- Tổng quan
- Nội dung
- VB gốc
- Tiếng Anh
- Hiệu lực
- VB liên quan
- Lược đồ
-
Nội dung hợp nhất
Tính năng này chỉ có tại LuatVietnam.vn. Nội dung hợp nhất tổng hợp lại tất cả các quy định còn hiệu lực của văn bản gốc và các văn bản sửa đổi, bổ sung, đính chính... trên một trang. Việc hợp nhất văn bản gốc và những văn bản, Thông tư, Nghị định hướng dẫn khác không làm thay đổi thứ tự điều khoản, nội dung.
Khách hàng chỉ cần xem Nội dung hợp nhất là có thể nắm bắt toàn bộ quy định hiện hành đang áp dụng, cho dù văn bản gốc đã qua nhiều lần chỉnh sửa, bổ sung.
- Tải về
Nghị quyết 32/2025/NQ-HĐND Hải Phòng quy định nguyên tắc tiêu chí định mức bổ sung vốn đầu tư công
| Cơ quan ban hành: | Hội đồng nhân dân Thành phố Hải Phòng |
Số công báo:
Số công báo là mã số ấn phẩm được đăng chính thức trên ấn phẩm thông tin của Nhà nước. Mã số này do Chính phủ thống nhất quản lý.
|
Đang cập nhật |
| Số hiệu: | 32/2025/NQ-HĐND | Ngày đăng công báo: | Đang cập nhật |
| Loại văn bản: | Nghị quyết | Người ký: | Lê Văn Hiệu |
| Trích yếu: | Quy định nguyên tắc, tiêu chí, định mức bổ sung có mục tiêu từ nguồn vốn đầu tư công ngân sách thành phố cho ngân sách cấp xã giai đoạn 2026 - 2030 | ||
|
Ngày ban hành:
Ngày ban hành là ngày, tháng, năm văn bản được thông qua hoặc ký ban hành.
|
10/12/2025 |
Ngày hết hiệu lực:
Ngày hết hiệu lực là ngày, tháng, năm văn bản chính thức không còn hiệu lực (áp dụng).
|
Đang cập nhật |
|
Áp dụng:
Ngày áp dụng là ngày, tháng, năm văn bản chính thức có hiệu lực (áp dụng).
|
Đã biết
|
Tình trạng hiệu lực:
Cho biết trạng thái hiệu lực của văn bản đang tra cứu: Chưa áp dụng, Còn hiệu lực, Hết hiệu lực, Hết hiệu lực 1 phần; Đã sửa đổi, Đính chính hay Không còn phù hợp,...
|
Đã biết
|
| Lĩnh vực: | Tài chính-Ngân hàng Đầu tư | ||
TÓM TẮT NGHỊ QUYẾT 32/2025/NQ-HĐND
Nội dung tóm tắt đang được cập nhật, Quý khách vui lòng quay lại sau!
Tải Nghị quyết 32/2025/NQ-HĐND
| HỘI ĐỒNG NHÂN DÂN | CỘNG HÒA XÃ HỘI CHỦ NGHĨA VIỆT NAM |
| Số: 32/2025/NQ-HĐND | Hải Phòng, ngày 10 tháng 12 năm 2025 |
NGHỊ QUYẾT
Quy định nguyên tắc, tiêu chí, định mức bổ sung có mục tiêu từ nguồn vốn đầu tư công ngân sách thành phố cho ngân sách cấp xã giai đoạn 2026 – 2030
Căn cứ Luật Tổ chức chính quyền địa phương số 72/2025/QH15;
Căn cứ Luật Ban hành văn bản quy phạm pháp luật số 64/2025/QH15 được sửa đổi, bổ sung bởi Luật số 87/2025/QH15;
Căn cứ Luật Ngân sách nhà nước số 89/2025/QH15;
Căn cứ Luật Đầu tư công số 58/2024/QH15 được sửa đổi, bổ sung bởi Luật số số 90/2025/QH15;
Căn cứ Nghị quyết 202/2025/QH15 về sắp xếp đơn vị hành chính cấp tỉnh; Căn cứ Nghị quyết số 70/2025/UBTVQH15 quy định về nguyên tắc, tiêu chí và định mức phân bổ vốn đầu tư công nguồn ngân sách nhà nước giai đoạn 2026 - 2030;
Thực hiện Nghị quyết số 1669/NQ-UBTVQH15 về việc sắp xếp các đơn vị hành chính cấp xã của thành phố Hải Phòng năm 2025;
Xét Tờ trình số 318/TTr-UBND ngày 08 tháng 12 năm 2025 của Ủy ban nhân dân thành phố về việc quy định nguyên tắc, tiêu chí, định mức bổ sung có mục tiêu từ nguồn vốn đầu tư công ngân sách thành phố Hải Phòng cho ngân sách cấp xã giai đoạn 2026 - 2030; các Báo cáo thẩm tra của Ban Kinh tế - Ngân sách; ý kiến thảo luận của đại biểu Hội đồng nhân dân tại kỳ họp;
Hội đồng nhân dân ban hành Nghị quyết quy định nguyên tắc, tiêu chí, định mức bổ sung có mục tiêu từ nguồn vốn đầu tư công ngân sách thành phố cho ngân sách cấp xã giai đoạn 2026 - 2030.
