- Tổng quan
- Nội dung
- VB gốc
- Tiếng Anh
- Hiệu lực
- VB liên quan
- Lược đồ
-
Nội dung hợp nhất
Tính năng này chỉ có tại LuatVietnam.vn. Nội dung hợp nhất tổng hợp lại tất cả các quy định còn hiệu lực của văn bản gốc và các văn bản sửa đổi, bổ sung, đính chính... trên một trang. Việc hợp nhất văn bản gốc và những văn bản, Thông tư, Nghị định hướng dẫn khác không làm thay đổi thứ tự điều khoản, nội dung.
Khách hàng chỉ cần xem Nội dung hợp nhất là có thể nắm bắt toàn bộ quy định hiện hành đang áp dụng, cho dù văn bản gốc đã qua nhiều lần chỉnh sửa, bổ sung.
- Tải về
Thông tư 29/2021/TT-BLĐTBXH quy định tiêu chuẩn phân loại lao động theo điều kiện lao động
| Cơ quan ban hành: | Bộ Lao động Thương binh và Xã hội |
Số công báo:
Số công báo là mã số ấn phẩm được đăng chính thức trên ấn phẩm thông tin của Nhà nước. Mã số này do Chính phủ thống nhất quản lý.
|
Đã biết
|
| Số hiệu: | 29/2021/TT-BLĐTBXH | Ngày đăng công báo: |
Đã biết
|
| Loại văn bản: | Thông tư | Người ký: | Lê Văn Thanh |
|
Ngày ban hành:
Ngày ban hành là ngày, tháng, năm văn bản được thông qua hoặc ký ban hành.
|
28/12/2021 |
Ngày hết hiệu lực:
Ngày hết hiệu lực là ngày, tháng, năm văn bản chính thức không còn hiệu lực (áp dụng).
|
Đã biết
|
|
Áp dụng:
Ngày áp dụng là ngày, tháng, năm văn bản chính thức có hiệu lực (áp dụng).
|
Đã biết
|
Tình trạng hiệu lực:
Cho biết trạng thái hiệu lực của văn bản đang tra cứu: Chưa áp dụng, Còn hiệu lực, Hết hiệu lực, Hết hiệu lực 1 phần; Đã sửa đổi, Đính chính hay Không còn phù hợp,...
|
Đã biết
|
| Lĩnh vực: | Lao động-Tiền lương |
TÓM TẮT THÔNG TƯ 29/2021/TT-BLĐTBXH
Ngày 28/12/2021, Bộ Lao động Thương binh và Xã hội đã ban hành Thông tư 29/2021/TT-BLĐTBXH về việc quy định tiêu chuẩn phân loại lao động theo điều kiện lao động.
Theo đó, Bộ Lao động Thương binh và Xã hội quy định về loại điều kiện lao động như sau: Nghề, công việc đặc biệt nặng nhọc, độc hại, nguy hiểm là nghề, công việc có điều kiện lao động được xếp loại V, VI; Nghề, công việc nặng nhọc, độc hại, nguy hiểm là nghề, công việc có điều kiện lao động được xếp loại IV; Nghề, công việc nặng nhọc, không độc hại, nguy hiểm là nghề, công việc có điều kiện lao động được xếp loại I, II, III. Việc phân loại lao động theo điều kiện lao động phải dựa trên kết quả đánh giá xác định điều kiện lao động theo phương pháp quy định.
Bên cạnh đó, phương pháp phân loại lao động theo điều kiện lao động được sử dụng với mục đích xây dựng, sửa đổi, bổ sung hoặc đưa ra khỏi Danh mục nghề, công việc nặng nhọc, độc hại, nguy hiểm và nghề, công việc đặc biệt nặng nhọc, đọc hại, nguy hiểm;…Tổ chức đánh giá điều kiện lao động phải là tổ chức đủ điều kiện hoạt động quan trắc môi trường lao động theo quy định của Luật An toàn, vệ sinh lao động.
Ngoài ra, thực hiện việc đánh giá, xác định điều kiện lao động theo quy trình sau: Xác định tên nghề, công việc cần đánh giá, xác định điều kiện lao động; Đánh giá điều kiện lao động theo hệ thống chỉ tiêu về điều kiện lao động.
Thông tư có hiệu lực từ ngày 15/4/2022.
Xem chi tiết Thông tư 29/2021/TT-BLĐTBXH có hiệu lực kể từ ngày 15/04/2022
Tải Thông tư 29/2021/TT-BLĐTBXH
|
BỘ LAO ĐỘNG - THƯƠNG BINH Số: 29/2021/TT-BLĐTBXH |
CỘNG HÒA XÃ HỘI CHỦ NGHĨA VIỆT NAM Hà Nội, ngày 28 tháng 12 năm 2021 |
THÔNG TƯ
Quy định tiêu chuẩn phân loại lao động theo điều kiện lao động
___________
Căn cứ Luật An toàn, vệ sinh lao động ngày 25 tháng 6 năm 2015;
Căn cứ Nghị định số 14/2017/NĐ-CP ngày 17 tháng 02 năm 2017 của Chính phủ quy định chức năng, nhiệm vụ, quyền hạn và cơ cấu tổ chức của Bộ Lao động - Thương binh và Xã hội;
Theo đề nghị của Cục trưởng Cục An toàn lao động;
Bộ trưởng Bộ Lao động - Thương binh và Xã hội ban hành Thông tư quy định tiêu chuẩn phân loại lao động theo điều kiện lao động.
