- Tổng quan
- Nội dung
- VB gốc
- Tiếng Anh
- Hiệu lực
- VB liên quan
- Lược đồ
-
Nội dung hợp nhất
Tính năng này chỉ có tại LuatVietnam.vn. Nội dung hợp nhất tổng hợp lại tất cả các quy định còn hiệu lực của văn bản gốc và các văn bản sửa đổi, bổ sung, đính chính... trên một trang. Việc hợp nhất văn bản gốc và những văn bản, Thông tư, Nghị định hướng dẫn khác không làm thay đổi thứ tự điều khoản, nội dung.
Khách hàng chỉ cần xem Nội dung hợp nhất là có thể nắm bắt toàn bộ quy định hiện hành đang áp dụng, cho dù văn bản gốc đã qua nhiều lần chỉnh sửa, bổ sung.
- Tải về
Nghị định 122/2026/NĐ-CP quy định xử lý vướng mắc dự án BOT giao thông
| Cơ quan ban hành: | Chính phủ |
Số công báo:
Số công báo là mã số ấn phẩm được đăng chính thức trên ấn phẩm thông tin của Nhà nước. Mã số này do Chính phủ thống nhất quản lý.
|
Đang cập nhật |
| Số hiệu: | 122/2026/NĐ-CP | Ngày đăng công báo: | Đang cập nhật |
| Loại văn bản: | Nghị định | Người ký: | Trần Hồng Hà |
| Trích yếu: | Quy định chi tiết về việc xử lý vướng mắc của dự án BOT giao thông | ||
|
Ngày ban hành:
Ngày ban hành là ngày, tháng, năm văn bản được thông qua hoặc ký ban hành.
|
03/04/2026 |
Ngày hết hiệu lực:
Ngày hết hiệu lực là ngày, tháng, năm văn bản chính thức không còn hiệu lực (áp dụng).
|
Đang cập nhật |
|
Áp dụng:
Ngày áp dụng là ngày, tháng, năm văn bản chính thức có hiệu lực (áp dụng).
|
Đã biết
|
Tình trạng hiệu lực:
Cho biết trạng thái hiệu lực của văn bản đang tra cứu: Chưa áp dụng, Còn hiệu lực, Hết hiệu lực, Hết hiệu lực 1 phần; Đã sửa đổi, Đính chính hay Không còn phù hợp,...
|
Đã biết
|
| Lĩnh vực: | Doanh nghiệp Tài chính-Ngân hàng Xây dựng Giao thông Đầu tư | ||
TÓM TẮT NGHỊ ĐỊNH 122/2026/NĐ-CP
Quy định chi tiết về xử lý vướng mắc của dự án BOT giao thông
Ngày 03/04/2026, Chính phủ đã ban hành Nghị định 122/2026/NĐ-CP quy định chi tiết về việc xử lý vướng mắc của dự án BOT giao thông. Nghị định này có hiệu lực từ ngày ký ban hành.
Nghị định này áp dụng đối với các cơ quan, tổ chức, cá nhân tham gia hoặc có liên quan đến dự án đầu tư kết cấu hạ tầng giao thông theo hình thức hợp đồng BOT được ký kết trước ngày 01/01/2021.
- Xử lý vướng mắc giảm doanh thu của các dự án BOT trong lĩnh vực đường bộ
Nghị định quy định chi tiết về việc xử lý các vướng mắc liên quan đến giảm doanh thu của các dự án BOT trong lĩnh vực đường bộ. Các dự án có phương án tài chính không bảo đảm hiệu quả khi phải điều chỉnh giảm số lượng trạm thu phí hoặc khi phương án tài chính không đủ để chi trả các khoản thuế, phí, chi phí quản lý, vận hành và bảo trì công trình dự án.
- Tỷ lệ chia sẻ phần giảm doanh thu
Nhà nước sẽ chia sẻ phần giảm doanh thu với nhà đầu tư, doanh nghiệp dự án theo tỷ lệ không quá 75% của phần chênh lệch giữa doanh thu trong phương án tài chính và doanh thu thực tế. Mức vốn nhà nước chia sẻ không quá 50% tổng mức đầu tư của dự án hoặc không quá 70% trong một số trường hợp đặc biệt.
- Điều kiện chi trả và nguyên tắc xác định chi phí bồi thường, chấm dứt hợp đồng trước thời hạn
Đối với các dự án BOT giao thông trong giai đoạn vận hành, kinh doanh có hợp đồng ký trước ngày 01/01/2021, nhà đầu tư, doanh nghiệp dự án có thể được chi trả chi phí bồi thường, chấm dứt hợp đồng trước thời hạn nếu dự án đã hoàn thành và đưa vào khai thác tối thiểu 2 năm nhưng không được thu phí, hoặc nếu dự án bị sụt giảm doanh thu nghiêm trọng.
