- Tổng quan
- Nội dung
- VB gốc
- Tiếng Anh
- Hiệu lực
- VB liên quan
- Lược đồ
-
Nội dung hợp nhất
Tính năng này chỉ có tại LuatVietnam.vn. Nội dung hợp nhất tổng hợp lại tất cả các quy định còn hiệu lực của văn bản gốc và các văn bản sửa đổi, bổ sung, đính chính... trên một trang. Việc hợp nhất văn bản gốc và những văn bản, Thông tư, Nghị định hướng dẫn khác không làm thay đổi thứ tự điều khoản, nội dung.
Khách hàng chỉ cần xem Nội dung hợp nhất là có thể nắm bắt toàn bộ quy định hiện hành đang áp dụng, cho dù văn bản gốc đã qua nhiều lần chỉnh sửa, bổ sung.
- Tải về
Thông tư 03/2025/TT-BLĐTBXH quy định tiêu chuẩn phân loại lao động theo điều kiện lao động
| Cơ quan ban hành: | Bộ Lao động Thương binh và Xã hội |
Số công báo:
Số công báo là mã số ấn phẩm được đăng chính thức trên ấn phẩm thông tin của Nhà nước. Mã số này do Chính phủ thống nhất quản lý.
|
Đã biết
|
| Số hiệu: | 03/2025/TT-BLĐTBXH | Ngày đăng công báo: |
Đã biết
|
| Loại văn bản: | Thông tư | Người ký: | Lê Văn Thanh |
| Trích yếu: | Quy định tiêu chuẩn phân loại lao động theo điều kiện lao động | ||
|
Ngày ban hành:
Ngày ban hành là ngày, tháng, năm văn bản được thông qua hoặc ký ban hành.
|
11/02/2025 |
Ngày hết hiệu lực:
Ngày hết hiệu lực là ngày, tháng, năm văn bản chính thức không còn hiệu lực (áp dụng).
|
Đang cập nhật |
|
Áp dụng:
Ngày áp dụng là ngày, tháng, năm văn bản chính thức có hiệu lực (áp dụng).
|
Đã biết
|
Tình trạng hiệu lực:
Cho biết trạng thái hiệu lực của văn bản đang tra cứu: Chưa áp dụng, Còn hiệu lực, Hết hiệu lực, Hết hiệu lực 1 phần; Đã sửa đổi, Đính chính hay Không còn phù hợp,...
|
Đã biết
|
| Lĩnh vực: | Lao động-Tiền lương | ||
TÓM TẮT THÔNG TƯ 03/2025/TT-BLĐTBXH
Ngày 11/02/2025, Bộ Lao động Thương binh và Xã hội ban hành Thông tư 03/2025/TT-BLĐTBXH quy định tiêu chuẩn phân loại lao động theo điều kiện lao động. Dưới đây là một số nội dung đáng chú ý:
1. Có 06 loại điều kiện lao động trong đó:
- Xếp loại I, II, III: nghề, công việc không nặng nhọc, không độc hại, không nguy hiểm;
- Xếp loại IV: nghề, công việc nặng nhọc, độc hại, nguy hiểm;
- Xếp loại V, VI: nghề, công việc đặc biệt nặng nhọc, độc hại, nguy hiểm.
2. Các phương pháp đánh giá xếp loại điều kiện lao động gồm:
- Phương pháp đánh giá, tính điểm;
- Phương pháp thống kê, kinh nghiệm;
- Phương pháp kết hợp giữa phương pháp đánh giá, tính điểm với phương pháp thống kê, kinh nghiệm và lấy ý kiến của bộ quản lý;
3. Phương pháp thống kê, kinh nghiệm và phương pháp kết hợp được áp dụng đối với:
- Nghề, công việc có yếu tố gây thiệt hại tới tính mạng, sức khỏe của người lao động nhưng không đủ 06 yếu tố đặc trưng hoặc không đủ 03 nhóm yếu tố trong hệ thống chỉ tiêu về điều kiện lao động;
- Nghề, công việc có tính chất nguy hiểm đến tính mạng, sức khỏe, môi trường: tiếp xúc với hóa chất độc bảng A, phóng xạ.
Thông tư có hiệu lực có hiệu lực kể từ ngày 01/04/2025.