Chương I
QUY ĐỊNH CHUNG
Điều 1. Phạm vi điều chỉnh
Thông tư này quy định tiêu chuẩn phân loại lao động theo điều kiện lao động.
Điều 2. Đối tượng áp dụng
1. Người sử dụng lao động, người lao động theo quy định tại Điều 2 Luật An toàn, vệ sinh lao động.
2. Tổ chức thực hiện đánh giá, phân loại lao động theo điều kiện lao động.
3. Tổ chức, cá nhân khác có liên quan đến hoạt động đánh giá, phân loại lao động theo điều kiện lao động.
Chương II
PHÂN LOẠI LAO ĐỘNG THEO ĐIỀU KIỆN LAO ĐỘNG VÀ PHƯƠNG PHÁP, QUY TRÌNH XÁC ĐỊNH
ĐIỀU KIỆN LAO ĐỘNG
Điều 3. Phân loại lao động theo điều kiện lao động
1. Loại điều kiện lao động
a) Nghề, công việc đặc biệt nặng nhọc, độc hại, nguy hiểm là nghề, công việc có điều kiện lao động được xếp loại V, VI.
b) Nghề, công việc nặng nhọc, độc hại, nguy hiểm là nghề, công việc có điều kiện lao động được xếp loại IV.
c) Nghề, công việc không nặng nhọc, không độc hại, không nguy hiểm là nghề, công việc có điều kiện lao động được xếp loại I, II, III.
2. Nguyên tắc phân loại lao động theo điều kiện lao động
Việc phân loại lao động theo điều kiện lao động phải dựa trên kết quả đánh giá xác định điều kiện lao động theo phương pháp quy định tại Thông tư này.
Điều 4. Mục đích sử dụng phương pháp phân loại lao động theo điều kiện lao động
Phương pháp phân loại lao động theo điều kiện lao động ban hành kèm theo Thông tư này được sử dụng với mục đích như sau:
1. Xây dựng, sửa đổi, bổ sung hoặc đưa ra khỏi Danh mục nghề, công việc nặng nhọc, độc hại, nguy hiểm và nghề, công việc đặc biệt nặng nhọc, độc hại, nguy hiểm (sau đây gọi tắt là Danh mục nghề).
2. Phân loại lao động theo điều kiện lao động đối với nghề, công việc nặng nhọc, độc hại, nguy hiểm và nghề, công việc đặc biệt nặng nhọc, độc hại, nguy hiểm thuộc trách nhiệm của người sử dụng lao động để thực hiện các chế độ bảo hộ lao động và chăm sóc sức khoẻ đối với người lao động theo quy định tại khoản 3 Điều 22 của Luật An toàn, vệ sinh lao động.
Điều 5. Tổ chức đánh giá điều kiện lao động
Tổ chức đánh giá điều kiện lao động phải là tổ chức đủ điều kiện hoạt động quan trắc môi trường lao động theo quy định của Luật An toàn, vệ sinh lao động.
Điều 6. Phương pháp, quy trình xác định điều kiện lao động
Thực hiện việc đánh giá, xác định điều kiện lao động theo quy trình sau:
1. Xác định tên nghề, công việc cần đánh giá, xác định điều kiện lao động.
2. Đánh giá điều kiện lao động theo hệ thống chỉ tiêu về điều kiện lao động:
a) Bước 1: Xác định các yếu tố có tác động sinh học đến người lao động trong hệ thống chỉ tiêu về điều kiện lao động quy định tại Phụ lục I ban hành kèm theo Thông tư này (sau đây gọi tắt là Phụ lục I).
b) Bước 2: Lựa chọn ít nhất 06 (sáu) yếu tố đặc trưng tương ứng với mỗi nghề, công việc. Các yếu tố này phải bảo đảm phản ánh đủ 3 nhóm yếu tố trong hệ thống chỉ tiêu về điều kiện lao động quy định tại Phụ lục I.
c) Bước 3: Chọn 01 (một) chỉ tiêu đối với mỗi yếu tố đặc trưng đã chọn tại Bước 2 để tiến hành đánh giá và cho điểm, trên cơ sở bảo đảm các nguyên tắc sau đây:
- Thang điểm để đánh giá mức độ nặng nhọc, độc hại, nguy hiểm của từng yếu tố là thang điểm 6 (sáu) quy định tại Phụ lục I. Mức độ nặng nhọc, độc hại, nguy hiểm càng lớn thì điểm càng cao.
- Thời gian tiếp xúc của người lao động với các yếu tố dưới 50% thời gian của ca làm việc thì điểm số hạ xuống 01 (một) điểm. Đối với hóa chất độc, điện từ trường, rung, ồn, bức xạ ion hóa, thay đổi áp suất, yếu tố gây bệnh truyền nhiễm thì điểm xếp loại hạ xuống 01 (một) điểm khi thời gian tiếp xúc dưới 25% thời gian của ca làm việc.
- Đối với các yếu tố quy định thời gian tiếp xúc cho phép thì hạ xuống 01 (một) điểm nếu thời gian tiếp xúc thực tế khi làm việc dưới 50% thời gian tiếp xúc cho phép.
- Đối với những yếu tố có thể sử dụng nhiều chỉ tiêu (từ 02 chỉ tiêu trở lên) để đánh giá thì chỉ chọn 01 chỉ tiêu chính để đánh giá và cho điểm; có thể đánh giá các chỉ tiêu khác nhằm tham khảo, bổ sung thêm số liệu cho chỉ tiêu chính.