- Trình tự thực hiện chia sẻ phần giảm doanh thu và thanh toán chi phí bồi thường
Nghị định cũng quy định chi tiết về trình tự thực hiện chia sẻ phần giảm doanh thu và thanh toán chi phí bồi thường, chấm dứt hợp đồng trước thời hạn. Các bên liên quan cần thực hiện các bước đàm phán, thống nhất và lập biên bản để xác định tỷ lệ và mức vốn nhà nước chia sẻ phần giảm doanh thu, cũng như các chi phí bồi thường khi chấm dứt hợp đồng trước thời hạn.
Xem chi tiết Nghị định 122/2026/NĐ-CP có hiệu lực kể từ ngày 03/04/2026
Tải Nghị định 122/2026/NĐ-CP
| CHÍNH PHỦ Số: 122/2026/NĐ-CP | CỘNG HÒA XÃ HỘI CHỦ NGHĨA VIỆT NAM Hà Nội, ngày 03 tháng 4 năm 2026 |
NGHỊ ĐỊNH
Quy định chi tiết về việc xử lý vướng mắc của dự án BOT giao thông
Căn cứ Luật Tổ chức Chính phủ số 63/2025/QH15;
Căn cứ Luật Đầu tư theo phương thức đối tác công tư số 64/2020/QH14;
Căn cứ Luật sửa đổi, bổ sung một số điều của Luật Quy hoạch, Luật Đầu tư, Luật Đầu tư theo phương thức đối tác công tư và Luật Đấu thầu số 57/2024/QH15;
Căn cứ Luật Đầu tư công số 58/2024/QH15;
Căn cứ Luật Ngân sách nhà nước số 89/2025/QH15;
Căn cứ Luật sửa đổi, bổ sung một số điều của Luật Đấu thầu, Luật Đầu tư theo phương thức đối tác công tư, Luật Hải quan, Luật Thuế giá trị gia tăng, Luật Thuế xuất khẩu, thuế nhập khẩu, Luật Đầu tư, Luật Đầu tư công, Luật Quản lý, sử dụng tài sản công số 90/2025/QH15;
Theo đề nghị của Bộ trưởng Bộ Xây dựng;
Chính phủ ban hành Nghị định quy định chi tiết về việc xử lý vướng mắc của dự án BOT giao thông.
Chương I
QUY ĐỊNH CHUNG
Điều 1. Phạm vi điều chỉnh
1. Nghị định này quy định chi tiết về:
a) Xử lý vướng mắc giảm doanh thu của các dự án BOT trong lĩnh vực đường bộ có hợp đồng được ký kết trước ngày 01 tháng 01 năm 2021 theo quy định tại Điều 99a Luật Đầu tư theo phương thức đối tác công tư (sau đây gọi là Luật PPP);
b) Điều kiện chi trả và nguyên tắc xác định chi phí bồi thường, chấm dứt hợp đồng trước thời hạn theo quy định tại điểm a khoản 2a Điều 52 Luật PPP đối với dự án BOT giao thông trong giai đoạn vận hành, kinh doanh có hợp đồng được ký kết trước ngày 01 tháng 01 năm 2021.
2. Đối với các dự án đầu tư theo phương thức đối tác công tư khác thực hiện theo quy định của Chính phủ về quy định chi tiết một số điều của Luật PPP.
Điều 2. Đối tượng áp dụng
Nghị định này áp dụng đối với cơ quan, tổ chức, cá nhân tham gia hoặc có liên quan đến dự án đầu tư kết cấu hạ tầng giao thông theo hình thức hợp đồng BOT được ký kết trước ngày 01 tháng 01 năm 2021.
Điều 3. Giải thích từ ngữ
1. Các bên là các bên ký kết hợp đồng dự án BOT, bao gồm: cơ quan ký kết hợp đồng, nhà đầu tư, doanh nghiệp dự án.
2. Dự án BOT giao thông là dự án đầu tư kết cấu hạ tầng giao thông theo hình thức hợp đồng BOT.
3. Dự án BOT trong lĩnh vực đường bộ là dự án đầu tư kết cấu hạ tầng đường bộ theo hình thức hợp đồng BOT.
Chương II
XỬ LÝ VƯỚNG MẮC GIẢM DOANH THU CỦA CÁC DỰ ÁN BOT TRONG LĨNH VỰC ĐƯỜNG BỘ
Điều 4. Xác định dự án có phương án tài chính không bảo đảm theo quy định tại điểm a khoản 2 Điều 99a Luật PPP
Dự án thuộc quy định tại điểm a khoản 2 Điều 99a Luật PPP có phương án tài chính được xác định không bảo đảm hiệu quả khi thuộc một trong các trường hợp sau đây:
1. Dự án phải điều chỉnh giảm số lượng trạm thu phí do thay đổi quy hoạch, chính sách, pháp luật có liên quan của Nhà nước theo đề xuất của một trong các bên ký kết hợp đồng và được cơ quan có thẩm quyền chấp thuận.
