- Tổng quan
- Nội dung
- Tiêu chuẩn liên quan
- Lược đồ
- Tải về
Tiêu chuẩn quốc gia TCVN 14270:2024 Nhũ tương nhựa đường a xít thấm bám (EAP) - Yêu cầu kỹ thuật, thi công và nghiệm thu
| Số hiệu: | TCVN 14270:2024 | Loại văn bản: | Tiêu chuẩn Việt Nam |
| Cơ quan ban hành: | Bộ Khoa học và Công nghệ | Lĩnh vực: | Xây dựng , Công nghiệp |
| Trích yếu: | Nhũ tương nhựa đường a xít thấm bám (EAP) - Yêu cầu kỹ thuật, thi công và nghiệm thu | ||
|
Ngày ban hành:
Ngày ban hành là ngày, tháng, năm văn bản được thông qua hoặc ký ban hành.
|
31/12/2024 |
Hiệu lực:
|
Đã biết
|
| Người ký: | Đang cập nhật |
Tình trạng hiệu lực:
Cho biết trạng thái hiệu lực của văn bản đang tra cứu: Chưa áp dụng, Còn hiệu lực, Hết hiệu lực, Hết hiệu lực 1 phần; Đã sửa đổi, Đính chính hay Không còn phù hợp,...
|
Đã biết
|
TÓM TẮT TIÊU CHUẨN VIỆT NAM TCVN 14270:2024
TCVN 14270:2024: Các quy định chính về nhũ tương nhựa đường a xít thấm bám ảnh hưởng đến thi công và nghiệm thu
Tiêu chuẩn quốc gia TCVN 14270:2024 về nhũ tương nhựa đường a xít thấm bám (EAP) được ban hành bởi Cục Đường bộ Việt Nam, hiện có hiệu lực và bàn giao cho các chủ thể thi công sử dụng trong các công trình đối với lớp móng đường như cấp phối đá dăm và cấp phối thiên nhiên. Tiêu chuẩn này quy định những yêu cầu cụ thể về chất lượng, thi công và nghiệm thu trong quá trình sử dụng nhũ tương.
Phạm vi áp dụng: Tiêu chuẩn áp dụng cho việc làm mới, sửa chữa và khôi phục mặt đường ô tô, đảm bảo rằng loại nhũ tương này được sử dụng hợp lý trên các lớp móng đường. Nhũ tương cần phải dính bám và cải thiện chất lượng công trình khi thi công.
Yêu cầu kỹ thuật: Nhũ tương nhựa đường a xít thấm bám phải ở dạng lỏng, có màu nâu sẫm và đạt các chỉ tiêu kỹ thuật như độ nhớt, độ ổn định lưu trữ, hàm lượng dầu và nhựa, cùng khả năng thấm vào vật liệu. Đặc biệt, nhiệt độ sử dụng nhũ tương phải trong khoảng (20 - 70) °C.
Lượng vật liệu sử dụng: Lượng nhũ tương tưới thấm bám tùy thuộc vào loại vật liệu lớp móng, với định mức từ 0,6 đến 1,4 L/m². Những điều này cần được tính toán chính xác để đảm bảo độ dính bám cao giữa lớp móng và lớp mặt đường.
Quy trình thi công: Quá trình thi công yêu cầu điều kiện thời tiết thuận lợi, với nhiệt độ khí hậu trên 10 °C và không có mưa. Trước khi tưới, bề mặt lớp móng cần được vệ sinh sạch sẽ bằng máy quét bụi và khí nén để đảm bảo có sự dính bám tốt giữa nhũ tương và lớp móng.
Kiểm tra và nghiệm thu: Kiểm tra giám sát trong quá trình thi công rất quan trọng, yêu cầu phải theo dõi việc tưới nhũ tương để đảm bảo đồng đều và hiệu quả thấm bám. Việc nghiệm thu chất lượng tưới thấm bám sẽ dựa vào các điều kiện như nhũ tương phải phủ đều và khô ráo sau khoảng thời gian nhất định.
TCVN 14270:2024 có hiệu lực từ ngày ban hành, định hướng cho việc sử dụng đồng nhất và chất lượng trong các công trình xây dựng giao thông, tạo nền tảng cho sự phát triển hạ tầng giao thông bền vững.
Tải tiêu chuẩn Việt Nam TCVN 14270:2024
TIÊU CHUẨN QUỐC GIA
TCVN 14270:2024
NHŨ TƯƠNG NHỰA ĐƯỜNG A XÍT THẤM BÁM (EAP) - YÊU CẦU KỸ THUẬT, THI CÔNG VÀ NGHIỆM THU
Cationic Emulsified Asphalt Prime (EAP) - Specification, Construction and Acceptance
Lời nói đầu
TCVN 14270:2024 do Cục Đường bộ Việt Nam biên soạn, Bộ Giao thông vận tải đề nghị, Bộ Khoa học và Công nghệ thẩm định và công bố.
NHŨ TƯƠNG NHỰA ĐƯỜNG A XÍT THẤM BÁM (EAP) - YÊU CẦU KỸ THUẬT, THI CÔNG VÀ NGHIỆM THU
Cationic Emulsified Asphalt Prime (EAP) - Specification, Construction and Acceptance
1 Phạm vi áp dụng
1.1 Tiêu chuẩn này quy định các chỉ tiêu chất lượng, công nghệ thi công, kiểm tra, giám sát và nghiệm thu tưới nhũ tương nhựa đường a xít thấm bám (EAP) trên các lớp móng bằng vật liệu cấp phối đá dăm (TCVN 8859), cấp phối thiên nhiên (TCVN 8857), cấp phối đá dăm và cấp phối thiên nhiên gia cố xi măng (TCVN 8858) hoặc lớp cào bóc tái sinh nguội tại chỗ.
1.2 Tiêu chuẩn này áp dụng cho việc làm mới, sửa chữa, khôi phục, gia cường mặt đường ô tô, bến bãi có lớp móng bằng vật liệu cấp phối đá dăm, cấp phối thiên nhiên, cấp phối đá dăm và cấp phối thiên nhiên gia cố xi măng hoặc lớp cào bóc tái sinh nguội tại chỗ cần tưới thấm bám trước khi rải lớp mặt nhựa (bê tông nhựa, láng nhựa ...) lên trên.
2 Tài liệu viện dẫn
Các tài liệu viện dẫn sau rất cần thiết cho việc áp dụng tiêu chuẩn này. Đối với các tài liệu viện dẫn ghi năm công bố thì áp dụng phiên bản được nêu. Đối với các tài liệu viện dẫn không ghi năm công bố thì áp dụng phiên bản mới nhất, bao gồm cả các sửa đổi, bổ sung (nếu có).