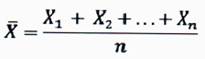
Điểm trung bình cộng của các yếu tố.
n: Số lượng yếu tố đã tiến hành đánh giá tại Bước 3 (n≥6)
X1, X2,...Xn: iểm của yếu tố thứ nhất, thứ hai,...,thứ n.
đ) Bước 5: Tổng hợp kết quả vào phiếu theo mẫu quy định tại Phụ lục II ban hành kèm theo Thông tư này và xác định điều kiện lao động theo điểm trung bình các yếu tố (
) như sau:
-
≤ 1,01: Điều kiện lao động loại I;
- 1,01 <
≤ 2,22: Điều kiện lao động loại II;
- 2,22 ≤
≤ 3,37: Điều kiện lao động loại III;
- 3,37 <
≤ 4,56: Điều kiện lao động loại IV;
- 4,56 <
≤ 5,32: Điều kiện lao động loại V;
-
> 5,32: Điều kiện lao động loại VI.
Chương III
TỔ CHỨC THỰC HIỆN
Điều 7. Trách nhiệm của Cục An toàn lao động
1. Căn cứ đề xuất của người sử dụng lao động và bộ quản lý ngành, lĩnh vực, Cục An toàn lao động chủ trì, phối hợp với các cơ quan liên quan thuộc các bộ quản lý ngành, lĩnh vực và các cơ quan, tổ chức nghiên cứu về an toàn, vệ sinh lao động thực hiện rà soát, đánh giá Danh mục nghề để đề xuất Bộ trưởng Bộ Lao động - Thương binh và Xã hội xem xét quyết định việc sửa đổi, bổ sung hoặc đưa ra khỏi Danh mục nghề theo quy định tại Điều 22 Luật An toàn, vệ sinh lao động.
2. Thực hiện thanh tra, kiểm tra, giám sát thường xuyên, định kỳ và đột xuất hoạt động đánh giá điều kiện lao động theo quy định của pháp luật.
Điều 8. Trách nhiệm của Sở Lao động - Thương binh và Xã hội
1. Phối hợp với các cơ quan liên quan phổ biến, hướng dẫn các doanh nghiệp trên địa bàn thực hiện Thông tư này.
2. Thanh tra, kiểm tra, báo cáo về hoạt động đánh giá điều kiện lao động trên địa bàn theo quy định của pháp luật.
Điều 9. Sửa đổi, bổ sung hoặc đưa ra khỏi Danh mục nghề, công việc nặng nhọc, độc hại, nguy hiểm và nghề, công việc đặc biệt nặng nhọc, độc hại, nguy hiểm
1. Việc sửa đổi, bổ sung hoặc đưa ra khỏi Danh mục nghề phải bảo đảm các nguyên tắc sau:
a) Việc rà soát, đánh giá phải được thực hiện đối với nghề, công việc thuộc ngành, lĩnh vực cụ thể.
b) Quá trình chọn mẫu để rà soát, đánh giá phải được thực hiện phù hợp với từng loại hình, quy mô của cơ sở sản xuất, kinh doanh, dịch vụ và đại diện vùng, miền lấy mẫu.
c) Kết quả rà soát, đánh giá, phân loại lao động theo điều kiện lao động được sử dụng để đề xuất sửa đổi, bổ sung hoặc đưa ra khỏi Danh mục nghề là kết quả rà soát, đánh giá được thực hiện trong thời gian không quá 12 tháng cho đến tháng đề xuất.
2. Căn cứ vào kết quả phân loại lao động theo phương pháp được quy định tại Thông tư này, trường hợp cần thiết sửa đổi, bổ sung hoặc đưa ra khỏi Danh mục nghề thì người sử dụng lao động có văn bản gửi bộ quản lý ngành, lĩnh vực có liên quan để xem xét, tổng hợp, đồng thời gửi Bộ Lao động - Thương binh và Xã hội.
Tài liệu gửi kèm văn bản đề xuất sửa đổi, bổ sung hoặc đưa ra khỏi Danh mục nghề, công việc nặng nhọc, độc hại, nguy hiểm và nghề, công việc đặc biệt nặng nhọc độc hại, nguy hiểm:
a) Tóm tắt hiện trạng các chức danh nghề, công việc đặc thù của ngành, lĩnh vực và so sánh với Danh mục nghề do Bộ trưởng Bộ Lao động - Thương binh và Xã hội ban hành; lý do đề xuất bổ sung, sửa đổi.
b) Số liệu đo, đánh giá các yếu tố đặc trưng về điều kiện lao động đối với các chức danh nghề, công việc đề nghị bổ sung, sửa đổi và phiếu ghi tổng hợp kết quả theo mẫu quy định tại Phụ lục II ban hành kèm theo Thông tư này.
c) Bảng tổng hợp đề xuất sửa đổi, bổ sung việc phân loại nghề, công việc nặng nhọc, độc hại, nguy hiểm và nghề, công việc đặc biệt nặng nhọc, độc hại, nguy hiểm theo mẫu quy định tại Phụ lục III ban hành kèm theo Thông tư này.
3. Bộ quản lý ngành, lĩnh vực rà soát nghề, công việc nặng nhọc, độc hại, nguy hiểm và nghề, công việc đặc biệt nặng nhọc, độc hại, nguy hiểm thuộc ngành, lĩnh vực quản lý; xem xét ý kiến của người sử dụng lao động để đề xuất sửa đổi, bổ sung Danh mục nghề phù hợp với sự phát triển kinh tế - xã hội, khoa học công nghệ và quản lý trong từng thời kỳ, gửi Bộ Lao động - Thương binh và Xã hội.
