- Tổng quan
- Nội dung
- Tiêu chuẩn liên quan
- Lược đồ
- Tải về
Tiêu chuẩn quốc gia TCVN 14141:2024 Phương pháp tính toán, xác định tầm hiệu lực của báo hiệu hàng hải
| Số hiệu: | TCVN 14141:2024 | Loại văn bản: | Tiêu chuẩn Việt Nam |
| Cơ quan ban hành: | Bộ Khoa học và Công nghệ | Lĩnh vực: | Giao thông |
| Trích yếu: | Phương pháp tính toán, xác định tầm hiệu lực của báo hiệu hàng hải | ||
|
Ngày ban hành:
Ngày ban hành là ngày, tháng, năm văn bản được thông qua hoặc ký ban hành.
|
18/07/2024 |
Hiệu lực:
|
Đã biết
|
| Người ký: | Đang cập nhật |
Tình trạng hiệu lực:
Cho biết trạng thái hiệu lực của văn bản đang tra cứu: Chưa áp dụng, Còn hiệu lực, Hết hiệu lực, Hết hiệu lực 1 phần; Đã sửa đổi, Đính chính hay Không còn phù hợp,...
|
Đã biết
|
TÓM TẮT TIÊU CHUẨN VIỆT NAM TCVN 14141:2024
TCVN 14141:2024: Phương pháp tính toán tầm hiệu lực báo hiệu hàng hải, với 12 thuật ngữ quan trọng
Tiêu chuẩn quốc gia TCVN 14141:2024, được ban hành ngày 18/07/2024 và có hiệu lực từ ngày 18/07/2024, quy định các phương pháp tính toán và xác định tầm hiệu lực của báo hiệu hàng hải. Văn bản này do Cục Hàng hải Việt Nam biên soạn và dựa trên các hướng dẫn của Hiệp hội các cơ quan quản lý báo hiệu hàng hải quốc tế (IALA).
Trong tiêu chuẩn này, báo hiệu hàng hải được phân loại thành ba loại chính: báo hiệu thị giác, báo hiệu vô tuyến điện và báo hiệu âm thanh. Mỗi loại có các yêu cầu và phương pháp cụ thể để xác định tầm hiệu lực, trong đó có tầm nhìn địa lý ban ngày, tầm hiệu lực ánh sáng và tầm hiệu lực của tín hiệu âm thanh. Tầm hiệu lực của báo hiệu hàng hải là khoảng cách xa nhất mà người quan sát có thể nhận biết được.
Tiêu chuẩn này giới thiệu 12 thuật ngữ quan trọng, trong đó có:
- Tầm hiệu lực của báo hiệu hàng hải (R): Khoảng cách lớn nhất mà người quan sát có thể nhận biết báo hiệu.
- Tầm nhìn địa lý (Rg): Khoảng cách lớn nhất mà người quan sát có thể nhìn thấy báo hiệu trong điều kiện lý tưởng.
- Tầm hiệu lực ban ngày (Rd): Khoảng cách lớn nhất có thể nhận biết được báo hiệu vào ban ngày.
- Tầm hiệu lực ánh sáng (Rl): Khoảng cách mà ánh sáng của báo hiệu có thể nhận biết được.
- Tầm hiệu lực danh định của báo hiệu âm thanh (Pn): Khoảng cách mà trong điều kiện thời tiết sương mù, người đi biển có thể nghe rõ được tín hiệu âm thanh với xác suất 90%.
Các phương pháp tính toán tầm hiệu lực được chia thành các phần khác nhau cho từng loại báo hiệu. Đối với báo hiệu thị giác, tiêu chuẩn hướng dẫn cách xác định tầm nhìn địa lý và khoảng cách nhận biết dựa trên chiều cao của báo hiệu và chiều cao mắt người quan sát. Đặc biệt, công thức tính toán tầm nhìn địa lý ban ngày (Rgd) sử dụng hệ số 2,03 để điều chỉnh theo độ cong mặt đất và khúc xạ ánh sáng.
Đối với báo hiệu âm thanh, tiêu chuẩn xác định tầm hiệu lực danh định dựa trên cường độ âm thanh thuần khiết do thiết bị phát ra và khoảng cách mà âm thanh có thể nhận biết. Phương pháp này yêu cầu độ chính xác cao trong việc đo cường độ âm thanh và tình trạng môi trường.
Tiêu chuẩn cũng kèm theo các công thức cụ thể và bảng dữ liệu để người sử dụng có thể tính toán tầm hiệu lực của báo hiệu hàng hải một cách chính xác, bao gồm Bảng A1 về tầm nhìn địa lý và Bảng B1 về tầm hiệu lực ánh sáng của thiết bị báo hiệu.
TCVN 14141:2024 không chỉ mang tính chất quy định mà còn thể hiện nỗ lực của Việt Nam trong việc đồng bộ hóa các tiêu chuẩn quốc gia với các quy định quốc tế, từ đó nâng cao sự an toàn trong hoạt động hàng hải. Việc thực hiện đúng các quy định này sẽ giúp bảo đảm an toàn cho người đi biển, cải thiện chất lượng báo hiệu hàng hải và góp phần vào sự phát triển bền vững của ngành giao thông vận tải.
TIÊU CHUẨN QUỐC GIA
TCVN 14141:2024
PHƯƠNG PHÁP TÍNH TOÁN, XÁC ĐỊNH TẦM HIỆU LỰC CỦA BÁO HIỆU HÀNG HẢI
Method for calculating and determining the effective range of Marine Aids to Navigation
Lời nói đầu
TCVN 14141:2024 do Cục Hàng hải Việt Nam biên soạn, Bộ Giao thông Vận tải đề nghị, Tổng cục Tiêu chuẩn Đo lường Chất lượng thẩm định, Bộ Khoa học và Công nghệ công bố.
TCVN 14141:2024 được biên soạn trên cơ sở tham khảo các tài liệu, hướng dẫn và khuyến cáo của IALA.
PHƯƠNG PHÁP TÍNH TOÁN, XÁC ĐỊNH TẦM HIỆU LỰC CỦA BÁO HIỆU HÀNG HẢI
Method for calculating and determining the effective range of Marine Aids to Navigation
1 Phạm vi áp dụng
Tiêu chuẩn này quy định các yêu cầu và phương pháp tính toán, xác định tầm hiệu lực của báo hiệu hàng hải.
2 Thuật ngữ, định nghĩa và từ viết tắt
2.1 Thuật ngữ và định nghĩa
Tiêu chuẩn này sử dụng các thuật ngữ và định nghĩa sau:
2.1.1 Báo hiệu hàng hải (Aid to navigation)
Là thiết bị hoặc công trình, tàu thuyền được thiết lập và vận hành trên mặt nước hoặc trên đất liền để chỉ dẫn cho người đi biển và tổ chức, cá nhân liên quan định hướng, xác định vị trí tàu thuyền.
2.1.2 Tiêu radar - Racon (Radar beacon)
Là báo hiệu hàng hải để thu, phát tín hiệu vô tuyến điện trên các dải tần số của radar hàng hải.
2.1.3 Báo hiệu hàng hải AIS (AIS aid to navigation)
Là báo hiệu vô tuyến điện truyền phát thông tin an toàn hàng hải tới các trạm AIS được lắp đặt trên tàu, hoạt động trên các dải tần số VHF hàng hải.