TCVN 7494, Bitum - Phương pháp lấy mẫu
TCVN 7500, Bi tum - Phương pháp xác định độ hòa tan trong Trichloroethylene và N-propyl Bromide
TCVN 7572-2, Cốt liệu bê tông và vữa - Phương pháp thử - Phần 2: Xác định thành phần hạt
TCVN 7572-4, Cốt liệu bê tông và vữa - Phương pháp thử - Phần 4: Xác định khối lượng riêng, khối lượng thể tích và độ hút nước
TCVN 7572-8, Cốt liệu bê tông và vữa - Phương pháp thử - Phần 8: Xác định hàm lượng bùn, bụi, sét trong cốt liệu và hàm lượng sét cục trong cốt liệu nhỏ
TCVN 8817-2, Nhũ tương nhựa đường a xít - Phương pháp thử - Phần 2: Xác định độ nhớt Saybolt Furol
TCVN 8817-3, Nhũ tương nhựa đường a xít - Phương pháp thử - Phần 3: Xác định độ lắng và độ ổn định lưu trữ
TCVN 8817-4, Nhũ tương nhựa đường a xít - Phương pháp thử - Phần 4: Xác định lượng hạt quá cỡ (thử nghiệm sàng)
TCVN 8817-5, Nhũ tương nhựa đường a xít - Phương pháp thử - Phần 5: Xác định điện tích hạt
TCVN 8817-9, Nhũ tương nhựa đường a xít - Phương pháp thử - Phần 9: Thử nghiệm chưng cất
TCVN 8857, Lớp kết cấu áo đường ô tô bằng cấp phối thiên nhiên - Vật liệu, thi công và nghiệm thu
TCVN 8858, Móng cấp phối đá dăm và cấp phối thiên nhiên gia cố xi măng trong kết cấu áo đường ô tô - Thi công và nghiệm thu
TCVN 8859, Lớp móng cấp phối đá dăm trong kết cấu đường ôtô - Vật liệu, thi công và nghiệm thu
AASHTO T 191, Density of Soil In-Place by the Sand-Cone Method (Quy trình thí nghiệm xác định độ chặt tại chỗ bằng phễu rót cát)
AASHTO T 84, Standard Method of Test for Specific Gravity and Absorption of Fine Aggregate (Tiêu chuẩn thí nghiệm xác định tỷ trọng khối và độ hút nước của cốt liệu mịn)
AASHTO T 85, Standard Method of Test for Specific Gravity and Absorption of Coarse Aggregate (Tiêu chuẩn thí nghiệm xác định tỷ trọng khối và độ hút nước của cốt liệu thô)
3 Thuật ngữ, định nghĩa
Trong tiêu chuẩn này sử dụng các thuật ngữ, định nghĩa sau:
3.1
Nhũ tương nhựa đường a xít thấm bám (Cationic Emulsified Asphalt Prime, EAP)
Loại nhũ tương nhựa đường a xít có độ nhớt thấp, có tính dính bám, thẩm thấu tốt vào lớp móng đường bằng cấp phối đá dăm, cấp phối thiên nhiên hoặc cấp phối đá dăm và cấp phối thiên nhiên gia cố xi măng, lớp cào bóc tái sinh nguội tại chỗ, có khả năng cải thiện chất lượng công trình khi sử dụng làm lớp tưới thấm bám.
3.2
Khả năng thấm (Penetration Power)
Khả năng của nhũ tương nhựa đường a xít thấm vào vật liệu cát tiêu chuẩn.
3.3
Thời gian thấm (Penetration Time)
Thời gian, tính bằng phút, cần thiết để một lượng xác định nhũ tương nhựa đường a xít thấm hoàn toàn vào một lượng xác định vật liệu tiêu chuẩn
3.4
Trạng thái bão hòa nước khô bề mặt (Saturated Surface Dry, SSD)
Trạng thái của cốt liệu đã được ngâm trong nước và nước bị hút vào lỗ rỗng của cốt liệu, sau đó nước tự do trên bề mặt hạt cốt liệu được loại bỏ để các hạt cốt liệu vẫn bão hòa nước, nhưng bề mặt của hạt cốt liệu về cơ bản là khô
3.5
Tỷ trọng khối ở trạng thái bão hòa nước khô bề mặt (Bulk SSD Specific Gravity)
Tỷ số giữa khối lượng trong không khí của một đơn vị thể tích cốt liệu, bao gồm khối lượng nước chứa trong các lỗ rỗng của cốt liệu sau khi ngâm trong nước khoảng 15 h (nhưng không bao gồm độ rỗng giữa các hạt) với khối lượng của cùng một thể tích nước đã loại bỏ bọt khí ở nhiệt độ xác định.
4 Yêu cầu kỹ thuật của nhũ tương nhựa đường a xít thấm bám
4.1 Nhũ tương nhựa đường a xít thấm bám phải ở dạng lỏng, có tính đồng nhất và có màu nâu sẫm.
4.2 Nhiệt độ khi sử dụng của nhũ tương nhựa đường a xít thấm bám ở trong khoảng (20 ÷ 70) °C.
4.3 Nhũ tương nhựa đường a xít thấm bám phải có chỉ tiêu chất lượng thỏa mãn các quy định tại Bảng 1.
Bảng 1 - Các chỉ tiêu chất lượng của nhũ tương nhựa đường a xít thấm bám
| Stt | Tên chỉ tiêu | Đơn vị | Mức | Phương pháp thử |
| I | Thử nghiệm trên mẫu nhũ tương nhựa đường a xít thấm bám |
|
|
|
| 1 | Độ nhớt Saybolt Furol ở 25 °C | s | 15 ÷ 100 | TCVN 8817-2 |
| 2 | Độ ổn định lưu trữ sau 24 h | % | ≤ 2 | TCVN 8817-3 |
| 3 | Lượng hạt quá cỡ, thử nghiệm sàng | % | ≤ 0,10 | TCVN 8817-4 |
| 4 | Điện tích hạt | - | dương | TCVN 8817-5 |
| II | Thử nghiệm chưng cất nhũ tương nhựa đường a xít thấm bám |
|
|
|
| 5 | Hàm lượng dầu | % | ≤ 12 | TCVN 8817-9 |
| 6 | Hàm lượng nhựa | % | ≥ 50 | TCVN 8817-9 |
| 7 | Độ hoà tan trong Trichloroethylene hoặc N-propyl Bromide | % | ≥ 97,5 | TCVN 7500 |