Điều 10. Trách nhiệm của người sử dụng lao động và các cơ quan liên quan
1. Người sử dụng lao động thực hiện rà soát, đánh giá, phân loại lao động lần đầu và khi có sự thay đổi về công nghệ, quy trình tổ chức sản xuất dẫn đến việc thay đổi về điều kiện lao động hoặc khi thực hiện đánh giá nguy cơ rủi ro về an toàn, vệ sinh lao động theo quy định của Luật An toàn, vệ sinh lao động mà phát hiện những yếu tố nguy hiểm, có hại mới phát sinh so với lần đánh giá trước đó nhưng phải bảo đảm thực hiện rà soát, đánh giá, phân loại điều kiện lao động tối thiểu 01 lần trong vòng 05 năm.
2. Đối với nghề, công việc tại nơi làm việc thuộc Danh mục nghề đã được người sử dụng lao động thực hiện các biện pháp loại trừ, giảm thiểu tác động của các yếu tố nặng nhọc, độc hại, nguy hiểm thì người sử dụng lao động tổ chức đánh giá, phân loại lao động và đề xuất về Bộ Lao động - Thương binh và Xã hội để được xem xét, có ý kiến về kết quả đánh giá, phân loại lao động. Trong đó phải gửi kèm các tài liệu quy định tại khoản 2 Điều 9 Thông tư này.
3. Tổ chức đánh giá, phân loại lao động theo phương pháp phân loại lao động được ban hành kèm theo Thông tư này.
4. Người sử dụng lao động và các cơ quan, tổ chức liên quan có trách nhiệm thực hiện đầy đủ các chế độ đối với người lao động làm nghề, công việc nặng nhọc, độc hại, nguy hiểm và nghề, công việc đặc biệt nặng nhọc, độc hại, nguy hiểm theo quy định của pháp luật có liên quan.
5. Đối với các nghề, công việc đã được đánh giá, phân loại lao động theo quy định tại khoản 2 Điều này mà không còn đặc điểm, điều kiện lao động đặc trưng của nghề, công việc nặng nhọc, độc hại, nguy hiểm và nghề, công việc đặc biệt nặng nhọc độc hại, nguy hiểm thì người sử dụng lao động không phải thực hiện các chế độ đối với người lao động làm nghề, công việc nặng nhọc, độc hại, nguy hiểm và nghề, công việc đặc biệt nặng nhọc độc hại, nguy hiểm, sau khi có ý kiến của Bộ Lao động - Thương binh và Xã hội.
Điều 11. Điều khoản thi hành
1. Thông tư này có hiệu lực kể từ ngày 15 tháng 4 năm 2022.
2. Trong quá trình thực hiện, nếu có vướng mắc đề nghị phản ánh về Bộ Lao động - Thương binh và Xã hội để xem xét, giải quyết./.
|
Nơi nhận: |
KT. BỘ TRƯỞNG
Lê Văn Thanh |
Phụ lục I
HỆ THỐNG CHỈ TIÊU VỀ ĐIỀU KIỆN LAO ĐỘNG VÀ CÁCH TÍNH ĐIỂM
(Ban hành kèm theo Thông tư số 29/2021/TT-BLĐTBXH ngày 28 tháng 12 năm 2021 của
Bộ trưởng Lao động - Thương binh và Xã hội)
|
STT (yếu tố) |
Chỉ tiêu về điều kiện lao động |
Mức xếp điểm của từng chỉ tiêu |
||||||||
|
(1) |
(2) |
1 điểm |
2 điểm |
3 điểm |
4 điểm |
5 điểm |
6 điểm |
|||
|
(3) |
(4) |
(5) |
(6) |
(7) |
(8) |
|||||
|
|
A. Nhóm yếu tố đánh giá về vệ sinh môi trường lao động |
|||||||||
|
1 |
Vi khí hậu |
|
|
|
|
|
|
|||
|
1.1 |
Nhiệt độ không khí (°C) |
|
|
|
|
|
|
|||
|
1.1.1 |
Làm việc trong nhà: |
|
|
|
|
|
|
|||
|
|
- Vi khí hậu nóng |
20 - 22 |
> 22 - 27 |
> 27 - 32 |
> 32 - 40 |
> 40 - 46 |
> 46 |
|||
|
- Vi khí hậu lạnh |
22 - 20 |
< 20 - 18 |
< 18 - 11 |
< 11 - 0 |
< 0 - 10 |
< - 10 |
||||
|
- Nhiệt độ chênh lệch trong phòng, nhà xưởng cao hơn ngoài trời |
Không chênh |
< 1 |
1 - 5 |
>5-8 |
>8-14 |
> 14 |
||||
|
1.1.2 |
Làm việc ngoài trời được 4 điểm |
|
|
|
|
|
|
|||
|
1.2 |
Độ ẩm, tốc độ gió: độ ẩm > 90%; tốc độ gió là 0(m/s) thì nâng điểm của nhiệt độ thêm 1 điểm |
|
|
|
|
|