Xem chi tiết Thông tư 03/2025/TT-BLĐTBXH có hiệu lực kể từ ngày 01/04/2025
Tải Thông tư 03/2025/TT-BLĐTBXH
|
BỘ LAO ĐỘNG - THƯƠNG BINH VÀ XÃ HỘI Số: 03/2025/TT-BLĐTBXH |
CỘNG HÒA XÃ HỘI CHỦ NGHĨA VIỆT NAM Hà Nội, ngày 11 tháng 02 năm 2025 |
THÔNG TƯ
Quy định tiêu chuẩn phân loại lao động theo điều kiện lao động
_______________
Căn cứ Luật An toàn, vệ sinh lao động ngày 25 tháng 6 năm 2015;
Căn cứ Nghị định số 62/2022/NĐ-CP ngày 12 tháng 9 năm 2022 của Chính phủ quy định chức năng, nhiệm vụ, quyền hạn và cơ cấu tổ chức của Bộ Lao động - Thương binh và Xã hội;
Theo đề nghị của Cục trưởng Cục An toàn lao động;
Bộ trưởng Bộ Lao động - Thương binh và Xã hội ban hành Thông tư quy định tiêu chuẩn phân loại lao động theo điều kiện lao động.
Chương I
QUY ĐỊNH CHUNG
Điều 1. Phạm vi điều chỉnh
Thông tư này quy định tiêu chuẩn phân loại lao động theo điều kiện lao động.
Điều 2. Đối tượng áp dụng
1. Cơ quan, tổ chức, cá nhân thực hiện phân loại lao động theo điều kiện lao động.
2. Người sử dụng lao động theo quy định tại khoản 5 Điều 2 Luật An toàn, vệ sinh lao động
Chương II
TIÊU CHUẨN PHÂN LOẠI LAO ĐỘNG THEO ĐIỀU KIỆN LAO ĐỘNG
Điều 3. Loại điều kiện lao động
1. Điều kiện lao động gồm 6 loại như sau:
a) Loại I.
b) Loại II.
c) Loại III.
d) Loại IV.
đ) Loại V.
e) Loại VI.
2. Nghề, công việc có điều kiện lao động được xếp loại I, II, III là nghề, công việc không nặng nhọc, không độc hại, không nguy hiểm; nghề, công việc có điều kiện lao động được xếp loại IV là nghề, công việc nặng nhọc, độc hại, nguy hiểm; nghề, công việc có điều kiện lao động được xếp loại V, VI là nghề, công việc đặc biệt nặng nhọc, độc hại, nguy hiểm.
Điều 4. Tiêu chuẩn, phương pháp phân loại điều kiện lao động
Loại điều kiện lao động quy định tại Điều 3 Thông tư này được đánh giá, xếp loại theo các phương pháp sau:
1. Phương pháp đánh giá, tính điểm
Phương pháp này được thực hiện theo quy trình sau:

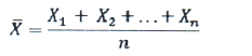
điểm trung bình các yếu tố theo công thức:

g

Tổng hợp kết quả vào phiếu theo mẫu quy định tại Phụ lục II ban hành kèm theo Thông tư này và xác định điều kiện lao động theo điểm trung bình các yếu tố () như sau:





> 5,32: Điều kiện lao động loại VI.
2. Phương pháp khác
a) Phương pháp thống kê, kinh nghiệm
Căn cứ vào đặc điểm điều kiện lao động đặc trưng của mỗi nghề, công việc thuộc Danh mục nghề, công việc nặng nhọc, độc hại, nguy hiểm và nghề, công việc đặc biệt nặng nhọc, độc hại, nguy hiểm (sau đây gọi tắt là Danh mục nghề) đã được Bộ trưởng Bộ Lao động - Thương binh và Xã hội ban hành để xác định loại điều kiện lao động cho các nghề, công việc được đánh giá.
b) Phương pháp kết hợp
Kết hợp phương pháp đánh giá, tính điểm quy định tại khoản 1 Điều này với phương pháp thống kê, kinh nghiệm quy định tại điểm a khoản 2 Điều này và lấy ý kiến của bộ quản lý ngành lĩnh vực, các chuyên gia, nhà khoa học để tổng hợp kết quả.
c) Các phương pháp quy định tại khoản này áp dụng đối với các nghề, công việc sau:
- Nghề, công việc có yếu tố gây thiệt hại tới tính mạng, sức khoẻ của người lao động nhưng không thể xác định đu 06 yếu tố đặc trưng hoặc không đủ 03 nhóm yếu tố trong hệ thống chỉ tiêu về điều kiện lao động quy định tại Phụ lục I ban hành kèm theo Thông tư này.