2.1.4 Radar hàng hải (Marine radar)
Là thiết bị hỗ trợ hàng hải sử dụng sóng vô tuyến điện để xác định hướng và khoảng cách đến đối tượng cần xác định vị trí thông qua tín hiệu phản xạ hoặc tín hiệu truyền lại từ đối tượng đó.
2.1.5 Tầm hiệu lực của báo hiệu hàng hải R (Range of aid to navigation)
Là khoảng cách lớn nhất tính từ người quan sát đến báo hiệu mà người quan sát nhận biết được báo hiệu đó để định hướng, xác định vị trí của mình.
2.1.6 Tầm nhìn xa khí tượng V (Meteorological visibility)
Là khoảng cách lớn nhất mà vật đen có kích thước đủ lớn có thể được người quan sát nhận biết trên nền trời sáng khi quan sát vào ban ngày; đối với quan sát ban đêm là khoảng cách lớn nhất mà nguồn sáng có cường độ đủ lớn có thể được người quan sát nhận biết.
2.1.7 Hệ số truyền quang của khí quyển T (Atmospheric transmission factor)
Là hệ số biểu thị tỷ lệ cường độ ánh sáng còn lại từ nguồn sáng sau khi truyền qua khí quyển với khoảng cách một hải lý.
2.1.8 Điều kiện quan sát lý tưởng (Perfect visibility)
Là điều kiện trong đó việc quan sát chỉ bị giới hạn bởi độ cong bề mặt của trái đất, hiện tượng khúc xạ của ánh sáng khi truyền qua khí quyển, chiều cao của mắt người quan sát và chiều cao của báo hiệu mà không bị ảnh hưởng bởi các tác động khác của môi trường.
2.1.9 Tầm nhìn địa lý của báo hiệu hàng hải Rg (Geographical range)
Là khoảng cách lớn nhất mà người quan sát có thể nhìn thấy được báo hiệu hay nguồn sáng từ báo hiệu trong điều kiện quan sát lý tưởng.
2.1.10 Tầm hiệu lực ban ngày của báo hiệu hàng hải Rd (Daytime range)
Là khoảng cách lớn nhất mà người quan sát có thể nhận biết được báo hiệu vào ban ngày, được xác định với tầm nhìn xa khí tượng bằng 10 hải lý.
2.1.11 Tầm hiệu lực ánh sáng của báo hiệu hàng hải Rl (Luminous range)
Là khoảng cách lớn nhất mà người quan sát có thể nhận biết được tín hiệu ánh sáng của báo hiệu hàng hải.
2.1.12 Tầm hiệu lực danh định của báo hiệu hàng hải (Nominal range)
Là tầm hiệu lực ánh sáng của báo hiệu trong điều kiện khí quyển có tầm nhìn xa khí tượng là 10 hải lý (tương ứng với hệ số truyền quang của khí quyển T = 0,74) với ngưỡng cảm ứng độ sáng của mắt người quan sát quy ước bằng 2.10-7 lux.
2.1.13 Tầm hiệu lực của báo hiệu racon Rr (Range of racon)
Là khoảng cách lớn nhất mà radar hàng hải có khả năng phát hiện được tín hiệu của racon.
2.1.14 Tầm hiệu lực của báo hiệu hàng hải AIS Ra (Range of AIS aid to navigation)
Là khoảng cách lớn nhất mà thiết bị thu AIS có khả năng thu được tín hiệu của báo hiệu hàng hải AIS.
2.1.15 Tầm hiệu lực danh định của báo hiệu âm thanh Pn (Nominal range of audible signal)
Là khoảng cách mà trong điều kiện thời tiết sương mù, người đi biển có thể nghe rõ được tín hiệu âm thanh của báo hiệu với xác suất 90%.
2.2 Từ viết tắt
| Từ viết tắt | Tiếng Việt | Tiếng Anh |
| AIS | Hệ thống nhận dạng tự động | Automatic Idenfitication System |
| Racon | Tiêu radar | Radar Beacon |
| VHF | Dải tần số vô tuyến nằm trong khoảng từ 30 MHz tới 300 MHz | Very High Frequency |
| IALA | Hiệp hội các cơ quan quản lý báo hiệu hàng hải và đèn biển quốc tế | International Association of Marine Aids to Navigation and Lighthouse Authorities |
| NM | Hải lý | Nautical mile |
3 Phân loại báo hiệu hàng hải
Báo hiệu hàng hải bao gồm báo hiệu thị giác, báo hiệu vô tuyến điện và báo hiệu âm thanh.
- Báo hiệu thị giác cung cấp thông tin báo hiệu bằng hình ảnh vào ban ngày, ánh sáng vào ban đêm. Báo hiệu thị giác bao gồm: đèn biển, đăng tiêu, chập tiêu, báo hiệu dẫn luồng (báo hiệu hai bên luồng, báo hiệu hướng luồng chính, báo hiệu phương vị, báo hiệu chướng ngại vật biệt lập, báo hiệu vùng nước an toàn, báo hiệu chuyên dùng, báo hiệu chướng ngại vật nguy hiểm mới phát hiện) và các báo hiệu hàng hải khác.
- Báo hiệu hàng hải vô tuyến điện cung cấp thông tin báo hiệu bằng tín hiệu vô tuyến điện. Báo hiệu vô tuyến điện bao gồm báo hiệu tiêu radar, báo hiệu hàng hải AIS và các loại báo hiệu vô tuyến điện khác.
- Báo hiệu âm thanh cung cấp thông tin báo hiệu bằng tín hiệu âm thanh. Báo hiệu âm thanh bao gồm còi báo hiệu và các loại báo hiệu âm thanh khác.
4 Phương pháp tính toán tầm hiệu lực của báo hiệu hàng hải
4.1 Phương pháp tính toán tầm hiệu lực ban ngày của báo hiệu hàng hải
4.1.1 Xác định tầm nhìn địa lý (Rgd)
Tầm nhìn địa lý ban ngày của báo hiệu hàng hải được xác định bằng công thức:
|
| (1) |
Trong đó:
- Rgd là tầm nhìn địa lý ban ngày của báo hiệu hàng hải, tính bằng hải lý (NM);
- Hm là chiều cao của báo hiệu hàng hải ban ngày, tính bằng mét (m), được tính từ đỉnh của báo hiệu đến mực nước biển hiện thời đối với báo hiệu nổi, đến mực nước “số 0 hải đồ’’ đối với báo hiệu cố định;
- h0 là chiều cao của mắt người quan sát so với mực nước biển, tính bằng mét (m), trong quá trình tính toán tầm hiệu lực của báo hiệu hàng hải để công bố thông báo hàng hải thì giá trị h0 được lấy bằng 5 m;
- Hệ số 2,03 thể hiện sự ảnh hưởng của độ cong bề mặt trái đất và hiện tượng khúc xạ của ánh sáng khi truyền qua khí quyển.