|
|||
|
1.3 |
Bức xạ nhiệt (W/m2) |
Dưới giới hạn cho phép |
Đạt giới hạn cho phép |
≤ 0,5 |
> 0,5 - 2 |
> 2 - 5 |
> 5 |
|||
|
2 |
Áp lực không khí |
|
|
|
|
|
|
|||
|
2.1. |
Vượt áp lực khí quyển bình thường (atm) |
- |
Dưới giới hạn cho phép |
0,2 - 0,6 |
0,7- 1,8 |
1,9-3,0 |
>3 |
|||
|
2.2. |
Giảm áp lực không khí: độ cao nơi làm việc so với mực nước biển (m) |
100 |
> 100 - 500 |
> 500 - 1000 |
>1000 - 2000 |
>2000 - 4000 |
> 4000 |
|||
|
3 |
Nồng độ hơi khí độc lớn hơn mức quy định của giới hạn cho phép (lần) |
- |
<1 |
1 - 1,5 |
> 1,5 - 2 |
> 2 - 3 |
> 3 |
|||
|
4 |
Nồng độ bụi lớn hơn so với mức quy định của giới hạn cho phép (lần) |
- |
<1 |
1 - 2 |
>2 - 5 |
> 5 - 10 |
> 10 |
|||
|
5 |
Tiếng ồn trong sản xuất vượt giới hạn cho phép (dBA) |
- |
- |
1 - 5 |
>5 - 10 |
>10-20 |
>20 |
|||
|
6 |
Rung xóc |
|
|
|
|
|
|
|||
|
6.1 |
Gia tốc (m/s2) |
Đạt giới hạn cho phép |
<1 |
1 - 1,4 |
> 1,4 - 2 |
> 2 - 2,8 |
> 2,8 |
|||
|
6.2 |
Vận tốc (m/s) |
Dưới giới hạn cho phép |
Đạt giới hạn cho phép |
<1 |
>1 - 2 |
> 2 - 3 |
> 3 |
|||
|
7 |
Điện từ trường tần số radio |
|
|
|
|
|
|
|||
|
7.1 |
Điện trường (V/m) |
Dưới giới hạn cho phép |
Đạt giới hạn cho phép |
1 - 5 |
> 5 - 10 |
> 10 - 20 |
> 20 |
|||
|
7.2 |
Từ trường (A/m) |
Dưới giới hạn cho phép |
Đạt giới hạn cho phép |
1 - 5 |
> 5 - 10 |
> 10 - 20 |
> 20 |
|||
|
8 |
Điện từ trường tần số công nghiệp |
|
|
|
|
|
|
|||
|
8.1 |
Điện trường (kV/m) |
Dưới giới hạn cho phép |
Đạt giới hạn cho phép |
> 5 - 10 |
> 10 - 20 |
> 20 - 25 |
> 25 |
|||
|
8.2 |
Từ trường (A/m) |
Dưới giới hạn cho phép |
Đạt giới hạn cho phép |
> 1 - 50 |
> 50 - 100 |
> 100 - 150 |
> 150 |
|||
|
9 |
Bức xạ ion hoá (mSV/năm) |
Dưới giới hạn cho phép |
Đạt giới hạn cho phép |
1 - 5 |
> 5 - 10 |
> 10 - 15 |
> 15 |
|||
|
10 |
Tiếp xúc với sinh vật có hại |
|
|
|
|
|
|
|||
|
10.1 |
Tiếp xúc các nguồn gây bệnh truyền nhiễm theo Luật phòng, chống các bệnh truyền nhiễm |
Không tiếp xúc |
Nguy cơ tiếp xúc chưa rõ ràng |
Có thể có nguy cơ tiếp xúc, có khả năng gây bệnh |
Gây bệnh truyền nhiễm nhóm C theo Luật phòng, chống bệnh truyền nhiễm |
Gây bệnh truyền nhiễm nhóm B theo Luật phòng, chống bệnh truyền nhiễm |
Gây bệnh truyền nhiễm nhóm A theo Luật phòng, chống bệnh truyền nhiễm |
|||
|
10.2 |
Tiếp xúc thực vật, động vật ốm, ác thú, rắn độc (chưa được phân loại vào nhóm 10.1) |
Không tiếp xúc |
Có thể có nguy cơ tiếp xúc, có khả năng gây bệnh |
Gây bệnh nhẹ, chữa khỏi |
Gây bệnh nặng có biện pháp phòng chữa bệnh tin cậy |
Gây bệnh rất nguy hiểm, có biện pháp phòng chữa tin cậy |
Gây bệnh rất nguy hiểm, chưa có biện pháp phòng và chữa chắc chắn |
|||
|
|
B. Nhóm yếu tố đánh giá tác động về tâm sinh lý lao động |
|||||||||
|
11 |
Mức tiêu hao năng lượng cơ thể (Kcal/ca làm việc) |
<900 |
900 - 1270 |
1271 - 1790 |
1791-2180 |
2181 - 2350 |
>2350 |
|||
|
12 |
Biến đổi hệ tim mạch khi làm việc |
|
|
|
|
|
|
|||
|
|
12.1 |
Tần số nhịp tim trung bình: lấy bình quân của nhóm trong suốt ca lao động (nhịp/phút) |
<74 |
74-80 |
81 -85 |
86-90 |
91 - 100 |
>100 |
||
|
12.2 |
Tăng huyết áp tâm thu (so với đầu ca) (mmHg) |
≤ 10 |
11-20 |
21 -30 |
31 -40 |
41 -50 |
≥51 |
|||
|
12.3 |
Tăng áp lực mạch (so với đầu ca) (mmHg) |
≤40 |
41 -45 |
46-50 |
51 - 55 |
56-60 |
≥61 |
|||
|
13 |
Mức chịu tải của cơ bắp khi làm việc: giảm sức bền lực cơ (% số người so với đầu ca) |