- Nghề, công việc có tính chất nguy hiểm đến tính mạng, sức khoẻ, môi trường: tiếp xúc với hoá chất độc bảng A, phóng xạ.
Căn cứ vào các yếu tố tiếp xúc nghề nghiệp, số liệu thống kê tai nạn lao động, bệnh nghề nghiệp, bệnh tật của nghề, công việc và kết quả tổng hợp theo phương pháp kết hợp này, Bộ Lao động - Thương binh và Xã hội quyết định xếp loại điều kiện lao động đối với các nghề, công việc được đánh giá theo phương pháp quy định tại khoản 2 Điều này.
Chương III
TỔ CHỨC THỰC HIỆN
Điều 5. Trách nhiệm của bộ quản lý ngành, lĩnh vực, người sử dụng lao động và các cơ quan liên quan
1. Người sử dụng lao động phải kiểm soát các yếu tố nguy hiểm, yếu tố có hại theo quy định tại Chương II Nghị định số 39/2016/NĐ-CP ngày 15 tháng 5 năm 2016 của Chính phủ quy định chi tiết và hướng dẫn thi hành một số điều của Luật An toàn, vệ sinh lao động; căn cứ vào kết quả quan trắc môi trường lao động và kết quả phòng chống các yếu tố nguy hiểm, yếu tố có hại để đánh giá việc cải thiện điều kiện lao động của các nghề, công việc đang áp dụng; nếu cần xác định loại điều kiện lao động thì thực hiện theo phương pháp quy định tại Điều 4 Thông tư này.
2. Hằng năm, các bộ quản lý ngành, lĩnh vực chủ động rà soát điều kiện lao động của các nghề, công việc thuộc ngành, lĩnh vực của mình; nếu cần xác định loại điều kiện lao động thì thực hiện theo theo phương pháp quy định tại Điều 4 Thông tư này.
3. Trường hợp phát sinh nghề, công việc mới có yếu tố nặng nhọc, độc hại, nguy hiểm thì bộ quản lý ngành, lĩnh vực, người sử dụng lao động thực hiện đánh giá, xếp loại điều kiện lao động theo quy định tại Thông tư này để xác định loại điều kiện lao động của nghề, công việc đó.
Điều 6. Điều khoản thi hành
1. Thông tư này có hiệu lực kể từ ngày 01 tháng 4 năm 2025.
2. Thông tư số 29/2021/TT-BLĐTBXH ngày 28 tháng 12 năm 2021 của Bộ trưởng Bộ Lao động - Thương binh và Xã hội quy định tiêu chuẩn phân loại theo điều kiện lao động hết hiệu lực kể từ ngày Thông tư này có hiệu lực.
3. Trong quá trình thực hiện, nếu có vướng mắc đề nghị phản ánh về Bộ Lao động - Thương binh và Xã hội để xem xét, giải quyết./.
