- Tổng quan
- Nội dung
- Tiêu chuẩn liên quan
- Lược đồ
- Tải về
Tiêu chuẩn Quốc gia TCVN 11297:2016 Cầu đường sắt - Quy trình kiểm định
| Số hiệu: | TCVN 11297:2016 | Loại văn bản: | Tiêu chuẩn Việt Nam |
| Cơ quan ban hành: | Bộ Khoa học và Công nghệ | Lĩnh vực: | Giao thông |
|
Ngày ban hành:
Ngày ban hành là ngày, tháng, năm văn bản được thông qua hoặc ký ban hành.
|
25/07/2016 |
Hiệu lực:
|
Đã biết
|
| Người ký: | Đang cập nhật |
Tình trạng hiệu lực:
Cho biết trạng thái hiệu lực của văn bản đang tra cứu: Chưa áp dụng, Còn hiệu lực, Hết hiệu lực, Hết hiệu lực 1 phần; Đã sửa đổi, Đính chính hay Không còn phù hợp,...
|
Đã biết
|
TÓM TẮT TIÊU CHUẨN VIỆT NAM TCVN 11297:2016
TCVN 11297:2016 - Quy trình kiểm định cầu đường sắt: Các quy định chính ảnh hưởng đến kỹ sư và đơn vị kiểm định
Tiêu chuẩn quốc gia TCVN 11297:2016 về "Cầu đường sắt - Quy trình kiểm định" được ban hành để hướng dẫn quy trình kiểm định các cầu đường sắt mới và đang khai thác, đặc biệt là các cầu thiết kế theo phương pháp trạng thái giới hạn. Tiêu chuẩn này do Cục Đường sắt Việt Nam biên soạn và sẽ có hiệu lực thi hành từ ngày 01/01/2017, thay thế cho 22TCN 258-99.
Tiêu chuẩn này quy định nhiều điểm quan trọng tác động trực tiếp đến kỹ sư và đơn vị kiểm định, cụ thể như sau:
Phạm vi áp dụng rõ ràng: Tiêu chuẩn áp dụng cho các cầu đường sắt trên các tuyến quốc gia và chuyên dùng, nhưng không áp dụng cho cầu hệ dây. Điều này yêu cầu kỹ sư cần có kiến thức vững về các loại cầu khác nhau và cách kiểm định phù hợp.
Quy trình tổng thể kiểm định cầu: Kiểm định phải diễn ra theo các bước chặt chẽ, bao gồm thu thập hồ sơ, khảo sát hiện trạng, thí nghiệm vật liệu, tính toán kiểm định và lập hồ sơ kết quả. Kỹ sư sẽ cần thực hiện các nhiệm vụ này một cách khoa học và hệ thống để đảm bảo hiệu quả kiểm định.
Thông số kỹ thuật tiêu chuẩn: Sử dụng hệ đơn vị đo MKS (Mét-Kilogram-Giây) cho tất cả các tính toán, điều này yêu cầu kỹ sư phải quen thuộc với các đơn vị này để áp dụng chính xác trong thực tiễn.
Các trường hợp cần kiểm định: Gồm tình trạng cầu chung, khả năng thông xe ở các điều kiện bất thường, sau thiên tai hoặc phát hiện hư hỏng. Việc này đảm bảo rằng cầu luôn duy trì trạng thái kỹ thuật an toàn trong quá trình khai thác.
Quy trình thí nghiệm và đo đạc: Kỹ sư phải thực hiện các phép đo chính xác và thí nghiệm mẫu vật liệu để đánh giá khả năng chịu tải của cầu. Tất cả các thông số cần phải ghi chép đầy đủ để so sánh và đánh giá sau này.
Kết luận và báo cáo kiểm định: Sau khi hoàn tất các giai đoạn điều tra, thử tải và thí nghiệm, kết luận kiểm định phải dựa trên phân tích tổng hợp các dữ liệu thu thập. Kỹ sư cần phải đưa ra các kiến nghị cụ thể về khả năng thông xe và giải pháp sửa chữa, nếu cần.
Với việc TCVN 11297:2016 được áp dụng, các đơn vị kiểm định và kỹ sư sẽ có một cơ sở pháp lý vững chắc để thực hiện kiểm định cầu đường sắt, đảm bảo an toàn cho vận tải đường sắt và tăng cường quản lý chất lượng cơ sở hạ tầng giao thông. Tiêu chuẩn này nhấn mạnh tầm quan trọng của công tác kiểm định trong việc đảm bảo an toàn và kéo dài tuổi thọ của cầu đường sắt trên toàn quốc.
TCVN 11297:2016 chính thức có hiệu lực từ 01/01/2017 và thay thế cho tiêu chuẩn trước đó, đảm bảo phù hợp với yêu cầu kỹ thuật và công nghệ hiện đại trong quản lý và bảo trì cầu đường sắt tại Việt Nam.
Tải tiêu chuẩn Việt Nam TCVN 11297:2016
TIÊU CHUẨN QUỐC GIA
TCVN 11297:2016
CẦU ĐƯỜNG SẮT - QUY TRÌNH KIỂM ĐỊNH
Railway bridges - Inspection procedure
Lời nói đầu
TCVN 11297:2016 biên soạn trên cơ sở 22TCN 258-99 - Quy trình kỹ thuật kiểm định cầu đường sắt.
TCVN 11297:2016 do Cục Đường sắt Việt Nam biên soạn, Bộ Giao thông vận tải đề nghị, Tổng cục Tiêu chuẩn Đo lường Chất lượng thẩm định, Bộ Khoa học và Công nghệ công bố.
CẦU ĐƯỜNG SẮT - QUY TRÌNH KIỂM ĐỊNH
Railway bridges - Inspection procedure
1. Phạm vi áp dụng
Tiêu chuẩn này áp dụng để kiểm định các cầu đường sắt xây dựng mới hoặc đang khai thác được thiết kế theo phương pháp trạng thái giới hạn trên các tuyến đường sắt quốc gia và đường sắt chuyên dùng.
Tiêu chuẩn này không được áp dụng cho các cầu hệ dây.
2. Tài liệu viện dẫn
Các tài liệu viện dẫn sau đây rất cần thiết cho việc áp dụng tiêu chuẩn này. Đối với các tài liệu viện dẫn ghi năm công bố thì áp dụng phiên bản được nêu. Đối với các tài liệu viện dẫn không ghi năm công bố thì áp dụng phiên bản mới nhất, bao gồm cả các sửa đổi.
TCVN 5709-2009, Thép các bon cán nóng dùng cho xây dựng - Yêu cầu kỹ thuật;
TCVN 1651-2008, Thép cốt bê tông.
TCVN 3994-85, Chống ăn mòn trong xây dựng kết cấu bê tông cốt thép - Phân loại môi trường xâm thực.
TCVN 4117:1985, Đường sắt khổ 1435mm - Tiêu chuẩn thiết kế và phiên bản chuyển đổi mới nhất của Tiêu chuẩn này;
TCVN 3104:1979, Thép kết cấu hợp kim thấp - Mác thép và yêu cầu kỹ thuật;
3. Thuật ngữ, ký hiệu và định nghĩa
3.1. Các thuật ngữ và định nghĩa chung
Trong tiêu chuẩn này sử dụng các thuật ngữ và định nghĩa sau:
3.1.1. Kiểm định I (Inspection)
Là hoạt động kiểm tra, đánh giá chất lượng hoặc nguyên nhân hư hỏng, giá trị, thời hạn sử dụng và các thông số kỹ thuật khác của bộ phận công trình hoặc toàn bộ công trình thông qua quan trắc, thí nghiệm kết hợp với việc tính toán, phân tích.
3.1.2. Đoàn tầu đơn vị (T-1) / (Standar train (T-1))
Là đoàn tầu lý thuyết có sơ đồ tải trọng như hình dưới đây:

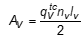
TH1 - khi xét với đường ảnh hưởng dài - Đoàn tầu gồm đầu máy (5 trục, mỗi trụ 1 Tấn, cách đều nhau 1,5m) vào đoàn toa (cách trục cuối đoàn tầu 1,5m và có tải trọng rải đều 0,36 Tấn/m với chiều dài không hạn chế); TH2 - khi xét với đường ảnh hưởng ngắn - Đoàn tầu chỉ gồm đầu máy (3 trục, mỗi trụ 1,1 Tấn, cách đều nhau 1,5m). Các thông tin chi tiết hơn về đoàn tầu đơn vị (T-1) xem thêm trong phần Phụ lục A của Tiêu chuẩn này.
3.1.3. Đẳng cấp bộ phận kết cấu nhịp / (Grade of member of super-structure)
Đẳng cấp của một bộ phận kết cấu nhịp theo một điều kiện tính toán nào đó (cường độ, ổn định, mỏi) là tỷ số giữa nội lực lớn nhất do hoạt tải mà bộ phận đó có thể chịu đựng được với nội lực do tải trọng hoạt tải đoàn tầu đơn vị (T-1) phát sinh trong bộ phận kết cấu đó.
3.1.4. Đẳng cấp kết cấu nhịp / (Grade of super-structure)
Trị số nhỏ nhất trong các số đẳng cấp của các bộ phận kết cấu nhịp.
3.1.5. Đẳng cấp hoạt tải / (Grade of live load)
Tỷ số giữa hoạt tải tương đương của đoàn tàu đang xét với hoạt tải rải đều tương đương của đoàn tàu đơn vị chuẩn T-1, được xét trên cùng một đường ảnh hưởng nội lực đang xét của cấu kiện cầu.
3.1.6. Kiểm định kết cấu phần dưới / (Inspection sub-structure)
Đối với kết cấu phần dưới (mố, trụ, móng, cọc,...): Không áp dụng tính toán đẳng cấp mà chỉ tiến hành tính toán theo các trạng thái giới hạn. Các thông tin chi tiết hơn về kiểm toán kết cấu mố trụ và móng xem thêm trong phần 9 của Tiêu chuẩn này.
3.2. Các ký hiệu, viết tắt và thông số
3.2.1. Các đặc trưng kết cấu
BTCT Bê tông cốt thép;
BLCĐC Bu lông cường độ cao;
BLT Bu lông thường;
3.2.2. Các đặc trưng hình học
A Diện tích mặt cắt nguyên;
Ath Diện tích mặt cắt thu hẹp;
l Chiều dài nhịp, chiều dài cấu kiện;
d Chiều dài khoang dàn;
l0 Chiều dài tự do cấu kiện;
I Mô men quán tính của tiết diện;
I0 Mô men quán tính lấy với trọng tâm của tiết diện;
S Mô men tĩnh của tiết diện;
W Mô men kháng uốn của tiết diện;
y Khoảng cách đến trục trung hoà;
e Độ lệch tâm của lực dọc trục đối với trọng tâm tiết diện;
l Độ mảnh, chiều dài xếp tải;
b Bề rộng phần kết cấu;
h Chiều cao phần kết cấu;
t, d Chiều dày phần kết cấu;
B Khoảng cách tim 2 mặt phẳng dàn chủ; Khoảng cách tim 2 dầm chủ.
3.2.3. Các hiệu ứng tải
ki Tải trọng tương đương đoàn tầu theo sơ đồ Ti;
N Lực dọc trục;
Q Lực cắt;
Mx, My Mô men uốn theo phương x, y;
Mz Mô men xoắn;
s Ứng suất pháp;
t Ứng suất tiếp;
D Chuyển vị;
h Hệ số tổ hợp tải trọng;
e Hệ số phân bố ngang;
g Hệ số giảm cường độ tính toán;
q Hệ số giảm tác động xung kích;
j Hệ số uốn;
f Hệ số ma sát;
x Hệ số ảnh hưởng của lực hãm.
3.2.4. Các đặc trưng vật liệu
R0 Cường độ nén dọc trục;
Ru Cường độ chịu nén khi uốn;
E Mô đun đàn hồi.
3.2.5. Các thông số khác
v Vận tốc tính toán của đoàn tầu;
W Diện tích phần đường ảnh hưởng;
m Hệ số điều kiện làm việc;
r Đặc trưng chu kỳ ứng suất thay đổi,
4. Các quy định chung của công tác kiểm định cầu
4.1. Triết lý tính toán
Các nội dung tính toán khi kiểm định được đề cập trong tiêu chuẩn này xây dựng trên cơ sở phương pháp tính toán, thiết kế theo phương pháp trạng thái giới hạn.
Trong trường hợp cầu kiểm định được thiết kế theo tiêu chuẩn có triết lý thiết kế khác với triết lý thiết kế theo phương pháp trạng thái giới hạn hoặc không được đề cập chi tiết hoặc không nằm trong phạm vi áp dụng của tiêu chuẩn này thì khi tính toán, kiểm định cần tham khảo áp dụng hướng dẫn ở Phụ Lục V và các chỉ dẫn tính toán riêng biệt được áp dụng của công trình đó.
4.2. Đơn vị đo
Trong tiêu chuẩn này sử dụng hệ đơn vị đo MKS (The Meter-Kilogram-Second System of Units). Trong đó, Đơn vị chiều dài: m, cm, mm; Đơn vị khối lượng: T, kg; Đơn vị lực: kG; Đơn vị ứng suất: T/m2, kG/cm2; Đơn vị đo diện tích: m2; đơn vị đo thời gian: s (giây).
Trường hợp đơn vị của các đại lượng khác hệ đơn vị đo MKS thì cần đổi đơn vị theo Phụ lục W với lưu ý giá trị các đại lượng phải lấy tương ứng với đơn vị được chỉ ra cụ thể trong các công thức của tiêu chuẩn này.
4.3. Tổng quan về công tác kiểm định cầu
4.3.1. Các trường hợp cần kiểm định cầu
Công tác kiểm định cầu được thực hiện trong các trường hợp sau:
- Khi cần đánh giá tổng thể chung trạng thái của cầu trên một đoạn tuyến.
- Khi cần xét khả năng thông xe cá biệt qua cầu đối với một loại hoạt tải khác thường so với các hoạt tải khai thác thường xuyên (về tải trọng trục, cự ly trục, tốc độ.v.v...)
- Khi có nghi vấn về khả năng khai thác cầu sau thiên tai (lụt, bão, động đất.v.v...) hoặc tai nạn nào đó (cháy, nổ, va xô.v.v...) làm ảnh hưởng xấu đến cầu.
- Khi phát hiện cầu hoặc bộ phận cầu có những hư hỏng có thể ảnh hưởng đến khả năng khai thác của cầu (tuổi thọ, độ bền.v.v...).
- Khi định kỳ sau một số năm cần đánh giá lại cầu về mọi mặt.
- Khi sửa chữa tăng cường cầu.
- Sau khi kết thúc xây dựng cầu, để đánh giá tổng thể trước khi đưa công trình vào khai thác sử dụng theo yêu cầu của cơ quan có thẩm quyền.
4.3.2. Các công việc chính của đơn vị kiểm định
Các công việc chính của đơn vị kiểm định cầu bao gồm:
- Xây dựng và trình duyệt nhiệm vụ, phương án kỹ thuật kiểm định cầu.
- Thu thập và nghiên cứu hồ sơ cũ (của cầu cần kiểm định).
- Điều tra, đo đạc, khảo sát hiện trạng, thí nghiệm vật liệu cầu cũ.
- Tính toán kiểm định và tính toán phục vụ thử tải nếu cần thiết.
- Thử tải (nếu cần thiết)
- Thí nghiệm trong phòng.
- Tính toán đánh giá năng lực chịu tải của cầu.
- Lập hồ sơ và kết luận.
Tùy từng trường hợp cụ thể giản lược một số giai đoạn hoặc nội dung từng giai đoạn, ví dụ như có thể không thử mà chỉ kiểm toán kết cấu dựa trên các số liệu đo đạc cần thiết (tuân theo nhiệm vụ và phương án kỹ thuật kiểm định được cấp có thẩm quyền - chủ đầu tư dự án, đơn vị quản lý hạ tầng đường sắt, đơn vị khai thác tuyến đường sắt - phê duyệt).
Các đề mục sau (từ 4.3.3 đến 4.3.9) sẽ lần lượt trình bầy tổng quan về nội dung từng công việc chính của đơn vị kiểm định cầu.
4.3.3. Thu thập và nghiên cứu hồ sơ cũ
Phải thu thập mọi hồ sơ kỹ thuật có liên quan đến cầu được kiểm định: hồ sơ thiết kế, hồ sơ hoàn công, hồ sơ quản lý khai thác, hồ sơ các đợt kiểm định, sửa chữa gia cố trước đây, thông tin về thiên tai bão lụt, chiến tranh và các tai nạn khác có liên quan đến cầu.
Cần thu thập và nghiên cứu các hồ sơ của các cầu lân cận hoặc cùng loại trên đoạn tuyến đang xét để đối chiếu tham khảo.
Những trường hợp có điều kiện thủy văn phức tạp cần thu thập và nghiên cứu các hồ sơ về mức nước lũ, lượng mưa và các tham số cần thiết khác lấy từ trạm thủy văn khí tượng của khu vực có cầu.
Để phân tích về tải trọng cần có hồ sơ liên quan đến các đoàn tàu thường xuyên qua cầu, số đôi tàu trong một ngày đêm, tải trọng đầu máy toa xe, tốc độ trung bình và tốc độ lớn nhất cho phép đang khai thác khi tàu qua cầu.
Việc thu thập nghiên cứu hồ sơ cũ là rất quan trọng, đặc biệt đối với phần công trình nằm dưới mặt đất hoặc dưới mức nước quan sát được cũng như các bộ phận kết cấu BTCT. Nội dung, danh sách các hồ sơ tài liệu cần thu thập phục vụ công tác kiểm định và phương pháp thực hiện tham khảo tại điều 5 của tiêu chuẩn này.
4.3.4. Điều tra thị sát
Phải tiến hành điều tra thị sát và ghi chép các mẫu biểu quy định thống nhất. Kết hợp sử dụng phương tiện chụp ảnh, ghi âm nhận xét ở hiện trường để hỗ trợ cho các tài liệu điều tra thị sát.
Công tác này cần được tiến hành định kỳ như kiểm tra định kỳ của đơn vị quản lý cầu và khi cần kiểm định cầu thì phải do các kỹ sư và kỹ thuật viên được đào tạo thực hiện.
Mục đích của công tác điều tra thị sát là nắm được tình trạng mọi mặt của cầu: thủy văn, thủy lực, địa hình, mức độ ảnh hưởng của khí hậu môi trường, tình trạng hư hỏng thực tế, nhận xét quá trình làm việc của công trình ngay cả khi có hoạt tải qua cầu và khi không có hoạt tải qua cầu.
Hồ sơ điều tra khảo sát bao gồm bản vẽ, ảnh chụp bản thuyết minh và nhận xét phân tích các nguyên nhân hư hỏng, dự đoán và đề nghị về việc thực hiện các giai đoạn tiếp theo của công tác kiểm định.
Nội dung của công tác điều tra thị sát công trình được quy định chi tiết tại điều 5 của tiêu chuẩn này.
4.3.5. Đo đạc các thông số kỹ thuật của cầu
Trong hoặc sau khi thị sát cần tiến hành công tác trắc đạc tổng thể cầu các bộ phận kết cấu nhịp, mố trụ để lập bản vẽ tổng thể và bản vẽ các kích thước cấu tạo thực tế của cầu làm cơ sở đối chiếu với hồ sơ cũ và số liệu ban đầu để phục vụ cho việc tính toán lại.
Trường hợp điều kiện thủy văn thủy lực của công trình phức tạp cần tiến hành khảo sát như đối với công trình chuẩn bị được thiết kế mới. Trong đó đặc biệt chú ý đến tình hình thủy văn, thủy lực đã thay đổi nhiều so với thời điểm xây dựng tuyến đường (rừng bị chặt phá đi nhiều, các công trình thủy lợi, thủy điện.v.v... xây dựng sau này).
Cần thiết phải đo đạc tùy thuộc vào tình trạng hư hỏng thực tế của cầu và điều kiện cho phép, trong mọi trường hợp, cũng phải dùng máy trắc đạc có độ chính xác theo yêu cầu để đo; cần phải đo thử cường độ bê tông thực tế bằng các phương pháp phá hoại hoặc không phá hoại mẫu v.v..
Các loại máy đo khác có thể được sử dụng khi cần thiết theo yêu cầu của kỹ sư phụ trách:
- Đo chiều dày lớp bê tông bảo vệ và đo vị trí, số lượng, đường kính cốt thép trong bê lông.
- Đo chiều dày lớp sơn phủ kết cấu thép.
- Đo độ sâu lớp nứt bê tông.
- Đo độ sâu và mức độ cacbonat hóa bê tông.
- Đo vết nứt kim loại.
- Đo chiều dày bản thép.
- Kiểm tra độ chặt của đinh tán, chốt.
- Đo độ võng của kết cấu nhịp cầu.
- Đo mức độ gỉ của một số chi tiết thép điển hình (để có đủ thông tin để tính và chuẩn đoán ở bước sau).
- Xác định mức độ xói lở, các hư hỏng do va xô, v.v..của phần công trình trong nước.
- Các nội dung đo đạc khác.
Nội dung của công tác đo đạc các thông số kỹ thuật công trình được quy định chi tiết tại điều 5 của tiêu chuẩn này.
4.3.6. Thí nghiệm vật liệu
Để phục vụ tính toán cần có các thí nghiệm mẫu thử vật liệu bê tông, thép, cốt thép lấy ra từ kết cấu thực của cầu. Điều này đặc biệt quan trọng đối với các cầu lớn, cầu quá cũ.
Các thí nghiệm trong phòng thí nghiệm nhằm xác định các đặc trưng cơ lý của vật liệu. Khi cần thiết có thể làm các thí nghiệm về ăn mòn và các thí nghiệm kim tương.
4.3.7. Tính toán kiểm định và phục vụ thử tải (nếu cần thiết) trước và sau khi thử cầu
Việc tính toán bao gồm hai giai đoạn:
a) Tính toán trước khi đo thử cầu
Căn cứ theo các số liệu điều tra khảo sát để tính toán về cầu theo hạng mục sau:
- Tính toán thủy văn, thủy lực (nếu cần thiết);
- Tính toán ứng suất và biến dạng của các chi tiết chủ yếu của kết cấu nhịp hoặc của các bộ phận có hư hỏng. Kết quả này sẽ dùng để so sánh với kết quả đo thử tải sau này;
- Tính toán các ứng suất, biến dạng của các bộ phận mố trụ (lún, nghiêng, lệch, v.v...);
- Tính toán chu kỳ dao động của kết cấu nhịp.
Khi tính toán có thể xét với nhiều hoạt tải khác nhau trong đó chú trọng xét hoạt tải đoàn tàu thực tế. Giả thiết kết cấu làm việc trong giai đoạn đàn hồi, hệ số xung kích (1+m) và hệ số phân bố ngang tạm thời lấy theo Quy trình được áp dụng để thiết kế xây dựng công trình. Diện tích chịu lực đã trừ diện tích ăn mòn của các bộ phận thép, bê tông và cốt thép - trường hợp bị lộ, ăn mòn cốt thép - được lấy theo điều tra khảo sát. Khi nghi ngờ có thể đưa ra vài giả định khác nhau để tính toán xem xét chung.
b) Tính toán sau khi đo thử cầu
Sau khi đo thử cầu phải phân tích số liệu đo để rút ra các trị số thực tế và hệ số phân bố ngang hoạt tải, hệ số xung kích (1+m) ...Tiến hành tính toán lại với các trị số thực này. So sánh các trị số ứng suất, biến dạng, chuyển vị tính toán với số thực đo dưới cùng loại hoạt tải để phân tích hiệu chỉnh lại các giả thiết tính toán (đặc biệt là diện tích chịu lực của cấu kiện) cho kết quả tính toán lại phù hợp với kết quả đo ở mức độ nhất định.
Việc hiệu chỉnh các giả thiết này phải dựa trên cơ sở đánh giá toàn diện các mặt. Có thể tính với vài phương án giả thiết khác nhau để phân tích xem xét và kết luận.
Sau khi tính lại với tải trọng khai thác thường xuyên hoặc tải trọng thử cầu để hiệu chỉnh các giả thiết và số liệu tính toán, cần tiến hành tính toán theo các trạng thái phá hoại về cường độ, về mỏi, về ổn định vị trí và ổn định hình dáng để đánh giá khả năng chịu lực giới hạn của cầu. So sánh chúng với các nội lực đo tải trọng cần xét gây ra để kết luận về khả năng thông xe của cầu.
Một số trường hợp phải xét các bài toán riêng về tính toán động học, về tính toán trượt sâu của móng mố trụ cầu, v.v...
4.3.8. Thử tải cầu
Có hai trường hợp thử tải cầu:
a) Đo thử tải cầu với hoạt tải tầu khai thác qua cầu
Đây là trường hợp khi đi điều tra khảo sát với một số loại máy móc đơn giản để tiến hành đo thử một vài tham số kỹ thuật chủ yếu dưới hoạt tải khai thác thường xuyên mà không ảnh hưởng đến thông xe bình thường: Đo dao động, ứng suất...
Phương pháp đo là đặt các máy đo để đo với một hoạt tải ngẫu nhiên qua cầu làm số liệu tham khảo kiểm chứng kết quả đo tĩnh sau này hoặc là xác định các đáp ứng của cầu như tần số riêng của kết cấu nhịp...
Những tham số đo là những tham số phải được tính toán bao gồm các ứng suất, biến dạng, đặc trưng dao động, chuyển vị của các bộ phận kết cấu nhịp và mố trụ.
Mục tiêu của việc đo thử tải cầu trong điều kiện hoạt tải tầu đang khai thác qua cầu là để xác định các thông tin về: dao động, ứng suất,... qua đó đánh giá có phải bắt buộc phải đo thử tải cầu với hoạt tải riêng biệt như quy định tại mục b dưới đây hay không.
Kết quả tính toán sẽ được so sánh với kết quả đo đạc để tổng hợp, phân tích đánh giá trạng thái cầu dưới tải trọng tầu khai thác qua cầu.
b) Đo thử tải cầu với hoạt tải dự kiến riêng để thử cầu
Đây là trường hợp khi có yêu cầu đặc biệt hoặc khi thử tải cầu trong trường hợp quy định ở mục a trên đây mà kết luận phải tiến hành cần thử tải cầu với hoạt tải dự kiến riêng.
Để dùng cách đo này phải tổ chức hoạt tải thử cầu có các tham số kỹ thuật được dự kiến trước và khi thử cầu sẽ ảnh hưởng đến biểu đồ chạy tàu khai thác trên tuyến.
Hoạt tải thử cầu phải được giả thiết và tính toán trước sao cho phù hợp với trạng thái kỹ thuật thực tế của cầu. Để đảm bảo an toàn cho cầu cũng như đảm bảo mức độ chính xác đo đạc, cũng như phù hợp với các trường hợp thử tải, tải trọng thử sẽ được xác định như sau:
- Trường hợp cầu đang khai thác: hoạt tải thử cầu phải chọn để gây ra nội lực trong khoảng từ 70% đến 80% nội lực do hoạt tải đang được cho phép khai thác qua cầu.
- Trường hợp cầu xây dựng mới: hoạt tải thử cầu phải chọn để gây ra nội lực trong khoảng từ từ 80% đến 100% tải trọng thiết kế đối với cầu xây dựng mới (không xét hệ số tải trọng và hệ số xung kích).
- Trường hợp đặc biệt: cầu phát hiện có dấu hiệu xuống cấp, hư hỏng bất thường do thiên tai, tai nạn giao thông giá trị hoạt tải thử nói trên có thể điều chỉnh trên nguyên tắc không được gây ra nguy hiểm cho bất cứ bộ phận nào của cầu (tổng thể và cục bộ). Nếu cần thiết, khi các cách tính thử không chắc chắn hoặc cầu quá yếu thì có thể cho nâng cấp tải trọng thử dần từ thấp lên cao để có được giá trị hoạt tải thử hợp lý.
Nội lực của các bộ phận chịu lực chính của cầu biết được thông qua tính toán và kiểm toán thử dựa trên số liệu hồ sơ khảo sát cầu.
Trước khi đo thử tải phải lập đề cương kiểm định và trình duyệt ở cấp có thẩm quyền xem xét phê duyệt.
Quy mô của việc đo thử tải cầu được quyết định căn cứ vào trạng thái kỹ thuật của cầu và mục đích cụ thể của công tác kiểm định được thể hiện trong đề cương kiểm định cầu.
Thông thường phải đo ứng suất ở các mặt cắt nguy hiểm nhất, độ võng ở giữa nhịp, chu kỳ dao động, độ lún và chuyển vị của gối cầu, của thân và của mũ mố trụ, độ mở rộng vết nứt nguy hiểm nhất trên kết cấu thép hoặc bê tông cốt thép, bê tông dự ứng lực.
4.3.9. Phân tích kết quả
Mỗi hạng mục công tác nói trên đều phải phân tích kết quả thu được riêng rẽ và đối chiếu so sánh với nhau. Từ đó kết luận về tình trạng kỹ thuật của toàn cầu nói chung và từng bộ phận cầu nói riêng về các mặt:
- Tình trạng cầu dưới tác dụng của dòng nước.
- Khả năng thoát lũ của khẩu độ cầu.
- Khả năng thông xe của cầu: loại hoạt tải, tốc độ hạn chế.
- Kiến nghị về các giải pháp kỹ thuật để đảm bảo thông xe an toàn.
- Kiến nghị về chế độ khai thác cầu tiếp tục.
- Đề xuất giải pháp sửa chữa, tăng cường nếu cần thiết.
4.4. Phân tích tổng thể công trình cầu
Sau khi thực hiện các nội dung công việc trong điều 4.3 trên, có thể đưa ra các dự đoán về tuổi thọ còn lại của kết cấu nếu vẫn giữ nguyên điều kiện khai thác, kiến nghị về chế độ khai thác công trình một cách hợp lý, về quy mô cần đầu tư sửa chữa và gia cố cầu hoặc kiến nghị xây dựng mới nhằm đảm bảo Điều kiện khai thác sau này.
4.5. Các vấn đề cần tính toán
4.5.1. Xét công trình dưới tác dụng của dòng nước
Bao gồm các tính toán cơ bản sau:
- Tính toán lại mức nước thiết kế, lưu lượng tính toán với tần suất p% dự kiến theo yêu cầu tuổi thọ còn lại phải có của cầu (ví dụ: 1%, 2%, 4%, 5%, 10%...).
- Tính toán lại khẩu độ thoát nước cần thiết trên cơ sở tình hình thủy văn, thủy lực đã thay đổi nhiều so với thời điểm xây dựng tuyến đường (rừng bị chặt phá đi nhiều, các công trình thủy lợi, thủy điện v.v.. xây dựng sau này) và dự kiến cho tương lai theo yêu cầu về tuổi thọ còn lại phải có của cầu.
- Tính toán xói chung và xói cục bộ.
- Trường hợp đặc biệt tính toán có thể bổ sung thêm các nội dung sau:
+ Ảnh hưởng của nước dềnh, ảnh hưởng của thủy triều, của đập nước phía thượng lưu hoặc hạ lưu gần cầu.
+ Sự thay đổi của dòng chủ.
+ Công trình cầu trong thời gian bão lụt gây ngập.
4.5.2. Tính toán kết cấu dưới tác dụng tải trọng khai thác và tải trọng thử cầu
Tính toán dựa trên giả thiết vật liệu làm việc trong giai đoạn đàn hồi
Kiểm toán các kết cấu cầu dưới các tải trọng khai thác về ứng suất, nứt, võng, dao động, chuyền vị tối đa và kiểm soát kết cấu về mỏi.
So sánh kết quả tính toán trước và sau khi thử tải cầu để điều chỉnh lại các giá trị, thông số đặc trưng hoặc các giả thiết, phương pháp tính toán.
4.5.3. Tính toán các kết cấu nhịp và nền móng cầu dưới tác dụng của tải trọng tính toán
Khi có đều kiện sưu tập các tài liệu địa chất hoặc có thể tiến hành khoan khảo sát địa chất trong quá trình kiểm định cầu, phải sử dụng các thông số địa chất này trong quá trình tính toán công trình. Khi không có thông tin về địa chất, có thể tham khảo các thông số trong các quy trình, quy phạm tham khảo hiện hành.
Xét kết cấu nhịp và nền móng ở trạng thái cực hạn về ổn định vị trí, ổn định hình dáng, về cường độ theo các yếu tố lực do các tổ hợp tải trọng tính toán gây ra.
Xác định nội lực giới hạn và tải trọng giới hạn lớn nhất đối với kết cấu nhịp hoặc nền móng của cầu.
Trong các tính toán có xét đến đầy đủ các hệ số về tải trọng, về vật liệu, các hệ số điều kiện làm việc.
4.5.4. Tác động xâm thực của môi trường
Các tính toán này phải dựa trên các kết quả thí nghiệm hiện trường và trong phòng về tốc độ ăn mòn vật liệu thép và bê tông, bê tông cốt thép trong môi trường xâm thực của cầu, tốc độ cacbonat hóa bê tông.
Mục đích của tính toán này là dự báo về tuổi thọ còn lại của các bộ phận kết cấu cầu bị ảnh hưởng nghiêm trọng nhất về ăn mòn, kết cấu nhịp thép, bê tông cốt thép, kết cấu mố trụ, cọc thép trong móng mố trụ cầu. Từ các số liệu thí nghiệm tính toán, đề xuất các giải pháp sửa chữa, tăng cường cầu nếu cần.
Những cầu hoặc bộ phận cầu đã chịu ảnh hưởng của tai nạn cháy, nổ và chiến tranh cần tính toán để cung cấp thêm các căn cứ đánh giá trạng thái kỹ thuật của cầu cũng như dự báo tuổi thọ còn lại của cầu.
4.5.5. Tính toán đẳng cấp của cầu và đoàn tàu
Để có nhận xét chung về khả năng thông tầu của cả một đoạn tuyến đường sắt cần tính toán đẳng cấp tất cả các cầu trên đoạn tuyến đó.
Căn cứ vào việc so sánh giữa đẳng cấp của cầu và đẳng cấp của hoạt tải thực tế để kết luận về khả năng thông xe qua cầu của hoạt tải thực tế đó.
4.5.6. Kết cấu tầng trên của đường sắt
Các bộ phận ray, tà vẹt, liên kết ray với tà vẹt, bản bê tông cốt thép mặt cầu trần hoặc mặt cầu máng đá ba lát đặt trên các kết cấu nhịp thép và bê tông cốt thép nói chung không cần kiểm định nếu đã dùng các cấu tạo được tiêu chuẩn hóa. Trong trường hợp kết cấu tầng trên của cầu không đảm bảo quy trình thiết kế hiện hành hoặc không đảm bảo điều kiện khai thác an toàn thì cần chỉ rõ những vi phạm và đưa ra những kiến nghị sửa chữa tương ứng.
Trường hợp đặc biệt cần kiểm định thì phải theo nguyên tắc chung như đối với đường sắt trên tuyến ở phạm vi ngoài cầu.
4.5.7. Kết cấu mặt đường ô tô
Kết cấu bản bê tông cốt thép hoặc kết cấu gỗ đặt trên kết cấu nhịp thép, kết cấu bê tông cốt thép hoặc thép dùng làm mặt cầu cho ô tô chạy được kiểm định theo quy định của Tiêu chuẩn / Quy trình kiểm định cầu ô tô có hiệu lực hiện hành.
4.6. Tổ chức công tác kiểm định cầu
4.6.1. Các dạng công tác kiểm định
Tùy theo trạng thái thực tế của công trình và yêu cầu thông xe có thể chọn mức độ và quy mô kiểm định như sau:
- Điều tra khảo sát (bao gồm cả đo đạc các thông số kỹ thuật cầu), thu thập hồ sơ cũ.
- Tính toán khả năng chịu tải của cầu.
- Hoặc bao gồm hai nội dung đầu, bổ sung thêm việc thử tải của cầu dưới tải trọng khai thác thường xuyên.
- Hoặc bao gồm hai nội dung đầu, bổ sung thêm việc thử tải cầu dưới dạng hoạt tải dành riêng để thử cầu.
4.6.2. Tổ chức đoàn hoạt tải dành riêng để thử tải
Tổ chức đoàn hoạt tải dành riêng để thử tải cầu cần lưu ý:
- Đầu máy và từng toa xe phải có số liệu về các tải trọng trục, cự ly trục.
- Các yêu cầu về an toàn trong khu gian lúc thử cầu.
Mỗi sơ đồ đặt hoạt tải đứng yên trên cầu được thực hiện lặp 3 lần.
Mỗi tốc độ qua cầu thực hiện tối thiểu 1 lần phục vụ cho việc đo động.
4.6.3. Các thiết bị cần thiết để kiểm định cầu
Các thiết bị, máy móc sử dụng đo đạc kiểm định cầu phải được căn chỉnh chính xác thường xuyên và được chứng nhận đảm bảo chất lượng, được phép sử dụng theo quy định hiện hành trước khi kiểm định.
Danh điều các thiết bị thường có cho một đợt kiểm định thông thường ở hiện trường:
- Thiết bị đo chuyển vị- độ chính xác 0,01 mm và 0,1 mm.
- Tenxomet cơ học có cơ sở đo 100 mm, 200 mm và 300 mm.
- Thiết bị đo biến dạng tĩnh và động.
- Súng bật nảy thử cường độ bê tông.
- Thiết bị siêu âm dò khuyết tật bê tông, kim loại.
- Thiết bị đo dao động.
- Thước thép 50 m, 30 m, 10 m, 5 m, 3 m, 2 m.
- Dụng cụ đo chiều dày bản thép.
- Kính lúp đo độ phóng đại đạt yêu cầu.
- Các thiết bị cần thiết khác do Chủ đầu tư yêu cầu được thể hiện trong đề cương kiểm định và phương án kỹ thuật kiểm định được phê duyệt.
4.7. Yêu cầu về nội dung và kết luận của hồ sơ kiểm định
4.7.1. Các căn cứ để kết luận
Kết luận kiểm định được đưa ra trên cơ sở phân tích so sánh chung các kết quả của tất cả các hạng mục công tác đã thực hiện: thị sát, điều tra, đo đạc, tính toán lại, đo thử tải cầu, thí nghiệm hiện trường và thí nghiệm trong phòng. Trong đó coi trọng kết quả điều tra, đo đạc thử tải và thí nghiệm.
Nếu kết quả công tác điều tra, thử tải, thí nghiệm mẫu với kết quả tính toán lại và các điều kiện thí nghiệm thử tải đảm bảo chính xác và hợp lý thì kết luận dựa trên kết quả điều tra, thử tải và thí nghiệm.
4.7.2. Các vấn đề cần phải kết luận và đề nghị
Được sắp xếp theo thứ tự ưu tiên như sau:
- Khả năng thông xe của đoàn hoạt tải yêu cầu xét (nêu trong nhiệm vụ kiểm định cầu) tốc độ cho phép.
- Những hậu quả cần lưu ý nếu cho thông xe loại tải trọng trên. Sự tiến triển dự đoán của các hư hỏng đã có và có thể xuất hiện khi thông xe.
- Những yêu cầu phải thực hiện về tổ chức khai thác để đảm bảo thông xe loại hoạt tải nói trên.
- Đẳng cấp của các bộ phận kết cấu và đẳng cấp của cầu (có thể vẽ biểu đồ nếu có yêu cầu). Đẳng cấp của hoạt tải được xét.
- Tình trạng tổng thể cầu dưới tác dụng của dòng nước.
- Khả năng thoát lũ của khẩu độ cầu.
- Phân loại đẳng cấp của các bộ phận của cầu.
5. Điều tra và đo đạc cầu cần kiểm định
5.1. Mục đích, nội dung công tác điều tra và đo đạc cầu
Công tác điều tra và đo đạc công trình cầu cần kiểm định nhằm mục đích thu thập, tổng hợp các dữ liệu về công trình để làm cơ sở cho các công việc tính toán các bộ phận của công trình hay tổng thể công trình dưới tác dụng của các tác động hiện hữu và lịch sử. Từ đó đưa ra phân tích mọi mặt, đánh giá chi tiết và tổng quan nhằm đưa ra những đề xuất ban đầu phục vụ cho công tác kiểm định, thử tải cũng như những yêu cầu sửa chữa cần thiết để đảm bảo khả năng khai thác công trình an toàn và bền vững.
Nội dung công tác điều tra và đo đạc cầu bao gồm:
- Điều tra, thu thập, nghiên cứu các số liệu, tài liệu có liên quan.
- Điều tra tổng thể cầu.
- Đo đạc hình học:
+ Đo vẽ mặt bằng.
+ Đo cao độ;
+ Điều tra, đo đạc kết cấu phần dưới;
+ Điều tra, đo đạc kết cấu phần trên và hệ mặt cầu;
+ Điều tra kiến trúc tầng trên trên cầu;
+ Điều tra, đo đạc liên kết;
+ Điều tra, đo đạc gối cầu;
+ Điều tra khe co giãn;
+ Điều tra đường đầu cầu;
- Điều tra, đo đạc, đánh giá chi tiết tình trạng hư hỏng, khuyết tật các bộ phận công trình.
- Xác định hệ số phân phối ngang.
- Điều tra, đo đạc biến dạng, chuyển vị, dao động kết cấu.
- Lấy mẫu và thí nghiệm vật liệu.
- Điều tra, khảo sát địa chất (nếu cần).
- Điều tra ảnh hưởng của môi trường.
- Phân cấp sơ bộ trạng thái kỹ thuật cầu.
5.1.1. Điều tra, thu thập, nghiên cứu các số liệu, tài liệu có liên quan
Yêu cầu thu thập tối đa mọi hồ sơ lưu trữ có liên quan đến lịch sử xây dựng cầu như sau:
- Hồ sơ thiết kế:
+ Những thông tin về quy trình thiết kế và nội dung thiết kế (quy mô, mục tiêu, tiêu chuẩn kỹ thuật, giải pháp thiết kế v.v...).
+ Hồ sơ khảo sát địa hình, địa chất.
+ Những mô tả, đánh giá hiện trạng công trình trước khi thiết kế.
+ Các bản vẽ thiết kế.
+ Các bảng tính thủy văn, khẩu độ.
+ Các bảng tính kết cấu nhịp, mố trụ.
+ Các biên bản kiểm tra xử lý hiện trường, biên bản bàn giao công trình đưa vào sử dụng.
- Hồ sơ hoàn công:
+ Các hồ sơ hoàn công của những lần xây dựng, gia cố sửa chữa đã có.
+ Sổ nhật ký thi công.
+ Bản vẽ hệ thống cọc mốc.
+ Các văn bản nghiệm thu chất lượng thi công, đặc biệt đối với các bộ phận công trình ẩn giấu trong đất, trong nước, trong bê tông, mác bê tông, mác thép.
- Thu thập các tài liệu về mố, trụ, cọc, dầm qua các thời kỳ gia cố sửa chữa (duy tu, bảo dưỡng sửa chữa thường xuyên, sửa chữa vừa, sửa chữa lớn) và nâng cấp.
- Thu thập tài liệu, sổ sách theo dõi, quản lý của các cơ quan có thẩm quyền. Điều tra những hư hỏng về kết cấu do chiến tranh, lũ lụt, trong quá trình sử dụng, các sự cố công trình và giải pháp khắc phục.
- Hồ sơ thử tải cầu lúc mới xây dựng xong (nếu có) và các tài liệu kiểm định thử tải cầu kỳ trước, các kết luận. Đặc biệt chú ý đến các bộ phận công trình ẩn dấu trong đất, trong nước, trong lòng bê tông.
- Các loại đầu máy, toa xe và đoàn tàu đã được cho qua cầu trong những khoảng thời gian khác nhau. Vẽ lại sơ đồ đặt tải trọng đó.
- Tốc độ khai thác lớn nhất và bình quân của các loại hoạt tải nói trên.
Khi điều tra về lịch sử khai thác cầu, cần đặc biệt lưu ý điều tra về các tai nạn nói trên: thời gian xảy ra, nguyên nhân, diễn biến, hậu quả hư hỏng, các công tác khắc phục đã làm.
Trên cơ sở đó kết hợp phân tích các nguyên nhân hư hỏng của những phần quan sát được và ngoại suy về các hư hỏng có thể có của những phần ẩn dấu trong đất, trong nước do hậu quả của những tai nạn nói trên và định hướng đo đạc tiếp hoặc kiến nghị về điều kiện khai thác tiếp cầu. Đối với các cầu nằm ở trong khu vực đã từng xảy ra động đất cần điều tra về hậu quả của động đất đối với cầu và các công trình gần đó.
Khi điều tra thấy có nghi ngờ cần thu thập thêm các số liệu đặc biệt phục vụ việc kiểm toán cầu dưới tác dụng của động đất, sụt lở núi lớn.
Sau khi thu thập, phải tiến hành tổng hợp dữ liệu về cầu cần kiểm định, đưa ra những kiến nghị cho công tác kiểm định thử tải công trình.
5.1.2. Điều tra tổng thể cầu
Quá trình điều tra cầu được chia làm hai giai đoạn:
- Giai đoạn điều tra sơ bộ (thị sát): chủ yếu bằng mắt thường quan sát và nhận xét, có thể kết hợp với một số phép đo đơn giản, dễ thực hiện.
- Giai đoạn điều tra chi tiết: Nếu kết quả điều tra ở giai đoạn đầu cho thấy cầu đã bị hư hỏng hoặc cần thiết phải điều tra kỹ hơn thì lập kế hoạch và tiến hành giai đoạn điều tra chi tiết, có sử dụng các loại máy đo chuyên dụng chính xác.
Công tác điều tra tổng thể cầu có liên quan đến tất cả các thông tin thu thập được trong giai đoạn thị sát cũng như trong giai đoạn điều tra chi tiết về lịch sử xây dựng và khai thác cầu.
Kết quả của việc điều tra tổng thể cầu là các nhận xét chung về chất lượng cầu, đặt ra những nội dung nào cần điều tra kỹ hơn, kế hoạch điều tra chi tiết, các nội dung cần tính toán đo đạc.
5.1.3. Đo đạc hình học
Đo đạc và lập lại các bản vẽ mặt bằng, trắc dọc cầu, sơ đồ võng tĩnh kết cấu, các mặt cắt ngang thực tế của cầu nói chung, cấu tạo của từng bộ phận trong kết cấu nhịp, mố trụ, móng, đường đầu cầu, các công trình phụ khác.
Phải so sánh các tài liệu mới đo vẽ này với các tài liệu thiết kế hoặc hoàn công, các tài liệu kiểm định cũ để đánh giá vị trí chính xác của các bộ phận cầu trong không gian, chất lượng cầu, các nguyên nhân hư hỏng, sự chuyển vị hay biến dạng của các bộ phận cầu theo thời gian.
Các số liệu đo đạc sẽ dùng cho việc tính toán lại các bộ phận của cầu.
5.1.3.1. Đo vẽ mặt bằng
Đo vẽ mặt bằng tổng thể công trình
Yêu cầu đo vị trí các điểm đặc trưng để có thể đo vẽ đúng hình dạng thực tế cơ bản của từng mố trụ trên mặt bằng.
Khi đo vẽ cần đối chiếu với các hồ sơ lưu trữ để nhận xét. Đối với đường đầu cầu chỉ cần vẽ sơ họa và mô tả, nếu có đường cong cần thể hiện đầy đủ các yếu tố đường cong và lý trình các điểm tiếp đầu, tiếp cuối đường cong.
Đường tim dọc của mố trụ phải được đánh dấu sơn lên 2 mép mũ của chúng và phải đo được cự ly chênh lệch giữa chúng và tim kết cấu nhịp theo phương dọc và phương ngang cầu (đồng thời thể hiện lên bản vẽ điều tra đo đạc cầu).
Đo vẽ tổng thể để xác định được vị trí của các bộ phận cầu, và các bộ phận khác qua cầu (như đường ống nước... có ảnh hưởng đến sự làm việc của kết cấu) trên mặt bằng.
Đo vẽ mặt bằng mố, trụ cầu.
Đo vẽ, thể hiện vị trí các công trình lân cận có ảnh hưởng đến công trình.
Đo vẽ, thể hiện vị trí đường bộ, đường dân sinh dưới cầu, chú ý ghi chú rõ nếu có hiện tượng hư hỏng của kết cấu cầu dưới tác động của các phương tiện giao thông đường bộ.
Đo vẽ mặt bằng kết cấu nhịp
Để đo vẽ mặt bằng kết cấu nhịp và đường ray trên đó cũng như của mố trụ và đường đầu cầu phải dùng máy kinh vĩ có sai số không quá ±15”0, thước thép, máy đo dài kiểu ánh sáng....
Quy ước coi trục dọc kết cấu nhịp là đường đi qua điểm giữa hai dầm ngang đầu nhịp. Tuy nhiên vẫn phải thể hiện điểm giữa hai dầm ngang còn lại, tim các dàn chủ thượng lưu, hạ lưu, tim các cuống dầm BTCT.
Đo vẽ chiều dài cầu (khoảng cách đuôi tường cánh 2 mố, đuôi tường che 2 mố, mép trước che 2 mố, tim 2 gối mố, đầu dầm trên 2 mố, khe hở đầu dầm và tường che các mố). Phải xác định lý trình mép trước tường che 2 mố.
Đo vẽ chiều dài kết cấu nhịp của mỗi nhịp, cự ly đầu nhịp đến tim trụ đỡ nhịp ấy.
Đo vẽ chiều dài nhịp tính toán của mỗi nhịp, cự ly đầu nhịp đến tim gối tại đầu ấy.
Mặt bằng của kết cấu nhịp dàn thường được vẽ theo vị trí tâm các nút dàn ở cao độ có mặt phẳng phần xe chạy. Khi có điều kiện nên đo cả hai mặt bằng của hai mặt phẳng biên trên và biên dưới của dàn. Từ đó sẽ phân tích mức độ biến dạng ngang của kết cấu dưới tác dụng của tĩnh tải.
Sau khi đo vẽ mặt bằng của dầm chủ nếu phát hiện thấy các chỗ sai lệch đột ngột của các nút dàn riêng lẻ nào đó so với vị trí thiết kế của nó thì cần điều tra kỹ, bổ sung ngay về tình trạng hệ liên kết dọc và hệ liên kết ngang của dàn chủ.
Khi điều tra phát hiện ra các sai lệch lớn của vị trí các bộ phận kết cấu nhịp trên mặt bằng thì cần kiểm toán sự ảnh hưởng của các sai lệch đó đến điều kiện chịu lực (sự quá tải) của các bộ phận kết cấu. Riêng đối với cầu dàn đường xe chạy dưới thì phải kiểm tra thêm về khổ giới hạn xe chạy.
Đo vẽ xác định vị trí của các bộ phận khác như tim đường người đi, sàn tránh tàu, đường ống nước... trên cầu để thể hiện lên mặt bằng kết cấu nhịp.
5.1.3.2. Đo cao độ
Phải đo đạc bằng các loại máy cao đạc có độ chính xác cao và đảm bảo sai số quy định của quy trình khảo sát hiện hành.
Những cầu qua điều tra phát hiện đang có biến dạng lớn và có nhiều nghi vấn về nghiêng lún, dịch chuyển, vặn xoắn v,v... cần dùng máy cao đạc có độ chính xác cao với sai số trung phương không quá ±5 mm trên 1 km để cao đạc.
Phải có ít nhất 2 lần từ các cọc mốc khác nhau để giảm sai số. Trong sổ cao đạc cần ghi rõ điều kiện đo: thời tiết, nhiệt độ, khí quyển.v.v...
Các vị trí đặt mia phải được đánh dấu sơn đỏ và ghi chú trong bản vẽ cũng như bản thuyết minh công tác cao đạc. Mia phải được gián dấy kẻ ly.
Đối với dàn chủ cần cao đạc ở dàn thượng lưu, dàn hạ lưu. Mia phải được đặt tại các vị trí tương ứng của nút dàn đánh dấu trước bằng sơn đỏ. Ví dụ cùng đặt mia trên các tấm nằm ngang của bản cánh các dầm ngang bản nút dàn.
Đối với dầm bê tông cốt thép ít nhất cao đạc tại 3 mặt cắt đặc trưng (giữa nhịp, trên gối). Trong mỗi mặt cắt phải cao đạc 2 điểm trên mặt dầm của phía thượng lưu và phía hạ lưu.
Nếu tại các chỗ dự định đặt mia trên kết cấu nhịp thép mà số lượng tấm bản thay đổi khác nhau hoặc có bản đệm khác nhau thì phải ghi chú để xử lý kết quả đo sẽ quy đổi theo cùng một mức chuẩn.
Phải cao đạc mọi dàn chủ, dầm phần xe chạy, bệ kê gối, đỉnh hai ray chính ở các điểm đặc trưng phía thượng lưu và phía hạ lưu được chọn trước.
Kết quả cao đạc phải được vẽ thành bản vẽ trắc dọc. Phải vẽ chập từng cặp các bộ phận giống nhau của phía hạ lưu và phía thượng lưu để phân biệt nhận xét sự biến dạng của kết cấu.
Căn cứ vào trắc dọc và mặt bằng đã đo vẽ được có thể đưa ra những nhận xét trên cơ sở những gợi ý sau đây:
- Hình dạng đều đặn của trắc dọc có độ vồng xây dựng chứng tỏ là kết cấu nhịp chất lượng tốt.
- Hình dáng nhấp nhô, gãy khúc của trắc dọc có thể là do sai sót lúc thi công chế tạo và lúc lắp dựng kết cấu nhịp, hoặc do biến dạng quá mức trong quá trình khai thác cầu.
Nếu có các tài liệu đo vẽ cũ tương tự thì phải so sánh để xem nếu có sự chênh lệch quá lớn giữa các lần đo thì cần tìm nguyên nhân và đề xuất cách khắc phục. Nếu chênh lệch ít cũng cần phân tích nguyên nhân và đánh giá khả năng khai thác cầu tiếp tục.
5.1.4. Điều tra, đo đạc kết cấu phần dưới
Đo vẽ cấu tạo mố, trụ, móng. Điều tra đánh giá các hư hỏng, vết nứt, nghiêng lún, xói lở, khuyết tật. So sánh kết quả đo vẽ với các hồ sơ, tài liệu đã thu thập được. Điều tra và phân tích đánh giá nguyên nhân hư hỏng.
5.1.5. Điều tra, đo đạc kết cấu phần trên và hệ mặt cầu
Phải đo vẽ kích thước tổng thể và cấu tạo các bộ phận của kết cấu nhịp bằng bất cứ vật liệu nào. Nhiệm vụ của công tác đo vẽ là phải đủ dữ liệu để thể hiện được các kích thước tổng thể như: chiều dài tính toán, chiều cao dầm, dàn, bề rộng, chiều dài khoang, vị trí dầm ngang, dầm ngang, các chi tiết liên kết đơn giản, các mặt cắt quan trọng (vị trí có nội lực lớn, vị trí tiết diện thay đổi, vị trí mối nối, liên kết, các vị trí hư hỏng, khuyết tật đặc biệt...); không yêu cầu phải đo vẽ tỷ mỷ toàn bộ kết cấu nhịp như yêu cầu của công tác khảo sát xây dựng. Đối với dạng mặt cầu trần, việc điều tra hiện tượng ray, tà vẹt, liên kết ray với tà vẹt v.v...Có thể thực hiện ngay trong giai đoạn thị sát.
Đối với dạng mặt cầu có ray đặt trực tiếp lên bản bê tông cốt thép (không có ba lát) cần điều tra kỹ tình trạng các liên kết ray với bản bê tông cốt thép. Các liên kết này thường hư hỏng sớm, bản đệm đàn hồi sớm bị hóa già và mủn rách. Khoảng cách hai ray không được giữ đúng như quy định. Tác dụng động của lực đoàn tàu tăng lên và có nguy cơ tàu bị trật bánh trên cầu.
Đối với các dạng mặt cầu có máng ba lát, việc điều tra phần ray và tà vẹt giống như ở trên đường nhưng điều quan trọng hơn là phải điều tra tình trạng lớp phòng nước, ống thoát nước bên dưới ba lát. Khi đó phải cào đá ba lát ra để quan sát từng phần vào lúc không có tầu qua cầu
Các bộ phận kết cấu bằng thép, đặc biệt là dàn thép, phải đo đạc mặt cắt ngang thực tế của các bộ phận chịu lực, các thanh dàn chủ, dầm dọc, dầm ngang, hệ liên kết, gối cầu v.v...Chú ý ghi rõ chiều dày thép còn lại sau khi bỏ phần gỉ.
Trường hợp có đủ hồ sơ cũ thì chỉ cần đo vẽ một số bộ phận nghi ngờ hoặc gỉ nặng để kiểm tra các kích thước trong hồ sơ cũ. Nếu chúng giống nhau về cơ bản thì không cần đo tỷ mỷ.
Đo vẽ kích thước cơ bản, cách liên kết, số đinh liên kết giữa dầm dọc với dầm ngang.
Đối với kết cấu nhịp bằng bê tông, đá xây, bê tông cốt thép chỉ đo ở các mặt cắt đặc trưng đại diện, nhưng ít nhất phải đo ở mặt cắt giữa nhịp, mặt cắt 1/4 mặt cắt gối. Ngoài ra cần đo ở mặt cắt nào có hư hỏng đến mức có thể ảnh hưởng đến khả năng chịu tải của kết cấu (phải xác định mặt cắt đó trên bản vẽ).
Các bộ phận bằng thép đã bị cong vênh phải dùng một dây thép căng thẳng giữa hai bộ phận đó rồi đo khoảng cách từ các điểm đặc trưng trên đoạn cong vênh đến dây thép căng đó để phục vụ cho việc tính toán lại bộ phận này.
Sai số cho phép như sau:
- Đối với kết cấu thép ±5 mm.
- Đối với kết cấu đá xây, bê tông, bê tông cốt thép ±5 mm.
Phải đo lặp ít nhất hai lần, nếu không đạt sai số nói trên thì phải đo tại.
Kết quả đo phải được thể hiện trên các bản vẽ chi tiết, kèm theo lời chú thích. Những chỗ sai lệch lớn về kích thước, cong vênh phải được đánh dấu bằng sơn đỏ lên kết cấu và ghi rõ trên bản vẽ.
Phải vẽ riêng biệt dàn chủ thượng lưu và dàn chủ hạ lưu, bao gồm: mọi thanh dàn, quy cách các thép hình, thép bản, dạng mặt cắt tổ hợp của chúng, vị trí các chi tiết dàn thép bị cắt đứt, vị trí và quy cách kích thước các bản phủ nối (thép góc nối) cự ly các đinh tán, cấu tạo bản nút dàn. Đối với dàn thép đặc bụng cũng yêu cầu tương tự.
Dầm bê tông cốt thép ngoài các kích thước hình học của mặt cắt ngang, còn cần ghi chú hoặc vẽ cấu tạo cốt thép bên trong (căn cứ điều tra bằng cách đục rãnh thăm dò hoặc dùng máy nội soi, nếu có hồ sơ lưu trữ cần ghi rõ).
Cần thể hiện đủ các hình vẽ trên mặt chiếu đứng, mặt bằng và mặt cắt ngang sao cho đủ số liệu cần tính toán và đánh giá năng lực chịu tải của chúng. Phải vẽ (xác định) trục trong và trục ngoài mặt phẳng dàn của mặt cắt ngang các thanh dàn.
Các thanh trong hệ liên kết dọc và hệ liên kết ngang đo vẽ các thanh dàn chủ nhưng có thể ở mức độ đơn giản hơn.
5.1.6. Điều tra kiến trúc tầng trên trên cầu.
Điều tra, thống kê, ghi chép tổng quát kiến trúc tầng trên đường sắt để có cơ sở xác định tải trọng tác dụng lên kết cấu khi tính toán. Không yêu cầu đo vẽ, kiểm đếm chi tiết và điều tra hư hỏng.
5.1.7. Điều tra, đo đạc liên kết
Các dạng liên kết thường gặp trong cầu thép là liên kết đinh tán, bu lông, hàn, bu lông cường độ cao. Các dạng liên kết thường gặp trong cầu bê tông cốt thép chờ, bản thép chờ rồi đổ bê tông bịt mối nối.
Khi điều tra cần lưu ý xem xét các liên kết này vì đó là nơi dễ phát sinh hư hỏng nhất do các lỗi thiết kế cũng như lỗi thi công và khai thác (Ví dụ: hàn kém, bê tông bịt mối nối bị co ngót gây nứt).
5.1.7.1. Điều tra liên kết đinh tán
Dạng thường gặp nhất là lỏng đinh tán: Khi điều tra cần lưu ý sự lỏng đinh tán do hiện tượng trượt tương đối giữa các bộ phận được ghép nối với nhau bằng đinh tán. Mức độ trượt trên các mặt tiếp xúc phụ thuộc vào cường độ vận chuyển của các đoàn tàu, trạng thái ứng suất trong liên kết, đặc điểm tác dụng động vào đoàn tàu.
Mức độ lỏng đinh tán còn phụ thuộc các đặc điểm cấu tạo liên kết, đặc điểm môi trường, chất lượng chế tạo đinh và chất lượng đinh tán.
Khi phát hiện thấy lỏng đinh tán ở một số đinh trong vùng điều tra cần coi đó là một hư hỏng nghiêm trọng vì nó sẽ làm tăng tác dụng động lên các bộ phận được nối ghép, làm tăng biến dạng của liên kết và kết cấu nhịp nói chung, ứng suất tập trung quanh mép lỗ đinh có thể bị tăng đến vài lần so với ứng suất trung bình. Do đó sẽ tăng nguy cơ xuất hiện vết nứt do mỏi, đặc biệt là ở các kết cấu chịu lực đổi dấu do tải trọng lặp hoặc chịu ứng suất lực kéo thay đổi. Như vậy điều tra thấy lỏng đinh tán phải dự kiến đến sự phá hoại nơi cấu kiện được nối ghép bởi các đinh tán đã lỏng đó.
Các cầu càng lâu năm thì số lượng đinh tán bị lỏng càng nhiều.
Trong liên kết có đinh tán lỏng thì đặc điểm truyền ứng lực cũng bị thay đổi. Do lỏng đinh tán mà mép lỗ đinh bị khí ẩm xâm thực vào cùng các loại chất ăn mòn gây ra gì và làm tăng sự phát triển của các vết nứt do mỏi và vết nứt mỏi - gỉ ở các mép lỗ đinh. Cần kính lúp để tìm các vết nứt đó.
Đối với các dàn chủ tán đinh nên tìm các đinh tán lỏng ở liên kết của các thanh chéo (đặc biệt là các thanh chéo ở khoảng giữa nhịp) và của các thanh treo nối vào bản nút trên, ở liên kết của các thanh trong hệ giằng liên kết dọc hoặc hệ giằng liên kết ngang giữa các dàn chủ, ở các chỗ giao nhau của các thanh bụng của dàn chủ và của hệ giằng liên kết.
Đối với các dầm hệ mặt cầu nên tìm đinh tán lỏng ở chỗ liên kết dầm dọc với dầm ngang, (đặc biệt là nếu ở đó không có bản cá), ở chỗ liên kết thép góc cánh trên với bản bụng của dầm dọc, ở các thanh của hệ giằng liên kết dọc giữa hai dầm dọc.
Cần chú ý phát hiện mức độ lỏng không đều giữa các đinh trong nhóm đinh. Các đinh ở hàng đinh ngoài cùng chịu lực nhiều nhất sẽ bị yếu trước. Các đinh tán chịu cắt một mặt thường sớm bị lỏng hơn các đinh tán chịu cắt hai mặt.
Để phát hiện đinh tán lỏng thoạt tiên quan sát, sau đó nếu nghi ngờ thì dùng búa gõ:
- Nếu nhìn kỹ thấy vết gỉ dưới mũ đinh hoặc ở chỗ tiếp xúc các bộ phận nối ghép có thể nghi ngờ đinh lỏng.
- Dùng búa 0,2 kg gõ nhẹ đầu mũ đinh, nếu nghi ngờ thì đặt đầu ngón tay ở mũ đinh đối diện và gõ búa lại lần nữa. Nếu đinh tán lỏng thì sẽ cảm nhận đầu mũ đinh bị lắc ngang nhẹ bên dưới ngón tay.
- Cũng có thể kết hợp âm thanh xuất hiện khi đập búa nhẹ vào đinh, nếu đinh lỏng thì nghe âm thanh đục.
Sau khi phát hiện các đinh tán bị lỏng yếu, phải đánh dấu sơn và ghi vào phiếu theo dõi, yêu cầu thay ngay các đinh đó bằng bu lông cường độ cao có kích thước tương ứng, như vậy giảm được ứng suất tập trung quanh lỗ đinh và làm chậm lại quá trình lỏng dần đi các đinh khác xung quanh.
Trong bảng 1 và hình vẽ 1 mô tả tóm tắt các hư hỏng đinh tán thường gặp và mức sai hỏng cho phép, nguyên nhân xuất hiện để gợi ý cho cán bộ điều tra.