Hình 1: Hình minh họa tầm nhìn địa lý của báo hiệu hàng hải ban ngày
Bảng 1: Tầm nhìn địa lý của báo hiệu hàng hải ban ngày tính bằng hải lý theo chiều cao báo hiệu và chiều cao mắt người quan sát
| Chiều cao mắt người quan sát h0 (mét) | Chiều cao báo hiệu hàng hải ban ngày Hm (mét) | ||||||||
|
| 0 | 1 | 2 | 3 | 5 | 10 | 20 | 30 | 50 |
| 3 | 3,5 | 5,5 | 6,4 | 7,0 | 8,1 | 9,9 | 12,6 | 14,6 | 17,9 |
| 5 | 4,5 | 6,6 | 7,4 | 8,1 | 9,1 | 11,0 | 13,6 | 15,7 | 18,9 |
| 10 | 6,4 | 8,4 | 9,3 | 9,9 | 11,0 | 12,8 | 15,5 | 17,5 | 20,8 |
| 20 | 9,1 | 11,1 | 11,9 | 12,6 | 13,6 | 15,5 | 18,2 | 20,2 | 23,4 |
| 30 | 11,1 | 13,1 | 14,0 | 14,6 | 15,7 | 17,5 | 20,2 | 20,2 | 25,5 |
| 40 | 12,8 | 14,9 | 15,7 | 16,4 | 17,4 | 19,3 | 21,9 | 24,0 | 27,2 |
| 50 | 14,4 | 16,4 | 17,2 | 17,9 | 18,9 | 20,8 | 23,4 | 25,5 | 28,7 |
4.1.2 Khoảng cách nhận biết ban ngày của báo hiệu theo kích thước phương đứng (Dh)
4.1.2.1 Xác định khoảng cách nhận biết ban ngày của báo hiệu theo kích thước phương đứng (Dh)
Khoảng cách nhận biết ban ngày của báo hiệu theo kích thước phương đứng được xác định bằng công thức:
|
| (2) |
Trong đó:
- Dh là khoảng cách nhận biết ban ngày của báo hiệu theo kích thước phương đứng, tính bằng hải lý (NM);
- H là chiều cao phần nhận biết ban ngày của báo hiệu, tính bằng mét (m);
- Hệ số 1,64 thể hiện khả năng nhận biết của mắt người quan sát theo kích thước phương đứng.
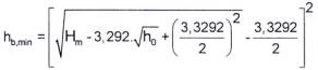
4.1.2.2 Xác định cao độ điểm nhìn thấy thấp nhất tính toán (hb,min)
Cao độ điểm nhìn thấy thấp nhất tính toán hb.min là cao độ của điểm thấp nhất thuộc phần nhận biết ban ngày của báo hiệu mà người quan sát có thể nhìn thấy khi quan sát báo hiệu ở khoảng cách xa nhất trong phạm vi nhận biết được báo hiệu, tính bằng mét (m). hb,min được tính đến mực nước “số 0 hải đồ" đối với báo hiệu cố định, tính đến mực nước biển hiện thời đối với báo hiệu nổi.
- Trường hợp chiều cao của báo hiệu
thì hb,min lấy bằng cao độ điểm thấp nhất thuộc phần nhận biết ban ngày của báo hiệu.
- Trường hợp chiều cao của báo hiệu
thì hb,min được xác định theo công thức:
|
| (3) |
Trong đó:
- hb,min là cao độ điểm nhìn thấy thấp nhất tính toán, tính bằng mét (m).
Ghi chú: Nếu kết quả tính toán theo công thức trên thấp hơn cao độ điểm thấp nhất thuộc phần nhận biết ban ngày của báo hiệu thì hb,min lấy bằng cao độ điểm thấp nhất thuộc phần nhận biết ban ngày của báo hiệu.
4.1.2.3 Xác định chiều cao phần nhận biết ban ngày của báo hiệu (H)
Chiều cao phần nhận biết ban ngày H của báo hiệu (phần chiều cao nhận biết ban ngày không bị che khuất, đảm bảo người quan sát có thể nhận biết được đặc tính của báo hiệu) được tính từ cao độ hb,min lên đến đình của báo hiệu theo công thức:
4.1.3 Xác định khoảng cách nhận biết ban ngày của báo hiệu theo kích thước phương ngang (Dw)
Khoảng cách nhận biết ban ngày của báo hiệu theo kích thước phương ngang được xác định bằng công thức:
|
| (5) |
Trong đó:
- Dw là khoảng cách nhận biết ban ngày của báo hiệu theo kích thước phương ngang, tính bằng hải lý (NM);
- W là bề rộng trung bình phần nhận biết ban ngày của báo hiệu (chiều ngang trung bình của báo hiệu trong phạm vi từ cao độ hb,min lên đến đỉnh của báo hiệu), tính bằng mét (m);
- 0,54 là hệ số thể hiện khả năng nhận biết của mắt người quan sát theo kích thước phương ngang.

Hình 2: Thông số tính toán tầm hiệu lực ban ngày
Tham khảo Phụ lục A - Bảng A1 để xác định tầm nhìn địa lý, cao độ điểm nhìn thấy thấp nhất tính toán của báo hiệu ban ngày với độ cao mắt người quan sát h0 = 5 m.
4.1.4 Xác định khoảng cách nhận biết ban ngày của báo hiệu theo độ tương phản tại vị trí quan sát (Dc)
4.1.4.1 Xác định độ tương phản của báo hiệu tại vị trí báo hiệu (Co)
Xác định độ tương phản của báo hiệu tại vị trí báo hiệu bằng công thức:
|
| (6) |
Trong đó:
- Co là độ tương phản của báo hiệu tại vị trí báo hiệu;
- βo là suất phản xạ bề mặt của báo hiệu (là tỷ số giữa độ chói thực tế của bề mặt báo hiệu so với độ chói của bề mặt phản xạ toàn phần trong cùng điều kiện chiếu sáng). Giá trị βo của một số màu sắc tiêu chuẩn lấy theo Bảng 2
- βb là suất phản xạ của nền (là tỷ số giữa bức xạ phát ra từ bề mặt nền phía sau báo hiệu đó so với bức xạ chiếu đến bề mặt đó). Giá trị βb của một số bề mặt nền điển hình được lấy theo Bảng 3.
Bảng 2: Suất phản xạ bề mặt của một số màu cơ bản
| Màu sắc | Mã màu | Suất phản xạ bề mặt βo |
| Đỏ | RAL 3028 | 0,17 |
| Vàng | RAL 1023 | 0,54 |
| Xanh lá | RAL 6037 | 0,21 |
| Xanh lam | RAL 5019 | 0,12 |
| Xám | RAL 7000 | 0,25 |
| Trắng | RAL 9016 | 0,87 |
| Đen | RAL 9017 | 0,05 |
Bảng 3: Suất phản xạ của nền đối với một số bề mặt nền điển hình
| Bề mặt | Suất phản xạ của nền βb |
| Nhựa đường | 0,04 ÷ 0,12 |
| Rừng | 0,08 ÷ 0,15 |
| Đất trống | 0,17 |
| Cỏ xanh | 0,25 |
| Sa Mạc | 0,40 |
| Bê tông mới | 0,55 |
| Nền trời sáng | 1,00 |
| Mặt biển | 0,50 |
4.1.4.2 Xác định khoảng cách nhận biết ban ngày của báo hiệu theo độ tương phản tại vị trí quan sát (Dc)
Để nhận biết được báo hiệu ban ngày thì độ tương phản quan sát được của báo hiệu tại vị trí quan sát phải có giá trị tối thiểu là 0,05 do vậy khoảng cách nhận biết ban ngày của báo hiệu theo độ tương phản tại vị trí quan sát Dc được xác định theo công thức:
|
| (7) |
Trong đó:
- Dc là khoảng cách nhận biết ban ngày của báo hiệu theo độ tương phản tại vị trí quan sát tính bằng hải lý (NM);
- T là Hệ số truyền quang khí quyển, khi tính toán thông báo hàng hải được lấy bằng 0,74.
