- Tổng quan
- Nội dung
- Tiêu chuẩn liên quan
- Lược đồ
- Tải về
Tiêu chuẩn TCVN 14224:2025 Nhà máy nhiệt điện - Thí nghiệm xác định các đặc tính kỹ thuật lò hơi đốt nhiên liệu
| Số hiệu: | TCVN 14224:2025 | Loại văn bản: | Tiêu chuẩn Việt Nam |
| Cơ quan ban hành: | Bộ Khoa học và Công nghệ | Lĩnh vực: | Công nghiệp , Điện lực |
| Trích yếu: | Nhà máy nhiệt điện - Thí nghiệm xác định các đặc tính kỹ thuật lò hơi đốt nhiên liệu | ||
|
Ngày ban hành:
Ngày ban hành là ngày, tháng, năm văn bản được thông qua hoặc ký ban hành.
|
18/02/2025 |
Hiệu lực:
|
Đã biết
|
| Người ký: | Đang cập nhật |
Tình trạng hiệu lực:
Cho biết trạng thái hiệu lực của văn bản đang tra cứu: Chưa áp dụng, Còn hiệu lực, Hết hiệu lực, Hết hiệu lực 1 phần; Đã sửa đổi, Đính chính hay Không còn phù hợp,...
|
Đã biết
|
TÓM TẮT TIÊU CHUẨN VIỆT NAM TCVN 14224:2025
Nội dung tóm tắt đang được cập nhật, Quý khách vui lòng quay lại sau!
Tải tiêu chuẩn Việt Nam TCVN 14224:2025
TIÊU CHUẨN QUỐC GIA
TCVN 14224:2025
NHÀ MÁY NHIỆT ĐIỆN - THÍ NGHIỆM XÁC ĐỊNH CÁC ĐẶC TÍNH KỸ THUẬT LÒ HƠI ĐỐT NHIÊN LIỆU
Thermal power plant - Fired steam generator performance test
MỤC LỤC
Lời nói đầu
Lời giới thiệu
1 Phạm vi áp dụng và các yêu cầu chung
1.1 Phạm vi áp dụng
1.2 Tài liệu viện dẫn
1.3 Thuật ngữ và định nghĩa
1.4 Các chữ viết tắt
2 Đường bao thí nghiệm lò hơi
2.1 Sơ đồ đường bao thí nghiệm của các lò hơi điển hình
2.2 Các chỉ số nhận dạng vị trí của các dòng vật chất
3 Các nguyên tắc và quy trình thí nghiệm xác định đặc tính kỹ thuật lò hơi
3.1 Nguyên tắc chung
3.2 Quy trình thí nghiệm đặc tính
3.3 Sai số cho phép và độ không đảm bảo của kết quả thí nghiệm
4 Các phương tiện và phương pháp đo lường
4.1 Nguyên tắc chung
4.2 Các dữ liệu cần thiết
4.3 Các yêu cầu chung về đo lường
4.4 Đo nhiệt độ
4.5 Đo áp suất
4.6 Đo vận tốc qua tiết diện ngang
4.7 Đo lưu lượng
4.8 Lấy mẫu nhiên liệu rắn và chất hấp thụ
4.9 Lấy mẫu nhiên liệu lỏng và khí
4.10 Lấy mẫu khói
4.11 Lấy mẫu tro xỉ
4.12 Phân tích nhiên liệu, chất hấp thụ và tro xỉ
4.13 Phân tích khói
4.14 Đo điện năng
4.15 Đo độ ẩm không khí
4.16 Đo tổn thất do truyền nhiệt bức xạ và đối lưu trên các bề mặt
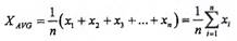
5 Tính toán kết quả thí nghiệm
5.1 Yêu cầu chung
5.2 Rút gọn các dữ liệu đo
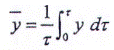
5.3 Công suất
5.4 Năng lượng đầu ra (QrO), W
5.5 Năng lượng đầu vào
5.6 Cân bằng năng lượng
5.7 Hiệu suất
5.8 Đặc tính nhiên liệu
5.9 Đặc tính của chất hấp thụ và các chất phụ gia khác
5.10 Đặc tính tro xỉ
5.11 Đặc tính của không khí cấp cho quá trình cháy
5.12 Các sản phẩm trong khói
5.13 Nhiệt độ không khí và khói
5.14 Các tổn thất
5.15 Nhiệt đóng góp
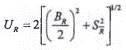
5.16 Tính toán độ không đảm bảo của kết quả thí nghiệm
5.17 Các thông số vận hành khác
5.18 Hiệu chỉnh theo các điều kiện tiêu chuẩn hoặc điều kiện thiết kế
5.19 Entanpi của không khí, khói và các dòng vật chất khác được yêu cầu để tính toán cân bằng năng lượng
5.20 Các ký hiệu sử dụng trong các công thức tính toán
6 Báo cáo kết quả thí nghiệm
6.1 Yêu cầu chung
6.2 Nội dung báo cáo
7 Phân tích độ không đảm bảo
7.1 Giới thiệu
7.2 Các khái niệm cơ bản
7.3 Phân tích độ không đảm bảo trước thí nghiệm và lập kế hoạch thí nghiệm
7.4 Các công thức và quy trình xác định độ lệch chuẩn để ước tính sai số ngẫu nhiên
7.5 Các công thức và phương pháp xác định độ không đảm bảo hệ thống
7.6 Độ không đảm bảo của kết quả thí nghiệm
Phụ lục A (Tham khảo) Các biểu mẫu tính toán
Phụ lục B (Tham khảo) Xác định hiệu suất thô theo phương pháp cân bằng nghịch và phương pháp cân bằng thuận. Xác định hiệu suất theo nhiệt trị thấp theo phương pháp cân bằng nghịch
Lời nói đầu
TCVN 14224:2025 được biên soạn dựa trên cơ sở tham khảo tiêu chuẩn ASME PTC 4 - 2013, Fired Steam Generators - Performance Test Code (Lò hơi đốt nhiên liệu - Tiêu chuẩn thí nghiệm đặc tính kỹ thuật).