Tới 20 |
>20 - 30 |
>30-40 |
>40-50 |
>50-70 |
>70 |
|||
|
14 |
Biến đổi chức năng hệ thần kinh trung ương |
|
|
|
|
|
|
|||
|
14.1 |
Tăng thời gian phản xạ thị - vận động so với đầu ca (%) |
Tới 10 |
>10-20 |
>20-30 |
>30-40 |
>40-50 |
>50 |
|||
|
14.2 |
Tăng thời gian phản xạ thính - vận động so với đầu ca (%) |
Tới 10 |
>10-20 |
>20-30 |
>30-40 |
>40-50 |
>50 |
|||
|
14.3 |
Giảm tần số nhấp nháy ánh sáng tới hạn (CFF) (% số người so với đầu ca) |
Tới 10 |
>10-30 |
>30-50 |
>50-70 |
>70 - 90 |
>90 |
|||
|
14.4 |
Tăng tỷ lệ biến thiên nhịp tim dạng trội giao cảm (% số người có biến thiên nhịp tim dạng trội giao cảm) |
Tới 10 |
>10-30 |
>30 - 50 |
>50-70 |
>70 - 90 |
>90 |
|||
|
15 |
Mức hoạt động não lực |
|
|
|
|
|
|
|||
|
15.1 |
Đặc điểm công việc - Mức hoạt động não lực khi làm việc |
Giải quyết công việc rất đơn giản |
Giải quyết công việc đơn giản |
Giải quyết công việc phức tạp |
Giải quyết công việc phức tạp, phải tìm kiếm thêm thông tin |
Giải quyết công việc rất phức tạp, tích cực tìm kiếm thông tin trong điều kiện áp lực về thời gian; yêu cầu tập trung chú ý cao, trí nhớ tức thời và lâu dài |
Giải quyết công việc rất phức tạp, tích cực tìm kiếm thông tin trong điều kiện áp lực về thời gian; yêu cầu tập trung chú ý cao, trí nhớ tức thời và lâu dài, trách nhiệm công việc cao |
|||
|
15.2 |
Biến đổi khả năng nhớ: Giảm dung lượng nhớ (% sau ca lao động so với trước ca) |
Tới 5 |
>5-15 |
>15-25 |
>25-35 |
>35 - 45 |
>45 |
|||
|
16 |
Căng thẳng thị giác |
|
|
|
|
|
|
|||
|
16.1 |
Cường độ chiếu sáng dưới giới hạn cho phép (Lux) do yêu cầu công nghệ hoặc điều kiện kỹ thuật không thể khắc phục được. |
≤30 |
>30 - 50 |
>50- 100 |
>100-150 |
>150-200 |
>200 |
|||
|
16.2 |
Độ lớn chi tiết cần phân biệt khi nhìn (mm) |
>5 |
5 - 1,0 |
<1 - 0,5 |
<0,5 - 0,3 |
<0,3 -0,1 |
<0,1 |
|||
|
16.3 |
Thời gian quan sát màn hình điện tử (giờ/ca lao động) |
|
|
|
|
|
|
|||
|
16.3.1 |
Đối với loại hiển thị bằng chữ/ số (giờ) |
<1 |
1 -<2 |
2-<3 |
3 -<4 |
4-6 |
>6 |
|||
|
16.3.2 |
Đối với loại hiển thị bằng đồ thị (giờ) |
<1 |
1 -<3 |
3 -<5 |
5 -<6 |
6-7 |
>7 |
|||
|
17 |
Độ căng thẳng chú ý và mệt mỏi thần kinh |
|
|
|
|
|
|
|||
|
|
17.1 |
Số đối tượng phải quan sát đồng thời |
Dưới 5 |
5 - 10 |
11-25 |
26-30 |
30-50 |
>50 |
||
|
17.2 |
Thời gian quan sát/tập trung chú ý (% ca) |
Dưới 25 |
25-50 |
51-75 |
76-90 |
91 -95 |
>95 |
|||
|
17.3 |
Tăng thời gian làm thử nghiệm/ test chú ý (% so với đầu ca) |
Tới 10 |
>10-20 |
>20-30 |
>30-40 |
>40-50 |
>50 |
|||
|
17.4 |
Gánh nặng đối với cơ quan thính giác (khi phải tiếp nhận lời nói hoặc phân biệt âm thanh) |
Luôn tiếp nhận và hiểu rõ lời nói và tín hiệu |
Tiếp nhận và hiểu rõ lời nói và tín hiệu từ 99-100% trong điều kiện không có nhiễu |
Tiếp nhận và hiểu rõ lời nói và tín hiệu từ 70- 90%. Có nhiễu và vẫn nghe được trong khoảng cách ≤3,5m |
Tiếp nhận và hiểu rõ lời nói và tín hiệu từ 50- 70%. Có nhiễu và vẫn nghe được trong khoảng cách ≤2m |
Tiếp nhận và hiểu rõ lời nói và tín hiệu từ <50- 30%. Có nhiễu và vẫn nghe được trong khoảng cách ≤1,5m |
Tiếp nhận và hiểu rõ lời nói và tín hiệu từ <30%. Có nhiễu và vẫn nghe được trong khoảng cách ≤1m |
|||
|
17.5 |
Gánh nặng với cơ quan phát âm (số giờ phải nói trong 1 tuần) |
<8 |
8 -<16 |
16-<20 |
20-<25 |
