- Tổng quan
- Nội dung
- Tiêu chuẩn liên quan
- Lược đồ
- Tải về
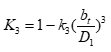
Tiêu chuẩn Quốc gia TCVN 6259-3:2003 Quy phạm phân cấp và đóng tàu biển vỏ thép - Hệ thống máy tàu
| Số hiệu: | TCVN 6259-3:2003 | Loại văn bản: | Tiêu chuẩn Việt Nam |
| Cơ quan ban hành: | Bộ Khoa học và Công nghệ | Lĩnh vực: | Giao thông , Khoa học-Công nghệ |
|
Ngày ban hành:
Ngày ban hành là ngày, tháng, năm văn bản được thông qua hoặc ký ban hành.
|
31/12/2003 |
Hiệu lực:
|
Đã biết
|
| Người ký: | Đang cập nhật |
Tình trạng hiệu lực:
Cho biết trạng thái hiệu lực của văn bản đang tra cứu: Chưa áp dụng, Còn hiệu lực, Hết hiệu lực, Hết hiệu lực 1 phần; Đã sửa đổi, Đính chính hay Không còn phù hợp,...
|
Đã biết
|
TÓM TẮT TIÊU CHUẨN VIỆT NAM TCVN 6259-3:2003
Quy phạm phân cấp và đóng tàu biển vỏ thép - Phần 3: Hệ thống máy tàu
Ngày 31/12/2003, Bộ Khoa học và Công nghệ đã ban hành Tiêu chuẩn Quốc gia TCVN 6259-3:2003 về Quy phạm phân cấp và đóng tàu biển vỏ thép - Phần 3: Hệ thống máy tàu. Tiêu chuẩn này thay thế cho bản TCVN 6259-3:1997 và có hiệu lực từ ngày ban hành.
Nội dung quy phạm áp dụng cho các hệ thống máy như máy chính, thiết bị truyền động, và các máy phụ trên tàu biển vỏ thép. Quy định cũng cho phép thay đổi một số yêu cầu đối với các tàu có vùng hoạt động hạn chế.
Yêu cầu chung về hệ thống máy
Hệ thống máy quy định phải thiết kế và chế tạo phù hợp với mục đích sử dụng, đảm bảo an toàn cho con người. Các yêu cầu cụ thể như công suất lùi, việc giữ máy hoạt động trong trường hợp hỏng hóc, và các điều kiện làm việc đều được quy định chi tiết.
Vật liệu
Vật liệu chế tạo hệ thống máy phải đáp ứng các tiêu chuẩn cụ thể và có thể thay đổi tùy thuộc vào mục đích sử dụng và điều kiện làm việc. Các yêu cầu này cũng bao gồm vật liệu dùng cho các máy phụ, nồi hơi, hệ thống truyền động…
Thử nghiệm và đánh giá
Các hệ thống máy phải được thử nghiệm cả trước và sau khi lắp đặt trên tàu. Các yêu cầu về thử nghiệm cụ thể được đưa ra để đảm bảo tính an toàn và hiệu quả trong hoạt động của hệ thống máy.
Quản lý tiếng ồn và thông gió
Quy phạm cũng quy định chặt chẽ về việc giảm tiếng ồn từ máy móc và đảm bảo hệ thống thông gió cho buồng máy để duy trì điều kiện làm việc an toàn cho thuyền viên.
Bảng quy định kỹ thuật
Trong văn bản còn có các bảng quy định chi tiết về góc nghiêng, nhiệt độ làm việc tối đa, và các thông số kỹ thuật khác liên quan đến hệ thống máy.
Tóm lại, TCVN 6259-3:2003 đưa ra bộ quy chuẩn quan trọng nhằm đảm bảo sự an toàn và hiệu quả trong thiết kế, chế tạo và vận hành hệ thống máy của tàu biển vỏ thép.
Tải tiêu chuẩn Việt Nam TCVN 6259-3:2003
TIÊU CHUẨN QUỐC GIA
TCVN 6259-3:2003
QUY PHẠM PHÂN CẤP VÀ ĐÓNG TÀU BIỂN VỎ THÉP - PHẦN 3: HỆ THỐNG MÁY TÀU
Rules for the classification and construction of sea-going steel ships - Part 3: Machinery installations
Lời nói đầu
TCVN 6259-3: 2003 thay thế cho TCVN 6259-3 : 1997.
TCVN 6259-3: 2003 do Ban kỹ thuật TCVN/TC8 “Đóng tàu và Công trình biển” phối hợp với Cục Đăng kiểm Việt Nam biên soạn, Tổng cục Tiêu chuẩn Đo lường Chất lượng đề nghị, Bộ Khoa học và Công nghệ ban hành.
QUY PHẠM PHÂN CẤP VÀ ĐÓNG TÀU BIỂN VỎ THÉP - PHẦN 3: HỆ THỐNG MÁY TÀU
Rules for the classification and Construction of Sea-going Steel Ships - Part 3: Machinery installations
CHƯƠNG 1 QUI ĐỊNH CHUNG
1.1 Quy định chung
1.1.1 Phạm vi áp dụng
1 Những yêu cầu của Chương này được áp dụng cho máy chính, thiết bị truyền động, hệ trục, chân vịt, động cơ dẫn động không phải là máy chính, nồi hơi v.v..., thiết bị đốt chất thải, bình chịu áp lực, máy phụ, hệ thống ống và các hệ thống điều khiển chúng (sau đây, trong Chương này gọi chung là “hệ thống máy”).
2 Đối với hệ thống máy lắp đặt trên tàu có vùng hoạt động hạn chế hoặc lắp trên các tàu nhỏ, một số yêu cầu trong Phần này có thể được thay đổi theo các yêu cầu được quy định ở Chương 20 và có thể thay đổi một cách hợp lý nếu được Đăng kiểm xem xét và chấp nhận.
1.1.2 Thay thế tương đương
Hệ thống máy không phù hợp với những yêu cầu của Phần này có thể cũng được chấp nhận nếu chúng được Đăng kiểm công nhận là tương đương với các yêu cầu được quy định ở Phần này.
1.1.3 Hệ thống máy có đặc điểm thiết kế mới
Hệ thống máy có các đặc điểm thiết kế mới có thể được chấp nhận nếu như chúng thỏa mãn các yêu cầu bổ sung về thiết kế và người thiết kế phải đưa ra các quy trình thử ngoài các quy trình thử trong Phần này với kết quả thử đạt yêu cầu của Đăng kiểm.
1.1.4 Sửa đổi các yêu cầu
1 Đối với hệ thống máy, hệ thống ống và hệ thống điều khiển chúng dưới đây, có thể sửa đổi một số yêu cầu của Phần này nếu Đăng kiểm thấy có thể chấp nhận được.
(1) Động cơ dẫn động nhỏ dùng để lai máy phát điện hoặc máy phụ (bao gồm cả thiết bị truyền động và hệ trục);
(2) Máy phụ để làm hàng và các động cơ dẫn động chúng;
(3) Hệ thống máy được Đăng kiểm xem xét và thấy phù hợp về công suất, mục đích và điều kiện làm việc.
1.1.5 Thuật ngữ
1 Trong Phần này, máy phụ được phân loại thành những nhóm sau:
Khi các máy phụ liệt kê từ (1) đến (5) dưới đây được dùng vào nhiều mục đích thì chúng phải được xếp vào loại máy phụ quan trọng hơn.
(1) Máy phụ cần thiết cho máy chính
Máy phụ được sử dụng để phục vụ máy chính
(2) Máy phụ dùng để điều động và an toàn
Máy phụ dùng vào mục đích điều động tàu an toàn và máy phụ dùng để đảm bảo an toàn cho tàu và sinh mạng con người trên tàu
(3) Máy phụ dùng để làm hàng
Máy phụ dùng để bốc, dỡ hàng cũng như để bảo quản hàng hóa
(4) Máy phụ chuyên dụng
Máy phụ dùng vào các hoạt động đặc biệt khi tàu hoạt động trên biển hoặc ở bến cảng
(5) Máy phụ khác
Các máy phụ không thuộc từ (1) đến (4) nêu trên
2. Hệ trục chân vịt
Hệ trục chân vịt là hệ gồm trục đẩy, trục trung gian, trục chân vịt, các ổ đỡ trục và chân vịt.
1.1.6. Bản vẽ và tài liệu trình duyệt
Bản vẽ và tài liệu trình duyệt liên quan đến hệ thống máy phải phù hợp với các yêu cầu quy định ở trong từng Chương của Phần này.
1.2 Vật liệu
1.2.1 Chọn vật liệu
1 Vật liệu theo yêu cầu của Phần 7-A của Quy phạm này
Vật liệu dùng chế tạo hệ thống máy phải được chọn theo những quy định của từng Chương trong Phần này xuất phát từ những vật liệu thỏa mãn yêu cầu tương ứng quy định ở Phần 7-A của Quy phạm này, có xét đến mục đích và điều kiện làm việc của chúng.
2 Vật liệu khác
Vật liệu dùng chế tạo hệ thống máy không được quy định trong Chương này phải thỏa mãn những quy định ở (1) và (2) sau đây:
(1) Vật liệu được sử dụng làm máy chính, hệ thống truyền động, hệ trục, chân vịt, nồi hơi, bình chịu áp lực, hệ thống điều khiển và các quy định về vật liệu cho máy phụ cần thiết cho máy chính, máy phụ để điều động và an toàn và các máy phụ dùng để làm hàng phải phù hợp với các yêu cầu của Tiêu chuẩn Việt Nam hoặc các tiêu chuẩn mà Đăng kiểm cho là phù hợp.
(2) Vật liệu được sử dụng làm máy phụ trừ máy phụ cần thiết cho máy chính, máy phụ dùng để điều động và an toàn, máy phụ dùng để làm hàng (sau đây được gọi là “máy phụ chuyên dụng”) và vật liệu dùng cho thiết bị truyền động liên quan đến chúng, hệ trục, hệ thống đường ống và hệ thống điều khiển phải được chọn lựa trên cơ sở xem xét mục đích và điều kiện làm việc của chúng.
1.3 Những yêu cầu chung về hệ thống máy
1.3.1 Quy định chung
1 Hệ thống máy phải được thiết kế và chế tạo phù hợp với mục đích sử dụng đã dự định, phải được lắp đặt và bảo vệ sao cho có thể giảm đến mức tối đa nguy hiểm cho con người ở trên tàu nhờ quan tâm đúng mức đến các bộ phận chuyển động, bề mặt bị đốt nóng và các nguy hiểm khác.
Khi thiết kế phải quan tâm đến mục đích sử dụng dự kiến của thiết bị, điều kiện làm việc của thiết bị cũng như điều kiện môi trường trên tàu.
2 Nếu các máy sau đây được lắp đơn chiếc trên tàu thì phải xem xét đặc biệt đến độ tin cậy và các chi tiết của máy.
Đối với tàu sử dụng loại máy không thông dụng làm máy chính và hệ trục chân vịt, Đăng kiểm có thể yêu cầu trang bị thêm thiết bị máy để đảm bảo cho tàu có thể chạy ở tốc độ hành hải được trong trường hợp máy bị sự cố.
(1) Tàu lắp động cơ Đi-ê-den:
Động cơ Đi-ê-den dùng làm máy chính, khớp đàn hồi, hộp giảm tốc và hệ trục chân vịt.
(2) Tàu lắp tua bin hơi nước:
Động cơ tua bin hơi nước dùng làm máy chính, nồi hơi chính, bầu ngưng chính, hộp giảm tốc và hệ trục chân vịt.
(3) Tàu lắp tua bin khí:
Động cơ tua bin khí được sử dụng làm máy chính, máy nén khí, buồng đốt, hộp giảm tốc và hệ trục chân vịt.
(4) Tàu lắp thiết bị đẩy bằng điện:
Động cơ lai chân vịt, hộp giảm tốc và hệ trục chân vịt.
3 Nếu trên tàu lắp thiết bị đẩy bằng điện thì phải trang bị hai máy phát điện trở lên.
4 Phải trang bị phương tiện mà nhờ đó có thể giữ được hoặc phục hồi lại được sự làm việc bình thường của máy chính ngay cả khi một trong các máy phụ quan trọng không làm việc. Đặc biệt, cần lưu ý đến các sự cố của các thiết bị sau đây:
(1) Cụm máy phát làm nguồn cung cấp điện chính;
(2) Nguồn cung cấp hơi nước;
(3) Hệ thống cấp nước nồi hơi;
(4) Hệ thống cấp dầu đốt dùng cho nồi hơi hoặc động cơ;
(5) Nguồn tạo ra áp lực dầu bôi trơn;
(6) Nguồn tạo ra áp lực nước;
(7) Bơm nước ngưng tụ và thiết bị để duy trì độ chân không trong bầu ngưng;
(8) Nguồn cấp không khí cưỡng bức cho nồi hơi;
(9) Máy nén không khí và bình chứa khí nén dùng vào mục đích khởi động hoặc điều khiển;
(10) Các thiết bị thủy lực, khí nén hoặc điện để điều khiển được dùng trong máy chính bao gồm cả chân vịt biến bước.
Tuy nhiên, qua xem xét độ an toàn tổng thể, có thể chấp nhận cho phép giảm ở mức độ nhất định công suất đáy tàu so với trạng thái hoạt động bình thường của tàu.
5 Phải trang bị cho tàu các phương tiện để đảm bảo cho hệ thống máy tàu có thể hoạt động được từ trạng thái tàu chết mà không cần có sự hỗ trợ từ bên ngoài. Ngoài ra, hệ thống khởi động kết hợp với các máy khác phải được bố trí sao cho có thể khởi động được máy chính để chạy tàu từ trạng thái tàu chết, trong phạm vi 30 phút sau khi bị mất năng lượng toàn tàu.
6 Động cơ chính lai chân vịt, động cơ dẫn động máy phát điện, máy phụ (trừ máy phụ chuyên dụng v.v...), các động cơ dẫn động này phải được thiết kế để làm việc trong các điều kiện như quy định ở Bảng 3/1.1 khi được lắp trên tàu. Có thể cho phép sai lệch so với giá trị góc được quy định ở Bảng 3/1.1 trên cơ sở xem xét kiểu tàu, kích thước tàu và điều kiện làm việc của tàu.
7 Hệ thống máy phải được thiết kế để làm việc tốt trong điều kiện nhiệt độ được quy định ở Bảng 3/1.2.
8 Phải có biện pháp nhằm tạo điều kiện dễ dàng cho việc vệ sinh, kiểm tra và bảo dưỡng hệ thống máy.
9. Phải đặc biệt quan tâm đến thiết kế, chế tạo và lắp đặt hệ thống máy sao cho không để xảy ra hiện tượng dao động gây nên ứng suất lớn trong dải làm việc bình thường.
1.3.2 Công suất lùi
1 Phải bảo đảm đủ công suất chạy lùi nhằm duy trì sự điều khiển tàu trong mọi trạng thái làm việc bình thường.
2 Động cơ chính lai chân vịt phải có khả năng duy trì hành trình chạy lùi ít nhất bằng 70% số vòng quay chạy tiến trong thời gian ít nhất là 30 phút. Công suất lùi có thể được tạo ra trong khoảng thời gian chuyển tiếp sao cho có thể hãm được tàu trong khoảng thời gian hợp lý.
3 Đối với máy chính lai chân vịt qua hộp số, chân vịt biến bước hoặc thiết bị lai chân vịt bằng điện thì việc chạy lùi không được làm cho máy chính lai chân vịt bị quá tải.
Bảng 3/1.1 Góc nghiêng
| Kiểu hệ thống máy | Giữa tàu(2) | Mũi và đuôi tàu(2) | ||
| Góc nghiêng tĩnh | Góc nghiêng động | Góc nghiêng tĩnh | Góc nghiêng động | |
| - Động cơ chính lai chân vịt - Nồi hơi chính và nồi hơi phụ quan trọng; - Động cơ dẫn động máy phát điện (trừ các động cơ sự cố) máy phụ (trừ máy phụ chuyên dụng ...) và các máy dẫn động chúng. | 15o | 22,5o | 5o | 7,5o |
| - Thiết bị sự cố (máy phát sự cố, bơm cứu hỏa sự cố và động cơ dẫn động chúng) - Cơ cấu chuyển mạch(1) (cầu dao ngắt mạch v.v...) - Thiết bị điều khiển tự động và điều khiển từ xa. | 22,5o (3) | 225o (3) | 10o | 10o |
Chú thích:
(1) Đến góc nghiêng 45o, không được có các thao tác sai trong việc đóng mạch hoặc chuyển mạch.
(2) Có thể xảy ra đồng thời độ nghiêng ở giữa tàu, mũi và đuôi tàu.
(3) Đối với tàu chở xô khí hóa lỏng và tàu chở xô hóa chất nguy hiểm, phải có thiết bị sao cho vẫn có thể duy trì được sự cung cấp năng lượng sự cố bình thường khi tàu có độ nghiêng giữa tàu lên đến mức lớn nhất là 30o.
Bảng 3/1.2 Nhiệt độ làm việc
| Không khí | Nơi lắp đặt | Nhiệt độ (oC) |
| Ở khu vực kín | 0 đến 45 (*) | |
| Các chi tiết máy hoặc nồi hơi ở các khoang có nhiệt độ vượt quá 45o C và dưới 0o C | Tùy theo điều kiện riêng cục bộ | |
| Trên boong hở | -25 đến 45 (*) | |
| Nước biển | - | 32 (*) |
Chú thích:
(*) Đăng kiểm có thể chấp nhận nhiệt độ khác nếu thấy phù hợp nhưng không áp dụng cho tàu có vùng hoạt động không hạn chế.
1.3.3 Giới hạn trong việc sử dụng dầu đốt
Giới hạn trong việc sử dụng dầu đốt phải thỏa mãn các yêu cầu trong 4.2.1, Phần 5 của Quy phạm này.
1.3.4 Phòng cháy
1 Hệ thống máy phải được bố trí và lắp đặt sao cho không để rò rỉ dầu đốt, dầu bôi trơn và các loại dầu dễ cháy khác. Đối với các máy móc bị rò rỉ dầu thì phải trang bị phương tiện đảm bảo dẫn dầu rò rỉ vào nơi chứa an toàn.
2 Hệ thống máy phải được bố trí và lắp đặt sao cho không để rò rỉ khí độc hại hoặc khí dễ cháy có thể gây ra hỏa hoạn. Đối với hệ thống máy bị rò rỉ khí thì phải được lắp đặt ở trong khoang được thông gió tốt có khả năng xả sạch nhanh khí này.
3 Ngoài các yêu cầu ở 1.3.4, việc phòng cháy phải tuân theo các yêu cầu ở 4.2 và 5.2, Phần 5 của Quy phạm này.
1.3.5 Hệ thống thông gió cho buồng máy
Buồng máy loại A phải được thông gió tốt để đảm bảo máy móc hoặc nồi hơi bên trong hoạt động ở chế độ toàn tải trong mọi điều kiện thời tiết bao gồm cả thời tiết xấu nhất, phải duy trì chế độ cung cấp đủ không khí cho buồng máy nhằm đảm bảo an toàn và thuận lợi cho thợ máy và sự hoạt động của máy móc. Các buồng máy khác phải được thông gió tốt phù hợp với mục đích sử dụng của buồng máy.
1.3.6 Ngăn ngừa tiếng ồn
Phải có biện pháp làm giảm tiếng ồn của máy móc trong buồng máy nhằm thỏa mãn tiêu chuẩn có thể chấp nhận được theo quy định của luật quốc gia của nước đăng ký tàu. Nếu tiếng ồn này không thể giảm đến mức chấp nhận được thì nguồn gây ra tiếng ồn mạnh phải được cách ly hoặc cách âm hoặc phải trang bị buồng cách ly tiếng ồn nếu như yêu cầu có người trực trong buồng máy. Nếu cần thiết, phải trang bị dụng cụ bịt tai chống ồn cho thợ máy phải làm việc trong buồng máy có tiếng ồn quá mức như vậy.
1.3.7 Thông tin liên lạc giữa lầu lái và các trạm điều khiển tốc độ và hướng đẩy của chân vịt
1 Thông tin liên lạc giữa lầu lái và các trạm điều khiển tốc độ và hướng đẩy của chân vịt phải thỏa mãn các yêu cầu sau đây:
(1) Ít nhất phải trang bị hai phương tiện độc lập để truyền lệnh từ lầu lái đến vị trí trong buồng máy hoặc trong buồng điều khiển thường được sử dụng để điều khiển tốc độ và hướng đẩy của chân vịt. Một trong những phương tiện này phải là tay chuông truyền lệnh buồng máy. Tay chuông này phải đảm bảo truyền đạt rõ ràng lệnh được phát ra từ lầu lái và sự trả lời từ trạm điều khiển nêu trên.
(2) Phương tiện thông tin liên lạc, khi Đăng kiểm thấy cần thiết, phải được trang bị từ lầu lái và buồng máy đến bất kỳ nơi nào ngoài những yêu cầu quy định ở (1) trên đây, từ đó có thể kiểm soát tốc độ và hướng đẩy của chân vịt.
1.3.8 Chuông báo động cho sĩ quan máy
Phải trang bị một chuông báo động cho sĩ quan máy được thao tác từ buồng điều khiển máy hoặc từ trạm điều động khi thấy thích hợp và phải nghe rõ trong buồng ở của sĩ quan máy.
1.3.9 Hướng dẫn sử dụng và bảo dưỡng máy móc và thiết bị của tàu
Phải trang bị cho tàu tài liệu hướng dẫn sử dụng và bảo dưỡng máy móc và trang thiết bị quan trọng cho an toàn của tàu. Tài liệu này phải được viết bằng ngôn ngữ có thể hiểu được bởi những sĩ quan và thuyền viên cần phải hiểu những thông tin đó khi thực hiện nhiệm vụ.
1.4 Thử nghiệm
1.4.1 Thử tại xưởng
1 Trước khi lắp đặt trên tàu, thiết bị và các chi tiết tạo nên hệ thống máy (trừ máy phụ chuyên dụng v.v...) phải được thử tại Nhà máy có máy móc và trang thiết bị cần thiết cho thử nghiệm (sau đây gọi là “Thử tại xưởng”) phù hợp với các yêu cầu tương ứng trong Phần này.
2 Đối với trang thiết bị và các chi tiết của máy móc, trong mỗi Chương của Phần này không quy định yêu cầu thử tại xưởng và các chi tiết của máy phụ chuyên dụng v.v... thì các biên bản thử của Nhà chế tạo cũng phải được trình cho Đăng kiểm khi có yêu cầu.
1.4.2 Trang thiết bị sản xuất hàng loạt
Bất kể những yêu cầu quy định ở 1.4.1-1 trên đây, đối với trang thiết bị được sản xuất theo hệ thống sản xuất hàng loạt, khi Đăng kiểm thấy phù hợp, thì có thể chấp nhận quy trình thử tương ứng với phương pháp sản xuất theo yêu cầu của Nhà chế tạo thay cho các yêu cầu thử nghiệm được quy định trong Quy phạm.
1.4.3 Miễn thử nghiệm
Nếu như Giấy chứng nhận thử hệ thống máy có nội dung phù hợp với yêu cầu của Đăng kiểm thì Đăng kiểm có thể bỏ qua một phần hay toàn bộ các cuộc thử nghiệm đối với máy móc quy định ở 1.4.1.
1.4.4 Thử sau khi lắp đặt trên tàu
1 Máy móc phải được thử nghiệm sau khi lắp đặt lên tàu phù hợp với các yêu cầu được quy định trong từng Chương của Phần này.
2 Các máy phụ để sử dụng riêng nếu Đăng kiểm thấy cần thiết thì phải thử hoạt động vào một dịp thích hợp trước khi chúng được sử dụng để xác định rằng chúng không gây nguy hiểm cho tàu và thuyền viên trên tàu.
3 Khi thấy cần thiết, Đăng kiểm có thể yêu cầu các việc thử khác với các việc thử đã quy định trong Phần này.
CHƯƠNG 2 ĐỘNG CƠ ĐI-Ê-DEN
2.1 Quy định chung
2.1.1 Phạm vi áp dụng
1 Các yêu cầu của Chương này áp dụng cho các động cơ Đi-ê-den được dùng làm máy chính hoặc được dùng để lai máy phát điện và các máy phụ (không kể máy phụ dùng cho các công dụng đặc biệt v.v...) nêu trong Chương này.
2 Đối với các động cơ Đi-ê-den lai máy phát điện sự cố, thì ngoài các yêu cầu ở Phần này (trừ các yêu cầu ở 2.2.4, 2.3, 2.4.1-4 và yêu cầu đối với thiết bị dừng hoạt động của động cơ được quy định ở 2.5.5-1) còn phải áp dụng các yêu cầu ở 3.3 và 3.4, Phần 4 của Quy phạm này. Trong trường hợp động cơ Đi-ê-den được trang bị thiết bị dừng tự động thì phải lắp đặt thiết bị xóa bỏ tác động an toàn này thỏa mãn các yêu cầu ở 18.2.6-3.
3. Đối với các máy chính là động cơ Đi-ê-den được điều khiển bằng điện tử, ngoài các yêu cầu quy định trong Chương này còn phải thỏa mãn các yêu cầu riêng khác của Đăng kiểm.
2.1.2 Bản vẽ và tài liệu
1 Thông thường phải trình duyệt các bản vẽ và tài liệu sau:
(1) Các bản vẽ và tài liệu để duyệt
(a) Bản thuyết minh về động cơ (theo mẫu của Đăng kiểm)
(b) Bản vẽ chi tiết quy trình hàn đối với các bộ phận chính
(c) Trục khuỷu (gồm cả các chi tiết, bu lông nối trục, các đối trọng và các bu lông ghép chặt chúng)
(d) Thanh truyền và các ổ đỡ (kể cả các bu lông và các chi tiết) của động cơ 4 kỳ
(e) Trục chịu lực đẩy (nếu đồng bộ với máy)
(f) Sự bố trí các bu lông bệ máy (gồm cả bu lông bệ máy, căn v.v...)
(g) Cấu tạo và sự bố trí các van phòng nổ thùng trục
(h) Đặc tính vật liệu của các bộ phận chính
(i) Đường ống dầu cao áp để dẫn động xu páp xả cùng cơ cấu bảo vệ
(j) Đường ống dầu đốt cao áp cùng cơ cấu bảo vệ và cố định
(k) Hệ thống đường ống lắp trên động cơ (gồm cả đường ống dầu đốt, dầu bôi trơn, dầu làm mát, nước làm mát, các hệ thống thủy lực và khí nén, có số ghi kích thước, vật liệu và áp suất làm việc của đường ống)
(l) Mặt cắt lắp ráp tua bin khí thải
(2) Các bản vẽ và tài liệu để tham khảo
(a) Danh mục các bản vẽ và tài liệu phải trình duyệt (với số hiệu bản vẽ liên quan và tình trạng soát xét lại)
(b) Mặt cắt dọc của động cơ
(c) Mặt cắt ngang của động cơ
(d) Đế máy và ổ chặn (nếu nó đồng bộ với động cơ)
(e) Thân động cơ
(f) Nắp xi lanh, thân xi lanh và ống lót xi lanh
(g) Pít tông và chốt pít tông
(h) Gu dông liên kết (kể cả bu lông nối và vít định vị)
(i) Lắp ráp pít tông và cán pít tông
(j) Cán pít tông
(k) Thanh truyền và các ổ đỡ (kể cả các bu lông) của động cơ 2 kỳ
(l) Lắp ráp ổ đỡ chặn
(m) Lắp ráp đầu chữ thập
(n) Cơ cấu dẫn động trục cam và sự lắp ráp cam với trục cam
(o) Cơ cấu xu páp (cơ cấu van kiểu dòn)
(p) Bơm phun dầu đốt
(q) Các bu lông ổ đỡ chính
(r) Các bu lông cố định nắp xi lanh và các bu lông cố định hộp van
(s) Bánh đà (đối với trường hợp là một thành phần truyền lực)
(t) Sơ đồ hệ thống điều khiển động cơ (kể cả các hệ thống kiểm tra, an toàn và tín hiệu báo động)
(u) Kết cấu và bố trí lớp cách nhiệt cho ống khí xả lắp trên động cơ
(v) Kết cấu và bố trí các bộ giảm chấn, bộ chống rung, thiết bị cân bằng hoặc cơ cấu bù chính, các thanh giằng, các bản tính toán về cân bằng và ngăn ngừa dao động động cơ
(w) Các tài liệu hướng dẫn sử dụng và vận hành động cơ
(x) Các bản vẽ và tài liệu khác khi Đăng kiểm cho là cần thiết.
2.2 Vật liệu, kết cấu và độ bền
2.2.1 Vật liệu
1 Vật liệu dùng để chế tạo các chi tiết chính của động cơ Đi-ê-den và việc thử chúng bằng phương pháp không phá hủy phải phù hợp với các yêu cầu được quy định ở Bảng 3/2.1. Trong trường hợp thử bằng siêu âm phải trình kết quả thử cho Đăng kiểm viên xem xét.
2 Các xi lanh, pít tông và các bộ phận khác chịu nhiệt độ cao hoặc áp suất cao và các bộ phận truyền mô men dẫn động phải được chế tạo bằng vật liệu phù hợp với nhiệt độ và tải trọng mà các bộ phận đó phải chịu.
2.2.2 Kết cấu, lắp đặt và quy định chung
1 Các xi lanh, pít tông và các bộ phận chịu nhiệt độ hoặc áp suất cao phải có kết cấu phù hợp với ứng suất nhiệt và ứng suất cơ học mà chúng phải chịu.
2 Khi các chi tiết chính của động cơ Đi-ê-den là kết cấu hàn thì chúng phải thỏa mãn các yêu cầu ở Chương 11.
3 Các khung và đế máy phải có kết cấu cứng vững và kín dầu, đế máy phải được trang bị đủ số lượng bu lông cần thiết để cố định máy trên toàn chiều dài bệ máy.
4 Thùng trục và các cửa thùng trục phải có đủ độ bền và các cửa thùng trục phải được bắt chặt sao cho không bị rời ra khi xảy ra nổ bên trong thùng trục.
5 Phải gắn lời cảnh báo ở nơi nhô cao, thích hợp trên cửa thùng trục ở cả hai phía của động cơ hoặc ở trạm điều khiển trong buồng máy. Lời cảnh báo này phải chỉ rõ rằng bất cứ khi nào nhiệt độ trong thùng trục tăng quá cao thì các cửa thùng trục hoặc các lỗ quan sát không được phép mở cho đến khi trong thùng trục nguội đi sau khi dừng động cơ.
6 Cấm thông gió thùng trục và bố trí bất kỳ thiết bị nào để đưa không khí bên ngoài vào trong thùng trục trừ trường hợp (1) và (2) dưới đây:
(1) Các ống thông hơi, nếu có, thì phải được làm nhỏ tới mức có thể được để giảm đến mức tối thiểu lượng không khí vào thùng trục sau khi nổ. Tuy nhiên, không được nối chung các ống thông hơi của hai động cơ hoặc nhiều hơn với nhau. Các ống thông hơi thùng trục của máy chính phải được dẫn ra vị trí an toàn trên boong hoặc một vị trí khác được chấp thuận.
(2) Khi thực hiện hút khí ra khỏi thùng trục (chẳng hạn để phát hiện hơi dầu) thì độ chân không trong thùng trục không được vượt quá 2,5 x 10-4 MPa.
7 Điều kiện môi trường để xác định công suất của các động cơ Đi-ê-den phải như sau:
- Áp suất khí quyển: 0,1 MPa
- Nhiệt độ không khí: 45o C
- Độ ẩm tương đối: 60%
- Nhiệt độ nước biển (tại cửa vào bầu làm mát trung gian không khí nạp): 32°C
2.2.3 Ổ đỡ cổ biên của động cơ 4 kỳ
Ổ đỡ cổ biên của động cơ 4 kỳ phải được thiết kế và chế tạo sao cho áp suất nén đều trên bề mặt tiếp xúc của các nắp ổ đỡ và không gây ra ứng suất quá mức lên các bu lông ổ đỡ cổ biên, chịu được tải trọng thay đổi tác dụng lên thanh truyền
Bảng 3/2.1 Sử dụng vật liệu và thử không phá hủy đối với các chi tiết chính của động cơ Đi-ê-den
| Các chi tiết chính | Đường kính xi lanh D (mm) | ||||||||||
| D ≤ 300 | 300 < D ≤ 400 | 400 < D | |||||||||
| (1) | (2) | (3) | (1) | (2) | (3) | (1) | (2) | (3) | |||
| 1 | Trục khuỷu | Kiểu rèn liền | x | x | x | x | x | x | x | x | x |
| Kiểu má khuỷu, cổ biên và cổ trục lắp ghép hoặc bán lắp ghép | x | x | x | x | x | x | x | x | x | ||
| Các kiểu khác (ví dụ kiểu hàn) | x | x | x | x | x | x | x | x | x | ||
| 2 | Các bích nối trên trục khuỷu (nếu rời) |
|
|
|
|
|
| x |
|
| |
| 3 | Bu lông nối trục khuỷu |
|
|
|
|
|
| x |
|
| |
| 4 | Đỉnh Pít tông bằng thép |
|
| x |
|
| x | x | x | x | |
| 5 | Cán Pít tông | x | x |
| x | x |
| x | x | x | |
| 6 | Thanh truyền cùng với nắp ổ đỡ | x | x |
| x | x |
| x | x | x | |
| 7 | Phần bằng thép của ống lót xi lanh |
|
|
| x | x |
| x |
|
| |
| 8 | Nắp xi lanh bằng thép |
|
| x | x |
| x | x | x | x | |
| 9 | Đế máy kết cấu hàn | Các tấm, các dầm ổ đỡ ngang bằng thép rèn hoặc đúc | x |
|
| x |
|
| x |
|
|
| Các phần thép đúc kể cả các mối hàn |
| x | x |
| x | x |
| x | x | ||
| 10 | Ổ chặn kết cấu hàn, các tấm và dầm ổ đỡ ngang làm bằng thép rèn và thép đúc | x |
|
| x |
|
| x |
|
| |
| 11 | Các khung và thùng trục kết cấu hàn | x |
|
| x |
|
| x |
|
| |
| 12 | Thân máy kết cấu hàn | x |
|
| x |
|
| x |
|
| |
| 13 | Gu dông liên kết | x | x |
| x | x |
| x | x |
| |
| 14 | Các bánh răng bằng thép dẫn động trục cam |
|
|
|
|
|
| x | x |
| |
| 15 | Các bu lông, vít cấy (dùng cho nắp xi lanh, đầu chữ thập, ổ thanh truyền, ổ trục khuỷu) |
|
|
| x |
|
| x | x |
| |
| 16 | Các đĩa tua bin, cánh tua bin, cánh quạt nén gió và trục rô to của tua bin tăng áp khí thải; trục, rô to và các cánh của máy nén tăng áp, trừ các quạt thổi phụ. | x | x | x | x | x | x | x | x | x | |
| 17 | Đầu chữ thập |
|
|
|
|
|
| x |
|
| |
| 18 | Các ống, van và phụ tùng lắp cùng động cơ được phân loại trong nhóm I hoặc nhóm II ở Chương 12 | x |
|
| x |
|
| x |
|
| |
Chú thích:
(1) Vật liệu dùng chế tạo các chi tiết được đánh dấu “x” ở cột (1) thì phải thỏa mãn các yêu cầu ở Phần 7-A của Quy phạm này.
(2) Vật liệu dùng chế tạo các chi tiết được đánh dấu “x” ở cột (2) thì phải được thử theo phương pháp thử bằng hạt từ tính hoặc phương pháp thử bằng chất lỏng thẩm thấu.
(3) Vật liệu dùng chế tạo các chi tiết được đánh dấu “x” ở cột (3) thì phải được thử bằng phương pháp thử siêu âm.
2.2.4 Trục lắp bánh đà và các trục khác
Ở chỗ lắp bánh đà hoặc các pu li lệch tâm dùng cho các bơm trên trục khuỷu hoặc trục phụ ở giữa ổ trục cuối cùng và trục chịu lực đẩy, đường kính trục ở phần trục đó không được nhỏ hơn đường kính trục khuỷu được xác định bằng công thức ở 2.3.
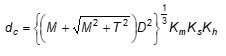
2.3 Trục khuỷu
2.3.1 Trục khuỷu liền
1 Đường kính cổ biên và cổ trục không được nhỏ hơn giá trị tính theo công thức sau:

Trong đó:
dc: Đường kính quy định của trục khuỷu (mm)
M = 10-2AL Pmax
T = 10-2BS Pmi
S: Hành trình pít tông (mm)
L: Khoảng cách giữa hai tâm ổ đỡ liền nhau (mm)
Pmax: Áp suất cháy lớn nhất trong xi lanh (MPa)
Pmi: Áp suất có ích chỉ thị trung bình (MPa)
A và B: Hệ số lấy theo Bảng 3/2.2 và 3/2.3 đối với các động cơ có khoảng nổ bằng nhau (trong trường hợp động cơ chữ V thì các khoảng nổ trên mỗi hàng bằng nhau). Đối với động cơ Đi-ê-den có các khoảng nổ không bằng nhau hoặc không nằm trong các bảng trên, các giá trị A và B sẽ được xem xét cụ thể.
D: Đường kính xi lanh (mm)
Km: Giá trị được lấy theo (1) hoặc (2) dưới đây tùy theo giới hạn bền kéo danh nghĩa của vật liệu làm trục khuỷu. Tuy vậy, giá trị của Km đối với các vật liệu không phải là thép rèn và thép đúc phải được Đăng kiểm xác định trong mỗi trường hợp.
(1) Khi giới hạn bền kéo danh nghĩa của vật liệu lớn hơn 440 N/mm2:

Trong đó:
Ts: Giới hạn bền kéo danh nghĩa của vật liệu (N/mm2). Giá trị của Ts không được quá 760 N/mm2 đối với thép các bon rèn và không quá 1080 N/mm2 đối với thép hợp kim thấp rèn.
(2) Khi giới hạn bền kéo danh nghĩa của vật liệu không lớn hơn 440 N/mm2 nhưng không dưới 400 N/mm2 ; Km = 1,0
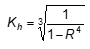
Ks: Giá trị được lấy theo (1), (2) hoặc (3) sau đây, tùy theo phương pháp chế tạo trục khuỷu.
(1) Khi trục khuỷu được chế tạo bằng phương pháp đặc biệt đã được Đăng kiểm thừa nhận rằng rèn tạo thớ liên tục và chất lượng sản phẩm ổn định, độ bền mỏi được tăng thêm từ 20% trở lên so với quá trình rèn tự do:

(2) Khi trục khuỷu được chế tạo bằng phương pháp đặc biệt đã được Đăng kiểm thừa nhận rằng đã tăng độ cứng bề mặt và chất lượng sản phẩm ổn định, độ bền mỏi được nâng cao:

Trong đó:
r: Mức độ (cải thiện) tăng hơn về độ bền tùy theo độ cứng bề mặt (%) đã được Đăng kiểm thừa nhận
(3) Khi không nằm trong trường hợp (1) hoặc (2) nói trên:
KS = 1,0
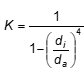
Kh: Giá trị lấy theo (1) hoặc (2) dưới đây tùy theo đường kính trong của cổ biên hoặc cổ trục
(1) Khi đường kính trong bằng và lớn hơn 1/3 đường kính ngoài:

Trong đó:
R: Tỷ số giữa đường kính trong của trục chia cho đường kính ngoài của trục
(2) Khi đường kính trong nhỏ hơn 1/3 đường kính ngoài:
Kh = 1,0
Bảng 3/2.2 Giá trị hệ số A và B đối với động cơ một hàng xi lanh tác dụng đơn
| Số lượng xi lanh | Động cơ 2 kỳ | Động cơ 4 kỳ | ||
| A | B | A | B | |
| 1 2 3 4 5 6 7 8 9 10 11 12 |
1,00 | 8,8 8,8 10,0 11,1 11,4 11,7 12,0 12,3 12,6 13,4 14,2 15,0 |
1,25 | 4,7 4,7 4,7 4,7 5,4 5,4 6,1 6,1 6,8 6,8 7,4 7,4 |
2 Kích thước của các má khuỷu phải thỏa mãn các yêu cầu ở (1) và (2) sau đây:
(1) Chiều dày và rộng của các má khuỷu phải thỏa mãn công thức sau đây liên quan tới đường kính của cổ biên và cổ trục. Trong trường hợp này, chiều dày má khuỷu không được nhỏ hơn 0,36 lần đường kính của cổ biên và cổ trục. Khi đường kính thực tế của cổ biên và cổ trục lớn hơn đường kính yêu cầu của trục khuỷu được xác định bởi công thức ở -1 thì vế trái của công thức sau đây có thể được nhân với (dc/ da)3.

Trong đó:
b: Chiều rộng má khuỷu (mm)
da: Đường kính thực tế của cổ trục hoặc cổ biên (mm)
t: Chiều dày má khuỷu (mm).
(2) Bán kính góc lượn tại chỗ nối của má khuỷu với cổ biên hoặc cổ trục không được nhỏ hơn 0,05 lần đường kính thực tế của cổ biên hoặc cổ trục.
Bảng 3/2.3 Giá trị hệ số A và B đối với động cơ chữ V tác dụng đơn với thanh truyền song song
a- Các động cơ 2 kỳ
| Số lượng xi lanh | Khoảng nổ nhỏ nhất giữa hai xi lanh trên cùng một cổ biên | |||||
| 45° | 60° | 90° | ||||
| A | B | A | B | A | B | |
| 6 |
| 17,0 |
| 12,6 |
| 17,0 |
| 8 |
| 17,0 |
| 15,7 |
| 20,5 |
| 10 |
| 19,0 |
| 18,7 |
| 20,5 |
| 12 |
| 20,5 |
| 21,6 |
| 20,5 |
| 14 | 1,05 | 22,0 | 1,00 | 21,6 | 1,00 | 20,5 |
| 16 |
| 23,5 |
| 21,6 |
| 23,0 |
| 18 |
| 24,0 |
| 21,6 |
| 23,0 |
| 20 |
| 24,5 |
| 24,2 |
| 23,0 |
b- Các động cơ 4 kỳ
| Số lượng xi lanh | Khoảng nổ nhỏ nhất giữa hai xi lanh trên cùng một cổ biên | |||||||||||
| 45° | 60o | 90o | 270o | 300o | 315o | |||||||
| A | B | A | B | A | B | A | B | A | B | A | B | |
| 6 |
| 4,1 |
| 4,0 |
| 4,0 |
| 4,0 |
| 4,4 |
| 4,3 |
| 8 |
| 5,5 |
| 5,5 |
| 5,5 |
| 5,5 |
| 5,3 |
| 5,2 |
| 10 |
| 6,7 |
| 7,0 |
| 6,5 |
| 6,5 |
| 6,1 |
| 5,9 |
| 12 |
| 7,5 |
| 8,2 |
| 7,5 |
| 7,5 |
| 6,9 |
| 6,6 |
| 14 | 1,60 | 8,4 | 1,47 | 9,2 | 1,40 | 8,5 | 1,40 | 8,5 | 1,30 | 7,5 | 1,20 | 7,3 |
| 16 |
| 9,3 |
| 10,1 |
| 9,5 |
| 9,5 |
| 8,2 |
| 7,9 |
| 18 |
| 10,1 |
| 11,1 |
| 10,5 |
| 10,5 |
| 8,8 |
| 8,5 |
| 20 |
| 11,5 |
| 14,0 |
| 11,5 |
| 11,5 |
| 9,5 |
| 9,2 |
2.3.2 Trục khuỷu lắp ghép
1 Đường kính của cổ biên và cổ trục của trục khuỷu lắp ghép phải thỏa mãn yêu cầu ở 2.3.1-1
2 Kích thước của các má khuỷu phải thỏa mãn các yêu cầu ở (1) và (2) sau đây:
(1) Chiều dày các má khuỷu loại lắp ép nóng phải thỏa mãn các công thức sau đây:

Trong đó:
t: Chiều dày của má khuỷu đo song song với đường tâm trục (mm)
C1 = 10 đối với động cơ 2 kỳ 1 hàng xi lanh;
C1 = 16 đối với động cơ 4 kỳ 1 hàng xi lanh
T: Tương tự như ở 2.3.1-1
D: Đường kính xi lanh (mm)
C2 = 12,8a - 2,4a2, nhưng trong trường hợp trục rỗng thì C2 được nhân với (1 - R2)

dh: Đường kính lỗ tại chỗ lắp ép nóng (mm)
dc: Đường kính quy định của trục khuỷu được xác định bằng công thức ở 2.3.1-1 (mm).
(2) Kích thước tại góc lượn chỗ nối của má khuỷu với cổ biên của các trục khuỷu bán lắp ghép phải thỏa mãn các yêu cầu ở 2.3.1-2 (mm).
3 Đối với trục khuỷu lắp ghép thì giá trị a được dùng ở -2 (1) phải nằm trong giới hạn sau:

Trong đó:
Y: Giới hạn chảy danh nghĩa của vật liệu má khuỷu (N/mm2)

Khi giới hạn chảy danh nghĩa của má khuỷu trên 390 N/mm2 hoặc khi giá trị tính theo công thức sau đây dưới 0,1 thì giá trị a sẽ được Đăng kiểm xem xét trong từng trường hợp cụ thể:

Trong đó:
S: Hành trình pít tông (mm)
dp: Đường kính cổ biên (mm)
dj: Đường kính cổ trục (mm)
2.3.3 Nối trục và bu lông nối trục
1 Đường kính của các bu lông nối trục tại bề mặt nối của mối nối giữa các trục khuỷu hoặc giữa trục khuỷu với trục chịu lực đẩy hoặc giữa trục khuỷu với trục quy định ở 2.2.4 không được nhỏ hơn giá trị tính theo công thức sau:

Trong đó:
db: Đường kính bu lông nối trục (mm)
n: Số lượng bu lông
D: Đường kính vòng tròn chia (mm)
dc: Đường kính quy định của trục khuỷu (mm) được tính bằng công thức ở 2.3.1-1 khi các giá trị Km, Ks và Kh được lấy bằng 1,0.
Tb: Giới hạn bền kéo danh nghĩa của vật liệu làm bu lông (N/mm2). Khi giá trị này trên 1000 N/mm2 thì trị số dùng cho công thức trên sẽ được Đăng kiểm xem xét một cách thích hợp.
2 Các khớp nối trục phải đủ bền để chịu được các ứng suất khi làm việc. Các góc lượn của các khớp nối trục phải có bán kính đủ lớn để tránh sự tập trung ứng suất quá mức. Nếu các khớp nối trục tách biệt so với trục, thì phương pháp lắp ghép và kết cấu của khớp nối phải có khả năng chịu được lực kéo khi tàu lùi. Nếu sử dụng then để lắp khớp nối trục vào trục thì kết cấu của rãnh then phải tránh được sự tập trung ứng suất quá mức.
2.3.4 Đánh giá chi tiết về độ bền
Khi trục khuỷu không thỏa mãn các yêu cầu ở 2.3.1 và 2.3.2 thì phải trình các tài liệu thiết kế và bản tính về độ bền trục khuỷu cho Đăng kiểm xem xét.
2.4 Thiết bị an toàn
2.4.1 Thiết bị chống vượt tốc và điều tốc
1 Nếu động cơ Đi-ê-den được sử dụng làm máy chính thì nó phải được trang bị một bộ điều tốc được điều chỉnh để ngăn ngừa tốc độ của động cơ vượt quá 15% số vòng quay liên tục lớn nhất.
2 Ngoài bộ điều tốc thông thường, mỗi động cơ Đi-ê-den lai trục chân vịt có công suất liên tục lớn nhất từ 220 kW trở lên có thể cắt li hợp được hoặc lai chân vịt biến bước phải được trang bị một thiết bị chống vượt tốc. Thiết bị chống vượt tốc và bánh răng lai nó phải độc lập với bộ điều tốc quy định ở -1 và phải điều chỉnh sao cho tốc độ của động cơ không thể vượt quá 20% số vòng quay liên tục lớn nhất của nó.
3 Các động cơ Đi-ê-den lai máy phát điện phải được trang bị các bộ điều tốc thỏa mãn các yêu cầu ở 2.4.2, Phần 4 của Quy phạm này. Khi động cơ Đi-ê-den được dùng để lai máy phát điện cung cấp điện cho động cơ điện lai chân vịt thì phải thỏa mãn các yêu cầu quy định ở 5.1.2-2, Phần 4 của Quy phạm này.
4 Ngoài bộ điều tốc thông thường, mỗi động cơ Đi-ê-den được sử dụng làm máy chính trên tàu chạy bằng điện và động cơ Đi-ê-den lai máy phát điện có công suất liên tục lớn nhất từ 220 kW trở lên phải được trang bị một thiết bị chống vượt tốc riêng biệt. Trong trường hợp này, thiết bị chống vượt tốc và cơ cấu dẫn động nó phải độc lập với bộ điều tốc yêu cầu ở -3 và đảm bảo sao cho tốc độ không thể vượt quá 15% số vòng quay liên tục lớn nhất.
2.4.2 Báo động quá áp cho xi lanh
Phải trang bị một van an toàn có hiệu quả hoặc phương tiện để phòng quá áp khác cho mỗi xi lanh của động cơ Đi-ê-den có đường kính xi lanh trên 230 mm.
2.4.3. Phòng chống nổ thùng trục
1 Đối với các động cơ có đường kính xi lanh không dưới 200 mm hoặc có tổng thể tích thùng trục không dưới 0,6 m3 thì thùng trục phải được trang bị van có kiểu đã được duyệt để ngăn ngừa áp suất tăng quá mức trong trường hợp nổ bên trong thùng trục. Van an toàn thùng trục phải được thiết kế và chế tạo để mở nhanh chóng khi áp suất trong thùng trục tăng quá 0,02 MPa và tự động đóng lại ngay khi có lượng không khí rất nhỏ bên ngoài lọt vào thùng trục.
2 Số lượng và vị trí của các van quy định ở -1 phải tuân theo Bảng 3/2.4.
3 Phải lắp thêm các van an toàn ngoài những van quy định ở -1 cho những ngăn riêng biệt trong thùng trục chẳng hạn như ngăn bánh răng hoặc hộp xích lai trục cam hay những thiết bị dẫn động tương tự khi tổng dung tích của những ngăn như vậy không dưới 0,6 m3.
4 Mỗi van an toàn quy định ở -1 và -3 bên trên phải thỏa mãn các yêu cầu quy định ở (1), (2) và (3) dưới đây:
(1) Tiết diện lưu thông của mỗi van an toàn không được dưới 45 cm2.
(2) Tổng tiết diện lưu thông của các van an toàn đặt trên một động cơ không được dưới 115 cm2 cho mỗi mét khối tổng dung tích thùng trục. Thể tích của các bộ phận không chuyển động trong thùng trục hoặc không gian tách rời có thể được khấu trừ đi tính toán tổng dung tích đó.
(3) Các cửa xả của van an toàn thùng trục phải được che chắn thích hợp để giảm thiểu nguy hiểm do ngọn lửa phát ra.
Bảng 3/2.4 Số lượng và vị trí các van an toàn
| Đường kính xi lanh (mm) | Số lượng và vị trí các van an toàn |
| 200 đến dưới 250 | - Ít nhất ở gần mỗi đầu lắp một van nhưng khi có trên 8 khuỷu trục thì phải đặt thêm một van ở gần giữa động cơ. |
| 250 đến dưới 300 | - Ít nhất cách một khuỷu trục đặt một van nhưng ít nhất là 2 van. |
| 300 trở lên | - Ít nhất mỗi khuỷu trục một van. |
2.4.4 Phòng nổ cho không gian khí quét
1 Không gian khí quét thông với xi lanh phải được trang bị van an toàn phòng nổ. Các van an toàn đó phải được bố trí sao cho khí xả ra không gây nguy hiểm cho người vận hành.
2 Không gian khí quét thông với xi lanh phải được nối với một hệ thống chữa cháy độc lập với hệ thống chữa cháy buồng máy.
2.5 Các thiết bị liên quan
2.5.1 Các tua bin khí thải
1 Đối với máy chính được trang bị tua bin khí thải thì phải trang bị thiết bị để bảo đảm rằng động cơ đó có thể khai thác với công suất đủ để tạo ra tốc độ tối thiểu cho tàu trong trường hợp hỏng một trong các tua bin.
2 Khi máy chính không thể hoạt động được với tua bin khí thải lúc khởi động hoặc ở dải tốc độ thấp thì phải trang bị một hệ thống khí quét phụ. Khi hỏng hệ thống phụ này thì phải có thiết bị thích hợp sao cho máy chính có thể tăng công suất đủ để tua bin khí thải hoạt động theo yêu cầu.
2.5.2 Các thiết bị khí thải
1 Các ống khí thải có nhiệt độ bề mặt quá 220 oC phải được làm mát bằng nước hoặc được bọc cách nhiệt một cách có hiệu quả. Tuy vậy, trong trường hợp có thể đảm bảo an toàn về cháy thì các yêu cầu đó có thể được miễn trừ.
2 Các thiết bị khí thải phải thỏa mãn thêm các yêu cầu được quy định ở 13.16 trong Phần này.
2.5.3 Thiết bị khởi động
1 Các ống dẫn khí khởi động phải được bảo vệ bằng các thiết bị nêu từ (1) đến (5) sau đây để phòng tránh việc nổ do lửa quay ngược từ các xi lanh hoặc do nhiệt độ tăng cao quá mức trong đường ống góp khí khởi động vào thời điểm khởi động:
(1) Phải lắp van ngắt một chiều hoặc tương đương trên đường nối ống dẫn khí khởi động tới mỗi động cơ.
(2) Trên các động cơ đảo chiều trực tiếp có ống góp khí khởi động, phải lắp thiết bị an toàn có đĩa chảy hoặc bộ dập lửa trên van khởi động ở mỗi xi lanh. Tối thiểu một thiết bị như vậy phải được lắp đặt ở đường cấp khí vào ống góp khí khởi động đối với mỗi động cơ không đảo chiều. Tuy nhiên, có thể không cần lắp thiết bị đó cho các động cơ có đường kính xi lanh không quá 230 mm.
(3) Phải lắp thiết bị an toàn có đĩa chảy ở vị trí thích hợp trên ống góp khí khởi động để làm phương tiện giảm áp suất sự cố khi nổ đối với các động cơ đảo chiều trực tiếp được lắp bộ dập lửa như nêu ở (2) trên.
(4) Nếu đĩa chảy của thiết bị an toàn không dễ dàng thay thế, thì phải trang bị cơ cấu bịt kín đường ống thoát của nó để có thể nhanh chóng khởi động lại được động cơ. Cơ cấu bịt kín này phải có bộ phận chỉ báo là nó đang mở hay khoá.
(5) Đối với các động cơ đảo chiều trực tiếp, phải có phương tiện hiệu quả để ngăn ngừa việc tích tụ các chất dễ cháy (dầu đốt, dầu bôi trơn, dầu của các hệ thống v.v...) trong ống góp khí khởi động hoặc để ngăn ngừa việc tăng nhiệt độ quá cao trong ống góp khí khởi động.
2 Khi máy chính được khởi động bằng khí nén thì phải trang bị ít nhất hai bình chứa khí nén. Các bình chứa này phải được nối với nhau để sẵn sàng sử dụng. Trong trường hợp này tổng dung tích của các bình khí nén khởi động phải đủ, mà không cần phải nạp bổ sung, để đảm bảo số lần khởi động liên tục không nhỏ hơn trị số được quy định từ (1) đến (3) dưới đây. Khi sự bố trí các máy chính và hệ trục khác với những điều nêu dưới đây thì số lần khởi động theo yêu cầu phải được Đăng kiểm xem xét riêng.
(1) Đối với các động cơ có thể đảo chiều trực tiếp:
Z = 12C
Trong đó:
Z: Tổng số lần khởi động cho mỗi động cơ.
C: Hằng số được xác định bởi sự bố trí các máy chính và hệ trục, khi đó các giá trị của C phải được xác định như sau:
C = 1,0 đối với các tàu một chân vịt khi máy chính được nối với hệ trục chân vịt trực tiếp hoặc qua bộ giảm tốc.
C = 1,5 đối với các tàu hai chân vịt khi hai máy chính được nối với các trục chân vịt trực tiếp hoặc qua bộ giảm tốc, hoặc đối với các tàu một chân vịt khi hai máy chính được nối với một chân vịt qua khớp nối có thể nhả khớp được đặt giữa động cơ và bánh răng giảm tốc.
C = 2,0 đối với các tàu một chân vịt hai máy chính được nối với một chân vịt không qua khớp nối có thể nhả được đặt giữa động cơ và bánh răng giảm tốc.
(2) Đối với các động cơ kiểu không đảo chiều được sử dụng một cơ cấu đảo chiều độc lập hoặc sử dụng chân vịt biến bước thì có thể chấp nhận số lần khởi động bằng 1/2 giá trị quy định ở (1).
(3) Đối với các tàu chạy bằng điện.
Z = 6+3(k-1)
Trong đó:
k: Số lượng động cơ, nhưng không cần thiết lấy giá trị của k quá 3.
3 Khi các máy chính được khởi động bằng ắc qui, thì phải lắp đặt 2 tổ ắc qui. Tổng dung lượng của các ắc qui phải đủ để đảm bảo số lần khởi động máy chính quy định ở -2 trong 30 phút mà không phải nạp thêm.
4 Thiết bị khởi động các động cơ Đi-ê-den lai máy phát điện hoặc máy phụ, phải được Đăng kiểm xem xét riêng.
5 Hệ thống khí nén khởi động phải thỏa mãn thêm các yêu cầu ở 13.13 của Phần này.
2.5.4 Thiết bị dầu đốt
1 Nếu động cơ được lắp trên bệ giảm chấn, thì phải trang bị các mối nối mềm có kiểu được Đăng kiểm duyệt tại chỗ nối giữa động cơ với đường ống cấp nhiên liệu.
2 Thiết bị dầu đốt cho động cơ Đi-ê-den còn phải tuân theo các yêu cầu ở 13.9, Phần này và 4.2.2, Phần 5 của Quy phạm này.
3 Ngoài việc phải áp dụng 4.2.2(5)(b), Phần 5 của Quy phạm này, đường ống phun dầu đốt cao áp phải tuân theo các yêu cầu sau:
(1) Nếu sử dụng ống mềm để che chắn dầu bắn tóe thì chúng phải có loại được duyệt.
(2) Phải có thiết bị báo động bằng ánh sáng và âm thanh để báo động khi đường ống phun dầu đốt của động cơ Đi-ê-den bị rò rỉ.
2.5.5 Thiết bị dầu bôi trơn
1 Thiết bị dầu bôi trơn của các động cơ Đi-ê-den có công suất liên tục lớn nhất trên 37 kW phải được trang bị các thiết bị báo động bằng âm thanh và ánh sáng để báo động khi việc cấp dầu bôi trơn bị sự cố hoặc khi áp suất dầu bôi trơn giảm đáng kể, đồng thời, phải trang bị thiết bị tự động dừng động cơ khi áp suất dầu bôi trơn thấp hơn sau khi thiết bị báo động đã hoạt động.
2 Phải trang bị ống nối lấy mẫu dầu ở các vị trí thích hợp.
3 Thiết bị bôi trơn trục rô to của tua bin khí xả phải được thiết kế sao cho dầu bôi trơn không thể chảy vào đường khí nạp.
4 Đầu ra của các ống xả dầu bôi trơn từ thùng trục động cơ tới két gom dầu phải được dìm ngập trong dầu.
5 Các ống xả dầu bôi trơn quy định ở -4 của hai động cơ trở lên không được nối chung với nhau.
6 Ngoài ra, thiết bị của hệ thống dầu bôi trơn phải thỏa mãn thêm các yêu cầu ở 13.10 của Phần này và 4.2.3, Phần 5.
2.5.6 Thiết bị làm mát
1 Thiết bị làm mát phải thỏa mãn các yêu cầu ở 13.12 và các yêu cầu ở (1) và (2) sau đây:
(1) Đối với các động cơ có từ hai xi lanh trở lên thì phải trang bị thiết bị thích hợp để làm mát đồng bộ cho mỗi xi lanh và pít tông.
(2) Phải lắp các vòi xả cho các áo nước và các đường ống dẫn nước làm mát tại vị trí thấp nhất.
2.6 Thử nghiệm
2.6.1 Thử tại xưởng
1 Đối với các chi tiết hoặc phụ tùng quy định ở Bảng 3/2.5 thì phải tiến hành thử thủy lực với áp suất quy định ở Bảng đó.
2 Đối với các bộ phận quay của tua bin khí xả, phải tiến hành thử cân bằng động sau khi lắp ráp chúng.
3 Đối với các động cơ Đi-ê-den, phải tiến hành thử ở xưởng theo quy trình thử được Đăng kiểm chấp thuận.
4 Đối với các động cơ Đi-ê-den có các đặc điểm thiết kế mới hoặc không có bằng chứng về việc khai thác trong thực tế, trong trường hợp mà Đăng kiểm thấy cần thiết, phải tiến hành thử để kiểm tra lại khả năng làm việc của động cơ theo quy trình thử được Đăng kiểm chấp nhận.
Bảng 3/2.5 Áp suất thử thủy lực
| Chi tiết thử | Áp suất thử (6) (MPa) |
| Nắp xi lanh: khoang làm mát(1) | 0,7 |
| Ống lót xi lanh: trên toàn bộ chiều dài khoang làm mát(2) | 0,7 |
| Vỏ xy lanh: khoang làm mát | 0,4(3) hoặc 1,5P, lấy giá trị nào lớn hơn. |
| Van xả: khoang làm mát | 0,4 hoặc 1,5P, lấy giá trị nào lớn hơn. |
| Đỉnh pít tông(1), (4) | 0,7 |
| Hệ thống phun nhiên liệu: thân bơm (phía chịu áp lực(5)), van(5), đường ống | 1,5P hoặc P + 30 lấy giá trị nhỏ hơn |
| Xy lanh của bơm quét khí | 0,4 |
| Tua bin: khoang làm mát | 0,4 hoặc 1,5P, lấy giá trị nào lớn hơn |
| Ống xả: khoang làm mát | 0,4 hoặc 1,5P, lấy giá trị nào lớn hơn |
| Bộ trao đổi nhiệt | 0,4 hoặc 1,5P, lấy giá trị nào lớn hơn |
| Bơm được động cơ dẫn động | 0,4 hoặc 1,5P, lấy giá trị nào lớn hơn |
| Hệ thống đường ống | Theo yêu cầu ở 12.6 |
Chú thích:
(1) Đối với các nắp xy lanh bằng thép rèn mà khoang làm mát của nó được gia công cơ khí không có quá trình hàn hoặc đối với các đỉnh pít tông mà chiều dày được đo chính xác sau khi gia công cơ khí cả bên trong và bên ngoài, và được Đăng kiểm viên xác nhận là không có khuyết tật bề mặt thì có thể không cần thử thủy lực.
(2) Khi ống lót xy lanh được gia công tinh bằng máy cả bên trong và bên ngoài, được Đăng kiểm viên kiểm tra chính xác chiều dày và xác nhận không có các khuyết tật bề mặt, thì áp suất thử nêu trên của ống lót xy lanh có thể được giảm đến 0,4 MPa.
(3) Đối với các động cơ Đi-ê-den không có ống lót xi lanh thì áp suất thử thủy lực bằng 0,7 MPa.
(4) Bất kể chú thích (1) ở trên, khoang làm mát của đỉnh pít tông của động cơ Đi-ê-den kiểu chữ thập phải được thử thủy lực sau khi đi lắp ráp với cán pít tông.
(5) Khi các bơm phun nhiên liệu và van phun nhiên liệu được làm bằng thép rèn thì có thể không cần thử thủy lực.
(6) P là áp suất làm việc lớn nhất (MPa) của các bộ phận cần thử.
CHƯƠNG 3 TUA BIN HƠI NƯỚC
3.1 Quy định chung
3.1.1 Phạm vi áp dụng
Các yêu cầu trong Chương này áp dụng cho các tua bin hơi nước được dùng để làm nguồn động lực chính đẩy tàu (lai chân vịt) hoặc dùng để lai các máy phát điện và các máy phụ (không kể máy phụ chuyên dùng ...) nêu trong Chương này.
3.1.2 Bản vẽ và tài liệu
1 Các bản vẽ và tài liệu sau đây phải được trình duyệt:
(1) Các bản vẽ và tài liệu để duyệt:
(a) Thân tua bin
(b) Rô to tua bin
(c) Cánh tua bin
(d) Bản vẽ chi tiết lắp đặt tua bin
(e) Các khớp và bu lông nối trục
(f) Sự bố trí đường ống trên tua bin (bao gồm cả các hệ thống hơi nước, dầu bôi trơn, hệ thống xả khô và dấu hiệu chỉ vật liệu ống, cỡ ống và áp suất làm việc đã quy định)
(g) Các đặc tính kỹ thuật của tua bin (công suất và số vòng quay ở công suất liên tục lớn nhất của tua bin, áp suất và nhiệt độ của hơi nước ở cửa vào tua bin, độ chân không ở đỉnh bầu ngưng hoặc trạng thái hơi nước ở trong buồng xả)
(h) Tốc độ tới hạn của mỗi rô to tua bin
(i) Số lượng cánh ở mỗi tầng
(j) Số lượng vòi phun và sự bố trí chúng ở mỗi tầng
(k) Các thông số kỹ thuật để tính toán độ bền quy định ở 3.2.3
(l) Đặc điểm kỹ thuật của vật liệu làm các chi tiết chính
(m) Các chi tiết hàn của các chi tiết chính
(2) Bản vẽ và tài liệu để tham khảo:
(a) Lắp ráp các phần
(b) Sơ đồ hệ thống điều khiển
(c) Các bản vẽ và tài liệu mà Đăng kiểm yêu cầu bổ sung khi cần thiết.
3.2 Vật liệu, kết cấu và độ bền
3.2.1 Vật liệu
1 Vật liệu của các chi tiết của tua bin hơi nước nêu dưới đây (sau đây được gọi là “các chi tiết chính của tua bin hơi nước”) phải thỏa mãn các yêu cầu ở Phần 7-A của Quy phạm này.
(1) Các rô to tua bin
(2) Các cánh tua bin
(3) Thân tua bin
(4) Khớp nối trục và bu lông nối
(5) Các ống, van và phụ tùng kèm theo tua bin hơi nước được phân loại ở nhóm I và nhóm II quy định ở Chương 12.
2 Các chi tiết chính của tua bin hơi nước (không kể bu lông nối, ống, van và phụ tùng) phải được thử không phá hủy như quy định ở 5.1.10 và 6.1.10, Phần 7-A của Quy phạm này.
3 Vật liệu được sử dụng cho bộ phận có nhiệt độ cao phải có các tính chất phù hợp với các đặc tính thiết kế và bền vững chống được ăn mòn, ứng suất nhiệt, sự rão và giãn dài.
4 Không được dùng gang để làm thân tua bin và các chi tiết chịu áp suất khác ở nhiệt độ hơi nước trên 230oC.
3.2.2 Kết cấu cơ bản
1 Đối với tàu có một tua bin hơi nước chính kiểu ghép ngang, thì tua bin đó phải có kết cấu sao cho có khả năng vẫn đảm bảo hoạt động ở tốc độ hành hải khi ngắt hơi nước của bất kỳ một xi lanh nào. Trong trường hợp này, áp suất và nhiệt độ của hơi nước phải được xác định sao cho không làm giảm sự an toàn của tua bin và bầu ngưng.
2 Mỗi phần của tua bin phải có kết cấu sao cho sự giãn nở nhiệt của chúng không gây ra các biến dạng có hại. Tua bin phải được lắp đặt trên bệ sao cho sự giãn nở nhiệt không gây ra ứng suất quá mức.
3 Khi các chi tiết chính của tua bin hơi nước là kết cấu hàn thì chúng phải thỏa mãn các yêu cầu ở Chương 11.
4 Thân tua bin phải có đầu nối ống xả khô ở vị trí thích hợp.
5 Phải lắp đặt van một chiều hoặc thiết bị được chấp thuận khác để ngăn ngừa hơi nước và hơi xả ngược trở lại tua bin ở đầu nối ống xả hơi nước.
6 Đối với các tua bin hơi nước dùng để lai chân vịt thì phải trang bị các bộ lọc hơi nước ở cửa vào tua bin hoặc ở cửa vào các van điều động.
7 Kết cấu của bầu ngưng chính phải phù hợp với các yêu cầu ở Chương 10.
3.2.3 Độ bền của rô to và cánh tua bin
1 Độ bền của rô to tua bin phải thỏa mãn các yêu cầu (1) và (2) sau đây:
(1) Rô to tua bin (hoặc đĩa) phải được thiết kế sao cho không gây ra rung động quá mức trong phạm vi tốc độ khai thác.
(2) Ứng suất tiếp tuyến trung bình của rô to tua bin phải thỏa mãn các điều kiện sau đây. Vì không có các nhân tố về rão và các lý do thiết kế khác của vật liệu được đưa vào tính toán ở trạng thái đã cho, phải xem xét riêng các trạng thái ứng suất này khi thấy cần thiết.

Trong đó:
Tm: Ứng suất tiếp tuyến trung bình (N/mm2)
n: Số vòng quay liên tục lớn nhất trong một phút chia cho 1000
A: Diện tích mặt cắt của prôfin bánh cánh trên một phía của trục quay (cm2)
I: Mô men quán tính của diện tích A đối với trục quay (cm4)
r: Tỷ trọng của bánh tua bin hoặc rô to (kg/cm3)
m: Tổng khối lượng các cánh kể cả chân (kg)
r: Khoảng cách giữa trọng tâm của cánh (kể cả chân) với đường tâm của trục (cm)
Y: Giới hạn chảy danh nghĩa hoặc giới hạn giãn dài qui ước của vật liệu (N/mm2)
Ts: Giới hạn bền kéo danh nghĩa của vật liệu (N/mm2)
2 Độ bền của cánh tua bin phải thỏa mãn các yêu cầu ở (1) và (2) sau đây:
(1) Cánh tua bin phải được thiết kế sao cho tránh được sự thay đổi mặt cắt đột ngột để giảm đến mức tối thiểu sự biến dạng và rung động.
(2) Diện tích mặt cắt ở chân cánh không được nhỏ hơn giá trị tính theo công thức sau đây. Tuy nhiên, công thức này có thể được sửa đổi khi Đăng kiểm thấy thích hợp.