4.1.5 Xác định tầm hiệu lực ban ngày của báo hiệu hàng hải (Rd)
Tầm hiệu lực ban ngày của báo hiệu hàng hải Rd, tính bằng hải lý (NM), được xác định theo công thức:
| Rd = min (Rgd; Dh; Dw; Dc) | (8) |
4.2 Phương pháp tính toán tầm hiệu lực ánh sáng của báo hiệu hàng hải
4.2.1 Xác định tầm nhìn địa lý (Rgl)
Tầm nhìn địa lý của báo hiệu hàng hải ánh sáng được xác định bằng công thức:
|
| (9) |
Trong đó:
- Rgl là tầm nhìn địa lý của báo hiệu hàng hải ánh sáng, tính bằng hải lý (NM);
- Hl là chiều cao của tâm sáng tính đến mực nước biển với báo hiệu nổi, tính đến mực nước “số 0 hải đồ” với báo hiệu cố định, tính bằng mét (m);
- Hệ số 2,03 thể hiện sự ảnh hưởng của độ cong bề mặt trái đất và hiện tượng khúc xạ của ánh sáng khi truyền qua khí quyển.

Hình 3: Hình minh họa tầm nhìn địa lý của báo hiệu hàng hải ánh sáng
4.2.2 Xác định tầm hiệu lực ánh sáng của thiết bị báo hiệu hàng hải (Ds)
- Tầm hiệu lực ánh sáng của thiết bị báo hiệu hàng hải được xác định bằng công thức:
|
| (10) |
Trong đó:
+ le là cường độ ánh sáng hiệu dụng, tính bằng cadenla (cd);
+ Er là ngưỡng cảm nhận ánh sáng của mắt người quan sát lấy bằng 2.10-7 lux;
+ Ds là tầm hiệu lực ánh sáng của thiết bị báo hiệu hàng hải, tính bằng hải lý (NM);
+ V là tầm nhìn xa khí tượng, tính bằng hải lý (NM);
- Tầm hiệu lực ánh sáng của thiết bị báo hiệu hàng hải (với ngưỡng cảm ứng ánh sáng tại mắt người quan sát lấy bằng 2.10-7 lux) tương ứng với mỗi giá trị cường độ ánh sáng hiệu dụng được nêu tại Bảng B1 và Đồ thị tại Phụ lục B.
Ghi chú: Cường độ sáng hiệu dụng le của thiết bị báo hiệu hàng hải được xác định theo tài liệu kỹ thuật của nhà sản xuất hoặc bằng cách đo độ rọi trong phòng thí nghiệm theo hướng dẫn tại Phụ lục C.
4.2.3 Xác định tầm hiệu lực ánh sáng của báo hiệu hàng hải (Rl)
Tầm hiệu lực ánh sáng của báo hiệu hàng hải Rl, tính bằng hải lý (NM), được xác định theo công thức:
| Rl = min (Rgl; Ds) | (11) |
Ghi chú: Khi tính toán tầm hiệu lực ánh sáng của báo hiệu hàng hải để thông báo hàng hải thì tầm nhìn xa khí tượng V được lấy bằng 10 NM (tương ứng với hệ số truyền quang khí quyển T = 0,74).
4.3 Phương pháp tính toán tầm hiệu lực của báo hiệu vô tuyến
4.3.1 Phương pháp tính toán tầm hiệu lực của báo hiệu racon
4.3.1.1 Xác định tầm nhìn địa lý giữa racon và radar (Dgr)
Tầm nhìn địa lý giữa racon và radar được xác định bằng công thức:
|
| (12) |
Trong đó:
- Rgr là tầm nhìn địa lý giữa Racon và radar, tính bằng hải lý (NM);
- hTr là chiều cao của ăng ten racon tính đến mực nước biển hiện thời với báo hiệu nổi, tính đến mực nước “số 0 hải đồ” với báo hiệu cố định, tính bằng mét (m);
- hRr là chiều cao của ăng ten radar so với mực nước biển hiện thời, tính bằng mét (m);
- Hệ số 2,2 thể hiện sự ảnh hưởng của độ cong bề mặt trái đất và hiện tượng khúc xạ sóng điện từ của báo hiệu racon khi truyền qua khí quyển.

Hình 4: Hình minh họa tầm nhìn địa lý của báo hiệu racon
4.3.1.2 Xác định khoảng cách xa nhất mà racon nhận biết được tín hiệu từ radar (d1max)
Khoảng cách xa nhất mà racon nhận biết được tín hiệu từ radar được xác định bằng công thức:
|
| (13) |
Trong đó:
- d1max là khoảng cách xa nhất mà racon nhận biết được tín hiệu từ radar, tính bằng mét (m);
-
là chiều dài bước sóng của radar, tính bằng mét (m);
- c là vận tốc truyền sáng trong chân không c = 3.108 m/s;
- fr là tần số của radar, tính bằng Hz;
- PT1 là công suất phát của radar, tính bằng dBm;
- S1 là độ nhạy thu của racon, tính bằng dBm;
- GT là độ lợi của ăng ten radar, tính bằng dBi;
- GR là độ lợi của ăng ten racon, tính bằng dBi;
4.3.1.3 Xác định khoảng cách xa nhất mà radar nhận biết được tín hiệu từ racon gửi tới (d2max)
Khoảng cách xa nhất mà radar nhận biết được tín hiệu từ racon gửi tới xác định bằng công thức:
|
| (14) |
Trong đó :
- d2max là khoảng cách xa nhất mà radar nhận biết được tín hiệu từ racon, tính bằng mét (m);
- PT2 là công suất phát của racon, tính bằng dBm;
- S2 là độ nhạy thu của radar, tính bằng dBm.
4.3.1.4 Xác định tầm hiệu lực của báo hiệu racon (Rr)
- Trong điều kiện thời tiết không có mưa, không có sương mù, độ cao sóng biển bằng 0 và không có vật che khuất giữa racon với radar thì tầm hiệu lực của báo hiệu racon Rr, tính bằng hải lý (NM), được xác định theo công thức:
| Rr = min (Rgr; d1max; d2max) | (15) |
Ghi chú:
- Tầm hiệu lực của racon trong thông báo hàng hải được tính toán khi tần số radar lấy bằng 9,4Ghz (dải X band), công suất phát của radar (PT1) được lấy bằng 4kW, chiều cao của ăng ten radar so với mực nước biển (hRr) được lấy bằng 5 mét, độ lợi của ăng ten radar (GT) được lấy bằng 25dBi và độ nhạy thu của radar (S2) được lấy bằng -95,5dBm.
- Do ảnh hưởng của hiện tượng giao thoa giữa sóng tới trực tiếp và sóng phản xạ từ mặt biển; nhiễu nền vô tuyến; điều kiện môi trường (nhiệt độ, độ ẩm, mưa, sóng biển, ...) nên tầm hiệu lực thực tế của Racon có sự sai khác so với tầm hiệu lực của racon được thông báo hàng hải.