2. Phương án tài chính sau khi áp dụng để tính toán các biện pháp điều chỉnh theo quy định tại điểm c khoản 2 Điều 82 Luật PPP và tính toán điều chỉnh mức phí sử dụng dịch vụ đường bộ có thời gian thu phí đến 50 năm nhưng chưa bảo đảm mức doanh thu để chi trả: các khoản thuế, phí phải nộp; chi phí quản lý, vận hành khai thác và bảo trì công trình dự án; gốc vay và lãi vay theo phương án tài chính tại hợp đồng dự án.
Điều 5. Nội dung đàm phán, thống nhất giữa cơ quan ký kết hợp đồng, nhà đầu tư, doanh nghiệp dự án và bên cho vay theo quy định tại điểm c khoản 2 Điều 99a Luật PPP
Cơ quan ký kết hợp đồng, nhà đầu tư, doanh nghiệp dự án và bên cho vay theo quy định tại điểm c khoản 2 Điều 99a Luật PPP đàm phán, thống nhất các nội dung sau:
1. Xác định mức giảm tỷ suất lợi nhuận trên vốn chủ sở hữu, lãi suất vốn vay, điều chỉnh phương án trả nợ trong phương án tài chính theo quy định tại khoản 1 và khoản 2 Điều 7 Nghị định này;
2. Cập nhật tỷ lệ, mức vốn nhà nước chia sẻ phần giảm doanh thu quy định tại Điều 6 Nghị định này; tỷ suất lợi nhuận trên vốn chủ sở hữu, lãi suất vốn vay, điều chỉnh phương án trả nợ quy định tại khoản 1 Điều này, tính toán phương án tài chính điều chỉnh bảo đảm khả thi.
Điều 6. Tỷ lệ chia sẻ phần giảm doanh thu
1. Đối với dự án đáp ứng điều kiện quy định tại khoản 2 Điều 99a Luật PPP và quy định chi tiết tại Điều 4 và Điều 5 Nghị định này, Nhà nước chia sẻ phần giảm doanh thu với nhà đầu tư, doanh nghiệp dự án theo tỷ lệ phần chênh lệch giữa doanh thu trong phương án tài chính và doanh thu thực tế được xác định tại khoản 2 Điều này, việc chia sẻ được thực hiện một lần.
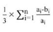
Tỷ lệ chia sẻ phần giảm doanh thu k ≤ 75% x 
ai: doanh thu năm thứ i trong phương án tài chính theo hợp đồng được ký kết trước thời điểm dự án bị ảnh hưởng do thay đổi quy hoạch, chính sách, pháp luật có liên quan của Nhà nước.
bi: doanh thu thực tế tại năm thứ i.
n: là 3 (03 năm gần nhất trước thời điểm tính toán).
3. Mức vốn nhà nước chia sẻ phần giảm doanh thu
a) Mức vốn nhà nước chia sẻ phần giảm doanh thu được xác định bằng tỷ lệ chia sẻ phần giảm doanh thu quy định tại khoản 2 Điều này nhân với tổng mức đầu tư dự án.
Mức vốn nhà nước chia sẻ = k x T
Trong đó:
k được xác định theo khoản 2 Điều này;
T là tổng mức đầu tư dự án xác định theo quyết định phê duyệt dự án hoặc quyết định phê duyệt điều chỉnh dự án, điều chỉnh tổng mức đầu tư (nếu có). Tổng mức đầu tư dự án quy định tại khoản này không bao gồm phần vốn nhà nước trong dự án quy định tại điểm a và điểm c khoản 1 Điều 69 Luật PPP.
b) Mức vốn nhà nước chia sẻ phần giảm doanh thu quy định tại điểm a khoản này bảo đảm vốn nhà nước trong dự án (bao gồm vốn nhà nước quy định tại điểm a và điểm c khoản 1 Điều 69 Luật PPP và vốn nhà nước chia sẻ phần giảm doanh thu tại điểm a khoản này) không quá 50% tổng mức đầu tư của dự án hoặc không quá 70% tổng mức đầu tư của dự án trong trường hợp quy định tại điểm a, điểm b khoản 2a và khoản 2b Điều 69 Luật PPP.
Điều 7. Trách nhiệm của nhà đầu tư, doanh nghiệp dự án và bên cho vay
1. Trên cơ sở doanh thu thực tế và kết quả tính toán mức vốn nhà nước chia sẻ phần giảm doanh thu quy định tại khoản 3 Điều 6 Nghị định này, nhà đầu tư, doanh nghiệp dự án và bên cho vay tính toán giảm tỷ suất lợi nhuận trên vốn chủ sở hữu, giảm lãi suất vốn vay, điều chỉnh phương án trả nợ trong phương án tài chính, bảo đảm phương án tài chính hiệu quả, không phát sinh tăng phí sử dụng dịch vụ đường bộ so với hợp đồng đã ký, không kéo dài thời gian thu phí so với hợp đồng đã ký.