| IV | Thí nghiệm khả năng thấm của nhũ tương nhựa đường a xít thấm bám |
|
|
|
| 8 | Thời gian thấm vào vật liệu tiêu chuẩn | min | ≤ 20 | Phụ lục A |
| 9 | Chiều sâu thấm vào vật liệu tiêu chuẩn | mm | ≥ 8 | Phụ lục A |
5 Lượng vật liệu tưới thấm bám
5.1 Lượng nhũ tương nhựa đường tưới thấm bám phụ thuộc vào loại vật liệu và độ chặt lớp móng đường như trong Bảng 2.
Bảng 2 - Lượng nhũ tương nhựa đường tưới thấm bám trên lớp móng
| Stt | Vật liệu lớp móng | Lượng nhũ tương tưới thấm bám, L/m2 |
| 1 | Cấp phối đá dăm, cấp phối thiên nhiên | 0,8 ÷ 1,4 |
| 2 | Cấp phối đá dăm và cấp phối thiên nhiên gia cố xi măng | 0,6 ÷ 1,0 |
| 3 | Cào bóc tái sinh nguội tại chỗ | 0,6 ÷ 1,0 |
| CHÚ THÍCH 1: Khối lượng chính xác lượng nhũ tương nhựa đường tưới thám bám xem 5.7. | ||
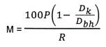
5.2 Độ dính bám giữa lớp móng và lớp mặt đường phụ thuộc vào lượng nhũ tương nhựa đường tưới thấm bám. Có thể tham khảo công thức (1) để tính toán lượng nhũ tương nhựa đường tưới thấm bám.
Công thức kinh nghiệm:
|
| (1) |
trong đó:
M là lượng nhũ tương nhựa đường tưới thấm bám, tính bằng lít trên mét vuông (L/m2);
P là chiều sâu thấm bám của nhũ tương nhựa đường, tính bằng milimét (mm);
R là hàm lượng nhựa trong nhũ tương, tính bằng phần trăm (%);
Dk là khối lượng thể tích khô của vật liệu làm lớp móng đường, tính bằng gam/centimet khối (g/cm3);
Dbh là khối lượng thể tích ở trạng thái bão hòa nước khô bề mặt của vật liệu làm lớp móng đường, tính bằng gam/centimet khối (g/cm3); Dbh được xác định từ công thức (2).
5.3 Giá trị của P phụ thuộc vào thành phần hạt, độ chặt của lớp móng đường và loại nhũ tương nhựa đường được sử dụng để tưới thấm bám. Khi thử nghiệm tưới thấm bám nhũ tương nhựa đường lần đầu tiên trên đoạn thử nghiệm, có thể tham khảo giá trị P theo Bảng 3 trong tính toán. Sau khi thấy được khả năng thấm bám thực tế của nhũ tương nhựa đường mới xem xét thay đổi giá trị của P hoặc thay đổi vật liệu tưới thấm bám sao cho phù hợp.
5.4 Giá trị của Dk được xác định tại công trình trong thời gian thi công theo AASHTO T191.
5.5 Giá trị của Dbh được xác định từ công thức (2):
| Dbh = GSSD x Dn | (2) |
trong đó:
Dbh là khối lượng thể tích ở trạng thái bão hòa nước khô bề mặt của vật liệu làm lớp móng đường, tính bằng gam/centimet khối (g/cm3);
Dn là khối lượng riêng của nước; Dn = 1 (g/cm3);
GSSD là tỷ trọng khối ở trạng thái bão hòa nước khô bề mặt của vật liệu làm lớp móng đường.
Bảng 3 - Chiều sâu thấm (P) của nhũ tương nhựa đường a xít thẩm bám sử dụng để dự tính lượng tưới nhũ tương
| Stt | Vật liệu lớp móng | Chiều sâu thấm (P), mm |
| 1 | Cấp phối đá dăm, cấp phối thiên nhiên | 4,5 |
| 2 | Cấp phối đá dăm và cấp phối thiên nhiên gia cố xi măng | 3,5 |
| 3 | Cào bóc tái sinh nguội tại chỗ bằng: |
|
| - Xi măng, vôi bột hoặc tro bay | 3,5 | |
| - Nhũ tương nhựa đường | 3,0 | |
| - Bitum bọt | 3,0 |
5.6 Giá trị của GSSD được xác định từ công thức (3):
|
| (3) |
trong đó:
GSSD là tỷ trọng khối ở trạng thái bão hòa nước khô bề mặt của vật liệu làm lớp móng đường;
P1 là khối lượng của vật liệu móng đường nằm trên sàng 4,75 mm, tính bằng phần trăm (%);
P2 là khối lượng của vật liệu móng đường lọt qua sàng 4,75 mm, tính bằng phần trăm (%);
GSSD1 là tỷ trọng khối ở trạng thái bão hòa nước khô bề mặt của vật liệu móng đường nằm trên sàng 4,75 mm. Giá trị của GSSD1 được xác định theo AASHTO T 85;
GSSD2 là tỷ trọng khối ở trạng thái bão hòa nước khô bề mặt của vật liệu móng đường lọt qua sàng 4,75 mm. Giá trị của GSSD2 được xác định theo AASHTO T 84.
5.7 Để chính xác hoá lượng nhũ tương nhựa đường tưới thấm bám và để kiểm tra sự hoạt động của thiết bị máy móc, trước khi thi công đại trà cần tiến hành thi công thử một đoạn tối thiểu 50 m, rộng tối thiểu một làn xe và điều chỉnh cho phù hợp với điều kiện thực tế trên cơ sở kiểm tra chất lượng đoạn làm thử theo các chỉ tiêu ở Bảng 4.
CHÚ THÍCH 2: Đối với công trình có khối lượng thi công tưới nhũ tương nhựa đường tưới thấm bám nhỏ, không đủ chiều dài 50 m thì Chủ đầu tư quyết định rải thử với chiều dài ngắn hơn hoặc không rải thử nhưng lớp nhũ tương thấm bám thi công vẫn phải đảm bảo chất lượng theo quy định trong tiêu chuẩn này.
6 Yêu cầu về lưu trữ, bảo quản, vận chuyển
6.1 Yêu cầu về nhiệt độ
6.1.1 Nhũ tương nhựa đường a xít thấm bám được lưu trữ, bảo quản trong thùng chứa có hệ thống tuần hoàn. Nhiệt độ của nhũ tương phải giữ ở mức (20 ÷ 70) °C.
6.1.2 Nhiệt độ của nhũ tương nhựa đường a xít thấm bám trong lúc vận chuyển phải giữ ở mức (20 ÷ 70) °C. Thời gian vận chuyển không quá 48 h. Nếu lâu hơn 48 h thì cần sử dụng hệ thống bơm tuần hoàn để đảm bảo độ đồng nhất của vật liệu. Thời gian tuần hoàn theo khuyến cáo của đơn vị cung cấp vật liệu.