4.3.2 Phương pháp tính toán tầm hiệu lực của báo hiệu hàng hải AIS
4.3.2.1 Xác định tầm nhìn địa lý giữa báo hiệu hàng hải AIS và thiết bị thu AIS (Dga)
Tầm nhìn địa lý giữa báo hiệu hàng hải AIS và thiết bị thu AIS được xác định theo công thức:
|
| (16) |
Trong đó:
- Rga là tầm nhìn địa lý giữa báo hiệu hàng hải AIS và thiết bị thu AIS, tính bằng hải lý (NM);
- hTa là chiều cao của ăng ten thiết bị báo hiệu AIS tính đến mực nước biển hiện thời với báo hiệu nổi, tính đến mực nước “số 0 hải đồ” với báo hiệu cố định, tính bằng mét (m);
- hRa là chiều cao của ăng ten của thiết bị thu AIS so với mực nước biển hiện thời, tính bằng mét (m);
- 2,55 là hệ số thể hiện sự ảnh hưởng của độ cong bề mặt quả đất và hiện tượng khúc xạ sóng điện từ của báo hiệu AIS khi truyền qua khí quyển.

Hình 5: Hình minh họa tầm nhìn địa lý của báo hiệu hàng hải AIS
4.3.2.1 Xác định khoảng cách xa nhất mà thiết bị thu AIS nhận được tín hiệu do báo hiệu hàng hải AIS gửi đến (dmax)
Khoảng cách xa nhất mà thiết bị thu AIS nhận được tín hiệu do báo hiệu hàng hải AIS gửi đến được xác định theo công thức:
|
| (17) |
Trong đó :
- dmax là khoảng cách xa nhất mà thiết bị thu AIS nhận được tín hiệu do báo hiệu hàng hải AIS gửi đến, tính bằng mét (m);
-
là chiều dài bước sóng của báo hiệu AIS, tính bằng mét (m);
- c là vận tốc truyền sáng trong chân không c = 3x108 m/s;
- fa là tần số hoạt động của báo hiệu hàng hải AIS, tính bằng Hz;
- PT là công suất bức xạ tại ăng ten báo hiệu hàng hải AIS, tính bằng dBm;
- S là độ nhạy thu của thiết bị thiết bị thu AIS, tính bằng dBm;
- GT1 là độ lợi của ăng ten thiết bị thu AIS, tính bằng dBi;
- GR1 là độ lợi của ăng ten báo hiệu hàng hải AIS, tính bằng dBi.
4.3.2.2 Xác định tầm hiệu lực của báo hiệu hàng hải AIS (Ra)
Trong điều kiện thời tiết tiêu chuẩn và không có vật che khuất giữa báo hiệu AIS với thiết bị thu AIS thì tầm hiệu lực của báo hiệu hàng hải AIS được xác định theo công thức:
| Ra = min (Rga; dmax) | (18) |
Ghi chú:
- Tầm hiệu lực của báo hiệu AIS trong thông báo hàng hải được tính toán khi tần số hoạt động lấy bằng 162,025 MHz; chiều cao của ăng ten của thiết bị thu AIS so với mực nước biển (hRa) được lấy bằng 5 mét, độ lợi của ăng ten thiết bị thu AIS (GT1) được lấy bằng 5,5dBi và độ nhạy thu của thiết bị thu AIS (S) được lấy bằng -107dBm.
- Do ảnh hưởng của hiện tượng giao thoa giữa sóng tới trực tiếp và sóng phản xạ từ mặt biển; nhiễu nền vô tuyến; điều kiện môi trường (nhiệt độ, độ ẩm, mưa, sóng biển, ...) nên tầm hiệu lực thực tế của báo hiệu AIS có sự sai khác so với tầm hiệu lực của báo hiệu AIS được thông báo hàng hải.
4.4 Phương pháp tính toán tầm hiệu lực của báo hiệu âm thanh
- Cường độ âm thanh thuần khiết Nr do thiết bị âm thanh phát ra ở khoảng cách 1m được xác định theo công thức:
|
| (19) |
Trong đó :
+ ND là cường độ âm thanh thuần khiết do thiết bị âm thanh phát ra ở khoảng cách D, tính bằng dB;
+ Nr là cường độ âm thanh do thiết bị âm thanh phát ra ở khoảng cách Do do nhà sản xuất công bố, tính bằng dB;
+ D là khoảng cách từ điểm có cường độ âm thanh ND đến nguồn âm, tính bằng mét (m);
+ D0 là khoảng cách từ điểm có cường độ âm thanh Nr đến nguồn âm, tính bằng mét (m).
- Sử dụng cường độ âm thanh thuần khiết ND do thiết bị âm thanh phát ra ở khoảng cách 1,0 m và tần số âm thanh fs của nguồn âm, tra Bảng 4 để xác định tầm hiệu lực danh định (ứng với khả năng nhận biết được là 90%) của báo hiệu âm thanh (Pn) để thông báo hàng hải.
Bảng 4: Bảng tra tầm hiệu lực danh định của báo hiệu âm thanh (Pn)
| Cường độ âm thanh thuần khiết của báo hiệu âm thanh tại khoảng cách 1,0 m (dB) | ||||
| Pn (NM) fs(Hz) | 0,5 | 1 | 1,5 | 2 |
| 25 | 162 | 172 | 176 | 178 |
| 50 | 149 | 161 | 165 | 168 |
| 100 | 138 | 150 | 154 | 157 |
| 200 | 130 | 142 | 147 | 150 |
| 400 | 122 | 135 | 140 | 144 |
| 800 | 115 | 130 | 137 | 142 |
| 1000 | 113 | 129 | 137 | 144 |
| 1250 | 112 | 129 | 138 | 146 |
| 1600 | 110 | 130 | 140 | 150 |
| 2000 | 109 | 132 | 145 | 156 |
| 2500 | 108 | 136 | 151 | 166 |
| 3150 | 107 | 141 | 160 | 179 |
| 4000 | 109 | 150 | 177 | 199 |
5 Phương pháp kiểm tra tầm hiệu lực thực tế của báo hiệu
5.1 Kiểm tra tầm hiệu lực ban ngày thực tế của báo hiệu
Sử dụng phương tiện di chuyển từ xa về phía báo hiệu (hoặc từ phía báo hiệu ra xa) để quan sát báo hiệu; kết hợp hải đồ, la bàn, thiết bị định vị vệ tinh để xác định tầm hiệu lực ban ngày của báo hiệu (lưu ý ghi nhận điều kiện khí tượng thủy văn tại thời điểm kiểm tra).
5.2 Kiểm tra tầm hiệu lực ánh sáng thực tế của báo hiệu
Sử dụng phương tiện di chuyển từ xa về phía báo hiệu (hoặc từ phía báo hiệu ra xa) để quan sát báo hiệu; kết hợp hải đồ, la bàn, thiết bị định vị vệ tinh để xác định tầm hiệu lực ánh sáng của báo hiệu (lưu ý ghi nhận điều kiện khí tượng thủy văn tại thời điểm kiểm tra).
