- Tổng quan
- Nội dung
- VB gốc
- Tiếng Anh
- Hiệu lực
- VB liên quan
- Lược đồ
-
Nội dung hợp nhất
Tính năng này chỉ có tại LuatVietnam.vn. Nội dung hợp nhất tổng hợp lại tất cả các quy định còn hiệu lực của văn bản gốc và các văn bản sửa đổi, bổ sung, đính chính... trên một trang. Việc hợp nhất văn bản gốc và những văn bản, Thông tư, Nghị định hướng dẫn khác không làm thay đổi thứ tự điều khoản, nội dung.
Khách hàng chỉ cần xem Nội dung hợp nhất là có thể nắm bắt toàn bộ quy định hiện hành đang áp dụng, cho dù văn bản gốc đã qua nhiều lần chỉnh sửa, bổ sung.
- Tải về
Thông tư 145/2007/TT-BTC của Bộ Tài chính về việc hướng dẫn thực hiện Nghị định số 188/2004/NĐ-CP ngày 16/11/2004 của Chính phủ về phương pháp xác định giá đất và khung giá các loại đất và Nghị định số 123/2007/NĐ-CP ngày 27/7/2007 của Chính phủ sửa đổi, bổ sung một số điều của Nghị định số 188/2004/NĐ-CP
| Cơ quan ban hành: | Bộ Tài chính |
Số công báo:
Số công báo là mã số ấn phẩm được đăng chính thức trên ấn phẩm thông tin của Nhà nước. Mã số này do Chính phủ thống nhất quản lý.
|
Đã biết
|
| Số hiệu: | 145/2007/TT-BTC | Ngày đăng công báo: |
Đã biết
|
| Loại văn bản: | Thông tư | Người ký: | Trần Văn Tá |
|
Ngày ban hành:
Ngày ban hành là ngày, tháng, năm văn bản được thông qua hoặc ký ban hành.
|
06/12/2007 |
Ngày hết hiệu lực:
Ngày hết hiệu lực là ngày, tháng, năm văn bản chính thức không còn hiệu lực (áp dụng).
|
Đã biết
|
|
Áp dụng:
Ngày áp dụng là ngày, tháng, năm văn bản chính thức có hiệu lực (áp dụng).
|
Đã biết
|
Tình trạng hiệu lực:
Cho biết trạng thái hiệu lực của văn bản đang tra cứu: Chưa áp dụng, Còn hiệu lực, Hết hiệu lực, Hết hiệu lực 1 phần; Đã sửa đổi, Đính chính hay Không còn phù hợp,...
|
Đã biết
|
| Lĩnh vực: | Đất đai-Nhà ở |
TÓM TẮT THÔNG TƯ 145/2007/TT-BTC
* Xác định giá đất và khung giá các loại đất - Ngày 06/12/2007, Bộ Tài chính đã ban hành Thông tư số 145/2007/TT-BTC hướng dẫn thực hiện Nghị định số 188/2004/NĐ-CP về phương pháp xác định giá đất và khung giá các loại đất và Nghị định số 123/2007/NĐ-CP sửa đổi, bổ sung một số điều của Nghị định số 188/2004/NĐ-CP. Theo đó, mỗi loại đất cần định giá, phải lựa chọn từ 3 đến 5 thửa đất, khu đất trống ở khu vực liền kề hoặc khu vực lân cận với thửa đất, khu đất cần định giá đã được chuyển nhượng thành công trên thị trường (bao gồm giao dịch trực tiếp giữa các cá nhân, tổ chức với nhau; trúng đấu giá quyền sử dụng đất, giao dịch thành công trên sàn giao dịch bất động sản) có những đặc điểm tương tự với thửa đất, khu đất cần định giá về: loại đất, vị trí đất, qui mô diện tích, kết cấu hạ tầng, đặc điểm pháp lý và mục đích sử dụng đất… Trường hợp không thu thập được những thông tin trong khoảng thời gian gần nhất, thì có thể thu thập thông tin về các cuộc giao dịch chuyển nhượng quyền sử dụng đất trong thời hạn 01 năm tính đến thời điểm khảo sát để xác định giá đất… Trường hợp giá đất có biến động trong khoảng thời gian từ thời điểm chuyển nhượng thành công quyền sử dụng đất của thửa đất so sánh đến thời điểm xác định giá của thửa đất cần định giá, thì trước khi thực hiện việc điều chỉnh mức giá của thửa đất so sánh theo công thức nêu trên, cần phải điều chỉnh (tăng hoặc giảm) mức giá chuyển nhượng quyền sử dụng đất của thửa đất so sánh theo chỉ số biến động (tăng hoặc giảm) giá của loại đất đó trong khoảng thời gian này. Thông tư này có hiệu lực sau 15 ngày, kể từ ngày đăng Công báo.
Xem chi tiết Thông tư 145/2007/TT-BTC có hiệu lực kể từ ngày 31/12/2007
Tải Thông tư 145/2007/TT-BTC
THÔNG TƯ
CỦA BỘ TÀI CHÍNH SỐ 145/2007/TT-BTC NGÀY 06 THÁNG 12 NĂM 2007
HƯỚNG DẪN THỰC HIỆN NGHỊ ĐỊNH SỐ 188/2004/NĐ-CP
NGÀY 16/11/2004 CỦA CHÍNH PHỦ VỀ PHƯƠNG PHÁP XÁC ĐỊNH GIÁ ĐẤT
VÀ KHUNG GIÁ CÁC LOẠI ĐẤT VÀ NGHỊ ĐỊNH SỐ 123/2007/NĐ-CP
NGÀY 27/7/2007 CỦA CHÍNH PHỦ SỬA ĐỔI, BỔ SUNG MỘT SỐ ĐIỀU
CỦA NGHỊ ĐỊNH SỐ 188/2004/NĐ-CP
Các nội dung hướng dẫn xây dựng, thẩm định, ban hành bảng giá đất hàng năm và điều chỉnh bảng giá đất thuộc thẩm quyền của Ủy ban nhân dân cấp tỉnh quy định tại Thông tư số 145/2007/TT-BTC bị bãi bỏ bởi Khoản 2 Điều 18 Thông tư số 02/2010/TTLT-BTNMT-BTC.
Căn cứ Nghị định số 77/2003/NĐ-CP ngày 01/7/2003 của Chính phủ quy định chức năng, nhiệm vụ, quyền hạn và cơ cấu tổ chức của Bộ Tài chính;
Căn cứ Nghị định số 188/2004/NĐ-CP ngày 16 tháng 11 năm 2004 của Chính phủ về phương pháp xác định giá đất và khung giá các loại đất;
Căn cứ Nghị định số 123/2007/NĐ-CP ngày 27/7/2007 của Chính phủ sửa đổi, bổ sung một số điều của Nghị định số 188/2004/NĐ-CP ngày 16 tháng 11 năm 2004 của Chính phủ về phương pháp xác định giá đất và khung giá các loại đất;
Sau khi thống nhất ý kiến với Bộ Tài nguyên và Môi trường, Bộ Tài chính hướng dẫn thực hiện Nghị định số 188/2004/NĐ-CP ngày 16/11/2004 của Chính phủ về phương pháp xác định giá đất và khung giá các loại đất và Nghị định số 123/2007/NĐ-CP ngày 27/7/2007 của Chính phủ sửa đổi, bổ sung một số điều của Nghị định số 188/2004/NĐ-CP (sau đây gọi tắt là Nghị định số 188/2004/NĐ-CP và Nghị định số 123 /2007/NĐ-CP) như sau:
I. PHƯƠNG PHÁP XÁC ĐỊNH GIÁ ĐẤT
1- Phương pháp so sánh trực tiếp
Việc định giá đất theo phương pháp so sánh trực tiếp phải tiến hành các bước sau đây:
a- Bước 1: Khảo sát và thu thập thông tin
- Xác định địa điểm của thửa đất, khu đất trống (đất chưa được đầu tư xây dựng các công trình trên đất) so sánh được với thửa đất, khu đất cần định giá để thu thập thông tin.
Mỗi loại đất cần định giá, phải lựa chọn từ 3 đến 5 thửa đất, khu đất trống ở khu vực liền kề hoặc khu vực lân cận với thửa đất, khu đất cần định giá đã được chuyển nhượng thành công trên thị trường (bao gồm giao dịch trực tiếp giữa các cá nhân, tổ chức với nhau; trúng đấu giá quyền sử dụng đất, giao dịch thành công trên sàn giao dịch bất động sản) có những đặc điểm tương tự với thửa đất, khu đất cần định giá về: loại đất, vị trí đất, qui mô diện tích, kết cấu hạ tầng, đặc điểm pháp lý và mục đích sử dụng đất.
- Thời gian thu thập thông tin:
Những thông tin cần thu thập phải diễn ra trong khoảng thời gian gần nhất với thời điểm khảo sát để xác định giá của thửa đất, khu đất cần định giá.
Trường hợp không thu thập được những thông tin trong khoảng thời gian gần nhất, thì có thể thu thập thông tin về các cuộc giao dịch chuyển nhượng quyền sử dụng đất trong thời hạn 01 năm tính đến thời điểm khảo sát để xác định giá đất.
- Những thông tin cần thu thập:
+ Vị trí;
+ Hiện trạng sử dụng đất (loại đất, qui mô diện tích và kích thước các cạnh, địa hình, tài sản trên đất, mục đích sử dụng đất hiện tại, mục đích sử dụng đất theo quy hoạch);
+ Điều kiện về kết cấu hạ tầng;
+ Môi trường (bao gồm môi trường tự nhiên như cảnh quan, nguồn nước, không khí, tiếng ồn, v.v. và môi trường xã hội như trật tự và an ninh xã hội, trình độ dân trí);
+ Các đặc điểm về pháp lý (qui hoạch sử dụng đất, quy hoạch xây dựng nơi có thửa đất, khu đất; giấy chứng nhận quyền sử dụng đất; mức độ hoàn thành nghĩa vụ tài chính về đất đai theo quy định của pháp luật, v.v.);
+ Thời điểm chuyển nhượng, giao dịch hoặc đấu giá quyền sử dụng đất thành công; mức giá chuyển nhượng, giá trúng đấu giá quyền sử dụng đất;
+ Thời gian, điều kiện giao dịch chuyển nhượng và thanh toán.
- Điều kiện của thông tin:
Những thông tin trên đây phải được thu thập từ kết quả những cuộc giao dịch chuyển nhượng quyền sử dụng đất thực tế trên thị trường trong điều kiện bình thường quy định tại khoản 2 Điều 1của Nghị định số 123/2007/NĐ-CP.
b- Bước 2: So sánh, phân tích thông tin:
Căn cứ những thông tin đã khảo sát, thu thập được ở Bước 1, tiến hành tổng hợp, phân tích, so sánh để lựa chọn những tiêu chí giống nhau và khác nhau giữa các thửa đất, khu đất so sánh với thửa đất, khu đất cần định giá. Trên cơ sở đó xác định các tiêu chí giống và khác biệt về giá để tính toán, xác định giá cho thửa đất, khu đất cần định giá.
c- Bước 3: Thực hiện điều chỉnh các yếu tố khác biệt về giá giữa các thửa đất, khu đất so sánh với thửa đất, khu đất cần định giá để xác định giá cho thửa đất cần định giá.