6.2 Chất lượng sử dụng
Nhũ tương nhựa đường a xít thấm bám khi sử dụng phải có các chỉ tiêu chất lượng theo đúng quy định tại Bảng 1 và có các tính chất chung như sau:
6.2.1 Ở dạng lỏng, có tính đồng nhất và có màu nâu sẫm.
6.2.2 Đảm bảo chất lượng trong quá trình lưu trữ, vận chuyển và khi đưa vào sử dụng.
6.2.3 Khả năng thấm bám vào vật liệu lớp móng đường trong thời gian quy định.
6.2.4 Có khả năng bao phủ lớp vật liệu làm móng mặt đường, chống thấm.
6.2.5 Có khả năng dính bám giữa lớp móng và lớp mặt đường.
7 Yêu cầu về thiết bị thi công
7.1 Máy phun tưới nhũ tương nhựa đường
7.1.1 Máy phun tưới nhũ tương nhựa đường nên hoạt động tự động, có thùng chứa nhũ tương nhựa đường, được đặt trên xe tải hoặc xe bồn và thường có các trang thiết bị cần thiết như sau:
- Thiết bị đo khối lượng nhũ tương nhựa đường trong thùng chứa;
- Thiết bị gia nhiệt cho nhũ tương nhựa đường;
- Nhiệt kế đo nhiệt độ nhũ tương nhựa đường;
- Máy bơm nhũ tương nhựa đường;
- Bộ nguồn;
- Giàn phun tưới + vòi phun nhũ tương nhựa đường;
- Thiết bị tưới nhũ tương nhựa đường cầm tay;
- Thùng chứa nhũ tương nhựa đường.
7.1.2 Máy phun tưới nhũ tương nhựa đường cần thực hiện được các công đoạn sau:
- Có thể bơm nhũ tương nhựa đường vào thùng chứa trên xe;
- Có thể tuần hoàn nhũ tương nhựa đường;
- Có thể phun tưới nhũ tương nhựa đường qua giàn tưới và thiết bị tưới cầm tay;
- Bơm nhũ tương nhựa đường từ thùng chứa trên xe ra ngoài để lưu trữ ở nơi khác.
7.1.3 Máy phun tưới nhũ tương nhựa đường được lắp đặt thiết bị đo khối lượng nhũ tương nhựa đường trong thùng chứa (bằng áp lực hoặc bằng phương pháp khác).
7.1.4 Giàn phun tưới nhũ tương nhựa đường có vòi phun được lắp ở khoảng cách đều nhau, vòi phun có thể điều chỉnh góc phun và có bộ phận đóng mở ống phun. Khi sử dụng, công suất máy bơm phải đủ mạnh cho toàn bộ giàn phun tưới và có thể điều chỉnh độ cao và chiều rộng tưới.
7.1.5 Thiết bị tưới nhũ tương nhựa đường cầm tay được sử dụng để phun tưới tại những nơi, vị trí máy phun tưới không thể tiếp cận được.
7.1.6 Tốc độ của xe khi tưới thấm bám phải tương ứng với tỷ lệ tưới nhũ tương nhựa đường. Xe phải có khả năng tưới đều, đúng tỷ lệ và phải có sự kiểm tra, giám sát của tư vấn giám sát.
7.1.7 Thùng chứa nhũ tương nhựa đường trên xe thường có lớp cách nhiệt, bên trong thùng có ống dẫn nhiệt từ một hoặc nhiều giàn sấy có tấm kim loại tản nhiệt, trao đổi nhiệt với nhũ tương nhựa đường. Thùng chứa có thiết bị đo khối lượng nhũ tương nhựa đường, kim chỉ báo khối lượng hoặc cả hai. Có nhiệt kế có thể đo chính xác tới 01 °C.
7.1.8 Ở các công trình sửa chữa nhỏ, khối lượng ít, dàn trải, ở các vùng sâu, vùng xa chưa có điều kiện thi công cơ giới, có thể dùng thiết bị tưới nhũ tương nhựa đường cầm tay hoặc nửa cơ giới để thi công.
7.2 Xe phun tưới nước
Dùng để tưới một lượng nước vừa đủ lên bề mặt lớp móng để tạo trạng thái bão hòa nước khô bề mặt của vật liệu lớp móng đường.
Xe phải có thùng chứa nước, hệ thống phun tưới đảm bảo phun nước đều trên bề mặt lớp móng theo đúng tỷ lệ quy định.
CHÚ THÍCH 3: Trường hợp công trình sửa chữa nhỏ, khối lượng ít có thể dùng thiết bị tưới nước cầm tay hoặc nửa cơ giới để thi công nhưng phải đảm bảo tưới đều và đúng tỷ lệ.
7.3 Máy quét bụi
Máy quét bụi có thể là loại xe tự động hoặc loại lắp trên các máy sẵn có, ví dụ như lắp trên máy kéo. Lông chổi quét thường làm bằng xơ sợi, dây thép. Máy quét bụi có khả năng điều chỉnh tốc độ xoay và lực tác động lên mặt đường.
CHÚ THÍCH 4: Trường hợp công trình sửa chữa nhỏ, khối lượng ít có thể quét bụi thủ công nhưng phải đảm bảo bề mặt sạch trước khi tưới vật liệu thấm bám.
7.4 Máy thổi khí, máy nén khí
Máy thổi khí, máy nén khí phải thổi khí đủ mạnh để làm sạch bề mặt đường trước khi thi công tưới thấm bám.
7.5 Máy hút bụi
Máy hút bụi phải đảm bảo hút sạch bụi trên bề mặt đường trước khi thi công tưới thấm bám.
7.6 Kiểm tra, hiệu chỉnh thiết bị trước khi thi công
Trước khi đưa máy phun tưới nhũ tương nhựa đường vào hoạt động phải kiểm tra và hiệu chỉnh máy để có thể tưới đều và đúng khối lượng nhũ tương nhựa đường theo chiều rộng và chiều dài của đường. Trước khi tiến hành tưới đại trà cần phải tưới thử nghiệm trên một đoạn dài tối thiểu 50 m để hiệu chỉnh thiết bị đảm bảo phun tưới theo đúng tỷ lệ yêu cầu.
8 Thi công
8.1 Điều kiện thời tiết phù hợp để thi công
8.1.1 Việc thi công phun tưới nhũ tương nhựa đường a xít thấm bám được thực hiện khi thời tiết tốt, không mưa, nhiệt độ không khí lớn hơn 10 °C.
8.1.2 Cần phải theo dõi dự báo thời tiết để đảm bảo việc thi công phun tưới nhũ tương nhựa đường a xít thấm bám tránh những ngày mưa. Việc có mưa ngay trước, trong và sau khi thi công phun tưới nhũ tương nhựa đường a xít thấm bám sẽ ảnh hưởng đến chất lượng lớp thấm bám.