2. Cơ quan ký kết hợp đồng và nhà đầu tư, doanh nghiệp dự án tính toán phương án tài chính điều chỉnh trên cơ sở:
a) Cập nhật doanh thu, chi phí thực tế của dự án, mức vốn nhà nước chia sẻ phần giảm doanh thu theo quy định tại khoản 3 Điều 6 Nghị định này, tỷ suất lợi nhuận trên vốn chủ sở hữu, lãi suất vốn vay theo quy định tại khoản 1 Điều này.
b) Xác định phương án trả nợ trong phương án tài chính điều chỉnh theo thứ tự ưu tiên: các khoản thuế phải nộp; chi phí quản lý, vận hành khai thác và bảo trì công trình dự án; trả nợ vốn vay, lãi vay, vốn chủ sở hữu, lợi nhuận vốn chủ sở hữu.
3. Căn cứ phương án tài chính điều chỉnh tại khoản 2 Điều này, nhà đầu tư, doanh nghiệp dự án đàm phán với bên cho vay, điều chỉnh phương án trả nợ trong hợp đồng tín dụng bảo đảm không phát sinh dư nợ lãi vay trong năm tính toán và không chuyển nhóm nợ đối với khoản vay của dự án.
4. Trong quá trình thực hiện hợp đồng theo phương án tài chính điều chỉnh tại khoản 2 Điều này, trường hợp doanh thu thực tế tăng cao hơn so với doanh thu dự kiến trong phương án tài chính điều chỉnh, các bên ký kết hợp đồng cập nhật phương án tài chính để rút ngắn thời gian thu phí của dự án. Cơ quan ký kết hợp đồng có trách nhiệm giám sát phần tăng doanh thu (nếu có) và thực hiện cập nhật phương án tài chính để rút ngắn thời gian thu phí của dự án.
Điều 8. Trình tự thực hiện chia sẻ phần giảm doanh thu
1. Căn cứ doanh thu thực tế của 03 năm gần nhất, nhà đầu tư, doanh nghiệp dự án thực hiện:
a) Rà soát, đối chiếu doanh thu thực tế của dự án và doanh thu quy định tại hợp đồng dự án;
b) Trường hợp dự án bị giảm doanh thu do thay đổi quy hoạch, chính sách, pháp luật có liên quan của Nhà nước, tính toán các biện pháp điều chỉnh theo quy định tại khoản 2 Điều 4 Nghị định này.
2. Sau khi đã tính toán theo quy định tại điểm b khoản 1 Điều này nhưng doanh thu thực tế của 03 năm gần nhất đạt dưới 75% mức doanh thu trong phương án tài chính tại hợp đồng dự án và thuộc quy định tại Điều 4 Nghị định này, nhà đầu tư, doanh nghiệp dự án đàm phán, thống nhất với bên cho vay các nội dung sau:
a) Tính toán, xác định tỷ lệ và mức vốn nhà nước chia sẻ phần giảm doanh thu theo quy định tại Điều 6 Nghị định này;
b) Tính toán, xác định mức giảm tỷ suất lợi nhuận trên vốn chủ sở hữu, mức giảm lãi suất vốn vay và dự kiến điều chỉnh phương án trả nợ trong phương án tài chính theo quy định tại Điều 7 Nghị định này.
c) Tính toán phương án tài chính dự kiến điều chỉnh trên cơ sở cập nhật các nội dung tại điểm a, điểm b khoản này.
d) Dự kiến điều chỉnh phương án trả nợ trong hợp đồng tín dụng theo quy định tại khoản 3 Điều 7 Nghị định này.
đ) Kết quả đàm phán các nội dung quy định tại khoản này được lập thành biên bản và được đại diện theo pháp luật của nhà đầu tư, doanh nghiệp dự án và bên cho vay ký, đóng dấu.
3. Trường hợp phương án tài chính điều chỉnh theo quy định tại khoản 2 Điều này bảo đảm hiệu quả, nhà đầu tư, doanh nghiệp dự án gửi văn bản đề nghị chia sẻ phần giảm doanh thu đến cơ quan ký kết hợp đồng, kèm theo hồ sơ bao gồm:
a) Thuyết minh báo cáo về các nội dung: thông tin chung dự án; quá trình thực hiện hợp đồng; báo cáo về tỷ lệ sụt giảm doanh thu giữa doanh thu trong phương án tài chính và doanh thu thực tế trong 03 năm gần nhất; đánh giá nguyên nhân giảm doanh thu; thuyết minh việc đáp ứng các điều kiện chia sẻ phần giảm doanh thu quy định tại Điều 99a Luật PPP và Điều 4 Nghị định này; xác định tỷ lệ và mức vốn nhà nước chia sẻ phần giảm doanh thu quy định tại Điều 6 Nghị định này; xác định trách nhiệm chia sẻ của nhà đầu tư, doanh nghiệp dự án và bên cho vay theo quy định tại khoản 1 Điều 7 Nghị định này; kết quả tính toán phương án tài chính điều chỉnh; nội dung thống nhất giữa bên cho vay với nhà đầu tư, doanh nghiệp dự án theo quy định tại khoản 2 Điều này; các nội dung cần thiết khác (nếu có);
b) Các tài liệu kèm theo: phương án tài chính dự kiến điều chỉnh; biên bản thống nhất giữa nhà đầu tư, doanh nghiệp dự án và bên cho vay theo quy định tại điểm d khoản 2 Điều này.