Giá trị ước tính của thửa đất, khu đất cần định giá được tính theo cách điều chỉnh các yếu tố khác biệt về giá với từng thửa đất, khu đất so sánh như sau:
|
Giá trị ước tính của thửa đất, khu đất cần định giá |
= |
Giá chuyển nhượng quyền sử dụng đất của từng thửa đất, khu đất so sánh |
± |
Mức tiền điều chỉnh về giá hình thành từ những yếu tố khác biệt của từng thửa đất, khu đất so sánh với thửa đất, khu đất cần định giá |
Trong đó, mức tiền điều chỉnh về giá xuất phát từ những khác biệt về vị trí đất, kết cấu hạ tầng, đặc điểm pháp lý, mức độ ô nhiễm môi trường, v.v. của từng thửa đất, khu đất so sánh so với thửa đất, khu đất cần định giá. Mức tiền điều chỉnh về giá theo từng yếu tố khác biệt giữa thửa đất so sánh và thửa đất cần định giá (có thể tính theo giá trị tuyệt đối hoặc tỷ lệ phần trăm (%) của giá chuyển nhượng quyền sử dụng đất thực tế của thửa đất so sánh trên thị trường trong điều kiện bình thường tại địa phương, sau đó tính thành tiền) được xác định căn cứ vào đánh giá của các tổ chức tư vấn hoặc các chuyên viên và cơ quan có nhiệm vụ trực tiếp xác định giá đất tham mưu cho Ủy ban nhân dân cấp tỉnh quyết định giá đất cụ thể tại địa phương căn cứ vào các chứng cứ thị trường.
Trường hợp giá đất có biến động trong khoảng thời gian từ thời điểm chuyển nhượng thành công quyền sử dụng đất của thửa đất so sánh đến thời điểm xác định giá của thửa đất cần định giá, thì trước khi thực hiện việc điều chỉnh mức giá của thửa đất so sánh theo công thức nêu trên, cần phải điều chỉnh (tăng hoặc giảm) mức giá chuyển nhượng quyền sử dụng đất của thửa đất so sánh theo chỉ số biến động (tăng hoặc giảm) giá của loại đất đó trong khoảng thời gian này. Chỉ số biến động giá của từng loại đất có thể được tính toán từ những thông tin mà Sở Tài chính hoặc các tổ chức tư vấn về giá đất thu thập thông qua việc điều tra, khảo sát và thống kê giá đất theo hướng dẫn tại Thông tư số 80/2005/TT-BTC ngày 15/9/2005 của Bộ Tài chính hướng dẫn việc tổ chức mạng lưới thống kê và điều tra, khảo sát giá đất, thống kê báo cáo giá các loại đất theo quy định tại Nghị định số 188/2004/NĐ-CP; hoặc số liệu thống kê của cơ quan thống kê (nếu có).
d- Bước 4: Xác định giá của thửa đất cần định giá bằng cách lấy số bình quân của các mức giá của 3 đến 5 thửa đất, khu đất so sánh đã tính toán điều chỉnh khác biệt về giá ở Bước 3.
Ví dụ về áp dụng phương pháp so sánh để xác định giá đất (xem Phụ lục 1).
2- Phương pháp thu nhập
Việc định giá đất theo phương pháp thu nhập phải tiến hành các bước sau:
a- Bước 1: Tính tổng thu nhập hàng năm thu được từ thửa đất, khu đất cần định giá
- Đối với đất trống hoặc đất có xây dựng công trình kiến trúc (nhà cửa) để cho thuê thì tổng thu nhập của thửa đất cần định giá chính là số tiền thuê đất hoặc số tiền thuê bất động sản (bao gồm đất và tài sản trên đất) thu được hàng năm. Tiền thuê đất hoặc tiền thuê bất động sản tính theo mặt bằng giá tiền thuê đất hoặc bất động sản trên thị trường tại thời điểm định giá đất.
- Đối với đất nông nghiệp mà người được giao đất tự tổ chức sản xuất thì tổng thu nhập được tính như sau:
+ Đối với đất trồng cây hàng năm, đất nuôi trồng thủy sản thì tổng thu nhập của thửa đất cần định giá chính là tổng doanh thu từ hoạt động sản xuất nói trên của thửa đất thu được hàng năm.
+ Đối với đất trồng cây lâu năm (cây ăn quả, cây công nghiệp, cây lấy gỗ) thì tổng thu nhập được tính trên cơ sở doanh thu hàng năm, doanh thu theo giai đoạn, doanh thu một lần tùy theo đặc điểm của từng loại cây.
b- Bước 2: Tính tổng chi phí hàng năm phải chi ra hình thành tổng thu nhập
Tổng chi phí bao gồm các khoản chi phí cụ thể như thuế sử dụng đất, chi phí đầu tư cải tạo, chi phí sản xuất. Các khoản chi phí này được tính theo các quy định hiện hành của Nhà nước; khoản chi phí nào không có quy định của Nhà nước thì tính theo giá thực tế phổ biến tại thị trường địa phương mà cơ sở sản xuất, kinh doanh đã chi trả (qui định trong hợp đồng, hóa đơn mua bán hàng hóa do cơ quan tài chính có thẩm quyền phát hành).
Đối với trường hợp thửa đất cần định giá đã được đầu tư, xây dựng các tài sản trên đất, tổng chi phí hàng năm không bao gồm khoản trích khấu hao cơ bản của các tài sản trên đất.
c- Bước 3: Xác định thu nhập thuần túy hàng năm theo công thức sau:
|
Thu nhập thuần túy hàng năm |
= |
Tổng thu nhập hàng năm đã tính ở Bước 1 |
- |
Tổng chi phí đã tính ở Bước 2 |
d- Bước 4: Ước tính mức giá đất cần định giá theo công thức sau:
|
Giá đất ước tính |
= |
Thu nhập thuần túy hàng năm thu được từ thửa đất |
|
Lãi suất tiền gửi tiết kiệm tiền đồng Việt Nam kỳ hạn 12 tháng |
Khi định giá đất theo phương pháp thu nhập, tổng thu nhập, tổng chi phí xác định ở Bước 1, Bước 2 và thu nhập thuần túy xác định ở Bước 3 phải là tổng thu nhập, tổng chi phí và mức thu nhập thuần túy bình quân của vị trí đất của loại đất cần định giá và đúng với mục đích sử dụng đất đã được cấp có thẩm quyền phê duyệt và được tính bình quân trong 3 năm ngay trước thời điểm xác định giá đất. Trường hợp không thu thập được số liệu trong 3 năm thì sử dụng số liệu của năm ngay trước thời điểm định giá đất. Việc tính tổng thu nhập, tổng chi phí phải tính theo mặt bằng giá tại thời điểm định giá đất bằng cách áp dụng đơn giá về hàng hóa, vật tư, dịch vụ, và tiền công lao động tại thời điểm định giá đất đối với khối lượng về chi phí theo khoản mục và khối lượng sản phẩm sản xuất của các năm (nếu loại chi phí có giá do Nhà nước quy định thì tính theo giá Nhà nước, nếu loại chi phí không có giá do Nhà nước quy định thì tính theo mặt bằng giá thị trường).
Lãi suất tiền gửi tiết kiệm tiền đồng Việt Nam (VNĐ) loại có kỳ hạn 12 tháng là mức lãi suất tại ngân hàng thương mại có mức lãi suất cao nhất tại địa phương.
Ví dụ về áp dụng phương pháp thu nhập để xác định giá đất (xem Phụ lục 2).
Đối với những thửa đất đã được đầu tư, xây dựng các tài sản trên đất (bao gồm công trình, nhà cửa, vật kiến trúc; hoặc trồng cây lâu năm như cao su, cà phê, chè, tiêu, điều, cây ăn quả, v.v.) để đưa vào kinh doanh, sản xuất thì trước hết áp dụng phương pháp thu nhập để ước tính giá trị của cả thửa đất và tài sản trên đất; sau đó thực hiện khấu trừ phần giá trị tài sản trên đất, phần còn lại là giá trị của thửa đất.
Phương pháp tính toán chiết trừ giá trị tài sản trên đất thực hiện như hướng dẫn tại điểm c, mục 3, Phần I của Thông tư này.
3. Phương pháp chiết trừ
Khi áp dụng phương pháp chiết trừ để định giá đất cho mỗi loại đất phải tiến hành các bước sau đây:
a- Bước 1: Thu thập thông tin trên thị trường để lựa chọn ít nhất 3 bất động sản (bao gồm đất và tài sản trên đất) đã chuyển nhượng thành công, mà thửa đất của các bất động sản đó có những đặc điểm tương tự với thửa đất cần định giá (vị trí, hiện trạng, điều kiện kết cấu hạ tầng, đặc điểm pháp lý, mục đích sử dụng, giá cả…).
Thời gian của những thông tin cần thu thập trên thị trường áp dụng như hướng dẫn tại Bước 1 của Phương pháp so sánh trực tiếp.
b- Bước 2: Khảo sát thực địa và mô tả đầy đủ, chính xác về các tài sản trên đất (bao gồm nhà cửa, vật kiến trúc, cây lâu năm) của các bất động sản nói trên.
c- Bước 3: Xác định giá trị hiện tại của các tài sản đã đầu tư xây dựng trên đất.
|
Giá trị hiện tại của các tài sản trên đất |
= |
Giá trị xây dựng mới tại thời điểm định giá |
- |
Phần giá trị hao mòn |
Trong đó:
- Giá trị xây dựng mới tại thời điểm định giá được tính bằng chi phí thay thế để đầu tư xây dựng các tài sản mới có công dụng tương đương với các tài sản hiện có trên đất hoặc chi phí tái tạo (tức là, đầu tư xây dựng các tài sản mới giống y hệt) các tài sản trên đất đó. Giá trị xây dựng mới bao gồm các khoản chi phí trực tiếp, chi phí gián tiếp và mức lãi hợp lý cho người đầu tư xây dựng.
- Giá trị hao mòn của các tài sản trên đất bao gồm cả hao mòn hữu hình và hao mòn vô hình (bao gồm các hao mòn về mặt vật lý do hư hao dần trong quá trình khai thác sử dụng; hao mòn do lạc hậu về chức năng và do tác động của các yếu tố bên ngoài).