Phụ lục I
HỆ THỐNG CHỈ TIÊU VỀ ĐIỀU KIỆN LAO ĐỘNG VÀ CÁCH TÍNH ĐIỂM
(Ban hành kèm theo Thông tư số 03/2025/TT-BLĐTBXH ngày 11 tháng 02 năm 2025
của Bộ trưởng Lao động - Thương binh và Xã hội)
|
STT |
Chỉ tiêu về điều kiện lao động |
Mức xếp điểm của từng chỉ tiêu |
|||||
|
(1) |
(2) |
1 điểm |
2 điểm |
3 điểm |
4 điểm |
5 điểm |
6 điểm |
|
(3) |
(4) |
(5) |
(6) |
(7) |
(8) |
||
|
|
A. Nhóm yếu tố đánh giá về vệ sinh môi trường lao động |
|||||||
|
1 |
Vi khí hậu |
|
|
|
|
|
|
|
|
1.1 |
Nhiệt độ không khí (oC) |
|
|
|
|
|
|
|
|
1.1.1 |
Làm việc trong nhà: |
|
|
|
|
|
|
|
|
|
- Vi khí hậu nóng |
20 - 22 |
> 22 - 27 |
> 27 - 32 |
> 32 - 40 |
> 40 - 46 |
> 46 |
|
|
- Vi khí hậu lạnh |
22 - 20 |
< 20 - 18 |
< 18 - 11 |
< 11 - 0 |
< 0 - 10 |
< - 10 |
||
|
- Nhiệt độ chênh lệch trong phòng, nhà xưởng cao hơn ngoài trời |
|
< 1 |
1 - 5 |
> 5 - 8 |
> 8 - 14 |
> 14 |
||
|
1.1.2 |
Làm việc ngoài trời được 4 điểm |
|
|
|
|
|
|
|
|
1.2 |
Độ ẩm, tốc độ gió: độ ẩm > 90%; tốc độ gió là 0(m/s) thì nâng điểm của nhiệt độ thêm 1 điểm |
|
|
|
|
|
|
|
|
1.3 |
Bức xạ nhiệt vượt giới hạn cho phép (W/m²) |
|
|
≤ 10 |
> 10 - 20 |
> 20 - 50 |
> 50 |
|
|
2 |
Áp lực không khí |
|
|
|
|
|
|
|
|
2.1. |
Vượt áp lực khí quyển bình thường (atm) |
|
|
0,2 - 0,6 |
0,7 - 1,8 |
1,9 - 3,0 |
> 3 |
|
|
2.2. |
Độ cao nơi làm việc so với mực nước biển (m) |
100 |
> 100 - 500 |
>500 - 1000 |
>1000 - 2000 |
>2000 - 4000 |
> 4000 |
|
|
3 |
Nồng độ hơi khí độc lớn hơn mức quy định của giới hạn cho phép (lần) |
|
<1 |
1-1,5 |
> 1,5 - 2 |
> 2 - 3 |
> 3 |
|
|
4 |
Nồng độ bụi vượt giới hạn cho phép (lần) |
|
<1 |
1 - 2 |
> 2 - 5 |
> 5 - 10 |
> 10 |
|
|
5 |
Tiếng ồn trong sản xuất vượt giới hạn cho phép (dBA) |
|
|
1 - 5 |
>5 - 10 |
>10 - 15 |
> 15 |
|
|
6 |
Rung xóc vượt giới hạn cho phép |
|
|
|
|
|
|
|
|
6.1 |
Gia tốc (m/s2) |
|
|
<1 |
1 - 1,4 |
> 1,4 - 2 |
> 2 - 2,8 |
|
|
6.2 |
Vận tốc (cm/s) |
|
|
<1 |
>1 - 2 |
> 2 - 3 |
> 3 |
|
|
7 |
Điện từ trường tần số radio vượt giới hạn cho phép (V/m hoặc A/m) |
|
|
|
|
|
|
|
|
7.1 |
Điện trường (V/m) |
|
|
1 - 5 |
> 5 - 10 |
> 10 - 20 |
>20 |
|
|
7.2 |
Từ trường (A/m) |
|
|
1 - 5 |
> 5 - 10 |
> 10 - 20 |
>20 |
|
|
8 |
Điện từ trường tần số công nghiệp vượt giới hạn cho phép (kV/m hoặc A/m) |
|
|
|
|
|
|
|
|
8.1 |
Điện trường (kV/m) |
|
|
> 1 - 5 |
> 5 - 10 |
> 10 - 15 |
>15 |
|
|
8.2 |
Từ trường (A/m) |
|
|
> 1 - 5 |
> 5 - 10 |
> 10 - 15 |
>15 |
|
|
9 |
Tiếp xúc trực tiếp Bức xạ ion hóa (mSV/năm) được 6 điểm |
|
|
|
|
|
|
|
|
10 |
Tiếp xúc với sinh vật có hại |
|
|
|
|
|
|
|
|
10.1 |
Tiếp xúc các nguồn gây bệnh truyền nhiễm theo Luật phòng, chống các bệnh truyền nhiễm |
|
Nguy cơ tiếp xúc chưa rõ ràng |
Có thể có nguy cơ tiếp xúc, có khả năng gây bệnh |