5.3 Kiểm tra tầm hiệu lực thực tế của racon
Sử dụng phương tiện thủy có trang bị radar hàng hải di chuyển từ xa về phía báo hiệu (hoặc từ phía báo hiệu ra xa) để thu tín hiệu và xác định tầm hiệu lực thực tế của racon (lưu ý ghi nhận điều kiện khí tượng thủy văn tại thời điểm kiểm tra).
5.4 Kiểm tra tầm hiệu lực thực tế của báo hiệu hàng hải AIS
Sử dụng phương tiện thủy có trang bị thiết bị nhận dạng tự động AIS di chuyển từ xa về phía báo hiệu (hoặc từ phía báo hiệu ra xa) để thu tín hiệu AIS của báo hiệu; kết hợp hải đồ, thiết bị định vị vệ tinh để xác định tầm hiệu lực của báo hiệu AIS (lưu ý ghi nhận điều kiện khí tượng thủy văn tại thời điểm kiểm tra).
5.5 Kiểm tra tầm hiệu lực thực tế của báo hiệu âm thanh
Sử dụng phương tiện thủy di chuyển từ xa về phía báo hiệu (hoặc từ phía báo hiệu ra xa) nhận biết tín hiệu âm thanh; kết hợp hải đồ, thiết bị định vị vệ tinh xác định tầm hiệu lực của báo hiệu của báo hiệu âm thanh (lưu ý ghi nhận điều kiện khí tượng thủy văn tại thời điểm kiểm tra).
6 Kiểm tra, xác định tầm hiệu lực ánh sáng của thiết bị báo hiệu trong phòng thí nghiệm
6.1 Xác định độ rọi đỉnh tức thời (Ep) của thiết bị báo hiệu trong phòng thí nghiệm
Sử dụng thiết bị đo độ rọi theo hướng dẫn tại Phụ lục C để xác định độ rọi đỉnh tức thời Ep.
6.2 Xác định cường độ sáng lớn nhất của chớp sáng (IP)
Xác định cường độ sáng lớn nhất của chớp sáng (lP) theo công thức:
| lP = EP. l2 | (20) |
Trong đó:
- IP là cường độ sáng lớn nhất của chớp sáng, tính bằng cadenla (cd);
- Ep là độ rọi sáng lớn nhất của chớp sáng, lấy giá trị trung bình của 3 lần đo, tính bằng lux;
- l là khoảng cách từ tâm nguồn sáng đến bề mặt cảm quang của thiết bị đo, tính bằng mét (m).
6.3 Xác định cường độ sáng hiệu dụng của chớp sáng (le)
- Xác định cường độ sáng hiệu dụng của chớp sáng (le) theo công thức:
|
| (21) |
Trong đó:
+ le là cường độ sáng hiệu dụng, tính bằng cadenla (cd);
+ lP là cường độ sáng lớn nhất của chớp sáng, tính bằng cadenla (cd);
+ t là thời gian chớp sáng ngắn nhất, tính bằng giây (s);
+ a là hằng số thời gian:
• a = 0,1 vào ban đêm đối với các chớp sáng (trừ ánh sáng màu xanh lam);
• a = 0,2 vào ban đêm đối chớp sáng màu xanh lam.
- Sau khi xác định được le, tầm hiệu lực ánh sáng của thiết bị báo hiệu hàng hải được xác định theo Đồ thị tại Phụ lục B (Hình 6); đối với trường hợp hệ số truyền quang T = 0,74 thì có thể xác định theo Bảng B1.
Phụ lục A (Tham khảo)
Bảng A1: Bảng tra tầm nhìn địa lý và cao độ điểm nhìn thấy thấp nhất tính toán của báo hiệu ban ngày với độ cao mắt người quan sát h0 = 5 m
| Chiều cao của báo hiệu hàng hải ban ngày (Hm) | Tầm nhìn địa lý của báo hiệu hàng hải ban ngày (Rgd) | Cao độ điểm nhìn thấy thấp nhất tính toán (hb,min) |
| (m) | (NM) | (m) |
| 1 | 6,57 | 0,00 |
| 2 | 7,41 | 0,00 |
| 3 | 8,06 | 0,00 |
| 4 | 8,60 | 0,00 |
| 5 | 9,08 | 0,00 |
| 6 | 9,51 | 0,00 |
| 7 | 9,91 | 0,00 |
| 8 | 10,28 | 0,03 |
| 9 | 10,63 | 0,17 |
| 10 | 10,96 | 0,41 |
| 11 | 11,27 | 0,72 |
| 12 | 11,57 | 1,09 |
| 13 | 11,86 | 1,49 |
| 14 | 12,13 | 1,93 |
Bảng A1: Bảng tra tầm nhìn địa lý và cao độ điểm nhìn thấy thấp nhất tính toán của báo hiệu ban ngày với độ cao mắt người quan sát h0 = 5 m
(Tiếp theo)
| Chiều cao của báo hiệu hàng hải ban ngày (Hm) | Tầm nhìn địa lý của báo hiệu hàng hải ban ngày (Rgd) | Cao độ điểm nhìn thấy thấp nhất tính toán (hb,min) |
| (m) | (NM) | (m) |
| 15 | 12,40 | 2,40 |
| 16 | 12,66 | 2,89 |
| 17 | 12,91 | 3,41 |
| 18 | 13,15 | 3,94 |
| 19 | 13,39 | 4,50 |
| 20 | 13,62 | 5,06 |
| 21 | 13,84 | 5,65 |
| 22 | 14,06 | 6,24 |
| 23 | 14,27 | 6,85 |
| 24 | 14,48 | 7,46 |
| 25 | 14,69 | 8,09 |
| 26 | 14,89 | 8,72 |
| 27 | 15,09 | 9,37 |
| 28 | 15,28 | 10,02 |
| 29 | 15,47 | 10,68 |
Bảng A1: Bảng tra tầm nhìn địa lý và cao độ điểm nhìn thấy thấp nhất tính toán của báo hiệu ban ngày với độ cao mắt người quan sát h0 = 5 m
(Tiếp theo)
| Chiều cao của báo hiệu hàng hải ban ngày (Hm) | Tầm nhìn địa lý của báo hiệu hàng hải ban ngày (Rgd) | Cao độ điểm nhìn thấy thấp nhất tính toán (hb,min) |
| (m) | (NM) | (m) |
| 30 | 15,66 | 11,34 |
| 31 | 15,84 | 12,02 |
| 32 | 16,02 | 12,69 |
| 33 | 16,20 | 13,38 |
| 34 | 16,38 | 14,07 |
| 35 | 16,55 | 14,76 |
| 36 | 16,72 | 15,46 |
| 37 | 16,89 | 16,17 |
| 38 | 17,05 | 16,88 |
| 39 | 17,22 | 17,59 |
| 40 | 17,38 | 18,31 |
| 41 | 17,54 | 19,03 |
| 42 | 17,70 | 19,76 |
| 43 | 17,85 | 20,49 |
Bảng A1: Bảng tra tầm nhìn địa lý và cao độ điểm nhìn thấy thấp nhất tính toán của báo hiệu ban ngày với độ cao mắt người quan sát h0 = 5 m