Phương pháp tính giá trị xây dựng mới và giá trị hao mòn của các tài sản trên đất thực hiện theo quy định hiện hành của Bộ Xây dựng, Bộ Tài chính và những Tiêu chuẩn Thẩm định giá Việt Nam. Trường hợp chưa có quy định hoặc hướng dẫn cụ thể về phương pháp tính giá trị xây dựng mới và giá trị hao mòn thì việc tính toán thực hiện theo đánh giá của chuyên gia tư vấn, của chuyên viên hoặc tổ chức trực tiếp xác định giá trên cơ sở những thông tin, số liệu thực tế thu thập được trên thị trường.
d- Bước 4: Tính toán giá trị của các thửa đất của các bất động sản đã lựa chọn ở Bước 1
|
Giá trị của thửa đất |
= |
Giá chuyển nhượng bất động sản |
- |
Giá trị hiện tại của các tài sản trên đất |
|
Đơn giá của thửa đất |
= |
Giá trị của thửa đất |
|
Diện tích thửa đất |
e- Bước 5: Xác định giá trị của thửa đất cần định giá
Căn cứ vào những khác biệt chủ yếu giữa thửa đất cần định giá và các thửa đất của các bất động sản nêu trên, tiến hành điều chỉnh giá các thửa đất của các bất động sản (tương tự như Bước 3 của phương pháp so sánh trực tiếp).
Đơn giá của thửa đất cần định giá được xác định theo đơn giá bình quân của các đơn giá đất đã điều chỉnh của các bất động sản đó.
Ví dụ về áp dụng phương pháp chiết trừ để xác định giá đất (xem Phụ lục 3).
4. Phương pháp thặng dư
Khi áp dụng phương pháp thặng dư để định giá đất phải tiến hành các bước sau đây:
a- Bước 1: Xác định mục đích sử dụng tốt nhất và hiệu quả nhất của khu đất dựa vào các căn cứ sau:
- Đặc điểm của khu đất;
- Quy hoạch vùng, quy hoạch đô thị; quy hoạch và các quy định về xây dựng; quy hoạch, kế hoạch sử dụng đất đã được cấp có thẩm quyền phê duyệt;
b- Bước 2: Ước tính tổng giá trị phát triển của bất động sản.
Tổng giá trị phát triển của bất động sản bao gồm tổng giá trị nhà cửa, đất phân lô, v.v. dự kiến sẽ bán được khi hoàn thành dự án đầu tư vào khu đất.
Việc ước tính tổng giá trị phát triển phải tiến hành trên cơ sở điều tra, khảo sát giá chuyển nhượng thực tế trên thị trường đối với nhà cửa, căn hộ, công trình kiến trúc, đất phân lô, v.v tại những dự án đã hoàn thành mà có những đặc điểm tương tự với dự án bất động sản dự kiến đầu tư xây dựng ở khu vực liền kề hoặc những khu vực lân cận có mức sinh lợi, có điều kiện kết cấu hạ tầng tương đương; có dự kiến và tính đến xu hướng và mức độ biến động của giá thị trường để ước tính mức giá dự kiến bán được cho phù hợp với thực tế.
c- Bước 3: Ước tính tổng chi phí phát triển.
Chi phí phát triển bao gồm tất cả các khoản chi phí mà nhà đầu tư bỏ ra để xây dựng kết cấu hạ tầng (bao gồm xây dựng đường sá, hệ thống cấp, thoát nước, hệ thống cung cấp điện, v.v.); tạo cảnh quan môi trường; xây dựng nhà cửa, vật kiến trúc hoặc phân lô đất để bán theo đúng quy hoạch chi tiết đã được cơ quan có thẩm quyền phê duyệt; chi phí quảng cáo, bán hàng; chi phí quản lý chung; lợi nhuận của nhà đầu tư (có tính đến yếu tố rủi ro kinh doanh).
Việc ước tính tổng chi phí phát triển phải được xác định trên cơ sở đơn giá, suất vốn đầu tư, những định mức theo hướng dẫn hoặc theo quy định của cơ quan Nhà nước có thẩm quyền. Trường hợp chưa được cơ quan Nhà nước có thẩm quyền quy định, hướng dẫn thì xác định theo mức chi phí thực tế phổ biến của các dự án tương tự ở khu vực liền kề hoặc khu vực lân cận.
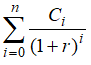
Trường hợp dự án đầu tư phát triển bất động sản kéo dài trong nhiều năm, nhiều giai đoạn khác nhau và ước tính các khoản doanh thu và chi phí thực hiện theo từng năm thì phải chiết khấu các khoản doanh thu và chi phí về giá trị hiện tại tại thời điểm định giá đất theo công thức sau:
Tổng giá trị phát triển = 
Tổng chi phí phát triển = 
Trong đó:
- TRi là doanh thu năm thứ i của dự án
- Ci là chi phí năm thứ i của dự án
- r là tỷ lệ chiết khấu dòng tiền quy về giá trị thời điểm hiện tại (tính theo lãi suất cho vay của các ngân hàng thương mại cho vay để thực hiện dự án đầu tư phát triển bất động sản)
- n là số năm thực hiện dự án (từ khi khởi công đến khi hoàn thành dự án đầu tư phát triển bất động sản).
d- Bước 4: Xác định giá trị của thửa đất:
|
Giá trị ước tính của thửa đất |
= |
Tổng giá trị phát triển |
- |
Tổng chi phí phát triển |
Ví dụ về áp dụng phương pháp thặng dư để xác định giá đất (xem Phụ lục 4).
5.1. Khi áp dụng các phương pháp xác định giá đất các thông tin, số liệu cần thiết để tính toán đi đến kết luận về mức giá cụ thể đều phải thu thập trên thị trường trong điều kiện bình thường, đồng thời phải phân tích, lựa chọn các thông tin, số liệu chính xác và có độ tin cậy cao.
5.2. Trong trường hợp thu thập được đầy đủ thông tin, số liệu để có thể áp dụng cả bốn phương pháp xác định giá đất, thì sử dụng phương pháp so sánh trực tiếp làm phương pháp chủ yếu để xác định giá đất.
5.3. Trong các trường hợp sau đây cần phải sử dụng kết hợp ít nhất hai phương pháp xác định giá đất quy định tại Thông tư này để kiểm tra, so sánh, đối chiếu các mức giá ước tính để quyết định mức giá cụ thể:
- Việc chuyển nhượng quyền sử dụng đất chưa diễn ra phổ biến trên thị trường, số liệu thu thập được không có tính hệ thống;
- Giá chuyển nhượng quyền sử dụng đất trên thị trường biến động thất thường, không phản ánh đúng quan hệ cung - cầu về đất trong điều kiện bình thường.
- Mức giá đất ước tính bằng cách áp dụng một trong hai phương pháp xác định giá đất có kết quả cao hơn mức giá tối đa của khung giá do Chính phủ qui định tại Khoản 5 Điều 1 Nghị định số 123/2007/NĐ-CP.
5.4- Các phương pháp xác định giá đất trên đây được áp dụng để xác định giá trị của thửa đất, khu đất cụ thể làm căn cứ để định giá đất hàng loạt cho từng vị trí đất theo hướng dẫn tại Phần II Thông tư này.
II. ĐỊNH GIÁ ĐẤT CỤ THỂ TẠI ĐỊA PHƯƠNG
1- Một số công việc chuẩn bị để tiến hành định giá đất
a- Tiến hành phân định ranh giới các vùng: đồng bằng, trung du và miền núi theo địa giới hành chính cấp xã để áp khung giá các loại đất nông nghiệp, đất ở và đất sản xuất kinh doanh phi nông nghiệp tại nông thôn do Chính phủ qui định theo vùng: đồng bằng, trung du, miền núi vào từng loại xã tại địa phương (tỉnh, thành phố) cho phù hợp.
b- Quy định vị trí các loại đất nông nghiệp: đất trồng cây hàng năm; đất trồng cây lâu năm; đất nuôi trồng thủy sản; đất rừng sản xuất; đất rừng phòng hộ; đất rừng đặc dụng và đất nông nghiệp khác theo nguyên tắc quy định tại điểm b, khoản 7 Điều 1 của Nghị định 123/2007/NĐ-CP.
Vị trí của các loại đất nông nghiệp được phân thành các vị trí có số thứ tự từ thứ 1 trở đi. Việc xác định vị trí đất nông nghiệp chủ yếu căn cứ vào yếu tố khoảng cách so với nơi cư trú của người sử dụng đất, thị trường tiêu thụ nông sản phẩm, gần và thuận lợi về giao thông là những yếu tố tạo lợi thế cho người sản xuất giảm được chi phí đi lại, chi phí lưu thông (mua vật tư, bán sản phẩm), chi phí tiêu thụ sản phẩm nhưng có kết hợp với các yếu tố tạo lợi thế cho sản xuất như:
- Vị trí 1 bao gồm khu vực đất cùng điều kiện kinh tế - xã hội, cùng kết cấu hạ tầng, cùng mục đích sử dụng đất: có từ 1 đến 3 yếu tố về khoảng cách so với nơi cư trú, thị trường tiêu thụ, thị trường giao thông kết hợp với các lợi thế tốt nhất cho sản xuất nông nghiệp quy định dưới đây:
+ Có khoảng cách liền kề hoặc gần nhất so với:
Nơi cư trú của người sử dụng đất, nơi cư trú được xác định là trung tâm của thôn (xóm, ấp, bản nơi có đất).
Thị trường tiêu thụ nông sản phẩm (chợ nông thôn, chợ đô thị, nơi thu mua nông sản tập trung).
Đường giao thông (giao thông đường bộ bao gồm quốc lộ, tỉnh lộ; đường liên huyện. Đối với nơi không có quốc lộ, tỉnh lộ, huyện lộ thì căn cứ vào đường giao thông liên xã; giao thông đường thủy (ở những nơi sử dụng giao thông đường thủy là chủ yếu) bao gồm: sông, ngòi, kênh).
+ Có các yếu tố có lợi thế tốt nhất cho sản xuất nông nghiệp bao gồm: địa hình bằng phẳng, điều kiện tưới tiêu chủ động, độ phì nhiêu của đất cao, thời tiết khí hậu thuận lợi cho sản xuất kinh doanh.
- Vị trí theo thứ tự từ thứ hai trở đi có các điều kiện kém hơn vị trí số 1 nêu trên.
Đối với một số trường hợp cụ thể, cách phân loại vị trí đất được áp dụng như sau:
+ Nếu khu đất có các yếu tố lợi thế tốt nhất cho sản xuất nông nghiệp nhưng có từ 1 đến 3 yếu tố về khoảng cách xa hơn so với nơi cư trú của người sử dụng đất, thị trường tiêu thụ sản phẩm, đường giao thông thì vẫn phân thành các vị trí đất thấp hơn vị trí số 1.