Hình 1. Các hư hỏng đinh tán thường gặp
Bảng 1. Mô tả các hư hỏng đinh tán thường gặp
| Mô tả hư hỏng | Hình vẽ | Sai số cho phép | Nguyên nhân |
| Đinh tán yếu, bị rung lắc khi đập búa 0,2 kg | 1 | Không | Lực tán đinh yếu, nhiệt độ nung nóng đinh không đủ, các tập bản cánh chưa được ép chặt khít khi tán đinh |
| Mũ đinh bị nứt | 2 | Không | Đinh bị đốt nóng quá khi tán Chất lượng thép của đinh tán xấu |
| Mũ đinh không tỳ sát vào bề mặt bản thép | 3 | d ≤ 0,2 mm | Ép búa đỡ không chặt khi tán đinh. Có gờ vướng ở chỗ đáy mũ đinh |
| Mũ đinh có chỗ không tỳ sát vào bề mặt bản thép | 4 | d ≤ 0,2 mm | Như trên Ép búa đỡ không đúng trục đinh lúc tán đinh |
| Mũ đinh bị vẹo | 5 | Không | Như trên |
| Mũ đinh bị khuyết hết xung quanh | 6 | a+b≤0,1b | Ép búa không đúng Chiều dài thân đinh không đủ |
| Mũ đinh bị khuyết một phần | 7 | a+b≤0,15d | Ép búa không đúng Chiều dài thân đinh không đủ |
| Mũ đinh bị lệch tâm | 8 | 15da≤0,1d | Ép búa không đúng khi tán đinh |
| Mũ đinh quá bé | 9 | a+b≤0,1d c≤0,5d | Chiều dài phôi đinh thiết Lực ép búa yếu |
| Có gờ xung quanh mũ | 10 | a≤3 mm d = 1-3 mm | Chiều dài phối đinh quá thừa |
| Vết rạch mặt kim loại | 11 | d ≤ 0,5 mm | Kỹ thuật tán đinh kém |
| Mũ đinh bị rạch vết | 12 | d ≤ 0,2 mm | Kỹ thuật tán đinh kém |
5.1.7.2. Điều tra liên kết bu lông thường
Liên kết bu lông thô có độ chênh đến 1 mm giữa đường kính lỗ và đường kính bu lông nên bị biến dạng trượt lớn và chỉ có ở các kết cấu phụ hoặc kết cấu tạm thời. Việc điều tra các liên kết này chủ yếu là xem tình trạng lỏng đai ốc và gỉ ăn mòn bu lông.
Đối với liên kết bằng bu lông tinh chế và chốt (hiện có ở các dàn T66, VN64, VN71) cần điều tra theo các nội dung như đối với liên kết đinh tán và thêm nội dung điều tra về đai ốc, mức siết chặt đai ốc, mức độ gỉ của bu lông và chốt.
5.1.7.3. Điều tra bu lông liên kết cường độ cao
Cần điều tra mức độ ép chặt khít giữa các tập bản thép bằng bộ thước thép lá do khe hở và quan sát. Kiểm tra trạng thái các bu lông, đai ốc và vòng đệm. Chú ý tìm các hư hỏng điển hình như:
- Mất bu lông.
- Các tập bản không được ép khít với nhau.
- Lực căng bu lông không đủ yêu cầu của đồ án.
- Có vết nứt trong bu lông và đai ốc.
- Có vết dập của vàng đệm và đai ốc.
- Chiều dài ren răng của bu lông thiếu (do thi công dùng bu lông sai quy cách).
Để kiểm tra lực căng của bu lông cường độ cao phải dùng loại cờlê đo lực có gắn đồng hồ chuyên dụng. Nếu liên kết ít hơn 5 bu lông thì kiểm tra tất cả, nếu có từ 5 đến 20 bu lông thì kiểm tra 5 bu lông. Nếu số bu lông trong liên kết nhiều hơn 20 bu lông thì số bu lông được chọn kiểm tra là 25% số lượng bu lông đó. Các hư hỏng khác được quan sát và ghi nhận xét tại hiện trường.
5.1.7.4. Điều tra liên kết hàn
Trên đường sắt có nhiều cầu cũ mà trong chiến tranh đã được sửa chữa khôi phục tạm thời bằng liên kết hàn. Nhiều cầu mới làm cũng có sử dụng các liên kết hàn. Nhưng do công nghệ hàn và kiểm tra mối hàn chưa tốt nên có thể xuất hiện các vết nứt mối hàn. Khi điều tra cầu thép cũ có liên kết hàn cần đặc biệt chú ý phát hiện vết nứt hàn nói trên.
Các vị trí thường xuất hiện các vết nứt mỏi trong các mối hàn cầu thép là:
- Mối hàn liên kết các sườn tăng cứng với bản bụng của dầm đặc.
- Các mối hàn đối đầu.
- Các mối hàn chồng, mối hàn có bản kẹp nối hai phía.
Cần đặc biệt điều tra các dầm thép hình I, đã được dùng làm dầm liên hợp, dầm l chồng và thép bản đã dùng để hàn vá cấu kiện cầu. Có thể chúng được cấu tạo bằng loại thép sôi, không chịu hàn, dễ bị phá hoại giòn ở mối hàn. Hư hỏng này nguy hiểm bởi vì nó xuất hiện ngay khi biến dạng còn nhỏ trong phạm vi làm việc đàn hồi.
Trên hình 2 là các dạng hư hỏng điển hình của mối hàn cần phát hiện và phân loại khi đi điều tra và các dạng hư hỏng, khuyết tật thường gặp của mối nối hàn có thể tham khảo tiêu chuẩn TCVN 6115-1:2005: Hàn và các quá trình liên quan - phân loại khuyết tật hình học ở kim loại.

Hình 2. Các dạng hư hỏng mối hàn
Các vết nứt trong mối hàn và trong thép kết cấu quanh: đó có thể xuất hiện do chất lượng xấu của thép hàn, do bẩn các mép chuẩn bị hàn với nhau, do xỉ hàn lẫn vào mối hàn. Các vết nứt thường ở gần rãnh cắt, gần chỗ mà mối hàn không thấu, ở các chỗ thay đổi mặt cắt đột ngột. Khi điều tra thấy vết nứt ở mối hàn phải đánh dấu sơn và yêu cầu mài tẩy mối hàn đi rồi hàn lại đảm bảo chất lượng.
Những chỗ mối hàn không thấu: (Hình 2-c) là nơi có hiện tượng không nóng chảy cục bộ. Giữa những mối hàn và thép kết cấu hoặc giữa các lớp mối hàn khi hàn lần lượt nhiều lớp. Hư hỏng này có thể làm giảm yếu mặt cắt mối hàn đến hơn 50% và cần điều tra kỹ lấy số liệu cho việc tính toán lại kết cấu cũng như kiến nghị việc sửa chữa. Một nguyên nhân của hư hỏng này là do không làm sạch kỹ các mép chuẩn bị hàn hoặc do hàn quá nhanh.
Các rìa xờm mối hàn: (Hình 2-d)
Nguyên nhân là do kim loại bị nóng chảy tràn khỏi vị trí mối hàn rồi lan ra phần thép kết cấu chưa bị nung nóng lên quanh mối hàn. Cần kiểm tra kỹ các rìa xờm mối hàn vì chúng thường kèm theo hiện tượng hàn không thấu và các rãnh cắt. Khi que hàn nóng chảy quá nhanh thì một vài chỗ thép kết cấu chưa kịp nóng chảy và bị các rìa xờm mối hàn che lấp các chỗ hàn không thấu ở mép cấu kiện. Hiện tượng này cũng có thể do que hàn di động lệch ra trục mối hàn, lượng kim loại nóng chảy thừa và xỉ hàn sẽ lẫn vào mối hàn.
Khi điều tra phát hiện và yêu cầu hàn lại cần nhắc nhở việc chọn đúng nhiệt độ khi hàn. Để tạo ra sự chuyển tiếp đều đặn phải mài hết các rìa xờm ở mối hàn, khi nó dày hơn 3mm phải yêu cầu đục tẩy đi mà quan sát tiếp phía dưới.
Các rãnh cắt: (Hình 2e)
Xuất hiện khi hàn với dòng điện quá mạnh và điện áp quá cao khiến cho thép kết cấu bị đốt quá nóng. Các rãnh cắt này nguy hiểm vì gây ra ứng suất tập trung và giảm yếu mặt cắt.
Khi điều tra nếu thấy rãnh cắt không quá 0,5 mm đối với bản thép kết cấu dầy đến 10 mm, và không quá 1mm đối với bản thép dầy hơn 10 mm, thì chỉ đánh dấu sơn và ghi lại trong sổ điều tra theo dõi tiếp. Nếu thấy rãnh cắt sâu hơn nữa phải yêu cầu hàn lại ngay.
Các lỗ rỗng và các chỗ lẫn xỉ hàn vào mối hàn đều làm giảm mặt cắt mối hàn, gây ra ứng suất tập trung cục bộ.
Khi điều tra cần tìm nguyên nhân. Có thể lỗ rỗng là do dùng thép hàn chất lượng xấu do mép chuẩn bị hàn bẩn, do hàn quá nhanh hoặc do thép kết cấu là loại thép không chịu hàn.
Nguyên nhân lẫn xỉ hàn là do chọn sai chế độ hàn, sai loại que hàn và thuốc hàn, tay nghề thợ hàn thấp.
Để phát hiện chỗ mối hàn không thấu thường phải quan sát những chỗ mặt cắt mối hàn không đều và có vẩy hàn rõ rệt. Các mối hàn tốt thường có chiều rộng không đổi và các vẩy hàn nhỏ mịn, bề mặt đều đặn, không có rìa xờm là vết cháy.
Để kiểm tra kích thước mối hàn, lấy số liệu cho việc tính toán lại kết cấu, phải dùng các bộ thước thép lá và bộ thước đo đặc biệt.
Trong các mối nối cấu kiện chịu kéo hoặc chịu kéo - nén thì chiều cao lồi lên của mối hàn không được lớn hơn 1/10 chiều rộng mối hàn và không được lớn hơn 3 mm. Còn trong các cấu kiện chịu nén thì phần lồi lên của mối hàn không được quá 1/5 chiều rộng mối hàn và không quá 4 mm.
Khi điều tra cần nhận xét dạng mối hàn góc chúng phải có bề mặt cong nổi lên. Bề mặt lồi là cho phép trong phạm vi 1,5 mm khi mối hàn dày đến 8mm, ở trong phạm vi 3 mm khi mối hàn dày đến 13-16 mm, nếu thấy mối hàn có phần kim loại thừa ra quá nhiều phải yêu cầu mài đi để đảm bảo chuyển tiếp êm thuận từ mối hàn sang thép kết cấu quanh nó.
5.1.8. Điều tra, đo đạc gối cầu
5.1.8.1. Các loại gối được đề cập bao gồm gối thép
Khi điều tra cần phải phát hiện xem các dạng hư hỏng điển hình sau đây hay không:
- Các mặt tựa không chặt khít.
- Sai vị trí của các bộ phận chi tiết trong gối cầu (nghiêng lệch các con lăn, con quay lệch khỏi vị trí thiết kế).
- Gỉ mòn các con lăn và bề mặt tiếp xúc với chúng của các thớt gối, của con quay.
- Các vết nứt trong các bộ phận gối cầu.
- Các liên kết giữa các bộ phận của gối cầu bị yếu hoặc bị hư hỏng.
- Hộp sắt che bảo vệ gối bị hư hỏng.
- Vị trí tiếp xúc giữa bề mặt gối với thớt gối và bản kê gối bị biến dạng, tách rời.
5.1.8.2. Kiểm tra vị trí các thớt gối
Công tác điều tra gối cầu bằng việc kiểm tra vị trí các thớt gối trên mặt bằng, cần phải đo khoảng cách từ tim dọc cầu và tim ngang của mố và trụ đến các điểm đặc trưng của thớt gối (các góc, các điểm giao giữa các trục của thớt gối v.v...)
Vị trí của con quay cũng được kiểm tra bằng cách tương tự. Cao độ các bề mặt thớt gối được kiểm tra bằng máy cao đạc.
Căn cứ vào nhận xét vị trí tương đối giữa các bộ phận của gối có thể phát hiện độ xê dịch của các tâm của chúng, sự nghiêng lệch và các đặc điểm khác nữa. Trong bản báo cáo điều tra cần ghi rõ các điều kiện đo: nhiệt độ không khí v.v...
Nên đo kiểm tra các gối cầu vào lúc trời râm mát vì lúc đó các bộ phận kết cấu nhịp có nhiệt độ gần giống nhau.
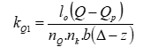
Sơ đồ xác định độ xê dịch của con quay so với thớt gối dưới theo hướng dọc cầu được vẽ trên Hình 3. Chuyển vị Dn ở nhiệt độ t là:
Dn =(t-t0)l.a (1)
Trong đó:
a- Hệ số nở dài bằng 0,0000118 đối với thép, bằng 0,00001 đối với bê tông
l- Chiều dài nhịp tính toán nhiệt độ của kết cấu nhịp.
t0- Nhiệt độ ứng với lúc mà trục con quay và trực thớt gối cần phải trùng nhau.
(2)
ttb- Nhiệt độ trung bình đại số giữa nhiệt độ cao nhất và nhiệt độ thấp nhất trong năm.
Dk- Chuyển vị dọc do hoạt tải (đối với kết cấu nhịp thép lấy
» 14)
Dấu của số hạng thứ hai trong công thức trên được lấy tùy theo hướng chuyển vị của con quay do hoạt tải (dấu + khi chuyển vị về phía đầu nhịp, dấu - khi chuyển vị về phía giữa nhịp).
Khi tính toán ttb thì nhiệt độ hàng năm được xét với dấu của nó. Mức độ lệch bình thường của tâm các con lăn so với trục thớt gối dưới lấy bằng Dn/2.
Sự chênh lệch giữa các chuyển vị được đo thực tế và chuyển vị tính toán của trục con quay đối với thớt gối bằng chuyển vị bổ sung, có thể xảy ra do hậu quả của sai sót thi công đặt gối hay do chuyển vị của mố trụ trong quá trình khai thác cầu.

Hình 3. Ví dụ sơ đồ xác định độ xê dịch của con quay (con lăn) so với thớt gối theo phương dọc cầu (gối con lăn)
5.1.8.3. Đối với các kết cấu nhịp dàn trong trường hợp đặc biệt
Đối với các kết cấu nhịp dàn nằm dọc theo hướng Bắc- Nam như trên tuyến đường sắt Hà Nội - TP Hồ Chí Minh cần lưu ý là chuyển vị của gối cầu và các hư hỏng của gối cầu đều chịu ảnh hưởng của hiện tượng nung nóng không đều các dàn chủ do bức xạ mặt trời. Do đó toán kết cấu nhịp dàn có thể bị uốn trong mặt phẳng nằm ngang. Hậu quả là các gối cầu cản trở sự chuyển quay của kết cấu nhịp dàn trong mặt bằng làm xuất hiện các hiện tượng xô lệch, cong vênh, các vết nứt trong khối xây dựng trụ mố và các hư hỏng khác nữa.
5.1.8.4. Điều tra nguyên nhân hư hỏng gối cầu
Để tìm ra nguyên nhân thực tế của các hư hỏng gối cầu phải phân tích tài liệu điều tra. Đôi khi phải theo dõi quan sát lâu dài và định kỳ đo lại vị trí các gối cầu, các mố trụ và các kết cấu nhịp, so sánh với các số liệu của các lần đo với nhau.
5.1.8.5. Khi con lăn bị xô lệch
Khi phát hiện thấy con lăn bị xô lệch phải đề nghị kích nâng kết cấu nhịp lên một đầu để sửa lại con lăn kịp thời.
Nếu phát hiện các bề mặt lăn bị mài mòn không đều, lõm xuống quá 1,0mm phải đề nghị rà lại cho phẳng.
5.1.8.6. Tình trạng gối cập kênh, không chặt khít
Cần phát hiện xem có tình trạng gối bị cập kênh và gối không bị chặt khít lên bệ kê gối hay không. Hư hỏng loại này sẽ làm tăng tác động xung kích lên kết cấu khi tầu qua cầu, bệ kê gối có thể bị nứt, thớt gối và khối xây trên mố trụ cũng có thể bị nứt.
Khi phát hiện hư hỏng này cần kiến nghị sửa chữa chêm chèn các bản đệm chì hoặc bơm ép vữa xi măng vào khe hở v.v...
5.1.9. Điều tra bản chắn đá ba lát đầu dầm
Nội dung điều tra chủ yếu là quan sát và đánh giá mức độ gỉ hỏng của các chi tiết.
5.1.10. Điều tra hiện trạng đường đầu cầu
Công việc này chỉ thực hiện ở giai đoạn điều tra thị sát và mang tính khái quát về tình trạng đường đầu cầu đảm bảo mức độ êm thuận cho tàu ra vào cầu như thế nào.
5.2. Nội dung cơ bản của các bản vẽ kết quả đo đạc
5.2.1. Bản vẽ bố trí chung mặt đứng
Yêu cầu thể hiện rõ:
- Dạng kết cấu nhịp thép, bê tông cốt thép, đá xây, bê tông.v.v...
- Dạng mố, trụ.
- Mặt cắt lòng sông có thể hiện các đường xói lở qua các đợt đo khác nhau.
Các kích thước chủ yếu:
- Chiều dài cầu (khoảng cách đuôi tường cánh 2 mố, đuôi tường che 2 mố, mép trước che 2 mố, tim 2 gối mố, đầu dầm trên 2 mố, khe hở đầu dầm và tường che các mố). Phải xác định lý trình mép trước tường che 2 mố.
- Chiều dài kết cấu nhịp của mỗi nhịp, cự ly đầu nhịp đến tim trụ đỡ nhịp ấy.
- Chiều dài nhịp tính toán của mỗi nhịp, cự ly đầu nhịp đến tim gối tại đầu ấy.
- Khẩu độ thoát nước (khoảng cách tường trước của 2 mố).
- Chiều cao các thanh đứng của dàn (tim nút mạ hạ đến tim nút mạ thượng) và cự ly từ tim nút đến biên thanh mạ theo phương thẳng đứng.
- Cao độ đỉnh dầm dọc ở hai đầu, sát với dầm ngang của mỗi khoang dàn chủ.
- Cao độ tại tại các điểm mạ hạ (hoặc mạ thượng) của dàn thượng lưu và dàn hạ lưu (ở hai đầu dầm ngang sát nút bản dàn).
- Cao độ đỉnh ray tại các điểm phía trên các dầm ngang.
- Cao độ tim gối và cao độ đá kê gối.
- Cao độ các đỉnh mũ mố, trụ, độ dốc ở đó.
- Cao độ đỉnh tường che và đỉnh tường cánh mố.
- Cao độ vai đường hai đường đầu cầu (chiều dài đoạn đo theo đề cương cụ thể).
- Cao độ đỉnh chóp nón hai mố.
- Chiều dài mố.
- Độ dốc nón hai mố, vị trí chân nón mố.
- Cao độ mức nước cao nhất, thấp nhất trong ngày điều tra.
- Cao độ mức nước lũ cao nhất lịch sử.
- Loại ray, loại tà vẹt trên cầu.
Ghi chú về mốc cao đạc và các mốc định vị đã dùng để cao đạc.
5.2.2. Bản vẽ bố trí chung mặt bằng
Yêu cầu thể hiện:
- Sơ họa đường ray hai đầu cầu.
- Đường tim dọc hai mố.
- Đường tim gối (dọc cầu) lấy đường tim hai mố làm chuẩn để so sánh.
- Đường tim các dầm dọc.
- Đường tim các dàn chủ (mạ hạ và mạ thượng).
- Đường tim hai ray.
- Sơ họa dàn chủ, dầm dọc, dầm ngang, dầm dọc cụt, hệ liên kết dọc.
5.2.3. Bản vẽ mặt cắt ngang các kết cấu nhịp
Yêu cầu thể hiện:
- Cấu tạo mặt cắt ngang ở vị trí đầu và giữa kết cấu nhịp, vị trí có chốt của nhịp đeo.
- Khoảng cách hai dàn chủ, bề rộng thanh đứng, bề rộng các thanh biên dàn, khoảng cách các dầm dọc.
Kết cấu nhịp bê tông cốt thép, bê tông, đá xây phải vẽ các mặt cắt đại diện đã nêu ở điều 5.4.1.2.
5.2.4. Các bản vẽ cấu tạo tổng quát và kích thước các bộ phận kết cấu nhịp
5.2.4.1. Bản vẽ gối cầu
Yêu cầu thể hiện:
- Kích thước chi tiết mặt bằng các thớt gối.
- Chiều dày các thớt gối.
- Chiều dài và đường kính các chốt gối.
- Chiều dài và đường kính các con lăn, bề rộng con lăn cắt vát (nếu có).
- Số lượng và khoảng cách giữa các con lăn.
- Mô tả tình trạng làm việc và hư hỏng của gối cầu.
- Cấu tạo gối cao su- thép (nếu có).
- Các kích thước của các bệ kê gối (trong đó có tọa độ tim gối tức là tim của nút đầu dàn).
5.3. Điều tra, đo đạc, đánh giá chi tiết tình trạng hư hỏng, khuyết tật bộ phận công trình
Trong giai đoạn thị sát cũng như trong các đợt điều tra chi tiết sau đó cần phải điều tra các hư hỏng, khuyết tật của các kết cấu nhịp và mố trụ, phân tích các nguyên nhân gây nên.
Ở hiện trường phải dùng các biện pháp ghi chép mô tả, chụp ảnh từ các phía khác nhau, về văn phòng phải xử lý lại các thông tin đó để vẽ lên bản vẽ điều tra hư hỏng và thuyết minh điều tra.
Công tác điều tra bao gồm các việc sau:
- Kiểm tra hoặc đo vẽ lại bản vẽ các bộ phận cầu (nếu đã mất tài liệu gốc) bằng các máy trắc đạc, thước thép, thước cặp nội dung này đã nêu ở điều 5.4.
- Phát hiện và ghi lại các hư hỏng, khuyết tật hiện có, nhận xét đặc điểm, kích thước, vị trí của chúng, đánh giá tình trạng chịu lực chung của cầu theo kinh nghiệm và kiến thức của người điều tra.
- Xác định cường độ thực tế của bê tông ở từng bộ phận, đặc trưng của thép, của cốt thép.
- Tìm hiểu cách bố trí cốt thép thực tế trong bê tông.
- Điều tra các phần nằm dưới mặt nước của mố trụ (chủ yếu là quan sát bằng cách lặn xuống).
5.3.1. Đối với các phần bằng kim loại
Các hư hỏng khuyết tật của kết cấu nhịp thép được phân nhóm theo các dấu hiệu sau:
- Dạng bề ngoài của hư hỏng.
- Dự đoán tốc độ phát triển của hư hỏng cho đến lúc phá hoại kết cấu.
- Mức độ nguy hiểm của hư hỏng.
- Vị trí của hư hỏng.
- Sự phân bố của các hư hỏng (mật độ xuất hiện của chúng).
5.3.1.1. Nhận dạng các hư hỏng
Theo dạng bề ngoài các hư hỏng cần phân biệt:
- Lỏng các đinh tán.
- Hư hỏng mỏi, thể hiện qua các vết nứt trong các bộ phận.
- Gỉ thép.
- Mất ổn định cục bộ hoặc ổn định chung của các bộ phận riêng lẻ hoặc các phần của chúng.
- Các vết nứt.
- Theo tốc độ phát triển đến giai đoạn nguy hiểm, cần phân biệt:
- Các hư hỏng phát triển một cách tức thời đột ngột (các vết nứt khi phá hoại giòn, sự mất ổn định v.v...).
- Các hư hỏng phát triển nhanh (ví dụ các vết nứt do mỏi).
- Các hư hỏng phát triển dần dần (lỏng bulong lỏng đinh tán, gỉ).
Theo mức độ nguy hiểm của hư hỏng, cần phân biệt rõ các loại:
- Hư hỏng rất nguy hiểm: đó là các hư hỏng có thể gây ra ngừng khai thác cầu hoặc phá hoại cầu (các vết nứt, mất ổn định các bộ phận riêng lẻ của kết cấu nhịp v.v...).
- Hư hỏng ít nguy hiểm: các hư hỏng này làm xấu đi các điều kiện khai thác của kết cấu, có ảnh hưởng xấu đến mức độ nào đó đến sự phát triển của các hư hỏng khác (ví dụ sự chênh lệch các con lăn gối cầu).
Theo tầm quan trọng của bộ phận hư hỏng: cần điều tra xem hư hỏng là ở bộ phận nào:
- Dầm dọc, dầm ngang.
- Dầm chủ hoặc dàn chủ.
- Hệ liên kết dọc, hệ liên kết ngang.
Theo mức độ phổ cập của hư hỏng: cần phân biệt, phát hiện:
- Hư hỏng có tính chất hàng loạt.
- Hư hỏng thường gặp.
- Hư hỏng ít khi gặp.
Khi điều tra và phân tích hư hỏng cần phải dựa theo các gợi ý sau đây về các nguyên nhân hư hỏng:
- Chất lượng thép xấu.
- Chất lượng chế tạo cấu kiện xấu.
- Các lỗi về mặt thiết kế cấu tạo.
- Sự không phù hợp giữa các giả thiết tính toán và điều kiện làm việc thực tế.
- Công tác duy tu bảo dưỡng không được thực hiện tốt.
- Điều kiện khí hậu khắc nghiệt bất lợi.
- Tải trọng quá tải qua cầu.
- Khổ giới hạn trên cầu không đủ.
Đặc điểm tác động bất lợi của hoạt tải đoàn tàu.
5.3.1.2. Điều tra các hư hỏng do mỏi
Phá hoại mỏi xảy ra do sự phát triển dần dần các vết nứt trong thép.
Cần chú ý phát hiện các vết nứt mỏi ở các vùng chịu lực cục bộ, nơi có ứng suất tập trung lớn nhất.
a. Các hư hỏng nặng nhất thường xuất hiện ở các thanh chéo gần giữa nhịp của các loại thanh dàn chủ tán đinh. Tại đó cần tìm vết nứt mỏi bắt đầu từ vùng ứng suất tập trung cao nhất ở hai mép lỗ hàng đinh thứ nhất và hàng đinh thứ hai đếm từ thanh chéo của dàn. Thông thường vết nứt sẽ phát triển theo hướng ngang tới trục dọc của thanh dàn, vết nứt sẽ đi qua lỗ đinh. Đôi khi đầu vết nứt ở vị trí 1/5 đường kính lỗ đinh dọc theo trục của thanh chéo, hướng về đầu thanh.
Để điều tra về nứt mỏi phải kết hợp với việc phát hiện các đinh tán bị hỏng. Sự xuất hiện các vết nứt mỏi luôn luôn được báo trước bằng hiện tượng lỏng đinh tán nối các cấu kiện đó (các thanh chéo và thanh đứng có các đinh tán chịu cắt hai mặt thì ít phát hiện thấy hư hỏng mỏi ở liên kết).
b. Các thanh của hệ liên kết giữa các dầm chủ nên tìm vết nứt mỏi tại các mép lỗ đinh liên kết chúng vào bản nút. Các hư hỏng này làm cho dao động của hệ liên kết tăng thêm rõ rệt khi tàu chạy qua cầu và người điều tra có thể dễ dàng phát hiện.
c. Các dầm hệ mặt cầu hư hỏng do mỏi là một trong những hư hỏng phổ biến nhất và phát triển mạnh nhất trong dầm dọc, dầm ngang và liên kết của chúng với nhau.
Vết nứt thường gặp là vết nứt ở cánh nằm ngang của thép góc cánh trên các dầm dọc, nó xuất hiện lúc đầu ở bên dưới tà vẹt gần sống thép góc này và phát triển theo sống đó rồi thay đổi hướng đi ngang với dầm dọc, làm cánh thép góc dưới tà vẹt bị cong vênh rõ rệt. Cần phát hiện các hư hỏng như vậy ở thép góc phía trong và phía ngoài của dầm dọc có tà vẹt đè lên trên (loại dầm dọc không có tấm bản thép cánh nằm ngang, chỉ có thép góc cánh) và các thanh biên trên của những dàn mà tà vẹt kê trực tiếp lên thanh đó.
Loại vết nứt mỏi cũng xuất hiện ở bản bụng dọc theo hướng nghiêng đi từ mép lỗ đinh của các hàng đinh thứ hai, thứ ba, thứ tư (đếm từ đỉnh dầm dọc xuống) tán ở liên kết bụng dầm với thép góc nối thẳng đứng. Đó là hậu quả của sự lỏng đinh tán liên kết bụng dầm với thép góc gây ra ứng suất tập trung cao ở mép lỗ đinh. Khi tải trọng tác dụng nhiều lần, ở mép lỗ xuất hiện các vết nứt mỏi trong bụng dầm.
Đối với kiểu cấu tạo dầm dọc xếp chồng lên trên dầm ngang (đây là kiểu cấu tạo có tuổi thọ thấp và độ chịu mỏi thấp) chú ý phát hiện vết nứt mỏi ở cánh của thép góc cánh trên, trong đoạn tựa của dầm dọc lên dầm ngang và đoạn tựa của dầm ngang lên dàn chủ (như ở dàn VN64).
Các dầm liên kết bằng bu lông cường độ cao phát hiện vết nứt ở liên kết dầm dọc với dầm ngang, đặc biệt là khi cấu tạo không có bản cá. Các đinh tán và bu lông cường độ cao có thể bị phá hoại ở các hàng đinh, bu lông phía trên và phía dưới của thép góc liên kết với bụng dầm ngang (đinh bị nhổ đầu do momen uốn tác dụng trong liên kết).
d. Khi điều tra các kết cấu nhịp hàn và các kết cấu nhịp tăng cường bằng hàn (đặc biệt hàn vá táp trong thời gian chiến tranh) cần lưu ý tìm vết nứt do mỏi xuất hiện trong mối hàn và trong thép cơ bản quanh đó, đặc biệt là mối hàn ở vùng ứng suất tập trung cao do ngoại tải và nơi có ứng suất dư do hàn gây ra.
Tìm vết nứt mỏi ở chỗ có thay đổi đột ngột mặt cắt như do cắt bớt tập bản thép, do hàn táp thêm bản thép, do hàn sườn tăng cường đứng, hàn dầm ngang, các vị trí có lỗ thủng, lỗ khoét, các đầu mối hàn.
e. Đối với bản cá cần tìm vết nứt mỏi do ứng suất pháp quá lớn gây ra bởi momen uốn trong liên kết dầm dọc với dầm ngang. Các vết mỏi này thường gặp ở mép lỗ đinh hàng thứ nhất hay hàng thứ hai, đếm từ dầm ngang. Biểu hiện báo trước sự xuất hiện của chúng là sự lỏng các đinh tán liên kết bản cá. Như vậy quá trình điều tra cần xem xét toàn diện các bộ phận kết cấu và kết hợp với việc kiểm tra đinh tán, bu lông v.v...
f. Thép góc cách dưới và giữa bụng dầm dọc cần phát hiện các vết nứt mỏi đi từ mép lỗ đinh hoặc ở vùng tập trung ứng suất khác mà có hiện tượng gỉ rõ rệt hoặc có các hư hỏng về mặt cơ học.
g. Thép góc cánh dưới và bụng dầm dọc cần phát hiện các vết nứt mỏi ở góc của nó, đặc biệt là nếu không có bản cá hoặc bản cá quá yếu. Nguyên nhân vết nứt mỏi này là do thép góc liên kết bị truyền lực dọc quá lớn từ các dầm dọc đến, trong khi các dầm dọc làm việc chung với các thanh biên của dàn chủ. Một nguyên nhân khác là do mô men lớn ở chỗ liên kết với dầm ngang.
h. Đối với các kết cấu nhịp dài trên 80 m nên tìm thêm các vết nứt mỏi trong thép góc cánh dưới của dầm ngang đầu nhịp. Nguyên nhân cơ bản của nứt là do quá tải về mức độ làm việc chung của dầm hệ mặt cầu với thanh biên dàn chủ. Hiện tượng này thường gặp ở các kết cấu nhịp nào không có chỗ cắt đứt dầm dọc.
i. Các thanh đứng của dàn và các kết cấu chịu tải trọng cục bộ mức độ tăng của các hư hỏng mỏi sẽ nhanh hơn so với các cấu kiện khác. Lý do là chúng phải chịu nhiễu chu kỳ thay đổi ứng lực hơn khi có một đoàn tàu chạy qua cầu.
Khi tăng tải trọng trục của đầu máy toa xe qua cầu thì gây ra hiện tượng mài mòn nhanh hơn của các đinh tán và bu lông trong hệ dầm mặt cầu, đặc biệt là ở hai bên liên kết dầm dọc với dầm ngang. (=Như vậy khi điều tra xét khả năng cho đoàn tàu nặng qua cầu phải lưu ý rằng càng tăng tải trọng trục xe thì càng làm giảm nhanh tuổi thọ của các cấu kiện chịu tải trọng cục bộ.
j. Dấu hiệu bề ngoài để dễ nhận biết vết nứt mỏi là các vết gỉ màu nâu đen và vết rạn nứt của lớp sơn phủ.
Dùng máy dò siêu âm (hoặc máy bơm Rơn ghen, máy đo kiểu điện-từ) để dò các vết nứt này.
Trong khi thị sát dùng các dụng cụ đơn giản: Trên đoạn mà quan sát thấy nghi ngờ thì cần cạo sạch sơn và vết gỉ, đánh sạch bằng giấy nhám rồi bôi nhanh dung dịch 10-15% axit nitoric lên bề mặt, sau đó rửa bề mặt bằng nước, làm khô rồi dùng kính lúp phóng đại để tìm và đo vết nứt. Đôi khi có thể dùng đục nhỏ sắc để bạt đi một lớp phôi mỏng trên bề mặt dọc theo đường nứt bằng một mũi kim nhọn, cứng hoặc dùng dung dịch chất nhớt màu đỏ rỏ vào vùng nghi ngờ, dung dịch này sẽ thấm sâu vào kim loại và đi lan theo vết nứt làm lộ rõ vết nứt để phát hiện.
5.3.1.3. Điều tra các hư hỏng do gỉ
a. Cần phân biệt hai dạng gỉ là
- Gỉ bề mặt: vết gỉ phân bố tương đối đồng đều trên bề mặt cấu kiện thép.
- Gỉ cục bộ; vết gỉ xuất hiện cục bộ và phát triển sâu.
Loại gỉ bề mặt thường có chủ yếu ở thanh biên dàn chủ và bản cánh các dầm dọc, dầm ngang, các thanh của hệ liên kết giữa các dàn chủ hoặc giữa các dầm dọc.
Chú ý phát hiện các vết gỉ cục bộ ở các cấu kiện nằm dọc vệt nước thải của đoàn tầu, đối với dầm dọc thì nên tìm vết gỉ cục bộ ở bản nằm ngang cánh trên hoặc nằm cánh ngang của thép góc cánh trên tại chỗ chúng tiếp xúc với tà vẹt. Nơi đó lớp sơn thường bị hỏng sớm và có độ ẩm lưu cữu.
b. Khi điều tra các kết cấu nhịp có đường xe chạy trên, các thanh và nút dàn này thường bị nhiễm rác bẩn và bị gỉ nặng hơn so với các kết cấu nhịp có đường xe chạy dưới (cùng có một mặt cầu trần).
Chú ý trong kết cấu nhịp chạy dưới có mặt cầu trần thì các bộ phận ở thấp hơn mặt xe chạy thường bị gỉ nặng hơn.
c. Trong các nút của hệ liên kết dọc nối với thanh biên dàn chủ và với dầm dọc thường có vị trí gỉ bẩn, rác, đất. Cần điều tra mức độ gỉ của các dầm ngang theo các vị trí thường xuyên xuất hiện là:
- Ở bản cánh trên và bản cánh dưới trên đoạn nối dầm ngang với bản nút nằm ngang của hệ liên kết dọc giữa hai thanh dàn chủ.
- Ở bên dưới vị trí cống nước thải từ toa tàu.
Đôi khi tại các vị trí đó có vết gỉ ăn thủng hết độ dày bản thép.
d. Trong kết cấu có bước đinh tán liên kết hơn 160-200 mm thì giữa các bộ phận không được liên kết chặt chẽ khiến cho gỉ dễ dàng xuất hiện và phát triển, đôi khi gỉ nặng đến mức các bộ phận gỉ trương nở ra làm cong phình một số đoạn chi tiết thép góc, làm đứt đầu đinh tán. Khi điều tra cần tìm và mô tả loại hư hỏng nói trên.
e. Trong các kết cấu nhịp dàn chạy dưới cần xem xét phát hiện các vết gỉ ở các thanh của hệ lên kết dọc trên giữa hai dàn chủ.
f. Cần lưu ý sự phát triển của gỉ trên các bề mặt tiếp xúc có thể ăn mòn, làm mủn các cấu kiện được nối với nhau. Nguyên nhân là do các sai sót về cấu tạo ở các loại dàn cũ như: các khe hở quá nhỏ, có các hốc lõm chứa rác bẩn và đọng nước, bước đinh quá dài.
Đối với loại dàn cũ có các thanh chéo bằng thép hoặc thép góc mà đầu của chúng kẹp hai bên sườn đứng của thanh biên dàn thường bị gỉ ở chỗ nối vào sườn đứng đó.
Hư hỏng gỉ loại này cũng có thể tìm thấy ở các thanh biên dưới của dàn chủ, ở đó trong các tập bản thẳng đứng có các đinh tán cách xa nhau và trong thanh chéo của hệ liên kết dọc gồm hai thanh thép góc cũng thường có bước đinh quá dài. Các đàn Pigeau cũ do Pháp để lại thường có vết gỉ này.
g. Yêu cầu khi điều tra các chỗ gỉ phải ghi chép mô tả, thể hiện trên bản vẽ sơ họa, đo chiều dày bằng thép còn lại sau khi đập bỏ vết gỉ lấy số liệu phục vụ tính toán lại kết cấu.
Khi cần thiết có thể lấy mẫu sản phẩm gỉ đem về phòng thí nghiệm để phân tích hóa học.
5.3.1.4. Điều tra các hư hỏng về mặt cơ học và phá hoại dàn
Các hư hỏng thường xuất hiện trong thời gian khai thác cầu do tàu xe va quệt vi khổ giới hạn thiếu. Cũng có thể do lỗ chế tạo và lắp dựng. Rất nhiều hư hỏng cơ học là do bom đạn gây ra trong chiến tranh.
Khi điều tra cần phân biệt các dạng hư hỏng cơ học sau đây:
- Đứt các bộ phận đơn lẻ.
- Cong vênh, méo cục bộ.
- Các lỗ thủng, vết lõm, vết đập.
Phải điều tra kỹ mọi bộ phận có hư hỏng cơ học. Mức độ nguy hiểm của chúng được đánh giá tùy trường hợp cụ thể theo kích thước hư hỏng, trạng thái ứng suất và sự thay đổi trạng thái ứng suất do có hư hỏng.
a. Đối với các bộ phận bị va đập phải điều tra kỹ tìm vết nứt ở vùng bị va đập trực tiếp và vùng biến dạng cưỡng bức. Trong các bộ phận bị cong vênh thường có ứng suất dư, nếu đó là bộ phận chịu nén mà lại bị cong vênh thì khả năng chịu lực sẽ bị giảm nhiều do chịu uốn dọc.
Các chỗ cong vênh được đo theo chỉ dẫn ở điều 5.4.4
Nếu đường tên ở chỗ cong vênh của cấu kiện bị nén lớn hơn 1/7 bán kính quán tính mặt cắt trong mặt phẳng cong vênh, còn trong cấu kiện chịu kéo mà đại lượng nói trên lớn hơn 1/10 chiều cao mặt cắt thì phải tính toán lại xem có cho phép để nguyên sự cong vênh mà vẫn cho thông xe hay không. Nếu không được thì cần kiến nghị về việc tăng cường sửa chữa và theo dõi đặc biệt ngay.
b. Cần đặc biệt lưu ý các thanh bị nén có mặt cắt tổ hợp mà bị hư hỏng cong vênh đồng thời ở hệ thanh giằng, bản giằng giữa các nhánh của cấu kiện. Phải tính toán lại ngay nếu cần phải gia cố ngay.
Các hư hỏng do phá hoại giòn rất ít gặp ở nước ta vì không có nhiệt độ âm nhưng khi điều tra các kết cấu thép được hàn nối hoặc hàn vá có thể phát hiện vết nứt do công nghệ hàn kém chất lượng, đặc biệt là do dùng thép hình, thép bản chế tạo từ loại thép sôi của Liên Xô cũ. Loại thép này không chịu hàn. Sự phá hoại giòn xảy ra là do phát triển tức thời các biến dạng dẻo không thể hiện rõ rệt.
5.3.2. Đối với dầm thép liên hợp bản bê tông cốt thép
Khi điều tra dầm thép liên hợp bản bê tông cốt thép ngoài vấn đề như đối với dầm thép, cần điều tra trạng thái liên kết giữa bản bê tông cốt thép với thép, các chỗ sứt vỡ, nhũ vôi ở bề mặt đáy bê tông cốt thép và các hư hỏng khác.
Đối với các dầm có chiều cao lớn, có thể xuất hiện các chỗ phình cong ở bản bụng do biến dạng khi chế tạo. Nếu điều tra thấy đường tên của chỗ phình này lớn quá 15-20 mm thì phải làm thêm các sườn tăng cường ngay.
5.3.3. Đối với kết cấu nhịp bằng đá xây, bê tông, bê tông cốt thép
Các dạng hư hỏng thường gặp cần phải được điều tra là: các vết nứt, sứt vỡ bê tông, bong vỡ lớp bê tông bảo hộ cốt thép, rỗ bề mặt bê tông, hỏng lớp cách nước.v.v...
Trong kết cấu bê tông cốt thép thường, cần tìm vết nứt ở vùng chịu kéo khi ứng suất lớn hơn cường độ chịu kéo tính toán của bê tông, lưu ý rằng độ rộng vết nứt đến 0,2 mm là đã được Quy trình thiết kế cho phép.
Các vết nứt trong dầm bê tông cốt thép dự ứng lực cần được lưu ý hơn, đặc biệt nếu dầm có cốt thép dự ứng lực dạng bó sợi thẳng, bó sợi xoắn, bó sợi đơn hoặc cáp.
Nói chung khi dầm bê tông cốt thép có vết nứt nhìn thấy được bằng mắt thường thì đều có thể làm giảm năng lực chịu tải và ảnh hưởng đến độ bền dài hạn của cầu do tác động ăn mòn: ví dụ các vết nứt xiên trong bụng dầm hay vết nứt dọc ở chỗ tiếp giáp bụng dầm với đáy bản máng ba lát.