4. Trong vòng 45 ngày kể từ ngày nhận đủ hồ sơ, cơ quan ký kết hợp đồng thực hiện rà soát hồ sơ theo quy định tại Điều 4, Điều 5, Điều 6 và Điều 7 Nghị định này:
a) Trường hợp phù hợp, cơ quan ký kết hợp đồng phối hợp với nhà đầu tư, doanh nghiệp dự án và bên cho vay ký kết biên bản thống nhất xác định tỷ lệ và mức vốn nhà nước chia sẻ phần giảm doanh thu theo quy định tại Điều 6 Nghị định này, trách nhiệm của nhà đầu tư, doanh nghiệp dự án và bên cho vay theo quy định tại Điều 7 Nghị định này;
b) Trường hợp không phù hợp, cơ quan ký kết hợp đồng thông báo từ chối việc chia sẻ phần giảm doanh thu đến nhà đầu tư, doanh nghiệp dự án (trong đó nêu rõ lý do từ chối việc chia sẻ phần giảm doanh thu).
5. Trong vòng 10 ngày kể từ ngày các bên ký kết biên bản thống nhất quy định tại khoản 4 Điều này, cơ quan ký kết hợp đồng đề nghị Kiểm toán Nhà nước thực hiện kiểm toán phần giảm doanh thu và số tiền Nhà nước chia sẻ phần giảm doanh thu. Hồ sơ bao gồm:
a) Văn bản đề nghị Kiểm toán Nhà nước thực hiện kiểm toán phần giảm doanh thu và số tiền Nhà nước chia sẻ phần giảm doanh thu;
b) Hồ sơ quy định tại khoản 3 Điều này;
c) Biên bản thống nhất tại điểm a khoản 4 Điều này;
d) Văn bản của cấp có thẩm quyền về chủ trương đầu tư; quyết định phê duyệt dự án; quyết định phê duyệt điều chỉnh dự án, điều chỉnh tổng mức đầu tư (nếu có); hợp đồng dự án BOT; các văn bản, tài liệu có liên quan (nếu có).
6. Trường hợp cần thiết, cơ quan ký kết hợp đồng đề nghị nhà đầu tư, doanh nghiệp dự án đàm phán, thống nhất với bên cho vay cập nhật các nội dung theo quy định tại khoản 2 Điều này bảo đảm phù hợp với báo cáo kiểm toán của Kiểm toán Nhà nước.
7. Trong vòng 10 ngày kể từ ngày nhận được báo cáo kiểm toán của Kiểm toán Nhà nước (hoặc ngày nhận được báo cáo kết quả cập nhật theo quy định tại khoản 6 Điều này), cơ quan ký kết hợp đồng báo cáo cơ quan có thẩm quyền quyết định việc áp dụng chia sẻ phần giảm doanh thu, tỷ lệ và mức vốn nhà nước thực hiện chia sẻ doanh thu, trách nhiệm chia sẻ của nhà đầu tư, doanh nghiệp dự án và bên cho vay. Cơ quan có thẩm quyền xem xét, quyết định trong vòng 15 ngày kể từ ngày nhận được báo cáo của cơ quan ký kết hợp đồng.
8. Cơ quan ký kết hợp đồng phối hợp với nhà đầu tư, doanh nghiệp dự án thực hiện điều chỉnh hợp đồng dự án; nhà đầu tư, doanh nghiệp dự án phối hợp với bên cho vay thực hiện điều chỉnh hợp đồng tín dụng.
9. Căn cứ tình hình thực tiễn của ngành, địa phương về điều kiện sẵn có của từng nguồn vốn và mức độ ưu tiên của các nhiệm vụ chi ngân sách nhà nước trong từng thời kỳ, cơ quan có thẩm quyền của dự án xác định nguồn vốn khả thi để chi trả phần giảm doanh thu, báo cáo cấp có thẩm quyền theo quy định tương ứng đối với từng nguồn vốn theo thứ tự ưu tiên quy định tại điểm a, điểm b và điểm c khoản 3 Điều 82 Luật PPP, bảo đảm phù hợp quy định tại khoản 3a Điều 82 Luật PPP.