+ Nếu khu đất có từ 1 đến 3 yếu tố về khoảng cách liền kề hoặc gần nhất so với nơi cư trú của người sử dụng đất, thị trường tiêu thụ nông sản phẩm, đường giao thông nhưng có một hoặc một số yếu tố lợi thế đối với sản xuất nông nghiệp chỉ đạt mức trung bình hoặc dưới mức trung bình vẫn được phân thành vị trí số 1.
Căn cứ vào đặc điểm của từng loại đất nông nghiệp và đặc điểm về sản xuất và tiêu thụ các sản phẩm nông nghiệp trong từng vùng, từng khu vực đất tại địa phương, Ủy ban nhân dân cấp tỉnh quy định các tiêu chí và khoảng cách cụ thể về vị trí đất theo thứ tự từ số 1 trở đi đến số cuối cùng và xác định số lượng vị trí từng khu vực đất để xác định vị trí từng loại đất nông nghiệp cho phù hợp với điều kiện thực tế tại địa phương.
c- Quy định các tiêu chí cụ thể về vị trí đất theo thứ tự từ số 1 trở đi đến số cuối cùng phù hợp với điều kiện của địa phương và xác định số lượng vị trí đất làm muối và vị trí của các loại đất phi nông nghiệp tại nông thôn để định giá đất theo các tiêu chí chung quy định tại điểm b khoản 1 và khoản 2 Điều 9 Nghị định số 188/2004/NĐ-CP, cụ thể sau:
- Đối với đất làm muối: Căn cứ điều kiện cụ thể tại địa phương, Ủy ban nhân dân cấp tỉnh xếp loại vị trí theo tiêu chí dựa vào khoảng cách từ cánh đồng muối đến kho muối tập trung tại khu sản xuất hoặc khoảng cách từ đồng muối đến đường giao thông liên huyện (trường hợp không có đường giao thông liên huyện đi qua thì căn cứ vào khoảng cách với đường giao thông liên xã).
- Đối với đất ở; đất sản xuất, kinh doanh phi nông nghiệp tại nông thôn: Căn cứ vào điều kiện cụ thể tại địa phương, Ủy ban nhân dân cấp tỉnh tiến hành xác định khu vực đất cần định giá; phân vị trí đất và quyết định số lượng vị trí đất của từng khu vực đất để định giá.
d- Quy định các tiêu chí cụ thể về vị trí đất để xếp loại vị trí đất và quyết định số lượng vị trí đất trong từng loại đường phố; phân loại đường phố và quyết định số lượng đường phố theo thứ tự từ số 1 trở đi đến số cuối cùng phù hợp với điều kiện của địa phương trong từng loại đô thị để định giá theo các tiêu thức chung quy định tại Điều 10, Nghị định số 188/2004/NĐ-CP.
Căn cứ điều kiện cụ thể tại địa phương, Ủy ban nhân dân cấp tỉnh có thể không xếp loại đường phố, mà phân loại vị trí đất và quy định số lượng vị trí đất cho từng đoạn phố, từng đường phố cụ thể để tiến hành định giá đất. Việc phân loại vị trí đất, phân chia từng đoạn phố, từng đường phố của từng loại đô thị để định giá cũng phải thực hiện theo các nguyên tắc chung quy định tại Điều 10 Nghị định số 188/2004/NĐ-CP.
e- Ủy ban nhân dân cấp tỉnh căn cứ vào quyết định thành lập đô thị và xếp loại đô thị do cấp có thẩm quyền phê duyệt đối với các đô thị thuộc địa bàn trong tỉnh để áp khung giá các loại đất ở và đất sản xuất, kinh doanh phi nông nghiệp tại đô thị do Chính phủ qui định.
2- Định giá và điều chỉnh giá các loại đất cụ thể
a- Giá đất phải được quyết định theo đúng mục đích sử dụng đất được ghi tại một trong các loại văn bản sau:
- Giấy chứng nhận quyền sử dụng đất được cấp theo quy định của pháp luật về đất đai hoặc ghi trong giấy tờ quy định tại Điều 50 của Luật Đất đai năm 2003; trường hợp không ghi rõ mục đích sử dụng đất thì mục đích sử dụng đất được xác định căn cứ vào mục đích sử dụng chính của thửa đất phù hợp với quy hoạch sử dụng đất tại thời điểm định giá đất;
- Quyết định giao đất, cho thuê đất, cho phép chuyển mục đích sử dụng đất của cơ quan nhà nước có thẩm quyền;
- Đăng ký chuyển mục đích sử dụng đất phù hợp với quy định của pháp luật.
Đối với đất chưa được cấp giấy chứng nhận quyền sử dụng đất, không có một trong các loại giấy tờ quy định tại Điều 50 của Luật Đất đai năm 2003; chưa có quy hoạch hoặc đã có quy hoạch sử dụng đất nhưng vẫn chưa được thực hiện, chưa đăng ký quyền sử dụng đất thì giá đất được quy định theo mục đích sử dụng hiện tại.
Trường hợp đối tượng sử dụng đất sử dụng toàn bộ hoặc một phần diện tích của thửa đất không đúng mục đích sử dụng đã được pháp luật công nhận hoặc cơ quan có thẩm quyền phê duyệt; sử dụng đất nông nghiệp bao gồm các loại đất quy định tại khoản 1 Điều 13 Luật Đất đai năm 2003 để nuôi trồng xen canh, để kết hợp với việc tổ chức du lịch sinh thái và sử dụng đất phi nông nghiệp kết hợp với mục đích khác thì khi định giá đất vẫn theo mục đích sử dụng đất quy định trong giấy chứng nhận quyền sử dụng đất, quyết định giao đất, cho thuê đất của Nhà nước, quy hoạch, kế hoạch sử dụng đất, đăng ký quyền sử dụng đất nêu trên.
b- Mức giá cụ thể của từng vị trí đất của các loại đất do Ủy ban nhân dân cấp tỉnh quy định bằng đồng Việt Nam trên một đơn vị diện tích đất (m2) và không được vượt ra ngoài khung giá các loại đất và giới hạn cho phép do Chính phủ qui định tại khoản 5 Điều 1 Nghị định số 123/2007/NĐ-CP; ngoại trừ những trường hợp sau đây:
- Trường hợp cá biệt khi quy định giá đất công bố vào ngày 01 tháng 01 hàng năm, nếu trên địa bàn tỉnh (quy định tại điểm 3 khoản 5 Điều 1 Nghị định số 123/2007/NĐ-CP) có các loại đất tại các vùng sâu, vùng xa thuộc các vùng đồng bằng, trung du, miền núi, hải đảo có điều kiện tự nhiên, kinh tế - xã hội khó khăn hoặc đặc biệt khó khăn theo các tiêu chí do Nhà nước hướng dẫn hoặc do Ủy ban nhân dân cấp tỉnh quy định, chưa được đầu tư xây dựng kết cấu hạ tầng hoặc kết cấu hạ tầng thấp kém; một số diện tích đất ở, đất sản xuất kinh doanh phi nông nghiệp hoặc đã được quy hoạch là đất ở, đất sản xuất kinh doanh phi nông nghiệp tại các phường thuộc các đô thị, tại các thị trấn nằm trên địa bàn miền núi, trung du nhưng chưa được đầu tư xây dựng kết cấu hạ tầng. Nếu giá chuyển nhượng quyền sử dụng đất thực tế trên thị trường của các loại đất tại những khu vực trên thấp hơn mức giá tối thiểu của khung giá các loại đất và giới hạn cho phép Ủy ban nhân dân cấp tỉnh quyết định quy định tại khoản 5 Điều 1 của Nghị định số 123/2007/NĐ-CP thì Ủy ban nhân dân cấp tỉnh được quyết định giá đất cụ thể thấp hơn cho phù hợp, đồng thời, gửi quyết định quy định giá đất đối với trường hợp cá biệt nói trên kèm theo bảng tổng hợp kết quả khảo sát giá chuyển nhượng quyền sử dụng đất thực tế trên thị trường tại địa phương của những loại đất có mức giá thấp cá biệt đó về Bộ Tài chính để thực hiện việc kiểm tra (nếu thấy cần thiết).
- Đối với trường hợp Nhà nước giao đất có thu tiền sử dụng đất, cho thuê đất không thông qua hình thức đấu giá quyền sử dụng đất hoặc đấu thầu dự án có sử dụng đất, Nhà nước thu hồi đất và trường hợp doanh nghiệp nhà nước tiến hành cổ phần hóa lựa chọn hình thức giao đất mà giá đất do Ủy ban nhân dân cấp tỉnh quy định công bố vào ngày 01 tháng 01 hàng năm dùng để áp giá cho những loại đất phải thực hiện các chính sách trên tại thời điểm giao đất, thời điểm có quyết định thu hồi đất, thời điểm tính giá đất vào giá trị doanh nghiệp cổ phần hóa chưa sát với giá chuyển nhượng quyền sử dụng đất thực tế trên thị trường trong điều kiện bình thường thì Ủy ban nhân dân cấp tỉnh căn cứ vào giá chuyển nhượng quyền sử dụng đất thực tế trên thị trường tại địa phương và các phương pháp xác định giá đất tại Thông tư này để điều chỉnh lại mức giá cụ thể thay thế mức giá đã quy định, công bố vào ngày 01 tháng 01 hàng năm áp dụng đối với loại đất thực hiện chính sách trên cho phù hợp (sau khi đã xin ý kiến Thường trực Hội đồng nhân dân cùng cấp).
Sở Tài chính chủ trì, phối hợp với các Sở, ngành liên quan xác định giá đất cụ thể trình Uỷ ban nhân dân cấp tỉnh quyết định; trường hợp thuê tổ chức, doanh nghiệp có chức năng thẩm định giá, tổ chức tư vấn về giá đất để xác định giá đất thì Sở Tài chính có trách nhiệm chủ trì, phối hợp với các Sở, ngành liên quan thẩm định các mức giá đất do tổ chức, doanh nghiệp có chức năng thẩm định giá, tổ chức tư vấn về giá đất xác định và trình Ủy ban nhân dân cấp tỉnh quyết định mức giá đất cụ thể của các thửa đất đảm bảo sát với giá chuyển nhượng quyền sử dụng đất thực tế trên thị trường trong điều kiện bình thường.
Mức giá đất cụ thể quy định trong trường hợp này không bị giới hạn bởi khung giá đất do Chính phủ qui định tại khoản 5 Điều 1 Nghị định số 123/2007/NĐ-CP; nhưng không được cao hơn giá chuyển nhượng quyền sử dụng đất thực tế trên thị trường.