Hình 4. Các dạng vết nứt trong kết cấu nhịp dầm
Phải phân tích các vết nứt đã phát hiện được để xác định ảnh hưởng của vết nứt đến năng lực chịu tải và tuổi thọ của kết cấu có xét đến khuynh hướng phát triển của chúng.
5.3.3.1. Phân loại các vết nứt
a. Vết nứt co ngót: (Hình 4.a)
Thường xuất hiện trong lớp bề mặt của bê tông do quá trình co ngót không đều.
- Nguyên nhân là do hàn lượng xi măng quá nhiều trong hỗn hợp bê tông, cách bố trí cốt thép không hợp lý, đặc điểm của dạng kết cấu.v.v....
- Dấu hiệu đặc trưng của vết nứt do co ngót là chúng phân bổ ngẫu nhiên, không định hướng, chiều dài ngắn và nhỏ li ti.
- Các vết nứt co ngót có thể phát triển thành vết nứt do lực.
b. Vết nứt nghiêng: (Hình 4.b)
- Xuất hiện ở bụng dầm do ứng lực kéo chủ quá lớn.
- Đặc biệt nguy hiểm trong các kết cấu dự ứng lực vì có thể giảm nhiều năng lực chịu tải.
- Cần đánh giá sự giảm năng lực chịu tải bằng cách tính toán.
c. Vết nứt dọc: (Hình 4.c)
- Xuất hiện ở chỗ tiếp giáp đáy bản máng ba lát với bụng dầm, được coi là nguy hiểm vì làm giảm đáng kể năng lực chịu tải của kết cấu nhịp.
- Nguyên nhân chính là do sai sót công nghệ chế tạo kết cấu nhịp.
d. Vết nứt ngang trong bản máng ba lát (Hình 4.d)
- Nguyên nhân là mô men uốn âm tạo ra quá lớn lúc cẩu dầm để lắp ghép, hoặc do dự ứng lực nén quá mạnh.
- Ở các dầm giản đơn thì trong quá trình khai thác, các vệt nứt này có thể bị khép lại.
e. Vết nứt ngang trong bầu dưới ở vùng chịu kéo chứa cốt thép dự ứng lực: (Hình 4.e)
- Vết nứt này chứng tỏ thiếu dự ứng lực, mất mát dự phòng ứng suất quá nhiều do có co ngót, từ biến bê tông và mấu neo làm việc không bình thường.
- Các vết nứt này không làm giảm khả năng chịu tải tính toán của kết cấu nhịp nhưng có thể tạo Điều kiện cho gỉ ăn mòn cốt thép dự ứng lực và giảm dần tuổi thọ của nó.
f. Vết nứt dọc trong bầu dầm chứa cốt thép dự ứng lực: (Hình 4.f)
- Xuất hiện ngay trong những năm đầu khai thác cầu.
- Nguyên nhân là do các biến dạng ngang lớn khi dự ứng lực nén mạnh bê tông và do co ngót bị cản trở.
- Hậu quả là gỉ nhanh và trầm trọng ở cốt thép dự ứng lực, các sản phẩm do gỉ tạo ra sẽ trương nở làm vỡ to thêm vết nứt khiến cho gỉ càng nhanh hơn và sớm phá hoại kết cấu nhịp.
g. Vết nứt nằm ngang ở đoạn đầu kết cấu nhịp: (Hình 4.g)
- Xuất hiện do ứng suất cục bộ quá lớn dưới mấu neo cốt thép dự ứng lực.
- Phát triển trong thời kỳ đầu khai thác cầu.
h. Vết nứt ở bên trên thớt gối: (Hình vẽ 4.h)
- Nguyên nhân là do cấu tạo cốt thép đặt đầu dầm không đủ và cấu tạo dầm không hợp lý (neo đặt quá sát nhau, thớt gối ngắn.v.v...)
- Sự làm việc của gối cầu có ảnh hưởng lớn đến loại vết nứt này.
- Nếu gối di động bị kẹt, không hoạt động tốt sẽ gây ra các ứng lực phụ làm tăng các vết nứt này.
- Cũng có thể do kết cấu nhịp không tựa khít đều lên gối cầu làm cho tác động xung kích của tàu chạy qua cầu bị tăng lên.
i. Vết nứt ở mối nối dầm ngang: (Hình vẽ 4.i)
- Xuất hiện trong cầu lắp ghép có dầm ngang với mối nối ướt, có đổ bê tông bịt mối nối.
- Nguyên nhân do sai sót khi thi công.
- Có thể gây ra sự phân bố nội lực không đồng đều giữa hai dầm chủ và dần dần làm giảm dần tuổi thọ cũng như năng lực chịu tải của kết cấu nhịp.
j. Các vết nứt khác
- Xuất hiện trong các cột, thân vòm trong cầu vòm bê tông cốt thép.
- Trong các cầu đá xây và cầu bê tông kiểu vòm thường có vết nứt ở chân vòm và đỉnh vòm.
Trong các hệ siêu tĩnh ngoài bằng bê tông cốt thép hay đá xây còn có các vết nứt do lún hay biến dạng của mố trụ.
5.3.3.2. Đánh giá ảnh hưởng của vết nứt
Để đánh giá ảnh hưởng của vết nứt đến năng lực chịu tải của tuổi thọ của kết cấu, làm rõ nguyên nhân xuất hiện vết nứt, cần phải có các số liệu điều tra về độ rộng vết nứt và sự biến đổi độ rộng đó, đặc điểm bố trí vết nứt, chiều dài vết nứt, trạng thái chung của cả công trình và lập thành bản vẽ điều tra.
Có thể phát hiện vết nứt ngầm bằng máy dò siêu âm. Cần đánh dấu các đầu vết nứt lên bề mặt bê tông bằng sơn, ghi rõ ngày điều tra và ghi chép vào sổ theo dõi, chụp ảnh chi tiết.
Độ rộng vết nứt được đo bằng kính phóng đại có vạch chia độ. Vị trí đo phải đánh dấu cố định để theo dõi lâu dài và đo lại khi cần thiết.
Cần quan sát tiến triển của vết nứt trên kết cấu như sau:
- Đo lại một cách định kỳ.
- Ghi chép đặc điểm vào sổ theo dõi vê nứt, có ghi chú về nhiệt độ, thời tiết và tải trọng lúc đó.
- Dán băng thạch cao băng qua vết nứt đang tiến triển. Khi vết nứt tăng lên sẽ làm nứt băng thạch cao đó và dễ phát hiện.
- Dấu hiệu bên ngoài của vết nứt nguy hiểm đang phát triển là vết gỉ đậm màu trên bề mặt bê tông, lúc đó cốt thép đã bị gỉ nặng.
- Nếu thấy vết nhũ trắng là dấu hiệu cho biết đá xi măng đã bị khử kiềm trong vùng bị nước thấm qua bê tông.
Khi điều tra bê tông cốt thép, bê tông, đá xây cần đặc biệt xem xét đánh giá chất lượng chế tạo kết cấu.
5.3.3.3. Các hư hỏng không nhìn thấy được
Các hư hỏng không nhìn thấy được (rỗng, rỗ trong lớp bảo hộ...) có thể phát hiện bằng phương pháp đơn giản là dùng búa gõ. Nếu búa đập vào bê tông tốt thì âm thanh đanh, vang dội. Nếu đập vào bê tông có rỗng, xốp, phân lớp thì có tiếng đông đục, tắt ngay.
5.3.3.4. Khi điều tra cần xem xét tình trạng hệ thống thoát nước và lớp cách nước mặt cầu.
Nếu chúng có chất lượng còn tốt thì đảm bảo được tuổi thọ. Nếu ngược lại thì nước sẽ thấm qua bê tông, kiềm hóa đá, xi măng và gây rỉ cốt thép.
Dễ dàng phát hiện các vùng hư hỏng lớp cách nước nhờ các nhũ vôi xuất hiện trên bề mặt đáy bản máng ba lát hay bề mặt bụng dầm.
Biến dạng của kết cấu nhịp dự ứng lực chịu ảnh hưởng của co ngót và từ biến bê tông, sự có mặt của vết nứt, sự hư hỏng ở mấu neo cốt thép dự ứng lực v.v...
Muốn đánh giá đúng các ảnh hưởng này phải định kỳ cao đạc lại kết cấu nhịp, so sánh các kết quả cao đạc và kết quả điều tra định kỳ có thể rút ra được thông tin quan trọng về sự thay đổi tình trạng chịu lực mà đánh giá độ tin cậy và tuổi thọ kết cấu. Thời gian định kỳ là 1 năm có 1 lần đo vào sau mùa lũ. Trường hợp cầu có vấn đề đặc biệt thì đo kiểm tra theo yêu cầu của cơ quan quản lý Nhà nước.
5.3.4. Điều tra mố trụ và móng
Khi điều tra mố trụ cần lưu ý phát hiện các dạng hư hỏng điển hình gồm:
- Các vết nứt.
- Sứt vỡ khối đá xây.
- Chuyển vị và biến dạng của bản thân mố trụ như: lún, nghiêng lệch, trượt.
- Hiện tượng trượt sâu của cả mố trụ cùng với nền.
Cần phân biệt các dạng vết nứt như sau:
- Vết nứt bề mặt.
- Vết nứt sâu.
- Vết nứt xuyên.
5.3.4.1. Điều tra vết nứt
Căn cứ dạng bề ngoài của vết nứt có thể xác định nguyên nhân xuất hiện và phát triển của nó.
a. Nguyên nhân các vết nứt nhỏ ngẫu nhiên phân bố trên bề mặt bê tông thường là do ứng suất nhiệt độ, xuất hiện khi thay đổi đột ngột nhiệt độ khí quyển hoặc do đặc điểm của quá trình hóa học diễn ra khi bê tông đang hóa cứng. Các vết nứt thẳng đứng, rộng ở phía dưới và hẹp dần ở phía trên thường là dấu hiệu của mố trụ bị lún không đều hoặc tình trạng khả năng chịu lực của đất nền không đủ.
b. Nếu gối cầu bị kẹt, không đảm bảo cho kết cấu nhịp chuyển vị tự do theo sơ đồ tính toán thì xuất hiện lực đẩy ngang lớn có thể gây ra vết nứt thẳng đứng phân tách phần tường trước mố với phần tường cánh, vết nứt này to ở phía trên và hẹp dần ở phía dưới, bắt đầu từ mép trên của mố. Nếu áp lực đất sau mố tăng lên do đất bị no nước hoặc do hoạt tải tăng có thể gây ra các vết nứt thẳng đứng như trên và cả các vết nứt nằm ngang ở tường trước hay tường cánh mố.
Các khối xây đá của mố trụ cũ có thể nứt vỡ ở vùng đặt đá kê gối. Khi điều tra nên dùng búa gõ nhẹ để kiểm tra các chỗ mạch vữa xây bị hỏng.
Trên các sông có nước chảy mạnh thường có hiện tượng mài mòn và làm hỏng mạch vữa xây đá, ăn mòn phần mố trụ bị ngập nước, có thể tạo ra các hốc lõm nguy hiểm làm giảm yếu tố mặt cắt thân mố trụ.
Trên đỉnh tường đầu của mố nếu chất lượng bê tông hay khối đá xây kém và trên đó lại đặt mối nối ray thì có thể xuất hiện các vết nứt thẳng đứng đi từ đỉnh tường đầu mố xuống.
c. Trong mố trụ bằng bê tông đôi khi có thể thấy vết nứt nằm ngang do lỗi thi công khiến cho các khe nối giữa các đợt đổ bê tông không được liên kết tốt. Ở các mố trụ khối lượng lớn cũng có thể thấy các vết nứt thẳng đứng phân bố ngẫu nhiên do nhiệt tỏa ra không đều trong quá trình bê tông hóa cứng.
d. Đối với các thân trụ mố kiểu cột tròn hay lăng trụ cần điều tra tìm các vết nứt thẳng đứng cũng như tình trạng gỉ cốt thép nặng làm vỡ tung lớp bê tông bảo hộ ở đoạn có độ ẩm ướt thay đổi do mức nước lên xuống.
Đối với các xà mũ bê tông cốt thép của mố trụ nên tìm các vết nứt thẳng đứng và vết nứt xiên do các yếu tố lực gây ra (do lún mố trụ không đều, do bố trí các cọc cột không đúng vị trí cần thiết, do hư hỏng gối cầu vv...). Cũng cần điều tra kỹ ở chỗ cột ngàm vào xả mũ là nơi có thể bị nứt vòng quanh.
5.3.4.2. Điều tra về chuyển vị
Các nguyên nhân gây chuyển vị quá mức ở mố trụ cụ thể là:
- Xói quá sâu ở móng mố trụ.
- Khả năng chịu lực của đất nền không đủ.
- Áp lực ngang của đất tăng lên.
- Hiện tượng trượt sâu.
Khi điều tra cần nhận xét sự xê dịch của các gối di động, sự mở rộng hay co hẹp lại của các khe hở giữa đầu kết cấu nhịp với mố để phát hiện các chuyển vị quá mức. Nếu phát hiện được hoặc nghi ngờ cần tiến hành đo đạc chi tiết bằng máy cao đạc và máy kinh vĩ.
Cần nhận xét hiện trạng nối tiếp cầu vào đường. Nếu mái dốc nón mố quá dốc thì dễ xảy ra sụt lở, lún tà vẹt, lún ray, biến dạng và ứng suất trong ray tăng lên có thể đến mức nguy hiểm.
5.3.5. Yêu cầu điều tra hồ sơ các hư hỏng và khuyết tật
Mọi kết quả điều tra các hư hỏng và khuyết tật được thể hiện bằng hình vẽ sơ họa về vị trí, hình dạng độ lớn các hư hỏng khuyết tật, bằng các ảnh chụp và bản thuyết minh mô tả của từng hư hỏng theo thứ hạng đã quy định.
Đối với từng kết cấu nhịp, từng mố trụ, các kết quả điều tra được tập hợp riêng. Sau đó ghép lại thành bộ hồ sơ chung có phần tổng quan nhận xét và các đề nghị chung với toàn cầu.
5.4. Xác định hệ số phân bố ngang
Cần phải đặt máy đo độ võng ở đáy các dầm chủ (dàn chủ) hoặc các dầm dọc tại mặt cắt giữa nhịp để đo các độ võng fi tại mỗi điểm. Hệ số phân bố ngang thực tế ứng với cách xếp tải đã chọn thực tế của dầm (dàn) thứ i được tính theo công thức tổng quát:
(3)
Trong đó:
n- số lượng dầm dàn cùng chịu lực, được đặt máy đo độ võng.
5.5. Điều tra, đo đạc biến dạng, chuyển vị, dao động kết cấu.
5.5.1. Đo biến dạng
Dụng cụ đo ứng biến trên kết cấu thép, bê tông có thể là các tenxơmét kiểu cơ khí hoặc máy đo điện với các lá điện trở dán trên bề mặt kết cấu, có cấu tạo và độ chính xác phù hợp với dạng vật liệu kết cấu.
Mọi phép đo phải lặp tại ít nhất 3 lần để có được một nhóm kết quả đo tương ứng.
Để đo biến dạng của cốt thép chịu kéo trong lòng bê tông, nhất thiết phải đục bỏ tạm thời một đoạn lớp bê tông bảo hộ đủ để gắn thiết bị đo trực tiếp vào cốt thép. Sau khi kết thúc quá trình đo, hoàn trả lớp bê tông bảo vệ bằng keo epoxy.
Không được suy diễn từ biến dạng của bê tông vùng chịu kéo ra biến dạng của cốt thép trong vùng chịu kéo tương ứng.
Các điểm đo biến dạng phải được ghi rõ trong đề cương kiểm định cầu.
Trên mỗi mặt cắt được đo cần bố trí các điểm đo biến dạng sao cho có thể dựa vào kết quả đo để sơ họa biểu đồ biến dạng trong mặt cắt tương ứng và tìm được vị trí thực tế của Trục trung hòa trong mỗi trường hợp đặt tải thử nghiệm.
Các phép đo phải do các nhân viên kỹ thuật có tay nghề cao của các cơ quan có đủ năng lực thí nghiệm đảm nhận tổ chức thực hiện.
5.5.2. Đo chuyển vị
Các chuyển vị cần đo chủ yếu là:
- Độ võng của các điểm đặc trưng của mỗi kết cấu nhịp (tại mặt cắt 1/4, 1/2.v.v..).
- Độ võng tĩnh của kết cấu nhịp dưới tác dụng của tải trọng bản thân được đo đạc khi không có hoạt tải trên cầu được xác định bằng cách đo đạc chính xác bằng thiết bị cao đạc để xác định cao độ đáy dầm...
- Độ võng động do các đoàn hoạt tải được xác định bằng các thiết bị đo chuyển vị chuyên dụng được nêu trong đề cương kiểm định được chủ đầu tư phê duyệt.
- Độ lún của mặt cắt trên gối của kết cấu nhịp (đo ở đáy kết cấu nhịp).
- Độ lún ở các góc đặc trưng của mỗi mố trụ (đo tại cao độ đá kê gối, tường đỉnh mố và bệ móng). Trong trường hợp các điểm đo trên bị ngập nước, chôn vùi dưới đất... làm cho việc đặt thiết bị đo đạc khó khăn không thực hiện được thì có thể lựa chọn đo tại các vị trí lân cận, đảm bảo giá trị đo tin cậy và phải được tư vấn giám sát hiện trường chấp thuận.
- Độ nghiêng lệch so với phương thẳng đứng của đường trục thẳng đứng của trụ, của các bề mặt đứng mố trụ.
- Các chuyển vị nằm ngang dọc cầu của tâm bệ kê gối trên đỉnh mố trụ, của tâm gối, của đầu kết cấu nhịp (đặc biệt ở ở nơi có gối di động).
- Các chuyển vị nằm ngang của điểm đặc trưng của mặt cắt giữa nhịp (nếu cần thiết).
Chuyển vị được nêu ở đây bao gồm: Chuyển vị của kết cấu nhịp dưới tác dụng của tải trọng bản thân, chuyển vị do tải trọng thử, tải trọng đặc biệt hoặc tải trọng khai thác.
Kết quả đo các chuyển vị được thể hiện trong báo cáo kết quả kiểm định công trình, đưa ra những nhận xét đánh giá làm cơ sở kết luận tình trạng kỹ thuật hiện tại của công trình và là dữ liệu quan trọng phục vụ tính toán kiểm định công trình.
Trong những trường hợp mà qua giai đoạn thị sát phát hiện những nghi ngờ thì cần tiến hành các phép đo tương ứng do người điều tra đề nghị. Có thể đo độ lún bằng máy cao đạc độ chính xác cao như Ni-004, máy đo độ võng, trường hợp lấy số liệu sơ bộ có thể đo bằng máy cao đạc thông thường với mia có dán thêm giấy kẻ ly để đọc được đến 0,5 mm.
5.5.3. Đo độ mở rộng vết nứt
Để theo dõi sự mở rộng vết nứt một cách định kỳ có thể dán các băng thạch cao ngang qua vết nứt đang ở giai đoạn phát triển rồi định kỳ quan sát và thay bằng thạch cao khác nếu cái cũ đã bị nứt đứt. Khoảng thời gian đo định kỳ hàng tuần hay hàng ngày tùy theo mức độ phát triển và tầm quan trọng nguy hiểm của vết nứt.
Để đo độ mở rộng của vết nứt tĩnh phải dùng kính lúp có độ phóng đại 20 lần và vạch chia độ đến 0,05mm.
Để đo độ mở rộng của vết nứt dưới hoạt tải nên dùng đồng hồ chuyển vị có vạch chia độ đến 0,01 mm và có các bộ gá chuyên dùng gắn vào hai bên mép vết nứt, đồng hồ ở vị trí vuông góc với vết nứt.
Đối với các vết nứt xuyên dài, nguy hiểm, cần phải đặt một số đồng hồ đo cách nhau dọc theo vết để đo lấy số liệu phân tích.
5.5.4. Đo chu kỳ dao động, hệ số xung kích
Phép đo thực hiện bằng máy đo dao động được chấp nhận theo đề cương kiểm định. Điểm đo thường là giữa nhịp và ở phía dàn chủ hay dầm chủ nào chịu tải nhiều hơn.
Việc đọc và phân tích biểu đồ ghi của máy đo phải được làm bởi ít nhất hai người khác nhau một cách riêng rẽ rồi so sánh các nhận xét để tránh việc phân tích sai do biểu đồ ghi trên bảng giấy hay trên phim quá nhỏ.
Khuyến khích việc dùng các máy đo hiện đại có ghi các số liệu lên đĩa từ hoặc băng từ và xử lý kết quả bằng máy tính. Hiện nay sử dụng phổ biến máy đo dao động bằng đầu đo 3 chiều kết nối trực tiếp với máy tính để ghi, phân tích kết quả đo tương ứng từng trường hợp tải.
Để theo dõi sự biến đổi ứng suất trong cấu kiện dưới tác dụng của đoàn tàu di động qua cầu có thể dùng các lá điện trở và hệ thống máy đo điện nối với thiết bị xử lý để ghi dữ liệu.
Trong trường hợp những cầu có chiều cao mố trụ không lớn, có thể coi mố trụ có độ cứng lớn dẫn đến chuyển vị của mố trụ là 1 bậc tự do, điểm đo dao động đối với mố trụ là tại đỉnh bệ móng. Trường hợp khó khăn khi các điểm đo trên bị ngập nước, chôn vùi dưới đất... làm cho việc đặt thiết bị đo dao động tại đỉnh bệ móng không thực hiện được thì có thể lựa chọn đo tại các vị trí lân cận, đảm bảo giá trị đo tin cậy và phải được tư vấn giám sát hiện trường chấp thuận.
Riêng với trường hợp những cầu có chiều cao trụ lớn, cần thiết phải có các hồ sơ phân tích dao động riêng biệt, độc lập với các các phân tích, kết quả đo đạc được chỉ ra trong tiêu chuẩn này.
5.6. Lấy mẫu và thí nghiệm vật liệu
Khi điều tra nhất thiết phải tìm cách xác định một số đặc trưng cơ lý chủ yếu của vật liệu bằng các phương pháp không phá hoại hoặc có phá hoại mẫu.
Các thí nghiệm này được thực hiện trên kết cấu ở hiện trường và trên các mẫu lấy từ kết cấu thực tế đưa về phòng thí nghiệm.
5.6.1. Đặc trưng cơ lý của bê tông đá xây
5.6.1.1. Chỉ tiêu cơ bản cần xác định:
Chỉ tiêu cơ bản cần xác định là mác bê tông thực tế của từng bộ phận kết cấu chịu lực: bản bê tông cốt thép, sườn dầm bê tông cốt thép, vành vòm đá xây, thân mố trụ, cọc bê tông cốt thép v.v...
Phương pháp phổ biến ở nước ta hiện nay là dùng súng bật nảy kết hợp máy siêu âm. Nội dung phương pháp là dùng phương pháp không phá hoại sử dụng kết hợp máy đo siêu âm và súng bật nảy để xác định cường độ nén bê tông nặng.
Được phép chỉ dùng súng bật nảy trong giai đoạn điều tra thị sát. Ở giai đoạn điều tra chi tiết phải kết hợp cả súng bật nảy và máy siêu âm.
Những trường hợp đặc biệt có thể phải khoan lấy mẫu đưa về nén thử trong phòng thí nghiệm, nếu được phép của cấp có thẩm quyền.
Các kết quả đo phải được xử lý bằng các chuyên gia có đủ kinh nghiệm và thẩm quyền.
Số liệu đo gốc và kết quả xử lý thống kê được ghi trong phụ lục của hồ sơ kiểm định cầu. Số liệu này dùng để tính toán lại kết cấu.
Các phương pháp thử cường độ bê tông có phá hoại bề mặt kết cấu, thử độ dính bám.v.v... yêu cầu phải có các thiết bị đặc biệt và tài liệu chỉ dẫn riêng, được cấp có thẩm quyền cho phép mới được áp dụng.
Mô đun đàn hồi của bê tông, hệ số tỷ lệ mô đun đàn hồi của thép và của bê tông, dùng trong kiểm toán kết cấu được lấy theo đề nghị ở điều kết cấu bê tông cốt thép dựa theo số liệu mác bê tông thực tế đã thí nghiệm được.
5.6.1.2. Đối với đá xây
Nhận xét đánh giá bằng mắt thường về loại đá, điều tra hư hỏng mạch vữa, các vết nứt để tra bảng trong tiêu chuẩn thiết kế kết cấu bê tông, khối xây và đá xây (tham khảo phụ lục X) chọn cường độ tính toán dùng trong lúc kiểm toán kết cấu. Khi cần có số liệu đo đạc chính xác hơn, cần lấy mẫu trực tiếp và thí nghiệm xác định cường độ trong phòng thí nghiệm.
5.6.2. Đặc trưng cơ lý hóa của thép và cốt thép
Chỉ cần thí nghiệm trong một số trường hợp cụ thể do thẩm quyền yêu cầu.
Các đặc trưng của thép làm cầu do Pháp để lại trước năm 1954 có thể tham khảo tiêu chuẩn này.
Các đặc trưng của thép làm cầu do nước ngoài sản xuất nhập vào Việt Nam sau 1954 có thể tham khảo ở các tài liệu phù hợp như hồ sơ thiết kế lưu trữ, hồ sơ hoàn công lưu trữ, catalogue của nhà sản xuất công bố trên thị trường,....
Đối với mọi trường hợp không rõ mác cốt thép thì phải lấy mẫu thí nghiệm mang về phòng thí nghiệm.
5.6.3. Yêu cầu về thiết bị, cấp độ chính xác của các phép đo và thí nghiệm
5.6.3.1. Các dụng cụ thiết bị chuyên dùng tối thiểu cần phải có trong giai đoạn thị sát
Gồm có:
- Máy ảnh có cấu tạo phù hợp có thể chụp gần các vết hư hỏng và chụp từ xa.
- Ống nhòm.
- Kính lúp có vạch chia độ đến 0,05 mm để đo độ rộng vết nứt.
- Máy ghi âm.
- Nếu có Điều kiện thì mang theo máy quay camera để có thể ghi được đầy đủ tình trạng hư hỏng một cách chi tiết cũng như toàn cảnh của cầu. Khi về nhà có thể làm tài liệu để thảo luận phương án sửa chữa kỹ lưỡng hơn với người ở nhà.
- Đồng hồ đo chuyển vị có vạch chia độ đến 0,01 mm kèm theo các bộ gá vạn năng.
- Súng bật nảy có thể thử cường độ bê tông.
- Bộ thước thép là đo khe hở, các thước thép 2 m và 20 m.
Ngoài ra cần một số dụng cụ cơ khí khác thông dụng như búa gõ gỉ, bàn chải sắt, bàn cạo gỉ, đục sắt, dùi nhọn, búa gỗ thử đinh tán v.v...
5.6.3.2. Các dụng cụ thiết bị chuyên dùng tối thiểu phải có trong giai đoạn điều tra chi tiết
Gồm có:
- Các dụng cụ và thiết bị cần phải có như ở giai đoạn thị sát.
- Các máy móc trắc đạc: kinh vĩ, máy cao đạc, thước thép, mia, dây dọi v.v..
- Máy siêu âm thử cường độ bê tông và dò vết nứt bê tông.
- Các đồng hồ đo chuyển vị.
- Máy đo độ võng.
- Máy đo ứng - biến và các phụ tùng.
- Các tenxomet kiểu cơ khí.
- Máy đo chiều dày bê tông bảo hộ và đo đường kính cốt thép trong bê tông.
- Máy đo dao động.
Tất cả các máy đo đều phải được chuẩn lại chính xác trước mỗi đợt đi đo đạc lại hiện trường.
5.6.3.3. Các thí nghiệm ở hiện trường và trong phòng thí nghiệm
Các thí nghiệm phải được thực hiện theo các Tiêu chuẩn kỹ thuật và phương pháp đo đạc đã được cấp có thẩm quyền cho phép ban hành áp dụng.
5.6.3.4. Xử lý thống kê các kết quả thí nghiệm
Kết quả thử cường độ bê tông bằng súng bật nảy và máy siêu âm phải được xử lý bằng phương pháp xác suất thống kê.
Các kết quả thí nghiệm khác có thể lấy theo giá trị trung bình cộng.
5.7. Đặc trưng đất nền, khảo sát địa chất công trình (nếu cần)
Đối với các cầu cũ mà qua điều tra theo dõi duy tu hằng năm không phát hiện thấy các hư hỏng chuyển vị nghiêm trọng thì không cần khảo sát địa chất.
Trong mọi trường hợp cần thu thập các hồ sơ khảo sát địa chất cũ của cầu
Đối với những cầu đã phát hiện thấy dấu hiệu nghiêng lún mố trụ rõ rệt hoặc hiện tượng trượt sâu, hoặc cầu nằm trong vùng đất yếu, theo yêu cầu của cấp có thẩm quyền, có thể tiến hành khảo sát địa chất và thí nghiệm bằng các phương pháp từ đơn giản đến phức tạp: phương pháp xuyên tĩnh, phương pháp khoan lấy mẫu v.v...theo các tiêu chuẩn đã ban hành về công tác khảo sát địa chất.
5.8. Điều tra ảnh hưởng của môi trường
Công tác điều tra này chủ yếu nhằm đánh giá ảnh hưởng của môi trường nước và khí quyển đến sự ăn mòn thép, cốt thép, bê tông, khối xây đá, vữa xây.
Khi điều tra về các cầu ở vùng ven biển, vùng công nghiệp tập trung mang các yếu tố của môi trường ăn mòn cần áp dụng các quy định của Tiêu chuẩn Việt Nam TCVN 3994-85 về phân loại môi trường xâm thực.
5.8.1. Ảnh hưởng môi trường đến hiện tượng gỉ thép và cốt thép
Để đánh giá ảnh hưởng môi trường cần điều tra các số liệu sau:
- Nồng độ các chất ăn mòn trong nước:
+ Mg2+ (đơn vị đo mg/l);
+ NH42+ (đơn vị đo mg/l);
+ CO2 (đơn vị đo mg/l);
+ Tổng hàm lượng các muối khi có bề mặt bay hơi (g/l);
+ Độ pH của nước;
+ Độ cứng của nước.
- Nồng độ các chất ăn mòn có trong khí quyển (chia làm 3 nhóm khí theo TCVN 3994-85).
- Nồng độ các chất ăn mòn trong đất (sunfat SO42-) tính bằng mg trong 1 kg đất.
- Độ ẩm bình quân hàng năm ở khu vực cầu, số tháng có độ ẩm lớn hơn 70%.
- Hướng gió chủ yếu trong năm.
- Nhiệt độ bình quân hàng năm, hàng tháng.
- Tốc độ gỉ thép bình quân hàng năm đối với mẫu thép ngoài trời ở khu vực cầu hoặc gần đó.
- Nhận xét chung về tình trạng gỉ thép và cốt thép của cầu cũng như các công trình xây dựng khác trong khu vực có cầu.
Đặc biệt điều tra kỹ đối với công trình có cọc thép đóng trong vùng có mức nước lên xuống gần biển.
5.8.2. Tình trạng cacbonat hóa bê tông và ăn mòn đối với bê tông
5.8.2.1. Hiện tượng cacbonat hóa
Cần phải điều tra, mô tả vị trí và mức độ cacbonat hóa bê tông của kết cấu nhịp và mố trụ.
Dùng phenoltalein làm chất chỉ thị mầu để bôi lên mặt bê tông cần điều tra. Nếu độ pH>8,3 thì bề mặt vết bôi dung dịch sẽ có mầu đỏ chứng tỏ bê tông còn khả năng bảo vệ cốt thép chống gỉ.
Có thể dùng máy khoan hoặc máy mài tròn cầm tay để tạo ra một lỗ sâu hay vết rạch sâu 1-3 cm trên bề mặt bê tông, sau đó nhỏ dung dịch phenoltalein vào vết đó rồi nhận xét màu sắc suy ra mức độ cacbonat hóa theo chiều sâu từ bề mặt bê tông vào phía trong, cần phân biệt rõ hai vùng có màu sắc khác nhau: vùng đã bị cacbonat hóa và vùng còn nguyên. Đường mép ranh giới này không đều đặn mà mấp mô răng cưa, vị trí đỉnh răng cưa gần cốt thép chính là nơi nguy cơ gỉ cốt thép.
Khi điều tra cần nhận xét tình trạng bề mặt của bê tông. Chất lượng bề mặt xấu, gồ ghề là một trong các nguyên nhân chính làm tăng nhanh quá trình cacbonat hóa (các cầu cũ thường được thi công bằng ván khuôn gỗ không được bào nhẵn, không bôi trơn, ghép ván khuôn không được phẳng đều).
5.8.2.2. Hiện tượng kiềm hóa bê tông
Biểu hiện của hiện tượng này là các nhũ vôi trắng xuất hiện trên bề mặt bê tông. Nơi thường gặp nhũ vôi này là đáy bản máng ba lát đã bị nước thấm qua bê tông bản.
Nguyên nhân là do hoạt chất SiO2(2-) có trong cốt liệu gặp nước mưa thấm vào bê tông của máng balat cùng tác dụng hóa học với xi măng có chứa các chất kiềm.
Sản phẩm của phản ứng này được nước mưa thấm qua bản bê tông cốt thép đưa theo ra bề mặt đáy bản tạo ra các nhũ vôi, khi đó chứng tỏ bê tông bản đã bị rỗng xốp, có thể giảm cường độ.
5.8.2.3. Dự báo
Việc điều tra mức độ cacbonat hóa bê tông và kiềm hóa bê tông nhằm đưa ra những nhận xét sau:
- Những nhận xét về tình trạng ăn mòn bê tông và ảnh hưởng của nó đến mức độ ăn mòn cốt thép trong bê tông (nhận xét định tính).
- Nhận xét chung về mức độ giảm cường độ bê tông trong lòng kết cấu đã bị rỗng xốp nếu phát hiện thấy nhũ vôi ở bề mặt ngoài.
- Tính toán định lượng về số năm mà quá trình cacbonat hóa diễn ra sâu đến sát cốt thép và đoán thời điểm bắt đầu gỉ cốt thép. Từ đó kết hợp với các biện pháp khác về đánh giá tốc độ gỉ thép mà mức giảm diện tích chịu lực cốt thép.
5.9. Phân cấp sơ bộ trạng thái kỹ thuật cầu
Sau khi điều tra thị sát cũng như sau khi điều tra chi tiết cần phải phân cấp hạng trạng thái kỹ thuật của cầu để định hướng cho công tác sửa chữa gia cố nếu cần thiết.
Phân cấp trạng thái kỹ thuật của cầu như sau:
Cấp 0: Công trình không cần sửa chữa và chỉ có các hư hỏng nhỏ cá biệt.
Cấp I: Công trình có hư hỏng nhưng có thể khắc phục hoặc ngăn ngừa phát triển bằng việc bảo dưỡng thường xuyên hoặc bằng việc sửa chữa đơn giản (sơn sửa lớp phong nước, sửa mặt cầu).
Cấp II: Công trình có hư hỏng ở mức độ phải tiến hành công tác sửa chữa vừa và sửa chữa lớn.
Cấp III: Công trình có các hư hỏng không thể khai thác bình thường được nữa, yêu cầu phải sửa chữa ngay lập tức.
Việc phân hạng trạng thái kỹ thuật cần được đề nghị tương ứng với các hư hỏng ở bảng 2 như sau:
Bảng 2. Phần cấp sơ bộ cấp hạng kỹ thuật cầu
| Cấp hạng kỹ thuật | Các hư hỏng đặc trưng |
| ● Kết cấu nhịp thép | |
| 0 | Lớp sơn các cấu kiện dàn chủ bị hỏng ở vài chỗ riêng lẻ, cấu kiện hệ liên kết bị cong cục bộ. |
| I | Gỉ ít ở các cấu kiện dàn chủ, phần xe chạy bán nút, cấu kiện hệ liên kết, một số đinh tán bị lỏng yếu một cách cá biệt, một số cấu kiện riêng lẻ bị biến dạng. |
| II | Gỉ nặng phần xe chạy, bản nút, cấu kiện hệ liên kết. Gỉ ít ở cấu kiện chính của dàn, các nhóm đinh nối các cấu kiện chính bị lỏng yếu. Một vài cấu kiện liên kết cá biệt bị đứt. |
| III | Gỉ nặng các cấu kiện dàn chủ, phần xe chạy, bản nút và cấu kiện hệ liên kết, gây ra giảm yếu mặt cắt thép chịu lực không quá 10% lỏng đinh tán, có vết nứt mới ở cấu kiện dàn chủ, biến dạng và đứt thanh chéo dàn do hư hỏng cơ học vì tàu xe đâm va.... |
| ● Kết cấu nhịp bê tông cốt thép | |
| 0 | Các vết nứt cá biệt trên bề mặt bê tông có độ rộng ≤0,2 mm, vỡ lớp bảo hộ ở vài chỗ nhưng không để lộ cốt thép. |
| I | Nhiều vết nứt trong bê tông có độ rộng ≤0,2 mm, vỡ bê tông bảo hộ lõi cốt thép ở một số chỗ riêng lẻ, có hiện tượng khử kiềm bê tông và xuất hiện nhũ vôi ở một số chỗ riêng lẻ trên bề mặt bê tông. |
| II | Các vết nứt riêng lẻ có độ rộng >0,3 mm, trong đó có các vết nứt xuyên, vết nứt nghiêng ở sườn dầm, hư hỏng nặng bê tông bản do sự khử kiềm. Hư hỏng nặng lớp bê tông bảo hộ và gỉ cốt thép. Vết nứt trong kết cấu dự ứng lực quá 0,1-0,15mm. Hư hỏng liên kết ngang giữa các dàn chủ. |
| III | Nhiều vết nứt lớn quá 0,3 mm. Gỉ nặng cốt thép đến mức làm yếu giảm cốt thép hơn 10%. Hư hỏng nặng bê tông trên phần lớn bản. |
| ● Mố trụ, cầu đá, cầu bê tông | |
| 0 | Hư hỏng vữa xây trong vài mạch xây cá biệt, sứt vỡ bề mặt khối xây ở vài chỗ cá biệt sâu đến 3 cm trong mố trụ khối nặng. Độ rộng các vết nứt cá biệt đến 0,5 mm trong mố trụ khối. |
| I | Hư hỏng vữa xây ở phần lớn các mạch xây của mố trụ. Sứt vỡ khối xây bề mặt sâu đến 3 cm có chỗ cá biệt sâu đến 10 cm. Nhiều vết nứt rộng đến 0,5 mm, cá biệt rộng đến 2 mm trong mố trụ khối nặng, hoặc đạt đến các giá trị số tương ứng là 0,2 mm và 0,5 mm trong kết cấu bê tông cốt thép của mố trụ. |
| II | Hư hỏng vữa xây trong các mạch xây, cá biệt có chỗ đá xây bị trượt. Sứt vỡ sâu đến 10 cm trong khối xây, cá biệt sâu hơn 10 cm. Hư hỏng phần lớn lớp bảo vệ của kết cấu bê tông cốt thép và cốt thép gỉ đến 10% mặt cắt. Nhiều vết nứt quá 2 mm, cá biệt vết nứt đến 5 mm trong khối xây hoặc đạt đến các trị số tương ứng là 0,5 và 1 mm trong kết cấu bê tông cốt thép của mố trụ. |
| III | Hư hỏng vữa trong các mạch xây, cả hàng đá xây hoặc nhóm viên đá xây đã bị trượt, khối xây có chỗ vỡ sâu quá 10 cm. Kết cấu bê tông cốt thép có chỗ cốt thép gỉ quá 10% và bị biến dạng cốt thép. Các vết nứt xuyên tách kết cấu thành các phần. |
6. Tải trọng và hệ số tải trọng
6.1. Khái niệm chung
Các tải trọng liên quan đến công tác kiểm định các cầu đường sắt Việt Nam bao gồm các nhóm: tĩnh tải, hoạt tải thẳng đứng và các động tác kèm theo, tải trọng gió, tải trọng động đất, tải trọng va xô của tàu thuyền trên sông.
Các tải trọng nói trên được xét trong các tổ hợp tải trọng tiêu chuẩn và tổ hợp tải trọng tính toán để tính toán lại kết cấu cầu và nền móng theo các trạng thái giới hạn. Việc tổ hợp tải trọng khi tính toán kết cấu và nền móng cầu sẽ tuân theo quy định trong Quy trình được áp dụng để thiết kế xây dựng công trình.
Hoạt tải đoàn tàu đơn vị chuẩn T-1 lấy theo sơ đồ hoạt tải tương đương đoàn tàu tiêu chuẩn T-Z với trị số Z=1 T.
6.2. Tĩnh tải
6.2.1. Tải trọng tiêu chuẩn thẳng đứng
Tải trọng tiêu chuẩn thẳng đứng do trọng lượng kết cấu nhịp bê tông, đá xây, bê tông cốt thép, thép (bao gồm cả hệ kết cấu tầng trên của đường sắt trên cầu: ba lát, ray, tà vẹt, phụ kiện) được xác định theo kích thước thực tế của các bộ phận kết cấu nhịp và tỷ trọng vật liệu tương ứng.
6.2.2. Tỷ trọng các loại vật liệu.
| Ba lát đá | 1,7 | T/m3 |
| Ba lát đá cùng với tà vẹt, ray | 2,0 | T/m3 |
| Bê tông cốt thép | 2,5 | T/m3 |
| Bê tông nặng thông thường | 2,35 | T/m3 |
| Thép | 7,85 | T/m3 |
| Gỗ | 0,7 | T/m3 |
Tĩnh tải do trọng lượng bản thân kết cấu nhịp được coi là phân bố đều dọc nhịp cầu.
Tỷ trọng các vật liệu khác trên đây tham khảo trong các Quy chuẩn, tiêu chuẩn, Quy trình thiết kế hiện hành.
6.2.3. Trọng lượng thép của kết cấu nhịp, của các thiết bị trên cầu
Trọng lượng thép của kết cấu nhịp, của các thiết bị trên cầu được xác định theo kết quả đo vẽ khảo sát thực tế. Nếu không có các số liệu đo vẽ đủ mức tin cậy thì có thể căn cứ vào các hồ sơ thiết kế cầu cũ tương ứng nhưng phải xét thiên về an toàn và nêu rõ căn cứ trong bảng thuyết minh tính toán.
6.2.4. Phân phối tĩnh tải cho các bộ phận kết cấu
Trong các tính toán, sự phân phối tĩnh tải cho các bộ phận kết cấu chính và kết cấu phụ được lấy theo các phương pháp tính toán hệ số phân bố ngang thông thường, phù hợp với trình tự thi công kết cấu. Phải nêu rõ các căn cứ và giả thiết về sự phân bố này trong bản thuyết minh tính toán.
6.2.5. Tải trọng do áp lực ngang của đất và nước
Tải trọng do áp lực ngang của đất và nước tác dụng lên tường chắn được tính toán như đối với kết cấu cầu mới theo các quy định trong Quy trình được áp dụng để thiết kế xây dựng công trình.
Các trị số góc ma sát tiêu chuẩn của đất jtc, tỷ trọng đất đắp gtc phải lấy theo số liệu điều tra khoan lấy mẫu đất thực tế sau mố. Trường hợp không có đủ số liệu điều tra, được phép lấy như quy định của Quy trình được áp dụng để thiết kế xây dựng công trình.
6.2.6. Hệ số tải trọng đối với tĩnh tải
Hệ số tải trọng đối với các tải trọng tĩnh (trừ các tải trọng kê dưới đây) được lấy bằng 1,1.
Hệ số tải trọng đối với trọng lượng bản thân kiến trúc tầng trên đường sắt trên mặt cầu đường sắt có ba lát (bao gồm ba lát, tà vẹt, ray và phụ kiện) lấy bằng 1,3.
Hệ số tải trọng đối với trọng lượng tầng đệm, tầng cách nước, tầng bảo hộ và các tầng khác, trọng lượng phần mặt cầu lấy bằng 1,5.
Hệ số tải trọng đối với trọng lượng các bộ phận bằng gỗ lấy bằng 1,2.
Hệ số tải trọng đối với áp lực của đất gây ra đối với mố trụ cầu và cống lấy bằng 1,2.
6.3. Hoạt tải tàu
6.3.1. Hoạt tải của đoàn tàu thực tế
Hoạt tải của đoàn tàu thực tế tương ứng với các loại đầu máy đang chạy trên tuyến được lấy theo quy định của Cơ quan có thẩm quyền trong các Công lệnh tải trọng xuất bản gần nhất.
Trường hợp đầu máy chưa được đề cập đến trong tài liệu nói trên phải lấy theo các số liệu trong lý lịch kỹ thuật của đầu máy thực tế về tải trọng trục và sự phân bố tải trọng các trục.
Có thể tham khảo thông tin về tải trọng đoàn tầu thực tế ở Phụ Lục X.
6.3.2. Tính toán đẳng cấp của các đoàn tàu thực tế
Tính toán đẳng cấp của các đoàn tàu thực tế ứng với mỗi đường ảnh hưởng nội lực các bộ phận kết cấu chịu lực, sử dụng các số liệu tải trọng rải đều tương đương đoàn tàu đơn vị chuẩn T-1 nêu trong phụ lục A-1.
6.3.3. Đoàn tầu thử tải
Hoạt tải thử cầu phải được xác định theo quy định tại điều 4.1.8b.
Hoạt tải của đoàn tàu thử tải được đề xuất trong Đề cương kiểm định cầu đảm bảo tương ứng với các tải trọng khai thác trên tuyến qua cầu: tương ứng về tải trọng trục bánh xe, hiệu ứng tải tác dụng lên kết cấu. Đoàn tầu thử tải phải được chấp thuận của cơ quan có thẩm quyền trước khi tiến hành lưu hành trên tuyến và thử tải cầu.
6.3.4. Hệ số xung kích
Hệ số xung kích được dùng trong tính toán lại các kết cấu nhịp thép và bê tông cốt thép lấy theo Quy trình được áp dụng để thiết kế xây dựng công trình. Khi đó các số liệu thử tải động thực tế của cầu đang được xét thì phải tính toán theo trị số thực đo được của hệ số xung kích.
6.3.5. Trong các tính toán về mỏi
Trong các tính toán về mỏi, hệ số xung kích (1+m) được giảm xuống còn bằng (1+2/3m) bằng cách xét thêm hệ số chuyển đổi q (Phụ lục D).
6.3.6. Hệ số tải trọng đối với các đoàn tàu
Hệ số tải trọng đối với các đoàn tàu trong mọi tổ hợp tải trọng lấy bằng 1,15 (không phụ thuộc chiều dài đặt tải), kể cả tải trọng thẳng đứng đoàn tàu, lực hãm và lực ly tâm.
6.3.7. Tải trọng do lực ly tâm của đoàn tàu
Tải trọng do lực ly tâm của đoàn tàu được tính toán khi kết cấu nhịp nằm trên đoạn tuyến cong. Quy ước coi đó là tải trọng nằm ngang rải đều qc đặt ở chiều cao 2,0m kể từ đỉnh ray và hướng theo bán kính về phía tâm của đoạn tuyến cong.
Khi xác định đẳng cấp của kết cấu nhịp, ảnh hưởng của lực ly tâm được tính với hệ số yc (Phụ lục R).
Tải trọng do lực ly tâm lấy bằng C0 phần trăm (nhưng không lớn hơn 15%) của hoạt tải cho phép cần tìm không kể hệ số xung kích.
(4)
Trong đó:
V Tốc độ tính toán của đoàn tàu, km/h.
r0 Bán kính đoạn tuyến cong, m.
Khi tính toán kết cấu nhịp cầu trên đoạn tuyến cong, không xét đến các vấn đề sau:
- Mức độ xê dịch trọng tâm đoàn tàu về phía tâm đường cong do có siêu cao.
- Mức độ xê dịch thực tế của tim đường so với tim dọc kết cấu nhịp trong những trường hợp mà tim đường cũng xê dịch về phía tâm đường cong.
6.3.8. Tải trọng do lực hãm hoặc lực khởi động đoàn tàu
Tải trọng do lực hãm hoặc lực khởi động đoàn tàu quy ước là tải trọng nằm ngang hướng dọc nhịp cầu, đặt ở chiều cao 2,0m so với đỉnh ray.
Khi tính đẳng cấu kết cấu nhịp, ảnh hưởng của lực hãm được xét đến bằng 10% trọng lượng hoạt tải mà không kể đến hệ số xung kích.
Trong tính toán không xét đến mô men và áp lực thẳng đứng ở nút gối của dàn truyền lực hãm ở cao độ tim của biên dàn có đặt tải.
Tính toán kết cấu nhịp đường sắt đôi thì tải trọng do lực hãm hay lực khởi động từ một đường sắt và hoàn toàn truyền lên biên dàn nào gần nhất do với đường sắt đó.
6.4. Hoạt tải tác dụng lên 2 bên công son
6.4.1. Cường độ tải trọng tiêu chuẩn thẳng đứng
Cường độ tải trọng tiêu chuẩn thẳng đứng tác dụng trên vỉa hè cầu bê tông cốt thép đường sắt có máng ba lát lấy bằng 1 T/m2.
6.4.2. Cầu đi chung đường sắt và đường ô tô
Cầu đi chung đường sắt và đường ô tô, cường độ tải trọng tiêu chuẩn thẳng đứng dưới tác dụng trên vỉa hè lấy bằng 0,3 T/m2.
6.4.3. Hệ số tải trọng đối với tải trọng tác dụng trên vỉa hè
Hệ số tải trọng đối với tải trọng tác dụng trên vỉa hè của cầu lấy bằng 1,4.
6.5. Hoạt tải ô tô
6.5.1. Loại hoạt tải ô tô tiêu chuẩn
Loại hoạt tải ô tô tiêu chuẩn được quy định trong nhiệm vụ kiểm định cho mỗi trường hợp hợp cầu đi chung đường sắt và đường bộ (cần kết hợp áp dụng quy định của quy trình / tiêu chuẩn kiểm định cầu đường ô tô hiện hành).
6.5.2. Đặc trưng kỹ thuật
Hoạt tải ô tô trị số tải trọng rải đều tương đương và các đặc trưng kỹ thuật của hoạt tải ô tô tiêu chuẩn H10, H13, H30 và xe xích X60, xe bánh nặng XB-80 đối với công trình thiết kế theo phương pháp trạng thái giới hạn hoặc lấy theo các Quy trình Thiết kế cầu hiện hành được áp dụng để thiết kế xây dựng công trình này. Để thuận tiện trong các tính toán nên tham khảo thêm các thông tin tương ứng trong Quy trình kiểm định đường ô tô hiện hành.
Tải trọng tính toán có thể được xem xét chính là phương tiện giao thông thực tế chạy trên cầu.
Các giá trị đặc trưng có thể tham khảo trong các Quy trình Thiết kế cầu và các dữ liệu thống kê hoặc đếm xe thực tế đối với công trình cầu tương ứng
6.5.3. Trường hợp cần tính toán cầu đi chung
Trường hợp cần tính toán cầu đi chung đường sắt - đường ô tô dưới tải trọng ô tô khác, cần phải tuân theo quy định riêng của cấp có thẩm quyền đối với tải trọng ô tô cụ thể áp dụng riêng cho cầu đang được xét.
6.6. Tải trọng gió
6.6.1. Áp lực tiêu chuẩn của tải trọng gió nằm ngang
Áp lực tiêu chuẩn của tải trọng gió nằm ngang theo hướng ngang cầu (T/m2) đối với các bộ phận kết cấu nhịp của đoàn tàu trên cầu là:
Wn = q0.Kh.Cw (5)
Trong đó:
q0 Áp lực do gió (T/m2), lấy theo các quy định của Quy trình thiết kế hiện hành.
Kh Hệ số, xét đến sự thay đổi áp lực gió tùy theo chênh lệch độ cao của các bộ phận kết cấu nhịp và đoàn tàu trên cầu so với cao độ mực nước thấp nhất hoặc so với cao độ mặt đất.
Cw Hệ số khí động học của sức cản của mặt bên đối với cấu kiện của kết cấu nhịp (dàn chủ, phần xe chạy) hoặc đối với đoàn tàu.
Hệ số Kh và Cw theo chỉ dẫn trong Phụ lục R.
Trị số của Wn tính được theo công thức nói trên phải lấy không nhỏ hơn 0,125 T/m2.
6.6.2. Cường độ rải đều dọc nhịp của tải trọng gió nằm ngang
Cường độ rải đều theo phương dọc nhịp của tải trọng gió nằm ngang tiêu chuẩn tác dụng lên các biên dàn (T/m) là:
(6)
Trong đó:
Fv Diện tích bề mặt hứng gió tính toán (m2), lấy như sau:
- Đối với dàn chủ (FV1): là phần diện tích được hạn chế trong đường bao lý thuyết quanh dàn, nhân với hệ số chắn gió, bằng:
+ 0,20, đối với dàn tam giác, dàn có thanh chéo hoặc dàn có mạng hình thoi.
+ 0,25, đối với dàn có các đôi thanh xiên bắt chéo nhau.
+ 0,30, đối với dàn có mạng các thanh xiên bắt chéo nhau.
- Đối với phần xe chạy (FV2): lấy bằng bề mặt bên tổng cộng của các dầm dọc mặt cầu và ray, mà không bị các thanh biên của dàn chủ che khuất gió.
- Đối với dầm chủ đặc bụng: lấy bằng bề mặt của bên dầm chủ hứng gió.
- Đối với đoàn tàu (FV3): lấy bằng diện tích hình chữ nhật cao 3m với tâm áp lực gió đặt ở chiều cao 2m so với đỉnh ray.
h0 Hệ số phân bố tải trọng gió cho các biên dàn chủ, lấy theo Bảng 3.
v Nhịp tính toán của dàn liên kết dọc trên dàn liên kết dọc dưới nằm ngang, bằng khoảng cách giữa các nút dưới của khung cổng cầu, (m)
Nếu sau khi tính toán được đẳng cấp của các thanh biên, của chân khung cổng cầu dàn thép hoặc của gối cầu, tương ứng với cường độ tiêu chuẩn của áp lực gió, và qua so sánh thấy nhỏ hơn đẳng cấp của tải trọng thì phải xác định lại tải trọng gió theo áp lực gió thực tế ở cầu đang xét, áp lực gió thực tế phải lấy theo tài liệu của Trạm khí tượng khu vực cầu.
Bảng 3. Hệ số phân bố tải trọng gió h0
| Tải trọng | Hệ số h0 đối với biên dàn | |
| Có đặt tải | Không đặt tải | |
| Áp lực gió lên: |
|
|
| + Dàn chủ | 0,60 | 0,60 |
| + Phần xe chạy | 0,80 | 0,40 |
6.6.3. Hệ số tải trọng đối với tải trọng gió
Hệ số tải trọng đối với tải trọng gió lấy bằng nv= 1,5
6.7. Tải trọng va xô tầu, thuyền
Kiểm toán lại mố trụ và nền móng của các cầu trên sông có vật trôi hoặc sông có thông thuyền, phải xét tải trọng va xô tàu thuyền tác dụng lên trụ cầu ở mức nước thông thuyền cao nhất.
Trị số của tải trọng này được lấy theo Qui chuẩn, Tiêu chuẩn Việt Nam, Quy trình thiết kế được áp dụng để thiết kế xây dựng công trình, hoặc theo các quy định riêng của cấp có thẩm quyền đối với cầu đang được kiểm định.
6.8. Lực ma sát gối cầu
Khi kiểm toán mố trụ cầu, lực ma sát gối cầu được lấy theo Quy trình thiết kế cầu.
6.9. Các tác động khác
Các tác động khác được lấy theo Quy trình, quy phạm hiện hành.
6.10. Các hệ số
Ngoài các hệ số tải trọng, hệ số xung kích, hệ số phân bố ngang, trong các tính toán phải tùy trường hợp xét đến một số hệ số dưới đây:
6.10.1. Hệ số tải trọng h
Khi tính toán xét kết hợp tổ hợp tải trọng thẳng đứng của đoàn tàu với áp lực gió và lực hãm xe (hoặc chỉ áp dụng lực gió), phải xét hệ số tổ hợp tải trọng h như sau:
- Lấy hk = 0,95 đối với tải trọng thẳng đứng do đoàn tàu;
- Lấy hk = 0,80 đối với lực hãm;
- Lấy hk = 0,50 đối với tải trọng gió.
Đối với cầu đường sắt đôi, khi đặt tải đồng thời lên cả hai đường sắt trên cầu thì tải trọng đoàn tàu ở gần dàn chủ (dầm chủ) đang xét sẽ được tính với hệ số hk = 1, còn đoàn tàu thứ hai sẽ được tính với hệ số bằng 0,9 nếu chiều dài đặt tải ≤ 25m.
6.10.2. Hệ số điều kiện làm việc m
Hệ số điều kiện làm việc được đưa vào các công thức tính toán cụ thể để xét đến các đặc điểm làm việc của kết cấu cụ thể để xét đến đặc điểm làm việc của kết cấu cụ thể. Bảng 4 nêu các hệ số khi tính kết cấu nhịp thép. Đối với kết cấu bê tông cốt thép lấy theo quy định của các Quy trình thiết kế.
Bảng 4. Hệ số điều kiện làm việc m
| Tên bộ phận kết cấu và liên kết | m |
| 1. Các cấu kiện dàn chủ, xé mặt cắt ngang dạng II, khi tính toán về ổn định | 0,95 |
| 2. Bản nút giàn, khi kiểm toán xé rách. | 0,90 |
| 3. Bản cá ở dầm dọc và liên kết của nó | 1,00 |
| a. Khi nối cứng dầm ngang với thanh biên dàn chủ và nếu dầm dọc không nối trực tiếp với hệ cọc của dàn chủ khi: |
|
|
| |
| l ≤ 80 m | 0,95 |
| 80 m < l <100 m | 0,90 |
| I > 100 m | 0,90 |
| b. Khi nối trực tiếp dầm dọc với hệ liên kết (dù có hoặc không cắt đứt dầm dọc phần xe chạy của dàn) |
|
| c. Khi dầm ngang gối kiểu chốt lên thanh biên dàn (với mọi chiều dài nhịp I) | 1,00 |
| 4. Liên kết dầm ngang vào dàn chủ khi đinh tán hoặc bu lông cường độ cao chịu kéo nhổ đầu. | 0,85 |
| 5. Các bộ phận gối cầu - Các thớt gối của gối cố định và thớt trên của gối di động |
1,200 |
| - Con lăn | 1,00 |
| - Chốt | 1,25 |
| Ghi chú: Đối với kết cấu nhịp thép, trong các trường hợp chưa nêu ra ở bảng này thì lấy m=1,0 |
|
6.10.3. Hệ số uốn dọc đối với các cấu kiện thép
Khi tính toán các cấu kiện chịu nén đúng tâm hoặc nén lệch tâm, phải xét hệ số uốn dọc j.
Hệ số j đối với cấu kiện thép được xác định theo Phụ lục E, phụ thuộc vào độ mảnh l0 và độ lệch tâm tương đối tính đổi trong mặt phẳng uốn i
Đối với kết cấu thép có mặt cắt đặc:
(7)
Trong đó:
l0 chiều dài tự do của cấu kiện
r =
Bán kính quán tính của mặt cắt
F, I Diện tích và mô men quán tính của mặt cắt nguyên của cấu kiện
Đối với cấu kiện thép có mặt cắt tổ hợp thì phải xác định độ mảnh tính đổi theo chỉ dẫn ở Phần 4.
Độ lệch tâm tương đối với cấu kiện đúng tâm: i=0; đối với cấu kiện nén lệch tâm và cấu kiện nén đúng tâm nhưng đã bị cong vênh, lấy:
(8)
Trong đó:
e0 Độ lệch tâm lớn nhất hoặc đường tên f của đoạn cong trong mặt phẳng uốn,
r Bán kính lõi, lấy theo hướng đối diện với độ lệch tâm e0
(9)
W Mô men chống uốn của mặt cắt nguyên được tính với thớ ngoài cùng ở bên đối diện với điểm đặt lực qua trục trung hoà của mặt cắt,
F Diện tích của mặt cắt nguyên của cấu kiện
6.10.4. Hệ số uốn dọc đối với cấu kiện bê tông cốt thép
Hệ số uốn dọc đối với cấu kiện bê tông cốt thép lấy theo chỉ dẫn ở Phụ lục E
6.10.5. Hệ số uốn dọc đối với cấu kiện bê tông và đá xây
Hệ số uốn dọc đối với cấu kiện bê tông và đá xây lấy theo chỉ dẫn ở Phụ lục E
6.10.6. Hệ số giảm cường độ tính toán theo vật liệu khi tính về mỏi g
Các cấu kiện thép mà chịu nén là chủ yếu thì các hệ số g và j không được xét đồng thời (bởi vì chúng liên quan đến các trạng thái giới hạn khác nhau).
6.11. Tổ hợp tải trọng tính toán
Khi tính toán ứng suất và biến dạng các bộ phận kết cấu dưới các tải trọng khai thác nhằm phục vụ cho công tác thử tải cầu, phải xét các tổ hợp tải trọng tiêu chuẩn (không nhân hệ số hoạt tải và hệ số xung kích hoạt tải).
Khi tính toán đẳng cấp của cầu và tính toán lại kết cấu theo các trạng thái giới hạn và ổn định vị trí hoặc ổn định hình dáng, phải tính toán theo các tổ hợp tải trọng tính toán (có nhân các hệ số tải trọng và hệ số xung kích).
Đối với cầu đi chung đường sắt và đường ô tô mà tải trọng bất lợi là đặt tải đồng thời trên cả đường sắt và mặt cầu đường ô tô thì hoạt tải thẳng đứng tiêu chuẩn được giảm 25%.
7. Kết cấu nhịp thép
7.1. Những quy định chung
7.1.1. Mục đích và nội dung
Nội dung của điều này bao gồm những chỉ dẫn tính toán nhằm:
- Xác định năng lực chịu tải của các loại kết cấu nhịp thép thông dụng bằng phương pháp phân đẳng cấp.
- Tính toán trạng thái ứng suất biến dạng của kết cấu nhịp thép dưới tác dụng của một dạng hoạt tải đoàn tàu nào đó đã định trước (ví dụ đoàn tàu để thử cầu, các loại đầu máy, toa xe đặc biệt v.v...)
7.1.2. Các trạng thái giới hạn
Năng lực chịu tải của kết cấu nhịp được xác định bằng tính toán theo hai trạng thái giới hạn. Trạng thái giới hạn thứ nhất về cường độ, độ ổn định, độ chịu mỏi. Trạng thái giới hạn thứ hai về biến dạng (độ võng). Không tính theo trạng thái giới hạn thứ ba về chống nứt.
Đối với kết cấu nhịp dầm thép hay trong bộ phận của chúng, có vết nứt hoặc các khuyết tật khác, khi xác định năng lực tải trọng của kết cấu nhịp phải xét đến ảnh hưởng của vết nứt hoặc khuyết tật theo quy định ở Điều 7.5 của Phần này.
7.1.3. Tải trọng và hệ số
Trong tính toán phải tuân theo các quy định về tải trọng và hệ số đã nêu ở điều 6.
Đẳng cấp tải trọng của mỗi bộ phận của kết cấu nhịp, theo từng trường hợp tính toán, tính theo điều 7.1.6. Trong đó, trị số hoạt tải rải đều tương đương cho phép số xác định theo các công thức tương ứng. Đẳng cấp tải trọng của kết cấu nhịp (dầm, dàn) là đẳng cấp nhỏ nhất trong các bộ phận đối với mọi trường hợp tính toán.
Khi duyệt ứng suất biến dạng của kết cấu nhịp dưới tác dụng của một đoàn tàu cho trước (đoàn tàu thử cầu hoặc đoàn tàu đặc biệt cần qua cầu) được phép dùng phương pháp tính theo ứng suất cho phép.
Các tài liệu ban đầu để tính toán:
Trước khi tính toán phải thu thập các số liệu ban đầu theo các quy định đã nêu của điều 5.
7.1.4. Phân loại các kết cấu nhịp thép hiện có trên đường sắt Việt Nam
Các kết cấu nhịp dàn thép được phân nhóm như sau:
- Nhóm 1: Dàn hở, nhịp đơn giản, do Pháp xây dựng trước năm 1954.
- Nhóm 2: Dàn kín, nhịp giản đơn, do Pháp xây dựng trước năm 1954.
- Nhóm 3: Dàn nhịp liên tục hoặc nhịp hẫng có nhịp đeo do Pháp xây dựng trước năm 1954.
- Nhóm 4: Dàn hở, nhịp giản đơn, do Việt Nam xây dựng sau năm 1954. (Ví dụ dàn VN-64, VN-64-71)
- Nhóm 5: Dàn kín, nhịp giản đơn, liên kết bằng đinh tán.
- Nhóm 6: Dàn kín, nhịp giản đơn, liên kết bằng bu lông cường độ cao.
- Nhóm 7: Dàn có đường xe chạy trên (Ví dụ: T66)
- Nhóm 8: Các loại dàn khác.
Các kết cấu nhịp dầm thép được phân nhóm như sau:
- Nhóm 1: Dầm thép hình I đơn hoặc I ghép (đôi, ba, chồng), có mặt cầu trần được xây dựng sau năm 1954.
- Nhóm 2: Dầm I hoặc dầm II kiểu tổ hợp từ các thép góc và thép bản bằng liên kết đinh tán, có mặt cầu trần do Pháp xây dựng trước năm 1954.
- Nhóm 3: Dầm thép liên hợp BTCT.
- Nhóm 4: Dầm thép bản mặt cầu BTCT không liên hợp.
Việc phân loại như trên căn cứ vào lịch sử xây dựng của cấu tạo để thuận tiện cho việc thống nhất hóa trong các công tác điều tra khảo sát, tính toán lại và sửa chữa gối cầu.
7.1.5. Các đặc trưng hình học của mặt cắt cấu kiện, của các mối nối và của các liên kết
7.1.5.1. Các đặc trưng hình học của mặt cắt cấu kiện thép, của mối nối và của các liên kết (đinh tán, bu lông, mối hàn), có xét giảm yếu tố do gỉ và do các hư hỏng khác được ký hiệu là:
G - Thông số đặc trưng hình học quy ước của cấu kiện. Trong các trường hợp cụ thể sẽ xác định như sau:
- G=F - Diện tích tính toán mặt cắt ngang cấu kiện khi chịu kéo đúng tâm (m2).
- G=W - Mô men kháng uốn tính toán của mặt cắt ngang cấu kiện chịu uốn (m3).
-
= Đặc trưng tính toán khi tính toán ứng suất tiếp trong bản bụng của dầm (m2).
d - Chiều dày bản bụng dầm ở mặt cắt được xét (m)
lp - Mô men quán tính mặt cắt nguyên cấu kiện dầm, lấy đối với trục trung hòa của nó (m4)
SP - Mô men tĩnh của phần mặt cắt nguyên tính từ điểm tính ứng suất đến thớ trên hoặc thớ dưới, lấy đối với trục trung hòa (m3)
Cấu kiện bị giảm yếu do lỗ đinh được tính toán về cường độ, độ bền mỏi theo mặt cắt thu hẹp, còn khi tính toán về ổn định thì theo mặt cắt nguyên.
Cấu kiện có liên kết ma sát dùng bu lông cường độ cao phải tính toán về cường độ theo mặt cắt có xét thu hẹp còn về ổn định và về độ bền mỏi theo mặt cắt nguyên.
Liên kết hỗn hợp vừa có đinh tán, vừa có bu lông cường độ được tính toán như liên kết đinh tán.
Sự giảm yếu diện tích mặt cắt có đinh tán hoặc bu lông cường độ cao bố trí so le được xét theo mặt cắt phá hủy dự đoán: theo mặt cắt vuông góc với trục cấu kiện hoặc mặt cắt gẫy khúc tùy theo mặt cắt nào có diện tích tính toán nhỏ hơn.
Nếu các phần khác nhau của một cấu kiện bị giảm yếu khác nhau ở mặt cắt do lỗ đinh thì cần kiểm toán mặt cắt kết hợp có xét đến diện tích tính đổi của đinh tán (hoặc bu lông cường độ cao) bố trí trên một hàng theo mỗi nhánh cách so le, được tính toán có xét đến đủ các lỗ.
Khi tính toán liên kết đinh tán, lấy đường kính tính toán là đường kính lỗ đinh.
Diện tích tính toán của mối nối hay của liên kết theo mặt cắt phá hoại dự đoán là:
G=Fph
Trong đó:
Fph - Diện tích tính toán phần thu hẹp của cấu kiện (bản phủ) trong mặt cắt phá hoại Fth, hoặc diện tích tính toán quy đổi của đinh tán (bu lông cường độ cao), mối hàn liên kết F0.
Đối với mỗi phần cấu kiện được lấy trị số nào nhỏ hơn trong hai trị số Fth và F0.
7.1.5.2. Diện tích tính toán tính đổi F0 của đinh tán, bu lông, bu lông cường độ cao, mối hàn (m2) là:
Khi dùng liên kết đinh tán, bu lông:
(10)
- Khi dùng liên kết bu lông cường độ cao:
(11)
- Khi dùng liên kết hàn:
FW = s. Fmh (12)
Trong đó:
n3 - Số lượng đinh tán, bu lông.
Nb - Số lượng bu lông cường độ cao trong liên kết ma sát.
- Diện tích tính toán quy đổi của một đinh tán, bu lông tinh chế (m2) được xác định theo Phụ lục B theo điều kiện chịu lực của đinh tán (bu lông): chịu cắt một mặt, chịu cắt hai mặt, chịu ép mặt, chịu nhổ đầu.
Diện tích tính toán tính đổi (m2) của một bu lông cường độ cao theo lực ma sát ở một bề mặt tiếp xúc trong liên kết ma sát (xem Phụ lục B).
s - Hệ số để tính toán mối hàn (m2) (xem Phụ lục C).
Fmh - Diện tích mối hàn (m2) (xem Phụ lục C).
Các liên kết đinh tán cũ đã được tăng cường bằng bu lông cường độ cao sẽ được tính toán theo điều kiện chịu cắt hay chịu ép mặt của đinh tán có xét đến số lượng tổng cộng của các đinh tán và bu lông cường độ cao. Khi đó diện tích tính toán tính đổi tương ứng của các đinh tán sẽ căn cứ từ một bu lông (một đinh tán). Trong trường hợp đã thay thế mọi đinh tán bằng bu lông cường độ cao và có tháo gỡ liên kết cũ để tạo mặt ma sát tiếp xúc thì liên kết mới sẽ được tính toán như liên kết ma sát theo diện tích tính toán tính đổi của bu lông cường độ cao.
Các liên kết đinh tán cũ đã được tăng cường bằng hàn chỉ được tính toán theo diện tích tính toán của riêng đinh tán hoặc của riêng mối hàn (trong lúc tính toán sẽ lấy trị số nào lớn hơn). Tuy nhiên trường hợp này chỉ sử dụng lúc cứu chữa đảm bảo giao thông sau đó phải có kế hoạch thay thế ngay.
7.1.6. Nguyên tắc tính năng lực kết cấu nhịp thép bằng phương pháp phân đẳng cấp
Khi xác định năng lực chịu tải của kết cấu nhịp và điều kiện khai thác phải xét đến:
- Dạng cấu tạo của kết cấu nhịp và các bộ phận;
- Loại vật liệu thép và các tính chất cơ học;
- Hiện trạng của kết cấu, các hư hỏng;
- Chất lượng chế tạo và thi công kết cấu nhịp;
- Sự làm việc thực tế của kết cấu nhịp dưới các tải trọng;
- Khổ giới hạn thực tế của kết cấu nhịp;
- Các kết quả thí nghiệm cầu (nếu có);
- Các kết quả tính toán lại, bao gồm tính toán phân đẳng cấp.
Khi tính toán phân đẳng cấp chỉ xét trạng thái giới hạn thứ nhất về cường độ, ổn định hình dáng và mỏi.
Đẳng cấp của một cấu kiện kết cấu nhịp được tính toán theo công thức:
(13)
Trong đó:
1+m - Hệ số xung kích
k - Hoạt tải rải đều tương đương cho phép (T/m) tính theo điều kiện các trạng thái giới hạn thứ nhất.
k1 - Hoạt tải rài đều tương đương của đoàn tàu đơn vị chuẩn T-1
n - hệ số tải trọng của hoạt tải. Hệ số n được lấy theo:
- Đối với tổ hợp tải trọng chính:
+ Do đoàn tầu đường sắt gây ra: Với l=0 thì n=1,30; với l=50 thì n=1,15; với l≥150 thì n=1,10; đối với các giá trị trung gian, nội suy giá trị hệ số tổ hợp tải trọng n theo giá trị l.
Trong đó l là chiều dài đặt tải của đường ảnh hưởng nhưng không tính chiều dài của những đoạn đặt toa xe rỗng
+ Do đoàn toa rỗng gây ra: n=1,0
+ Do tải trọng người đi: n=1,4
- Đối với tổ hợp tải trọng phụ, hệ số tải trọng bằng 0,8n (với n là hệ số tải trọng trong tổ hợp chính)
- Đối với tổ hợp tải trọng đặc biệt, hệ số tải trọng bằng 0,7n (với n là hệ số tải trọng trong tổ hợp chính)
Các trị số k và k1 được tính với cùng một đường ảnh hưởng đang được xét (cùng độ dài và vị trí đỉnh đường ảnh hưởng).
Đẳng cấp của một cấu kiện được lấy là trị số nhỏ nhất trong số các trị số đẳng cấp của nó đã tính được theo các điều kiện khác nhau. Đẳng cấp của kết cấu nhịp lấy theo đẳng cấp thấp nhất của các cấu kiện.
Đẳng cấp của đoàn tàu thực tế được tính theo điều 7.7.
So sánh đẳng cấp của kết cấu nhịp và đẳng cấp đoàn tàu thực tế sẽ cho phép kết luận về khả năng thông qua cầu của đoàn tàu thực tế đang xét.
7.2. Các đặc trưng của vật liệu kết cấu nhịp
7.2.1. Các đặc trưng cường độ cơ bản của thép
Đối với mọi loại thép mà không rõ nguồn gốc và mác thép đều phải lấy mẫu thép thực tế từ các bộ phận kết cấu đưa về phòng thí nghiệm để thí nghiệm. Các thí nghiệm phải được làm theo quy định của các tiêu chuẩn về thí nghiệm nhằm xác định các chỉ tiêu sau đây:
- Giới hạn phá hủy kéo.
- Giới hạn chảy quy ước (ứng với độ giãn dài tương đối 0,2%).
- Độ giãn dài tương đối sau khi kéo đến đứt.
- Độ thắt tương đối sau khi kéo đến đứt.
- Mô đun đàn hồi.
- Độ cứng Brinel.
Các thí nghiệm phải do các các phòng thí nghiệm được công nhận tiến hành.
Trường hợp khó khăn không có điều kiện để lấy mẫu thép thí nghiệm thì tham chiếu Phụ lục U.
7.2.2. Cường độ tính toán cơ bản của mối hàn
Bảng 5 nêu cường độ tính toán cơ bản của mối hàn tay bằng que hàn thông thường. Riêng đối với loại mối hàn ngựa, các trị số lấy theo Bảng 5 phải giảm đi 10%.
Bảng 5. Cường độ tính toán cơ bản của mối hàn
| Kim loại của bộ phận kết cấu được hàn | Cường độ tính toán cơ bản của mối hàn kG/ cm2 (T/m2) | ||
| Kéo | Nén | Cắt | |
| Bất kỳ loại thép nào hiện có trên cầu | 900 (9000) | 890 (8900) | 630 (6300) |
7.2.3. Các cường độ dẫn xuất
Trị số tính toán của các cường độ dẫn xuất của thép làm cầu được tính bằng cách nhân trị số cường độ tính toán cơ bản của thép R với các hệ số chuyển đổi tương ứng ghi trong Bảng 6
Trị số tính toán của các cường độ dẫn xuất của thép làm đinh tán và bu lông lấy bằng tích của cường độ tính toán cơ bản với các hệ số chuyển đổi tương ứng trong Bảng 7.
Bảng 6. Hệ số chuyển đổi đối với các cường độ dẫn xuất của thép làm kết cấu
| Trạng thái ứng suất khi làm việc | Hệ số K1 |
| - Cắt - Nén theo đường kính khi lăn tự do | 0,75 0,04 |
| - Nén kéo theo đường kính khi tiếp xúc chặt khít (ép mặt cục bộ trong các chốt hình trụ tròn) | 0,75 |
| - Ép mặt ở bề mặt đầu khi có sữa rà bề mặt | 1,50 |
Bảng 7. Hệ số chuyển đổi đối với các cường độ dẫn xuất của thép làm đinh tán, bu lông tinh chế và bu lông cường độ cao
| Trạng thái ứng suất khi làm việc | Hệ số K2 |
| - Cắt trong đinh tán và bu lông tinh chế | 0,8 |
| - Dứt đứt đầu đinh tán, đầu bu lông tinh chế và bu lông cường độ cao | 0,6 |
| Chú thích: Khi tính toán ép mặt đối với đinh tán (bu lông tinh chế), thành lỗ phải lấy hệ số K2=2,5 và nhân với cường độ tính toán cơ bản của thép làm kết cấu (chứ không phải của thép làm đinh tán hay bu lông) | |
7.2.4. Mô đun đàn hồi của thép
Trị số tính toán của mô đun đàn hồi đối với mọi loại thép làm cầu được lấy bằng 2.100.000 kG/cm2 (21.000.000 T/m2)
7.2.5. Cường độ tính toán của bu lông cường độ cao trong kết cấu cầu cũ
Khả năng chịu lực của một BLCĐC trong liên kết ma sát cho một mặt tiếp xúc ứng với hệ số ma sát thấp nhất là 0,35 và hệ số đồng nhất thấp nhất là 0,678.
Đối với cầu cũ, lấy hệ số ma sát là 0,3 trong tính toán.
7.3. Dầm chủ và hệ dầm mặt cầu đường đơn trên đoạn tuyến thẳng
7.3.1. Các nội dung cần tính toán
Đối với dầm đặc chủ và dầm trong hệ mặt cầu của cầu đường sắt đơn trên đoạn tuyến thẳng phải tính toán đẳng cấp cũng như kiểm toán dưới dạng tải trọng thử cầu theo các nội dung sau:
- Tính toán theo ứng suất pháp.
- Tính toán theo ứng suất tiếp.
- Tính toán về cường độ của đinh tán hoặc bu lông tinh chế, của mối hàn để liên kết bản bụng với bản cánh của dầm.
- Tính toán ổn định chung của dầm.
- Tính toán ổn định cục bộ của bản bụng dầm.
- Tính toán ổn định cục bộ của bản bụng có sườn đứng tăng cường ở mặt cắt gối dầm.
- Tính toán về mỏi
- Tính toán mối nối (nếu có)
Ngoài ra, đối với các dầm dọc và dầm ngang của hệ mặt cầu, phải tính toán thêm các nội dung sau:
- Tính toán liên kết dầm dọc và dầm dọc cụt với dầm ngang.
- Tính toán liên kết giữa dầm ngang và dầm chủ.
7.3.2. Tính toán về cường độ ứng suất pháp
7.3.2.1. Tính toán hoạt tải rải đều tương đương cho phép
Trong tính toán, các mặt cắt phải xem xét bao gồm:
- Đối với dầm chủ và dầm dọc mặt cầu:
+ Mặt cắt giữa dầm.
+ Mặt cắt chỗ cắt đứt bản phủ cánh dầm (theo hàng đinh đầu tiên)
+ Mặt cắt giảm yếu do khuyết tật hoặc hư hỏng.
+ Các mặt cắt nguy hiểm khác.
+ Mặt cắt nối (nếu dầm có mối nối)
- Đối với dầm ngang:
Mặt cắt đi qua các lỗ đinh liên kết dầm ngang với dầm dọc.
7.3.2.2. Hoạt tải rải đều tương đương cho phép khi tính theo ứng suất pháp để xác định đẳng cấp của dầm theo các Công thức sau đây phải lấy trị số nhỏ nhất tính được tại các mặt cắt quy định ở điều 7.3.2.1
Hoạt tải rải đều tương đương cho phép (T/m) khi tính theo ứng suất pháp đối với mặt cắt vuông góc bất kỳ của dầm được tính theo Công thức:
(14)
Trong đó:
ek - Hệ số phân bố ngang của hoạt tải đối với phiến dầm đang xét.
nk - Hệ số tải trọng đối với đoàn tàu.
Wp - Tổng diện tích đường ảnh hưởng mô men uốn tại mặt cắt đang xét của dầm (m2)
Wk - Phần diện tích được xếp hoạt tải đoàn tầu tính đẳng cấp đối với đường ảnh hưởng mô men uốn tại mặt cắt đang xét của dầm (m2)
Whbs- Tổng diện tích đường ảnh hưởng mô men đối uốn với hoạt tải bổ sung (ô tô, người) tại mặt cắt đang xét của dầm (m2)
m - Hệ số điều kiện làm việc, lấy theo bảng 4 thuộc điều 6.10.2.
R - Cường độ tính toán cơ bản của thép (T/m2)
C - Hệ số xét đến sự cho phép xuất hiện biến dạng dẻo hạn chế ở các thớ biên của dầm, lấy bằng 1,1 đối với dầm chủ và dầm dọc mặt cầu, bằng 1 đối với dầm ngang và đối với mọi trường hợp tính toán về mỏi.
W0 - Mô men chống uốn của các mặt đang xét (m3)
ep - Hệ số phân bố ngang của tĩnh tải đối với các cấu kiện đang xét.
ehbs - Hệ số phân bố ngang của hoạt tải bổ sung (ô tô, người) đối với các cấu kiện đang xét.
Spnp - Tổng các tĩnh tải rải đều tính toán (mỗi loại tĩnh tải ứng với mỗi hệ số tải trọng) (T/m)
Sp’’nhbs - Tổng các của hoạt tải bổ sung (ô tô, người) tính toán (T/m)
7.3.2.3. Mô men chống uốn tính toán W0 của các mặt dầm ở ngoài phạm vi mối nối được lấy bằng mô men chống uốn của mặt cắt thu hẹp Wth
(15)
Trong đó:
lth - Mô men quán tính của mặt cắt thu hẹp đối với trục trung hòa (m4)
Ymax - Khoảng cách từ trục trung hòa đến thớ xa nhất của mặt cắt đang xét (m)
Đối với các dầm đinh tán mà không có tấm nằm ngang của bản cánh, được phép lấy Wth=0,82 Wp, còn đối với các dầm đinh tán có tấm nằm ngang ở bản cánh thì lấy Wth=0,8Wp. Trong đó Wp là mô men chống uốn của mặt cắt nguyên. Mức độ giảm yếu của bụng dầm được phép lấy bằng 15%
7.3.2.4. Mô men chống uốn tính toán W0 của các mặt cắt dầm ở trong phạm vi mối nối được lấy như sau
W0 = (SI1 + SI2) / Ymax (16)
Trong đó:
SI1 - Tổng các mô men quán tính mặt cắt thu hẹp của phần không có mối nối hoặc không bị gián đoạn tại mặt cắt được xét, lấy đối với trục trung hòa của toàn mặt cắt
SI2 - Tổng các mô men quán tính thu hẹp của các tập bản nối, lấy đối với trục trung hòa của mặt cắt: SInối, hoặc là tổng các mô men quán tính của các diện tích tính đổi của các đinh tán hay các bu lông tinh chế liên kết các nửa tập bản nối, lấy đối với trục trung hòa của toàn mặt cắt I0: (Trong hai trị số đó lấy trị số nào nhỏ hơn)
(17)
Trong đó:
yi - Khoảng cách từ trục trung hòa của toàn mặt cắt đến đinh tán, bu lông thứ I, liên kết nửa tập bản nối. Đối với các đinh tán nằm ngang thì yi lấy đến tâm lỗ đinh, đối với các đinh tán thẳng đứng thì yi lấy đến mặt cắt chịu cắt tương ứng của đinh.
1/m0 - Diện tích tính đổi của đinh tán hoặc của bu lông tinh chế lấy theo Phụ lục B.
Nếu mối nối dùng liên kết hàn thì giá trị của SI2 sẽ là mô men quán tính đối với trục trung hòa mặt cắt của diện tích tính toán mối hàn, lấy theo Phụ lục C.
Khả năng chịu lực của mối nối được xác định bằng khả năng của tập bản nối hoặc bằng khả năng của các liên kết của tập bản nối đó (có các đinh tán, bu lông, mối hàn). Do vậy, đối với mỗi tập bản nối của mối nối đều phải xác định số SI2 hai lần: lần đầu theo mô men quán tính thu hẹp của các tập bản nối, lần sau theo mô men quán tính của các diện tích tính đổi của các đinh tán hay bu lông liên kết.
7.3.2.5. Diện tích đường ảnh hưởng mô men uốn tại mặt cắt đang xét của dầm tính toán theo sơ đồ dầm giản đơn
Đối với dầm chủ thì nhịp tính toán bằng khoảng cách giữa hai tim gối I; (l = I)
- Đối với dầm dọc bề mặt cầu thì nhịp tính toán bằng khoảng cách giữa hai dầm ngang hai đầu dầm được xét (l = d).
- Đối với dầm ngang nhịp tính toán bằng khoảng cách giữa hai tim dàn chủ (hoặc dầm chủ)
- Đối với dầm dọc cụt thì phải tính toán theo sơ đồ công-xon có nhịp bằng khoảng cách từ tim dầm ngang biên đến đầu mút hẫng của dầm dọc cụt lk
Các công thức tính diện tích đường ảnh hưởng mô men uốn như sau:
- Đối với dầm chủ:
Wk = Wp = a(1-a)l2 / 2 (18)
- Đối với dầm dọc hệ mặt cầu
Wk = Wp = a(1-a)d2 / 2 (19)
- Đối với các dầm ngang phía trong (trừ hai dầm ngang biên)
Wk = Wp = de0 (20)
- Đối với các dầm ngang đầu (biên):
Wk = Wp = ((d + lk)2).e0 / 2d (21)
Trong đó:
e0 - Khoảng cách từ tim dầm chủ (dàn chủ) đến mặt cắt được xét của dầm ngang; e0 phải nhỏ hơn hoặc bằng khoảng cách từ tim dầm chủ (dàn chủ) đến dầm dọc hệ mặt cầu gần đó nhất, (m)
d - Chiều dài khoang dầm dọc, (m)
lk - Chiều dài dầm dọc cụt, (m)
Hệ số a thể hiện vị trí tương đối của đỉnh đường ảnh hưởng được xác định như sau:
| - Đối với dầm chủ: | a = a0/ l | (22) |
| - Đối với dầm dọc hệ mặt cầu | a = a0/ d | (23) |
| - Đối với dầm ngang phía trong | a = 0,5 | (24) |
| - Đối với dầm ngang đầu | a = 0 | (25) |
Trong đó:
a0 - Khoảng cách từ đỉnh đường ảnh hưởng đến đầu gần nhất của nó (m)
7.3.3. Tính toán cường độ theo ứng suất tiếp
7.3.3.1. Các mặt cắt cần xét
- Đối với dầm chủ và dầm dọc mặt cầu:
+ Mặt cắt tại gối và các mặt cắt bị giảm yếu do các lỗ đinh hoặc do các khuyết tật hư hỏng khác (thớ qua trục trung hòa)
+ Cần xét thớ qua trục trung hòa của mặt cắt nói trên.
- Đối với dầm ngang:
+ Mặt cắt qua các lỗ đinh để liên kết với dầm dọc
+ Mặt cắt nguy hiểm đi qua các lỗ đinh để liên kết với dầm dọc
+ Các mặt cắt nguy hiểm khác.
7.3.3.2. Hoạt tải rải đều tương đương cho phép
Hoạt tải rải đều tương đương cho phép dùng để tính đẳng cấp của dầm theo các công thức chung ở Điều 7.1.6, phải lấy trị số nhỏ nhất trong các trị số tính ra đối với các mặt cắt đã nói ở điều 7.3.3.1 mặt cắt bất kỳ tính theo công thức:
(26)
Trong đó:
Wk - Diện tích phần lớn nhất của đường ảnh hưởng lực cắt của mặt cắt đang xét (m2)
Wp - Tổng diện tích đường ảnh hưởng lực cắt (m2)
I - Mô men quán tính của mặt cắt nguyên lấy đối với trục trung hòa (m4)
S - Mô men tĩnh của nửa mặt cắt nguyên bên trên trục trung hòa lấy đối với trục trung hòa, (m3)
0,75 - Hệ số chuyển đổi từ cường độ cơ bản của thép sang cường độ chịu cắt.
Có thể tính toán gần đúng tỷ số l/S đối với dầm tán đinh không có tấm nằm ngang ở bản cánh (với bụng dầm cao từ 350 đến 1500 mm) bằng 0,835hb, nếu bụng có dầm cao từ 550 đến 1700mm có thể lấy l/S bằng 0,865hb.
Trong đó:
hb - Chiều cao bụng dầm
Nếu tại mặt cắt gối không có bản đệm thẳng đứng, trong tính toán chỉ lấy mặt cắt bụng dầm, lúc đó có thể lấy:
I / S ~ 0,067hb (27)
7.3.3.3. Các diện tích đường ảnh hưởng
Các diện tích đường ảnh hưởng lực cắt trong công thức (26) được tính toán như sau:
- Đối với dầm chủ:
(28)
(ứng với l = 0,5l + C0 và a = 0)
Wp = C0
Riêng với mặt cắt gối thì: Wk = Wp = l/2 (29)
(ứng với l = d và a = 0)
Trong đó:
C0 - Khoảng cách từ giữa nhịp đến mặt cắt được xét của dầm (m)
- Đối với dầm dọc hệ mặt cầu
(30)
(ứng với l = 0,5d + C0 và a = 0)
Riêng với mặt cắt gối thì: Wk = Wp = d/2
(ứng với l = d và a = 0 )
- Đối với dầm ngang phía trong
Wk = Wp = d (31)
(ứng với l = 2d và a = 0,5)
- Đối với dầm ngang đầu:
(32)
(ứng với l = d + lk và a = 0)
Trong đó:
lk - Chiều dài dầm dọc cụt, (m)
7.3.4. Tính toán theo cường độ của liên kết thép góc bản cánh với bản bụng (bằng đinh tán, bu lông hoặc hàn)
Trong các tính toán đều xét trên một đoạn bản cánh dài 1 m.
Công thức tính hoạt tải rải đều tương đương cho phép (T/m) theo điều kiện nói trên như sau:
- Khi tà vẹt kê trực tiếp lên bản cánh trên của dầm:
(33)
- Khi tà vẹt không kê trực tiếp lên bản cánh trên của dầm:
(34)
Trong đó:
F0 - Diện tích tính toán tính đổi của các đinh tán (bu lông) hoặc mối hàn liên kết bản bụng với thép góc của bản cánh hoặc với bản cánh.
| + Đối với đinh tán (bu lông) |
| (35) |
| + Đối với mối hàn: | F0 = sFmh | (36) |
Trong đó:
1/m0 - Diện tích tính toán tính đổi của đinh tán (bu lông), xem Phụ lục B.
nd - Số lượng đinh tán (bu lông) trên đoạn cánh dài 1 m đang được xét.
s - Hệ số tính toán mối hàn (xem Phụ lục C)
Fmh - Diện tích các mối hàn trên đoạn cánh dài 1,0 m.
ap - Hệ số xét đến trọng lượng bản thân dầm:
+ Khi tính dầm dọc và dầm ngang hay dầm chủ ngắn hơn 20 m
ap = 1,1 (37)
+ Khi tính dầm chủ có nhịp dài 20 - 45 m
ap = 1,1 - 1,2 (38)
+ Các trị số trung gian lấy theo nội suy
S’ - Mô men tĩnh của các mặt cắt nguyên cánh dầm (gồm bản cánh và các thép góc cánh) lấy đối với trục trung hòa của nó (m3)
I - Mô men quán tính của mặt nguyên của dầm, lấy đối với trục trung hòa của nó (m4)
A3 - Tham số, xét đến áp lực tập trung do tà vẹt kê trực tiếp lên bản cánh trên của dầm, được lấy theo Bảng 8 tùy theo trị số của l và a của đường ảnh hưởng đặt hoạt tải đoàn tàu.
Các ký hiệu khác có ý nghĩa giống như trong công thức (26)
Bảng 8. Hệ số A3
| l (m) | A3 (m) | l (m) | A3 (m) | l (m) | A3 (m) | |||
| a=0 | a=0,5 | a=0 | a=0,5 | a=0 | a=0,5 | |||
| 1 | 0,26 | 0,26 | 7 | 2,06 | 2,96 | 20 | 5,65 | 6, |
| 2 | 0,74 | 1,07 | 8 | 2,24 | 2,98 | 25 | 6,91 | 8,57 |
| 3 | 1,16 | 2,15 | 9 | 2,53 | 3,20 | 30 | 7,78 | 10,09 |
| 4 | 1,40 | 2,32 | 10 | 2,78 | 3,49 | 35 | 8,62 | 11,69 |
| 5 | 1,69 | 2,47 | 11 | 3,01 | 3,90 | 40 | 9,71 | 12,75 |
| 6 | 1,88 | 2,88 | 15 | 4,14 | 5,31 | 45 | 10,78 | 13,47 |
| Các trị số trung gian được lấy theo nội suy | ||||||||
7.3.5. Tính toán theo ổn định chung
Đẳng cấp của dầm theo điều kiện ổn định chung được tính toán theo công thức chung đã nêu ở điều 7.1.6, trong đó trị số hoạt tải đều tương đương cho phép (T/m) được tính theo các quy định ở điều này.
Phải tính toán theo điều kiện ổn định chung của dầm khi chiều dài tự do l0, của bản cánh chịu nén (khoảng cách giữa các nút của hệ liên kết dọc ở bản cánh này) lớn hơn 15 lần chiều rộng của nó.
Không phải tính toán theo điều kiện ổn định chung của dầm nếu mặt cầu có các tà vẹt thép đã được liên kết chặt chẽ với dầm thép bằng các bu lông móc hoặc neo các kiểu của đầm liên hợp thép - bê tông cốt thép.
7.3.5.1. Điều kiện ổn định chung
Điều kiện ổn định chung là trị số ứng suất pháp nén lớn nhất xuất hiện trong bản cánh chịu nén khi khai thác, tính theo mặt cắt nguyên, không vượt quá cường độ tính toán bằng jR , như trong cấu kiện chịu nén đúng tâm. Đặc trưng hình học của mặt cắt nguyên lấy đối với thớ chịu nén nhiều nhất là W.
Từ công thức cơ bản:
(39)
Thay R=jR và G=W suy ra công thức (40)
Hoạt tải rải đều tương đương cho phép dùng để tính đẳng cấp của dầm theo điều kiện ổn định chung tính theo Công thức sau:
(40)
Trong đó:
Wp =Wk - Diện tích đường ảnh hưởng mô men uốn của dầm đối với mặt cắt ở giữa chiều dài tự do được xét của bản cánh chịu nén (m2)
j - Hệ số dọc, lấy theo Phụ lục E tùy theo độ mảnh quy ước (ở ngoài mặt phẳng dầm) của bản cánh chịu nén
l0 = I0/r (41)
I0 - Chiều dài tự do của bản cánh chịu nén (m)
r - Bán kính quán tính quy ước của bản cánh chịu nén (m)
(42)
m - Hệ số điều kiện làm việc
Ic - Mô men quán tính nguyên của bản cánh chịu nén, lấy đối với trục trọng tâm (m4)
Fc - Diện tích mặt cắt nguyên của bản cánh chịu nén của dầm (m2)
W - Mô men chống uốn của toàn mặt cắt nguyên của dầm ứng với thớ biên chịu nén của dầm, lấy đối với trục trung hòa của dầm. Mặt cắt được xét ở đây là mặt cắt ở giữa chiều dài tự do của bản cánh chịu nén (m3)
7.3.5.2. Để xác định hệ số j trong Công thức (40) phải lấy trị số chiều dài tự do I0 theo các quy định
- Nếu có hệ liên kết dọc ở vùng bản cánh chịu nén của dầm và có hệ liên kết ngang ở các mặt cắt gối của dầm thì I0 bằng khoảng cách giữa các nút liên kết dọc (m).
- Nếu chỉ có hệ liên kết dọc ở vùng bản cánh chịu kéo và cỏ hệ liên kết ngang ở trong phạm vi nhịp cũng như ở các mặt cắt của gối dầm thì I0 bằng khoảng cách giữa các liên kết ngang (m)
- Nếu không có hệ liên kết trong phạm vi nhịp thì I0 bằng chiều dài nhịp dầm I (m)
Khi tính toán dầm ngang, l0 sẽ được lấy bằng trị số nào lớn hơn trong hai trị số sau:
+ Khoảng cách giữa các dầm dọc.
+ Khoảng cách từ tim dàn chủ đến dầm dọc gần đó nhất.
Thành phần của mặt cắt bản cánh chịu nén được lấy như sau:
+ Đối với dầm tán đinh: Bao gồm các bản cánh và các thép góc cánh, và phần bản bụng nằm trong phạm vi chiều cao của thép góc cánh.
+ Đối với dầm hàn: chỉ gồm các bản cánh.
Đối với thanh chủ trong cầu dàn hở có đường xe chạy dưới, chiều dài tự do của bản cánh chịu nén được lấy theo quy định ở điều 7.4.
7.3.6. Tính toán theo điều kiện ổn định cục bộ của bàn bụng có sườn đứng tăng cường ở mặt cắt gối dầm
Sơ đồ tính toán là một cột chịu nén đúng tâm bởi lực nén là phản lực gối bất lợi nhất thẳng đứng, mặt cắt của cột quy ước này bao gồm phần bản bụng dầm ở trên gối và phần diện tích mặt cắt của các sườn tăng cường đứng ở mặt cắt gối dầm.
Hoạt tải rải đều tương đương cho phép, dùng để tính toán đẳng cấp của dầm theo điều kiện đã nêu trên được tính như sau:
(43)
Trong đó:
Wp =Wk - Diện tích đường ảnh hưởng phản lực gối của dầm (m)
j - Hệ số uốn dọc, lấy theo Phụ lục E đối với trường hợp cấu kiện chịu nén đúng tâm tùy theo độ mảnh của cột quy ước nói trên khi uốn ra ngoài mặt phẳng của dầm: chiều dài tự do l0 của cột quy ước lấy bằng khoảng cách thẳng đứng giữa tim các nút của hệ liên kết ngang nằm trong mặt phẳng của sườn cứng trên gối, nhân với 0,7.
Fb - Diện tích nguyên của mặt cắt ngang cột quy ước chịu nén, bao gồm các thép góc hoặc thép bản của sườn tăng cường đứng và phần bản bụng dầm có độ rộng 14d tính về mỗi phía từ tâm của cột quy ước (tức là xét một độ rộng 28d đo theo dọc nhịp dầm), (m2)
d - Chiều dày bản bụng ở mặt cắt trên gối (m)
7.3.7. Tính toán theo điều kiện ổn định cục bộ của dầm bản bụng dầm
7.3.7.1. Phải tính toán ổn định cục bộ của bản bụng dầm trong các trường hợp
- Khi không có sườn tăng cường đứng mà h>50d
- Khi có các sườn tăng cường thẳng đứng đặt cách nhau xa quá 2h hoặc 2m.
- Khi có sườn cứng thẳng đứng, đặt cách nhau ít hơn 2h hay ít hơn 2 mét, nếu h> 80d đối với bụng dầm bằng thép than, nếu h> 60d đối với bụng dầm bằng thép hoặc hợp kim thấp
Trong đó:
h - Chiều cao tính toán của bụng dầm, được lấy đối với dầm hàn bằng toàn bộ chiều cao bụng dầm, còn đối với dầm tán đinh thì lấy bằng khoảng cách giữa các hàng đinh gần trục dầm nhất của bản cánh.
d - Chiều dày bụng dầm.
7.3.7.2. Hoạt tải rải đều tương đương cho phép (T/m) xét theo điều kiện ổn định cục bộ của bản bụng dầm
Được tính như sau:
a) Khi tà vẹt kê trực tiếp lên bản cánh trên của dầm:
(44)
b) Khi tà vẹt không kê trực tiếp lên bản cánh trên của dầm:
(45)
Trong đó:
- Diện tích đường ảnh hưởng mô men uốn đối với mặt cắt giữa đoạn được tách ra để xét của bụng dầm (đoạn này nằm giữa các thép đứng làm sườn cứng cho bụng dầm) được đặt hoạt tải đoàn tàu (m2)
y0 - Khoảng cách từ trục trung hòa của dầm đến mép của phần được tách ra để xét của bụng dầm trong phạm vi chiều cao h của nó (m)
w1 - Hệ số đặc trưng cho trạng thái ứng suất bụng dầm, được xác định theo Phụ lục H
I - Mô men quán tính nguyên của mặt cắt ngang dầm (m4)
s0 - Ứng suất nén pháp tuyến cực hạn trong bụng dầm (T/m2) (Phụ lục H)
AM - Tham số xét áp lực tập trung cho ta vẹt đặt trực tiếp lên bản cánh trên dầm, lấy theo Bảng 9, tùy thuộc theo giá trị của l và a của đường ảnh hưởng
đã được đặt tải trọng thẳng đứng của đoàn tàu
ap - Hệ số, xét trọng lượng bản thân dầm, bằng 1,10 khi tính toán dầm dọc và dầm ngang cũng như dầm chủ ngắn hơn 20m, bằng 1,1÷1,2 khi tính toán dầm chủ nhịp dài 20÷45 (các trị số trung gian được nội suy)
p0 - Ứng suất nén cục bộ cực hạn trong bụng dầm (T/m²) (xem Phụ lục H)
- Diện tích đường ảnh hưởng lực cắt tại mặt cắt giữa đoạn được xét, được đặt tải trọng thẳng đứng của đoàn tàu (m). Khi tính toán đoạn tách ra để xét của dầm ngang nằm giữa các dầm dọc
= 0 (46)
h - Chiều cao toàn bộ của bụng dầm (m)
t0 - Ứng suất tiếp cực hạn trong bụng dầm chịu uốn (T/m2) (xem Phụ lục H)
Bảng 9. Giá trị tham số AM
| l (m) | AM | l (m) | AM | l (m) | AM | |||
|
| a = 0,0 | a = 0,5 |
| a = 0,0 | a = 0,0 |
| a = 0,0 | a = 0,0 |
| 1 | 0,003 | 0,003 | 7 | 0,009 | 0,011 | 20 | 0,015 | 0,016 |
| 2 | 0,005 | 0,006 | 8 | 0,009 | 0,011 | 25 | 0,016 | 0,018 |
| 3 | 0,007 | 0,009 | 9 | 0,010 | 0,011 | 30 | 0,017 | 0,020 |
| 4 | 0,007 | 0,009 | 10 | 0,010 | 0,012 | 35 | 0,018 | 0,021 |
| 5 | 0,008 | 0,010 | 11 | 0,012 | 0,012 | 40 | 0,019 | 0,022 |
| 6 | 0,009 | 0,011 | 15 | 0,012 | 0,014 | 45 | 0,021 | 0,023 |
| Các giá trị trung gian của tham số AM được lấy theo nội suy | ||||||||
7.3.7.3. Khi có các sườn tăng cường nằm ngang thì ổn định cục bộ của bụng dầm được tính toán theo chỉ dẫn của Quy trình được áp dụng để thiết kế xây dựng công trình.
Đẳng cấp của bụng dầm và đẳng cấp của tải trọng được xác định với:
a=1 hay (l=d) (47)
và
(48)
7.3.8. Tính toán theo điều kiện mỏi
Năng lực chịu tải của các dầm chủ và dầm phần xe chạy theo điều kiện mỏi được xác định tại chỗ cắt đứt bản thép nằm ngang, cũng như các chỗ khác mà có hệ số tập trung ứng suất cao (Phụ lục G)
Hoạt tải cho phép (T/m)
(49)
Trong đó:
q - Hệ số chuyển đổi (xem điều 6.3.5 và Phụ lục D)
Wk, Wp - Các diện tích đường ảnh hưởng mô men uốn tại mặt cắt đang xét của dầm (m2)
g - Hệ số giảm cường độ tính toán, khi tính toán về mỏi (Phụ lục F)
W0 - Mô men kháng uốn tính toán của mặt cắt đang xét của dầm (m3)
p’ = Spi - Tổng cường độ tĩnh tải tiêu chuẩn (T/m)
pi - Cường độ tĩnh tải tiêu chuẩn thứ i (không xét hệ số)
7.3.9. Tính toán dầm dọc cụt
Năng lực chịu tải của dầm dọc cụt xác định bằng cách tính toán trực tiếp đẳng cấp mà không tính toán hoạt tải cho phép. Đẳng cấp tính được của dầm dọc cụt sẽ được so sánh với đẳng cấp của đoàn tàu đã được tính.
7.3.9.1. Đẳng cấp của dầm dọc cụt theo ứng suất pháp
(50)
Trong đó:
Wth - Mô men kháng uốn của mặt cắt thu hẹp tạo vị trí ngàm của dầm dọc cụt có xét mặt cắt của bản cá (nếu có) và không xét mặt cắt của tấm bản nằm ngang cũng như các thép góc cánh (m3)
a - Hệ số, phụ thuộc vào số tà vẹt đặt trên dầm dọc cụt, lấy bằng 0,6 khi có 1 tà vẹt, bằng 0,8 khi có 2 tà vẹt.
I1 - Khoảng cách từ trục dầm ngang đến trục tà vẹt nằm ở đầu dầm dọc cụt (m)
R - Cường độ tính toán cơ bản chịu uốn của thép (T/m2)
7.3.9.2. Đẳng cấp của dầm dọc cụt về cường độ theo dõi ứng suất tiếp
(51)
Trong đó:
h - Chiều cao bụng dầm dọc cụt tại mặt cắt bên dưới tà vẹt gần dầm ngang nhất (m)
d - Chiều dày tấm bản thẳng đứng của dầm dọc cụt (m)
7.3.9.3. Đẳng cấp của dầm dọc cụt theo cường độ của bản cá trên về liên kết
(52)
Trong đó:
Fp - Diện tích tính toán mặt cắt thu hẹp của bản cá Fth hoặc diện tích tính toán tính đổi của các đinh tán liên kết" nửa bản cá” F0 (m2), trong Công thức (52) sẽ lấy giá trị nào nhỏ hơn
7.3.9.4. Đẳng cấp của liên kết nối dầm dọc cụt với dầm ngang khi có bản cá trên (theo cường độ của đinh tán nối với bụng dầm ngang)
(53)
Trong đó:
F0 - Diện tích tính toán tính đổi của các đinh tán liên kết thép góc nối với dầm ngang (m2) (Điều 7.1.5.2)
7.3.9.5. Đẳng cấp của liên kết nối dầm dọc cụt với dầm ngang khi không có bản cá trên (theo cường độ của đinh tán nối với bụng dầm ngang)
- Khi tính về cường độ:
(54)
- Khi tính về mỏi:
(55)
Trong đó:
F0 - Diện tích tính toán tính đổi của đinh tán chịu dứt đầu đinh (chịu nhổ), cm2, được tính theo điều 7.1.5.
hk - Khoảng cách giữa các đinh tán biên trong dầm ngang trong phạm vi chiều cao dầm dọc cụt, cm.
q - Hệ số chuyển đổi (Phụ lục D) khi l=0.
7.3.9.6. Đẳng cấp của dầm dọc cụt theo cường độ đinh tán ở bụng dầm
- Khi có bản cá trên:
(56)
- Khi không có bản cá trên:
(57)
Trong đó:
F0 - Diện tích tính toán tính đổi của đinh tán trong bản thẳng đứng của dầm dọc cụt, lấy tùy theo sự làm việc của đinh tán chịu cắt 2 mặt hay chịu ép dập (m2) (Điều 7.1.5)
h’k - Khoảng cách giữa các đinh tán biên trong bụng dầm dọc cụt (m)
7.3.9.7. Đẳng cấp của dầm dọc cụt đã xác định được theo các Công thức (50) đến (57) được so sánh với đẳng cấp của tải trọng
K0 = 0,15P0(1 + m0) (58)
Trong đó:
P0 - Tải trọng do trục nặng nhất của đoàn tàu đè lên ray (T)
(1 + m0) - Hệ số xung kích của tải trọng đó được tính với l = 0.
7.3.10. Điều kiện tính toán liên kết dầm dọc với dầm ngang
a) Theo cường độ đinh tán liên kết thép góc với dầm dọc (nếu dùng bu lông thường hoặc bu lông cường độ cao thì cũng tính toán như đối với đinh tán có xét đến diện tích tính toán tính đổi tương đương của bu lông)
b) Theo cường độ đinh tán nối thép góc với dầm ngang.
c) Theo độ mỏi của đinh tán nối thép góc với dầm ngang khi không có bản cá.
d) Theo cường độ và độ mỏi của bản cá và theo cường độ của liên kết của bản cá.
Các công thức để tính toán liên kết dầm dọc với dầm ngang có xét đến tính liên tục của dầm dọc, độ đàn hồi thẳng đứng của dầm ngang, độ biến dạng đàn hồi của góc liên kết và độ dãn dài của thanh treo.
Mối nối các dầm dọc kiểu đặt chồng lên trên các dầm ngang, theo kiểu liên kết mặt bích được tính toán cũng giống như đối với liên kết dầm dọc với dầm ngang đặc.
Các liên kết đinh tán cũ, đã được tăng cường bằng các bu lông cường độ cao, được tính toán có xét đến các chỉ dẫn bổ sung của Điều 7.1.5.
Đẳng cấp theo liên kết dầm dọc với dầm ngang và đẳng cấp tương đương của tải trọng trong mọi trường hợp, ngoài các trường hợp nói dưới đây, được tính với l = d và a = 0.
7.3.10.1. Khi có cả bản cá trên và bản cá dưới hoạt tải cho phép (T/m)
- Theo cường độ của đinh tán liên kết thép góc với dầm dọc:
(59)
Trong đó:
Wk=Wp=d/2 - Diện tích đường ảnh hưởng lực cắt ở mặt cắt gối của dầm dọc.
m - Hệ số điều kiện làm việc.
F0 = n3/m0 - Diện tích tính toán tính đổi của đinh tán theo cắt hai mặt hoặc ép dập (m2). Số lượng đinh tán n3 có kể đến mọi liên kết thép góc nối vào bụng dầm dọc (nếu có ghế băng thì kể đến các đinh liên kết các bản bụng của nó)
m0 - Hệ số lấy theo Phụ lục B.
- Theo cường độ của các đinh tán liên kết nối thép góc với dầm ngang
Khi nó vẫn tính theo Công thức (59) cho đinh chịu cắt 1 mặt hoặc chịu ép dập ở các lỗ đinh trong bụng dầm ngang. Diện tích tính toán tính đổi của các đinh tán sẽ lấy như sau (m2)
(60)
Trong đó:
n3 - Số lượng đinh tán trong bụng dầm ngang.
m0 - Hệ số xác định theo Phụ lục B, tương ứng với điều kiện cắt một mặt hoặc ép dập tùy theo đường kính đinh và chiều dày bụng dầm ngang.
Trong các tính toán về ép dập, diện tích đường ảnh hưởng lực cắt đo bằng đơn vị m, là Wk=Wp= d; (d - chiều dài khoang của dầm dọc).
Đẳng cấp theo liên kết của dầm dọc với dầm ngang theo điều kiện ép dập ở lỗ đinh trong bụng dầm ngang và đẳng cấp tương ứng của tải trọng được tính khi: l = 2d và a = 0,5
- Theo cường độ của mặt cắt bản cá hoặc của liên kết của bản cá:
(61)
Trong đó:
Wk=Wp - Diện tích đường ảnh hưởng mô men uốn mặt cắt gối dầm dọc (m2) như = d và a = 0,5 , Wk=Wp= 0,075d2mH
mH - Hệ số xét tính liên tục của dầm dọc và độ đàn hồi của mặt cắt gối của dầm dọc, lấy theo Phụ lục I.
m - Hệ số điều kiện làm việc, lấy theo điều 6.10.2 tùy theo sự có mặt và số lượng các chỗ cắt đứt dầm dọc.
Fc - Diện tích mặt cắt thu hẹp của bản cá Fth hoặc diện tích tính toán tính đổi của các đinh tán trong nửa bản cá F0 (Điều 7.1.5) lấy trị số nào nhỏ hơn (m2)
hp - Khoảng cách giữa các trọng tâm của bản cá (m)
- Theo độ mỏi của bản cá:
(62)
Trong đó:
Wk=Wp
hp - Có ý nghĩa như đã giải thích Công thức (61)
q - Hệ số, xét sự giảm tác động xung kích của đoàn tàu khi tính toán về mỏi (xem Phụ lục D):
m = 1 - Hệ số điều kiện làm việc:
gB - Hệ số giảm cường độ tính toán cơ bản khi tính toán về mỏi (Phụ lục F)
F - Diện tích thu hẹp mặt cắt bản cá (m2)
p’ = Spi - Tĩnh tải khi tính toán về mỏi (T/m đường)
pi - Cường độ của mỗi tĩnh tải.
Các trị số ek, nk, R, ep và p trong các công thức (59), (60), (61) như trong công thức (14).
7.3.10.2. Khi chỉ có bản cá trên, hoạt tải cho phép được tính như sau:
- Theo cường độ của đinh nối thép góc liên kết với dầm dọc:
(63)
Trong đó:
m1 - Hệ số xét ảnh hưởng của mô men uốn tại mặt cắt gối dầm, được xác định theo Bảng 10 tùy theo các tham số n3 và h3
Nếu không có vai kê trong liên kết dầm dọc với dầm ngang thì:
(64)
Nếu có vai kê thì:
(65)
Trong đó:
h3 - Khoảng cách giữa các đinh tán ngoài cùng trong phạm vi chiều cao dầm dọc (m)
mH - Hệ số xét tính liên tục của dầm dọc và độ đàn hồi của các mặt cắt gối của nó (lấy theo Phụ lục I)
n3 - Số lượng tổng cộng các đinh tán trong bụng dầm dọc và bụng ghế băng
n’3 - Số đinh tán trong bụng của riêng dầm dọc
Các ký hiệu còn tại như trong Công thức (59)
- Theo cường độ của đinh tán
Tính theo Công thức (59) có xét đến mỏi chỉ dẫn của điều 7.3.10.1
- Theo cường độ của mặt cắt bản cá hoặc của liên kết bản cá:
(66)
Bảng 10. Các hệ số m1 phụ thuộc n3 và h3
| n3 | h3 | |||||
| 3,0 | 3,5 | 4,0 | 4,5 | 5,0 | 5,5 | |
| 4 | 0,96 | 0,94 | 0,93 | 0,91 | 0,89 | 0,86 |
| 5 | 0,93 | 0,91 | 0,89 | 0,84 | 0,78 | 0,73 |
| 6 | 0,90 | 0,89 | 0,83 | 0,77 | 0,70 | 0,65 |
| 7 | 0,90 | 0,86 | 0,78 | 0,71 | 0,66 | 0,61 |
| 8 | 0,89 | 0,82 | 0,74 | 0,68 | 0,62 | 0,57 |
| 9 | 0,88 | 0,79 | 0,71 | 0,65 | 0,60 | 0,55 |
| 10 | 0,86 | 0,77 | 0,69 | 0,63 | 0,58 | 0,53 |
| 11 | 0,84 | 0,75 | 0,68 | 0,61 | 0,56 | 0,52 |
| 12 | 0,83 | 0,74 | 0,66 | 0,60 | 0,55 | 0,51 |
| 13 | 0,81 | 0,72 | 0,65 | 0,59 | 0,54 | 0,50 |
| ≥ 14 | 0,80 | 0,71 | 0,64 | 0,58 | 0,53 | 0,49 |
Trong đó:
h - Chiều cao dầm dọc (m)
Các ký hiệu khác như ở các Công thức của điều 7.3.10.1
- Theo độ mỏi bản cá:
(67)
Trong đó:
Wk và Wp xem Công thức (62)
Các ký hiệu khác như ở các Công thức của điều 7.3.10.1
7.3.10.3. Khi không có bản cá, hoạt tải cho phép (T/m) được tính như sau:
- Theo cường độ đinh tán liên kết thép góc nối với dầm dọc:
(68)
Trong đó:
m1 - Hệ số được xác định tùy theo lượng đinh tán n3, liên kết thép góc nối với dầm dọc và trị số h3 đã được tính theo Công thức (64) hoặc (65)
Trong trường hợp liên kết các thép góc cánh trên và thép góc cánh dưới bằng cách tán với thép góc nối thì hệ số m1 được xác định theo Bảng 11 (số ngoài dấu ngoặc), còn nếu không có các liên kết như vậy thì lấy m1 theo Bảng 11 (số bên trong dấu ngoặc)
Các ký hiệu khác như trong Công thức (63)
- Theo cường độ của các đinh tán liên kết thép góc nối với dầm ngang (trong trường hợp nếu bản cánh trên của các dầm ngang và các dầm dọc nằm trên cùng một cao độ)
(69)
Trong đó:
Wk=Wp - Diện tích đường ảnh hưởng mô men uốn tại mặt cắt gối dầm dọc (m2) được tính theo (61)
m2 - Hệ số, phụ thuộc vào số lượng đinh n’3 trong bụng dầm ngang, nằm trong phạm vi chiều cao dầm dọc (Bảng 12)
- Diện tích tính toán, tính đổi của đinh tán chịu nhổ (dứt đầu) liên kết thép góc nối với dầm ngang (m2) (Phụ lục B)
n’3 - Số đinh tán ở bụng dầm ngang, nằm trong phạm vi chiều cao dầm dọc
m0 (p) - Hệ số (Lấy theo Phụ lục B)
h3 - Khoảng cách các đinh ngoài cùng ở dầm ngang trong phạm vi chiều cao dầm dọc (m).
Các đinh tán ở bụng dầm ngang và chịu nhổ đầu (dứt đứt) (khi không có bản cá) không cần kiểm toán về ép dập.
Bảng 11. Hệ số m1 (trong Công thức 7-68)
| n3 | h3 | ||||
| 1,5 | 2,0 | 2,5 | 3,0 | 3,5 | |
| 4 | 0,97 (0,93) | 0,95 (0,88) | 0,92 (0,77) | 0,89 (0,67) | 0,82 (0,59) |
| 5 | 0,96 (0,92) | 0,93 (0,83) | 0,90 (0,71) | 0,83 (0,61) | 0,74 (0,54) |
| 6 | 0,95 (0,90) | 0,91 (0,80) | 0,87 (0,67) | 0,76 (0,58) | 0,68 (0,51) |
| 7 | 0,93 (0,90) | 0,89 (0,77) | 0,79 (0,64) | 0,69 (0,55) | 0,61 (0,49) |
| 8 | 0,92 (0,89) | 0,87 (0,74) | 0,74 (0,62) | 0,64 (0,53) | 0,56 (0,47) |
| 9 | 0,91 (0,88) | 0,82 (0,73) | 0,70 (0,61) | 0,60 (0,52) | 0,53 (0,45) |
| ≥ 10 | 0,90 (0,93) | 0,79 (0,72) | 0,66 (0,60) | 0,57 (0,51) | 0,50 (0,40) |
| n3 = số lượng đinh tán ở bụng dầm dọc | |||||
- Theo độ mỏi của đinh tán liên kết thép góc nối với dầm ngang (trong trường hợp nếu bản cánh trên của dầm dọc và của dầm ngang nằm cùng cao độ)
(70)
Trong đó:
q - Hệ số, xét sự giảm tác động xung kích đoàn tàu khi tính toán về mỏi (Phụ lục D)
0,5 - Hệ số giảm cường độ tính toán cơ bản, khi tính toán về mỏi của đinh tán chịu nhổ đầu.
p’ = Spi - Tĩnh tải khi tính toán về mỏi (T/m) - cường độ tĩnh tải thứ i.
Các ký hiệu khác trong (70) như trong Công thức (69)
Bảng 12. Các hệ số m2 (trong Công thức 7-51)
| n’3 | 8 | 10 | 12 | 14 | 16 | ≥ 18 |
| m’3 | 0,35 | 0,31 | 0,29 | 0,27 | 0,26 | 0,25 |
| n’3 là số lượng đinh tán | ||||||
Nếu trong phạm vi chiều cao dầm dọc có một hàng đinh tán nằm ngang phía trên liên kết thép góc nối bị thay thế hoàn toàn bằng bu lông cường độ cao thì trong Công thức (4-51) lấy:
(71)
Trong đó:
m0(p) - Hệ số lấy theo Phụ lục B.
nb - Số bu lông cường độ cao nói trên.
Trong trường hợp mối nối mà mặt trên dầm dọc thấp dưới mặt trên dầm ngang, ngoài các đinh tán trong bụng dầm ngang trong phạm vi chiều cao dầm dọc thì trong các Công thức (69) và (70) xét thêm các đinh tán trong một hàng đinh nằm ngang trong thép góc nối ở bên trên dầm dọc. Khi xác định hệ số m2 không được xét hàng đinh này.
7.3.11. Tính toán liên kết dầm ngang với dàn chủ