Điều 1. Phạm vi điều chỉnh
Nghị quyết này quy định các nguyên tắc, tiêu chí, định mức bổ sung có mục tiêu từ nguồn vốn đầu tư công ngân sách thành phố cho ngân sách cấp xã giai đoạn 2026 - 2030, làm căn cứ để phân bổ, bố trí kế hoạch vốn đầu tư công, quản lý, kiểm tra thực hiện kế hoạch đầu tư công trung hạn và hằng năm của các xã, phường đặc khu trên địa bàn thành phố.
Điều 2. Đối tượng áp dụng
1. Hội đồng nhân dân các cấp trên địa bàn thành phố.
2. Ủy ban nhân dân các cấp trên địa bàn thành phố.
3. Các cơ quan, tổ chức, cá nhân có liên quan trong việc sử dụng vốn đầu tư công trên địa bàn thành phố.
Điều 3. Nguyên tắc và thứ tự ưu tiên thực hiện bổ sung có mục tiêu từ nguồn vốn đầu tư công ngân sách thành phố cho ngân sách cấp xã giai đoạn 2026-2030
1. Phù hợp với các quy định của Luật Đầu tư công, Luật Ngân sách nhà nước và các quy định liên quan.
2. Số bổ sung có mục tiêu được tính toán một cách khoa học, công bằng, ổn định trên cơ sở các tiêu chí và định mức.
a) Đối với số điểm và số vốn bổ sung có mục tiêu từ ngân sách thành phố cho ngân sách xấp xã được tính toán trên 4 nhóm tiêu chí quy định tại Điều 4 Nghị quyết này Hội đồng nhân dân cấp xã chịu trách nhiệm bố trí vốn bổ sung có mục tiêu cho các chương trình, dự án cấp xã quản lý do cấp có thẩm quyền quyết định chủ trương đầu tư và quyết định đầu tư theo nguyên tắc, thứ tự ưu tiên quy định tại Nghị quyết này, tạo điều kiện để thu hút tối đa các nguồn vốn khác cho đầu tư phát triển.
Riêng đối với đặc khu Bạch Long Vĩ: Ủy ban nhân dân thành phố bố trí vốn bổ sung có mục tiêu cho các chương trình, dự án cấp xã quản lý do cấp có thẩm quyền quyết định chủ trương đầu tư và quyết định đầu tư.
b) Đối với số điểm và số vốn bổ sung có mục tiêu từ ngân sách thành phố cho ngân sách cấp xã quy định tại Điều 5 Nghị quyết này Hội đồng nhân dân thành phố quyết định việc bố trí vốn bổ sung có mục tiêu cho các chương trình, dự án cụ thể cấp xã quản lý do cấp có thẩm quyền quyết định chủ trương đầu tư và quyết định đầu tư.
Trước khi quyết định chủ trương đầu tư hoặc điều chỉnh nguồn vốn đầu tư dự án để sử dụng nguồn vốn này, cấp có thẩm quyền quyết định chủ trương đầu tư trình Hội đồng nhân dân thành phố xem xét, cho ý kiến về chủ trương.
3. Các địa phương chỉ bố trí vốn cho các chương trình, nhiệm vụ, dự án đủ điều kiện theo quy định của Luật Đầu tư công và các văn bản pháp luật có liên quan. Thời gian bố trí vốn thực hiện dự án phải bảo đảm theo quy định tại Điều 57 của Luật Đầu tư công số 58/2024/QH15 được sửa đổi, bổ sung bởi Luật số 90/2025/QH15.
4. Thứ tự ưu tiên phân bổ vốn đầu tư công nguồn ngân sách nhà nước giai đoạn 2026-2030 thực hiện theo quy định tại khoản 4 Điều 54 Luật Đầu tư công, được sửa đổi, bổ sung bởi Luật số 90/2025/QH15 và các quy định liên quan.