Việc quy định mức giá đất này chỉ áp dụng cá biệt trong phạm vi từng dự án, phục vụ cho các mục đích: để tính thu tiền sử dụng đất khi Nhà nước giao đất không thông qua đấu giá quyền sử dụng đất hoặc đấu thầu dự án có sử dụng đất; để tính tiền bồi thường thiệt hại về đất khi Nhà nước thu hồi đất và để tính giá quyền sử dụng đất vào giá trị khi tiến hành cổ phần hóa doanh nghiệp nhà nước lựa chọn hình thức giao đất. Đối với những mục đích khác ngoài các mục đích nêu trên thì áp dụng theo mức giá đất do Ủy ban nhân dân cấp tỉnh quy định áp dụng chung cho từng vị trí đất tại khu vực đất đó.
- Các trường hợp quy định tại điểm 2: d và đ, khoản 10 Điều 1 của Nghị định số 123/2007/NĐ-CP cũng được áp dụng khi quy định giá đất công bố vào ngày 01 tháng 01 hàng năm.
Đối với đất ở và đất sản xuất kinh doanh phi nông nghiệp tại nông thôn nằm ở các vị trí đặc biệt quy định tại điểm đ khoản 10 Điều 1 của Nghị định số 123/2007/NĐ-CP gồm các loại đất có vị trí mặt tiền liền cạnh với các trục đường giao thông chính (tỉnh lộ, quốc lộ) hoặc nằm tiếp giáp các đầu mối giao thông, khu thương mại, khu công nghiệp, khu du lịch thì Ủy ban nhân cấp tỉnh được quy định mức giá đất cụ thể cho vị trí tốt nhất của hai loại đất trên phù hợp với giá chuyển nhượng quyền sử dụng đất trên thị trường địa phương trong điều kiện bình thường nhưng không được vượt quá 5 lần mức giá tối đa của khung giá đất ở tại nông thôn và không quá 3 lần mức giá tối đa của khung giá đất sản xuất, kinh doanh phi nông nghiệp tại nông thôn do Chính phủ quy định tại Bảng 6 và Bảng 8 của các Bảng khung giá đất ban hành kèm theo Nghị định số 123/2007/NĐ-CP (không bao gồm phần giới hạn cho phép Ủy ban nhân dân cấp tỉnh quy định cao hơn 20% so với mức giá tối đa của khung giá các loại đất).
- Khi cấp có thẩm quyền thực hiện việc:
+ Điều chỉnh quy hoạch, kế hoạch sử dụng đất, nếu giá đất trên thị trường của những loại đất ở những khu vực đất có thay đổi so với giá đất quy định công bố vào ngày 01 tháng 01 hàng năm thì Ủy ban nhân dân cấp tỉnh điều chỉnh lại cho phù hợp theo các quy định hiện hành.
+ Quyết định cho chuyển đổi mục đích sử dụng đất thì Ủy ban nhân dân cấp tỉnh điều chỉnh lại giá đất theo khung giá của mục đích sử dụng đất mới do Chính phủ quy định.
+ Quyết định nâng cấp đô thị từ loại thấp lên đô thị loại cao hơn thì Ủy ban nhân dân cấp tỉnh điều chỉnh giá các loại đất từ giá đất của đô thị loại thấp lên giá đất của đô thị loại cao hơn phù hợp với khung giá do Chính phủ quy định nhưng không được cao hơn giá chuyển nhượng quyền sử dụng đất thực tế trên thị trường trong điều kiện bình thường tại thời điểm đó.
Tất cả các trường hợp điều chỉnh giá đất trong năm trên đây, Ủy ban nhân dân cấp tỉnh đều phải xin ý kiến thường trực Hội đồng nhân dân cùng cấp trước khi quyết định.
c- Định giá cụ thể cho từng vị trí đất của các loại đất mà Chính phủ có quy định khung giá đất:
- Đối với đất trồng cây hàng năm, đất trồng cây lâu năm, đất nuôi trồng thủy sản, đất rừng sản xuất, thực hiện định giá cho từng vị trí đất; đất tại vị trí số 1 có mức giá cao nhất, đất tại các vị trí tiếp sau có các mức giá thấp hơn.
Trường hợp cùng một loại đất nông nghiệp nói trên lại nuôi hoặc trồng nhiều loại cây, con khác nhau, thì chỉ qui định một mức giá đất thống nhất cho từng vị trí đất theo đất nuôi trồng loại cây, con chủ yếu trong vùng (ví dụ như đất trồng lúa của vùng đất trồng cây hàng năm); không qui định giá đất của cùng một vị trí đất của cùng một loại đất nông nghiệp trong cùng vùng đất khác biệt theo từng cây, con khác nhau.
- Đối với đất làm muối, thực hiện định giá theo vị trí đất. Đất tại vị trí số 1 có mức giá cao nhất, đất tại các vị trí tiếp sau có các mức giá thấp hơn.
- Đối với đất ở, đất sản xuất kinh doanh phi nông nghiệp tại nông thôn, thực hiện định giá theo vị trí đất tại ba khu vực đất tại địa phương. Căn cứ vào tiêu chí xếp loại vị trí đất, Ủy ban nhân dân cấp tỉnh tiến hành xây dựng hệ số vị trí định giá đất cho từng khu vực đất theo nguyên tắc: Đất tại vị trí số 1 của khu vực nào có mức giá cao nhất tại khu vực đó, đất tại các vị trí tiếp sau của các khu vực đất tương ứng có các mức giá thấp hơn.
Ủy ban nhân dân cấp tỉnh quy định tiêu chí cụ thể và quy định số lượng ví trí đối với loại đất này để định giá.
- Đối với đất ở; đất sản xuất kinh doanh phi nông nghiệp tại đô thị, thực hiện định giá đất theo vị trí đất cho từng loại đường phố của các loại đô thị khác nhau.
Căn cứ vào điều kiện cụ thể tại địa phương, việc định giá hàng loạt cho từng vị trí đất có thể sử dụng một trong hai cách sau:
+ Cách thứ nhất: Định giá trực tiếp cho từng vị trí đất
Việc định giá hàng loạt cho từng vị trí đất được thực hiện dựa vào kết quả định giá một số thửa đất cụ thể của từng vị trí đất; phương pháp tiến hành như sau:
Trong mỗi vị trí đất của loại đất cụ thể lựa chọn ra tối thiểu ba (03) thửa đất tại các địa điểm khác nhau có tính đại diện cho vị trí đất đó. Sau đó, tiến hành xác định giá của từng thửa đất bằng cách áp dụng các phương pháp xác định giá đất như hướng dẫn tại Phần I Thông tư này và tính giá một đơn vị diện tích mét vuông (m2) của từng thửa đất.
Giá đất của từng vị trí đất (tính trên một mét vuông) được xác định là mức giá bình quân của các mức giá của các thửa đất đã lựa chọn nêu trên.
+ Cách thứ hai: Định giá đất vị trí 1, sau đó sử dụng hệ số vị trí đất để định giá cho các vị trí đất còn lại
Cách thức xác định giá đất vị trí 1 thực hiện như định giá trực tiếp cho từng vị trí đất ở cách thứ nhất.
Căn cứ vào tiêu chí xếp loại vị trí đất Ủy ban nhân dân cấp tỉnh tiến hành xây dựng hệ số vị trí định giá đất cho từng loại đất theo từng khu vực, từng loại đường phố hoặc đường phố theo nguyên tắc: Đất tại vị trí số 1 có hệ số 1, đất tại các vị trí tiếp theo có hệ số thấp hơn ứng với các mức giá thấp hơn.
Hệ số vị trí định giá đất của tất cả các loại đất nêu trên là tỷ lệ so sánh giữa giá chuyển nhượng quyền sử dụng đất thực tế phổ biến trên thị trường của từng vị trí đất so với vị trí số 1, hoặc tỷ lệ so sánh giữa các tiêu thức của từng vị trí đất.
Giá đất của tất cả các loại đất được định theo vị trí nêu trên được tính bằng cách lấy mức giá đất của vị trí đất đã xác định được (vị trí 1) nhân với hệ số vị trí định giá đất của từng loại đất.
Ví dụ: Cơ quan định giá đất đang tiến hành xác định giá đất ở tại đường phố H thuộc một đô thị đặc biệt để lập phương án giá đất trình Ủy ban nhân dân cấp tỉnh xem xét quyết định. Áp dụng các phương pháp xác định giá đất cơ quan định giá đất đã tính toán được giá đất vị trí 1 là 54.000.000 đồng/m2. Đất ở tại đường phố H được phân thành 4 vị trí đất khác nhau; căn cứ vào các tiêu chí phân loại vị trí đất và giá chuyển nhượng quyền sử dụng đất thực tế trên thị trường tại khu vực đó, cơ quan định giá đã xây dựng được hệ số vị trí định giá đất từ vị trí 1 đến vị trí 4 tại đường phố H theo thứ tự là: 1; 0,45; 0,35; 0,30, giá đất của các vị trí tiếp theo vị trí số 1 được xác định như sau:
|
Đường phố H |
Hệ số vị trí định giá |
Giá đất vị trí 1 đã xác định được (1.000đ/m2) |
Giá các vị trí đất cụ thể (1.000đ/m2) |
|
1 |
2 |
3 |
4 = 2 x 3 |
|
Vị trí số 1 Vị trí số 2 Vị trí số 3 Vị trí số 4 |
1,00 0,45 0,35 0,30 |
54.000 |
54.000 24.300 18.900 16.200 |
Đối với đất ở, đất sản xuất kinh doanh phi nông nghiệp tại các thị xã, thị trấn chưa được xếp loại đô thị không nằm liền kề với các loại đô thị đã được cấp có thẩm quyền phân loại đô thị, khi định giá đất cụ thể được áp dụng khung giá đất ở, đất sản xuất kinh doanh phi nông nghiệp tại đô thị loại IV đối với thị xã và đô thị loại V đối với thị trấn nhưng không được vượt giá chuyển nhượng quyền sử dụng đất thực tế trên thị trường trong điều kiện bình thường tại thời điểm định giá.
Đối với đất ở, đất sản xuất kinh doanh phi nông nghiệp tại các khu đô thị mới nằm liền kề với các đô thị đã được cấp có thẩm quyền phân loại đô thị, khi định giá đất cụ thể được áp dụng khung giá đất ở, đất sản xuất kinh doanh phi nông nghiệp tại đô thị của loại đô thị liền kề, hoặc loại đô thị lân cận gần nhất nhưng không được cao hơn giá chuyển nhượng quyền sử dụng đất thực tế trên thị trường trong điều kiện bình thường tại thời điểm định giá.
d- Định giá cụ thể đối với các loại đất mà Chính phủ không quy định khung giá đất:
- Đối với đất rừng phòng hộ và đất rừng đặc dụng: Căn cứ mức giá cụ thể mà Ủy ban nhân dân cấp tỉnh đã quy định đối với đất rừng sản xuất để định giá đất rừng phòng hộ, đất rừng đặc dụng. Quy trình định giá đối với đất rừng phòng hộ, đất rừng đặc dụng thực hiện như quy trình định giá đối với đất rừng sản xuất hướng dẫn tại điểm c mục 2 Phần II Thông tư này.