(Tiếp theo)
| Chiều cao của báo hiệu hàng hải ban ngày (Hm) | Tầm nhìn địa lý của báo hiệu hàng hải ban ngày (Rgd) | Cao độ điểm nhìn thấy thấp nhất tính toán (hb,min) |
| (m) | (NM) | (m) |
| 44 | 18,00 | 21,22 |
| 45 | 18,16 | 21,96 |
| 46 | 18,31 | 22,70 |
| 47 | 18,46 | 23,44 |
| 48 | 18,60 | 24,18 |
| 49 | 18,75 | 24,93 |
| 50 | 18,89 | 25,68 |
| 51 | 19,04 | 26,44 |
| 52 | 19,18 | 27,19 |
| 53 | 19,32 | 27,95 |
| 54 | 19,46 | 28,72 |
| 55 | 19,59 | 29,48 |
| 56 | 19,73 | 30,25 |
| 57 | 19,87 | 31,01 |
| 58 | 20,00 | 31,79 |
Bảng A1: Bảng tra tầm nhìn địa lý và cao độ điểm nhìn thấy thấp nhất tính toán của báo hiệu ban ngày với độ cao mắt người quan sát h0 = 5 m
(Tiếp theo)
| Chiều cao của báo hiệu hàng hải ban ngày (Hm) | Tầm nhìn địa lý của báo hiệu hàng hải ban ngày (Dgd) | Cao độ điểm nhìn thấy thấp nhất tính toán (hb,min) |
| (m) | (NM) | (m) |
| 59 | 20,13 | 32,56 |
| 60 | 20,26 | 33,33 |
| 65 | 20,90 | 37,24 |
| 70 | 21,71 | 41,19 |
| 80 | 22,69 | 49,2 |
| 90 | 23,79 | 57,34 |
| 100 | 24,84 | 65,59 |
Phụ lục B (Tham khảo)
Bảng B1: Bảng tra tầm hiệu lực ánh sáng của thiết bị báo hiệu hàng hải (Ds) theo cường độ ánh sáng hiệu dụng (le) với hệ số truyền quang T = 0,74
| Cường độ ánh sáng hiệu dụng (le) | Tầm hiệu lực ánh sáng của thiết bị báo hiệu hàng hải (Ds) | Cường độ ánh sáng hiệu dụng (le) | Tầm hiệu lực ánh sáng của thiết bị báo hiệu hàng hải (Ds) | Cường độ ánh sáng hiệu dụng (le) | Tầm hiệu lực ánh sáng của thiết bị báo hiệu hàng hải (Ds) |
| (cd) | (NM) | (103 cd) | (NM) | (106 cd) | (NM) |
| 1 ÷ 2 | 1 | 0,633 ÷ 1,06 | 9 | 0,927 ÷ 1,35 | 26 |
| 3 ÷ 9 | 2 | 1,07 ÷ 1,75 | 10 | 1,36 ÷ 1,96 | 27 |
| 10 ÷ 23 | 3 | 1,76 ÷ 2,84 | 11 | 1,97 ÷ 2,84 | 28 |
| 24 ÷ 53 | 4 | 2,85 ÷ 4,53 | 12 | 2,85 ÷ 4,11 | 29 |
| 54 ÷ 107 | 5 | 4,54 ÷ 7,13 | 13 | 4,12 ÷ 5,93 | 30 |
| 108 ÷ 203 | 6 | 7,14 ÷ 11,1 | 14 | 5,94 ÷ 8,53 | 31 |
| 204 ÷ 364 | 7 | 11,2 ÷ 17,1 | 15 | 8,54 ÷ 12,2 | 32 |
| 365 ÷ 632 | 8 | 17,2 ÷ 26,1 | 16 | 12,3 ÷ 17,5 | 33 |
|
|
| 26,2 ÷ 39,7 | 17 | 17,6 ÷ 25,1 | 34 |
|
|
| 39,8 ÷ 59,9 | 18 | 25,2 ÷ 35,9 | 35 |
|
|
| 60,0 ÷ 89,8 | 19 | 36,0 ÷ 51,2 | 36 |
|
|
| 89,9 ÷ 133 | 20 | 51,3 ÷ 72,9 | 37 |
|
|
| 134 ÷ 198 | 21 | 73,0 ÷ 103 | 38 |
|
|
| 199 ÷ 293 | 22 | 104 ÷ 147 | 39 |
|
|
| 294 ÷ 432 | 23 | 148 ÷ 209 | 40 |
|
|
| 433 ÷ 634 | 24 |
|
|
|
|
| 635 ÷ 926 | 25 |
|
|

Hình 6: Đồ thị tầm hiệu lực ánh sáng của thiết bị báo hiệu hàng hải (Ds) theo cường độ ánh sáng hiệu dụng (le)
Phụ lục C (Tham khảo)
Hướng dẫn cách đo độ rọi đỉnh tức thời Ep của thiết bị báo hiệu hàng hải trong phòng thí nghiệm
1 Yêu cầu đo
1.1 Yêu cầu chung về điều kiện môi trường:
- Nhiệt độ môi trường xung quanh là 25,0°C±1,2°C đối với nguồn sáng là LED hoặc ± 3,0°C với các loại nguồn sáng khác;
- Độ ẩm môi trường không vượt quá (60 ± 10)%.
- Không có khói, bụi, hơi nước, rung cơ học, nhiễu điện từ và ánh sáng ảnh hưởng đến độ chính xác của phép đo.
1.2 Yêu cầu về nguồn cung cấp điện:
- Đối với đèn báo hiệu hàng hải được cấp nguồn xoay chiều, sai số điện áp đặt vào đèn phải trong phạm vi ±0,5% điện áp danh định và độ lệch tần số không vượt quá 3% tần số danh định.
- Đối với đèn báo hiệu hàng hải cáp nguồn một chiều, sai số điện áp đặt vào vào đèn phải trong phạm vi ±0,1% điện áp danh định và hệ số gợn sóng điện áp một chiều không vượt quá 0,4%.
- Các thiết bị LED cần phải được cung cấp nguồn điện với khoảng dung sai ± 0,4 % đối với điện áp xoay chiều và ± 0,2 % đối với điện áp một chiều.
1.3 Yêu cầu thiết bị đo:
- Hệ số sai lệch quang phổ của thiết bị đo độ rọi phải không vượt quá 6%.
- Độ nhạy phép đo của thiết bị đo độ rọi lớn hơn 0,001 lux và độ tuyến tính phải lớn hơn 1 %.
- Thiết bị đo độ rọi phải đo được giá trị tức thời của đại lượng trắc quang với thời gian phản hồi không lớn hơn 10 μs và tần số lấy mẫu không nhỏ hơn 1 kHz.
+ Dải bước sóng của thiết bị đo độ rọi phải bao phủ tối thiểu từ bước sóng 380 nm đến 780 nm, với sai lệch bước sóng không quá ±0,5 nm và độ tuyến tính trắc quang trong dải đo không quá 1%.
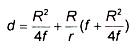
1.4 Yêu cầu khoảng cách đo:
- Khoảng cách đo tối thiểu giữa tâm sáng của thiết bị báo hiệu và tâm cảm biến quang của thiết bị đo độ rọi được xác định theo công thức:
|
| (22) |
Trong đó:
d là khoảng cách đo tối thiểu, tính bằng mét (m);
f là tiêu cự hệ thống quang học, tính bằng mét (m);
R là bán kính khẩu độ quang học, tính bằng mét (m);
r là bán kính nguồn sáng, tính bằng mét (m).