Gây bệnh truyền nhiễm nhóm C theo Luật phòng, chống bệnh truyền nhiễm |
Gây bệnh truyền nhiễm nhóm B theo Luật phòng, chống bệnh truyền nhiễm |
Gây bệnh truyền nhiễm nhóm A theo Luật phòng, chống bệnh truyền nhiễm |
|
|
10.2 |
Tiếp xúc thực vật, động vật ốm, ác thú, rắn độc (chưa được phân loại vào nhóm 10.1) |
|
Có thể có nguy cơ tiếp xúc, có khả năng gây bệnh |
Gây bệnh nhẹ, chữa khỏi |
Gây bệnh nặng có biện pháp phòng chữa bệnh tin cậy |
Gây bệnh rất nguy hiểm, có biện pháp phòng chữa tin cậy |
Gây bệnh rất nguy hiểm, chưa có biện pháp phòng và chữa chắc chắn |
|
|
|
B. Nhóm yếu tố đánh giá tác động về tâm sinh lý lao động |
|||||||
|
11 |
Mức tiêu hao năng lượng cơ thể (Kcal/ca làm việc) |
<900 |
900 - 1270 |
1271 - 1790 |
1791 - 2180 |
2181 - 2350 |
> 2350 |
|
|
12 |
Biến đổi một số thông số về hệ tim mạch |
|
|
|
|
|
|
|
|
12.1 |
Tần số nhịp tim trung bình: lấy bình quân của nhóm trong suốt ca lao động (nhịp/phút) |
< 74 |
74 - 80 |
81 - 85 |
86 - 90 |
91 - 100 |
>100 |
|
|
12.2 |
Tăng huyết áp tâm thu cuối ca làm việc so với đầu ca (mmHg) |
≤ 10 |
11 - 20 |
21 - 30 |
31 - 40 |
41 - 50 |
≥ 51 |
|
|
12.3 |
Tăng áp lực mạch cuối ca làm việc so với đầu ca (mmHg) |
≤ 40 |
41 - 45 |
46 - 50 |
51 - 55 |
56 - 60 |
≥ 61 |
|
|
13 |
Mức chịu tải của cơ bắp khi làm việc: giảm sức bền lực cơ cuối ca làm việc so với đầu ca (%) |
Tới 20 |
>20 - 30 |
> 30 - 40 |
> 40 - 50 |
> 50 - 70 |
>70 |
|
|
14 |
Biến đổi chức năng hệ thần kinh trung ương |
|
|
|
|
|
|
|
|
14.1 |
Tăng thời gian phản xạ thị - vận động cuối ca làm việc so với đầu ca (%) |
Tới 10 |
>10 - 20 |
> 20 - 30 |
> 30 - 40 |
> 40 - 50 |
>50 |
|
|
14.2 |
Tăng thời gian phản xạ thính - vận động cuối ca làm việc so với đầu ca (%) |
Tới 10 |
>10 - 20 |
> 20 - 30 |
> 30 - 40 |
> 40 - 50 |
>50 |
|
|
14.3 |
Giảm tần số nhấp nháy ánh sáng tới hạn (CFF) (% số người so với đầu ca) |
Tới 10 |
>10 - 30 |
> 30 - 50 |
> 50 - 70 |
>70 - 90 |
>90 |
|
|
14.4 |
Tăng tỷ lệ biến thiên nhịp tim dạng trội giao cảm (% số người có biến thiên nhịp tim dạng trội giao cảm) |
Tới 10 |
>10 - 30 |
>30 - 50 |
> 50 - 70 |
>70 - 90 |
>90 |
|
|
15 |
Mức hoạt động não lực |
|
|
|
|
|
|
|
|
15.1 |
Đặc điểm công việc - Mức hoạt động não lực khi làm việc |
Giải quyết công việc rất đơn giản |
Giải quyết công việc đơn giản |
Giải quyết công việc phức tạp |
Giải quyết công việc phức tạp, phải tìm kiếm thêm thông tin |
Giải quyết công việc rất phức tạp, tích cực tìm kiếm thông tin trong điều kiện áp lực về thời gian; yêu cầu tập trung chú ý cao, trí nhớ tức thời và lâu dài |
Giải quyết công việc rất phức tạp, đòi hỏi phối hợp nhiều bên liên quan, tích cực tìm kiếm thông tin trong điều kiện áp lực về thời gian; yêu cầu tập trung chú ý cao, trí nhớ tức thời và lâu dài, trách nhiệm công việc cao |