8.2 Công tác chuẩn bị bề mặt trước khi phun tưới nhũ tương nhựa đường a xít thấm bám
8.2.1 Trước khi phun tưới nhũ tương nhựa đường a xít thấm bám, lớp móng đường [cấp phối đá dăm (TCVN 8859), cấp phối thiên nhiên (TCVN 8857), cấp phối đá dăm và cấp phối thiên nhiên gia cố xi măng (TCVN 8858) hoặc lớp cào bóc tái sinh nguội tại chỗ] phải được thi công và nghiệm thu theo đúng quy định hiện hành, bảo đảm được các yêu cầu về cường độ và các yếu tố hình học như thiết kế đã quy định.
8.2.2 Các vật liệu thừa phải được dọn sạch khỏi lòng đường.
8.2.3 Dùng máy quét bụi để làm vệ sinh sạch bề mặt lớp mỏng đường trước khi phun tưới nhũ tương nhựa đường a xít thấm bám. Trường hợp phun tưới thấm bám trên lớp cấp phối đá dăm hoặc cấp phối thiên nhiên thì máy quét bụi cần điều chỉnh tốc độ xoay và áp lực chổi quét cho phù hợp để không làm bong bật các cốt liệu nằm ở phần trên của mặt đường. Phạm vi làm sạch mặt đường phải rộng hơn phạm vi sẽ phun tưới nhũ tương nhựa đường a xít thấm bám ít nhất là 0,20 m dọc theo hai mép.
8.2.4 Trường hợp có nhiều sạn, rác trên bề mặt lớp móng thì dùng các dụng cụ, trang thiết bị phù hợp để dọn sạch toàn bộ sạn, rác, sau đó dùng máy quét bụi để làm sạch bụi bẩn.
8.2.5 Sau khi dùng máy quét bụi để làm vệ sinh sạch bề mặt lớp móng đường thì dùng máy thổi khí (nén khí) hoặc máy hút bụi làm sạch bụi bẩn trên bề mặt lớp móng đường. Đối với đường qua khu đông dân cư, nếu có thể thì nên sử dụng thiết bị liên hợp thực hiện đồng thời quét, thổi, hút bụi làm sạch bề mặt lớp móng đường để giảm thiểu phát tán bụi vào môi trường.
Tùy theo thực tế công trường, nếu cần cải thiện khả năng thấm của nhũ tương nhựa đường EAP có thể phun tưới nước để tạo bão hòa nước khô bề mặt cho lớp móng. Việc phun tưới nước là tùy chọn và được quyết định bởi Tư vấn giám sát.
8.2.6 Trong trường hợp phun tưới nước thì dùng xe phun tưới một lượng nước vừa đủ lên bề mặt lớp móng để tạo trạng thái bão hòa nước khô bề mặt. Đối với lớp móng có bề mặt hở [cấp phối đá dăm (TCVN 8859), cấp phối thiên nhiên (TCVN 8857) ...] lượng nước phun tưới vào khoảng (0,25 ÷ 0,80) L/m2. Đối với lớp móng có bề mặt kín hơn [cấp phối đá dăm và cấp phối thiên nhiên gia cố xi măng (TCVN 8858), lớp cào bóc tái sinh nguội tại chỗ ...] lượng nước phun tưới vào khoảng (0,15 ÷ 0,60) L/m2. Sau khi phun tưới nước quan sát bề mặt lớp móng vẫn còn ẩm nhưng thấm giấy thì khô là đạt trạng thái bão hòa nước khô bề mặt. Nếu phun tưới đẫm quá phải để cho khô bớt, nếu nước đọng thành vũng phải loại bỏ hết.
8.2.7 Dùng thiết bị tưới nước cầm tay để tưới tại những nơi, vị trí xe phun tưới không thể tiếp cận được.
8.2.8 Sau khi hoàn tất công tác chuẩn bị bề mặt lớp móng và chuẩn bị các loại máy móc, dụng cụ, phương tiện thi công thì chuyển sang công đoạn thi công phun tưới nhũ tương nhựa đường a xít thấm bám.
8.3 Thi công phun tưới nhũ tương nhựa đường a xít thấm bám
8.3.1 Nếu có đường tránh hoặc có thể phân luồng giao thông sang tuyến khác thì có thể thi công trên toàn bộ chiều rộng của đường.
8.3.2 Trường hợp vừa thi công phun tưới vừa phải đảm bảo giao thông trên tuyến thì xem xét thi công mỗi lần một nửa chiều rộng đường.
8.3.3 Sử dụng xe phun tưới nhũ tương nhựa đường để tưới thấm bám theo đúng khối lượng và nhiệt độ quy định. Khi xe phun tưới không thể sử dụng (do bị hỏng hoặc không thể tiếp cận vị trí cần tưới) hoặc ở các công trình sửa chữa nhỏ, khối lượng ít, ở các vùng sâu, vùng xa chưa có điều kiện thi công cơ giới thi dùng thiết bị tưới nhũ tương nhựa đường cầm tay hoặc nửa cơ giới để thi công. Trong trường hợp này nếu sử dụng nhũ tương nhựa đường chứa trong các thùng thì cần lăn thùng qua lại để trộn đều nhũ tương nhựa đường trước khi sử dụng.
8.3.4 Lớp nhũ tương nhựa đường phun ra phải đều và kín bề mặt lớp móng. Người điều khiển phải xác định tương quan giữa tốc độ đi của xe, tốc độ của bơm nhũ tương, chiều cao của vòi phun, chiều rộng phân bố của giàn phun tưới, góc đặt của các lỗ phun phù hợp với biểu đồ phun nhũ tương kèm theo của từng loại xe phun nhũ tương nhằm bảo đảm lượng nhũ tương phun ra trên 01 m2 bề mặt lớp móng phù hợp với định mức. Sai lệch cho phép là ±5 %.
8.3.5 Để tránh nhũ tương nhựa đường không đều khi xe bắt đầu chạy và khi xe dừng lại cần rải một băng giấy dày hoặc một tấm tôn mỏng lên bề mặt lớp móng tại những vị trí này trên một chiều dài khoảng 2 m để hứng lượng nhũ tương phun xuống trước khi giàn phun đạt chế độ phun ổn định. Sau đó di chuyển bằng giấy (tấm tôn) ra vị trí khác và tiến hành rải bình thường.
8.3.6 Trường hợp trên bề mặt lớp móng sau khi phun còn rải rác những chỗ chưa có nhũ tương nhựa đường, phải dùng thiết tưới bị cầm tay tưới bổ sung; ở những vị trí thừa nhũ tương nhựa đường thì phải thấm bỏ.
8.3.7 Ở những đoạn đường dốc xe phun nhũ tương nhựa đường đi từ dưới lên dốc để nhũ tương nhựa đường khỏi chảy dồn xuống.