Trong đó:
A: Diện tích mặt cắt tối thiểu được quy định ở chân cánh (cm2)
m: Khối lượng của một cánh phần trên của diện tích mặt cắt A và khung (kg)
r: Khoảng cách giữa trọng tâm cánh (kể cả chân cánh) với đường tâm trục (cm)
Ts: Giới hạn bền kéo danh nghĩa của vật liệu cánh (N/mm2)
n: Số vòng quay liên tục lớn nhất trong một phút chia cho 1000.
3.3 Thiết bị an toàn
3.3.1 Bộ điều tốc và thiết bị chống vượt tốc
1 Tất cả các tua bin chính và phụ phải được trang bị thiết bị chống vượt tốc để ngăn ngừa tốc độ vượt quá 15% tốc độ liên tục lớn nhất. Khi có từ hai tua bin trở lên cùng lai một bánh răng chính thì có thể trang bị một thiết bị chống vượt tốc cho tất cả các tua bin đó.
2 Khi sử dụng tua bin hơi nước làm máy chính trên các tàu tua bin hơi nước qua khớp nối li hợp hoặc lai chân vịt biến bước, thì ngoài thiết bị chống vượt tốc quy định ở -1, phải lắp thêm một bộ điều tốc độc lập và tách biệt với thiết bị chống vượt tốc đó và bộ điều tốc phải có khả năng điều khiển tốc độ của tua bin không tải mà không cần đến thiết bị chống vượt tốc hoạt động.
3 Tua bin lai máy phát điện phải được trang bị bộ điều tốc thỏa mãn các yêu cầu ở 2.4.2, Phần 4 của Quy phạm này bổ sung cho thiết bị chống vượt tốc quy định ở -1 bên trên. Tuy vậy, khi sử dụng tua bin hơi nước làm máy chính ở các tàu chạy bằng điện, để lai máy phát điện cung cấp điện cho các động cơ đẩy tàu thì phải tuân theo các yêu cầu ở 5.1.2-2, Phần 4 của Quy phạm này.
3.3.2 Thiết bị ngắt hơi nước
1 Các tua bin làm máy chính phải được trang bị các thiết bị tự động ngắt hơi nước cấp vào tua bin chạy tiến (ở các tua bin được dùng làm máy chính trên các tàu chạy bằng điện, tua bin được dùng cho mục đích đó) trong các trường hợp sau:
(1) Khi áp suất dầu bôi trơn thấp.
(2) Khi độ chân không trong bầu ngưng chính thấp.
2 Các tua bin lai các máy phát điện hoặc các máy phụ phải được trang bị các thiết bị tự động ngắt hơi nước khi áp suất dầu bôi trơn thấp.
3 Phải trang bị các thiết bị để ngắt hơi nước cấp cho các tua bin làm máy chính bằng các cơ cấu nhả khớp bằng tay được đặt tại vị trí điều động và ở riêng từng tua bin. Các cơ cấu nhả khớp bằng tay dùng cho tua bin lai máy phát điện hoặc máy phụ phải được bố trí ở gần tua bin.
3.3.3 Hệ thống cấp dầu bôi trơn
1 Các tua bin làm máy chính phải có nguồn cấp dầu bôi trơn sự cố tự động làm việc khi áp suất giảm xuống dưới mức áp suất đã định trước. Nguồn cấp dầu bôi trơn sự cố có thể từ két trọng lực hoặc các thiết bị tương đương (chẳng hạn như bơm kèm theo) với lượng dầu bôi trơn đủ đảm bảo bôi trơn cho đến khi tua bin dừng hẳn.
2 Thiết bị bôi trơn tua bin hơi nước phải có thiết bị báo động bằng âm thanh và ánh sáng, khi có hư hỏng ở nguồn cấp dầu bôi trơn hoặc khi áp suất dầu bôi trơn giảm đáng kể trước khi thiết bị ngắt hơi nước quy định ở 3.3.2-1(1) và -2 hoạt động.
3.3.4 Van bảo vệ cho cửa xả hơi nước
Phải lắp một van bảo vệ ở đầu xả của các tua bin để chống sự tăng quá mức áp suất hơi xả.
3.4 Thử nghiệm
3.4.1 Thử tại xưởng
1 Các bộ phận sau đây phải được thử thủy lực với áp suất được quy định dưới đây:
(1) Thân tua bin:
1,5 lần áp suất hơi nước thiết kế đối với thân tua bin hoặc 0,2 MPa lấy theo giá trị nào lớn hơn.
(2) Ngăn hơi nước tua bin cao áp:
1,5 lần áp suất danh nghĩa của nồi hơi
(3) Bầu chứa hơi nước, ống và các hộp van v.v...
Áp suất thử tương tự như áp suất thử thủy lực áp dụng cho thân tua bin.
(4) Bộ lọc hơi nước và hộp van điều động:
2 lần áp suất danh nghĩa của nồi hơi
(5) Khoang chứa hơi của bầu ngưng chính:
0,1 MPa
Khoang chứa nước làm mát:
0,2 MPa hoặc 0,1 MPa cộng với áp suất đẩy lớn nhất mà bơm tuần hoàn có thể tạo ra khi van đẩy đóng và áp suất hút lớn nhất ở trạng thái toàn tải, lấy giá trị nào lớn hơn. Khi không biết được trạng thái làm việc và không thể tính được áp suất ở điều kiện đó thì áp suất thử không được dưới 0,34 MPa.
2 Đối với các rô to của tua bin, phải tiến hành thử cân bằng động bằng phương pháp thử được Đăng kiểm chấp thuận.
3 Đối với tua bin hơi nước, phải tiến hành thử tại xưởng, kể cả việc thử các thiết bị an toàn quy định ở 3.3 trên theo quy trình thử được Đăng kiểm chấp nhận.
CHƯƠNG 4 TUA BIN KHÍ
4.1 Quy định chung
4.1.1 Phạm vi áp dụng
1 Các yêu cầu trong Chương này áp dụng cho các tua bin khí có kiểu chu trình hở được sử dụng làm máy chính hoặc được dùng để lai các máy phát điện và các máy phụ (trừ các máy phụ chuyên dụng v.v..., sau đây, trong Chương này được gọi tương tự).
2 Các tua bin khí dùng để lai các máy phát điện sự cố phải thỏa mãn các yêu cầu ở 3.3 và 3.4, Phần 4 của Quy phạm này thêm vào các yêu cầu trong Chương này (trừ các yêu cầu 4.2.1-1, 4.2.1-2, 4.3.1-1, 4.3.2 và 4.3.3).
4.1.2 Bản vẽ và tài liệu
1 Phải trình duyệt các bản vẽ và tài liệu sau:
(1) Các bản vẽ và tài liệu để xét duyệt:
(a) Bánh cánh (hoặc rô to) của tua bin và máy nén
(b) Buồng đốt
(c) Chi tiết về việc cố định các cánh chuyển động và cánh cố định
(d) Các khớp và bu lông nối trục
(e) Các thiết bị đường ống được lắp với tua bin (bao gồm cả hệ thống dầu đốt, dầu bôi trơn, nước làm mát, khí nén, thủy lực và ký hiệu vật liệu ống, cỡ ống và áp suất làm việc quy định)
(f) Các bình chịu áp lực và thiết bị trao đổi nhiệt (đã được phân loại ở nhóm I và nhóm II như định nghĩa ở 10.1-3) đi kèm với tua bin
(g) Bản vẽ chi tiết lắp đặt tua bin
(h) Đặc điểm kỹ thuật (kiểu và số xuất xưởng của tua bin, công suất và số vòng quay trong một phút của tua bin và máy nén ở công suất liên tục lớn nhất, áp suất và nhiệt độ khí ở cửa vào và ra của tua bin, sự tổn hao áp suất giữa ống xả và ống vào tua bin, trạng thái môi trường làm việc đã dự kiến, dầu đốt và dầu bôi trơn)
(i) Đặc điểm kỹ thuật của vật liệu làm các bộ phận chính
(j) Các chi tiết hàn của các bộ phận chính
(k) Hướng dẫn bảo dưỡng
(l) Tốc độ tới hạn của rô to tua bin và máy nén
(m) Số lượng các cánh chuyển động trên mỗi cấp
(n) Số lượng và sự bố trí các cánh cố định
(o) Danh mục các thiết bị an toàn dựa vào việc phân tích ảnh hưởng và kiểu hư hỏng.
(2) Các bản vẽ và tài liệu để tham khảo
(a) Lắp ráp các bộ phận
(b) Cánh chuyển động và cánh cố định
(c) Bố trí chung
(d) Thiết bị khởi động (gắn với tua bin)
(e) Bố trí cửa không khí vào và cửa xả khí thải
(f) Sơ đồ các hệ thống điều khiển động cơ
(g) Bản tính độ bền các chi tiết chính
(h) Bản tính về chấn động của các cánh tua bin
(i) Hướng dẫn sử dụng hệ thống điều khiển dầu đốt
(j) Bản vẽ minh họa phương pháp làm mát cho từng phần của tua bin
(k) Các bản vẽ và tài liệu khác khi Đăng kiểm cho là cần thiết
4.2 Vật liệu, kết cấu và độ bền
4.2.1 Vật liệu
1 Vật liệu làm các bộ phận của tua bin khí nêu dưới đây (sau đây được coi là “các bộ phận chính của tua bin khí”) phải thỏa mãn các yêu cầu ở Phần 7-A của Quy phạm này.
(1) Bánh cánh (hoặc rô to), cánh cố định và cánh chuyển động của tua bin
(2) Bánh cánh, cánh cố định và cánh chuyển động của máy nén
(3) Thân tua bin và thân máy nén
(4) Buồng đốt
(5) Trục truyền công suất ra của tua bin
(6) Các bu lông nối các bộ phận chính của tua bin
(7) Khớp nối và bu lông nối trục
(8) Các ống, van và phụ tùng được gắn với tua bin khí đã được phân loại trong nhóm I hoặc nhóm II ở Chương 12
2 Các bộ phận chính của tua bin khí (không kể các bu lông, ống, van và phụ tùng) phải được thử không phá hủy quy định ở 5.1.10 và 6.1.10, Phần 7-A của Quy phạm này.
3 Vật liệu làm các bộ phận chịu nhiệt độ cao phải có các tính chất phù hợp với thiết kế và tuổi thọ chống được ăn mòn, ứng suất nhiệt, rão và giãn chùng. Khi bề mặt của vật liệu cơ sở được phủ chất chống ăn mòn thì chất phủ phải có tính chất không bị tách khỏi vật liệu cơ sở và không làm suy giảm độ bền của vật liệu cơ sở.
4.2.2 Kết cấu và lắp đặt
1 Tua bin khí phải được thiết kế sao cho không bị rung động và va đập quá mức trong phạm vi tốc độ khai thác bình thường.
2 Mỗi phần của tua bin khí phải có kết cấu không bị biến dạng có hại do sự giãn nở nhiệt gây ra.
3 Khi các bộ phận chính của tua bin khí là kết cấu hàn thì chúng phải thỏa mãn các yêu cầu ở Chương 11.
4 Trong trường hợp hỏng nguồn cấp điện chính thì tua bin khí dùng cho dẫn động chính phải được thiết kế sao cho không gây ra việc dừng thiết bị sinh khí hoặc phải có khả năng khởi động lại ngay thiết bị sinh khí sau khi dừng.
5 Tua bin khí phải được lắp đặt trên bệ sao cho không tạo nên sự chèn ép quá mức lên kết cấu do sự giãn nở nhiệt.
6 Các tua bin khí phải được thiết kế và lắp đặt sao cho nếu vì một lí do nào đó mà cánh tua bin hoặc máy nén bị rơi ra sẽ không gây nguy hiểm cho tàu, các thiết bị buồng máy và người làm việc trên tàu.
4.3 Thiết bị an toàn
4.3.1 Bộ điều tốc và thiết bị chống vượt tốc
1 Phải lắp thiết bị chống vượt tốc cho các tua bin khí. Thiết bị chống vượt tốc phải được điều chỉnh sao cho tốc độ của trục ra không được vượt quá 15% tốc độ liên tục lớn nhất và phải có chức năng như đã quy định ở 4.3.2-2.
2 Phải lắp bộ điều tốc độc lập với thiết bị chống vượt tốc nêu ở -1 cho các tua bin khí. Bộ điều tốc phải có khả năng điều khiển tốc độ của tua bin khí ở trạng thái không tải mà không cần sự tác động thiết bị chống vượt tốc.
3 Bộ điều tốc của tua bin khí lai máy phát điện phải tuân theo các yêu cầu ở 2.4.2-1 và -2, Phần 4 của Quy phạm này. Tuy nhiên, khi tua bin khí dùng làm máy chính trên các tàu chạy bằng điện để lai máy phát cấp điện cho động cơ điện lai chân vịt, thì phải áp dụng các yêu cầu quy định ở 5.1.2-2, Phần 4 của Quy phạm này.
4.3.2 Thiết bị dừng sự cố
1 Tua bin khí phải được lắp đặt thiết bị dừng sự cố có cơ cấu thao tác bằng tay thích hợp đặt tại trạm điều khiển.
2 Tua bin khí phải được lắp đặt thiết bị ngắt dầu đốt tự động hoạt động trong những trường hợp sau đây. Ngoài ra thiết bị phải phát ra tín hiệu báo động tại trạm điều khiển khi thiết bị ngắt dầu đốt tự động hoạt động.
(1) Quá tốc độ
(2) Áp suất dầu bôi trơn thấp
(3) Hư hỏng ở hệ thống tự động khởi động
(4) Lửa tắt
(5) Rung động quá mức
3 Ngoài các yêu cầu nêu ở -2, các tua bin khí lai chân vịt phải được trang bị thiết bị đóng để tự động ngắt nhiên liệu cấp cho tua bin khí trong các trường hợp sau và phải trang bị thiết bị báo động phát tín hiệu báo động tại buồng điều khiển khi thiết bị đóng này hoạt động.
(1) Độ dịch chuyển hướng trục quá mức của mỗi Rô to (trừ tua bin có ổ đỡ lăn)
(2) Nhiệt độ khí vào và ra khỏi tua bin cao
(3) Áp suất dầu bôi trơn hộp giảm tốc thấp
(4) Độ chân không tại cửa vào máy nén quá cao (trừ tua bin khí có các cửa nối tắt)
4.3.3 Thiết bị báo động
1 Tua bin khí phải được trang bị thiết bị báo động hoạt động trong các trường hợp sau. Trong trường hợp phải trang bị thiết bị dừng nêu ở 4.3.2, thiết bị báo động phải hoạt động trước khi thiết bị dừng sự cố hoạt động.
(1) Nhiệt độ của khí vào và ra khỏi tua bin cao
(2) Áp suất dầu bôi trơn thấp
(3) Áp suất dầu đốt cung cấp thấp
(4) Rung động quá mức
2 Ngoài các yêu cầu quy định ở -1 trên đây, phải trang bị cho các tua bin khí lai chân vịt thiết bị báo động hoạt động trong các trường hợp sau. Trong trường hợp phải trang bị thiết bị dừng sự cố nêu ở 4.3.2, thiết bị báo động phải hoạt động trước khi thiết bị dừng sự cố này hoạt động.
(1) Độ chênh áp suất giữa đầu vào và đầu ra của bầu lọc dầu bôi trơn tăng cao bất thường
(2) Nhiệt độ dầu nhờn vào quá cao
(3) Nhiệt độ công chất làm mát tăng bất thường, nếu có chu trình làm mát trung gian
(4) Nhiệt độ ổ đỡ hoặc nhiệt độ dầu bôi trơn ra cao bất thường
(5) Độ chân không tại cửa vào máy nén quá cao.
4.3.4 Phát hiện và chữa cháy trong không gian kín.
Nếu có lắp các vách cách âm bao kín hoàn toàn máy phát điện chạy khí và các ống dầu cao áp, phải trang bị hệ thống phát hiện cháy và dập cháy cho buồng kín này.
4.4 Các thiết bị liên quan
4.4.1 Hệ thống nạp không khí vào
Hệ thống nạp khí vào phải có kết cấu và bố trí sao cho giảm đến mức thấp nhất sự xâm nhập của các hạt có hại và nước vào máy nén. Ngoài ra, phải trang bị các phương tiện để có thể hạn chế được tối đa sự tác động có hại do sự lắng đọng muối trong không khí hút vào và do sự đóng băng tại cửa nạp không khí (nếu cần).
4.4.2 Thiết bị khí thải
1 Các đầu hở của các ống khí thải phải được đặt tại vị trí sao cho tránh được khí thải lọt vào hệ thống nạp không khí vào.
2 Nồi hơi và thiết bị trao đổi nhiệt sử dụng nhiệt khí thải của tua bin khí phải tuân theo các yêu cầu quy định ở Chương 9 và Chương 10.
3 Thiết bị khí thải phải tuân theo các yêu cầu quy định ở 2.5.2.
4.4.3 Thiết bị khởi động
1 Tua bin khí phải được trang bị thiết bị phù hợp để ngăn ngừa sự cháy không bình thường hoặc sự đánh lửa trục trặc khi khởi động hay khi khởi động lại sau khi khởi động không được.
2 Khi khởi động bằng khí nén hoặc ắc qui, thì thiết bị khởi động phải thỏa mãn các yêu cầu ở 2.5.3.
4.4.4 Thiết bị đánh lửa
1 Mỗi bộ phận trong thiết bị đánh lửa phải bao gồm từ hai hệ thống trở lên độc lập với nhau.
2 Dây dẫn trong thiết bị đánh lửa bằng điện phải cách điện tốt và phải được đặt nơi khó bị hư hỏng.
3 Bộ chia lửa phải là kết cấu chống nổ hoặc có tấm chắn thích hợp. Không được đặt các cuộn đánh lửa ở nơi mà có thể tích tụ khí nổ.
4.4.5 Thiết bị dầu đốt
1 Phải lưu ý thích đáng đến việc phòng chống tắc do các hạt cứng ở trong đầu đốt gây ra cho đường ống phân phối dầu đốt và vòi phun dầu đốt, đồng thời, cũng phải lưu ý thích đáng đến việc phòng chống sự ăn mòn các cánh tua bin và các bộ phận khác do muối và các chất ăn mòn tương tự khác.
2 Hệ thống điều khiển dầu đốt phải thỏa mãn các yêu cầu sau:
(1) Hệ thống điều khiển dầu đốt phải có khả năng điều chỉnh lượng dầu cung cấp cho buồng đốt để duy trì nhiệt độ khí xả trong phạm vi định trước trong suốt quá trình hoạt động bình thường.
(2) Hệ thống điều khiển dầu đốt phải có khả năng đảm bảo việc cháy ổn định trong toàn bộ phạm vi hoạt động nếu có thể điều chỉnh được lượng dầu cung cấp.
(3) Hệ thống điều khiển dầu đốt phải có khả năng duy trì tốc độ tối thiểu của tua bin ở trạng thái thay đổi tải đột ngột mà không cần phải dừng máy phát điện khí.
3 Thiết bị dầu đốt phải thỏa mãn thêm các yêu cầu ở 13.9, Phần này và 4.2.2, Phần 5.
4.4.6 Thiết bị dầu bôi trơn
1 Tua bin khí dùng để lai chân vịt phải có một thiết bị cấp dầu bôi trơn sự cố tự động hoạt động và cấp đủ lượng dầu bôi trơn đảm bảo sự bôi trơn cho đến khi tua bin dừng hẳn, trong trường hợp hỏng hệ thống cấp dầu bôi trơn. Sự cấp dầu bôi trơn sự cố có thể từ két trọng lực hoặc từ bơm dầu bôi trơn phụ do tua bin lai.
2 Thiết bị dầu bôi trơn của tua bin khí chính phải có thiết bị điều khiển nhiệt độ tự động.
3 Phải trang bị một đầu lấy mẫu dầu bôi trơn tại một vị trí thích hợp.
4 Thiết bị dầu bôi trơn phải thỏa mãn thêm các yêu cầu ở 13.10, Phần này và 4.2.3, Phần 5.
4.5 Thử nghiệm
4.5.1 Thử tại xưởng
1 Phải tiến hành thử thủy lực tua bin khí và thiết bị của tua bin ở áp suất cụ thể dưới đây:
(1) Thân: 1,5 lần áp suất thiết kế lớn nhất.
(2) Hệ thống đường ống: như áp suất quy định ở 12.6.
2 Phải tiến hành thử cân bằng động các bộ phận quay của tua bin và máy nén sau khi đã lắp ráp chúng.
3 Phải thử rô to tua bin ở tốc độ 115% tốc độ quay liên tục lớn nhất hoặc lớn hơn trong thời gian ít nhất 2 phút sau khi chế tạo hoàn chỉnh. Khi Đăng kiểm công nhận rằng tốc độ quay không vượt quá 115% tốc độ liên tục lớn nhất thì có thể tiến hành thử ở tốc độ quay 115% tốc độ quay liên tục lớn nhất.
4 Đối với tua bin khí, phải tiến hành thử ở xưởng bao gồm thử thiết bị an toàn quy định ở 4.3 theo quy trình thử được Đăng kiểm đồng ý. Trong trường hợp này Đăng kiểm có thể yêu cầu thử các đặc tính khởi động và tốc độ tới hạn của trục rô to.
CHƯƠNG 5 HỆ THỐNG TRUYỀN ĐỘNG
5.1 Quy định chung
5.1.1 Phạm vi áp dụng
Những yêu cầu đưa ra trong Chương này được áp dụng cho các hệ thống truyền động từ động cơ chính, động cơ dẫn động máy phát điện và các máy phụ (trừ máy phụ chuyên dụng v.v...).
5.1.2 Bản vẽ và tài liệu
1 Bản vẽ và tài liệu trình Đăng kiểm duyệt bao gồm:
(1) Bản vẽ
(a) Lắp ráp tổng đoạn;
(b) Bánh răng;
(c) Trục bánh răng;
(d) Khớp nối;
(e) Kết cấu các bộ phận chính (bộ li hợp, trục mềm).
(2) Tài liệu
(a) Các thông số về vật liệu dùng trong các bộ phận truyền động (thành phần hóa học, phương pháp nhiệt luyện, cơ tính và phương pháp thử chúng);
(b) Công suất được truyền và tốc độ quay của từng bánh răng ở công suất liên tục lớn nhất;
(c) Thông số kĩ thuật của từng bánh răng (số răng, môdun, đường kính vòng chia, góc áp lực của răng, góc xoăn, chiều rộng mặt, khoảng cách tâm, bán kính đỉnh răng, khe hở bánh răng, tổng khoảng trượt của prôfin răng, tổng độ biến đổi prôfin và vết răng, phương pháp đánh bóng sườn răng, độ bóng bánh răng);
(d) Phương pháp hàn các bộ phận chính (bao gồm cả thử và kiểm tra);
(e) Thông số cần thiết để tính toán độ bền của các bộ phận chính của hệ thống truyền động.
5.2 Vật liệu và kết cấu
5.2.1 Vật liệu
1 Vật liệu dùng cho các chi tiết sau (sau đây gọi là các chi tiết chính của hệ thống truyền động) phải phù hợp với các yêu cầu ở Phần 7-A của Quy phạm này.
(1) Trục và bánh răng truyền công suất;
(2) Các bộ phận truyền công suất của khớp nối;
(3) Các bộ phận truyền công suất của li hợp;
(4) Bu lông khớp nối.
2 Các chi tiết chính của hệ thống truyền động (trừ các bu lông khớp nối, đĩa li hợp và các chi tiết tương tự) phải qua thử không phá hủy theo yêu cầu quy định ở 5.1.10 và 6.1.10, Phần 7-A của Quy phạm này.
5.2.2 Hàn
Nếu như các chi tiết chính của hệ thống truyền động là kết cấu hàn, thì phải thỏa mãn các yêu cầu quy định ở Chương 11.
5.2.3 Kết cấu của bánh răng
1 Kết cấu của các bánh răng phải thỏa mãn các yêu cầu quy định từ (1) đến (3) sau đây:
(1) Nếu vành răng được lắp ép vào may ơ thì vành răng phải có chiều dày đảm bảo đủ độ bền và lực ép để chịu được công suất truyền. Nếu như tiến hành lắp ép nóng sau khi cắt răng, thì kết cấu của bánh răng phải đảm bảo hoàn toàn độ chính xác của cơ cấu hoặc gia công tinh phải được tiến hành sau khi lắp ép chúng;
(2) Nếu bánh răng có kết cấu hàn, thì chúng phải có đủ độ cứng và phải được khử ứng suất trước khi cắt răng;
(3) Bánh răng không được có trọng lượng thừa gây mất cân bằng.
2 Vỏ hộp bánh răng phải có đủ độ cứng và phải có kết cấu sao cho có thể kiểm tra và bảo dưỡng bánh răng một cách dễ dàng.
3 Trong trường hợp nếu như có các phần nặng được lắp vào phần kéo dài của trục bánh răng thì kết cấu của các bánh răng phải sao cho chuyển động xoắn của bánh răng và độ sai lệch của tâm trục có thể nhỏ nhất.
5.2.4 Kết cấu chung của hệ thống truyền động không phải kiểu bánh răng
1 Hệ thống truyền động không phải kiểu bánh răng phải là kiểu được Đăng kiểm duyệt về kết cấu và vật liệu, phải làm việc an toàn, tin cậy và phải có đủ độ bền để chịu được công suất truyền qua. Các khớp nối bằng cao su phải được thiết kế và chế tạo sao cho chúng thích hợp với việc gia nhiệt do hiện tượng trẻ.
2 Kết cấu của khớp trượt điện tử phải phù hợp với những yêu cầu ở 2.4, Phần 4 của Quy phạm này cũng như phải thỏa mãn những yêu cầu mà Đăng kiểm cho là hợp lí.
3 Nếu bộ li hợp truyền động từ máy chính đến hệ trục được điều khiển bằng hệ thống thủy lực hoặc khí nén, thì phải trang bị bơm, máy nén khí dự phòng hoặc phương tiện thích hợp khác được nối sẵn vào hệ thống để sử dụng sao cho có thể đảm bảo con tàu duy trì được chế độ làm việc bình thường.
4 Khớp nối cao su phải được thiết kế đảm bảo toả nhiệt có hiệu quả từ các chi tiết cao su và có kết cấu sao cho có thể kiểm tra một cách dễ dàng.
5.2.5 Thiết bị của hệ thống dầu bôi trơn
1 Thiết bị của hệ thống dầu bôi trơn phải thỏa mãn những yêu cầu quy định ở 13.10. Ngoài ra, nên sử dụng bầu lọc có nam châm trong các kết cấu truyền động bằng bánh răng.
2 Các thiết bị của hệ thống dầu bôi trơn của hệ thống truyền động trên 37 kW phải lắp thiết bị báo động bằng âm thanh và ánh sáng trong trường hợp hư hỏng nguồn cung cấp dầu bôi trơn làm hạ đáng kể áp suất dầu trong hệ thống.
5.3 Độ bền của bánh răng
5.3.1 Phạm vi áp dụng
Những yêu cầu quy định ở 5.3 được áp dụng cho các bánh răng hình trụ với răng ăn khớp ngoài có prôfin răng dạng thân khai. Đối với các loại bánh răng khác thì phải được Đăng kiểm chấp thuận.
5.3.2 Yêu cầu chung
1 Chân răng phải được liên kết bằng góc lượn có bán kính càng lớn càng tốt. Đỉnh răng và cả hai đầu chân răng phải được vát góc phù hợp.
2 Các bánh răng được làm cứng bề mặt phải có đủ độ cứng ở hông và có đủ độ sâu ở vùng được làm cứng.
5.3.3 Tải trọng tiếp tuyến cho phép đối với ứng suất uốn
Tải trọng tiếp tuyến P MCR lên bánh răng phải thỏa mãn điều kiện sau đây đối với ứng suất uốn tại mặt cắt chân răng:

Trong đó:
P MCR: Tải trọng tiếp tuyến tác dụng lên răng ở công suất liên tục lớn nhất phải được tính theo công thức sau đây:

H: Công suất do bánh răng nhận được tại công suất liên tục lớn nhất (kW)
N: Số vòng quay của bánh răng tại công suất lớn nhất (v/p)
D1: Đường kính vòng lăn của bánh răng (cm)
b: Chiều rộng bề mặt có ích của bánh răng trên vòng lăn của mặt cắt song song với trục (cm)
Z: Số răng
mn: Mô đun vuông góc của răng
K1: Hệ số khuyếch đại tải trọng bên ngoài, được xác định bởi tổng tải trọng thay đổi bất thường tác động lên bánh răng và được tính theo công thức sau đây:

Pmax: Tải trọng tiếp tuyến lớn nhất tức thời xảy ra bên trong dải vòng quay làm việc (N/cm)
Tuy nhiên, khi trị số K1 không biết, có thể lấy các giá trị của hệ số này ở Bảng 3/5.1.
K2: Trị số khuyếch đại tải bên trong được tính từ công thức sau đây hoặc từ Hình 3/5.1 phụ thuộc vào độ chính xác của bánh răng và tỉ số trùng điệp của chúng.
K2 = K2 ( Dn) 0,8
D: Đường kính vòng lăn của bánh răng (cm)
n: Số vòng quay của bánh răng trong một phút chia cho 1000
k2: Trị số cho ở Bảng 3/5.2. Trong trường hợp này, trị số eSP được tính theo công thức sau:

be: Chiều rộng mặt (trong trường hợp bánh răng có dạng xoắn kép, chiều rộng mặt là chiều rộng ở một phía) (cm)
b0: Góc xoắn
Bảng 3/5.1 Trị số K(1)(3)(4)
| Cụm chi tiết chủ động | Kết cấu | Sử dụng | |
| Loại khớp nối | Bánh răng của máy chính | Bánh răng của máy phụ | |
| Tua bin hơi Tua bin khí Mô tơ điện | Hộp giảm tốc một cấp Hộp giảm tốc nhiều cấp | 1,00 1,00 (1), 1,10 (2) | 1,15 1,15 |
| Động cơ Đi-ê-den | Khớp thủy lực hoặc điện từ Khớp đàn hồi cao Khớp đàn hồi | 1,00 0,90 0,80 | 1,15 1,05 0,95 |
Chú thích:
(1) Chỉ áp dụng cho hệ bánh răng liên kết trực tiếp với hệ trục của máy chính;
(2) Áp dụng cho hệ bánh răng liên kết với hệ trục chân vịt qua khớp nối mềm;
(3) Nếu ăn khớp bánh răng với trên hai vành răng, lấy K1 bằng 0,9 lần giá trị này;
(4) Đối với khớp nối cứng, giá trị K1 phải được Đăng kiểm xét và chấp nhận.
K3: Hệ số khuyếch đại tải trọng do độ đàn hồi tính theo công thức sau hoặc lấy theo Hình 3/5.2, giá trị này phụ thuộc vào chiều rộng bề mặt và đường kính vòng lăn.

bt: Tổng chiều rộng bề mặt của bánh răng (trong trường hợp bánh răng xoắn kép, bao gồm cả khe hở ở tâm) (cm)
D1: Đường kính vòng lăn của bánh răng (cm)
k3: Giá trị cho ở Bảng 3/5.3
Sb: Giá trị liên quan chủ yếu đến vật liệu của bánh răng, cho theo công thức sau. Tuy nhiên trong trường hợp bánh răng trung gian chạy tiến chỉ lấy bằng 0,7 lần, còn bánh răng chạy lùi lấy bằng 1,2 lần giá trị tính theo công thức sau đây. Trong trường hợp này Sb không vượt quá 25.

Hình 3/5.1 Trị số K2
(1) Trong trường hợp bánh răng có áp dụng quá trình làm cứng bề mặt bao gồm cả vùng đáy thì:

(2) Trong trường hợp các loại bánh răng khác

T: Giới hạn bền kéo danh nghĩa của vật liệu bánh răng (N/mm2)
Y: Giới hạn chảy danh nghĩa của vật liệu bánh răng (N/mm2)
ro: Tỉ số của bán kính đỉnh răng với mô đun
5.3.4 Tải trọng tiếp tuyến đối với ứng suất bề mặt
Tải trọng tiếp tuyến tác dụng lên các răng phải thỏa mãn điều kiện sau đây để hạn chế ứng suất tác dụng lên bề mặt răng, nhưng không áp dụng cho các bánh răng phía lùi:

Trong đó:
SS: Giá trị liên quan chủ yếu đến vật liệu của bánh răng tính theo công thức sau:
(1) Sự ăn khớp của bánh răng được làm cứng:

(2) Sự ăn khớp của các bánh răng khác:

HBP: Độ cứng bề mặt của bánh răng (độ cứng Brinen)
HBW: Độ cứng bề mặt răng của vành răng (độ cứng Brinen)
Tw: Giới hạn bền danh nghĩa của vật liệu bánh răng (N/mm2)
Bảng 3/5.2 Trị số k2
| Độ chính xác cao | esp ≥ 1,25 | esp < 1,25 |
| Giá trị tương ứng với bào tinh hoặc mài | 0,044 | 0,088 |
| Giá trị tương ứng với phay tinh | 0,11 | 0,22 |

Hình 3/5.2 Trị số K3
Bảng 3/5.3 Trị số k3
| Hệ số | Khi một bánh răng ăn khớp với một vành răng | Khi hai vành răng ăn khớp với 1 bánh răng tạo nên một hàng |
| k3 | 0,01 | 0,003 |
K4: Hệ số bôi trơn được lấy theo công thức sau hoặc Hình 3/5.3 phụ thuộc vào đường kính vòng lăn và số vòng/phút. Tuy nhiên, trong trường hợp ăn khớp của các bánh răng được làm cứng thì K4 = 0,53
K4 = 0,3 (Dn)1/6
i: Tỉ số răng (số răng của vành răng chia cho số răng của bánh răng)
Các kí hiệu khác xem ở 5.3.3.

Hình 3/5.3 Trị số K4
5.3.5 Đánh giá chi tiết về độ bền
Bất kể các yêu cầu nêu ở 5.3.3 và 5.3.4, Đăng kiểm sẽ xem xét đặc biệt để đánh giá các tài liệu và bản tính chi tiết về độ bền của cơ cấu bánh răng trình cho Đăng kiểm duyệt.
5.4 Trục bánh răng và trục mềm
5.4.1 Trục bánh răng
1 Đường kính của trục bánh răng phải thỏa mãn các yêu cầu quy định từ (1) đến (3) sau đây:
(1) Đường kính của trục bánh răng dùng để truyền công suất không được nhỏ hơn trị số tính theo công thức ở 6.2.2. Trong công thức này H là công suất, R là số vòng quay của trục trong một phút tại công suất liên tục lớn nhất.
(2) Đường kính của trục bánh răng tại điểm giữa của hai ổ đỡ trục bánh răng phải có đủ độ cứng để chịu được lực uốn sinh ra do bánh răng ăn khớp với nhau.
(3) Đường kính của trục bánh răng giữa các ổ đỡ trục không được nhỏ hơn 1,16 lần giá trị quy định ở (1), nếu một bánh răng tham gia truyền động hoặc hai bánh răng được bố trí ở một góc nhỏ hơn 120o tham gia truyền động và không quá 1,1 lần giá trị quy định ở (1) khi hai bánh răng được bố trí ở một góc lớn hơn 120o tham gia thuyền động.
2 Mặc dù đã có những yêu cầu quy định ở -1, Đăng kiểm sẽ xem xét riêng để đánh giá các tài liệu và bản tính chi tiết về độ bền của cơ cấu bánh răng được trình cho Đăng kiểm duyệt.
5.4.2 Trục mềm
Đường kính của trục mềm không được nhỏ hơn giá trị tính theo công thức sau:

Trong đó:
d: Đường kính của trục mềm, (mm)
H: Công suất trục mềm nhận được tại công suất liên tục lớn nhất, (kW)
N: Số vòng quay trong một phút của trục mềm tại công suất liên tục lớn nhất, (vòng/phút)
T: Giới hạn bền kéo danh nghĩa của vật liệu trục, (N/mm2).
5.4.3 Khớp nối và bu lông khớp nối
Kích thước của khớp nối và bu lông khớp nối không được nhỏ hơn trị số tính theo công thức quy định ở 6.2.12-1 trong Phần này. Mặt khác, trong trường hợp đỡ vật có trọng lượng nặng kiểu công xon thì chúng phải được thiết kế sao cho có đủ độ bền để giữ được trọng lượng đó. Ngoài ra, giá trị đường kính trục d tính trong công thức này phải được xác định tương ứng theo từng loại trục.
5.5 Thử nghiệm
5.5.1 Thử nghiệm ở xưởng
1 Đối với các chi tiết được làm cứng bề mặt thì việc đo độ sâu lớp được làm cứng phải được tiến hành trên vật liệu mẫu.
2 Đối với các chi tiết được làm cứng bề mặt, phải tiến hành thử độ cứng và thử không phá hủy theo quy trình thử phù hợp.
3 Đối với bánh răng, phải tiến hành kiểm tra độ chính xác gia công trên máy tiện.
4 Trong trường hợp truyền động bánh răng, nếu trị số tính theo công thức sau đây vượt quá 50 thì phải tiến hành thử cân bằng động.

Trong đó:
D: Đường kính vòng lăn của bánh răng, (cm)
N: Vòng quay của bánh răng, (v/p)
5 Vệt màu tiếp xúc các răng của tất cả các cơ cấu truyền động bánh răng phải được kiểm tra với tải trọng tương ứng bằng cách quét một lớp sơn mỏng và đều.
CHƯƠNG 6 HỆ TRỤC
6.1 Quy định chung
6.1.1 Phạm vi áp dụng
Những yêu cầu trong Chương này được áp dụng cho hệ trục chân vịt (trừ chân vịt), hệ trục truyền công suất từ máy dẫn động đến máy phát điện và máy phụ (trừ máy phụ chuyên dụng, v.v...). Đối với dao động xoắn, còn phải thỏa mãn những yêu cầu ở Chương 8.
6.1.2 Bản vẽ và tài liệu
1 Bản vẽ và tài liệu trình Đăng kiểm duyệt; gồm:
(1) Bản vẽ (trong đó ghi rõ cả các đặc tính kĩ thuật của vật liệu)
(a) Bố trí hệ trục;
(b) Trục đẩy;
(c) Trục trung gian;
(d) Trục chân vịt;
(e) Ống bao trục;
(f) Ổ đỡ trong ống bao trục;
(g) Thiết bị làm kín ống bao trục;
(h) Ổ đỡ trục trong giá đỡ;
(i) Khớp nối trục và bu lông khớp nối;
(j) Trục truyền công suất tới máy phát hoặc máy phụ.
(2) Tài liệu tham khảo:
(a) Số liệu để tính độ bền của trục trong Chương này;
(b) Những tài liệu cần thiết khác mà Đăng kiểm yêu cầu.
6.2 Vật liệu, kết cấu và độ bền
6.2.1 Vật liệu
1 Vật liệu dùng để chế tạo các chi tiết dưới đây (sau đây gọi là “các chi tiết chính của hệ trục”) phải là thép rèn thỏa mãn các yêu cầu ở 6.1, Phần 7-A; phải là thép rèn không rỉ thỏa mãn các yêu cầu ở 6.2, Phần 7-A; phải là thanh thép cán không rỉ được duyệt để sử dụng làm trục thỏa mãn các yêu cầu ở 3.5.1-2, Phần 7-A (sau đây, thép rèn không rỉ và thanh thép cán không rỉ được gọi chung là “thép rèn không rỉ”) hoặc là vật liệu được Đăng kiểm duyệt riêng để sử dụng làm trục theo 1.1.1-2, Phần 7-A. Vật liệu dùng để chế tạo các khớp nối dạng tháo lắp được có thể là thép đúc thỏa mãn những yêu cầu ở Phần 7-A của Quy phạm này.
(1) Trục đẩy;
(2) Trục trung gian;
(3) Trục chân vịt;
(4) Trục truyền công suất tới các máy phát hoặc máy phụ;
(5) Khớp nối trục;
(6) Bu lông khớp nối.
2 Các chi tiết chính của hệ trục, trừ các bu lông khớp nối phải được thử không phá hủy như quy định ở 5.1.10, 6.1.10, hoặc 6.2.10, Phần 7-A của Quy phạm này, tùy theo loại vật liệu.
3 Vật liệu chế tạo trục phải có giới hạn bền kéo danh nghĩa nằm trong khoảng 400 đến 800 N/mm2.
Việc sử dụng thép các bon rèn có giới hạn bền kéo danh nghĩa lớn hơn 600 N/mm2 hoặc thép rèn hợp kim thấp có giới hạn bền kéo danh nghĩa lớn hơn 800 N/mm2 để chế tạo trục phải được Đăng kiểm xem xét chấp nhận trong từng trường hợp cụ thể.
6.2.2 Trục trung gian
1 Đường kính trục trung gian được chế tạo bằng thép rèn (trừ thép rèn không rỉ v.v...) không được nhỏ hơn trị số tính theo công thức sau:

Trong đó:
do: Đường kính yêu cầu của trục trung gian (mm)
H: Công suất liên tục lớn nhất của động cơ (kW)
N: Vòng quay của trục trung gian ở công suất liên tục lớn nhất (vòng/phút)
F1: Hệ số lấy theo Bảng 3/6.1
k1: Hệ số lấy theo Bảng 3/6.2
Ts: Giới hạn bền kéo danh nghĩa của vật liệu làm trục trung gian (N/mm2). Nếu vật liệu giới hạn bền kéo danh nghĩa lớn hơn 800 N/mm2 thì giới hạn trên của Ts dùng để tính toán chỉ được lấy tới 800 N/mm2.
K: Hệ số trục rỗng tính theo công thức sau:

di: Đường kính trong của trục rỗng (mm)
da: Đường kính ngoài của trục rỗng (mm)
Nếu di ≤ 0,4 da, có thể lấy K = 1
2 Đường kính của trục trung gian được chế tạo từ các vật liệu khác với vật liệu quy định ở -1 trên đây sẽ được Đăng kiểm xem xét riêng.
Bảng 3/6.1 Trị số F1
| Đối với thiết bị tua bin hơi, tua bin khí, thiết bị Đi-ê-den có khớp nối kiểu trượt (xem chú thích), thiết bị đẩy bằng điện | Đối với tất cả các thiết bị Đi-ê-den không phải là các thiết bị ghi ở cột trái |
| 95 | 100 |
Chú thích: Khớp nối kiểu trượt nghĩa là khớp nối thủy lực, khớp điện từ hoặc các khớp nối tương đương.
Bảng 3/6.2 Trị số k1
| Trục có khớp nối bích liền | Trục có khớp nối bích ép nóng, ép nguội hoặc lắp nguội | Trục có rãnh then (1) | Trục có lỗ khoét ngang (2) | Trục có khe khoét dọc (3) | Trục có then trượt (4) |
| 1,0 | 1,0 | 1,1 | 1,1 | 1,20 | 1,15 |
Chú thích:
(1) Sau một khoảng chiều dài không nhỏ hơn 0,2do tính từ đầu rãnh then, đường kính của trục có thể được giảm từ từ tới đường kính được tính toán với k1 = 1,0. Bán kính góc lượn ở mặt cắt ngang của đáy rãnh then phải từ 0,0125do trở lên;
(2) Đường kính lỗ khoét không được lớn hơn 0,3do;
(3) Chiều dài rãnh khoét phải nhỏ hơn hoặc bằng 1,4d, chiều rộng phải nhỏ hơn hoặc bằng 0,2d (trong đó: d là đường kính được tính toán với k1 = 1,0);
(4) Dạng của then trượt phải phù hợp với TCVN hoặc Tiêu chuẩn tương đương khác.
6.2.3 Trục đẩy
1 Đối với trục đẩy truyền mô men xoắn của máy chính, đường kính ở cả hai phía của vành chặn hoặc ở khu vực ổ đỡ dọc trục, nếu như ổ đỡ bi đũa được sử dụng làm ổ đỡ chặn, không được nhỏ hơn trị số tính theo công thức sau:

Trong đó:
dt: Đường kính yêu cầu của trục đẩy (mm)
Các kí hiệu khác xem 6.2.2-1.
2 Nếu đường kính trục đẩy quy định ở -1 lớn hơn đường kính của trục trung gian thì đường kính của trục đẩy có thể giảm dần về phía mũi hoặc phía lái của ổ đỡ bằng cách nhân 0,91 với giá trị đường kính tính theo -1.
3 Đường kính trục đẩy được chế tạo từ các vật liệu khác với vật liệu quy định ở -1 trên đây sẽ được Đăng kiểm xem xét riêng.
6.2.4 Trục chân vịt
1 Đường kính của trục chân vịt làm bằng thép các bon rèn hoặc thép hợp kim thấp rèn không được nhỏ hơn trị số tính theo công thức sau đây. Đối với trục chân vịt loại 2, Đăng kiểm sẽ xem xét riêng.

Trong đó:
ds: Đường kính yêu cầu của trục chân vịt (mm)
k2: Hệ số liên quan đến thiết kế trục được quy định ở Bảng 3/6.3
Ts: Giới hạn bền kéo danh nghĩa của vật liệu trục (N/mm2). Nếu vật liệu làm trục có giới hạn bền kéo danh nghĩa lớn hơn 600 N/mm2 thì giới hạn trên của trị số Ts dùng để tính toán chỉ được lấy tới 600 N/mm2.
Các kí hiệu khác xem 6.2.2-1.
2 Đường kính của trục chân vịt được chế tạo từ thép rèn không rỉ không được nhỏ hơn trị số tính theo công thức sau:

Trong đó: k3 là hệ số liên quan đến vật liệu trục được quy định ở Bảng 3/6.4. Vật liệu khác với vật liệu được quy định trong bảng này sẽ do Đăng kiểm xem xét và quyết định trong từng trường hợp cụ thể.
3 Đường kính của trục chân vịt khác với trị số được tính theo -1 và -2 trên phải được Đăng kiểm xem xét riêng.
Bảng 3/6.3 Trị số k2
| Thứ tự | Phạm vi áp dụng | k2 | |
| 1 | Phần giữa đầu lớn của phần côn của trục chân vịt (trong trường hợp chân vịt được lắp bích, mặt trước của bích) và đầu trước của ổ đỡ sau cùng trong ống bao trục hoặc 2,5ds, lấy trị số nào lớn hơn | Đối với mối ghép trục và chân vịt không dùng then hoặc nếu chân vịt được gắn bích liền | 1,22 |
| Đối với trục có rãnh then để lắp chân vịt | 1,26 | ||
| 2 | Trừ phần trục quy định ở 1 bên trên, phần trục tính về phía mũi cho đến phần trước của đệm kín ống bao trục trước | 1,15 (1) | |
| 3 | Phần trục nằm ở phía trước của đầu trước đệm kín ống bao trục trước | 1,15 (2) | |
Chú thích:
(1) Đường kính trục phải được vuốt côn theo đường biên.
(2) Đường kính trục có thể được vuốt côn đến đường kính tính theo công thức ở 6.2.2.
Bảng 3/6.4 Trị số k3
| Thứ tự | Phạm vi áp dụng | SUSF 316 | SUSF 316 L |
| 1 | Phần giữa đầu lớn của phần côn của trục chân vịt (trong trường hợp chân vịt được lắp bích, mặt trước của bích) và đầu trước của ổ đỡ sau cùng trong ống bao trục hoặc 2,5ds, lấy trị số nào lớn hơn | 1,28 | 1,34 |
| 2 | Trừ phần trục quy định ở 1 bên trên, phần trục tính về phía mũi cho đến phần trước của đệm kín ống bao trục trước | 1,16(1) | 1,22(1) |
| 3 | Phần trục nằm ở phía trước của đầu trước đệm kín ống bao trục trước | 1,16(2) | 1,22(2) |
Chú thích:
(1) Đường kính trục phải được vuốt côn theo đường biên.
(2) Đường kính trục có thể được vuốt côn đến đường kính tính theo công thức 6.2.2-1 nhưng lấy Ts = 400 N/mm2.
6.2.5 Các trục khác
Đường kính của các trục truyền công suất vào máy phát điện hoặc máy phụ có công dụng quan trọng phải phù hợp với những yêu cầu quy định ở 6.2.2.
6.2.6 Đánh giá chi tiết về độ bền
Nói chung, Đăng kiểm có thể xem xét và chấp thuận các giá trị đường kính trục được tính toán không tuân theo các yêu cầu ở 6.2.2, 6.2.3, 6.2.4 và 6.2.5, nếu như có các tài liệu và bản tính chi tiết chứng minh rằng chúng đủ bền trình để Đăng kiểm xét duyệt.
6.2.7 Bảo vệ chống ăn mòn cho trục chân vịt
1 Trục chân vịt loại 1 phải được bảo vệ chống ăn mòn nước biển bằng một trong các phương tiện có hiệu quả sau:
(1) Bảo vệ có hiệu quả trục chân vịt chống lại sự tiếp xúc với nước biển bằng phương pháp được Đăng kiểm duyệt.
(2) Dùng các vật liệu SUSF316, SUSF316L, SUSF316-SU hoặc SUSF316L-SU được quy định ở Phần 7-A cho các trục có đường kính không vượt quá 200 mm.
(3) Dùng vật liệu chịu ăn mòn khác với các vật liệu quy định ở (2) được Đăng kiểm duyệt.
2 Phải có các phương tiện có hiệu quả để đảm bảo ngăn ngừa nước biển thâm nhập vào phần giữa đầu cuối của áo trục chân vịt hoặc phần sau của ổ đỡ phía sau cùng trong ống bao và củ chân vịt.
3 Khoảng không gian giữa ê cu chỉnh dòng của chân vịt hoặc củ chân vịt và trục chân vịt phải chứa đầy mỡ, hoặc phải có biện pháp hữu hiệu khác để bảo vệ trục chống lại sự ăn mòn của nước biển.
6.2.8 Áo trục chân vịt
1 Áo trục được lắp vào trục chân vịt phải thỏa mãn những yêu cầu quy định từ (1) đến (3) sau đây:
(1) Chiều dày của áo trục không được nhỏ hơn giá trị tính theo công thức sau:
t1 = 0,03ds + 7,5

Trong đó:
t1: Chiều dày của áo trục ở vùng ổ đỡ ống bao trục hoặc ổ đỡ trong giá đỡ tiếp xúc với bề mặt ổ đỡ (mm);
t2: Chiều dày của áo trục ở các phần còn lại (mm);
ds: Đường kính quy định của trục chân vịt tính theo công thức ở 6.2.4 (mm);
(2) Áo trục phải làm bằng đồng thanh hoặc bằng những vật liệu tương đương và không được có vết rỗ và những khuyết tật khác.
(3) Áo trục phải được lắp vào trục theo phương pháp tránh tập trung ứng suất, như kiểu ép nóng v.v.
6.2.9 Cố định chân vịt vào trục
1 Nếu chân vịt được lắp ép vào trục chân vịt thì bề mặt lắp ghép phải đủ độ bền để chịu được mô men xoắn truyền qua trục.
2 Nếu dùng then để cố định chân vịt vào trục thì các góc của rãnh then phải được lượn tròn thích đáng và then phải được lắp khít vào rãnh then. Đầu trước của rãnh then trên trục chân vịt phải được lượn tròn đều để tránh tập trung ứng suất quá mức.
3 Nếu chân vịt và mặt bích trục chân vịt được nối với nhau bằng bu lông thì các bu lông và chốt bu lông phải đủ bền.
4 Chiều dày mặt bích phía sau của trục chân vịt tại vòng chia không được nhỏ hơn 0,27 lần đường kính của trục trung gian (được tính với k1 = 1,0 , K = 1,0 và Ts = 400) quy định ở 6.2.2.
6.2.10 Ổ đỡ trong ống bao và ổ đỡ trong giá đỡ trục
1 Ổ đỡ sau cùng trong ống bao hoặc ổ đỡ ở giá đỡ trục đỡ trọng lượng chân vịt phải thỏa mãn các yêu cầu quy định từ (1) đến (3) dưới đây:
(1) Trong trường hợp ổ đỡ làm bằng gỗ gai ắc được bôi trơn bằng nước:
(a) Chiều dài ổ đỡ không được nhỏ hơn 4 lần đường kính yêu cầu của trục chân vịt tính theo công thức ở 6.2.4-1 hoặc -2, hoặc 3 lần đường kính trục thực, lấy trị số nào lớn hơn.
(b) Phải có biện pháp thích hợp để cung cấp một lượng nước sạch đầy đủ để bôi trơn và làm mát.
(2) Trong trường hợp ổ đỡ làm bằng kim loại màu được bôi trơn bằng dầu:
(a) Chiều dài của ổ đỡ không được nhỏ hơn 2 lần đường kính yêu cầu của trục chân vịt tính theo công thức 6.2.4-1 hoặc -2, hoặc 1,5 lần giá trị đường kính thực, lấy trị số nào lớn hơn. Tuy nhiên, nếu có sự lưu ý đặc biệt đến kết cấu và việc bố trí thỏa mãn các quy định khác và được Đăng kiểm chấp nhận riêng thì chiều dài của ổ đỡ có thể ngắn hơn một chút so với quy định trên.
(b) Ống bao trục chân vịt phải luôn chứa đầy dầu và phải sử dụng các biện pháp thích đáng để đảm bảo đo nhiệt độ của dầu trong ống bao.
(c) Nếu có sử dụng két dầu trọng lực để cấp dầu bôi trơn cho ổ đỡ trong ống bao trục thì phải đặt két này cao hơn đường nước chở hàng và phải có thiết bị báo động khi mức dầu thấp. Tuy nhiên, trong trường hợp hệ thống bôi trơn được thiết kế để sử dụng ở điều kiện áp lực dầu tĩnh của két trọng lực nhỏ hơn áp lực nước thì két này không yêu cầu đạt cao hơn đường nước chở hàng.
(d) Dầu bôi trơn phải được làm mát bằng cách ngâm ống bao trong nước tại két chứa phía đuôi tàu hoặc bằng các biện pháp thích hợp khác.
(3) Nếu sử dụng vật liệu làm ổ đỡ không phải loại vật liệu quy định ở (1) và (2) thì vật liệu, kết cấu và bố trí ổ đỡ phải được Đăng kiểm chấp thuận. Chiều dài của các ổ đỡ này phải thỏa mãn những yêu cầu ở (a) và (b) dưới đây:
(a) Trường hợp ổ đỡ bôi trơn bằng dầu được chế tạo từ vật liệu tổng hợp:
Đối với ổ đỡ được làm bằng cao su tổng hợp, nhựa hoặc chất dẻo được duyệt để sử dụng trong ống bao trục bôi trơn bằng dầu thì chiều dài của ổ đỡ không được nhỏ hơn 2 lần đường kính của trục chân vịt tính theo công thức 6.2.4-1 hoặc -2, hoặc 1,5 lần đường kính thực, lấy giá trị nào lớn hơn. Tuy nhiên đối với các ổ đỡ có kết cấu và bố trí được Đăng kiểm xét duyệt riêng thì chiều dài của ổ đỡ có thể ngắn hơn so với chiều dài quy định ở trên.
(b) Trường hợp ổ đỡ trục chân vịt làm bằng vật liệu tổng hợp được bôi trơn bằng nước:
Đối với ổ đỡ làm bằng vật liệu tổng hợp được duyệt để sử dụng làm ổ đỡ trong ống bao trục bôi trơn bằng nước giống như cao su hoặc chất dẻo thì chiều dài của ổ đỡ không được nhỏ hơn 4 lần đường kính trục tính theo công thức 6.2.4-1 hoặc -2, hoặc 3 lần đường kính thực, lấy trị số nào lớn hơn. Tuy nhiên, đối với những ổ đỡ có kết cấu và bố trí được Đăng kiểm xét duyệt riêng thì chiều dài của ổ đỡ có thể lấy ngắn hơn so với chiều dài quy định trên.
2 Trừ thiết bị làm kín nước biển kiểu hộp bích nén tết, các thiết bị làm kín khác phải được Đăng kiểm duyệt về vật liệu, kết cấu và bố trí.
6.2.11 Những yêu cầu bổ sung đối với trục chân vịt loại 1C
Phải có những biện pháp đủ đảm bảo tính đồng nhất của các ổ đỡ trong ống bao trục phù hợp với những yêu cầu khác của Đăng kiểm nếu trục chân vịt là trục loại 1C.
6.2.12 Khớp nối trục và bu lông khớp nối
1 Đường kính của bu lông khớp nối tại mặt phẳng lắp ghép của khớp nối phải không được nhỏ hơn trị số tính theo công thức sau:

Trong đó:
db: Đường kính bu lông (mm)
do: Đường kính của trục trung gian tính với k1 = 1,0 và K = 1,0 theo công thức ở 6.2.2 (mm)
n: Số bu lông
D: Đường kính vòng chia (mm)
Ts: Giới hạn bền kéo danh nghĩa của vật liệu làm trục trung gian (N/mm2)
Tb: Giới hạn bền kéo danh nghĩa của vật liệu làm bu lông (N/mm2), nói chung Ts ≤ Tb ≤ 1,7Ts và giới hạn trên của Tb được sử dụng trong tính toán chỉ được lấy tối đa là 1000 N/mm2
2 Chiều dày của mặt bích nối tại vòng chia phải không được nhỏ hơn đường kính yêu cầu của bu lông tính theo công thức ở -1 với giả thiết các bu lông phải có độ bền phù hợp với vật liệu làm trục tương ứng. Tuy nhiên, chiều dày đó không được nhỏ hơn 0,2 lần đường kính của trục tương ứng.
3 Bán kính góc lượn ở chân mặt bích phải không được nhỏ hơn 0,08 lần đường kính của trục và góc lượn không được nằm trong khu vực lắp ê cu và bu lông.
4 Nếu các khớp nối trục không liền với trục thì chúng phải đủ bền để chịu được mô men xoắn truyền vào trục và chịu được cả lực kéo khi chạy lùi. Trong trường hợp này, phải xem xét kĩ để tránh gây ra tập trung ứng suất lớn.
6.3 Thử nghiệm
6.3.1 Thử tại xưởng
1 Các chi tiết sau phải được thử thủy lực với áp suất quy định sau đây:
(1) Ống bao trục: 0,2 MPa;
(2) Áo trục chân vịt: 0,1 MPa (phải tiến hành thử trước khi lắp nóng).
6.3.2 Thử sau khi lắp lên tàu
Sau khi lắp đặt lên tàu, thiết bị đệm kín ống bao trục nêu ở 6.2.10-1(2) phải được thử rò rỉ trong điều kiện áp suất làm việc của dầu.
CHƯƠNG 7 CHÂN VỊT
7.1 Quy định chung
7.1.1 Phạm vi áp dụng
Những yêu cầu trong Chương này được áp dụng cho chân vịt dùng cho tàu thủy.
7.1.2 Bản vẽ và tài liệu
1 Bản vẽ và tài liệu trình cho Đăng kiểm xét duyệt, gồm:
(1) Bản vẽ
(a) Chân vịt;
(b) Sơ đồ đường ống dầu của chân vịt biến bước có chỉ rõ vật liệu làm ống, kích cỡ ống và áp suất làm việc;
(c) Bu lông cố định cánh của chân vịt biến bước.
(2) Tài liệu
(a) Các thông số của chân vịt (công suất liên tục lớn nhất và số vòng quay (vòng/phút) liên tục lớn nhất của máy chính, các chi tiết của prôfin cánh, đường kính, bước, diện tích khai triển, tỷ số bước chân vịt, độ nghiêng hoặc góc nghiêng, số lượng cánh, khối lượng, mô men quán tính, các đặc tính kĩ thuật của vật liệu v.v...).
(b) Bản tính chiều dài ép chân vịt lên trục (chỉ yêu cầu khi lắp chân vịt không dùng then).
7.1.3 Vật liệu
1 Vật liệu chế tạo chân vịt và bu lông cố định cánh của chân vịt biến bước phải thỏa mãn những yêu cầu quy định ở Phần 7-A của Quy phạm này.
2 Các phần chính của chân vịt phải được tiến hành thử không phá hủy.
7.2 Kết cấu và độ bền
7.2.1 Chiều dầy cánh
1 Chiều dầy cánh chân vịt tại bán kính 0,25R và 0,6R đối với chân vịt định bước và tại bán kính 0,35R và 0,6R đối với chân vịt biến bước không được nhỏ hơn trị số tính theo công thức dưới đây. Chiều dầy của cánh chân vịt có độ nghiêng lớn phải tuân thủ thêm các điều kiện khác o Đăng kiểm quy định cho từng trường hợp cụ thể.

Trong đó:
t: Chiều dầy cánh (trừ góc lượn của chân cánh) (cm)
H: Công suất liên tục lớn nhất của máy chính (kW)
Z: Số cánh
N: Số vòng quay liên tục lớn nhất chia cho 100 (vòng/phút/100)
ℓ: Chiều rộng của cánh tại bán kính đang xét (cm)
K1: Hệ số tính theo công thức sau đây tại bán kính đang xét:

D: Đường kính chân vịt (m)
k1, k2, k3: Các hệ số lấy theo Bảng 3/7.1
P’: Bước tại bán kính đang xét (m)
P: Bước tại bán kính 0,7R (m) (R là bán kính của chân vịt (m))
K2: Hệ số được tính theo công thức sau:

k4, k5: Các hệ số tra theo Bảng 3/7.1
E: Độ nghiêng tại đầu mút cánh (đo từ đường chuẩn mặt bên và lấy giá trị dương đối với độ nghiêng theo chiều ngược) (cm)
to: Chiều dầy giả định của cánh tại đường tâm của trục chân vịt (to có thể nhận được nhờ kéo dài từng đường mép nối chiều dầy đỉnh cánh với chiều dầy cánh ở 0,25R (hoặc 0,35R đối với chân vịt biến bước), tại hình chiếu của tiết diện cánh dọc theo đường chiều dầy cánh lớn nhất (cm)
K: Hệ số tra theo Bảng 3/7.2
S: Hệ số liên quan đến tăng ứng suất do thời tiết. Nếu S > 1,0 thì S lấy bằng 1,0; Nếu S < 0,8 thì giá trị của S lấy bằng 0,80

Ds: Chiều cao của tàu dùng trong tính toán sức bền (xem 1.2.25, Phần 1-A của Quy phạm này)
ds: Chiều chìm chở hàng (xem 1.2.26 Phần 1-A của Quy phạm này)
W: Hệ số liên quan đến ứng suất đổi dấu được tính theo công thức dưới đây:
Nếu W < 2,27 thì giá trị của W lấy bằng 2,27

Bảng 3/7.1 Trị số k1, k2, k3, k4, k5
| Vị trí theo hướng kính | k1 | k2 | k3 | k4 | k5 |
| 0,25R | 1,62 | 0,386 | 0,239 | 1,92 | 1,71 |
| 0,35R | 0,827 | 0,308 | 0,131 | 1,79 | 1,56 |
| 0,60R | 0,281 | 0,113 | 0,022 | 1,24 | 1,09 |

ac: Tỉ số diện tích khai triển của chân vịt;
w: Nước kèm trung bình định mức ở đĩa chân vịt;
Dw: Giá trị cực đại của dao động nước kèm ở đĩa chân vịt tại bán kính 0,7R. Giá trị của w và Dw phải được tính toán theo công thức dưới đây, trừ trường hợp tàu nhiều chân vịt hoặc tàu được Đăng kiểm xem xét riêng.

B: Chiều rộng của tàu (m)
Cb: Hệ số béo thể tích của tàu.
Bảng 3/7.2 Trị số K
| Vật liệu | K | |
| Vật đúc bằng hợp kim đồng | HBsC1 | 1,15 |
| HBsC2 | ||
| AlBC3 | 1,30 | |
| AlBC4 | 1,15 | |
Chú thích:
(1) Đối với cánh làm bằng vật liệu khác với các vật liệu trong Bảng trên thì giá trị K được xác định trong từng trường hợp cụ thể.
(2) Đối với chân vịt có đường kính từ 2,5 m trở xuống, trị số K có thể lấy như giá trị ở Bảng trên nhân với các hệ số sau đây:
2 - 0,4D đối với 2,0 < D ≤ 2,5
1,2 đối với D ≤ 2,0
2 Bán kính góc lượn giữa chân của cánh và củ chân vịt không được nhỏ hơn giá trị R0 tính theo công thức sau tại mặt đạp ở phần cánh có chiều dầy lớn nhất:

Trong đó:
Ro: Bán kính yêu cầu của góc lượn (cm)
tr: Chiều dầy yêu cầu của cánh ở bán kính 0,25R (hoặc 0,35 R đối với chân vịt biến bước) quy định ở -1(cm)
to: Như quy định ở -1

e: 0,25 (hoặc 0,35 áp dụng cho chân vịt biến bước)
3 Ngoài những yêu cầu ở -1 hoặc -2 trên đây, khi đã có các tài liệu chi tiết và bản tính được trình duyệt, Đăng kiểm vẫn tiến hành xem xét và duyệt chiều dầy của cánh hoặc bán kính của góc lượn một cách thích hợp.
7.2.2 Chân vịt biến bước
1 Chiều dầy cánh của chân vịt biến bước phải thỏa mãn những yêu cầu quy định ở 7.2.1.
2 Đường kính của bu lông cố định cánh chân vịt biến bước phải không được nhỏ hơn trị số tính theo công thức sau đây:

Trong đó:
d: Đường kính yêu cầu của bu lông cố định cánh (mm) (xem Hình 3/7.1)
A: Trị số tính theo công thức sau đây, trong đó H, N và Z phải bằng trị số quy định ở 7.2.1.

K3: Trị số tính theo công thức sau:

x0: Tỉ số bán kính tại đường viền giữa bích cánh và cơ cấu điều khiển bước trên bán kính chân vịt (xem Hình 3/7.1). Nếu xo > 0,3 thì tỉ số này được lấy bằng 0,3.
L: Giá trị trung bình của L1 và L2 (cm)
L1 và L2: Chiều dài của hai đường vuông góc vẽ đến đường qua tâm quay của bích cánh và có góc nghiêng tương ứng với góc bước b tại 0,7R ở công suất liên tục lớn nhất tính từ đường tâm của bu lông đặt ở phía mép ở phía bề mặt khi góc bước là b, (xem Hình 3/7.2)
Fc: Lực li tâm (N) của cánh chân vịt tính theo công thức sau:
Fc = 1,10 x mR’N2
m: Khối lượng của một cánh (kg)
R: Khoảng cách giữa trọng tâm của cánh và đường tâm trục chân vịt (cm)
n: Số bu lông ở mặt bên của cánh
sa: Ứng suất cho phép của vật liệu bu lông (N/mm2) tính theo công thức sau đây:

sB: Giới hạn bền kéo danh nghĩa của vật liệu làm bu lông (N/mm2). Nếu sB > 800 (N/mm2) thì chỉ được lấy sB bằng 800 (N/mm2)
Các kí hiệu khác xem ở công thức ở 7.2.1-1.
3 Đối với bu lông cố định cánh phải sử dụng vật liệu chịu ăn mòn hoặc phải có phương pháp hữu hiệu để bu lông không tiếp xúc trực tiếp với nước biển.
4 Chiều dầy của bích để lắp cánh chân vịt vào cơ cấu điều khiển bước (chiều dầy do từ mặt tiếp xúc của bu lông cố định hoặc ê cu đến mặt bao giữa bích và cơ cấu điều khiển bước) phải không được nhỏ hơn trị số tính theo công thức sau:
tf = 0,9d
Trong đó:
tf: Chiều dầy bích (mm) (xem Hình 3/7.1)
d: Đường kính quy định của bu lông được tính theo công thức ở -2 (mm).

Hình 3/7.1 Phương pháp đo kích thước của bu lông cố định cánh

Hình 3/7.2 Xác định kích thước của L
5 Bu lông cố định cánh phải được lắp chặt vào cơ cấu điều khiển bước và được hãm tốt.
6 Trong trường hợp nếu như lỗ bắt bu lông nằm đúng vào góc lượn của chân cánh thì tiết diện cánh thiết kế có chiều dầy theo yêu cầu quy định ở 7.2.1 không được giảm để lỗ khoét chui qua.
7 Bề mặt bích của cánh phải được lắp chặt vào bề mặt của cơ cấu điều khiển bước và khe hở vòng của mép ngoài của bích phải là nhỏ nhất.
8 Nếu cơ cấu điều khiển bước làm việc bằng bơm dầu thủy lực, thì phải trang bị thêm một bơm dầu dự phòng được đấu vào hệ thống để sẵn sàng sử dụng hoặc một thiết bị thích hợp khác, để đảm bảo tàu vẫn giữ được điều kiện làm việc bình thường trong trường hợp bơm dầu chính bị hỏng.
9 Việc bố trí đường ống dầu thủy lực phải thỏa mãn yêu cầu quy định ở 13.10.
7.2.3 Cố định cánh của chân vịt kiểu cánh rời
Bu lông cố định cánh và bích để lắp cánh của chân vịt kiểu cánh rời phải được thiết kế thỏa mãn các yêu cầu như đối với chân vịt biến bước quy định ở 7.2.2.
7.3 Lắp ép chân vịt
7.3.1 Chiều dài đoạn ép căng chân vịt
1 Nếu chân vịt được ép vào trục chân vịt trong mối ghép không dùng then thì giới hạn dưới và giới hạn trên của chiều dài đoạn ép căng chân vịt phải bằng trị số tính theo công thức sau đây. Đối với độ côn lớn hơn 1/15 thì giới hạn chiều dài đoạn ép căng chân vịt phải được Đăng kiểm chấp nhận.

Trong đó:
L1: Chiều dài tối thiểu của đoạn ép căng chân vịt (mm)
L2: Chiều dài tối đa của đoạn ép căng chân vịt (mm) (nếu khác với trường hợp L3 đưa ra dưới đây)
L3: Chiều dài tối đa của đoạn ép căng chân vịt (mm) (trong trường hợp vật liệu của củ chân vịt là đồng thanh mănggan đúc và KR1 < 1,89)
Kw: Trị số quy định ở Bảng 3/7.3, nếu vật liệu của củ chân vịt khác vật liệu quy định ở Bảng 3/7.3 thì trị số này phải do Đăng kiểm quyết định trong từng trường hợp cụ thể
KR1: Tỉ số của R1 trên R2 (R1/Ro)
KR2: Tỉ số của R2 trên R0 (R2/Ro)
R0: Bán kính của trực chân vịt tại điểm giữa của đoạn côn theo hướng dọc trục (mm);
R1: Bán kính của củ chân vịt tại điểm xác định tỉ số củ chân vịt (mm)
R2: Bán kính trong tại mặt cắt tương ứng với Ro đối với trục chân vịt rỗng (mm);
Cb: Nhiệt độ của củ chân vịt tại thời điểm lắp ráp chân vịt (oC);
Co: Trị số nhiệt độ cho như sau: 35 oC - Đối với L1 và 0 oC - Đối với L2 và L3
P: Trị số tính theo công thức sau (N/mm2):

S: Diện tích tiếp xúc giữa trục chân vịt và củ chân vịt trên bản vẽ (mm2)
a: Nửa góc của đoạn côn tại phần côn của trục chân vịt (Rađian)
B = 0,0169 - 7,84 tg2 a
T: Lực đẩy tính theo công thức sau (N)
T = 1,76 x 103 (H/Vs)
Fv: Lực tiếp tuyến tác dụng lên bề mặt tiếp xúc được tính theo công thức sau (N)

c = 1,0 - Đối với tàu lắp động cơ tua bin
c = 1,2 hoặc trị số tính theo công thức sau, lấy trị số nào lớn hơn - Đối với tàu lắp động cơ Đi-ê-den. Tuy nhiên, nếu mô men xoắn cực đại tác dụng lên phần lắp chân vịt được xác định chính xác thỏa mãn với các yêu cầu của Đăng kiểm thì nó cũng có thể thỏa mãn các quy định khác.

Qv: Mô men dao động xoắn tác dụng lên phần lắp chân vịt tại vòng quay cộng hưởng lớn hơn 25% vòng quay liên tục lớn nhất, (Nm)
H, N, D: Xem 7.2.1-1. Tuy nhiên D được lấy là 2,6 m cho chân vịt có đường kính D < 2,6 m và lấy D = 10,2 đối với chân vịt có đường kính D > 10,2 m.
Nc: Số vòng quay (vòng/phút) cộng hưởng chia cho 100
Vs: Tốc độ của tàu ở công suất liên tục lớn nhất (hải lý/h)
KE: Trị số tính theo công thức sau (mm3/N)

Nếu vật liệu của trục chân vịt không phải là thép rèn hoặc vật liệu của củ chân vịt không phải là vật liệu quy định ở Bảng 3/7.3 thì trị số KE phải được Đăng kiểm xem xét và quyết định.
K4 và K5: Trị số quy định ở Bảng 3/7.3
Kc: Trị số tính theo công thức sau (mm/oC):

Nếu vật liệu của trục chân vịt không phải là thép rèn hoặc vật liệu của củ chân vịt không phải là vật liệu quy định ở Bảng 3/7.3 thì trị số KE phải được Đăng kiểm xem xét và quyết định.
Cs: Nhiệt độ của chân vịt tại thời điểm lắp chân vịt (oC)
lo: Nửa chiều dài của phần côn ở lỗ củ chân vịt theo hướng dọc trục (mm)
K6, K7: Trị số lấy theo Bảng 3/7.3
2 Nếu như chân vịt được lắp ép vào trục chân vịt có sử dụng then thì phần lắp ráp phải đủ bền để truyền mô men xoắn do chân vịt tạo ra.
Bảng 3/7.3 Trị số K4, K5, K6, K7 và Kw
| Vật liệu củ chân vịt | K4 | K5 | K6 | K7 | Kw |
| HBsC1 | 9,27 | 1,65 | 0,55 | 1,20 | 123 |
| HBsC2 | 9,27 | 1,65 | 0,55 | 1,20 | 123 |
| AlBC4 | 8,49 | 1,40 | 0,55 | 1,20 | 172 |
| AlBC4 | 8,49 | 1,40 | 0,55 | 1,20 | 193 |
7.3.2 Củ chân vịt
1 Nếu chân vịt được lắp ép vào trục chân vịt thì mép ở đầu phía mũi của lỗ hình côn của củ chân vịt phải được lượn tròn một cách thích hợp.
2 Củ chân vịt không được nung nóng cục bộ đến nhiệt độ cao tại thời điểm ép chân vịt vào trục hoặc rút chân vịt ra khỏi trục.
7.4 Thử nghiệm
7.4.1 Thử tại xưởng
Chân vịt phải được thử cân bằng tĩnh.
7.4.2 Thử sau khi lắp lên tàu
Khi chân vịt được lắp ép vào trục chân vịt kể cả lắp then hoặc không lắp then, đều phải thử ép để đo và ghi độ dài đoạn côn được ép. Cuộc thử này có thể được tiến hành giống như cuộc thử ở xưởng.
CHƯƠNG 8 DAO ĐỘNG XOẮN HỆ TRỤC
8.1 Quy định chung
8.1.1 Phạm vi áp dụng
1 Những yêu cầu trong Chương này được áp dụng cho các thiết bị truyền động để đẩy tàu và hệ trục chân vịt (trừ chân vịt), các hệ trục để truyền công suất từ máy chính đến máy phát điện, trục khuỷu của động cơ Đi-ê-den dùng làm máy chính và hệ trục của máy phát điện được dẫn động bằng động cơ Đi-ê-den.
2 Những yêu cầu của Chương này cũng áp dụng cho hệ trục của máy phụ (trừ máy phụ chuyên dụng v.v...) do động cơ Đi-ê-den lai.
8.1.2 Tài liệu trình duyệt
1 Trừ khi có quy định khác, phải trình bản tính dao động xoắn của hệ thống nêu ở 8.1.1-1 khi máy chính là động cơ Đi-ê-den trên một trục có công suất từ 110 kW trở lên cũng như động cơ Đi-ê-den sử dụng làm máy phụ có công suất từ 110 kW trở lên, phải bao gồm các nội dung sau đây:
(1) Bản tính tần số dao động tự do đối với dao động 1 nút và 2 nút, cũng như dao động nhiều nút nếu thấy cần thiết.
(2) Kết quả tính ứng suất dao động xoắn nói chung được tiến hành ở vòng quay cộng hưởng bên trong dải tốc độ đến 120% vòng quay liên tục lớn nhất, còn đối với động cơ Đi-ê-den, kết quả tính ứng suất dao động xoắn đối với dải tốc độ từ 90 đến 120% gây ra bởi cộng hưởng của bậc điều hòa chính đầu tiên, có nghĩa là bậc thứ n và bậc thứ n/2 (n là số xi lanh của động cơ), khi động cơ có vòng quay cộng hưởng trên 120% của vòng quay liên tục lớn nhất.
(3) Việc bố trí khuỷu trục và thứ tự nổ (trong trường hợp lắp động cơ Đi-ê-den).
2 Bất kể những yêu cầu quy định ở -1, trong những trường hợp sau đây có thể không cần trình Đăng kiểm duyệt bản tính dao động xoắn:
(1) Trong trường hợp hệ trục cùng kiểu với bệ trục đã được duyệt trước đó;
(2) Trong trường hợp nếu như có sự thay đổi nhỏ về các thông số kĩ thuật của hệ thống dao động, tần số và ứng suất của dao động xoắn có thể suy ra với độ chính xác đạt yêu cầu trên cơ sở kết quả tính toán hoặc đo đạc trước đó.
8.1.3 Đo dao động xoắn
Đối với hệ trục yêu cầu phải trình duyệt bản tính dao động xoắn thì phải tiến hành đo để xác nhận độ chính xác của các trị số tính toán. Tuy nhiên, nếu như bản tính dao động xoắn không cần trình duyệt như nêu ở 8.1.2-2 và nếu Đăng kiểm xét thấy rằng không tồn tại vùng dao động xoắn cộng hưởng ở bên trong dải vòng quay làm việc thì có thể bỏ qua việc đo dao động xoắn.
8.2 Giới hạn ứng suất cho phép
8.2.1 Trục khuỷu
1 Ứng suất do dao động xoắn gây ra trên trục khuỷu của động cơ Đi-ê-den sử dụng làm máy chính của tàu phải phù hợp với những yêu cầu đưa ra từ (1) đến (4) sau đây:
(1) Khi động cơ hoạt động lâu dài, ứng suất dao động xoắn không được vượt quá t1 đưa ra dưới đây trong dải vòng quay từ 80% đến 100% của vòng quay liên tục lớn nhất.
(a) Đối với động cơ Đi-ê-den thẳng hàng bốn kỳ hoặc động cơ Đi-ê-đen kiểu chữ V, bốn kỳ có góc nổ 45o hoặc 60o thì trị số của t1 được tính theo công thức sau:
t1 = 45 - 24l2
(b) Đối với động cơ Đi-ê-den 2 kỳ hoặc động cơ Đi-ê-den hình chữ V, bốn kỳ khác kiểu đã quy định ở (a) trên, thì trị số t1 được tính theo công thức sau:
t1 = 45 - 29 l2
t1: Giới hạn cho phép của ứng suất dao động xoắn đối với dải 0,8 < l ≤ 1,0 (N/mm2)
l: Tỉ số giữa vòng quay cộng hưởng trên số vòng quay liên tục lớn nhất.
(2) Trong vùng vòng quay từ 80% vòng quay liên tục lớn nhất trở xuống, ứng suất dao động xoắn phải không được vượt quá trị số tính theo công thức sau. Trong trường hợp nếu ứng suất này vượt quá trị số tính theo công thức t1 ở (1) thì phải áp dụng dải vòng quay cấm quy định ở 8.3.
t2 = 2t1
t2: Giới hạn cho phép của ứng suất dao động xoắn đối với dải l ≤ 0,8 (N/mm2)
l: Tỉ số giữa vòng quay cộng hưởng trên số vòng quay liên tục lớn nhất.
(3) Ứng suất dao động xoắn không được vượt quá t3 đưa ra dưới đây trong dải vòng quay từ vòng quay liên tục lớn nhất đến 115%.
(a) Đối với động cơ Đi-ê-den thẳng hàng bốn kỳ hoặc động cơ Đi-ê-den hình chữ V, bốn kỳ có góc nổ 45o hoặc 60o thì trị số của t3 được tính theo công thức sau:

(b) Đối với động cơ Đi-ê-den hai kỳ hoặc động cơ Đi-e-den bốn kỳ không phải là các loại động cơ quy định ở (a) trên đây, thì trị số t3 được tính theo công thức sau:

t3: Giới hạn cho phép của ứng suất dao động xoắn đối với vùng vòng quay 1,0 < l ≤ 1,15 (N/mm2)
l: Tỉ số giữa vòng quay cộng hưởng trên vòng quay liên tục lớn nhất.
(4) Trong trường hợp nếu giới hạn bền của vật liệu vượt quá 440 N/mm2 hoặc giới hạn chảy vượt quá 225 N/mm2 thì trị số t1, t2, t3 quy định ở (1), (2), (3) có thể tăng lên bằng cách nhân thêm với hệ số fm quy định ở công thức dưới đây:
(a) Đối với t1 và t3

(b) Đối với t2

Trong đó:
fm: Hệ số hiệu chỉnh đối với giới hạn cho phép của ứng suất dao động xoắn của vật liệu trục;
Ts: Giới hạn bền kéo danh nghĩa của vật liệu trục (N/mm2)
Tuy nhiên, trị số Ts để tính fm không được vượt quá 760 N/mm2, đối với thép rèn các bon, hoặc 1080 N/mm2, đối với thép rèn hợp kim thấp.
Y: Giới hạn chảy danh nghĩa của vật liệu trục (N/mm2).
8.2.2 Trục trung gian, trục đẩy và trục chân vịt
1 Đối với tàu lắp động cơ Đi-ê-den, ứng suất dao động xoắn ở trục trung gian, trục đẩy và trục chân vịt phải thỏa mãn các yêu cầu quy định ở (1) và (2) sau đây:
(1) Để đảm bảo động cơ làm việc lâu dài, ứng suất dao động xoắn không được vượt quá giá trị t1 được tính theo công thức sau đây ở vòng quay từ 80% đến 105% vòng quay liên tục lớn nhất.

t1: Giới hạn cho phép của ứng suất dao động xoắn đối với vùng 0,8 < l ≤ 1,05 (N/mm2)
l: Tỉ số vòng quay cộng hưởng trên vòng quay liên tục lớn nhất;
Ts: Giới hạn bền kéo danh nghĩa của vật liệu trục (N/mm2).
Tuy nhiên, trị số Ts để sử dụng trong công thức này không được lớn hơn 800 N/mm2 đối với trục trung gian, trục đẩy và 600 N/mm2 đối với trục chân vịt. Nếu trục chân vịt được làm bằng vật liệu chịu ăn mòn được duyệt hoặc vật liệu khác không được bảo vệ hữu hiệu để chống nước biển ăn mòn thì trị số Ts sử dụng trong các công thức này phải đo Đăng kiểm xem xét và quyết định.
Ck: Hệ số liên quan đến kiểu và hình dáng của trục khuỷu được quy định ở Bảng 3/8.1
CD: Hệ số liên quan đến cỡ trục và được xác định theo công thức sau:
CD = 0,35 + 0,93d-0,2
d: Đường kính trục (mm)
(2) Trong vùng vòng quay từ 80% vòng quay liên tục lớn nhất trở xuống, ứng suất dao động xoắn không được vượt quá t2 đưa ra trong công thức dưới đây. Trong trường hợp nếu ứng suất này vượt quá trị số tính theo công thức t1 đối với vùng l ≤ 0,9 ở (1), thì phải sử dụng vùng vòng quay cấm được quy định ở 8.3.