25 -<30 |
>30 |
|||
|
|
C. Nhóm yếu tố đánh giá về Ecgônômi - tổ chức lao động |
|||||||||
|
18 |
Mức tiếp nhận thông tin: số tín hiệu tiếp nhận trong một giờ (chỉ đánh giá các công việc trong ngành cơ yếu, bưu điện viễn thông, tin học) |
<25 |
25-75 |
76- 175 |
176 -300 |
301 -400 |
>400 |
|||
|
19 |
Mức đơn điệu của lao động trong sản xuất dây chuyền |
|
|
|
|
|
|
|||
|
19.1 |
Thời gian lặp lại thao tác (giây) |
>40 |
40-30 |
29-20 |
19- 10 |
6-9 |
<5 |
|||
|
19.2 |
Số lượng thao tác cần thiết để thực hiện một nhiệm vụ đơn giản hoặc những thao tác lặp lại nhiều lần |
>15 |
10- 15 |
9-6 |
5-3 |
3-2 |
<2 |
|||
|
20 |
Nhịp điệu cử động, số lượng động tác trong 1 giờ của: |
|
|
|
|
|
|
|||
|
20.1 |
Lớp chuyển động nhỏ: ngón tay, cổ tay, cẳng tay |
<1000 |
1000-2000 |
> 2000 - 3000 |
> 3000 - 4000 |
>4000 - 5000 |
>5000 |
|||
|
20.2 |
Lớp chuyển động lớn: vai, cánh tay, cẳng chân |
<250 |
250 - 500 |
>500 - 750 |
>750- 1000 |
>1000- 1500 |
>1500 |
|||
|
21 |
Vị trí, tư thế lao động và đi lại trong ca làm việc |
|
|
|
|
|
|
|||
|
|
21.1 |
Làm trên giá cao hay dây treo (so với mặt sàn làm việc) |
Không làm trên cao |
Cao dưới 2m |
Cao 2 đến 5m |
Cao hơn 5m |
Cao hơn 5m, treo người trên dây |
Cao hơn 5m, treo người trên dây, không gian hạn chế |
||
|
|
21.2 |
Làm việc ở địa hình dốc (độ) |
0 |
>0-10 |
>10-15 |
>15-30 |
>30-45 |
>45 |
||
|
|
21.3 |
Tư thế làm việc |
Thoải mái, nhẹ nhàng |
Thoải mái, di chuyển vật nặng trên 5kg |
Kém thoải mái, ngồi hoặc đứng, chân tay và thân ở vị trí thuận lợi |
Gò bó, kém thoải mái, ngồi hoặc đứng, chân tay, thân ở vị trí thuận lợi và thời gian duy trì tư thế lâu |
Gò bó, chật hẹp tới 50% ca lao động, có khi phải quỳ gối, nằm, cúi khom |
Gò bó, chật hẹp quá 50% ca lao động, có khi phải quỳ gối, nằm, cúi khom - di chuyển vật nặng |
||
|
|
21.4 |
Làm việc ở tư thế cúi khom |
Không phải cúi |
Góc cúi đến 30° dưới 50% ca hoặc cúi đến 60° dưới 25% ca |
Góc cúi đến 30° tới 50% ca hoặc cúi đến 60° tới 25% ca |
Góc cúi đến 30° quá 50% ca hoặc cúi đến 60° tới 50%, hoặc cúi 90° tới 25% ca |
Góc cúi tới 60° quá 50% ca hoặc cúi 90° tới 50% ca |
Góc cúi 90° quá 50% ca |
||
|
|
21.5 |
Làm việc phải cúi gập thân mình nhiều lần |
Góc cúi tới 30°, <30> |
Góc cúi tới 30°, 30-50 lần/ca |
Góc cúi tới 30°, 51-300 lần/ca, cúi 60° dưới 100 lần/ca |
Góc cúi tới 30°, trên 300 lần/ca, tới 60°, 100-300 lần/ca, cúi 90° tới 100 lần/ca |
Góc cúi 60° đến >300 lần/ca, cúi 90° trên 100-200 lần/ca |
Góc cúi 90°>200 lần/ca |
||
|
|
21.6 |
Phải đi lại trong lúc làm việc, km/ca (có mang vác trên 5kg; có thao tác trên 25% thời gian ca) |
4 |
>4-7 |
>7-10 |
>10-17 |
>17-25 |
>25 |
||
|
22 |
Chế độ lao động |
|
|
|
|
|
|
|||
|
22.1 |
Làm việc theo ca kíp |
1 ca hoặc hành chính, không có ca đêm và thời gian lao động ≤6 giờ/ ca |
1 ca hoặc hành chính, không có ca đêm |
2 ca, không có ca đêm |
3 ca, có ca đêm |
> 70% thời gian của ca là làm đêm |
Chế độ thay ca không ổn định và có làm đêm |
|||
|
22.2 |
Thời gian lao động mỗi ca (giờ) |
- |
≤8 |
9-11 |
12 |
- |
- |
|||
|
23 |
Nội dung công việc và trách nhiệm |
|
|
|
|
|
|
|||
|
|
23.1 |
Nội dung công việc cần giải quyết |
Làm việc theo kế hoạch cá nhân, tâm lý thoải mái |
Làm việc theo kế hoạch trên giao, có thể tự điều chỉnh, tâm lý thoải mái; không cần phải ra quyết định |