10. Trình tự, thủ tục về bố trí và thanh toán vốn nhà nước chia sẻ phần giảm doanh thu theo quy định của Chính phủ quy định cơ chế quản lý tài chính dự án đầu tư theo phương thức đối tác công tư và cơ chế thanh toán, quyết toán đối với dự án áp dụng loại hợp đồng BT. Vốn nhà nước chia sẻ phần giảm doanh thu được giải ngân về tài khoản của doanh nghiệp dự án hoặc tài khoản của nhà đầu tư (trường hợp dự án không thành lập doanh nghiệp dự án) mở tại ngân hàng cung cấp tín dụng theo quy định tại hợp đồng dự án. Cơ quan ký kết hợp đồng có trách nhiệm giám sát việc sử dụng vốn nhà nước thực hiện chia sẻ phần giảm doanh thu bảo đảm mục đích của dự án.
Chương III
ĐIỀU KIỆN CHI TRẢ, NGUYÊN TẮC XÁC ĐỊNH CHI PHÍ BỒI THƯỜNG, CHẤM DỨT HỢP ĐỒNG TRƯỚC THỜI HẠN DỰ ÁN BOT GIAO THÔNG
Điều 9. Điều kiện chi trả chi phí bồi thường, chấm dứt hợp đồng trước thời hạn
Đối với dự án BOT giao thông trong giai đoạn vận hành, kinh doanh có hợp đồng được ký kết trước ngày 01/01/2021, nhà đầu tư, doanh nghiệp dự án được chi trả chi phí bồi thường, chấm dứt hợp đồng trước thời hạn theo quy định tại điểm a khoản 2a Điều 52 Luật PPP khi đáp ứng một trong các điều kiện sau đây:
1. Dự án hoặc hạng mục công trình thuộc dự án đã hoàn thành theo quy định của pháp luật về xây dựng và đưa vào khai thác, sử dụng tối thiểu 2 năm nhưng nhà đầu tư, doanh nghiệp dự án không được thu phí để hoàn vốn theo hợp đồng dự án.
2. Dự án bị sụt giảm doanh thu, các bên đã tính toán phương án tài chính điều chỉnh trên cơ sở dự kiến mức vốn nhà nước chia sẻ phần giảm doanh thu theo Điều 6 Nghị định này, giảm tỷ suất lợi nhuận trên vốn chủ sở hữu, giảm lãi suất vốn vay theo Điều 7 Nghị định này. Sau khi tính toán, dự án có thời gian thu phí đến 50 năm nhưng chưa bảo đảm mức doanh thu để chi trả: các khoản thuế, phí phải nộp; chi phí quản lý, vận hành khai thác và bảo trì công trình dự án; gốc vay và lãi vay theo phương án tài chính điều chỉnh.
Điều 10. Nguyên tắc xác định chi phí bồi thường, chấm dứt hợp đồng trước thời hạn
1. Chi phí bồi thường, chấm dứt hợp đồng trước thời hạn được xác định trên cơ sở các thông số như sau:
a) Tổng vốn đầu tư xây dựng công trình dự án (bao gồm lãi vay trong giai đoạn xây dựng, không bao gồm vốn nhà nước tham gia thực hiện dự án) xác định theo giá trị quyết toán sau khi đã thực hiện giảm trừ khoản thuế giá trị gia tăng doanh nghiệp dự án được hoàn, giảm trừ chi phí theo kết luận của cơ quan thanh tra, Kiểm toán nhà nước (nếu có);
b) Chi phí quản lý, vận hành khai thác và bảo trì công trình dự án xác định theo xác nhận của cơ quan ký kết hợp đồng;
c) Các khoản thuế, phí doanh nghiệp dự án theo thực tế thực hiện sau khi đã khấu trừ khoản thuế giá trị gia tăng theo quy định (nếu có);
d) Doanh thu thu phí dịch vụ và các nguồn thu khác (nếu có) xác định theo xác nhận của cơ quan ký kết hợp đồng;
đ) Chi phí kiểm toán độc lập (nếu có);
e) Chi phí huy động vốn vay xác định theo nguyên tắc tại khoản 3 Điều này.
2. Chi phí bồi thường, chấm dứt hợp đồng trước thời hạn tính bằng tổng chi phí quy định tại điểm a, b, c, đ và e khoản 1 Điều này sau khi khấu trừ doanh thu thu phí và các nguồn thu khác (nếu có) quy định tại điểm d khoản 1 Điều này.
3. Chi phi huy động vốn vay quy định tại điểm e khoản 1 Điều này xác định bằng số vốn vay nhân với tỷ suất P. Thời gian tính chi phí huy động vốn vay từ thời điểm công trình dự án đưa vào vận hành, kinh doanh đến thời điểm cơ quan có thẩm quyền quyết định việc chấm dứt hợp đồng trước thời hạn.

Trong đó:
Tỷ suất P (%/năm): xác định trên cơ sở kết quả đàm phán giữa nhà đầu tư, doanh nghiệp dự án và tổ chức tín dụng (bên cho vay) nhưng không vượt quá 4%/năm.