Trong đó:
t2: Giới hạn cho phép của ứng suất dao động xoắn đối với vùng l ≤ 0,8 (N/mm2)
Các kí hiệu khác như quy định ở (1)
Bảng 3/8.1 Trị số Ck
| Trục trung gian | Trục đẩy | Trục chân vịt | |||
| Khớp nối bích liền | Khớp nối rời, lắp kiểu co ngót, lắp ép hoặc lắp nguội | Rãnh then | Trên 2 phía của vòng chặn | Ở khu vực chịu tải trọng dọc trục của ổ đỡ bi đũa |
|
| 1,0 | 1,0 | 0,6 | 0,85 | 0,85 | 0,55 |
Chú thích:
Trị số Ck nằm ngoài các trị số ở bảng trên, trong từng trường hợp cụ thể phải do Đăng kiểm quyết định.
2 Đối với tàu lắp động cơ Đi-ê-den, ứng suất dao động xoắn ở trục chân vịt làm bằng thép rèn không gỉ phải thỏa mãn các yêu cầu (1) và (2) sau:
(1) Khi hoạt động liên tục, ứng suất dao động xoắn không được vượt quá t1 được xác định theo công thức dưới đây trong phạm vi từ 80% đến 105% số vòng quay liên tục lớn nhất.
t1 = A - Bl2 (l ≤ 0,9)
t1 = C (l > 0,9)
Trong đó:
t1: Giới hạn cho phép của ứng suất dao động xoắn đối với vùng 0,8 < l ≤ 1,05 (N/mm2)
l: Tỉ số vòng quay cộng hưởng trên vòng quay liên tục lớn nhất;
A, B, C là các giá trị phụ thuộc vào vật liệu sử dụng cho ở Bảng 3/8.2. Tuy nhiên, đối với các loại vật liệu khác với các vật liệu trong Bảng 3/8.2 sẽ được Đăng kiểm xem xét riêng.
Bảng 3/8.2 Giá trị các hệ số A, B, C
|
| A | B | C |
| SUSF 316 SUS 316-SU | 40,7 | 30,6 | 15,9 |
| SUSF 316L SUS 316L-SU | 37,6 | 28,3 | 14,3 |
(2) Trong vùng vòng quay từ 80% vòng quay liên tục lớn nhất trở xuống, ứng suất dao động xoắn không được vượt quá t2 đưa ra trong công thức dưới đây. Trong trường hợp nếu ứng suất này vượt quá trị số tính theo công thức t1 đối với vùng l ≤ 0,9 ở (1), thì phải sử dụng vùng vòng quay cấm được quy định ở 8.3.
t2 = 2,3 t1
Trong đó:
t2: Giới hạn cho phép của ứng suất dao động xoắn đối với vùng l ≤ 0,8 (N/mm2).
Các kí hiệu khác như quy định ở (1).
3 Giới hạn ứng suất dao động xoắn cho phép của các đoạn trục làm bằng vật liệu khác với vật liệu quy định ở -1 và -2 trên đây và giới hạn ứng suất dao động xoắn cho phép của các đoạn trục trung gian, trục đẩy, trục chân vịt của tàu tua bin hơi nước, tàu tua bin khí và tàu có chân vịt chạy bằng động cơ điện hoặc đối với tàu Đi-ê-den có khớp trượt điện từ giữa máy chính và hệ trục chân vịt sẽ được Đăng kiểm xem xét riêng.
8.2.3 Hệ trục của trạm phát điện
1 Ứng suất dao động xoắn trên trục khuỷu của động cơ Đi-ê-den dùng để lai máy phát điện (kể cả các tổ máy phát điện để đẩy tàu), phải thỏa mãn các yêu cầu (1) và (2) sau đây:
(1) Ứng suất dao động xoắn phải không được vượt quá t1 cho sau đây trong vùng vòng quay từ 90% đến 110% của vòng quay liên tục lớn nhất.
(a) Đối với động cơ Đi-ê-den bốn kỳ thẳng hàng hoặc động cơ Đi-ê-den bốn kỳ hình chữ V có góc nổ 45o hoặc 60o, thì trị số t1 được lấy theo công thức sau:
t1 = 21 N/mm2
(b) Đối với động cơ Đi-ê-den hai kỳ và động cơ Đi-ê-den bốn kỳ hình chữ V, trừ các loại động cơ đã quy định ở (a), thì trị số t1 được lấy theo công thức sau:
t1 = 16 N/mm2
(2) Trong vùng vòng quay từ 90% vòng quay liên tục lớn nhất trở xuống, ứng suất dao động xoắn không được vượt quá t2 cho dưới đây. Trong trường hợp nếu ứng suất này vượt quá trị số t1 quy định ở (1), thì phải áp dụng vùng vòng quay cấm quy định ở 8.3.
t2 = 90 N/mm2
2 Ứng suất dao động xoắn trên trục máy phát điện do động cơ Đi-ê-den lai phải thỏa mãn các yêu cầu (1) và (2) sau đây:
(1) Ứng suất dao động xoắn không được vượt quá t1 cho sau đây trong khu vực vòng quay từ 90% đến 110% vòng quay liên tục lớn nhất.
t1 = 31 N/mm2
(2) Trong vùng vòng quay từ 90% vòng quay liên tục lớn nhất trở xuống, ứng suất dao động xoắn không được vượt quá t2 cho sau đây. Trong trường hợp nếu như ứng suất này vượt quá trị số t1 cho ở (1) thì phải áp dụng vùng vòng quay cấm được quy định ở 8.3.
t2 = 118 N/mm2
3 Trong trường hợp giới hạn bền của vật liệu trục vượt quá 440 N/mm2 hoặc giới hạn chảy vượt quá 225 N/mm2 thì trị số t1 và t2 quy định ở -1 và -2 có thể được tăng lên bằng cách nhân thêm hệ số fm quy định ở 8.2.1-1(4).
8.2.4 Thiết bị truyền động
1 Mô men dao động xoắn trên thiết bị truyền động phải thỏa mãn với các yêu cầu (1) và (2) sau đây:
(1) Trong vùng áp dụng giới hạn cho phép của t1 được quy định ở 8.2.1, 8.2.2 và 8.2.3 thì biên độ của mô men dao động xoắn phải không được vượt quá mô men truyền trung bình của hệ thống.
(2) Bên trong vùng, trừ vùng quy định ở (1) thì phải áp dụng vùng vòng quay cấm trong trường hợp nếu như biên độ của mô men dao động xoắn vượt quá mô men xoắn trung bình được truyền.
2 Ứng suất dao động xoắn trên trục bánh răng phải thỏa mãn các yêu cầu đối với trục trung gian được quy định ở 8.2.2.
3 Giới hạn cho phép của mô men dao động xoắn, ứng suất hoặc biên độ đối với thiết bị truyền động (bao gồm cả khớp nối trục) không phải là cơ cấu bánh răng phải thỏa mãn thêm các yêu cầu khác nữa.
8.2.5 Tránh bậc cộng hưởng chính
Bậc cộng hưởng chính của dao động một nút trong động cơ Đi-ê-den thẳng hàng, ví dụ: bậc thứ n và thứ n/2 đối với động cơ bốn thì và bậc thứ n đối với động cơ hai thì (n là số xi lanh) không được tồn tại bên trong vùng vòng quay sau đây, trừ khi được Đăng kiểm chấp nhận một cách đặc biệt.
- Đối với hệ trục lai chân vịt: 0,8 ≤ l ≤ 1,1
- Đối với hệ trục lai máy phát điện: 0,9 ≤ l ≤ 1,1
(l là tỉ số vòng quay cộng hưởng chính trên vòng quay liên tục lớn nhất).
8.2.6 Đánh giá chi tiết về độ bền
Đăng kiểm sẽ xem xét riêng đối với giới hạn cho phép của ứng suất dao động xoắn không thỏa mãn các yêu cầu ở 8.2.1, 8.2.2 và 8.2.3 với điều kiện các tài liệu chi tiết và bản tính được trình Đăng kiểm xem xét và quyết định một cách thích hợp.
8.3 Vùng vòng quay cấm
8.3.1 Vùng vòng quay cấm làm việc lâu dài
1 Trong trường hợp nếu ứng suất dao động xoắn vượt quá giới hạn t1 quy định ở 8.2, thì phải áp dụng vùng vòng quay cấm giữa các giới hạn tốc độ sau đây. Vùng vòng quay cấm phải được đánh dấu bằng sơn màu đỏ trên đồng hồ đo tốc độ quay của động cơ để chuyển nhanh qua khu vực này trong khi khai thác động cơ.

Trong đó:
N: Vòng quay cấm (vòng/phút)
Nc: Vòng quay cộng hưởng (vòng/phút)
l: Tỉ số vòng quay cộng hưởng trên vòng quay liên tục lớn nhất.
2 Nếu dải vòng quay được kiểm tra bằng cách đo mà ứng suất vượt quá giới bạn cho phép t1 quy định ở 8.2 thì dải vòng quay này cũng được coi là khu vực vòng quay cấm để tránh cho động cơ làm việc lâu dài ở đó, cho dù đã có yêu cầu ở -1. Trong quá trình xác định phải lưu ý đến độ chính xác của đồng hồ đo vòng quay.
3 Đối với động cơ nếu như không thể tránh được làm việc lâu dài ở vùng vòng quay cấm như quy định ở 8.3.1-1 và -2 trên đây thì phải cho động cơ chuyển nhanh qua vòng quay cộng hưởng và phải đưa ra các biện pháp cần thiết khác.
CHƯƠNG 9 NỒI HƠI, V.V..., VÀ THIẾT BỊ ĐỐT CHẤT THẢI
9.1 Quy định chung
9.1.1 Phạm vi áp dụng
1 Những yêu cầu trong Chương này áp dụng cho các nồi hơi trừ các nồi hơi được nêu ở (1) và (2) dưới đây, các bầu hâm dầu và các thiết bị đốt chất thải:
(1) Nồi hơi với áp suất thiết kế không quá 0,1 MPa và bề mặt hấp nhiệt không quá 1 m2.
(2) Nồi nước nóng với áp suất thiết kế không quá 0,1 MPa và bề mặt hấp nhiệt không quá 8 m2.
9.1.2 Thuật ngữ
1 Các thuật ngữ được sử dụng trong phần này được định nghĩa như sau:
(1) Nồi hơi là thiết bị tạo ra hơi nước hoặc nước nóng nhờ lửa, khí cháy hoặc các hơi nóng khác bao gồm: bộ quá nhiệt, bầu hâm, bộ tiết kiệm, bộ tiết kiệm khí thải và các thiết bị tương đương khác.
(2) Nồi hơi phụ thiết yếu là nồi hơi cung cấp hơi nước cho hoạt động của các máy phụ cần thiết cho dẫn động chính, các máy phụ để điều động tầu và an toàn cũng như máy phát điện.
(3) Nồi hơi khí thải là nồi hơi chỉ dùng nhiệt khí thải của động cơ Đi-ê-den để tạo ra hơi nước hoặc nước nóng, có một buồng chứa hơi hoặc một bình ngưng và có một lối ra cho hơi hay nước nóng.
(4) Bộ tiết kiệm khí thải là thiết bị tạo ra hơi nước hay nước nóng chỉ nhờ dùng nhiệt của khí thải của động cơ Đi-ê-den, không có buồng chứa hơi nước hoặc bình ngưng.
(5) Mặt hấp nhiệt của nồi hơi là diện tích được tính cho bề mặt phía khí cháy nơi mà một phía tiếp xúc với khí cháy còn phía kia với nước nhưng không kể mặt hấp nhiệt của bộ quá nhiệt, bầu hâm, bộ tiết kiệm và bộ tiết kiệm khí thải trừ khi được quy định riêng.
(6) Áp suất làm việc đã được duyệt và áp suất danh nghĩa của nồi hơi có bộ quá nhiệt lắp đặt trong nồi hơi được quy định ở 1.2.39 và 1.2.40, Phần 1-A của Quy phạm này.
(7) Áp suất thiết kế là áp suất được dùng khi tính toán để quyết định các kích thước của các chi tiết và là áp suất làm việc cho phép lớn nhất của chi tiết. Áp suất thiết kế cho thân nồi hơi không được nhỏ hơn áp suất làm việc được quy định cho nồi hơi.
9.1.3 Các bản vẽ và tài liệu trình duyệt
1 Các bản vẽ và tài liệu trình duyệt bao gồm như sau:
(1) Các bản vẽ (có chỉ rõ vật liệu và kích thước)
(a) Bố trí chung của nồi hơi;
(b) Các chi tiết vỏ và ống góp (bao gồm cả các phụ tùng bên trong);
(c) Các chi tiết của giá lắp phụ tùng và vòi phun của nồi hơi;
(d) Bố trí và các chi tiết của các ống nồi hơi;
(e) Bố trí và các chi tiết của các ống của bộ quá nhiệt và bầu hâm nóng;
(f) Các chi tiết của bộ xả quá nhiệt trong;
(g) Bố trí và các chi tiết của các ống của bộ hâm tiết kiệm và bầu hâm tiết kiệm khí xả;
(h) Các chi tiết của bộ hâm trước không khí;
(i) Bố trí và các chi tiết phụ tùng của nồi hơi;
(j) Bố trí các van an toàn (cùng với các chi tiết chính);
(k) Các bản vẽ khác mà Đăng kiểm thấy cần thiết;
(2) Tài liệu:
(a) Đặc tính kĩ thuật nồi hơi;
(b) Các đặc điểm kỹ thuật hàn (với quy trình hàn, chất liệu hàn và điều kiện hàn);
(c) Các tài liệu khác mà Đăng kiểm thấy cần thiết.
9.2 Vật liệu và hàn
9.2.1 Vật liệu
1 Vật liệu được dùng để chế tạo các chi tiết chịu áp suất của nồi hơi phải tuân theo các yêu cầu trong 3.2, 3.7, 4.1, 4.2, 4.4, 5.1, 5.4, hoặc 6.1, Phần 7-A của Quy phạm này tùy theo công dụng và phải được thử nghiệm theo các yêu cầu trong Chương 1 và Chương 2 của Phần 7-A. Tuy nhiên, các loại vật liệu khác với nêu trên có thể được sử dụng với điều kiện là các đặc tính kỹ thuật của vật liệu phải được Đăng kiểm chấp thuận.
2 Mặc dù có yêu cầu -1, nhưng các vật liệu được nêu trong các tiêu chuẩn đã được công nhận có thể được sử dụng cho các phụ tùng như các van, các vòi phun lắp trên nồi hơi nếu được Đăng kiểm chấp nhận sau khi xem xét các kích thước và điều kiện phục vụ.
9.2.2 Giới hạn sử dụng của vật liệu dùng làm các phụ tùng
Giới hạn sử dụng của các vật liệu dùng làm các phụ tùng phải tuân theo quy định 9.9.1.
9.2.3 Xử lý nhiệt thép tấm
Khi xử lý nhiệt như gia công tạo hình nóng, khử ứng suất được thực hiện đối với thép tấm trong quá trình chế tạo nồi hơi, người chế tạo nồi hơi phải thông báo dự định cùng với đơn đặt hàng vật liệu. Những số liệu về thép tấm mà người chế tạo cần biết được quy định ở 3.2.4, Phần 7-A của Quy phạm này.
9.2.4 Thử không phá hủy đối với thép đúc
Vật liệu thép đúc được dùng làm thân nồi hơi chịu áp suất trong phải được thử nghiệm bằng chụp tia X quang, thử nghiệm bằng hạt từ và phải được xác nhận rằng chúng không có khuyết tật có hại.
9.2.5 Hàn
Trình độ thợ hàn nồi hơi phải phù hợp với những quy định trong Chương 11.
9.3 Yêu cầu vẽ thiết kế
9.3.1 Các ký hiệu
Nếu không có các chỉ dẫn riêng nào khác thì các ký hiệu được dùng trong chương này như sau:
f: Ứng suất cho phép (N/mm2) phù hợp với các yêu cầu trong 9.4.1 hoặc 12.2.1.
Tr: Chiều dày quy định (mm) được tính theo áp suất thiết kế.
Áp suất cho phép là áp suất có được khi thay chiều dày quy định bằng chiều dày thực trong công thức.
P: Áp suất thiết kế (MPa).
J: Giá trị nhỏ nhất của hệ số bền của mối nối được quy định ở 9.4.2
R: Bán kính trong của thân nồi hơi (mm).
9.3.2 Áp suất thiết kế của bộ tiết kiệm và bộ tiết kiệm khí xả
1 Áp suất thiết kế của bộ tiết kiệm không được nhỏ hơn áp suất làm việc lớn nhất của bộ tiết kiệm được xác định trên cơ sở áp suất làm việc lớn nhất của bơm cấp nước.
2 Áp suất thiết kế của bộ tiết kiệm khí xả không được nhỏ hơn áp suất làm việc lớn nhất của bộ tiết kiệm khí xả được xác định trên cơ sở áp suất làm việc lớn nhất của bơm tuần hoàn nước nồi hơi.
9.3.3 Các lưu ý đối với độ bền kết cấu
1 Khi tác động của các ứng suất bổ sung như tập trung ứng suất cục bộ, tải trọng lặp lại và ứng suất nhiệt là đáng kể thì phải có các biện pháp thích hợp như tăng chiều dày nếu thấy cần thiết.
2 Những phần được cố định của ống lửa của nồi hơi kiểu đứng phải được thiết kế sao cho sự biến dạng của ống lửa do giãn nở nhiệt của lò đốt bán cầu không bị cản giữ quá chặt.
3 Cần phải xem xét đầy đủ theo các quy định (1) và (2) dưới đây để ngăn ngừa trước sự quá nóng các ống nước của nồi hơi có sản lượng nhiệt của buồng cháy cao.
(1) Nước nồi hơi phải đủ tuần hoàn tới các ống nước.
(2) Các phương tiện thích hợp như làm mềm nước, v.v..., phải được trang bị.
9.3.4 Nồi hơi có dạng không thông thường
1 Khi việc tính độ bền theo các quy định từ 9.5 tới 9.7 là không thực tế hoặc không hợp lý vì hình dạng của bộ phận chịu áp suất khác thường thì phải tiến hành các tính toán chi tiết thích hợp khác với sự chấp thuận của Đăng kiểm và Đăng kiểm sẽ xem xét việc tính toán theo các quy định 9.5 đến 9.7 có lưu ý đến kết quả tính toán.
2 Khi việc thiết kế theo các yêu cầu từ 9.5 tới 9.7 không thích hợp vì hình dạng các bộ phận chịu áp suất khác thường phải đo ứng suất hoặc biến dạng dưới tải trọng phù hợp với sự chấp thuận của Đăng kiểm và Đăng kiểm sẽ xem xét việc đo đó theo các quy định ở 9.5 đến 9.7 có lưu ý các kết quả đo.
9.3.5 Các lưu ý đối với việc lắp đặt
1 Nồi hơi phải được lắp đặt sao cho tác động của các tải trọng hoặc ngoại lực sau đây là nhỏ nhất:
(1) Các chuyển động hoặc chấn động của tàu do máy móc sinh ra.
(2) Ngoại lực sinh ra do các ống và các chi tiết đỡ được lắp vào nồi hơi.
(3) Sự giãn nở nhiệt do sự thay đổi nhiệt độ.
2 Nồi hơi phải được lắp đặt ở vị trí xa các vách ngăn đến mức có thể thực hiện được (Xem 19.3.3, Phần 2-A của quy phạm này).
9.3.6 Bảo vệ tránh ảnh hưởng của ngọn lửa
Khi phần bầu góp và ống góp là phần tiếp xúc với lửa hoặc khí có nhiệt độ cao thì phải có thêm cách nhiệt hoặc các biện pháp thích hợp khác.
9.3.7 Lưu ý cháy muội
Đối với nồi hơi khí thải và bộ tiết kiệm khí thải phải lưu ý để tránh cho chúng khỏi bị hư hại do cháy muội.
Bảng 3/9.1 Lượng tăng nhiệt độ so với nhiệt độ chất lỏng bên trong cho nhiệt độ kim loại tại mặt hấp nhiệt
| Mặt hấp nhiệt nói chung | Hấp nhiệt tiếp xúc | 25 oC |
| Hấp nhiệt bằng bức xạ | 50 oC | |
| Mặt hấp nhiệt của bộ quá nhiệt | Hấp nhiệt tiếp xúc | 35 oC |
| Hấp nhiệt bằng bức xạ | 50 oC | |
| Mặt hấp nhiệt của bộ tiết kiệm và bộ tiết kiệm khí xả | 25 oC | |
Bảng 3/9.2 Trị số ứng suất cho phép
| Loại vật liệu (cấp) | Ứng suất cho phép (f) (N/mm2) | ||||||||||||
| 250 oC hoặc dưới | 300 | 350 | 375 | 400 | 425 | 450 | 475 | 500 | 525 | 550 | 575 | ||
| oC | oC | oC | oC | oC | oC | oC | oC | oC | oC | oC | |||
| Tấm thép cán dùng cho nồi hơi | P 42 P 46 P 49 PA 46 PA 49 | 110 122 124 122 124 | 104 117 122 117 122 | 103 113 121 113 121 | 96 106 114 113 121 | 88 95 102 113 121 | 76 80 84 108 117 | 57 58 58 101 106 | 39 39 39 90 91 | - - - 69 69 | - - - 48 48 | - - - - - | - - - - - |
| Bầu góp bằng thép | BH 1 BH 2 BH 3 BH 4 BH 5 BH 6 | 105 117 102 106 106 106 | 104 115 99 104 104 104 | 103 113 96 103 103 103 | 97 106 96 103 103 103 | 88 95 96 103 103 103 | 76 80 93 102 102 102 | 57 58 91 98 98 98 | 39 39 87 92 92 92 | - - 67 74 81 81 | - - - - 64 64 | - - - - - - | - - - - - - |
| Ống thép dùng cho nồi hơi | STB33 STB35 STB42 STB12 STB22 STB23 STB24 | 86 88 113 102 106 106 106 | 84 87 104 99 104 104 104 | 81 86 103 96 103 103 103 | 78 82 97 96 103 103 103 | 74 76 88 96 103 103 103 | 66 76 94 102 102 102 102 | - 53 57 91 98 98 98 | - - - 87 92 92 92 | - - - 69 81 81 81 | - - - - 64 64 64 | - - - - 44 47 48 | - - - - - 34 36 |
| Thép rèn | 1/4 giới hạn bền kéo danh nghĩa của vật liệu (khi được dùng ở 350 oC hoặc thấp hơn) | ||||||||||||
| Thép đúc | 1/5 giới hạn bền kéo danh nghĩa của vật liệu (khi được dùng ở 350 oC hoặc thấp hơn) | ||||||||||||
Chú thích:
Trong trường hợp nhiệt độ kim loại ở giữa các trị số đã cho trong bảng thì trị số ứng suất cho phép phải được xác định bằng phép nội suy.
9.4 Ứng suất cho phép và hệ số bền của mối nối
9.4.1 Ứng suất cho phép
Ứng suất cho phép đối với từng loại vật liệu được xác định như sau. Trong trường hợp này, nhiệt độ kim loại thường được dùng để đánh giá ứng suất cho phép của nồi hơi là nhiệt độ thiết kế lớn nhất của chất lỏng bên trong và nhiệt độ của bề mặt hấp nhiệt phải được tăng thêm trị số nhiệt độ cho trong Bảng 3/9.1. Nhiệt độ kim loại phải không nhỏ hơn 250oC.
(1) Ứng suất cho phép (f) của thép các bon (kể cả thép các bon mangan được nói đến trong chương này) và thép hợp kim thấp (không kể thép đúc) phải không lớn hơn giá trị có được từ các công thức sau đây lấy giá trị nào nhỏ hơn. Ứng suất cho phép ở mỗi một nhiệt độ kim loại cũng có thể lấy theo những giá trị được cho trong Bảng 3/9.2 thay cho việc tính theo công thức sau đây:

Trong đó:
R20: Giới hạn bền kéo danh nghĩa của thép ở nhiệt độ trong phòng (N/mm2).
Et: Giới hạn chảy của kim loại đang xét ở nhiệt độ của kim loại (hoặc giới hạn giãn dài qui ước) (N/mm2).
SR: Ứng suất trung bình của thép đang xét để gây ra sự phá hủy trong 100.000 giờ ở nhiệt độ kim loại, nếu độ rộng của giới hạn dải phân tán các kết quả vượt quá ± 20% giá trị trung bình thì bằng 1,25 lần ứng suất nhỏ nhất ở nhiệt độ kim loại gây ra sự phá hủy trong 100.000 giờ (N/mm2).
Sc: Ứng suất trung bình để tạo ra sự giãn dài 1% của thép đang xét trong 100.000 giờ ở nhiệt độ của kim loại (N/mm2).
(2) Ứng suất cho phép của ống thép hàn điện trở (hàn tiếp xúc) phải bằng 85% giá trị trong Bảng 3/9.2.
(3) Ứng suất cho phép của thép đúc phải bằng 80% giá trị tính được theo công thức ở (1) hoặc giá trị cho phép trong Bảng 3/9.2. Không được dùng thép đúc có chiều dày quá 50 mm nếu không có sự chấp thuận trước của Đăng kiểm.
(4) Giá trị ứng suất của vật liệu khác với các loại được chỉ ra trong (1) và (3) sẽ được Đăng kiểm xem xét riêng từng trường hợp có tính tới các đặc tính cơ học của vật liệu.
9.4.2 Hệ số độ bền của mối nối và thanh chằng
1 Hệ số độ bền của mối nối được xác định như sau:
(1) Vỏ liền: 1,00
(2) Vỏ hàn:
(a) Mối nối hàn giáp mép hai phía: 1,00
(b) Trường hợp khác: 0,90
2 Hệ số độ bền của thanh chằng được tính như sau:
(1) Hệ số độ bền của thanh chằng dọc (dưới đây được gọi là “hệ số dọc”) hướng theo hàng của các lỗ ống trên tấm vỏ có hàng song song hoặc gần song song với các trục vỏ, hoặc vỏ hay mặt sàng có một số hàng song song với khoảng cách đủ giữa chúng phải được xác định theo công thức sau:
(a) Khi khoảng cách tâm các lỗ ống là đều

Trong đó:
J1: Hệ số độ bền của thanh chằng
P: Khoảng cách tâm các lỗ ống (mm)
d: Đường kính các lỗ ống (mm).
(b) Khi khoảng cách tâm các lỗ ống không đều

Trong đó:
J2: Hệ số độ bền của thanh chằng
d: Giống như ở (a)
L: Tổng độ dài khoảng cách giữa các tâm tương ứng với n thanh chằng liên tiếp (mm)
n: Số lỗ ống trên chiều dài L.
(2) Hệ số độ bền của thanh chằng vòng tròn (dưới đây được gọi là “hệ số vòng tròn”) ở vùng các lỗ ống được khoan theo hướng vòng tròn của vỏ phải được tính tương tự như ở (1) và không nhỏ hơn 50% hệ số dọc. Trong trường hợp này khoảng cách giữa các lỗ ống theo hướng vòng tròn được đo trên tấm phẳng trước khi khoan lỗ hoặc dọc theo đường giữa của chiều dày tâm sau khi khoan.
(3) Hệ số độ bền của thanh chằng ở vùng lỗ ống khoan theo hướng đường chéo của vỏ được xác định bằng công thức sau:
(a) Khi các lỗ ống được khoan theo đường chéo như được chỉ trong Hình 3/9.1 và 3/9.2: giá trị nhỏ trong các hệ số tính được từ công thức dưới đây hoặc hệ số dọc phải là hệ số của thanh chằng ở phần lỗ ống.

Trong đó:
J3: Hệ số độ bền của thanh chằng

a: như được quy định ở Hình 3/9.1, 3/9.2 và 3/9.3
a, b: như được quy định ở Hình 3/9.1, 3/9.2 và 3/9.3 (mm)
d: đường kính lỗ ống (mm)
|
|
|
|
| Hình 3/9.1 Khoảng cách của các lỗ theo đường chéo | Hình 3/9.2 Kiểu bố trí các lỗ theo hình răng cưa | Hình 3/9.3 Kiểu bố trí các lỗ so le đều |
(b) Trong (a) khi các lỗ ống được sắp xếp theo hình so le đều như được chỉ ở Hình 3/9.3 thì hệ số độ bền thanh chằng của phần lỗ ống được lấy theo giá trị nhỏ nhất trong các trị số sau:
Hệ số được tính theo công thức ở (a), hai lần hệ số vòng tròn hoặc hệ số dọc.
Chú thích:
Các hệ số độ bền của thanh chằng tính được từ (a) và (b) được chỉ trên Hình 3/9.4 và 3/9.5 với tỉ số b/a trên trục hoành còn tỉ số (2a-d)/2d là thông số.

Hình 3/9.4 Hệ số độ bền của thanh chằng ở phần lỗ ống được khoan theo vòng tròn
(4) Hệ số độ bền của thanh chằng theo một đơn vị chiều dài khi lỗ ống được bố trí không đều theo hướng dọc của vỏ phải là giá trị nhỏ nhất trong các trị số được tính theo (a) hoặc (b) dưới đây. Tuy nhiên hệ số này không cần nhỏ hơn hệ số nhỏ nhất tính được khi lấy L1 là khoảng cách giữa tâm của các ống đo tại hai đầu của các hàng ống trong phạm vi chiều dài bằng đường kính trong của vỏ (khoảng cách tới tâm của lỗ ống kề sát nếu chỉ có một lỗ ống trong phạm vi chiều dài bằng đường kính trong của vỏ).
(a) Với chiều dài L1 bằng đường kính trong của vỏ (không quá 1520 mm)

(b) Với chiều dài L2 bằng bán kính trong của vỏ (không quá 760 mm)

Trong đó:
J4 và J5: Hệ số độ bền của thanh chằng,
a, b, c: Các khoảng cách giữa các lỗ ống được bố trí theo chiều dọc của vỏ.
Nếu chúng được bố trí theo hướng đường chéo thì khoảng cách phải là độ dài chiếu trên hướng dọc nhân với hệ số nhận được từ (3).

Chú thích:
Khi điểm rơi trên vùng bên phải của đường giao Z - Z hệ số dọc được coi như là hệ số của phần các lỗ ống.
Hình 3/9.5 Hệ số độ bền của thanh chằng ở phần lỗ ống được khoan theo đường chéo
9.5 Tính các kích thước quy định cho từng cơ cấu
9.5.1 Giới hạn chiều dày của từng cơ cấu
1 Chiều dày tấm vỏ và các tấm đáy không được nhỏ hơn 6 mm. Chiều dày tấm đáy được tạo hình trừ tấm đáy hình bán cầu không được nhỏ hơn chiều dày vỏ (được tính khi lấy hệ số độ bền bằng 1) mà tấm đáy được gắn vào.
2 Chiều dày mặt sàng không được nhỏ hơn 10 mm, chiều dày tấm phẳng không được nhỏ hơn 6 mm.
3 Chiều dày của miệng ống hàn vào thân và liên kết với giá đỡ không được nhỏ hơn 2,5 mm cộng thêm 1/25 đường kính ngoài của miệng ống, hoặc giá trị tính toán theo công thức cho trong 9.7.4. Tuy nhiên trị số này không cần lớn hơn độ dầy của thân nơi miệng ống được hàn vào.
4 Chiều dày của tấm buồng đốt không được nhỏ hơn 5 mm và không cần lớn hơn 22 mm.
9.5.2 Chiều dày quy định của tấm vỏ hình trụ chịu áp suất bên trong
Chiều dày quy định của tấm vỏ hình trụ chịu áp suất trong được tính toán theo công thức dưới đây. Tuy nhiên nếu tấm vỏ hình trụ có các lỗ cần được gia cường thì các lỗ này phải được gia cường theo yêu cầu trong 9.6.3.

9.5.3 Chiều dày quy định của tấm đáy được tạo hình chịu áp suất ở phía lõm không có thanh chằng, hay giá đỡ khác
1 Chiều dày quy định của tấm đáy không có lỗ được tính theo công thức sau:
(1) Tấm đáy hình lòng đĩa hay bán cầu:

Trong đó:

W = 1 cho tấm đáy hình bán cầu
R1: Bán kính trong của chỏm, R1 phải nhỏ hơn đường kính ngoài của tấm đáy.
r: Bán kính trong của mối nối, r không được nhỏ hơn 6% trị số lớn nhất giữa đường kính ngoài của phần viền tấm đáy hoặc 3 lần chiều dày thực của tấm đáy.
(2) Tấm đáy hình nửa ê lip (Khi tấm đáy có nửa trục ngắn bên trong không nhỏ hơn 1/4 trục dài tấm đáy).

2 Chiều dày quy định của tấm đáy có lỗ khoét phải tuân theo yêu cầu trong (1), (2) hoặc (3) sau đây:
(1) Khi lỗ khoét không cần phải gia cường theo các yêu cầu trong 9.6.2 hoặc lỗ khoét được gia cường theo yêu cầu trong 9.6.3-3 và 9.6.3-4 thì chiều dày phải được tính theo công thức trong -1.
(2) Khi tấm đáy có lỗ kiểm tra có gờ trong hoặc cửa người chui với đường kính lớn nhất vượt quá 150 mm và sự gia cường bằng gờ trong tuân theo các yêu cầu nêu ở 9.6.3-7 thì chiều dày được tính như sau:
(a) Tấm đáy hình lòng đĩa hoặc bán cầu:
Chiều dày phải tăng thêm không ít hơn 15% (nếu trị số tính toán nhỏ hơn 3mm thì lấy bằng 3 mm) chiều dày được tính bằng công thức ở -1(1). Khi bán kính trong chỏm cầu của tấm đáy nhỏ hơn 0,8 lần đường kính trong của vỏ thì trị số bán kính trong chỏm cầu trong công thức phải là 0,8 lần đường kính trong của vỏ. Khi tính chiều dày của tấm đáy có hai lỗ người chui như nói trong mục (a) thì khoảng cách giữa hai lỗ không nhỏ hơn 1/4 đường kính ngoài của tấm đáy.
(b) Tấm đáy dạng nửa e lip.
Những yêu cầu trong -1 (1) phải được áp dụng. Tuy nhiên khi đó R1 phải là 0,8 lần đường kính trong của vỏ và W = 1,77.
(3) Khi lỗ khoét không được gia cường theo những yêu cầu trong (1), (2) thì chiều dày quy định phải được tính theo công thức sau đây. Tuy nhiên, chiều dày này không được nhỏ hơn trị số tính được bởi công thức cho ở -1.

Trong đó:
D0: Đường kính ngoài của tấm đáy (mm)
K: Như được chỉ ra trong Hình 3/9.6 tuy vậy điều này có thể áp dụng cho tấm đáy phù hợp với điều kiện sau:
Tấm đáy hình bán cầu:
0,003D0 ≤ Te ≤ 0,16D0
Tấm đáy dạng nửa ellip:
0,003D0 ≤ Te ≤ 0,08D0
H ≥ 0,18D0
Tấm đáy hình lòng đĩa
0,003D0 ≤ Te ≤ 0,08D0
r ≥ 0,1D0
r ≥ 3Te
R1 ≤ D0
H ≥ 0,18D0
hoặc 0,01D0 ≤ Te ≤ 0,03D0
r ≥ 0,06D0
H = 0,18 D0
hoặc 0,02D0 ≤ Te ≤ 0,03D0
r ≥ 0,06D0
0,18D0 ≤ H ≤ 0,22D0
Te: Chiều dày thực của tấm đáy (mm),
H: Chiều sâu của tấm đáy tính từ mặt ngoài tới mặt nối của phần hình lòng đĩa với phần hình trụ (mm).
R1 và r: Như đã chỉ ra trong -1(1).

Chú thích:
d: Đường kính lỗ khoét (mm).
H: Chiều sâu của tấm đáy tính từ mặt ngoài tới mặt nối ghép của phần hình lòng đĩa với phần hình trụ (mm).
Do: Đường kính ngoài của tấm đáy (mm).
Hình 3/9.6 Trị số K
9.5.4 Chiều dày quy định của tấm đáy được tạo hình và chịu áp suất ở mặt lồi
Chiều dày quy định của tấm đáy được tạo hình và chịu áp suất ở phía mặt lồi không được nhỏ hơn chiều dày tính toán khi cho rằng phía mặt lõm chịu áp suất ít nhất là 1,67 lần áp suất thiết kế.
9.5.5 Chiều dày quy định của tấm đáy phẳng và nắp không có thanh chằng hoặc giá đỡ
1 Khi đáy phẳng và nắp không có thanh chằng hoặc giá đỡ được hàn vào tấm vỏ thì chiều dày được tính theo công thức sau:
(1) Tấm tròn

(2) Tấm không tròn

Trong đó:
C1: Hằng số được chỉ ra trên Hình 3/9.9.

d: Đường kính được chỉ trên Hình 3/9.9 (đối với tấm tròn), hoặc độ dài nhỏ nhất (đối với tấm không tròn) (mm)
D’: Chiều dài của tấm đáy hoặc nắp không tròn được đo vuông góc với chiều ngắn (mm).
2 Khi nắp phẳng không có thanh chằng được bắt bu lông vào tấm vỏ thì chiều dày quy định phải được tính theo công thức sau:
(1) Khi có các tấm đệm trên bề mặt:

Trong đó:
C3: Hằng số được xác định bởi phương pháp ghép bằng bu lông được chỉ ở Hình 3/9.10
, nhưng không cần quá 2,5
d: Đường kính được chỉ trong Hình 3/9.10 (cho tấm tròn) hoặc chiều dài nhỏ nhất (cho tấm không tròn) (mm).
D’: Chiều dài của tấm đáy hoặc nắp không tròn được đo vuông góc với chiều ngắn (mm)
W: Tải trọng trung bình của các tải trọng trên bu lông để làm kín nước và tải trọng cho phép đối với bu lông đang dùng (N)
L: Tổng chu vi đường tròn đi qua tâm các bu lông (mm)
hg: Cánh tay đòn của mô men do phản lực của đệm được chỉ ra trong Hình 3/9.10 (mm).
9.5.6 Chiều dày của tấm phẳng có thanh chằng hoặc giá đỡ khác
1 Chiều dày của tấm phẳng không kể chiều dày chỗ cụm ống được đỡ bởi thanh chằng hay ống chằng được tính theo công thức sau:

Trong đó:
C5: Hằng số được xác định theo phương pháp cố định thanh chằng hoặc ống chằng được cho trong Bảng 3/9.3. Khi dùng các phương pháp cố định khác nhau, trị số C5 là trung bình của các hằng số cho từng phương pháp,
S: Khi thanh chằng hoặc ống chằng được bố trí đều, “S” được tính theo công thức sau đây:

a: Khoảng cách theo phương ngang của thanh chằng hay ống chằng (mm)
b: Khoảng cách theo phương thẳng đứng (mm)
Khi thanh chằng hoặc ống chằng được bố trí không đều “S” là đường kính của đường tròn lớn nhất (mm) đi qua ít nhất 3 điểm đỡ nhưng không bao hàm bất kỳ điểm đỡ nào trong đường tròn.
2 Vị trí và hằng số C5 của điểm đỡ tại phần hàn giữa đầu phẳng và gờ cong hoặc vỏ, lò đốt v... như sau:
(1) Chỗ bắt đầu đường cong của gờ phải được coi là điểm đỡ. Tuy thế khi bán kính trong của đường cong lớn hơn 2,5 lần chiều dày của tấm thì những điểm ở cách 3,5 lần chiều dày tấm tính từ mặt ngoài của gờ có thể được coi như là bắt đầu của đường cong. Trong trường hợp này trị số C5 phải bằng 0,39 nếu tấm tiếp xúc với lửa và 0,36 nếu tấm không tiếp xúc với lửa.
(2) Phía trong của phần được hàn giữa đầu phẳng với vỏ, lò đốt v.v... được coi như điểm đỡ. Khi đó giá trị của hằng số C5 là 0,47 nếu tấm tiếp xúc với lửa và 0,43 nếu tấm không tiếp xúc với lửa.
Bảng 3/9.3 Trị số C5
| Phương pháp cố định thanh chằng hoặc ống chằng | Khi các tấm không tiếp xúc với lửa | Khi các tấm tiếp xúc với lửa | |
| (1) | Khi thanh chằng gắn vào tấm như (5) A ở Hình 3/9.9 | 0,35 | 0,38 |
| (2) | Khi thanh chằng gắn vào tấm như (5) B ở Hình 3/9.9 | 0,37 | 0,40 |
| (3) | Khi thanh chằng gắn vào tấm như (5) C ở Hình 3/9.9 | 0,41 | 0,44 |
| (4) | Khi thanh chằng gắn vào tấm như (5) D ở Hình 3/9.9 | 0,50 | 0,53 |
| (5) | Khi ống chằng gắn vào tấm như (6) A ở Hình 3/9.9 | 0,42 | 0,45 |
| (6) | Khi ống chằng gắn vào tấm như (6) B ở Hình 3/9.9 | 0,49 | 0,52 |
| (7) | Khi ống chằng gắn vào tấm như (6) C ở Hình 3/9.9 | 0,49 | 0,52 |
3 Chiều dày mặt sàng của cụm ống được đỡ bởi ống chằng phải được tính theo công thức sau:

Trong đó:
C6: Hằng số được xác định bởi phương pháp cố định các ống chằng được cho trong Bảng 3/9.4
p: Khi ống chằng được bố trí đều, khoảng cách trung bình của các ống chằng tính được khi chia tổng 4 cạnh của hình được tạo bởi 4 điểm đỡ (mm). Khi ống chằng được bố trí không đều, “S” (mm) là đường kính vòng tròn lớn nhất đi qua ít nhất 3 điểm đỡ nhưng không chứa một điểm đỡ nào trong vòng tròn, và
được dùng thay cho “p”.
4 Chiều dày quy định của mặt sàng của các nồi hơi đứng có ống khói nằm ngang mà nó tạo thành các hốc ống khói phải là giá trị lớn nhất trong các trị số tính theo công thức trong -3 hoặc công thức sau:

Trong đó:
D: 2 lần khoảng cách hướng kính của tâm dãy lỗ ống phía ngoài tới đường tâm vỏ (mm)
p: bước theo phương đứng của các ống (mm).
ds: đường kính lỗ ống trên mặt sàng (mm).
5 Chiều dày quy định của mặt sàng sau trong nồi hơi hình trụ với buồng đốt kiểu ướt phải là trị số lớn nhất trong các trị số được tính theo công thức trong -3 hoặc theo công thức sau:

Trong đó:
H: khoảng cách theo phương ngang của các ống khói (mm)
di: đường kính trong của ống khói thông thường (mm)
W: chiều sâu của phần trên buồng đốt (mm)
6 Đối với kích thước của các tấm đỉnh và tấm cạnh được chằng của buồng đốt của nồi hơi bình trụ, khoảng cách giữa các hàng thanh chằng gần nhất với mặt sàng hoặc tấm sau và đường bắt đầu cong của mặt sàng hay tấm sau không được lớn hơn “a” được xác định bởi công thức trong -1, thay chiều dày thực cho chiều dày quy định.
Bảng 3/9.4 Trị số C6
| Phương pháp cố định ống chằng | Khi tấm không tiếp xúc với lửa | Khi tấm tiếp xúc với lửa |
| Khi ống chằng được gắn vào tấm như (6)A Hình 3/9.9 | 0,51 | 0,54 |
| Khi ống chằng được gắn vào tấm như (6)B Hình 3/9.9 | 0,57 | 0,61 |
| Khi ống chằng được gắn vào tấm như (6)C Hình 3/9.9 | 0,57 | 0,61 |
9.5.7 Chiều dày quy định của lò kiểu gợn sóng
Chiều dày của lò kiểu gợn sóng được tính theo công thức sau:

Trong đó:
D: đường kính ngoài nhỏ nhất của phần gợn sóng của lò (mm).
C: hằng số được cho theo Bảng 3/9.5
Bảng 3/9.5 Trị số C
| Kiểu lò | C |
| Lò Mo-ri-xơn, Đây-tôn hay tương tự | 107 |
| Lò hình củ hành được rèn | 114 |
9.5.8 Độ dầy quy định của lò hình trụ trơn
Chiều dày quy định của lỗ hình trụ trơn hoặc đáy trụ và ống khói của buồng đốt không được gia cường bằng các thanh chằng hoặc bằng cách khác phải được tính theo các công thức dưới đây lấy giá trị nào lớn hơn:

Trong đó:
D: Đường kính ngoài của đáy buồng đốt của lò (mm)
L: Chiều dài lò hoặc chiều sâu của đáy buồng đốt (mm)
Chiều dài của lò được tính từ chỗ bắt đầu cong nơi các tấm lò có gờ và được nối với các tấm, vòng gia cường khác v.v.
9.5.9 Chiều dày quy định của lò hình bán cầu không có thanh chằng hoặc giá đỡ khác
Chiều dày quy định của lò hình bán cầu không có thanh chằng hay giá đỡ khác được tính theo công thức sau:

Trong đó:
Rf: bán kính ngoài của mặt cong của lò (mm)
9.5.10 Chiều dày quy định của vòng gờ hình chữ S của nồi hơi đứng
Chiều dày của vòng gờ hình chữ S nối đáy lò của nồi hơi đứng với vỏ chịu toàn bộ tải đứng của lò phải được tính theo công thức sau:

Trong đó:
D: Đường kính trong của vỏ (mm)
d: Đường kính ngoài của phần thấp của lò nơi nối với vòng gờ hình chữ S (mm)
9.5.11 Chiều dày quy định của tấm đai bệ lò của nồi hơi đứng
Chiều dày quy định của tấm đai bệ lò (xem Hình 3/9.9(4) E) nối đáy lò nồi hơi đứng với vỏ được tính theo công thức sau:

Trong đó:
D: Đường kính trong của vỏ (mm)
9.5.12 Đường kính quy định của thanh chằng
1 Đường kính quy định của thanh chằng được tính theo công thức sau:

Trong đó:
d: Đường kính quy định của thanh chằng (mm)
A: Diện tích thực được đỡ bởi một thanh chằng (mm2)
C = 0,13
2 Khi áp dụng công thức trong -1 cho thanh chằng chéo, C trong công thức được thay bằng C1 mà trị số được tính theo công thức sau:

Trong đó:
L: Chiều dài thanh chằng chéo (mm)
H: Chiều dài tương đương của thanh chằng vuông góc với mặt đỡ (mm).
9.5.13 Kích thước quy định của ống chằng
Các kích thước quy định của ống chằng đỡ mặt sàng được tính theo công thức sau đây.
Tuy nhiên chiều dày của ống chằng không được nhỏ hơn 6 mm cho những ống ở hàng biên của các cụm ống và 4,5 mm cho các ống khác.

Trong đó:
a: Diện tích mặt cắt thực bé nhất của một ống chằng (mm2)
A: Diện tích thực được đỡ bởi một ống chằng (mm2)
9.5.14 Chiều dày quy định của các xà đỡ tấm đỉnh của buồng đốt và khoảng cách của chúng với các tấm cạnh
1 Chiều dày của xà thép đỡ tấm đỉnh của buồng đốt được tính theo công thức sau:

Trong đó:
T: Chiều dày quy định của xà hoặc là tổng chiều dày các tấm khi xà có kết cấu tấm kép (mm)
d: Chiều cao của các xà ở trung tâm (mm)
L: Chiều rộng của buồng đốt được đo dọc bên trong phần trên (mm)
p: Bước của các thanh chằng đỡ các xà (mm)
D: Khoảng cách của các xà (mm)
S: Giới hạn bền kéo danh nghĩa của vật liệu làm xà (N/mm2)
C: Hằng số cho trong Bảng 3/9.6.
2 Khi bán kính ngoài của mối nối tấm đỉnh với tấm bền của buồng đốt của nồi hơi nhỏ hơn 1/2 bước D của dầm đỡ tính được từ công thức ở -1, nhờ thay độ dầy thực của xà nồi hơi vào công thức, khoảng cách giữa mặt trong của tấm cạnh và tâm dầm đỡ gần nhất không được lớn hơn bước D. Khi bán kính ngoài của mối nối lớn hơn D/2 thì chiều rộng của bề mặt phẳng tính từ tâm dầm đỡ tới điểm bắt đầu của mối nối không được lớn hơn D/2.
Bảng 3/9.6 Trị số C
| Khi số thanh chằng (n) của mỗi xà là lẻ |
|
| Khi số thanh chằng (n) của mỗi xà là chẵn |
|
9.5.15 Chiều dày quy định của bầu góp hình trụ.
Chiều dày quy định của bầu góp hình trụ phải được tính theo công thức 9.5.2. Tuy vậy, khi chiều dày của bầu góp vượt quá 1/2 bán kính trong của nó và nhiệt độ vật liệu là 375oC hoặc thấp hơn thì chiều dày được tính theo công thức sau:

9.5.16 Chiều dày quy định của bầu góp hình vuông
1 Chiều dày của bầu góp hình vuông được làm từ thép rèn hoặc thép tấm hàn phải được tính theo công thức sau:
(1) Khi các lỗ không được bố trí nối tiếp:

(2) Khi các lỗ được bố trí nối tiếp:

Trong đó:
l1: chiều rộng bên trong được đo giữa các điểm đỡ của mặt phẳng để tính độ bền (mm).
l2: chiều rộng bên trong của cạnh khác kề với l1 (mm).
9.6 Cửa quan sát, các lỗ khoét khác, v.v..., và sự gia cường chúng
9.6.1 Cửa chui, cửa làm vệ sinh và cửa kiểm tra
1 Nồi hơi phải có các cửa để chui vào hoặc cửa để làm vệ sinh với kích thước đủ tại vị trí thích hợp sao cho dễ đến gần để kiểm tra và bảo dưỡng. Tuy nhiên do kết cấu hoặc do kích thước, yêu cầu làm cửa chui hoặc cửa làm vệ sinh là không thực tế thì việc bố trí hai cửa kiểm tra hoặc nhiều hơn ở các vị trí thích hợp để kiểm tra bên trong sẽ được coi là đủ.
2 Kết cấu của cửa chui hay cửa làm vệ sinh phải tuân theo những yêu cầu từ (1) đến (3) sau đây:
(1) Trục ngắn của cửa chui hình ôvan đặt trên tấm vỏ phải song song với phương dọc của trống (nồi hơi).
(2) Nắp cửa chui kiểu trong phải có đầu ống nối với khe hở không quá 1,5 mm toàn bộ xung quanh.
(3) Nắp cửa phải đủ bền và được kết cấu sao cho việc đóng mở lặp đi lặp lại không được gây tác hại cho sự an toàn. Trong trường hợp nắp được bắt bu lông thì nắp phải có kết cấu sao cho sự hư hỏng của bu lông không gây ra nguy hiểm.
3 Cửa để kiểm tra bầu góp phải được hoàn tất bằng máy sao cho nắp lỗ kiểm tra có thể lắp được một cách hữu hiệu.

Chú thích:
d: Đường kính lớn nhất của lỗ khoét (mm) không yêu cầu phải gia cường, khi đó đường kính lớn của lỗ khoét hình ôvan là trị trung bình của trục dài và trục ngắn.
Do: Đường kính ngoài của vỏ (mm)
t: Độ dầy thực của tấm vỏ (mm)

Hình 3/9.7(a) Đường kính lớn nhất của lỗ khoét trên vỏ được phép không phải gia cường (còn tiếp)
9.6.2 Gia cường các lỗ khoét
1 Khi trên vỏ có các cửa chui, các lỗ khoét cho các vòi phun v.v... thì các lỗ khoét này phải được gia cường. Tuy nhiên, có thể không cần gia cường khi chỉ có một lỗ khoét như các trường hợp sau:
(1) Đường kính lớn nhất của lỗ khoét (ở lỗ khoét có ren là đường kính chân ren) không quá 60 mm và cũng không lớn hơn 1/4 đường kính trong của vỏ.
(2) Những lỗ khoét trên tấm vỏ có đường kính lớn nhất không quá trị số cho trong Hình 3/9.7. Khi đó đường kính lỗ khoét không được gia cường không vượt quá 200 mm.
(3) Những lỗ khoét trên tấm đáy phù hợp với yêu cầu trong 9.5.3-2(3) khi không có yêu cầu gia cường do việc tăng chiều dày của các tấm đáy.
(4) Những lỗ khoét trên tấm đáy hoặc tấm nắp khi chiều dày của tấm đáy hoặc tấm nắp đã được tăng lên phù hợp với yêu cầu trong 9.6.3-3(2).
9.6.3 Phương pháp gia cường lỗ khoét
1 Ý nghĩa của các ký hiệu được dùng trong 9.6.3 như sau:
a: Diện tích vỏ hoặc tấm đáy có thể gia cường (mm2)
Ao: Diện tích quy định của tiết diện ngang của phần gia cường (mm2)
d1: Đường kính lỗ khoét trên tiết diện ngang nơi dự định gia cường (mm)
do: Đường kính lớn nhất của lỗ khoét được gia công trên mặt cắt dọc của tấm vỏ hoặc mặt cắt ngang của tấm đáy (mm)

Chú thích:
d: Đường kính lớn nhất của lỗ khoét (mm) không yêu cầu phải gia cường, khi đó đường kính lớn của lỗ khoét hình ôvan là trị số trung bình của trục dài và trục ngắn.
Do: Đường kính ngoài của vỏ (mm)
t: Độ dầy thực của tấm vỏ (mm)

Hình 3/9.7(b) Đường kính lớn nhất của lỗ khoét trên vỏ được phép không phải gia cường (kết thúc)
h: Độ dầy của gờ được đo dọc theo trục lớn của lỗ khoét tính từ mặt ngoài của tấm đáy (mm)
tn: Chiều dày thực của họng (mm)
Tnr: Chiều dày quy định của họng (mm)
T: Chiều thực của tấm vỏ hoặc tấm đáy (mm)
To: Chiều dày quy định của tấm vỏ hoặc của tấm đáy trống (mm) được tính theo giả định hệ số độ bền mối nối bằng 1, trừ trường hợp khi các lỗ khoét và gia cường của nó hoàn toàn ở trong phần hình cầu của tấm đáy hình lòng đĩa, thì To là chiều dày quy định cho tấm đáy hình bán cầu có cùng bán kính với phần hình cầu của tấm đáy, hoặc khi lỗ khoét cùng với phần gia cường ở trong tấm đáy dạng nửa elip và toàn bộ nằm trong hình tròn trên tấm đáy với đường kính của đường tròn bằng 80% đường kính trong của vỏ thì To là chiều dày quy định của tấm đáy mặt bán cầu có bán kính đến 90% đường kính trong của vỏ.
2 Đối với lỗ khoét trên tấm vỏ và trên tấm đáy được tạo hình, phần gia cường phải sao cho diện tích mặt cắt ngang đi qua tâm lỗ khoét và trực giao với mặt lỗ khoét không nhỏ hơn trị số được tính theo công thức:
Ao = d0T0
3 Khi tấm đáy phẳng hoặc tấm nắp được quy định ở 9.5.5 có lỗ khoét thì chúng phải phù hợp với yêu cầu sau:
(1) Khi tấm đáy phẳng hoặc tấm nắp có lỗ khoét với đường kính không quá 0,5 lần đường kính đối với tấm tròn hoặc chiều dài nhỏ nhất (d được cho trong Hình 3/9.9 và 3/9.10) đối với tấm không tròn thì tấm đáy hoặc tấm nắp phải có tổng diện tích mặt cắt ngang của phần gia cường không nhỏ hơn trị số được tính theo công thức sau:
Ao = 0,5d0T0
(2) Khi tấm đáy phẳng hoặc tấm nắp có lỗ khoét với đường kính quá 0,5 đường kính đối với tấm tròn hoặc chiều dài nhỏ nhất (d được chỉ ra trong Hình 3/9.9 và 3/9.10) đối với tấm không tròn thì chiều dày của tấm đáy hoặc tấm nắp phải bằng 1,5 lần chiều dày quy định được chỉ ra trong điều 9.5.5 không kể đến lượng dư ăn mòn.

Chú thích:
|
| Diện tích mặt cắt ngang quy định của phần gia cường |
|
| Diện tích mặt cắt ngang hiệu dụng của phần gia cường |
Hình 3/9.8 Phạm vi có hiệu quả của phần gia cường
4 Việc gia cường phải được thực hiện trong phạm vi có hiệu quả. Phạm vi hiệu quả của việc gia cường được giới hạn bởi hai đường dọc theo thành và hai đường song song với trục của lỗ khoét trên mặt thẳng đứng tới thành chứa tâm lỗ khoét. Chiều dài của bốn đường như sau (xem Hình 3/9.8):
(1) Chiều dài của những đường dọc theo thành phải là khoảng cách tính từ tâm lỗ khoét về mỗi phía và bằng giá trị lớn nhất trong các giá trị sau:
(a) Đường kính của lỗ khoét được gia công trên mặt cắt ngang (mm)
(b) Bán kính của lỗ khoét được gia công trên mặt cắt ngang cộng với chiều dày của thành và chiều dày thành của họng (mm).
(2) Chiều dài của các đường song song với trục của lỗ khoét tính từ mặt của thành phải bằng trị số nhỏ hơn trong các giá trị sau (mm):
(a) 2,5 lần chiều dày của thành (mm)
(b) 2,5 lần chiều dày thành của họng cộng với chiều dày của bất kỳ chi tiết gia cường nào trừ phần kim loại hàn.
5 Bất kỳ phần nào dầy hơn chiều dày quy định của vỏ, tấm đáy hoặc họng nối được tính theo yêu cầu trong 9.5.2 và kim loại hàn đắp có thể được coi là phần gia cường, với điều kiện là nó nằm trong phạm vi hiệu quả của phần gia cường. Khi đó diện tích của vỏ hoặc tấm đáy có thể gia cường phải là trị số lớn nhất trong các diện tích được tính theo các công thức sau:
a = d1(T-T0)
a = 2(T-T0)(T+tn)
6 Khi ứng suất cho phép của vật liệu gia cường khác với ứng suất của vật liệu dùng làm vỏ, phải tiến hành hiệu chỉnh theo công thức sau:

Trong đó:
KR: Hệ số được nhân với diện tích gia cường và hệ số này không được vượt quá 1
fs: Ứng suất cho phép của vật liệu được sử dụng làm vỏ (N/mm2)
fR: Ứng suất cho phép của vật liệu phần gia cường (N/mm2)
7 Lỗ khoét ở tấm đáy có thể được gia cường bằng gờ. Trong trường hợp này chiều cao của gờ không nhỏ hơn trị số tính được từ công thức sau:
(1) Khi chiều dày của tấm không lớn hơn 38 mm
h = 3T0
(2) Khi chiều dày của tấm lớn hơn 38 mm
h = To+76
9.7 Ống
9.7.1 Lắp ống
1 Ống phải được lắp vào mặt sàng nhờ nong rộng hoặc phương pháp thích hợp khác và ống phải được đặt nhô ra không ít hơn 6 mm qua một cổ hay đai của mặt tựa song song, trừ trường hợp lắp ống bằng hàn. Khi đầu ống được cố định bằng hàn phải xem xét để tránh biến dạng của ống do chênh lệch về giãn nở nhiệt của ống đối với ống.
2 Khi các ống nước được liên kết với mặt sàng bằng cách làm loe miệng ống thì góc trong của miệng loe phải không nhỏ hơn 30o.
3 Lỗ ống phải được gia công sao cho ống được đặt khít trong đó. Khi ống hầu như trực giao với mặt sàng thì mặt tựa song song của các lỗ phải dầy không dưới 10 mm. Khi các đầu ống không trực giao với mặt sàng ống thì chiều dày của lỗ ống vuông góc với mặt sàng không được nhỏ hơn 10 mm đối với ống có đường kính ngoài không quá 60 mm và không được nhỏ hơn 13 mm đối với ống có đường kính ngoài lớn hơn 60 mm.
4 Ở nồi hơi đứng có các ống khói nằm ngang thì mỗi ống khói xen kẽ ở các hàng ống ngoài thẳng đứng phải là ống chằng.
9.7.2 Chiều dày tối thiểu của ống
Chiều dày của ống được dùng cho nồi hơi phải không được nhỏ hơn 2 mm đối với ống có đường kính ngoài nhỏ hơn 30 mm và không được nhỏ hơn 2,5 mm đối với ống có đường kính ngoài từ 30 mm trở lên.
9.7.3 Chiều dày của ống khói
Chiều dày của ống khói được tính theo công thức sau:
Tr = (Pd/70) + 2
Trong đó:
d: Đường kính ngoài của ống khói (mm).
9.7.4 Chiều dày của ống chịu áp suất bên trong
Chiều dày của ống (ống bay hơi, ống nước vách, ống tuần hoàn, ống của thiết bị quá nhiệt, ống của bình hâm tiết kiệm, ống bình hâm tiết kiệm khí xả....) chịu áp suất bên trong phải được tính theo công thức:

Trong đó:
d: đường kính ngoài của ống (mm).
9.8 Nối ghép các bộ phận
9.8.1 Nối bằng hàn
1 Kích thước và hình dạng của mép hàn được chuẩn bị phải sao cho mối hàn ngấu, không có khuyết tật. Mỗi mối hàn phải được thiết kế sao cho không phải chịu ứng suất uốn lớn quá. Khi kết cấu có ứng suất uốn tập trung ở chân mối hàn do biến dạng gây ra bởi uốn phải tránh hàn nối góc hoặc mối hàn giáp mép đơn.
2 Khi các tấm có chiều dày khác nhau được nối bằng mối hàn giáp mép thì tấm dầy hơn phải được vát mép để giảm dần chiều dày trong khoảng không nhỏ hơn bốn lần khoảng chênh lệch chiều dày giữa hai tấm sao cho 2 tấm có chiều dày bằng nhau ở chỗ được hàn. Trong trường hợp này, việc vát mép có thể được thực hiện ở một phía chỉ đối với những mối nối theo chu vi của vỏ còn đối với những mối nối dọc việc vát mép phải được thực hiện ở cả hai phía sao cho đường tâm của cả hai tấm có thể trùng khớp. Trong trường hợp việc giảm chiều dày được thực hiện ở một phía của mối nối dọc, khoảng cách giữa đường tâm của mối hàn và điểm xuất phát của đường vát không được nhỏ hơn chiều dày của tấm mỏng hơn.
3 Mối nối theo chu vi hoặc dọc tấm vỏ phải là mối hàn hai phía hoặc mối hàn một phía được Đăng kiểm chấp nhận.
9.8.2 Hình dạng mối nối và ghép
Các mẫu mối nối hàn và ghép phải như được quy định ở Hình 3/9.9 hoặc tương đương được Đăng kiểm chấp nhận.
9.8.3 Kết cấu các tấm nắp bắt bu lông
Kết cấu những tấm nắp phẳng không có giá đỡ được bắt bu lông vào vỏ được chỉ ra trong Hình 3/9.10 hoặc tương tự được Đăng kiểm chấp nhận.
9.9 Phụ tùng
9.9.1 Vật liệu phụ tùng
1 Vật liệu của các miệng ống, gờ hay thanh chằng được gắn trực tiếp vào trống nồi hơi (kể cả các bầu góp) phải là thép thích hợp với nhiệt độ làm việc.
2 Trừ những điều đã được chỉ rõ trong -1 vật liệu làm hộp van hay các phụ tùng được lắp trên nồi hơi và chịu áp suất phải thích hợp với nhiệt độ làm việc và phải là thép, trừ những trường hợp sau:
(1) Vật đúc bằng hợp kim đồng có thể được sử dụng khi nhiệt độ làm việc tối đa không quá 210oC.
(2) Vật đúc bằng gang xám có thể được sử dụng khi nhiệt độ làm việc tối đa không quá 220oC và áp suất thiết kế quy định không quá 1 MPa, trừ các van xả.
(3) Gang đúc đặc biệt được chế tạo bởi nhà sản xuất được chấp nhận có thể được sử dụng khi nhiệt độ làm việc tối đa không quá 350oC và áp suất thiết kế quy định không quá 2,5 MPa.
9.9.2 Kết cấu phụ tùng
1 Các phụ tùng như van, các bích nối, bulông, đai ốc, đệm... phải có kết cấu và kích thước phù hợp với các tiêu chuẩn được thừa nhận và chúng cũng phải phù hợp với những điều kiện phục vụ được ghi trong các tiêu chuẩn ấy.
2 Phải trang bị van đóng bằng tay cùng với thiết bị chỉ thị cho biết van đang đóng hay mở trừ van kiểu cần nhô dài.
3 Các phụ tùng phải được lắp vào trống nồi hơi bằng mặt bích hoặc hàn. Tuy thế khi chiều dày của tang lớn hơn 12 mm hoặc đế có ren được cố định trên tang, thì các phụ tùng có đường kính danh nghĩa từ 32 mm trở xuống có thể được lắp thẳng vào nồi hơi bằng ren.
4 Khi các phụ tùng của nồi hơi được bắt chặt bằng các vít cấy, thì lỗ của vít cấy không được xuyên hết chiều dày của vỏ và chiều sâu của ren không nhỏ hơn đường kính của vít cấy.

Hình 3/9.9 Các ví dụ về mối hàn được chấp nhận cho từng trường hợp

Hình 3/9.9 Các ví dụ về mối hàn được chấp nhận cho từng trường hợp (tiếp theo)

Hình 3/9.9 Các ví dụ về mối hàn được chấp nhận cho từng trường hợp (tiếp theo)

Hình 3/9.9 Các ví dụ về mối hàn được chấp nhận cho từng trường hợp (tiếp theo)

Hình 3/9.9 Các ví dụ về mối hàn được chấp nhận cho từng trường hợp (tiếp theo)

Hình 3/9.9 Các ví dụ về mối hàn được chấp nhận cho từng trường hợp (tiếp theo)

Hình 3/9.9 Các ví dụ về mối hàn được chấp nhận cho từng trường hợp (kết thúc)
Chú thích:
(1) Hằng số C1 là trị số dùng cho công thức ở 9.5.5
(2) Kích thước các phần hàn là trị số nhỏ nhất
(3) Đơn vị của các trị số ở các hình đều là mm
(4) Kích thước của các kí hiệu đặc trưng ở các hình như sau (đơn vị: mm)
Ts: Chiều dày thực của tấm vỏ
Th: Chiều dày thực của tấm đáy được tạo hình
TE: Chiều dày thực của tấm đáy phẳng hoặc tấm nắp
Tro: Chiều dày quy định của vỏ không ghép nối
Tp: Chiều dày thực của mặt sàng hoặc tấm đáy phẳng (tấm đáy được tạo hình)
Trf: Chiều dày quy định của tấm vòng bệ lò
Tk: Chiều dày thực của ống hay ống chằng
Tn: Chiều dày thực của họng lắp phụ tùng
tm: Giá trị nhỏ của tấm được hàn nhưng lớn nhất là 20 mm

Hình 3/9.10 Các ví dụ về kiểu nối bu lông các nắp đậy và mặt sàng
9.9.3 Van an toàn và van xả áp
1 Mỗi nồi hơi phải có ít nhất hai van an toàn kiểu lò xo. Tuy thế chỉ một van an toàn cũng được chấp nhận cho các trường hợp sau:
(1) Nồi hơi có diện tích hấp nhiệt nhỏ hơn 10 m2.
(2) Nồi hơi có áp suất thiết kế quy định không quá 1 MPa, với điều kiện được trang bị thiết bị kiểm tra áp suất và thiết bị tự động cắt nhiên liệu khi áp suất vượt quá áp suất thiết kế quy định.
(3) Nồi hơi khí thải được lắp van xả áp được chỉ rõ trong -11.
2 Van an toàn có van dẫn hướng kiểu lò xo có thể được sử dụng thay cho van an toàn kiểu lò xo.
3 Đường kính đế van an toàn không được nhỏ hơn 25 mm, trừ những trường hợp được xét riêng.
4 Các van an toàn phải bắt đầu tự động xả hơi nước ở áp suất đã đạt theo yêu cầu trong -14 và phải có khả năng xả toàn bộ lượng hơi được sinh ra của nồi hơi trong điều kiện vận hành tối đa đã được thiết kế và áp suất nồi hơi không tăng quá từ 10% trở lên so với áp suất làm việc của nồi hơi.
5 Diện tích toàn bộ của các van an toàn, khi xét đến sự sinh hơi tối đa theo thiết kế của nồi hơi, không được nhỏ hơn diện tích quy định được tính trong từng trạng thái hơi nước và đối với mỗi kiểu van an toàn được quy định dưới đây. Tuy nhiên, van an toàn của nồi hơi có bộ quá nhiệt hơi phải phù hợp với những yêu cầu trong -7, -8 và -9. Ngoài ra, đối với bất kỳ nồi hơi nào có bộ tiết kiệm khí thải được thiết kế để gia nhiệt thêm trong sử dụng thì diện tích quy định của các van an toàn phải được tính theo sự sinh hơi tối đa của nồi hơi được cộng với sự sinh hơi của bộ tiết kiệm khí thải.
(1) Đối với hơi bão hòa

Trong đó:
D: Đường kính mặt tựa của van an toàn (mm)
L: Hành trình của van an toàn (mm)
A: Diện tích yêu cầu của đế van an toàn (mm2)
A’: Diện tích lỗ thông của van an toàn (mm2)
W: Sản lượng sinh hơi thiết kế lớn nhất của nồi hơi (g/h)
P: Áp suất đạt cho van an toàn (MPa)
K1 = 4,8
K2 = 10,0
K3 = 20,0
K4 = 30,0
Tuy nhiên, nếu thử và kiểm tra do Đăng kiểm chỉ định như thủ lưu lượng hơi xả và do độ nâng của van được tiến hành cho từng mẫu đầu tiên trong điều kiện tương đương với loại thực, trong các giá trị K1, K2, K3, K4 có thể nâng tới giá trị được Đăng kiểm chấp thuận trên cơ sở các kết quả này.
(2) Đối với hơi quá nhiệt:

Trong đó:
As: Diện tích quy định của đế van an toàn (mm2)
A: Như đã được chỉ ra trong (1)
VH: Thể tích riêng của hơi bão hòa (mm3/g)
Vs: Thể tích riêng của hơi quá nhiệt (mm3/g)
6 Diện tích lối thông hơi của van an toàn phải bằng trị số dưới đây cho mỗi loại van an toàn.
(1) Diện tích tối thiểu lối thông hơi của van an toàn có hành trình thấp ở cửa vào hộp van không được nhỏ hơn 0,5 lần và ở cửa ra không được nhỏ hơn 1,1 lần diện tích quy định của mặt tựa van.
(2) Diện tích tối thiểu lối thông hơi của van an toàn có hành trình cao ở cửa vào hộp van không được nhỏ hơn 1,0 lần và ở cửa ra không được nhỏ hơn 2 lần diện tích quy định của mặt tựa van.
(3) Diện tích tối thiểu lối thông hơi của van nâng hết tại cửa vào không được nhỏ hơn 1,1 lần và ở cửa ra không nhỏ hơn 2 lần diện tích của lối thông hơi khi van được nâng lên 1/7 đường kính của mặt tựa van.
(4) Khi van mở, diện tích tối thiểu của lối thông hơi tại mặt tựa van không được nhỏ hơn 1,05 lần diện tích họng van. Ngoài ra diện tích tối thiểu của các lối thông hơi ở cửa vào van và họng không được nhỏ hơn 1,7 lần diện tích họng van và diện tích lối thông hơi tối thiểu ở cửa ra không được nhỏ hơn 2 lần diện tích tại mặt tựa van khi van mở.
7 Trong trường hợp nồi hơi có bộ quá nhiệt, thì phải có ít nhất một van an toàn lắp tại cửa ra của bộ quá nhiệt.
8 Khả năng xả của van an toàn lắp vào thiết bị quá nhiệt phải đảm bảo cho thiết bị quá nhiệt không bị hư hỏng khi nguồn cấp hơi chính bị đóng lại trong trường hợp sự cố trong khi nồi hơi đang hoạt động với tải ở công suất liên tục lớn nhất. Khi yêu cầu này không được đáp ứng đầy đủ, thì phải có phương tiện để tự động đóng hoặc điều khiển việc cấp nhiên liệu cho nồi hơi trong trường hợp sự cố để bảo vệ thiết bị quá nhiệt khỏi hư hại.
9 Khi không có các thiết bị xen giữa thiết bị quá nhiệt và nồi hơi, thì diện tích của các van an toàn cho thiết bị quá nhiệt có thể được gộp vào tổng diện tích của các van an toàn của nồi hơi. Tuy nhiên, tổng diện tích của các van an toàn lắp trên các phần sinh hơi của nồi hơi không được nhỏ hơn 0,75 lần diện tích quy định được tính theo công thức trong -5.
10 Các van an toàn phải được lắp riêng biệt trên cửa vào và cửa ra của bầu hâm độc lập hoặc bộ quá nhiệt độc lập, và tổng sản lượng xả không được nhỏ hơn lượng hơi đi qua lớn nhất. Tổng sản lượng xả của các van an toàn đặt trên đường ra của nó phải nhỏ hơn lượng hơi cần thiết để giữ cho nhiệt độ hơi của bầu hâm độc lập hoặc bộ quá nhiệt độc lập không cao hơn trị số thiết kế. Tuy nhiên, đối với bộ quá nhiệt độc lập được nối trực tiếp với nồi hơi được thiết kế có cùng áp suất thiết kế quy định như của nồi hơi thì có thể lắp ở cửa ra một van an toàn có khả năng xả một lượng hơi đủ để giữ cho nhiệt độ hơi của bộ quá nhiệt độc lập không cao hơn trị số thiết kế.
11 Đối với bộ tiết kiệm và bộ tiết kiệm khí thải (kể cả bộ phận hấp nhiệt của nồi hơi khí thải) được trang bị van xen giữa nồi hơi và bộ tiết kiệm hoặc bộ tiết kiệm khí thải phải lắp các van xả áp có khả năng xả một lượng hơi không ít hơn trị số tính toán từ năng lượng hấp thụ lớn nhất.
12 Kết cấu của van an toàn phải tuân theo các yêu cầu sau:
(1) Van an toàn phải có kết cấu sao cho lò xo và van phải được đặt trong hộp van và chúng không thể bị quá tải được đặt trước từ bên ngoài và trong trường hợp lò xo bị hỏng cũng không thể bị rơi ra khỏi hộp van.
(2) Van an toàn phải được lắp vào vỏ nồi hơi, bầu góp hoặc đầu ống ra của bộ quá nhiệt bằng mối nối bích hoặc mối nối hàn. Hộp van an toàn không được làm chung với các hộp van khác. Tuy nhiên van an toàn của bộ quá nhiệt có thể được lắp bằng bích vào các ống lắp van được hàn vào đầu ống ra.
(3) Van an toàn của nồi hơi phải có cơ cấu thuận tiện và tay van phải được bố trí sao cho có thể thao tác được từ chỗ dễ tiếp cận mà không bị nguy hiểm.
(4) Lỗ thoát nước được định cỡ chính xác phải được bố trí ở phần thấp nhất của hộp van an toàn ở phía xả. Ống thoát nước phải được dẫn tới nơi an toàn ở xa nồi hơi. Không được lắp bất cứ van hoặc vòi nào trên ống đó.
13 Ống hơi thải của van an toàn phải tuân theo các yêu cầu sau:
(1) Đường ống hơi thải của van an toàn phải được kết cấu sao cho lực cản thoát không gây trở ngại cho hoạt động của van. Đường kính trong của ống hơi thải không được nhỏ hơn đường kính cửa ra của van và phải được thiết kế ở áp suất bằng hoặc lớn hơn 1/4 áp suất đặt của van an toàn.
(2) Khi đường ống hơi thải được thiết kế chung cho hai hay nhiều van an toàn thì diện tích tiết diện ngang của ống không nhỏ hơn tổng diện tích lỗ thoát hơi của các van an toàn đó. Các ống hơi thải của van an toàn cho nồi hơi phải được tách biệt với các đường ống có thể bao gồm một số lượng lớn ống xả như các ống xả hơi nước ra khí quyển hay ống hơi nước thải của van an toàn của bộ tiết kiệm khí thải.
14 Sau khi lắp đặt trên tàu van an toàn hay van xả áp phải được đặt chế độ làm việc phù hợp với những yêu cầu từ (1) đến (5) sau đây:
(1) Van an toàn phải được đặt mức xả hơi tự động ở áp suất không lớn hơn 1,03 lần áp suất làm việc quy định của nồi hơi.
(2) Van an toàn của bộ quá nhiệt phải được đạt mức xả hơi tự động ở áp suất không lớn hơn trị số đạt được khi trừ áp suất đã đặt của van an toàn lắp trên trống nồi hơi một trị số bằng 0,035 MPa cộng với độ giảm áp suất hơi trong bộ quá nhiệt ở tải bình thường
Tuy nhiên khi áp suất này vượt quá 1,03 lần áp suất định mức của nồi hơi thì ít nhất một van an toàn phải được đạt mức xả hơi ở áp suất không quá 1,03 lần áp suất định mức và các van khác xả ở áp suất không quá 1,05 lần áp suất định mức.
(3) Áp suất xả của van an toàn ở cửa ra của bộ quá nhiệt phải được đặt ở mức thấp hơn áp suất ở cửa vào.
(4) Áp suất xả của van xả áp lắp trên bộ tiết kiệm hoặc bộ tiết kiệm khí thải được đặt ở áp suất không lớn hơn áp suất thiết kế tương ứng đã quy định.
(5) Van an toàn hoặc van xả áp phải hoạt động tốt khi xả ở áp suất đã được đạt theo những yêu cầu tương ứng từ (1) đến (4).
15 Khi lưu lượng xả tính toán của van an toàn không phù hợp với quy định ở -5 vì sự giảm áp suất làm việc quy định của nồi hơi, nó có thể được chấp nhận với điều kiện việc thử tích hơi đã được thực hiện thỏa mãn yêu cầu của Đăng kiểm và được xác nhận rằng áp suất trong trống nồi hơi không vượt quá 110% áp suất làm việc quy định.
9.9.4 Nối ống hơi nước
1 Van chặn phải được lắp trực tiếp trên trống nồi hơi ở mỗi đường hơi ra.
2 Khi hơi từ hai nồi hơi trở lên được dẫn tới một ống dẫn hơi nước chung, thì van chặn được trang bị ở mỗi cửa dẫn hơi ra như yêu cầu ở -1 phải là van chặn một chiều và một van chặn thêm vào giữa van chặn một chiều với điểm nối ống hơi.
3 Trên tầu có từ hai nồi hơi chính hoặc hai nồi hơi phụ thiết yếu trở lên thì đường ống hơi phải được dẫn sao cho việc cấp hơi nước liên tục cho các máy phụ dùng để quay trở tầu và đảm bảo an toàn ngay cả trong trường hợp hư hỏng có thể xảy ra ở một trong các nồi hơi này.
9.9.5 Hệ thống nước cấp
1 Phải có một van chặn lắp vào chỗ nối ống nước cấp và một van chặn một chiều ở điểm sát với van chặn đến mức có thể thực hiện được. Bộ điều chỉnh cung cấp nước được chấp thuận có thể được đặt giữa van chặn một chiều và van chặn.
2 Bất kể các yêu cầu ở -1, khi nồi hơi có bộ tiết kiệm được coi là một phần của nồi hơi, thì có thể đặt một van chặn nước cấp tại cửa vào của bộ tiết kiệm. Khi đó phải có van chặn một chiều đặt ở điểm sát với van chặn đến mức có thể thực hiện được.
3 Phần trống nồi hơi nơi nước cấp được dẫn vào phải có các ống bọc hoặc thiết bị thích hợp khác sao cho không có ứng suất nhiệt quá cao do tiếp xúc trực tiếp của nước cấp lạnh với tang. Yêu cầu này cũng áp dụng cho bộ giảm quá nhiệt nếu có trong trống nồi hơi, khi mà các ống hơi nước quá nhiệt xuyên qua trống. Ngoài ra việc xả nước cấp trong trống phải được phân bố sao cho nước không tiếp xúc trực tiếp vào bề mặt hấp nhiệt đang ở nhiệt độ cao của nồi hơi.
9.9.6 Hệ thống xả
1 Mỗi nồi hơi phải được trang bị một van xả lắp trực tiếp vào trống sao cho nước của nồi hơi có thể xả từ dãy của khoang chứa nước của nồi. Đường kính danh nghĩa của van không được nhỏ hơn 25 mm nhưng không cần quá 65 mm, trừ trường hợp nồi hơi có diện tích mặt hấp nhiệt bằng hoặc nhỏ hơn 10 m2 van xả có thể có đường kính danh nghĩa bằng 20 mm.
2 Khi đường ống xả tiếp xúc với ống khói thì chúng phải được bảo vệ bằng các vật liệu cách nhiệt và được bố trí sao cho việc kiểm tra chúng được dễ dàng.
3 Áp suất thiết kế cho ống xả không được nhỏ hơn 1,25 lần áp suất thiết kế của nồi hơi.
4 Van xả phải có kết cấu sao cho không bị lắng đọng cáu, cặn.
5 Khi đường ống xả của hai nồi hơi trở lên được ghép vào một đường xả chung thì phải có một van chặn một chiều trên mỗi đường ống của mỗi nồi hơi.
9.9.7 Hệ thống đốt nhiên liệu
1 Mỏ đốt dầu
(1) Mỏ đốt dầu phải được bố trí sao cho không thể tháo mỏ đốt ra trừ khi nguồn cấp dầu cho các mỏ đốt này đã khóa.
(2) Đối với nồi hơi đốt ở trên đỉnh, để tránh rung động bất thường, phải trang bị mối nối mềm có kiểu được Đăng kiểm duyệt ở chỗ nối giữa mỏ đốt dầu và ống cấp nhiên liệu.
2 Các quạt thông gió
Các nồi hơi phải có quạt thông gió có đủ sản lượng cho sản lượng hơi nước thiết kế lớn nhất của nồi hơi và đảm bảo sự đốt cháy ổn định trong phạm vi hoạt động của nồi. Phải có các phương tiện thay thế có thể bảo đảm chắc chắn cho hành hải bình thường và cấp nhiệt cho hàng có yêu cầu hâm liên tục trong trường hợp quạt thông gió hư hỏng.
9.9.8 Thiết bị chỉ báo mức nước
1 Mỗi nồi hơi phải có ít nhất hai thiết bị chỉ báo mức nước độc lập, một trong số đó phải là thước chỉ mức nước bằng thủy tinh và chiếc kia phải tuân theo một trong các yêu cầu sau:
(1) Thước chỉ báo mức nước bằng thủy tinh được đặt ở nơi mà mức nước dễ đọc nhất.
(2) Thiết bị chỉ báo mức nước từ xa, nhưng khi nồi hơi có áp suất thiết kế từ 1 MPa trở xuống có thể thay bằng thiết bị báo động mức nước cao và thấp.
2 Đối với nồi hơi tuần hoàn cưỡng bức hay nồi hơi dòng thẳng khi các yêu cầu trong -1 không thể áp dụng để chỉ báo mức nước thì phải trang bị thiết bị chỉ báo mức nước thích hợp và thiết bị an toàn cho mức nước thấp gồm hai bộ chỉ báo được thiết kế để ngăn sự quá nhiệt cho bất cứ phần nào của nồi hơi do thiếu nước cấp.
3 Trong trường hợp khi mà khoang nước trong nồi hơi đặt dọc theo chiều ngang của tầu hoặc sự chênh lệch mức nước quá nhiều có thể xảy ra thì các thiết bị chỉ báo mức nước được chỉ ra trong -1 phải được bố trí sao cho chỉ báo được mực nước ở cả hai đầu của khoang nước.
4 Phần thấp nhất có thể nhìn thấy của thước chỉ mức nước bằng thước thủy tinh không được nhỏ hơn 50 mm ở trên mức nước giới hạn thấp nhất. Phạm vi nhìn thấy được của thiết bị chỉ báo mức nước từ xa phải bao hàm tất cả các khoảng có liên quan tới việc kiểm tra mức nước trong nồi hơi.
5 Kết cấu của thiết bị chỉ báo mực nước phải tuân theo những yêu cầu sau:
(1) Cấu tạo của thước chỉ báo bằng thủy tinh phải là kiểu hộp tiết diện hình chữ nhật (kiểu tấm kép) theo các tiêu chuẩn đã được công nhận hoặc tương đương được Đăng kiểm chấp thuận.
(2) Khi thước đo mức nước được đặt ở bên ngoài nồi hơi thì phải có van chặn (hoặc vòi) lắp riêng trên đỉnh và đáy của thước và thêm vào đó phải có một thiết bị xả có hiệu quả.
(3) Khi thước đo nước hoặc ống thủy được nối bằng ống với với trống nồi hơi thì phải lắp một van chặn vào trống nồi hơi.
(4) Các van chặn (hay vòi) dùng cho thước đo nước và đường ống nối với trống nồi hơi phải có dạng không bị lắng cặn hoặc cáu bẩn khác từ nước của nồi hơi.
(5) Ống thủy và thước đo nước được bắt vào đó phải được đỡ chắc chắn sao cho có thể duy trì được vị trí đúng của nó. Đường kính trong của ống thủy phải không được nhỏ hơn 45 mm và ở đáy phải có lỗ xả có kích thước đủ lớn.
(6) Các ống nối với trống nồi hơi phải có đường kính danh nghĩa bằng hay lớn hơn 15 mm dùng cho thước đo nước và bằng hay lớn hơn 25 mm cho ống thủy.
(7) Khi ống nối từ ống thủy tới nồi hơi xuyên qua ống thông hơi thì toàn bộ đoạn qua ống thông hơi phải được bọc kín và phải bố trí các lỗ không khí không nhỏ hơn 50 mm quanh các ống.
9.9.9 Các thiết bị đo áp suất và nhiệt độ
1 Mỗi nồi hơi phải có một bộ thiết bị đo áp suất trên trống nồi hơi và một bộ ở cửa ra của bộ quá nhiệt, và các đồng hồ áp suất phải được bố trí tại các trạm điều khiển.
2 Đồng hồ đo áp suất phải có thang chia tới 1,5 lần hay cao hơn áp suất của van an toàn.
Áp suất làm việc quy định đối với trống nồi hơi hoặc áp suất chuẩn đối với bộ quá nhiệt phải được đánh dấu riêng trên thang chia của đồng hồ áp suất tương ứng.
3 Thiết bị đo và chỉ báo áp suất phải làm việc khi nồi hơi đang được vận hành.
4 Phải có các thiết bị đo nhiệt độ ở cửa hơi nước của bộ quá nhiệt hoặc bầu hâm.
9.9.10 Thiết bị an toàn và thiết bị báo động
1 Thiết bị cắt dầu đốt
Mỗi nồi hơi phải có thiết bị an toàn có khả năng tự động cắt nguồn cấp nhiên liệu cho toàn bộ vòi phun trong các trường hợp sau:
Các tín hiệu báo động chỉ báo sự hoạt động của thiết bị an toàn phải phù hợp với 18.2.6-2.
(1) Khi đánh lửa tự động không thành
(2) Khi mất lửa (trong trường hợp này việc cấp dầu phải được cắt trong vòng 4 giây sau khi mất lửa)
(3) Khi mức nước hạ xuống
(4) Khi việc cung cấp không khí cho sự cháy bị ngừng
(5) Khi áp suất cấp nhiên liệu cho các vòi phun hạ xuống trong trường hợp phun nhiên liệu bằng áp suất, hoặc khi áp suất hơi nước đến các vòi phun hạ xuống trong trường hợp phun nhiên liệu bằng hơi nước.
(6) Khi Đăng kiểm cho là cần thiết.
2 Thiết bị báo động
(1) Mỗi nồi hơi phải có thiết bị báo động hoạt động khi mức nước trong trống nồi hơi hạ xuống
(2) Ngoài yêu cầu nói trên các nồi hơi chính phải có thiết bị báo động làm việc trong các trường hợp sau:
(a) Khi việc cấp không khí đốt bị giảm hoặc khi quạt thông gió dừng
(b) Khi áp suất nhiên liệu được cấp cho các vòi phun hạ xuống (trường hợp phun dầu bằng áp suất), hay khi áp suất hơi nước cho các vòi phun hạ xuống (trường hợp phun bằng hơi nước).
(c) Khi mức nước trong trống nồi hơi đạt tới mức cao
(d) Khi nhiệt độ hơi nước ở cửa ra của bộ quá nhiệt tăng lên (khi có bộ quá nhiệt).
(e) Khi nhiệt độ khí thải tại cửa ra của bộ hâm nóng không khí kiểu khí hay kiểu bộ tiết kiệm tăng lên
(3) Đối với các nồi hơi phụ cấp hơi nước cho các tua bin lai máy phát điện chính thì thiết bị báo động sẽ hoạt động khi mức nước trong trống nồi hơi đạt tới mức cao thì phải có thêm các thiết bị báo động nêu trong (1).
3 Thiết bị chỉ báo mức nước
Các bộ chỉ báo mức nước của các thiết bị được quy định trong -1(3) phải được tách riêng ra khỏi các thiết bị của hệ thống điều chỉnh nước cấp và thiết bị chỉ báo mức nước từ xa được quy định trong 9.9.8-1(2).
9.9.11 Kiểm tra nước nồi hơi
1 Mỗi nồi hơi phải có ống nối để lấy mẫu nước nồi hơi ở vị trí thuận lợi, nhưng van lấy mẫu không được nối với ống thủy của thiết bị chỉ mức nước.
2 Nồi hơi phải có các phương tiện như bộ phận tích nước hoặc thiết bị thích hợp khác để giám sát và kiểm tra chất lượng của nước cấp và nước nồi hơi.
9.9.12 Thiết bị tháo nước của bộ quá nhiệt và bầu hâm
Bộ quá nhiệt và bầu hâm phải có các hệ thống tháo nước có hiệu quả và các phương tiện phòng hư hỏng xảy ra do ứng suất nhiệt hoặc sự thay đổi nhiệt độ đột ngột.
9.10 Thử nghiệm
9.10.1 Thử tại xưởng
1 Thử mối hàn phải theo các yêu cầu trong Chương 11.
2 Nồi hơi phải được thử thủy lực ở áp suất bằng 1,5 lần áp suất thiết kế của nồi hơi và 2 lần áp suất thiết kế cho các phụ tùng.
9.10.2 Thử nghiệm sau khi lắp lên tầu
Đối với nồi hơi, việc thử “nổ” van an toàn và thử chức năng của các thiết bị an toàn và các thiết bị tín hiệu báo động phải được thực hiện sau khi đã được lắp đặt lên tàu.
9.11 Kết cấu, v.v..., của nồi hơi nhỏ
9.11.1 Quy định chung
Bất kể các yêu cầu trong các điều từ 9.2 đến 9.10, những yêu cầu trong 9.11 có thể được áp dụng cho nồi hơi có áp suất thiết kế không quá 0,35 MPa (sau đây được gọi là “nồi hơi nhỏ”).
9.11.2 Vật liệu, kết cấu, độ bền và phụ tùng của nồi hơi nhỏ
1 Vật liệu, kết cấu, độ bền và phụ tùng của nồi hơi nhỏ phải tuân theo những yêu cầu trong các tiêu chuẩn đã được công nhận.
2 Nồi hơi nhỏ phải có các van an toàn hoặc ống xả áp có đủ dung lượng.
3 Nồi hơi nhỏ phải có các thiết bị an toàn sau:
(1) Hệ thống làm sạch trước để đề phòng nổ khí lò.
(2) Hệ thống ngừng cấp dầu đốt hoạt động trong trường hợp mất lửa, hỏng bộ đánh lửa tự động hoặc quạt thông gió ngừng làm việc.
(3) Hệ thống ngừng cấp dầu đốt hoạt động khi áp suất vượt quá áp suất làm việc đã quy định.
(4) Hệ thống ngừng cấp dầu đốt để ngăn ngừa quá nhiệt trong trường hợp nước cạn.
9.11.3 Thử nghiệm
1 Thử ở xưởng
Các bộ phận chịu áp suất phải được thử thủy lực ở áp suất bằng 2 lần áp suất thiết kế hoặc 0,2 MPa lấy trị số nào lớn hơn.
2 Thử sau khi lắp lên tầu
Đối với nồi hơi nhỏ sau khi lắp lên tầu phải tiến hành thử chức năng của các thiết bị an toàn được quy định trong 9.11.2-3.
9.12 Kết cấu thiết bị hâm dầu
9.12.1 Quy định chung
Thiết bị hâm dầu được làm nóng bằng lửa hay khí cháy phải tuân theo những yêu cầu có liên quan trong các điều từ 9.1 đến 9.10 cũng như các yêu cầu trong 9.12 trong trường hợp này thuật ngữ “nồi hơi” được đọc là “thiết bị hâm dầu”).
9.12.2 Các thiết bị an toàn cho thiết bị hâm dầu bằng lửa
1 Phải trang bị bộ điều chỉnh nhiệt độ để kiểm tra nhiệt độ của dầu được hâm trong phạm vi đã định.
2 Van chính của két giãn nở phải được giữ ở trạng thái luôn mở và hệ thống đốt phải được khóa liên động để sao cho nó không khởi động được khi van chính còn đóng.
3 Phải có van an toàn hoặc ống xả áp có đủ dung lượng.
4 Ống xả từ van an toàn của ống xả áp được nêu trong -3 phải có đầu hở trong két dầu nóng và có đủ sản lượng.
5 Phải có các thiết bị an toàn sau:
(1) Hệ thống làm sạch trước để đề phòng nổ khí lò.
(2) Hệ thống ngừng cấp dầu đốt hoạt động trong các trường hợp sau:
(a) Khi nhiệt độ của dầu được làm nóng tăng lên bất thường.
(b) Khi tốc độ chảy của dầu nóng giảm xuống hoặc khi độ chênh áp suất giữa đầu vào và đầu ra của thiết bị hâm dầu nóng giảm.
(c) Khi mực dầu nóng trong két giãn nở hạ xuống khác thường.
9.12.3 Thiết bị an toàn cho thiết bị hâm dầu được làm nóng trực tiếp bằng khí thải của động cơ
1 Thiết bị an toàn phải tuân theo các yêu cầu trong 9.12.2-1, -3 và -4.
2 Van chính trong két giãn nở phải luôn ở trạng thái mở và phải có thiết bị khóa liên động để khí thải không được lẫn vào thiết bị hâm dầu khí van chính còn đóng.
3 Trên đường vào của thiết bị hâm dầu phải có thiết bị đóng ngắt khí thải và chúng phải được bố trí sao cho động cơ có thể vận hành được ngay cả khi việc cấp khí thải cho thiết bị hâm dầu bị ngắt.
4 Phải có các phương tiện để ngăn ngừa rò rỉ dầu từ thiết bị hâm dầu và nước dùng cho cứu hỏa hoặc mục đích khác chảy vào ống dẫn khí thải của máy.
5 Phải có van chặn ở cửa vào và cửa ra của thiết bị hâm dầu.
6 Phải có thiết bị báo động bằng tín hiệu âm thanh và ánh sáng để báo và truyền cho trạm điều khiển trong các trường hợp sau:
(1) Khi lửa tắt trong thiết bị hâm dầu.
(2) Khi nhiệt độ của dầu được hâm cao bất thường.
(3) Khi có sự rò rỉ dầu được hâm ở phía trong thiết bị hâm.
(4) Khi tốc độ chảy của dầu được hâm giảm hay khi độ chênh áp suất của dầu nóng ở cửa vào và cửa ra của thiết bị hâm dầu giảm.
(5) Khi mức chất lỏng trong két giãn nở giảm bất thường.
7 Phải có hệ thống dập lửa cố định và làm mát được Đăng kiểm chấp thuận.
9.12.4 Hệ thống dầu nóng
Hệ thống dầu nóng của thiết bị hâm dầu phải thỏa mãn các yêu cầu ở 13.11.
9.13 Thiết bị đốt chất thải
9.13.1 Quy định chung
1 Bất kể các yêu cầu trong các điều từ 9.2 đến 9.12, các thiết bị đốt chất thải phải tuân theo những yêu cầu trong 9.13. Tuy nhiên, những yêu cầu trong 9.13 không áp dụng cho những thiết bị đốt chất thải có công suất nhỏ hơn 34,5 kW.
2 Bất kể các yêu cầu trong -1, các thiết bị đốt dầu thải và chất thải không phải do quá trình vận hành bình thường của tầu sinh ra phải được Đăng kiểm xem xét riêng.
9.13.2 Các bản vẽ và tài liệu trình duyệt
1 Mặc dù có các yêu cầu trong 9.13 các bản vẽ và tài liệu trình duyệt bao gồm:
(1) Các bản vẽ
(a) Bố trí chung của thiết bị đốt chất thải
(b) Bố trí các phụ tùng của thiết bị đốt chất thải
(c) Các bản vẽ khác mà Đăng kiểm cho là cần thiết.
(2) Tài liệu:
(a) Các đặc tính kĩ thuật
(b) Các tài liệu chỉ dẫn các thiết bị an toàn
(c) Các tài liệu hướng dẫn vận hành các thiết bị đốt chất thải
(d) Các tài liệu khác mà Đăng kiểm cho là cần thiết
9.13.3 Kết cấu và phụ tùng
1 Kết cấu và phụ tùng của các thiết bị đốt chất thải phải tuân theo các yêu cầu trong các điều từ (1) tới (9) dưới đây:
(1) Các phần chính của buồng đốt phải được chế tạo bằng các vật liệu có hiệu quả.
(2) Buồng đốt phải có kết cấu sao cho bảo đảm rằng khí cháy có hại và nước thải không bị rò rỉ.
(3) Ống khói của buồng đốt phải:
(a) Không được nối với đường ống khí thải của động cơ Đi-ê-den hay tua bin khí.
(b) Phải được dẫn tới những vị trí sao cho khí cháy không bay vào trong tầu, và
(c) Nếu chúng được nối với ống khói của nồi hơi, thì các thiết bị hâm dầu hoặc các thiết bị đốt chất thải khác phải được Đăng kiểm xem xét riêng.
(4) Phải có các khí cụ đo nhiệt độ của khí cháy.
(5) Cửa của thiết bị đốt chất thải phải được bố trí sao cho tránh được sự cháy ngược từ buồng đốt.
(6) Phải có thiết bị ngăn ngừa sự quá áp của áo nước (nếu có) của thiết bị đốt chất thải.
(7) Hệ thống ống dầu thải phải tuân theo các yêu cầu tương ứng trong 13.9.
(8) Hệ thống đốt phải:
(a) Được bố trí sao cho buồng đốt được làm sạch bằng không khí trước khi đốt;
(b) Nếu việc đánh lửa tự động được dùng thì phải bố trí sao cho van nhiên liệu đặt trước tia lửa điện;
(c) Nếu có hệ thống cấp nhiên liệu tự động thì phải có khả năng kiểm soát được lượng dầu cấp;
(d) Nếu có thiết bị kiểm soát việc đốt tự động thì phải tuân theo các yêu cầu trong 18.4.2-2(1), (2) và (3).
(9) Việc bố trí các thiết bị đóng từ xa cho các thiết bị đốt chất thải phải tuân theo các yêu cầu trong 1.3.4-3.
9.13.4 Các thiết bị an toàn và báo động
1 Thiết bị đốt chất thải được trang bị các hệ thống tự động cấp dầu đốt hay dầu thải phải có thiết bị an toàn để tự động ngưng cấp nhiên liệu hoặc dầu thải cho buồng đốt trong các trường hợp (1) và (2) dưới đây:
(1) Khi vượt quá nhiệt độ làm việc lớn nhất của lò;
(2) Khi mất lửa;
2 Thiết bị đốt chất thải phải có thiết bị báo động để hoạt động trong các trường hợp sau:
(1) Khi vượt quá nhiệt độ làm việc quy định của lò;
(2) Khi mất lửa;
(3) Khi mất nguồn cấp năng lượng cho thiết bị báo động;
(4) Khi hệ thống làm mát (nếu có) ngừng làm việc;
(5) Khi áp suất cấp dầu thải cho buồng đốt hạ xuống trong trường hợp phun dầu bằng áp suất;
(6) Khi áp suất cấp dầu đốt cho buồng đốt hạ xuống trong trường hợp phun dầu bằng áp suất;
(7) Khi hệ thống cấp không khí cho sự cháy (nếu có) ngừng hoạt động.
9.13.5 Thử nghiệm
Phải tiến hành thử hoạt động các thiết bị an toàn và báo động được quy định trong 9.13.4 và thử đốt cháy.
CHƯƠNG 10 BÌNH CHỊU ÁP LỰC
10.1 Quy định chung
10.1.1 Phạm vi áp dụng
1 Các yêu cầu trong Chương này áp dụng cho các bình chứa khí hay chất lỏng chịu áp suất vượt quá áp suất khí quyển kể cả các thiết bị trao đổi nhiệt nhưng không tiếp xúc với lửa, khí cháy hay khí nóng.
2 Các thiết bị trao đổi nhiệt v.v... có áp suất bên trong nhỏ hơn áp suất khí quyển thì cũng phải áp dụng những yêu cầu thích hợp trong Chương này (khi đó, áp suất có giá trị âm đo được của bình thì phải được thay bằng áp suất dương có cùng trị số).
10.1.2 Áp suất thiết kế
1 Áp suất thiết kế được dùng cho tính toán độ bền của từng chi tiết kết cấu của bình chịu áp lực không được nhỏ hơn trị số lớn nhất trong các trị số sau:
(1) Áp suất làm việc đã được duyệt nêu ở 1.2.39, Phần 1-A của Quy phạm này.
(2) Áp suất làm việc lớn nhất ở nhiệt độ lớn nhất (nhiệt độ làm việc lớn nhất) được nhà chế tạo quy định.
(3) Trong trường hợp bình chịu áp lực được dùng để chứa khí hóa lỏng và được duy trì trong trạng thái áp suất ở nhiệt độ khí quyển hay gần nhiệt độ khí quyển, thì lấy theo áp suất sau đây, lấy giá trị nào lớn nhất:
(a) Áp suất hơi của khí ở 45oC
(b) Áp suất làm việc lớn nhất
(c) 0,7 MPa.
10.1.3 Phân loại bình chịu áp lực
1 Các bình chịu áp lực được phân thành 3 nhóm tùy theo chiều dầy tấm vỏ và điều kiện làm việc của chúng.
(1) Các bình chịu áp lực nhóm I (PV-1)
Các bình chịu áp lực phù hợp với một trong những mục sau:
(a) Tấm vỏ dầy hơn 38 mm (xem chú thích 1)
(b) Áp suất thiết kế lớn hơn 4MPa (xem chú thích 1)
(c) Nhiệt độ làm việc lớn nhất cao hơn 350oC
(d) Thiết bị sinh hơi có áp suất thiết kế cao hơn 0,35 MPa
(e) Bình chứa khí để cháy áp suất cao có áp suất hơi không nhỏ hơn 0,2 MPa ở 38o C (xem chú thích 2)
Chú thích:
(1) Bình chịu áp lực có tấm vỏ dầy hơn 38 mm hoặc áp suất thiết kế cao hơn 4 MPa nhưng chỉ chịu áp suất thủy tĩnh của dầu hay nước ở nhiệt độ khí quyển thì được phân là loại “PV-2”.
(2) Những yêu cầu đối với “PV-2” áp dụng cho các vật liệu, kết cấu và hàn khi bình chịu áp lực có dung tích không quá 500 lít.
(2) Bình chịu áp lực nhóm II (PV-2)
Bình chịu áp lực phù hợp với một trong những mục sau:
(a) Tấm vỏ dầy hơn 16mm
(b) Áp suất thiết kế lớn hơn 1 MPa
(c) Nhiệt độ làm việc tối đa lớn hơn 150oC
(d) Thiết bị sinh hơi với áp suất thiết kế không quá 0,35 MPa
(3) Bình chịu áp lực nhóm III (PV-3)
Các bình chịu áp lực không nằm trong các nhóm I và II.
2 Loại bình chịu áp lực chứa chất nguy hiểm không quy định ở -1 sẽ được quy định trong từng trường hợp phù hợp với tính chất của chất đó, sự làm việc và điều kiện làm việc v.v...
10.1.4 Bản vẽ và tài liệu trình duyệt
1 Nói chung các bản vẽ và tài liệu cần phải trình duyệt như dưới đây. Tuy nhiên đối với các bình chịu áp lực thuộc nhóm III không phải trình nếu Đăng kiểm không có yêu cầu riêng.
(1) Các bản vẽ (có chỉ rõ loại và kích thước vật liệu)
(a) Bố trí chung
(b) Các chi tiết về vỏ
(c) Bố trí các thiết bị xả áp
(d) Các chi tiết vòng đệm cho các phụ tùng và các họng để lắp phụ tùng
(e) Các bản vẽ khác mà Đăng kiểm thấy cần thiết
(2) Tài liệu
(a) Thuyết minh các đặc điểm chính
(b) Đặc điểm kĩ thuật hàn (quy trình hàn, chất liệu hàn và điều kiện hàn)
(c) Các tài liệu khác mà Đăng kiểm thấy cần thiết.
10.2 Vật liệu và hàn
10.2.1 Vật liệu
1 Vật liệu dùng làm các chi tiết chịu áp suất của bình chịu áp lực phải thích hợp với điều kiện làm việc của chúng và tuân theo những yêu cầu trong các mục từ (1) đến (3) dưới đây. Tuy vậy những vật liệu đặc biệt được dự định dùng phải trình đầy đủ các thông tin có liên quan với việc thiết kế và cách sử dụng của loại vật liệu đó cho Đăng kiểm để xét duyệt.
(1) Bình chịu áp lực nhóm I (PV-1)
Mọi vật liệu phải tuân theo các yêu cầu ở Chương 3 đến Chương 7, Phần 7-A của Quy phạm này và phải được thử nghiệm theo các quy định ở Chương 1 tới Chương 2 của Phần 7-A.
(2) Bình chịu áp lực nhóm II (PV-2)
Giống như nhóm I. Tuy nhiên, nếu bình chịu áp lực nằm trong một trong những hạng mục sau, thì vật liệu có thể áp dụng theo những yêu cầu ở (3)
(a) Áp suất thiết kế dưới 0,7 MPa
(b) Áp suất thiết kế không quá 2 MPa, nhiệt độ làm việc tối đa không quá 150oC và dung tích không quá 500 lít.
(3) Bình chịu áp lực nhóm III (PV- 3)
Sử dụng các vật liệu thỏa mãn các quy định trong các tiêu chuẩn đã được công nhận.
2 Bất kể các yêu cầu trong -1(1) và -1(2), vật liệu của các phụ tùng được lắp vào các bình chịu áp lực thuộc nhóm I, II như van, các họng để lắp phụ tùng v.v... có thể lấy theo các quy định ở -1(3) khi được Đăng kiểm đồng ý với sự xem xét tới kích thước và điều kiện làm việc.
10.2.2 Giới hạn sử dụng gang
1 Không được dùng gang xám làm vỏ các bình chịu áp lực sau:
(1) Nhiệt độ làm việc tối đa cao hơn 220oC hoặc áp suất thiết kế lớn hơn 1 MPa;
(2) Chứa hoặc giữ các chất dễ cháy hoặc độc.
2 Các loại gang đúc đặc biệt như gang graphít cầu có thể được dùng làm bình chịu áp lực với nhiệt độ làm việc tối đa không quá 350 oC và áp suất thiết kế không quá 1,8 MPa khi được sự đồng ý của Đăng kiểm.
10.2.3 Giới hạn sử dụng các vật liệu dùng làm phụ tùng
Giới hạn sử dụng các vật liệu dùng làm phụ tùng phải tuân theo các quy định ở 9.9.1. Đối với các phụ tùng của bình chịu áp lực dùng để chứa hoặc giữ các chất dễ cháy, độc thì không được dùng gang nếu không được sự chấp thuận của Đăng kiểm.
10.2.4 Xử lí nhiệt các tấm thép
Khi tiến hành xử lí nhiệt như tạo hình nóng hay khử ứng suất trên thép tấm trong quá trình chế tạo bình chịu áp lực nhà chế tạo phải thông báo ý định cùng với đơn đặt hàng vật liệu.
Trong trường hợp này, những điều mà nhà sản xuất cần biết về thép tấm được nêu ở 3.3.4, Phần 7-A của Quy phạm này.
10.2.5 Xử lí nhiệt cho vật liệu định hình nguội
Phải tiến hành biện pháp thích hợp như xử lí nhiệt khi định hình nguội được coi là có hại cho vật liệu làm bình chịu áp lực khi bình được sử dụng trong môi trường có thể xảy ra ứng suất do ăn mòn, nứt.
10.2.6 Thử không phá hủy đối với thép đúc và gang
1 Thép đúc và gang được dùng làm vỏ bình chịu áp lực nhóm I chịu áp suất bên trong phải được thử bằng chụp X quang hay thử bằng siêu âm cũng như thử bằng hạt từ tính hoặc thử bằng thấm màu để khẳng định rằng chúng không có khuyết tật có hại.
2 Thép đúc và gang được dùng làm vỏ bình chịu áp lực nhóm II chịu áp suất bên trong phải được thử không phá hủy thỏa đáng để khẳng định rằng chúng không có khuyết tật có hại.
10.2.7 Hàn
Trình độ thợ hàn bình chịu áp lực phải phù hợp với những yêu cầu trong Chương 11.
10.3 Yêu cầu về thiết kế
10.3.1 Kí hiệu
Nếu không có chỉ dẫn đặc biệt nào khác các kí hiệu được dùng trong Chương này như sau:
f: Ứng suất cho phép (N/mm2) phù hợp với các yêu cầu trong 10.4.1-1,-2 hoặc 12.2.1;
a: Lượng dư ăn mòn (mm) phù hợp với yêu cầu trong 10.4.3;
T: Chiều dầy quy định (mm) được tính toán theo áp suất thiết kế. Áp suất cho phép là áp suất có được khi thay chiều dầy quy định bằng chiều dầy thực trong công thức;
P: Áp suất thiết kế (MPa);
j: Giá trị nhỏ nhất của hệ số độ bền mối nối được quy định ở 10.4.2;
R: Bán kính trong của vỏ (mm);
R20: Giới hạn bền kéo danh nghĩa của vật liệu đang xét ở nhiệt độ trong phòng (N/mm2);
E20: Giới hạn chảy danh nghĩa nhỏ nhất (hoặc giới hạn giãn dài qui ước của vật liệu đang xét ở nhiệt độ trong phòng N/mm2).
10.3.2 Tải trọng thiết kế
1 Trong thiết kế bình chịu áp lực các tải trọng sau được đưa vào tính toán, khi cần thiết được cộng thêm áp suất bên trong.
(1) Cột áp tĩnh của chất lỏng trong bình
(2) Áp suất ngoài
(3) Tải trọng động gây ra do chuyển động của tầu
(4) Ứng suất nhiệt
(5) Tải trọng từ các phụ tùng
(6) Tải trọng do các phản lực từ các kết cấu đỡ
(7) Tải trọng áp suất thử thủy lực
(8) Các tải trọng khác hay ngoại lực tác động lên bình chịu áp lực.
2 Nếu thấy cần thiết phải tiến hành phân tích mỏi và phân tích sự lan truyền nứt với sự xét đến tải trọng ở -1.
10.3.3 Bình chịu áp lực dạng không thông thường
Khi việc thiết kế theo các yêu cầu trong 10.5 và 10.6 là không hợp lí do phần chịu áp suất có hình dạng không thông thường thì Đăng kiểm có thể chấp nhận việc đo sự biến dạng dưới tác động của tải trọng thích hợp và Đăng kiểm sẽ xem xét kết quả đo được để coi như chúng thỏa mãn các yêu cầu trong 10.5 và 10.6.
10.3.4 Những lưu ý đối với thiết kế
1 Bình chịu áp lực làm việc ở nhiệt độ thấp phải có đủ độ vững chắc để chịu được nhiệt độ làm việc thấp nhất theo yêu cầu.
2 Bình chịu áp lực được dùng trong môi trường ăn mòn mạnh phải có các biện pháp kiểm tra ăn mòn có hiệu quả.
3 Các thiết bị trao đổi nhiệt phải có cơ cấu làm kín có hiệu quả tại chỗ nối các ống với mặt sàng và mặt sàng với vỏ sao cho tránh được sự trộn lẫn của hai loại chất lỏng trao đổi nhiệt.
10.3.5 Các lưu ý đối với sự lắp đặt
1 Bình chịu áp lực phải được lắp đặt sao cho có thể giảm tối đa các tác động do chuyển động của tầu, chấn động từ các hệ thống máy, các ngoại lực do ống dẫn và các giá đỡ cũng như sự dãn nở vì nhiệt do sự khác biệt về nhiệt độ.
2 Bình chịu áp lực và các phụ tùng của nó phải được bố trí tại các vị trí thuận tiện cho vận hành, sửa chữa và kiểm tra.
10.4 Ứng suất cho phép, hệ số độ bền mối nối và lượng dư ăn mòn
10.4.1 Ứng suất cho phép
1 Ứng suất cho phép của các vật liệu được dùng ở điều kiện nhiệt độ trong phòng phải được xác định theo các quy định sau:
(1) Ứng suất cho phép (f) của thép các bon (kể cả thép các bon măng gan) và thép hợp kim thấp không kể thép đúc không được lấy lớn hơn giá trị nhỏ nhất trong các trị số tính được từ các công thức sau. Đối với bình chịu áp lực dùng cho khí hóa lỏng, giá trị của mẫu số cho f1 phải bằng 3 và cho f2 phải bằng 2.

Bảng 3/10.1 Hệ số để nhân với ứng suất cho phép của thép đúc
| Dạng thử | Hệ số |
| Khi không tiến hành thử bằng chụp X quang hay bất kì một sự thử nghiệm theo lựa chọn nào khác | 0,7 |
| Khi tiến hành thử bằng chụp Xquang ngẫu nhiên hoặc thử nghiệm theo lựa chọn | 0,8 |
| Khi các thử nghiệm trên được thực hiện trên toàn bộ các bộ phận | 0,9 |
(2) Ứng suất cho phép của ống thép hàn bằng phương pháp điện trở, trừ khi chúng được dùng làm vỏ bình chịu áp lực phải lấy theo các giá trị được nêu ở (1) nếu các ống này phải được thử siêu âm hay bất kì một phương pháp phát hiện khuyết tật tương tự nào khác được Đăng kiểm chấp nhận cho toàn bộ chiều dài mối hàn, và trong các trường hợp khác phải lấy bằng 85% giá trị được nêu ở (1).
(3) Ứng suất cho phép của thép đúc phải lấy bằng giá trị có được từ (1) nhân với hệ số được cho trong Bảng 3/10.1.
(4) Ứng suất cho phép của gang phải được lấy bằng 1/8 ứng suất kéo tối thiểu danh nghĩa. Tuy thế ứng suất cho phép của gang loại đặc biệt được Đăng kiểm đồng ý có thể lấy tới 1/6 ứng suất kéo tối thiểu danh nghĩa.
(5) Ứng suất cho phép của thép ôstenit phải được lấy bằng trị nhỏ nhất trong các số f1,f2 dưới đây:

(6) Ứng suất cho phép của hợp kim nhôm phải được lấy bằng trị nhỏ nhất trong các trị f1,f2 dưới đây:

2 Đối với ứng suất cho phép của vật liệu dùng làm bình chịu áp lực làm việc ở nhiệt độ cao phải áp dụng các yêu cầu trong 9.4.1 hoặc giá trị được Đăng kiểm coi là thích hợp.
3 Ứng suất kéo cho phép phải phù hợp với các yêu cầu trong -1 và -2. Tuy vậy ứng suất kéo cho phép của bu lông phải tuân theo những yêu cầu sau:
(1) Khi bu lông được sử dụng ở nhiệt độ trong phòng, trị số ứng suất kéo cho phép được lấy theo (a) hoặc (b) dưới đây, lấy trị số nào nhỏ hơn. Tuy nhiên đối với các bu lông phù hợp với các tiêu chuẩn đã được công nhận thì trị số ứng suất kéo cho phép có thể bằng 1/3 tải trọng thử được định ra ở đó.

(2) Trong trường hợp bu lông được dùng ở nhiệt độ cao thì trị số ứng suất kéo cho phép sẽ được Đăng kiểm xem xét trong từng trường hợp.
4 Ứng suất uốn cho phép phải phù hợp với các yêu cầu sau:
(1) Khi vật liệu được sử dụng ở nhiệt độ trong phòng thì phải phù hợp với yêu cầu ở -1. Tuy nhiên, đối với thép đúc hoặc gang trị số này được lấy bằng 1,2 lần giá trị trên.
(2) Khi vật liệu được sử dụng ở nhiệt độ cao giá trị ứng suất sẽ được Đăng kiểm xem xét trong từng trường hợp.
5 Ứng suất cắt cho phép đối với ứng suất cắt chính trung bình ở tiết diện chịu tải trọng cắt phải được lấy bằng 80% ứng suất kéo cho phép.
6 Ứng suất nén cho phép ở vỏ hình trụ của bình chịu áp lực ở nhiệt độ trong phòng chịu tải trọng gây ra ứng suất nén theo phương dọc trục được lấy theo (1) hoặc (2) sau đây, lấy giá trị nào nhỏ hơn.
(1) Trị số được nêu ở -1
(2) Ứng suất uốn dọc cho phép theo công thức sau:

sz - Ứng suất uốn dọc cho phép (N/mm2)
E - Mô đun đàn hồi dọc ở nhiệt độ trong phòng (N/mm2)
To - Chiều dầy thực của tấm vỏ không kể đến lượng ăn mòn cho phép của tấm vỏ thực (mm)
Dm - Đường kính trung bình của vỏ (mm)
7 Khi thực hiện tính toán một cách chi tiết các ứng suất cho phép cho các loại ứng suất khác của thép các bon hoặc thép các bon măng gan được dùng làm vỏ bình chịu áp lực được chế tạo bởi máy quay thì được lấy như sau:
Pm ≤ f
Pl ≤ 1,5f
Pb ≤ 1,5f
Pl + Pb ≤ 1,5f
Pm + Pb ≤ 1,5f
Pl + Pb + Q ≤ 3f
Trong đó:
Pm - Ứng suất màng chung chính tương đương (N/mm2)
Pl - Ứng suất màng cục bộ chính tương đương (N/mm2)
Pb - Ứng suất uốn chính tương đương (N/mm2)
Q - Ứng suất phụ tương đương (N/mm2).
Bảng 3/10.2 Hệ số độ bền mối nối hàn

Chú thích: Thử bằng X quang có thể được thay bằng thử siêu âm nếu được Đăng kiểm chấp thuận.
10.4.2 Hệ số bền mối nối
1 Hệ số bền của mối nối phải như sau:
(1) Vỏ không ghép nối: 1,00
(2) Vỏ hàn: như cho ở Bảng 3/10.2
(3) Ống thép hàn điện được dùng làm vỏ: như nêu ở (1) trong Bảng 3/10.2
10.4.3 Lượng dư ăn mòn
1 Lượng dư ăn mòn của vật liệu được dùng để tính độ bền, trừ trường hợp chúng bị ăn mòn hoặc mòn và xây xát quá mức phải được lấy không nhỏ hơn 1 mm hoặc 1/6 chiều dầy quy định không kể lượng dư ăn mòn cho mặt trong lấy giá trị nào nhỏ hơn. Trong trường hợp sử dụng vật liệu chịu ăn mòn hoặc có các biện pháp kiểm tra ăn mòn có hiệu quả hoặc không có khả năng xảy ra ăn mòn thì giá trị này có thể được giảm tương ứng.
2 Trong trường hợp mặt ngoài của bình chịu áp lực có thể bị ăn mòn được bọc cách nhiệt, lớp cách nhiệt này làm trở ngại cho việc kiểm tra bên ngoài thì cũng phải có một lượng thích hợp lượng dư ăn mòn trên mặt ngoài của bình chịu áp lực.
10.5 Độ bền
10.5.1 Chiều dầy tối thiểu của mỗi bộ phận
1 Chiều dầy tấm vỏ và tấm đáy không được nhỏ hơn 5 mm trừ trường hợp được Đăng kiểm chấp nhận riêng với sự xét đến đường kính, áp suất, nhiệt độ, vật liệu v.v... Trừ trường hợp tấm đáy là nửa hình cầu, chiều dầy tấm đáy được tạo hình không được nhỏ hơn chiều dầy quy định (được tính toán theo giả định hệ số bền mối nối bằng 1) của vỏ mà tấm đáy được hàn vào.
2 Chiều dầy của các họng để lắp phụ tùng được hàn vào bình chịu áp lực phải phù hợp với những yêu cầu dưới đây. Những yêu cầu này sẽ được sửa đổi khi được Đăng kiểm chấp nhận trên cơ sở xem xét các kích thước hoặc hình dạng, vật liệu ...
(1) Chiều dầy này không được nhỏ hơn giá trị 2,5 mm cộng với 1/25 lần đường kính ngoài của họng lắp phụ tùng hoặc trị số được tính theo công thức trong 10.5.2-2. Tuy nhiên, chiều dầy này không cần lớn hơn chiều dầy của vỏ bình nơi họng lắp phụ tùng được hàn vào.
(2) Bất kể các yêu cầu ở (1) chiều dầy của những bình chịu áp lực thuộc nhóm II, III không cần lớn hơn 4 mm nếu nó không nhỏ hơn trị số được tính theo công thức 10.5.2-2.
10.5.2 Độ bền tấm vỏ, tấm đáy và tấm phẳng chịu áp suất bên trong
1 Quy định chung
Tấm vỏ, tấm đáy và tấm phẳng không có thanh giằng hoặc giá đỡ nào khác (không kể mặt sàng của thiết bị trao đổi nhiệt) chịu áp suất bên trong phải tuân theo những yêu cầu được nêu từ -2 tới -7 dưới đây. Tuy nhiên, độ bền của các tấm vỏ của bình chịu áp lực ở các điều kiện sau phải được tính toán theo các công thức được Đăng kiểm cho là thích hợp.
(1) Bình chịu áp lực hình trụ

(2) Bình chịu áp lực hình cầu

2 Chiều dầy của các tấm vỏ hình trụ chịu áp suất bên trong:
Chiều dầy quy định của các tấm vỏ chịu áp suất bên trong phải được tính theo công thức dưới đây. Tuy nhiên khi tấm vỏ hình trụ có lỗ khoét đòi hỏi được gia cường thì lỗ phải được gia cường theo những yêu cầu trong 10.6.3.

3 Chiều dầy quy định của tấm vỏ hình cầu chịu áp suất bên trong:
Chiều dầy quy định của tấm vỏ hình cầu chịu áp suất bên trong phải được tính toán theo công thức dưới đây. Khi tấm vỏ hình cầu có lỗ khoét đòi hỏi gia cường thì lỗ khoét phải được gia cường theo các yêu cầu trong 10.6.3.

4 Chiều dầy của tấm đáy được tạo hình chịu áp suất trên phía lõm không có thanh giằng hay giá đỡ nào khác:
(1) Chiều dầy quy định của tấm đáy không có lỗ khoét phải được tính theo công thức sau:
(a) Tấm đáy hình đĩa hoặc hình bán cầu:

Trong đó:
cho tấm đáy hình lòng đĩa
W = 1 cho tấm đáy hình bán cầu.
R1: Bán kính trong chỏm cầu, R1 phải nhỏ hơn đường kính ngoài của phần viền mặt đáy
r: Bán kính trong của chỗ nối, r không được nhỏ hơn 6% của đường kính ngoài của phần viền của tấm đáy hoặc 3 lần chiều dầy thực của tấm đáy, lấy trị số nào lớn hơn.
(b) Các tấm đáy hình nửa elíp (khi nửa trục ngắn trong của tấm đáy không nhỏ hơn 1/4 trục dài trong của tấm đáy)

(2) Chiều dầy quy định của tấm đáy có lỗ khoét phải phù hợp với những yêu cầu ở (a), (b) hoặc (c) dưới đây:
(a) Khi không gia cường cho lỗ khoét theo các yêu cầu ở 10.6.2 hoặc lỗ khoét được gia cường theo yêu cầu trong 9.6.3-3 và -4 thì chiều dầy quy định phải được tính theo công thức trong (1).
(b) Khi tấm đáy có cửa hay lỗ quan sát có gờ với đường kính lớn nhất vượt quá 150 mm và gờ gia cường phù hợp với yêu cầu trong 9.6.3-7 thì chiều dầy phải được tính như sau:
(i) Tấm đáy hình lòng đĩa hoặc hình bán cầu
Chiều dầy phải được tăng thêm không dưới 15% (nếu trị số được tính toán nhỏ hơn 3 mm thì được lấy bằng 3 mm) chiều dầy quy định tính theo công thức ghi trong (1)(a). Trường hợp khi bán kính chỏm cầu trong của tấm đáy nhỏ hơn 0,8 lần đường kính trong của vỏ thì trị số của bán kính chỏm cầu trong công thức phải lấy bằng 0,8 lần đường kính trong của vỏ.
Khi tính chiều dầy của tấm đáy có hai cửa theo (i), khoảng cách giữa hai cửa không được nhỏ hơn 1/4 đường kính ngoài của tấm đáy.
(ii) Tấm đáy hình nửa elíp
Phải áp dụng các yêu cầu trong (1)(a), tuy nhiên khi đó R1 phải bằng 0,8 lần đường kính trong của vỏ và W bằng 1,77.
(c) Khi các lỗ khoét không được gia cường theo các quy định ở (a) hoặc (b), thì chiều dầy quy định phải được tính theo công thức sau. Tuy nhiên, chiều dày không được nhỏ hơn trị số tính được từ công thức ở (1)

Trong đó:
D0: Đường kính ngoài của tấm đáy (mm),
K: Được chỉ ra trên Hình 3/9.6. Tuy vậy, điều này thích hợp cho tấm đáy tuân theo các điều kiện sau:
Tấm đáy hình bán cầu: 0,003D0 ≤ Te ≤ 0,16D0
Tấm đáy hình nửa elíp: 0,003D0 ≤ Te ≤ 0,08D0, H ≥ 0,18D0
Tấm đáy hình lòng đĩa: 0,003D0 ≤ Te ≤ 0,08D0
r ≥ 0,1D0
r ≥ 3Te
R1 ≤ D0
H ≥ 0,18D0
hoặc 0,01 D0 ≤ Te ≤ 0,03D0
r ≥ 0,06D0
H = 0,18D0
hoặc 0,02D0 ≤ Te ≤ 0,03D0
r ≥ 0,06D0
0,18D0 ≤ H ≤ 0,22D0
Te: Chiều dầy thực của tấm đáy (mm),
H: Chiều cao tấm đáy tính từ mặt ngoài tới mặt nối phần đĩa với phần hình trụ (mm)
R1 và r: Như đã được quy định ở (1)(a).
5 Chiều dầy quy định của tấm đáy được tạo hình chịu áp suất trên mặt lồi
Chiều dầy quy định của tấm đáy được tạo hình chịu áp suất trên mặt lồi không được nhỏ hơn chiều dầy khi tính toán với giả thiết rằng phía lõm của chúng chịu áp suất ít nhất là 1,67 lần áp suất thiết kế.
6 Chiều dầy quy định của tấm đáy và nắp phẳng không có thanh giằng hoặc giá đỡ:
(1) Khi tấm đáy và tấm nắp phẳng không có thanh giằng hoặc giá đỡ được hàn vào tấm vỏ thì chiều dầy quy định phải được tính theo công thức sau:

Trong đó:
C1: Hằng số cho trong Hình 3/9.9

d: Đường kính được cho trong Hình 3/9.9 (cho tấm đáy tròn), hoặc chiều ngắn nhất (cho tấm đáy không tròn) (mm)
D’: Chiều dài của tấm đáy hoặc nắp không tròn được đo thẳng góc với chiều ngắn (mm)
(2) Khi tấm nắp phẳng không có thanh giằng được bắt bu lông vào tấm vỏ thì chiều dầy quy định phải được tính theo công thức sau:
(a) Khi dùng tấm đệm trên toàn mặt
-
Trong đó:
C3: Hằng số được xác định bởi phương pháp bắt bu lông cho trong Hình 3/9.10
C4 = 3,4 - 2,4d/D’ nhưng không cần quá 2,5
d: Đường kính được cho trong Hình 3/9.10 (cho tấm tròn) hoặc chiều ngắn nhất (cho tấm không tròn) (mm)
D’: Chiều dài của tấm đáy hoặc nắp không tròn được đo thẳng góc với chiều ngắn (mm)
W: Trị số trung bình (N) của các tải trọng bu lông cần để làm kín và tải trọng cho phép cho bu lông được dùng thực tế
L: Tổng chiều dài của vòng tròn qua các tâm bu lông (mm)
hg: Cánh tay đòn mô men của phản lực từ tấm đệm cho trong Hình 3/9.10 (mm)
7 Thiết bị sinh hơi bằng hơi nước
Đối với thiết bị sinh hơi bằng hơi nước, thì các tấm đáy phẳng có thanh giằng hoặc giá đỡ khác và kích thước của các thanh giằng phải thỏa mãn các yêu cầu quy định ở 9.5.7, 9.5.13 và 9.5.14.
10.5.3 Chiều dầy quy định của mặt sàng của thiết bị trao đổi nhiệt
1 Chiều dầy các mặt sàng của thiết bị trao đổi nhiệt không có thanh giằng hoặc giá đỡ phải tuân theo những yêu cầu sau:
(1) Không kể đầu tự lựa, chiều dầy quy định của mặt sàng phẳng không có ống giằng của thiết bị trao đổi nhiệt và thiết bị tương tự phải bằng trị số lớn nhất trong các trị số được tính theo các công thức dưới đây:

Trong đó:
fb: Ứng suất uốn cho phép của vật liệu (N/mm2)
t: Ứng suất cắt cho phép của vật liệu (N/mm2)
C5: Thửa số được xác định bởi phương pháp đỡ ống và mặt sàng. Khi mặt sàng không liền với vỏ, nếu ống thẳng thì trị số được lấy là 1, nếu ống hình chữ U thì trị số được lấy bằng 1,25. Khi mặt sàng liền với vỏ trị số này được lấy theo Hình 3/10.1
D: Đường kính vòng tròn ngoài của mặt sàng đáy (mm) khi nó được bắt bu lông vào mặt bích, D là đường kính của vòng tròn đi qua các vị trí mà phản lực của đệm tác dụng vào, khi mặt sàng được cố định vào vỏ thì D là đường kính trong của vỏ (lượng dư ăn mòn phải được khấu trừ đi)
A: Diện tích đa giác được tạo thành khi nối tâm các lỗ ống ngoài cùng (xem Hình 3/10.2) (mm2)
L: Chiều dài - bằng chu vi ngoài của đa giác nói trên trừ đi tổng các đường kính các lỗ ống ở ngoài cùng (mm)
a: Lượng ăn mòn cho phép (mm). Trong trường hợp nếu bố trí rãnh xoi cho tấm ngăn hoặc rãnh xoi cho vòng đệm kín thì chiều sâu lớn hơn lượng dư ăn mòn quy định ở 10.4.3 thì a được lấy bằng chiều sâu của rãnh xoi này.

T = Chiều dày thực của tấm vỏ (mm)
Hình 3/10.1 Trị số C5

Hình 3/10.2 Cách xác định đa giác để tính toán mặt sàng ống
(2) Khi tính Tr trong (1) phải tính theo cả 2 công thức với việc sử dụng P, C5 và D. Tuy nhiên khi tính với các áp suất khác nhau Đăng kiểm sẽ xem xét từng trường hợp một.
10.5.4 Chiều dầy quy định của ống của thiết bị trao đổi nhiệt
1 Vật liệu ống của thiết bị trao đổi nhiệt phải phù hợp với công dụng và chiều dầy quy định phải được tính theo công thức sau:

Trong đó:
D0: Đường kính ngoài của ống (mm)
a: 1,5 mm cho ống thép, 0,1T cho ống đồng hay hợp kim đồng
T: Chiều dầy thực của ống (mm)
f: Được cho trong 10.4.1 hay Bảng 3/10.3.
2 Phải lưu ý đầy đủ đến sự giảm độ dầy khi uốn đối với ống hình chữ U của thiết bị trao đổi nhiệt.
Bảng 3/10.3 Giá trị ứng suất cho phép của các ống bằng đồng và hợp kim đồng

Chú thích: Các giá trị trung gian được xác định bằng nội suy.
10.5.5 Độ bền của các bình chịu áp lực bên ngoài
Khi áp suất bên trong của bình chịu áp lực thấp hơn áp suất bên ngoài phải tính độ bền theo uốn dọc.
10.5.6 Tính toán mỏi
Đối với các bình áp lực chịu tải trọng động hoặc xuất hiện tải trọng ngoài quá lớn có chu kì thì phải tính mỏi. Mức độ tích lũy mỏi trong trường hợp này phải phù hợp với công thức sau đây. Tuy nhiên giá trị trong vế phải của công thức có thể được tăng đến giá trị được Đăng kiểm chấp nhận theo đường cong S-N được dùng trong tính toán nhưng không vượt quá 1,0.

Trong đó:
ni: Số chu kì ở mỗi mức ứng suất
Ni: Số chu kì tính tới khi nứt đối với mỗi mức ứng suất tương ứng được chỉ bằng đường cong S-N của vật liệu sử dụng.
10.5.7 Xem xét ứng suất phụ
Khi Đăng kiểm cho là cần thiết, phải xem xét độ bền phòng ứng suất phụ.
10.5.8 Xem xét ứng suất nhiệt
Đối với các bình chịu áp lực có thể phải chịu ứng suất nhiệt quá mức hoặc chứa chất lỏng có nhiệt độ sôi thấp hơn -55 oC, thì buộc phải xem xét sức bền phòng ứng suất nhiệt.
10.5.9 Tính độ bền theo phương pháp đặc biệt
Nếu bản tính độ bền chi tiết được trình duyệt, ngay cả khi kích thước của các bộ phận bình chịu áp lực không phù hợp với các quy định ở 10.5, Đăng kiểm sẽ kiểm tra các số liệu và sẽ chấp thuận bình chịu áp lực này với điều kiện kết quả kiểm tra đó được Đăng kiểm chấp nhận.
10.6 Các cửa người chui, các lỗ lắp họng để nối phụ tùng, v.v... và việc gia cường chúng
10.6.1 Các cửa người chui, cửa làm vệ sinh và cửa kiểm tra
1 Bình chịu áp lực phải có cửa chui, cửa làm vệ sinh và cửa kiểm tra ở vỏ bình hoặc tấm đáy để kiểm tra và bảo dưỡng phù hợp với Bảng 3/10.4. Tuy nhiên, khi được Đăng kiểm đồng ý, có thể giảm số lượng và kích thước của các lỗ khoét.
Bảng 3/10.4 Số lượng cửa chui, lỗ làm vệ sinh và lỗ kiểm tra
|
| Số cửa chui, lỗ làm vệ sinh và lỗ kiểm tra | |
| Đường kính trong của vỏ | Bình có dung tích trong không quá 100 lít và chiều dài trong không quá 1,5 m | Các bình khác |
| 300 mm hoặc nhỏ hơn |
| Hai lỗ kiểm tra trở lên |
| Lớn hơn 300 tới 500 mm | Một lỗ kiểm tra trở lên | Hai lỗ làm vệ sinh trở lên, hoặc một lỗ làm vệ sinh trở lên và lỗ kiểm tra |
| Lớn hơn 500 mm tới 750 mm | - | Một cửa chui trở lên, hoặc hai lỗ làm vệ sinh trở lên, hoặc một lỗ làm vệ sinh trở lên (chú thích 1) và lỗ kiểm tra |
| Lớn hơn 750 mm |
| Một cửa chui hoặc nhiều hơn (chú thích 2) |
Chú thích:
1 Kích thước lỗ làm vệ sinh nói chung phải phù hợp với các trị số dùng cho lỗ làm vệ sinh đối với vỏ có đường kính trong lớn hơn 750 mm được cho trong Bảng 3/10.5.
2 Bình chịu áp lực cũng như thiết bị trao đổi nhiệt v.v... mà không cần phải có cửa chui vì hình dạng, công dụng v.v... có thể có hai lỗ làm vệ sinh trở lên thay cho cửa chui.
Bảng 3/10.5 Kích thước của lỗ
| Loại lỗ | Đường kính trong của vỏ | Đường kính của lỗ |
| Cửa chui | Cho tất cả các cỡ | Ô van: 400 mm x 300 mm Tròn: 400 mm |
| Lỗ làm vệ sinh | Lớn hơn 750 mm | Ô van: 150 mm x 100 mm Tròn: 150 mm |
| 750 mm trở xuống | Ô van: 100 mm x 75 mm Tròn: 100 mm | |
| Lỗ kiểm tra | Cho tất cả các cỡ | 50 mm |
2 Kích thước tiêu chuẩn của các cửa nói trên được cho ở Bảng 3/10.5.
3 Kết cấu của các lỗ và nắp phải phù hợp với các quy định ở 9.6.1-2.
10.6.2 Gia cường lỗ khoét
1 Khi trên vỏ có cửa, lỗ khoét cho các họng lắp phụ tùng ... thì chúng phải được gia cường. Tuy nhiên, trong trường hợp chỉ có một lỗ như sau đây, có thể không gia cường:
(1) Lỗ có đường kính tối đa không quá 60 mm (nếu lỗ được ren, thì đó là đường kính chân ren) nhưng không lớn hơn 1/4 đường kính trong của vỏ hay mặt bích của tấm đáy
(2) Lỗ trên tấm vỏ có đường kính lớn nhất không vượt quá các trị số được quy định trên Hình 3/9.7. Trong trường hợp này lỗ không gia cường không được vượt quá 200 mm
(3) Lỗ trên tấm đáy phù hợp với các yêu cầu trong 10.5.2-4(2)(c) là lỗ không yêu cầu phải gia cường do chiều dầy của tấm đáy đã được tăng lên.
10.6.3 Phương pháp gia cường lỗ khoét
1 Phương pháp gia cường đối với các lỗ trên tấm vỏ hoặc tấm đáy chịu áp suất bên trong phải tuân theo các yêu cầu ở 9.6.3. Tuy nhiên gia cường các lỗ sau đây sẽ được Đăng kiểm xem xét cho từng trường hợp.
(1) Lỗ khoét trên tấm vỏ và có đường kính không nhỏ hơn 1/2 đường kính trong của vỏ
(2) Lỗ khoét có khoảng cách từ mép ngoài của lỗ tới mặt ngoài của vỏ bằng 1/10 đường kính ngoài của vỏ
(3) Tổ hợp lỗ mà khoảng cách giữa trục của chúng quá gần.
10.7 Nối ghép các bộ phận
10.7.1 Mối nối hàn
1 Việc chuẩn bị kích thước và hình dạng của mép mối hàn cũng như cách tạo độ vát các tấm có độ dầy khác nhau phải tuân theo các yêu cầu trong 9.8.1-1 và -2.
2 Mối nối hàn của vỏ bình chịu áp lực thuộc nhóm I phải tuân theo các yêu cầu sau:
(1) Mối nối theo chiều dọc: phải là mối nối giáp mép hàn hai phía hoặc mối nối hàn giáp mép được Đăng kiểm coi là tương đương.
(2) Mối nối theo đường tròn: phải phù hợp với (1). Tuy nhiên, nếu được Đăng kiểm đồng ý mối nối giáp mép hàn hai phía có thể thay bằng mối hàn giáp mép một phía với tấm đệm hoặc mối hàn giáp mép khác được Đăng kiểm coi là tương đương.
3 Mối nối hàn vỏ các bình chịu áp lực thuộc nhóm II phải phù hợp với các yêu cầu sau đây:
(1) Mối nối theo chiều dọc
Phải phù hợp với -2(1)
(2) Mối nối theo vòng tròn
Phải phù hợp với (1) hoặc mối nối giáp mép hàn một phía có tấm đệm hoặc mối hàn giáp mép khác được Đăng kiểm coi là tương đương. Tuy nhiên, đối với tấm có độ dầy không quá 16 mm thì mối nối giáp mép hàn một phía có thể được chấp thuận.
4 Mối hàn của vỏ bình chịu áp lực thuộc nhóm III phải thỏa mãn những yêu cầu sau:
(1) Mối nối theo chiều dọc
(a) Đối với các tấm dầy hơn 9 mm phải phù hợp với -3(1) hoặc là mối hàn giáp mép một phía có tấm đệm hoặc là mối hàn giáp mép khác được Đăng kiểm coi là tương đương
(b) Đối với tấm dầy không quá 9 mm phải phù hợp với (a) hoặc là mối hàn chồng hai phía đầy góc
(c) Đối với tấm dầy không quá 6 mm phải phù hợp với (b) hoặc là mối hàn giáp mép một phía
(2) Mối nối theo vòng tròn phải phù hợp với (1)(c) hoặc là mối nối hàn liên tục ghép chồng một phía
10.7.2 Hình dạng mối hàn và mối nối
Hình dạng mối hàn và mối nối phải như được chỉ ra trên Hình 3/9.9 hoặc được Đăng kiểm coi là tương đương.
10.7.3 Kết cấu của tấm nắp bắt bu lông
Kết cấu của tấm nắp phẳng không thanh giằng bắt bu lông vào vỏ phải phù hợp với các yêu cầu trong 9.8.3.
10.8. Phụ tùng
10.8.1 Vật liệu của phụ tùng
Vật liệu làm các họng lắp phụ tùng, mặt bích hay ống nối bắt trực tiếp vào vỏ bình chịu áp lực thuộc nhóm I hoặc nhóm II phải tương đương với vật liệu làm vỏ bình. Tuy nhiên yêu cầu này có thể được miễn đối với mặt bích được bắt bu lông hoặc khi được Đăng kiểm chấp thuận.
10.8.2 Kết cấu của phụ tùng
1 Các phụ tùng như van, mặt bích, bu lông, đai ốc, đệm kín v.v... phải có kết cấu, kích thước phù hợp với các tiêu chuẩn được công nhận và chúng phải thích hợp với điều kiện làm việc được chỉ ra trong tiêu chuẩn.
2 Các phụ tùng phải được bắt vào vỏ bình chịu áp lực thuộc nhóm I và nhóm II nhờ nối bích hay hàn. Khi vỏ dầy hơn 12 mm hoặc khi đế của phụ tùng lắp vào vỏ bằng ren thì phụ tùng có đường kính danh nghĩa không quá 32 mm có thể được bắt vào vỏ bằng ren.
10.8.3 Lắp đặt các thiết bị an toàn
1 Các bình chịu áp lực mà áp suất bên trong bình có thể vượt quá áp suất thiết kế ở trạng thái làm việc phải có van an toàn, van này phải được đặt ở áp suất không lớn hơn áp suất thiết kế và có khả năng tránh được áp suất vượt quá 10% áp suất thiết kế.
2 Khi có thể xảy ra nguy hiểm do bình chịu áp lực tiếp xúc với lửa hoặc nguồn nhiệt bất thường bên ngoài khác phải có thiết bị an toàn để tránh cho áp suất vượt quá 1,2 lần áp suất thiết kế. Nhưng nếu bình chứa không khí có nút có điểm nóng chảy ở nhiệt độ không quá 150 oC để có thể tự động giảm áp suất bên trong trong trường hợp gặp lửa thì có thể không cần lắp thiết bị an toàn.
3 Các thiết bị trao đổi nhiệt hoặc các bình chịu áp lực tương tự khác khi áp suất bên trong có thể vượt quá áp suất thiết kế do hỏng ống trao đổi nhiệt, mặt sàng, tấm vách và các bộ phận bên trong khác thì phải có van an toàn thích hợp.
4 Các thiết bị sinh hơi nước thuộc nhóm I phải có các van an toàn được quy định ở 9.9.3.
5 Không được đặt van chặn giữa bình chịu áp lực với van an toàn hoặc thiết bị xả áp khác trừ trường hợp có các biện pháp nào đó không làm giảm chức năng của các thiết bị xả áp khi sử dụng bình chịu áp lực.
6 Có thể đặt một đĩa bảo hiểm giữa bình chịu áp lực và van an toàn hoặc trên đường xả của van an toàn. Khi đó áp suất nổ của đĩa bảo hiểm không được quá áp suất được đặt cho van an toàn. Ngoài ra sản lượng xả của đĩa bảo hiểm không được ít hơn sản lượng xả của van an toàn.
10.8.4 Thiết bị đo áp suất và nhiệt độ
Phải có thiết bị đo áp suất và nhiệt độ trên bình chịu áp lực khi thấy cần thiết.
10.8.5 Các phụ tùng của bình chứa không khí
1 Các thiết bị xả áp cho các bình chứa không khí phải phù hợp với các yêu cầu trong 10.8.3.
2 Các bình chứa không khí phải có hệ thống xả nước có hiệu quả.
3 Bình chứa không khí phải có các thiết bị đo áp suất.
10.9 Thử nghiệm
10.9.1 Thử tại xưởng
1 Thử mối hàn phải phù hợp với các yêu cầu trong Chương 11 của Phần này.
2 Sau khi chế tạo xong bình chịu áp lực và phụ tùng của nó phải thử thủy lực theo các yêu cầu sau:
(1) Vỏ của bình chịu áp lực
(a) Bình chịu áp lực thuộc nhóm I và nhóm II phải được thử thủy lực ở áp suất bằng 1,5 lần áp suất thiết kế. Nhưng khi ứng suất màng chung chính của vỏ vượt quá 90% giới hạn chảy danh nghĩa của vật liệu do thử nghiệm này thì áp suất thử phải được hạ xuống sao cho ứng suất vào khoảng 90% giới hạn chảy danh nghĩa của vật liệu.
(b) Bình chịu áp lực thuộc nhóm III phải được thử thủy lực theo các yêu cầu trong điểm (a) nói trên khi Đăng kiểm cho là cần thiết.
(2) Phụ tùng của bình chịu áp lực
Phụ tùng của bình chịu áp lực thuộc nhóm I và nhóm II phải được thử thủy lực ở áp suất bằng 2 lần áp suất thiết kế.
(3) Thử thủy lực cho các thiết bị trao đổi nhiệt không thuộc (1) và (2) và các bình chịu áp lực đặc biệt khác cũng như các phụ tùng của chúng sẽ được Đăng kiểm xem xét trong từng trường hợp.
CHƯƠNG 11 HÀN HỆ THỐNG MÁY TÀU
11.1 Quy định chung
11.1.1 Phạm vi áp dụng
1 Việc hàn hệ thống máy tàu phải thỏa mãn các yêu cầu trong Chương này.
2 Với các vấn đề không đề cập ở Chương này, phải thỏa mãn các yêu cầu ở Phần 6 của Quy phạm này.
11.1.2 Kim loại cơ sở
1 Kim loại cơ sở dùng trong công việc hàn phải là loại thích hợp cho việc hàn. Hàm lượng các bon không được vượt quá 0,23% đối với thép các bon và thép đúc, thép rèn hợp kim thấp; hoặc không quá 0,35% với thép các bon và thép hợp kim thấp khác. Khi được Đăng kiểm chấp thuận xét đến điều kiện hàn, thì hàm lượng các bon có thể tăng tới trị số được duyệt.
2 Giới hạn trên của đương lượng các bon của thép có độ bền cao phải được Đăng kiểm chấp thuận.
11.2 Thử chất lượng quy trình hàn
11.2.1 Yêu cầu về thử nghiệm
1 Các nhà sản xuất phải tiến hành thử chất lượng quy trình hàn như sau nếu tiến hành lần đầu công việc hàn.
(1) Hàn nồi hơi và bình chịu áp lực thuộc nhóm I và II
(2) Hàn các bộ phận chính của các động cơ dẫn động, v.v...
(Các bộ phận chính được nêu ở Bảng 3/2.1, 3.2.1-1, 4.2.1-1 và 5.2.1-1, sau đây được gọi tương tự)
(3) Hàn dùng vật liệu đặc biệt
(4) Hàn dùng quy trình hàn riêng.
2 Trong trường hợp quy trình hàn được chấp thuận thử nghiệm để duyệt như nêu ở -1 định sửa đổi từng phần, trừ thay đổi nhỏ và điều kiện hàn, thì phải tiến hành thử chất lượng quy trình hàn.
3 Nhà sản xuất phải trình các tài liệu chi tiết liên quan với công việc hàn để Đăng kiểm duyệt khi họ tiến hành thử chất lượng quy trình hàn.
11.2.2 Các loại thử
1 Các loại thử được quy định như sau:
(1) Thử cơ khí.
(a) Hàn giáp mép
Thử kéo cho mối nối, thử uốn định hướng và thử độ dai va đập (phần giữa của kim loại mối hàn, ranh giới giũa kim loại cơ sở và kim loại mối hàn và vùng ảnh hưởng nhiệt).
(b) Hàn góc
Thử gãy.
(2) Kiểm tra bằng mắt và thử độ cứng.
(3) Kiểm tra bằng mắt thường và kiểm tra tế vi (phần giữa kim loại mối hàn, ranh giới giữa kim loại cơ sở và kim loại mối hàn và vùng ảnh hưởng nhiệt).
(4) Kiểm tra bằng tia phóng xạ.
2 Trong trường hợp hàn với kim loại cơ sở không yêu cầu có giá trị độ dai va đập thì có thể bỏ qua thử độ dai va đập nếu được Đăng kiểm chấp thuận.
3 Trong hàn góc, có thể bỏ qua kiểm tra tế vi và kiểm tra bằng tia phóng xạ.
4 Đối với sự thử chất lượng quy trình hàn cho vật liệu dùng ở nhiệt độ cao, Đăng kiểm có thể yêu cầu thử rão hoặc thử kéo ở nhiệt độ cao.
5 Trong trường hợp dùng vật liệu đặc biệt hoặc dùng quy trình hàn đặc biệt thì Đăng kiểm có thể yêu cầu các thử nghiệm khác phù hợp với các yêu cầu riêng của vật liệu đặc biệt hoặc quy trình hàn đặc biệt này.
11.2.3 Hàn vật thử
1 Hình dạng và các kích thước của vật thử phải như chỉ dẫn trên Hình 3/11.1.
2 Vật thử phải có cùng vật liệu hoặc tương đương với vật liệu dùng trong công việc hàn thực.
3 Trong trường hợp vật thử là tấm thép cán dùng ở nhiệt độ thấp được hàn giáp mép, hướng hàn nói chung phải song song với hướng cán của tấm.
4 Nói chung chiều dày của vật thử đối với thử chất lượng quy trình hàn phải là chiều dày lớn nhất trong loạt vật liệu được dùng trong công việc hàn thực.
5 Việc hàn vật thử phải được tiến hành ở điều kiện giống hoặc tương tự điều kiện dùng trong công việc thực.