5. Việc bố trí vốn kế hoạch cho chương trình, dự án khởi công mới phải đáp ứng các yêu cầu tại khoản 5 Điều 54 Luật Đầu tư công.
6. Các địa phương đầu tư tập trung, có trọng tâm, trọng điểm, hiệu quả; bảo đảm không dàn trải, manh mún.
7. Bảo đảm công khai, minh bạch, công bằng trong việc phân bổ vốn kế hoạch đầu tư công, góp phần đẩy mạnh cải cách hành chính và tăng cường công tác phòng, chống tham nhũng, thực hành tiết kiệm, chống lãng phí.
Điều 4. Tiêu chí và định mức bổ sung có mục tiêu từ nguồn vốn đầu tư công ngân sách thành phố cho ngân sách cấp xã giai đoạn 2026-2030.
1. Tiêu chí bổ sung có mục tiêu từ ngân sách thành phố cho ngân sách cấp xã gồm 04 nhóm
a) Tiêu chí dân số: Quy mô dân số.
b) Tiêu chí diện tích: Diện tích tự nhiên.
c) Tiêu chí trình độ phát triển: Tỷ lệ hộ nghèo.
d) Tiêu chí đơn vị hành chính hải đảo.
2. Các mức tính điểm mỗi tiêu chí
a) Tiêu chí dân số (gọi là A): Quy mô dân số các xã được tính điểm cụ thể như sau:
| Dân số trung bình | Số điểm |
| Từ 0 đến 20.000 người | 10 |
| Trên 20.000 đến 40.000 người, từ 0 đến 20.000 người được tính 10 điểm, phần còn lại cứ 4.000 người được tính thêm | 2 |
| Trên 40.000 đến 80.000, từ 0 đến 40.000 người được tính 20 điểm, phần còn lại cứ 4.000 được tính | 1 |
| Trên 80.000 người, từ 0 đến 80.000 người được tính 30 điểm, phần còn lại cứ 4.000 người được tính thêm | 0,5 |
Quy mô dân số của các địa phương để tính điểm căn cứ vào số liệu của Đề án số 381/ĐA-CP ngày 09/5/2025 của Chính phủ về Đề án sắp xếp đơn vị hành chính cấp xã của thành phố Hải Phòng (mới) năm 2025.
b) Tiêu chí diện tích (gọi là B): Quy mô diện tích tự nhiên các xã được tính điểm cụ thể như sau:
| Diện tích tự nhiên | Số điểm |
| Từ 0 đến 20km2 được tính | 8 |
| Trên 20 đến 50km2; từ 0 đến 20 km2 được tính là 8 điểm, phần còn lại cứ 10 km2 tăng thêm được tính | 4 |
| Trên 50 đến 100km2, từ 0 đến 50 km2 được tính là 20 điểm, phần còn lại cứ 10 km2 tăng thêm được tính | 2 |
| Trên 100km2, từ 0 đến 100 km2 được tính là 30 điểm, phần còn lại cứ 10 km2 tăng thêm được tính | 0,5 |
Diện tích tự nhiên của các địa phương để tính điểm căn cứ vào số liệu của Đề án số 381/ĐA-CP ngày 09/5/2025 của Chính phủ về đề án sắp xếp đơn vị hành chính cấp xã của thành phố Hải Phòng (mới) năm 2025.
c) Tiêu chí trình độ phát triển (C): Tỷ lệ hộ nghèo các xã được tính điểm cụ thể như sau:
| Tỷ lệ hộ nghèo | Số điểm |
| - Trên 0 và đến 1% hộ nghèo được | 2 |
| - Trên 1%, trên 0 và đến 1% thì được tính 2 điểm, phần còn lại cứ 1% được tính | 1 |
Tỷ lệ hộ nghèo của các địa phương để tính điểm căn cứ vào số liệu của Sở Nông nghiệp và Môi trường cung cấp tại Văn bản số 9701/SNNMT-CCPTNT ngày 21/11/2025.
d) Tiêu chí về đơn vị hành chính hải đảo của địa phương (gọi là D)
| Đơn vị hành chính hải đảo | Số điểm |
| Mỗi đơn vị hành chính hải đảo được tính | 1 |
Tiêu chí đơn vị hành chính hải đảo để tính điểm căn cứ vào Nghị quyết số 1669/NQ-UBTVQH15 ngày 16/6/2025 của Ủy ban Thường vụ Quốc hội về việc sắp xếp các đơn vị hành chính cấp xã của thành phố Hải Phòng năm 2025.