|
|
15.2 |
Biến đổi khả năng nhớ: Giảm dung lượng nhớ sau ca lao động so với đầu ca (%) |
Tới 5 |
> 5 - 15 |
> 15 - 25 |
> 25 - 35 |
>35 - 45 |
> 45 |
|
|
16 |
Căng thẳng thị giác |
|
|
|
|
|
|
|
|
16.1 |
Cường độ chiếu sáng dưới giới hạn cho phép (Lux) do yêu cầu công nghệ hoặc điều kiện kỹ thuật không thể khắc phục được. |
≤ 30 |
>30 - 50 |
>50 - 100 |
>100 - 150 |
>150 - 200 |
>200 |
|
|
16.2 |
Độ lớn chi tiết cần phân biệt khi nhìn (mm) |
>5 |
5 - 1,0 |
<1 - 0,5 |
<0,5 - 0,3 |
<0,3 - 0,1 |
<0,1 |
|
|
16.3 |
Thời gian quan sát màn hình điện tử (giờ/ca lao động) |
|
|
|
|
|
|
|
|
16.3.1 |
Đối với loại hiển thị bằng chữ/ số (giờ) |
<1 |
1 -<2 |
2 -<3 |
3 -<4 |
4 - 6 |
>6 |
|
|
16.3.2 |
Đối với loại hiển thị bằng đồ thị (giờ) |
<1 |
1 -<3 |
3 -<5 |
5 -<6 |
6 - 7 |
>7 |
|
|
17 |
Độ căng thẳng chú ý và mệt mỏi thần kinh |
|
|
|
|
|
|
|
|
17.1 |
Số đối tượng phải quan sát đồng thời |
Dưới 5 |
5 - 10 |
11 - 25 |
26 - 30 |
30 - 50 |
>50 |
|
|
17.2 |
Thời gian quan sát/tập trung chú ý (% ca) |
Dưới 25 |
25 - 50 |
51 - 75 |
76 - 90 |
91 - 95 |
>95 |
|
|
17.3 |
Tăng thời gian làm thử nghiệm/ test chú ý cuối ca so với đầu ca (%) |
Tới 10 |
>10 - 20 |
> 20 - 30 |
> 30 - 40 |
> 40 - 50 |
>50 |
|
|
17.4 |
Gánh nặng đối với cơ quan thính giác (khi phải tiếp nhận lời nói hoặc phân biệt âm thanh) |
Luôn tiếp nhận và hiểu rõ lời nói và tín hiệu |
Tiếp nhận và hiểu rõ lời nói và tín hiệu từ 99-100% trong điều kiện không có nhiễu |
Tiếp nhận và hiểu rõ lời nói và tín hiệu từ 70-90%. Có nhiễu và vẫn nghe được trong khoảng cách ≤3,5m |
Tiếp nhận và hiểu rõ lời nói và tín hiệu từ 50-70%. Có nhiễu và vẫn nghe được trong khoảng cách ≤2m |
Tiếp nhận và hiểu rõ lời nói và tín hiệu từ <50-30%. Có nhiễu và vẫn nghe được trong khoảng cách ≤1,5m |
Tiếp nhận và hiểu rõ lời nói và tín hiệu từ <30%. Có nhiễu và vẫn nghe được trong khoảng cách ≤1m |
|
|
17.5 |
Gánh nặng với cơ quan phát âm (số giờ phải nói trong 1 tuần) |
<8 |
8 -<16 |
16 -<20 |
20 -<25 |
25 -<30 |
>30 |
|
|
|
C. Nhóm yếu tố đánh giá về Ecgônômi - tổ chức lao động |
|||||||
|
18 |
Mức tiếp nhận thông tin: số tín hiệu tiếp nhận trong một giờ (chỉ đánh giá các công việc trong ngành cơ yếu, bưu điện viễn thông, tin học) |
<25 |
25 - 75 |
76 - 175 |
176 - 300 |
301 - 400 |
>400 |
|
|
19 |
Mức đơn điệu của lao động trong sản xuất dây chuyền |
|
|
|
|
|
|
|
|
19.1 |
Thời gian lặp lại thao tác (giây) |
>40 |
40 - 30 |
29 - 20 |
19 - 10 |
6 - 9 |
<5 |
|
|
19.2 |
Số lượng thao tác cần thiết để thực hiện một nhiệm vụ đơn giản hoặc những thao tác lặp lại nhiều lần |
>15 |
10 - 15 |
9 - 6 |
5 - 3 |
3 - 2 |
<2 |
|
|
20 |
Nhịp điệu cử động, số lượng động tác trong 1 giờ của: |
