĐTTS-DN, HTX;
- Tổng hợp thông tin về kết quả hoạt động sản xuất giống thủy sản theo từng xã và phân theo loại hình kinh tế từ Phiếu số 09-6T.N/ĐTTS-HO và phiếu điều tra số 02-6T.N/ĐTTS-DN,HTX;
- Tổng hợp thông tin về sản lượng thủy sản nuôi trồng của các doanh nghiệp, hợp tác xã và tổ chức khác có hoạt động nuôi trồng thủy sản cho thu hoạch sản phẩm trong kỳ điều tra từ phiếu điều tra số 02-6T.N/ĐTTS-DN,HTX;
- Tổng hợp thông tin về tàu/thuyền khai thác thủy sản biển phân theo nghề, nhóm công suất theo từng xã từ phiếu điều tra số 01B-6T.N/ĐTTS-XA.
b.2. Suy rộng kết quả điều tra nuôi trồng thủy sản
Các thông tin điều tra mẫu được suy rộng và tổng hợp theo cấp tỉnh.
* Đối với thủy sản nuôi theo loại hình ao; nuôi đăng quầng/vèo; nuôi trong ruộng lúa và nuôi khác.
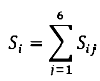
(1) Suy rộng sản lượng thủy sản trọng điểm
Thông tin điều tra mẫu suy rộng cho từng loại thủy sản trọng điểm nuôi trồng theo từng hình thức nuôi; phương thức nuôi và loại hình mặt nước (nước mặn, nước lợ, nước ngọt) như: nuôi ao (siêu thâm canh, thâm canh, bán thâm canh; quảng canh, quảng canh cải tiến); nuôi đăng quầng/vèo; nuôi trong ruộng lúa và nuôi khác.
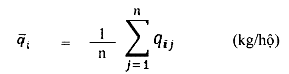
- Tính năng suất thu hoạch bình quân của mẫu điều tra theo loại thủy sản trọng điểm:

Trong đó:
: Năng suất thu hoạch bình quân 1 ha đối với thủy sản trọng điểm i của mẫu điều tra (đơn vị tính: tấn/ha);
Si j: Sản lượng thu hoạch thủy sản trọng điểm i của hộ mẫu j (đơn vị tính: kg);
di j: Diện tích thu hoạch thủy sản trọng điểm i của hộ mẫu j (đơn vị tính: m2).
- Suy rộng sản lượng thủy sản trọng điểm i nuôi trồng của toàn tỉnh:
![]()
Trong đó:
Si: Sản lượng thủy sản trọng điểm i nuôi trồng của toàn tỉnh (đơn vị tính: tấn);
Di: Diện tích thu hoạch thủy sản trọng điểm i của toàn tỉnh (đơn vị tính: ha);
(2) Suy rộng theo nhóm thủy sản
Thông tin điều tra mẫu suy rộng cho từng nhóm thủy sản (nhóm thủy sản gồm: thủy sản nước mặn còn lại; thủy sản nước lợ còn lại; thủy sản nước ngọt còn lại; và thủy sản khác nuôi cùng loại thủy sản trọng điểm) của tỉnh theo từng hình thức nuôi và phương thức nuôi như: nuôi ao (thâm canh, bán thâm canh; quảng canh, quảng canh cải tiến); nuôi đăng quầng/vèo; nuôi trong ruộng lúa và nuôi khác.
- Tính năng suất bình quân của mẫu điều tra theo nhóm thủy sản:

Trong đó:
: Năng suất thu hoạch bình quân 1 ha của nhóm thủy sản i (thủy sản nước mặn còn lại; thủy sản nước lợ còn lại; thủy sản nước ngọt còn lại; thủy sản khác nuôi cùng thủy sản trọng điểm) của mẫu điều tra.
Si j: Sản lượng thu hoạch nhóm thủy sản i của hộ mẫu j (đơn vị tính: kg);
Di j: Diện tích thu hoạch nhóm thủy sản i của hộ mẫu j (đơn vị tính: m2).
- Suy rộng sản lượng nhóm thủy sản nuôi trồng cho tính theo công thức:
![]()
Trong đó:
: Sản lượng thủy sản nuôi trồng suy rộng theo nhóm thủy sản i của toàn tỉnh;
: Diện tích thu hoạch nhóm thủy sản i của toàn tỉnh (đơn vị tính: ha).
- Phân bổ sản lượng của nhóm thủy sản nuôi trồng theo loại thủy sản:
![]()
Trong đó:
Sk: Sản lượng nuôi trồng của loại thủy sản k;
fk: Tỷ trọng sản lượng loại thủy sản k trong sản lượng nuôi trồng của nhóm thủy sản i của mẫu điều tra (không bao gồm sản lượng loài nuôi chính)
* Đối với thủy sản nuôi lồng, bè
(1) Suy rộng sản lượng thủy sản trọng điểm nuôi lồng, bè
- Tính năng suất bình quân của mẫu điều tra theo loại thủy sản trọng điểm

Trong đó:
: Năng suất thu hoạch bình quân 1 m3 của thủy sản trọng điểm i;
Si j : Sản lượng thu hoạch thủy sản trọng điểm i của hộ mẫu j (đơn vị tính: kg).
: Thể tích lồng, bè thu hoạch thủy sản trọng điểm i của hộ mẫu j (đơn vị tính: m3).
- Suy rộng sản lượng thủy sản trọng điểm nuôi lồng, bè của toàn tỉnh:
![]()
Trong đó:
Si: Sản lượng thủy sản trọng điểm i nuôi lồng, bè của toàn tỉnh;
Vi: Thể tích lồng, bè thu hoạch thủy sản trọng điểm i của toàn tỉnh (đơn vị tính: m3)
(2) Suy rộng sản lượng thủy sản còn lại nuôi lồng, bè
Sản lượng thủy sản còn lại nuôi lồng, bè được suy rộng theo từng loại hình mặt nước nuôi (nước mặn, nước lợ, nước ngọt).
- Tính năng suất thu hoạch đối với nhóm thủy sản còn lại nuôi lồng, bè

Trong đó:
: Năng suất thu hoạch bình quân 1 m3 của nhóm thủy sản còn lại i (thủy sản còn lại nuôi lồng, bè nước mặn; thủy sản còn lại nuôi lồng, bè nước lợ; thủy sản còn lại nuôi lồng, bè nước ngọt)
Sị j : Sản lượng thu hoạch nhóm thủy sản i của hộ mẫu j (đơn vị tính: kg).
: Thể tích lồng, bè thu hoạch nhóm thủy sản i của hộ mẫu j (đơn vị tính: m3).
- Suy rộng sản lượng nhóm thủy sản còn lại nuôi lồng, bè của toàn tỉnh
![]()
Trong đó:
:Sản lượng nhóm thủy sản i nuôi lồng/bè của toàn tỉnh;
Vi: Thể tích lồng, bè thu hoạch nhóm thủy sản i của toàn tỉnh (đơn vị tính: m3)
- Phân bổ sản lượng của nhóm thủy sản còn lại nuôi lồng, bè theo loại thủy sản của toàn tỉnh:
![]()
Trong đó:
Sk: Sản lượng thủy sản k nuôi lồng, bè của tỉnh
fk: Tỷ trọng sản lượng loại thủy sản k trong sản lượng nuôi lồng, bè của nhóm thủy sản i của mẫu điều tra (không bao gồm sản lượng của loài nuôi chính)
* Tổng hợp sản lượng thủy sản nuôi trồng toàn tỉnh
Sản lượng thủy sản nuôi trồng của toàn tỉnh được tổng hợp theo từng loại thủy sản phân theo loại mặt nước nuôi trồng (nước mặn, nước lợ, nước ngọt) và phân theo loại hình kinh tế dựa trên:
- Kết quả suy rộng sản lượng thủy sản nuôi trồng của điều tra mẫu;
- Kết quả tổng hợp sản lượng thủy sản điều tra toàn bộ trên địa bàn tỉnh.
b.3. Suy rộng sản lượng thủy sản khai thác thủy sản
* Đối với thủy sản khai thác nội địa
- Tính sản lượng thủy sản khai thác nội địa bình quân 1 hộ của mẫu điều tra