Hình 5. Cấu tạo liên kết dầm ngang với dàn chủ
| A. Bản nối chắp; | B. Bản nối hình thang; | C. Có bản nối tam giác |
Các đinh tán được xét đến trong tính toán liên kết nối dầm ngang vào dầm chủ được ký hiệu như trên hình vẽ là (+) và (--)
7.3.11.1. Nếu mối nối cấu tạo như Hình 5.A
(72)
Trong đó:
Wk=Wp - Diện tích đường ảnh hưởng của lực cắt trong mặt cắt dầm ngang, nằm trên đoạn giữa dầm dọc và dàn chủ (m2) (điều 7.3.8)
m=1 - Hệ số điều kiện làm việc.
F0 =
- Diện tích tính toán tính đổi của các đinh tán n3 chịu cắt hoặc chịu ép mặt dùng để liên kết bản nối đầu dầm ngang với cả hai nhánh của thanh đứng của dàn chủ (m2). Hệ số m0 được lấy theo Phụ lục B. Các ký hiệu khác trong Công thức (72) cũng giống như trong Công thức (14) và (15)
Ngoài ra cần kiểm toán cường độ mối nối bản nối đầu dầm ngang với tấm thẳng đứng của dầm ngang theo chỉ dẫn của điều 7.2 và 7.3 với Công thức (14) khi m = 1,0
7.3.11.2. Nếu mối nối cấu tạo như Hình 5.B
Khi trong mối nối dầm ngang vào dàn chủ có các thép góc nối và bản hẫng thẳng đứng như Hình 5.b thì tính toán như Công thức (72) với hệ số m = 1,0.
Khi xác định diện tích tính toán tính đổi F0 được phép xét đến các đinh tán liên kết thép góc nối với dàn chủ (không kể các đinh tán trong phạm vi chiều cao thanh biên của dàn) hoặc nối với dầm ngang (không kể các đinh tán trong phạm vi chiều cao bản nối hẫng thẳng đứng nói trên). Trong các tính toán sẽ lấy trị số F0 nào nhỏ hơn.
7.3.11.3. Nếu mối nối cấu tạo như Hình vẽ 5.C
Khi có bản tam giác tăng cường như trên Hình 5.c, cũng như khi liên kết dầm ngang bằng các thép góc đặt chỉ trong phạm vi chiều cao dầm ngang thì tính toán theo Công thức (72), hệ số điều kiện làm việc m = 0,85. Diện tích làm việc tính đổi của đinh tán cũng được xác định giống như trường hợp có bản nối hẫng ở Hình 5.b.
Các trị số của ek, nk, R, ep và p trong Công thức (72) như trong Công thức (14), hay xem điều 7.3.2.2
7.4. Dàn chủ kết cấu nhịp cầu đường sắt đường đơn trên đoạn tuyến thẳng
7.4.1. Các chỉ dẫn chung tính dàn chủ
7.4.1.1. Năng lực chịu tải của các cấu kiện dàn chủ được xác định tại các mặt cắt của chúng theo điều kiện về cường độ và độ mỏi, còn đối với các mối nối và các liên kết thì chỉ theo điều kiện cường độ. Ngoài ra các cấu kiện chịu nén còn cần được phân đẳng cấp theo điều kiện ổn định.
Bản nút được kiểm toán về cường độ chịu xé rách, cường độ uốn và chịu kéo lệch tâm.
Các tính toán cần xét với tĩnh tải và hoạt tải thẳng đứng của đoàn tàu.
Khi xác định năng lực chịu tải của các thanh biên dàn (nếu nhịp dài hơn 55 m) và của các cột cổng cầu (bất kể nhịp dài bao nhiêu), thì còn phải xét đến tải trọng gió ngang, lực hãm xe (Lực hãm xe chỉ tính đối với các thanh biên chịu tải) với các hệ số tổ hợp tải trọng tương ứng.
Không xét áp lực gió và hãm xe trong các tính toán về mỏi
7.4.1.2. Hoạt tải cho phép (T/m) đối với các cấu kiện dàn chủ khi tính toán dưới tác động của tổ hợp tải trọng gồm các tải trọng nằm ngang (lực gió, lực hãm xe), tĩnh tải và hoạt tải thẳng đứng của đoàn tàu được xác định theo công thức sau:
- Về cường độ:
(73)
- Về ổn định:
(74)
Trong các công thức trên:
ek, ep, ehbs - Hệ số phân phối ngang của hoạt tải thẳng đứng của đoàn tàu, tĩnh tải hoặc hoạt tải bổ sung (ô tô, người) cho một dàn chủ phải chịu
nk, nn, nhbs - Các hệ số tải trọng đối với tải trọng thẳng đứng đoàn tàu, tải trọng gió và hoạt tải bổ sung (ô tô, người).
Wk, Wp, Whbs - Lần lượt là diện tích đường ảnh hưởng lực dọc trục đối với hoạt tải, tĩnh tải và hoạt tải bổ sung của thanh đang xét.
m - Hệ số điều kiện làm việc.
R - Cường độ tính toán cơ bản của thép các cấu kiện chịu kéo, nén, uốn, được nêu ở điều 7.2.1 (T/m2)
G - Diện tích tính toán của cấu kiện (m2) (Điều 7.1.5 và 7.4.2)
p = S npipi - Tĩnh tải dùng khi tính toán về cường độ và độ ổn định (T/m)
p’ = S np’ip’i- Hoạt tải bổ sung dùng khi tính toán về cường độ và độ ổn định (T/m)
Trong đó:
pi - Cường độ của tĩnh tải tiêu chuẩn thứ i được tính theo điều 5 (T/m đường)
npi - Hệ số tải trọng của tĩnh tải thứ i.
j - Hệ số uốn dọc (Phụ lục E)
q - Hệ số, xét đến sự giảm tác động xung kích đoàn tàu khi tính toán về mỏi (Phụ lục D)
g - Hệ số giảm cường độ tính toán cơ bản khi tính toán về mỏi (Phụ lục F)
p’ = S p’i- Tổng các cường độ tĩnh tải tiêu chuẩn, dùng khi tính toán về mỏi (T/m)
hk, hn - Các hệ số tổng hợp đối với hoạt tải thẳng đứng và tải trọng gió (Điều 6.10)
xT - Hệ số xét ảnh hưởng của tải trọng hãm đến thanh đang xét của biên chịu tải của dàn.
SV - Ứng dụng lực dọc trục trong thanh biên được xét của dàn do tải trọng gió tiêu chuẩn (T)
7.4.1.3. Khi tính toán biên không đặt tải thì trong Công thức (73) và (74) lấy xT = 0. Trong các công thức (73), (74) phải lấy giá trị tuyệt đối Wk, Wp và SV. Dấu trừ (-) trong (73) và (74) được lấy khi mà Wk, Wp cùng dấu, còn dấu cộng (+) được lấy khi chúng khác dấu nhau.
Quy tắc đặt tải lên đường ảnh hưởng đã được nêu trong Phụ lục J.
Hệ số xét ảnh hưởng của lực hãm trong thanh thuộc biên có đặt tải của dàn:
(75)
Trong đó:
hT - Hệ số tổ hợp với lực hãm xe (Điều 6.10.1)
LT = I - ai hoặc LT = I - bi - Chiều dài đoạn mặt cầu truyền lực hãm đến thanh đang xét của biên có đặt tải của dàn, (m)
l - Chiều dài nhịp tính toán của kết cấu nhịp (m)
ai, bi - Các tham số lấy theo Phụ lục tùy thuộc vào cấu tạo mặt cầu
(1+m) - Hệ số xung kích đối với tỉnh trọng tiêu chuẩn
7.4.1.4. Ứng dụng dọc trục trong thanh biên đang xét của dàn tự do tải trọng gió tiêu chuẩn Sv (T) được xác định theo các Công thức sau
- Đối với thanh biên trên và thanh biên dưới của kết cấu nhịp có đường xe chạy trên và đối với thanh biên trên và thanh biên dưới của kết cấu nhịp có đường xe chạy dưới khi cổng cầu đặt thẳng đứng, cũng như đối với thanh biên trên của kết cấu nhịp có đường xe chạy dưới khi cổng cầu đặt nghiêng:
(76)
- Đối với thanh biên dưới của kết cấu nhịp co đường xe chạy dưới và cổng cầu đặt nghiêng
(77)
Trong đó:
- Cường độ rải dọc tiêu chuẩn của tải trọng gió lên biên có đặt tải hoặc biên không đặt tải của dàn (T/m) (Điều 6.6.2)
Ghi chú: Được phép chỉ xác định chỉ số T trong thanh mạ đối với nửa dàn từ gối cố định đến giữa nhịp, sau đó dùng trị số T này cho các thanh tương ứng của nửa dàn còn lại
aV - Khoảng cách từ đầu trái của dàn gió đến nút biên bên phải của thanh biên đang xét của dàn (m)
lV - Nhịp tính toán của dàn gió trên và dàn gió dưới, bằng khoảng cách giữa các nút trên hoặc các nút dưới của các khung cổng cầu (m)
B - Khoảng cách giữa các tim các dàn chủ (m)
a0 - Góc nghiêng của thanh mà đang xét so với đường nằm ngang (độ)
DSV - Lực dọc trục thanh biên dàn do thành phần nằm ngang của nội lực do gió trong thanh xiên của cổng cầu (T)
DSn = SV(H) cosa’0 (78)
Trong đó:
SV(H) - Nội lực dọc trong chân xiên của cổng cầu do tải trọng gió (T) được xác định theo Công thức 7-93
a’0 - Góc nghiêng của thanh cổng cầu với đường nằm ngang (độ)
7.4.2. Diện tích mặt cắt tính toán của các cấu kiện
Diện tích tính toán G của các cấu kiện chịu kéo, khi được tính về cường độ, lấy bằng diện tích mặt cắt ngang thu hẹp G = F0= Fth. Diện tích thu hẹp của cấu kiện xác định theo điều 7.1.5.
Diện tích tính toán của mối nối hay của liên kết các cấu kiện xác định theo chỉ dẫn của điều 7.1.5.
Diện tích tính toán của bản nút chịu xé rách hoặc chịu đâm thủng (khi tiếp xúc tương ứng với các cấu kiện chịu nén) lấy bằng diện tích mặt cắt theo đường xé rách ngắn nhất. Đối với các đoạn đường xé rách theo hướng góc a so với hướng tác động của lực thì phải nhân với hệ số giảm diện tích chống xé rách (theo Phụ lục L)
7.4.3. Độ mảnh các thanh
- Đối với các thanh mặt cắt đặc - xét trong cả hai mặt phẳng: đối với thanh mặt cắt tổ hợp thì khi chịu uốn trong mặt phẳng vuông góc với mặt phẳng của bản giằng, các bản khoét lỗ hoặc của thanh giằng, độ mảnh tính theo công thức:
l0 = I0 / r (79)
Trong đó:
I0 - Chiều dài tự do thanh (m)
r - Bán kính quán tính mặt cắt đối với trục vuông góc với mặt phẳng uốn (m)
- Đối với các thanh mặt cắt tổ hợp khi chịu uốn trong mặt phẳng song song với bản khoét lỗ, thanh giằng hoặc với bản giằng, thì lấy bằng độ mảnh tính đổi ltd theo công thức:
+ Nếu có bản thanh giằng hay bản khoét lỗ:
(80)
+ Nếu có thanh giằng:
(81)
Nhưng không nhỏ hơn
(82)
Trong đó:
l0 - Độ mảnh của toàn thanh dàn trong mặt phẳng bản giằng, bản khoét lỗ hay thanh giằng (như thanh mặt cắt đặc)
lB - Độ mảnh của nhánh (chiều dài tự do lB của nhánh lấy là cự ly giữa các đinh ngoài cùng của bản giằng, cự ly trống giữa các bản giằng được hàn, 80% chiều dài của lỗ của bản khoét lỗ hoặc chiều dài khoang của thanh giằng). Bán kính quán tính của nhánh được xác định đối với trục vuông góc với mặt phẳng của bản giằng hoặc của thanh giằng.
Fp - Diện tích nguyên của mặt cắt ngang cả thanh dài (m2)
Fd - Diện tích nguyên mặt cắt ngang của mọi thanh giằng chéo, có mặt trong một một mặt cắt ngang của thanh dàn (m2)
bd - Hệ số, phản ánh ảnh hưởng độ cứng thanh giằng chéo, nếu thanh giằng bằng thép góc hoặc thép bản thì bd = 1,8; nếu thanh giằng bằng thép bản thì bd = 0,4.
q - Hệ số phụ thuộc độ mảnh cấu kiện. Đối với cấu kiện có độ mảnh
l0 ≤ 100, lấy q = 0,3/l0; khi l0 > 100 lấy q = 30/
Độ mảnh của thanh bất kỳ chịu kéo hoặc chịu nén, phải xác định có xét đến mọi thành phần của mặt cắt. Ví dụ, khi tính diện tích, mô men quán tính và bán kính quán tính mặt cắt ngang thanh phải xét chiều dày tương đương của các bản khoét lỗ hoặc của các bản giằng dtd như sau:
+ Đối với bản khoét lỗ rộng a, dài I và dày d thì:
(80)
F = al - Diện tích bản, không trừ lỗ khoét (m2)
Flỗ - Diện tích lỗ khoét (m2)
+ Đối với các bản giằng có độ dày db và dài lb:
(84)
Trong đó:
S Ib - Chiều dài tổng cộng của các bản giằng theo chiều dài cấu kiện (m)
lc - Chiều dài hình học của cấu kiện (m)
7.4.4. Chiều dài tự do l0 của các thanh
7.4.4.1. Chiều dài tự do thanh biên dàn trong mặt phẳng dàn
Chiều dài tự do thanh biên dàn trong mặt phẳng dàn được lấy bằng khoảng cách giữa các tâm nút dàn hai đầu thanh. Chiều dài tự do ngoài mặt phẳng dàn của thanh biên dàn (khi có giằng liên kết trong mặt phẳng của các thanh biên dàn đang xét) lấy bằng chiều dài khoang của hệ giằng liên kết đó
7.4.4.2. Chiều dài tự do thanh xiên ở gối và thanh đứng ở gối dàn
Chiều dài tự do thanh xiên ở gối và thanh đứng ở gối dàn được xác định giống như đối với các thanh biên dàn. Đối với các phần thanh xiên và thanh đứng nói trên là thành phần của cổng cầu thì chiều dài tự do ngoài mặt phẳng dàn được xác định theo điều 7.4.9.
Chiều dài tự do của các thanh bụng khác của dàn tam giác, dàn thanh bụng chéo hoặc nửa chéo lấy như sau:
- Ở trong mặt phẳng dàn - Lấy bằng khoảng cách giữa các tâm của liên kết thanh với bản nút hay với thanh biên dàn.
- Ở ngoài mặt phẳng dàn - lấy bằng khoảng cách giữa các tâm nút dàn hai đầu thanh hoặc bằng phần lớn nhất của khoảng cách này nếu chiều dài toàn bộ cấu kiện được phân chia ra bởi các hệ giằng liên kết ngang. Đối với thanh đứng của hệ dàn nửa chéo... nếu không có hệ liên kết ngang thì lấy l0= 0,75 I’0 (với I’0 là chiều dài cấu kiện giữa các tâm nút dàn hai đầu thanh) (m)
Chiều dài tự do thanh trong loại dàn thanh bụng phức hợp lấy bằng:
- Khi uốn trong mặt phẳng dàn, lấy bằng khoảng cách giữa các tâm giao nhau hoặc khoảng cách giữa tâm của liên kết với thanh biên và tâm giao nhau gần đó nhất.
- Khi uốn ngoài mặt phẳng dàn:
I0 = x’0T0’ (85)
Hệ số x’0 tìm ra bằng cách tra biểu đồ (phụ lục M) tùy theo số lượng điểm giao nhau và độ cứng của các thanh (El) giao nhau với thanh đang được xét. Nếu độ cứng của thanh ngược chiều chịu kéo ≥ 0,75 độ cứng của thanh nén đang xét thì dùng biểu đồ dành cho điểm giao nhau với thanh phẳng. Nếu thanh cứng ngược chiều kéo giao nhau với thanh đang xét mà có bản nút tại vị trí điểm giao và độ cứng bản nút này nhỏ hơn 75 lần so với độ cứng của thanh chịu nén được xét thì chỗ giao nhau đó được coi như giao nhau với thanh thẳng.
Sự giao nhau của hai thanh chịu nén cũng như của thanh không chịu lực với thanh chịu nén chỉ làm giảm được chiều dài tự do trong trong mặt phẳng dàn.
Đối với các thanh bụng của dàn nhiều thanh chéo và thanh mạ mặt cắt 2 sườn, các thanh đứng liên kết thanh giằng, còn thanh chéo thì không, chiều dài tự do của thanh chéo l0 lấy bằng đoạn giữa hai thanh đứng hoặc giữa hai thanh đứng và thanh mạ của dàn. Khi xác định chiều dài tự do của thanh đứng cứng có thanh giằng thì không kể đến điểm giao nhau với các thanh mềm không có thanh giằng.
Chiều dài tự do của các thanh xác định theo Công thức (85) không được nhỏ hơn chiều dài tự do của nó khi uốn trong mặt phẳng dàn.
Đối với dàn thanh bụng phức tạp với các thanh chéo phẳng và các thanh đứng cứng thì hệ số x’0 lấy theo đồ thị của Phụ lục N tùy theo tỷ số giữa chiều cao tính toán của dàn với khoảng cách giữa các thanh đứng, không phụ thuộc vào việc đặt thanh đứng khi lắp ráp hoặc khi tăng cường kết cấu nhịp
7.4.4.3. Chiều dài tự do thanh biên nén của dàn (bản cánh nén của dầm)
Chiều dài tự do thanh biên nén của dàn (bản cánh nén của dầm) trong kết cấu nhịp kiểu hở, ở ngoài mặt phẳng dàn là:
I0 = n0I (86)
Trong đó:
I - Chiều dài biên hở chịu nén của dàn, dầm (m)
n0 - Hệ số (Bàng 13) phụ thuộc vào tham số x0
(87)
Trong đó:
d - Chiều dài khoang (m)
E - Mô đun đàn hồi (T/m2)
I - Mô men quán tính của thanh biên chịu nén (trị số trung bình theo chiều dài) đối với trục thẳng đứng (m4)
D - Chuyển vị nằm ngang lớn nhất (m) của nút trên của nửa khung mềm nhất không ở trên gối, do lực nằm ngang P = 1 (T) đặt tại nút đó:
- Đối với dàn có thanh đứng thanh treo hoặc khi tính toán với bản cánh nén của dầm
(88)
- Đối với dàn không có thanh đứng thanh treo

Trong đó:
hc - Chiều cao cột (hay sườn tăng cường đứng của dầm) bằng khoảng cách từ trọng tâm mặt cắt của thanh biên chịu nén đến đỉnh dầm ngang (m).
B - Khoảng cách giữa các tim dàn chủ (dầm chủ) (m)
lc - Mô men quán tính mặt cắt cột (hay sườn cứng của dầm), đối với uốn vuông góc mặt phẳng dàn chủ (giá trị trung bình theo chiều cao) (m4)
lx - Mô men quán tính mặt cắt thanh xiên (thanh chéo) tương ứng vị trí xét, đối với uốn vuông góc mặt phẳng dàn chủ (giá trị trung bình theo chiều cao) (m4)
l, In - Mô men quán tính mặt cắt dầm ngang (m4)
Hệ số v0 tùy thuộc vào x0 đối với dàn (dầm) có biên song song được nêu trong Bảng 13.
Nếu biên trên của dàn có dạng đường gãy khúc thì v0 phải được xác định đối với nửa khung nằm ở giữa nhịp, và thay cho nhịp tính toán của dàn (dầm) phải lấy I bằng chiều dài toàn bộ của biên chịu nén
7.4.4.4. Chiều dài tự do của cột kết cấu nhịp dàn hở
Chiều dài tự do của cột kết cấu nhịp dàn hở l0 khi uốn trong mặt phẳng dàn lấy bằng chiều dài hình học cột, còn khi uốn ngoài mặt phẳng dàn thì lấy gấp đôi chiều dài của nó.
Bảng 13. Hệ số v0
| x0 | 0 | 1 | 5 | 10 | 15 | 30 | 60 |
| n0 |
| 0,662 | 0,524 | 0,433 | 0,396 | 0,353 | 0,321 |
| x0 | 100 | 150 | 200 | 300 | 500 | ≥ 1000 | |
| n0 | 0,290 | 0,268 | 0,246 | 0,225 | 0,204 | 0,174 | |
| Ghi chú: Với các giá trị trung gian của x0 và n0 thì lấy theo nội suy | |||||||
7.4.5. Tính toán thanh biên trên của dàn khi có tà vẹt đặt trực tiếp
7.4.5.1. Hoạt tải cho phép (T/m) đối với các thanh biên trên
Hoạt tải cho phép (T/m) đối với các thanh biên trên (chịu nén) của dàn có tà vẹt đặt trực tiếp lên chúng được tính như sau:
(Tác động của gió và lực hãm tàu không xét trong trường hợp này, cũng không tính toán về mỏi)
- Khi tính về cường độ:
(89)
g - Hệ số, xét ảnh hưởng uốn cục bộ
(90)
Trong đó:
k ’ - Tải trọng tương đương do đoàn tàu theo sơ đồ T1 (Phụ lục A) đối với đường ảnh hưởng dài bằng chiều dài của khoang đang xét (l = d, a = a0/d), có đỉnh ở tại mặt cắt của thanh biên (T/m)
n’k, nk - Các hệ số tải trọng đối với tải trọng thẳng đứng do đoàn tàu tương ứng khi l= d và l = 1
(1 + m)’ và (1 + m) - Các hệ số xung kích đối với tải trọng chuẩn khi l = d và l = 1
Fth - Diện tích thu hẹp mặt cắt ngang thanh biên dàn ở mặt cắt được xét trong khoang dàn (m2)
k - Tải trọng tương đương đoàn tàu theo sơ đồ T1 (Phụ lục A) đối với đường ảnh hưởng của ứng lực nén trong khoang được xét của thanh biên (l = I, a = a0/l) (T/m)
Wk = Wp - Diện tích đường ảnh hưởng ứng lực dọc trong cấu kiện biên dàn (m)
c = 1,05 - Hệ số điều chỉnh, có ý nghĩa như theo điều 7.3.2.2.
Wth - Mô men kháng uốn của mặt cắt thu hẹp của thanh biên tại mặt cắt đang xét của khoang dàn (được lấy đối với thớ chịu nén bên trên) (m3)
- Khi tính về ổn định:
(91)
Khi lx > ly
Hoặc
(92)
Khi lx ≤ ly
Trong đó:
(93)
j - Hệ số uốn dọc (xem Phụ lục E)
iI - Độ lệch tâm tương đối tính đổi trong mặt phẳng dàn
(94)
- Bán kính lõi đo theo hướng ngược với hướng của độ lệch tâm (m). (Xem phụ lục E)
lx - Độ mảnh cấu kiện thanh biên dàn trong mặt phẳng dàn
ly - Độ mảnh thanh biên ngoài mặt phẳng dàn.
Trong Công thức để xác định j2 lấy trị số ngoài mặt phẳng dàn, còn giá trị iI lấy trong mặt phẳng dàn.
Các ký hiệu khác cũng như trong Công thức (74)
7.4.5.2. Đẳng cấp để tính toán năng lực chịu tải của các thanh biên trên của dàn chủ khi có tà vẹt đặt trực tiếp lên được xác định theo điều 7.1.6 khi l = I và l = a0/l.
7.4.5.3. Nếu đẳng cấp của thanh đã tìm được theo hoạt tải cho phép được tính theo Công thức (89), (91) hay (92) tỏ ra là không đủ thì nên xác định tải trọng cho phép theo phương pháp mô men lõi được nêu trong Phụ lục O
7.4.6. Tính thanh chịu nén theo cường độ của bản giằng hay thanh giằng
7.4.6.1. Năng lực chịu tải của thanh dàn chịu nén theo điều kiện cường độ của bản giằng hoặc các thanh giằng được kiểm toán đối với trường hợp mặt cắt ghép hình hộp hoặc hình H, gồm các nhánh được nối ghép với nhau trên suốt chiều dài bằng một hoặc hai mặt phẳng thanh giàn hoặc bản giằng
Thanh tổ hợp, gồm 4 thép góc nhánh, được kiểm toán như cấu kiện gồm 2 thanh, tính toán được thực hiện hai lần, theo từng đôi thanh giằng (bản giằng) được bố trí trong các mặt phẳng song song.
Các thanh giằng, bản giằng hình H (có bản đặc nằm ngang) và Hình II thì không được xét.
7.4.6.2. Hoạt tải cho phép đối với các cấu kiện chịu nén theo điều kiện cường độ của thanh giằng được xác định theo Công thức (14)
Diện tích tính toán quy ước thanh giằng:
- Theo mặt cắt thanh giằng:
(95)
- Theo liên kết của thanh giằng:
(96)
Trong đó:
A - Số lượng mặt phẳng (A = 1 hoặc A = 2) trong đó đặt các thanh giằng (trong mặt phẳng uốn)
ap - Góc nghiêng của thanh giằng xiên với trục cấu kiện (khi kiểm toán cường độ của thanh giằng ngang lấy sin ap = 1) (độ)
j - Hệ số uốn dọc của cấu kiện chịu nén đang xét trong mặt phẳng của thanh giằng đang kiểm toán.
- Diện tích tính toán tổng cộng của các thanh giằng xiên trong một khoang của hệ thanh giằng hoặc diện tích tính toán của một hệ thanh giằng ngang thuộc hệ đó. (m2)
- Diện tích tính toán tính đổi tổng cộng của đinh tán (bu lông) liên kết thanh giằng xiên trong một khoang của hệ giằng dọc diện tích tính toán tính đổi của các đinh tán (bu lông) liên kết đầu một thanh giằng ngang (m2)
Giá trị
và
được lấy tùy theo dạng của hệ thanh giằng và độ cứng của các thanh giằng như ở Bảng 14.
Khi xác định độ mảnh của hệ cấu kiện thanh giằng bắt chéo ở ngoài mặt phẳng của nó thì chiều dài tự do của thanh giằng chéo (có xét đến sự ngàm) được lấy bằng khoảng cách giữa các tâm của các liên kết nó với các nhánh của thanh chịu nén chủ yếu, được nhân với 0,52 khi có điểm giao nhau của thanh giằng xiên phẳng với thanh giằng xiên phẳng hoặc bằng thép góc, nhân với 0,60 đối với các thanh giằng bằng thép góc, nhân với 0,4 đối với các thanh giằng xiên phẳng có điểm giao với thanh giằng xiên bằng thép góc thép với thép dẹt.
7.4.6.3. Khi có bản giằng thì đẳng cấp bộ phận kết cấu theo điều kiện cường độ bản giằng được xác định không cần tính trước trị số hoạt tải cho phép. Nếu mặt cắt bản giằng hoặc mặt cắt của các đinh (bu lông) liên kết chúng hoặc mặt cắt của mối hàn liên kết thỏa mãn các điều kiện sau đây, thì cường độ bản giằng là đủ và đẳng cấp bộ phận kết cấu theo cường độ bản giằng không cần được xác định
- Theo mặt cắt bản giằng:
AjWb ≥ WB (97)
- Theo liên kết đinh (bu lông) của bản giằng:
AWd ≥ WB (98)
- Theo mối hàn liên kết bản giằng:
AWw ≥ WB (99)
Trong đó:
A - Số lượng mặt phẳng (A = 1 hoặc A = 2) trong đó đặt các bản giằng (trong mặt phẳng uốn)
Wb - Mô men kháng uốn của một bản giằng (m3)
(100)
db , Cb - Các kích thước cơ bản giằng (m)
j - Hệ số uốn dọc của bản giằng được xác định theo Phụ lục đối với độ mảnh quy ước l0 = Bb / db (các kích thước cơ bản giằng Bb, Cb, db, được lấy theo Hình 7, 8)
Wb - Mô men kháng uốn của một nhánh của cấu kiện đối với trục đi qua trọng tâm của nhánh này và vuông góc với mặt phẳng bản giằng (đối với các cấu kiện hình hộp ghép từ 4 thép góc được xét đến mô men kháng uốn của hai thép góc) (m3)
Wd - Mô men kháng uốn quy ước của đinh tán (liên kết bản giằng với nhánh mặt cắt) (m2)
(101)
1/m0 - Diện tích tính toán tính đổi của một đinh tán (bu lông) (m2) - Điều 7.1.5 và Phụ lục B
n3 - Số lượng đinh tán (bu lông) liên kết một đầu bản giằng
Bb, amax, a3 - Các kích thước cơ bản giằng (m) được lấy theo Hình 7.
Ww - Mô men kháng uốn quy ước của các mối hàn liên kết bản giằng với nhánh cấu kiện (m3)
(102)
s - Hệ số mối hàn lấy theo Phụ lục C
dw - Chiều dày mối hàn (m)
Cb - Kích thước bản giằng dọc theo cấu kiện (Hình 8) (m)
Bảng 14. Diện tích tính toán tính đổi của thanh giằng
| Hình dạng của hệ thanh giằng | Diện tích tính toán tính đổi của hệ thanh giằng | |||
| Của thanh chéo | Của thanh chống ngang | |||
| F0p | F0b | F0p | F0b | |
|
| Giá trị nào nhỏ hơn của hai giá trị Fspj1 hay Fth | Ftd |
|
|
|
| ||||
| Giá trị nào nhỏ hơn của F”sp hay Fth | Ftd | |||
|
| Fth + F’spj1 | Giá trị nào nhỏ hơn của Fth + Fspj1 hay 2Ftd | ||
|
| Ftd + Fspj1 | Giá trị nào nhỏ hơn của Fth + Fspj1 hay 2Ftd | Giá trị nào nhỏ hơn của F”spj1 hay Fth | Ftd |
|
| 2F’spj1 | 2Ftd | - | - |
|
| 2Fspj1 | - | - | |
Chú thích: Đường nét đậm là thanh chéo bằng thép góc, có độ cứng lớn
Ftd - Diện tích tính toán tính đổi của mặt cắt đinh tán (bu lông) hoặc mối hàn, liên kết một đầu cấu kiện thanh giằng (Điều 7.1.5)
j1 - Hệ số uốn dọc của cấu kiện chịu nén trong hệ thanh giằng, xét ngoài mặt phẳng của nó, được xác định theo Phụ lục E, có xét độ lệch tâm e0 đối với mặt cắt thép góc, e0 bằng cự ly trọng tâm thép góc của hệ thanh giằng đến giữa chiều dày của cánh thép góc đó mà liên kết với cấu kiện (Hình 6)