Mức giá cụ thể cho từng vị trí đất rừng phòng hộ, đất rừng đặc dụng tối đa không vượt quá mức giá cụ thể do Ủy ban nhân dân cấp tỉnh đã quy định cho từng vị trí đất rừng sản xuất.
Riêng đối với rừng đặc dụng mà nằm ở vị trí được kết hợp với cảnh quan, du lịch sinh thái - môi trường dưới tán rừng nếu được cấp có thẩm quyền cho thuê đất để tổ chức hoạt động kinh doanh dịch vụ du lịch, thì Ủy ban nhân cấp tỉnh, căn cứ vào hướng dẫn tại Thông tư này và quy định Nghị định số 48/2007/NĐ-CP ngày 28/3/2007 của Chính phủ về nguyên tắc và phương pháp xác định giá các loại rừng để quyết định mức giá đất cụ thể cho phù hợp với điều kiện thực tế tại địa phương.
- Đối với đất nông nghiệp khác theo qui định tại điểm đ khoản 4 Điều 6 của Nghị định số 181/2004/NĐ-CP ngày 26 tháng 10 năm 2004 của Chính phủ về thi hành Luật Đất đai:
Giá các loại đất nông nghiệp khác được xác định căn cứ mức giá đất cụ thể mà Ủy ban nhân dân cấp tỉnh đã quy định cho loại đất nông nghiệp liền kề hoặc ở khu vực lân cận trong cùng vùng (nếu không có đất liền kề).
Mức giá đất cụ thể qui định cho từng loại đất nông nghiệp khác tối đa không vượt quá mức giá cụ thể mà Ủy ban nhân dân cấp tỉnh đã qui định cho loại đất nông nghiệp liền kề, hoặc đất nông nghiệp ở khu vực lân cận.
- Đối với đất xây dựng trụ sở cơ quan và đất xây dựng công trình sự nghiệp; đất sử dụng vào mục đích quốc phòng, an ninh; đất tôn giáo tín ngưỡng (bao gồm đất do các cơ sở tôn giáo sử dụng, đất có công trình là đình, đền, miếu, am, từ đường, nhà thờ họ); đất phi nông nghiệp khác (gồm đất xây dựng nhà bảo tàng, nhà bảo tồn, nhà trưng bầy tác phẩm nghệ thuật, cơ sở sáng tác văn hóa nghệ thuật), Ủy ban nhân dân cấp tỉnh căn cứ vào giá đất ở liền kề hoặc giá đất ở tại vùng lân cận gần nhất (trường hợp không có đất liền kề) đã quyết định và căn cứ quy định tại khoản 10 Điều 1 Nghị định 123/2007/NĐ-CP để quy định mức giá đất cụ thể. Nếu các loại đất này nằm tại nông thôn thì căn cứ vào giá đất ở tại nông thôn khu vực đó; nếu nằm tại đô thị thì căn cứ vào giá đất ở tại đô thị đó.
Căn cứ vào đặc điểm của từng loại đất (qui mô diện tích, mật độ xây dựng, các quyền và nghĩa vụ của người sử dụng đất) Ủy ban nhân dân cấp tỉnh qui định mức giá cụ thể cho từng vị trí đất của các loại đất này cho phù hợp nhưng không cao hơn mức giá cụ thể đã quy định cho vị trí đất tương tự của đất ở liền kề hoặc đất ở tại khu vực lân cận gần nhất (nếu không có liền kề).
- Đối với đất sử dụng vào các mục đích công cộng theo quy định của Chính phủ; các loại đất phi nông nghiệp khác (gồm đất cho các công trình xây dựng khác của tư nhân không nhằm mục đích kinh doanh và không gắn liền với đất ở; đất làm nhà nghỉ, lán, trại cho người lao động; đất đô thị được sử dụng để xây dựng nhà phục vụ mục đích trồng trọt, kể cả các hình thức trồng trọt không trực tiếp trên đất; đất xây dựng chuồng trại chăn nuôi động vật được pháp luật cho phép; đất xây dựng trạm, trại nghiên cứu thí nghiệm nông nghiệp, lâm nghiệp, thủy sản; đất xây dựng nhà kho, nhà của hộ gia đình, cá nhân để chứa nông sản, thuốc bảo vệ thực vật, phân bón, máy móc, công cụ sản xuất nông nghiệp), Ủy ban nhân dân cấp tỉnh căn cứ vào giá đất sản xuất kinh doanh phi nông nghiệp liền kề hoặc tại vùng lân cận gần nhất (trường hợp không có đất liền kề) đã quyết định và căn cứ quy định tại khoản 10 Điều 1 Nghị định 123/2007/NĐ-CP để quy định mức giá cụ thể.
Mức giá cụ thể quy định cho từng vị trí đất của các loại đất nói trên tối đa không cao hơn mức giá cụ thể mà Ủy ban nhân dân cấp tỉnh đã qui định cho vị trí tương tự của đất sản xuất kinh doanh phi nông nghiệp liền kề hoặc tại vùng lân cận gần nhất (trường hợp không có đất liền kề).
- Đối với đất làm nghĩa trang, nghĩa địa: Căn cứ mức giá cụ thể mà Ủy ban nhân dân cấp tỉnh đã quy định đối với giá các loại đất liền kề để định giá cho các loại đất trên. Trường hợp loại đất trên liền kề với nhiều loại đất khác nhau, thì căn cứ vào giá của loại đất có mức giá thấp nhất.
Mức giá cụ thể quy định cho từng vị trí đất của loại đất nói trên tối đa không cao hơn mức giá cụ thể mà Ủy ban nhân dân cấp tỉnh đã qui định cho vị trí tương tự của loại đất liền kề.
- Đối với đất sông, ngòi, kênh, rạch, suối và mặt nước chuyên dùng sử dụng vào mục đích nuôi trồng thủy sản thì áp dụng khung giá đất nuôi trồng thủy sản; sử dụng vào mục đích phi nông nghiệp hoặc sử dụng vào mục đích phi nông nghiệp kết hợp với nuôi trồng khai thác thủy sản, thì Ủy ban nhân dân cấp tỉnh căn cứ vào giá đất phi nông nghiệp liền kề hoặc tại vùng lân cận gần nhất (nếu không có liền kề) và căn cứ quy định tại khoản 10 Điều 1 Nghị định 123/2007/NĐ-CP để quy định mức giá cụ thể.
3- Định giá đất tại khu vực giáp ranh:
a- Giá đất tại khu vực giáp ranh giữa các tỉnh, thành phố trực thuộc Trung ương:
- Trường hợp đất tại khu vực giáp ranh giữa các tỉnh, thành phố trực thuộc trung ương có điều kiện tự nhiên, kết cấu hạ tầng như nhau, có cùng mục đích sử dụng hiện tại, cùng mục đích sử dụng theo qui hoạch thì việc quy định giá đất thực hiện như sau:
+ Quy định ranh giới các loại đất khu vực giáp ranh căn cứ vào quy định tại khoản 1 Điều 12 Nghị định số 188/2004/NĐ-CP và khoản 9 Điều 1 Nghị định số 123/2007/NĐ-CP.
+ Trước khi quyết định giá đất tại khu vực giáp ranh Ủy ban nhân dân cấp tỉnh của các tỉnh có đất giáp ranh theo hướng dẫn trên phải tham khảo, trao đổi và thỏa thuận với nhau về mức giá dự kiến ban hành để đảm bảo việc quyết định mức giá đất cụ thể tại khu vực giáp ranh theo đúng quy định tại khoản 11 Điều 1 Nghị định số 123/2007/NĐ-CP.
+ Trường hợp các địa phương không thỏa thuận được với nhau về mức giá tại khu vực đất giáp ranh, thì báo cáo Thủ tướng Chính phủ quyết định.
- Trường hợp đất tại khu vực giáp ranh giữa các tỉnh, thành phố trực thuộc trung ương có điều kiện tự nhiên, kết cấu hạ tầng, mục đích sử dụng đất hiện tại, mục đích sử dụng đất theo qui hoạch khác nhau thì Ủy ban nhân dân cấp tỉnh quy định giá đất cụ thể tại khu vực này căn cứ vào điều kiện thực tế của từng địa phương.
b- Giá đất tại khu vực giáp ranh giữa các quận, huyện, thị xã, thành phố thuộc tỉnh, thành phố trực thuộc trung ương.
Ủy ban nhân dân cấp tỉnh, căn cứ tình hình thực tế tại địa phương, quy định giá đất tại các khu vực đất giáp ranh cho phù hợp theo nguyên tắc: Khoảng cách đất giáp ranh do tỉnh quy định nếu có điều kiện tự nhiên, kết cấu hạ tầng như nhau, có cùng mục đích sử dụng hiện tại, cùng mục đích sử dụng theo quy hoạch thì mức giá như nhau.
Trường hợp tại khu vực giáp ranh mà điều kiện kết cấu hạ tầng không như nhau thì giá đất tại khu vực đất giáp ranh được xác định căn cứ vào điều kiện thực tế của từng khu vực.
Đối với đất ở tại nông thôn ở các vùng ven đô thị (bao gồm các xã tiếp giáp với nội thành phố và thị trấn thuộc đô thị đặc biệt và đô thị loại I và các thôn (ấp) tiếp giáp với nội thành phố, thị xã thị trấn của các đô thị còn lại), thì giá đất tại khu vực này được xác định theo nguyên tắc định giá cho các thửa đất liền kề và được vận dụng khung giá đất do Chính phủ qui định cho loại đô thị nằm liền kề.
Ủy ban nhân dân cấp tỉnh qui định cụ thể về giá đất ở tại nông thôn ở các vùng ven đô thị.
III. TỔ CHỨC THỰC HIỆN
1- Căn cứ vào Luật Đất đai số 13/2003/QH11; Nghị định số 188/2004/NĐ-CP; Nghị định số 123/2007/NĐ-CP và những nội dung hướng dẫn tại Thông tư này, Uỷ ban nhân dân cấp tỉnh quyết định giá đất cụ thể; công bố công khai và kiểm tra việc thi hành bảng giá các loại đất tại địa phương.
2- Hàng năm Uỷ ban nhân dân cấp tỉnh bố trí một khoản kinh phí từ ngân sách địa phương để thực hiện việc điều tra, khảo sát, thống kê về giá chuyển nhượng quyền sử dụng đất, thuê tư vấn về giá đất và định giá các loại đất, tổ chức tập huấn triển khai thực hiện các quyết định về giá đất, tổ chức đào tạo, bồi dưỡng nghiệp vụ cho cán bộ quản lý giá đất tại địa phương. Việc quản lý kinh phí này thực hiện theo các quy định hiện hành của Nhà nước.