Hình 3/11.1 Mẫu thử chất lượng quy trình hàn
11.2.4 Mẫu thử và quy trình thử
Hình dạng và kích thước của các mẫu thử và quy trình thử phải thỏa mãn các yêu cầu ở Chương 3, Phần 6 của Quy phạm này. Tuy nhiên, có thể áp dụng các yêu cầu của các tiêu chuẩn thích hợp khác đã được Đăng kiểm công nhận.
11.2.5 Thử nghiệm lại
1 Khi một phần thử nghiệm không đáp ứng được các yêu cầu, thì việc thử lại có thể được tiến hành trên bộ mẫu thử chọn ra từ các mẫu thử tương tự mẫu thử không đạt yêu cầu, và nếu tất cả các thử nghiệm thêm này thỏa mãn yêu cầu, thì thử nghiệm được công nhận là đạt. Tuy nhiên đối với thử độ dai va đập cho các két hàng trên tàu chở xô khí hóa lỏng thì việc thử lại có thể tiến hành theo các yêu cầu ở 4.2.10-3, Phần 6 của Quy phạm này.
2 Các mẫu thử để thử lại phải được lấy từ chính vật thử của lần thử dầu hoặc vật thử mới được hàn ở cùng điều kiện hàn như của vật thử lần đầu.
3 Nếu khi thử lại cũng không đạt yêu cầu, có thể tiến hành thử nghiệm lại lần nữa sau khi thay đổi lại điều kiện hàn. Trong trường hợp này, nếu toàn bộ thử nghiệm quy định đối với vật thử được tiến hành và thỏa mãn các yêu cầu, thì các thử nghiệm được công nhận là đạt.
11.2.6 Biên bản thử nghiệm
Các kết quả thử nghiệm phải được tóm tắt lại thành biên bản thử nghiệm và phải trình cho Đăng kiểm.
11.2.7 Miễn thử nghiệm
Trong trường hợp đã có biên bản thử nghiệm được Đăng kiểm chấp thuận và các kết quả thử được xem là thỏa mãn yêu cầu, thì một phần hoặc toàn bộ việc thử nghiệm có thể được miễn.
11.3 Xử lí nhiệt sau hàn
11.3.1 Quy trình xử lí nhiệt sau hàn
1 Quy trình khử ứng suất nhờ xử lí nhiệt sau hàn cho các mối hàn dùng thép các bon, thép các bon - mangan và thép hợp kim thấp làm kim loại cơ sở phải như sau:
(1) Phương pháp nung nóng bằng lò
(a) Nhiệt độ lò phải nhỏ hơn 400 oC lúc đối tượng được đưa vào hoặc đưa ra khỏi lò.
(b) Tốc độ nung nóng và làm nguội trên 400 oC phải như sau:
(i) Tốc độ nung nóng không lớn hơn 220 x 25/t (oC/h) nhưng trong mọi trường hợp không được lớn hơn 220 (oC/h)
(ii) Tốc độ làm nguội không lớn hơn 275 x 25/t (oC/h) nhưng trong mọi trường hợp không được lớn hơn 275 (oC/h)
Trong đó: t là chiều dày mối hàn lớn nhất.
(c) Phải duy trì nhiệt độ như cho trong Bảng 3/11.1 và sau khi giữ nhiệt độ trong khoảng 1 giờ cho chiều dày bằng hoặc lớn hơn 25 mm rồi được làm nguội chậm. Khi được Đăng kiểm chấp thuận, có thể giảm đến nhiệt độ cho trong Bảng 3/11.2.
(d) Trong khoảng thời gian nung nóng và làm nguội không được có sự thay đổi nhiệt độ hơn 130 oC trên suốt phần được nung nóng trong phạm vi bất kỳ khoảng chiều dài 4500 mm nào. Trong các giai đoạn giữ nhiệt không được có độ chênh lệch lớn hơn 80 oC giữa nhiệt độ cao nhất và thấp nhất của mỗi phần được nung nóng.
(e) Nhiệt độ nung nóng lớn nhất tại mỗi phần của vật thể không được vượt quá nhiệt độ thấp hơn khoảng 20 oC so với nhiệt độ cuối của quá trình xử lí nhiệt đối với vật liệu cơ sở.
(2) Phương pháp nung nóng cục bộ.
(a) Trong xử lý sau nung nóng, độ chênh nhiệt độ giữa vùng nung và không nung nóng phải được thay đổi từ từ để không gây hậu quả có hại cho vật liệu.
(b) Vùng nung nóng phải lớn hơn một diện tích với chiều dài bằng hoặc lớn hơn 6 lần chiều dày tấm khi đo từ tâm mối hàn tương ứng về mỗi phía. Trong mối ghép tròn, diện tích nung nóng có thể bằng 3 lần chiều dày tấm (bằng hai lần trong trường hợp ống) trên phía ngoài của đường hàn có chiều rộng lớn nhất.
(c) Tốc độ nung nóng và làm nguội ở nhiệt độ từ 400 oC trở lên phải thỏa mãn các yêu cầu ở (1)(b).
(d) Nhiệt độ và thời gian duy trì trong quá trình xử lí nhiệt sau hàn phải thỏa mãn các yêu cầu ở (1)(c). Suốt thời gian duy trì hoặc các giai đoạn nung nóng và làm nguội toàn bộ diện tích phải được nâng lên đến nhiệt độ yêu cầu càng đồng đều càng tốt.
2 Đối với quy trình xử lí nhiệt sau hàn của vật liệu khác với vật liệu nêu ở -1, các yêu cầu sẽ được Đăng kiểm xét riêng theo loại kim loại cơ sở, vật liệu hàn và quy trình hàn.
3 Xử lí nhiệt sau hàn của thép hợp kim thấp, thép hợp kim và các loại thép đặc biệt khác phải được tiến hành với sự xem xét riêng để tránh giảm quá độ dai va đập của vật liệu và tránh nứt vỡ tăng do xử lí nhiệt.
Bảng 3/11.1 Nhiệt độ xử lí nhiệt sau hàn
| Loại | Loại thép | Nhiệt độ duy trì nhỏ nhất oC |
| 1 | Thép các bon Thép các bon - man gan Thép 0,5 Mo Thép 0,5 Cr 0,5 Mo Thép 1 Cr 0,5 Mo Thép 5/4 Cr 0,5 Mo | 600 |
| 2 | Thép 9/4 Cr 1 Mo Thép 5 Cr 0,5 Mo | 680 |
Bảng 3/11.2 Sự giảm nhiệt độ với thời gian duy trì (2)(3)
| Nhiệt độ duy trì nhỏ nhất oC | Thời gian duy trì nhỏ nhất (giờ) |
| T - 30 T - 60 T - 90 (1) | 2 3 5 |
Chú thích:
(1) Chỉ có thể áp dụng cho thép cácbon và thép cácbon + mangan.
(2) Giá trị trung gian có được nhờ nội suy
(3) T là nhiệt độ duy trì nhỏ nhất trong Bảng 3/11.1.
11.3.2 Đo và ghi nhiệt độ trong thời gian xử lí nhiệt sau hàn
1 Nói chung, việc đo nhiệt độ phải được tiến hành bằng đo tự động nhờ cặp nhiệt. Tuy nhiên, trong trường hợp nhiệt độ của mỗi phần của đối tượng được nung nóng có thể dễ dàng biết được dựa trên nhiệt độ lò, thì nhiệt độ lò này có thể dùng thay cho nhiệt độ của đối tượng được nung. Khi tiến hành xử lí nhiệt sau hàn, phải ghi lại các mục sau:
(1) Kiểu, loại của lò hoặc thiết bị nung
(2) Nhiệt độ và thời gian duy trì
(3) Tốc độ nung nóng và làm nguội
(4) Các mục cần thiết khác
11.4 Hàn nồi hơi
11.4.1 Quy định chung
Khi các phần chịu áp lực của nồi hơi được chế tạo bằng hàn, việc hàn phải được tiến hành thỏa mãn các yêu cầu ở 11.4 của Chương này.
11.4.2 Độ thẳng của mối nối và độ méo
1 Đối với độ thẳng của mối hàn giáp mép, độ dịch ngang lớn nhất phải không được vượt quá giới hạn sau:
(1) Đối với mối nối dọc:
1 mm với các tấm có chiều dày từ 20 mm trở xuống;
5% chiều dày tấm với các tấm dày trên 20 mm nhưng nhỏ hơn 60 mm;
3 mm với các tấm dày từ 60 mm trở lên.
(2) Đối với mối nối vòng tròn:
1,5 mm với các tấm dày từ 15 mm trở xuống;
10% chiều dày tấm với tấm dày hơn 15 mm nhưng nhỏ hơn 60 mm;
6 mm với các tấm dày từ 60 mm trở lên.
2 Hiệu số giữa đường kính trong lớn nhất và nhỏ nhất (độ méo) tại bất cứ tiết diện ngang nào cũng không được vượt quá 1% đường kính trong danh nghĩa của tiết diện ngang được xét.
11.4.3 Xử lí nhiệt sau hàn
1 Mỗi nồi hơi gồm cả các giá đỡ và phụ tùng sau khi hoàn thành tất cả công việc hàn phải được xử lí nhiệt để khử ứng suất. Tuy nhiên có thể miễn xử lí nhiệt sau hàn đối với các phần sau đây nếu được Đăng kiểm đồng ý khi có xét đến quy trình hàn, nung nóng sơ bộ và điều kiện xử lý nhiệt sau hàn trong trường hợp chiều dày phần hàn nhỏ hơn 19 mm đối với thép cácbon hoặc nhỏ hơn 13 mm đối với thép hợp kim:
(1) Mối hàn giữa các ống, giữa ống và bích, giữa ống và bầu góp
(2) Mối nối vòng tròn của bầu góp
(3) Các phần hàn được Đăng kiểm chấp nhận riêng
2 Trong trường hợp hàn góc không quan trọng được tiến hành với các điều (1) và (2) dưới đây trên các nồi hơi phải qua xử lí nhiệt sau hàn thì không cần phải xử lí nhiệt sau khi kết thúc các công việc hàn này:
(1) Hàn làm kín
(2) Hàn ngắt quãng để gắn phụ tùng với điều kiện chiều dày tính toán của mối hàn không vượt quá 6 mm và chiều dài mối hàn không quá 50 mm và khoảng cách giữa các mối hàn từ 50 mm trở lên.
11.4.4 Thử hàn sản phẩm
1 Với các mối hàn của thành nồi hơi, phải tiến hành thử hàn sản phẩm. Mối hàn tấm buồng lò có thể chỉ phải thử uốn định hướng, thử uốn có trục lăn hoặc thử bằng tia phóng xạ khi thử hàn sản phẩm.
2 Các tấm dùng thử tay nghề phải được lấy mẫu thỏa mãn các yêu cầu sau:
(1) Tấm thử phải được gắn vào mỗi thành theo đúng như nó được hàn liên tục đối với các mép của mối nối dọc.
(2) Tấm thử cho mối hàn vòng tròn của thành phải được chế tạo tách biệt ở điều kiện hàn giống như của mối hàn vòng tròn. Tuy nhiên không yêu cầu các tấm thử đối với các mối hàn vòng tròn trừ khi tấm thành không có mối nối dọc hoặc quy trình hàn dùng cho mối nối vòng tròn khác hẳn với mối nối dọc.
(3) Các tấm thử phải cùng một đặc điểm, loại và chiều dày như kim loại cơ sở (khi các tấm được hàn có chiều dày khác nhau, phải chọn các tấm thử là tấm có chiều dày mỏng hơn) và không bị vênh do hàn gây nên.
(4) Các tấm thử phải qua xử lí nhiệt sau hàn như việc hàn thực và không được nung nóng quá nhiệt độ nung và thời gian duy trì phải như trong hàn thực.
3 Thử cơ học các tấm thử phải tiến hành thử kéo và thử uốn định hướng cho các mối nối. Trong trường hợp này số lượng và kích thước các mẫu thử được cho trong Bảng 3/11.3.
Bảng 3/11.3 Số lượng và kích thước các mẫu thử
| Số lượng mẫu thử | Kích thước mẫu thử | |
| Thử kéo mối nối: 1 | Như chỉ dẫn ở Bảng 6/3.1, Phần 6 của Quy phạm này | |
| Thử uốn định hướng hoặc thử uốn có trục lăn | Thử uốn bề mặt và thử uốn chân đường hàn: 1 hoặc thử uốn cạnh: 1 | Như chỉ dẫn ở Bảng 6/3.2, Phần 6 của Quy phạm này |
| Thử ăn mòn sâu: 1 | - | |
Chú thích:
Với các tấm thử có chiều dày không lớn hơn 19 mm phải tiến hành thử uốn bề mặt và uốn chân đường hàn. Với các tấm có chiều dày lớn hơn 19 mm phải tiến hành thử uốn cạnh.
4 Phương pháp thử và kết quả đòi hỏi phải thỏa mãn các yêu cầu sau:
(1) Thử kéo mối nối
Độ bền kéo không được nhỏ hơn độ bền kéo nhỏ nhất quy định cho kim loại cơ sở. Tuy nhiên, nếu mẫu thử bị nứt ở kim loại cơ sở nhưng mẫu thử không có dấu hiệu khuyết tật ở mối hàn và độ bền kéo không nhỏ hơn 95% độ bền kéo nhỏ nhất quy định cho kim loại cơ sở, thì kết quả thử có thể được coi là đạt.
(2) Thử uốn định hướng hoặc thử uốn có trục lăn
Mẫu thử phải được đặt trên bộ gá uốn định hướng được Đăng kiểm chấp nhận, sao cho đường tâm của mối hàn trùng với tâm của bộ gá. Đối với thử uốn cạnh, mẫu thử được uốn với một trong hai cạnh bằng lực kéo; còn với thử uốn chân đường hàn được uốn với phía hẹp của mối hàn bằng lực kéo. Trong mọi trường hợp, mẫu thử phải được uốn trong bộ gá qua một góc 180o. Vết nứt hoặc mọi khuyết tật khác có chiều dài quá 3 mm không được xuất hiện trên bề mặt ngoài của mối hàn. Tuy nhiên mọi vết nứt ở các góc của mẫu thử có thể coi là không liên quan đến kết quả thử.
(3) Thử ăn mòn sâu
Phải không nhìn thấy các vết nứt, nóng chảy chưa đủ, hàn không ngấu hoặc mọi khuyết tật khác.
5 Trong trường hợp độ bền kéo không nhỏ hơn 90% của giá trị quy định trong các yêu cầu hoặc trong trường hợp thử uốn định hướng không đáp ứng yêu cầu do khuyết tật không phải là khuyết tật trong các phần được hàn, cho phép được thử lại. Trong trường hợp này, hai mẫu thử thêm có thể được lấy từ cùng tấm thử cho mỗi lần thử hỏng. Trong trường hợp thử lại, cả hai mẫu thử phải thỏa mãn các yêu cầu này.
11.4.5 Thử các mối nối dọc và mối nối vòng tròn bằng tia phóng xạ
1 Với thành nồi hơi (kể cả bầu góp) toàn bộ chiều dài của cả mối hàn dọc và mối nối vòng tròn đều phải được thử bằng tia phóng xạ.
2 Kỹ thuật chụp tia phóng xạ được dùng phải sao cho phát hiện được khuyết tật nhỏ bằng 2% chiều sâu mối hàn và dây kim loại chỉ báo độ nhạy của ảnh ứng với 2% chiều dày của kim loại cơ sở phải hiện rõ trên phim chụp.
3 Phải đánh dấu rõ vị trí tương đối của các mối hàn tới vị trí chụp hình trên mỗi phim chụp.
4 Phải ghi các mục sau vào trong báo cáo thử bằng tia phóng xạ:
(1) Chiều dày vật liệu (bằng phẳng hoặc được gia cường)
(2) Khoảng cách từ nguồn phát xạ tới bề mặt hàn
(3) Khoảng cách từ phim tới bề mặt hàn
(4) Loại chất chỉ thị ảnh được dùng.
5 Sự gia cường các mối hàn, khi tiến hành thử chụp bằng tia phóng xạ, phải được kết thúc từ từ để khẳng định việc kiểm tra không có nghi vấn. Trong trường hợp này, chiều cao gia cường phải thỏa mãn tiêu chuẩn sau:
(1) Mối hàn giáp mép hai phía:
Như được cho trong Bảng 3/11.4.
Bảng 3/11.4 Chiều cao gia cường cho phép
| Chiều dày của kim loại cơ sở (mm) | 12 trở xuống | Trên 12 nhưng không quá 25 | Quá 25 |
| Chiều cao gia cường cho phép (mm) | 1,5 | 2,5 | 3,0 |
(2) Mối hàn giáp mép một phía:
Bằng 1,5 mm trở xuống bất kể chiều dày tấm.
6 Các khuyết tật phát hiện trong thử chụp bằng tia phóng xạ phải được xử lý theo các yêu cầu sau:
(1) Nếu có khuyết tật như nứt, nóng chảy chưa đủ, chưa ngấu v.v... phần khuyết tật phải được phay đi để hàn lại.
(2) Những khuyết tật như rỗ khí và ngậm xỉ phải được sửa lại theo quy trình được Đăng kiểm duyệt khi xét đến hình dạng, kích thước và phân bố của khuyết tật.
7 Trong trường hợp có tiến hành sửa chữa trên mối hàn, phần sửa chữa của mối hàn phải qua thử chụp bằng tia phóng xạ lại lần nữa.
11.4.6 Thử không phá hủy cho các mối hàn khác
1 Đối với các mối hàn quan trọng khác với các mối hàn nêu ở 11.4.5 phải tiến hành thử không phá hủy khi được xem là thích hợp.
2 Quy trình thử chụp bằng tia phóng xạ phải thỏa mãn các yêu cầu nêu ở 11.4.5-2 tới -7 và quy trình thử không phá hủy khác phải thích hợp với kiểu thử được dùng.
11.5 Hàn bình chịu áp lực
11.5.1 Quy định chung
Khi các phần chịu áp lực của bình chịu áp lực được chế tạo bằng cách hàn, việc hàn phải được tiến hành tuân theo các yêu cầu ở 11.5 của Chương này.
11.5.2 Độ thẳng của mối nối, độ méo và độ lệch góc
1 Đối với độ thẳng của mối hàn giáp mép, độ dịch ngang lớn nhất không được vượt quá giới hạn sau:
(1) Đối với mối nối dọc, mối nối ở tấm đáy và mối nối giữa tấm đáy hình bán cầu và thành bình:
(a) t/4 với tấm có chiều dày thực (t) từ 50 mm trở xuống (lớn nhất: 3,2 mm)
(b) t/16 với tấm có chiều dày thực (t) lớn hơn 50 mm (lớn nhất: 9 mm)
(2) Đối với mối nối vòng tròn:
(a) t/4 với tấm có chiều dày thực (t) từ 40 mm trở xuống (lớn nhất: 5 mm)
(b) t/8 với tấm có chiều dày thực (t) lớn hơn 40 mm (lớn nhất: 19 mm)
(3) Đối với mối hàn của vỏ hình cầu và các tấm đáy, mối hàn giữa tấm đáy hình bán cầu và thành bình, áp dụng các giá trị dùng cho mối nối dọc.
2 Độ méo của thành bình chịu áp lực bên trong phải thỏa mãn các yêu cầu ở 11.4.2.
3 Các mối hàn phải không có độ lệch góc thấy rõ.
4 Độ méo và lệch góc của thành bình chịu áp lực bên ngoài phải được kiểm tra cho từng trường hợp có xét đến độ bền uốn dọc.
11.5.3 Khử ứng suất
1 Bình chịu áp lực thuộc nhóm I phải được xử lí nhiệt sau hàn để khử ứng suất sau khi mọi phụ tùng như bích nối, họng nối, tấm gia cường đã được hàn vào vị trí.
2 Bình chịu áp lực thuộc nhóm II tương ứng với các điều (1) hoặc (2) dưới đây, phải qua xử lí nhiệt để khử ứng suất thỏa mãn các yêu cầu ở -1.
(1) Chiều dày của các tấm thành lớn hơn 30 mm.
(2) Chiều dày của tấm thành không nhỏ hơn 16 mm và lớn hơn giá trị Tn tính theo công thức sau:

Trong đó:
D: Đường kính trong của thành bình (mm)
3 Bất kể các yêu cầu ở -1 và -2, việc khử ứng suất cơ học bằng nén cho bình chịu áp lực làm bằng thép cácbon hoặc thép cácbon mangan có thể dùng thay cho xử lí nhiệt sau hàn nếu được Đăng kiểm đồng ý và phải thực hiện các điều kiện sau:
(1) Các phần của bình chịu áp lực được hàn phức tạp như các họng nối phải qua xử lí nhiệt trước khi chúng được hàn vào các phần lớn hơn của bình chịu áp lực.
(2) Chiều dày của tấm không được vượt quá giá trị tiêu chuẩn đã được Đăng kiểm chấp nhận.
(3) Phải tiến hành tính toán ứng suất một cách chi tiết để khẳng định rằng ứng suất màng chính lớn nhất trong thời gian khử ứng suất cơ học tiến gần tới nhưng không vượt quá 90% giới hạn chảy của vật liệu. Đăng kiểm có thể yêu cầu đo biến dạng trong khi nén để khử ứng suất để kiểm tra lại việc tính toán.
(4) Quy trình khử ứng suất cơ học phải trình trước cho Đăng kiểm duyệt.
4 Trong trường hợp dùng vật liệu có tính va đập cao có thể bỏ qua việc khử ứng suất nếu Đăng kiểm đồng ý.
5 Trong trường hợp tiến hành công việc hàn sau đây trên các bình đã được khử ứng suất, có thể bỏ qua việc khử ứng suất sau hàn:
(1) Với thép cácbon và thép cácbon mangan:
(a) Khi phụ tùng có đường kính trong không quá 50 mm được nối bằng hàn góc với chiều dày tính toán của mối hàn không lớn hơn 12 mm.
(b) Khi phụ tùng không chịu áp lực được nối bằng hàn góc với chiều dày tính toán của mối hàn không lớn hơn 12 mm.
(c) Các phần hàn chốt
(2) Các mối hàn được Đăng kiểm chấp thuận riêng cho các vật liệu khác ngoài các vật liệu nêu ở (1). Trong trường hợp này phải tiến hành nung nóng trước một cách thích hợp trong quá trình hàn.
11.5.4 Thử hàn sản phẩm
1 Trong trường hợp các bình chịu áp lực thuộc nhóm I có kết cấu hàn phải tiến hành thử hàn sản phẩm theo quy định ở mục 11.5.4 này.
(1) Các tấm lấy làm mẫu thử phải thỏa mãn các yêu cầu sau:
(a) Các tấm thử phải được gán vào mỗi thành bình theo kiểu hàn liên tục đối với các mép của mối nối dọc.
Hơn nữa biến dạng của các tấm thử trong khi gia công phải cố gắng hạn chế đến mức nhỏ nhất có thể được.
(b) Các tấm thử cho mối nối vòng tròn của thành bình phải được chế tạo tách riêng ở cùng điều kiện hàn như mối nối vòng tròn. Tuy nhiên không đòi hỏi tấm thử cho mối nối vòng tròn, trừ khi thành bình không có mối nối dọc hoặc quy trình hàn cho mối nối vòng tròn khác hẳn quy trình cho mối nối dọc.
(c) Nói chung tấm thử phải được lấy từ cùng vật liệu dùng chế tạo bình chịu áp lực.
(2) Khi thử nghiệm cơ học các tấm thử, phải tiến hành thử kéo cho mối nối, thử uốn định hướng và thử va đập kiểu Charpy. Số lượng và kích thước của mẫu thử được cho trong Bảng 3/11.5.
(3) Phương pháp thử và kết quả phải thỏa mãn các yêu cầu sau:
(a) Thử kéo và thử uốn định hướng phải thỏa mãn các yêu cầu ở 11.4.4-4 (1) và (2).
(b) Thử va đập:
Mẫu thử va đập phải được lấy từ các phần mối hàn sao cho trục dọc của nó vuông góc với đường hàn và bề mặt của nó cách mặt trong của tấm 5 mm. Rãnh trên mẫu thử phải trùng với tâm đường hàn và phải ở trên bề mặt vuông góc với bề mặt tấm. Giá trị năng lượng hấp thụ trung bình của 3 mẫu thử không được nhỏ hơn giá trị đã được Đăng kiểm duyệt.
Bảng 3/11.5 Số lượng và kích thước mẫu thử
| Số lượng mẫu thử | Kích thước mẫu thử | |
| Thử kéo mối nối: 1 | Như quy định ở Bảng 6/3.1 Phần 6 của Quy phạm này | |
| Thử uốn định hướng hoặc thử uốn có trục lăn | Thử uốn bề mặt và thử uốn chân đường hàn: 1 bộ hoặc Thử uốn cạnh: 1 bộ | Như chỉ dẫn ở Bảng 6/3.2 Phần 6 của Quy phạm này |
| Thử va đập kiểu Charpy: 1 bộ | Mẫu thử U4 như quy định ở 2.2.4 Phần 7-A của Quy phạm này. | |
Chú thích:
Với các tấm thử có chiều dày từ 20 mm trở xuống phải tiến hành thử uốn bề mặt và uốn chân mối hàn. Với các tấm có chiều dày lớn hơn 20 mm phải tiến hành thử uốn cạnh.
2 Khi các bình chịu áp lực thuộc nhóm II được hàn phải tiến hành thử hàn sản phẩm nêu ở -1, tuy nhiên có thể bỏ qua thử uốn định hướng trong số các yêu cầu của -1(2).
3 Thử lại
(1) Khi thử hỏng có thể tiến hành thử lại. Đối với thử kéo và thử uốn, hai mẫu thử thêm phải lấy từ cùng tấm thử hoặc từ các tấm thử khác được chế tạo trong cùng lô của tấm thử ban đầu cho mỗi lần hỏng. Khi thử lại, cả hai mẫu thử phải thỏa mãn các yêu cầu này. Với thử va đập, một bộ (3 mẫu thử) các mẫu thử thêm phải lấy từ cùng tấm thử hoặc tấm thử khác được chế tạo trong cùng lô, và nếu giá trị trung bình của các kết quả thử của tổng cộng 6 mẫu cao hơn giá trị trung bình yêu cầu thì kết quả thử được coi là đạt.
(2) Cho phép thử lại trong các trường hợp sau:
(a) Trong trường hợp các kết quả thử kéo và va đập không nhỏ hơn 90% giá trị quy định trong các yêu cầu.
(b) Trong trường hợp thử uốn định hướng không đáp ứng yêu cầu do nguyên nhân không phải là các khuyết tật trong các phần hàn.
4 Giảm bớt thử nghiệm
Tùy thuộc vào kinh nghiệm của thợ hàn, Đăng kiểm viên có thể chấp nhận thay đổi các thử nghiệm tay nghề đối với việc hàn các bình chịu áp lực.
11.5.5 Thử các mối hàn bằng cách chụp tia phóng xạ
1 Với các mối hàn giáp mép ứng với các điều (1) và (2) dưới đây, toàn bộ chiều dài của chúng phải qua thử bằng chụp bằng tia phóng xạ đầy đủ:
(1) Các mối nối dọc và mối nối vòng tròn cho các bình chịu áp lực của nhóm I.
(2) Các mối hàn mà hệ số bền mối nối của chúng được xác định tùy thuộc vào việc thử chụp bằng tia phóng xạ đầy đủ.
2 Đối với các bình chịu áp lực mà hệ số độ bền mối nối của chúng được xác định tùy thuộc vào việc thử ngẫu nhiên, phải tiến hành thử bằng chụp tia phóng xạ thỏa mãn các yêu cầu sau:
(1) Chiều dài không được nhỏ hơn 20% chiều dài của các mối nối dọc (nhỏ nhất 300 mm) và phần giao nhau của mối nối vòng tròn với mối nối dọc được hàn bởi cùng một người theo cùng phương pháp phải được chụp ngẫu nhiên bằng tia phóng xạ.
(2) Các chỗ phải chụp ngẫu nhiên bằng tia phóng xạ do Đăng kiểm viên quy định.
3 Quy trình thử chụp bằng tia phóng xạ và xử lý kết quả thử phải thỏa mãn các yêu cầu ở 11.4.5.
4 Bất kể các yêu cầu nêu ở -1 và -2 có thể tiến hành thử siêu âm thay cho thử chụp bằng tia phóng xạ trong trường hợp được Đăng kiểm duyệt riêng.
11.5.6 Thử không phá hủy cho các phần hàn khác
1 Các mối hàn của các phụ tùng như các lỗ khoét và các tấm gia cường của chúng cho các bình chịu áp lực yêu cầu thử chụp bằng tia phóng xạ đầy đủ phải được thử chụp tia phóng xạ hoặc thử hạt từ do Đăng kiểm xét duyệt. Tuy nhiên trong trường hợp xét thấy việc áp dụng các phương pháp thử này là không thực tế hoặc khi Đăng kiểm xét về vị trí và hình dạng hàn, có thể thay thử chụp bằng tia phóng xạ bằng thử chất lỏng thẩm thấu, thử siêu âm hoặc các thử nghiệm thích hợp khác.
2 Các mối hàn tại các phần lắp ghép của phụ tùng như các lỗ khoét và tấm gia cường cho chúng của các bình chịu áp lực cần thử ngẫu nhiên bằng chụp tia phóng xạ phải được thử không phá hủy nêu ở -1 theo phương pháp lấy mẫu.
3 Áp dụng các yêu cầu ở 11.5.5, được sửa đổi thích hợp cho quy trình thử không phá hủy và việc xử lý kết quả thử.
11.6 Hàn ống
11.6.1 Phạm vi áp dụng
Các yêu cầu ở 11.6 áp dụng cho hàn ống, van và phụ tùng ống thuộc nhóm I và II nêu ở Chương 12.
11.6.2 Độ thẳng của mối nối
Độ dịch ngang lớn nhất của các mối nối giữa các ống không được quá 1/4 chiều dày ống.
11.6.3 Gia nhiệt trước mối hàn
Khi hàn ống, vật liệu phải được gia nhiệt trước một cách thích hợp tùy thuộc vào loại và chiều dày của vật liệu.
11.6.4 Xử lí nhiệt sau hàn
1 Sau khi hàn, các ống với chiều dày nêu ở Bảng 3/11.6. phải qua xử lí nhiệt sau hàn theo loại vật liệu để giảm ứng suất dư.
2 Đối với việc xử lí nhiệt sau hàn cho các ống và hệ ống làm bằng vật liệu khác với các vật liệu ở -1, xử lí nhiệt sẽ được tiến hành khi Đăng kiểm cho là thích hợp tùy theo loại kim loại cơ sở, vật liệu hàn, quy trình hàn...
11.6.5 Thử không phá hủy
1 Các mối hàn giáp mép của các ống thuộc nhóm I và có đường kính danh nghĩa lớn hơn 65 mm phải được thử nghiệm bằng chụp tia phóng xạ đầy đủ.
2 Các mối hàn giáp mép của các ống thuộc nhóm I và có đường kính danh nghĩa không lớn hơn 65 mm và các mối hàn giáp mép của các ống thuộc nhóm II và có đường kính danh nghĩa vượt quá 90 mm phải qua kiểm tra chụp bằng tia phóng xạ bằng chọn mẫu theo hướng dẫn của Đăng kiểm viên.
3 Đăng kiểm có thể chấp thuận các thử nghiệm không phá hủy thích hợp khác thay cho kiểm tra bằng chụp tia phóng xạ.
4 Phải áp dụng các yêu cầu ở 11.4.5, được sửa đổi thích hợp cho việc kiểm tra chụp bằng tia phóng xạ.
5 Đối với hàn góc các ống thuộc nhóm I hoặc nhóm II, Đăng kiểm có thể yêu cầu kiểm tra bằng hạt từ hoặc các kiểm tra thích hợp khác khi xét đến vật liệu, kích thước và điều kiện khai thác của các ống và những điều tương tự.
6 Đăng kiểm có thể yêu cầu kiểm tra riêng khi xét về vật liệu hàn hoặc quy trình hàn.
Bảng 3/11.6 Các ống cần xử lí nhiệt sau hàn
| Cấp ống (chú thích 1) | Cấp trong Bảng 3/11.1 | Chiều dày mối hàn(t) (mm) | |
| Cấp 1, Cấp 2 và Cấp 3 | 1 | t ≥ 15 | |
| Cấp 4 | Số hiệu 12 | 1 | t ≥ 15 |
| Số hiệu 22 Số hiệu 23 | 1 | t > 8 | |
| Số hiệu 24 | 2 | Cho tất cả (chú thích 2) | |
Chú thích:
(1) Cấp được quy định ở 4.2, Phần 7-A của Quy phạm này.
(2) Có thể bỏ qua xử lí nhiệt nếu chiều dày từ 8 mm trở xuống, đường kính ngoài từ 100 mm trở xuống và nhiệt độ thiết kế từ 450 oC trở xuống.
11.7 Hàn các bộ phận chính của động cơ dẫn động ...
11.7.1 Quy định chung
1 Hàn các bộ phận chính của các động cơ dẫn động v.v... phải thỏa mãn các yêu cầu ở 11.7.
2 Trong trường hợp các bộ phận chính của các động cơ dẫn động v.v... dự định có kết cấu hàn, phải được Đăng kiểm duyệt về hình dạng và kích thước của các phần hàn, vật liệu hàn, quy trình hàn, xử lí nhiệt và các yêu cầu thử không phá hủy.
11.7.2 Độ thẳng mối nối và chuẩn bị mép.
1 Độ thẳng hàng trong các mối hàn giáp mép phải thỏa mãn các yêu cầu sau:
(1) 1/4 chiều dày với phần hàn có chiều dày từ 40 mm trở xuống, lớn nhất 5 mm.
(2) 1/8 chiều dày với phần hàn có chiều dày lớn hơn 40 mm, và lớn nhất 19 mm.
2 Trong hàn giáp mép giữa các tấm có chiều dày khác nhau, mép của tấm dày hơn phải được vát dần vào mép tấm mỏng hơn.
3 Hàn giáp mép và hàn nối kiểu chữ T của các bộ phận có độ bền quan trọng phải được phay lưng hoặc kiểm tra chính xác để tránh khuyết tật tại chân mối hàn.
4 Trong trường hợp tiến hành hàn góc trong vùng bị ứng suất uốn, thì phần chân phải được kết thúc đều.
5 Việc hàn phải được tiến hành sao cho không gây nên độ vặn quá mức ở các mối hàn.
11.7.3 Gia nhiệt trước các mối hàn
1 Khi hàn các tấm dày, hàn thép hoặc thép hợp kim thấp với hàm lượng cácbon quá 0,23% hoặc hàn thép hợp kim, nếu Đăng kiểm xét thấy cần, thì phải tiến hành gia nhiệt trước trên các mối hàn.
2 Phương pháp gia nhiệt trước và nhiệt độ gia nhiệt nhỏ nhất phải được Đăng kiểm xem xét thích hợp được xác định theo loại kim loại cơ sở, vật liệu hàn, chiều dầy của mối hàn và phương pháp hàn.
11.7.4 Xử lí nhiệt sau hàn
Trong trường hợp dùng vật liệu dày hoặc điều kiện quá hạn chế có thể dẫn đến mức độ ảnh hưởng có hại đáng kể của ứng suất dư sau khi hàn tới độ bền của kết cấu, thì phải tiến hành xử lí nhiệt sau hàn.
11.7.5 Thử không phá hủy
Đối với việc kiểm tra các mối hàn, Đăng kiểm có thể yêu cầu thử siêu âm, thử bằng hạt từ, thử bằng chất lỏng thẩm thấu và các phương pháp thử không phá hủy khác nếu xét thấy thích hợp khi xét đến vật liệu sử dụng, kích thước và điều kiện làm việc.
CHƯƠNG 12 ỐNG, VAN, PHỤ TÙNG ỐNG VÀ MÁY PHỤ
12.1 Quy định chung
12.1.1 Phạm vi áp dụng
1 Các yêu cầu trong Chương này áp dụng cho thiết kế, chế tạo và thử nghiệm ống, van, phụ tùng ống và máy phụ.
12.1.2 Thuật ngữ
1 Áp suất thiết kế.
Áp suất thiết kế là áp suất lớn nhất của chất làm việc trong ống và không được nhỏ hơn các áp suất cho dưới từ (1) đến (4) dưới đây:
(1) Đối với các hệ thống có van an toàn hoặc thiết bị phòng quá áp khác, là áp suất đặt của van an toàn hoặc thiết bị phòng quá áp. Tuy nhiên đối với hệ thống ống hơi được nối với nồi hơi hay hệ thống ống gắn với bình chịu áp lực, là áp suất thiết kế của thành nồi hơi (là áp suất danh nghĩa, nếu nồi hơi có bộ quá nhiệt) hoặc áp suất thiết kế của thành bình chịu áp lực.
(2) Đối với ống ở phía đẩy của bơm, là áp suất đẩy khi bơm làm việc ở tốc độ định mức mà van ở phía đẩy đóng. Tuy nhiên đối với các bơm có van an toàn hoặc thiết bị phòng quá áp, là áp suất đặt của van an toàn hoặc thiết bị phòng quá áp.
(3) Đối với đường ống thổi xả của nồi hơi, áp suất thiết kế được quy định riêng ở 9.9.6-3.
(4) Đối với ống, van và phụ tùng ống dầu đốt, là áp suất làm việc lớn nhất hoặc 0,3 MPa, lấy trị số nào lớn hơn. Tuy nhiên, với ống, van và phụ tùng ống dầu đốt có nhiệt độ làm việc trên 60oC và áp suất làm việc trên 0,7 MPa, là áp suất làm việc lớn nhất hoặc 1,4 MPa, lấy trị số nào lớn hơn.
2 Nhiệt độ thiết kế.
Nhiệt độ thiết kế là nhiệt độ lớn nhất của chất làm việc trong ống ở điều kiện thiết kế.
3 Phụ tùng ống
Phụ tùng ống trong Phần này là các phụ tùng nối ống như bích nối ống, mối nối cơ khí, các đoạn ống, mối nối giãn nở, mối nối mềm, v.v... và các thiết bị khác của hệ thống đường ống như các thiết bị lọc và các thiết bị phân ly.
4 Đường kính danh nghĩa
Đường kính danh nghĩa là đường kính qui ước của ống (sau đây, được kí hiệu là “A” phía sau chỉ số kích thước).
12.1.3 Phân loại ống
1 Các ống được phân loại như nêu ở Bảng 3/12.1 theo loại chất lỏng, áp suất và nhiệt độ thiết kế. Tuy nhiên với các ống có đầu hở như ống thải, ống tràn, ống khí thải, ống xả của van an toàn và ống xả áp suất hơi nước được xếp vào nhóm III không kể đến nhiệt độ thiết kế.
2 Hệ thống ống của các chất lỏng khác với ở -1 sẽ được Đăng kiểm xem xét tùy theo đặc tính và điều kiện làm việc của chất lỏng.
12.1.4 Vật liệu
1 Vật liệu chế tạo máy phụ phải phù hợp với điều kiện làm việc của máy. Vật liệu chế tạo các phần quan trọng của máy phụ phải thỏa mãn các tiêu chuẩn đã được chấp nhận.
2 Vật liệu ống phải phù hợp với điều kiệu làm việc của ống và thỏa mãn các yêu cầu sau:
(1) Vật liệu ống nhóm I hoặc nhóm II phải thỏa mãn các yêu cầu ở Phần 7-A của Quy phạm này.
(2) Vật liệu ống nhóm III phải thỏa mãn các tiêu chuẩn đã được chấp nhận.
Bảng 3/12.1 Phân loại ống
| Loại chất | Áp suất thiết kế (P) và nhiệt độ thiết kế (T) | ||
| Nhóm I | Nhóm II (Chú thích) | Nhóm III | |
| Hơi nước | P > 1,6 MPa hoặc T > 300 oC | P ≤ 1,6 MPa và T ≤ 300 oC | P ≤ 0,7 MPa và T ≤ 170 oC |
| Dầu nóng | P > 1,6 MPa hoặc T > 300 oC | P ≤ 1,6 MPa và T ≤ 300oC | P ≤ 0,7 MPa và T ≤ 150 oC |
| Dầu đốt, dầu bôi trơn và dầu thủy lực dễ cháy | P > 1,6 MPa hoặc T > 150 oC | P ≤ 1,6 MPa và T ≤ 150 oC | P ≤ 0,7 MPa và T ≤ 60 oC |
| Không khí, khí CO2, nước và dầu thủy lực không cháy | P > 4,0 MPa hoặc T > 300oC | P ≤ 4,0 MPa và T ≤ 300 oC | P ≤ 1,6 MPa và T ≤ 200 oC |
Chú thích: Trừ các ống thỏa mãn điều kiện của nhóm III
3 Vật liệu van và phụ tùng ống phải phù hợp với điều kiện làm việc của thiết bị đó và phải thỏa mãn các yêu cầu sau:
(1) Vật liệu chế tạo các van và phụ tùng ống nhóm I hoặc nhóm II, cũng như các van và phụ tùng gắn trực tiếp vào vỏ tàu và vách chống va phải thỏa mãn các yêu cầu ở Phần 7-A của Quy phạm này. Tuy nhiên có thể dùng vật liệu trong các tiêu chuẩn được chấp nhận để chế tạo van và phụ tùng nếu Đăng kiểm đồng ý sau khi xem xét kích thước và điều kiện làm việc.
(2) Vật liệu van và phụ tùng ống nhóm III phải thỏa mãn các tiêu chuẩn được chấp nhận.
12.1.5. Giới hạn sử dụng vật liệu
1 Thông thường, các ống được chế tạo bằng thép, đồng, hợp kim đồng hoặc gang. Vật liệu phải thỏa mãn các yêu cầu về giới hạn sử dụng như nêu dưới đây theo nhiệt độ thiết kế, sự phân loại, công dụng v.v... trừ khi có quy định khác. Tuy nhiên, các ống có đầu hở và thuộc nhóm III không kể đến nhiệt độ thiết kế, không phải áp dụng theo giới hạn sử dụng về nhiệt độ.
(1) Không được dùng các ống thép để làm các ống sau:
(a) Các ống có nhiệt độ thiết kế trên 350 oC với các ống cấp 1 và cấp 2 được nêu ở 4.2, Phần 7-A của Quy phạm này. Tuy nhiên có thể dùng các ống thép này cho nhiệt độ thiết kế tới 400 oC nếu bảo đảm được ứng suất cho phép.
(b) Các ống có nhiệt độ thiết kế trên 450 oC đối với các ống cấp 3, số hiệu 2 và 3 nêu ở 4.2, Phần 7-A của Quy phạm này.
(c) Các ống có nhiệt độ thiết kế trên 425 oC đối với các ống cấp 3 số hiệu 4 nêu ở 4.2, Phần 7-A của Quy phạm này.
(d) Các ống có nhiệt độ thiết kế trên 500 oC đối với các ống cấp 4, số hiệu 12 nêu ở 4.2, Phần 7-A của Quy phạm này.
(e) Các ống có nhiệt độ thiết kế trên 550 oC đối với ống cấp 4, số hiệu 22, 23 và 24 nêu ở 4.2, Phần 7-A của Quy phạm này.
(f) Các ống nhóm I và các ống thép cácbon với áp suất thiết kế trên 1,0 MPa hoặc nhiệt độ tính toán trên 230 oC đối với hệ thống thông thường nêu ở 4.2, Phần 7-A của Quy phạm này.
(g) Các ống thép khác khi Đăng kiểm cho rằng thích hợp
(2) Các ống đồng và hợp kim đồng không được dùng làm các ống sau:
(a) Các ống có nhiệt đô thiết kế lớn hơn 200 oC đối với các ống liền làm bằng hợp kim đồng - phốt pho đi-ô-xít, ống liền bằng đồng thau và ống của bầu ngưng.
(b) Các ống có nhiệt độ thiết kế lớn hơn 300 oC đối với các ống liền làm bằng hợp kim đồng ni ken và ống của bầu ngưng.
(c) Các ống hợp kim đồng xuyên qua các kết cấu cấp A và B, trừ trường hợp Đăng kiểm cho phép là trường hợp đặc biệt.
(d) Giới hạn sử dụng theo nhiệt độ đối với các ống đồng và hợp kim đồng khác do Đăng kiểm quy định.
(3) Không được dùng các ống gang để làm các ống sau:
(a) Các ống thuộc nhóm I và II đối với ống gang có độ dãn dài nhỏ hơn 12%.
(b) Các ống thuộc nhóm I đối với ống gang có độ dãn dài từ 12% trở lên.
(c) Các ống có thể bị va đập thủy lực và các ống phải chịu uốn hoặc chấn động lớn hoặc bị lệch tâm nhiều.
(4) Ngoài các quy định (2) và (3) trên đây, các ống đồng, hợp kim đồng và gang phải thỏa mãn các yêu cầu về công dụng trong Bảng 3/12.2. Tuy nhiên có thể không áp dụng yêu cầu này nếu được Đăng kiểm đồng ý.
Bảng 3/12.2 Giới hạn sử dụng theo công dụng ống

Chú thích:
1 Không bao gồm các ống đo, ống thải và các ống thông hơi.
2 Có thể sử dụng cho phần đặt trong két.
3 Bao gồm cả ở ngoài khoang máy.
Dấu hiệu: x: có thể sử dụng
-: cấm sử dụng
2 Thông thường, các van và phụ tùng ống được chế tạo bằng thép, hợp kim đồng hoặc gang. Trừ các trường hợp được quy định khác đi, chúng phải thỏa mãn các yêu cầu dưới đây về giới hạn sử dụng theo nhiệt độ thiết kế, loại, công dụng v.v. Tuy nhiên đối với các van và phụ tùng ống có đầu hở và được phân loại ở nhóm III, bất kể nhiệt độ thiết kế, không phải áp dụng giới hạn sử dụng theo nhiệt độ.
(1) Không được dùng các sản phẩm thép rèn và đúc để làm van và phụ tùng ống sau:
(a) Các van và phụ tùng ống có nhiệt độ thiết kế lớn hơn 425oC bằng thép các bon đúc và rèn được nêu ở 5.1 và 6.1, Phần 7-A của Quy phạm này.
(b) Các van và phụ tùng ống với nhiệt độ thiết kế lớn hơn 550oC đối với thép hợp kim thấp đúc và thép hợp kim thấp rèn nêu ở 5.1 và 6.1, Phần 7-A của Quy phạm này.
(c) Các sản phẩm thép đúc và rèn khác khi được Đăng kiểm chấp thuận.
(2) Không được dùng các van và phụ tùng ống bằng hợp kim đồng để làm van và phụ tùng có nhiệt độ thiết kế lớn hơn 210 oC. Tuy nhiên có thể dùng đồng đỏ đặc biệt làm van và phụ tùng ống có nhiệt độ bằng hoặc nhỏ hơn 260 oC khi được Đăng kiểm đồng ý.
(3) Không được dùng các sản phẩm gang có độ dãn dài nhỏ hơn 12% để làm van và phụ tùng ống sau:
(a) Van và phụ tùng ống có nhiệt độ thiết kế lớn hơn 220 oC.
(b) Van và phụ tùng ống thuộc nhóm I, trừ khi được Đăng kiểm chấp nhận sau khi xem xét kết cấu và công dụng của chúng.
(c) Van và phụ tùng ống thuộc nhóm II (trừ các ống hơi nước).
(d) Van lắp trên vách ngoài của két dầu đốt và chịu cột áp tĩnh của chất lỏng bên trong.
(e) Van, mặt tựa và đoạn ống lắp van vào tôn vỏ hoặc cửa thông biển.
(f) Van được lắp trực tiếp vào vách chống va.
(g) Van và phụ tùng của hệ thống ống xả nước của nồi hơi.
(h) Hệ thống ống có thể bị va đập thủy lực và van, phụ tùng ống của hệ thống ống có thể bị lệch tâm hoặc chấn động lớn.
(i) Van và phụ tùng của hệ thống ống dằn sạch xuyên qua két dầu hàng để tới két mũi.
(j) Van và phụ tùng của hệ thống ống dầu hàng có áp suất thiết kế lớn hơn 1,6 MPa.
(k) Van nối của hệ thống hàng lỏng dễ cháy giữa bờ và tàu.
(4) Không được dùng các sản phẩm gang có độ dãn dài bằng hoặc lớn hơn 12% để làm van, phụ tùng ống cho các ống thuộc nhóm I, trừ trường hợp được Đăng kiểm chấp nhận sau khi xem xét về kết cấu và công dụng của chúng.
12.1.6 Sử dụng vật liệu đặc biệt
Có thể sử dụng vật liệu đặc biệt như ống cao su mềm, ống nhựa, ống vinyl, hợp kim nhôm v.v ... không theo các điều ở 12.1.5 nêu trên, nếu được Đăng kiểm đồng ý sau khi xem xét về an toàn chống cháy, ngập nước cũng như điều kiện làm việc.
12.2 Chiều dày ống
12.2.1 Chiều dày quy định của ống chịu áp lực bên trong
1 Chiều dày quy định của ống chịu áp lực bên trong được xác định theo công thức sau:
tr = t0 + b + C
Trong đó:
tr: Chiều dày yêu cầu của ống (mm)

P: Áp suất thiết kế (MPa)
D: Đường kính ngoài của ống (mm)
f: Ứng suất cho phép, nêu ở -3 (N/mm2)
J: Hệ số bền của mối nối được cho như sau:
Các ống liền: 1,00
Các ống hàn điện trở: 0,85 (có thể lấy là 1,00 trong trường hợp phải tiến hành kiểm tra khuyết tật bằng siêu âm hoặc phương pháp kiểm tra khác mà Đăng kiểm cho là thích hợp đối với toàn bộ chiều dài mối hàn)
b: Số bù thêm cho chiều dày ống bị biến mỏng khi uốn, được tính theo công thức sau:

R: Bán kính cong trung bình (mm)
Tuy nhiên không cần xét đến b khi đảm bảo rằng rằng ứng suất màng tính toán ở chỗ cong không vượt quá trị số cho phép.
C: Lượng bù thêm cho ăn mòn nêu ở -5 (mm)
2 Chiều dày của ống có dung sai chiều dày âm không được nhỏ hơn trị số t1 theo công thức sau:

Trong đó: tr: Xác định như ở -1 trên đây
a: Dung sai âm lớn nhất (%)
3 Ứng suất cho phép của từng vật liệu phải thỏa mãn các yêu cầu sau:
(1) Ứng suất cho phép (f) của các ống thép các bon và thép hợp kim thấp phải được chọn là trị số nhỏ nhất trong các trị số tính toán bởi các công thức sau, hoặc là trị số cho trong Bảng 3/12.3(1). Tuy nhiên nếu nhiệt độ thiết kế không thuộc vào vùng rão, thì không cần xét trị số f3:

Trong đó:
R20: Giới hạn bền kéo nhỏ nhất của vật liệu ở nhiệt độ trong phòng (N/mm2)
Et: Giới hạn chảy hoặc giới hạn giãn dài qui ước của vật liệu ở nhiệt độ thiết kế (N/mm2)
SR: Ứng suất trung bình của vật liệu gây phá hủy (nứt, gãy) sau 100.000 giờ ở nhiệt độ thiết kế (N/mm2)
(2) Ứng suất cho phép của ống đồng, ống đồng thau và ống đồng niken lấy theo các trị số cho trong Bảng 3/12.3(2)
(3) Đăng kiểm sẽ xem xét ứng suất cho phép của các vật liệu khác với vật liệu ở (1) và (2) cho từng trường hợp.
4 Khi tính t0 ở -1, lấy ứng suất cho phép bằng 1/5 giới hạn bền kéo nhỏ nhất của vật liệu ở nhiệt độ trong phòng thay cho ứng suất cho phép nêu ở -3(1) đối với ống thép có nhiệt độ thiết kế không vượt quá 250 oC, cần phải có b trong công thức tính tr ở -1 và không cần xét yêu cầu tăng thêm cho dung sai âm nêu ở -2.
5 Lượng bù thêm cho ăn mòn của các ống thép, đồng và hợp kim đồng phải lấy theo Bảng 3/12.4 và 3/12.5 tương ứng.
12.2.2 Chiều dày nhỏ nhất của ống
1 Chiều dày các ống thép phải thỏa mãn các yêu cầu nêu ở 12.2.1 tùy theo công dụng và vị trí đặt ống, không được nhỏ hơn trị số cho trong Bảng 3/12.6. Nhưng nếu dùng ống thép hợp kim chống ăn mòn thay cho ống thép, chiều dày nhỏ nhất của ống sẽ được Đăng kiểm xem xét trong từng trường hợp cụ thể.
2 Với các ống được bảo vệ chống ăn mòn hiệu quả, có thể giảm chiều dày nhỏ nhất nêu trong Bảng 3/12.6(2) xuống không quá 1 mm, trừ các ống thép dùng cho hệ thống dập cháy bằng CO2.
3 Khi xác định chiều dày ống theo Bảng 3/12.6(2), không cần tính đến dung sai âm và giảm độ dày do uốn ống. Nhưng đối với các ống có ren, phải đo chiều dày nhỏ nhất tại chân ren, trừ các phần ren để lắp đầu ống của các ống thông hơi, của các ống tràn và các ống đo cũng như phần ren của các ống dập cháy bằng CO2 từ trạm phân phối tới các đầu phun.
4 Chiều dày nhỏ nhất của các ống đồng và hợp kim đồng phải như quy định trong Bảng 3/12.7.
Bảng 3/12.3(1) Trị số ứng suất cho phép của ống thép (f)

Chú thích:
1 Các giá trị trung gian được xác định bằng nội suy.
2 Vật liệu của ống thép trong bảng phải thỏa mãn các yêu cầu trong Phần 7-A của Quy phạm này.
Bảng 3/12.3(2) Trị số ứng suất cho phép của ống đồng và hợp kim đồng

Chú thích: Các giá trị trung gian được xác định bằng nội suy
Bảng 3/12.4 Lượng bù thêm cho ăn mòn của ống thép (C)
| Công dụng của đường ống | C (mm) | |
| Hệ thống hơi quá nhiệt | 0,3 | |
| Hệ thống hơi bão hòa | Công dụng chung | 0,8 |
| Hệ thống ống xoắn hơi nước trong các két dầu hàng | 2 | |
| Hệ thống ống xoắn hơi nước trong các két dầu đốt | 1 | |
| Hệ thống cấp nước nồi hơi | Hệ thống tuần hoàn hở | 1,5 |
| Hệ thống tuần hoàn kín | 0,5 | |
| Hệ thống xả của nồi hơi | 1,5 | |
| Hệ thống không khí nén | 1 | |
| Hệ thống dầu bôi trơn và dầu thủy lực | 0,3 | |
| Hệ thống dầu đốt | 1 | |
| Hệ thống dầu hàng | 2 | |
| Hệ thống công chất làm lạnh của hệ thống làm lạnh | 0,3 | |
| Hệ thống nước ngọt | 0,8 | |
| Hệ thống nước biển | 3 | |
Chú thích:
1. Với các ống được bảo vệ chống ăn mòn bên trong có hiệu quả, có thể giảm lượng bù thêm cho ăn mòn trong bảng tới 50% nếu được Đăng kiểm đồng ý.
2. Nếu dùng thép hợp kim đặc biệt có khả năng chống ăn mòn, có thể giảm lượng bù thêm cho ăn mòn tới 0.
3. Với các ống nước biển bằng thép có đường kính danh nghĩa bằng hoặc nhỏ hơn 25A, có thể giảm lượng bù thêm cho ăn mòn xuống tới 1,5 mm.
4. Khi khí áp dụng theo Bảng này hoặc dùng chất lỏng không có trong Bảng, lượng bù thêm cho ăn mòn sẽ được Đăng kiểm xem xét cho từng trường hợp theo điều kiện ăn mòn.
5. Đối với các đường ống đi qua các két, lượng bù thêm cho ăn mòn phải phù hợp với các trị số trong Bảng và tùy thuộc chất lỏng ngoài ống để tính độ ăn mòn bên ngoài ống.
Bảng 3/12.5 Lượng bù thêm cho ăn mòn của đồng và hợp kim đồng (C)
| Loại vật liệu | C (mm) |
| Ống liền hợp kim đồng phốt pho đi-ô-xít và ống liền đồng thau nêu trong Bảng 3/12.3(2) | 0,8 |
| Ống liền đồng niken nêu trong Bảng 3/12.3(2) | 0,5 |
Chú thích: Với các chất lỏng không gây ăn mòn cho vật liệu được dùng, có thể lấy lượng bù thêm cho ăn mòn bằng 0.
12.3 Kết cấu các van và phụ tùng ống
12.3.1 Quy định chung
Các van, phụ tùng ống, vòng đệm, đệm kín phải phù hợp với điều kiện sử dụng và phải có kết cấu theo tiêu chuẩn được Đăng kiểm cho là phù hợp hoặc có kết cấu tương đương.
12.3.2 Van và phụ tùng ống đặc biệt
Van, phụ tùng ống, vòng đệm và đệm kín có kết cấu đặc biệt hoặc được chế tạo theo một phương pháp công nghệ đặc biệt được dùng cho các ống nhóm I và II phải được Đăng kiểm đồng ý.
12.3.3 Nối ống cơ khí
1 Các mối nối cơ khí phải là kiểu được duyệt và thích ứng với điều kiện làm việc và mục đích sử dụng. Kết cấu và kiểu phải phù hợp với các mẫu nêu tại Hình 3/12.1 tùy thuộc vào kiểu mối nối áp dụng được cho ở Bảng 3/12.8 và Bảng 3/12.9.
2 Các mối nối cơ khí mà trong trường hợp hư hỏng có thể gây ra cháy hoặc ngập nước thì không được sử dụng trên các đoạn ống nối trực tiếp với các cửa thông biển hoặc nằm trong các két chứa chất lỏng dễ cháy.
3 Đường ống có mối nối cơ khí phải được căn chỉnh thích đáng để đảm bảo độ đồng tâm và được đỡ thích đáng. Không được sử dụng các bệ đỡ hoặc giá treo để chỉnh cưỡng bức độ đồng tâm của đường ống tại các vị trí nối ống.
4 Không được sử dụng mối nối trượt trong các két trừ khi két chứa chất tương tự như trong ống. Các mối nối trượt không bị chặn chỉ được sử dụng trong trường hợp cần có bù cho sự biến dạng đường ống. Không được dùng mối nối này như phương tiện chính để nối ống.
5 Nếu các mối nối cơ khí làm giảm chiều dày thành ống do sử dụng các vành loại ngoạm hoặc các chi tiết kết cấu khác, phải lưu ý đến chiều dày bị giảm đi này khi tính toán chiều dày thành ống nhỏ nhất để chịu được áp suất làm việc.
6 Kết cấu mối nối cơ khí phải tránh được sự rò rỉ do ảnh hưởng của xung áp suất, dao động của đường ống. Sự biến đổi nhiệt và các ảnh hưởng tương tự khác xảy ra trong quá trình hoạt động trên tàu.
7 Vật liệu các mối nối cơ khí phải phù hợp với vật liệu ống và chất lỏng bên trong và bên ngoài.
8 Các mối nối cơ khí phải được thiết kế chịu được áp lực bên trong và bên ngoài ống tùy theo công dụng và khi được sử dụng trong các đoạn ống hút phải có khả năng hoạt động ở trạng thái chân không.
12.4 Nối và uốn ống
12.4.1 Hàn ống
Việc hàn hệ thống ống phải thỏa mãn các yêu cầu ở Chương 11.
12.4.2 Nối các đoạn ống
1 Việc nối trực tiếp các đoạn ống thuộc nhóm I hoặc II phải theo dạng hàn giáp mép. Tuy nhiên đối với các ống có đường kính danh nghĩa không lớn hơn 50A, có thể dùng cách hàn có ống lồng ngoài (hàn chồng mép nhờ vòng đệm).
2 Không được nối ống bằng ren (chỉ được nối ống bằng ren côn cho các ống thuộc nhóm I và nhóm II) cho các ống sau. Tuy nhiên, có thể chấp nhận việc nối bằng ren cho các ống nêu tại (3) và (4) khi xét đến công dụng của đường ống.
(1) Ống chứa chất dễ cháy, trừ các ống có đường kính nhỏ sử dụng cho khí cụ máy móc.
(2) Đường ống CO2, trừ trường hợp ống bên trong các khoang được bảo vệ và ở trong buồng chứa các bình CO2.
(3) Ống thuộc nhóm I với đường kính danh nghĩa không lớn hơn 25A.
(4) Ống thuộc nhóm II và III với đường kính danh nghĩa không lớn hơn 50A.

Hình 3/12.1 Mẫu mối nối cơ khí
Bảng 3/12.6(1) Chiều dày nhỏ nhất của ống thép
| Công dụng của ống | Vị trí ống | Chiều dày nhỏ nhất. Các chữ cái được đặt trong ngoặc ứng với Bảng 3/12.6(2) | |
| Ống hút khô | Đi qua các két trừ két dầu hàng | (E) | |
| Đi qua các két dầu hàng | 16 mm | ||
| Không qua các két | (H) | ||
| Ống nước dằn | Đi qua các két trừ két dầu hàng (chú thích 2) | (E) | |
| Đi qua két dầu hàng | Để xả ra ngoài mạn | 16 mm | |
| Cho các két dằn trước vách chống va | 16 mm | ||
| Cho các trường hợp khác | (E) nhưng là (D) khi D ≥ 100A | ||
| Không đi qua các két | (H) | ||
| Ống thoát nước Ống vệ sinh (chú thích 1) | Xuyên qua vỏ tàu trừ các két dầu hàng và các khoang hàng và yêu cầu có van một chiều tự động | (G) | |
| Xuyên qua vỏ tàu trừ các két dầu hàng và các khoang hàng và không yêu cầu có van một chiều tự động | (D) | ||
| Dẫn từ boong trống và đi qua các két dầu hàng | (A) nhưng là 16 mm khi D ≥ 150A | ||
| Đi qua khoang hàng | Không được bảo vệ | (A) (chú thích 5) | |
| Được bảo vệ | (C) (chú thích 5) | ||
| Đi qua két dằn | (G) | ||
| Không đi qua các két | (G) | ||
| Ống thông hơi Ống tràn Ống đo | Đi qua các két trừ két dầu hàng | (E) | |
| Đi qua các két dầu hàng | (B) | ||
| Cho các két liền vỏ | (G) | ||
| Phần đầu cùng của ống thông hơi lộ ra phía trên boong mạn khô và boong thượng tầng (chú thích 1) | (chú thích 3) | (E) | |
| (chú thích 4) | (G) | ||
| Ống dầu đốt | Đi qua các két trừ các két dầu đốt | (E) | |
| Ống nước biển | Đi qua các két | (E) | |
| Không đi qua các két | (H) | ||
| Ống nước ngọt | Đi qua các két | (E) | |
| Ống dầu hàng | Đi qua các két dằn | (E) nhưng là (D) khi D ≥ 100A | |
| Đi qua các két dầu hàng | (E) nhưng là (F) khi D ≥ 250A | ||
| Không đi qua két | (F) | ||
| Ống dập cháy bằng CO2 | Từ các bình tới trạm phân phối | (I) | |
| Từ trạm phân phối đến các đầu phun | (J) | ||
| Các ống khác với các ống trên | (K) | ||
Chú thích:
1 Bảng này không áp dụng cho các ống thoát nước và các ống vệ sinh của các tàu không chạy tuyến quốc tế và các tàu có chiều dài nhỏ hơn 24 m.
2 (H) được áp dụng khi một ống nước dằn an toàn (nguy hiểm) qua một két nước dằn an toàn (nguy hiểm).
Ống nước dằn nguy hiểm là ống để hút và xả nước dằn của một két nước dằn nguy hiểm (một két nước dằn kề với một két dầu hàng hoặc một két nước dằn nối với một két dầu hàng qua một ống hở đầu).
Ống nước dằn an toàn là ống để hút và xả nước dằn cho một két nước dằn an toàn (két nước dằn không phải là két nước dằn nguy hiểm).
3 Đối với các ống thông hơi ở vị trí I hoặc II được xác định ở 18.1.2, Phần 2-A của Quy phạm này dẫn đến các khoang dưới boong mạn khô, thượng tầng kín và tàu trên boong kín.
4 Đối với các ống thông hơi khác với ống được mô tả ở chú thích 3.
5 Chiều dày của ống không cần vượt quá chiều dày của tôn vỏ ở chỗ ống xuyên qua.
12.4.3 Nối ống với phụ tùng ống
1 Mối nối giữa ống và bích ống phải phù hợp với điều kiện làm việc, có kết cấu và độ bền thỏa mãn các yêu cầu ở Hình 3/12.2 theo sự phân loại để áp dụng nêu trong Bảng 3/12.10 hoặc các dạng mối nối khác được Đăng kiểm cho là phù hợp.
2 Các van và phụ tùng ống bằng kim loại màu có thể được nối vào ống kim loại màu bằng hàn hơi. Trong trường hợp này dạng hàn hơi và phương pháp áp dụng phải phù hợp với các điều kiện sử dụng của chúng.
3 Mối nối giữa ống với phụ tùng ống trừ bích nối phải thỏa mãn các yêu cầu ở 12.4.2 và -1 nêu trên.
Bảng 3/12.6(2) Chiều dày nhỏ nhất của ống thép (1),(3) (mm)
| Đường kính danh nghĩa (A) | Đường kính ngoài (mm) | Chữ cái tương ứng | ||||||||||
| (A) | (B) | (C) | (D) | (E) | (F) | (G) | (H) | (I)(2) | (J)(2) | (K) | ||
| 6 | 10,5 | - | - | - | - | - | - | - | - | - | - | 1,6 |
| 8 | 13,8 | - | - | - | - | - | - | - | - | - | - | 1,8 |
| 10 | 17,3 | - | - | - | - | - | - | - | - | - | - | 1,8 |
| 15 | 21,7 | - | - | - | - | - | 2,8 | - | 3,2 | 3,2 | 2,6 | 2,0 |
| 20 | 27,2 | - | - | - | - | - | 2,9 | - | 3,2 | 3,2 | 2,6 | 2,0 |
| 25 | 34,0 | - | - | - | - | - | 3,4 | - | 3,2 | 4,0 | 3,2 | 2,0 |
| 32 | 42,7 | 6,4 | - | 4,9 | - | 6,3 | 3,6 | 4,5 | 3,6 | 4,0 | 3,2 | 2,0 |
| 40 | 48,6 | 7,1 | - | 5,1 | - | 6,3 | 3,7 | 4,5 | 3,6 | 4,0 | 3,2 | 2,3 |
| 50 | 60,5 | 8,7 | 8,7 | 5,5 | - | 6,3 | 3,9 | 4,5 | 4,0 | 4,5 | 3,6 | 2,3 |
| 65 | 76,3 | 9,5 | 8,7 | 7,0 | 7,0 | 6,3 | 5,2 | 4,5 | 4,5 | 5,0 | 3,6 | 2,6 |
| 80 | 89,1 | 11,1 | 8,7 | 7,6 | 7,6 | 7,1 | 5,5 | 4,5 | 4,5 | 5,6 | 4,0 | 2,9 |
| 90 | 101,6 | 12,7 | 8,7 | 8,1 | 8,0 | 7,1 | 5,7 | 4,5 | 4,5 | 6,3 | 4,0 | 2,9 |
| 100 | 114,3 | 13,5 | 11,1 | 8,6 | 8,6 | 8,0 | 6,0 | 4,5 | 4,5 | 7,1 | 4,5 | 3,2 |
| 125 | 139,8 | 15,9 | 11,1 | 9,5 | 9,5 | 8,0 | 6,6 | 4,5 | 4,5 | 8,0 | 5,0 | 3,6 |
| 150 | 165,2 | 18,2 | 11,1 | 11,0 | 11.0 | 8,8 | 7,1 | 4,5 | 4,5 | 8,8 | 5,6 | 4,0 |
| 175 | 191,0 | 20,6 | 11,1 | 11,9 | 11,8 | 8,8 | 7,7 | 5,3 | 5,3 | - | - | 4,5 |
| 200 | 216,3 | 23,0 | 12,7 | 12,7 | 12,5 | 8,8 | 8,2 | 5,8 | 5,8 | - | - | 4,5 |
| 225 | 242,6 | 25,8 | 12,7 | 13,9 | 12,5 | 8,8 | 8,8 | 6,2 | 6,2 | - | - | 5,0 |
| 250 | 267,4 | 28,6 | 15,1 | 15,1 | 12,5 | 8,8 | 9,3 | 6,3 | 6,3 | - | - | 5,0 |
| 300 | 318,5 | 33,3 | 15,1 | 17,4 | 12,5 | 8,8 | 10,3 | 6,3 | 6,3 | - | - | 5,6 |
| 350 | 355,6 | 35,7 | - | 19,0 | 12,5 | 8,8 | 11,1 | 6,3 | 6,3 | - | - | 5,6 |
| 400 | 406,4 | 40,5 | - | 21,4 | 12,5 | 8,8 | 12,7 | 6,3 | 6,3 | - | - | 6,3 |
| 450 | 457,2 | 45,2 | - | 23,8 | 12,5 | 8,8 | 12,7 | 6,3 | 6,3 | - | - | 6,3 |
Chú thích:
1 Khi chiều dầy ống trong các tiêu chuẩn không khớp với chiều dày nhỏ nhất trong bảng này, có thể dùng ống tiêu chuẩn nếu chênh lệch không quá 0,4 mm.
2 Các ống phải được mạ kẽm ít nhất ở bên trong trừ các ống lắp trong buồng máy.
3 Đối với các ống có đường kính danh nghĩa khác với cho trong Bảng này, đường kính tối thiểu của chúng phải được Đăng kiểm xem xét riêng.
12.4.4 Nối các hệ thống đường ống
Có thể cho phép các mối nối ống mềm ở các vị trí được Đăng kiểm cho là cần thiết. Các mối nối ống mềm như vậy phải được làm bằng vật liệu chịu lửa có độ bền và kết cầu được Đăng kiểm duyệt.
12.4.5 Uốn ống và xử lí nhiệt sau khi uốn
1 Uốn nóng các ống thuộc nhóm I và II phải thỏa mãn các yêu cầu sau:
(1) Nói chung, uốn nóng phải tiến hành trong phạm vi nhiệt độ 1000 oC - 850 oC.
Tuy nhiên nhiệt độ có thể giảm tới 750 oC trong quá trình uốn ống.
(2) Với các ống thép cấp 4 trong Bảng 3/11.6 việc xử lí nhiệt để khử ứng suất phải tiến hành theo yêu cầu nêu ở 11.3.1 đối với nhiệt độ và thời gian duy trì cho ống.
2 Khi các ống nhóm I và II được uốn nguội, phải tiến hành xử lí nhiệt thích hợp theo vật liệu ống, môi trường làm việc v.v... và xét đến biến dạng dẻo có hại do uốn nguội và phát sinh ứng suất dư.
3 Đối với việc uốn ống và xử lí nhiệt sau khi uốn cho các ống thép khác với các ống nêu ở 4.2, Phần 7-A của Quy phạm này và các ống làm bằng vật liệu khác với thép phải được Đăng kiểm chấp thuận.
12.5 Kết cấu máy phụ và két chứa
12.5.1 Quy định chung
1 Máy phụ và két chứa phải đủ độ bền và phải có kết cấu sao cho dễ bảo dưỡng và kiểm tra.
2 Chiều dày tôn vỏ két chứa dầu đốt không được nhỏ hơn 6 mm. Nhưng đối với các két nhỏ có thể giảm chiều dày xuống tới 3 mm.
3 Các két dầu đốt và két dầu bôi trơn, dầu thủy lực được hâm nóng v.v... được đặt trong buồng máy phải không được có các lỗ khoét trên két ở trong buồng máy này.
Bảng 3/12.7 Chiều dày nhỏ nhất của ống đồng và hợp kim đồng (mm)
| Đường kính ngoài | Ống đồng | Ống hợp kim đồng |
| 8 - 10 | 1 | 0,8 |
| 12 - 22 | 1,2 | 1 |
| 25 - 45 | 1,5 | 1,2 |
| 50 - 76,2 | 2 | 1,5 |
| 80 - 120 | 2,5 | 2 |
| 130 - 190 | 3 | 2,5 |
| 200 - 270 | 3,5 | 3 |
| 280 | 4 | 3,5 |
Bảng 3/12.8 Việc sử dụng các mối nối cơ khí(1)
| Công dụng | Hệ thống | Loại mối nối | ||
| Liên kết ống | Khớp nối ép(7) | Mối nối trượt(9) | ||
| Chất lỏng dễ cháy(8) (Nhiệt độ chớp cháy ≤ 60oC) | Đường ống dầu hàng | + | + | +(6) |
| Đường ống rửa bằng dầu thô | + | + | +(6) | |
| Đường ống thông hơi | + | + | +(4) | |
| Khí trơ | Đường ống xả đệm nước | + | + | + |
| Đường ống xả bầu lọc khí | + | + | + | |
| Đường ống chính | + | + | +(3)(6) | |
| Đường ống phân phối | + | + | +(6) | |
| Chất lỏng dễ cháy(8) (Nhiệt độ chớp cháy > 60oC) | Đường ống dầu hàng | + | + | +(6) |
| Đường ống dầu đốt | + | + | +(3)(4) | |
| Đường ống dầu nhờn | + | + | +(3)(4) | |
| Đường ống dầu thủy lực | + | + | +(3)(4) | |
| Đường ống dầu nóng | + | + | +(3)(4) | |
| Nước biển | Đường ống hút khô | + | + | +(2) |
| Đường ống chữa cháy chính và đường ống phun sương nước | + | + | +(4) | |
| Đường ống hệ thống bọt | + | + | +(4) | |
| Hệ thống phun nước tự động | + | + | +(4) | |
| Hệ thống dằn | + | + | +(2) | |
| Hệ thống nước làm mát | + | + | +(2) | |
| Hệ thống rửa két | + | + | + | |
| Hệ thống phụ | + | + | + | |
| Nước ngọt | Hệ thống nước làm mát | + | + | +(2) |
| Hệ thống hồi nước ngưng | + | + | +(2) | |
| Hệ thống phụ | + | + | + | |
| Vệ sinh/thải/thoát nước | Thoát nước của boong (bên trong tàu) | + | + | +(5) |
| Nước thải vệ sinh | + | + | + | |
| Thoát và xả nước (ra mạn) | + | + | - | |
| Ống đo/ống thông hơi | Các két nước/các khoang khô | + | + | + |
| Các két dầu (nhiệt độ chớp cháy >60oC) | + | + | +(3)(4) | |
| Các công dụng khác | Khí điều khiển/khí khởi động | + | + | - |
| Khí phục vụ (phụ) | + | + | + | |
| Nước mặn | + | + | + | |
| Hệ thống CO2(2) | + | + | - | |
| Hơi nước | + | + | - | |
Chú thích:
(1) Dấu “+": được áp dụng, dấu “-” không được áp dụng
(2) Trong buồng máy loại A - chỉ loại chịu lửa được duyệt
(3) Không ở trong buồng máy loại A hoặc buồng sinh hoạt. Có thể chấp nhận việc đặt trong các buồng máy khác nếu các mối nối được đặt ở các vị trí dễ nhìn thấy và dễ tới gần.
(4) Loại chịu lửa được duyệt
(5) Chỉ trên boong mạn khô
(6) Trong buồng bơm và boong hở - chỉ loại chịu lửa được duyệt
(7) Nếu khớp nối ép có bộ phận nào dễ hư hỏng bởi lửa, chúng phải là loại chịu lửa được duyệt như yêu cầu đối với khớp nối trượt.
(8) Phải hạn chế đến mức tối thiểu số lượng các mối nối cơ khí trong các hệ thống ống dầu. Nói chung, phải sử dụng các mối nối bằng bích được chế tạo theo các tiêu chuẩn được chấp nhận.
(9) Việc sử dụng khớp nối trượt phải thỏa mãn các yêu cầu nêu tại 13.2.4.
Bảng 3/12.9 Việc sử dụng các mối nối cơ khí phụ thuộc loại ống (1)
| Kiểu mối nối | Loại của hệ thống ống | |||
| Nhóm I | Nhóm II | Nhóm III | ||
| Liên kết ống | Kiểu hàn | +(2) | +(2) | + |
| Khớp nối ép | Kiểu rập nóng | + | + | + |
| Kiểu ngoạm | +(2) | +(2) | + | |
| Kiểu loe | +(2) | +(2) | + | |
| Kiểu ép | - | - | + | |
| Mối nối trượt | Kiểu rãnh | + | + | + |
| Kiểu kẹp | - | + | + | |
| Kiểu trượt | - | + | + | |
Chú thích:
(1) Dấu “+”: được áp dụng, dấu “-” không được áp dụng
(2) Có thể sử dụng đối với các đường ống có đường kính danh nghĩa nhỏ hơn hoặc bằng 50A.
Bảng 3/12.10 Các kiểu mối nối giữa ống và bích ống và công dụng của chúng
| Công dụng Loại ống | Nhiệt độ thiết kế oC | Kiểu mối nối | |
| Hơi nước, không khí và nước | Dầu đốt, dầu bôi trơn, dầu thủy lực và dầu nóng | ||
| Nhóm I | > 400 | A, B (chú thích 1) | A, B |
| ≤ 400 | A, B (chú thích 2) | ||
| Nhóm II | > 250 | A, B, C | A, B, C |
| ≤ 250 | A, B, C, D, E | A, B, C, E (chú thích 3) | |
| Nhóm III | - | A, B, C, D, E, F (chú thích 4) | A, B, C, E (chú thích 3) |
Chú thích:
1 Kiểu mối nối (B) có thể dùng cho các ống hơi nước có đường kính danh nghĩa nhỏ hơn hoặc bằng 50A.
2 Kiểu mối nối (B) có thể dùng cho các ống hơi nước có đường kính danh nghĩa nhỏ hơn hoặc bằng 150A.
3 Kiểu mối nối (E) có thể dùng cho các ống có áp suất thiết kế nhỏ hơn hoặc bằng 1,0 MPa.
4 Kiểu mối nối (F) có thể dùng cho các ống nước hoặc các ống một đầu hở.
12.6 Thử nghiệm
12.6.1 Thử tại xưởng
1 Thử nghiệm các đường hàn của hệ chống ống và máy phụ phải thỏa mãn các yêu cầu trong Chương 11 của Phần này.
2 Các ống nhóm I, II, các ống hơi nước, các ống cấp nước, các ống không khí nén và các ống dầu đốt có áp suất thiết kế trên 0,35 MPa phải được thử thủy lực cùng với các phụ tùng đã được hàn sau khi hoàn thành quá trình gia công, ở áp suất bằng 1,5 lần áp suất thiết kế. Thử nghiệm này có thể được tiến hành sau khi lắp ráp xuống tàu.
3 Các ống thép có nhiệt độ thiết kế lớn hơn 300oC phải được thử thủy lực ở áp suất xác định theo công thức dưới đây. Nhưng không cần thử vượt quá 2 lần áp suất thiết kế. Trị số áp suất thử có thể giảm xuống 1,5 lần áp suất thiết kế để tránh ứng suất quá mức ở các chỗ bị uốn, ở các chi tiết chữ T, v.v... thử nghiệm này có thể được tiến hành sau khi lắp ráp trên tàu.

Trong đó:
Ph: Áp suất thử (MPa)
K100: Ứng suất cho phép của vật liệu ống ở 100 oC (N/mm2)
Kt: Ứng suất cho phép của vật liệu ống ở nhiệt độ thiết kế (N/mm2)
P: Áp suất thiết kế (MPa)
4 Nếu chắc rằng tổng áp suất màng chính trong thành ống vượt quá 90% giới hạn chảy danh nghĩa ở áp suất thử được quy định ở -2 và -3, phải hạ thấp áp suất thử để giảm ứng suất xuống 90% giới hạn chảy danh nghĩa.
5 Các van và phụ tùng ống nhóm I và II phải được thử thủy lực ở áp suất bằng 1,5 Iần áp suất thiết kế.
6 Các van và đoạn ống để lắp van vào mạn tàu phía dưới đường nước chở hàng phải được thở thủy lực với áp suất bằng 1,5 lần áp suất thiết kế hoặc 0,5 MPa, lấy giá trị nào lớn hơn.
7 Các phần chịu áp lực của các máy phụ (trừ máy phụ chuyên dụng v.v...) phải được thử thủy lực ở áp suất bằng 1,5 lần áp suất thiết kế và 0,2 MPa lấy giá trị nào lớn hơn.
8 Các két chứa dầu đốt rời phải được thử thủy lực với áp suất ứng với cột áp cao hơn tấm đỉnh 2,5 m.
9 Các máy phụ (trừ máy phụ chuyên dụng) phải được thử hoạt động khi Đăng kiểm yêu cầu.
12.6.2 Thử nghiệm sau khi lắp ráp trên tàu
Khi các mối nối giữa các ống hoặc giữa ống và van được hàn trên tàu, hệ thống đường ống này phải được thử thủy lực khi Đăng kiểm yêu cầu.