Hình 6. Độ lệch tâm trong thanh giằng bằng thép góc
| 1. Nhánh của cấu kiện; | 2. Thanh giằng bằng thép góc |

Hình 7. Các kích thước cơ bản giằng có liên kết đinh tán (bu lông)

Hình 8. Các kích thước bản giằng có mối hàn
Nếu mặt cắt hay liên kết của bản giằng không thỏa mãn các điều kiện (97), (98) hoặc (99) thì đẳng cấp bộ phận kết cấu theo điều kiện cường độ của bản giằng được xác định theo
- Theo cường độ bản giằng:
(103)
- Theo liên kết đinh tán (bu lông) của bản giằng:
(104)
- Theo liên kết hàn của bản giằng:
(105)
Trong đó:
Kn - Đẳng cấp của cấu kiện cơ bản của kết cấu nhịp tính toán về cường độ
7.4.7. Tính toán nút gối nhọn của dàn
7.4.7.1. Nút gối nhọn là nút đầu dàn, chịu uốn (Hình 9)
Đẳng cấp của nút gối nhọn của dàn chủ kết cấu nhịp được xác định:
- Theo ứng suất pháp được xác định tại các mặt cắt (Hình 9)
+ Mặt cắt 1-1 tại chỗ bắt đầu của thanh biên
+ Mặt cắt 2-2 ở cách mặt cắt 1-1 một khoảng bằng 0,4-0,5 m
+ Mặt cắt đứt các tấm nằm ngang
- Theo ứng suất tiếp ở gối theo điều kiện cường độ của các tập bản thẳng đứng, ở vị trí trục trung hòa và theo điều kiện cường độ của các đinh tán nằm ngang liên kết bản cánh. Tất cả các mặt cắt tính toán đều thẳng đứng.
7.4.7.2. Hoạt tải cho phép theo ứng suất pháp (T/m) đối với nút gối nhọn
- Theo cường độ:
(106)
- Theo độ mỏi:
(107)
Trong đó:
c = 1,05 - Hệ số điều chỉnh
W0 - Mô men kháng uốn tính toán của mặt cắt ngang được xét của thanh biên (m3) (Điều 7.3.2.2)
l - Nhịp tính toán (m)
a0 - Khoảng cách từ trục gối của dàn đến mặt cắt được xét (m)
7.4.7.3. Khi tính toán theo ứng suất tiếp thì hoạt tải cho phép
(108)
Các ký hiệu khác trong các Công thức (106) - (108) xem ở điều 7.3.2.2, 7.3.3.2, 7.3.8, 7.4.1.2
Đẳng cấp bộ phận kết cấu được xác định theo Công thức (5-1) với l = 1 và a = 0
Hoạt tải cho phép theo cường độ của đinh tán bản cánh hoặc mối hàn bản cánh được xác định theo các chỉ dẫn của điều 7.3.4

Hình 9. Nút gối nhọn của dàn
7.4.8. Tính toán hệ liên kết và giằng gió
7.4.8.1. Hệ liên kết dọc của dàn chủ kết cấu nhịp được kiểm toán theo độ mảnh l0 = l0/r
Độ mảnh lớn nhất cho phép của liên kết được lấy như sau:
- Đối với các cấu kiện của hệ liên kết dọc nằm ở mặt phẳng của thanh biên chịu kéo, lấy 200.
- Đối với các cấu kiện của hệ liên kết dọc, nằm ở mặt phẳng các thanh biên chịu nén, cũng như đối với hệ liên kết ngang và dàn hãm, lấy bằng 150.
7.4.8.2. Chiều dài tự do các cấu kiện của hệ liên kết l0, được xác định cũng như khi tính toán các thanh của dàn chủ (điều 7.4.4). Đối với các thanh biên có hai thành đứng thì chiều dài hình học của các cấu kiện được lấy bằng chiều dài của chúng giữa các thành đứng bên trong của các thanh biên dàn.
7.4.8.3. Đối với hệ liên kết có các thanh bắt chéo nhau làm bằng các thép góc giống nhau thì kiểm toán theo hai giả thiết sau:
- Bán kính quán tính mặt cắt r được lấy đối với trục đi qua trọng tâm mặt cắt và song song với mặt phẳng của hệ liên kết, còn chiều dài tự do lấy như đối với dạng dàn phức tạp (Điều 7.4.4)
- Bán kính quán tính mặt cắt được lấy là nhỏ nhất, còn chiều dài tự do lấy bằng nửa khoảng cách của tâm liên kết của thanh chéo.
7.4.9. Tính toán khung cổng cầu
7.4.9.1. Khi xác định năng lực chịu tải của thanh xiên ở gối hoặc thanh đứng ở gối của dàn chủ, như các chân của khung cổng cầu, được xét đến các tĩnh tải, hoạt tải thẳng đứng đoàn tàu và tải trọng nằm ngang do gió ngang.
7.4.9.2. Hoạt tải cho phép, (T/m) khi tính toán chân khung cổng cầu về cường độ:
(109)
Trong đó:
ek - Hệ số phân bố ngang của tải trọng thẳng đứng do đoàn tàu truyền cho một dàn
nk - Hệ số tải trọng đối với tải trọng thẳng đứng đoàn tàu
hk - Hệ số tổ hợp đối với tải trọng thẳng đứng đoàn tàu, bằng 0,95
m - Hệ số điều kiện làm việc, lấy bằng 1,0
R - Cường độ tính toán cơ bản của thép (T/m2)
sv - Ứng suất do tải trọng gió tại mặt cắt đang xét của chân khung cổng cầu, được xác định theo các chỉ dẫn sẽ nêu ra sau đây (T/m2)
G - Diện tích mặt cắt ngang của chân khung cổng cầu tại mặt cắt đang xét, lấy bằng Fth (m2) (Điều 7.1.5)
Wk - Diện tích đường ảnh hưởng lực dọc trục của thanh xiên gối (thanh đứng ở gối) của dàn chủ (m2)
ep - Hệ số phân bố ngang của tĩnh tải, truyền cho một dàn
p = S npipi - Tĩnh tải tính toán (npi - hệ số tải trọng của tĩnh tải thứ i)
pi - Cường độ của tĩnh tải tiêu chuẩn thứ i (T/m)
7.4.9.3. Ứng suất do tải trọng gió tính toán tại mặt cắt được xét của chân khung cổng cầu (T/m2)
(110)
Trong đó:
- Các ứng suất do lực dọc và mô men uốn (T/m2)
SV - Lực dọc ở chân khung cổng cầu do tải trọng gió tính toán (T). Giá trị của Sv được xác định theo Công thức (111)
hv - Hệ số tổ hợp lấy đối với tải trọng gió, lấy bằng 0,5
Fth - Diện tích của mặt cắt ngang thu hẹp của chân khung cổng cầu tại mặt cắt đang xét (m2)
Mv - Mô men uốn khi tính toán về cường độ tại mặt cắt được kiểm toán của chân khung cổng cầu tại mặt cắt đang xét (T.m)
c - Hệ số điều chỉnh, bằng 1.05
Wth - Mô men kháng uốn của mặt cắt ngang được xét chân khung khi xét uốn ngoài mặt phẳng dàn (m3)

Hình 10. Khung cổng cầu có thanh ngang mặt cắt đặc - Biểu đồ mô men trong chân thanh.

Hình 11. Khung cổng cầu có thanh ngang dạng dàn - Biểu đồ mô men trong chân thanh.
Lực dọc trong chân khung cổng cầu do tải trọng gió tính toán (T)
(111)
Trong đó:
- Phản lực gối do tải trọng gió tính toán, (T) (Có xét đến hệ số tin cậy nv = 1,5). Phản lực gối được xác định như đối với dàn gió nằm ngang có nhịp lv (m), bằng khoảng cách của các nút trên của khung cổng cầu.
- Cường độ tiêu chuẩn của tải trọng gió lên biên trên của dàn (T/m) (xem điều 6.6.2)
CH - Khoảng cách từ vị trí ngàm chân khung cổng cầu đến cao độ đặt hợp lực của gió lên biên trên của dàn (m)
(112)
IH - Chiều dài chân khung lấy bằng khoảng cách từ điểm ngàm của chân khung đến trục thanh ngang khung đối với khung kiểu cổng có thanh ngang đặc, còn với khung thanh ngang kiểu dàn thì lấy khoảng cách từ điểm ngàm chân khung đến trục của thanh ngang trên cùng trong dàn ngang của khung (m)
fH - Đường tên của biên trên dạng gãy khúc của dàn (hiệu số chiều cao giữa nhịp dàn với chiều cao nút trên của khung cổng cầu. Đối với dàn có các biên song song thì fH = 0) (m)
a’0 - Góc nghiêng của khung cổng cầu với đường nằm ngang (độ)
Cc - Khoảng cách từ điểm ngàm chân khung đến điểm không của biểu đồ mô men chân khung (m)
Khi khung ngang có thanh đặc như Hình 10.
(113)
Khi khung cổng cầu có dạng dàn như Hình 11:
(114)
Trong các Công thức (113) và (114)
ap - Khoảng cách từ trục chân khung cổng cầu đến đỉnh của đường vút (m) (xem Hình 10)
cp - Khoảng cách từ điểm ngàm chân khung đến điểm dưới của đường vút (m) (xem Hình 11)
I2 - Mô men quán tính của mặt cắt ngang nguyên của chân khung cổng cầu đối với trục vuông góc với mặt phẳng khung (m4)
I1 - Mô men quán tính của mặt cắt ngang nguyên của thanh ngang khung đối với trục song song với trục dọc cầu (m4)
Các ký hiệu khác giống như trước
Chú ý: Vị trí điểm ngàm chân khung cổng cầu quy ước lấy như sau:
- Đối với khung nghiêng, khi có thanh chống ngang khung, mặt cắt hình ống ở cao độ thanh biên dưới của dàn chủ lấy trọng tâm của thanh chống ngang đó. Nếu không có thanh chống ngang đó thì lấy ở tâm hình học của nút gối của dàn chủ.
- Đối với khung cổng cầu thẳng đứng, lấy ở cao độ trọng tâm và dầm ngang ở gối của dàn chủ.
Mô men uốn Mv tại mặt cắt yếu nhất của chân cổng cầu do tải trọng gió tính toán được xác định theo biểu đồ mô men uốn ở chân khung (Hình 10 và 11) và lấy được lấy bằng tung độ biên độ MV (T/m)
7.4.9.4. Khi cần thiết cũng phải kiểm toán mặt cắt khác ở chân khung cổng cầu (khi có cắt bớt các tấm bản thép nằm ngang hoặc thẳng đứng, khi có hư hỏng v.v...), theo biểu đồ mô men (Hình 10 và 11) ở cao độ mặt cắt được xét.
Các tung độ chính để vẽ dạng biểu đồ mô men (T.m) là:
- Tại mặt cắt 1-1
(115)
- Tại vị trí nàm chân khung (mặt cắt 2-2)
(116)
7.4.9.5. Hoạt tải cho phép (T/m) khi tính chân khung cổng cầu về ổn định được xác định như sau:
- Nếu độ mảnh chân khung ngoài mặt phẳng dàn ly (trùng với mặt phẳng tác động mô men) lớn hơn độ mảnh trong mặt phẳng dàn lx (ly> lx)
(117)
- Nếu độ mảnh chân khung ngoài mặt phẳng dàn lx (ly ≤ lx) thì:
(118)
Trong đó:
m - Hệ số điều kiện làm việc
j - Hệ số uốn dọc (Phụ lục F) trong mặt phẳng có độ mảnh lớn nhất.
j2 - Hệ số uốn dọc khi kiểm toán ổn định ngoài mặt phẳng của mặt phẳng uốn, được xác định theo các chỉ dẫn sau đây.
Fp - Diện tích nguyên của mặt cắt ngang chân khung cổng cầu tại mặt cắt đang được xét (m2)
Các ký hiệu khác trong Công thức (117) và (118) cũng giống như ở Công thức (109)
7.4.9.6. Hệ số uốn dọc để kiểm toán ổn định cấu kiện trong mặt phẳng vuông góc với mặt phẳng của mô men uốn là:
(119)
i1 - Độ lệch tâm tương đối tính đổi ngoài mặt phẳng dàn tại mặt cắt đang xét
(120)
Mny - Mô men uốn khi tính toán về ổn định tại mặt cắt đang xét của chân khung (T.m)
Smax = RFth - Ứng lực dọc lớn nhất tại chân khung cổng cầu (T)
r = Wp / Fp - Khoảng cách lõi theo hướng ngược với hướng của độ lệch tâm (m)
Wp - Mô men kháng uốn của mặt cắt nguyên đang xét đối với thớ chịu nén ở mặt cắt chân khung cổng cầu khi uốn ở ngoài mặt phẳng dàn (m3)
Mô men uốn Mvy được xác định theo biểu đồ mô men chân khung (Hình 10 và 11) và được lấy bằng tung độ lớn nhất của biểu đồ đó, nằm tại một phần ba giữa của chiều dài chân khung. Trong Công thức để xác định j2 phải lấy giá trị j trong mặt phẳng dàn, còn giá trị i lấy ngoài mặt phẳng dàn.
7.4.9.7. Khi tính toán khung cứng ngang của kết cấu nhịp “hở trên” phải đảm bảo các điều kiện về độ mảnh, chiều dài tự do và chuyển vị ngang của các bộ phận kết cấu như quy định của Quy trình được áp dụng để thiết kế xây dựng công trình.
7.4.10. Tính toán gối cầu
7.4.10.1. Khi xác định năng lực chịu tải của các gối cầu (con quay, thớt, gối, con lăn, chốt) phải tính toán với các tải trọng sau
- Tĩnh tải
- Hoạt tải thẳng đứng của đoàn tàu.
- Lực gió ngang và có xét hệ số tổ hợp tương ứng
Các con quay được tính theo giả thiết chúng chịu uốn dưới tải trọng bằng phân lực gối của dàn (dầm). Đối với các con quay của gối cố định và đối với con quay trên của gối di động thì áp lực từ kết cấu nhịp được coi là phân bố đều trên đáy con quay. Đối với con quay dưới và thớt gối của gối di động thì áp lực từ kết cấu nhịp được lấy dưới dạng các lực tập trung đặt vào con quay hay đặt vào thớt dưới ở các vị trí tiếp xúc với các con lăn.
7.4.10.2. Hoạt tải cho phép (T/m) theo điều kiện cường độ của các bộ phận gối cầu là:
- Khi xét tĩnh tải và hoạt tải của đoàn tàu đối với:
+ Các con quay và thớt gối:
(121)
+ Các con lăn:
(122)
+ Các chốt:
(123)
- Khi xét tĩnh tải, hoạt tải của đoàn tàu và gió ngang đối với:
+ Khi các con quay và thớt gối:
(124)
+ Các con lăn:
(125)
+ Các chốt:
(126)
Trong các Công thức (121) ÷ (126) được ký hiệu như sau
ek - Hệ số phân bố ngang của tải trọng thẳng đứng do đoàn tàu truyền cho một dàn hay một dầm chủ chịu.
nk - Hệ số tải trọng của hoạt tải thẳng đứng do đoàn tàu
m - Hệ số điều kiện làm việc.
R - Cường độ tính toán cơ bản của thép làm các bộ phận gối cầu (T/m2) được lấy theo Phụ lục U.
W - Mô men kháng uốn của mặt cắt ngang của con quay hoặc của thớt gối được xét (m3)
Wk - Diện tích đường ảnh hưởng mô men uốn tại mặt cắt được xét của con quay hay của thớt gối (m2)
ep - Hệ số phân bố ngang của tĩnh tải, truyền cho một dàn chủ chịu
p = S npipi - Tĩnh tải tính toán (npi - hệ số tải trọng của tĩnh tải)
pi - Cường độ tĩnh tải của tiêu chuẩn thứ i (T/m)
0,04 - Hệ số chuyển đổi từ cường độ tính toán cơ bản của thép sang cường độ tính toán ép dập theo đường kính con lăn khi tiếp xúc tự do (Bảng 6)
n0 - Số lượng con lăn của gối di động
d0 - Đường kính con lăn.
Ikt - Chiều dài con lăn
WA = l/2 - Diện tích đường ảnh hưởng phản lực gối dàn chủ (dầm chủ) của kết cấu nhịp (m)
0,75 - Hệ số chuyển đổi từ cường độ tính toán cơ bản của thép sang cường độ tính toán ép dập cục bộ trong chốt khi tiếp xúc chặt khít
rw - Bán kính chốt (m)
Iw - Chiều dài cốt (m)
hk - Hệ số tổ hợp đối với hoạt tải thẳng đứng đoàn tàu, bằng 0,95
nn - Hệ số tải trọng của tải trọng gió, bằng 1,5
hn - Hệ số tổ hợp đối với tải trọng gió bằng 0,5
Mv - Mô men uốn trong các con quay hay trong thớt gối do phản lực gối của dàn dưới tác dụng của tải trọng gió (T/m)
Sv - Lực dọc ở chân khung cổng cầu, do tải trọng gió (T), tính theo (111)
a’0 - Góc nghiêng ở chân khung cổng cầu với đường nằm ngang (độ)
Diện tích của đường ảnh hưởng mô men uốn Wk, tại mặt cắt đang xét của con quay hay của thớt gối (m2), được tính như sau:
+ Đối với con quay của gối cố định và con quay trên của gối di động:
(127)
+ Đối với con quay dưới của gối di động:
(128)
+ Đối với thớt gối di động:
(129)
Ở mặt bên dưới con lăn thứ nhất kể từ mép thớt gối và lấy bằng:
(130)
Ở mặt cắt bên dưới con lăn thứ hai kể từ mép thớt gối
Các tính toán thớt gối của gối di động có nhiều hơn 4 con lăn cũng chỉ thực hiện đối với các mặt cắt bên dưới con lăn thứ nhất và con lăn thứ hai.
Trong các Công thức (127) ÷ (130) ký hiệu như sau:
x0 - Khoảng cách từ mép con quay đến mặt cắt được xét (m)
a - Chiều dài con quay, đo dọc cầu (m)
S ri - Tổng các khoảng cách từ mặt cắt được xét của con quay đến trục của mỗi con lăn nằm giữa mặt cắt được xét và mép gần nhất của con quay (m) (i=1 ; 2 và 3)
x1, x2 - Các khoảng cách từ trục của con lăn thứ nhất và con lăn thứ hai đến mép thớt gối (m)
Các ký hiệu khác giống như trong Công thức (121) và (126)
7.4.10.3. Mô men uốn trong các con quay và thớt gối do phản lực gối của dàn dưới tác dụng tải trọng gió (T/m)
- Đối với các con quay của gối cố định và con quay trên gối di động:
(131)
- Đối với con quay dưới của gối di động:
(132)
- Đối với thớt gối của gối di động:
(133)
Ở các mặt cắt bên dưới con lăn thứ nhất kể từ mép thớt gối
Còn khi xét mặt cắt bên dưới con lăn thứ hai thì:
(134)
Các ký hiệu khác giống như quy định phía trên
7.4.11. Tính toán các kết cấu khác
Với các kết cấu khác được áp dụng theo nguyên tắc tương tự các kết cấu đã được đề cập trên đây.
7.5. Ảnh hưởng của hư hỏng, khuyết tật và đã được sửa chữa nhỏ
7.5.1. Ảnh hưởng của sự giảm yếu bộ phận do gỉ
Khi trong kết cấu nhịp có những bộ phận đang bị gỉ đáng kể thì ngoài việc tính toán mặt cắt mà ở đó có ứng lực lớn nhất tác động, cần phải tính toán phân cấp thêm cả những mặt cắt khác đã bị giảm yếu do gỉ.
Ảnh hưởng của gỉ kim loại được xét đến bằng cách đưa vào trong công thức tính toán các đặc trưng hình học thực tế của mặt cắt được xét đến có kể đến sự giảm yếu do chúng bị gỉ. Trong mỗi mặt cắt như thế cần phải xác định các đặc trưng hình học tương ứng đối với phần mặt cắt còn lại chưa bị gỉ (trong tính toán các cấu kiện chịu uốn thì các đặc trưng hình học này được xác định theo điều 7.5.3)
Khi tính toán về độ mỏi của các bộ phận đã bị giảm yếu do gỉ thép thì cần phải xét hệ số tập trung ứng suất như đã nói trong Phụ lục G.
7.5.2. Ảnh hưởng của sự cong vênh các cấu kiện
7.5.2.1. Khi cấu kiện chịu nén có độ cong vênh với đường tên f > 0,0025l0 đối với cấu kiện mặt cắt tổ hợp hoặc mặt cắt hình H có bản tấm nằm ngang đặc hoặc có f > 0,143 r đối với các cấu kiện mặt cắt ngang hình П (l0 - Chiều dài tự do; r - bán kính lõi của mặt cắt), ảnh hưởng của độ cong vênh cần phải được kể đến khi xác định hệ số uốn dọc j . Hệ số j trong trường hợp đó được lấy theo các bảng của Phụ lục E tùy theo độ mảnh l0 và độ lệch tâm tương đối tính đổi i.
Nếu trong một cấu kiện tổ hợp mà độ cong vênh của nhánh là f > 0,004l0 thì trong diện tích tính toán của cấu kiện khi tính toán chỉ được đưa vào diện tích của nhánh không bị cong vênh.
Các cấu kiện chịu nén có các chỗ cong vênh cục bộ của các tấm bản thép hoặc của thép góc khi mà đường tên do uốn lớn hơn trị số r đã được tính toán mà không xét đến các tấm bản thép đó hoặc thép góc đó (r - bán kính lõi của phần bị hư hỏng của mặt cắt, bao gồm mọi bộ phận đã bị hư hỏng - các bản thép, các thép góc v.v... theo hướng ngược với hướng của độ lệch tâm).
7.5.2.2. Các cấu kiện tổ hợp chịu nén có độ cong vênh ban đầu lớn hơn trị số nêu ở điều 7.5.2.1 theo điều kiện cường độ của hệ thanh giằng được tính toán theo điều 7.4.6 nghĩa là cũng như đối với các cấu kiện không bị cong vênh nhưng phải xác định diện tích tính toán theo quy ước của hệ thanh giằng G theo các Công thức sau:
- Theo mặt cắt thanh giằng:
(135)
- Theo liên kết của thanh giằng
(136)
Trong đó:
f - Đường tên (tung độ lớn nhất) của độ cong vênh ban đầu của cấu kiện trong mặt phẳng của hệ thanh giằng
R - Cường độ tính toán của thép của thép làm cấu kiện (T/m2) theo điều 7.2 và Phụ lục U
Ne - Lực Ơle (T)
(137)
E - Mô đun đàn hồi của thép (T/m2)
lp - Mô men quán tính của mặt cắt nguyên của cấu kiện dàn chủ đối với trục vuông góc với mặt phẳng của hệ thanh giằng (m4)
Các ký hiệu khác trong Công thức (135) và (136) giống như trong (95) và (96) điều 7.4.6.2.
Nếu bị công vênh ở thanh giằng chéo hay thanh giằng ngang của cấu kiện ghép thì ảnh hưởng của độ cong vênh phải được xét đến khi xác định hệ số uốn dọc của cấu kiện đó của hệ thanh giằng (Điều 7.4.6.2). Diện tích tính toán của mặt cắt ngang cấu kiện của hệ thanh giằng
được tính theo Công thức điều 7.4.6.2 có kể đến các chỉ dẫn của điều 7.5.2.1.
7.5.2.3. Cấu kiện ghép chịu nén có độ cong vênh ban đầu lớn hơn trị số nêu ở điều 7.5.2.1 được tính toán theo cường độ bản giằng với chỉ dẫn của điều 4.4.6.1 giống như đối với cấu kiện không bị cong vênh mà không cần tính trước trị số hoạt tải cho phép.
Mô men kháng uốn quy ước của bản giằng (m3) theo cường độ là W, theo cường độ quy ước của đinh tán là Wc, được đưa vào trong các Công thức (103), (104), (105) để xác định đẳng cấp của cấu kiện cơ bản theo cường độ bản giằng được tính bằng Công thức:
- Theo mặt cắt:
(138)
- Theo liên kết của bản giằng bằng đinh tán hay bu lông:
(139)
- Theo mối hàn của liên kết bản giằng:
(140)
Trong các Công thức trên thì các giá trị j, db, Cb, m0, n3, Bb, amax, a3, s, dw giống như trong các Công thức điều 7.4.6.3; các giá trị f, l0, R và Ne giống như trong các Công thức điều 7.5.2.2
lb - Khoảng cách giữa các bản giằng trong mặt phẳng uốn (cm)
7.5.2.4. Dầm có thành bụng đặc, bị cong vênh trong mặt bằng giữa các nút của hệ giằng liên kết sẽ được kiểm toán về ổn định chung có xét đến độ cong vênh của bản cánh chịu nén
Hoạt tải cho phép (T/m đường) là:
(141)
Trong đó:
j - Hệ số uốn dọc đối với bản cánh trên chịu nén, ngoài mặt phẳng dầm, được lấy theo bảng của Phụ lục E tùy theo độ mảnh l0, khi l=f/ r
f - Đường tên của độ cong vênh, ứng với chiều dài (m)
r - Bán kính lõi.
Các ký hiệu khác giống như điều 7.3.5
7.5.3. Ảnh hưởng của các lỗ thùng, các chỗ móp và các vết nứt
7.5.3.1. Tất cả các lỗ thủng, các chỗ lõm và các vết nứt làm giảm yếu mặt cắt, đều phải được xét đến khi xác định các đặc trưng hình học tính toán của mặt cắt được xét. Ở mỗi mặt cắt bị giảm yếu cần xác định vị trí tương ứng của trọng tâm có kể đến các hư hỏng. Đối với mặt cắt bị giảm yếu do lỗ thủng và vết lõm thì khi tính đặc trưng mặt cắt phải xét phần chưa bị hỏng của kim loại mà vị trí bắt đầu của phần đó cách 3÷5 mm kể từ mép biên vết lõm hoặc méo lỗ thủng
Khi có vết nứt đã được khoan lỗ chặn ở hai đầu vết nứt thì mặt cắt tính toán được lấy từ mép lỗ.
Nếu vết nứt hoặc lỗ thùng làm giảm yếu tố ở một bên của thanh chịu nén hoặc thanh chịu kéo với các hư hỏng ở mép thanh thì khi tính toán, ngoài việc xét sự giảm yếu các mặt cắt còn phải xét đến mức độ lệch tâm truyền ứng lực lên phần còn nguyên lành của mặt cắt. Muốn vậy, trong Công thức (14) cần xét diện tích tính toán như sau:
- Đối với cấu kiện chịu nén:
G =
(142)
- Đối với cấu kiện chịu kéo:
(143)
Trong đó:
F’p, W’p - Diện tích (m2) và mô men kháng uốn (m3) của phần còn nguyên lành của mặt cắt bị giảm yếu nhất.
F’0 - Diện tích tính toán của phần còn nguyên lành của mặt cắt tại chỗ bị giảm yếu nhất
j - Hệ số uốn dọc, xác định theo Phụ lục E tùy theo độ mảnh cấu kiện (không xét đến hư hỏng) và độ lệch tâm tương đối I = e0/r (r - Bán kính lõi, được xác định không kể đến hư hỏng theo điều 5.13)
e0 - Độ lệch tâm, bằng khoảng cách giữa các trọng tâm của mặt cắt toàn bộ và của phần còn nguyên của mặt cắt bị giảm yếu nhất (m)
Trên Hình 12 vẽ các vùng hư hỏng của dầm thép đặc. Những hư hỏng ở vùng 1 không có ảnh hưởng lớn đến năng lực chịu tải của kết cấu nhịp và nếu thép góc tăng cường cứng không bị hư hỏng thì có thể bỏ qua không xét đến các hư hỏng. Nếu hư hỏng ở vùng 3 thì phải kiểm toán mặt cắt bị giảm yếu theo ứng suất tiếp.
Phải kiểm toán về cường độ và độ mỏi đối với dầm đã hư hỏng theo ứng suất pháp tại mặt cắt giảm yếu bằng các công thức giống như đối với dầm không bị hư hỏng. Trong tính toán sẽ xét lấy trị số nào nhỏ hơn của mô men kháng uốn tính toán của phần nguyên lành của mặt cắt đã được tính toán hai lần, đối với:
- Trục đi qua trọng tâm của mặt cắt chưa bị hư hỏng
- Trục đi qua trọng tâm của phần mặt cắt còn lại sau khi bị hư hỏng
Mô men kháng uốn tính toán trong cả hai trường hợp được tính đối với thớ biên trên và thớ biên dưới của mặt cắt. Các mép phần chưa hư hỏng của mặt cắt dầm chịu uốn được lấy cũng như đối với các cấu kiện của dàn.

Hình 12. Các vùng hư hỏng của dầm đặc
7.5.3.2. Một cách gần đúng, có thể tính hoạt tải cho phép (T/m đường), khi tính toán theo ứng suất pháp có thể kể đến hư hỏng nằm trong vùng 3 là
(144)
Trong đó:
R - Cường độ tính toán cơ bản (T/m2)
d - Chiều dày bụng dầm (m)
h - Chiều cao toàn bộ của bụng dầm trên gối (m)
Dh - Chiều cao phần hư hỏng của bụng dầm (m)
I - Nhịp tính toán của dầm (m)
7.6. Ảnh hưởng của các hư hỏng, khuyết tật và tăng cường kết cấu
7.6.1. Năng lực chịu tải các cấu kiện kết cấu nhịp đã được tăng cường
Năng lực chịu tải các cấu kiện kết cấu nhịp đã được tăng cường bằng cách thêm thép, được xác định theo Phụ lục P
7.6.2. Năng lực chịu tải của cấu kiện bị nén, đã được tăng cường bằng gỗ
Năng lực chịu tải của cấu kiện bị nén, đã được tăng cường bằng gỗ, được xác định theo Công thức (14) về cường độ theo diện tích nguyên của phần chưa bị hư hỏng của bộ phận F, còn về ổn định thì theo diện tích tính toán F0 = 1,1 jF’p (m2)
j - Hệ số uốn dọc được xác định theo độ mảnh quy ước l0
F’p - Diện tích mặt cắt nguyên của phần chưa bị hư hỏng của bộ phận (m2) (Điều 7.5.3.1)
Độ mảnh quy ước:
l = I0 / r (145)
I0 - Chiều dài tự do của bộ phận (Điều 7.4.4)
r - Bán kính quán tính (m)
(146)
lp - Mô men quán tính tính đổi của mặt cắt nguyên (m4)
Ip = I’p + 0,05 S Id (147)
I’p - Mô men quán tính của phần không bị hư hỏng của mặt cắt ngang thép đối với trục bản thân (đối với các bộ phận lớn hơn mức cho phép thì lấy theo Điều 7.5 tức là lp=0) (m4)
S Id - Tổng các mô men quán tính của các bộ phận bằng gỗ đối với trục bản thân (m4)
7.7. Tính toán đẳng cấp đoàn tầu
7.7.1. Đẳng cấp của tải trọng K0
Đẳng cấp của tải trọng K0 bằng tỷ số của tải trọng rải đều tương đương của đoàn tàu đang được xét (có hệ số xung kích)
(148)
k0 - Tải trọng tương đương của đoàn tàu đang được phân cấp (T/m)
k1 - Hoạt tải rải đều tương đương của đoàn tàu đơn vị chuẩn T1, đường (T/m) (Phụ lục A)
1 + m0 - Hệ số xung kích của đoàn tàu đang được xét (lấy theo Quy trình được áp dụng để thiết kế xây dựng công trình hoặc theo kết quả thử nghiệm cụ thể)
1 + m - Hệ số xung kích đối với tải trọng đơn vị chuẩn theo Sơ đồ T1
n - hệ số tải trọng của hoạt tải
Các trị số k0 và k1 được lấy đối với cùng một đường ảnh hưởng.
Các tải trọng tương đương k0 và đẳng cấp đoàn tàu k0 được xác định tương đối với đường ảnh hưởng tam giác dài m = 1÷200 (m), với hệ số vị trí đường ảnh hưởng a = 0 và a = 0,5.
7.7.2. Khi xác định tải trọng tương đương k0
Khi xác định tải trọng tương đương k0 phải đặt đoàn tàu được xét lên đường ảnh hưởng ở vị trí bất lợi nhất để cho giá trị k0, đạt giá trị lớn nhất.
Vị trí bất lợi nhất của tải trọng trên nhịp được tìm theo cách sau đây:
Trên một đường ảnh hưởng nhất định, lần lượt thay đổi vị trí đặt tải đoàn tầu và tính giá trị tải trọng tương đương k0 theo công thức:
(149)
Trong đó:
Pi - Tải trọng của trục bánh xe trên ray (T)
yi - Tung độ đường ảnh hưởng bên dưới của lực Pi
qt - Tải trọng rải đều tương đương của đoàn toa
Wk - Diện tích đường ảnh hưởng được đặt tải (m hay m2)
Wkt - Diện tích đường ảnh hưởng được đặt tải tương ứng của đoàn toa (m hay m2)
So sánh các giá trị tìm được để tìm giá trị lớn nhất trong tất cả các vị trí xếp tải, đó chính là giá trị tải trọng tương đương k0 tương ứng với đường ảnh hưởng đang xét.
Đối với đoàn tải trọng tiêu chuẩn thẳng đứng T1, giá trị tải trọng tương đương k0 đối với các đường ảnh hưởng dạng tam giác đã được thiết lập sẵn trong bản A-1 thuộc Phụ lục A của tài liệu này.
Đối với đoàn tải trọng tiêu chuẩn thẳng đứng TZ (ví dụ T10, T14, T16, T22,…), giá trị tải trọng tương đương k0 đối với các đường ảnh hưởng dạng tam giác được tính bằng cách nhân cấp tải trọng Z với giá trị tương ứng đã được thiết lập sẵn trong bản A-1 thuộc Phụ lục A của tài liệu này.
7.8. Các chỉ dẫn tính toán
7.8.1. Khi tính toán đẳng cấp các bộ phận, các mối nối các cấu kiện và các liên kết
Khi tính toán đẳng cấp các bộ phận, các mối nối cấu kiện và các liên kết của chúng nên được làm dưới dạng bảng. Nếu có các tính toán đặc biệt khác bổ sung thì tập hợp trong phần mục lục hồ sơ.
7.8.2. Khi có các hư hỏng chỉ ở các bộ phận riêng lẻ của kết cấu nhịp
Khi có các hư hỏng (do gỉ, do lực, cong vênh ....) chỉ ở các bộ phận riêng lẻ của kết cấu nhịp, thì nên tính toán đẳng cấp của mọi bộ phận kết cấu nhịp, không kể đến hư hỏng, sau đó sẽ xác định năng lực chịu tải của các bộ phận hư hỏng. Điều đó cho phép đánh giá cụ thể ảnh hưởng của hư hỏng bộ phận đến năng lực chịu tải của nó.
Trong bảng kết luận về đẳng cấp của kết cấu nhịp càng phải chỉ rõ đẳng cấp các bộ phận có kể đến các hư hỏng kèm theo các chú thích tỉ mỉ.
Trong các trường hợp các bộ phận kết cấu nhịp bị gỉ đáng kể hoặc bị hư hỏng thì việc xác định năng lực chịu tải của các bộ phận đó cần được ưu tiên làm ngay lập tức trong đó có kể đến gỉ và các hư hỏng để có quyết định về độ khai thác cầu.
7.8.3. Khi tính toán cấu kiện chịu nén của dàn, năng lực chịu tải
Khi tính toán cấu kiện chịu nén của dàn, năng lực chịu tải của nó cần phải xác định theo cường độ và ổn định, để giảm khối lượng tính toán cần phải xác định trước các diện tích tính toán quy ước của các bộ phận khi tính toán về cường độ - mFth và khi tính toán về độ ổn định - mjFp. Sau đó chỉ cần tính toán, hoặc về cường độ, hoặc về ổn định tùy theo trị số diện tích tính toán quy ước nào bé hơn.
Các trị số m, j, Fth, Fp được lấy theo Điều 7.4.1 - 7.4.3
Trong bảng kết luận về năng lực chịu tải đối với các cấu kiện chịu nén của kết cấu nhịp cần phải nói rõ dạng tính toán nào (về cường độ hay về ổn định) đã được dùng để tính đẳng cấp.
7.8.4. Khi tính toán các mối nối và các liên kết (kể cả bản nút dàn)
Khi tính toán các mối nối và các liên kết (kể cả bản nút dàn) của các cấu kiện chịu kéo và cấu kiện chịu nén thì trước tiên nên làm theo chỉ dẫn của Điều 7.1.5 và Điều 7.4.2, xác định diện tích tính toán quy ước tính đổi của các đinh tán (bu lông) mF0 và diện tích quy ước của bản nút chịu xé rách mF’0. Nếu trị số mF0 hay m F’0 lớn hơn trị số tương ứng của diện tích tính toán quy ước của bộ phận (mFth, hay mjFp) năng lực chịu tải của bộ phận về cường độ mối (liên kết) hay bản nút có thể không được xác định.
7.8.5. Trong trường hợp năng lực chịu tải của bộ phận dàn về độ mỏi là không đủ
Trong trường hợp năng lực chịu tải của bộ phận dàn về độ mỏi là không đủ thì cần xác định lượng tích lũy hư hỏng mỏi (độ dự trữ) theo lý thuyết kết quả của tính toán đó mà lập điều kiện khai thác và chọn biện pháp tăng cường kết cấu nhịp phù hợp.
7.9. Thử nghiệm kết cấu nhịp
7.9.1. Xác định độ xê dịch của tim đường sơ với kết cấu nhịp
Trên đoạn tuyến thẳng có độ xê dịch của tim đường được xác định ở đầu mỗi kết cấu nhịp đi qua các điểm giữa của khoảng cách các dàn chủ còn tim đường sắt đi qua các điểm giữa khoảng cách hai ray.
Trong các cầu trên đoạn tuyến cong thì độ xê dịch (độ lệch) của tim đường ở các điểm và điểm giữa kết cấu nhịp đều được đo và đánh dấu cố định có ghi rõ chiều cong (sang bên phải hay sang bên trái chiều đi của tuyến và lý trình), ngoài ra phải ghi rõ bán kính đường cong.
Phép đo độ xê dịch (độ lệch) tim đường có độ chính xác cần đạt ±5 mm.
7.9.2. Xác định loại thép và các tính chất cơ lý của thép
Nếu không có đủ các tài liệu đáng tin cậy về loại thép của các cầu cũ (thép hàn hay thép đúc) thì cần phải lấy mẫu từ các bộ phận khác nhau của kết cấu nhịp (các thanh biên, các thanh chéo, các thanh đứng, các dầm dọc, các dầm ngang, hệ liên kết) và theo dạng thực tế của vết lấy mẫu mà xác định loại của kim loại đã dùng. Nếu kim loại ở vết lấy mẫu có cấu trúc hạt nhỏ sáng thì đó là thép đúc, nếu cấu trúc thành lớp màu sáng thì đó là thép hàn.
Loại kim loại của gối cầu (gang hay thép đúc) đối với các bộ phận khác nhau của gối (con quay, chốt, con lăn, thớt gối) cũng được phát hiện theo đặc điểm của vết lấy mẫu. Vết của gang có cấu trúc hạt to, màu xám.
Nếu cần xác định vật liệu đinh tán thì nên chặt vài đinh riêng lẻ (không quá một đinh trong một nhánh của nút) rồi thay ngang vào bằng bu lông cường độ cao.
Trong trường hợp còn nghi ngờ thì loại thép phải được xác định qua việc thử nghiệm trong phòng thí nghiệm.
Nếu kết cấu nhịp đã từng được tăng cường, khôi phục hoặc thay thế một số bộ phận riêng lẻ (ví dụ phần xe chạy) thì các mẫu để xác định loại kim loại cần phải lấy cả từ những bộ phận đã được tăng cường, khôi phục hoặc thay thế đó (khi không có các tài liệu nói về kim loại đã dùng)
Trong các kết cấu nhịp thì mẫu để xác định loại kim loại cần phải được lấy ra từ mỗi kết cấu nhịp.
Trong trường hợp khi cần biết rõ về kim loại, và cả về chất lượng thì nên điều trị tỷ mỉ hơn: xác định các tính chất cơ học trong phòng thí nghiệm (giới hạn cường độ, giới hạn chảy, độ dãn dài tương đối, độ dai va chạm) thành phần hóa học (trong thép than cần biết hàm lượng cacbon, silic, phốt pho, lưu huỳnh; trong thép hợp kim thấp còn cần biết thêm các chất pha thêm chính) và cấu trúc trên các mẫu lấy ra từ các bộ phận riêng rẽ của mỗi kết cấu nhịp.
Để chọn hợp lý vị trí lấy mẫu và số lượng mẫu sẽ lấy, cần phải căn cứ vào việc xác định sơ bộ độ cứng kim loại của các bộ phận khác nhau của kết cấu nhịp.
Muốn vậy có thể dùng thiết bị xách tay của Brinel hay Poldi.
Nếu việc lấy mẫu làm giảm yếu kết cấu thì cần phải tìm biện pháp bù đắp bằng các bản táp phủ. Các góc của chỗ bị cắt khoét lấy mẫu phải được khoan trước bằng các lỗ khoan đường kính bằng 14-20mm.
Kích thước mẫu, số lượng mẫu, phương pháp thí nghiệm và xử lý kết quả thí nghiệm do cơ quan tiến hành thí nghiệm nêu trong đề cương thí nghiệm và được cấp có thẩm quyền chấp nhận.
7.9.3. Thử nghiệm kết cấu nhịp
Khi xác định năng lực chịu tải của kết cấu nhịp có thể tiến hành thử cầu nếu cần biết chính xác trạng thái ứng suất thực tế của kết cấu dưới tác động của tải trọng, khi có các hư hỏng và khuyết tật mà ảnh hưởng của chúng đến năng lực chịu tải khó mà xét được bằng lý thuyết.
Thử nghiệm cầu được làm dưới tác động của tải trọng thường xuyên qua cầu (tải trọng nặng nhất), đứng yên trên nhịp hoặc chạy qua nhịp. Các trị số ứng suất và độ võng đo được sẽ được so sánh với các trị số lý thuyết tương ứng cũng do tải trọng thử cầu gây ra. Các hệ số kết cấu cũng cần được xác định để quyết định chế độ khai thác kết cấu nhịp.
8. Kết cấu dầm bê tông cốt thép
8.1. Những nguyên tắc chung
8.1.1. Những điều quy định trong điều này
Điều này bao gồm những điều quy định về kiểm định dầm bê tông cốt thép thường (không có ứng suất trước) trên đường sắt đang khai thác.
Đối với các dầm bê tông cốt thép dự ứng lực (có ứng suất trước) thì khi tính toán, kiểm định cần tham khảo áp dụng hướng dẫn ở Phụ lục V và các chỉ dẫn tính toán riêng biệt được áp dụng cho công trình đó.
8.1.2. Yêu cầu của việc kiểm định
Yêu cầu của việc kiểm định là đánh giá được năng lực chịu tải hiện còn của dầm bê tông cốt thép, thể hiện trên các điểm:
- Tải trọng có thể khai thác thường xuyên với tốc độ quy định;
- Tải trọng có thể phát triển tối đa (giới hạn cực đại).
8.1.3. Nội dung kiểm định
Nội dung kiểm định bao gồm:
- Điều tra đánh giá quá trình xây dựng, khai thác và hiện trạng của dầm;
- Xác định các số liệu ban đầu về bê tông, cốt thép và các đặc điểm liên quan;
- Dựa theo hiện trạng kết cấu dầm với các mức độ hư hỏng khác nhau để tính toán xác định năng lực chịu tải còn lại;
- Khi cần thiết phải thử tải và đo đạc lấy số liệu;
- Đối chiếu kết quả tính toán và kết quả thử tải để đưa ra kết luận về năng lực chịu tải của các dầm bê tông cốt thép.
8.1.4. Nguyên lý về phương pháp kiểm toán năng lực chịu tải dầm bê tông cốt thép cũ
- Các số liệu ban đầu dùng để tính toán như kích thước hình học của mặt cắt, khẩu độ tính toán, mác bê tông, cường độ cốt thép, ảnh hưởng của gỉ mòn, các hư hỏng v.v... cần phải được điều tra, đo đạc với độ chính xác đáng tin cậy.
- Chọn phương pháp so sánh ứng suất kết cấu và ứng suất cho phép của vật liệu khi tính toán kiểm tra kết cấu dầm bê tông cốt thép theo tải trọng khai thác.
- Khi cần xét tới tải trọng lớn nhất có thể qua cầu thì phải tính toán thêm theo trạng thái giới hạn cực hạn. Trường hợp này, xét mặt cắt làm việc đến giai đoạn phá hoại chịu được một tải trọng tính toán, trong đó có xét đến hệ số vượt tải, hệ số xung kích. Tải trọng tính toán nêu trên được quy ra theo tải trọng rải đều tương đương nêu trong Phụ lục A và J của Tài liệu này. Đồng thời phải tính đẳng cấp hoạt tải dầm cầu bê tông cốt thép. Đẳng cấp dầm cầu sẽ được xác định theo các công thức nêu trong Phụ lục R của tiêu chuẩn này.
- Kiểm toán về mỏi được thực hiện cho cả hai trường hợp tính toán kết cấu theo tải trọng khai thác và tính toán kết cấu theo trạng thái giới hạn cực hạn. Kiểm toán về mỏi chủ yếu với phần bê tông chịu nén, cốt thép chịu kéo. Trường hợp có vết nứt xiên ở đầu dầm và vết nứt ngang tiếp giáp giữa bản và sườn dầm > 0,2 mm cần kiểm toán về mỏi đối với cốt thép đai và cốt thép xiên đi qua chỗ vết nứt rộng nhất.
- Ngoài các hạng mục tính toán trên, khi tính toán kiểm định dầm bê tông cốt thép cũ, cần xét đến sự phát triển về vết nứt do chịu lực về chiều dài, chiều sâu và chủ yếu về độ mở rộng, kể cả những mảng bê tông bị tróc vỏ. Độ võng do hoạt tải của dầm bê tông cốt thép cũ không cần tính toán, cần đo độ võng do hoạt tải từng phiến dầm để so sánh độ võng cho phép được quy định trong tiêu chuẩn này.
8.1.5. Việc thử tải và đo đạc các số liệu kỹ thuật
- Đo đạc thử tải có thể thiết lập đoàn tàu riêng hoặc dùng ngay các đoàn tàu loại nặng nhất đang khai thác.
- Thử tải nhằm khẳng định thêm kết quả tính toán nhất là đối với các trường hợp kết quả tính toán chỉ ra năng lực chịu tải của dầm cầu thiếu, hoặc có một số yếu tố không tính được.
- Số liệu đo đạc khi thử tải đòi hỏi độ chính xác cao. Số đo sai số không được dùng và cần đo lại.
- Các số liệu đo đạc thử tải cần đối chiếu với kết quả tính toán, nhưng nhất thiết phải đo ứng suất bê tông ở khu vực chịu nén, ứng suất cốt thép chịu kéo, độ võng do hoạt tải ở mặt cắt giữa nhịp và độ rộng vết nứt do chịu lực khi có tĩnh tải và hoạt tải.
8.1.6. Kết luận về năng lực chịu tải của dầm bê tông cốt thép cũ
Kết luận về năng lực chịu tải của dầm bê tông cốt thép cũ phải so sánh phân tích số liệu tính toán và số liệu đo thử tải, phải kiểm tra các bước tiến hành để phát hiện sai sót cần loại bỏ hoặc cần làm lại.
Khi đã khẳng định sự chính xác của các số liệu tính toán hoặc đo đạc mà thấy kết quả đo cho thấy dầm cầu không đủ năng lực chịu tải thì dù kết quả tính toán thế nào cũng cần quyết định việc thông xe theo kết quả đo thử tải.
8.2. Số liệu ban đầu
8.2.1. Các số liệu ban đầu cần thu thập điều tra hoặc đo đạc
Các số liệu ban đầu cần thu thập điều tra hoặc đo đạc để tính toán xác định năng lực chịu tải của dầm cầu bê tông cốt thép bao gồm:
- Năm xây dựng; tải trọng thiết kế;
- Bản vẽ thiết kế gốc hoặc hồ sơ hoàn công, thể hiện: Kích thước hình học, bố trí cốt thép, chủng loại và kích thước cốt thép, mác bê tông thiết kế và thi công và các bộ phận chi tiết khác;
- Diễn biến trong quá trình khai thác như thay đổi tải trọng, hư hỏng và sửa chữa;
- Cường độ chịu nén của bê tông hiện đại;
- Cường độ chịu kéo, chia cắt của cốt thép hiện tại;
- Tình trạng hư hỏng của bê tông như vị trí và kích thước vết nứt, vết vỡ, mức độ phong hóa các bo nát hóa, hệ thống phòng nước và thoát nước v.v...;
- Hiện trạng của các bộ phận khác như dầm ngang, gối cầu v.v...;
- Tình trạng hư hỏng của cốt thép như vị trí và phạm vi cốt thép bị lộ ra ngoài, mức độ gỉ mòn của chúng;
- Các loại tải trọng đã và đang khai thác qua cầu;
- Các số liệu đã đo đạc thử tải trên cầu;
8.2.2. Mác bê tông thực tế dùng để tính toán được xác định bằng cách:
- Dùng súng bật nẩy và máy dò siêu âm đo tại cầu theo quy trình riêng.
- Các thiết bị đo này phải được chuẩn hóa trước khi tiến hành nhằm đảm bảo độ chính xác. Kết quả đo của hai thiết bị này nếu chênh lệch nhau < 20% thì lấy trị số trung bình, nếu qua 20% thì phải đo lại, nếu đo lại vẫn thế thì phải chuẩn hóa lại cả hai thiết bị ở phòng thí nghiệm và xử lý số liệu.
- Trường hợp thiếu thiết bị thì cho phép dùng súng bật nảy đã được chuẩn hóa và phải đo một vị trí ba lần để lấy một trị số bình quân.
- Nếu có điều kiện khoan lấy mẫu bê tông từ dầm thực để nén thử thì cũng dùng cách đo bằng súng bật nẩy và máy siêu âm ở dầm này để đối chiếu kết quả đó, trên cơ sở đó mà rút ra hệ số điều chỉnh cho trị số mác bê tông bằng súng bật nảy bằng máy siêu âm.
- Nếu trong hồ sơ thiết kế gốc hoặc hồ sơ hoàn công có ghi mác bê tông thiết kế hoặc thi công thì có thể dùng để tính toán nhưng phải nhân với hệ số điều chỉnh. Hệ số này được xác định theo kết quả so sánh trị số này với trị số đo bằng phương pháp nêu trên tại cùng một dầm.
8.2.3. Mác thép dùng để tính toán kiểm định được xác định bằng cách:
- Lấy mác thép ghi trong sổ hồ sơ thiết kế gốc hoặc hồ sơ hoàn công nếu có, trong đó có ghi ứng suất giới hạn đàn hồi se và ứng suất kéo đứt sr.
- Tham khảo mác thép được sản xuất vào thời kỳ chuẩn bị xây dựng cầu bê tông trên tuyến đường hoặc trên từng đoạn khu.
- Nên tạo điều kiện cắt mẫu cốt thép của một số ít dầm cầu bê tông thép thuộc chủng loại tương tự đã được thay ra, đưa về phòng thí nghiệm xác định lại se và sr, để vừa khẳng định lại mác thép vừa xem sự suy giảm cường độ cốt thép do bị gỉ mòn qua nhiều năm khai thác.
8.2.4. Ứng suất cho phép của bê tông
Ứng suất cho phép của bê tông khi tính toán theo tải trọng khai thác được quy định theo Bảng 15:
Bảng 15. Ứng suất cho phép của bê tông
| TT | Mác bê tông Loại ứng suất | 140 | 150 | 170 | 200 | 250 | 300 | Ghi chú |
| 1 | Chịu nén (Xsb) | 46 | 50 | 56 | 66 | 83 | 100 | Tính bằng 1/3 mác bê tông |
| 2 | Chịu cắt (tb) | 3 | 3,1 | 3,2 | 3,4 | 4,0 | 4,5 | Đơn vị tính đều là kG/cm2 |
| 3 | Chịu kéo chủ khi có cốt đai và cốt xiên (skc) | 12 | 12,6 | 14 | 16 | 18 | 20 |
|
8.2.5. Ứng suất cho phép chịu kéo hoặc nén của cốt thép
Ứng suất cho phép chịu kéo hoặc nén của cốt thép loại tương tự với CT3 được tính theo tiết diện đã trừ gỉ là: [Ra] = 1200 kG/cm2.
8.2.6. Mô đun đàn hồi của thép loại
Mô đun đàn hồi của thép loại tương tự CT3, Ea = 2,1x106 kG/cm2.
8.2.7. Mô đun đàn hồi của bê tông các loại
Mô đun đàn hồi của bê tông các loại quy định như sau:
- Khi ứng suất, với mác bê tông từ 140 -250 lấy Eb = 1,4x106 kG/cm2.
- Khi tính biến dạng, với mác bê tông từ 140 - 250 lấy Eb = 2,7x105 kG/cm2; với mác bê tông 300 lấy Eb = 2,95x105 kG/cm2.
8.2.8. Hệ số tỉ lệ mô đun đàn hồi
Hệ số tỉ lệ mô đun đàn hồi giữa cốt thép và bê tông như sau:
- Với mác bê tông từ 140-250, khi tính ứng suất lấy
= 1,5
- Với mác bê tông từ 140-250, khi tính mỏi lấy n = 25.
8.2.9. Cường độ bê tông dùng khi tính toán
Cường độ bê tông loại thường dùng khi tính toán theo trạng thái giới hạn cực hạn được quy định theo Bảng 16:
Bảng 16. Cường độ tính toán bê tông (kG/cm2)
| Mác bê tông Loại ứng suất | Ký hiệu | 150 | 200 | 250 | 300 | 400 | 500 | 600 |
| Ứng suất kéo chủ quy ước | Rkc | - | 24 | 28 | 32 | 37 | 42 | 46 |
| Kéo dọc trục | Rkéo | - | 6.5 | 8.8 | 9.5 | 11 | 12.5 | 13.5 |
8.2.10. Cường độ chịu kéo và chịu nén của cốt thép trơn
Cường độ chịu kéo và chịu nén của cốt thép trơn loại tương đương với A-l, A-ll, A-lll khi tính toán theo trạng thái giới hạn cực đại với tiết diện đã trừ gỉ Ra = 1900, 2400, 3000 kG/cm2.
8.2.11. Cường độ chịu nén của bê tông
Cường độ chịu nén của bê tông khi tính toán về mỏi theo tải trọng khai thác hoặc theo trạng thái giới hạn cực hạn tính theo Công thức:
Rbf = 0,6ebRlt (150)
Khi tính mỏi theo tải trọng khai thác, Rlt được thay bằng sb
Trong đó eb là hệ số phụ thuộc vào mức độ không đối xứng của chu kỳ ứng suất rb, lấy theo bảng 17:
Bảng 17. Hệ số eb
| rb | ≤ 0,1 | 0,2 | 0,3 | 0,4 | 0,5 | 0,6 ≥ |
| eb | 1,0 | 1,06 | 1,1 | 1,15 | 1,20 | 1,24 |
(151)
Mp - Mô men uốn tại mặt cắt tính toán do tĩnh tải tiêu chuẩn (có thể dùng tĩnh tải thực tế, không nhân với các hệ số).
Mk - Mô men uốn tại mặt cắt tính toán do hoạt tải tiêu chuẩn có xét hệ số xung kích.
m’= (1 +
) - Hoạt tải này là hoạt tải đang khai thác lớn nhất khi tính theo tải trọng khai thác hoặc tải trọng đạt được tối đa khi tính theo trạng thái giới hạn cực hạn.
8.2.12. Cường độ chịu kéo của cốt thép
Cường độ chịu kéo của cốt thép khi tính toán về mỏi theo trạng thái giới hạn cực hạn được tính theo công thức:
Raf = epaRa (152)
epa - Hệ số phụ thuộc vào mức độ không đối xứng của chu kỳ ứng suất trong cốt thép tròn trơn, theo bảng 18:
Bảng 18. Hệ số epa
| r | 0 | 0,1 | 0,2 | 0,3 | ≥ 0,35 |
| epa | 0,81 | 0,85 | 0,89 | 0,97 | 1 |
r được lấy tùy theo trị số của rb tính theo Công thức (151) như sau:
| - Khi 0 ≤ rb ≤ 0,2 | lấy r = 0,3 |
| - Khi 0,2 < rb ≤ 0,75 | lấy r = 0,15 + 0,8 rb |
| - Khi 0,75 < rb | lấy r = rb |
Khi tính theo tải trọng khai thác dùng Ra quy định ở Điều 8.2.5
8.2.13. Chiều dài nhịp tính toán (khẩu độ tính toán)
Chiều dài nhịp tính toán (khẩu độ tính toán) của dầm lấy bằng khoảng cách giữa hai tim gối. Nếu không có gối cầu hoặc gối cầu kiểu bản thép phẳng thì lấy bằng I = I' +2/3b.
Trong đó:
I' - Khoảng cách giữa 2 mép trong của bản thép gối hoặc của 2 diện tích tựa các đầu dầm lên mố trụ.
b - Chiều dài hướng dọc của diện tích tựa đầu dầm lên mố trụ
8.2.14. Hệ số phân phối ngang của hoạt tải cho 2 phiến dầm chủ
Hệ số phân phối ngang của hoạt tải cho 2 phiến dầm chủ, đối với mặt cắt chữ П được phép lấy bằng 0,5. Trường hợp sự lệch tim giữa hai tim đường sắt và tim dầm lớn hơn 10% khoảng cách 2 tim dầm chủ thì cần điều chỉnh hệ số phân phối ngang bằng cách dựa vào độ võng do hoạt tải của từng dầm chủ đo được hoặc dựa vào tỉ lệ khoảng cách giữa từng phiến dầm chủ đối với tim đường sắt.
8.2.15. Hệ số xung kích
Đầu máy dieden chạy trên dầm bê tông cốt thép cũ với chiều dày ba lát tối thiểu 25cm, hệ số xung kích tính theo công thức:
(153)
Nhưng không nhỏ hơn 1,15 khi tính về cường độ và không nhỏ hơn 1,10 khi tính về mỏi.
Trị số l tính bằng mét (m) và lấy như sau:
- Khi tính dầm chủ l = 1, chiều dài nhịp tính toán
- Khi tính máng balat theo hướng ngang cầu lấy l= 0
- Khi tính toán về mỏi sẽ giảm hệ số xung kích xuống còn bằng:
(154)
Nếu khi có số liệu đo hệ số xung kích thực tế theo đoàn tàu thử hoặc đoàn tàu đang khai thác lớn nhất thì cần xét điều chỉnh lại.
8.2.16. Hệ số tải trọng
Hệ số tải trọng dùng khi tính toán theo trạng thái giới hạn được quy định như Điều 6.2.6; 6.3.4 và 6.3.6.
8.2.17. Khi tính toán xét trạng thái giới hạn cực hạn đối với dầm bê tông cốt thép cũ
Khi tính toán xét trạng thái giới hạn cực hạn đối với dầm bê tông cốt thép cũ không cần xét hệ số điều kiện làm m và hệ số đồng nhất k vì khi tính toán đã dựa vào các điều kiện và tình trạng thực tế của kết cấu dầm cầu như yếu tố về kích thước hình học, về sự lệch tim, và về cường độ vật liệu đã đưa ra cường độ tính toán quy định mà không cần thông qua cường độ tiêu chuẩn nữa.
8.3. Tính toán theo tải trọng khai thác
8.3.1. Giả thiết
Coi như vật liệu của kết cấu dầm cầu bê tông cốt thép làm việc trong giai đoạn đàn hồi và giả thiết như sau:
- Mặt cắt phẳng vẫn giữ nguyên là phẳng, chỉ có thể xoay đi một góc khi kết cấu chịu lực.
- Ứng suất tỷ lệ thuận với biến dạng.
- Bê tông vùng kéo không tham gia chịu lực.
- Tỷ số tính đổi diện tích cốt thép sang diện tích bê tông là n = Ea/Eb
- Những căn cứ và giả thiết tính toán trên chỉ phù hợp với tình trạng hư hỏng của loại dầm bê tông cốt thép cũ thuộc nhóm cho phép sửa chữa mà không phải thay mới do cơ quan quản lý quy định.
8.3.2. Quy định về mặt cắt dầm
Mặt cắt hầu hết các loại dầm bê tông cốt thép cũ trên đường sắt đang khai thác là hình chữ П, nhưng để giản đơn hóa trong tính toán, cho phép tính theo từng phiến hình chữ T và quy định như sau:
- Khi hb ≥ 0,1h thì C = Cb = 6hb
- Khi hb ≥ 0,05h thì C = Cb = 3hb
- Khi hb < 0,05h thì C = Cb = 0
Trong đó:
h - Chiều cao toàn bộ của dầm
hb - Chiều cao tương đương của bản
8.3.3. Phương pháp tính
Kết cấu được tính toán theo phương pháp “ứng suất cho phép” theo điều kiện mặt cắt thực tế tức là có xét trừ phần tiết diện bê tông chịu nén bị hư hỏng (trên hình vẽ ký hiệu là A0) và trừ phần gỉ mòn của cốt thép.
Sơ đồ ứng suất của vùng bê tông chịu nén là hình tam giác, lực kéo và lực nén của cốt thép đạt tại vị trí trọng tâm của đám cốt thép chịu kéo, chịu nén, thể hiện như hình 13:

Hình 13. Mặt cắt đại diện
8.3.4. Ứng suất nén ở bê tông
Ứng suất nén ở bê tông ở thớ bất kỳ trong vùng nén, cách biên nén một khoảng cách y được tính bằng:
(155)
Ứng suất kéo trung bình trong cốt thép chịu kéo là:
(156)
Ứng suất chịu nén trung bình trong cốt thép chịu nén là:
(156)
Trong đó:
M - Mô men uốn do tải trọng tính toán gây ra (đối với hoạt tải di động có xét hệ số xung kích).
n - Tỷ số mô đun đàn hồi giữa cốt thép và bê tông theo quy định Điều 8.2.8.
Itr - Mô men quán tính tính đổi của mặt cắt dầm tính toán.
a' - Khoảng cách từ trọng tâm đám cốt thép chịu nén đến thớ biên chịu nén của mặt cắt dầm tính toán.
Ứng suất tính toán được của bê tông và cốt thép phải nhỏ hơn hoặc bằng ứng suất cho phép tương ứng được quy định ở Điều 8.2.4 và 8.2.5.
8.3.5. Phương pháp tính Mô men quán tính tính đổi
Phương pháp tính Mô men quán tính tính đổi Itr được tiến hành theo các bước sau:
Tính các đặc trưng hình học:
(158)
(159)
Chiều cao giả định của vùng nén bê tông:
(160)
Nếu x < hb tức là trục trung hòa đi qua bản cánh chịu nén, khi đó dùng công thức tính toán như đối với hình chữ nhật.
(161)
Nếu x > hb tức là trục trung hòa đi qua sườn dầm, khi đó tính theo mặt cắt hình chữ T.
Tính lại các tham số hình học r và s:
(162)
(163)
(164)
(165)
8.3.6. Ứng suất kéo chủ
Do giả thiết bê tông ở vùng chịu kéo ứng suất pháp tuyến s = 0 nên ứng suất kéo chủ bằng ứng suất cắt lớn nhất và được tính như sau:
(166)
Trong đó:
Q - Lực cắt (kG)
b - Bề rộng mặt cắt dầm giữa (cm)
z - Cánh tay đòn của nội ngẫu lực (cm)
Đối với mặt cắt hình chữ nhật: z = 0,9h0
Đối với mặt cắt hình chữ T: z = h0 -
hb
Ứng suất cắt tính được phải nhỏ hơn hoặc bằng ứng suất chịu kéo chủ khi có cốt đai và cốt xiên quy định ở điều 8.2.4.
8.3.7. Ứng suất cắt giữa bản và sườn dầm
Đối với dầm mặt cắt chữ T, ngoài việc tính theo Điều 8.3.6, còn cần phải kiểm toán ứng suất cắt phát sinh ở chỗ tiếp giáp giữa bản và sườn dầm như sau:
- Khi mặt cắt đối xứng (xem Hình 14)

Hình 14. Mặt cắt dầm T
(167)
Trong đó:
- Ứng suất cắt của sườn dầm chủ tại trục trung hòa
Nếu có vát nối tiếp giữa bản và sườn dầm thì tính h'b phải xét theo bề dày tương đương của bản hb.
Khi mặt cắt không đối xứng thì ứng suất cắt ở 2 bên sườn dầm chủ sẽ tỉ lệ thuận với bề rộng bản mỗi bên.
8.3.8. Yêu cầu điều kiện nứt vỡ của dầm bê tông cốt thép cũ
Yêu cầu điều kiện nứt vỡ của dầm bê tông cốt thép cũ quy định như sau:
- Không cần tính toán độ rộng vết nứt.
- Phải đo đạc độ rộng vết nứt thực tế do tĩnh tải và độ mở rộng do hoạt tải đang khai thác lớn nhất (hoạt tải thử).
- Phải đo bề dài, vị trí của vết nứt và độ sâu của vết nứt có thể, trong đó quan tâm đặc biệt đến các loại vết nứt do chịu lực như vết nứt thẳng đứng từ đáy bầu dầm đến máng ba lát ở khu vực giữa dầm, vết nứt xiên ở hai đầu dầm và vết nứt nằm ngang chỗ tiếp giáp giữa sườn dầm và bản máng ba lát.
- Nếu độ rộng vết nứt do chịu lực nhỏ hơn hoặc bằng 0,2 mm thì chỉ cần bịt trám theo phương pháp và công nghệ được quy định, khi có điều kiện kết hợp sửa chữa một số hạng mục khác. Nếu sửa chữa được thì cần theo dõi sự phát triển bề rộng, bề dài và bề sâu vết nứt theo thời gian.
- Nếu độ rộng vết nứt do chịu lực lớn hơn 0,2 mm thì yêu cầu phải có kế hoạch sửa chữa, kết hợp với kết quả kiểm toán ứng suất cốt thép chịu kéo để cùng xem xét. Nếu ứng suất cốt thép kéo >1000 kG/cm2 thì cần lưu ý hơn.
8.3.9. Yêu cầu về độ võng của dầm bê tông cốt thép cũ
Yêu cầu về độ võng của dầm bê tông cốt thép cũ quy định như sau:
- Không cần tính toán lại độ võng của từng phiến dầm theo lý thuyết, vì dầm đã sử dụng lâu phát sinh nứt vỡ các hư hỏng khác làm cho bê tông không còn là vật thể đàn hồi liên tục.
- Trường hợp cần thiết như quy định ở Điều 8.1.5 cần tiến hành đo độ võng do hoạt tải bằng thiết bị đo có độ chính xác 0,01 mm đối với từng phiến dầm chủ. Độ võng đo được phải nhỏ hơn hoặc bằng độ võng cho phép được quy định trong tiêu chuẩn này.
8.3.10. Tính toán bản máng ba lát
Tính toán bản máng ba lát của dầm bê tông cốt thép cũ có hình chữ П quy định như sau:
- Hướng dọc cầu được cắt đoạn dài 100 cm để tính.
- Tĩnh tải gồm trọng lượng bản thân bản, đá ba lát, tà vẹt, ray, đường người đi nếu có, được tính theo thực tế.
- Hoạt tải tác dụng qua ray, tà vẹt và đá ba lát xuống bản được tính phân bố rải đều tương đương theo hướng ngang cầu.
- Phải kiểm toán đoạn bản hẫng và đoạn bản giữa 2 dầm chủ, khẩu độ tính toán được tính từ đầu mút đến mép ngoài dầm chủ và khoảng cách giữa mép trong bụng 2 dầm chủ cộng với chiều dày bản.
- Tính Mmax và Qmax của hai đoạn bản trên theo phương pháp cơ học kết cấu.
- Tính bản giữa 2 dầm chủ cho phép dùng công thức gần đúng sau:
M ại gối = -0,7M0 (168)
M giữa bản = +0,5M0 (169)
Trong đó:
M0 - Mô men lớn nhất của nhịp dầm đơn giản có cùng khẩu độ tính toán.
Lực cắt Q cũng tính theo nhịp giản đơn.
- Tính cường độ chịu lực của bê tông và cốt thép trong bản cũng thực hiện theo phương pháp ứng suất cho phép như đã nêu trong phần tính dầm.
8.4. Tính toán theo tải trọng cực hạn
8.4.1. Giả thiết
Coi vật liệu của kết cấu làm việc đã vượt qua giai đoạn đàn hồi dẫn tới biến dạng dẻo trước lúc phá hoại và giả thiết như sau:
- Biến dạng của thớ tỉ lệ với khoảng cách tới trục trung hòa (tính biến dạng vẫn theo giả thiết vật liệu đàn hồi)
- Bê tông vùng kéo không tham gia chịu lực.
- Khi tính cường độ bê tông và cốt thép không dùng tỉ số modul đàn hồi
(170)
Sơ đồ ứng suất bê tông ở khu vực chịu nén là hình chữ nhật.
8.4.2. Mặt cắt tính toán
Mặt cắt tính toán dựa theo số liệu thực tế như mác bê tông, mác thép và có xét trừ phần tiết diện bê tông chịu nén bị hư hỏng (A0) và phần gỉ mòn của cốt thép, thể hiện như hình 15:

Hình 15. Mô hình mặt cắt
8.4.3. Mô men uốn giới hạn
Đối với mặt cắt chữ T có cốt thép chịu kéo và chịu nén, Mô men uốn giới hạn M được tính theo 2 trường hợp sau đây:
- Nếu trục trung hòa đi qua bản cánh, tức là:
(171)
Tính toán như đối với mặt cắt hình chữ nhật và:
+ Chiều cao vùng chịu nén trong mặt cắt:
(172)
+ Mô men uốn giới hạn của mặt cắt:
M = Rlt.Bb.x(h0 - 0,5x) + RaF'a(h0 - a') - RltA0a0 (173)
- Nếu trục trung hòa đi qua sườn dầm chủ, tức là Điều kiện 8-20 không thỏa mãn thì:
+ Chiều cao vùng chịu nén trong mặt cắt:
(174)
+ Nếu
> 0,55 thì lấy x = 0,55h0
+ Mô men uốn giới hạn của mặt cắt:
M = Rlt.Bb.x(h0 - 0,5x) + Rlt(Bb - b) (h0 - 0,5)hb + RaF'a(h0 - a') - RltA0a0 (175)
Các trị số M uốn giới hạn này được so sánh với trị số M uốn tính toán do tĩnh tải và do hoạt tải cần xét cho qua cầu (có nhân hệ số vượt tải và hệ số xung kích).
Hệ số xung kích lấy theo Điều 8.2.15.
Các hệ số vượt tải lấy theo Điều 8.2.16.
8.4.4. Lực cắt giới hạn
Lực cắt giới hạn của các mặt cắt khống chế được tính toán như sau:
Q ≤ 0,8RaFx sin a + 0,8RaFđ + Qb (176)
Nếu không uốn xiên cốt thép chủ thì tính là:

Hình 16. Mô hình tính toán
Q ≤ Qđb (177)
Trong đó:
Q - Lực cắt giới hạn (lực cắt ngang lớn nhất) do tải trọng tính toán gây ra (xác định ở điểm cuối mặt cắt xiên tại vùng chịu nén)
a - Góc nghiêng của cốt thép xiên so với trục dầm
Fx - Diện tích mặt cắt toàn bộ các thanh cốt thép xiên nằm trong một mặt phẳng (xiên so với trục dầm) cắt mặt cắt xiên đang xét.
Fd - Diện tích mặt cắt toàn bộ các thanh cốt thép đai nằm trong một mặt phẳng uốn (pháp tuyến đối với trục dầm) cắt mặt cắt xiên đang xét.
Qb - Hình chiếu của lực giới hạn trong bê tông chịu nén của mặt cắt xiên lên đường pháp tuyến đối với trục dọc dầm.
(178)
C - Chiều dài hình chiếu của mặt cắt xiên bất lợi nhất về chịu lực cắt ngang lên trục dọc dầm, xác định bằng công thức gần đúng:
(179)
qd - Lực giới hạn của cốt thép đai trên một đơn vị chiều dài dầm:
(180)
Qđb - Lực cắt ngang giới hạn do vùng bê tông chịu nén và cốt thép đai chịu được tại mặt cắt đang xét:
(181)
Trong đó:
Ud - Bước của cốt thép đai
b và h0 - Như hình vẽ của Điều 8.4.2
Ra, Rlt - Lấy theo Điều 8.2.5 và Điều 8.2.9
8.4.5. Tính toán bản máng ba lát
Tính toán bản máng ba lát về cường độ đối với mô men uốn như sau:

Hình 17. Mặt cắt đặc trưng
Mô men uốn do tĩnh tải Mp
- Đối với mặt cắt bản hẫng phía ngoài, nằm ở khoảng cách z so với mép ngoài của sườn dầm:
(182)
- Đối với phần bản nằm giữa 2 dầm chủ:
(183)
Trong đó:
np, n'p - Hệ số vượt tải đối với tĩnh tải theo Điều 6.2.6.
P0 - Tải trọng do trọng lượng lan can.
Pbt - Tải trọng do trọng lượng gờ máng ba lát
Pt - Tải trọng do trọng lượng đường người đi.
Pp - Tải trọng do trọng tượng bản bê tông
Pb - Tải trọng do trọng lượng ba lát, ray, tà vẹt
Lt, Ik, Ib, Ip… được ghi trên hình vẽ kèm theo
- Mô men uốn giới hạn của kết cấu bản được tính như sau:
M = Rlt.bx(h0 - 0,5x) + Ra.F'a(h0 - a') (184)
Trong đó:
b - Chiều rộng tính toán của bản, lấy bằng 1m
x - Chiều cao vùng chịu nén trong bản bê tông
(185)
h0 = h-a - Chiều cao làm việc của bản.
a - Khoảng cách từ tim cốt thép trong bản
Ra - Cường độ chịu kéo hoặc chịu nén của cốt thép trong bản lấy theo Điều 8.2.10.
Fa, F'a - Tiết diện cốt thép chịu kéo và chịu nén trong bản
Mô men uốn có thể chịu được do hoạt tải tác động: Mh = M - Mp
8.4.6. Tính bản máng ba lát về cường độ theo lực cắt
Lực cắt do tĩnh tải Qp:
- Đối với bản hẫng phía ngoài:
Qp = np[P0 + Pbt + Pt (It - lk) + Pp (Ik - z)] + n'pPp(Ip - z) (186)
- Đối với phần bản liền khối nằm giữa các dầm chủ (Mặt cắt II)
(187)
Các ký hiệu trong các Công thức xem trong Điều 8.4.5 và các hình vẽ kèm theo
- Lực cắt giới hạn được tính theo công thức:
Q = 0,75Rkéo.b.h0 (188)
Trong đó:
Rkéo - Cường độ tính toán chịu kéo của bê tông.
8.4.7. Lực cắt chịu được hoạt tải tác động
Qh = Q - Qp (189)
8.5. Tính toán về mỏi
8.5.1. Định nghĩa
Tính về mỏi là xét tới sự suy giảm năng lực chịu tải của vật liệu kết cấu do trải qua thời gian dưới tác dụng của tải trọng động trùng phục, do đó dù tính toán theo tải trọng khai thác hay theo trạng thái giới hạn cực hạn cũng đều phải thực hiện.
8.5.2. Giả thiết
Khi tính toán về mỏi, giả thiết vật liệu của kết cấu làm việc trong giai đoạn đàn hồi, chỉ xét hệ số xung kích, không xét hệ số vượt tải và các hệ số khác. Hệ số xung kích dùng khi tính mỏi theo quy định ở điều 8.2.15.
8.5.3. Khi tính toán theo tải trọng khai thác
- Ứng suất nén của bê tông sb tính theo công thức Điều 8.3.4 phải nhỏ hoặc bằng Rbf được quy định ở Điều 8.2.11.
- Ứng suất kéo của cốt thép sa tính theo Công thức Điều 8.3.4 phải nhỏ hoặc bằng Raf được quy định ở Điều 8.2.12 nhưng được thay Ra bằng [Ra] quy định ở Điều 8.2.5.
8.5.4. Khi tính toán theo trạng thái giới hạn cực hạn
Khi tính toán theo trạng thái giới hạn cực hạn thì trong các công thức tính M giới hạn nêu trên:
- Rbt được thay bằng Rbf
- Ra được thay bằng Raf
8.5.5. Với dầm bê tông cốt thép có xuất hiện vết nứt xiên đầu dầm lớn hơn 0,2 mm
Đối với dầm bê tông cốt thép cũ nếu có xuất hiện vết nứt xiên đầu dầm lớn hơn 0,2 mm, khi tính toán theo trạng thái giới hạn cực hạn, kiểm toán mỏi như sau:
Tiến hành thử cầu, chọn vị trí có cốt đai hoặc cốt xiên mà ở đó vết nứt xiên có độ rộng lớn nhất để đo các trị số:
Dc - Mức độ biến đổi bề rộng vết nứt dưới tác dụng của hoạt tải thử cầu.
Dt - Mức độ trượt giữa các mép của vết nứt khi chịu tải trọng trên
- Lực cắt tiêu chuẩn (không nhân hệ số) do tải trọng nói trên gây ra tại mặt cắt ở đầu vết nứt trong vùng bị nén.
Ứng suất trong cốt đai hoặc cốt xiên do hoạt tải tính theo công thức sau:
(190)
Trong đó:
(191)
(192)
Trong đó:
a - Góc giữa hướng vết nứt xiên và cốt thép được xét
Ea - Mô đun đàn hồi của thép quy định ở Điều 8.2.6
d - Đường kính thanh cốt thép (cm)
Ia - Mô men quán tính mặt cắt thanh cốt thép (cm4)
R - Mác bê tông thực tế (kG/cm2)
ap - Chiều dài quy ước của thanh cốt thép, lấy bằng 13 lần đường kính cốt thép loại tròn trơn
(193)
d = 120.R.d (194)
Lực cắt giới hạn theo điều kiện mỏi của cốt thép tại điểm cốt thép giao với vết nứt được tính như sau:
Qmỏi
(195)
Sau đó so sánh Qmỏi tính được với lực cắt Q do tĩnh tải và hoạt tải cần xét qua cầu.
8.5.6. Với dầm BTCT nứt nằm ngang tiếp giáp giữa bản cánh và sườn dầm > 0,2 mm
Đối với dầm bê tông cốt thép cũ xuất hiện vết nứt nằm ngang tiếp giáp giữa bản cánh và sườn dầm > 0,2mm. Khi tính theo trạng thái giới hạn cực hạn, kiểm toán mỏi như sau:
- Tiến hành thử cầu, chọn vị trí có cốt đai giao với chỗ rộng nhất của vết nứt để đo các trị số:
Dc - Mức độ biến đổi bề rộng vết nứt khi chịu hoạt tải thử cầu
Dt - Mức độ trượt giữa các mép vết nứt khi chịu hoạt tải thử cầu
- Tính các tham số sau:
q - Tải trọng phân bố đều lên bản tại vị trí đo chuyển vị các mép vết nứt
(196)
Trong đó:
P - Áp lực lớn nhất lên trục bánh xe của đoàn tàu thử tải
Ck - Chiều dài phân bố hoạt tải theo hướng dọc cầu, tùy thuộc vào khoảng cách nhỏ nhất giữa các trục xe ak và chiều dầy lớp ba lát bên dưới tà vẹt hb.
I0 - Chiều dài phân bố áp lực do hoạt tải theo hướng ngang cầu, được tính với giả định truyền áp lực từ đầu tà vẹt qua lớp ba lát xuống theo góc từ 300 - 450 tùy theo độ dầy đá ba lát từ 15-30 cm và độ chèn chặt.
- Tải trọng tương đương rải đều của hoạt tải thử cầu ứng với đoạn ảnh hưởng lực cắt được đặt tải của mặt cắt đang xét và với vị trí tương đối của đỉnh đường ảnh hưởng là a = 0
(197)
(198)
b - Tỷ số giữa tải trọng đơn vị chuẩn trên bản với tải trọng đơn vị chuẩn đặt tải trên đường ảnh hưởng lực cắt đang xét đối với dầm, thông thường b = 1.
b - Bề rộng sườn dầm tại vị trí đo vết nứt (cm).
Hoạt tải rải đều cho phép theo điều kiện mỏi là:
kmỏi
(199)
Trong đó:
g - Tĩnh tải rải đều, được tính theo kích thước dầm
Wk - Diện tích phần đường ảnh hưởng đặt hoạt tải
Wp - Diện tích tổng cộng của đường ảnh hưởng lực cắt (đặt tĩnh tải rải đều)
q - Hệ số giảm mức độ xung kích hoạt tải dùng trong tính toán về mỏi.
(200)
với (1 + m ) lấy theo kết quả thử tải
eQ - Hệ số phân phối ngang dùng khi tính toán theo lực cắt. (Lấy theo số liệu đo khi thử tải)
kmỏi - Tính được sẽ so sánh với trị số hoạt tải rải đều tương đương của loại tải trọng cần xét cho qua cầu có xét xung kích để kết luận.
Các ký hiệu khác xem giải thích ở điều 8.5.5.
8.6. Thử tải thực tế
8.6.1. Dầm bê tông cốt thép cũ đã khai thác nhiều năm nhiều hư hỏng
Dầm bê tông cốt thép cũ đã khai thác nhiều năm phát sinh nhiều hư hỏng như bê tông bị nứt, vỡ, phong hóa, cốt thép bị đứt, gỉ mòn nên việc tính toán xác định năng lực chịu tải rất khó đạt kết quả chính xác vì vậy cần thiết phải tiến hành đo đạc thử tải để đối chiếu trong các trường hợp sau:
- Khi kết quả tính toán cho thấy dầm thiếu hoặc chỉ xấp xỉ đạt khả năng chịu tải theo điều kiện cường độ.
- Khi khảo sát phát hiện các hư hỏng mà khó xét được trong công thức tính toán.
- Khi khảo sát phát hiện có những hư hỏng mà nếu muốn tính toán ảnh hưởng của chúng đến khả năng chịu tải thì phải đo lấy số liệu.
- Khi cần biết số liệu thực tế về độ võng do hoạt tải, hệ số xung kích, hệ số phân phối ngang cho từng dầm chủ.
8.6.2. Chọn tải trọng cầu
Tùy theo yêu cầu đo đạc các loại số liệu một lần hoặc nhiều lần để chọn tải trọng cầu, lập đoàn tàu thử riêng hoặc lợi dụng các đoàn tàu đang khai thác có tải trọng tương đương tải trọng thử, tính toán.
Do hầu hết các dầm cầu bê tông cốt thép trên các tuyến đường sắt nước ta có khẩu độ ngắn từ 8 - 16m, nên chỉ cần đo lấy số liệu khi có đầu máy đi qua mỗi nhịp, mà không cần lấy số liệu khi các toa xe đi qua, vì tải trọng đầu máy là khống chế.
8.6.3. Nội dung các hạng mục cần phải đo đạc
Tùy theo các trường hợp đã nêu ở Điều 8.6.1 mà đề ra các nội dung các hạng mục cần phải đo đạc
Các số liệu chủ yếu đo đạc là:
- Biến dạng tương đối của cốt thép chịu kéo tại mặt cắt cần xem xét.
- Ứng suất chịu nén của bê tông dầm và bê tông bản.
- Độ mở rộng vết nứt lớn nhất ở các mặt cắt khống chế do chịu lực như vết nứt thẳng đứng từ đáy dầm lên đến đáy bản ở khu vực giữa dầm, vết nứt xiên đầu dầm, vết nứt nằm ngang tiếp giáp giữa sườn dầm và bản cánh.
- Độ võng ở giữa nhịp fmax và ở 1/4 nhịp f1/4 của mỗi dầm chủ và độ lún của các gối cầu.
- Biểu đồ dao động nhằm xác định độ võng nhỏ nhất fmin từ đó tính độ võng trung bình ftb và hệ số xung kích thực tế:
(201)
8.6.4. Yêu cầu
Để đảm bảo cho các số liệu đo đạc trong quá trình thử tải có độ chính xác cao, yêu cầu phải
- Chọn loại thiết bị đo đúng tính năng, có độ bền tốt, ít hư hỏng, có độ chính xác cao. Trước và sau khi đo phải hiệu chỉnh trong phòng thí nghiệm để chuẩn bị hóa thiết bị.
- Đơn vị chịu trách nhiệm đo phải có đủ tư cách pháp nhân, có đủ trình độ, nắm vững phương pháp và công nghệ đo.
- Khi phát hiện những số liệu đo không chính xác do bất kỳ lý do nào, đều phải đo lại để lấy được số liệu đo mới đạt độ chính xác quy định.
- Việc ghi chép, thống kê và xử lý số liệu đo phải thực hiện nghiêm túc, trung thực.
8.6.5. Phân tích so sánh kết quả đo với kết quả tính
Phân tích so sánh kết quả đo với kết quả tính phải tiến hành như sau:
- So sánh tĩnh tải (trọng lượng dầm và hệ mặt cầu) theo hồ sơ thiết kế và thực tế hiện trường.
- So sánh hoạt tải tính toán và hoạt tải thực tế thử bao gồm cả trọng lượng đoàn tàu hay đầu máy, điểm đặt lực trên chiều dài dầm, đứng yên hay di chuyển, tốc độ chạy qua cầu khi thử. Tốt nhất nên bố trí tải trọng thử cầu và tải trọng tính toán tương đương như nhau để thuận tiện so sánh.
- Đối chiếu so sánh từng số liệu tương quan giữa kết quả đo với kết quả tính.
- Nếu số đo nhỏ hơn số tính mà số tính chỉ ra đủ khả năng chịu tải thì chứng tỏ kết cấu còn khả năng dự trữ. Trong trường hợp mà số tính chỉ ra thiếu khả năng chịu tải, còn số đo chỉ ra vẫn đủ thì cần xem xét lại các giả thiết tính toán chủ yếu như mác bê tông, tiết diện cốt thép có hiệu (đã trừ gỉ), đồng thời cũng cần xem xét lại toàn bộ số liệu diễn biến trong quá trình đo đạc thử tải để có kết luận.
- Nếu trị số đo được chủ yếu lớn hơn trị số tính thì phân tích các trường hợp sau:
+ Trị số đo chỉ ra vẫn đủ khả năng chịu lực, chứng tỏ kết cấu còn khả năng dự trữ, đồng thời phải xem xét lại các giả thiết tính toán như đã nêu trên để điều chỉnh.
+ Trị số đo chỉ ra không đủ khả năng chịu tải nhưng trị số tính chỉ ra vẫn đủ, thì nên kiểm tra tỉ mỉ lại kết quả đo, nếu khẳng định là chính xác thì phải theo số đo để kết luận về khả năng chịu tải của dầm, từ đó quyết định sửa chữa tăng cường hay thay thế dầm.
- Chỉ đối với trường hợp các trị số đo và trị số tính theo tải trọng khai thác đều chỉ ra dầm còn dư khả năng chịu tải đó thì mới căn cứ vào trị số đo để điều chỉnh lại các giả thiết tính toán về bê tông và cốt thép (mác và tiết diện có hiệu) cho phù hợp.
9. Kết cấu mố trụ và móng
9.1. Những nguyên tắc chung
9.1.1. Nội dung cơ bản
Nội dung cơ bản của điều này là đưa ra các nguyên tắc kiểm tra, chuẩn đoán tình trạng và khả năng chịu lực của một số dạng kết cấu mố trụ và móng thông dụng.
9.1.2. Phạm vi tính
Kết cấu mố trụ và móng, không áp dụng tính toán đẳng cấp chỉ tiến hành tính toán theo các trạng thái giới hạn. Khi kiểm toán cần xét tình trạng hư hỏng và khuyết tật thực tế.
9.1.3. Lưu ý khi kết luận chuẩn đoán
Để chuẩn đoán đủ chính xác về khả năng chịu tải của kết cấu mố trụ và móng thì phải dựa trên cơ sở kết hợp các kết quả kiểm toán, kết quả theo dõi khai thác cầu và kết quả thử tải. Trường hợp không có điều kiện thử tải, cần ghi chú rõ trong kết luận và nhận xét mức độ tin cậy của kết luận, nêu các yêu cầu về theo dõi tiếp tục trong lúc khai thác cầu.
9.1.4. Các nội dung và công thức tính toán theo các trạng thái giới hạn
Các nội dung và công thức tính toán theo các trạng thái giới hạn lấy theo tiêu chuẩn hiện hành và thiết kế cầu mới.
9.1.5. Các số liệu ban đầu đưa vào tính toán
Các số liệu ban đầu đưa vào tính toán theo các trạng thái giới hạn lấy theo các kết quả thu thập hồ sơ cũ và điều tra thực tế theo các quy định nêu ở điều 7.
9.2. Nguyên tắc tính đến hiện trạng kết cấu
9.2.1. Điều tra, phân tích, phân cấp độ hư hỏng của mố trụ và móng
Điều tra và phân tích nguyên nhân hư hỏng, phân cấp độ hư hỏng của mố trụ và móng phải làm theo các quy định của điều 5.
9.2.2. Thông tin đạt được từ kết quả khảo sát
Căn cứ vào kết quả khảo sát dự đoán về nguyên nhân các hư hỏng để đặt ra sơ đồ tính toán tĩnh học, chọn trị số tính toán của các đặc trưng hình học và đặc trưng cơ lý của vật liệu để đưa vào tính toán lại kết cấu.
9.2.3. Đối với kết cấu nền móng không có điều kiện khảo sát
Đối với các kết cấu nền móng nằm sâu dưới đất mà không có điều kiện khảo sát kỹ phải căn cứ vào hồ sơ cũ để tìm hiểu về cấu tạo và căn cứ quá trình theo dõi cầu lúc khai thác để chọn các sơ đồ tĩnh học giả thiết sao cho xét được các tình huống bất lợi nhất có thể xảy ra trong thực tế. Nếu hồ sơ cũ không có tính toán lại phải làm theo một số giả thiết cấu tạo khác nhau tùy tình hình kinh tế và tiến hành thử tải, đặt máy đo, quan sát kết cấu mố trụ trong quá trình khai thác để kết hợp phân tích và kết luận. Khi đó kết quả tính toán lại chỉ có ý nghĩa tham khảo.
9.2.4. Mặt cắt có sứt vỡ bê tông, đá xây
Mặt cắt có sứt vỡ bê tông, đá xây phải được xét có trừ bỏ phần sứt vỡ.
Để xác định cường độ tính toán của khối đá xây vữa hoặc bê tông phải căn cứ kết quả thử cường độ mạch vữa xây và thử cường độ bê tông thực tế trên kết cấu.
9.2.5. Khi khảo sát đã phát hiện tình trạng lún không đều
Đối với các trường hợp mà qua khảo sát đã phát hiện tình trạng lún không đều hoặc đất nền không đủ cường độ gây ra các vết nứt thẳng đứng trong thân mố trụ, khối bê tông hay đá xây, phải chọn sơ đồ kiểm toán với giả thiết xét riêng rẽ các phần kết cấu có thể bị tách rời nhau ra do vết nứt phát triển.
9.2.6. Trường hợp gối cầu bị kẹt
Trường hợp gối cầu bị kẹt được xét bằng cách lấy trị số lực ma sát gối cầu hoặc giả thiết là gối cầu cố định để tính toán.
Việc chọn sơ đồ liên kết trong tính toán còn phải căn cứ kết quả đo chuyển vị trí ở các gối (chuyển vị xoay và chuyển vị thẳng). Nếu cần thiết có thể đề ra các sơ đồ với giả thiết khác nhau tùy tình hình thực tế rồi tính toán so sánh.
9.2.7. Các kết cấu xà mũ, cột, khung bằng bê tông cốt thép của mố trụ
Các kết cấu xà mũ, cột, khung bằng bê tông cốt thép của mố trụ, nếu có các vết nứt, hư hỏng và khuyết tật, được tính toán theo các nguyên tắc chung đối với kết cấu thanh bê tông cốt thép có xét giảm yếu mặt cắt bê tông và giảm yếu mặt cắt cốt thép tùy theo thực tế.
9.2.8. Khi khảo sát có nghi vấn xảy ra hiện tượng trượt sâu
Khi khảo sát điều tra, nếu có nghi vấn xảy ra hiện tượng trượt sâu hoặc nghi vấn móng đặt trên nền đất lún sụt cần tiến hành khoan thăm dò địa chất lấy số liệu tính toán lại về trượt sâu cũng như áp dụng các nguyên tác tính toán móng trên nền đất yếu.
Tất cả các mặt cắt có vết nứt nguy hiểm và có sứt vỡ lớn đều phải được kiểm toán lại theo các trạng thái giới hạn.
9.2.9. Cường độ tính toán của đất nền:
9.2.9.1. Cường độ tính toán của đất nền dưới móng
Cường độ tính toán của đất nền dưới móng được lấy theo quy định của Quy trình được áp dụng để thiết kế xây dựng công trình, tương ứng với các kết quả khảo sát địa chất ở vị trí mố trụ cầu.
Đối với những cầu cũ mà đã được đưa vào khai thác với thời gian nhiều hơn 20 năm (tính đến thời điểm kiểm định) mà móng mố trụ không có hiện tượng lún lệch thì có thể tăng trị số cường độ tính toán thêm 25% so với trị số tính toán theo Quy trình được áp dụng để thiết kế xây dựng công trình.
Nếu móng trụ cầu cũ nằm trong vòng vây cọc ván thép thì được phép tăng trị số cường độ tính toán thêm 25% so với trị số tính toán theo Quy trình được áp dụng để thiết kế xây dựng công trình.
Nếu móng mố cầu cũ nằm trong vòng vây cọc ván thép thì được phép tăng trị số cường độ tính toán thêm 75% so với trị số tính toán theo Quy trình được áp dụng để thiết kế xây dựng công trình.
9.2.9.2. Trường hợp không có số liệu điều tra khảo sát địa chất mới nhất
Trường hợp không có số liệu điều tra khảo sát địa chất mới nhất để phục vụ riêng cho việc tính toán thì được phép dùng các số liệu điều tra địa chất của các đợt kiểm tra đã được thực hiện trước đây nhưng phải ghi chú rõ để phân tích kết quả.
Trường hợp hoàn toàn không có số liệu điều tra khảo sát thì phải tính toán theo những giả thiết khác nhau. Các giả thiết nêu ra phải hợp lý và bao gồm giả thiết lạc quan nhất cũng như giả thiết bi quan nhất. Cần ghi chú rõ nguồn gốc giả thiết và biện luận so sánh các giả thiết khác nhau đó.
9.3. Nguyên tắc tính nội lực, chuyển vị kết cấu
9.3.1. Tải trọng, tổ hợp tải trọng
Tải trọng, tổ hợp tải trọng lấy theo quy định của Quy trình Thiết kế hiện hành như đối với cầu thiết kế mới. Riêng các hệ số tải trọng lấy theo quy định của điều 6.
9.3.2. Đặc trưng cơ lý của đất
Góc ma sát trong tiêu chuẩn và các đặc trưng khác của đất đắp sau mố và đăt nền dưới móng lấy theo kết quả khảo sát thăm dò địa chất. Nếu không có Điều kiện khảo sát lại địa chất thì tham khảo kết quả khảo sát trong hồ sơ cũ. Khi tính toán dựa trên các số liệu suy diễn hoặc tham khảo kết quả khảo sát thì kết quả tính phải ghi chú rõ và chỉ có ý nghĩa tham khảo.
9.3.3. Sơ đồ tĩnh học kết cấu
Sơ đồ tĩnh học kết cấu lấy theo cấu tạo thực tế của công trình và căn cứ kết quả đo chuyển vị khi khảo sát và khi thử tải cầu.
9.3.4. Phương pháp tính toán nội lực và chuyển vị
Phương pháp tính toán nội lực và chuyển vị của mố trụ và móng cầu cũ được áp dụng theo quy định của Quy trình được áp dụng để thiết kế xây dựng công trình. Riêng đối với móng cọc bệ cao có thể dùng các phương pháp thông dụng và ghi rõ tài liệu tham khảo.
9.4. Tải trọng và hệ số tải trọng
9.4.1. Tải trọng và hệ số tải trọng
Tải trọng và hệ số tải trọng được lấy theo quy định trong quy trình thiết kế tương ứng.
9.4.2. Áp lực đẩy ngang của đất sau mố
Riêng đối với quá trình tính áp lực đẩy ngang của đất sau mố cần phải khoan thăm dò đất sau mố để xác định các đặc trưng cơ lý của đất
9.5. Kiểm toán mặt cắt thân mố, trụ
Các kết cấu bằng đá xây hoặc bê tông được kiểm toán theo 3 điều kiện:
- Điều kiện cường độ ở trạng thái giới hạn cực hạn.
- Điều kiện ổn định lật và ổn định trượt ở trạng thái giới hạn cực hạn.
- Điều kiện độ lệch tâm của hợp lực chủ động tiêu chuẩn ở trạng thái giới hạn khai thác.
9.5.1. Đặc trưng tính toán của bê tông, khối xây và đá xây
9.5.1.1. Cường độ tính toán chịu nén dọc trục cơ bản của bê tông, khối xây và đá xây lấy như sau:
- Khối xây bê tông có mác lớn hơn hoặc bằng 200 và mác vữa lớn hơn hoặc bằng 100 có R = 35 kG/cm2 (30 kG/cm2)
- Khối xây đá có mác lớn hơn hoặc bằng 400 và mác vữa lớn hơn hoặc bằng 100 có R = 12 kG/cm2 (8,5 kG/cm2).
Ghi chú:
Trị số trong ngoặc ứng với trường hợp thử nghiệm mác vữa chỉ đạt ≥ 50 kG/cm2.
9.5.1.2. Cường độ tính toán chịu nén khi uốn của các khối xây đá và khối bê tông khi chịu nén lệch tâm tính theo công thức
Ru = yR (202)
Trong đó:
R - Cường độ chịu nén dọc trục (Điều 9.5.1.1)
y - Hệ số lấy bằng
nhưng không được lấy lớn hơn các trị số sau:
1,5 - Đối với khối xây đá hộc và khối bê tông
1,25 - Đối với khối xây từ các khối bê tông đúc sẵn
1,00 - Đối với khối đá xây bằng đá thiên nhiên.
F - Diện tích toàn bộ mặt cắt (có xét giảm yếu tố do hư hỏng)
Fc - Diện tích phần chịu nén của mặt cắt. Giới hạn của phần này được xác định theo Điều kiện là: mô men tĩnh của diện tích phần mặt cắt chịu nén bằng không, khi biểu đồ ứng suất hình chữ nhật đối với trục đi qua điểm tác dụng lực nén N.
Đối với mặt cắt hình chữ nhật thì:
(203)
e0 - Độ lệch tâm lực dọc trục N so với trọng tâm của mặt cắt.
h - Chiều cao của mặt cắt.
9.5.1.3. Cường độ tính toán chịu nén ép cục bộ (ép mặt) của khối xây đá và khối bê tông tính theo công thức
Rcb = yR (204)
Trong đó:
R - Cường độ chịu nén dọc trục (Điều 9.5.1)
(205)
Fcb - Diện tích chịu ép mặt cục bộ
F - Diện tích toàn mặt cắt (có xét giảm yếu tố do hư hỏng và khuyết tật)
Nếu trọng tâm phần diện tích chịu ép mặt cục bộ Fcb không trùng với trọng tâm diện tích toàn bộ mặt cắt F thì trong Công thức ycb chỉ được lấy phần diện tích F đối xứng sao cho với đường bao quanh diện tích Fcb.
9.5.1.4. Mô đun biến dạng của đá xây tính theo công thức:
E = 1500R (kG/cm2) (206)
Trong đó:
R - Cường độ tính toán chịu lực nén do trục của đá xây (Điều 9.5.1)
9.5.2. Kiểm toán theo Điều kiện cường độ
9.5.2.1. Khi kiểm toán mố trụ cầu, nội lực do các tổ hợp tải trọng chính, phụ và tổ hợp đặc biệt gây ra được xác định riêng cho từng hướng dọc hay hướng ngang cầu mà không cộng lại với nhau.
9.5.2.2. Kiểm toán cường độ (ổn định hình dáng) của cấu kiện chịu nén lệch tâm với độ lệch tâm nhỏ (với S0 ≥ 0,8 hoặc đối với mặt cắt hình chữ nhật khi e0/y ≤ 0,45), trừ những cấu kiện của khối xây đá thiên nhiên, được làm theo công thức sau:
(207)
Công thức cho mặt cắt hình chữ nhật là:
(208)
Trong đó:
e - Khoảng cách từ điểm đặt lực nén N đến cạnh ngoài của mặt cắt có ứng suất nhỏ hơn. Khoảng cách này được đo theo đường thẳng góc với cạnh ngoài.
S0 - Mô men tĩnh của toàn bộ diện tích F đối với cạnh ngoài của mặt cắt ứng suất nhỏ hơn.
Sc - Mô men tĩnh của diện tích mặt cắt vùng bê tông chịu nén Fc đối với cạnh ngoài của mặt cắt do ứng suất nhỏ hơn. Diện tích vùng chịu nén Fc được xác định với điều kiện trọng tâm của nó trùng với điểm đặt lực N thẳng góc với mặt phẳng của mặt cắt.
- Độ lệch tâm của lực nén thẳng góc so với trọng tâm mặt cắt.
M - Mô men của các lực đối với trọng tâm toàn bộ mặt cắt.
y - Khoảng cách từ trọng tâm mặt cắt đến cạnh ngoài mặt cắt có ứng suất lớn hơn, khoảng cách này đo theo đường thẳng góc với cạnh đó.
h - Chiều cao mặt cắt.
j - Hệ số triết giảm khả năng chịu lực khi nén, xác định theo Bảng 19.
Khi áp dụng các Công thức (207), (208) thì trị số N và M lấy theo tổ hợp tải trọng bất lợi và cùng tương ứng với một cách sắp xếp tải lên kết cấu
Bảng 19. Hệ số j
| b | < 4 | 4 | 6 | 8 | 10 | 12 | 14 | 16 | 18 | 20 |
| l | < 14 | 14 | 21 | 28 | 35 | 42 | 49 | 56 | 68 | 70 |
| j | 1,00 | 0,98 | 0,96 | 0,91 | 0,86 | 0,82 | 0,77 | 0,72 | 0,68 | 0,63 |
Đối với cấu kiện bê tông:

Trong đó:
b - Kích thước nhỏ nhất của mặt cắt ngang đang xét
r - Bán kính quán tính nhỏ nhất của mặt cắt ngang đang xét
I0 - Chiều dài tự do của cấu kiện, được lấy như sau:
Nếu cả hai đầu đều là ngàm, I0 = 0,5l
Nếu một đầu ngàm, một đầu là chốt cố định I0 = 0,7l
Nếu cả hai đầu đều là chốt cố định, I0 = l
Nếu một đầu ngàm, một đầu tự do, I0 = 2l
l - Chiều dài của cả cấu kiện đang xét
9.5.3. Kiểm toán theo điều kiện ổn định lật và trượt
Kiểm toán ổn định lật và trượt dùng tải trọng tính toán có xét hệ số tải trọng nhưng không xét hệ số xung kích.
Công thức tính toán lấy theo các quy định của Quy trình Thiết kế tương ứng.
9.5.4. Kiểm toán độ lệch tâm của hợp lực chủ động tiêu chuẩn:
Kết cấu bê tông và đá xây, phải kiểm toán độ lệch tâm của hợp lực chủ động do các tải trọng tiêu chuẩn theo các điều kiện sau:
- Khi tính với tổ hợp tải trọng chính
e0 ≤ 0,5y (209)
- Khi tính với tổ hợp tải trọng phụ
e0 ≤ 0,6y (210)
- Khi tính với tổ hợp tải trọng đặc biệt
e0 ≤ 0,7y (211)
Trong đó:
e0 - Độ lệch tâm của hợp lực chủ động tiêu chuẩn so với trọng tâm của toàn mặt cắt
y - Khoảng cách từ trọng tâm toàn diện tích mặt cắt đến mép bị nén nhiều nhất của mặt cắt.
9.6. Kiểm toán chuyển vị đỉnh, bệ móng mố, trụ
9.6.1. Nguyên tắc
Chỉ kiểm toán nếu khi khảo sát hay theo dõi cầu phát hiện có nghi vấn về chuyển vị lớn hoặc lún lớn.
Đối với mố trụ cũ, chỉ tính toán các chuyển vi và độ lún do hoạt tảí tiêu chuẩn gây ra (không xét hệ số vượt tải và hệ số xung kích)
Hoạt tải tiêu chuẩn được xét ở đây có thể là các đoàn tàu thường xuyên qua cầu, đoàn tàu dùng để thử tải cầu, hoặc hoạt tải dự kiến sẽ qua cầu.
Các kết quả tính toán chuyển vị và độ lún chỉ có ý nghĩa để tham khảo, đặc biệt là khi không có đủ tài liệu cấu tạo phần công trình ẩn giấu dưới mặt nước và dưới mặt đất.
Để nhận xét về tình trạng chuyển vị, lún của mố trụ và móng, phải dựa chủ yếu vào kết quả đo đạc thử các trị số chuyển vị và cao đạc các vị trí đặc trưng của mố trụ và của kết cấu nhịp, phải theo dõi trong một khoảng thời gian nếu có nghi vấn. Sau đó kết hợp với các số liệu tính toán theo một số giả thiết và sơ đồ tính toán khác nhau để phân tích kết luận.
Phương pháp tính toán chuyển vị đỉnh mố trụ và độ lún của móng được lấy theo quy định của Quy trình được áp dụng để thiết kế xây dựng công trình và các tài liệu tham khảo khác (nếu cần thiết). Trong bản tính phải nêu rõ xuất xứ và nội dung của phương pháp đã dùng cùng với các nhận xét về mức độ phù hợp tin cậy của phương pháp đó.
9.6.2. Các trị số giới hạn chuyển vị cho phép
- Trong trường hợp những cầu có chiều cao mố trụ không lớn, các trị số giới hạn chuyển vị cho phép (tính bằng cm) ứng với tốc độ chạy tàu không hạn chế lấy như sau:
Trị số giới hạn (tính bằng cm) của chuyển vị nằm ngang đỉnh mố trụ cầu đường sắt nhịp giản đơn, có xét đến xói của lòng sông, không được lớn hơn 0,5
Trong đó:
I0 - Chiều dài của nhịp ngắn nhất đang gối lên trụ đó (tính bằng m), lấy không nhỏ hơn 25m.
Chênh lệch độ lún giữa các mố trụ không được gây ra độ dốc phụ trên trắc dọc quá 1‰ khi hoạt tải chạy qua cầu.
- Riêng với trường hợp những cầu có chiều cao trụ lớn, cần có hồ sơ phân tích chuyển vị riêng biệt, độc lập với các phân tích, kết quả đo đạc được chỉ ra trong tiêu chuẩn này hoặc tham khảo các quy định đặc biệt áp dụng riêng cho công trình đó.
9.7. Kiểm toán về ổn định
9.7.1. Các trường hợp phải lưu ý hiện tượng trượt sâu
Các mố trụ nằm trên sườn dốc cao hoặc ở đất yếu, hoặc khi chiều cao nền đắp sau mố lớn quá 6 - 8m, khi khảo sát cần chú ý phát hiện tượng trượt sâu.
Nếu tường trước của mố bị nghiêng lệch và mức độ nghiêng lệch phát triển theo thời gian nhất thiết phải tiến hành đo đạc theo dõi liên tục và kiểm toán về trượt sâu.
9.7.2. Phương pháp tính toán cung trượt
Phương pháp tính toán cung trượt được lấy theo các phương pháp Cơ học đất. Các số liệu về địa chất thủy văn phải lấy theo kết quả khoan thăm dò địa chất tại vị trí sát mố được xét.
9.8. Đo thử tải và tính toán lại kết cấu khi không có hồ sơ lưu trữ phần ngàm của công trình
9.8.1. Yêu cầu về quá trình điều tra thông tin
Đối với trường hợp này khi khảo sát phải cố gắng điều tra mọi thông tin hữu ích về quá trình xây dựng và sửa chữa cầu trước đây để dự đoán sơ bộ về kiểu cấu tạo móng: móng trên nền tự nhiên, giếng chìm, móng cọc, cọc ống v.v...
9.8.2. Đối với các mố trụ ở chỗ cạn hoặc nước nông
Đối với các mố trụ ở chỗ cạn hoặc nước nông, phải tiến hành đào hố thăm dò cạnh sát thành móng để xác định được độ cao đỉnh giếng chìm hoặc độ cao đáy bệ cọc, hoặc cao độ đáy móng nông và kích thước mặt bằng của chúng. Thường đào ở vị trí góc móng.
9.8.3. Đối với các móng đã bị phá hoại
Đối với các móng đã bị phá hoại do chiến tranh và các móng nơi ngập nước cần phải làm vòng vây, hút nước để thăm dò. Việc này có thể làm kết hợp với việc thi công gia cố sửa chữa cầu
9.8.4. Công việc sau khi khảo sát
Sau khi khảo sát cần để ra một số giả thiết cấu tạo khác nhau của móng (vẽ kích thước mặt bằng, về độ sâu đáy móng v.v...) để tính toán móng theo các phương pháp như đối với trường hợp thiết kế mới. Các tính toán phải phản ánh được việc xét tình huống bi quan nhất và tình huống lạc quan nhất.
9.8.5. Nội dung công tác đo đạc
Việc đo đạc lúc thử tải chủ yếu là do độ lún, độ nghiêng lệch và chuyển vị, tần số dao động của bệ móng trong lúc có hoạt tải chạy qua cầu cũng như ở các thời điểm quan sát khác nhau
So sánh các trị số chuyển vị tính toán được theo các giả thiết khác nhau với các trị số chuyển vị đo được và các trị số chuyển vị cho phép để kết luận về khả năng khai thác của mố trụ và móng.
Như vậy bằng cách đo đạc chuyển vị không thể xác định được khả năng chịu tải lớn nhất của mố trụ móng mà chỉ xác định được khả năng khai thác bình thường ứng với các hoạt tải đang đang khai thác hoặc ứng với hoạt tải thử cầu.
9.8.6. Trị số chuyển vị cho phép
Trị số chuyển vị cho phép ứng với tốc độ chạy tàu không hạn chế lấy theo điều 9.6.2
9.8.7. Đối với cầu đã dùng hơn 20 năm
Đối với cầu đã dùng hơn 20 năm có móng cọc không bị hư hại chịu lực bình thường dưới các hoạt tải đang khai thác thường xuyên và hoạt tải thử cầu, khả năng chịu lực của móng cho phép lấy bằng 1,25 lần tải trọng đang khai thác an toàn hoặc 1,25 lần chịu tải trọng thử cầu an toàn (bao gồm cả tĩnh tải và hoạt tải)
9.9. Chuẩn đoán kết cấu
9.9.1. Các số liệu đo chuyển vị
Các số liệu đo chuyển vị theo dõi trong một khoảng thời gian đối với các đợt đo cách đều nhau về khoảng thời gian được coi là số liệu quan trọng nhất và đáng tin cậy nhất. Các số liệu đo được về ứng biến, chuyển vị trong lúc thử tải được coi là mức độ đáng tin cậy thứ hai. Các trị số tính toán được theo các giả thiết khác nhau và theo số liệu khảo sát điều tra đất nền được coi là độ tin cậy thấp hơn nhiều so với các số liệu đo nói trên. Lý do là có nhiều điều thiếu tin cậy trong việc chuẩn đoán số liệu nền đất, đặc biệt là nền đất cát.
9.9.2. Khi biện luận số liệu đo chuyển vị
Khi biện luận số liệu đo chuyển vị cần lưu ý mặc dù đây là các số liệu đáng tin cậy nhất nhưng mối quan hệ giữa chuyển vị đo được và mức độ ổn định thay đổi rất nhiều tùy theo các tính chất của đất nền.
Trong trường hợp nền đất sét, mức độ an toàn của móng mố trụ vẫn đảm bảo ngay cả khi chuyển vị tăng đáng kể. Mặt khác, trong trường hợp nền đất cát, ngay cả khi chuyển vị nhỏ cũng có thể có mức độ an toàn thấp. Do đó khi đo chuyển vị đối với móng mố trụ trên nền đất cát phải hết sức cẩn thận. Ngay cả khi kết quả tính toán ổn định theo số liệu khảo sát nền đất cho thấy là đảm bảo an toàn.
9.9.3. Nhận xét kết quả đo chuyển vị về tốc độ biến đổi
Phải đặc biệt nhận xét kết quả đo chuyển vị về tốc độ biến đổi (tăng hoặc giảm) của các trị số chuyển vị đặc trưng để chuẩn đoán mức độ an toàn về mặt ổn định của mố trụ và móng.
9.9.4. Chuẩn đoán mức độ an toàn theo độ bền của kết cấu
Chuẩn đoán mức độ an toàn theo độ bền của kết cấu phần mố trụ và móng phải xét kết hợp kết quả điều tra khảo sát các vết nứt, các sứt vỡ và các hư hỏng khác với các kết quả đo ứng biến (nếu có) và kết quả tính toán dưới các tổ hợp tải trọng khác nhau. Nguyên lý tính toán theo trạng thái trạng thái giới hạn cường độ được lấy tương ứng với nguyên lý tính toán kết cấu mới bằng vật liệu thực của mố trụ. Khi đó dùng các kết quả thử cường độ vật liệu như đã nêu ở Điều 5 và các quy định về khảo sát ở điều 4.
9.9.5. Trường hợp xét tới tốc độ hạn chế
Nếu kết quả đo đạc cũng như kết quả tính toán theo các giả thiết khác nhau cho thấy độ ổn định hoặc độ bền (cường độ) của kết cấu thân mố trụ và móng không đảm bảo an toàn thì phải xét thêm tình huống chạy tàu qua cầu với tốc độ hạn chế.
Nếu xét thêm này bao gồm cả việc đo đạc chuyển vị và ứng biến của mố trụ dưới đoàn tàu thử tải có tốc độ hạn chế và việc tính toán lại với hệ số xung kích (1 + m ) được lấy theo thực đo ứng với các đoàn tàu thường xuyên qua lại trên tuyến (nếu mố trụ có dạng kết cấu khung thanh mảnh).
9.9.6. Đo độ nghiêng của mố trụ
Việc đo độ nghiêng của mố trụ phải thực hiện vào những thời điểm chọn lựa trong năm, tùy theo dạng kết cấu và mức độ tăng của độ nghiêng. Đối với các mố trụ mà qua theo dõi khai thác thấy có nghi vấn, phải đo cả trong mùa nước lũ và mùa khô cạn. Kết quả đo này so sánh với kết quả tính toán theo điều kiện xói thực tế của mỗi mùa để biện luận chuẩn đoán tình huống bất lợi nhất cho độ an toàn của mố trụ.
Đo độ nghiêng của mố trụ cầu trong quá trình khai thác được tiến hành theo các phương pháp nêu trong Phụ lục U của Tiêu chuẩn này.
9.9.7. Mối quan hệ giữa các tham số đo
Mối quan hệ giữa các tham số đo được về dao động mố trụ và đánh giá tình trạng móng được nêu trong bảng 20;
Bảng 20. Quan hệ giữa các tham số đo
| TT | Các tham số | Tình trạng của mố trụ | |||
| Biên độ dao động | Chu kỳ dao động T (giây) | ||||
| b < 0,70 | b > 0,70 | T ≤ 0,35 | T > 0,35 | ||
| 1 | X |
| X |
| Tốt |
| 2 |
| X | X |
| Khả năng chịu lực của móng là không đủ |
| 3 | X |
|
| X | Móng yếu hoặc khả năng chịu lực của nền đất yếu |
| 4 |
| X |
| X | Nền đất không đủ khả năng chịu lực và móng yếu |
Chú thích: phương pháp, yêu cầu kỹ thuật và vị trí đo dao động theo quy định chi tiết tại điều 5.5.4:
- Trong trường hợp những cầu có chiều cao mố trụ không lớn, có thể coi mố trụ có độ cứng lớn dẫn đến chuyển vị của mố trụ là 1 bậc tự do, điểm đo dao động đối với mố trụ là tại đỉnh bệ móng.
- Trường hợp khó khăn khi các điểm đo trên bị ngập nước, chôn vùi dưới đất... làm cho việc đặt thiết bị đo dao động tại đỉnh bệ móng không thực hiện được thì có thể lựa chọn đo tại các vị trí lân cận, đảm bảo giá trị đo tin cậy và phải được tư vấn giám sát hiện trường chấp thuận.
- Riêng với trường hợp những cầu có chiều cao trụ lớn, cần thiết phải có các hồ sơ phân tích dao động riêng biệt, độc lập với các các phân tích, kết quả đo đạc được chỉ ra trong tiêu chuẩn này.
PHỤ LỤC A
(Quy định)
Tải trọng đơn vị chuẩn