Trong đó:
: Sản lượng thủy sản loại i khai thác nội địa bình quân 1 hộ mẫu;
qi j : Sản lượng thủy sản loại i khai thác nội địa của hộ mẫu j (đơn vị tính: kg);
n : Số hộ mẫu điều tra khai thác thủy sản nội địa.
- Suy rộng sản lượng thủy sản khai thác nội địa cho toàn tỉnh theo công thức:
![]()
Trong đó:
Qi : Sản lượng thủy sản loại i khai thác nội địa của toàn tỉnh;
N : Tổng số hộ khai thác thủy sản nội địa của toàn tỉnh.
* Đối với thủy sản khai thác biển
(1) Khai thác thủy sản biển không dùng phương tiện cơ giới
- Tính sản lượng khai thác bình quân 1 hộ của mẫu điều tra

Trong đó:
: Sản lượng thủy sản biển loại i khai thác không dùng phương tiện cơ giới bình quân 1 hộ mẫu;
qij: Sản lượng thủy sản biển loại i khai thác không dùng phương tiện cơ giới của hộ mẫu j (đơn vị tính: kg);
n: Số hộ mẫu khai thác thủy sản biển không dùng phương tiện cơ giới.
- Suy rộng sản lượng thủy sản biển khai thác không dùng phương tiện cơ giới cho toàn tỉnh theo công thức:
![]()
Trong đó:
+ Qi: Sản lượng thủy sản biển loại i khai thác không dùng phương tiện cơ giới của toàn tỉnh;
+ N: Tổng số hộ khai thác thủy sản biển không dùng phương tiện cơ giới của toàn tỉnh.
(2) Khai thác thủy sản biển bằng tàu/thuyền có động cơ
Sản lượng thủy sản khai thác biển của 1 nhóm nghề - công suất
Công thức tính:
![]()
Trong đó:
S: Sản lượng thủy sản khai thác của các tàu/thuyền trong 1 nhóm nghề - công suất. Đơn vị tính: kg;
: Sản lượng khai thác trung bình một ngày của một tàu/thuyền trong 1 nhóm nghề - công suất. Đơn vị tính: kg/tàu/ngày;
Nhđ: Số ngày các tàu/thuyền khai thác thủy sản có thể đi biển trong một tháng.
Nhđ = Số ngày dương lịch trong tháng - số ngày tất cả các tàu/thuyền không đi biển trong tháng.
Lưu ý: Trong tháng có thể có một số ngày tất cả các tàu/thuyền không đi biển do một số nguyên nhân như vào ngày nghỉ lễ, tết; những ngày thời tiết không thuận lợi,..., những ngày này sẽ bị loại ra khi tính ngày hoạt động tàu. Số ngày hoạt động sẽ phụ thuộc theo từng nghề khai thác, từng khu vực địa lý. Ví dụ: Với nghề khai thác sử dụng ánh sáng thì ngư dân sẽ không hoạt động vào những ngày sáng trăng, còn các nghề khác vẫn hoạt động bình thường hoặc mưa bão chỉ ảnh hưởng đến một khu vực nhất định, những khu vực nằm ngoài vùng ảnh hưởng ngư dân vẫn đi biển bình thường.
Nhđ: Hệ số hoạt động tàu/thuyền là xác suất để một tàu/thuyền khai thác thủy sản có thể đi biển vào một ngày bất kỳ trong tháng.
| Hhd | = | Tổng số ngày có đi biển khai thác trong tổng số ngày điều tra của tất cả tàu mẫu trong tháng. |
| Tổng số ngày điều tra của tất cả tàu mẫu trong tháng |
T: Tổng số tàu của 1 nhóm nghề - công suất của toàn tỉnh.
Công thức tính sản lượng thủy sản khai thác biển có thể viết như sau:

Sau khi tính sản lượng thủy sản khai thác biển của nhóm nghề - công suất, tính toán các chỉ tiêu tiếp theo: Sản lượng khai thác biển theo loại thủy sản, theo nghề khai thác và tổng sản lượng thủy sản khai thác biển của toàn tỉnh.
Phân bổ sản lượng thủy sản khai thác biển theo loại thủy sản của một nhóm nghề - công suất
Công suất tính:

Trong đó: Sk: Sản lượng khai thác của loại thủy sản biển k;
fk: Tỷ trọng của loại thủy sản k trong tổng sản lượng khai thác của một nhóm nghề - công suất. Tỷ trọng này tính toán từ kết quả điều tra mẫu của một nhóm nghề - công suất.
Sản lượng thủy sản khai thác biển theo nghề
Công thức:

Trong đó: Si: Tổng sản lượng khai thác của nghề i;
Sij :Sản lượng khai thác của nghề i, nhóm công suất j.
Sản lượng thủy sản khai thác biển bằng tàu/thuyền có động cơ của toàn tỉnh
Từ các kết quả tính toán trên, sản lượng thủy sản khai thác biển bằng tàu/thuyền có động cơ trong tháng của tỉnh được tính theo công thức sau:

S: Sản lượng thủy sản khai thác biển bằng tàu/thuyền có động cơ của tỉnh;
Si: Sản lượng thủy sản biển khai thác của nghề i.
(3) Tổng hợp sản lượng thủy sản khai thác biển cho tỉnh
| Tổng sản lượng thủy sản khai thác biển toàn tỉnh trong năm | = | Sản lượng thủy sản khai thác biển không dùng phương tiện cơ giới | + | Sản lượng thủy sản khai thác biển bằng tàu/thuyền có động cơ |
Cục Thống kê chỉ đạo, phân công các đơn vị trực thuộc thực hiện kiểm tra, làm sạch và hoàn thiện cơ sở dữ liệu phục vụ tổng hợp và phân tích kết quả điều tra; thực hiện tính quyền số và tổng hợp kết quả đầu ra.
X. KINH PHÍ VÀ CÁC ĐIỀU KIỆN VẬT CHẤT CHO ĐIỀU TRA
Kinh phí điều tra thủy sản do Ngân sách nhà nước bảo đảm cho các hoạt động quy định trong Phương án này. Việc quản lý, sử dụng và quyết toán kinh phí được thực hiện theo Thông tư số 109/2016/TT-BTC ngày 30/6/2016 của Bộ Tài chính quy định về lập dự toán, quản lý, sử dụng và quyết toán kinh phí thực hiện các cuộc điều tra thống kê, tổng điều tra thống kê quốc gia; Thông tư số 37/2022/TT-BTC ngày 22/6/2022 của Bộ Tài chính về sửa đổi, bổ sung khoản 9 Điều 3 và Mẫu số 01 kèm theo Thông tư số 109/2016/TT-BTC ngày 30/6/2016 của Bộ Tài chính quy định về lập dự toán, quản lý, sử dụng và quyết toán kinh phí thực hiện các cuộc điều tra thống kê, tổng điều tra thống kê quốc gia và các quy định có liên quan.
Cục Thống kê có trách nhiệm hướng dẫn việc quản lý, sử dụng và quyết toán kinh phí điều tra theo đúng quy định của văn bản hiện hành.
Trong phạm vi dự toán được giao, Thủ trưởng các đơn vị được giao nhiệm vụ chịu trách nhiệm tổ chức thực hiện tốt cuộc điều tra thủy sản theo đúng nội dung của Phương án điều tra, văn bản hướng dẫn và các chế độ tài chính hiện hành.
Các điều kiện vật chất khác: Sử dụng cơ sở hạ tầng sẵn có của ngành Thống kê./.
[1] Chi điều tra các hộ có thu hoạch sản phẩm trong kỳ
[2] Các mục có số thứ tự: 1, 2, 3, 4, 5, 9, 10, 11 thực hiện năm xây dựng và ban hành phương án; các mục còn lại theo năm điều tra.
Bạn chưa Đăng nhập thành viên.
Đây là tiện ích dành cho tài khoản thành viên. Vui lòng Đăng nhập để xem chi tiết. Nếu chưa có tài khoản, vui lòng Đăng ký tại đây!
Bạn chưa Đăng nhập thành viên.
Đây là tiện ích dành cho tài khoản thành viên. Vui lòng Đăng nhập để xem chi tiết. Nếu chưa có tài khoản, vui lòng Đăng ký tại đây!