3. Phương pháp tính định mức vốn bổ sung mục tiêu phân bổ
Căn cứ vào các tiêu chí và cách tính điểm mỗi tiêu chí cụ thể của các xã, phường, đặc khu theo quy định tại khoản 1, khoản 2 Điều này; mức vốn bổ sung có mục tiêu từ nguồn vốn đầu tư công nguồn ngân sách thành phố cho ngân sách cấp xã giai đoạn 2026-2030 được tính theo công thức sau:
a) Số điểm của xã, phường và đặc khu thứ i là Xi: Xi = Ai + Bi + Ci + Di
Trong đó:
- Ai là điểm Tiêu chí dân số của mỗi xã, phường và đặc khu thứ i.
- Bi là điểm Tiêu chí diện tích tự nhiên của mỗi xã, phường và đặc khu thứ i.
- Ci là điểm Tiêu chí trình độ phát triển của mỗi xã, phường và đặc khu thứ i.
- Di là điểm Tiêu chí về đơn vị hành chính hải đảo của địa phương của mỗi xã, phường và đặc khu thứ i.
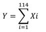
b) Tổng số điểm của các xã, phường, đặc khu được tính theo:
- Tổng số điểm của các xã, phường, đặc khu là Y:

c) Số vốn định mức cho một điểm phân bổ vốn đầu tư công cho ngân sách cấp xã gọi là W:
Trong đó:
W = Z/Y
Z là tổng số bổ sung có mục tiêu vốn đầu tư công nguồn ngân sách thành phố cho ngân sách cấp xã trong giai đoạn 2026-2030.
d) Số vốn bổ sung có mục tiêu từ nguồn vốn đầu tư công nguồn ngân sách thành phố cho ngân sách cấp xã thứ i là Vi:
Vi = W x Xi
Điều 5. Định mức bổ sung có mục tiêu từ nguồn vốn đầu tư công ngân sách thành phố cho ngân sách cấp xã giai đoạn 2026-2030 ngoài tiêu chí và định mức đã nêu tại Điều 4.
Bổ sung thêm số điểm tương ứng với 5% tổng số điểm đã tính cho các địa phương theo các tiêu chí và cách tính điểm trên để có nguồn lực bổ sung có mục tiêu từ ngân sách thành phố cho ngân sách cấp xã trong giai đoạn 2026 – 2030 để thực hiện các nhiệm vụ sau:
1. Hỗ trợ thực hiện một số chương trình, dự án quan trọng, có ý nghĩa lớn đối với phát triển kinh tế - xã hội, nhiệm vụ cụ thể của địa phương mà nguồn thu tiền sử dụng đất điều tiết ngân sách xã và nguồn ngân sách thành phố bổ sung có mục tiêu cho ngân sách cấp xã theo cách tính điểm của 04 nhóm tiêu chí đã nêu tại mục trên không bảo đảm.
2. Thực hiện các chương trình mục tiêu quốc gia và các chương trình, dự án khác của thành phố phần giao cho cấp xã thực hiện.
3. Hỗ trợ chi khắc phục thiên tai, thảm họa, dịch bệnh vượt quá khả năng cân đối của ngân sách cấp dưới.
Điều 6. Tổ chức thực hiện
1. Giao Ủy ban nhân dân thành phố chỉ đạo và tổ chức triển khai thực hiện Nghị quyết bảo đảm theo đúng quy định của pháp luật.
2. Giao Thường trực Hội đồng nhân dân thành phố thực hiện nhiệm vụ, quyền hạn của Hội đồng nhân dân thành phố quy định tại tiết 2 điểm b khoản 2 Điều 3 Nghị quyết này.
3. Giao Thường trực Hội đồng nhân dân thành phố, các ban của Hội đồng nhân dân thành phố, các tổ đại biểu, đại biểu Hội đồng nhân dân thành phố giám sát việc thực hiện Nghị quyết.
Điều 7. Hiệu lực thi hành
Nghị quyết này có hiệu lực thi hành kể từ ngày 01 tháng 01 năm 2026.
Nghị quyết này đã được Hội đồng nhân dân thành phố Hải Phòng khóa XVI, kỳ họp thứ 32 thông qua ngày 10 tháng 12 năm 2025./.
| Nơi nhận: | CHỦ TỊCH |
Bạn chưa Đăng nhập thành viên.
Đây là tiện ích dành cho tài khoản thành viên. Vui lòng Đăng nhập để xem chi tiết. Nếu chưa có tài khoản, vui lòng Đăng ký tại đây!
Bạn chưa Đăng nhập thành viên.
Đây là tiện ích dành cho tài khoản thành viên. Vui lòng Đăng nhập để xem chi tiết. Nếu chưa có tài khoản, vui lòng Đăng ký tại đây!