Hình A-1. Sơ đồ hoạt tải đơn vị chuẩn thẳng đứng T1
Chú ý: Tải trọng trục bánh đặt trên ray - T; khoảng cách giữa các trục - m.
Bảng A-1. Hoạt tải chuẩn thẳng đứng tương đương kII sơ đồ T1, T/m đối với đường ảnh hưởng dạng tam giác (chưa kể hệ số xung kích)
| Chiều dài đặt tải trọng l | Vị trí tung độ lớn nhất của đường ảnh hưởng | |||||
| Ở đầu K0 | K0,1 | K0,2 | K0,3 | K0,4 | K0,5 | |
| (1) | (2) | (3) | (4) | (5) | (6) | (7) |
| 1 | 2,200 | 2,200 | 2,200 | 2,200 | 2,200 | 2,200 |
| 2 | 1,375 | 1,283 | 1,169 | 1,100 | 1,100 | 1,100 |
| 3 | 1,100 | 1,059 | 1,008 | 0,943 | 0,856 | 0,925 |
| 4 | 1,031 | 0,963 | 0,877 | 0,805 | 0,791 | 0,825 |
| 5 | 0,924 | 0,880 | 0,825 | 0,754 | 0,770 | 0,792 |
| 6 | 0,833 | 0,794 | 0,756 | 0,707 | 0,718 | 0,733 |
| 7 | 0,816 | 0,748 | 0,690 | 0,698 | 0,685 | 0,694 |
| 8 | 0,783 | 0,729 | 0,664 | 0,692 | 0,664 | 0,688 |
| 9 | 0,751 | 0,701 | 0,656 | 0,671 | 0,648 | 0,667 |
| 10 | 0,723 | 0,676 | 0,643 | 0,648 | 0,619 | 0,642 |
| 12 | 0,676 | 0,634 | 0,613 | 0,606 | 0,609 | 0,583 |
| 14 | 0,639 | 0,597 | 0,585 | 0,570 | 0,570 | 0,558 |
| 16 | 0,624 | 0,569 | 0,560 | 0,548 | 0,539 | 0,544 |
| 18 | 0,585 | 0,546 | 0,538 | 0,527 | 0,513 | 0,501 |
| 20 | 0,566 | 0,527 | 0,519 | 0,509 | 0,497 | 0,481 |
| 25 | 0.528 | 0.494 | 0.483 | 0.470 | 0.458 | 0.439 |
| 30 | 0.503 | 0.474 | 0.459 | 0.447 | 0.432 | 0.414 |
| 35 | 0.483 | 0.457 | 0.417 | 0.427 | 0.411 | 0.400 |
| 40 | 0.469 | 0.444 | 0.428 | 0.413 | 0.398 | 0.391 |
| 45 | 0.457 | 0.433 | 0.418 | 0.401 | 0.390 | 0.384 |
| 50 | 0.448 | 0.423 | 0.409 | 0.393 | 0.384 | 0.380 |
| 60 | 0.434 | 0.411 | 0.394 | 0.383 | 0.377 | 0.374 |
| 70 | 0.424 | 0.403 | 0.385 | 0.377 | 0.372 | 0.370 |
| 80 | 0.416 | 0.394 | 0.378 | 0.373 | 0.370 | 0.368 |
| 90 | 0.410 | 0.389 | 0.375 | 0.370 | 0.368 | 0.366 |
| 100 | 0.405 | 0.384 | 0.372 | 0.368 | 0.366 | 0.365 |
| 110 | 0.401 | 0.380 | 0.370 | 0.367 | 0.365 | 0.364 |
| 120 | 0.398 | 0.378 | 0.369 | 0.366 | 0.364 | 0.363 |
| 140 | 0.392 | 0.372 | 0.366 | 0.364 | 0.363 | 0.362 |
| 160 | 0.388 | 0.370 | 0.365 | 0.363 | 0.362 | 0.362 |
| 180 | 0.385 | 0.368 | 0.364 | 0.363 | 0.362 | 0.361 |
| 200 | 0.383 | 0.366 | 0.363 | 0.362 | 0.362 | 0.361 |
Chú ý:
l: Chiều dài chất tải;
a: Hệ số, xác định từ vị trí đỉnh đường ảnh hưởng a=ao/l
Trong đó:
ao: Khoảng cách từ đỉnh đến đầu gần nhất của đường ảnh hưởng. Đối với các trị số a nằm giữa cần lấy các giá trị lớn của tải trọng tương đương.
PHỤ LỤC B
(Tham khảo)
Hệ số m0, mb, m0(p), mb(p) trong tính toán liên kết đinh tán và bu lông
Khi tính liên kết đinh tán, bu lông và bu lông - đinh tán, các hệ số m0, mb, m0(p), mb(p) - 1/cm2 - được xác định theo công thức:
a) Chịu cắt của các đinh tán và bu lông có độ chính xác cao (tinh chế):
Cắt một mặt:
(A-1)
Cắt hai mặt:
(A-2)
b) Chịu ép mặt của thành lỗ tỳ lên đinh tán (bu lông):
(A-3)
c) Trượt các bản tiếp xúc trong liên kết bu lông cường độ cao có một mặt ma sát:
(A-4)
d) Dứt đầu đinh tán (bu lông) và bu lông cường độ cao:
(A-5)
Trong đó:
d3 - Đường kính đinh tán hoặc bu lông tinh chế, cm.
db - Đường kính bu lông cường độ cao, cm.
Kc, Kem, Kd - Hệ số chuyển đổi từ cường độ tính toán cơ bản của thép làm kết cấu sang cường độ tính toán của đinh tán hoặc bu lông theo cắt, ép mặt và dứt đầu đinh, lấy theo chỉ dẫn ở Bảng P2.1.
d - Bề dày nhỏ nhất của bản chịu ép vào một phía của thân đinh tán (bu lông).
R - Cường độ tính toán cơ bản của thép liên kết (T/cm2).
N - Nội lực kéo tiêu chuẩn của bu lông cường độ cao, (T); nếu không có chỉ số này, đối với các bu lông có đường kính tiêu chuẩn 18, 22, 24 mm lấy tương ứng bằng (T).
fT - Hệ số ma sát tiêu chuẩn giữa bề mặt tiếp xúc của các cấu kiện, xác định tùy thuộc phương pháp làm sạch mặt tiếp xúc lấy theo Bảng B-2.
Km - Hệ số độ tin cậy của vật liệu, xác định theo Bảng B-2 tùy thuộc số lượng bu lông trong liên kết và phương pháp làm sạch mặt tiếp xúc.
Bảng B-1. Hệ số ma sát fT trên mặt tiếp xúc của các cấu kiện trong liên kết bu lông cường độ cao
| Hệ số ma sát tiêu chuẩn | Gia công mặt tiếp xúc | |||
| Bằng phun cát hoặc hạt bi | Phun cát hoặc hạt bi, sau đó có sơn lót | Phun sơn | Cọ bàn chải sắt | |
| fT | 0,58 | 0,50 | 0,42 | 0,35 |
Bảng B-2. Độ tin cậy của vật liệu Km
| Số lượng trong liên kết nb | Gia công mặt tiếp xúc | |||
| Bằng phun cát hoặc hạt bi | Phun cát hoặc hạt bi, sau đó có sơn lót | Phun sơn | Cọ bàn chải sắt | |
| Đến 20 | 0,66 | 0,78 | 0,57 | 0,51 |
| ≥ 20 | 0,76 | 0,84 | 0,70 | 0,65 |
- Hệ số m0, mb, m0(p), mb(p) lấy theo Bảng B-5, B-6, B-7, B-8.
Bảng B-3. Hệ số m0 cho đinh tán (bu lông) chịu cắt khi đinh tán (bu lông) và các bộ phận liên kết có cùng một mác thép
| Cắt | d3, mm | |||
| 17 | 20 | 23 | 26 | |
| Một mặt | 0,551 | 0,398 | 0,301 | 0,236 |
| Hai mặt | 0,276 | 0,199 | 0,151 | 0,118 |
Chú ý:
1. Trong bảng này và các bảng tiếp theo, đường kính lỗ đinh lán (bu lông) được lấy là đường kính của đinh tán d3 và bu lông tinh chế.
2. Nếu vật liệu đinh tán (bu lông) khác với vật liệu thép liên kết thì trị số m0 trong bảng được nhân hệ số C1, lấy theo Bảng B-4.
Bảng B-4. Hệ số C1 để tính toán đinh tán (bu lông) chịu cắt
| Vật liệu phần liên kết | Vật liệu đinh tán (bu lông) | |||
| Thép hàn | Thép đúc | Mác thép | ||
| CT2 (CT3) (hoặc tương đương) | 09∏2 (hoặc tương đương) | |||
| Thép hàn | 1 | 0,86 | 0,84 | - |
| Thép đúc | 1,15 | 1 | 0,97 | - |
| Thép CT3 cầu, M16C, 16D (hoặc tương đương) | - | - | 1 | - |
| Thép hợp kim thấp (hoặc tương đương) | - | - | - | 1 |
Chú ý: Các đinh tán được chế tạo bằng thép có mác khác nhau được đưa vào cùng liên kết thì được tính với trị số lớn nhất của hệ số C, đối với các đinh tán và thép liên kết.
Bảng B-5. Hệ số m0 theo ép mặt của đinh tán vào thành lỗ đinh (với kem = 2,5)
| d , mm | d3, mm | d , mm | d3, mm | ||||||
| 17 | 20 | 23 | 26 | 17 | 20 | 23 | 26 | ||
| 6 | 0,392 | 0,333 | 0,290 | 0,256 | 11 | 0,214 | 0,182 | 0,158 | 0,140 |
| 7 | 0,336 | 0,286 | 0,248 | 0,220 | 12 | 0,196 | 0,167 | 0,145 | 0,128 |
| 8 | 0,294 | 0,250 | 0,217 | 0,192 | 13 | 0,181 | 0,154 | 0,134 | 0,118 |
| 9 | 0,261 | 0,222 | 0,193 | 0,171 | 14 | 0,168 | 0,143 | 0,124 | 0,110 |
| 10 | 0,235 | 0,200 | 0,175 | 0,154 | 15 | 0,167 | 0,133 | 0,116 | 0,102 |
Bảng B-6. Hệ số mb trong các điểm dùng liên kết bu lông cường độ cao có một mặt ma sát của các kết cấu nhịp chế tạo bằng thép cán sau năm 1906 và thép mác CT3, 16∆, BCT3 (hoặc các mác thép tương đương)
| Đường kính bu lông mm | Số lượng bu lông trong liên kết | Làm sạch mặt tiếp xúc của các bộ phận liên kết | |||
| Phun cát hoặc hạt bi | Phun cát hoặc hạt bi, sau đó quét sơn | Phun hơi | Cọ, bàn chải sắt | ||
| 18 | >20 | 0,365 | 0,358 | 0,594 | 0,792 |
|
| ≥20 | 0,317 | 0,333 | 0,475 | 0,613 |
| 22 | >20 | 0,234 | 0,229 | 0,372 | 0,500 |
|
| ≥20 | 0,202 | 0,213 | 0,302 | 0,396 |
| 24 | >20 | 0,200 | 0,196 | 0,322 | 0,432 |
|
| ≥20 | 0,174 | 0,183 | 0,260 | 0,339 |
Chú ý:
1. Các hệ số m0 nêu trong bảng B-6 được áp dụng với nội lực kéo tiêu chuẩn của bu lông M18, M22 và M24 tương ứng bằng 142 (14.2), 224 (22.4), 261 (26.1) kN (T) để xác định hệ số m0 của các bu lông cường độ cao có nội lực kéo tương ứng 130 (13), 200 (20), 240 (24) kN (T), các trị số tương ứng trong bảng cần nhân với hệ số C2 = 1,1.
2. Để xác định hệ số m0 trong các liên kết ma sát của kết cấu nhịp gồm nhiều vật liệu khác nhau, trị số trong bảng cần nhân với hệ số C1 bằng 0,84 đối với các kết cấu bằng thép hàn, bằng 0,97 đối với thép bản cán trước năm 1906, bằng 1,37 đối với thép hợp kim thấp.
3. Trong các kết cấu có hai mặt ma sát thì hệ số nêu trong Bảng B-6 được giảm 2 lần.
4. Khi thay thế các bộ phận đinh tán bằng bu lông cường độ cao mà không gia công liên kết ma sát, hệ số m0 được lấy bằng trị số nhỏ hơn trong các hệ số m0 theo chịu cắt hoặc chịu ép tựa các đinh tán thay thế theo Bảng B-3, B-4 và B-5.
Bảng B-7. Hệ số m0 (p) theo đứt đầu đinh tán và các bộ phận liên kết có cùng một mác thép
| d3, mm | 17 | 20 | 23 | 26 |
| m0 (p) | 0,735 | 0,531 | 0,401 | 0,314 |
Chú ý:
Nếu vật liệu đinh tán khác với vật liệu của các bộ phận liên kết thì các trị số m0 (p) trong bảng được nhân với hệ số C1 nêu trong Bảng B-4.
Bảng B-8. Hệ số m0(p) theo đứt đầu bu lông cường độ cao chế tạo bằng thép mác 40X (hoặc tương đương)
| Đường kính của bu lông cường độ cao, mm | m0 (p) trong kết cấu chế tạo từ | |||
| Thép đúc | Thép cán | Thép mác CT3 cầu, M16C,16D (hoặc tương đương) | Thép | |
| 18 | 0,180 | 0,209 | 0,214 | 0,293 |
| 22 | 0,114 | 0,132 | 0,136 | 0,186 |
| 24 | 0,098 | 0,011 | 0,118 | 0,160 |
Chú ý:
1. Khi tính toán m0 (p)cường độ tính toán của thép bu lông cường độ cao được lấy bằng 770 Mpa (7.7 T/cm2).
2. Trước khi đưa vào các Công thức tính toán ở điều 7 cần phải đổi trị số của các hệ số m từ đơn vị 1/cm sang đơn vị 1/m cho cùng hệ đơn vị với các đại lượng khác trong công thức.
PHỤ LỤC C
(Quy định)
Hệ số s trong tính toán liên kết hàn
Các hệ số s đối với các đường hàn tự động hoặc đường hàn bằng máy hàn điện được lấy bằng 1,00 đối với đường hàn nối và s=0,75 đối với đường hàn góc.
Các hệ số s đối với các đường hàn bằng máy có phủ thuốc hàn được lấy theo Bảng C-1.
Bảng C-1. Hệ số s để tính toán đường hàn
| Thép được nối bởi đường hàn | Cường độ tính toán của thép R, Mpa (T/cm2) | Kiểu đường hàn | |||
| Góc nối s=0,75 Rm/R | Mạch nối s= Rm/R | ||||
| Kéo | Nén | Cắt | |||
| - Thép đúc | 160 (1,60) | 0,40 | 0,56 | 0,52 | 0,39 |
| - Thép cán | 185 (1,85) | 0,40 | 0,56 | 0,61 | 0,39 |
| - Thép cácbon mác CT3 (hoặc tương đương) | 190 | 0,40 | 0,53 | 0,58 | 0,37 |
Chú ý:
1. Đối với các đường hàn nối xiên, khi tính chịu kéo hệ số s được chia cho sina (a - góc hợp bởi phương của đường hàn và phương của nội lực).
2. Đối với các đường hàn nối xiên khi tính theo chịu cắt hệ số s được chia cho cosa - khi đưa hệ số s vào tính toán mối hàn, diện tích đường hàn là:
F = dL (C-1)
Trong đó:
d- Bề dày đường hàn, cm; đối với đường hàn nối lấy bằng giá trị nhỏ hơn của các cấu kiện được hàn nối, còn đối với mối hàn góc - bằng 0,7 cạnh nhỏ của mối hàn;
L - Chiều dài đường hàn, cm. Khi đó các đường hàn ngắn hơn 60 mm và cạnh hàn nhỏ hơn 6 mm thì không tính. Chiều dài lớn nhất của đường hàn góc trong liên kết chịu lực dọc trục được lấy không lớn hơn 50 lần cạnh của mối hàn trong tính toán.
PHỤ LỤC D
(Quy định)
Hệ số chuyển đổi q
Bảng D-1. Hệ số chuyển đổi q
| Chiều dài chất tải l, mm | q | Chiều dài chất tải l, mm | q | Chiều dài chất tải l, mm | q |
| 0-1 | 0,86 | 16 | 0,90 | 90 | 0,95 |
| 2 | 0,87 | 18 | 0,90 | 100 | 0,95 |
| 3 | 0,87 | 20 | 0,90 | 110 | 0,96 |
| 4 | 0,87 | 25 | 0,91 | 120 | 0,96 |
| 5 | 0,88 | 30 | 0,91 | 130 | 0,96 |
| 6 | 0,88 | 35 | 0,92 | 140 | 0,96 |
| 7 | 0,88 | 40 | 0,92 | 150 | 0,96 |
| 8 | 0,88 | 45 | 0,93 | 160 | 0,97 |
| 9 | 0,88 | 50 | 0,93 | 170 | 0,97 |
| 10 | 0,88 | 60 | 0,94 | 180 | 0,97 |
| 12 | 0,89 | 70 | 0,94 | 190 | 0,97 |
| 14 | 0,89 | 80 | 0,95 | 200 | 0,97 |
Chú ý: Trị số hệ số chuyển đổi q được tính theo công thức:
(D-1)
PHỤ LỤC E
(Quy định)
Hệ số uốn dọc j
Bảng E-1. Hệ số j đối với các cấu kiện bằng thép hàn, thép bản và thép CT3 cầu, M16C, 16D hoặc tương đương
| Độ mảnh l0 | Độ lệch tâm tương đối quy đổi i = e0 / p | ||||||||||||
| 0,00 | 0,10 | 0,25 | 0,50 | 0,75 | 1,00 | 1,50 | 2,00 | 2,50 | 3,00 | 3,50 | 4,00 | 5,00 | |
| (1) | (2) | (3) | (4) | (5) | (6) | (7) | (8) | (9) | (10) | (11) | (12) | (13) | (14) |
| 0 | 0,93 | 0.85 | 0,79 | 0,68 | 0,60 (0,58) | 0,52 (0,50) | 0,43 (0,41) | 0,35 | 0,30 | 0,27 | 0,24 | 0,21 | 0,17 |
| 10 | 0,92 | 0,84 | 0,78 | 0,78 (0,67) | 0,60 (0,57) | 0,52 (0,50) | 0,42 (0,40) | 0,35 | 0,30 | 0,26 | 0,23 | 0,21 | 0,17 |
| 20 | 0,90 | 0,83 | 0,77 (0,76) | 0,67 (0,66) | 0,58 (0,56) | 0,50 (0,49) | 0,41 (0,40) | 0,34 | 0,29 | 0,26 | 0,23 | 0,21 | 0,17 |
| 30 | 0,88 | 0,81 | 0,76 (0,73) | 0,65 (0,63) | 0,56 (0,54) | 0,49 (0,47) | 0,40 (0,49) | 0,33 | 0,29 | 0,25 | 0,22 | 0,21 | 0,17 |
| 40 | 0,85 | 0,79 (0,77) | 0,73 (0,70) | 0,63 (0,61) | 0,54 (0,52) | 0,47 (0,45) | 0,39 (0,38) | 0,32 | 0,28 | 0,24 | 0,22 | 0,20 | 0,17 |
| 50 | 0,82 (0,80) | 0,76 (0,73) | 0,70 (0,65) | 0,60 (0,57) | 0,51 (0,49) | 0,45 (0,43) | 0,37 (0,36) | 0,31 | 0,27 | 0,24 | 0,22 | 0,20 | 0,16 |
| 60 | 0,78 (0,73) | 0,72 (0,66) | 0,66 (0,60) | 0,57 (0,53) | 0,49 (0,46) | 0,43 (0,41) | 0,35 (0,34) | 0,30 | 0,26 | 0,23 | 0,21 | 0,19 | 0,16 |
| 70 | 0,74 (0,66) | 0,67 (0,60) | 0,62 (0,54) | 0,54 (0,48) | 0,46 (0,42) | 0,41 (0,38) | 0,34 (0,32) | 0,29 | 0,25 | 0,22 | 0,20 | 0,19 | 0,16 |
| 80 | 0,69 (0,60) | 0,62 (0,54) | 0,57 (0,49) | 0,50 (0,43) | 0,43 (0,39) | 0,38 (0,36) | 0,32 (0,31) | 0,28 | 0,24 | 0,22 | 0,20 | 0,19 | 0,15 |
| 90 | 0,63 (0,54) | 0,56 (0,49) | 0,51 (0,44) | 0,45 (0,40) | 0,40 (0,36) | 0,36 (0,33) | 0,30 (0,28) | 0,26 | 0,23 | 0,21 | 0,19 | 0,18 | 0,15 |
| 100 | 0,56 (0,49) | 0,49 (0,44) | 0,45 (0,40) | 0,41 (0,37) | 0,37 (0,33) | 0,33 (0,30) | 0,29 (0,26) | 0,25 | 0,22 | 0,20 | 0,19 | 0,17 | 0,14 |
| 110 | 0,19 (0,44) | 0,43 (0,40) | 0,41 (0,34) | 0,37 (0,31) | 0,34 (0,29) | 0,31 (0,25) | 0,27 | 0,24 | 0,21 | 0,19 | 0,18 | 0,17 | 0,14 |
| 120 | 0,43 (0,41) | 0,39 (0,37) | 0,37 (0,28) | 0,34 (0,27) | 0,31 (0,23) | 0,29 | 0,25 | 0,22 | 0,20 | 0,18 | 0,17 | 0,16 | 0,13 |
| 130 | 0,38 (0,37) | 0,35 (0,34) | 0,33 (0,31) | 0,31 (0,29) | 0,29 (0,27) | 0,26 (0,25) | 0,23 (0,22) | 0,21 | 0,19 | 0,17 | 0,16 | 0,15 | 0,15 |
| 140 | 0,34 | 0,31 | 0,30 (0,29) | 0,28 (0,27) | 0,26 (0,25) | 0,24 (0,23) | 0,21 | 0,20 | 0,18 | 0,16 | 0,15 | 0,14 | 0,12 |
| 150 | 0,331 | 0,28 | 0,27 | 0,25 | 0,23 | 0,22 | 0,20 | 0,18 | 0,16 | 0,15 | 0,14 | 0,14 | 0,12 |
| 160 | 0,28 | 0,26 | 0,24 | 0,23 | 0,22 | 0,21 | 0,19 | 0,17 | 0,15 | 0,14 | 0,14 | 0,13 | 0,11 |
| 170 | 0,25 | 0,24 | 0,22 | 0,21 | 0,20 | 0,19 | 0,17 | 0,16 | 0,15 | 0,14 | 0,13 | 0,12 | 0,11 |
| 180 | 0,23 | 0,21 | 0,20 | 0,19 | 0,19 | 0,18 | 0,16 | 0,15 | 0,14 | 0,13 | 9,12 | 0,11 | 0,10 |
| 190 | 0,21 | 0,20 | 0,19 | 0,18 | 0,17 | 0,17 | 0,15 | 0,14 | 0,13 | 0,12 | 0,12 | 0,11 | 0,10 |
| 200 | 0,19 | 0,19 | 0,18 | 0,18 | 0,17 | 0,16 | 0,15 | 0,14 | 0,13 | 0,12 | 0,11 | 0,11 | 0,10 |
Chú ý: Đối với các cấu kiện thép bản cánh rộng và hàn có mặt cắt song song hình chữ П, hệ số j lấy các giá trị trong ngoặc (...)
Bảng E-2. Hệ số j đối với các cấu kiện bằng thép hợp kim thấp 15XCHD và HL-2 hoặc tương đương
| Độ mảnh l0 | Độ lệch tâm tương đối quy đổi i = e0/ p | ||||||||||||
| 0,00 | 0,10 | 0,25 | 0,50 | 0,75 | 1,00 | 1,50 | 2,00 | 2,50 | 3,00 | 3,50 | 4,00 | 5,00 | |
| (1) | (2) | (3) | (4) | (5) | (6) | (7) | (8) | (9) | (10) | (11) | (12) | (13) | (14) |
| 0 | 0,93 | 0.86 | 0,78 | 0,69 | 0,62 | 0,54 | 0,44 | 0,34 | 0,28 | 0,24 | 0,22 | 0,20 | 0,17 |
| 10 | 0,92 | 0,84 | 0,77 | 0,68 | 0,60 | 0,52 | 0,43 | 0,34 | 0,28 | 0,24 | 0,22 | 0,20 | 0,17 |
| 20 | 0,90 | 0,83 | 0,76 | 0,66 | 0,58 | 0,51 | 0,41 | 0,33 | 0,28 | 0,24 | 0,22 | 0,20 | 0,17 |
| 30 | 0,88 | 0,81 | 0,73 | 0,63 | 0,56 (0,35) | 0,49 (0,48) | 0,40 (0,37) | 0,32 | 0,27 | 0,24 | 0,21 | 0,19 | 0,16 |
| 40 | 0,85 (0,84) | 0,77 (0,76) | 0,69 (0,68) | 0,59 (0,58) | 0,52 (0,51) | 0,46 (0,45) | 0,38 (0,37) | 0,31 | 0,26 | 0,23 | 0,21 | 0,19 | 0,16 |
| 50 | 0,80 (0,78) | 0,72 (0,70) | 0,64 (0,65) | 0,54 (0,57) | 0,48 (0,49) | 0,43 (0,43) | 0,36 (0,36) | 0,30 | 0,25 | 0,22 | 0,21 | 0,19 | 0,16 |
| 60 | 0,74 (0,71) | 0,66 (0,63) | 0,58 (0,56) | 0,48 (0,46) | 0,43 (0,41) | 0,39 (0,38) | 0,33 (0,32) | 0,28 | 0,25 | 0,22 | 0,20 | 0,18 | 0,15 |
| 70 | 0,67 (0,63) | 0,58 (0,55) | 0,51 (0,49) | 0,43 (0,41) | 0,39 (0,37) | 0,35 (0,34) | 0,30 (0,29) | 0,27 | 0,23 | 0,21 | 0,20 | 0,18 | 0,15 |
| 80 | 0,58 (0,53) | 0,50 (0,46) | 0,45 (0,42) | 0,38 (0,35) | 0,35 (0,33) | 0,32 (0,31) | 0,27 (0,26) | 0,25 | 0,22 | 0,20 | 0,18 | 0,17 | 0,14 |
| 90 | 0,48 (0,43) | 0,43 (0,39) | 0,40 (0,37) | 0,34 (0,31) | 0,31 (0,29) | 0,29 (0,28) | 0,25 (0,24) | 0,23 | 0,21 | 0,19 | 0,18 | 0,16 | 0,14 |
| 100 | 0,40 (0,36) | 0,38 (0,34) | 0,35 (0,32) | 0,30 (0,27) | 0,28 (0,26) | 0,26 (0,25) | 0,23 (0,22) | 0,21 | 0,19 | 0,18 | 0,17 | 0,16 | 0,13 |
| 110 | 0,35 (0,32) | 0,33 (0,30) | 0,31 (0,29) | 0,27 (0,25) | 0,25 (0,24) | 0,23 (0,22) | 0,21 (0,20) | 0,20 | 0,19 | 0,18 | 0,17 | 0,16 | 0,13 |
| 120 | 0,30 (0,28) | 0,29 (0,27) | 0,27 (0,26) | 0,24 (0,23) | 0,23 (0,22) | 0,22 (0,21) | 0,19 (0,18) | 0,18 | 0,17 | 0,16 | 0,15 | 0,14 | 0,12 |
| 130 | 0,27 (0,25) | 0,25 (0,24) | 0,24 (0,23) | 0,22 (0,21) | 0,21 (0,20) | 0,19 (0,18) | 0,18 (0,17) | 0,17 | 0,16 | 0,15 | 0,14 | 0,13 | 0,12 |
| 140 | 0,24 (0,23) | 0,23 (0,22) | 0,22 (0,21) | 0,20 (0,19) | 0,19 (0,18) | 0,18 (0,17) | 0,17 (0,16) | 0,16 | 0,15 | 0,14 | 0,13 | 0,13 | 0,11 |
| 150 | 0,22 | 0,21 | 0,20 | 0,18 | 0,17 | 0,17 | 0,15 | 0,14 | 0,13 | 0,13 | 0,12 | 0,11 | 0,10 |
| 160 | 0,20 | 0,19 | 0,18 | 0,17 | 0,16 | 0,15 | 0,14 | 0,14 | 0,13 | 0,12 | 0,12 | 0,11 | 0,10 |
| 170 | 0,18 | 0,17 | 0,16 | 0,15 | 0,14 | 0,14 | 0,13 | 0,12 | 0,12 | 0,11 | 0,11 | 0,10 | 0,09 |
| 180 | 0,16 | 0,16 | 0,15 | 0,14 | 0,13 | 0,13 | 0,12 | 0,12 | 0,11 | 0,11 | 0,10 | 0,10 | 0,09 |
| 190 | 0,15 | 0,14 | 0,13 | 0,13 | 0,12 | 0,12 | 0,11 | 0,10 | 0,10 | 0,10 | 0,09 | 0,09 | 0,08 |
| 200 | 0,13 | 0,13 | 0,12 | 0,12 | 0,11 | 0,10 | 0,10 | 0,09 | 0,09 | 0,09 | 0,08 | 0,08 | 0,08 |
Chú ý: Đối với các cấu kiện thép cán bản rộng và hàn có mặt cắt song thành hoặc kiểu chữ П, hệ số j lấy các giá trị trong ngoặc (...)
Bảng E -3: Hệ số j đối với các cấu kiện làm bằng thép hợp kim thấp mác 10XCHD, 15XCHD - 40, 14G2AfD , 15G2ADPC hoặc tương đương
| Độ mảnh l0 | Độ lệch tâm tương đối quy đổi i = e0/p | ||||||||||||
| 0 | 0,10 | 0,25 | 0,50 | 0,75 | 1,00 | 1,50 | 2,00 | 2,50 | 3,00 | 3,50 | 4,00 | 5,00 | |
| 1 | 2 | 3 | 4 | 5 | 6 | 7 | 8 | 9 | 10 | 11 | 12 | 13 | 14 |
| 0 | 0.93 | 0,86 | 0,78 | 0,70 | 0,63 | 0,55 | 0,45 | 0,35 | 0,29 | 0,25 | 0,23 | 0,21 | 0,18 |
| 10 | 0,92 | 0,84 | 0,77 | 0,68 | 0,60 | 0,52 | 0,43 | 0,34 | 0,28 | 0,24 | 0,22 | 0,20 | 0,17 |
| 20 | 0,90 | 0,83 | 0,76 | 0,66 | 0,58 | 0,51 | 0,41 | 0,33 | 0,28 | 0,24 | 0,22 | 0,20 | 0,17 |
| 30 | 0,88 | 0,81 | 0,73 | 0,63 | 0,55 | 0,48 | 0,39 | 0,32 | 0,27 | 0,24 | 0,21 | 0,19 | 0,16 |
| 40 | 0,84 (0,83) | 0,76 (0,75) | 0,68 (0,67) | 0,58 (0,57) | 0,51 (0,50) | 0,45 (0,44) | 0,37 (0,36) | 0,31 (0,30) | 0,26 (0,25) | 0,23 (0,22) | 0,21 (0,20) | 0,19 (0,18) | 0,16 (0,15) |
| 50 | 0,79 (0,77) | 0,71 (0,69) | 0,63 (0,61) | 0,53 (0,51) | 0,47 (0,45) | 0,43 (0,41) | 0,36 (0,34) | 0,31 (0,29) | 0,26 (0,24) | 0,23 (0,21) | 0,21 (0,20) | 0,19 (0,18) | 0,16 (0,15) |
| 60 | 0,73 (0,70) | 0,65 (0,62) | 0,58 (0,55) | 0,48 (0,45) | 0,43 (0,40) | 0,40 (0,37) | 0,34 (0,31) | 0,30 (0,27) | 0,26 (0,24) | 0,23 (0,21) | 0,21 (0,19) | 0,19 (0,17) | 0,16 (0,14) |
| 70 | 0,63 (0,59) | 0,55 (0,51) | 0,49 (0,45) | 0,41 (0,37) | 0,39 (0,33) | 0,36 (0,30) | 0,31 (0,25) | 0,29 (0,23) | 0,25 (0,19) | 0,23 (0,17) | 0,21 (0,16) | 0,19 (0,14) | 0,16 (0,11) |
| 80 | 0,53 (0,49) | 0,46 (0,42) | 0,42 (0,38) | 0,35 (0,31) | 0,33 (0,29) | 0,31 (0,27) | 0,26 (0,22) | 0,25 (0,21) | 0,22 (0,18) | 0,20 (0,16) | 0,18 (0,14) | 0,17 (0,13) | 9,14 (0,10) |
| 90 | 0,43 (0,38) | 0,39 (0,34) | 0,37 (0,32) | 0,31 (0,26) | 0,29 (0,24) | 0,28 (0,23) | 0,24 (0,19) | 0,23 (0,18) | 0,21 (0,16) | 0,19 (0,14) | 0,18 (0,13) | 0,17 (0,11) | 0,14 (0,09) |
| 100 | 0,35 (0,32) | 0,33 (0,30) | 0,31 (0,28) | 0,26 (0,23) | 0,25 (0,22) | 0,24 (0,21) | 0,21 (0,18) | 0,20 (0,17) | 0,19 (0,15) | 0,19 (0,14) | 0,18 (0,13) | 0,17 (0,11) | 0,14 (0,08) |
| 110 | 0,30 (0,27) | 0,28 (0,25) | 0,27 (0,24) | 0,23 (0,20) | 0,22 (0,19) | 0,20 (0,17) | 0,18 (0,15) | 0,18 (0,15) | 0,17 (0,14) | 0,15 (0,12) | 0,15 (0,11) | 0,15 (0,10) | 0,15 (0,08) |
| 120 | 0,26 (0,24) | 0,25 (0,23) | 0,24 (0,22) | 0,21 (0,19) | 0,20 (0,18) | 0,19 (0,17) | 0,16 (0,14) | 0,16 (0,14) | 0,15 (0,13) | 0,14 (0,12) | 0,13 (0,11) | 0,12 (0,10) | 0,10 (0,08) |
| 130 | 0,23 (0,21) | 0,22 (0,20) | 0,21 (0,19) | 0,19 (0,17) | 0,18 (0,16) | 0,17 (0,15) | 0,15 (0,13) | 0,15 (0,13) | 0,14 (0,12) | 0,13 (0,11) | 0,12 (0,10) | 0,11 (0,09) | 0,10 (0,08) |
| 140 | 0,21 (0,20) | 0,20 (0,19) | 0,19 (0,18) | 0,17 (0,16) | 0,16 (0,15) | 0,16 (0,15) | 0,14 (0,13) | 0,14 (0,13) | 0,13 (0,12) | 0,12 (0,11) | 0,11 (0,10) | 0,11 (0,09) | 0,09 (0,08) |
| 150 | 0,19 | 0,18 | 0,17 | 0,15 | 0,14 | 0,14 | 0,12 | 0,11 | 0,10 | 0,10 | 0,09 | 0,08 | 0,07 |
| 160 | 0,17 | 0,16 | 0,15 | 0,14 | 0,13 | 0,12 | 0,11 | 0,11 | 0,10 | 0,09 | 0,09 | 0,08 | 0,07 |
| 170 | 0,15 | 0,14 | 0,13 | 0,12 | 0,11 | 0,11 | 0,10 | 0,09 | 0,09 | 0,08 | 0,08 | 0,07 | 0,06 |
| 80 | 0,13 | 0,13 | 0,12 | 0,11 | 0,10 | 0,10 | 0,09 | 0,09 | 0,08 | 0,08 | 0,07 | 0,07 | 0,06 |
| 190 | 0,12 | 0,11 | 0,10 | 0,10 | 0,09 | 0,09 | 0,08 | 0,07 | 0,07 | 0,07 | 0,06 | 0,06 | 0,05 |
| 200 | 0,11 | 0,11 | 0,10 | 0,10 | 0,09 | 0,08 | 0,07 | 0,06 | 0,06 | 0,06 | 0,05 | 0,05 | 0,05 |
PHỤ LỤC F
(Quy định)
Hệ số giảm cường độ tính toán khi tính mỏi gB và chế độ chất tải x
Đối với các cấu kiện chế tạo từ thép hàn, thép bản hoặc thép các bon CT3 (hoặc tương đương), hệ số gB được xác định theo các Công thức trong trường hợp:
- Kéo và kéo là chủ yếu:
(F-1)
- Nén là chủ yếu:
(F-2)
Trong đó:
b - Hệ số tập trung ứng suất có hiệu đối với mặt cắt đang xét (Phụ lục G)
x- Hệ số chế độ chất tải
rB - Hệ số không đối xứng của chu kỳ thay đổi ứng suất
Hệ số b lấy tương ứng trong Phụ lục G, còn x - theo Bảng F-1 của Phụ lục này, Hệ số không đối xứng của chu kỳ thay đổi ứng suất:
(F-3)
Trong đó:
Wmin - Phần diện tích có một dấu nhỏ nhất theo trị tuyệt đối của đường ảnh hưởng có hai dấu m hoặc m2. Với đường ảnh hưởng có một dấu Wmin= 0;
yB - Hệ số, tính bằng tỷ số giữa tải trọng tương ứng của phần đường ảnh hưởng nhỏ và lớn.
Trong Công thức (F-3) lấy các trị số tuyệt đối của các giá trị Wp, Wk và Wmin
Việc xác định hệ số gB được tiến hành theo phương pháp gần đúng dần, với giá trị xuất phát của gB lấy theo Bảng F-2, F-7, còn giá trị của hệ số yB lấy theo Bảng F-8.
Tính toán được tiến hành theo trình tự sau:
Theo công thức của chỉ dẫn xác định tải trọng hoạt tải cho phép theo mỏi kB tương ứng với giá trị ban đầu gB
Với giá trị nhận được kB, theo Công thức (F-3) tính toán hệ số không đối xứng của chu kỳ ứng suất rB
Theo Công thức (F-1) và (F-2) xác định các giá trị xuất phát nhiều hơn ± 5% thì phải hiệu chỉnh giá trị xuất phát gB và tính lại
Đối với các cấu kiện của kết cấu làm bằng thép hợp kim thấp, hệ số gB được xác định theo CHu П 2.05.03-84
Bảng F-1. Hệ số x
| Cường độ tải tham gia pk, triệu tấn km/km trong năm | Hệ số x khi tuổi khai thác kết cấu nhịp (năm) | ||||||
| 20 | 30 | 40 | 50 | 60 | 70 | 80 và> | |
| 20 | 1,83 | 1,76 | 1,67 | 1,57 | 1,46 | 1,30 | 1,00 |
| 40 | 1,82 | 1,74 | 1,64 | 1,54 | 1,40 | 1,20 | 1,00 |
| 60 | 1,81 | 1,72 | 1,62 | 1,49 | 1,33 | 1,00 | 1,00 |
| 80 | 1,79 | 1,70 | 1,58 | 1,44 | 1,22 | 1,00 | 1,00 |
| 100 | 1,78 | 1,67 | 1,53 | 1,37 | 1,00 | 1,00 | 1,00 |
| 120 | 1,76 | 1,64 | 1,48 | 1,24 | 1,00 | 1,00 | 1,00 |
| 140 | 1,74 | 1,59 | 1,40 | 1,00 | 1,00 | 1,00 | 1,00 |
| >140 |
|
|
|
|
|
|
|
Chú ý: Các giá trị ở khoảng giữa của hệ số x được lấy theo nội suy
Nếu trên cầu có số lượng đoàn tàu khách tốc độ v > 120 km/h chiếm 20% và lớn hơn cường độ vận chuyển chung thì để tính toán các cấu kiện có đường ảnh hưởng hai dấu, trị số trong bảng được xét với hệ số 0,95.
Giá trị xuất phát của hệ số gB được xác định:
- Theo Bảng F-2 - đối với các thanh xiên và thanh đứng của dàn chủ làm việc chịu kéo và kéo chủ yếu.
- Theo Bảng F-3 - đối với các thanh xiên và thanh đứng của dàn chủ làm việc chịu nén chủ yếu.
- Theo Bảng F-4 - đối với các thanh mạ dàn chủ chịu kéo.
- Theo Bảng F-5 - đối với các thanh treo dàn chủ.
- Theo Bảng F-6 - đối với dầm ngang.
- Theo Bảng F-7 - đối với các dầm chính của cầu dầm đặc và các dầm dọc.
- Trong Bảng F-2 - F-7 hệ số gB quy định phụ thuộc vào nhịp của dàn chủ (dầm) I và tỷ số
và 
Trong đó:
lmin - Chiều dài nhỏ nhất của phần đường ảnh hưởng hai dấu của cấu kiện đang xét. Với đường ảnh hưởng một dấu lmin =0;
d - Chiều dài khoang, m;
Đối với các cấu kiện của mặt cầu và cấu kiện dàn chủ chịu lực cục bộ, khi chiều dài chất tải của đường ảnh hưởng l < 22 m tỷ số b / x cần được tăng thêm 20%
Bảng F-2. Hệ số gB đối với các thanh xiên chịu đứng
Của dàn chủ chịu kéo hoặc kéo là chủ yếu
| Nhịp dàn chủ | b / x | Giá trị gB với lmin/l bằng | |||||
| l(m) |
| 0,0 | 0,1 | 0,2 | 0,3 | 0,4 | 0,5 |
|
| 1,0 | 1,00 | 0,98 | 0,94 | 0,84 | 0,77 | 0,64 |
| Đến 25 | 2,0 | 0,60 | 0,58 | 0,55 | 0,49 | 0,41 | 0,31 |
|
| 3,0 | 0,45 | 0,43 | 0,40 | 0,36 | 0,29 | 0,21 |
|
| 1,0 | 1,00 | 1,00 | 0,96 | 0,89 | 0,78 | 0,64 |
| Trên 25 đến 35 | 2,0 | 0,62 | 0,60 | 0,57 | 0,51 | 0,42 | 0,31 |
|
| 3,0 | 0,47 | 0,46 | 0,43 | 0,37 | 0,30 | 0,21 |
|
| 1,0 | 1,00 | 1,00 | 0,97 | 0,91 | 0,80 | 0,64 |
| Trên 35 đến 50 | 2,0 | 0,64 | 0,63 | 0,60 | 0,53 | 0,44 | 0,31 |
|
| 3,0 | 0,50 | 0,48 | 0,46 | 0,40 | 0,32 | 0,21 |
|
| 1,0 | 1,00 | 1,00 | 1,00 | 0,94 | 0,81 | 0,64 |
| Trên 50 đến 80 | 2,0 | 0,68 | 0,66 | 0,63 | 0,56 | 0,46 | 0,31 |
|
| 3,0 | 0,54 | 0,52 | 0,49 | 0,44 | 0,35 | 0,21 |
|
| 1,0 | 1,00 | 1,00 | 1,00 | 0,98 | 0,85 | 0,64 |
| Trên 80 đến 130 | 2,0 | 0,75 | 0,73 | 0,70 | 0,62 | 0,50 | 0,21 |
|
| 3,0 | 0,62 | 0,60 | 0,56 | 0,50 | 0,37 | 0,21 |
|
| 1,0 | 1,00 | 1,00 | 1,00 | 1,00 | 1,00 | 1,00 |
| Trên 130 | 2,0 | 0,91 | 0,88 | 0,83 | 0,74 | 0,58 | 0,31 |
|
| 3,0 | 0,80 | 0,77 | 0,72 | 0,62 | 0,46 | 0,21 |
Bảng F-3. Hệ số gB đối với các thanh xiên và thanh đứng của dàn chủ chịu nén là chính
| Nhịp dàn chủ l(m) | b/ x | Giá trị gB với lmin/l bằng | |||||
| 0,0 | 0,1 | 0,2 | 0,3 | 0,4 | 0,5 | ||
|
| 1,0 | 1,00 | 1,00 | 1,00 | 1,00 | 0,95 | 0,64 |
| Đến 25 | 2,0 | 0,86 | 0,82 | 0,72 | 0,61 | 0,45 | 0,31 |
|
| 3,0 | 0,56 | 0,52 | 0,47 | 0,40 | 0,30 | 0,21 |
|
| 1,0 | 1,00 | 1,00 | 1,00 | 1,00 | 1,00 | 0,64 |
| Trên 25 đến 35 | 2,0 | 0,91 | 0,87 | 0,77 | 0,65 | 0,48 | 0,31 |
|
| 3,0 | 0,59 | 0,56 | 0,51 | 0,42 | 0,32 | 0,21 |
|
| 1,0 | 1,00 | 1,00 | 1,00 | 1,00 | 1,00 | 0,64 |
| Trên 35 đến 50 | 2,0 | 1,00 | 0,95 | 0,82 | 0,69 | 0,50 | 0,31 |
|
| 3,0 | 0,64 | 0,61 | 0,55 | 0,45 | 0,34 | 0,21 |
|
| 1,0 | 1,00 | 1,00 | 1,00 | 1,00 | 1,00 | 0,64 |
| Trên 50 đến 80 | 2,0 | 1,00 | 1,00 | 0,91 | 0,74 | 0,53 | 0,31 |
|
| 3,0 | 0,71 | 0,69 | 0,61 | 0,50 | 0,35 | 0,21 |
|
| 1,0 | 1,00 | 1,00 | 1,00 | 1,00 | 1,00 | 0,64 |
| Trên 80 đến 130 | 2,0 | 1,00 | 1,00 | 1,00 | 0,86 | 0,59 | 0,31 |
|
| 3,0 | 0,88 | 0,84 | 0,75 | 0,59 | 0,40 | 0,21 |
|
| 1,0 | 1,00 | 1,00 | 1,00 | 1,00 | 1,00 | 0,64 |
| Trên 130 | 2,0 | 1,00 | 1,00 | 1,00 | 1,00 | 0,73 | 0,31 |
|
| 3,0 | 1,00 | 1,00 | 1,00 | 0,85 | 0,52 | 0,21 |
Bảng F-4. Hệ số gB đối với các thanh mạ chịu kéo của dàn chủ
| Nhịp dàn chủ l,m | b/ x | gB |
| (1) | (2) | (3) |
|
| 1,0 | 1,00 |
| Đến 25 | 2,0 | 0,59 |
|
| 3,0 | 0,43 |
|
| 1,0 | 1,00 |
| Từ 25 đến 35 | 2,0 | 0,62 |
|
| 3,0 | 0,46 |
|
| 1,0 | 1,00 |
| Từ 35 đến 50 | 2,0 | 0,63 |
|
| 3,0 | 0,47 |
|
| 1,0 | 1,00 |
| Từ 50 đến 80 | 2,0 | 0,65 |
|
| 3,0 | 0,50 |
|
| 1,0 | 1,00 |
| Từ 80 đến 130 | 2,0 | 0,71 |
|
| 3,0 | 0,56 |
|
| 1,0 | 1,00 |
| Trên 130 | 2,0 | 0,84 |
|
| 3,0 | 0,69 |
Bảng F-5. Hệ số gB đối với các thanh treo của dàn chủ
| Nhịp dàn chủ l,m | b/ x | gB |
|
| 1,0 | 1,00 |
| Đến 50 | 2,0 | 0,60 |
|
| 3,0 | 0,45 |
|
| 1,0 | 1,00 |
| Từ 50 đến 80 | 2,0 | 0,62 |
|
| 3,0 | 0,46 |
|
| 1,0 | 1,00 |
| Từ 80 đến 130 | 2,0 | 0,62 |
|
| 3,0 | 0,47 |
|
| 1,0 | 1,00 |
| Trên 130 | 2,0 | 0,67 |
|
| 3,0 | 0,53 |
Bảng F-6. Hệ số gB đối với các dầm ngang
| Khoan hệ mặt cầu d,m | b/ x | gB |
|
| 1,0 | 0,98 |
| Đến 5 | 2,0 | 0,58 |
|
| 3,0 | 0,42 |
|
| 1,0 | 1,0 |
| Trên 5 | 2,0 | 0,60 |
|
| 3,0 | 0,44 |
Bảng F-7. Hệ số gB đối với các thanh dầm chính của cầu dầm đặc và các dầm dọc
| Nhịp dầm l(d),m | b/ x | gB |
|
| 1,0 | 0,98 |
| Đến 5 | 2,0 | 0,57 |
|
| 3,0 | 0,41 |
|
| 1.0 | 0,99 |
| Từ 5 đến 12 | 2,0 | 0,58 |
|
| 3,0 | 0,42 |
|
| 1,0 | 1,00 |
| Từ 12 đến 20 | 2,0 | 0,63 |
|
| 3,0 | 0,45 |
|
| 1,0 | 1,00 |
| Từ 20 đến 30 | 2,0 | 0,63 |
|
| 3,0 | 0,48 |
|
| 1,0 | 1,00 |
| Từ 30 đến 40 | 2,0 | 0,65 |
|
| 3,0 | 0,51 |
|
| 1,0 | 1,00 |
| Trên 40 | 2,0 | 0,66 |
|
| 3,0 | 0,54 |
Chú ý: Đối với các trị số b/ x ở khoảng giữa trong Bảng F-2-F-7, ys lấy theo nội suy. Khi số b/ x >3,0 thì ys lấy theo trường hợp b/ x =3,0.
Bảng F-8. Giá trị của hệ số yB
| Nhịp dàn chủ l,m | Giá trị yB với lmin/I bằng | |||||
| 0,05 và < | 0,10 | 0,20 | 0,30 | 0,40 | 0,50 | |
| Đến 10 | 7,27 | 3,55 | 1,83 | 1,52 | 1,21 |
|
| 20 | 5,18 | 2,75 | 1,89 | 1,45 | 1,22 |
|
| 40 | 3,25 | 2,31 | 1,73 | 1,37 | 1,15 | 1,00 |
| 60 | 2,97 | 2,04 | 1,53 | 1,20 | 1,10 |
|
| 100 | 2,28 | 1,81 | 1,27 | 1,14 | 1,07 |
|
| 150 và > | 2,08 | 1,47 | 1,19 | 1,10 | 1,04 |
|
PHỤ LỤC G
(Quy định)
Hệ số tập trung ứng suất có hiệu trong mặt cắt của các cấu kiện theo thép cơ bản
Bảng G-1. Giá trị của hệ số b
| STT | Mặt cắt tính toán | Hệ số b trong mặt cắt của các cấu kiện chế tạo bằng thép than (bao gồm thép đúc và thép cán) | |
| (1) | (2) | (3) | |
| 1 | - Ở các lỗ tự do (Hình G-1a) | 1,3 | |
| 2 | - Ở các lỗ có bu long cường độ cao xiết với nội lực tiêu chuẩn (Hình G-1b) | 1,1 | |
| 3 | Với các khuyết tật gỉ của bề mặt dưới dạng gỉ vẩy và gỉ sâu, mm |
| |
|
| a-đến 0,40 | 1,0 | |
|
| b-0,41-0,50 | 1,15 | |
|
| c-0,51-0,70 | 1,30 | |
|
| d-0,71-1,20 | 1,9 | |
|
| e-lớn hơn 1,20 | 2,2 | |
| 4 | - Theo các đinh tán liên kết | 1,3 | |
| 5 | - Theo hàng đầu tiên của đinh tán chịu cắt một mặt dùng để liên kết các bản vào các cấu kiện có hai nhánh liên kết vào nút bằng các bản thép | 3,0 | |
| 6 | - Như trên, nhưng không có bản liên kết vào nút | 3,5 | |
| 7 | - Theo hàng đầu tiên của đinh tán chịu cắt hai mặt dùng liên kết bản nút với các cấu kiện của thanh dàn | 1,7 | |
| 8 | - Theo hàng biên của đinh tán trong liên kết dầm dọc với bản cá (Hình G- 1a) | 1,9 | |
| 9 | - Theo hàng đinh thứ nhất liên kết bản... với biên chịu kéo của dầm tán | 1,3 | |
| 10 | - Đối với cấu kiện có hai nhánh, liên kết vào nút bằng các bản -Không có bản nối | 2,2 | 2,6 |
| 11 | - Cũng như trên, nhưng có hai mặt ma sát + Đối với các cấu kiện tổ hợp hai nhánh, liên kết vào nút bằng các bản nối + Không có bản nối |
1,2 1,4 | |
| 12 | - Theo hàng thứ nhất của các bu lông cường độ cao liên kết bản nút với các cấu kiện liên tục (không nối tại nút này) của dầm đặc và hệ dàn (Hình G-1d) | 1,3 | |
| 13 | - Theo hàng thứ nhất của các bu lông cường độ cao liên kết bản với các cấu kiện có hai tường với phần được nối của mặt cắt không nhỏ hơn 80%, đối với liên kết có hai mặt ma sát -không nhỏ hơn 60% (Hình G-1e) | 1,4 | |
| 14 | - Theo hàng thứ nhất của bu lông cường độ cao có một mặt ma sát liên kết các bản nút với cấu kiện có hai tường mà tại đó phần mặt cắt được nối trực tiếp. |
| |
| a) Nhỏ hơn 60% b) 60% và lớn hơn | 1,7 1,5 | ||
| 15 | - Theo hàng thứ nhất của bu lông cường độ cao có một mặt ma sát liên kết các cấu kiện một tường (Hình G-1i) | 2.2 | |
| 16 | - Theo hàng ngoài cùng của bu lông cường độ cao trong các liên kết bằng bu lông cường độ cao nối dầm dọc với bản cá (Hình G-1c) | 1,7 | |
| 17 | - Tại vị trí chuyển tiếp tại các chỗ tăng cường không có bản chuyển tiếp đến mối hàn không được gia công | 2,1 | |
| 18 | - Như trên, từ chỗ tăng cường có đủ các bản chuyển tiếp | 1,4 | |
| 19 | - Tại vùng chuyển tiếp đến đường hàn được gia công tại đó bằng việc mài góc hoặc cắt đặc biệt để giảm ứng suất tập trung khi nối các bản |
| |
| a) Bề rộng và bề dày như nhau b) Bề rộng khác nhau c) Bề dày khác nhau | 1,0 1,2 1,3 | ||
| 20 | - Tại vị trí chuyển tiếp đến mối hàn ngang a) Không gia công cơ khí tại vị trí chuyển từ mối hàn đến thép cơ bản b) Khi có gia công cơ khí |
2,7 1,5 | |
| 21 | - Tại vị trí chuyển tiếp từ cấu kiện đến cuối đường hàn sườn chịu cắt do lực dọc trục trong liên kết (không phụ thuộc vào sự gia công đường hàn) | 3,4 | |
| 22 | - Ở gần hệ giằng ngang và sườn được gắn kết bằng đường hàn góc vào biên chịu kéo của dầm và cấu kiện dàn: |
| |
| a) Khi hàn tay mà không gia công đường hàn | 1,6 | ||
| b) Khi hàn bán tự động, không gia công đường hàn | 1,3 | ||
| c) Như trên, có gia công cơ khí | 1,0 | ||
| 23 | - Tại vị trí cắt đứt một bản mạ (trong tập bản thép có hai hoặc nhiều bản) của dầm hàn trong trường hợp: |
| |
| a) Có giảm bề dày của bản (khi thay đổi bề rộng bản) tới vị trí cắt với góc 1:8 nhưng không gia công cơ khí đường hàn ngang | 2,3 | ||
| b) Như trên, khi giảm một cách đồng thời tới vị trí cắt cả bề dày (với góc 1:8) cũng như bề rộng (với góc 1:4) của bản nhưng không gia công cơ khí đường hàn ngang | 1,7 | ||
| c) Như trên, nhưng với đường hàn xiên và bảo đảm sự chuyển tiếp êm thuận tại vị trí cắt đứt bản thép bằng cách gia công cơ khí cuối đường hàn xiên | 1,3 | ||
| 24 | - Tại vị trí cắt các bàn tăng cường mà các bản này được liên kết với mạ chịu kéo trên các đường viền không gia công cơ khí các đường hàn | 3,5 | |
| 25 | - Tại các vị trí cắt các bản đệm (bản nối) được nối với thanh mạ chịu kéo, không gia công cơ khí các hàn | 3,2 | |
| 26 | - Trong các liên kết bu lông -đinh tán được cấu tạo bằng cách thay thế những hàng đinh đầu tiên bằng bu lông cường độ cao (liên kết đinh tán được tăng cường theo mỏi) |
| |
| a) Theo hàng bu lông có hai mặt ma sát đầu tiên liên kết bản nút với các cấu kiện có hai nhánh, được liên kết vào nút bằng các bản trong các kết cấu nhịp được thiết kế 1884 và 1896 | 2,9 | ||
| b) Theo hàng bu lông có hai mặt ma sát đầu tiên liên kết bản nút với các cấu kiện của dàn trong các kết cấu nhịp được thiết kế trước 1954 | 2,8 | ||
| c) Theo hàng ngoài cùng của bu lông cường độ cao trong liên kết bu lông đinh tán của dầm dọc với bản cá trong kết cấu nhịp thiết kế trước 1954 | 1,8 | ||
| d) Như trên, trong các kết cấu nhịp được thiết kế sau 1954 | 1,7 | ||
| e) Theo hàng ngoài cùng của bu lông cường độ cao trong liên kết bu lông đinh tán của dầm ngang có bản các trong kết cấu nhịp thiết kế trước năm 1954 | 1,3 | ||
| f) Như trên, trong kết cấu nhịp thiết kế sau 1954 | 1,1 | ||

Hình G-1. Mặt cắt tính toán A-A của cấu kiện cần kiểm tra mỏi
a - Lỗ tự do; b - Lỗ có bu lông chịu lực thẳng gốc; c - Theo bảng ngoài của đinh tán trong liên kết dầm dọc có bản cá; d - Tại tiếp điểm, khi không có mối nối trong vùng liên kết; e - Thanh song thành tại vùng mối nối mà mỗi nhánh có hai mặt ma sát; f - Thanh song thành tại vùng mối nối mà mỗi nhánh có một mặt ma sát; g - Đơn thành, mối nối có một mặt ma sát.
Chú ý:
1. Khả năng chịu tải theo mỏi của các cấu kiện có khuyết tật gì cần được xác định theo tiết diện với hệ số tập trung ứng suất có hiệu lớn nhất. Ví dụ, đối với các cấu kiện liên kết vào bản nút bằng các đinh tán chịu cắt hai mặt và có vết gỉ sâu 0,71 -1,20 mm, hệ số tập trung ứng suất có hiệu bd cần được lấy theo mặt cắt nêu trong điều 3.c, còn đối với cấu kiện tương tự có vết gỉ sâu 0,51 -0,70 - theo mặt cắt đã nêu trong điều G-1
2. Hệ số tập trung ứng suất có hiệu đối với mặt cắt thép cơ bản (đối với thép các bon, thép bản và thép rèn) trong các liên kết đinh tán có thể xác định tùy thuộc vào giá trị của hệ số tập trung ứng suất lý thuyết as theo Bảng F-2
Đối với liên kết chịu kéo là chính (khi kiểm tra theo kéo), trong mặt cắt, theo hàng đinh tán đầu tiên.
= ( + (1+ 
Bảng G-2. Hệ số b
| as | 1,4 | 1,6 | 1,8 | 2,0 | 2,2 | 2,1 | 2,6 | 2,8 | 3,0 | 3,2 | 3,4 | 3,6 | 3,8 |
| b | 1,16 | 1,24 | 1,34 | 1,44 | 1,55 | 1,67 | 1,79 | 1,93 | 2,07 | 2,22 | 2,38 | 2,55 | 2,72 |
| as | 4,0 | 4,2 | 4,4 | 4,6 | 4,8 | 5,0 | 5,2 | 5,4 | 5,6 | 5,8 | 6,0 | 6,2 |
| b | 2,91 | 3,11 | 3,31 | 3,52 | 3,73 | 3,94 | 4,15 | 4,35 | 4,55 | 4,68 | 4,60 | 4,92 |
Trường hợp chịu nén là chính (khi kiểm tra theo nén) và đối với mặt cắt có liên kết đinh tán
as=a”s m3
Trong đó:
m’1 - Hệ số, xét đến độ lệch tâm của nội lực so với mếp lỗ (theo chiều dày cấu kiện); đối với liên kết chịu cắt một mặt m’1 = 1,8, đối với cắt hai mặt m’1 =1,2;
s’0 - Ứng suất pháp tiếp tuyến, MPa (kG/cm2). Ở vùng ngoài lỗ đinh tán trên tấm bản dày 1 cm, khi đặt các tải trọng đúng tâm bằng 10 kN (1T) vào đường viền của lỗ thì s’q lấy theo Bảng G-3;
a”s - Hệ số tập trung ứng suất đối với lỗ hình tròn, không phụ thuộc tải trọng tác dụng lên đường viền của lỗ, lấy theo Bảng G-4;
k1 - Hệ số, xét đến một phần tải trọng truyền lên hàng đinh đầu tiên. Lấy theo Bảng G-5;
dn - Bề dày quy đổi của tập bản, lấy như sau: trong liên kết chịu cắt một mặt- tổng bề dày bản và bản đệm, còn trong liên kết chịu cắt hai mặt - tổng bề dày của bản đệm và một nửa bề dày bản nối;
FHT - Diện tích mặt cắt ngang nguyên của cấu kiện liên kết hoặc bộ phận đang xét của cấu kiện, cm2;
n3 - Tổng số đinh tán liên kết cấu kiện hoặc bộ phận đang xét của chúng;
n1 - Số lượng đinh tán ở hàng đầu tiên của toàn bộ liên kết của cấu kiện hoặc bộ phận đang xét chúng;
m3 - Hệ số, xét đến sự xuất hiện của lực ma sát trên bề mặt tiếp xúc, lấy bằng 0,8 đối với các liên kết mới không bị rối loạn và bằng 1 đối với liên kết cũ có dấu hiệu rối loạn;
d - Bề dày cấu kiện tại bộ phận liên kết của chúng; cm;
m4 - Hệ số, tính đến các phần phủ trực tiếp của bộ phận mặt cắt, tùy theo phần phủ trực tiếp; nhỏ hơn 40% - m4 = 140- 60% - m4 =0,95; 60 -80% - m4=0,85; lớn hơn 80% - m4=0,8.
Bảng G-3. Ứng suất pháp tiếp tuyến
| b2/d3 | 2,0 | 2,2 | 2,4 | 2,6 | 2,8 | 3,0 | 3,2 | 3,4 | 3,6 | 3,8 | 4,0 | 4,2 | 4,4 |
| a”sMPa (kG/cm2) | 115 (1150) | 99 (990) | 87,5 (875) | 79,5 (795) | 73,0 (730) | 67,5 (675) | 63 (630) | 59 (590) | 56 (560) | 53 (530) | 50,5 (505) | 48 (480) | 46 (460) |
| b2/ d3 | 4,6 | 4,8 | 5,0 | 5,2 | 5,4 | 5,6 | 5,8 | 6,0 | 6,2 | 6,4 | 6,6 | 6,8 | 7,0 |
| a”sMPa (kG/cm2) | 44 (440) | 42,5 (425) | 41 (410) | 39,5 (395) | 38 (380) | 36,5 (365) | 35,2 (352) | 34,2 (342) | 33 (330) | 32 (320) | 31 (310) | 30,5 (305) | 30 (300) |
Chú ý:
b2 - Bề rộng của cấu kiện liên kết lấy theo bề mặt tiếp xúc trong một mặt phẳng (trong tổ hợp cấu kiện tán - đối với bộ phận mặt cắt đang xét);
d3 - đường kính đinh tán
Bảng G-4. Hệ số a”s
| b2/d3 | 2,0 | 2,2 | 2,4 | 2,6 | 2,8 | 3,0 | 3,2 | 3,4 | 3,6 | 3,8 | 4,0 | 4,2 | 4,4 |
| a”s | 2,16 | 2,18 | 2,22 | 2,23 | 2,26 | 2,31 | 2,34 | 2,36 | 2,38 | 2,40 | 2,42 | 2,44 | 2,46 |
| b2/ d3 | 4,6 | 4,8 | 5,0 | 5,2 | 5,4 | 5,6 | 5,8 | 6,0 | 6,2 | 6,4 | 6,6 | 6,8 | 7,0 |
| a”s | 2,48 | 2,50 | 2,52 | 2,54 | 2,55 | 2,56 | 2,57 | 2,58 | 2,59 | 2,60 | 2,61 | 2,62 | 2,63 |
Bảng G-5. Hệ số k1
| Bề dày tập bản dn, mm | Với số lượng hàng ngang của đinh tán | |||||||||
| 3 | 4 | 5 | 6 | 7 | 8 | 9 | 10 | 11 | 12 | |
|
| Với bước đinh 90 mm | |||||||||
| 20 | 1,06 | 1,12 | 1,16 | 1,23 | 1,28 | 1,34 | 1,40 | 1,46 | 1,51 | 1,57 |
| 32 | 1,07 | 1,14 | 1,19 | 1,27 | 1,34 | 1,41 | 1,46 | 1,54 | 1,61 | 1,68 |
| 56 | 1,08 | 1,16 | 1,24 | 1,33 | 1,41 | 1,51 | 1,58 | 1,66 | 1,74 | 1,84 |
| 72 | 1,09 | 1,18 | 1,27 | 1,36 | 1,45 | 1,55 | 1,63 | 1,72 | 1,81 | 1,90 |
|
| Với bước đinh 180 mm | |||||||||
| 20 | 1,10 | 1,20 | 1,29 | 1,39 | 1,49 | 1,60 | 1,68 | 1,78 | 1,88 | 1,97 |
| 32 | 1,13 | 1,25 | 1,35 | 1,47 | 1,59 | 1,71 | 1,80 | 1,92 | 2,04 | 2,14 |
| 56 | 1,16 | 1,30 | 1,42 | 1,57 | 1,70 | 1,86 | 1,98 | 2,12 | 2,26 | 2,36 |
| 72 | 1,17 | 1,32 | 1,45 | 1,60 | 1,75 | 1,91 | 2,04 | 2,18 | 2,34 | 2,43 |
PHỤ LỤC H
(Quy định)
Những số liệu để kiểm tra ổn định cục bộ sườn dầm
Trong công thức (4-28) & (4-29) ký hiệu ω1 là hệ số đặc trưng trạng thái ứng suất sườn dầm, xác định theo Bảng H-1 phụ thuộc vào hệ số ay:
(H-1)
Trong đó:
yB - Khoảng cách từ trục trọng tâm của dầm đến thớ trên, cm;
yH - Khoảng cách từ trục trọng tâm của dầm đến thớ dưới, cm;
Ứng suất nén tới hạn pháp tuyến s0 được xác định theo Hình H-1 phụ thuộc vào ứng suất nén tới hạn pháp tuyến s’0 tính trong phạm vi giới hạn đàn hồi, MPa (T/cm2)

Hình H-1. Ứng suất tới hạn ở sườn dầm
1-Thép mác 10XCHD-40; 2-Thép mác Hl2 và 15XCHD;
3-Thép rèn và thép đúc mác CT3 và CT3 cầu, M16C
(H-2)
Trong đó:
Xy1 - Hệ số ngầm của sườn dầm, đối với dầm tán đinh chịu uốn lấy bằng 1,4, còn đối với dầm I hàn lấy theo Bảng H-2, phụ thuộc vào hệ số gy:
(H-3)
Trong đó:
Cy - Hệ số, đặc trưng điều kiện làm việc của biên chịu nén của dầm, cm;
h - Chiều cao tính toán của sườn, cm, lấy bằng chiều cao toàn bộ của sườn dầm đối với dầm hàn, lấy bằng khoảng cách giữa các đường tim hàng đinh liên kết sắt góc sườn dầm, cm.
Bảng H-1. Hệ số w1
| ay | 4 | 3 | 2 | 1,5 | 1,0 | 0,5 | 0 |
| w1 | 1,40 | 1,30 | 1,20 | 1,15 | 1,10 | 1,05 | 1 |
Bảng H-2. Hệ số Xy1
| gy | 0,25 và < | 0,5 | 1 | 2 | 5 | 10 và > |
| Xy1 | 1,21 | 1,33 | 1,46 | 1,55 | 1,60 | 1,65 |
Bảng H-3. Hệ số Cy
| Điều kiện làm việc của mạ chịu nén của dầm | Cy |
| Các thanh tà vẹt được kê trên biên chịu nén | 0,3 |
| - Bản bê tông kê tự do | 0,5 |
| - Mạ chịu nén đạt tự do | 0,8 |
| - Trong kết cấu nhịp bê tông -thép liên hợp, khi liên kết bản BTCT với mạ chịu nén bằng neo liên kết và bu long cường độ cao | 1,5 |
| - Trong kết cấu nhịp bê tông -thép liên hợp, khi liên kết bản BTCT với mạ chịu nén bằng đổ bê tông liền khối mối nối trên suốt chiều dài nhịp | 20 |
Các kích thước hình học của dầm I được nêu ở Hình H-2. Hệ số mn trong công thức (H-2) được lấy theo Bảng H-4 tùy thuộc vào giá trị a/h và ay (a- chiều dài sườn dầm, bằng khoảng cách giữa trục của các sườn ngang (sắt góc tăng cường) (xem H-6).
Bảng H-4. Hệ số my
| ay | my khi a/h bằng | ||||||||
| 0,4 | 0,5 | 0,6 | 0,667 | 0,75 | 0,80 | 0,90 | 1,0 | 1,5 | |
| 4 | Trị số tối thiểu my = 95,7 | ||||||||
| 3 | 54,3 | 54,5 | 58,0 | Trị số tối thiểu my = 53,8 | |||||
| 2 | 29,1 | 25,6 | 24,1 | 23,9 | 24,1 | 24,4 | 25,6 | 25,6 | 24,1 |
| 4/3 | 18,7 | 14,2 | 12,9 | 12,0 | 11,0 | 11,2 | 11,1 | 11,0 | 11,5 |
| 1 | 15,1 | 11,0 | 9,7 | 9,0 | 8,4 | 8,1 | 7,9 | 7,8 | 8,4 |
| 4/5 | 13,3 | 9,6 | 8,3 | 7,7 | 7,1 | 6,9 | 6,7 | 6,6 | 7,1 |
| 2/3 | 10,8 | 8,0 | 7,1 | 6,6 | 6,1 | 6,0 | 5,9 | 5,8 | 6,1 |
| 0 | 8,41 | 6,25 | 5,14 | 4,75 | 4,36 | 4,20 | 4,04 | 4,0 | 4,34 |
Chú ý: Giá trị ay =0 là nén đều; ay =2 là uốn của tiết diện đối xứng và ay >2 là kéo lệch tâm và uốn tiết diện đối xứng với biên chịu nén nhỏ hơn

Hình H-2. Các ký hiệu quy ước đối với dầm I
Ứng suất nén pháp tuyến cục bộ được xác định theo hình H-1 phụ thuộc vào ứng suất nén pháp tuyến cục bộ p’o được tính theo giả thiết đàn hồi vô hạn, MPa (T/cm2)
p’o=0,19Xy2Z(
)2 (H-4)
Trong đó:
Xy2, z - Các hệ số, xác định theo Bảng H-5.
Hệ số gy nêu trong Bảng H-5 được xác định theo công thức (H-3) - đối với các dầm được liên kết liên tục với bảng bê tông cốt thép, cũng như đối với các dầm tán đinh (khi bề dày khu vực góc biên dầm không nhỏ hơn bề dày sườn), giá trị Xy2 lấy đối với trường hợp yy=¥.
Khi xác định Xy2 trong trường hợp, nếu tỷ số a/h >2 thì lấy a/h =2
Ứng suất tiếp tới hạn to được xác định tùy thuộc vào ứng suất tới hạn st MPa (T/ cm2)
to=0,6st (H-5)
Ứng suất tiếp tới hạn st được xác định theo hình P8.1 phụ thuộc vào ứng suất tới hạn s’t, MPa (T/ cm2).
s’t=0,6t’o (H-7)
Ứng suất tiếp tuyến tới hạn t’o được tính trong miền đàn hồi MPa (T/ cm2)
Bảng H-5. Các hệ số Xy2 và z
| a/h | Xy2 với gy bằng | Z | |||
| 0,5 | 1,0 | 4,0 | ¥ | ||
| 2 và lớn hơn | 1,32 | 1,56 | 2,12 | 2,96 | 11,21 |
| 1,5 | 1,32 | 1,52 | 1,97 | 2,51 | 8,16 |
| 1,0 | 1,32 | 1,47 | 1,73 | 1,88 | 6,26 |
| 0,8 | 1,30 | 1,41 | 1,57 | 1,65 | 5,80 |
| 0,6 | 1,29 | 1,36 | 1,45 | 1,49 | 5,37 |
| 0,4 | 1,24 | 1,28 | 1,32 | 1,34 | 4,88 |
Trong đó:
Xy3 - Hệ số liên kết đàn hồi theo chiều dọc của tường, xác định theo Bảng H-6 phụ thuộc vào hệ số gy và tỷ số các cạnh a/h > 2/3. Hệ số Xy3 chỉ được tính toán đối với dầm hàn khi a/h > 2/3. Hệ số gy được xác định theo công thức (H-3). Đối với dầm hàn liên kết liền với bảng bê tông cốt thép, giá trị hệ số Xy3 được lấy đối với trường hợp gy = ¥
m0T - Tỷ số cạnh lớn hơn với cạnh nhỏ hơn của khoang:
b1 - Cạnh nhỏ lớn hơn với cạnh nhỏ hơn của khoang (a hoặc h) cm.
Khi các giá trị s’0, p’0 và s’t vượt quá ứng suất lớn nhất nêu trong Hình H-1, cho phép tăng các giá trị s’0, p’0 và s’t, và lên cho bằng các giá trị tương ứng MPa (T/ cm2).
Đối với thép rèn, bản cũng như đối với thép mác CT3, MT3, M16C, 16, BCT3 và các loại thép than khác có cấp độ bền tương tự:
Ds0=0,031(s’0-4,0)
Dp’0=0,031(p’0-4,0)
Ds’t=0,031(s’t-4,0)
Đối với thép HL2 và 15XCH:
Ds0=0,036(s’0-5,5)
Dp’0=0,036(p’0-5,5)
Dst=0,036(s’t-5,5)
=0,036(-5,5) =0,036(-5,5)=0,036(-5,5) Đối với thép 10XCH và 15XCH -40:
Ds0=0,037(s’0-6,0)
Dp’0=0,037(p’0=6,0)
Ds’t=0,037(s’t-6,0) =0,037(-6,0) =0,037(-6,0)=0,037(-6,0)
Bảng H-6. Hệ số Xy3
| V’ | Xy3 với a/h bằng | ||||
| 0,5 | 2/3 | 1 | 1 | ¥ | |
| 0,5 | 1,00 | 1,08 | 1,21 | 1,26 | 1,30 |
| 1,0 | 1,00 | 1,08 | 1,25 | 1,35 | 1,42 |
| 2,0 | 1,00 | 1,08 | 1,28 | 1,43 | 1,52 |
| 5,0 | 1,00 | 1,09 | 1,29 | 1,50 | 1,60 |
| ¥ | 1,00 | 1,09 | 1,30 | 1,55 | 1,68 |
Đối với các dầm tán ghép cho ghép s0=s’0, p0=p’0, to=t’o
PHỤ LỤC I
(Quy định)
Hệ số mH trong tính toán liên kết dầm dọc
Hệ số mII được xác định theo đồ thị (hình I-1), phụ thuộc vào các thông số B, và D, được xác định theo công thức:
(I-1)
Trong đó:
lc - Chiều dài thanh treo hoặc thanh đứng chịu tải trọng cục bộ (cm)
Id - Mô men quán tính của mặt cắt ngang nguyên của dầm dọc khi chịu uốn trong mặt phẳng thẳng đứng (cm4)
Fn - Diện tích nguyên của mặt cắt thanh treo (đứng) (cm2)
d - Chiều dài khoang của phần xe chạy (cm)
Chiều dài thanh treo (thanh đứng) được lấy bằng khoảng cách giữa trung tâm liên kết. Trong các dàn mạ cong, đưa vào tính toán trị số lc lớn nhất. Trong các dàn có hệ thanh mạ phụ (spren-gen), chiều dài lc được xác định đối với các thanh treo chính là cấu kiện của spren- gen. Trong các dàn có thanh xiên bắt chéo mà thanh xiên đi qua điểm giao của thanh chéo, chiều dài quy ước của thanh treo được giảm 2 lần.