Hình 7 - Thông số tính toán khoảng cách đo tối thiểu yêu cầu
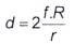
- Xác định khoảng cách đo tối thiểu gần đúng theo công thức:
|
| (23) |
Ghi chú: Khoảng cách đo tối thiểu đối với các thấu kính của thiết bị báo hiệu hàng hải thông dụng là khoảng 50 m đến 300 m.
2 Công tác chuẩn bị
- Chuẩn bị thiết bị đo độ rọi đáp ứng yêu cầu;
- Thiết bị đo độ rọi phải được gắn cố định chắc chắn, đảm bảo khoảng cách đo tối thiểu sao cho cảm biến quang của thiết bị đo độ rọi nằm trên trục quang học và mặt phẳng chứa cảm biến quang của thiết bị đo độ rọi vuông góc với trục quang học của thấu kính đèn báo hiệu;
- Cài đặt đèn báo hiệu hàng hải cần đo làm việc theo đặc tính ánh sáng quy định trong thời gian đủ lâu để đạt được sự cân bằng trắc quang, ổn định điện và ổn định nhiệt, ở trạng thái ổn định, giá trị trắc quang đo được sau mỗi 5 phút qua 3 lần đo liên tiếp không quá 5%.
3 Tiến hành đo:
Sử dụng thiết bị đo độ rọi đo giá trị độ rọi đỉnh tức thời Ep với khoảng thời gian đo không ít hơn một chu kỳ, số lần đo tối thiểu là 3 lần. Nếu sai lệch số đo 03 lần quá 1% thì phải thực hiện lại phép đo.
Thư mục tài liệu tham khảo
[1] Quy chuẩn kỹ thuật quốc gia về báo hiệu hàng hải QCVN 20:2015/BGTVT được ban hành kèm theo Thông tư số 75/2015/TT-BGTVT ngày 24/11/2015 của Bộ trưởng Bộ Giao thông vận tải.
[2] IALA Guideline G1094 Daymarks for Aids to Navigation, 06/2016 (Hướng dẫn G1094 của IALA về nhận biết ban ngày của Báo hiệu hàng hải, 06/2016).
[3] Bảng mã màu tiêu chuẩn do Viện đảm bảo chất lượng và ghi nhãn RAL của Đức (RAL FARBEN) công bố năm 2024.
[4] IALA Recommendation R0202 (E200-2) Marine Signal Lights - Calculation, Definition and Notation of Luminous Range, 12/2017 (Khuyến cáo R0202 của IALA về tín hiệu ánh sáng của Báo hiệu hàng hải - Khái niệm, ký hiệu và tính toán, 12/2017).
[5] IALA Recommendation V-128 On Technical Performance Requirements for VTS Equipment, 6/2004 (Khuyến cáo V-128 của IALA về Yêu cầu kỹ thuật đối với thiết bị VTS, 6/2004).
[6] Hướng dẫn tính toán tầm hiệu lực Racon của hãng Tideland 12/1995.
[7] IALA Guideline G1098 The Application of AIS - AtoN on Buoys, 5/2013 (Hướng dẫn G1098 của IALA về Sử dụng báo hiệu hàng hải AIS trên phao báo hiệu, 5/2013).
[8] IALA Recommendation R0109 (E109) The Calculation of the Range of a Sound signal, 6/1998 (Khuyến cáo R0109 của IALA về Tính toán tầm hiệu lực của báo hiệu âm thanh, 6/1998) và IALA Guideline G1090 The use of Audible Signals, 12/2012 (Hướng dẫn G1090 của IALA về Việc sử dụng báo hiệu âm thanh, 12/2012).
[9] IALA Recommendation R0203 (E200-3) Marine Signal Lights - Part 3 - Measurement, 12/2008 (Khuyến cáo R0203 (E200-3) của IALA về tín hiệu ánh sáng của Báo hiệu hàng hải - Đo lường, 12/2008).
[10] IALA Guideline G1135 Determination and Calculation of Effective Intensity, 12/2020 (Hướng dẫn G1135 của IALA về Tính toán và xác định cường độ hiệu dụng của ánh sáng, 12/2020).
[11] Measurement and Calculation of Effective Intensity of Aids to Navigation Light (Báo cáo về đo lường và tính toán cường độ ánh sáng hiệu dụng của thiết bị báo hiệu hàng hải của WG1 trong Hội đồng kỹ thuật của IALA do cơ quan Bảo đảm an toàn hàng hải Trung Quốc thực hiện)
[12] Thông tư số 27/2021/TT-BGTVT ngày 30/11/2021 của Bộ Giao thông vận tải.
MỤC LỤC
Lời nói đầu
1 Phạm vi áp dụng
2 Thuật ngữ, định nghĩa và từ viết tắt
2.1 Thuật ngữ và định nghĩa
2.2 Từ viết tắt
3 Phân loại báo hiệu hàng hải
4 Phương pháp tính toán tầm hiệu lực của báo hiệu hàng hải
4.1 Phương pháp tính toán tầm hiệu lực ban ngày của báo hiệu hàng hải
4.2 Phương pháp tính toán tầm hiệu lực ánh sáng của báo hiệu hàng hải
4.3 Phương pháp tính toán tầm hiệu lực của báo hiệu vô tuyến
4.4 Phương pháp tính toán tầm hiệu lực của báo hiệu âm thanh
5 Phương pháp kiểm tra tầm hiệu lực thực tế của báo hiệu
5.1 Kiểm tra tầm hiệu lực ban ngày thực tế của báo hiệu
5.2 Kiểm tra tầm hiệu lực ánh sáng thực tế của báo hiệu
5.3 Kiểm tra tầm hiệu lực thực tế của racon
5.4 Kiểm tra tầm hiệu lực thực tế của báo hiệu hàng hải AIS
5.5 Kiểm tra tầm hiệu lực thực tế của báo hiệu âm thanh
6 Kiểm tra, xác định tầm hiệu lực ánh sáng của thiết bị báo hiệu trong phòng thí nghiệm
6.1 Xác định độ rọi đỉnh tức thời (Ep) của thiết bị báo hiệu trong phòng thí nghiệm
6.2 Xác định cường độ sáng lớn nhất của chớp sáng (Ip)
6.3 Xác định cường độ sáng hiệu dụng của chớp sáng (le)
Phụ lục A (Tham khảo)
Bảng A1: Bảng tra tầm nhìn địa lý và cao độ điểm nhìn thấy thấp nhất tính toán của báo hiệu ban ngày với độ cao mắt người quan sát h0 = 5 mét
Phụ lục B (Tham khảo)
Bảng B1 - Bảng tra tầm hiệu lực ánh sáng của thiết bị báo hiệu hàng hải (Ds) theo cường độ ánh sáng hiệu dụng (le) với hệ số truyền quang T = 0,74
Phụ lục C (Tham khảo)
Hướng dẫn cách đo độ rọi đỉnh tức thời Ep của thiết bị báo hiệu hàng hải trong phòng thí nghiệm
Thư mục tài liệu tham khảo
Bạn chưa Đăng nhập thành viên.
Đây là tiện ích dành cho tài khoản thành viên. Vui lòng Đăng nhập để xem chi tiết. Nếu chưa có tài khoản, vui lòng Đăng ký tại đây!