|
|
|
|
|
|
|
|
20.1 |
Lớp chuyển động nhỏ: ngón tay, cổ tay, cẳng tay |
< 1000 |
1000 - 2000 |
> 2000 - 3000 |
> 3000 - 4000 |
>4000 - 5000 |
>5000 |
|
|
20.2 |
Lớp chuyển động lớn: vai, cánh tay, cẳng chân |
< 250 |
250 - 500 |
>500 - 750 |
>750 - 1000 |
>1000 - 1500 |
>1500 |
|
|
21 |
Vị trí, tư thế lao động và đi lại trong ca làm việc |
|
|
|
|
|
|
|
|
|
21.1 |
Làm trên giá cao hay dây treo (so với mặt sàn làm việc) |
|
Cao dưới 2m |
Cao 2 đến 5m |
Cao hơn 5m |
Cao hơn 5m, treo người trên dây |
Cao hơn 5m, treo người trên dây, không gian hạn chế |
|
|
21.2 |
Làm việc ở địa hình dốc (độ) |
0 |
> 0 - 10 |
> 10 - 15 |
> 15 - 30 |
> 30 - 45 |
> 45 |
|
|
21.3 |
Tư thế làm việc |
Thoải mái, nhẹ nhàng |
Thoải mái, di chuyển vật nặng trên 5kg |
Kém thoải mái, ngồi hoặc đứng, chân tay và thân ở vị trí thuận lợi |
Gò bó, kém thoải mái, ngồi hoặc đứng, chân tay, thân ở vị trí thuận lợi và thời gian duy trì tư thế lâu |
Gò bó, chật hẹp tới 50% ca lao động, có khi phải quỳ gối, nằm, cúi khom |
Gò bó, chật hẹp quá 50% ca lao động, có khi phải quỳ gối, nằm, cúi khom - di chuyển vật nặng |
|
|
21.4 |
Làm việc ở tư thế cúi khom |
Không phải cúi |
Góc cúi đến 30o dưới 50% ca hoặc cúi đến 60o dưới 25% ca |
Góc cúi đến 30o tới 50% ca hoặc cúi đến 60o tới 25% ca |
Góc cúi đến 30o quá 50% ca hoặc cúi đến 60o tới 50%, hoặc cúi 90o tới 25% ca |
Góc cúi tới 60o quá 50% ca hoặc cúi 90o tới 50% ca |
Góc cúi 90o quá 50% ca |
|
|
21.5 |
Làm việc phải cúi gập thân mình nhiều lần |
Góc cúi tới 30o, <30 lần/ca |
Góc cúi tới 30o, 30-50 lần/ca |
Góc cúi tới 30o, 51-300 lần/ca, cúi 60o dưới 100 lần/ca |
Góc cúi tới 30o, trên 300 lần/ca, tới 60o, 100-300 lần/ca, cúi 90o tới 100 lần/ca |
Góc cúi 60o đến > 300 lần/ca, cúi 90o trên 100-200 lần/ca |
Góc cúi 90o>200 lần/ca |
|
|
21.6 |
Phải đi lại trong lúc làm việc, km/ca (có thao tác trên 25% thời gian ca) |
4 |
> 4 - 7 |
> 7 - 10 |
> 10 - 17 |
> 17 - 25 |
>25 |
|
22 |
Chế độ lao động |
|
|
|
|
|
|
|
|
22.1 |
Làm việc theo ca kíp |
|
|
2 ca, không có ca đêm |
2 ca hoặc 3 ca, có ca đêm |
> 70% thời gian của ca là làm đêm |
Chế độ thay ca không ổn định và có làm đêm |
|
|
22.2 |
Thời gian lao động mỗi ca (giờ) |
|
≤ 8 |
9-11 |
12 |
|
|
|
|
23 |
Nội dung công việc và trách nhiệm |
|
|
|
|
|
|
|
|
|
23.1 |
Nội dung công việc cần giải quyết |
Làm việc theo kế hoạch cá nhân, tâm lý thoải mái |
Làm việc theo kế hoạch trên giao, có thể tự điều chỉnh, tâm lý thoải mái; không cần phải ra quyết định |
Làm việc phức tạp; giải quyết công việc theo chỉ dẫn quy trình |
Làm việc phức tạp, liên quan đến con người; cần phải ra quyết định |
Làm việc phức tạp, cần phải ra quyết định; trách nhiệm vật chất cao hoặc liên quan đến nhiều người |