Hình I-1. Đồ thị xác định mII để tính liên kết dầm dọc
Nếu dàn chủ không có các cấu kiện làm việc cục bộ thì lấy Bz =0
Thông số Dz được xác định theo công thức
(I-2)
Trong đó:
yo - đặc trưng độ mềm góc của liên kết dầm dọc
E - mô duyn đàn hồi của thép, MPa (T/cm2).
Giá trị của yo lấy trong bảng phụ thuộc vào cấu tạo liên kết và chiều cao tiết diện gối của dầm dọc.
Chiều cao tiết diện gối của dầm dọc được xác định không tính đến “bản cá”, còn khi có “guốc đỡ”, không tính đến chiều cao guốc đỡ. Đối với các liên kết dầm dọc làm bằng thép rèn, giá trị yo được lấy với hệ số k3 =0,8. Khi có các bản cá trên và được liên kết bằng bu lông cường độ cao, giá trị trong bảng yo được nhân với hệ số k3 =0,7.
Bảng I-1. Trị số yo đối với liên kết đinh tán
| Chiều cao tiết diện gối của dầm (cm) | yo | ||
| Không có bản cá | Có 1 bản cá | Có 2 bản cá | |
| 50 | 19,25 | 6,41 | 4,20 |
| 60 | 16,00 | 5,33 | 3,60 |
| 70 | 13,71 | 4,56 | 2,63 |
| 80 | 12,00 | 4,00 | 2,01 |
| 90 | 10,70 | 3,56 | 1,59 |
| 100 | 9,60 | 3,20 | 1,29 |
| 110 | 8,72 | 2,90 | 1,06 |
| 120 | 8,00 | 2,66 | 0,89 |
Chú ý: đối với chiều cao dầm dọc ở khoang giữa, trị số yo được xác định theo nội suy
PHỤ LỤC J
(Quy định)
QUY TẮC XẾP TẢI LÊN ĐƯỜNG ẢNH HƯỞNG
Tải trọng chuẩn kH từ sơ đồ tính toán của đoàn tàu T1 đối với các đường ảnh hưởng lực dọc, phản lực gối, mô men uốn và lực cắt trong các mặt cắt của dầm chính và dầm hệ mặt cầu được xác định theo bảng ở phụ lục A, phù hợp với chiều dài xếp tải A và vị trí tung độ đỉnh a.
Đường ảnh hưởng nội lực trong các cấu kiện của các dàn khác không đưa ra trong phụ lục này cần được xây dựng trong các trường hợp riêng biệt khi phân cấp các dàn đó. Tải trọng chuẩn kH (phụ lục A) được xếp lên đường ảnh hưởng theo các quy tắc sau:
1. Các đường ảnh hưởng có 1 dấu và từng phần chất tải riêng biệt của đường ảnh hưởng có nhiều dấu dạng tam giác được chất tải trọng tương ứng kH, tương ứng với chiều dài và vị trí tung độ điểm của chúng.
2. Đường ảnh hưởng 1 dấu và các phần chất tải riêng biệt của đường ảnh hưởng nhiều dấu dạng đường cong lõm có đỉnh rõ ràng được chất tải trọng tương đương, tương ứng với chiều dài và vị trí tung độ điểm của chúng. Tải trọng tương đương được nêu trong bảng của phụ lục A, được tăng % của 1 hệ số E°(y°-1) bằng:

Trong đó:
l - Chiều dài xếp tải đường ảnh hưởng (m)
y° - Hệ số sai lệch bằng tỉ số diện tích đường ảnh hưởng dạng tam giác có cùng chiều dài và tung độ đỉnh của đường ảnh hưởng đang xét và diện tích thực tế
3. Đường ảnh hưởng 1 dấu và từng phần chất tải riêng biệt của đường ảnh hưởng nhiều dấu dạng tứ giác lồi được chất tải trọng tương đương kH, tương ứng với chiều dài của chúng và vị trí của một đỉnh bất kì của tam giác cơ bản, một tung độ bất kỳ lớn nhất.
4. Đường ảnh hưởng 1 dấu và từng phần chất tải riêng biệt của đường ảnh hưởng nhiều dấu dạng tứ giác có các góc nghiêng về 1 phía, chất tải 2 lần; lần đầu chất lên đường ảnh hưởng tải trọng tương đương kH, tương đương với chiều dài đường ảnh hưởng và một tung độ điểm bất kì của một tam giác cơ bản có giá trị lớn nhất để từ đó có thể xác định được giá trị lớn của tải trọng tương đương. Lần thứ 2 từ đầu đường ảnh hưởng đến chỗ đổi góc có tung độ đỉnh lớn nhất được chất tải trọng tương đương kH phù hợp với chiều dài và vị trí tung độ đỉnh của phần này. Phần đường ảnh hưởng còn lại chất tải trọng bằng kH, kN/m đường (T/m đường) trong đó kH - cấp tải trọng
Sử dụng trị số lớn hơn trong hai kết quả để tính toán.
5. Đường ảnh hưởng 1 dấu và từng phần chất tải riêng biệt của đường ảnh hưởng nhiều dấu dạng răng cưa được chất tải trọng tương đương kH tương ứng với chiều dài và vị trí tung độ đỉnh lớn nhất
6. Đường ảnh hưởng 1 dấu bao gồm 2 hoặc nhiều phần đặt trực tiếp cạnh nhau được chất tải 2: lần đầu đặt tải trọng tương đương kH tương ứng với chiều dài toàn bộ và vị trí tung độ đỉnh lớn nhất. Lần sau, một trong những phần không tùy thuộc vị trí của nó giữa các phần còn lại, được chất tải trọng phù hợp với các chỉ dẫn nêu từ điều 1 đến điều 5, các phần còn lại được chất tải trọng tương đương bằng cấp tải trọng kH, kN/m đường (T/m đường). Lấy giá trị lớn hơn trong các kết quả nhận được để tính toán.
7. Đường ảnh hưởng nhiều dấu (khi toàn bộ chiều dài lớn hơn 50m) được chia thành một hoặc nhiều phần có dấu khác nhau, được chất tải hai lần:
- Lần đầu xếp lên đường ảnh hưởng tải trọng tương đương kH tương ứng với chiều dài toàn bộ của tất cả các phần chất tải và vị trí tung độ đỉnh lớn nhất của loại dấu đang xét
- Lần thứ hai xếp lên một trong các phần đường ảnh hưởng theo chỉ dẫn nêu từ điều 1 đến điều 5. Các phần có cùng dấu còn lại được chất tải trọng bằng cấp tải trọng kH, kN/m đường (T/m đường).
Chú ý:
1. Các phần đường ảnh hưởng khác dấu khi chất tải sẽ được xếp tải bằng 10kN/m (1,0T/m) (không phụ thuộc vào cấp tải trọng tính toán), nếu chiều dài của phần đó lớn hơn 15m, còn nếu chiều dài phần đó nhỏ hơn 15m thì không chất tải
2. Chỉ xét đến sự hiệu chỉnh E°(y°-1) đối với các đường ảnh hưởng nêu ở điều 6
Khả năng chịu tải của các cấu kiện có đường ảnh hưởng nhiều dấu được chia thành một hoặc nhiều phần có dấu khác nhau, cho phép xác định không xét đến hoạt tải cho phép, cấp của các cấu kiện này được tìm bằng cách xếp tải đường ảnh hưởng bởi hoạt tải thẳng đứng phù hợp với các chỉ dẫn ở các điều trước.
PHỤ LỤC K
(Quy định)
Các thông số tính toán lực hãm các thanh mạ chịu lực của kết cấu nhịp

Hình K-1. Sơ đồ cấu tạo hệ mặt cầu và biểu đồ nội lực do lực hãm STi trong cấu kiện thanh mạ chịu lực của dàn chủ kết cấu nhịp
Trong đó:
a - Không cắt rời dầm dọc và liên kết hãm.
b - Không cắt rời dầm dọc và đặt liên kết hãm ở mỗi khoang (hoặc liên kết dọc của dàn chủ được liên kết với bản cánh của dầm dọc).
c - Khi cắt dầm dọc và hệ liên kết hãm ở từng khoang (hoặc hệ liên kết dọc dàn chủ được liên kết với bản cánh của dầm dọc).
d - Khi có một vết cắt dầm dọc và liên kết hãm ở hai khoang.
e - Khi có hai vết cắt dầm dọc và liên kết hãm ở 3 khoang.
I, II, lll và IV - Các đoạn của hệ mặt cầu.
Các thông số a1 và b1 được xác định phụ thuộc vào cấu tạo phần xe chạy.
Trên hình vẽ giới thiệu phần xe chạy của kết cấu nhịp và biểu đồ nội lực do tải trọng hãm STi. Giá trị thông số ai (sơ đồ a, b và c) được xác định bởi vị trí cục bộ của cấu kiện thanh mạ đối với trục gối ổn định; ai đối với các sơ đồ này được lấy bằng khoảng cách từ trục gối cố định đến nút thứ i là nút gần nhất của cấu kiện thanh mạ đang xét (i=0,1,2...n)(m).Giá trị của thông số bj (sơ đồ d, e) được xác định bởi vị trí cục bộ của liên kết hãm (bằng số lượng đoạn j) và các điểm cắt rời trên dầm dọc. Đối với sơ đồ d bj (j=1,2 và 3) lấy bằng nhau (m). Trên đoạn I (giữa nút I = 0 -4) bjj = b1 =0;
Trên đoạn II (giữa nút i=4-11) bj = b2 = khoảng cách giữa tim gối cố định (nút i=0) đến vị trí cắt rời dầm dọc.
Chú ý: Biểu đồ nội lực STi đối với sơ đồ b và c cũng giống như đối với sơ đồ a.
Trên đoạn III (giữa các nút i- 11-14); bj = b3 -nhịp tính toán của kết cấu nhịp.
Đối với các sơ đồ d, bj (j=1,2,3 và 4) lấy bằng nhau (m);
Trên đoạn l, (giữa các nút i=1-3) bj =b1 =0;
Trên đoạn II, (giữa các nút I -3-7) bj=b2 -Khoảng cách giữa tim gối cố định đến chỗ cắt gần nhất (đầu tiên) trên dầm dọc.
Trên đoạn lll (giữa các nút i=7-11) bj =b3 -Khoảng cách từ tim gối cố định đến chỗ cắt thứ hai trên dầm dọc.
Trên đoạn IV (giữa các nút i= 11-14) bj=b4 =1.
PHỤ LỤC L
(Quy định)
Hệ số giảm diện tích làm việc của tiết diện khi bị đâm thủng

Hình L-1. Hệ số giảm mặt cắt làm việc của tiết diện khi đâm thủng f
PHỤ LỤC M
(Quy định)
HỆ SỐ CHIỀU DÀI TỰ DO CỦA THANH ’0

1 - Mặt cắt ngang với cấu kiện phẳng
2 - Mặt cắt ngang với cấu kiện cứng
Hình M-1. Hệ số chiều dài tự do của thanh
PHỤ LỤC N
(Quy định)
HỆ SỐ CHIỀU DÀI TỰ DO THANH XIÊN TRONG DÀN CÓ NHIỀU THANH CHÉO VỚI CỘT CỨNG
|
| h - Chiều cao tính toán của dàn d - Khoảng cách giữa các thanh đứng cứng Chú ý: Nếu đồ thị x’0 < nc - số lượng mặt cắt ngang (của một thanh chéo ngược chiều) được lấy
|
| Hình N-1. Đồ thị |
PHỤ LỤC O
(Quy định)
Xác định hoạt tải cho phép theo momen lõi trong tính toán thanh mạ thượng
Khi hoạt tải cho phép kN/m theo cường độ của thớ trên tiết diện ngang được xác định theo công thức:

|
| Trong đó:
WHT - Mô men chống uốn của mặt cắt ngang giảm yếu đối với thớ trên WHT = Ix / yp (Hình O-1) (cm3) |
| Hình O-1. Mặt cắt ngang của cấu kiện |

Hình O-2. Đường ảnh hưởng mô men lõi đối với cấu kiện 5-6
lx - Mô men quán tính của mặt cắt ngang giảm yếu đối với trục x-x cm4, xem ở Hình O-1
Ví dụ xây dựng đường ảnh hưởng mô men lõi đối với cấu kiện 5-6 với cách tính toán các tung độ, xem ở Hình O.2
Chú ý:
Khi xây dựng đường ảnh hưởng mô men lõi đối với cấu kiện mạ trên đặt ở bên trái tâm mô men, ví dụ đối với cấu kiện 4-5, trong các biểu thức của tung độ đường ảnh hưởng cần phải thay đổi vị trí m0 và n.
PHỤ LỤC P
(Quy định)
Xác định khả năng chịu tải dàn chủ một làn xe, trên đường thẳng sau khi gia cố
1. Xác định khả năng chịu tải của các cấu kiện dàn chủ sau khi gia cố chúng được tiến hành theo các chỉ dẫn của phụ lục này có xét đến các yêu cầu đã được trình bày trong hướng dẫn (điều 7)
2. Hoạt tải cho phép đối với các cấu kiện sau khi gia cố được xác định có xét đến dấu của nội lực do tác động của tĩnh tải và hoạt tải thẳng đứng.
Khi có sự trùng dấu của nội lực do tác dụng của tĩnh tải và hoạt tải thẳng đứng (trong tính toán về cường độ, ổn định và mỏi), khả năng chịu lực của cấu kiện gia cố được xác định bằng trị số cường độ tính toán của thép cũ.
Đối với các cấu kiện được gia cố bằng thép các bon và có đường ảnh hưởng nội lực hai dấu (trong trường hợp khi diện tích các phần có dấu chung gần với giá trị tuyệt đối) khả năng chịu lực có thể xác định bằng trị số cường độ tính toán của thép mới (khi kiểm tra theo nén của các cấu kiện chịu kéo nén với kéo chính).Trong trường hợp này cần xác định bổ sung trị số hoạt tải cho phép có xét đến các dấu khác nhau của nội lực do tĩnh tải và hoạt tải thẳng đứng (nghĩa là khi chất hoạt tải thẳng đứng lên phần diện tích đường ảnh hưởng nhỏ hơn).
3. Khi xác định khả năng chịu tải của các cấu kiện đã gia cố tĩnh tải p được xác định có xét đến tổng trọng lượng của thép cơ bản và thép gia cố không phụ thuộc vào Phương pháp gia cố (có dỡ hoặc không dỡ trọng lượng bản thân)
Xác định khả năng chịu tải của dầm chính, dầm đặc và dầm mặt cầu đã được gia cố, được phép tiến hành theo các công thức đã nêu trong bản hướng dẫn (nghĩa là trong trường hợp làm việc của các thép bổ sung khi gia cố chịu tĩnh tải) nhưng tính với đặc trưng hình học mặt cắt sau khi gia cố theo Công thức (P-1) của phụ lục này.
4. Đặc trưng hình dọc của cấu kiện được gia cố (Gy) (cm2) không phụ thuộc vào phương pháp gia cố (có đỡ hoặc không dỡ trọng lượng bản thân) được xác định theo công thức:
G=Gy=G0+poFyH (P-1)
Trong đó:
Go - Diện tích tính toán của mặt cắt ngang cấu kiện, mối nối hoặc liên kết trước khi gia cố (cm2).
GH - Cũng như vậy của tiết diện thép mới, được bổ sung sau khi gia cố (cm2).
po - Hệ số hiệu quả gia cố, được lấy bằng 1 khi gia cố dùng liên kết bu lông cường độ cao hoặc hàn, khi gia cố được liên kết bằng đinh tán (bu lông cường độ cao) cần được nhân với hệ số:
(P-2)
Trong đó:
R - Cường độ tính toán cơ bản của thép cũ, (MPa)
sp - Ứng suất trong cấu kiện đang xét do tính tải (MPa)
5. Hoạt tải cho phép theo cường độ và ổn định của cấu kiện dàn chủ sau khi gia cố được xác định theo Công thức (P-2)-(P-11)phụ thuộc vào phương pháp gia cố, dấu của nội lực và tải trọng (Bảng P-1).
Các công thức để xác định hoạt tải cho phép kN/m (T/m) đối với các cấu kiện sau khi gia cố xem Bảng P-1
- Khi tính theo cường độ:
(P-2)
(P-3)
(P-4)
(P-5)
Bảng P-1. Xác định hoạt tải rải đều cho phép kn và ky
| Phương pháp tăng cường | Có dỡ tải trọng bản thân | Không dỡ tải trọng bản thân | ||||
| Dạng tải trọng | Tĩnh tải và hoạt tải thẳng đứng | Tổ hợp tải trọng thẳng đứng và tổ hợp tải trọng nằm ngang (gió và lực hãm) | Các tĩnh tải và hoạt tải thẳng đứng | Tổ hợp tải trọng thẳng đứng (tĩnh tải và hoạt tải) và tổ hợp tải trọng nằm ngang (gió và lực hãm) | ||
| Dấu nội lực (diện tích đường ảnh hưởng | Bất kỳ | Một dấu | Khác dấu | Một dấu | Khác dấu | |
| Số hiệu công thức xác định knky | (P-2) và (P-6) | (P-3) và (P-7) | (P-4) và (P-8) | (P-4) (P-8) và (P-9) | (P-5) và (P-10) | (P-5) (P-10) và (P-11) |
- Khi tính toán theo ổn định:
(P-6)
(P-7)
(P-8)
(P-9)
(P-10)
(P-11)
Trong các công thức (P-2)- (P-11) lấy các ký hiệu quy ước như sau:
Gy - Xác định theo công thức (P-1)
R - Cường độ tính toán cơ bản, trong các công thức (P-9),(P-11) tương ứng với thép mới và trong các công thức còn lại tương ứng với thép cũ của cấu kiện, MPa(T/cm2)
yyc - Hệ số tính toán khi tính các cấu kiện được gia cố mà không có dỡ trọng lượng bản thân.
(P-12)
6. Hoạt động cho phép khi tính theo mỏi kN/m (T/m) đối với các cấu kiện sau khi gia cố chúng được xác định theo chỉ dẫn của điều 4 theo các công thức:
Khi tính các cấu kiện được gia cố có dỡ trọng lượng bản thân:
(P-13)
Không tính các cấu kiện được gia cố không tính trọng lượng bản thân:
(P-14)
Trong đó: G và yyc được xác định tương ứng theo các công thức (1) và (12) với hệ số điều kiện làm việc m=1.
Các ký hiệu còn lại trong công thức (P-13) và (P-14) xem ở điều 7.
7. Các chân của khung cổng cầu sau khi gia cố được tính như những cấu kiện dàn chủ theo các công thức (P-2)-(P-11) và như các cấu kiện nhung. Trong trường hợp cuối cùng hoạt cho phép kn(y), kN/m (T/m) được xác định có xét đến các chỉ dẫn ở điều 4 theo các công thức”
Khi gia cố có dỡ trọng lượng bản thân, khi tính toán theo cường độ:
(P-15)
Cũng vậy, khi tính theo ổn định:
Khi l y > l x (P-16)
Khi l y ≤ l x (P-17)
Khi gia cố không dỡ trọng lượng bản thân, khi tính toán theo cường độ:
Khi l y ≤ l x (P-18)
Cũng vậy khi tính theo ổn định:
Khi l y > l x (P-19)
Khi l y ≤ l x (P-20)

Hình P-1.
Trong các công thức (15)- (20) Gy và gyc
được xác định phù hợp với các công thức
(P-1) và (P-12). Các ký hiệu còn lại xem điều 7.
q - Hệ số hiệu quả gia cố.

Trong đó:
l0 - Chiều dài cấu kiện gia cố (cm)
nn - Số lượng hàng đinh trong mối nối và liên kết theo chiều dài của cấu kiện được gia cố, lấy theo Bảng P-2.
q(bH) - Hệ số phụ thuộc vào số lượng hàng đinh trung bình trong một mối nối (liên kết)
bH - Hệ số liên kết thép mới:
bH =
(P-21)
- =/ Diện tích tính toán quy đổi của liên kết thép gia cố mới (cm²)
= n3 / u0 (P-22)
FH - Diện tích giảm yếu của thép gia cố mới (cm2).
n3 - Số lượng đinh tán dùng để liên kết thép mới.
1/u0 - Diện tích quy đổi của một đinh tán được xác định phù hợp với phụ lục E (cm2).
Dấu tổng thực hiện đối với tất cả các liên kết nối cấu kiện
Chú ý:
Khi tính toán các cấu kiện chịu nén theo ổn định, hệ số p0 lấy bằng đơn vị.

Hình P-2. Số lượng hàng đinh
PHỤ LỤC Q
(Quy định)
Các thông số tính toán tải trọng gió lên kết cấu nhịp
1. Giá trị của hệ số kn lấy thao bảng Q-1
Bảng Q-1. Hệ số kn
| Chiều cao từ mức trung bình hoặc chỗ mặt đất thấp nhất, m | Đến 5 | 10 | 20 | 30 | 40 | 50 | 60 |
| kn | 0,75 | 1,00 | 1,25 | 1,40 | 1,55 | 1,65 | 1,75 |
Chú ý: Độ cao được lấy tương ứng đến khoảng giữa của kết cấu nhịp, phần xe chạy cùng với lan can cầu và đến trọng tâm của áp lực lên đoàn tầu. Đối với các trị số ở khoảng giữa, kn xác định theo nội suy tuyến tính.
2. Hệ số khí động của cường độ trực diện Cw đối với kết cấu nhịp và đoàn tàu qua cầu lấy theo Bảng R-2
Bảng Q-2. Hệ số khí động Cw
| Cấu kiện được tính với tải trọng gió | Hệ số khí động |
| - Kết cấu nhịp dầm đặc một làn xe chạy lên. | 1.90 |
| - Như trên, đường xe chạy dưới | 2,25 |
| - Kết cấu nhịp dầm đặc một làn xe chạy lên, được đặt trên trụ chung cầu hai làn xe | 2,10 |
| - Dàn chủ của nhịp dàn rỗng, đường xe chạy dưới | 2,15 |
| - Như trên, với đường xe chạy trên với khoảng cách giữa các dàn từ 2-4m | 2,15-2,45* |
| - Phần mặt cầu- Dầm dọc và dải ngăn cách | 1,85 |
| - Đoàn tàu chạy trên kết cấu nhịp khi: + Chạy dưới + Chạy trên |
1,50 1,80 |
Chú ý: Các trị số ở giữa được lấy theo nội suy.
PHỤ LỤC R
(Quy định)
Xác định năng lực chịu tải kết cấu nhịp cầu đường sắt đơn trên đoạn tuyến cong
Hoạt tải cho phép (T/m) đối với các cấu kiện của kết cấu nhịp trên đoạn tuyến cong là:
(R-1)
Trong đó:
ki - Hoạt tải cho phép, được tính theo công thức đối với kết cấu nhịp nằm trên đoạn tuyến thẳng, hệ số ek được lấy theo chỉ dẫn sẽ nói dưới đây (T/m).
yc - Hệ số xét ảnh hưởng lực ly tâm. Hệ số yc được lấy bằng:
- Đối với dàn chủ (dầm chủ) và dầm ngang:
(R-2)
- Đối với dầm dọc:
(R-3)
Trong đó:
c0 - Hệ số, xác định trị số tải trọng do lực ly tâm tùy theo hoạt tải cho phép cần tìm, lấy không kể đến hệ số xung kích
(R-4)
V - Tốc độ tính toán của đoàn tầu (km/h), Nếu tốc độ hạn chế ≤ 25 km/h thì không xét ảnh hưởng của lực ly tâm.
r0 - Bán kính đoạn tuyến cong, m
huc - Đối với dàn chủ (dầm chủ) là khoảng cách thẳng đứng từ mặt phẳng nằm ngang của lực kết cấu nhịp lên gối cầu đến điểm đặt lực ly tâm, nằm ở chiều cao 2,2m so với đỉnh ray, m.
Đối với dầm dọc và dầm ngang của phần xe chạy thì huc là khoảng cách thẳng đứng từ giữa chiều cao dầm dọc đến điểm đặt lực ly tâm, m.
B,b - Khoảng cách giữa các tim dàn chủ (dầm chủ) hoặc giữa các tim dầm dọc, m.
(1 + m ) - Hệ số xung kích.
Khi xác định hoạt tải cho phép ki thì hệ số ek được lấy bằng:
- Đối với các cấu kiện dàn chủ (dầm chủ) cũng như đối với các dầm ngang:
(R-5)
- Đối với các dầm dọc:
(R-6)
Trong đó:
e1 - Độ lệch tâm của tim đường sắt so với tim dọc kết cấu nhịp, đo ở giữa nhịp, m
(R-7)
e2 + e3 - Các độ lệch của tim đường so với tim kết cấu nhịp, đo ở hai đầu kết cấu nhịp.
0,3zn - Khoảng cách từ đỉnh đường cong đến trọng tâm của nó (khoảng cách từ tâm đường cong đến trục kết cấu nhịp là độ lệch tâm của đường.
e - Độ lệch tâm của đường (m): e=e1 - 0,3zn. Khi 0,3zn ≥ e1 thì:
ek = 0,5

Hình R-1.
PHỤ LỤC S
(Quy định)
Đẳng cấp hoạt tải tác động trên dầm cầu bê tông cốt thép cũ
1. Hoạt tải thẳng đứng tiêu chuẩn của đoàn xe lửa
Tham khảo theo Phụ lục H Quy trình thiết kế xây dựng cầu cống theo trạng thái giới hạn.
Trong tính đẳng cấp lấy tải trọng T-1 làm chuẩn, về trị số theo bảng A-1 Phụ Lục A Tiêu chuẩn này.
2. Tính đẳng cấp hoạt tải dầm bê tông cốt thép cũ chỉ dựa vào kết quả tính toán theo điều kiện cường độ và điệu kiện mỏi được tính theo trạng thái giới hạn cực hạn của mỗi bộ phận kết cấu, rồi so sánh lấy trị số đẳng cấp nhỏ nhất làm khống chế. Đẳng cấp được tính theo công thức tổng quát là:
(S-1)
Trong đó:
k - Trị số lớn nhất của hoạt tải rải đều tương đương tính được.
k1 - Trị số hoạt tải rải đều tương đương tiêu chuẩn T-1
1 + m - hệ số xung kích. Khi tính mỏi hệ số xung kích thay bằng: (1 +
m)
3. Đối với dầm chủ
- Về cường độ theo Momen uốn:
(S-2)
Trong đó:
M - Momen uốn giới hạn (theo Điều 8.4.3)
nk - Hệ số vượt tải (theo Điều 8.4.3)
KM - Hệ số phân phối ngang của hoạt tải (theo điều 8.2.14)
WM - Diện tích đường ảnh hưởng momen uốn tại mặt cắt đang xét
Mp - Momen uốn tính toán do tĩnh tải, được tính như sau:
Mp = (np .pp + n’p. pb) WM (S-3)
Trong đó:
np và n’p - Các hệ số vượt tải của các phần tĩnh tải gồm balát, ray, tà vẹt và bản thân dầm bê tông cốt thép (theo Điều 3.2.6).
pp và pb - Tĩnh tải rải đều tiêu chuẩn của các phần nêu trên.
- Về cường độ theo lực cắt:
(S-4)
Trong đó:
Q - Lực cắt giới hạn (tính theo Điều 8.4.4)
KQ - Hệ số phân phối ngang của hoạt tải được dùng khi tính lực cắt (theo Điều 8.2.14)
Wk - Diện tích phần đường ảnh hưởng lực cắt được xếp hoạt tải (ở mặt cắt xét cách gối là a)
(S-5)
WQ - Diện tích tổng cộng của đường ảnh hưởng lực cắt
(S-6)
QP - Lực cắt tính toán do tĩnh tải
QP =(np.pp + n’p.pb)WQ (S-7)
- Về mỏi:
Hoạt tải rải đều cho phép đối với mặt cắt cách gối gần nhất khoảng cách a, theo điều kiện mỏi được tính như sau:
+ Đối với bê tông:
kmỏib
(S-8)
+ Đối với cốt thép:
kmỏia
(S-9)
Trong đó:
q - Lấy theo điều 8.5.6
Itr - Tính theo công thức (161) hoặc (165)
Mp = (pp + pb)WM (S-10)
au - Khoảng cách từ mép chịu kéo của mặt cầu cắt đến tim hàng cốt thép gần nhất.
4. Đối với bản máng balát:
- Về cường độ theo momen:
+ Mặt cắt của bản hẫng phía ngoài:
(S-11)
+ Mặt cắt ở giữa bản nối liền 2 dầm chủ:
(S-12)
Trong đó:
l0 - Chiều dài phân bổ áp lực hoạt tải theo hướng ngang cầu, giả thuyết truyền từ các đầu ta vẹt theo góc 450 so với phương thẳng đứng.
nM - Hệ số xét sự phân bổ áp lực không đều trên bản, được xác định qua thí nghiệm. Để thiên về an toàn lấy là 1,2.
nk - Hệ số vượt tải của hoạt tải (theo điều 8.2.16)
b - Chiều rộng tính toán của bản =1m
Các ký hiệu khác xem Hình vẽ ở Điều 8.4.5
- Về cường độ theo lực cắt:
+ Mặt cắt của bản hẫng cách mép sườn dầm khoảng cách z
(S-13)
+ Mặt cắt II:
(S-14)
Trong đó:
nQ - Hệ số xét sự phân bố không đều áp lực lên bản, lấy bằng 1,2
Các ký hiệu khác xem Hình vẽ ở Điều 8.4.5.
- Về mỏi:
+ Đối với bản hẫng phía ngoài
Theo bê tông:
kmỏib
(S-15)
Theo cốt thép:
kmỏia
(S-16)
+ Đối với bản giữa 2 dầm chủ
Theo bê tông:
kmỏib
(S-17)
Theo cốt thép:
kmỏib
(S-18)
Trong đó:
D - Chiều dài phân bố hoạt tải lên bản hẫng (hoạt tải truyền qua tà vẹt xuống đá ba lát theo góc 450).
lo - Chiều dài phân bố hoạt tải của mặt cắt tính theo hướng ngang cầu.
PHỤ LỤC T
(Quy định)
Đo độ nghiêng của mố trụ cầu trong quá trình khai thác
Để đo độ nghiêng của mố trụ có thể áp dụng một số phương pháp khác nhau: dùng quả dọi, hoặc máy đo độ nghiêng, hoặc máy cao đạc.
1. Phương pháp quả dọi
Đây là phương pháp đơn giản nhất và đủ độ chính xác, thuận tiện cho việc quan sát theo dõi thường xuyên. Đầu trên của dây dọi được liên kết vào một chi tiết công-xon kim loại chôn sẵn trên đinh trụ. Mũi nhọn của quả dọi được đặt gần sát một đĩa có các vách đường tròn đồng tâm với bán kính chênh nhau 1mm. Số dọc trên thang chia độ này làm tròn 0,5 mm. Góc nghiêng của trụ được tính theo công thức:
a = arctg
(T-1)
Trong đó:
a - Số vạch đo được (mm) theo mức độ xê dịch của mũi quả dọi trên đĩa chia vạch mm.
b - Chiều dài dây dọi (mm), đo từ điểm treo dây đến bề mặt đĩa chia vạch mm ở mũi quả dọi.
2. Phương pháp dùng máy đo độ nghiêng
Có thể dùng các loại máy đo độ nghiêng kiểu cơ khí, hoặc bộ cảm biến đo độ nghiêng kiểu điện cảm hay kiểu điện dung có nối với bộ cầu đo và bộ khuyếch đại điện tử.
Các máy đo độ nghiêng kiểu cơ khí mang tên Stoppan do nước Nga sản xuất thường có độ chia ngỏ nhất trên thang chia độ đến 1”. So với cách đo bằng quả dọi thì cách đo này không phụ thuộc gió, lắp đặt và tháo dỡ nhanh chóng hơn. Tuy nhiên đo bằng quả đợi có kết quả chính xác hơn nếu có biện pháp bảo vệ tránh các ảnh hưởng của gió.
3. Phương pháp dùng máy cao đạc
Để áp dụng phương pháp này phải chôn sẵn trên mố trụ nối các mốc cao đạc cố định bằng kim loại (tốt nhất là ở trên bệ kê gối). Mức độ thay đổi của hiệu số cao độ giữa các mắc là tỷ lệ thuận với độ nghiêng của mố trụ.
a = arctg
(T-2)
Trong đó:
I - Khoảng cách giữa các mốc cao đạc (m)
Dh - Hiệu số cao độ giữa các mốc cao đạc (m)
4. Phân tích kết quả đo độ nghiêng
Để phân tích các kết quả đo độ nghiêng của trụ cầu, cần lưu ý xét trong điều kiện mùa cạn, mùa lũ.
Phương pháp đơn giản nhất để xử lý số liệu đó là vẽ các đồ thị biến đổi độ nghiêng trụ theo thời gian. Để phát hiện được các biến đổi mà không liên quan đến các thay đổi theo mùa thì cần phải so sánh vị trí của trụ trong các năm khác nhau nhưng cùng tháng. Khi vẽ các đồ thị này chỉ cần đo 1 tháng 1 lần.
Nên dùng phương pháp xử lý thống kê toán học trong việc phát hiện các biến đổi theo mùa.
PHỤ LỤC U
(Tham khảo)
Đặc trưng của vật liệu thép
Bảng U-1. Đặc trưng của thép cũ do Pháp sản xuất
(Chỉ dùng cho trường hợp không có điều kiện lấy mẫu thép để thí nghiệm)
| Tên đặc trưng | Theo quy trình Pháp năm 1915 và năm 1927 | Theo thí nghiệm của Pháp đối với thép chế tạo từ năm 1930 |
| Giới hạn phá hủy do kéo (T/m2) | 42000 | 52000 |
| - Giới hạn chảy quy ước (T/m2) | 24000 | 36000 |
| - Độ dãn dài giới hạn khi kéo đứt % | 25% | 15%-35% |
| Cường độ tính toán cơ bản (T/m2) | 18000 | |
Bảng U-2. Đặc trưng của thép do Nga sản xuất
| Loại thép
Đặc trưng | Đơn vị đo | M16C (chịu hàn) | CT3 cầu (kết cấu tán đinh) | CT2 (làm đinh tán) | 40K (làm bulong cường độ cao) | 25l (làm gối cầu đúc) | 15 XCHD | 10 XCHD |
| - Giới hạn phá hủy do kéo | kG/cm2 (T/m2) | 3800 (38000) | 3800 (38000) | 3400 (34000) | 9614 (96140) | 4500 (45000) | 5000 (50000) | 5400 (54000) |
| - Giới hạn chảy quy ước | kG/cm2 (T/m2) | 2300 (23000) | 2400 (24000) | 2100 (21000) |
|
| 3500 (35000) | 3980 (39800) |
| - Độ giãn dài giới hạn kéo | % | 22-24 | 22-24 | 26 |
|
|
|
|
| - Mô đun đàn hồi | kG/cm2 | 2100.000 |
|
|
|
|
|
|
| - Cường độ tính toán cơ bản | kG/cm2 (T/m2) | 1900 (19000) | 1900 (19000) | 1900 (19000) | 7700 (77000) | 1700 (17000) | 2500 (25000) | 2700 (27000) |
Căn cứ vào kết quả thí nghiệm mẫu, trị số cường độ tính toán cơ bản được lấy bằng số nào nhỏ hơn trong hai trị số sau:
- 80% của giới hạn chảy
- 50% của giới hạn phá hủy
Trong khi áp dụng tiêu chuẩn này để kiểm định các cầu có kết cấu thép sử dụng thép hợp kim thấp và thép các bon không theo tiêu chuẩn của Nga, Pháp thì cần tham chiếu các đặc trưng vật liệu (thành phần, cơ tính... trong trường hợp không có điều kiện lấy mẫu thí nghiệm), theo các Tiêu chuẩn hiện hành sau:
- TCVN 3104:1979, Thép kết cấu hợp kim thấp - Mác thép và yêu cầu kỹ thuật;
- TCVN 5709-2009, Thép các bon cán nóng dùng cho xây dựng - yêu cầu kỹ thuật.
- Cốt thép trong bê tông cần tham chiếu tiêu chuẩn TCVN 1651-2008, Thép cốt bê tông.
PHỤ LỤC V
(Tham khảo)
Đánh giá cầu theo phương pháp sử dụng hệ số đánh giá
Trong phần này sẽ trình bày phương pháp đánh giá cầu theo hệ số đánh giá (theo chỉ dẫn của AASHTO LRFR 2011) - một cách tổng quát để đánh giá kết cấu cầu, có thể áp dụng cho các triết lý tính toán kết cấu theo quy trình khác nhau.
1. Các định nghĩa
- Hệ số đánh giá (RF) của bộ phận cầu (dầm chủ, thanh dàn, mố, trụ,...) là tỷ số giữa khả năng chịu hoạt tải của bộ phận ấy với hiệu ứng của tải trọng đánh giá.
- Hệ số đánh giá của cầu là hệ số đánh giá nhỏ nhất của các bộ phận cầu.
- Đẳng cấp của bộ phận cầu (k) là tỷ số giữa khả năng chịu hoạt tải của bộ phận ấy với hiệu ứng của tải trọng đơn vị (T-1).
- Đẳng cấp của hoạt tải đánh giá (k0) là tỷ số giữa hiệu ứng của hoạt tải đánh giá với hiệu ứng của tải trọng đơn vị (T-1).
- Tải trọng đơn vị (T-1) là đoàn tàu có cấu hình (số lượng trục của đầu máy, khoảng cách giữa các trục của đầu máy, khoảng cách từ trục cuối của đầu máy đến toàn xe) như đoàn tầu T10 nhưng có tải trọng trục và tải trọng toa xe bằng 1/10 tải trọng tương ứng của đoàn tàu T10.
2. Công thức tổng quát tính hệ số đánh giá của bộ phận cầu
(V-1)
Trong đó:
C - Khả năng chịu tải của bộ phận đánh giá.
DL - hiệu ứng của tải trọng thường xuyên.
LL - hiệu ứng của hoạt tải đánh giá.
HL = C - DL Khả năng chịu hoạt tải của bộ phận đánh giá.
Ý nghĩa của hệ số đánh giá (RF)
- Khi bộ phận đánh giá có RF ≥ 1, tức là khả năng chịu hoạt tải lớn hơn hay bằng hiệu ứng của hoạt tải, bộ phận cầu khai thác được với tải trọng đánh giá.
- Khi bộ phận đánh giá có RF < 1, bộ phận cầu không khai thác được với tải trọng đánh giá.
Trong công thức (1), có thể sử dụng được để tính toán theo triết lý ứng suất cho phép, hệ số tải trọng, hệ số tải trọng và hệ số sức kháng. Khi tính toán theo triết lý nào cần tính hiệu ứng của hoạt tải, tĩnh tải và các hiệu ứng tải trọng khác theo nguyên lý của triết lý ấy.
3. Quan hệ giữa hệ số đánh giá với đẳng cấp của bộ phận cầu và đẳng cấp của tải trọng
Theo định nghĩa trên, ta có:
- Đẳng cấp của bộ phận cầu
(V-2)
- Đẳng cấp của tải trọng đánh giá
(V-3)
C, DL, HL, LL như công thức (1)
LL1 - hiệu ứng của hoạt tải do tải trọng đoàn tầu đơn vị T-1 gây ra trên kết cấu.
Chia k0 cho k được:
(V-4)
Vậy hệ số đánh giá là tỷ số giữa đẳng cấp của bộ phận cầu với đẳng cấp của tải trọng đánh giá.
- Khi k0 ≥ k có RF ≥ 1, bộ phận cầu khai thác được với tải trọng đánh giá.
- Khi k0 < k có RF < 1, bộ phận cầu không khai thác được với tải trọng đánh giá.
PHỤ LỤC W
(Tham khảo)
Cường độ tính toán cơ bản chịu nén dọc trụ của bê tông khối xây
Bảng W-1. Cường độ tính toán cơ bản chịu nén dọc trục Rnp của bê tông khối xây (kG/cm2)
| Loại khối xây | Số hiệu vữa sau 28 ngày | Cường độ tính toán với chiều cao lớp xây (mm) | |||
|
|
| 180~250 | 500 trở lên | ||
| 1. Khối xây bằng đá đẽo |
|
|
| ||
| a) Gia công vừa (chỗ lồi lõm dưới 10mm) khi số hiệu đá không nhỏ hơn 1000 và chiều dày mạch xây không lớn hơn 15mm | 200 | 105 | 170 | ||
| b) Gia công khi số hiệu của đá không nhỏ hơn 800 và chiều dày mạch xây không lớn hơn 15mm | 200 150 | 90 85 | 140 140 | ||
| c) Bằng đá gia công thanh hình khối đều (chỗ lồi lõm dưới 20mm) khi số hiệu đá không nhỏ hơn 600 | 200 150 100 | 65 60 55 | 100 100 100 | ||
| d) Bằng các khối bê tông, khi chiều dày mạch xây không lớn hơn 15mm |
|
|
| ||
| Số hiệu bê tông 400 Số hiệu bê tông 300 Số hiệu bê tông 200 | 200 150 100 | 65 50 35 | 105 80 60 | ||
| 2. Khối xây đá hộc |
| ||||
| a) Bằng các phiến đá chọn lựa đẽo thô có chiều dày không nhỏ hơn 200mm và không nhỏ hơn 1/4 chiều dài của chúng, khi số hiệu đá không nhỏ hơn: |
| ||||
| 1000 | 200 100 | 48 40 | |||
| 400 | 200 100 | 32 25 | |||
| b) Bằng các phiến đá số hiệu không nhỏ hơn: |
|
| |||
| 1000 | 200 100 | 36 30 | |||
| 400 | 200 100 | 24 20 | |||
| c) Bằng đá hộc loại thường số hiệu không nhỏ hơn: |
|
|
|
| |
| 1000 | 200 100 | 24 20 | |||
| 400 | 200 100 | 16 12 | |||
PHỤ LỤC X
(Tham khảo)
Tải trọng thực tế các đoàn tầu
Bảng X-1. Tải trọng tương đương đoàn tầu kéo đẩy sửa đổi
| L xếp tải | Tải trọng rải đều tương đương (T/m) | ||
| qt (a=0) | qt (a=0.25) | Qt (a=0.5) | |
| 1 | 28.760 | 28.800 | 28.720 |
| 2 | 14.380 | 14.373 | 14.380 |
| 3 | 11.500 | 9.588 | 9.582 |
| 4 | 10.065 | 8.627 | 7.190 |
| 5 | 8.740 | 7.821 | 5.981 |
| 6 | 7.667 | 7.028 | 5.751 |
| 7 | 6.806 | 6.337 | 5.398 |
| 8 | 6.430 | 5.750 | 5.031 |
| 9 | 6.062 | 5.253 | 4.685 |
| 10 | 5.866 | 4.956 | 4.515 |
| 11 | 5.685 | 4.753 | 4.389 |
| 12 | 5.483 | 4.546 | 4.240 |
| 13 | 5.272 | 4.427 | 4.083 |
| 14 | 5.064 | 4.335 | 3.955 |
| 15 | 4.863 | 4.227 | 3.897 |
| 16 | 4.670 | 4.112 | 3.821 |
| 17 | 4.488 | 3.994 | 3.736 |
| 18 | 4.374 | 3.876 | 3.646 |
| 20 | 4.296 | 3.647 | 3.532 |
| 22 | 4.207 | 3.493 | 3.485 |
| 24 | 4.088 | 3.486 | 3.480 |
| 25 | 4.022 | 3.467 | 3.462 |
| 26 | 3.953 | 3.441 | 3.436 |
| 27 | 3.884 | 3.409 | 3.404 |
| 28 | 3.814 | 3.372 | 3.368 |
| 30 | 3.676 | 3.291 | 3.287 |
| 35 | 3.469 | 3.067 | 3.064 |
| 40 | 3.336 | 2.878 | 2.843 |
| 45 | 3.246 | 2.786 | 2.725 |
| 55 | 3.028 | 2.682 | 2.579 |
| 60 | 2.961 | 2.631 | 2.510 |
Bảng X-2. Tải trọng tương đương đoàn tầu đổi mới + 4.2T/m
| L xếp tải | Tải trọng rải đều tương đương (T/m) | ||
| qt (a=0) | qt (a =0.25) | Qt (a=0.5) | |
| 3 | 13.147 | 11.484 | 9.067 |
| 5 | 10.936 | 9.139 | 9.139 |
| 7 | 9.077 | 7.993 | 7.993 |
| 8 | 8.475 | 7.408 | 7.395 |
| 9 | 8.004 | 6.941 | 6.882 |
| 10 | 7.626 | 6.567 | 6.458 |
| 11 | 7.318 | 6.296 | 6.101 |
| 12 | 7.140 | 6.130 | 5.798 |
| 13 | 7.049 | 5.975 | 5.560 |
| 14 | 6.913 | 5.940 | 5.464 |
| 15 | 6.777 | 5.899 | 5.366 |
| 16 | 6.653 | 5.823 | 5.266 |
| 17 | 6.540 | 5.732 | 5.270 |
| 18 | 6.436 | 5.644 | 5.286 |
| 20 | 6.251 | 5.480 | 5.262 |
| 22 | 6.094 | 5.332 | 5.193 |
| 24 | 5.958 | 5.208 | 5.138 |
| 25 | 5.866 | 5.168 | 5.108 |
| 30 | 5.646 | 4.973 | 4.911 |
| 35 | 5.459 | 4.799 | 4.728 |
| 40 | 5.315 | 4.736 | 4.562 |
| 45 | 5.199 | 4.690 | 4.437 |
| 50 | 5.106 | 4.632 | 4.320 |
| 55 | 5.028 | 4.590 | 4.294 |
| 60 | 4.963 | 4.540 | 4.279 |
Bảng X-3. Tải trọng tương đương đoàn tầu DFH21+2.4T/m
| L xếp tải | Tải trọng rải đều tương đương (T/m) | ||
| qt (a=0) | qt (a=0.25) | Qt (a=0.5) | |
| 1 | 29.000 | 58.027 | 58.000 |
| 2 | 14.500 | 14.507 | 14.500 |
| 3 | 12.247 | 9.884 | 9.671 |
| 4 | 10.510 | 9.180 | 7.250 |
| 5 | 9.080 | 8.196 | 6.509 |
| 6 | 8.057 | 7.304 | 6.200 |
| 7 | 7.574 | 6.594 | 5.838 |
| 8 | 7.160 | 6.043 | 5.489 |
| 9 | 7.018 | 5.752 | 5.371 |
| 10 | 6.844 | 5.536 | 5.235 |
| 11 | 6.622 | 5.325 | 5.078 |
| 12 | 6.405 | 5.301 | 4.914 |
| 13 | 6.202 | 5.229 | 4.925 |
| 14 | 6.014 | 5.134 | 4.896 |
| 15 | 5.841 | 5.044 | 4.840 |
| 16 | 5.683 | 4.950 | 4.769 |
| 17 | 5.535 | 5.962 | 4.689 |
| 18 | 5.400 | 4.761 | 4.605 |
| 20 | 5.156 | 4.581 | 4.431 |
| 23 | 4.860 | 4.336 | 4.180 |
| 25 | 4.694 | 4.191 | 4.026 |
| 27 | 4.547 | 4.060 | 3.882 |
| 28 | 4.481 | 3.999 | 3.815 |
| 30 | 4.359 | 3.885 | 3.688 |
| 35 | 4.108 | 3.644 | 3.451 |
| 40 | 3.914 | 3.451 | 3.252 |
| 45 | 3.759 | 3.332 | 3.081 |
| 50 | 3.632 | 3.230 | 2.934 |
| 55 | 3.527 | 3.139 | 2.823 |
| 60 | 3.439 | 3.056 | 2.725 |
Bảng X-4. Tải trọng tương đương đoàn tầu đàu máy Tiệp +4.2T/m
| L xếp tải | Tải trọng rải đều tương đương (T/m) | ||
| qt (a =0) | qt (a=0.25) | Qt (a=0.5) | |
| 1 | 28.000 | 28.053 | 28.000 |
| 2 | 14.100 | 14.000 | 14.000 |
| 3 | 11.200 | 9.481 | 9.333 |
| 4 | 9.800 | 8.400 | 7.050 |
| 5 | 8.608 | 7.616 | 5.981 |
| 6 | 7.733 | 6.865 | 5.862 |
| 7 | 7.069 | 6.274 | 5.611 |
| 8 | 6.550 | 5.800 | 5.333 |
| 9 | 6.187 | 5.415 | 5.062 |
| 10 | 6.104 | 5.097 | 4.811 |
| 11 | 5.973 | 4.934 | 4.625 |
| 12 | 5.823 | 4.771 | 4.528 |
| 13 | 5.675 | 4.750 | 4.419 |
| 14 | 5.547 | 4.710 | 4.392 |
| 15 | 5.164 | 4.103 | 3.826 |
| 16 | 5.273 | 4.562 | 4.369 |
| 17 | 5.131 | 4.470 | 4.328 |
| 18 | 5.044 | 4.392 | 4.277 |
| 20 | 4.845 | 4.261 | 4.156 |
| 22 | 4.671 | 4.132 | 4.026 |
| 24 | 4.519 | 4.010 | 3.897 |
| 25 | 4.450 | 3.952 | 3.834 |
| 26 | 4.385 | 3.896 | 3.773 |
| 27 | 4.324 | 3.843 | 3.713 |
| 28 | 4.266 | 3.792 | 3.655 |
| 30 | 4.161 | 3.695 | 3.559 |
| 35 | 3.941 | 3.487 | 3.359 |
| 40 | 3.769 | 3.326 | 3.179 |
| 45 | 3.632 | 3.235 | 3.021 |
| 50 | 3.519 | 3.148 | 2.889 |
| 55 | 3.425 | 3.067 | 2.781 |
| 60 | 3.345 | 2.994 | 2.684 |
Bảng X-5. Tải trọng tương đương đoàn tầu đầu máy Tiệp +3.6T/m
| L xếp tải | Tải trọng rải đều tương đương (T/m) | ||
| qt (a=0) | qt (a=0.25) | Qt (a=0.5) | |
| 1 | 28.000 | 28.053 | 28.000 |
| 2 | 14.140 | 14.000 | 14.000 |
| 3 | 11.200 | 9.564 | 9.333 |
| 4 | 9.800 | 8.400 | 7.070 |
| 5 | 8.656 | 7.616 | 6.058 |
| 6 | 7.733 | 6.865 | 5.862 |
| 7 | 7.289 | 6.324 | 5.788 |
| 8 | 6.850 | 5.900 | 5.548 |
| 9 | 6.504 | 5.564 | 5.311 |
| 10 | 6.224 | 5.292 | 5.088 |
| 11 | 5.993 | 5.067 | 4.885 |
| 12 | 5.837 | 4.878 | 4.701 |
| 13 | 5.675 | 4.750 | 4.419 |
| 14 | 5.600 | 4.798 | 4.502 |
| 15 | 5.497 | 4.743 | 4.523 |
| 16 | 5.405 | 4.670 | 4.519 |
| 17 | 5.319 | 4.587 | 4.496 |
| 18 | 5.241 | 4.526 | 4.462 |
| 20 | 5.104 | 4.440 | 4.372 |
| 22 | 4.988 | 4.354 | 4.300 |
| 24 | 4.888 | 4.271 | 4.249 |
| 25 | 4.842 | 4.232 | 4.218 |
| 26 | 4.801 | 4.193 | 4.184 |
| 27 | 4.761 | 4.156 | 4.149 |
| 28 | 4.724 | 4.121 | 4.112 |
| 30 | 4.657 | 4.090 | 4.037 |
| 35 | 4.519 | 4.061 | 3.875 |
| 40 | 4.413 | 4.002 | 3.739 |
| 45 | 4.329 | 3.934 | 3.696 |
| 50 | 4.260 | 3.899 | 3.678 |
| 55 | 4.203 | 3.857 | 3.664 |
| 60 | 4.156 | 3.812 | 3.655 |
MỤC LỤC
1. Phạm vi áp dụng
2. Tài liệu viện dẫn
3. Thuật ngữ, ký hiệu và định nghĩa
3.2. Các ký hiệu, viết tắt và thông số
4. Các quy định chung của công tác kiểm định cầu
4.1. Triết lý tính toán
4.2. Đơn vị đo
4.3. Tổng quan về công tác kiểm định cầu
4.4. Phân tích tổng thể công trình cầu
4.5. Các vấn đề cần tính toán
4.6. Tổ chức công tác kiểm định cầu
4.7. Yêu cầu về nội dung và kết luận của hồ sơ kiểm định
5. Điều tra và đo đạc cầu cần kiểm định
5.1. Mục đích, nội dung công tác điều tra và đo đạc cầu
5.2. Nội dung cơ bản của các bản vẽ kết quả đo đạc
5.3. Điều tra, đo đạc, đánh giá chi tiết tình trạng hư hỏng, khuyết tật bộ phận công trình
5.4. Xác định hệ số phân bố ngang
5.5. Điều tra, đo đạc biến dạng, chuyển vị, dao động kết cấu
5.6. Lấy mẫu và thí nghiệm vật liệu
5.7. Đặc trưng đất nền, khảo sát địa chất công trình (nếu cần)
5.8. Điều tra ảnh hưởng của môi trường
5.9. Phân cấp sơ bộ trạng thái kỹ thuật cầu
6. Tải trọng và hệ số tải trọng
6.1. Khái niệm chung
6.2. Tĩnh tải
6.3. Hoạt tải tàu
6.4. Hoạt tải tác dụng lên 2 bên công son
6.5. Hoạt tải ô tô
6.6. Tải trọng gió
6.7. Tải trọng va xô tầu, thuyền
6.8. Lực ma sát gối cầu
6.9. Các tác động khác
6.10. Các hệ số
6.11. Tổ hợp tải trọng tính toán
7. Kết cấu nhịp thép
7.1. Những quy định chung
7.2. Các đặc trưng của vật liệu kết cấu nhịp
7.3. Dầm chủ và hệ dầm mặt cầu đường đơn trên đoạn tuyến thẳng
7.4. Dàn chủ kết cấu nhịp cầu đường sắt đường đơn trên đoạn tuyến thẳng
7.5. Ảnh hưởng của hư hỏng, khuyết tật và đã được sửa chữa nhỏ
7.6. Ảnh hưởng của các hư hỏng, khuyết tật và tăng cường kết cấu
7.7. Tính toán đẳng cấp đoàn tầu
7.8. Các chỉ dẫn tính toán
7.9. Thử nghiệm kết cấu nhịp
8. Kết cấu dầm bê tông cốt thép
8.1. Những nguyên tắc chung
8.2. Số liệu ban đầu
8.3. Tính toán theo tải trọng khai thác
8.4. Tính toán theo tải trọng cực hạn
8.5. Tính toán về mỏi
8.6. Thử tải thực tế
9. Kết cấu mố trụ và móng
9.1. Những nguyên tắc chung
9.2. Nguyên tắc tính đến hiện trạng kết cấu
9.3. Nguyên tắc tính nội lực, chuyển vị kết cấu
9.4. Tải trọng và hệ số tải trọng
9.5. Kiểm toán mặt cắt thân mố, trụ
9.6. Kiểm toán chuyển vị đỉnh, bệ móng mố, trụ
9.7. Kiểm toán về ổn định
9.8. Đo thử tải và tính toán lại kết cấu khi không có hồ sơ lưu trữ phần ngầm của công trình
9.9. Chuẩn đoán kết cấu
PHỤ LỤC A
PHỤ LỤC B
PHỤ LỤC C
PHỤ LỤC D
PHỤ LỤC E
PHỤ LỤC F
PHỤ LỤC G
PHỤ LỤC H
PHỤ LỤC I
PHỤ LỤC J
PHỤ LỤC K
PHỤ LỤC L
PHỤ LỤC M
PHỤ LỤC N
PHỤ LỤC O
PHỤ LỤC P
PHỤ LỤC Q
PHỤ LỤC R
PHỤ LỤC S
PHỤ LỤC T
PHỤ LỤC U
PHỤ LỤC V
PHỤ LỤC W
PHỤ LỤC X
Bạn chưa Đăng nhập thành viên.
Đây là tiện ích dành cho tài khoản thành viên. Vui lòng Đăng nhập để xem chi tiết. Nếu chưa có tài khoản, vui lòng Đăng ký tại đây!






- Diện tích đường ảnh hưởng mô men lõi (m2) đối với điểm dưới của lõi tiết diện khi chất hoạt tải. Khi xác định hoạt tải cho phép theo cường độ của thớ trên
là diện tích phần âm của đường ảnh hưởng Mgpi
)