Vi: số vốn vay tại năm thứ 1, được xác định trên cơ sở giá trị giải ngân vốn vay thực tế và giá trị vốn đầu tư được quyết toán, bảo đảm không vượt quá tỷ lệ quy định tại hợp đồng dự án PPP. Số vốn vay không bao gồm phần vốn vay đã thanh toán từ nguồn doanh thu quy định tại điểm d khoản 1 Điều này (nếu có).
n: là số năm, được xác định từ thời điểm công trình dự án đưa vào vận hành, kinh doanh đến thời điểm cơ quan có thẩm quyền quyết định việc chấm dứt hợp đồng trước thời hạn. Trường hợp một phần vốn vay được giải ngân sau thời điểm dự án đưa vào vận hành, kinh doanh thì số năm được xác định từ thời điểm giải ngân phần vốn vay đến thời điểm cơ quan có thẩm quyền quyết định việc chấm dứt hợp đồng trước thời hạn.
4. Không tính lợi nhuận vốn chủ sở hữu của nhà đầu tư trong chi phí bồi thường, chấm dứt hợp đồng trước thời hạn.
Điều 11. Trình tự thanh toán chi phí bồi thường, chấm dứt hợp đồng trước thời hạn
1. Nhà đầu tư, doanh nghiệp dự án có văn bản gửi cơ quan ký kết hợp đồng đề nghị chấm dứt hợp đồng dự án PPP trước thời hạn theo quy định của Chính phủ quy định chi tiết một số điều của Luật PPP, kèm theo:
a) Báo cáo, thuyết minh các nội dung: thông tin chung dự án, quá trình thực hiện hợp đồng; nguyên nhân dẫn đến phải chấm dứt hợp đồng trước thời hạn; thuyết minh về điều kiện áp dụng, kết quả tính toán theo quy định tại Điều 9 Nghị định này (đối với dự án quy định tại khoản 2 Điều 9 Nghị định này, cần thuyết minh, tính toán phương án tài chính điều chỉnh theo quy định tại Điều 6, Điều 7 Nghị định này); quy định của hợp đồng dự án về trách nhiệm chi trả của cơ quan ký kết hợp đồng trong trường hợp chấm dứt hợp đồng quy định tại điểm a khoản 2a Điều 52 Luật PPP; kết quả đàm phán giữa nhà đầu tư, doanh nghiệp dự án và bên cho vay về chi phí huy động vốn vay theo quy định tại khoản 3 Điều 10 Nghị định này; đề xuất giá trị vốn nhà nước thực hiện bồi thường, chấm dứt hợp đồng trước thời hạn xác định theo quy định tại Điều 10 Nghị định này;
b) Hồ sơ gửi kèm: tài liệu liên quan đến các chi phí quy định tại khoản 1, khoản 3 Điều 10 Nghị định này; Báo cáo kết quả kiểm toán của kiểm toán độc lập (nếu có); biên bản đàm phán giữa nhà đầu tư, doanh nghiệp dự án và bên cho vay về chi phí huy động vốn vay theo quy định tại khoản 3 Điều 10 Nghị định này và phương án thanh toán chi phí bồi thường, chấm dứt hợp đồng trước thời hạn; các văn bản, tài liệu khác có liên quan.
2. Trong vòng 45 ngày kể từ ngày nhận đủ hồ sơ, cơ quan ký kết hợp đồng thực hiện rà soát hồ sơ quy định tại khoản 1 Điều này.
a) Trường hợp phù hợp với quy định tại Điều 9 và Điều 10 Nghị định này, cơ quan ký kết hợp đồng phối hợp với nhà đầu tư, doanh nghiệp dự án và bên cho vay ký kết biên bản thỏa thuận về điều kiện chấm dứt hợp đồng dự án trước thời hạn theo quy định của Chính phủ quy định chi tiết một số điều của Luật PPP.
b) Trường hợp không phù hợp với quy định tại Điều 9 và Điều 10 Nghị định này, cơ quan ký kết hợp đồng thông báo từ chối việc thanh toán, chấm dứt hợp đồng đến nhà đầu tư, doanh nghiệp dự án (trong đó nêu rõ lý do từ chối thanh toán, chấm dứt hợp đồng).
3. Căn cứ biên bản thỏa thuận về điều kiện chấm dứt hợp đồng dự án trước thời hạn tại khoản 2 Điều này, cơ quan ký kết hợp đồng phối hợp với nhà đầu tư, doanh nghiệp dự án thực hiện ký kết phụ lục hợp đồng để sửa đổi, bổ sung nội dung của hợp đồng dự án theo quy định tại khoản 4 Điều 101 Luật PPP, bảo đảm các nội dung quy định của Chính phủ quy định chi tiết một số điều của Luật PPP.
4. Trong vòng 10 ngày kể từ ngày ký kết phụ lục hợp đồng theo quy định tại khoản 3 Điều này, cơ quan ký kết hợp đồng gửi văn bản đề nghị Kiểm toán Nhà nước thực hiện kiểm toán chi phí bồi thường, chấm dứt hợp đồng trước thời hạn, kèm theo hồ sơ quy định tại khoản 1 Điều này và biên bản thỏa thuận tại điểm a khoản 2 Điều này.