Uỷ ban nhân dân cấp tỉnh chỉ đạo Sở Tài chính tổ chức mạng lưới theo dõi, thống kê giá chuyển nhượng quyền sử dụng đất thực tế trên thị trường địa phương. Định kỳ báo cáo Bộ Tài chính theo đúng qui định. Trường hợp giá chuyển nhượng quyền sử dụng đất thực tế trên thị trường địa phương biến động liên tục và kéo dài, gây nên chênh lệch giá lớn thì phải báo cáo Bộ Tài chính để tổng hợp trình Chính phủ xem xét điều chỉnh khung giá các loại đất.
3- Thông tư này có hiệu lực thi hành sau 15 ngày kể từ ngày đăng Công báo.
Thông tư này thay thế Thông tư số 114/2004/TT-BTC ngày 26/11/2004 của Bộ Tài chính hướng dẫn thi hành Nghị định số 188/2004/NĐ-CP.
Trong quá trình thực hiện Thông tư nếu phát sinh vướng mắc, đề nghị Uỷ ban nhân dân các tỉnh, thành phố trực thuộc trung ương báo cáo Bộ Tài chính để hướng dẫn giải quyết.
KT. BỘ TRƯỞNG
THỨ TRƯỞNG
Trần Văn Tá
Phụ lục 1
VÍ DỤ VỀ PHƯƠNG PHÁP SO SÁNH TRỰC TIẾP
(Kèm theo Thông tư số: 145/2007/TT-BTC ngày 06 /12/2007 của Bộ Tài chính)
Áp dụng phương pháp so sánh trực tiếp để xác định giá đất (để đơn giản và dễ hiểu, ví dụ này chỉ giới thiệu phương pháp so sánh trực tiếp để xác định giá đất của thửa đất, khu đất cần định giá với một thửa đất, khu đất so sánh).
Giả định trong quá trình định giá khu đất ở có diện tích 20.000 mét vuông thuộc một đô thị loại V (kí hiệu là khu đất B), cơ quan định giá đã thu thập được thông tin về một khu đất liền kề có diện tích 25.000 mét vuông có thể so sánh được với khu đất cần định giá đã được tổ chức đấu giá quyền sử dụng đất thành công để đầu tư xây dựng nhà ở (kí hiệu là khu đất A) diễn ra trong khoảng thời gian gần nhất với thời điểm xác định giá khu đất B. Tổng số tiền thu được từ đấu giá khu đất A là 125 tỷ đồng, tính ra đơn giá một mét vuông là 5,0 triệu đồng (5 triệu đ/m2).
Với tất cả thông tin thu thập được cơ quan định giá tiến hành so sánh giữa khu đất A và khu đất B như sau:
|
Các tiêu chí so sánh |
Những điểm giống nhau |
Những điểm khác nhau |
||
|
Khu đất A |
Khu đất B |
Khu đất A |
Khu đất B |
|
|
1. Căn cứ pháp lý |
Có giấy chứng nhận quyền sử dụng đất |
Có giấy chứng nhận quyền sử dụng đất |
|
|
|
2. Mục đích sử dụng |
Đất ở tại đô thị loại V |
Đất ở tại đô thị loại V |
|
|
|
3. Vị trí đất |
Vị trí 1: Đất có một mặt tiền liền cạnh với đường phố |
Vị trí 1: Đất có một mặt tiền liền cạnh với đường phố |
|
|
|
4. Loại đường phố |
Loại 2 |
Loại 2 |
|
|
|
5. Chiều rộng mặt tiền (m) |
|
|
100 |
70 |
|
6. Chiều sâu của khu đất (m) |
|
|
250 |
285,7 |
|
7. Kết cấu hạ tầng - Đường giao thông |
|
|
- Thuận lợi (có 2 mặt tiếp giáp với đường hẻm lớn) |
- Kém thuận lợi hơn (có một mặt tiếp giáp với đường hẻm lớn) |
|
8. Môi trường - Độ ồn ào - Độ bụi |
- Ồn ào
|
- Ồn ào
|
- Bụi |
- Ít bụi hơn |
|
9. Tài sản trên đất |
Không |
Không |
|
|
|
10. Tính chất của cuộc mua bán |
Tự nguyện |
Tự nguyện |
|
|
Từ việc so sánh, cơ quan định giá đã rút ra được kết quả 2 khu đất trên có 7 tiêu chí giống nhau và 4 tiêu chí khác nhau. Để xác định sự khác biệt giữa các yếu tố so sánh giữa các khu đất để điều chỉnh mức giá, cơ quan định giá áp dụng phương pháp chuyên gia kết hợp với phương pháp thống kê các chứng cứ thị trường để tính ra hệ số khác biệt giữa các tiêu chí.
Có thể sử dụng cách chấm điểm theo thang điểm có điểm cao nhất là điểm 10 áp dụng cho từng tiêu chí có điều kiện tốt nhất, (ví dụ, khi xét về vị trí, nếu đất có vị trí tốt nhất xếp điểm 10; hoặc khi xét về loại đường phố, nếu đất ở đường phố có khả năng sinh lợi cao nhất, kết cấu hạ tầng thuận lợi nhất xếp điểm 10). Các điểm dưới 10 áp dụng cho cho các tiêu chí cùng loại có điều kiện kém hơn. Căn cứ tình hình cụ thể, địa phương xây dựng thang điểm để định giá cụ thể:
|
- Chiều rộng mặt tiền của khu đất |
Rộng hơn: 10 điểm Hẹp hơn: 8 điểm |
Thuộc khu đất A Thuộc khu đất B |
|
- Chiều sâu của khu đất |
Ngắn hơn: 10 điểm Sâu hơn: 9 điểm |
Thuộc khu đất A Thuộc khu đất B |
|
- Giao thông |
Thuận lợi: 10 điểm Kém thuận lợi: 8,5 điểm |
Thuộc khu đất A Thuộc khu đất B |
|
- Độ bụi |
Bụi: 8 điểm Ít bụi hơn: 9 điểm |
Thuộc khu đất A Thuộc khu đất B |
Mỗi điểm kém giảm đi 5% giá, ngược lại, mỗi điểm tăng cộng thêm 5% giá của khu đất so sánh (A). Số điểm kém giảm giá và tăng giá bao nhiêu phần trăm là hoàn toàn phụ thuộc vào kết quả khảo sát thị trường. Với qui ước như vậy thì:
Trên cơ sở mức giá đấu giá thành công của khu đất A là 125 tỷ đồng so sánh để định giá cho khu đất B, mức giá của khu đất B sẽ bị giảm:
- Chiều rộng mặt tiền: B kém A: 2 điểm, giảm 10% = 12,5 tỷ đồng
- Chiều sâu của khu đất: B kém A: 1 điểm, giảm 5% = 6,25 tỷ đồng
- Giao thông: B kém A: 1,5 điểm, giảm 7,5% = 9,375 tỷ đồng
Tổng số giảm giá do khác biệt B kém A: 28,125 tỷ đồng
B sẽ được cộng thêm:
- Độ bụi: B hơn A: 1 điểm, tăng 5% = 6,25 tỷ đồng
Tổng số tăng giá do khác biệt B hơn A: 6,25 tỷ đồng
Giá khu đất A được điều chỉnh lại (kí hiệu là A’) theo những yếu tố khác biệt của khu đất B được tính toán như sau:
A’ = 125 - 28,125 + 6,25 = 103,125 (tỷ đồng)
Tính ra đơn giá một mét vuông là:
103.125 triệu đồng : 25.000 m2 = 4,125 triệu đ/m2.
Tương tự như vậy, giả sử cơ quan định giá lựa chọn được thêm 2 khu đất C và D nữa để so sánh với khu đất B. Kết quả phân tích, so sánh đã xác định được đơn giá của khu đất C đã điều chỉnh theo các yếu tố của khu đất B là 4,5 triệu đ/m2 và của khu đất D đã điều chỉnh là 4,05 triệu đ/m2.
Đơn giá khu đất B được xác định bằng cách lấy mức giá trung bình của 3 mức giá đã điều chỉnh ở trên:
(4,125 + 4,5 + 4,05) : 3 = 4,225 (triệu đ/m2)./.
Phụ lục 2
VÍ DỤ VỀ PHƯƠNG PHÁP THU NHẬP
(Kèm theo Thông tư số: 145/2007/TT-BTC ngày 06 /12/2007 của Bộ Tài chính)
Áp dụng phương pháp thu nhập để xác định giá đất nông nghiệp trồng cây hàng năm tại xã A (là xã đồng bằng) của huyện C, tỉnh X thuộc vùng Đồng bằng sông Cửu Long. Thửa đất được lựa chọn để định giá có diện tích 4.000 m2 được xếp vị trí đất loại 3, một năm trồng 3 vụ lúa tẻ thường. Cơ quan định giá đất đã tiến hành điều tra, khảo sát thực tế và thu thập các số liệu trong 3 năm liên tục như sau:
|
|
ĐV tính |
2004 |
2005 |
2006 |
|
Sản lượng lúa thu hoạch cả năm |
kg |
6.500 |
6.000 |
7.200 |
|
Giá bán bình quân năm 2006 (năm định giá đất) |
đ/kg |
2.500 |
2.500 |
2.500 |
|
Tổng thu nhập |
đồng |
16.250.000 |
15.000.000 |
18.000.000 |
|
Chi phí sản xuất |
đồng |
7.930.000 |
7.500.000 |
9.108.000 |
|
Lãi suất tiền gửi tiết kiệm (*) kỳ hạn 12 tháng |
%/năm |
8,0 |
8,3 |
8,6 |
Ghi chú: (*) Giả sử đây là mức lãi suất tiền gửi tiết kiệm tiền đồng Việt Nam (VNĐ) loại có kỳ hạn 12 tháng tại ngân hàng thương mại có mức lãi suất cao nhất tại địa phương.
+ Tổng thu nhập của 3 năm là 49.250.000 đồng.
+ Tổng chi phí sản xuất 3 năm là 24.538.000 đồng.
+ Thu nhập thuần túy bình quân một năm là :
= 8.237.333 (đồng)
+ Lãi suất tiền gửi tiết kiệm VNĐ tại ngân hàng thương mại quốc doanh loại kỳ hạn 12 tháng bình quân là 8,3%/năm.
+ Giá trị của thửa đất trồng lúa có diện tích 4.000 m2 tính theo công thức nêu ở bước 4 mục 2 Phần I Thông tư này sẽ là:
|
Giá đất ước tính |
= |
8.237.333 ______________ 8,3 |
× |
100 |
= |
99.244.976 (đồng) |
|
|
|
|
|
hoặc |
» |
24.811 đ/m2 |
|
|
|
|
|
Làm tròn |
25.000 đ/m2 |
|
Phụ lục 3
VÍ DỤ VỀ PHƯƠNG PHÁP CHIẾT TRỪ
(Kèm theo Thông tư số:145/2007/TT-BTC ngày 06/12/2007 của Bộ Tài chính)
Cơ quan định giá đất đang tiến hành xác định giá một thửa đất ở có diện tích 90 m2 (kích thước mặt tiền 5m x dài 18 m, trên thửa đất đã xây nhà 4 tầng), mặt tiền tiếp giáp với một đường nội bộ rộng 8m của một Khu đô thị mới tại Thủ đô Hà Nội đã được xây dựng hoàn chỉnh.