Hình 3/12.2 Các kiểu nối bích
Chú thích:
1 Các kích thước tiêu chuẩn của các mối hàn như sau:
e = 1,4t
m = t
S1 = t
S2 = 0,5t
trong đó t là chiều dày quy định của ống.
2 Đối với kiểu D, ống và bích phải nối bằng ren côn và phải bắt chặt vào bích bằng độ căng. Tuy nhiên đường kính ngoài của phần ren của ống không được nhỏ hơn so với đường kính ngoài của ống không cắt ren.
CHƯƠNG 13 HỆ THỐNG ĐƯỜNG ỐNG
13.1 Quy định chung
13.1.1 Phạm vi áp dụng
Các yêu cầu trong Chương này áp dụng cho các hệ thống đường ống.
13.1.2 Các bản vẽ và tài liệu
1 Các bản vẽ và tài liệu phải trình duyệt như sau:
(1) Các bản vẽ (có ghi vật liệu, kích thước, kiểu, áp suất và nhiệt độ thiết kế v.v... của ống, van v.v...)
(a) Sơ đồ đường ống trong tàu;
(b) Sơ đồ đường ống trong buồng máy;
(c) Phương pháp ngăn ngừa dầu phun từ các mối nối bích và các mối nối đặc biệt (mối nối cơ khí, nối lắp ép, v.v...) trong hệ thống dầu đốt, dầu bôi trơn và các đường ống dầu dễ cháy khác, nếu có.
(d) Các bản vẽ khác mà Đăng kiểm cho là cần thiết;
(2) Các tài liệu
(a) Các đặc tính kĩ thuật của máy;
(b) Các tài liệu khác mà Đăng kiểm cho là cần thiết.
13.2 Đường ống
13.2.1 Quy định chung
1 Cố định ống
(1) Phải có phần ống dôi để bù hòa ảnh hưởng do dãn nở, co, biến dạng của vỏ tàu và chấn động. Độ dài nhịp được đỡ của ống phải thích hợp để tránh mọi quá tải.
(2) Phải cố gắng giảm đến mức tối thiểu số lượng mối nối ống tháo được.
2 Bán kính uốn ống
Bán kính cong của đường tâm ống ở chỗ bị uốn không được nhỏ hơn 2 lần đường kính ngoài của ống.
3 Sự hoạt động của ống
Phải bố trí các ống sao cho không ảnh hưởng đến sự hoạt động của thiết bị do đọng nước, không khí hoặc tổn thất áp suất trong các ống.
4 Đường ống ở gần thiết bị điện
Cố gắng không đưa đường ống đến gần các thiết bị điện như máy phát, bằng điện, thiết bị điều khiển v.v... Nếu không thể tránh được thì phải chú ý để không bố trí bích hoặc mối nối ở phía trên hoặc gần thiết bị điện, trừ khi đã phòng chống sự rò rỉ xuống thiết bị.
5 Bảo vệ ống và phụ tùng
(1) Phải bảo vệ thích đáng tất cả các ống, van, phụ tùng ống, cần van, tay vặn v.v... đặt ở trong khoang hàng hoặc trên boong thời tiết mà ở đó chúng dễ bị hư hỏng. Nếu dùng hộp bảo vệ để bảo vệ thì hộp bảo vệ phải dễ tháo được để kiểm tra.
(2) Phải lưu ý thích đáng đến việc bảo vệ chống ăn mòn cho các ống bố trí ở nơi khó tới bảo dưỡng và kiểm tra.
6 Các van xả áp
(1) Phải bảo vệ tất cả các đường ống có thể có áp suất bên trong vượt quá áp suất thiết kế bằng các van xả áp hoặc các thiết bị phòng quá áp khác.
(2) Các đầu xả của các van xả áp hoặc thiết bị phòng quá áp phải được dẫn tới các nơi an toàn.
7 Thiết bị đo áp suất và nhiệt độ
(1) Phải đặt các thiết bị đo áp suất và nhiệt độ ở những nơi cần thiết trên các hệ thống đường ống.
(2) Van phải được lắp ở chân thiết bị đo áp suất để cách li thiết bị đo khỏi đường ống có áp lực.
(3) Nếu trong các đường ống hoặc thiết bị của hệ thống dầu đốt, dầu bôi trơn, dầu dễ cháy có đặt các nhiệt kế thì các nhiệt kế phải được đặt trong vỏ bọc bảo vệ an toàn để ngăn ngừa dầu phun ra khi nhiệt kế bị vỡ hoặc khi tháo nhiệt kế ra.
8 Dấu hiệu phân biệt đường ống
(1) Phải sơn bằng các màu riêng để tránh sử dụng sai cho các ống đặt ở những nơi mà vì yêu cầu về an toàn thấy cần.
(2) Nếu vì lí do an toàn thấy cần, phải gắn thẻ ghi công dụng vào các van. Các van của hệ thống chữa cháy phải sơn màu đỏ.
(3) Phải gắn thẻ tên vào các đầu hở của các ống thông hơi, ống đo và ống tràn.
9 Vệ sinh hệ thống đường ống
Phải làm sạch các hệ thống đường ống sau khi chế tạo hoặc lắp ráp trên tàu nếu thấy cần thiết.
13.2.2 Nối và dùng chung ống
1 Nối ống dầu với ống khác
(1) Các ống dầu đốt phải độc lập hoàn toàn với các ống khác, trừ khi có các phương tiện ngăn ngừa trộn lẫn tình cờ với các chất lỏng khác trong khi hoạt động.
(2) Các ống dầu bôi trơn phải độc lập hoàn toàn với các đường ống khác.
(3) Các ống nước ngọt cấp cho nồi hơi hoặc nước ngọt sinh hoạt phải độc lập hoàn toàn với các ống khác để tránh nhiễm bẩn dầu hoặc nước chứa dầu.
(4) Các ống dầu và các ống hâm trong các két sâu có thể được dùng để chứa hàng thông thường phải có khả năng tháo rời được hoặc có các thiết bị thích hợp như bích tịt hoặc đoạn ống nối. Các ống hút khô và ống nước dằn trong các két sâu này phải thỏa mãn các yêu cầu ở 13.5.1-10.
2 Dùng chung các ống nước biển và nước ngọt
Các ống nước biển và nước ngọt phải độc lập nhau trừ khi có biện pháp thích hợp tránh trộn lẫn tình cờ của nước ngọt với nước biển.
13.2.3 Việc xuyên ống
Nơi ống xuyên qua vách kín nước, boong, và tấm đỉnh, tấm đáy, và các vách của két sâu và tấm đáy trong, phải có biện pháp đảm bảo kín nước cho các kết cấu.
13.2.4 Mối nối trượt
Không được dùng mối nối trượt ở các đường ống trong các khoang hàng, các két sâu và các khoang khó tới, trừ khi được Đăng kiểm cho phép.
13.2.5 Van trên vách ngăn
1 Các van vặn hoặc van gạt như các van xả không phải là một phần của một hệ thống đường ống nào cả thì không được lắp trên vách chống va.
2 Các ống xuyên qua vách chống va phải có van thích hợp thao tác được từ phía trên boong mạn khô và hộp van phải được cố định chắc ở vách bên trong khoang mút mũi. Tuy nhiên có thể lắp van phía sau vách chống va với điều kiện là dễ đến gần được ở mọi điều kiện khai thác và nơi đặt van không phải là khoang chứa hàng. Khi đó có thể không cần có thiết bị điều khiển từ xa các van này.
3 Các van như van xả không phải là một phần của bất cứ hệ thống đường ống nào, có thể lắp trên vách kín nước khác vách chống va, với điều kiện là dễ đến gần được vào mọi lúc cần kiểm tra. Phải thao tác được các van này từ phía trên boong chính và có chỉ báo đóng mở, trừ khi các van được bắt chắc vào vách trước hoặc vách sau phía trong buồng máy.
4 Các phương tiện để điều khiển các van từ trên boong mạn khô hoặc trên boong chính phải được kết cấu sao cho trọng lượng của chúng không đè lên van.
13.2.6 Ngăn ngừa đóng băng trong các ống
Phải có biện pháp thích hợp ngăn ngừa việc đóng băng đối với các ống hút khô, ống thông hơi, ống đo và ống xả v.v... đi qua hoặc được đặt ở gần buồng lạnh, nơi có nguy cơ đóng băng ở bề mặt trong của các ống.
13.2.7 Phòng chảy ngược qua các ống thoát nước
Khi một ống thoát nước trong buồng máy dẫn đến một két đáy đôi và khi có nguy cơ ngập tàu qua ống thoát nước do nước biển chảy vào két v.v..., thì phải có một van chặn hoặc thiết bị thích hợp dễ thao tác được từ sàn buồng máy để ngăn dòng chảy ngược của nước biển. Tuy nhiên yêu cầu này không áp dụng cho các tàu có chiều dài dưới 100 m.
13.3 Van hút nước biển và van xả mạn
13.3.1 Nối ống hút nước biển và các ống xả mạn
Các ống lấy nước biển vào và xả ra mạn phải được nối vào các van vặn hoặc van gạt được lắp đặt theo các yêu cầu ở 13.3.2-2 và -3.
13.3.2 Vị trí và kết cấu của các van hút nước biển và các van xả mạn v.v...
1 Các lỗ xả mạn phải bố trí sao cho không xả nước vào xuồng hoặc bè cứu sinh ở vị trí hạ thủy ấn định kể cả khi chúng đã được hạ thủy, trừ khi đã có biện pháp để tránh việc xả nước bất kỳ vào chúng
2 Các van hút nước biển và van xả mạn được lắp vào mạn tàu, hộp thông biển tạo thành một phần của kết cấu thân tàu hoặc lắp vào đoạn ống nối vào tôn vỏ phải được bố trí ở các vị trí dễ tới gần.
3 Các van vặn hoặc van gạt quy định ở -2 phải được lắp thỏa mãn các yêu cầu sau đây:
(1) Các van vặn hoặc van gạt phải được lắp vào các tấm ốp được hàn vào tôn vỏ hoặc vào hộp thông biển bằng các vít cấy. Các vít cấy này không được xuyên qua tôn vỏ và hộp thông biển.
(2) Các van vặn hoặc van gạt phải được lắp bằng bu lông với đoạn ống lắp van được cố định chắc vào vỏ tàu. Trong trường hợp này, các đoạn ống lắp van phải có kết cấu cứng và càng ngắn càng tốt.
4 Các cần van của các van hút nước biển phải nhô lên cao hơn mặt sàn thấp, nơi dễ thao tác. Các van hút nước biển dẫn động bằng cơ giới cũng phải dẫn động được bằng tay. Các van hút nước biển phải có dụng cụ chỉ báo để chỉ van đóng hay mở.
5 Các van xả mạn phải được trang bị các đầu nối đi qua tôn vỏ và các vòng bảo vệ nêu ở -6(1). Nhưng có thể không cần trang bị các đầu nối này nếu các phụ tùng được gắn vào các đệm lót hoặc đoạn ống lắp van tạo nên dạng đầu nối ở vùng tôn vỏ và vòng bảo vệ. Các van xả mạn phải có dụng cụ chỉ báo để chỉ van đang đóng hay mở.
6 Các van xả của nồi hơi và thiết bị bốc hơi phải thỏa mãn các yêu cầu (1) và (2) sau đây:
(1) Các van xả của nồi hơi và thiết bị bốc hơi phải được lắp ở các vị trí dễ tiếp cận và phải có các vòng bảo vệ ở phía ngoài của tôn vỏ để chống ăn mòn.
(2) Các cần gạt của van gạt phải không thể tháo ra được trừ khi van gạt đang đóng và nếu dùng van vặn, các vô lăng vặn phải được gắn thích hợp trên trục vặn của van.
13.3.3 Kết cấu của các hộp thông biển
Các hộp thông biển phải có kết cấu đảm bảo không bị tắc hút do nút không khí.
13.3.4 Mặt sàng của các cửa hút nước biển
1 Phải trang bị các mặt sàng cho các cửa lấy nước biển vào. Diện tích thông qua các mặt sàng không được nhỏ hơn 2 lần tổng diện tích cửa vào của các van hút nước biển.
2 Phải có thiết bị để làm sạch các mặt sàng nêu ở -1 trên bằng hơi nước, không khí nén, nước v.v... áp suất thấp
13.4 Các lỗ thoát nước và các lỗ xả vệ sinh
13.4.1 Quy định chung
1 Hệ thống ống thoát nước với số lượng và kích thước ống đủ cho việc tiêu nước có hiệu quả phải được trang bị ở tất cả các boong. Tuy nhiên, Đăng kiểm có thể cho phép miễn trừ các phương tiện thoát nước trong một khoang bất kì của một tàu hoặc một loại tàu nếu Đăng kiểm nhận thấy do kích thước và việc phân chia khoang cửa các khoang này, an toàn của con tàu không bị ảnh hưởng do việc miễn giảm này.
2 Các ống thoát nước cho boong thời tiết và các khoang trong thượng tầng và lầu trên boong có các cửa ra vào không có các phương tiện đóng thỏa mãn các yêu cầu ở 16.3.1, Phần 2-A của Quy phạm này phải được đưa ra mạn.
3 Các ống thoát từ các khoang trong thượng tầng kín hoặc bên trong lầu trên boong kín trên boong mạn khô phải đưa thẳng tới các hố gom nước trong tàu. Tuy nhiên, có thể đưa chúng ra mạn khi có các van thỏa mãn các yêu cầu sau:
(1) Mỗi lỗ thoát độc lập phải có một van tự động một chiều có phương tiện đóng cưỡng bức từ trên boong mạn khô, hoặc có thể sử dụng một van tự động một chiều không có phương tiện đóng cưỡng bức cùng với một van chặn điều khiển được từ trên boong mạn khô. Tuy nhiên, đối với các ống thoát nước dẫn ra mạn qua tôn vỏ trong buồng máy có người trực, có thể chấp nhận việc lắp vào tôn tôn vỏ một van đóng cưỡng bức điều khiển tại chỗ cùng với một van một chiều ở trong tàu. Các phương tiện để thao tác van cưỡng bức từ phía trên boong mạn khô phải dễ tiếp cận và phải có dụng cụ chỉ báo để chỉ van đóng hay mở.
(2) Nếu chiều cao từ đường nước chở hàng tới đầu ống thoát nước trong tàu lớn hơn 0,01Lf, thì ống thoát nước có thể có 2 van tự động một chiều không cần phương tiện đóng cưỡng bức để thay cho các van quy định ở -1. Trong trường hợp này, van phía trong tàu phải đặt cao hơn đường nước chở hàng nhiệt đới và luôn tiếp cận được để kiểm tra ở điều kiện khai thác. Nếu không thể đặt được van trong tàu ở trên đường nước trên, cho phép đặt một van chặn điều khiển tại chỗ giữa hai van tự động một chiều.
(3) Nếu chiều cao nêu ở (2) vượt quá 0,02 Lf thay cho các van quy định ở (1) và (2) có thể chỉ dùng một van tự động một chiều không cần phương tiện đóng cưỡng bức, nếu được Đăng kiểm đồng ý.
4 Các đường ống thoát mạn từ các buồng nằm dưới boong mạn khô phải được dẫn trực tiếp vào giếng hút khô trong tàu. Có thể dẫn ra mạn nếu chúng có các van thỏa mãn các yêu cầu sau:
(1) Mỗi lỗ thoát độc lập phải có một van tự động một chiều có phương tiện đóng cưỡng bức từ trên boong mạn khô, hoặc có một van tự động một chiều không có phương tiện đóng cưỡng bức và một van chặn điều khiển được trên boong mạn khô. Các phương tiện để thao tác van cưỡng bức từ trên boong mạn khô phải dễ tiếp cận và phải có dụng cụ chỉ báo để chỉ van đóng hay mở.
(2) Tuy nhiên, nếu chiều cao từ đường nước chở hàng tới đầu ống thoát nước trong tàu lớn hơn 0,01Lf, thì ống thoát nước có thể có 2 van tự động một chiều không cần phương tiện đóng cưỡng bức để thay cho các van quy định ở (1). Trong trường hợp này, van phía trong tàu phải đạt cao hơn đường nước chở hàng nhiệt đới và luôn tiếp cận được để kiểm tra ở điều kiện khai thác.
5 Bất kể các yêu cầu ở -3, các ống thoát nước từ các khoang hàng kín trên boong mạn khô phải tuân theo các yêu cầu sau:
(1) Nếu mạn khô của boong mạn khô được bố trí mà boong bị ngập khi tàu nghiêng quá 5o, phải có các ống thoát nước đưa thẳng ra mạn thỏa mãn các yêu cầu ở -3.
(2) Nếu mạn khô của boong mạn khô được bố trí mà boong bị ngập khi tàu nghiêng bằng hoặc nhỏ hơn 5o, các ống thoát nước phải thỏa mãn các yêu cầu sau:
(a) Các ống thoát phải đưa thẳng tới các hố gom nước.
(b) Phải có tín hiệu báo động mức nước tăng cao ở hố gom nước có các ống thoát nước nối vào.
(c) Ở khoang hàng kín được bảo vệ bởi hệ thống dập cháy bằng CO2, các ống thoát nước cho boong phải có phương tiện ngăn ngừa khí chữa cháy thoát ra.
6 Bất kể các yêu cầu ở -3 và -4 có thể bố trí chỉ một van chặn cho các ống xả mạn nếu, trừ lúc xả, các van này luôn được đóng trong quá trình hành hải. Tuy nhiên, van chặn này phải đóng được từ một nơi dễ tiếp cận trong quá trình hành hải bằng một thiết bị đóng có chỉ báo.
7 Các ống thoát nước xuất phát ở độ cao bất kỳ và xuyên qua tôn vỏ ở vị trí thấp hơn boong mạn khô quá 450 mm hoặc cao hơn đường nước chở hàng dưới 600 mm đều phải có một van một chiều ở chỗ tôn vỏ đó. Có thể không cần trang bị van này, trừ khi được quy định riêng ở -3 và -4, nếu chiều dày của các ống thoát nước thỏa mãn các yêu cầu trong Bảng 3/12.6.
13.4.2 Lỗ xả mạn chung
Số lượng lỗ thoát nước, lỗ thoát vệ sinh và các lỗ tương tự khác ở tôn vỏ phải được giảm tới mức ít nhất bằng cách mỗi lỗ xả được dùng chung cho càng nhiều ống vệ sinh và các ống khác càng tốt, hoặc bằng bất cứ cách phù hợp nào khác. Tuy nhiên, các hệ thống xả ra mạn khác nhau không được nối với nhau, trừ khi được Đăng kiểm cho phép.
13.4.3 Hệ thống xả vệ sinh
Hệ thống vệ sinh phải thỏa mãn các yêu cầu ở 13.4.1 và 13.4.2.
13.4.4 Lỗ thổi tro và thổi rác
1 Lỗ khoét trong tàu dùng để thổi tro, rác v.v... phải có nắp đóng có hiệu quả.
2 Nếu các lỗ khoét nêu ở -1 trên nằm dưới boong mạn khô, thì nắp đóng phải kín nước và phải bổ sung thêm một van một chiều tự động đặt trong đường thổi tro hoặc rác v.v... ở vị trí dễ tiếp cận trên đường nước chở hàng nhiệt đới.
13.5 Hệ thống đường ống hút khô và dằn
13.5.1 Quy định chung
1 Phải có một hệ thống bơm hút khô đủ khả năng bơm hút và xả ra, ở mọi điều kiện thực tế, cho một khoang kín nước bất kỳ không phải là khoang luôn dùng để chở chất lỏng đã có đủ phương tiện bơm khác.
2 Phải có một hệ thống nước dằn đủ khả năng bơm nước dằn vào và ra khỏi bất kỳ két chứa nước dằn nào ở mọi điều kiện thực tế.
3 Nếu hệ thống chữa cháy cố định bằng phun sương nước áp lực hoặc hệ thống chữa cháy cố định khác, có thể cấp ra nhiều nước được lắp cho các khoang hàng như yêu cầu ở 19.3.1-3, 19.3.9, 20.2.1, 20.5.1-1(3), 20.5.1-2 hoặc 20.5.1-4, Phần 5 của Quy phạm, thì các hệ thống bơm hút khô cho các khoang hàng đó phải tuân theo các yêu cầu nêu trên, ngoài việc phải áp dụng các yêu cầu ở Chương này.
4 Phải có biện pháp thích hợp cho hệ thống hút khô để phòng tránh khả năng nước biển tràn vào khoang kín nước và do vô ý nước đáy tàu tràn từ khoang này sang khoang khác. Để thỏa mãn được yêu cầu này, tất cả các hộp van phân phối nước đáy tàu và các van điều khiển bằng tay gắn với hệ thống hút khô phải đặt ở những nơi tiếp cận được trong các điều kiện thông thường. Tất cả các van trong hộp van phân phối nước đáy tàu phải là van một chiều.
5 Các ống hút khô cho các khoang hàng, buồng máy và hầm trục phải độc lập hoàn toàn với các ống không phải là ống hút khô.
6 Các ống hút khô đi qua các két sâu chỉ dùng để dằn và các ống hút khô, dằn đi qua các két sâu không phải là két dằn phải dẫn qua một hầm ống kín dầu hoặc kín nước, hoặc phải có đủ chiều dày thỏa mãn các yêu cầu ở Bảng 3/12.6 và tất cả các mối nối phải được hàn.
7 Các ống hút khô qua các két đáy đôi phải dẫn qua hầm kín dầu hoặc kín nước hoặc phải đủ chiều dày thỏa mãn các yêu cầu ở Bảng 3/12.6.
8 Các ống hút khô đi qua các đáy đôi, các két mạn, các két hông hoặc qua các khoang trống có thể bị hư hỏng do mắc cạn hoặc va chạm, phải có các van một chiều ở gần các đầu hút, hoặc phải có các van chặn đóng được từ các vị trí dễ tiếp cận.
9 Hệ thống ống nước dằn phải có thiết bị dự phòng thích hợp như van một chiều hoặc van chặn luôn đóng trừ khi đang hút và xả dằn và phải có chỉ báo đóng mở để tránh do sơ suất nước biển chảy vào két dằn hoặc chảy từ két dằn này sang két dằn khác.
10 Khi một khoang hàng được chứa nước dằn xen kẽ với chứa hàng, phải có các trang bị thích hợp như bích tịt, ống cuộn ở trong hệ thống ống nước dằn để tránh do sơ suất nước biển chảy vào qua các ống nước dằn khi đang chở hàng, và ở trong hệ thống ống hút khô để tránh do sơ suất nước dằn qua các ống hút khô chảy vào khi đang chứa nước dằn.
11 Nếu một két vừa để chứa dầu đốt vừa để chứa nước dằn, cần phải có trang bị thích hợp như bích tịt hoặc ống cuộn để ngăn sự pha trộn dầu đốt vào nước dằn trong ống dằn khi két đang chứa dầu đốt và trong ống dầu đốt khi két đang chứa nước dằn.
13.5.2 Các thuật ngữ
1 Đường ống hút khô chính là phần ống chính của đường ống hút khô nối vào các bơm hút khô được dẫn động cơ giới độc lập nêu ở 13.5.4-1 và nối vào nó là tất cả các ống hút khô nhánh từ các đầu hút nêu ở 13.5.5 và từ 13.5.7-1 đến -4.
2 Đường ống hút khô nhánh là ống hút từ đầu hút của mỗi khoang nối vào đường ống hút khô chính.
3 Ống hút khô trực tiếp là ống hút khô được nối trực tiếp với một bơm được dẫn động cơ giới độc lập nêu ở 13.5.4-1 và hoàn toàn tách biệt với các ống khác.
4 Ống hút khô ứng cấp là ống hút khô được dùng trong trường hợp ứng cấp và được nối trực tiếp với một bơm được dẫn động cơ giới nêu ở 13.5.7-6(1) hoặc ở -7(1).
13.5.3 Kích thước của các ống hút khô
1 Đường ống hút khô chính, các ống hút khô trực tiếp và ống nhánh từ các khoang kín nước phải có đường kính trong tính theo các công thức (1) và (2) dưới đây, hoặc phải là các ống tiêu chuẩn có đường kính trong gần nhất với đường kính tính được. Trong trường hợp đường kính trong của các ống tiêu chuẩn này nhỏ hơn giá trị tính được từ 13 mm trở lên, phải dùng các ống tiêu chuẩn lớn hơn một mức.
(1) Với đường ống hút khô chính và các ống hút khô trực tiếp:

(2) Với các ống hút khô nhánh:

Trong đó:
d: Đường kính trong của đường ống hút khô chính hoặc của các ống hút khô trực tiếp (mm)
d’: Đường kính trong của ống hút khô nhánh (mm)
L, B, D: Tương ứng với chiều dài, chiều rộng, chiều cao của tàu (m)
Tuy nhiên đối với các tàu áp dụng yêu cầu 13.4.1-5(2), đại lượng “D” được xác định như sau:
(a) Đối các tàu có các khoang hàng kín kéo dài hết toàn bộ chiều dài tàu, “D” là chiều cao của tàu đo tới boong ngay trên boong mạn khô (m)
(b) Đối các tàu có khoang hàng kín không kéo hết toàn bộ chiều dài tàu, “D” là chiều cao của tàu cộng với l’ xh/L (m); trong đó l’, h tương ứng là tổng chiều dài và chiều cao của các khoang hàng kín.
I: chiều dài của khoang được các ống hút khô nhánh hút (m)
2 Đường kính trong của đường ống hút khô chính không được nhỏ hơn bất cứ đường kính của ống hút khô nhánh nào tính theo công thức ở -1(2)
3 Đường kính trong của các ống hút khô trực tiếp cũng phải thỏa mãn các yêu cầu ở 13.5.7-5(1) và (2)
4 Nếu các đầu hút khô được bố trí cả ở phần trước và sau của khoang hàng theo các yêu cầu ở 13.5.5-1, đường kính trong của ống hút khô nhánh ở phần trước có thể giảm tới 0,7 lần đường kính tính theo công thức ở -1(2)
5 Khi các bơm hút khô trong buồng máy chỉ dùng riêng cho hút khô nước trong buồng máy, đường kính trong của đường ống hút khô chính và của các ống hút khô trực tiếp có thể giảm xuống tới trị số tính theo công thức sau:

Trong đó:
l: chiều dài buồng máy (m)
d, B, D: như được nêu ở -1 trên.
6 Đường kính trong của ống hút khô nhánh không được nhỏ hơn 50 mm, trừ khi hút khô cho một khoang nhỏ đường kính trong có thể giảm tới 40 mm nếu được Đăng kiểm đồng ý.
7 Diện tích mặt cắt ngang bên trong của các ống hút khô nối hai ống hút khô nhánh hoặc nhiều hơn vào đường ống hút khô chính phải không được nhỏ hơn tổng diện tích mặt cắt ngang bên trong của hai ống hút khô nhánh lớn nhất nhưng không cần vượt quá diện tích mặt cắt ngang bên trong của đường ống hút khô chính tính theo công thức ở -1(1).
8 Đường kính trong của các ống hút khô ở khoang mút mũi, mút đuôi và hầm trục không được nhỏ hơn 65 mm trừ trường hợp đối với các tàu có chiều dài dưới 60 m, đường kính này có thể giảm xuống đến 50 mm.
13.5.4 Bơm hút khô
1 Số lượng bơm hút khô:
(1) Tất cả các tàu phải có ít nhất hai bơm hút khô độc lập được truyền động cơ giới nối vào các ống hút khô chính. Tuy nhiên, đối với các tàu có chiều dài không quá 90 m, một trong các bơm có thể do động cơ chính lai.
(2) Các bơm nước dằn, bơm vệ sinh và bơm dùng chung được dẫn động cơ giới độc lập có thể dùng làm các bơm hút khô độc lập dẫn động bằng cơ giới với điều kiện là chúng được nối thích hợp vào đường ống hút khô chính.
(3) Một trong các bơm hút khô độc lập được truyền động cơ giới quy định ở (1) có thể được thay bằng một bơm phụt nối với một bơm nước biển không phải là bơm hút khô nếu được Đăng kiểm chấp nhận. Trong trường hợp này, sản lượng của bơm phụt phải thỏa mãn yêu cầu ở -2.
2 Sản lượng của bơm hút khô
Mỗi bơm quy định ở -1 phải có khả năng hút được một lượng nước không nhỏ hơn trị số tính theo công thức dưới đây qua đường ống hút khô chính nêu ở 13.5.3:
Q = 5,66 d2 x 10-3
Trong đó:
Q: Sản lượng quy định (m3/h)
d: Đường kính trong của đường ống hút khô chính quy định ở 13.5.3 (mm)
Nếu sản lượng của một trong các bơm này nhỏ hơn quy định một chút, có thể bổ sung lượng thiếu hụt bằng sản lượng dư của một bơm khác.
3 Kiểu bơm hút khô
Tất cả các bơm hút khô độc lập được truyền động cơ giới quy định ở -1 phải là loại tự hút hoặc tương đương và phải được bố trí thích hợp để khi sử dụng có thể hoạt động được ngay.
4 Nối các bơm hút khô và các ống hút.
Tất cả các bơm được truyền động cơ giới quy định ở -1 phải được bố trí để hút khô nước đáy tàu ra khỏi tất cả các khoang hàng, buồng máy và hầm trục. Tuy nhiên, nếu một bơm phụt chỉ dùng riêng cho hút khô trong một khoang hàng, thì đường ống hút khô khoang này không cần nối với các bơm hút khô quy định ở -1. Trong trường hợp này bơm phụt phải bố trí sao cho được dẫn động bởi hai bơm trở lên. Sản lượng của bơm nước biển dùng dẫn động cho bơm phụt, sản lượng của bơm phụt, đường kính trong của ống hút phải được Đăng kiểm xem xét để chấp nhận.
13.5.5 Bố trí đầu hút trong các khoang hàng
1 Ở các tàu chỉ có một khoang hàng với chiều dài quá 33 m thì các đầu hút phải được bố trí thích hợp ở nửa phía sau và ở nửa phía trước theo chiều dài khoang hàng.
2 Nếu sàn đáy đôi kéo dài tới hai mạn tàu, thì phải đặt các đầu hút trong các hố gom nước ở cả hai bên hông và nếu sàn nóc có độ khum ngược lại còn phải đặt cả ở đường tâm tàu.
3 Nếu đặt tấm lót kín ở trên đáy của khoang hàng, phải bố trí sao cho nước ở các phần của khoang hàng có thể chảy đến được các đầu hút.
4 Trong các buồng lạnh, bọc cách nhiệt của các hố gom nước và các lưới hút nước trong các rãnh hút khô phải là kiểu dễ đính vào và có thể tháo được.
5 Trong buồng lạnh, cách nhiệt cho các ống hút khô phải tháo được với mức độ cần thiết để kiểm tra.
13.5.6 Hút khô cho đỉnh các két sâu, két mút mũi, két mút đuôi và hầm xích
1 Có thể dùng bơm phụt hoặc bơm tay để hút khô các két mút mũi, két mút đuôi, boong tạo thành đỉnh của các két này và các hầm xích. Các bơm phụt và bơm tay này phải vận hành được bất kì lúc nào từ vị trí dễ đến ở trên đường nước chở hàng.
2 Phải có phương tiện hút nước đọng khỏi đỉnh của các két sâu và các sàn kín nước khác.
3 Nước đọng của các khoang trên các két sâu có thể được dẫn đến các hố gom nước ở trong hầm trục hoặc một khoang dễ tiếp cận. Trong trường hợp này, đường kính danh nghĩa của các ống không được lớn hơn 65A và phải có các van tự đóng nhanh ở vị trí dễ tiếp cận.
4 Đường ống hút đi qua vách chống va phải thỏa mãn các yêu cầu ở 13.2.5-2.
13.5.7 Bố trí đầu hút khô trong buồng máy
1 Trong buồng máy không có đáy đôi phải có ít nhất hai đầu hút ở gần đường tâm tàu. Một đầu cho ống hút khô nhánh và đầu kia cho ống hút khô trực tiếp. Nếu độ nghiêng của sàn nhỏ hơn 5o phải có thêm các đầu hút ở hai bên hông tàu.
2 Nếu đáy đôi trong buồng máy tạo thành các rãnh nước ở hai bên hông tàu, phải có một ống hút khô nhánh và một ống hút khô trực tiếp cho mỗi bên hông tàu.
3 Khi sàn đáy đôi kéo dài tới hai mạn tàu phải tạo các hố gom nước ở cả hai bên hông tàu và phải có một ống hút nhánh và một ống hút trực tiếp cho mỗi hố gom nước.
4 Khi buồng máy có các vách kín nước cách li với khoang nồi hơi và buồng máy phụ, thì phải bố trí các ống hút khô trong khoang nồi hơi và buồng máy phụ để thỏa mãn các yêu cầu ở -1 cho trường hợp không có đáy đôi và phải thỏa mãn các yêu cầu ở -2 và -3 khi có đáy đôi. Tuy nhiên, cho phép chỉ cần một ống hút khô trực tiếp cho trường hợp có đáy đôi.
5 Các ống hút khô trực tiếp phải thỏa mãn các yêu cầu sau:
(1) Đường kính trong của ống hút khô trực tiếp không được nhỏ hơn trị số tính theo công thức ở 13.5.3-1(1).
Khi ở mỗi mạn buồng máy có một ống hút khô trực tiếp thỏa mãn các yêu cầu ở -2 hoặc -3, đường kính trong của một trong các ống hút có thể giảm tới trị số theo công thức ở 13.5.3-1(2). Trong trường hợp này phải đặt ống có đường kính đã giảm ở cùng phía với các ống hút khô ứng cấp nêu ở -6 hoặc -7.
(2) Bất kể các yêu cầu ở (1), nếu các khoang có kích thước nhỏ, có thể giảm thích đáng đường kính trong của các ống hút khô trực tiếp.
6 Ống hút khô sự cố cho các tàu có máy chính là tua bin hơi phải thỏa mãn các yêu cầu sau:
(1) Phải nối một ống hút khô sự cố có van chặn một chiều cứ tay quay dễ điều khiển từ trên sàn buồng máy vào đầu hút của bơm tuần hoàn chính và ống hút của bơm này phải được dẫn đến vị trí thích hợp trong buồng máy để xả được nước trong trường hợp sự cố. Đường kính trong của ống hút này không được nhỏ hơn 2/3 đường kính ống hút của bơm.
(2) Khi xét thấy bơm tuần hoàn chính không thích hợp cho việc hút khô, thì có thể nối ống hút khô sự cố với một bơm cơ giới lớn nhất có sẵn trong buồng máy không phải là các bơm hút khô quy định ở 13.5.4-1. Sản lượng của bơm này không được nhỏ hơn trị số quy định ở 13.5.4-2. Đường kính trong của ống hút khô này phải bằng đường kính ống hút của bơm.
(3) Nếu bơm nêu ở (1) và (2) là loại tự hút, có thể bỏ ống hút khô trực tiếp ở cùng phía mạn tàu với ống hút khô sự cố.
7 Ống hút khô sự cố cho các tàu có máy chính là động cơ Đi-ê-den hoặc tua bin khí phải thỏa mãn các yêu cầu sau:
(1) Phải lắp một ống hút khô sự cố có van chặn một chiều có tay quay dễ điều khiển từ trên sàn buồng máy vào bơm làm mát chính và ống hút phải được dẫn đến vị trí thích hợp trong buồng máy để hút khô được nước đáy tàu trong trường hợp sự cố. Đường kính trong của ống hút này phải bằng đường kính trong của ống hút của bơm.
(2) Nếu bơm làm mát chính không phù hợp với việc hút khô thì có thể nối ống hút khô sự cố với bơm cơ giới lớn nhất có trong buồng máy nhưng không phải là bơm hút khô nêu ở 13.5.4-1. Sản lượng của bơm không được nhỏ hơn sản lượng quy định ở 13.5.4-2. Đường kính trong của ống hút khô này phải bằng đường kính ống hút của bơm.
(3) Nếu bơm quy định ở (1) và (2) là loại tự hút, thì có thể bỏ ống hút khô trực tiếp ở cùng mạn tàu với ống hút khô sự cố.
13.5.8 Các hố gom nước đáy tàu
1 Chiều sâu của hố gom nước trong đáy đôi và khoảng cách thẳng đứng giữa tôn đáy và đáy của hố phải thỏa mãn các yêu cầu trong 4.1.3-2, Phần 2-A của Quy phạm này.
2 Thể tích của mỗi hố gom nước không được nhỏ hơn 0,17 m3.
3 Có thể thay các hố bằng các hõm gom nước bằng thép có thể tích thích hợp khi khoang phải hút khô nhỏ và không thể bố trí được các hố gom nước có thể tích quy định ở -2.
4 Nếu cần phải có các lỗ người chui vào các hố gom nước của các khoang hàng, thì phải cố gắng đặt chúng càng gần các đầu hút càng tốt. Cố gắng tránh đặt các lỗ người chui nêu trên ở trên vách trước và vách sau và tôn đáy trong của buồng máy.
13.5.9 Các hộp xả cạn và các hộp lưới lọc.
1 Trừ các ống hút khô ứng cấp trong buồng máy và trong hầm trục, các ống hút khô phải có các hộp xả cặn. Các hộp này phải dễ tới được từ sàn buồng máy, có nắp dễ đóng mở và đoạn ống hút nối từ hố gom nước đến cửa hút của hộp xả cặn phải thẳng.
2 Các đầu hút trong các khoang hàng phải được trang bị các hộp lưới lọc có lỗ thông với đường kính không lớn hơn 10 mm trừ khi được Đăng kiểm cho phép khác đi và hộp lưới lọc phải có diện tích thông của các lỗ không nhỏ hơn 2 lần diện tích thông của các ống hút và không cần tháo bất kỳ mối nối nào của các ống hút cũng làm vệ sinh được.
13.6 Ống thống hơi
13.6.1 Quy định chung
1 Tất cả các két và khoang cách ly phải được trang bị các ống thông hơi có diện tích mặt cắt ngang đủ để phục vụ việc thông hơi cho phần bất kì của két hoặc khoang cách ly.
2 Các két có tấm nóc có chiều dài hoặc rộng từ 7 m trở lên phải có từ hai ống trở lên ở các khoảng cách thích hợp. Các két có tấm nóc nghiêng chỉ cần có một ống thông hơi đặt ở phần cao nhất của tấm nóc.
3 Nếu các két hoặc các khoang cách li có hình dạng phức tạp, số lượng và vị trí các ống thông hơi sẽ được xem xét riêng.
4 Phải bố trí các ống thông hơi sao cho có thể tự xả nước.
5 Các ống thông hơi của các két dầu đốt trực nhật, các két lắng và các két dầu bôi trơn phải được bố trí sao cho không trực tiếp dẫn tới nguy cơ lọt nước biển hoặc nước mưa vào két khi các ống thông hơi này hỏng.
13.6.2 Đầu hở của các ống thông hơi
1 Tùy theo loại và công dụng của các két, vị trí đầu hở của các ống thông hơi phải thỏa mãn các yêu cầu từ (1) đến (4) sau đây:
(1) Phải dẫn lên trên boong chính các ống thông hơi cho các két và khoang cách li sau đây:
(a) Các két đáy đôi
(b) Các két sâu
(c) Các két có thể bị nước biển chảy ngược lên.
(d) Các khoang cách li.
(2) Phải đưa các ống thông hơi cho các két và khoang cách li sau lên boong hở:
(a) Các két dầu đốt và các két dầu nóng
(b) Các két dầu hàng
(c) Các két dầu bôi trơn được hâm nóng và các két dầu thủy lực.
(d) Các két có thể được nạp bằng bơm (chỉ các két ở ngoài buồng máy và không có ống tràn)
(e) Khoang cách li kề với két dầu đốt và két dầu hàng
(3) Các ống thông hơi cho các két có thể được nạp bằng bơm phải được dẫn tới một vị trí an toàn, sao cho tránh được việc trang thiết bị bị hỏng do chất lỏng tràn từ két trong quá trình nạp.
(4) Phải đưa ống thông hơi của các két chứa chất lỏng dễ cháy, nổ tới một vị trí an toàn, nơi không có khả năng cháy dầu hoặc khí thoát ra từ các dầu hở khi két đang được nạp.
2 Các đầu hở của ống thông hơi dẫn lên boong hở phải được trang bị các phương tiện đóng hữu hiệu được gắn cố định để ngăn nước biển lọt vào trong tàu khi thời tiết xấu. Phương tiện đóng phải là loại tự đóng được Đăng kiểm duyệt nếu bố trí ở nơi khó thao tác trên các tàu dự định chở gỗ trên boong hở.
3 Đầu hở của các ống thông hơi của các két dầu đốt và dầu hàng phải có lưới chặn lửa bằng vật liệu chịu ăn mòn, dễ vệ sinh và tháo, và có diện tích thông qua lưới không nhỏ hơn diện tích mặt cắt ngang cần thiết của ống thông hơi.
13.6.3 Kích thước của các ống thống hơi
1 Kích thước của các ống thông hơi phải như sau:
(1) Tổng diện tích mặt cắt ngang của các ống thông hơi cho các két có thể nạp bằng bơm không được nhỏ hơn 1,25 lần tổng diện tích mặt cắt ngang của các ống nạp. Có thể giảm đường kính của ống thông hơi xuống 50 mm khi két có ống tràn quy định ở 13.7.
(2) Phải có biện pháp an toàn tránh tạo ra chân không khi két được bơm ra.
(3) Đường kính trong của các ống thông hơi cho các két hoặc khoang cách li liền vỏ không được nhỏ hơn 50 mm.
13.6.4 Chiều cao của các ống thông hơi
Khi các ống thông hơi kéo dài lên quá boong mạn khô hoặc boong thượng tầng, các phần nhô lên của các ống phải có kết cấu vững chắc. Chiều cao ống từ bề mặt trên của boong tới điểm nước có thể vào, ít nhất phải bằng 760 mm ở boong mạn khô và 450 mm tại boong thượng tầng.
Nếu các chiều cao này gây trở ngại cho hoạt động của tàu, có thể giảm chiều cao tới giá trị đo Đăng kiểm ấn định với điều kiện là Đăng kiểm thấy thoả đáng rằng chiều cao bé này là chấp nhận được do có trang bị thiết bị đóng và các lý do khác.
13.6.5 Các yêu cầu bổ sung đối với các ống thông hơi lắp trên boong hở ở mũi tàu
Đối với tàu có chiều dài L1 như nêu ở 15.2.1-1, Phần 2-A từ 80 m trở lên, nếu chiều cao của boong hở ở khu vực của ống thông hơi nhỏ hơn 0,1L1 hoặc 22 m so với đường nước chở hàng thiết kế lớn nhất, lấy trị số nhỏ hơn, thì các ống thông hơi đạt trên boong hở trong khu vực 0,25L1 phía mũi phải có đủ độ bền để chịu được lực va đập của nước biển.
13.7 Ống tràn
13.7.1 Quy định chung
1 Phải trang bị các ống tràn cho các két được nạp bằng bơm thuộc một trong các loại sau:
(1) Khi diện tích mặt cắt ngang của các ống thông hơi không thỏa mãn các yêu cầu ở 13-6.3(1);
(2) Khi có lỗ khoét bất kì ở phía dưới các đầu hở của các ống thông hơi của két;
(3) Các két lắng dầu đốt và các két dầu đốt trực nhật.
2 Các ống tràn không phải của các két dầu đốt, dầu bôi trơn và các dầu dễ cháy khác phải được dẫn ra ngoài trời, hay tới các vị trí thích hợp cho việc xả tràn.
3 Phải bố trí các ống tràn sao cho có thể tự xả nước.
4 Ngoài 13.7 ra, ống tràn cho cho các két dầu đốt, dầu bôi trơn và các dầu dễ cháy khác phải tuân theo các yêu cầu ở 4.4.2, Phần 5.
13.7.2 Kích thước các ống tràn
1 Tổng diện tích mặt cắt ngang của các ống tràn nêu ở 13.7.1-1 không được nhỏ hơn 1,25 lần tổng diện tích mặt cắt ngang của các ống nạp.
2 Đường kính trong của ống tràn không được nhỏ hơn 50 mm.
13.7.3 Các ống tràn cho các két dầu đốt, dầu bôi trơn và các dầu dễ cháy khác
1 Các ống tràn phải được dẫn tới các két tràn có dung tích thích hợp hoặc tới một két chứa có thể tích đủ để chứa dầu tràn.
2 Các ống tràn phải có kính quan sát ở các vị trí dễ thấy trên các ống thẳng đứng, trừ khi được trang bị một thiết bị báo động cho trường hợp mức dầu tăng đến điểm định trước trong két.
13.7.4 Các phương tiện ngăn ngừa dòng tràn ngược
1 Nếu các ống tràn cho các két sâu dùng chở xen kẽ dầu đốt, nước dằn và hàng bách hóa v.v... được nối vào ống tràn chính chung cho các két khác, thì phải bố trí thiết bị để ngăn chất lỏng, khí v.v... từ các két khác tràn vào két sâu đang chở hàng bách hóa và ngăn chất lỏng loại khác đang chở ở két sau tràn vào các két khác.
2 Phải trang bị các phương tiện thích hợp trên các ống tràn để sao cho khi một trong các két nào đó bị ngập, các két khác cũng không bị ngập do nước biển vào qua các ống tràn.
3 Các ống tràn xả qua mạn tàu phải được đưa lên cao hơn đường nước chở hàng và phải có các van một chiều gắn vào mạn tàu. Khi không thể kéo các ống tràn lên quá boong mạn khô, thì phải có các phương tiện phụ hữu hiệu khác để ngăn nước biển vào trong tàu.
13.8 Ống đo
13.8.1 Quy định chung
1 Phải có ống đo hoặc thiết bị chỉ báo mức chất lỏng cho tất cả các két, khoang cách li và các vùng khó vào.
2 Phải gắn chắc các thẻ ghi tên vào dầu trên các ống đo.
3 Ngoài các yêu cầu ở 13.8, các ống đo cho các két dầu đốt, dầu bôi trơn và các dầu dễ cháy khác phải tuân theo các yêu cầu ở 4.2.2-1(3)(e), Phần 5 của Quy phạm.
13.8.2 Đầu trên của ống đo
1 Các ống đo phải được dẫn tới các vị trí luôn tiếp cận được ở trên boong vách và phải có phương tiện đóng có hiệu quả ở đầu trên của các ống đo. Tuy nhiên có thể dẫn các ống đo tới các vị trí dễ đến gần từ sàn buồng máy nếu có phương tiện đóng như quy định ở 4.2.2-1(3)(e) và 4.2.3-1(1), Phần 5, tùy theo loại két. Các ống đo cho các két và khoang cách li phải có van nêm hoặc nắp vặn gắn vào ống bằng dây xích.
2 Các đầu trên của các ống đo cho các két dầu đốt, dầu bôi trơn và các loại dầu dễ cháy khác không được kết thúc ở các buồng ở và kề với các thiết bị điện, nồi hơi và các bề mặt bị nung nóng khác.
13.8.3 Kết cấu các ống đo
1 Các ống đo phải càng thẳng càng tốt, nếu cong thì độ cong phải đủ lớn
2 Phải lắp các tấm có kích thước thích hợp và đủ dày vào tôn đáy dưới các ống đo có đầu hở để phòng hỏng tôn đáy khi va đập với thước đo. Nếu dòng các ống đo kín đầu, các nút kín ở các đầu phải có kết cấu chắc chắn.
3 Đường kính trong của ống đo xuyên qua khoang được làm lạnh tới 0oC hoặc thấp hơn không được nhỏ hơn 65 mm và của các ống đo khác không được nhỏ hơn 32 mm.
13.8.4 Kết cấu của các dụng cụ chỉ báo mức chất lỏng
1 Mỗi dụng cụ chỉ báo mức chất lỏng quy định ở 13.8.1 phải là kiểu được Đăng kiểm duyệt. Tuy nhiên khi dụng cụ chỉ báo mức chất lỏng thỏa mãn một tiêu chuẩn Đăng kiểm chấp nhận hoặc có chứng chỉ được Đăng kiểm chấp nhận thì không cần áp dụng các yêu cầu này.
13.9 Hệ thống dầu đốt
13.9.1 Quy định chung
1 Các hệ thống dầu đốt trong buồng máy có lắp máy chính và các buồng máy có lắp nồi hơi phải được bố trí sao cho có thể dễ dàng bảo dưỡng và kiểm tra. Tất cả các van phải có khả năng vận hành được từ trên sàn buồng máy.
2 Phải có các van chặn ở cả đầu hút và đầu đẩy của bơm dầu đốt.
3 Các van và phụ tùng ống có nhiệt độ thiết kế trên 60oC và áp suất thiết kế trên 1,0 MPa phải thích hợp với áp suất không nhỏ hơn 1,6 MPa. Các van và phụ tùng ống dùng cho hệ thống vận chuyển dầu đốt, hệ thống ống nạp dầu đốt, và các hệ thống ống đầu đốt áp suất thấp khác phải thích hợp đối với áp suất không nhỏ hơn 0,5 MPa.
4 Các mối liên kết ống dùng để nối các ống phun dầu đốt của động cơ Đi-ê-den hoặc các ống của hệ thống đốt của nồi hơi phải có kết cấu cứng và có vòng đệm kim loại kín dầu.
5 Nếu định chứa luân phiên dầu đốt và nước dằn trong cùng một khoang thì phải bố trí các ống sao cho có thể bơm dầu đốt từ bất kỳ một khoang nào đó đồng thời với việc xả nước dằn khỏi một khoang bất kì khác. Nếu có các két lắng hoặc két trực nhật mà mỗi két có dung tích đủ để hoạt động bình thường trong 12 giờ mà không phải bổ sung thêm, thì yêu cầu trên có thể được sửa đổi.
6 Phải trang bị hai két dầu đốt trực nhật cho mỗi loại dầu đốt sử dụng trên tàu cần thiết cho máy chính và các hệ thống quan trọng, hoặc trang bị tương đương với như vậy.
7 Dung tích của mỗi két dầu đốt trực nhật nêu ở -6 phải đủ để cấp dầu trong thời gian tối thiểu 8 giờ cho máy chính hoạt động ở công suất liên tục lớn nhất và các máy phát hoạt động ở điều kiện tải thông thường.
8 Ngoài các yêu cầu ở 13.9 này, hệ thống dầu đốt còn phải tuân theo các yêu cầu ở 4.2, Phần 5 của Quy phạm này.
13.9.2 Ống nạp dầu đốt
1 Các ống nạp dầu đốt từ ngoài tàu phải là loại chuyên dùng. Phải cố gắng đưa các đầu hở của các ống này lên trên các boong và các đầu này phải có các nắp cứng.
2 Nếu các ống nạp dầu đốt không được đặt ở trên hoặc ở gần đỉnh các két dầu đốt, thì cần phải đặt van một chiều sát với két hoặc phải có van có phương tiện đóng từ xa nêu ở 4.2.2-1(3)(d), Phần 5 của Quy phạm này.
3 Bất kể các yêu cầu ở -1, khi các ống nạp dầu đốt được nối với các ống hút thì phải có các van chặn trên đường ống nạp. Phải có thêm các van chặn nếu các két nằm ở vị trí cao hơn đáy đôi và dầu đốt có thể vào các két dầu đốt khác qua các ống nạp và tràn ra khỏi các dầu hở của các ống đo v.v.
13.9.3 Các bơm chuyển dầu đốt
Trên các tàu dùng bơm được dẫn động cơ giới để nạp cho các két lắng và két trực nhật phải có ít nhất hai bơm chuyển dầu độc lập được dẫn động cơ giới, nối với nhau và sẵn sàng hoạt động. Nếu có một bơm dầu đốt độc lập dẫn động cơ giới nào đó sử dụng cho các mục đích khác sẵn sàng hoạt động như là một bơm chuyển dầu đốt, thì có thể dùng bơm này làm bơm chuyển dầu.
13.9.4 Các khay hứng dầu rò rỉ và hệ thống tiêu thoát
1 Phải có khay hứng dầu rò rỉ đủ chiều cao đặt dưới các thiết bị liên quan với dầu đốt như động cơ Đi-ê-den (trừ máy chính), các mỏ đốt, các bơm dầu đốt, các thiết bị hâm dầu, các bộ làm mát dầu đốt, các bầu lọc dầu đốt và các két dầu đốt như két lắng dầu đốt và két dầu đốt trực nhật. Khi không thể trang bị các khay kim loại hứng dầu rò rỉ thì phải làm các thành quây để giữ dầu rò rỉ lại.
2 Các két lắng dầu đốt và các két trực nhật phải có các van xả nước đọng khỏi đáy két.
3 Các van xả của các két dầu đốt phải là loại tự đóng.
4 Các thiết bị tiêu thoát phải thỏa mãn các yêu cầu sau:
(1) Dầu trong các khay hứng hoặc trong các thành quây nêu ở -1 và -2 và dầu xả ra từ các van xả lắp trên các két dầu đốt phải được đưa vào các két thải hoặc thiết bị phù hợp khác.
(2) Các két dầu đốt thải quy định trong (1) không được tạo thành một phần của hệ thống tràn.
(3) Phải trang bị các thiết bị thích hợp để xử lý dầu đốt thải chứa trong các két dầu thải quy định ở (1).
5 Khi các nồi hơi được đặt ở trong các buồng máy trừ trường hợp ở trên boong thấp nhất và các buồng nồi hơi không tách biệt khỏi buồng máy bằng các vách kín nước, thì các boong này phải có thành quây cao hơn 200 mm. Vị trí này có thể được tiêu xả vào đáy tàu.
13.9.5 Các thiết bị hâm dầu đốt
1 Khi hệ thống dầu đốt có các thiết bị hâm, các thiết bị hâm này phải có bộ điều chỉnh nhiệt độ và thiết bị báo động nhiệt độ cao hoặc thiết bị báo động lưu lượng thấp, trừ khi dầu không được hâm tới nhiệt độ thấp hơn điểm chớp cháy của dầu đốt 10o C.
2 Không được trang bị các thiết bị hâm bằng điện cho các két đáy đôi và các két sâu.
3 Các thiết bị hâm bằng điện dùng để hâm dầu đốt phải thỏa mãn các yêu cầu sau:
(1) Các thiết bị hãm phải có các thiết bị điều chỉnh nhiệt độ tự động
(2) Phải trang bị các thiết bị ngắt mạch an toàn có cảm biến nhiệt độ độc lập. Các thiết bị ngắt mạch an toàn phải ngắt được điện để phòng nhiệt độ bề mặt của các chi tiết hâm tăng lên từ 220oC trở lên và phải được trang bị các thiết bị đặt lại bằng tay.
(3) Các thiết bị hâm bằng điện phải được bảo vệ thích đáng chống lại các hư hỏng cơ học khi làm vệ sinh két.
13.9.6 Hệ thống dầu đốt cho động cơ Đi-ê-den
1 Số lượng và sản lượng của các bơm cấp dầu đốt cho máy chính.
(1) Phải trang bị cho máy chính một bơm cấp dầu chính có đủ sản lượng để duy trì lượng cấp dầu đốt ở công suất liên tục lớn nhất của máy chính, và phải có một bơm cấp dầu đốt dự phòng đủ sản lượng để cấp dầu đốt ở điều kiện hoạt động bình thường. Các bơm này được nối với hệ thống để sẵn sàng hoạt động.
(2) Khi có từ hai máy chính trở lên và mỗi máy có một bơm cấp dầu đốt, mà ngay cả khi một trong các máy chính hỏng vẫn có thể đảm bảo tốc độ hành hải thì có thể miễn bơm dầu đốt dự phòng với điều kiện là trên tàu có một bơm dự trữ.
2 Số lượng và sản lượng của bơm cấp dầu đốt cho các động cơ Đi-ê-den lai máy phụ và các máy phát điện.
(1) Các động cơ Đi-ê-den lai những máy phát điện và máy phụ phải trang bị kép, thì phải có một bơm cấp dầu chính và bơm dự phòng đủ sản lượng để duy trì việc cấp dầu ở công suất liên tục lớn nhất của động cơ. Các bơm này phải được nối với nhau để sẵn sàng sử dụng.
(2) Khi mỗi máy nêu ở (1) có một bơm cấp dầu đốt chính riêng, có thể không cần có các bơm cấp dầu dự phòng.
3 Hệ thống dẫn động các bơm dầu đốt dự phòng và việc dùng các bơm khác
(1) Các bơm dầu đốt dự phòng phải được dẫn động bằng nguồn năng lượng độc lập.
(2) Khi một bơm dầu đốt nào đó được dẫn động độc lập và được dùng cho việc khác có thể dùng làm bơm cấp dầu đốt dự phòng thì có thể dùng bơm này làm bơm dự phòng.
4 Các bầu lọc dầu đốt
(1) Phải có các bầu lọc dầu trên đường ống cấp dầu đốt cho các động cơ Đi-ê-den.
(2) Các bầu lọc dầu cho động cơ Đi-ê-den là máy chính phải có khả năng vệ sinh được mà không phải ngừng việc cấp dầu đã lọc. Bầu lọc dầu đốt phải có van để giảm áp suất trước khi mở.
5 Các thiết bị hâm và phân ly dầu đốt
Nếu dùng dầu chất lượng thấp làm dầu đốt thì phải có thiết bị hâm dầu phù hợp và thiết bị phân li dầu đốt.
13.9.7 Thiết bị đốt của nồi hơi
1 Thiết bị đốt cho nồi hơi chính
(1) Khi nồi hơi chính có thiết bị đốt kiểu phun dầu đốt áp suất cao phải có ít nhất hai tổ bơm và thiết bị hâm dầu. Mỗi tổ phải có khả năng cung cấp đủ lượng dầu để tạo hơi ở tốc độ sinh hơi lớn nhất ngay cả khi một tổ bị hỏng. Các bơm này phải được nối với nhau để sẵn sàng sử dụng.
(2) Phải trang bị các bầu lọc ở phía hút và phía đẩy của bơm phun dầu đốt. Các bầu lọc phải có khả năng làm vệ sinh được mà không phải ngừng việc cấp dầu đã lọc.
(3) Các phin lọc dầu đốt được quy định ở (2) trên đây phải có các van để xả áp trước khi mở.
2 Thiết bị đốt cho nồi hơi phụ.
(1) Vì các nồi hơi phụ thiết yếu và các nồi hơi khác phải cung cấp hơi một cách liên tục để hâm nóng dầu đốt cho máy chính hoạt động hoặc hâm nóng hàng, nên thiết bị đốt phải đáp ứng các yêu cầu ở -1. Tuy nhiên khi có các phương tiện khác có thể bảo đảm hành hải bình thường và hâm nóng hàng khi hệ thống đốt không hoạt động, thì được phép chỉ cần có một tổ thiết bị đốt.
(2) Khi cấp dầu đốt cho các vòi phun bằng trọng lực phải có các bầu lọc dầu đốt có thể vệ sinh được mà không cần phải ngừng cấp dầu đã lọc.
3 Đề phòng sự trộn lẫn dầu đốt vào các ống hơi nước và không khí nén.
Khi tiến hành thu dầu thừa trong các mỏ đốt bằng hơi nước hoặc khí nén, phải có các phương tiện để ngăn sự trộn lẫn dầu vào hơi nước và khí nén.
13.10 Hệ thống dầu bôi trơn và hệ thống dầu thủy lực
13.10.1 Quy định chung
1 Vị trí, các khay hứng, thiết bị xả và thiết bị hâm của hệ thống dầu bôi trơn phải thỏa mãn các yêu cầu tương ứng ở 13.9.1-1, 13.9.4-1 và -4, và 13.9.5 (trong các trường hợp này, thay từ “dầu đốt” bằng từ “dầu bôi trơn”).
2 Vị trí, các khay hứng dầu và thiết bị xả của các hệ thống dầu thủy lực phải thỏa mãn các yêu cầu ở 13.9.1-1, 13.9.4-1 và -4 (trong trường hợp này, thay từ “dầu đốt” bằng từ “dầu thủy lực”).
3 Ngoài các yêu cầu ở 13.10, hệ thống dầu bôi trơn và dầu thủy lực còn phải tuân theo các yêu cầu tương ứng ở 4.2.3, Phần 5 và 4.2.4, Phần 5 của Quy phạm này.
13.10.2 Bơm dầu bôi trơn
1 Số lượng và sản lượng của các bơm dầu bôi trơn cho máy chính, hệ trục chân vịt và thiết bị truyền động
(1) Máy chính, hệ trục chân vịt và hệ truyền động của chúng phải có một bơm dầu bôi trơn chính đủ sản lượng cung cấp dầu bôi trơn ở công suất liên lục lớn nhất của máy chính và phải có một bơm dầu bôi trơn dự phòng đủ sản lượng cấp dầu ở điều kiện hành hải bình thường. Các bơm này phải được nối với nhau và sẵn sàng hoạt động.
(2) Nếu có từ hai máy chính, hệ trục chân vịt và thiết bị truyền động của chúng trở lên và mỗi trong số chúng có sẵn một bơm dầu bôi trơn chính và nếu tàu có thể đảm bảo tốc độ hành hải ngay cả khi một trong các bơm dầu này không hoạt động thì có thể không cần có bơm dự phòng với điều kiện là trên tàu có một bơm dự trữ.
2 Số lượng và sản lượng của các bơm dầu bôi trơn cho máy phụ, máy phát điện và các động cơ lai chúng.
(1) Các máy phát điện, máy phụ cần phải trang bị kép và các động cơ lai chúng phải có bơm dầu bôi trơn chính và dự phòng đủ sản lượng cấp dầu bôi trơn ở công suất liên tục lớn nhất của máy. Các bơm này phải nối với nhau để sẵn sàng hoạt động.
(2) Khi mỗi hệ thống quy định ở (1) có bơm dầu bôi trơn chính riêng, có thể không cần có bơm dầu bôi trơn dự phòng.
3 Hệ dẫn động các bơm dầu bôi trơn dự phòng và việc sử dụng các bơm khác.
(1) Các bơm dầu bôi trơn dự phòng phải được dẫn động bằng nguồn năng lượng độc lập.
(2) Khi một bơm dầu bôi trơn nào đó được dẫn động cơ giới độc lập dùng cho mục đích khác có thể sử dụng như là một bơm dầu bôi trơn dự phòng thì có thể dùng bơm đó làm bơm dự phòng.
13.10.3 Van chặn giữa động cơ và két gom dầu bôi trơn
Đối với các tàu dài từ 100 m trở lên, nếu dùng một ngăn đáy đôi làm két gom dầu bôi trơn, thì phải có van chặn dễ thao tác từ sàn buồng máy hoặc thiết bị chống chảy ngược thích hợp.
13.10.4 Các bầu lọc dầu bôi trơn
1 Khi dùng hệ thống bôi trơn cưỡng bức (bao gồm cả việc cấp bằng trọng lực từ két áp lực) để bôi trơn các hệ thống máy, thì phải trang bị các bầu lọc dầu bôi trơn.
2 Các bầu lọc dùng trong hệ thống bôi trơn cho máy chính, thiết bị truyền động của trục chân vịt và chân vịt biến bước phải có khả năng làm vệ sinh được mà không phải ngừng cấp dầu bôi trơn đã được lọc.
3 Bầu lọc dầu bôi trơn nêu ở -2 trên phải có van để giảm áp suất trước khi mở.
13.10.5 Các thiết bị phân ly dầu bôi trơn
Các hệ thống dầu bôi trơn phải có hệ thống phân ly dầu bôi trơn như các máy phân ly dầu bôi trơn hoặc các bầu lọc thay cho các máy phân ly.
13.11 Hệ thống dầu nóng
13.11.1 Quy định chung
Vị trí và các van được lắp với các bơm của hệ thống dầu nóng phải thỏa mãn các yêu cầu ở 13.9.1-1 và -2. Các ống nạp từ ngoài tàu phải thỏa mãn các yêu cầu ở 13.9.2-2. Các khay hứng dầu rò rỉ, hệ thống xả phải thỏa mãn các yêu cầu ở 13.9.4-1 và -4 (trong các trường hợp này từ “dầu đốt” được thay bằng từ “dầu nóng”). Ngoài các yêu cầu ở 13.11, các hệ thống này còn phải tuân theo các yêu cầu ở 4.2.4, Phần 5 của Quy phạm này.
13.11.2 Hệ thống dầu nóng
1 Hệ thống dầu nóng phải thỏa mãn các yêu cầu sau:
(1) Các két giãn nở phải có dụng cụ chỉ báo mức chất lỏng.
(2) Các bơm tuần hoàn phải có áp kế ở vị trí thích hợp ở phía hút và đẩy.
(3) Các van hút và van đẩy trên các thiết bị hâm nóng dầu phải điều khiển được từ bên ngoài khoang chúng được lắp đặt, trừ trường hợp có bố trí tháo nhanh bằng trọng lực dầu nóng trong hệ thống vào một két thu gom.
13.11.3 Bơm của thiết bị hâm nóng dầu
Thiết bị hâm dầu sử dụng cho các công việc quan trọng phải được trang bị hai bơm tuần hoàn dầu nóng và hai bơm phun dầu đốt. Nhưng khi có sẵn phương tiện khác có thể bảo đảm hành hải bình thường và hâm nóng hàng lúc bơm này không hoạt động thì được phép chỉ cần có một bơm.
13.11.4 Hâm hàng lỏng có điểm chớp cháy thấp hơn 60oC
Việc hâm nóng hàng lỏng có điểm chớp cháy dưới 60oC phải bằng một hệ thống phụ riêng biệt đặt hoàn toàn trong khu vực hàng, trừ các trường hợp khác được Đăng kiểm đồng ý.
13.12 Hệ thống làm mát
13.12.1 Bơm làm mát
1 Số lượng và sản lượng của bơm làm mát cho máy chính
(1) Máy chính phải có một bơm làm mát chính đủ sản lượng để cung cấp ổn định nước (dầu) ở công suất liên tục lớn nhất của máy chính, và một bơm làm mát dự phòng có sản lượng đủ cung cấp nước (dầu) làm mát ở điều kiện hành hải bình thường. Tuy nhiên sản lượng của bơm tuần hoàn dự phòng của tàu có máy chính là tua bin hơi sẽ do Đăng kiểm xét cho từng trường hợp cụ thể. Các bơm này phải được nối để sẵn sàng sử dụng.
(2) Trên tàu tua bin hơi, có thể dùng hệ thống gầu mức được lắp đặt thích hợp làm bơm nước làm mát. Trong trường hợp này phải bố trí bầu ngưng chính để sao cho nó phải được làm mát đầy đủ với các hệ thống làm mát khác, khi tàu chạy ở tốc độ thấp, để bổ sung thêm cho hệ làm mát bằng bơm dự phòng quy định ở -1.
(3) Khi có hai máy chính trở lên và mỗi máy có bơm làm mát chính có khả năng tạo ra tốc độ hành hải ngay cả khi một bơm không hoạt động thì có thể không cần có bơm làm mát dự phòng với điều kiện là có một bơm dự trữ trên tàu.
2 Số lượng và sản lượng của bơm làm mát cho máy phụ, máy phát điện và các động cơ lai chúng
(1) Máy phát điện, máy phụ cần phải trang bị kép và các động cơ lai chúng phải có bơm làm mát chính và bơm dự phòng đủ sản lượng để cung cấp ổn định nước (dầu) ở công suất liên tục lớn nhất của máy. Các bơm này phải được nối với hệ thống để sẵn sàng sử dụng.
(2) Khi mỗi động cơ dẫn động nêu ở (1) có một bơm làm mát chính riêng, có thể không cần có bơm làm mát dự phòng.
3 Hệ thống dẫn động bơm làm mát dự phòng và việc sử dụng các bơm khác
(1) Phải dẫn động bơm làm mát dự phòng bằng nguồn năng lượng độc lập.
(2) Khi một bơm thích hợp được dẫn động độc lập dùng cho việc khác có thể sử dụng như một bơm làm mát dự phòng thì có thể dùng bơm đó làm bơm làm mát dự phòng.
13.12.2 Việc hút nước biển
Phải có thiết bị để dẫn nước biển làm mát vào từ các van hút nước biển đặt trong hai hộp thông biển trở lên.
13.12.3 Hệ thống làm mát cho động cơ Đi-ê-den
Khi dùng nước biển để làm mát trực tiếp máy chính hoặc động cơ Đi-ê-den lai máy phát điện hoặc máy phụ cần phải trang bị kép, phải trang bị bầu lọc đặt giữa van hút nước biển và bơm nước biển làm mát. Bầu lọc này phải có thể làm vệ sinh được mà không phải ngừng cấp nước đã lọc.
13.13 Hệ thống đường ống không khí nén
13.13.1 Bố trí máy nén khí và các van an toàn
1 Phải bố trí máy nén sao cho dầu vào khí nạp ít nhất.
2 Mỗi máy nén phải có một van an toàn phòng áp suất tăng quá 10% áp suất làm việc lớn nhất trong các xi lanh.
3 Nếu các áo nước của bộ làm mát khí có thể bị quá áp nguy hiểm do rò không khí nén vào, phải có thiết bị xả áp thích hợp cho các áo nước này.
13.13.2 Thiết bị an toàn và phụ tùng khác cho bình không khí nén
Thiết bị an toàn và phụ tùng khác cho các bình không khí nén phải thỏa mãn các yêu cầu ở 10.8
13.13.3 Số lượng và tổng sản lượng của các máy nén
1 Khi máy chính được thiết kế để khởi động bằng không khí nén, thì phải có hai máy nén khí trở lên và phải được bố trí sao cho có thể nạp được cho mỗi bình chứa khí. Tuy nhiên khi các xi lanh của máy chính có van nạp không khí nén, thì các van nạp này sẽ được coi tương đương với một máy nén khí được dẫn động bởi máy chính.
2 Một trong các máy nén quy định ở -1 phải được dẫn động bằng một động cơ không phải là máy chính.
3 Tổng sản lượng của các máy nén phải đủ để cấp khí từ áp suất khí trời vào các bình tới áp suất cần thiết cho khởi động liên tục quy định ở 2.5.3-2 trong vòng một giờ.
13.13.4 Máy nén khí sự cố
1 Nếu các động cơ dẫn động các máy nén quy định ở 13.13.3 được khởi động bằng khí, thì phải có một máy nén khí sự cố được truyền động bằng cơ giới độc lập.
2 Các động cơ lai các máy nén sự cố phải có khả năng khởi động không dùng không khí nén.
3 Sản lượng của máy nén sự cố phải đủ để khởi động động cơ lai các máy nén khí nêu ở 13.13.3. Để phục vụ mục đích này, có thể trang bị một bình không khí nén nhỏ cho máy nén sự cố.
13.13.5 Đường ống không khí nén
1 Phải có hệ thống xả nước cho đường ống không khí nén có nước đọng bên trong các ống.
2 Tất cả các đường ống cấp khí từ máy nén vào các bình khí khởi động phải được dẫn thẳng từ máy nén khí khởi động.
3 Các ống khí nén khởi động từ các bình khí tới máy chính hoặc các máy phụ phải hoàn toàn tách biệt với hệ thống cấp khí của máy nén nêu ở -2.
13.14 Hệ thống ống hơi nước và hệ thống ngưng tụ
13.14.1 Các thiết bị xả
Thiết bị xả phải được lắp ở vị trí thích hợp trong các ống hơi nước.
13.14.2 Ống xoắn hâm dầu
Nếu dùng hơi để hâm dầu đốt hoặc dầu bôi trơn thì phải đưa các ống xả hơi tới các két kiểm tra hoặc các bộ phát hiện dầu khác ở nơi đủ sáng và tới gần được trong buồng máy.
13.14.3 Ống hơi qua khoang hàng
Nói chung, ống hơi nước không được đi qua các khoang hàng, nhưng khi không thể tránh được sự bố trí như vậy, thì các ống hơi phải được cách nhiệt và bảo vệ bằng các tấm thép, và tất cả các mối nối phải được hàn.
13.14.4 Hệ thống ngưng tụ
1 Bầu ngưng chính phải có ít nhất hai bơm ngưng tụ được dẫn động bằng cơ giới độc lập và các thiết bị duy trì độ chân không trong các bầu ngưng với sản lượng đáp ứng tốc độ ngưng tụ thiết kế lớn nhất tương ứng từ bầu ngưng chính. Có thể không trang bị các thiết bị này khi được Đăng kiểm coi là không cần thiết do xét đến kiểu của bầu ngưng chính.
2 Phải có các biện pháp thích hợp cho hệ thống ngưng tụ của tua bin hơi lai bơm dầu hàng v.v..., để áp suất bên trong của bầu ngưng không vượt quá áp suất thiết kế trong trường hợp hệ thống làm mát hỏng. Các biện pháp này phải được Đăng kiểm chấp nhận.
13.15 Hệ thống cấp nước cho nồi hơi
13.15.1 Hệ thống cấp nước cho nồi hơi chính
1 Phải có hai hệ thống cấp nước cho nồi hơi chính. Mỗi hệ thống có một van chặn, một van một chiều nêu ở 9.9.5-1 và một bơm cấp. Các hệ thống cấp nước này phải có khả năng cấp nước cho nồi hơi khi một hệ thống bị hỏng.
2 Nồi hơi chính phải có ít nhất hai bơm cấp nước có thể cấp đủ cho lượng bốc hơi lớn nhất dù bất cứ một bơm nào bị ngừng hoạt động. Các bơm này phải được nối vào để sẵn sàng sử dụng.
3 Các bơm cấp nước nêu ở -2 phải được các động cơ độc lập dẫn động.
4 Các hệ thống cấp nước phải có thiết bị điều chỉnh có khả năng tự động điều chỉnh sản lượng nước cấp.
5 Các bơm cấp không được dùng cho việc khác ngoài việc cấp nước cho nồi hơi.
13.15.2 Hệ thống cấp nước cho nồi hơi phụ
Các nồi hơi phụ thiết yếu hoặc các nồi hơi khác được dùng để cấp hơi liên tục cho việc hâm dầu đốt cần thiết cho hoạt động của máy chính hoặc hâm nóng hàng phải có các hệ thống cấp nước phù hợp với yêu cầu ở 13.15.1. Không phải áp dụng các yêu cầu 13.15.1-1 và -2 nếu có các phương tiện khác bảo đảm cho tàu chạy bình thường và hâm nóng hàng khi một hệ thống cấp nước bị ngừng làm việc.
13.15.3 Hệ thống chưng cất nước
Trên tàu dùng nước chưng cất làm nước cấp cho nồi hơi phải có hệ thống chưng cất đủ sản lượng.
13.15.4 Các ống qua két
Các ống nước cấp cho nồi hơi không được đi qua các két chứa dầu hoặc không được để các ống dầu đi qua các két nước cấp cho nồi hơi.
13.16 Đường ống khí thải
13.16.1 Các ống khí thải của động cơ Đi-ê-den
1 Nói chung, không được nối các ống khí thải của hai động cơ Đi-ê-den trở lên với nhau. Nếu các ống khí thải được nối vào một bộ giảm âm chung, thì phải có phương tiện hiệu quả để ngăn khí thải quay ngược về xi lanh của động cơ không hoạt động.
2 Nếu hệ thống khí thải xả qua mạn gần đường nước, thì phải bố trí sao cho tránh được sự chảy ngược nước vào các xi lanh.
3 Không được nối ống khói của nồi hơi với hệ thống khí thải của động cơ Đi-ê-den, trừ trường hợp có nồi hơi khí thải tận dụng nhiệt thải của động cơ Đi-ê-den.
13.16.2 Các ống khí thải từ nồi hơi
Nếu lắp các bướm khí thải trong các ống khói nồi hơi, thì độ mở của chúng không bị giảm diện tích ống khói đi từ 2/3 trở xuống so với khi đóng. Các bướm phải khóa được ở vị trí mở bất kỳ và độ mở phải được chỉ rõ.
13.16.3 Các ống khí thải của thiết bị đốt chất thải
Tại phần uốn cong của đường ống khí thải từ thiết bị đốt chất thải phải có lỗ vệ sinh để bảo dưỡng.
13.17 Thử nghiệm
13.17.1 Thử tại xưởng
Các máy phụ và đường ống sau khi được chế tạo phải qua thử nghiệm theo các yêu cầu ở 12.6.
13.17.2 Thử nghiệm sau khi lắp đặt trên tàu
1 Các máy phụ (trừ máy phụ chuyên dụng v.v...) phải qua thử hoạt động sau khi được lắp ráp trên tàu. Nhưng với máy đã qua thử nghiệm hoạt động nêu ở 12.6.1-9, phương pháp thử trên tàu có thể được Đăng kiểm thay đổi thích hợp.
2 Các hệ thống dầu đốt, hệ thống dầu nóng và các ống xoắn hâm nóng trong các két phải qua thử kín sau khi lắp, với áp suất là 1,5 lần áp suất thiết kế hoặc 0,4 MPa, lấy giá trị nào lớn hơn.
CHƯƠNG 14 HỆ THỐNG ĐƯỜNG ỐNG CỦA TÀU CHỞ HÀNG LỎNG
14.1 Quy định chung
14.1.1 Phạm vi áp dụng
1 Các quy định trong Chương này áp dụng cho các hệ thống đường ống của các tàu chở hàng lỏng có các đặc điểm nêu dưới đây. Các hệ thống đường ống của các kiểu tàu chở hàng lỏng khác sẽ được Đăng kiểm xem xét cho từng trường hợp. Các hạng mục riêng quy định trong Chương này, được áp dụng thay các yêu cầu ở Chương 12 và 13.
(1) Tàu chở dầu thô, các sản phẩm dầu mỏ có áp suất hơi (áp suất tuyệt đối) dưới 0,28 MPa ở 37,8 oC hoặc các hàng lỏng tương tự khác.
(2) Buồng máy và két dầu hàng (bao gồm cả két lắng, sau đây được gọi tương tự trong Chương này) được bố trí theo các quy định ở 4.5.1-1, Phần 5 của Quy phạm này.
(3) Hàng được nạp bằng các phương tiện trên bờ và xả hàng bằng các bơm dầu hàng trên tàu.
2 Hệ thống đường ống của các tàu chở xô hóa chất nguy hiểm phải tuân theo các quy định của Chương này, trừ khi được quy định riêng ở Phần 8-E của Quy phạm này.
14.1.2 Bản vẽ và tài liệu
1 Nói chung, các bản vẽ và tài liệu phải trình duyệt như sau:
Các bản vẽ và tài liệu để duyệt (kèm vật liệu, kích thước, áp suất thiết kế v.v... của các ống, van v.v... và bố trí phương tiện ngăn sự lan truyền ngọn lửa)
(1) Sơ đồ đường ống của các ống dầu hàng và các dụng cụ đo
(2) Các bản vẽ và tài liệu khác mà Đăng kiểm cho là cần thiết.
14.2 Bơm hàng, hệ thống ống dầu hàng, hệ thống ống trong két dầu hàng, v.v...
14.2.1 Bơm dầu hàng
1 Bơm dầu hàng phải thỏa mãn các yêu cầu sau:
(1) Mỗi bơm phải được thiết kế để giảm đến mức nhỏ nhất nguy cơ phát ra tia lửa và rò dầu ở chỗ làm kín.
(2) Phải trang bị một van chặn ở bên phía đẩy của bơm. Tuy nhiên van chặn này có thể bỏ được với điều kiện là ống dầu hàng phía đẩy của bơm có một van chặn ở vị trí thích hợp.
(3) Khi có van an toàn bên phía đẩy của bơm, thì phải bố trí để dầu thoát ra được dẫn về phía hút của bơm.
(4) Thiết bị đo áp suất phải được lắp ở phía đẩy của mỗi bơm. Khi bơm được dẫn động bằng động cơ lai đặt ở không gian khác với buồng bơm, thì phải lắp thêm một thiết bị đo áp suất ở một vị trí thích hợp, có thể nhìn thấy được từ vị trí điều khiển.
(5) Các yêu cầu trong 4.5.10-1(1), Phần 5 của Quy phạm này.
2 Khi các động cơ dẫn động các bơm dầu hàng được đặt trong buồng bơm không phải là máy hơi nước hoặc động cơ thủy lực, thì phải trình Đăng kiểm duyệt thuyết minh và kết cấu của động cơ lai cùng với hệ thống dẫn động.
3 Khi lắp đặt các bơm giếng sâu, bơm chìm v.v... phải trình Đăng kiểm kết cấu của bơm và hệ thống dẫn động để duyệt.
4 Nói chung, các bơm dầu hàng không được dùng cho các mục đích khác ngoài việc vận chuyển dầu hàng hoặc nước dằn trong các két dầu hàng, vận chuyển nước vệ sinh cho các két dầu hàng, hút khô đáy tàu như quy định ở 14.3.1-2 hoặc xả dằn như quy định ở 14.3.2-2.
14.2.2 Bố trí hệ thống ống dầu hàng
1 Các ống dầu hàng được xếp vào nhóm III, trừ khi được Đăng kiểm quy định khác.
2 Mỗi két dầu hàng phải có một (hoặc nhiều) ống hút được bố trí sao cho để có thể tiến hành xả hàng khi một trong các bơm dầu hàng bị hỏng.
3 Các ống dầu hàng phải bố trí sao cho có thể nạp dầu hàng vào các két dầu hàng không qua các bơm dầu hàng. Khi các ống nạp hàng được dẫn trực tiếp từ trên boong tới các két, thì đầu hở của các ống này phải được dẫn tới phần thấp hơn của các két đến mức có thể được để đề phòng tai nạn gây ra do phát sinh tĩnh điện.
4 Khi các ống hút nước biển dùng để dẫn được nối với các ống dầu hàng, thì phải có van chặn ở giữa các van hút nước biển và đường ống dầu hàng.
5 Các mối nối trượt dùng trong các ống dầu hàng phải thỏa mãn các yêu cầu ở 12.3.3.
6 Các ống hút nước biển và các ống xả cho các két dằn thường xuyên không được nối với các ống hút nước biển và các ống xả của két dầu hàng.
14.2.3 Sự sử dụng luân phiên của các két
Khi các két dầu hàng được thiết kế để có thể dùng làm két dằn hoặc két dầu đốt, thì các két này phải có các thiết bị mà Đăng kiểm yêu cầu, các bản vẽ và tài liệu đã được duyệt có chỉ dẫn vận hành chi tiết cho sử dụng luân phiên phải có trên tàu.
14.2.4 Sự cách li các bơm dầu hàng và đường ống dầu hàng
1 Đường ống dầu hàng phải tách biệt hoàn toàn với các đường ống khác, trừ khi được phép trong 14.2.2, 14.3.1 và 14.3.2.
2 Đường ống dầu hàng không được đi qua các két dầu đốt, buồng máy, buồng sinh hoạt và các khoang thường có nguồn phát sinh tia lửa do hơi. Ngoài ra, các ống này không được đưa tới các khoang phía trước vách chống va và phía sau vách trước của buồng máy.
3 Các ống dầu hàng trên boong thời tiết phải được bố trí xa các buồng người ở.
4 Khi tàu được bố trí để nạp hàng ở phía mũi và/hoặc đuôi và xả dầu hàng ở ngoài khu vực hàng, thì các mối nối của các đường ống hàng dẫn tới chỗ nối ống hàng mềm vào ống đó phải là các mối nối hàn trừ các chỗ nối van, và các đường ống hàng phải được phân biệt rõ ràng và được cách li với nhau bằng các phương tiện được đặt trong khu vực hàng nêu ở (1) hoặc (2) sau. Đầu hở của đường ống hàng phải có một bích tịt tại chỗ nối đầu phía mũi và/hoặc đuôi tàu.
(1) Hai van có thể được cố định ở vị trí đóng và có thể kiểm tra được hiệu quả cách li
(2) Một van và một thiết bị đóng khác có khả năng cách li tương đương, ví dụ như đoạn ống nối có thể tháo ra được hoặc một bích có tấm chặn.
5 Các ống dầu hàng và các ống tương tự dẫn tới các két dầu hàng không được đi qua các két dằn. Tuy nhiên các ống này có thể đi qua các két dằn với điều kiện là trong các két dằn chiều dài của chúng ngắn và nối các ống này bằng mối hàn hoặc nối bích không có nguy cơ rò lọt.
6 Bất kể các yêu cầu ở -5, với các tàu dầu không phải là các tàu dầu vỏ kép, các ống dầu hàng có thể đi qua các két dằn với điều kiện là nối các ống này bằng mối hàn hoặc nối bích không gây nguy cơ rò lọt. Chỉ cho phép dùng ống cong để bù giãn nở trên đường ống này trong các két dằn.
14.2.5 Các van ở vách của hệ thống ống dầu hàng
1 Các ống dầu hàng đi qua các vách kín dầu giữa két dầu hàng và buồng bơm phải có các van chặn ở càng gần vách càng tốt.
2 Khi các van nêu ở -1 được đặt trong buồng bơm, chúng phải được làm bằng thép và phải đóng được tại chỗ đặt van và từ vị trí dễ tới bên ngoài khoang đặt van. Tuy nhiên, nếu có lắp các van vận hành được từ một vị trí phía trên boong trên mỗi ống nhánh dầu hàng, thì các van đặt trong buồng bơm có thể làm bằng gang không có thiết bị điều khiển từ xa.
3 Khi các van nêu ở -1 được đặt trong két, thì các van này có thể bằng gang và không cần đóng được tại chỗ của van, nhưng chúng phải có thiết bị điều khiển từ xa và các ống phải có các van khác trong buồng bơm.
4 Khi các van cần phải điều khiển từ xa theo các yêu cầu ở -2 và -3, thì phải có các phương tiện chỉ báo đóng mở.
14.2.6 Cần thao tác van xuyên qua boong
Phải có các hộp đệm kín ở các nơi cần thao tác van dầu hàng xuyên qua các boong kín dầu hoặc kín khí.
14.2.7 Đường ống trong các két dầu hàng
1 Các ống không phải ống dầu hàng, ống hâm dầu hàng, ống dằn của các két dầu hàng và các ống được cho phép trong -2 tới -4 dưới đây không được đi qua các két dầu hàng hoặc không được nối với các khoang này.
2 Các ống dùng để điều khiển từ xa hệ thống ống dầu hàng, các ống xả hơi, các ống vệ sinh két và các thiết bị đo của các két dầu hàng có thể đi qua các két dầu hàng.
3 Các ống thoát nước, các ống vệ sinh v.v... có thể đi qua các két dầu hàng nếu được Đăng kiểm đồng ý.
4 Các ống dằn và các ống khác, như các ống đo và thông hơi cho két dằn, không được đi qua két dầu hàng. Tuy nhiên các ống này có thể qua các két dầu hàng với điều kiện là các đoạn ống này trong các két dầu hàng có chiều dài ngắn và nối các ống này bằng mối hàn hoặc nối bích không có nguy cơ rò lọt.
5 Bất kể yêu cầu ở -4, với các tàu dầu không phải là tàu dầu vỏ kép, các ống dằn của két dằn liền với một két dầu hàng có thể đi qua các két dầu hàng với điều kiện là nối các ống này bằng mối hàn hoặc nối bích không có nguy cơ rò lọt. Chỉ cho phép dùng ống cong để bù dãn nở trên đường ống này trong phạm vi két dầu hàng.
14.2.8 Thiết bị đo của két dầu hàng
Phải lắp trên mỗi két dầu hàng một thiết bị đo thích hợp được Đăng kiểm đồng ý. Thiết bị đo này phải được thiết kế hoặc bố trí sao cho có thể tránh được tất cả các dòng hơi gây cháy từ ngoài vào các không gian như buồng máy, buồng sinh hoạt v.v... nơi thường có các nguồn gây cháy hơi dầu.
14.2.9 Ống hơi nước
1 Các ống cấp hơi nước hâm dầu hàng và ống hồi không được xuyên qua tôn vỏ két dầu hàng trừ tôn đỉnh két và các ống cấp chính phải được đi trên boong thời tiết.
2 Các van hoặc vòi ngắt cách li phải được trang bị ở các chỗ nối vào và ra khỏi hệ thống hâm nóng của mối két.
3 Các ống hồi hơi nước hâm nóng dầu hàng phải dẫn tới một két kiểm tra hoặc các thiết bị phát hiện dầu khác lắp ở một vị trí càng xa các bề mặt nóng như nồi hơi hoặc nguồn tia lửa càng tốt để phát hiện dầu nhiễm bẩn trong ống dẫn hơi nước.
4 Nhiệt độ hơi nước trong khu vực hàng không được vượt quá 220oC.
5 Trong buồng bơm dầu hàng, các ống xả từ các ống hơi nước hoặc ống thải, hoặc từ các xi lanh hơi nước của các bơm phải kết thúc hợp lý phía trên các hố gom nước đáy tàu.
6 Mỗi nhánh nối của các ống hơi nước làm vệ sinh của các két dầu hàng hoặc các két khác có ống dầu hàng nối vào, phải có một van chặn một chiều hoặc hai van chân.
14.2.10 Ống dầu nóng
1 Việc bố trí đường ống dầu nóng cho các két dầu hàng phải thỏa mãn các yêu cầu sau:
(1) Tất cả các mối nối nằm trong két dầu hàng phải là loại hàn giáp mép.
(2) Phải trang bị van ngắt cách li tại các chỗ nối vào và ra các két dầu hàng. Khi đường ống dầu nóng đi qua vách kín dầu giữa két dầu hàng và buồng bơm, van ngắt đó có thể được đặt càng gần vách càng tốt.
(3) Việc bố trí hệ thống phải đảm bảo áp suất trong ống xoắn lớn hơn cột áp tĩnh của hàng ít nhất là 3m cột nước khi bơm tuần hoàn không hoạt động.
(4) Đối với tàu chỉ chở dầu có điểm chớp cháy trên 60oC phải thỏa mãn các yêu cầu nêu ở 13.11.4.
2 Nhiệt độ dầu nóng trong khu vực hàng không được vượt quá 220oC.
14.3 Hệ thống đường ống cho buồng bơm dầu hàng, khoang cách li và két kề với các két dầu hàng
14.3.1 Hệ thống ống hút khô v.v... cho buồng bơm, khoang cách li kề với các két dầu hàng
1 Phải trang bị cho hệ thống ống hút khô gồm một bơm được dẫn động cơ giới hoặc một bơm phụt để hút khô buồng bơm dầu hàng và khoang cách li kề với một két dầu hàng. Nước đáy tàu trong các khoang này không được đưa vào buồng máy.
2 Bơm dầu hàng có thể dùng làm bơm hút khô nêu ở -1 với điều kiện là mỗi ống hút khô có một van chặn một chiều và một van chặn được lắp trên phía cửa hút của bơm, ngoài ra có một van chặn lắp giữa ống dầu hàng và van xả mạn.
3 Các ống hút khô cho khoang cách li kề với một két dầu hàng phải độc lập hoàn toàn với các ống hút khô cho các khoang không kề với két dầu hàng. Tuy nhiên bơm hút khô dùng chung (trừ bơm dầu hàng) có thể được dùng để hút khô cho các khoang này nếu được Đăng kiểm đồng ý với điều kiện là ống hút khô cho các khoang không kề với két dầu hàng có một van một chiều.
4 Đường kính trong của các ống đo của các khoang cách li kề với một két dầu hàng không được nhỏ hơn 38 mm và phải dẫn lên trên boong thời tiết, trừ khi Đăng kiểm cho phép khác đi.
14.3.2 Két dằn kề với két dầu hàng
1 Các yêu cầu ở 14.3.2 cũng áp dụng cho két dằn được dùng làm khoang cách li ở đầu trước và sau của các két dầu hàng phù hợp các yêu cầu ở 27.1.2-2(3), Phần 2-A của Quy phạm này. Tuy nhiên, nếu đầu trước của két dằn này đặt phía trước của vách chống va thì phải áp dụng các yêu cầu khác.
2 Các ống dằn nguy hiểm (xem chú thích 2 của Bảng 3/12.6(1)) như các ống dằn của két dằn kề với két dầu hàng phải độc lập với các ống khác và không được đưa vào buồng máy. Để thỏa mãn mục đích này, phải có một bơm riêng ở trong buồng bơm để cấp nước dằn và xả nước dằn cho các két này. Tuy nhiên, nếu được Đăng kiểm chấp nhận riêng, thì bơm dầu hàng có thể chỉ dùng để xả nước dằn ra trong trường hợp sự cố.
3 Các mối nối trượt dùng trong các ống dằn của két dằn kề với một két dầu hàng phải thỏa mãn các yêu cầu ở 12.3.3.
4 Mỗi ống thông hơi cho két dằn kề với một két dầu hàng phải có lưới kim loại dễ thay mới để phòng lửa đi vào tại các đầu thoát của ống. Trong trường hợp được Đăng kiểm chấp nhận, thì yêu cầu ở 13.6.3-1(1) đối với kích thước của ống thông hơi sẽ được sửa đổi một cách thích hợp.
5 Các ống đo của két dằn kề với một két dầu hàng phải được đưa lên trên boong thời tiết, trừ trường hợp khác được Đăng kiểm chấp nhận.
14.3.3 Các két dầu đốt kề với két dầu hàng
Các ống đo của két dầu đốt kề với két dầu hàng phải được đưa lên trên boong thời tiết, trừ trường hợp khác được Đăng kiểm chấp nhận.
14.3.4 Bố trí bơm của khoang mũi
Bơm đặt ở phần mũi tàu dùng để hút khô hoặc chuyển nước dằn hay dầu đốt trong một khoang phía trước các két dầu hàng phải là loại chuyên dùng riêng và, trừ khi được Đăng kiểm cho phép khác đi, phải được đặt ở phần mũi tàu. Tuy nhiên, khi được Đăng kiểm cho phép, có thể dùng bơm thích hợp khác với bơm nêu trên để hút khô hoặc chuyển nước dằn trong một khoang phía trước các két dầu hàng.
14.4 Tàu chỉ chở đầu có điểm chớp cháy lớn hơn 60 oC
14.4.1 Quy định chung
1 Đối với tàu chỉ chở dầu có điểm chớp cháy trên 60 oC, có thể sửa đổi từng phần các yêu cầu ở 14.1 tới 14.4 phù hợp với các yêu cầu từ (1) tới (4) sau đây:
(1) Các yêu cầu ở 14.1.2 tới 14.2.9 có thể được sửa đổi thích hợp.
(2) Nước đáy tàu của buồng bơm dầu hàng và các khoang cách li kề với két dầu hàng có thể được dẫn vào buồng máy (xem 14.3.1).
(3) Có thể đưa các ống dằn của két dằn kề với két dầu hàng tới buồng máy (xem 14.3.2-2). Có thể không cần lưới dây kim loại để ngăn ngọn lửa qua được quy định cho đầu ra của các ống thông hơi của két dầu hàng (xem 14.3.2-4). Có thể bố trí các ống đo của các két này có các đầu hở ở dưới boong thời tiết (xem 14.3.2-5).
(4) Có thể không cần đưa ống đo của két dầu đốt kề với két dầu hàng lên trên boong thời tiết (xem 14.3.3).
14.5 Hệ thống đường ống cho tàu chở hàng hỗn hợp
14.5.1 Phạm vi áp dụng
1 Các yêu cầu ở 14.5 áp dụng cho hệ thống đường ống và hệ thống thông hơi của tàu được thiết kế để chở dầu hoặc chở xô các hàng rắn luân phiên nhau.
2 Với các hạng mục được quy định riêng trong 14.5, các yêu cầu trong 14.5 được áp dụng thay cho các yêu cầu trong các mục khác của Phần này.
14.5.2 Thuật ngữ
1 Các thuật ngữ dùng trong 14.5 được định nghĩa như sau:
(1) Tàu chở hàng hỗn hợp tà tàu chở quặng/dầu quy định ở 28.1.9, Phần 2-A và tàu chở hàng rời/dầu quy định ở 29.8.1, Phần 2-A của Quy phạm này.
(2) Két lắng là két được trang bị chủ yếu để chở chất rửa két hoặc dầu hàng và được thiết kế để có khả năng chở dầu có điểm chớp cháy không vượt quá 60 oC khi tàu ở dạng chở hàng khô.
(3) Khoang hàng rắn/dầu là khoang được dùng để chứa hàng rắn khi tàu ở dạng tàu hàng khô và được dùng làm két dầu hàng khi tàu không ở dạng tàu hàng khô.
(4) Khoang dằn/hàng rắn là khoang được dùng làm két riêng để dằn tàu kề với két dầu hàng khi tàu không ở dạng tàu hàng khô và được dùng làm khoang chứa hàng rắn khi tàu ở dạng tàu hàng khô.
(5) Khoang chuyên chứa hàng rắn là một khoang được dùng làm khoang trống kề với két dầu hàng khi tàu không ở dạng tàu hàng khô và được dùng làm khoang chứa hàng rắn khi tàu ở dạng tàu hàng khô.
(6) Két dầu/dằn là két được dùng làm két dầu hàng khi tàu không ở dạng tàu hàng khô và được dùng làm két dằn hoặc khoang trống khi tàu ở dạng tàu hàng khô.
(7) Két chuyên dằn là két kề với két dầu hàng khi tàu không ở dạng tàu hàng khô và được dùng làm két chuyên để dằn cả khi tàu ở hoặc không ở dạng tàu hàng khô.
(8) Khoang hàng là thuật ngữ chung chỉ khoang chứa hàng rắn/dầu, khoang dằn/hàng rắn và khoang chuyên chưa hàng rắn.
(9) Két dầu hàng là thuật ngữ chung chỉ khoang hàng rắn/dầu, két dầu/dằn và két lắng.
14.5.3 Hệ thống ống hút khô
1 Không được đưa hệ thống đường ống hút khô cho các khoang hàng vào buồng máy. Bơm dầu hàng có thể dùng để hút khô với điều kiện là hệ thống ống dầu hàng trong buồng bơm dầu hàng dùng để hút khô thỏa mãn các yêu cầu ở 13.5.3 và 13.5.4.
2 Các ống hút khô các khoang hàng phải thỏa mãn các yêu cầu sau:
(1) Nếu có hai hệ thống ống dầu hàng trở lên (ví dụ đường ống chính và đường ống hút vét) hoặc có các hệ thống ống dầu hàng độc lập cho các két dầu/dằn và các khoang hàng, và nếu các hệ thống ống dầu hàng này được bố trí sao cho có thể xả đồng thời chất lỏng trong tất cả hoặc các két dầu/dằn và các khoang hàng được lựa chọn (đối với các két dầu/dằn thì bao gồm cả việc nạp nước dằn) khi tàu ở dạng tàu hàng khô thì các ống dầu hàng này có thể được dùng làm các ống hút khô cho các khoang hàng. Đường kính của các ống dầu hàng được dùng làm ống hút khô này không được nhỏ hơn đường kính quy định cho các ống hút khô.
(2) Khi có các ống chỉ để hút khô, phải có một bơm hút khô riêng trong buồng bơm dầu hàng hoặc phải nối các đầu hút khô với bơm dầu hàng trong buồng bơm dầu hàng. Khi dùng bơm dầu hàng làm bơm hút khô, phải có một van chặn và một van chặn một chiều ở chỗ nối giữa ống hút khô và bơm dầu hàng.
3 Miệng hút khô trong khoang hàng phải thỏa mãn các yêu cầu sau:
(1) Nói chung phải có một miệng hút khô đặt ở mỗi mạn phía đuôi tàu của khoang hàng. Khi chiều dài khoang hàng của tàu chỉ có một khoang hàng vượt quá 66 m, thì phải bố trí thêm một miệng hút khô ở vị trí thích hợp ở nửa chiều dài phía trước của khoang.
(2) Phải bố trí các hố gom nước đáy tàu ở các vị trí phù hợp để bảo vệ các tấm nắp không bị hàng rắn va trực tiếp vào và phải có hộp lưới lọc hoặc phương tiện thích hợp khác để miệng hút không bị tắc bởi bụi quặng.
(3) Các hố gom nước đáy tàu trong các khoang chứa hàng rắn/dầu hoặc các khoang dằn/hàng rắn trừ khi các hố gom nước đáy tàu này cũng dùng làm giếng hút dầu hàng, phải có các tấm nắp để đậy các giếng này hoặc phải có các mặt bích tịt để bịt các dầu hở của ống hút khô khi tàu không ở dạng tàu hàng khô.
4 Đối với các ống chỉ để hút khô, ngoài các yêu cầu ở -3, các ống hút khô nhánh còn phải thỏa mãn các yêu cầu ở 13.5. Khi tính toán đường kính trong của các ống hút khô nhánh để hút khô khoang hàng của tàu chở quặng/dầu, có thể dùng chiều rộng trung bình của khoang hàng thay cho chiều rộng tàu (B). Ngoài các yêu cầu ở -2 và -3, với các ống hút khô còn được dùng để làm ống dầu hàng hoặc được nối với bơm phụt, phải thỏa mãn các yêu cầu của Đăng kiểm.
14.5.4 Hệ thống ống dầu hàng
1 Các miệng hút dầu hàng trong khoang chứa hàng rắn/dầu trừ khi chúng còn được dùng làm miệng hút khô phải có các mặt bích tịt để bịt dầu hở của các ống hút dầu hàng hoặc phải có các tấm đậy để bịt các giếng hút dầu hàng khi tàu ở dạng tàu hàng khô.
2 Ngoài các yêu cầu ở 14.5, hệ thống ống dầu hàng của tàu chở hàng hỗn hợp phải tuân theo các yêu cầu ở 1.2.4 và 4.5.1-4, Phần 5 của Quy phạm này.
14.5.5 Hệ thống thông gió
1 Hệ thống thông gió của các tàu chở hàng hỗn hợp phải tuân theo các yêu cầu ở 4.5.4-2, Phần 5 của Quy phạm này.
14.6 Thử nghiệm
14.6.1 Thử tại xưởng
Sau khi chế tạo hệ thống đường ống của tàu chở hàng lỏng và tàu chở xô hóa chất nguy hiểm, việc thử nghiệm phải được tiến hành đúng theo các quy định ở 12.6.
14.6.2 Thử nghiệm sau khi lắp đặt trên tàu
1 Sau khi hoàn thành lắp ráp đường ống dầu hàng, chúng phải được thử rò rỉ ở áp suất bằng 1,25 lần áp suất thiết kế trở lên.
2 Các ống hâm nóng trong các két dầu hàng phải được thử rò rỉ ở áp suất bằng 1,5 lần áp suất thiết kế trở lên.
3 Sau khi lắp đặt trên tàu, các thiết bị phụ và hệ thống đường ống phải qua các thử nghiệm sau:
(1) Thử chức năng các bơm dầu hàng
(2) Thử chức năng các hệ thống khác liên quan đến các biện pháp an toàn nêu trong Chương này.
CHƯƠNG 15 THIẾT BỊ LÁI
15.1 Quy định chung
15.1.1 Phạm vi áp dụng
1 Những yêu cầu trong Chương này áp dụng cho các thiết bị lái được truyền động cơ giới.
2 Đối với các hạng mục được quy định riêng ở Chương này, thì các yêu cầu trong Chương này được áp dụng thay cho các yêu cầu ở Chương 12 và 13.
3 Trang thiết bị điện và dây cáp điện dùng cho thiết bị lái phải thỏa mãn các yêu cầu trong Phần 4 của Quy phạm này ngoài các yêu cầu nêu ra ở Phần này.
4 Thiết bị lái tay sẽ được Đăng kiểm xem xét trong từng trường hợp cụ thể.
15.1.2 Thuật ngữ
1 Các thuật ngữ dùng trong Chương này được định nghĩa như sau:
(1) Thiết bị lái chính là máy móc, thiết bị dẫn động bánh lái, máy lái, trang bị phụ và phương tiện truyền mô men cần thiết cho trục lái (cần bánh lái v.v...) làm chuyển dịch bánh lái nhằm mục đích điều khiển hướng con tàu ở các chế độ khai thác bình thường...
(2) Thiết bị lái phụ là thiết bị lái khác với các phần của thiết bị lái chính cần thiết cho việc lái tàu trong trường hợp thiết bị lái chính bị sự cố, không kể cần bánh lái v.v...
(3) Máy lái:
(a) Trong trường hợp thiết bị lái điện, là một động cơ điện và các thiết bị điện gắn với nó;
(b) Trong trường hợp máy lái điện - thủy lực, là một bơm thủy lực, động cơ điện và thiết bị gắn với nó;
(c) Là một bơm thủy lực và động cơ dẫn động, trong trường hợp máy lái thủy lực khác kiểu ở (b).
(4) Hệ thống truyền động là thiết bị thủy lực để tạo lực quay trục bánh lái, nó gồm một hoặc nhiều bộ phận tạo lực cùng với các đường ống thủy lực và phụ tùng nối với chúng và một thiết bị dẫn động bánh lái. Các hệ thống truyền động cơ giới có thể có các bộ phận cơ khí chung như cần bánh lái v.v...
(5) Thiết bị dẫn động bánh lái là thiết bị chuyển trực tiếp áp suất thủy lực thành tác dụng cơ giới để chuyển dịch bánh lái.
(6) Hệ thống điều khiển là trang thiết bị dùng để truyền mệnh lệnh từ buồng lái đến máy lái. Các hệ thống điều khiển thiết bị lái gồm các thiết bị truyền, nhận; các bơm điều khiển bằng thủy lực và các động cơ nối với chúng; thiết bị điều khiển động cơ, đường ống và các dây cáp.
15.1.3 Bản vẽ và tài liệu
1 Nói chung, các bản vẽ và tài liệu phải trình duyệt như sau:
(1) Bản vẽ:
(a) Bản vẽ bố trí chung của thiết bị lái
(b) Các chi tiết của cần bánh lái, v.v...
(c) Bản vẽ lắp ráp và chi tiết của máy lái
(d) Bản vẽ lắp ráp và chi tiết của thiết bị dẫn động bánh lái
(e) Sơ đồ đường ống thủy lực; thiết bị của hệ thống điều khiển
(f) Sơ đồ hệ thống thủy lực và điện (kể cả thiết bị báo động và lái tự động)
(g) Bố trí và sơ đồ của nguồn năng lượng dự phòng
(h) Sơ đồ của thiết bị chỉ báo góc bánh lái
(i) Những bản vẽ khác mà Đăng kiểm cho là cần thiết.
(2) Tài liệu:
(a) Các đặc tính kĩ thuật
(b) Hướng dẫn vận hành (kể cả các bản vẽ trình bày quy trình chuyển đổi giữa các máy lái và giữa các hệ thống điều khiển. Các bản vẽ thể hiện trình tự cấp năng lượng tự động từ một nguồn năng lượng dự phòng, các số liệu về kiểu loại, đặc tính kĩ thuật và sự lắp ráp nguồn năng lượng trong trường hợp nguồn dự phòng là nguồn độc lập và đặc tính của chất lỏng thủy lực)
(c) Tài liệu hướng dẫn biện pháp đối phó khi có hỏng hóc riêng ở hệ thống truyền động
(d) Bản tính độ bền của những bộ phận quan trọng
(e) Các tài liệu khác mà Đăng kiểm thấy cần thiết
15.1.4 Trưng bày hướng dẫn vận hành
1 Các hướng dẫn vận hành đơn giản kèm theo sơ đồ khối thể hiện các quy trình chuyển đổi các máy lái và các hệ thống điều khiển phải được trưng bày cố định ở buồng lái và buồng máy lái đối với các tàu được trang bị thiết bị lái cơ giới.
2 Nếu có thiết bị báo động khi hệ thống hỏng phù hợp với 15.3.1-4, phải trang bị trên buồng lái các hướng dẫn thích hợp về các quy trình xử lí sự cố khi có báo động.
15.1.5 Hướng vận hành và bảo dưỡng thiết bị lái
1 Phải trang bị các hướng dẫn vận hành và bảo dưỡng thiết bị lái và các bản vẽ cơ khí của thiết bị lái. Các hướng dẫn và bản vẽ này phải sử dụng ngôn ngữ có thể hiểu được bởi những sĩ quan và thuyền viên cần phải hiểu những thông tin đó khi thực hiện nhiệm vụ.
15.2 Đặc tính và bố trí thiết bị lái
15.2.1 Số lượng thiết bị lái
1 Trừ khi được trang bị theo cách khác, mỗi tàu phải có một thiết bị lái chính và một thiết bị lái phụ. Thiết bị lái chính và phụ phải được bố trí sao cho thiết bị này hỏng không làm ngừng hoạt động của thiết bị kia.
2 Khi thiết bị lái chính có hai hoặc nhiều máy lái giống nhau thì không cần phải có thiết bị lái phụ với điều kiện là:
(1) Thiết bị lái chính có khả năng điều khiển hoạt động của bánh lái thỏa mãn các yêu cầu ở 15.2.2-1(1) khi tất cả các máy lái làm việc.
(2) Thiết bị lái chính được bố trí để sao cho sau khi có hỏng hóc riêng trong hệ thống ống của nó hoặc ở một trong các máy lái, thì chỗ hỏng hóc có thể được cách li ra để khả năng lái có thể duy trì hoặc nhanh chóng phục hồi. Các thiết bị lái không phải là kiểu thủy lực sẽ được Đăng kiểm xem xét riêng trong từng trường hợp cụ thể.
15.2.2 Đặc tính của thiết bị lái chính
1 Thiết bị lái chính phải:
(1) Có khả năng quay bánh lái từ 35o mạn này sang 35 o mạn kia khi tàu ở mớn nước chở hàng và chạy tiến với tốc độ nêu ở 1.2.26, Phần 1-A của Quy phạm này; và ở các điều kiện đó, thời gian quay bánh lái từ 35o mạn này sang 30 o mạn kia không được quá 28 giây.
(2) Được vận hành bằng cơ giới nếu cần để thỏa mãn các yêu cầu ở (1) hoặc trong trường hợp đường kính trục bánh lái phía trên lớn hơn 120 mm theo yêu cầu ở 25.1, Phần 2-A của Quy phạm này (được tính toán với hệ số phụ thuộc vào vật liệu Ks = 1 khi Ks nhỏ hơn 1, và không kể phần kích thước gia cường đi băng (sau đây được coi tương tự như vậy)); và
(3) Được thiết kế sao cho không bị hỏng khi lùi ở tốc độ lớn nhất. Tuy nhiên yêu cầu thiết kế này không cần phải chứng minh bằng thử ở tốc độ lùi lớn nhất và ở góc bẻ lái lớn nhất.
15.2.3 Đặc tính của thiết bị lái phụ
1 Thiết bị lái phụ phải:
(1) Có khả năng quay bánh lái từ 15o mạn này sang 15o mạn kia trong thời gian không quá 60 giây khi tàu ở mớn nước chở hàng và chạy tiến với tốc độ bằng số lớn hơn giữa trị số một nửa vận tốc quy định ở 1.2.26, Phần 1-A của Quy phạm này và 7 hải lý/giờ; và có khả năng đưa vào vận hành nhanh chóng trong trường hợp sự cố; và
(2) Được vận hành bằng cơ giới nếu cần để thỏa mãn các yêu cầu (1) và trong mọi trường hợp khi đường kính trục bánh lái trên lớn hơn 230 mm theo yêu cầu ở 25.1, Phần 2-A của Quy phạm này.
15.2.4 Đường ống
1 Hệ thống ống thủy lực phải được bố trí để sao cho có thể luôn sẵn sàng chuyển đổi được giữa các máy lái.
2 Phải bố trí các thiết bị thích hợp để giữ sạch chất lỏng thủy lực có lưu ý tới kiểu loại và thiết kế của hệ thống truyền động.
3 Phải có thiết bị để xả khí ra khỏi hệ thống truyền động nếu thấy cần thiết.
4 Van an toàn phải lắp ở phần bất kì của hệ thống thủy lực mà có thể bị cô lập và sinh ra áp suất bởi nguồn năng lượng hoặc ngoại lực. Áp suất đặt của van an toàn không được nhỏ hơn 1,25 lần áp suất làm việc lớn nhất có thể có trong phần được bảo vệ này. Sản lượng xả nhỏ nhất của các van an toàn này không được nhỏ hơn sản lượng tổng của các bơm cấp năng lượng cho thiết bị dẫn động khi đã tăng lên 10%. Ở điều kiện như vậy sự tăng áp suất không được vượt quá 10% áp suất đặt van an toàn. Về mặt này, phải chú ý thích đáng tới các điều kiện xung quanh khó khăn nhất dự kiến trước đối với độ nhớt của dầu.
5 Mỗi két chứa chất lỏng thủy lực phải có thiết bị báo động mức thấp để chỉ báo sớm nhất sự rò lọt chất lỏng. Tín hiệu báo động này phải bằng âm thanh và ánh sáng và được truyền lên buồng lái và vị trí điều khiển máy chính.
6 Két chứa cố định phải có đủ dung tích để nạp lại cho ít nhất một hệ thống truyền động, kể cả bình chứa nếu thiết bị lái chính hoạt động bằng thủy lực. Két chứa phải luôn nối với hệ thống ống để hệ thống thủy lực luôn có thể dễ dàng được nạp lại từ một vị trí trong phạm vi buồng máy lái và phải có đồng hồ chỉ mức dầu.
7 Đối với những thiết bị lái được bố trí có từ hai hệ thống trở lên (hệ thống năng lượng hoặc là hệ thống điều khiển) có thể cùng hoạt động thì phải đề phòng xảy ra hiện tượng khóa thủy lực do một hư hỏng riêng nào đó.
15.2.5 Khởi động lại và báo động mất năng lượng của các máy lái
1 Các máy lái của thiết bị lái chính và phụ phải:
(1) Được bố trí để tự động khởi động lại được khi năng lượng được khôi phục sau khi mất năng lượng, và
(2) Có khả năng khởi động được từ một vị trí trên buồng lái. Trong trường hợp mất năng lượng ở bất kỳ máy lái nào, thì các tín hiệu báo động ánh sáng và âm thanh phải được đưa tới buồng lái.
15.2.6 Nguồn năng lượng dự phòng
1 Khi đường kính trục trên của bánh lái, theo yêu cầu ở 25.1, Phần 2-A của Quy phạm này, lớn hơn 230 mm, thì phải trang bị nguồn năng lượng dự phòng thỏa mãn các quy định sau:
(1) Nguồn năng lượng dự phòng phải là:
(a) Nguồn điện sự cố, hoặc
(b) Nguồn năng lượng độc lập đặt trong buồng máy lái và chỉ sử dụng cho mục đích này.
(2) Nguồn năng lượng dự phòng phải có khả năng, trong phạm vi 45 giây, tự động cấp năng lượng thay thế cho máy lái và hệ thống điều khiển nối với nó và thiết bị chỉ báo góc bánh lái. Trong trường hợp này nguồn năng lượng dự phòng phải có khả năng cung cấp đủ năng lượng cho máy lái để có thể khôi phục lại khả năng lái quy định ở 15.2.3-1(1). Ở các tàu GT từ 10.000 trở lên, nguồn năng lượng dự phòng phải có dung lượng đủ để thiết bị lái hoạt động liên tục được ít nhất trong 30 phút và ở các tàu khác ít nhất là 10 phút.
(3) Thiết bị khởi động tự động cho máy phát hoặc động cơ lai bơm được dùng làm nguồn năng lượng độc lập quy định ở (1)(b) phải thỏa mãn các yêu cầu đối với thiết bị khởi động và đặc tính ở 3.4.1, Phần 4 của Quy phạm này.
15.2.7 Trang bị điện cho thiết bị lái điện và điện thủy lực
1 Các đường cáp trong mạch điện theo yêu cầu của Chương này phải được trang bị kép cần cố gắng tách xa ra trên suốt chiều dài.
2 Các phương tiện để chỉ báo các máy lái đang hoạt động phải được đặt trên buồng lái và ở vị trí thường điều khiển máy chính.
3 Mỗi thiết bị lái điện hoặc điện - thủy lực có một hoặc nhiều máy lái phải có ít nhất hai mạch điện riêng cấp trực tiếp từ bảng điện chính. Tuy vậy một trong các mạch này có thể được cấp qua bảng điện sự cố.
4 Thiết bị lái phụ bằng điện hoặc điện - thủy lực được liên kết với thiết bị lái chính dùng điện hoặc điện thủy lực có thể được nối với một trong các mạch cung cấp điện cho thiết bị lái chính này. Các mạch phải có công suất định mức thích hợp để cung cấp được cho tất cả các động cơ có thể được đồng thời nối vào chúng và có thể làm việc đồng thời.
5 Phải trang bị thiết bị bảo vệ ngắn mạch và báo động quá tải cho các mạch và các động cơ. Tín hiệu báo động quá tải phải vừa nghe và nhìn thấy được và phải được đặt ở vị trí dễ thấy ở nơi thường điều khiển máy chính.
6 Thiết bị bảo vệ quá dòng điện trong đó có dòng khởi động, nếu có, phải chịu được không ít hơn hai lần dòng toàn tải của động cơ hoặc của mạch được bảo vệ và được bố trí để cho phép dòng khởi động thích hợp đi qua.
7 Nếu sử dụng nguồn ba pha, thì phải trang bị thiết bị báo động để chỉ báo sự cố ở một trong các pha của nguồn. Tín hiệu báo động này phải bằng âm thanh và ánh sáng và được đặt ở vị trí dễ thấy, thường điều khiển máy chính.
8 Nếu tàu có GT nhỏ hơn 1600 có thiết bị lái phụ vận hành cơ giới theo yêu cầu 15.2.3-1(2) truyền động bằng nguồn năng lượng không phải là năng lượng điện hoặc được cấp năng lượng bằng một động cơ điện dùng chủ yếu cho mục đích khác, thì thiết bị lái chính có thể được cấp năng lượng bởi một mạch từ bảng điện chính. Khi động cơ điện chủ yếu dùng cho các mục đích khác như vậy được bố trí để cấp năng lượng cho thiết bị lái phụ đó, thì có thể được Đăng kiểm bỏ qua các yêu cầu từ -5 đến -7 nếu thỏa mãn về thiết bị bảo vệ và các yêu cầu ở 15.2.5 và 15.3.1-1(3) áp dụng cho thiết lái phụ
9 Với các tàu có GT nhỏ hơn 1600 có thiết bị lái phụ bằng tay, thì có thể chỉ cần một mạch điện cung cấp từ bảng điện chính cho thiết lái chính.
15.2.8 Vị trí thiết bị lái
1 Thiết bị lái phải được đặt ở một khoang kín dễ đến và đặt cách khoang máy càng xa càng tốt.
2 Buồng máy lái phải được trang bị phù hợp để đảm bảo lối vào làm việc và điều khiển. Các trang bị này gồm cả tay vịn cầu thang và lưới sắt hoặc các bề mặt không trơn để đảm bảo điều kiện làm việc thích hợp trong trường hợp rò rỉ chất lỏng thủy lực.
15.2.9 Phương tiện liên lạc
Phải có phương tiện liên lạc giữa buồng máy và buồng máy lái.
15.2.10 Thiết bị chỉ báo góc bánh lái
1 Vị trí góc bánh lái phải được:
(1) Chỉ báo trong buồng lái. Thiết bị chỉ báo góc bánh lái phải độc lập với hệ thống điều khiển.
(2) Nhận biết được trong buồng máy lái.
15.3 Điều khiển
15.3.1 Quy định chung
1 Hệ thống điều khiển thiết bị lái phải được trang bị:
(1) Cho thiết bị lái chính cả ở buồng lái lẫn trong buồng máy lái.
(2) Hai hệ thống điều khiển độc lập nếu thiết bị lái chính được bố trí thỏa mãn yêu cầu 15.2.1-2; cả hai đều có thể vận hành được từ buồng lái. Trong trường hợp này không đòi hỏi phải trang bị gấp đôi vô lăng lái hoặc cần lái. Khi hệ thống điều khiển có một mô tơ điều khiển từ xa bằng thủy lực thì không cần lắp hệ thống độc lập thứ hai.
(3) Đối thiết bị lái phụ, đặt ở trong buồng máy lái và nếu được dẫn động cơ giới thì nó phải có thể vận hành được từ buồng lái và độc lập với hệ thống điều khiển của thiết bị lái chính.
2 Mọi hệ thống điều khiển thiết bị lái chính và phụ có thể vận hành được từ buồng lái đều phải thỏa mãn các quy định sau:
(1) Nếu điều khiển bằng điện, thì phải có mạng điện riêng được cấp điện từ một mạch điện của thiết bị lái từ một điểm trong phạm vi buồng máy lái, hoặc trực tiếp từ các thanh dẫn của bảng điện cấp điện cho mạch điện của thiết bị lái đó tại một điểm trên bảng điện ở cạnh nguồn điện cấp cho mạch điện của thiết bị lái.
(2) Ở trong buồng máy lái phải có phương tiện để ngắt một hệ thống điều khiển bất kỳ, vận hành được từ buồng lái ra khỏi thiết bị lái mà nó phục vụ.
(3) Phải có khả năng đưa hệ thống vào hoạt động được từ một vị trí trên buồng lái.
(4) Trong trường hợp mất điện cấp cho hệ thống điều khiển, thì phải có tín hiệu báo động bằng âm thanh và ánh sáng trên buồng lái.
(5) Chỉ phải trang bị thiết bị bảo vệ ngắn mạch cho các mạch cấp cho hệ thống điều khiển thiết bị lái.
3 Các dây cáp và hệ thống điều khiển mà Chương này yêu cầu mắc kép phải cố gắng đặt càng xa nhau càng tốt trên suốt chiều dài của chúng.
4 Đối với những thiết bị lái được bố trí từ hai hệ thống trở lên (hệ thống năng lượng hoặc là hệ thống điều khiển) có thể cùng hoạt động, nếu một hư hỏng riêng gây nên hiện tượng khóa thủy lực có thể dẫn đến mất lái thì phải trang bị trên lầu lái thiết bị báo động bằng âm thanh và ánh sáng để xác định hệ thống bị hỏng.
15.3.2 Chuyển đổi từ lái tự động sang lái tay
Các thiết bị lái của tàu có thiết bị lái tự động phải có khả năng nhanh chóng chuyển từ lái tự động sang lái tay.
15.4 Vật liệu, kết cấu và độ bền của thiết bị lái
15.4.1 Vật liệu
1 Các vật liệu dùng trong thiết bị lái phải bền, không có khuyết tật và thích hợp với điều kiện khai thác.
2 Vật liệu làm xi lanh và vỏ của thiết bị dẫn động bánh lái, các đường ống chịu áp lực thủy lực và các bộ phận truyền lực cơ giới cho trục bánh lái không được có độ dãn dài tối thiểu nhỏ hơn 12% và không được có giới hạn bền kéo danh nghĩa vượt quá 650 N/mm2. Điều này không áp dụng đối với vật liệu van và bu lông được Đăng kiểm duyệt.
3 Vật liệu làm cần bánh lái phải là thép rèn hoặc thép đúc đã được thử thỏa mãn các yêu cầu ở Phần 7-A của Quy phạm này.
4 Vật liệu làm moay-ơ và các cánh của thiết bị dẫn động bánh lái kiểu cánh quay phải là thép rèn, thép đúc hoặc gang cầu đã thử thỏa mãn các yêu cầu ở Phần 7-A của Quy phạm này.
5 Vật liệu bu lông để lắp ghép cần bánh lái kiểu rời và bu lông cố định các cánh vào moay-ơ của thiết bị dẫn động bánh lái kiểu cánh quay phải là thép rèn hoặc thép cán đã thử thỏa mãn các yêu cầu ở Phần 7-A của Quy phạm này.
6 Vật liệu làm các bộ phận chính khác với các bộ phận ở -3 đến -5 phải thỏa mãn các tiêu chuẩn được công nhận.
7 Có thể dùng các vật liệu khác với vật liệu ở -2 đến -6 nếu được Đăng kiểm chấp nhận.
15.4.2 Hàn
1 Tất cả các mối hàn của các bộ phận của hệ thống truyền động phải ngấu hoàn toàn và không có các khuyết tật có hại khác.
2 Các mối hàn trong các bộ phận chịu áp lực bên trong của hệ thống truyền động bằng cơ giới phải có đủ độ bền.
15.4.3 Kết cấu chung của thiết bị lái
1 Thiết bị lái phải có đủ độ bền và độ tin cậy.
2 Kết cấu của các bộ phận chính của thiết bị lái phải được xác định để tránh tập trung ứng suất.
3 Áp suất thiết kế để xác định kích thước đường ống và các chi tiết khác của thiết bị lái chịu áp lực thủy lực bên trong phải bằng ít nhất 1,25 lần áp suất làm việc lớn nhất có thể có trong các điều kiện làm việc đã được quy định ở 15.2.2-1(1) có tính đến mọi áp suất có thể có ở phía áp suất thấp của hệ thống. Áp suất thiết kế không được nhỏ hơn áp suất đặt của van an toàn.
4 Cần xét riêng tới mức độ hợp lý của những chi tiết quan trọng không được trang bị kép. Khi có chi tiết quan trọng như vậy, phải sử dụng các ổ đỡ chống ma sát như ổ bi, ổ bi đũa hay các ổ trượt được bôi trơn liên tục hoặc có các thiết bị bôi trơn.
5 Khi xét thấy cần thiết, phải tiến hành tính toán mỏi đối với đường ống và các chi tiết có tính đến áp suất xung động gây ra do tải trọng động. Phải xem xét cả mỏi chu trình cao lẫn mỏi tích lũy.
15.4.4 Độ bền của thiết bị dẫn động bánh lái
1 Ngoài ứng suất cho phép quy định ở Chương này, độ bền của tất cả các bộ phận của thiết bị dẫn động bánh lái chịu áp lực bên trong phải thỏa mãn các yêu cầu tương ứng ở Chương 10.
2 Trong tính toán độ bền quy định ở -1, ứng suất cho phép đối với ứng suất màng chung chính tương đương không được phép lớn hơn giá trị nhỏ hơn trong các giá trị sau:

Trong đó dB: Giới hạn bền kéo của vật liệu (N/mm2)
dY: Giới hạn chảy danh nghĩa (giới hạn giãn dài qui ước) của vật liệu (N/mm2)
A và B được cho trong Bảng 3/15.1
Bảng 3/15.1 Trị số A và B
|
| Thép cán hoặc rèn | Thép đúc | Gang cầu |
| A | 3,5 | 4 | 5 |
| B | 1,7 | 2 | 3 |
15.4.5 Đệm kín dầu của thiết bị dẫn động bánh lái
1 Các đệm kín dầu giữa các bộ phận không chuyển động tạo thành một phần của ranh giới áp suất bên ngoài phải là kiểu kim loại áp lên kim loại hoặc kiểu tương đương.
2 Các đệm kín dầu giữa các chi tiết chuyển động tạo thành một phần ranh giới áp suất bên ngoài phải được lắp kép để sao cho khi một đệm kín hỏng không làm cho thiết bị dẫn động không hoạt động được. Có thể dùng các thiết bị dự phòng chống rò rỉ tương đương nếu được Đăng kiểm chấp nhận.
15.4.6 Ống mềm
1 Các cụm ống có kiểu đã được Đăng kiểm duyệt và thỏa mãn các yêu cầu sau, có thể lắp đặt ở những nơi đòi hỏi tính mềm dẻo:
(1) Các ống không bị biến dạng xoắn ở điều kiện làm việc bình thường.
(2) Nói chung, ống mềm phải được giới hạn đến chiều dài cần thiết của ống để bảo đảm độ linh hoạt và sự làm việc chính xác của máy.
(3) Các ống phải là ống thủy lực chịu áp suất cao và thích hợp với điều kiện làm việc tức là phù hợp với chất lỏng bên trong, áp suất, nhiệt độ v.v...
(4) Áp suất nổ vỡ ống không được nhỏ hơn 4 lần áp suất thiết kế.
15.4.7 Cần bánh lái v.v...
1 Các kích thước của cần bánh lái, v.v... bằng thép rèn hoặc đúc, để truyền lực từ thiết bị dẫn động bánh lái tới trục bánh lái, phải được xác định sao cho ứng suất uốn không vượt quá 118/K (N/mm2) và ứng suất cắt không vượt quá 68/K (N/mm2) khi mô men bánh lái TR tác dụng.
Trong đó:
TR: Mô men bánh lái quy định ở 25.1.3, Phần 2-A của Quy phạm này (Nm)
K: Hệ số vật liệu cần bánh lái quy định ở 25.1.1-2, Phần 2-A của Quy phạm này.
2 Bất kể yêu cầu quy định ở -1, kích thước cần bánh lái kiểu con trượt Rapson hoặc pít tông kiểu ống có thể xác định theo các quy định từ (1) đến (4) như sau:
(1) Tiết diện thẳng đứng qua đường tâm trục lái ở mỗi phía của moay-ơ cần bánh lái phải tuân theo công thức sau:
(D2 - d2) H ≥ 170 TR K
H/d ≥ 0,75
Trong đó:
D: Đường kính ngoài của moay-ơ (mm)
d: Đường kính trong của moay-ơ (mm)
H: Chiều cao của moay-ơ (mm)
TR: Mô men bánh lái được quy định ở 25.1.3, Phần 2-A của Quy phạm này (Nm)
K: Hệ số vật liệu cần bánh lái quy định ở 25.1.1-2, Phần 2-A của Quy phạm này.
(2) Mô đun tiết diện của cánh tay đòn quanh trục thẳng đứng không được nhỏ hơn giá trị tính theo công thức sau:

Trong đó:
ZTA: Mô đun tiết diện quy định của cánh tay đòn quanh trục thẳng đứng (mm3)
r: Khoảng cách từ tâm trục lái đến tiết diện (mm)
R1: Chiều dài cánh tay đòn cần bánh lái đo từ tâm trục lái tới điểm đặt lực dẫn động (mm). Trong trường hợp chiều dài này thay đổi theo góc của bánh lái, thì R1 là chiều dài lớn nhất trong phạm vi 35o của góc bánh lái
TR: Mô men bánh lái quy định ở 25.1.3, Phần 2-A của Quy phạm này (Nm)
K: Hệ số vật liệu cần bánh lái quy định ở 25.1.1-2, Phần 2-A của Quy phạm này.
(3) Diện tích tiết diện đầu ngoài của cánh tay đòn không được nhỏ hơn giá trị tính theo công thức:

Trong đó:
AR: Diện tích tiết diện quy định ở đầu ngoài của cánh tay đòn (mm2)
R2: Chiều dài cánh tay đòn cần bánh lái đo từ tâm trục bánh lái đến điểm đặt lực dẫn động (mm).
Trong trường hợp chiều dài này thay đổi theo góc bánh lái, thì R2 là chiều dài khi bánh lái ở 0o
TR: Mô men bánh lái quy định ở 25.1.3, Phần 2-A của Quy phạm này (Nm)
K: Hệ số vật liệu cần bánh lái quy định ở 25.1.1-2, Phần 2-A của Quy phạm này.
(4) Trong trường hợp cần bánh lái có hai cánh tay đòn, nếu các máy lái được nối với mỗi cánh tay đòn và hai máy lái này được dẫn động đồng thời, thì kích thước của tay đòn có thể giảm từ kích thước yêu cầu ở (2) và (3) xuống tới mức được Đăng kiểm đồng ý.
3 Bất kể các yêu cầu quy định ở -1, các kích thước của thiết bị dẫn động bánh lái kiểu cánh quay bằng thép rèn hoặc đúc có thể xác định theo các yêu cầu sau đây bổ sung cho các yêu cầu ở 15.4.4.
(1) Các kích thước của moay-ơ phải thỏa mãn các yêu cầu ở -2(1)
(2) Mô đun tiết diện quanh trục thẳng đứng và diện tích tiết diện ngang của cánh không được nhỏ hơn các giá trị được tính từ các công thức dưới đây:

Trong đó:
Zv: Mô đun chống uốn tiết diện quy định quanh trục thẳng đứng (mm2)
Av: Diện tích tiết diện quy định của cánh (mm2)
D: Đường kính ngoài của moay-ơ (mm)
B: Chiều cao của cánh đo từ bề mặt ngoài moay-ơ (mm)
n: Số cánh
TR: Mô men bánh lái quy định ở 25.1.3, Phần 2-A của Quy phạm này (Nm)
K: Hệ số vật liệu cần bánh lái quy định ở 25.1.1-2, Phần 2-A của Quy phạm này.
4 Các cần bánh lái có hai phần được ghép lại bằng bu lông phải có ít nhất hai bu lông trên mỗi đầu. Đường kính bu lông ở chân ren không được nhỏ hơn giá trị tính theo công thức dưới đây. Trong trường hợp này chiều dày mặt bích ghép không được nhỏ hơn 3/4 đường kính các bu lông:

Trong đó:
db: Đường kính yêu cầu của bu lông ở chân ren (mm)
TR: Mô men bánh lái quy định ở 25.1.3, Phần 2-A của Quy phạm này (Nm)
K: Hệ số vật liệu cần bánh lái quy định ở 25.1.1-2, Phần 2-A của Quy phạm này
n: Số bu lông ở mỗi đầu
b: Khoảng cách từ tâm trục lái đến tâm bu lông (cm).
5 Cần bánh lái phải được lắp ghép có then với trục bánh lái một cách chắc chắn bằng lắp ép nóng, lắp găng hoặc bằng bu lông. Tuy vậy, các cần bánh lái có thể được lắp không có then trong trường hợp phương pháp lắp ráp được Đăng kiểm đồng ý.
6 Kích thước của thiết bị dẫn động bánh lái kiểu cánh quay chế tạo bằng gang cầu phải được xác định sao cho nó không phải chịu ứng suất uốn vượt quá 94/K (N/mm2) hoặc không phải chịu ứng suất cắt vượt quá 54/K (N/mm2) dưới tác dụng của mô men bánh lái TR. Bằng cách khác, các kích thước có thể được tính theo các yêu cầu quy định ở -3 và tăng mô men bánh lái TR quy định ở 25.1.3, Phần 2-A của Quy phạm này lên 1,2 lần để tính.
15.4.8 Thiết bị chặn
1 Các cần bánh lái phải có các thiết bị chặn bánh lái.
2 Thiết bị lái phải có các thiết bị chủ động như là các công tắc giới hạn để dừng máy lái trước khi bánh lái đến vị trí dừng. Các thiết bị này phải đồng bộ với chính thiết bị lái và không đồng bộ với hệ thống điều khiển thiết bị lái. Tuy nhiên thiết bị này có thể hoạt động được thông qua các thanh nối cơ khí như là các cần lắc.
3 Phải có các thiết bị chặn hoặc dây cáp thích hợp cho cần bánh lái để giữ bánh lái chắc chắn trong trường hợp sự cố. Trong trường hợp dùng thiết bị lái thủy lực, nếu có thể dừng bánh lái một cách an toàn bằng cách đóng các van áp lực dầu thì không yêu cầu thiết bị chặn này.
15.4.9 Thiết bị giảm chấn
Những thiết bị lái không phải là kiểu thủy lực phải có các thiết bị giảm chắn kiểu lò xo hoặc thiết bị giảm chấn thích hợp khác để giảm va đập mạnh cho bánh răng truyền động gây nên do bánh lái.
15.5 Thử nghiệm
15.5.1 Thử tại xưởng
1 Các bình chịu áp lực và hệ thống ống dầu phải được thử thỏa mãn các yêu cầu 10.9, 12.6, 13.17 ngoài các thử nghiệm quy định ở 15.5.
2 Tất cả các phần chịu áp suất đều phải qua thử áp lực với áp suất bằng 1,5 lần áp suất thiết kế.
3 Mỗi kiểu bơm dùng trong thiết bị lái đều phải qua thử hoạt động trong một thời gian không ít hơn 100 giờ, các thiết bị thử phải sao cho bơm có thể chạy không tải và ở lưu lượng cấp lớn nhất ở áp suất làm việc lớn nhất. Sự thay đổi từ chế độ này sang chế độ khác phải diễn ra ít nhất là nhanh bằng ở trên tàu. Trong quá trình thử, các giai đoạn chạy không tải phải được xen kẽ với các giai đoạn thử có sản lượng đẩy lớn nhất ở áp suất làm việc lớn nhất. Trong suốt thời gian thử, không cho phép có hiện tượng nóng không bình thường, chấn động quá mức hoặc có các hiện tượng khác thường khác. Sau khi thử, bơm phải được tháo ra để biết chắc là không có gì bất thường. Thử nghiệm có thể được bỏ qua đối với những máy lái đã chứng tỏ được khả năng làm việc đáng tin cậy khi hoạt động trên biển.
15.5.2 Thử nghiệm sau khi lắp đặt trên tàu
1 Các hệ thống ống thủy lực sau khi lắp đặt trên tàu phải được thử rò rỉ ở áp suất ít nhất bằng áp suất làm việc lớn nhất.
2 Phải thử hoạt động thiết bị lái sau khi lắp đặt trên tàu.
3 Nếu thiết bị lái được thiết kế để tránh hiện tượng khóa thủy lực thì đặc tính này phải được thử nghiệm. Nếu cần, việc thử nghiệm này phải được tiến hành trong khi thử đường dài.
15.6 Yêu cầu bổ sung cho các tàu chở hàng lỏng, tàu chở xô khí hóa lỏng và tàu chở hóa xô hóa chất nguy hiểm có GT từ 10.000 trở lên và các tàu khác có GT từ 70.000 trở lên
15.6.1 Thiết bị lái chính
1 Đối với các tàu chở hàng lỏng, tàu chở xô khí hóa lỏng hoặc tàu chở xô hóa chất nguy hiểm có GT từ 10.000 trở lên và mọi tàu khác có GT từ 70.000 trở lên, thiết bị lái chính phải có hai máy lái tương tự như nhau trở lên thỏa mãn các yêu cầu ở 15.2.1-2.
2 Thiết bị lái trên tàu chở hàng lỏng, tàu chở xô khí hóa lỏng hoặc chở xô hóa chất nguy hiểm có GT từ 10.000 trở lên phải thỏa mãn các yêu cầu sau:
(1) Thiết bị lái chính phải được bố trí sao cho trong trường hợp mất khả năng lái do hỏng hóc riêng ở phần bất kỳ của một hệ thống truyền động của thiết bị lái chính, trừ hỏng ở cần bánh lái hoặc kẹt ở thiết bị dẫn động bánh lái, phải phục hồi được khả năng lái không chậm hơn 45 giây sau khi mất một hệ thống truyền động.
(2) Thiết bị lái chính phải gồm có:
(a) Hai hệ thống truyền động cơ giới độc lập và tách biệt, mỗi một hệ thống đó phải có thể thỏa mãn các yêu cầu ở 15.2.2-1(1), hoặc:
(b) Có ít nhất hai hệ thống truyền động cơ giới tương tự nhau, khi hoạt động đồng thời ở chế độ bình thường chúng phải có khả năng thỏa mãn các yêu cầu ở 15.2.2-1(1). Trong trường hợp này, cũng còn phải thỏa mãn các yêu cầu sau:
(i) Phát hiện được sự mất dầu thủy lực của một hệ thống và hệ thống hỏng này được tự động tách ra để các hệ thống khác vẫn duy trì được hoạt động một cách đầy đủ.
(ii) Khi cần thiết để đạt được khả năng lái, phải nối các hệ thống truyền động cơ giới thủy lực với nhau.
3 Các máy lái không phải là kiểu thủy lực sẽ được Đăng kiểm xem xét tùy từng trường hợp.
15.6.2 Điều khiển
Đối với các tàu chở hàng lỏng, tàu chở xô khí hóa lỏng hoặc hóa chất nguy hiểm có GT từ 10.000 trở lên, không được áp dụng sự miễn giảm đối với động cơ điều khiển từ xa bằng thủy lực cho phép ở 15.3.1-1(2).
15.6.3 Số lượng và độ bền của thiết bị dẫn động bánh lái
1 Đối với tàu chở hàng lỏng, tàu chở xô khí hóa lỏng hoặc chở xô hóa chất nguy hiểm có GT từ 10.000 trở lên nhưng trọng tải toàn phần dưới 100.000 tấn, cho phép chỉ có một thiết bị dẫn động bánh lái, với điều kiện là:
(1) Sau khi bị mất khả năng lái do hỏng hóc riêng của bất kỳ bộ phận nào của hệ thống ống hoặc ở một trong các máy lái, thì khả năng lái phải được khôi phục lại trong phạm vi 45 giây.
(2) Phải xét riêng việc tính toán ứng suất cho thiết kế bao gồm tính toán mỏi và tính toán sự phá hủy cơ học tương ứng cho vật liệu được sử dụng, cho việc lắp đặt các thiết bị làm kín, cho thử nghiệm, kiểm tra và bảo dưỡng một cách có hiệu quả. Trong trường hợp này, phải xét cả mỏi có chu trình cao và mỏi tích lũy.
(3) Các van cách ly phải được lắp trực tiếp lên thiết bị dẫn động bánh lái để cách ly thiết bị dẫn động bánh lái khỏi dầu thủy lực có trong các hệ thống ống, và
(4) Phải trang bị các van an toàn để bảo vệ thiết bị dẫn động bánh lái khỏi quá áp như yêu cầu ở 15.2.4-4.
2 Đối với các tàu chở hàng lỏng, tàu chở xô khí hóa lỏng hoặc chở xô hóa chất nguy hiểm có GT từ 10.000 trở lên nhưng trọng tải toàn phần dưới 100.000 tấn và chỉ có một thiết bị dẫn động bánh lái, ngoài các yêu cầu ở 15.4.4, độ bền của thiết bị dẫn động bánh lái phải thỏa mãn các yêu cầu sau đây:
(1) Phải tính toán chi tiết cho các bộ phận quan trọng của thiết bị dẫn động bánh lái để khẳng định độ bền của chúng.
(2) Phải tính toán ứng suất một cách chi tiết cho các bộ phận của thiết bị dẫn động bánh lái chịu áp suất thủy lực để khẳng định đủ bền để chịu được áp suất thiết kế.
(3) Do tính phức tạp của thiết kế hoặc do quy trình sản xuất, khi thấy cần thiết phải tiến hành tính toán mỏi và tính toán sự phá hủy cơ học. Trong trường hợp này, phải xét đến mỏi chu trình cao và mỏi tích lũy. Đồng thời phải xét đến tất cả những tải trọng động dự kiến trước liên quan với tính toán này. Khi thấy cần thiết, Đăng kiểm có thể yêu cầu phải tính toán ứng suất bằng thực nghiệm để bổ sung hoặc thay cho thiết kế lý thuyết.
(4) Để xác định các kích thước chung của các bộ phận của các thiết bị dẫn động bánh lái chịu áp suất thủy lực bên trong, các ứng suất cho phép không được vượt quá:
(a) dm ≤ f
(b) dl ≤ 1,5 f
(c) db ≤ 1,5f
(d) dl + db ≤ 1,5f
(e) dm + db ≤ 1,5f
Trong đó:
dm: Ứng suất màng chung chính tương tương (N/mm2)
dl: Ứng suất màng cục bộ chính tương đương (N/mm2)
db: Ứng suất uốn chính tương đương (N/mm2)
f: Giá trị nhỏ hơn của db/A hoặc dY/B
db: Giới hạn bền kéo của vật liệu (N/mm2)
dY: Giới hạn chảy danh nghĩa nhỏ nhất hoặc giới hạn giãn dài qui ước của vật liệu (N/mm2)
A và B được cho trong bảng sau
Bảng 3/15.2 Trị số A và B
|
| Thép cán hoặc rèn | Thép đúc | Gang cầu |
| A | 4 | 4,6 | 5,8 |
| B | 2 | 2,3 | 3,5 |
(5) Các bộ phận của thiết bị dẫn động bánh lái chịu áp suất thủy lực phải qua thử vỡ ở áp suất gây vỡ nhỏ nhất được xác định dưới đây và phải đảm bảo chúng chịu được thử nghiệm này, việc tính toán ứng suất một cách chi tiết đòi hỏi ở (2) có thể được bỏ qua. Tuy nhiên, khi xét thấy cần thiết do tính phức tạp của thiết kế và do các quá trình công nghệ, thì vẫn phải tính toán ứng suất một cách chi tiết theo yêu cầu ở (2), bất kể điều trên.

Trong đó:
Pb: Áp suất gây vỡ nhỏ nhất (MPa)
P: Áp suất thiết kế (MPa)
A: Như ở (4)
dBa: Giới hạn bền kéo thực tế của vật liệu (N/mm2)
dB: Giới hạn bền kéo danh nghĩa nhỏ nhất của vật liệu (N/mm2).
15.6.4 Thử nghiệm tại xưởng
Đối với các tàu chở hàng lỏng, tàu chở xô khí hóa lỏng hoặc tàu chở xô hóa chất nguy hiểm có GT từ 10.000 trở lên nhưng có trọng tải toàn phần dưới 100.000 tấn và chỉ có một thiết bị dẫn động bánh lái, thì thiết bị dẫn động bánh lái này phải được thử đầy đủ và phù hợp bằng thử không phá hủy để phát hiện cả các khuyết tật bề mặt lẫn các khuyết tật bên trong. Quy trình và tiêu chuẩn được chấp nhận đối với thử không phá hủy sẽ được Đăng kiểm xem xét cho từng trường hợp. Khi xét thấy cần thiết, phải dùng phương pháp phân tích sự phá hủy cơ học để xác định kích thước khuyết tật cho phép lớn nhất.
CHƯƠNG 16 TỜI NEO VÀ TỜI CHẰNG BUỘC
16.1 Quy định chung
16.1.1 Phạm vi áp dụng
1 Các yêu cầu ở Chương này áp dụng đối với các tời neo, tời chằng buộc được dẫn động bằng điện, thủy lực hoặc hơi nước.
2 Các tời neo và tời chằng buộc khác với các loại tời ở -1 phải được Đăng kiểm chấp nhận.
16.2 Tời neo
16.2.1 Bản vẽ và tài liệu
1 Phải trình Đăng kiểm duyệt các bản vẽ và tài liệu dưới đây:
(1) Bản vẽ:
(a) Các số liệu và tiêu chuẩn được quốc tế công nhận để áp dụng;
(b) Bố trí chung;
(c) Đặc tính vật liệu của các bộ phận chính;
(d) Các bản vẽ khác mà Đăng kiểm cho là cần thiết.
(2) Tài liệu:
(a) Quy trình thử sản phẩm;
(b) Độ bền tính toán của các bộ phận chính;
(c) Các tài liệu khác mà Đăng kiểm cho là cần thiết.
16.2.2 Kết cấu và đặc tính
1 Các tời neo phải có khả năng làm việc liên tục trong thời hạn 30 phút trở lên với tải trọng làm việc được quy định ở (1) và ít nhất trong 2 phút khi kéo quá tải như quy định ở (2) dưới đây:
(1) Tải trọng làm việc phải được xác định phụ thuộc vào cấp của xích cho dưới đây:
(a) Xích cấp 1: 37,5d2 (N);
(b) Xích cấp 2: 42,5d2 (N);
(c) Xích cấp 3: 47,5d2 (N);
Trong đó: d là đường kính xích neo (mm).
(2) Tải trọng quá tải phải bằng 1,5 lần tải trọng làm việc.
2 Tời neo phải lắp phanh để dừng neo và thả neo xuống nước một cách an toàn. Phanh phải có khả năng kìm giữ an toàn tải trọng đưa ra dưới đây:
(1) Có bộ hãm xích neo: 0,45Pb (N)
(2) Không có bộ hãm xích neo: 0,8Pb (N)
Trong đó: Pb là tải trọng kéo đứt của xích neo (N).
3 Tời neo và bệ đỡ neo cùng với các chi tiết và phụ tùng khác phải được lắp đặt an toàn và chắc chắn vào boong tàu.
4 Đối với tàu có chiều dài L1 như nêu ở 15.2.1-1, Phần 2-A từ 80 m trở lên, nếu chiều cao của boong hở ở khu vực lắp đặt tời neo nhỏ hơn 0,1L1 hoặc 22 m so với đường nước chở hàng thiết kế lớn nhất, lấy trị số nhỏ nhất, thì tời neo đặt trên boong hở trong khu vực 0,25L1 phía mũi phải có đủ độ bền.
5 Độ bền của sườn boong và kết cấu thân tàu để đỡ tời neo nêu trên và các bu lông để cố định chúng phải tuân theo các yêu cầu ở 10.7.1, Phần 2-A.
6 Động cơ dẫn động và bánh răng phải được trang bị các thiết bị và chi tiết sau đây để phòng ngừa mô men quá tải hoặc va chạm đột ngột và đảm bảo an toàn cho người làm việc trên boong.
(1) Thiết bị ngăn ngừa quá áp suất;
(2) Khớp trục trượt an toàn giữa động cơ điện và bánh răng;
(3) Cơ cấu hạn chế mô men (chỉ áp dụng cho tời neo được dẫn động bằng điện);
(4) Nắp đóng mở hộp bánh răng;
(5) Nắp đóng mở bề mặt nóng của các xi lanh hơi nước.
7 Tời neo phải có khả năng nâng xích neo (3 tiết xích) và sau đó thả xuống biển an toàn. Tốc độ nâng trung bình ít nhất phải đạt 0,15 m/s.
16.2.3 Thử nghiệm
1 Thử nghiệm trong xưởng
(1) Trước khi lắp ráp, các chi tiết sau đây phải được tiến hành thử thủy lực phù hợp với các yêu cầu quy định ở 12.6.1 của Phần này. Áp suất thử phải bằng 1,5 lần áp suất thiết kế. Tuy nhiên, áp suất thử của xi lanh hơi nước có thể lấy bằng 1,5 lần áp suất làm việc.
(a) Khoang chứa cùng với nắp được lắp trong bơm và động cơ thủy lực;
(b) Đường ống;
(c) Van và phụ tùng;
(d) Bình chịu áp lực;
(e) Các bình chứa hơi nước.
(2) Phải tiến hành thử tải, quá tải, thử hoạt động và thử hãm vành xích cùng với động cơ dẫn động tời neo.
Nếu tời neo đã được Đăng kiểm công nhận thì có thể bỏ qua các cuộc thử nghiệm này.
(3) Có thể miễn thử cho các tời neo đã được Đăng kiểm thử nhiều lần theo yêu cầu quy định ở (2) trên với kết quả đạt yêu cầu.
2 Thử nghiệm sau khi lắp đặt lên tàu
Các thử nghiệm quy định ở 2.3.2, Phần 1-B phải được tiến hành vào lúc thử tải đường dài.
16.3 Tời chằng buộc
16.3.1 Kết cấu
1 Tời chằng buộc phải thỏa mãn các tiêu chuẩn được Đăng kiểm công nhận.
2 Tời chằng buộc và bệ đỡ tời cùng các chi tiết và phụ tùng của nó phải được lắp đặt an toàn và chắc chắn vào boong tàu.
3 Đối với các tời chằng buộc liền với tời neo thì việc lắp đặt chúng phải phù hợp với các yêu cầu ở 16.2.2-4 và -5.
16.3.2 Thử nghiệm
1 Tất cả các lời chằng buộc phải qua các thử nghiệm sau đây trước khi lắp đặt lên tàu.
(1) Chạy không tải 15 phút theo từng hướng quay với tốc độ lớn nhất để kiểm tra các hỏng hóc.
(2) Thử chức năng của bộ hãm tang trống dưới điều kiện hoạt động được quy định ở (1) trên.
(3) Mặc dù đã có các quy định ở (1) và (2) trên, nếu như có nhiều cụm chi tiết cùng loại thì Đăng kiểm có thể giảm thời gian quá trình thử và số lượng cụm chi tiết phải thử.
CHƯƠNG 17 MÁY LÀM LẠNH VÀ HỆ THỐNG ĐIỀU CHỈNH THÀNH PHẦN KHÔNG KHÍ
17.1 Quy định chung
17.1.1 Phạm vi áp dụng
1 Các quy định trong Chương này áp dụng cho các máy làm lạnh dùng chất làm lạnh được liệt kê dưới đây và tạo thành chu trình làm lạnh dùng để làm lạnh, điều hòa không khí v.v... và cho hệ thống điều chỉnh thành phần không khí của hầm hàng. Tuy nhiên, các máy làm lạnh có công suất từ 7,5 kW trở xuống và các máy làm lạnh dùng chất làm lạnh khác danh sách dưới đây sẽ được Đăng kiểm xem xét riêng.