Làm việc phức tạp; giải quyết công việc theo chỉ dẫn quy trình |
Làm việc phức tạp, liên quan đến con người; cần phải ra quyết định |
Làm việc phức tạp, cần phải ra quyết định; trách nhiệm vật chất cao hoặc liên quan đến nhiều người |
Phải ra quyết định khẩn cấp khi thiếu thời gian hoặc trong tình huống nguy hiểm; nguy hiểm trực diện; chịu trách nhiệm cao về sự an toàn cho người và tài sản |
||
|
|
23.2 |
Mức độ trách nhiệm với công việc |
Có trách nhiệm vừa phải về thực hiện từng nhiệm vụ riêng lẻ |
Có trách nhiệm về thực hiện từng nhiệm vụ riêng lẻ mức cao. Có cố gắng trong công việc theo cá nhân người lao động |
Có trách nhiệm của người phụ giúp công việc về chất lượng. Có cố gắng trong công việc theo đóng góp ở cấp lãnh đạo cao hơn người lao động (đội trưởng...) |
Chịu trách nhiệm chính về chất lượng, sản phẩm. Có điều chỉnh cố gắng trong công việc của toàn bộ tập thể (nhiều người, cả nhóm, cả đoàn...) |
Chịu trách nhiệm cuối cùng với công việc, chất lượng sản phẩm. Công việc có thể gây hỏng thiết bị, công nghệ hoặc gây nguy hiểm tới tính mạng con người |
Chịu trách nhiệm chính về tính mạng con người hoặc bí mật của ngành, của quốc gia |
||
Một số điểm lưu ý khi sử dụng bảng chỉ tiêu:
1. Về nhiệt độ: các nghề, công việc làm trong phòng điều hòa hoặc ở những nơi có hệ thống cấp lạnh được đánh giá theo hai giải nhiệt độ.
2. Các số liệu về yếu tố vật lý, hóa học, sinh học cần được tập hợp ở 3 thời điểm thích hợp.
3. Các chỉ tiêu tâm sinh lý cần được thu thập từ những thử nghiệm có thiết kế hợp lý và dụng cụ phương tiện đảm bảo độ chính xác theo yêu cầu.
Phụ lục II
(Ban hành kèm theo Thông tư số 29/2021/TT-BLĐTBXH ngày 28 tháng 12 năm 2021 của
Bộ trưởng Bộ Lao động - Thương binh và Xã hội)
Tên cơ quan đề xuất:
PHIẾU GHI TỔNG HỢP KẾT QUẢ ĐO, ĐÁNH GIÁ ĐIỀU KIỆN LAO ĐỘNG
Tên nghề, công việc được đánh giá:
Tên đơn vị nơi đánh giá1:
|
Thứ tự |
Yếu tố/chỉ tiêu |
Kết quả khảo sát |
Điều chỉnh theo thời gian |
Điểm |
Ghi chú |
||
|
Kết quả đo |
Điểm theo kết quả đo |
Thời gian tiếp xúc |
Điểm trừ |
||||
|
1 |
2 |
3 |
4 |
5 |
6 |
7 = 4-6 |
8 |
|
|
|
|
|
|
|
|
|
|
|
|
|
|
|
|
|
|
|
... |
|
|
|
|
|
|
|
|
|
|
|
|
|
|
|
|
Xếp loại:
Ngày tháng.... năm....
Cơ quan đề xuất
(Ký tên, đóng dấu)
--------------------------
1 Trường hợp 1 nghề, công việc được đánh giá ở nhiều nơi thi mỗi nơi ghi 01 phiếu kết quả.
Phụ lục III
(Ban hành kèm theo Thông tư số 29/2021/TT-BLĐTBXH ngày 28 tháng 12 năm 2021 của
Bộ trưởng Bộ Lao động - Thương binh và Xã hội)
Tên cơ quan đề xuất
BẢNG TỔNG HỢP ĐỀ XUẤT PHÂN LOẠI
NGHỀ, CÔNG VIỆC NẶNG NHỌC, ĐỘC HẠI, NGUY HIỂM VÀ NGHỀ, CÔNG VIỆC ĐẶC BIỆT NẶNG NHỌC,
ĐỘC HẠI, NGUY HIỂM
|
STT |
Tên nghề, công việc |
Đặc điểm điều kiện lao động |
Điểm |
Đề xuất phân loại |
Ghi chú |
|
1 |
|
|
|
|
|
|
2 |
|
|
|
|
|
|
|
|
|
|
|
|
...., ngày.... tháng.... năm.....
Cơ quan đề xuất
(Ký tên, đóng dấu)
Bạn chưa Đăng nhập thành viên.
Đây là tiện ích dành cho tài khoản thành viên. Vui lòng Đăng nhập để xem chi tiết. Nếu chưa có tài khoản, vui lòng Đăng ký tại đây!
Bạn chưa Đăng nhập thành viên.
Đây là tiện ích dành cho tài khoản thành viên. Vui lòng Đăng nhập để xem chi tiết. Nếu chưa có tài khoản, vui lòng Đăng ký tại đây!





























































































