Áp dụng phương pháp chiết trừ để xác định giá thửa đất nói trên được thực hiện như sau:
Bước 1: Qua điều tra khảo sát thị trường cơ quan định giá thu thập được thông tin về một số cuộc mua bán thành công một ngôi nhà ở trong Khu đô thị trên có mặt bằng xây dựng tương tự như thửa đất cần định giá.
Để đơn giản, trong ví dụ này chỉ nêu về một bất động sản trong số các bất động sản đã giao dịch thành công, đó là một ngôi nhà có diện tích mặt bằng là 100 m2 (nhà 4 tầng, mặt tiền 5m) nằm tiếp giáp một đường nội bộ khác, cũng rộng 8m và cắt ngang với con đường có thửa đất cần định giá; giá bán bất động sản (nhà và đất) giao dịch thành công là 3.600 triệu đồng, ngôi nhà này được bán cách thời điểm hiện tại 4 tháng, trong thời gian này giá đất trên thị trường hầu như không biến động. Tuy nhiên, thửa đất cần định giá có vị trí thuận lợi hơn và có hướng nhà tốt hơn, do đó, thửa đất cần định giá có đơn giá cao hơn thửa đất làm mặt bằng của ngôi nhà đã chuyển nhượng thành công này khoảng 6%.
Bước 2: Khảo sát thực địa và thị trường thu thập được số liệu sau:
- Diện tích xây dựng: 75 m2.
- Đơn giá xây dựng ngôi nhà có chất lượng và công dụng tương đương theo giá thị trường hiện tại là 2,8 triệu đồng/m2 sàn (đơn giá trọn gói, bao gồm lợi nhuận của chủ thầu xây dựng).
- Ngôi nhà đã được sử dụng 12 năm; tuổi đời kinh tế dự kiến là 70 năm. Do được bảo dưỡng và sử dụng tốt nên ngôi nhà có thể sử dụng được 63 năm nữa.
Bước 3: Xác định giá trị còn lại của ngôi nhà:
- Tổng diện tích sàn xây dựng của ngôi nhà: 75 m2 ´ 4 = 300 m2
- Chi phí thay thế xây dựng mới ngôi nhà có diện tích và công dụng tương tự:
2,8 triệu đồng/m2 ´ 300 m2 = 840 triệu đồng
- Xác định giá trị hao mòn:
+ Tỷ lệ hao mòn: Áp dụng phương pháp xác định tỷ lệ hao mòn theo tuổi đời:
|
Tỷ lệ hao mòn của ngôi nhà |
= |
1 |
− |
Số năm sử dụng còn lại |
|
Tuổi đời kinh tế |
= 1 -
= 0,1 hoặc 10%
+ Giá trị hao mòn hữu hình: 840 triệu đồng ´ 10% = 84 triệu đồng
Giá trị còn lại của ngôi nhà:
840 triệu đồng - 84 triệu đồng = 756 triệu đồng
Bước 4: Xác định giá thửa đất của bất động sản
Giá trị của thửa đất: 3.600 triệu đồng – 756 triệu đồng = 2.844 triệu đồng.
Đơn giá thửa đất là: 2.844 triệu đồng : 100 m2 = 28,44 triệu đồng/m2;
Làm tròn: 28,5 triệu đồng/m2.
Bước 5: Xác định giá thửa đất cần định giá
Tiến hành điều chỉnh đơn giá đất của bất động sản nêu trên theo khác biệt về vị trí đất sẽ xác định được giá đất của thửa đất cần định giá:
28,5 triệu đồng + (28,5 triệu đồng x 6%) = 30,21 triệu đồng/m2
Làm tròn: 30,5 triệu đồng/m2.
Kết luận: Đơn giá của thửa đất cần định giá khoảng 30,5 triệu đồng/m2./.
Phụ lục 4
VÍ DỤ VỀ PHƯƠNG PHÁP THẶNG DƯ
(Kèm theo Thông tư số:145/2007/TT-BTC ngày 06/12/2007 của Bộ Tài chính)
Khu đất cần định giá có diện tích 10.000m2 ở Quận X của một thành phố thuộc đô thị loại I. Nhà nước cho một doanh nghiệp thuê dùng vào mục đích sản xuất công nghiệp; đã đến thời điểm hết hạn hợp đồng thuê đất, do vấn đề ô nhiễm môi trường, Ủy ban nhân dân thành phố đã quyết định cho doanh nghiệp thuê đất tại một khu công nghiệp nằm ở khu vực ngoại ô. Dự kiến sẽ giao khu đất này cho một công ty kinh doanh nhà ở đô thị đầu tư xây dựng kết cấu hạ tầng phân lô và xây dựng nhà để bán. Hiện tại trên khu đất có nhà xưởng sản xuất diện tích 6.000m2 (nhà trệt, tường gạch, vì kèo thép, mái tôn, nền láng xi măng); các chuyên giá đánh giá chất lượng còn lại 30%.
Theo quy định về xây dựng, đối với dự án này tỷ lệ diện tích đất sử dụng để xây dựng nhà ở tối đa là 55%; tổng diện tích xây dựng là 5.500 m2.
Dự án sẽ được phép xây dựng một tòa nhà chung cư cao 12 tầng với diện tích mặt bằng 3.000 m2; diện tích đất phân lô bán nền là 2.500 m2 (chia thành 25 lô, mỗi lô có diện tích 100 m2).
Giả định dự án sẽ hoàn thành trong vòng một năm và nhà đầu tư chỉ phải bồi thường phần giá trị nhà xưởng cho doanh nghiệp bị thu hồi đất.
Căn cứ vào quy hoạch, thiết kế chi tiết của dự án và các dữ liệu do nhà đầu tư cung cấp; qua việc khảo sát phân tích thị trường bất động sản, thị trường xây dựng, cơ quan định giá đất thu thập được các thông tin sau:
- Đơn giá xây dựng mới nhà xưởng có kết cấu tương tự 800.000đ/m2.
- Chi phí đầu tư xây dựng hạ tầng bình quân 600.000 đ/m2
- Chi phí thiết kế, quy hoạch dự án 1.000 triệu đồng.
- Chi phí xây dựng nhà chung cư bình quân 3.000.000đ/m2 .
- Chi phí xây dựng bể nước, trạm bơm nước và máy phát điện dự phòng phục vụ cho tòa nhà chung cư là 1.200 triệu đồng.
- Chi phí phá dỡ nhà xưởng cũ 100 triệu đồng, phế liệu thu hồi được bằng 20% giá trị còn lại của nhà xưởng.
- Nhà đầu tư phải vay ngân hàng 60% chi phí xây dựng với lãi suất 10%/năm.
- Chi phí quảng cáo và bán nhà bằng 1% doanh thu.
- Chi phí quản lý dự án bằng 5% tổng chi phí của dự án.
- Lợi nhuận của nhà đầu tư 20% tổng doanh thu của dự án.
- Giá bán căn hộ chung cư bình quân 7,0 triệu đ/m2, tổng diện tích các căn hộ chiếm 80% tổng diện tích sàn xây dựng nhà chung cư; Đất phân lô dự kiến bán được 15 triệu đ/m2. Giá này chưa bao gồm thuế giá trị gia tăng.
Áp dụng phương pháp thặng dư để định giá khu đất này như sau:
Bước 1: Xác định mục đích sử dụng tốt nhất và có hiệu quả nhất của khu đất: Đó là dùng cho mục đích đất ở; trong đó cơ cấu hợp lý nhất là dành khoảng 55% diện tích đất có khả năng xây dựng để xây dựng chung cư cao tầng và khoảng 45% diện tích đất còn lại để phân lô bán nền.
Bước 2: Ước tính tổng doanh thu
- Doanh thu từ việc bán các căn hộ chung cư:
(3.000m2 ´ 12 ´ 80%) ´ 7,0 tr.đ/m2 = 201.600 tr.đ
- Doanh thu từ diện tích đất phân lô bán nền:
2.500 m2 ´ 15 tr.đ/m2 = 37.500 tr.đ
Tổng doanh thu dự kiến: 201.600 tr.đ + 37.500 tr.đ = 239.100 tr.đ
Bước 3: Ước tính tổng chi phí
- Chi phí đầu tư hạ tầng
10.000m2 ´ 600.000 đ/m2 = 6.000 tr.đ
- Chi phí thiết kế, quy hoạch = 1.000 tr.đ
- Chi phí xây dựng chung cư
(3.000m2/tầng ´ 12 tầng) ´ 3,0 tr.đ/m2 = 108.000 tr.đ
- Chi phí xây dựng bể nước, trạm bơm nước và máy phát điện dự phòng phục vụ cho tòa nhà chung cư = 1.200 tr.đ
- Chi phá dỡ nhà xưởng cũ = 100 tr.đ
- Chi phí bồi thường nhà xưởng
(6.000 m2 ´ 800.000 đ/m2) ´ 30% = 1.440 tr.đ
- Trừ đi giá trị phế liệu thu hồi 1.440 tr.đ ´ 20% = -288 tr.đ
- Chi phí quảng cáo bán hàng 1% ´ 239.100 tr.đ = 2.391 tr.đ
Tổng chi phí xây dựng trực tiếp: 119.843 tr.đ
- Trả lãi tiền vay ngân hàng
(119.843 tr.đ ´ 60%) ´ 10% = 7.190,58 tr.đ
- Chi phí quản lý 119.843 tr.đ ´ 5% = 5.992,15 tr.đ
- Lợi nhuận của nhà đầu tư: 239.100 tr.đ ´ 20% = 47.820 tr.đ
Tổng chi phí và lợi nhuận 180.845,73 tr.đ
Bước 4: Xác định giá đất
Giá trị ước tính của khu đất
239.100 tr.đ - 180.845,73 tr.đ = 58.254,27 tr.đ
Làm tròn 58.000 tr.đ; hoặc 5,8 tr.đ/m2
Kết luận giá trị của khu đất nêu trên khoảng 58 tỷ đồng hoặc 5,8 tr.đ/m2./.Bạn chưa Đăng nhập thành viên.
Đây là tiện ích dành cho tài khoản thành viên. Vui lòng Đăng nhập để xem chi tiết. Nếu chưa có tài khoản, vui lòng Đăng ký tại đây!
Bạn chưa Đăng nhập thành viên.
Đây là tiện ích dành cho tài khoản thành viên. Vui lòng Đăng nhập để xem chi tiết. Nếu chưa có tài khoản, vui lòng Đăng ký tại đây!