2 Đối với các hạng mục được quy định riêng trong Chương này, thì các yêu cầu ở Chương này được áp dụng thay thế cho các yêu cầu trong các Chương 10, 12 và 13.
17.1.2 Bản vẽ và tài liệu
1 Thông thường, các bản vẽ và tài liệu phải trình duyệt như sau:
(1) Các bản vẽ (có chỉ rõ vật liệu, kích thước, loại, áp suất thiết kế, nhiệt độ thiết kế v.v... của các ống, van, v.v...):
(a) Sơ đồ ống của hệ thống làm lạnh các buồng và hệ thống điều hòa không khí;
(b) Bản vẽ các bình áp lực chịu áp suất của chất làm lạnh;
(c) Bản vẽ hệ thống điều chỉnh thành phần không khí;
(d) Các bản vẽ khác mà Đăng kiểm cho là cần thiết;
(2) Các tài liệu:
(a) Bản thuyết minh của máy làm lạnh;
(b) Các đặc điểm kỹ thuật của hệ thống điều chỉnh thành phần không khí;
(c) Các bản vẽ khác mà Đăng kiểm cho là cần thiết.
17.2 Thiết kế máy làm lạnh
17.2.1 Quy định chung
1 Áp suất thiết kế của các bình chịu áp lực, hệ thống ống dẫn và loại ống dùng cho máy làm lạnh phải như sau:
(1) Áp suất thiết kế của các bình chịu áp lực và hệ thống ống dẫn dùng cho máy làm lạnh và chịu áp suất của chất làm lạnh phải không nhỏ hơn áp suất trong Bảng 3/17.1 tùy theo loại chất làm lạnh.
(2) Các ống được dùng cho các chất làm lạnh R12, R27 hoặc R502 được phân loại thành nhóm III.
(3) Sự phân loại các ống dùng cho các chất làm lạnh khác được Đăng kiểm xem xét và quyết định trong từng trường hợp cụ thể tùy theo đặc tính của chất làm lạnh và điều kiện làm việc.
Bảng 3/17.1 Áp suất thiết kế của các bình chịu áp lực và hệ thống đường ống của thiết bị làm lạnh
| Chất làm lạnh | Phía áp suất cao | Phía áp suất thấp |
| R22 | 1,9 | 1,5 |
| R134a | 1,4 | 1,1 |
| R404A | 2,5 | 2,0 |
| R407C | 2,4 | 1,9 |
| R410A | 3,3 | 2,6 |
| R507A | 2,5 | 2,0 |
Chú thích:
Phía áp suất cao: Phần chịu áp suất từ phía nén của máy nén đến van giãn nở
Phía áp suất thấp: Phần chịu áp suất từ phía sau van giãn nở đến van hút của máy nén. Trường hợp dùng máy nén nhiều cấp, phải bao gồm cả phần áp suất từ phía nén của cấp thấp hơn tới phía hút của cấp cao hơn.
17.2.2 Vị trí
Khoang máy làm lạnh phải có các thiết bị sao cho có khả năng thoát được nước, được thông gió và được cách ly bằng các vách ngăn kín khí khỏi các buồng được làm lạnh kề bên.
17.2.3 Vật liệu
1 Vật liệu được sử dụng cho các máy làm lạnh phải được chọn lựa, có xét đến loại chất làm lạnh, áp suất thiết kế, nhiệt độ làm việc lớn nhất của chúng v.v...
2 Vật liệu được sử dụng cho các ống chất làm lạnh sơ cấp, các van và các thiết bị khác phải thỏa mãn các yêu cầu từ 12.1.4 đến 12.1.6 tùy thuộc vào loại ống nêu ở 17.2.1-1(2).
3 Vật liệu được sử dụng cho các bình áp lực tiếp xúc với áp lực của chất làm lạnh (bầu ngưng, bình chứa và các bình áp lực khác) phải thỏa mãn các yêu cầu 10.2 tùy thuộc vào loại bình áp lực nêu tại 10.1.3.
4 Các vật liệu sau đây không được sử dụng cho các bộ phận của máy làm lạnh:
(1) Hợp kim nhôm có trên 2% Ma giê đối với các bộ phận tiếp xúc với các chất làm lạnh.
(2) Nhôm nguyên chất dưới 99,7% đối với các bộ phận thường xuyên tiếp xúc với nước mà không được bảo vệ chống ăn mòn.
5 Giới hạn sử dụng gang để làm các van được cho tại Bảng 3/17.2. Mặc dù được phép dùng gang như trong Bảng này nhưng không được sử dụng cho các van của các đường ống có nhiệt độ thiết kế dưới 0oC hoặc lớn hơn 220oC. Tuy nhiên, khi áp suất làm việc bình thường của đường ống không vượt quá 1/2,5 lần áp suất thiết kế, nhiệt độ giới hạn có thể thấp tới -50oC.
17.2.4 Van an toàn áp suất
1 Van an toàn phải được trang bị ở giữa xi lanh máy nén và van ngắt nguồn khí, khí xả được dẫn về phía hút của máy nén. Tuy nhiên, các máy nén từ 11 kW trở xuống dùng cho thiết bị làm lạnh có thể được trang bị một thiết bị ngắt để điều khiển áp suất thay cho thiết bị an toàn nói trên.
2 Các bình chịu áp lực có thể cách ly được và chứa chất làm lạnh sơ cấp dạng lỏng phải được trang bị các van an toàn. Khí xả ra từ van an toàn phải được dẫn ra ngoài trời ở một nơi an toàn trên boong hở hoặc dẫn đến phần chịu áp lực thấp của thiết bị.
3 Nếu khí xả ra từ các van an toàn trên các bộ phận chịu áp suất cao của chất làm lạnh được dẫn đến các bộ phận chịu áp suất thấp trước khi xả ra ngoài không khí, thì sự hoạt động của van an toàn phải không bị gián đoạn do sự tích tụ phản áp.
4 Các van an toàn phải được trang bị ở phía chất lỏng làm mát của bầu ngưng và phía nước muối của giàn bay hơi, trừ khi bơm nối vào có kết cấu sao cho áp suất không vượt quá áp suất thiết kế.
Bảng 3/17.2 Giới hạn sử dụng van làm bằng gang
| Loại van | Vật liệu | Phạm vi áp dụng |
| Van chặn | Gang xám có ứng suất bền kéo không lớn hơn 200N/mm2 hoặc các vật liệu tương đương khác | Không được sử dụng |
| Gang xám có đặc tính khác trên, gang cầu graphic, gang dễ dát mỏng hoặc các vật liệu tương đương khác | (1) Có thể sử dụng khi áp suất thiết kế không lớn hơn 1,6 MPa (2) Có thể sử dụng khi áp suất thiết kế lớn hơn 1,6 MPa nhưng không lớn hơn 2,6 MPa, đường kính danh nghĩa không lớn hơn 100 mm và nhiệt độ thiết kế bằng hoặc nhỏ hơn 150oC. | |
| Van xả áp | Các loại gang | Không được sử dụng |
| Van điều khiển tự động | Gang xám có ứng suất bền kéo không lớn hơn 200 N/mm2 hoặc các vật liệu tương đương khác | Không được sử dụng |
| Gang xám có đặc tính khác trên hoặc các vật liệu tương đương khác | (1) Có thể sử dụng khi áp suất thiết kế không lớn hơn 1,6 MPa (2) Có thể sử dụng khi áp suất thiết kế lớn hơn 1,6 MPa nhưng không lớn hơn 2,6 MPa, đường kính danh nghĩa không lớn hơn 100 mm và nhiệt độ thiết kế bằng hoặc nhỏ hơn 150oC. | |
| Gang cầu graphic, gang dễ dát mỏng hoặc các vật liệu tương đương khác | Không được sử dụng khi áp suất thiết kế lớn hơn 3,2 MPa. |
17.3 Hệ thống điều chỉnh thành phần không khí
17.3.1 Quy định chung
1 Các khu vực có thành phần không khí được điều chỉnh và các quy định có liên quan phải được bố trí như sau:
(1) Mỗi khu vực có thành phần không khí được điều chỉnh phải được làm càng kín khí càng tốt và phải được bố trí để giữ áp suất bên trong bình thường.
(2) Phải trang bị hệ thống thông khí để thoát khí khỏi mỗi khu vực có thành phần không khí được điều chỉnh và các quạt gió phải được trang bị cho các khoang kín kề sát với khu vực có thành phần không khí được điều chỉnh.
(3) Các thiết bị đóng kín lối vào v.v... của khu vực có thành phần không khí được điều chỉnh phải có kết cấu sao cho có khả năng ngăn ngừa sự mở dễ dàng do thao tác nhầm v.v... trong điều kiện thành phần không khí được điều chỉnh.
(4) Thiết bị sinh khí ni tơ cố định phải được đặt trong một buồng được dành riêng kín khí với các khoang kề bên. Buồng chứa thiết bị sinh khí ni tơ này phải được lắp một hệ thống thông gió bằng cơ giới có đủ sản lượng.
(5) Mỗi khu vực có thành phần không khí được điều chỉnh phải được trang bị thiết bị cảnh báo phát tín hiệu trước khi phun ni tơ vào khu vực có thành phần không khí được điều chỉnh.
(6) Thiết bị báo động ô xi cố định phải được trang bị tại buồng sinh khí ni tơ cố định và mỗi khoang kín kề sát với khu vực có thành phần không khí được điều chỉnh để báo động tại mỗi vị trí trong trường hợp mức hàm lượng ô xi thấp.
(7) Phương tiện liên lạc hai chiều phải được trang bị giữa khu vực có thành phần không khí được điều chỉnh và trạm điều khiển ngắt ni tơ. Phải trang bị trên tàu ít nhất 10 thiết bị đo ô xi xách tay cho các lối vào an toàn dẫn tới các khu vực nguy hiểm. Ngoài ra thiết bị sơ cứu gồm cả thiết bị ô xi phục hồi hô hấp phải được trang bị trên tàu.
17.4 Thử nghiệm
17.4.1 Thử tại xưởng
1 Máy làm lạnh phải được thử theo các yêu cầu sau:
(1) Các bình chịu áp suất của chất làm lạnh phải được thử thủy lực ở áp suất bằng 1,5 lần áp suất thiết kế và phải được thử kín ở áp suất bằng áp suất thiết kế.
(2) Xi lanh và thùng trục của máy nén của máy làm lạnh phải được thử thủy lực ở áp suất bằng 1,5 lần áp suất thiết kế và được thử kín ở áp suất bằng áp suất thiết kế.
17.4.2 Thử sau khi lắp đặt trên tàu
1 Các hệ thống ống dẫn chịu áp suất của chất làm lạnh chính sau khi được lắp đặt trên tàu phải được thử kín ở áp suất bằng 90% áp suất thiết kế.
2 Lắp đặt và trang bị của hệ thống điều chỉnh thành phần không khí phải được kiểm tra hoạt động thông thường bằng các phương tiện thử hoạt động v.v.
CHƯƠNG 18 ĐIỀU KHIỂN TỰ ĐỘNG VÀ ĐIỀU KHIỂN TỪ XA
18.1 Quy định chung
18.1.1 Phạm vi áp dụng
1 Những yêu cầu trong Chương này áp dụng đối với hệ thống điều khiển tự động và điều khiển từ xa được sử dụng để điều khiển các máy và thiết bị sau:
(1) Máy chính (trong Chương này, không kể máy phát cấp điện để lai động cơ điện lai chân vịt)
(2) Chân vịt biến bước
(3) Bộ sinh hơi
(4) Máy phát điện (trong Chương này, bao gồm cả động cơ điện lai chân vịt trên tàu chạy điện)
(5) Máy phụ liên quan đến các máy và thiết bị nêu ở (1) đến (4)
(6) Hệ thống dầu đốt
(7) Hệ thống hút khô
(8) Các máy trên boong
2 Nếu Đăng kiểm thấy cần thiết, những yêu cầu của Chương này được áp dụng tương ứng với hệ thống điều khiển tự động và điều khiển từ xa dùng để điều khiển các máy và thiết bị không nêu từ -1(1) đến (8).
18.1.2 Thuật ngữ
1 Những thuật ngữ sử dụng trong Chương này được định nghĩa như sau:
(1) Trạm giám sát (không kể trạm điều khiển) là vị trí tập trung các thiết bị đo lường, chỉ báo, báo động v.v... cho các máy và thiết bị, và thu nhận những thông tin cần thiết để nắm rõ trạng thái hoạt động của các máy và thiết bị đó. Tuy nhiên, khi trạm giám sát được lắp đặt nhằm bổ sung cho trạm điều khiển nêu ở (2) dưới đây, thì những yêu cầu của Quy phạm liên quan tới trạm giám sát không áp dụng đối với trạm giám sát liên quan.
(2) Trạm điều khiển là vị trí có chức năng giống như trạm giám sát và từ vị trí này các máy và thiết bị có thể được điều khiển.
(3) Trạm điều khiển chính là trạm điều khiển được trang bị các thiết bị cần và đủ để điều khiển máy chính của tàu có thiết bị điều khiển chính đặt ngoài buồng lái (thiết bị này được gọi tắt là “thiết bị điều khiển chính” ở (3) và (4)) và trạm điều khiển này thường được sử dụng để điều khiển máy chính.
(4) Trạm điều khiển chính trên buồng lái là buồng lái của tàu có thiết bị điều khiển chính đặt trên buồng lái và máy chính thường được điều khiển từ đó.
(5) Trạm điều khiển dự phòng là trạm điều khiển mà tại đó máy chính có khả năng điều khiển được, trừ trạm điều khiển tại chỗ máy chính, và trạm này được đặt trong buồng máy của tàu có trạm điều khiển chính trên buồng lái.
(6) Thiết bị điều khiển trên buồng lái là thiết bị điều khiển từ xa máy chính hoặc chân vịt biến bước được đặt trên buồng lái hoặc trong trạm điều khiển chính trên buồng lái.
(7) Điều khiển theo trình tự là mô hình điều khiển được thực hiện tự động theo trình tự đã định.
(8) Điều khiển theo chương trình là mô hình điều khiển mà những giá trị mong muốn có thể được chuyển đổi theo sơ đồ đã định.
(9) Điều khiển tại chỗ là việc điều khiển trực tiếp bằng tay các máy và thiết bị tại chỗ hoặc gần vị trí lắp đặt chúng, và tại đó nhận được những thông tin cần thiết từ dụng cụ đo, chỉ báo v.v...
(10) Hệ thống an toàn là hệ thống hoạt động tự động nhằm ngăn ngừa các tổn thất đối với máy và thiết bị trong trường hợp:
(a) Khởi động máy hoặc thiết bị dự phòng
(b) Giảm công suất của máy hoặc thiết bị
(c) Ngừng cấp dầu đốt hoặc ngắt nguồn cấp điện để dừng máy và thiết bị
18.1.3 Bản vẽ và tài liệu
1 Nói chung, các bản vẽ và tài liệu phải trình duyệt như sau:
(1) Các bản vẽ và tài liệu liên quan đến tự động hóa:
(a) Danh mục các điểm đo
(b) Danh mục các điểm báo động
(c) Thiết bị điều khiển và thiết bị an toàn
(i) Danh mục các thiết bị được điều khiển và các tham số được điều khiển
(ii) Kiểu nguồn năng lượng điều khiển (tự nạp, khí nén, điện, v.v...)
(iii) Danh mục các trạng thái ngừng sự cố, giảm tốc (giảm tự động hoặc giảm theo lệnh), v.v...
(2) Các bản vẽ và tài liệu cho thiết bị điều khiển tự động và thiết bị điều khiển từ xa máy chính hoặc chân vịt biến bước:
(a) Tài liệu hướng dẫn sử dụng máy chính như khởi động và tắt, thay đổi hướng quay, tăng hoặc giảm công suất, v.v...
(b) Bản vẽ bố trí các thiết bị an toàn (gồm cả những thiết bị đã gắn vào động cơ) và đèn báo hiệu
(c) Sơ đồ điều khiển
(3) Các bản vẽ và tài liệu của thiết bị điều khiển tự động và thiết bị điều khiển từ xa nồi hơi:
(a) Tài liệu hướng dẫn sử dụng điều khiển theo trình tự, điều khiển nước cấp, điều khiển áp suất, điều khiển việc đốt và các thiết bị an toàn
(b) Sơ đồ các thiết bị điều khiển việc đốt tự động và thiết bị điều khiển nước cấp tự động
(4) Sơ đồ và tài liệu hướng dẫn sử dụng thiết bị điều khiển tự động dùng cho máy phát điện (thiết bị phân chia tải tự động, thiết bị khởi động tự động, thiết bị hòa đồng bộ tự động, thiết bị khởi động theo trình tự, v.v...)
(5) Bản vẽ bố trí bảng giám sát, bảng báo động và vị trí điều khiển tại các trạm điều khiển tương ứng.
18.2 Thiết kế hệ thống
18.2.1 Thiết kế hệ thống
1 Hệ thống điều khiển, hệ thống báo động và hệ thống an toàn phải được thiết kế sao cho sự cố này không kéo theo sự cố khác và không làm gia tăng những tổn thất nhất định.
2 Hệ thống điều khiển, hệ thống báo động và hệ thống an toàn phải được thiết kế trên nguyên tắc hỏng-an toàn. Đặc tính hỏng-an toàn không những được đánh giá đối với các hệ thống tương ứng và các thiết bị, máy móc kèm theo mà còn được đánh giá trên cơ sở an toàn chung toàn tàu.
3 Hệ thống điều khiển từ xa hoặc điều khiển tự động phải đủ tin cậy ở các điều kiện khai thác.
4 Cáp tín hiệu phải được lắp đặt sao cho tránh được các sự cố kể cả nhiễu nội bộ.
18.2.2 Nguồn cấp năng lượng
1 Nguồn cấp điện
Nguồn cấp điện phải thỏa mãn những yêu cầu sau đây:
(1) Mạch cấp điện nguồn cho hệ thống điều khiển, hệ thống báo động và hệ thống an toàn không được dẫn nhánh từ mạch điện và mạch chiếu sáng, trừ trường hợp nguồn điện cho hệ thống điều khiển, hệ thống báo động và hệ thống an toàn có thể được cấp từ mạch điện cho máy và thiết bị mà chúng phục vụ.
(2) Nguồn điện cho hệ thống báo động và hệ thống an toàn dùng cho máy phát điện phải được cấp từ ắc quy.
2 Nguồn cấp dầu áp suất
Nguồn cấp dầu áp suất phải thỏa mãn những yêu cầu sau đây:
(1) Nguồn cấp dầu áp suất phải có khả năng cấp ổn định dầu đã được làm sạch với áp suất và số lượng cần thiết.
(2) Phải lắp đặt thiết bị đề phòng quá áp trên phía đẩy của bơm áp lực.
(3) Phải trang bị từ hai bơm áp lực dầu trở lên cho việc điều khiển máy chính và trục chính và chúng phải được bố trí sao cho trong trường hợp một bơm đang khai thác ngừng hoạt động thì một (nhiều) bơm dự phòng khác có thể khởi động tự động hoặc có thể được khởi động nhanh chóng từ xa. Trong trường hợp này bơm áp lực dầu không được sử dụng để điều khiển các máy và thiết bị khác ngoài máy chính và trục chính.
3 Nguồn cấp áp lực khí
Nguồn cấp khí điều khiển phải thỏa mãn những yêu cầu sau đây:
(1) Hệ thống điều khiển phải trang bị bình khí có dung tích đủ khả năng cấp khí cho thiết bị điều khiển ít nhất 5 phút trong trường hợp xảy ra sự cố của máy nén khí điều khiển.
(2) Khi bình khí khởi động của động cơ Đi-ê-den dùng làm máy chính được sử dụng làm bình chứa khí điều khiển thì phải tăng gấp đôi số van giảm áp hoặc phải có van giảm áp dự trữ trên tàu.
(3) Phải có từ hai máy nén khí trở lên đi có thể sử dụng làm nguồn cấp khí điều khiển. Mỗi máy nén khí phải có sản lượng dư để đảm bảo an toàn trong trường hợp xảy ra sự cố một trong các máy nén khí đó.
(4) Khí điều khiển phải đi qua phin lọc và cần thiết phải được làm khô để khử bỏ tối đa các vật rắn, dầu và nước.
(5) Đường ống dẫn khí điều khiển phải độc lập với đường ống khí phục vụ chung và khí khởi động.
18.2.3 Điều kiện môi trường
Hệ thống điều khiển tự động hoặc điều khiển từ xa phải có khả năng chịu được tác động của môi trường ở nơi lắp đặt.
18.2.4 Hệ thống điều khiển
1 Tính độc lập của hệ thống điều khiển
Hệ thống điều khiển máy chính hoặc chân vịt biến bước, nồi hơi, máy phát điện và máy phụ cần thiết cho máy chính của tàu phải độc lập với nhau. Tuy nhiên, khi động cơ lai chân vịt và tổ hợp phát điện chính được liên kết với nhau thành một tuyến thì hệ thống điều khiển chúng có thể được kết hợp lại với nhau.
2 Thiết bị liên kết
Khi máy chính hoặc chân vịt biến bước, máy phát điện, hoặc máy phụ (trừ máy phụ chuyên dụng) được thiết kế để hoạt động đồng thời trong nhiều nhánh trong cùng điều kiện, thì có thể trang bị thiết bị liên kết giữa các thiết bị điều khiển của các hệ thống với nhau.
3 Đặc tính điều khiển
Thiết bị điều khiển tự động và thiết bị điều khiển từ xa phải có đặc tính điều khiển phù hợp với tính chất động lực học của máy và thiết bị được chúng điều khiển và phải lưu ý để không dẫn đến vận hành sai và loạn do nhiễu.
4 Khóa liên động
Thiết bị điều khiển phải được trang bị khóa liên động thích hợp để ngăn ngừa hư hỏng cho máy và thiết bị do vận hành hoặc hoạt động sai của máy và thiết bị được dự kiến trước.
5 Bộ chuyển đổi sang thao tác bằng tay
Bộ chuyển đổi sang thao tác bằng tay phải thỏa mãn những yêu cầu sau:
(1) Máy chính hoặc chân vịt biến bước, nồi hơi, máy phát điện và các máy phụ cần thiết cho máy chính của tàu phải được lắp đặt sao cho có thể được khởi động, vận hành và điều khiển bằng tay cả trong trường hợp thiết bị điều khiển tự động không hoạt động.
(2) Nói chung, thiết bị điều khiển tự động phải được trang bị các bộ phận để ngắt bằng tay các chức năng tự động của thiết bị.
(3) Bộ phận quy định ở (2) phải có khả năng ngắt các chức năng tự động của thiết bị điều khiển tự động trong trường hợp bất cứ bộ phận nào của thiết bị điều khiển tự động bị hỏng.
6 Ngắt chức năng điều khiển từ xa
Đối với thiết bị điều khiển từ xa, chức năng điều khiển từ xa phải có khả năng ngắt được bằng tay.
7 Chỉ báo vị trí điều khiển
Trong trường hợp máy và thiết bị có khả năng được điều khiển từ hai trạm trở lên thì phải thỏa mãn những yêu cầu (1) và (2) sau đây. Tuy nhiên, yêu cầu này không cần thỏa mãn trong trường hợp sự an toàn của máy và thiết bị và sự an toàn trong thời gian thực hiện công việc bảo dưỡng được duy trì bằng các biện pháp khác được Đăng kiểm chấp thuận.
(1) Tại mỗi trạm điều khiển phải có dụng cụ chỉ báo để chỉ ra trạm nào đang trong trạng thái điều khiển máy và thiết bị.
(2) Việc điều khiển máy và thiết bị chỉ có khả năng thực hiện được từ một trạm trong cùng một thời điểm.
18.2.5 Hệ thống báo động
1 Chức năng của hệ thống báo động phải thỏa mãn những yêu cầu sau đây:
(1) Khi một trạng thái khác thường được phát hiện, thì thiết bị phát tín hiệu ánh sáng và âm thanh (sau đây gọi tắt là “thiết bị báo động”) phải hoạt động.
(2) Nếu có lắp đặt thiết bị để tắt báo động âm thanh thì chúng không được tắt tín hiệu ánh sáng.
(3) Đồng thời cùng một lúc phải chỉ báo được hai hoặc nhiều hơn các sai sót.
(4) Tín hiệu âm thanh cho máy và thiết bị phải có khả năng phân biệt rõ ràng so với các tín hiệu khác như tín hiệu báo động chung, tín hiệu báo xả CO2, tín hiệu báo động cháy, tín hiệu báo động ngập v.v...
2 Chức năng của hệ thống báo động đạt trong trạm giám sát máy chính hoặc chân vịt biến bước phải thỏa mãn những yêu cầu sau đây, để bổ sung cho -1:
(1) Tín hiệu báo động ánh sáng phải được lưu giữ đến khi khắc phục xong sự cố.
(2) Nhận tín hiệu báo động này không làm ảnh hưởng đến tín hiệu báo động khác.
(3) Nếu tín hiệu báo động này đã được báo nhận mà sự cố thứ hai xảy ra trong thời gian sự cố đầu chưa khắc phục xong thì thiết bị báo động phải hoạt động trở lại.
(4) Phải chỉ báo rõ ràng vị trí ngắt bằng tay của mỗi hệ thống báo động.
3 Tín hiệu ánh sáng phải được bố trí sao cho có thể thông báo đầy đủ với tín hiệu rõ ràng, dễ nhận biết đối với mỗi trạng thái khác thường của máy và thiết bị.
18.2.6 Hệ thống an toàn
1 Cấu trúc hệ thống
Cấu trúc hệ thống phải thỏa mãn những yêu cầu sau đây:
(1) Hệ thống an toàn phải được trang bị độc lập với hệ thống điều khiển và hệ thống báo động đến mức có thể được.
(2) Hệ thống an toàn dùng cho máy chính, nồi hơi, máy phát điện và các máy phụ cần thiết cho máy chính của tàu phải độc lập với nhau.
2 Chức năng của hệ thống an toàn
Chức năng của hệ thống an toàn phải thỏa mãn những yêu cầu sau:
(1) Hệ thống báo động có chức năng được quy định ở 18.2.5 phải hoạt động khi hệ thống an toàn đi vào hoạt động
(2) Khi hệ thống an toàn hoạt động và máy hoặc thiết bị bị ngừng hoạt động, thì không được khởi động tự động lại trước khi thực hiện việc đặt lại bằng tay.
3 Thiết bị xóa bỏ tác động an toàn
Khi có bố trí thiết bị xóa bỏ tác động an toàn cho hệ thống an toàn, thì những yêu cầu (1) và (2) dưới đây phải thỏa mãn:
(1) Tín hiệu ánh sáng phải phát ra tại các trạm điều khiển máy và thiết bị có liên quan khi thiết bị xóa bỏ tác động an toàn hoạt động.
(2) Thiết bị xóa bỏ tác động an toàn phải sao cho ngăn ngừa được các thao tác sai.
18.2.7 Máy tính và hệ thống máy tính hóa
1 Máy tính được sử dụng cho hệ thống điều khiển, hệ thống báo động và hệ thống an toàn của máy và thiết bị phải thỏa mãn những yêu cầu sau:
(1) Độ tin cậy và khả năng bảo dưỡng
Độ tin cậy và khả năng bảo dưỡng hệ thống sử dụng máy tính không được thấp hơn so với hệ thống không sử dụng máy tính.
(2) Máy tính
(a) Cấu trúc của máy tính phải được thiết kế sao cho tác động do sự cố mất nguồn hoặc hỏng cấu hình được giới hạn tới mức độ thấp nhất.
(b) Mỗi thành phần phải được bảo vệ chống lại quá áp (nhiễu điện) có khả năng thâm nhập từ đầu vào hoặc đầu ra.
(c) Bộ điều khiển trung tâm (CPU) và các bộ phận quan trọng khác phải có chức năng tự kiểm tra.
(d) Chương trình và số liệu quan trọng đã được lập không được mất đi trong trường hợp nguồn cấp điện từ ngoài bị mất tạm thời.
(e) Máy tính phải tự khởi động lại trong thời gian ngắn thỏa mãn chế độ đã đặt khi nguồn điện được khôi phục lại sau sự cố.
(f) Phụ tùng thay thế cho các cấu hình quan trọng yêu cầu kỹ thuật đặc biệt để sửa chữa, phải được cung cấp bằng các mảng có khả năng thay thế dễ dàng.
(g) Thay thế các bộ phận dự trữ phải dễ dàng và an toàn.
(3) Bộ phận dự phòng
(a) Khi điều khiển dầu đốt (điều khiển bộ điều tốc, điều khiển phun bằng điện từ, v.v...) và điều khiển từ xa máy chính của tàu chạy bằng động cơ Đi-ê-den hoặc của tàu chạy bằng động cơ tua bin và điều khiển tốc độ vòng quay hoặc điều khiển phụ tải và điều khiển từ xa máy chính của tàu truyền động điện được thực hiện bằng một máy tính thì phải có máy tính dự phòng có khả năng thay thế và đưa vào sử dụng trong thời gian ngắn trong trường hợp máy tính đang khai thác bị sự cố.
(b) Hệ thống an toàn quan trọng sử dụng máy tính phải được trang bị các thiết bị dự phòng có thể đưa vào sử dụng trong thời gian ngắn trong trường hợp máy tính đang khai thác bị sự cố.
(4) Cấu trúc của hệ thống sử dụng máy tính
Thông thường, tính biệt lập của hệ thống điều khiển và hệ thống an toàn sử dụng máy tính phải thỏa mãn những yêu cầu ở 18.2.4-1 và 18.2.6-1, nhưng nếu điều này không thể thực hiện được thì Đăng kiểm sẽ xem xét trong từng trường hợp cụ thể.
18.3 Điều khiển tự động và điều khiển từ xa máy chính hoặc chân vịt biến bước
18.3.1 Quy định chung
Thiết bị điều khiển tự động hoặc từ xa máy chính hoặc chân vịt biến bước phải thỏa mãn những yêu cầu ở 18.3.
18.3.2 Thiết bị điều khiển từ xa máy chính hoặc chân vịt biến bước
1 Quy định chung
Thiết bị điều khiển tự động hoặc điều khiển từ xa máy chính hoặc chân vịt biến bước phải thỏa mãn những yêu cầu sau:
(1) Thiết bị điều khiển từ xa máy chính hoặc chân vịt biến bước phải có khả năng điều khiển được vòng quay chân vịt và hướng lực đẩy (góc cánh chân vịt trong trường hợp là chân vịt biến bước) bằng các phương tiện thao tác đơn giản.
(2) Thiết bị điều khiển từ xa máy chính hoặc chân vịt biến bước phải được trang bị cho từng chân vịt. Tuy nhiên, khi hai hoặc nhiều chân vịt cùng được điều khiển tại cùng một thời điểm thì những chân vịt này có thể được điều khiển bằng các thiết bị của một bộ điều khiển từ xa.
(3) Khi tốc độ của động cơ Đi-ê-den sử dụng làm máy chính được điều khiển bằng bộ điều tốc, thì bộ điều tốc phải được hiệu chỉnh sao cho vòng quay máy chính không vượt quá 103% vòng quay liên tục lớn nhất. Bộ điều tốc phải có khả năng duy trì tốc độ tối thiểu an toàn.
(4) Khi chọn cách điều khiển theo chương trình, thì chương trình để làm tăng hoặc giảm công suất phải được thiết kế sao cho ứng suất cơ học và ứng suất nhiệt quá giới hạn cho phép không xảy ra tại bất cứ bộ phận nào của máy.
(5) Tại các trạm điều khiển từ xa và trạm giám sát máy chính hoặc chân vịt biến bước phải trang bị những thiết bị sau đây:
(a) Thiết bị chỉ báo vòng quay chân vịt và hướng quay chân vịt trong trường hợp chân vịt có bước cố định.
(b) Thiết bị chỉ báo vòng quay và trị số bước chân vịt trong trường hợp chân vịt biến bước.
(6) Tại các trạm điều khiển từ xa máy chính hoặc chân vịt biến bước phải trang bị các thiết bị báo động cần thiết phục vụ việc điều khiển máy chính hoặc chân vịt biến bước.
2 Chuyển điều khiển
Thiết bị điều khiển từ xa máy chính hoặc chân vịt biến bước phải thỏa mãn những yêu cầu sau đây và chuyển điều khiển:
(1) Mỗi trạm điều khiển máy chính hoặc chân vịt biến bước phải được trang bị thiết bị để chỉ báo rằng chúng đang trong trạng thái được điều khiển.
(2) Việc điều khiển từ xa máy chính hoặc chân vịt biến bước chỉ có thể thực hiện được từ một vị trí tại cùng một thời điểm.
(3) Việc chuyển điều khiển chỉ có thể thực hiện được theo lệnh từ trạm phục vụ và nhận tín hiệu điều khiển trong trạm tiếp nhận, trừ các trường hợp sau đây:
(a) Chuyển điều khiển giữa trạm điều khiển tại chỗ máy chính hoặc chân vịt biến bước và trạm điều khiển chính hoặc trạm điều khiển dự phòng.
(b) Chuyển điều khiển thực hiện trong trạng thái máy chính không làm việc.
(4) Trong thời gian máy chính hoặc chân vịt biến bước được điều khiển từ buồng lái hoặc trạm điều khiển chính trên buồng lái, việc chuyển điều khiển máy chính hoặc chân vịt biến bước chỉ có thể thực hiện được từ trạm điều khiển tại chỗ máy chính hoặc chân vịt biến bước, còn trạm điều khiển chính hoặc trạm điều khiển phụ không có lệnh chuyển điều khiển từ buồng lái hoặc trạm điều khiển chính trên buồng lái.
(5) Phải có biện pháp ngăn ngừa lực đẩy chân vịt thay đổi quá lớn khi truyền lệnh điều khiển từ vị trí này sang vị trí khác trừ việc truyền lệnh điều khiển như quy định ở (3) và (4).
3 Sự cố của hệ thống điều khiển từ xa máy chính hoặc chân vịt biến bước
Những yêu cầu sau đây phải được thỏa mãn trong trường hợp xảy ra sự cố của hệ thống điều khiển từ xa máy chính hoặc chân vịt biến bước:
(1) Phải trang bị thiết bị báo động hoạt động khi xảy ra sự cố của thiết bị điều khiển từ xa máy chính hoặc chân vịt biến bước trong các trạm điều khiển từ xa máy chính hoặc chân vịt biến bước.
(2) Khi xảy ra sự cố của thiết bị điều khiển từ xa máy chính hoặc chân vịt biến bước thì máy chính hoặc chân vịt biến bước phải có khả năng điều khiển được tại chỗ.
(3) Khi xảy ra sự cố của thiết bị điều khiển máy chính hoặc chân vịt biến bước, thì tốc độ và hướng lực đẩy chân vịt hiện thời phải được duy trì cho đến khi việc điều khiển tại trạm điều khiển chính, trạm điều khiển dự phòng hoặc trạm điều khiển tại chỗ máy chính hoặc chân vịt biến bước đi vào hoạt động, trừ khi Đăng kiểm xét thấy điều này không thể thực hiện được.
(4) Khi xảy ra sự cố của thiết bị điều khiển máy chính hoặc chân vịt biến bước, thì việc chuyển điều khiển từ trạm điều khiển chính, trạm điều khiển phụ hoặc trạm điều khiển tại chỗ máy chính hoặc chân vịt biến bước phải có khả năng thực hiện được bằng những thao tác đơn giản.
(5) Trạm điều khiển từ xa máy chính hoặc chân vịt biến bước phải được trang bị thiết bị dừng khẩn cấp độc lập dùng cho máy chính. Thiết bị này sẽ tác động khi xảy ra sự cố của thiết bị điều khiển từ xa máy chính hoặc chân vịt biến bước.
4 Khởi động từ xa máy chính trên tàu Đi-ê-den
Việc khởi động bằng thiết bị điều khiển từ xa máy chính phải thỏa mãn những quy định sau đây:
(1) Số lần khởi động máy chính phải thỏa mãn yêu cầu ở 2.5.3.
(2) Thiết bị khởi động từ xa máy chính có bộ khởi động tự động phải được thiết kế sao cho số lần khởi động tự động liên tục không thành được giới hạn đến 3 lần. Khi có sự cố khởi động, thì các tín hiệu ánh sáng và âm thanh phải hoạt động tại các trạm điều khiển tương ứng như trạm điều khiển chính trên buồng lái, trạm điều khiển chính hoặc trạm giám sát (khi trạm điều khiển chính trên buồng lái và trạm điều khiển chính không được trang bị) máy chính hoặc chân vịt biến bước.
(3) Khi sử dụng khi nén để khởi động máy chính, thì phải trang bị thiết bị báo động để chỉ báo áp suất khí khởi động thấp tại trạm điều khiển từ xa và trạm giám sát máy chính.
(4) Áp suất khí khởi động thấp nêu ở (3) để thiết bị báo động làm việc phải được đặt ở mức cho phép các thao tác khởi động máy chính làm việc thêm.
18.3.3 Thiết bị điều khiển trên buồng lái
1 Thiết bị điều khiển trên buồng lái phải thỏa mãn những yêu cầu dưới đây cũng như những yêu cầu ở 18.3.2:
(1) Trường hợp khi máy chính hoặc chân vịt biến bước được điều khiển từ buồng lái hoặc từ trạm điều khiển chính trên buồng lái, thì các lệnh bằng tay chuông truyền lệnh ở buồng lái hoặc trạm điều khiển chính trên buồng lái phải được chỉ báo tại các trạm sau đây:
(a) Trạm điều khiển dự phòng hoặc trạm điều khiển tại chỗ máy chính hoặc chân vịt biến bước cho những tàu có lắp đặt trạm điều khiển chính trên buồng lái; hoặc
(b) Trạm điều khiển chính cho những tàu không có trạm điều khiển chính trên buồng lái.
(2) Thiết bị điều khiển trên buồng lái phải được trang bị một trong những thiết bị dưới đây để đề phòng máy chính làm việc lâu dài trong vùng tốc độ tới hạn:
(a) Thiết bị tự động để nhanh chóng chuyển qua vùng tốc độ tới hạn.
(b) Thiết bị báo động hoạt động khi máy chính làm việc vượt quá thời gian đã xác định trong vùng tốc độ tới hạn.
18.3.4 Biện pháp an toàn
1 Biện pháp an toàn cho máy chính hoặc chân vịt biến bước:
Biện pháp an toàn cho máy chính hoặc chân vịt biến bước phải thỏa mãn những yêu cầu sau đây:
(1) Phải sử dụng những thiết bị an toàn dưới đây cho những thiết bị điều khiển từ xa máy chính hoặc chân vịt biến bước:
(a) Khóa liên động để ngăn ngừa hư hỏng nghiêm trọng do vận hành sai.
(b) Máy phụ cần thiết cho máy chính của tàu được dẫn động bằng động cơ điện, thì máy chính phải được thiết kế sao cho có thể dừng tự động trong trường hợp có sự cố nguồn cấp điện hoặc phải có khả năng dừng máy lại.
(c) Máy chính phải được bố trí sao cho không có khả năng tự khởi động khi nguồn điện được phục hồi sau khi xảy ra sự cố nguồn điện làm cho máy chính dừng lại.
(d) Thiết bị điều khiển từ xa máy chính hoặc chân vịt biến bước phải được thiết kế sao cho động cơ không bị quá tải khác thường trong trường hợp xảy ra sự cố của chúng.
(2) Thiết bị dừng máy chính phải được đặt trong trạm giám sát máy chính hoặc chân vịt biến bước.
2 Hệ thống an toàn của máy chính
Hệ thống an toàn của máy chính phải thỏa mãn những yêu cầu sau đây:
(1) Thiết bị cắt dầu đốt hoặc nguồn cấp hơi (gọi tắt là “thiết bị an toàn”) máy chính không được tự động hoạt động trừ trường hợp có thể dẫn đến hỏng hoàn toàn máy, hư hỏng nghiêm trọng hoặc nổ.
(2) Hệ thống an toàn máy chính phải được thiết kế sao cho không làm mất các chức năng của chúng hoặc mất an toàn ngay cả khi xảy ra sự cố nguồn điện chính hoặc nguồn không khí.
3 Động cơ Đi-ê-den tự đảo chiều
Ít nhất phải có các biện pháp an toàn sau đây được áp dụng đối với thiết bị điều khiển từ xa động cơ Đi-ê-den tự đảo chiều:
(1) Thao tác khởi động chỉ có khả năng thực hiện được khi trục cam chắc chắn ở vị trí “tiến” hoặc “lùi”.
(2) Trong khi thao tác đổi chiều, dầu đốt không được phun vào.
(3) Thao tác đảo chiều chỉ được điều khiển sau khi vòng quay “tiến” được giảm đến một giá trị định trước.
4 Máy chính gồm nhiều động cơ dẫn động một trục
Ít nhất các biện pháp an toàn sau đây phải được áp dụng đối với thiết bị điều khiển từ xa nhiều động cơ cùng dẫn động một trục:
(1) Mỗi máy chính phải có một thiết bị đề phòng quá tải.
(2) Mỗi máy chính không phải chịu tải trọng không cân bằng một cách bất thường.
5 Máy chính có khớp ly hợp
Ít nhất các biện pháp an toàn sau đây phải được áp dụng đối với máy chính có khớp ly hợp:
(1) Khớp ly hợp lắp cho máy chính gồm nhiều động cơ cùng dẫn động một trục phải được nhả ra khi máy chính dừng khẩn cấp. Khi các động cơ được ghép lại đang hoạt động ở các hướng quay khác nhau thì khớp ly hợp của chúng không được đóng đồng thời.
(2) Việc đóng và nhả khớp ly hợp chỉ được thực hiện dưới vòng quay được quy định trước của máy chính.
(3) Phải lắp thiết bị bảo vệ quá tốc quy định ở 2.4.1-2, 3.3.1-1 hoặc 4.3.1-1.
(4) Phải lắp thiết bị bảo vệ quá tốc khi Đăng kiểm cho là cần thiết để đề phòng tốc độ của mô tơ lai chân vịt vượt quá 125% vòng quay định mức khi li hợp được nhả ra.
6 Máy chính dẫn động chân vịt biến bước
Ít nhất các biện pháp an toàn sau đây phải được áp dụng đối với thiết bị điều khiển từ xa động cơ lai chân vịt biến bước:
(1) Phải lắp đặt thiết bị đề phòng quá tải.
(2) Khởi động động cơ hoặc đóng khớp ly hợp phải được thực hiện trong thời gian cánh chân vịt đang ở vị trí có bước bằng không.
(3) Phải lắp đặt thiết bị chống quá tốc như quy định ở 2.4.1-2, 3.3.1-1 hoặc 4.3.1-1.
(4) Trong trường hợp cần đề phòng tốc độ của mô tơ lai chân vịt vượt quá 125% vòng quay định mức khi bước chân vịt thay đổi thì phải trang bị thiết bị chống vượt tốc nếu Đăng kiểm cho là cần thiết.
18.4 Điều khiển tự động và điều khiển từ xa nồi hơi
18.4.1 Quy định chung
1 Hệ thống điều khiển tự động cho cả đốt và cấp nước của nồi hơi đốt bằng dầu phải thỏa mãn những yêu cầu tương ứng quy định ở 18.4.2 đến 18.4.5.
2 Hệ thống điều khiển tự động đốt hoặc cấp nước của nồi hơi đốt bằng dầu phải thỏa mãn những yêu cầu tương ứng quy định ở 18.4.2 hoặc 18.4.3 cũng như những yêu cầu ở 18.4.4 và 18.4.5.
3 Việc điều khiển tự động nồi hơi khác với kiểu nồi hơi đốt bằng dầu hoặc có những đặc tính riêng phải được sự đồng ý của Đăng kiểm.
4 Khi nồi hơi được điều khiển từ xa, thiết bị điều khiển và thiết bị giám sát cần thiết để vận hành nồi hơi phải được lắp đặt trong những trạm điều khiển có liên quan.
5 Thiết bị chỉ báo mức nước từ xa phải thỏa mãn những yêu cầu ở 9.9.8.
18.4.2 Hệ thống điều khiển việc đốt tự động
1 Quy định chung
Hệ thống điều khiển việc đốt tự động phải thỏa mãn những yêu cầu sau đây:
(1) Hệ thống điều khiển việc đốt tự động phải có khả năng kiểm soát được lượng hơi nước, áp suất hơi nước, nhiệt độ hơi nước đã định và đảm bảo đốt ổn định.
(2) Thiết bị để điều khiển việc cấp dầu đốt thỏa mãn tải trọng đã quy định phải có khả năng đảm bảo đốt ổn định trong phạm vi dao động của nguồn cấp dầu đốt.
(3) Khi việc điều khiển đốt được thực hiện phù hợp với áp suất của nồi hơi, thì giới hạn trên của áp suất này phải thấp hơn áp suất đã đặt của van an toàn.
2 Thiết bị điều khiển việc đốt dùng cho các thao tác đốt gián đoạn
Thiết bị điều khiển việc đốt dùng cho các thao tác đốt gián đoạn phải thỏa mãn những yêu cầu dưới đây và chúng phải được thao tác phù hợp với trình tự đã quy định:
(1) Trước khi đánh lửa ở mỏ đốt mồi hoặc ở mỏ đốt chính nếu không lắp mỏ đốt mồi, thì buồng đốt và ống dẫn phải được tẩy sạch trước bằng không khí không ít hơn 4 lần thể tích của buồng đốt và ống dẫn tính đến ống khói của nồi hơi. Đối với nồi hơi nhỏ chỉ có một mỏ đốt, thì phải thông gió không ít hơn 30 giây.
(2) Trong trường hợp đánh lửa trực tiếp là phương pháp đánh lửa để mỏ đốt chính được đốt bằng tia lửa, thì không được mở các van dầu đốt trước khi đánh lửa.
(3) Trong trường hợp đánh lửa gián tiếp là phương pháp để đốt mỏ đốt chính bằng mỏ đốt mồi, thì không được mở van dầu đốt của vòi phun mồi (sau đây gọi là “van dầu đốt mồi lửa”) trước khi đánh lửa và không được mở van dầu đốt của vòi phun chính (sau đây gọi tắt là “van dầu đốt chính”) trước khi mở van dầu đốt mồi lửa.
(4) Sự đốt cháy phải được đảm bảo trong thời gian đã định. Van dầu đốt chính phải được thiết kế sao cho được đóng lại sau khi mở van không quá 10 giây khi dùng phương pháp đánh lửa trực tiếp và 15 giây khi dùng phương pháp đánh lửa gián tiếp nếu như vòi phun chính không cháy được.
(5) Sự đốt cháy ở vòi phun chính phải được thực hiện ở vị trí cháy thấp của chúng.
(6) Sau khi đóng van dầu đốt chính, phải tiến hành làm sạch ngay trong khoảng 20 giây để đảm bảo có lượng khí cháy đầy đủ để đốt cháy hết số dầu đốt còn lại ở giữa van dầu đốt và vòi phun. Nếu được Đăng kiểm cho phép, thì không cần áp dụng yêu cầu này cho nồi hơi phụ.
3 Thiết bị điều khiển việc đốt để điều khiển nhiều mỏ đốt
Thiết bị điều khiển việc đốt để điều khiển nhiều mỏ đốt phải thỏa mãn những yêu cầu sau đây:
(1) Mỗi mỏ đốt phải được đốt và dập tắt phù hợp với trình tự đã định. Tuy nhiên, mỏ đốt gốc có thể được đốt bằng tay và các mỏ đốt khác có thể được đốt bằng ngọn lửa của (các) mỏ đã cháy.
(2) Dầu đốt thừa ở mỏ đốt đã được dập tắt phải tự động cháy hết để không gây trở ngại đến lần đốt sau. Tuy nhiên, trong thời gian mỏ đốt mồi không cháy, dầu đốt thừa ở mỏ đốt gốc không được đẩy ra bằng hơi nước hoặc không khí khi còn đang nằm trong mỏ.
(3) Các mỏ đốt cho nồi hơi chính phải có khả năng đốt cháy và dập tắt từ trạm điều khiển chính hoặc từ trạm điều khiển chính trên buồng lái, trừ việc đốt ở mỏ đốt gốc.
4 Các thiết bị điều khiển việc đốt khác.
Các thiết bị điều khiển việc đốt khác phải được sự chấp thuận của Đăng kiểm, đồng thời chúng phải thỏa mãn những yêu cầu tương ứng ở -2 và -3.
18.4.3 Thiết bị điều khiển cấp nước tự động
1 Thiết bị điều khiển cấp nước tự động phải có khả năng tự động điều chỉnh nước cấp để luôn giữ mức nước trong nồi hơi ở phạm vi đã định.
2 Nồi hơi chính phải được lắp đặt không ít hơn ba đầu dò mức nước phục vụ cho thiết bị điều khiển nước cấp, một thiết bị chỉ báo mức nước từ xa, một thiết bị đảm bảo an toàn khi mức nước thấp và một thiết bị báo động khi mức nước thấp.
18.4.4 Biện pháp an toàn
1 Thiết bị an toàn
Thiết bị an toàn phải thỏa mãn những yêu cầu ở 9.9.10-1.
2 Hâm dầu đốt
Khi sử dụng dầu đốt được hâm nóng, thì phải trang bị một thiết bị điều khiển nhiệt độ tự động cho thiết bị hâm và trang bị cho nồi hơi thiết bị ngắt tự động cấp đầu vào mỏ đốt hoặc thiết bị báo động hoạt động khi nhiệt độ của dầu đốt dầu xuống thấp hơn giá trị định trước.
18.4.5 Thiết bị báo động
Thiết bị báo động phải thỏa mãn những yêu cầu ở 9.9.10-2.
18.5 Điều khiển tự động và từ xa máy phát điện
18.5.1 Quy định chung
1 Máy phát điện được trang bị để khởi động tự động hoặc từ xa phải được trang bị thiết bị khóa liên động để đảm bảo thao tác an toàn.
2 Máy phát điện được trang bị để khởi động tự động phải được thiết kế sao cho số lần khởi động liên tiếp không thành công chỉ được giới hạn đến hai lần và phải trang bị thiết bị báo động để báo động khi khởi động không thành.
3 Khi động cơ Đi-ê-den lai máy phát điện chính được khởi động từ xa thì số lần khởi động phải theo số lần yêu cầu ở 2.5.3.
4 Khi khởi động tự động máy phát dự phòng có nối tự động với thanh dẫn của bảng điện, thì việc tự động đóng vào thanh dẫn phải được giới hạn chỉ cho một lần trong trường hợp xảy ra sự cố ban đầu do đoản mạch nguồn.
5 Ngoài những yêu cầu ở 18.5, hệ thống điều khiển tự động và điều khiển từ xa những máy phát điện mà: được máy chính dẫn động; cấp nguồn cho thiết bị điện liên quan đến các công việc quy định ở 3.1.2(1), Phần 4 của Quy phạm này; hoạt động trong thời gian máy chính được điều khiển bằng thiết bị điều khiển trên buồng lái phải thỏa mãn những yêu cầu ở 3.2.1, Phần 4 của Quy phạm này.
18.6 Điều khiển tự động và điều khiển từ xa máy phụ
18.6.1 Thao tác tự động máy nén khí
Nếu máy nén khí để khởi động và máy nén khí để điều khiển được vận hành tự động thì phải trang bị thiết bị báo động để chỉ báo áp suất trong bình khí nén bị tụt xuống.
18.6.2 Đóng và ngắt tự động bơm hút khô
Trong trường hợp bơm hút khô có khả năng khởi động và tắt tự động, thì phải trang bị thiết bị báo động để chỉ báo mức nước cao trong các hố tụ nước đáy tàu thích hợp và chỉ báo việc bơm hoạt động trong thời gian dài.
18.6.3 Hệ thống dầu nóng
1 Hệ thống dầu nóng được điều khiển tự động phải thỏa mãn những yêu cầu sau:
(1) Thiết bị điều khiển
Thiết bị điều khiển phải thỏa mãn những yêu cầu ở 18.4.2-1 và -2, cũng những yêu cầu ở 9.12.2-1. và -2.
(2) Thiết bị an toàn
Thiết bị an toàn phải thỏa mãn những yêu cầu ở 9.12.1 và 9.12.2-5.
(3) Thiết bị báo động
Hệ thống dầu nóng phải được trang bị thiết bị báo động hoạt động trong những trường hợp sau đây:
(a) Khi thiết bị an toàn quy định ở (3) hoạt động.
(b) Khi nhiệt độ của dầu đốt ở mỏ đốt tụt xuống.
18.6.4 Thiết bị báo động nhiệt độ cao dùng cho thiết bị hâm dầu
Trong trường hợp nhiệt độ của dầu đốt và dầu bôi trơn được kiểm tra tự động, thì phải trang bị thiết bị báo động nhiệt độ cao, trừ khi dầu không được hâm nóng trên điểm chớp cháy.
18.6.5 Thiết bị đóng và mở van thông biển
Trong trường hợp van thông biển được đặt trên tôn vỏ dưới đường nước chở hàng được điều khiển từ xa hoặc tự động thì phải trang bị thiết bị đóng và mở van có thao tác dễ dàng ngay cả khi xảy ra sự cố của thiết bị điều khiển tự động hoặc điều khiển từ xa.
18.6.6 Hệ thống chỉ báo mức chất lỏng của két dầu dầu đốt
Trong trường hợp việc chuyển dầu đốt vào két dầu đốt được điều khiển tự động thì phải trang bị thiết bị báo động mức chất lỏng cao và thấp trong két.
18.6.7 Thiết bị chằng buộc
Khi thiết bị chằng buộc được điều khiển từ xa thì thiết bị chằng buộc vẫn phải có khả năng thao tác tại chỗ.
18.6.8 Thiết bị nạp dầu đốt
Trong trường hợp thiết bị nạp dầu đốt từ ngoài tàu vào các két dầu đốt tương ứng (gọi tắt là “thiết bị nạp dầu”) được điều khiển từ xa thì thiết bị nạp dầu phải sao cho không gây trở ngại cho việc nạp dầu kể cả khi xảy ra sự cố của thiết bị điều khiển từ xa.
18.7 Thử nghiệm
18.7.1 Thử tại xưởng
1 Sau khi chế tạo, hệ thống điều khiển tự động hoặc điều khiển từ xa các máy và thiết bị mà Đăng kiểm thấy cần thiết phải chịu những đợt thử sau đây:
(1) Thử điều kiện môi trường
Các chi tiết, bộ phận, đầu dò (gọi tắt là “thiết bị tự động”) và hệ tự động bao gồm cả thiết bị tự động phải trải qua các lần thử ở điều kiện môi trường dưới đây tại cơ sở sản xuất. Quy trình thử phải được Đăng kiểm chấp nhận.
(a) Kiểm tra bên ngoài
(b) Thử hoạt động và thử tính năng
(c) Thử sự cố cung cấp nguồn điện (áp dụng cho các thiết bị điện, điện tử v.v...)
(d) Thử dao động nguồn cấp năng lượng (áp dụng cho các thiết bị thủy lực, khí nén v.v...)
(e) Thử dao động nguồn điện (áp dụng cho các thiết bị điện và điện tử v.v...)
(f) Thử độ cách điện (áp dụng cho các thiết bị điện, điện tử v.v...)
(g) Thử điện áp cao (áp dụng cho các thiết bị điện, điện tử v.v...)
(h) Thử áp lực (áp dụng cho các thiết bị thủy lực, khí nén v.v...)
(i) Thử nhiệt khô
(j) Thử nhiệt ẩm
(k) Thử chấn động
(l) Thử chịu nghiêng
(m) Thử chịu lạnh
(n) Thử sương muối (áp dụng cho các thiết bị sẽ được đặt trong khu vực không đóng kín như là boong hở)
(o) Thử độ khử tĩnh điện (áp dụng cho các thiết bị điện tử)
(p) Thử từ trường có tần số cao phát tán (áp dụng cho các thiết bị điện tử)
(q) Thử nhiễu tần số cao hữu tuyến (áp dụng cho các thiết bị điện tử)
(r) Thử nhiễu tần số thấp hữu tuyến (áp dụng cho các thiết bị điện tử)
(s) Thử quá độ nhanh hoặc tăng đột ngột (áp dụng cho các thiết bị điện tử)
(t) Thử quá độ xung/chậm (áp dụng cho các thiết bị điện tử)
(u) Thử phát vô tuyến điện (áp dụng cho các thiết bị điện tử phát điện từ)
(v) Thử phát hữu tuyến (áp dụng cho các thiết bị điện tử phát điện từ)
(w) Các dạng thử khác mà Đăng kiểm xét thấy cần thiết
(2) Thử thành phẩm thiết bị tự động
Các bộ phận tự động sau khi đã trải qua các lần thử quy định ở (1) phải chịu các lần thử dưới đây sau khi đã lắp ráp đồng bộ thành hệ tự động, quy trình thử phải được Đăng kiểm chấp nhận:
(a) Kiểm tra bên ngoài
(b) Thử hoạt động và thử tính năng
(c) Thử độ cách điện và thử điện áp cao (áp dụng cho các thiết bị điện, điện tử)
(d) Thử áp lực (áp dụng cho các thiết bị thủy lực, khí nén)
(e) Các dạng thử khác mà Đăng kiểm xét thấy cần thiết.
18.7.2 Cấp giấy chứng nhận
1 Khi các thiết bị tự động và hệ tự động đã hoàn thành các lần thử ở điều kiện môi trường quy định ở 18.7.1, thì chúng sẽ được cấp giấy chứng nhận cho phép sử dụng và được công bố yêu cầu của nhà sản xuất.
2 Đối với các thiết bị tự động và các hệ tự động đã được Đăng kiểm đồng ý cho phép sử dụng, thì có thể miễn giảm một phần hoặc toàn bộ các lần thử ở điều kiện môi trường quy định ở 18.7.1-1(1).
18.7.3 Thử sau khi lắp đặt trên tàu
Hệ thống điều khiển tự động hoặc điều khiển từ xa các máy và thiết bị, sau khi lắp đặt trên tàu phải được thử để xác nhận rằng chúng hoạt động có hiệu quả, chính xác theo các điều kiện có thể. Tuy nhiên, một phần của những thử nghiệm này có thể được thực hiện trong lần thử đường dài.
CHƯƠNG 19 PHỤ TÙNG DỰ TRỮ, DỤNG CỤ VÀ DỤNG CỤ ĐO
19.1 Quy định chung
19.1.1 Phạm vi áp dụng
1 Các yêu cầu trong Chương này áp dụng cho các phụ tùng dự trữ, các dụng cụ và đồ nghề của hệ thống máy tàu.
2 Thuật ngữ “Hệ thống máy” trong Chương này được định nghĩa như sau:
(1) Các động cơ Đi-ê-den được sử dụng làm máy chính
(2) Các động cơ Đi-ê-den lai máy phát điện hoặc máy phụ cần thiết cho máy chính
(3) Các tua bin hơi nước được sử dụng làm máy chính
(4) Các tua bin hơi nước lai máy phát điện hoặc máy phụ cần thiết cho máy chính
(5) Hệ trục chân vịt
(6) Nồi hơi
(7) Các bơm và máy nén khí.
3 Vì các phụ tùng dự trữ và các dụng cụ thay đổi tùy theo quy định của quốc gia đăng ký, mục đích sử dụng tàu, loại hệ thống máy, tuyến hoạt động và các điều kiện khác, nên các yêu cầu trong Chương này có thể không áp dụng cho tất cả các trường hợp. Tuy nhiên, thông thường, các phụ tùng dự trữ và dụng cụ được quy định trong Chương này phải được trang bị trong buồng máy, buồng nồi hơi hoặc các vị trí thuận tiện khác ở trên tàu.
4 Phụ tùng dự trữ, dụng cụ và đồ nghề cho hệ thống máy chưa được quy định trong Chương này thì phải được trang bị nếu Đăng kiểm thấy cần thiết.
5 Phụ tùng dự trữ và dụng cụ cho trang thiết bị điện phải thỏa mãn các quy định ở 3.8, Phần 4 của Quy phạm này.
6 Phụ tùng dự trữ cho các quạt thông gió của tàu chở xô khí hóa lỏng hoặc chở xô hóa chất nguy hiểm phải thỏa mãn các yêu cầu tương ứng ở Chương 12, Phần 8-D hoặc Chương 3, Phần 8-E của Quy phạm này.
19.1.2 Tài liệu
Chủ tàu hoặc xưởng đóng tàu phải trình duyệt bản kê số lượng các phụ tùng dự trữ, các dụng cụ và đồ nghề đã quy định cho hệ thống máy hiện được trang bị trên tàu.
19.2 Phụ tùng dự trữ, các dụng cụ và dụng cụ đo
19.2.1 Phụ tùng dự trữ
1 Phụ tùng dự trữ cho các động cơ Đi-ê-den được sử dụng làm máy chính được quy định ở Bảng 3/19.1.
2 Phụ tùng dự trữ cho các động cơ Đi-ê-den lai máy phát điện hoặc máy phụ cần thiết cho máy chính được quy định ở Bảng 3/19.2.
3 Phụ tùng dự trữ cho các tua bin hơi nước làm máy chính và các tua bin hơi nước lai máy phát điện hoặc máy phụ cần thiết cho máy chính được quy định ở Bảng 3/19.3.
4 Phụ tùng dự trữ cho hệ trục chân vịt được quy định ở Bảng 3/19.4.
5 Phụ tùng dự trữ cho các nồi hơi chính, nồi hơi phụ thiết yếu, nối hơi cấp nước đổ hâm dầu đốt cần thiết cho hoạt động của máy chính hoặc hâm dầu hàng một cách liên tục và thiết bị hâm dầu cho các công dụng cần thiết được quy định ở Bảng 3/19.5.
Tuy nhiên, không yêu cầu phải trang bị phụ tùng dự trữ nếu các thiết bị dự phòng có thể bảo đảm duy trì trạng thái hoạt động bình thường của tàu hoặc hâm dầu hàng trong trường hợp nồi hơi không phải là nồi hơi chính hoặc hệ thống dầu nóng bị hư hỏng.
6 Phụ tùng dự trữ cho bơm và máy nén khí (không phải là thiết bị sự cố) được phân loại là máy phụ cần thiết cho máy chính và bơm hút khô được quy định ở Bảng 3/19.6.
7 Phụ tùng dự trữ cho hệ thống máy quy định trong các Bảng 3/19.1 đến 3/19.6 là cho trường hợp chỉ có một hệ thống máy. Đối với trường hợp tàu được lắp đặt từ hai hệ thống máy trở lên có cùng kiểu hoặc cùng công dụng, có thể chỉ yêu cầu một bộ phụ tùng dự trữ.
Tuy nhiên, số lượng kính chỉ mức nước kiểu tròn và kiểu phẳng được quy định trong Bảng 3/19.5 là số lượng cho mỗi nồi hơi và số lượng khung của kính chỉ mức nước kiểu phẳng được quy định là một cho hai nồi hơi.
8 Mặc dù được quy định ở -7, hệ thống máy được quy định ở (1) và (2) sau đây không yêu cầu có phụ tùng dự trữ.
(1) Các hệ thống máy mà số lượng của chúng vượt quá số lượng quy định của Quy phạm và công suất của từng thiết bị đủ phục vụ điều kiện làm việc bình thường của tàu.
(2) Các bơm được phân loại là máy phụ cần thiết cho máy chính mà chúng có bơm dự phòng với sản lượng đủ trong mọi điều kiện làm việc bình thường của tàu.
19.2.2 Các dụng cụ và dụng cụ đo
Các dụng cụ và dụng cụ do cho mỗi một tàu được quy định ở Bảng 3/19.7.
Bảng 3/19.1 Phụ tùng dự trữ cho máy chính là động cơ Đi-ê-den
| Hạng mục | Phụ tùng dự trữ | Số lượng quy định |
| Ổ trục chính động cơ | Ổ trục chính hoặc bạc lót cho một ổ của mỗi cỡ và kiểu được sử dụng với đủ đệm, bu lông và đai ốc | 1 bộ |
| Ống lót xi lanh | Ống lót xi lanh, đủ vòng đệm và vòng bít | 1 |
| Nắp xi lanh | Nắp xi lanh, đủ các van, vòng đệm và vòng bít Đối với động cơ không có nắp xi lanh, các van tương ứng | 1 |
| Các bu lông, đai ốc nắp xi lanh cho một xi lanh | 1/2 bộ | |
| Van xi lanh | Van xả, đủ hộp van, đế tựa, lò xo và các phụ tùng khác cho một xi lanh | 2 bộ |
| Van nạp không khí, đủ hộp van, đế tựa, lò xo và các phụ tùng khác cho một xi lanh | 1 bộ | |
| Van khí khởi động, đủ hộp van, đế tựa, lò xo và các phụ tùng | 1 | |
| Van an toàn, đủ hộp van, lò xo và các phụ tùng | 1 | |
| Van nhiên liệu, đủ hộp van, lò xo và các phụ tùng cho một động cơ | 1 bộ* | |
| Ổ thanh truyền | Ổ đầu dưới hoặc bạc lót của mỗi cỡ và kiểu, đủ đệm, bu lông và đai ốc | 1 bộ |
| Ổ đầu trên hoặc bạc lót của mỗi cỡ và kiểu, đủ đệm, bu lông và đai ốc | 1 bộ | |
| Pít tông | Kiểu con trượt: pít tông của mỗi kiểu, đủ chốt pít tông, cán pít tông, thân pít tông, xéc măng, vít cấy và đai ốc | 1 |
| Kiểu hình thùng: Pít tông của mỗi kiểu, đủ thân pít tông, xéc măng, vít cấy, đai ốc, bu lông đầu biên và thanh truyền | 1 | |
| Xéc măng | Xéc măng trong một xi lanh | 1 bộ |
| Làm mát Pít tông | Ống làm mát kiểu lồng và phụ tùng hoặc chi tiết tương đương cho một xi lanh | 1 bộ |
| Xích dẫn động trục cam | Truyền động xích: các mắt lẻ cùng với chốt và con lăn của mỗi cỡ và kiểu | 6 |
| thiết bị bôi trơn xi lanh | Dụng cụ bôi trơn, đủ bộ đủ cỡ lớn nhất, cùng với xích hoặc bánh răng truyền động | 1 |
| Bơm phun nhiên liệu | Bơm nhiên liệu đủ bộ, hoặc khi thực hiện được sự thay thế trên biển, một bộ đủ các chi tiết làm việc cho một bơm (cặp pít tông plôngiơ, ống lót, van, lò xo v.v...) | 1 |
| Ống phun nhiên liệu | Ống nhiên liệu cao áp của mỗi cỡ và hình dạng, đủ đầu nối | 1 |
| Bơm quét khí (gồm cả tua bin nạp) | Rô to, trục tô to, ổ đỡ, miệng phun hình vòng và các bánh răng và các bộ phận làm việc tương đương nếu là kiểu khác | 1 bộ** |
| Hệ thống quét khí | Các van hút và van phân phối đối với một quạt thổi của mỗi kiểu, đủ bộ | 1 bộ |
| Bộ giảm tốc và/ hoặc cơ cấu đảo chiều | Bạc ổ đỡ đủ bộ, của mỗi cỡ được lắp trong hộp số | 1 bộ |
| Ổ đũa hoặc ổ bi, đủ bộ của mỗi cỡ được lắp trong hộp số | 1 bộ | |
| Vòng bít và đệm | Vòng bít và đệm đặc biệt của mỗi cỡ và kiểu cho nắp xi lanh và ống lót xi lanh đối với một xi lanh | - |
Chú thích:
* Các động cơ mà mỗi xi lanh có từ 3 van nhiên liệu trở lên: mỗi xi lanh 2 van nhiên liệu đủ bộ, và các van nhiên liệu khác trừ hộp van
** Các phụ tùng dự trữ cho bơm quét khí có thể không cần trang bị nếu đã chứng minh được, tại bệ thử của nhà chế tạo đối với một kiểu động cơ liên quan rằng có thể điều động một cách thỏa mãn khi một bơm quét khí mất tác dụng. Tuy nhiên, trong trường hợp này, các thiết bị cắt và bịt cần thiết cho sự làm việc khi một quạt quét khí mất tác dụng phải có sẵn trên tàu.
Bảng 3/19.2 Phụ tùng dự trữ cho các động cơ Đi-ê-den lai máy phát điện hoặc máy phụ cần thiết cho máy chính
| Hạng mục | Phụ tùng dự trữ | Số lượng quy định |
| Ổ trục động cơ | Ổ trục hoặc bạc lót cho một ổ của mỗi cỡ và kiểu, đủ đệm bu lông và đai ốc | 1 bộ |
| Van xi lanh | Van xả đủ hộp van, đế tựa, lò xo và các phụ tùng khác cho một xi lanh | 2 bộ |
| Van nạp không khí, đủ hộp van, đế tựa, lò xo và các phụ tùng khác cho một xi lanh | 1 bộ | |
| Van khí khởi động, đủ hộp van, đế tựa, lò xo và các phụ tùng | 1 bộ | |
| Van an toàn có đủ hộp van, lò xo và các phụ tùng | 1 bộ | |
| Van nhiên liệu của mỗi cỡ và kiểu được lắp có đủ hộp van, lò xo và các phụ tùng khác cho một động cơ | 1/2 bộ | |
| Ổ thanh truyền | Ổ đầu dưới hoặc bạc lót của mỗi cỡ và kiểu được lắp đủ đệm, bu lông và đai ốc cho một xi lanh | 1 bộ |
| Ổ đầu trên hoặc bạc lót của mỗi cỡ và kiểu được lắp đủ đệm, bu lông và đai ốc cho một xi lanh | 1 bộ | |
| Kiểu pít tông hình thùng: chốt pít tông có bạc lót cho một xi lanh | 1 bộ | |
| Xéc măng | Xéc măng cho một xi lanh | 1 bộ |
| Làm mát Pít tông | Ống làm mát kiểu lồng và phụ tùng hoặc chi tiết tương đương cho một xi lanh | 1 bộ |
| Bơm phun nhiên liệu | Bơm nhiên liệu đủ bộ, hoặc khi thực hiện được sự thay thế trên biển, một bộ đủ các chi tiết làm việc cho một bơm (cặp pít tông plongiơ, ống lót, van, lò xo) | 1 bộ |
| Ống phun nhiên liệu | Ống nhiên liệu cao áp của mỗi cỡ và dạng được lắp có đủ các đầu nối | 1 bộ |
| Các vòng bít và đệm | Các vòng bít và đệm đặc biệt của mỗi cỡ và kiểu cho nắp xi lanh và ống lót xi lanh của một động cơ | 1 bộ |
Bảng 3/19.3 Phụ tùng dự trữ cho các tua bin hơi nước
| Hạng mục | Phụ tùng dự trữ | Số lượng quy định |
| Ổ trục | Ổ trục của mỗi cỡ trục Rô to và trục bộ giảm tốc | 1 bộ cho mỗi trục |
| Ổ đỡ chặn | Đệm (gồm cả đệm điều chỉnh và các vòng điều chỉnh) cho một mặt | 1 bộ * |
| Vòng làm kín trục tua bin | Vòng làm kín các bon với lò xo cho mỗi cỡ và kiểu | 1 bộ |
| Bầu lọc dầu | Lưới lọc hoặc ống lót của bầu lọc của mỗi cỡ và kiểu thích hợp với thiết kế đặc biệt | 1 bộ |
Chú thích:
* Đối với tua bin hơi nước được sử dụng làm máy chính, khi các đệm của một bề mặt khác với các đệm của bề mặt kia, phải trang bị một bộ đầy đủ các đệm.
Bảng 3/19.4 Phụ tùng dự trữ cho hệ trục
| Phụ tùng dự trữ | Số lượng quy định |
| Ổ chặn: Đệm cho một bề mặt ổ chặn kiểu Michel Đệm chặn hoàn chỉnh cho một bề mặt của kiểu vành đặc Vòng trong và vòng ngoài với các con lăn của ổ đỡ chặn |
1 cho mỗi cỡ * 1 cho mỗi cỡ * 1 cho mỗi cỡ |
Chú thích:
* Khi các đệm của một bề mặt khác các đệm đó của bề mặt kia, thì phải trang bị đủ một bộ đệm.
Bảng 3/19.5 Phụ tùng dự trữ cho nồi hơi và thiết bị hâm dầu
| Phụ tùng dự trữ | Số lượng quy định |
| Lò xo van an toàn của mỗi cỡ gồm cả lò xo van an toàn của thiết bị quá nhiệt | 1 |
| Vòi phun dầu đủ bộ cho một nồi hơi | 1 bộ |
| Kính chỉ mức nước kiểu tròn gồm cả đệm bít | 12 |
| Kính của kính chỉ mức nước kiểu phẳng | 2 |
| Khung của dụng cụ chỉ mức nước kiểu phẳng | 1 |
Bảng 3/19.6 Phụ tùng dự trữ cho các bơm và máy nén khí*
| Hạng mục | Phụ tùng dự trữ | Số lượng quy định |
| Các bơm Pít tông | Van với đế tựa và lò xo của mỗi cỡ | 1 bộ |
| Xéc măng của mỗi cỡ và kiểu cho một Pít tông | 1 bộ | |
| Bơm li tâm và bơm bánh răng** | Ổ đỡ cho mỗi kiểu và cỡ | 1 |
| Đệm kín Rô to mỗi kiểu và cỡ (các bộ phận có khả năng hỏng như bộ đệm kín, ống lót bạc) | 1 | |
| Máy nén khí | Xéc măng pít tông mỗi cỡ và kiểu | 1 bộ |
| Các van hút và van phân phối đủ bộ cho mỗi cỡ | 1/2 bộ |
Chú thích:
* Các bơm và máy nén khí bao gồm bơm và máy nén khí cho hệ thống điều khiển từ xa và điều khiển tự động.
** Các bơm kiểu bánh răng bao gồm cả các bơm cánh quạt và bơm trục vít.
Bảng 3/19.7 Các dụng cụ và dụng cụ đo
| Hạng mục | Phụ tùng dự trữ | Số lượng |
| Các nồi hơi yêu cầu phụ tùng dự trữ theo quy định ở 19.2.1-5 | Các đệm bít kín hoặc nút ống mỗi cỡ, kể cả cho các ống của bộ quá nhiệt và các ống bộ tiết kiệm | Đối với nồi hơi ống nước: 12 cho mỗi cỡ |
| Đối với nồi hơi kiểu khác: 12 toàn bộ* | ||
| Tất cả các nồi hơi | Áp kế chuẩn | 1** |
| Thiết bị thử nước | 1 bộ*** | |
| Các dụng cụ và đồ nghề đặc biệt để duy trì công việc sửa chữa hoặc lắp đặt máy | 1 bộ | |
Chú thích:
* Đối với trường hợp nồi hơi hình trụ, 1/2 số đó phải là loại có thể được dùng từ phía mỏ đốt.
** Có thể chấp nhận máy thử áp kế.
*** Có thể chấp nhận 2 thiết bị đo nồng độ muối.
CHƯƠNG 20 YÊU CẦU RIÊNG CHO HỆ THỐNG MÁY TÀU ĐƯỢC LẮP ĐẶT TRÊN CÁC TÀU CÓ VÙNG HOẠT ĐỘNG HẠN CHẾ VÀ CÁC TÀU NHỎ
20.1 Quy định chung
20.1.1 Phạm vi áp dụng
Các yêu cầu trong Chương này áp dụng cho các máy được lắp trên tàu có GT dưới 500 và có vùng hoạt động hạn chế, thay cho các yêu cầu thích hợp ở các Chương từ Chương 19 về trước.
20.2 Những yêu cầu được sửa đổi
20.2.1 Các tàu có ký hiệu phân cấp “hạn chế II” hoặc tương tương
1 Các thiết bị được lắp đặt trên tàu sau đây có thể được bỏ quy định về phụ tùng dự trữ với điều kiện là tổng công suất của các máy có đủ khả năng để đạt được công suất liên tục lớn nhất của máy chính hoặc sản lượng hơi lớn nhất của nồi hơi chính và nồi hơi phụ thiết yếu, đồng thời, trên tàu được trang bị hai tổ máy có công suất gần như nhau với công suất của mỗi tổ có đủ khả năng để đạt được tốc độ hành hải được của tàu:
(1) Nguồn áp lực để dẫn động li hợp của thiết bị truyền động để dẫn động chính quy định ở 5.2.4-3.
(2) Bơm thủy lực của cơ cấu điều khiển bước của chân vịt biến bước quy định ở 7.2.2-8.
(3) Bơm cấp dầu đốt quy định ở 13.9.6-1 và -2.
(4) Hệ thống đốt của nồi hơi quy định ở 13.9.7-1 và -2.
(5) Bơm dầu bôi trơn quy định ở 13.10.2-1 và -2.
(6) Bơm nước (dầu) làm mát cho máy chính quy định ở 13.12.1-1 và -2.
(7) Hệ thống nước cấp quy định ở 13.15.1-1 và -2.
2 Không áp dụng yêu cầu trang bị một bộ bơm dự trữ quy định ở các yêu cầu 13.9.6-1(2), 13.10.2-1(2) và 13.12.1-1(3).
3 Không cần áp dụng các yêu cầu quy định ở 15.3.1-4.
4 Đối với các tàu có ký hiệu cấp tàu “hạn chế II” hoặc tương đương, không chạy tuyến quốc tế hoặc có GT dưới 500, thì có thể áp dụng các yêu cầu sau đây thêm vào các yêu cầu ở -1 và -3 trên.
(1) Không cần phải áp dụng các yêu cầu quy định ở 1.3.8 (chỉ đối với tàu không chạy tuyến quốc tế)
(2) Không cần phải áp dụng các yêu cầu ở 1.3.9
(3) Thiết bị thích hợp khác được quy định ở 5.2.4-3 có thể được thay thế bằng các bu lông cố định sự cố cho li hợp để cho phép tàu có thể đạt được tốc độ hành hải.
(4) Thiết bị thích hợp khác được quy định ở 7.2.2-8 có thể được thay thế bằng một thiết bị cố định bước chân vịt cho phép tàu có thể đạt được tốc độ hành hải.
(5) Không cần áp dụng các yêu cầu ở 13.6.1-5, 13.9.1-6 và 13.9.1-7.
(6) Không cần áp dụng các yêu cầu ở 15.1.5.
(7) Các yêu cầu được quy định ở 15.2.4-5 và yêu cầu về thiết bị lái được quy định ở phần sau cùng của 15.2.4-6 không cần thiết phải áp dụng (trừ trường hợp không cần trang bị thiết bị lái phụ phù hợp với các yêu cầu ở 15.2.1-2).
(8) Các yêu cầu về nguồn năng lượng dự phòng được quy định ở 15.2.6 không cần thiết phải áp dụng.
(9) Các yêu cầu ở 15.2.7-1 và -7 không cần thiết phải áp dụng.
(10) Các yêu cầu về sự quá tải đối với mạch điện và các động cơ được quy định ở 15.2.7-5 không cần thiết phải áp dụng.
(11) Phương tiện liên lạc giữa lầu lái và khoang máy lái được quy định ở 15.2.9 có thể được thay thế bằng một phương tiện thích hợp khác.
(12) Không cần phải áp dụng các yêu cầu ở 15.3.1-3.
20.2.2 Các tàu có ký hiệu cấp tàu “hạn chế III” hoặc tương đương
1 Hệ thống giảm chấn được quy định ở 15.4.9 có thể được bỏ qua, bổ sung cho các miễn giảm ở 20.2.1-1 và -2 và -3 trên.
2 Ở các tàu có đường kính trục lái trên nhỏ hơn 120 mm theo 25.1, Phần 2-A của Quy phạm này (được tính với hệ số vật liệu Ks = 1 khi Ks nhỏ hơn 1), thì yêu cầu về thiết bị lái phụ được quy định ở 15.2.1 có thể được bỏ qua, nếu các phụ tùng dự trữ cho các chi tiết có thể bị phá hủy như đệm kín và ổ đỡ được trang bị cho thiết bị lái chính cơ giới và các dây cáp lái dự trữ được trang bị cho thiết bị lái chính được dẫn động bằng tay.
3 Đối với tàu có ký hiệu cấp tàu “hạn chế III” hoặc tương đương, không chạy tuyến quốc tế hoặc có GT dưới 500, thì các yêu cầu sau đây có thể áp dụng bổ sung cho các miễn giảm ở 20.2.1-1 đến -4, 20.2.2-1 và -2.
(1) Bất kể các yêu cầu ở 1.3.1-4, quy định một tổ hoặc một bộ cho mỗi thiết bị được quy định ở 20.2.1-1(1) đến (7) có thể chấp nhận được, với điều kiện là mỗi thiết bị có công suất đủ cho máy chính đạt được công suất liên tục lớn nhất và cho nồi hơi chính và nồi hơi phụ thiết yếu đạt được sản lượng hơi lớn nhất.
(2) Các yêu cầu về bơm vận chuyển dầu đốt được quy định ở 13.9.3 có thể được sửa đổi với một tổ bơm được lai bằng một nguồn năng lượng độc lập.
(3) Bất kể quy định ở 1.3.1-4, các yêu cầu đối với hai máy nén khí khởi động trở lên được quy định ở 13.13-3 có thể được sửa đổi với một máy nén khí khởi động được lai bằng một nguồn năng lượng độc lập.
20.2.3 Các tàu có GT dưới 500
1 Đối với các tàu có GT dưới 500, có thể áp dụng các yêu cầu ở 20.2.1-3 và 20.2.1-4(2) và (5) đến (12). Ngoài ra hệ thống giảm chấn được quy định ở 15.4.9 có thể bỏ đi.
2 Đối với các tàu không chạy tuyến Quốc tế hoặc có GT dưới 500, có thể không cần áp dụng các yêu cầu ở 13.4.1-4.
3 Không cần áp dụng các yêu cầu nêu ở 2.5.4-3 đối với các động cơ Đi-ê-den có công suất liên tục lớn nhất nhỏ hơn 375 kW, và các động cơ Đi-ê-den được lắp đặt tại các khoang khác buồng máy loại A của các tàu không chạy tuyến quốc tế hoặc tàu có GT dưới 500, khi hệ thống đường ống phun nhiên liệu của động cơ được bọc kín thích hợp.
20.3 Phụ tùng dự trữ, dụng cụ và dụng cụ đo cho các tàu có vùng hoạt động hạn chế
20.3.1 Phụ tùng dự trữ, dụng cụ và dụng cụ đo cho các tàu có ký hiệu cấp tàu “hạn chế II”
Phụ tùng dự trữ, dụng cụ và dụng cụ đo cho các máy của tàu có ký hiệu cấp tàu “hạn chế II” có thể tuân theo các yêu cầu ở Bảng 3/20.1. Hơn nữa, đối với các tàu được lắp từ hai động cơ Đi-ê-den hoặc hai tua bin hơi nước trở lên để lai chân vịt và đối với các tàu được trang bị từ hai máy phát điện chính trở lên thì không cần trang bị phụ tùng dự trữ cho các động cơ Đi-ê-den hoặc tua bin lai chân vịt hoặc để dẫn động các máy phát điện chính.
20.3.2 Phụ tùng dự trữ, cho các tàu có ký hiệu cấp tàu “hạn chế III”
Phụ tùng dự trữ, dụng cụ và dụng cụ đo cho các tàu có ký hiệu cấp tàu “hạn chế III” có thể tuân theo các yêu cầu được quy định ở Bảng 3/20.2. Tuy nhiên, đối với các tàu được lắp từ hai động cơ Đi-ê-den hoặc hai tua bin hơi nước trở lên để lai chân vịt hoặc lai máy phát điện chính thì không cần trang bị phụ tùng dự trữ cho chúng.
Bảng 3/20.1 Phụ tùng dự trữ cho tàu hoạt động ở vùng biển hạn chế II
| Vùng hoạt động | Số bảng ở Chương 19 | Hạng mục và loại dự trữ | Số lượng quy định | ||
| Vùng biển hạn chế II | Bảng 3/19.1 | Ống lót xi lanh, nắp xy lanh, pít tông, bánh răng dẫn động trục cam, dụng cụ bôi trơn xy lanh, bơm quét khí (gồm cả tua bin nạp) hệ thống khí quét, bộ giảm tốc, cơ cấu đảo chiều | Bỏ | ||
|
| Bảng 3/19.2 | Ổ trục, hệ thống làm mát pít tông | |||
|
| Các van được lắp trên xi lanh | Van khí khởi động, van an toàn | |||
|
| Van xả khí, vòi phun nhiên liệu | Cho 1 xy lanh | |||
|
| Ổ thanh truyền | Nửa dưới bạc lót đầu nhỏ, nửa trên bạc lót đầu to, mỗi chiếc cho mỗi ổ. | |||
| Bảng 3/19.3 và Bảng 3/19.4 | Tất cả các hạng mục và tất cả các loại | Bỏ | |||
| Bảng 3/19.5 | Kính chỉ mức nước hình trụ | 06 chiếc | |||
| Kính chỉ mức nước kiểu phẳng | 01 chiếc | ||||
| Bảng 3/19.6 | Bơm ly tâm, bơm bánh răng, máy nén khí | Bỏ | |||
| Bảng 3/19.7 | Áp kế tiêu chuẩn | ||||
| Nút ống | Nồi hơi ống nước | 04 chiếc cho mỗi kiểu | |||
| Nồi hơi kiểu khác | 04 chiếc cho toàn bộ | ||||
Bảng 3/20.2 Phụ tùng dự trữ cho tàu hoạt động ở vùng biển hạn chế III
| Vùng hoạt động | Số bảng ở Chương 19 | Các hạng mục và loại dự trữ | Số lượng quy định | |
| Vùng biển hạn chế III | Bảng 3/19.1 và Bảng 3/19.2 | Ổ thanh truyền | Nửa dưới bạc lót đầu nhỏ, nửa trên bạc lót đầu to, một chiếc cho mỗi ổ | |
| Tất cả các hạng mục trừ ổ thanh truyền | Bỏ | |||
| Bảng 3/19.3 và Bảng 3/19.4 | Tất cả các hạng mục và tất cả các loại | |||
| Bảng 3/19.5 | Lò xo van an toàn, đủ bộ cho mỏ đốt dầu | |||
| Kính của dụng cụ chỉ mức nước hình trụ | 3 chiếc | |||
| Kính của dụng cụ chỉ mức nước kiểu phẳng | 1 chiếc | |||
| Bảng 3/19.6 | Bơm li tâm, bơm bánh răng, máy nén khí | Bỏ | ||
| Bảng 3/19.7 | Áp kế tiêu chuẩn | |||
| Nút ống | Nồi hơi ống nước | 2 chiếc cho mỗi kiểu | ||
| Nồi hơi kiểu khác | 2 chiếc cho toàn bộ | |||
MỤC LỤC
Chương 1 Quy định chung
1.1 Quy định chung
1.2 Vật liệu
1.3 Những yêu cầu chung về hệ thống máy tàu
1.4 Thử nghiệm
Chương 2 Động cơ Đi-ê-den
2.1 Quy định chung
2.2 Vật liệu, kết cấu và độ bền
2.3 Trục khuỷu
2.4 Thiết bị an toàn
2.5 Các thiết bị liên quan
2.6 Thử nghiệm
Chương 3 Tua bin hơi nước
3.1 Quy định chung
3.2 Vật liệu, kết cấu và độ bền
3.3 Thiết bị an toàn
3.4 Thử nghiệm
Chương 4 Tua bin khí
4.1 Quy định chung
4.2 Vật liệu, kết cấu và độ bền
4.3 Thiết bị an toàn
4.4 Các thiết bị liên quan
4.5 Thử nghiệm
Chương 5 Hệ thống truyền động
5.1 Quy định chung
5.2 Vật liệu và kết cấu
5.3 Độ bền của bánh răng
5.4 Trục bánh răng và trục mềm
5.5 Thử nghiệm
Chương 6 Hệ trục
6.1 Quy định chung
6.2 Vật liệu, kết cấu và độ bền
6.3 Thử nghiệm
Chương 7 Chân vịt
7.1 Quy định chung
7.2 Kết cấu và độ bền
7.3 Lắp ép chân vịt
7.4 Thử nghiệm
Chương 8 Dao động xoắn hệ trục
8.1 Quy định chung
8.2 Giới hạn ứng suất cho phép
8.3 Vùng vòng quay cấm
Chương 9 Nồi hơi và thiết bị đốt rác
9.1 Quy định chung
9.2 Vật liệu và hàn
9.3 Yêu cầu thiết kế
9.4 Ứng suất cho phép và hệ số bền của mối nối
9.5 Tính các kích thước quy định cho từng cơ cấu
9.6 Cửa quan sát, các lỗ khoét khác, v.v..., và sự gia cường chúng
9.7 Ống
9.8 Nối ghép các bộ phận
9.9 Phụ tùng
9.10 Thử nghiệm
9.11 Kết cấu, v.v..., của nồi hơi nhỏ
9.12 Kết cấu thiết bị hâm dầu
9.13 Thiết bị đốt chất thải
Chương 10 Bình chịu áp lực
10.1 Quy định chung
10.2 Vật liệu và hàn
10.3 Yêu cầu thiết kế
10.4 Ứng suất cho phép, hệ số bền mối nối và lượng dư ăn mòn
10.5 Độ bền
10.6 Các cửa người chui, các lỗ lắp họng để nối phụ tùng, v.v... và việc gia cường chúng
10.7 Nối ghép các bộ phận
10.8 Phụ tùng
10.9 Thử nghiệm
Chương 11 Hàn hệ thống máy tàu
11.1 Quy định chung
11.2 Thử chất lượng quy trình hàn
11.3 Xử lí nhiệt sau hàn
11.4 Hàn nồi hơi
11.5 Hàn bình chịu áp lực
11.6 Hàn ống
11.7 Hàn các bộ phận chính của động cơ dẫn động
Chương 12 Ống, van, phụ tùng ống và máy phụ
12.1 Quy định chung
12.2 Chiều dày ống
12.3 Kết cấu các van và phụ tùng ống
12.4 Nối và uốn ống
12.5 Kết cấu máy phụ và két chứa
12.6 Thử nghiệm
Chương 13 Hệ thống đường ống
13.1 Quy định chung
13.2 Đường ống
13.3 Van hút nước biển và van xả mạn
13.4 Các lỗ thoát nước và các lỗ xả vệ sinh
13.5 Hệ thống đường ống hút khô và dằn
13.6 Ống thông hơi
13.7 Ống tràn
13.8 Ống đo
13.9 Hệ thống dầu đốt
13.10 Hệ thống dầu bôi trơn và hệ thống dầu thủy lực
13.11 Hệ thống dầu nóng
13.12 Hệ thống làm mát
13.13 Hệ thống đường ống không khí nén
13.14 Hệ thống ống hơi nước và hệ thống ngưng tụ
13.15 Hệ thống cấp nước cho nồi hơi
13.16 Đường ống khí thải
13.17 Thử nghiệm
Chương 14 Hệ thống đường ống của tàu chở hàng lỏng
14.1 Quy định chung
14.2 Bơm dầu hàng, hệ thống ống dầu hàng, hệ thống ống trong két dầu hàng, v.v
14.3 Hệ thống đường ống cho buồng bơm dầu hàng, khoang cách ly, và két kề với các két dầu hàng
14.4 Tàu chỉ chở dầu có điểm chớp cháy lớn hơn 60oC
14.5 Hệ thống đường ống cho tàu chở hàng hỗn hợp
14.8 Thử nghiệm
Chương 15 Thiết bị lái
15.1 Quy định chung
15.2 Đặc tính và bố trí thiết bị lái
15.3 Điều khiển
15.4 Vật liệu, kết cấu và độ bền của thiết bị lái
15.5 Thử nghiệm
15.6 Yêu cầu bổ sung cho các tàu chở hàng lỏng, tàu chở xô khí hoá lỏng và tàu chở xô hoá chất nguy hiểm có GT từ 10.000 trở lên và các tàu khác có GT từ 70.000 trở lên
Chương 16 Tời neo và tời chằng buộc
16.1 Quy định chung
16.2 Tời neo
16.3 Tời chằng buộc
Chương 17 Máy làm lạnh và hệ thống điều chỉnh thành phần không khí
17.1 Quy định chung
17.2 Thiết kế máy làm lạnh
17.3 Hệ thống điều chỉnh thành phần không khí
17.4 Thử nghiệm
Chương 18 Điều khiển tự động và điều khiển từ xa
18.1 Quy định chung
18.2 Thiết kế hệ thống
18.3 Điều khiển tự động và điều khiển từ xa máy chính hoặc chân vịt biến bước
18.4 Điều khiển tự động và điều khiển từ xa nồi hơi
18.5 Điều khiển tự động và điều khiển từ xa máy phát điện
18.6 Điều khiển tự động và điều khiển từ xa máy phụ
18.7 Thử nghiệm
Chương 19 Phụ tùng dự trữ, các dụng cụ và đồ nghề
19.1 Quy định chung
19.2 Phụ tùng dự trữ, dụng cụ và đồ nghề
Chương 20 Yêu cầu riêng cho hệ thống máy tàu được lắp đặt trên các tàu có vùng hoạt động hạn chế và các tàu nhỏ
20.1 Quy định chung
20.2 Những yêu cầu được sửa đổi
20.3 Phụ tùng dự trữ, dụng cụ và dụng cụ đo cho các tàu có vùng hoạt động hạn chế
Bạn chưa Đăng nhập thành viên.
Đây là tiện ích dành cho tài khoản thành viên. Vui lòng Đăng nhập để xem chi tiết. Nếu chưa có tài khoản, vui lòng Đăng ký tại đây!