8.3.8 Phải ngừng ngay việc phun tưới nhũ tương nhựa đường nếu máy phun nhũ tương nhựa đường gặp phải sự cố kỹ thuật (như tắc vòi phun, áp lực phun không đủ, chết máy ...), hoặc trời mưa. Trường hợp quá trình thi công xuất hiện mưa bụi (không gây đọng nước trên mặt đường) và cần thi công ngay thì vẫn có thể thi công và quyết định bởi Tư vấn giám sát.
8.3.9 Sau khi phun tưới nhũ tương nhựa đường a xít thấm bám thì không được thông xe cho đến khi nhũ tương thấm bám hoàn toàn vào lớp móng đường, thông thường không ít hơn 8 h tùy thuộc vào điều kiện thời tiết. Thời gian đợi thông xe có thể sớm hơn tùy theo thực tế công trường và quyết định bởi Tư vấn giám sát.
8.3.10 Trường hợp không thể cấm xe đủ thời gian quy định (cho đến khi nhũ tương thấm bám hoàn toàn vào lớp mỏng đường) thì sử dụng cát sạch và khô (hoặc cát nghiền hay đá dăm kích thước 5 mm ÷ 10 mm) để rải lên bề mặt để bao phủ lớp nhũ tương nhựa đường a xít thấm bám, tuy nhiên cấm rải cát trước 8 h tính từ lúc hoàn tất việc phun tưới thấm bám.
8.3.11 Sau khi phun tưới nhũ tương nhựa đường a xít thấm bám, cần để ít nhất 12 h mới tiến hành rải lớp mặt đường nhựa (việc thi công lớp mặt đường nhựa có thể sớm hơn tùy thuộc tình trạng thấm bám của nhũ tương nhựa đường và được quyết định bởi tư vấn giám sát) và phải rải trong vòng 10 ngày tính từ thời điểm hoàn tất việc phun tưới nhũ tương nhựa đường a xít thấm bám.
9 Công tác kiểm tra giám sát, nghiệm thu
9.1 Việc kiểm tra giám sát được tiến hành thường xuyên trước, trong và sau khi tưới nhũ tương nhựa đường a xít thấm bám trên lớp móng đường. Yêu cầu cơ bản đối với tưới nhũ tương nhựa đường a xít thấm bám trên các lớp móng đường là nhũ tương phủ đều bề mặt lớp móng đường theo đúng tỷ lệ quy định và thấm bám tốt vào lớp móng đường.
9.2 Kiểm tra giám sát công tác chuẩn bị lớp bề mặt lớp móng đường cần tưới thấm bám:
- Kiểm tra lại cao độ, kích thước hình học, độ bằng phẳng của lớp móng đường (theo biên bản nghiệm thu trước đó);
- Kiểm tra mức độ sạch của bề mặt lớp móng đường bằng mắt;
- Nếu tưới bổ sung ẩm thì cần kiểm tra kỹ thuật lượng nước tưới lên bề mặt lớp móng để tạo trạng thái bão hòa nước khô bề mặt. Bề mặt được tưới lượng nước vừa đủ. Sau khi tưới nước quan sát bề mặt lớp móng vẫn còn ẩm nhưng thấm giấy thì khô là đạt trạng thái bão hòa nước khô bề mặt. Nếu tưới đẫm quá phải để cho khô bớt, nếu nước đọng thành vũng phải loại bỏ hết.
9.3 Kiểm tra các xe máy, thiết bị trước khi thi công
9.3.1 Kiểm tra về sự hoạt động bình thường của các bộ phận của xe phun tưới nhũ tương nhựa đường (hệ thống tuần hoàn, thiết bị đo lượng nhũ tương, giàn phun, vòi phun ...), máy thổi khí, máy nén khí.
9.3.2 Đối với các bộ phận của xe phun tưới nhũ tương nhựa đường cần kiểm tra:
- Hệ thống tuần hoàn: Hoạt động bình thường;
- Kiểm tra khả năng hâm nóng đồng đều và giữ nhiệt của thùng chứa nhũ tương nhựa đường;
- Độ chính xác của đồng hồ đo tốc độ xe ± 1,5 %; của đồng hồ đo lưu lượng máy bơm ± 1,5 %; của đồng hồ đo dung lượng nhũ tương nhựa đường ± 2 %; của nhiệt kế đo nhiệt độ nhũ tương nhựa đường ± 01 °C;
- Tình trạng của giàn phun, vòi phun: Có đồng nhất và bố trí thẳng hàng không, có bị tắc nghẽn không;
- Chiều cao của giàn phun thích hợp với biểu đồ phun tưới nhũ tương nhựa đường của từng loại xe, tương ứng với tốc độ xe, tốc độ bơm và lượng nhũ tương nhựa đường tưới cho 1 m2;
- Độ đồng đều của lượng nhũ tương nhựa đường a xít thấm bám đã phun xuống bề mặt lớp móng được kiểm tra bằng cách đặt các khay bằng tôn mỏng có kích thước đáy là 25 cm x 40 cm thành cao 4 cm trên bề mặt lớp móng để hứng nhũ tương khi xe phun nhũ tương đi qua. Cân khay trước và sau khi xe phun nhũ tương đi qua, lấy hiệu số sẽ có được lượng nhũ tương nhựa đường đã tưới trên 0,10 m2; cần đặt 3 hộp trên một trắc ngang. Chênh lệch lượng nhũ tương nhựa đường tại các vị trí đặt khay với nhau không được quá 15 %;
- Chênh lệch giữa lượng nhũ tương nhựa đường đã phun trên 1 m2 với định mức không quá 5 %;
9.4 Kiểm tra chất lượng của nhũ tương nhựa đường a xít thấm bám
- Nhũ tương nhựa đường a xít thấm bám phải được kiểm tra, thí nghiệm và có chứng chỉ của nơi sản xuất nhũ tương như quy định tại Bảng 1. Ngoài ra cần lấy mẫu nhũ tương trực tiếp từ các xe vận chuyển nhũ tương đến công trường để lưu, kiểm tra độ nhớt Saybolt Furol ở 25 °C, kiểm tra các chỉ tiêu khác (nếu cần). Mẫu được lấy theo TCVN 7494 và thời gian lưu mẫu tối đa là 14 ngày kể từ khi lấy mẫu. Trong trường hợp sửa chữa nhỏ lẻ, khối lượng nhũ tương sử dụng để tưới thấm bám không lớn thì việc kiểm tra hàng ngày do Tư vấn giám sát quyết định;
- Kiểm tra nhiệt độ của nhũ tương nhựa đường trước khi bơm vào thùng chứa của xe phun nhũ tương và trước khi phun tưới. Nhiệt độ của nhũ tương khi phun tưới nằm trong khoảng (20 ÷ 70) °C. Sai lệch cho phép là ± 01 °C.