Phải ra quyết định khẩn cấp, khuyến cáo hành động khẩn cấp khi thiếu thời gian hoặc trong tình huống nguy hiểm; nguy hiểm trực diện; chịu trách nhiệm cao về sự an toàn cho người và tài sản |
|
|
23.2 |
Mức độ trách nhiệm với công việc |
Có trách nhiệm vừa phải về thực hiện từng nhiệm vụ riêng lẻ |
Có trách nhiệm về thực hiện từng nhiệm vụ riêng lẻ mức cao. Có cố gắng trong công việc theo cá nhân người lao động |
Có trách nhiệm của người phụ giúp công việc về chất lượng. Có cố gắng trong công việc theo đóng góp ở cấp lãnh đạo cao hơn người lao động (đội trưởng…) |
Chịu trách nhiệm chính về chất lượng, sản phẩm. Có điều chỉnh cố gắng trong công việc của toàn bộ tập thể (nhiều người, cả nhóm, cả đoàn…) |
Chịu trách nhiệm cuối cùng với công việc, chất lượng sản phẩm. Công việc có thể gây hỏng thiết bị, công nghệ, công trình xây dựng hoặc gây nguy hiểm tới tính mạng con người, môi trường |
Chịu trách nhiệm chính về tính mạng con người hoặc bí mật của ngành, của quốc gia |
Một số điểm lưu ý khi sử dụng bảng chỉ tiêu:
1. Các số liệu của nhóm yếu tố đánh giá về vệ sinh môi trường lao động, Ecgônômi - tổ chức lao động cần được tập hợp ở 3 thời điểm thích hợp
2. Các số liệu của nhóm yếu tố đánh giá tác động về tâm sinh lý lao động cần được tập hợp cùng một ca (đối với trường hợp có nhiều ca trong ngày) ở 3 thời điểm thích hợp.
3. Các chỉ tiêu tâm sinh lý cần được thu thập từ những thử nghiệm có thiết kế hợp lý và dụng cụ phương tiện đảm bảo độ chính xác theo yêu cầu.
Phụ lục II
(Ban hành kèm theo Thông tư số 03/2025/TT-BLĐTBXH ngày 11 tháng 02 năm 2025 của
Bộ trưởng Bộ Lao động - Thương binh và Xã hội)
Tên cơ quan:
PHIẾU GHI TỔNG HỢP KẾT QUẢ ĐO, ĐÁNH GIÁ
ĐIỀU KIỆN LAO ĐỘNG
Tên nghề, công việc được đánh giá:
Tên đơn vị nơi đánh giá1:
|
Thứ tự |
Yếu tố/chỉ tiêu |
Kết quả khảo sát |
Điều chỉnh theo thời gian |
Điểm |
Ghi chú |
||
|
Kết quả đo |
Điểm theo kết quả đo |
Thời gian tiếp xúc |
Điểm trừ |
||||
|
1 |
2 |
3 |
4 |
5 |
6 |
7 = 4-6 |
8 |
|
|
|
|
|
|
|
|
|
|
|
|
|
|
|
|
|
|
|
|
|
|
|
|
|
|
|
|
|
|
|
|
|
|
|
|

Xếp loại:
|
Ngày........tháng........năm...... Tên cơ quan (Ký tên đóng dấu) |
___________________
1 Trường hợp 1 nghề, công việc được đánh giá ở nhiều nơi thì mỗi nơi ghi 01 phiếu kết quả.
Bạn chưa Đăng nhập thành viên.
Đây là tiện ích dành cho tài khoản thành viên. Vui lòng Đăng nhập để xem chi tiết. Nếu chưa có tài khoản, vui lòng Đăng ký tại đây!
Bạn chưa Đăng nhập thành viên.
Đây là tiện ích dành cho tài khoản thành viên. Vui lòng Đăng nhập để xem chi tiết. Nếu chưa có tài khoản, vui lòng Đăng ký tại đây!


























































































































