5. Trường hợp cần thiết, cơ quan ký kết hợp đồng đề nghị nhà đầu tư, doanh nghiệp dự án và bên cho vay cập nhật đề xuất giá trị vốn nhà nước thực hiện bồi thường, chấm dứt hợp đồng trước thời hạn theo quy định tại điểm a khoản 1 Điều này và nội dung biên bản thống nhất giữa bên cho vay với nhà đầu tư, doanh nghiệp dự án theo quy định tại điểm b khoản 1 Điều này bảo đảm phù hợp với báo cáo kiểm toán của Kiểm toán Nhà nước.
6. Trong vòng 10 ngày kể từ ngày nhận được báo cáo kiểm toán của Kiểm toán Nhà nước (hoặc ngày nhận được báo cáo kết quả cập nhật theo quy định tại khoản 5 Điều này), cơ quan ký kết hợp đồng báo cáo cơ quan có thẩm quyền quyết định việc chấm dứt hợp đồng trước thời hạn, chi phí bồi thường, chấm dứt hợp đồng trước thời hạn. Cơ quan có thẩm quyền xem xét, quyết định trong vòng 15 ngày kể từ ngày nhận được báo cáo của cơ quan ký kết hợp đồng.
7. Việc sử dụng vốn đầu tư công để bồi thường, chấm dứt hợp đồng trước thời hạn thực hiện theo quy định tại điểm b khoản 6a Điều 52 Luật PPP. vốn nhà nước chi trả chi phí bồi thường, chấm dứt hợp đồng được giải ngân về tài khoản của doanh nghiệp dự án hoặc tài khoản của nhà đầu tư (trường hợp dự án không thành lập doanh nghiệp dự án) mở tại ngân hàng cung cấp tín dụng theo quy định tại hợp đồng dự án.
8. Việc thanh toán chi phí bồi thường chấm dứt hợp đồng trước thời hạn thực hiện theo quy định của Chính phủ quy định cơ chế quản lý tài chính dự án đầu tư theo phương thức đối tác công tư và cơ chế thanh toán, quyết toán đối với dự án áp dụng loại hợp đồng BT.
9. Sau khi chấm dứt hợp đồng, cơ quan ký kết hợp đồng phối hợp với nhà đầu tư, doanh nghiệp dự án thực hiện thủ tục bàn giao, tiếp nhận dự án, thực hiện thủ tục xác lập quyền sở hữu toàn dân theo quy định của pháp luật về quản lý, sử dụng tài sản công.
Chương IV
ĐIỀU KHOẢN THI HÀNH
Điều 12. Hiệu lực thi hành
1. Nghị định này có hiệu lực từ ngày ký ban hành.
2. Trường hợp phát sinh vướng mắc liên quan đến tăng, giảm, hỗ trợ lãi vay, Ngân hàng Nhà nước Việt Nam có trách nhiệm hướng dẫn tổ chức tín dụng theo thẩm quyền và quy định pháp luật hiện hành.
3. Các Bộ trưởng, Thủ trưởng cơ quan ngang Bộ, Thủ trưởng cơ quan thuộc Chính phủ, Chủ tịch Ủy ban nhân dân tỉnh, thành phố trực thuộc Trung ương trong phạm vi chức năng, quyền hạn của mình có trách nhiệm hướng dẫn và thi hành Nghị định này./.
| Nơi nhận: - Ban Bí thư Trung ương Đảng; - Thủ tướng, các Phó Thủ tướng Chính phủ; - Các bộ, cơ quan ngang bộ, cơ quan thuộc Chính phủ; - HĐND, UBND các tỉnh, thành phố trực thuộc Trung ương; - Văn phòng Trung ương và các Ban của Đảng; - Văn phòng Tổng Bí thư; - Văn phòng Chủ tịch nước; - Hội đồng Dân tộc và các Ủy ban của Quốc hội; - Văn phòng Quốc hội; - Tòa án nhân dân tối cao; - Viện kiểm sát nhân dân tối cao; - Kiểm toán nhà nước; - Ủy ban Trung ương Mặt trận Tổ quốc Việt Nam; - Cơ quan trung ương của các tổ chức chính trị - xã hội; - VPCP: BTCN, các PCN, Trợ lý TTg, TGĐ cổng TTĐT, các Vụ, Cục, đơn vị trực thuộc, Công báo; - Lưu: VT, CN (2b) | TM. CHÍNH PHỦ KT. THỦ TƯỚNG PHÓ THỦ TƯỚNG |
Bạn chưa Đăng nhập thành viên.
Đây là tiện ích dành cho tài khoản thành viên. Vui lòng Đăng nhập để xem chi tiết. Nếu chưa có tài khoản, vui lòng Đăng ký tại đây!
Bạn chưa Đăng nhập thành viên.
Đây là tiện ích dành cho tài khoản thành viên. Vui lòng Đăng nhập để xem chi tiết. Nếu chưa có tài khoản, vui lòng Đăng ký tại đây!