9.5 Kiểm tra giám sát trong khi thi công tưới nhũ tương nhựa đường a xít thấm bám
9.5.1 Kiểm tra giám sát việc tưới nhũ tương nhựa đường a xít thấm bám bảo đảm định mức, sự đồng đều, đủ thời gian thấm bám hết vào lớp móng đường.
9.5.2 Kiểm tra giám sát việc tổ chức giao thông nội bộ trong phạm vi công trường, việc bảo đảm giao thông khi thi công trên đường đang khai thác theo các quy định hiện hành; kiểm tra việc tổ chức canh gác, bố trí biển báo, bố trí phòng hộ, điều hành giao thông.
9.5.3 Kiểm tra giám sát các điều kiện an toàn lao động trong tất cả các khâu trước khi bắt đầu mỗi ca làm việc và cả trong quá trình thi công.
9.5.4 Kiểm tra giám sát việc bảo vệ môi trường xung quanh: Không cho phép đổ lượng nhũ tương thừa vào các cống, rãnh; không để nhựa dính bẩn vào các công trình hai bên đường.
9.5.5 Các trường hợp sau đây phải yêu cầu ngừng thi công:
- Xe máy, thiết bị thi công bị trục trặc kỹ thuật: Tắc vòi phun, áp lực phun không đủ, chết máy;
- Trời mưa hoặc có thể mưa;
- Trường hợp quá trình thi công xuất hiện mưa bụi (không gây đọng nước trên mặt đường) và cần thi công ngay thì vẫn có thể thi công và quyết định bởi Tư vấn giám sát.
9.6 Nghiệm thu
Nghiệm thu công tác tưới nhũ tương nhựa đường a xít thấm bám trên các lớp móng theo các yêu cầu kỹ thuật tại Bảng 4.
Bảng 4 - Yêu cầu kỹ thuật nghiệm thu tưới nhũ tương nhựa đường a xít thấm bám
| Chất lượng tưới thấm bám | Phương pháp kiểm tra | Yêu cầu kỹ thuật |
| 1. Lớp nhũ tương nhựa đường a xít thấm bám phủ đều khắp bề mặt lớp móng đường | Quan sát bằng mắt | Nhũ tương nhựa đường a xít thấm bám phủ kín 100 % diện tích bề mặt lớp móng đường cần tưới thấm bám |
| 2. Lượng nhũ tương nhựa đường tưới thấm bám theo đúng định mức (2 vị trí cho 1 km /1 làn xe chạy) | Dùng khay bằng tôn để hứng nhũ tương tưới thấm bám theo quy định tại 9.3.2. | Chênh lệch lượng nhũ tương nhựa đường tại các vị trí đặt khay với nhau không được quá 15 % |
| Xác định khối lượng nhũ tương nhựa đường trên xe trước và sau khi tưới thấm bám, chia cho diện tích tưới thấm bám | Chênh lệch giữa lượng nhũ tương nhựa đường đã phun trên 01 m2 với định mức không quá 5 % | |
| 3. Bề mặt lớp móng đường khô ráo sau khi kết thúc quá trình thấm bám của nhũ tương nhựa đường | Quan sát bằng mắt sau (8÷12) h kể từ lúc hoàn tất việc tưới thấm bám. Thời gian quan sát và đánh giá có thể sớm hơn tùy thuộc tình trạng thấm bám của nhũ tương nhựa đường và quyết định bởi tư vấn giám sát. | 100 % diện tích bề mặt lớp móng đường khô ráo, không còn nhũ tương đọng lại trên bề mặt. |
| Dùng giấy thấm trên bề mặt lớp móng đường | Bề mặt giấy khô hoàn toàn |
Phụ lục A
(Quy định)
Phương pháp thí nghiệm xác định khả năng thấm của nhũ tương nhựa đường
A.1 Nguyên tắc
Một lượng nhũ tương nhựa đường xác định dùng để thí nghiệm được rót vào cát tiêu chuẩn, sau đó đo thời gian cần thiết để nhũ tương thấm vào cát tiêu chuẩn và chiều sâu thấm.
A.2 Yêu cầu về cát tiêu chuẩn
Cát tiêu chuẩn sử dụng cho thí nghiệm xác định khả năng thấm của nhũ tương nhựa đường là cát thạch anh tự nhiên, không nghiền, có chỉ tiêu chất lượng thỏa mãn các quy định tại Bảng A.1 và thành phần cấp phối quy định tại Bảng A.2.
Bảng A.1 - Các chỉ tiêu chất lượng của cát tiêu chuẩn sử dụng cho thí nghiệm xác định khả năng thấm của nhũ tương nhựa đường
| Stt | Chỉ tiêu | Quy định | Phương pháp thử |
| 1 | Hàm lượng thạch anh (SiO2), % | ≥ 95 | Nhiễu xạ tia -X (X-ray Diffraction) |
| 2 | Khối lượng riêng, g/cm3 | (2,650 ± 0,02) | TCVN 7572-4 |
| 3 | Hàm lượng chung bụi, bùn, sét, % | 0 | TCVN 7572-8 |
| 4 | Thành phần cấp phối | Bảng A.2 | TCVN 7572-2 |
Bảng A.2 - Thành phần cấp phối của hỗn hợp cát tiêu chuẩn
| Cỡ sàng mắt vuông, mm | Lượng lọt qua sàng (% khối lượng) |
| 1,0 | 100 |
| 0,6 | 95,8 |
| 0,5 | 91,2 |
| 0,25 | 55,6 |
| 0,15 | 30,2 |
| 0,063 | 7,7 |
A.3 Yêu cầu thiết bị, dụng cụ thí nghiệm
Các thiết bị, dụng cụ dùng để thí nghiệm như sau:
A.3.1 Ống thí nghiệm
Minh họa ở Hình A.1, gồm một ống thủy tinh bên trong có gắn một kính lọc, mặt kính có các lỗ đường kính từ 160 μm đến 250 μm.
Một lỗ thông khí, bên dưới mặt kính lọc, có tác dụng cân bằng áp suất khi thí nghiệm. Lỗ thông khí được cắt vuông góc với trục thẳng đứng với các cạnh được bo tròn nhẹ.
Kích thước tính bằng mm

CHÚ DẪN
1 - Kính lọc
2 - Lỗ thông khí
Hình A.1 - Ống thí nghiệm
A.3.2 Cân
Có khả năng cân 100 g với độ chính xác ±0,1 g.
A.3.3 Tủ sấy
Có thể duy trì nhiệt độ tại (110 ± 5) °C.
A.3.4 Tấm gỗ
Có kích thước 200 mm x 200 mm x 10 mm.
A.3.5 Đồng hồ bấm giờ
Có độ chính xác là 1 s hoặc nhỏ hơn.
A.3.6 Thước đo
Có khả năng đo 20 mm với độ chính xác là mm hoặc nhỏ hơn.
A.4 Lấy mẫu
Mẫu nhũ tương dùng để thí nghiệm được lấy theo TCVN 7494.
Việc thí nghiệm phải được thực hiện trên hai mẫu nhũ tương, mỗi mẫu có khối lượng (10,0 ± 0,1) g.
A.5 Phương pháp thí nghiệm
A.5.1 Sấy khô một lượng cát tiêu chuẩn (A.2) dùng cho thí nghiệm trong tủ sấy (A.3.3) ở nhiệt độ (110 ± 5) °C trong thời gian 01 h ± 2 min và làm nguội trong hộp giữ ẩm cho đến khi bằng nhiệt độ môi trường.
A.5.2 Đối với mỗi mẫu thí nghiệm, trộn đều (100,0 ± 0,2) g cát tiêu chuẩn rồi dùng phễu trút hỗn hợp cát đã trộn đều vào phần trên của ống thí nghiệm (A.3.1) và nâng phễu dần khi chiều cao cột cát trong ống tăng. Làm phẳng bề mặt hỗn hợp cát trong ống thí nghiệm bằng cách gỗ ba lần cạnh dưới ống thí nghiệm trên tấm gỗ (A.3.4). Đánh dấu vị trí bề mặt cát lên thành ống thí nghiệm.
A.5.3 Đặt ống thí nghiệm lên cân (A.3.2).
A.5.4 Rót (10,0 ± 0,1) g nhũ tương theo chiều dọc đũa thủy tinh vào giữa ống thí nghiệm và bắt đầu bấm giờ (A.3.5) khi giọt nhũ tương đầu tiên chạm vào bề mặt cát. Toàn bộ lượng nhũ tương được rót xong trong vòng (10 ± 1) s.
A.5.5 Đậy ống thí nghiệm bằng một tấm kính có thể nhìn rõ.
A.5.6 Xác định thời gian để nhũ tương thấm hoàn toàn vào cát tiêu chuẩn. Quá trình thấm của nhũ tương kết thúc khi cấu trúc bề mặt cát trong ống có thể nhìn rõ. Sau đó dùng thước (A.3.6) đo chiều sâu thấm của nhũ tương từ bề mặt cát đến hết phần màu đen bên dưới bề mặt cát. Đo tại 04 vị trí xung quanh ống thí nghiệm, lấy giá trị trung bình. Nếu quá trình thấm của nhũ tương không kết thúc trong vòng 20 min thì ngừng thí nghiệm.
A.5.7 Lặp lại thí nghiệm bằng cách sử dụng lượng cát tiêu chuẩn và nhũ tương mới. Nếu kết quả thí nghiệm với hai mẫu nhũ tương khác nhau hơn 3 min, lặp lại thí nghiệm với mẫu nhũ tương thứ ba.
A.5.8 Sử dụng hai kết quả gần nhau nhất để tính thời gian thấm trung bình và chiều sâu thấm trung bình.
A.6 Ghi kết quả thí nghiệm
A.6.1 Ghi kết quả thời gian thấm trung bình bằng phút và giây, sau đó làm tròn đến phút (theo nguyên tắc nếu giá trị sau dấu phẩy từ 0,5 trở lên thì tăng thời gian thấm thêm 01 min; nếu giá trị sau dấu phẩy nhỏ hơn 0,5 thì giữ nguyên thời gian thấm đến phút).
A.6.2 Ghi kết quả chiều sâu thấm trung bình bằng mm.
A.7 Độ chụm
A.7.1 Sự chênh lệch thời gian thấm giữa hai kết quả thí nghiệm do một thí nghiệm viên thực hiện với cùng một thiết bị thí nghiệm trong cùng điều kiện thí nghiệm với cùng một sản phẩm nhũ tương không được vượt quá 3 min trong 01 lần thí nghiệm trên tổng số 20 lần thí nghiệm.
A.7.2 Sự chênh lệch thời gian thấm giữa hai kết quả thí nghiệm biệt lập do các thí nghiệm viên khác nhau trong điều kiện các phòng thí nghiệm khác nhau với cùng một sản phẩm nhũ tương không được vượt quá 6 min trong 01 lần thí nghiệm trên tổng số 20 lần thí nghiệm (với điều kiện hai kết quả thí nghiệm được thực hiện cách nhau không quá 2 tuần).
A.8 Báo cáo thí nghiệm
Báo cáo kết quả thí nghiệm phải bao gồm tối thiểu các thông tin sau:
(a) Mẫu nhũ tương dùng để thí nghiệm, ngày lấy mẫu thí nghiệm;
(b) Ngày thí nghiệm;
(c) Người thí nghiệm, phòng thí nghiệm;
(d) Tiêu chuẩn thí nghiệm;
(e) Cát tiêu chuẩn dùng để thí nghiệm;
(f) Kết quả thí nghiệm
Thư mục tài liệu tham khảo
[1] TCCS 27 : 2019/TCĐBVN "Nhũ tương nhựa đường a xít thấm bám - Yêu cầu kỹ thuật, thi công và nghiệm thu”, 2019, Tổng cục ĐBVN
[2] DH-SP 410/2014 - Specification for Emulsified Asphalt Prime, EAP (nhũ tương nhựa đường thấm bám EAP - Yêu cầu kỹ thuật), 2014
[3] DH-S 402/2014 - Standard for construction of Prime coat (tiêu chuẩn thi công, nghiệm thu lớp thấm bám), 2014
[4] EN 12849 Bitumen and bituminous binders - Determination of penetration power of bituminous emulsions (Nhựa đường và chất dính kết nhựa đường - Xác định khả năng thấm của nhũ tương nhựa đường), 2009
MỤC LỤC
1 Phạm vi áp dụng
2 Tài liệu viện dẫn
3 Thuật ngữ, định nghĩa
4 Yêu cầu kỹ thuật của nhũ tương nhựa đường a xít thấm bám
5 Lượng vật liệu tưới thấm bám
6 Yêu cầu về lưu trữ, bảo quản, vận chuyển
7 Yêu cầu về thiết bị thi công
8 Thi công
9 Công tác kiểm tra giám sát, nghiệm thu
Phụ lục A (Quy định) Phương pháp thí nghiệm xác định khả năng thấm của nhũ tương nhựa đường
Thư mục tài liệu tham khảo
Bạn chưa Đăng nhập thành viên.
Đây là tiện ích dành cho tài khoản thành viên. Vui lòng Đăng nhập để xem chi tiết. Nếu chưa có tài khoản, vui lòng Đăng ký tại đây!