TCVN 14224:2025 do Hội KHKT Nhiệt Việt Nam biên soạn, Bộ Công Thương đề nghị, Bộ khoa học và Công nghệ thẩm định và công bố.
Lời giới thiệu
Tiêu chuẩn này được xây dựng trên cơ sở tham khảo tiêu chuẩn ASME PTC 4 - 2013 Fired Steam Generators - Performance Test Code (Lò hơi đốt nhiên liệu - Tiêu chuẩn thí nghiệm đặc tính kỹ thuật) của Hiệp hội kỹ sư cơ khí Hoa Kỳ (ASME).
Tiêu chuẩn ASME PTC 4 là một tiêu chuẩn được thừa nhận rộng rãi trên thế giới và đang được áp dụng để thí nghiệm xác định các đặc tính kỹ thuật của lò hơi trong giai đoạn nghiệm thu hoàn công và trong quá trình vận hành tại hầu hết các dự án nhà máy nhiệt điện trên thế giới, trong đó có các nhà máy nhiệt điện tại Việt Nam.
Các nội dung cơ bản của tiêu chuẩn này về quy trình thí nghiệm, phương pháp đo lường, tính toán kết quả thí nghiệm, báo cáo kết quả thí nghiệm và phân tích độ không đảm bảo của kết quả thí nghiệm hoàn toàn tương đương với ASME PTC4 - 2013. Một số nội dung trong tiêu chuẩn gốc được sắp xếp, bố cục lại để đảm bảo tuân thủ các quy định về trình bày và thể hiện nội dung của tiêu chuẩn quốc gia theo TCVN 1-2:2008.
Tiêu chuẩn này sử dụng các tài liệu viện dẫn trong ASME PTC 4 và các tiêu chuẩn quốc gia (TCVN) tương đương với các tiêu chuẩn trong tài liệu gốc. Các ký hiệu sử dụng trong các biểu thức tính toán hoàn toàn đồng nhất với các ký hiệu trong tiêu chuẩn ASME PTC 4. Các đại lượng, đơn vị trong tiêu chuẩn này sử dụng Hệ đơn vị đo lường quốc tế (SI) được quy định trong TCVN 7870 (ISO 80000).
NHÀ MÁY NHIỆT ĐIỆN - THÍ NGHIỆM XÁC ĐỊNH CÁC ĐẶC TÍNH KỸ THUẬT LÒ HƠI ĐỐT NHIÊN LIỆU
Thermal power plant - Fired steam generator performance test
1 Phạm vi áp dụng và các yêu cầu chung
1.1 Phạm vi áp dụng
Tiêu chuẩn này áp dụng để thí nghiệm nghiệm thu và xác định các đặc tính kỹ thuật của các lò hơi đốt nhiên liệu trong nhà máy nhiệt điện, bao gồm các lò hơi đốt than, đốt dầu. đốt khí hoặc các nhiên liệu hydrocarbon khác.
Tiêu chuẩn này cũng có thể áp dụng cho các lò hơi đốt các loại nhiên liệu khác, nhưng cần lưu ý rằng độ không đảm bảo của kết quả có thể lớn hơn do tính bất định của các nhiên liệu này so với than, dầu hoặc khí đốt.
Tiêu chuẩn này có thể được sử dụng để xác định các đặc tính kỹ thuật sau đây:
(a) Hiệu suất
(b) Năng lượng đầu ra
(c) Công suất
(d) Nhiệt độ hơi và phạm vi kiểm soát
(e) Nhiệt độ khói thải và nhiệt độ không khí cấp vào lò
(f) Tỷ lệ không khí thừa
(g) Tổn thất áp suất trên đường nước, đường hơi
(h) Tổn thất áp suất trên đường không khí, đường khói
(i) Độ rò lọt không khí
(j) Mức độ khử lưu huỳnh
(k) Tỷ lệ mol canxi trên lưu huỳnh (Ca/S)
(l) Lưu lượng nhiên liệu, không khí và khói
(m) Hàm lượng carbon chưa cháy hết và tổn thất do carbon chưa cháy hết
Không yêu cầu phải xác định đồng thời tất cả các đặc tính này trong mọi thí nghiệm.
Việc xác định các đặc tính kỹ thuật trên đây được thực hiện nhằm các mục đích:
(a) So sánh các đặc tính kỹ thuật thực tế với các đặc tính được đảm bảo
(b) So sánh các đặc tính kỹ thuật thực tế với các đặc tính tham chiếu
(c) So sánh các điều kiện hoặc các phương thức vận hành khác nhau
(d) Xác định các đặc tính kỹ thuật cụ thể của các bộ phận hoặc các thành phần đơn lẻ
(e) So sánh các đặc tính kỹ thuật khi đốt các loại nhiên liệu thay thế
(f) Xác định các tác động của việc sửa chữa, cải tạo thiết bị
Tiêu chuẩn này cũng đưa ra các phương pháp chuyển đổi các đặc tính nhất định ở điều kiện thí nghiệm sang các đặc tính trong các điều kiện cụ thể.
1.2 Tài liệu viện dẫn
Các tài liệu viện dẫn sau rất cần thiết cho áp dụng tiêu chuẩn này. Đối với các tài liệu viện dẫn ghi năm công bố thì áp dụng phiên bản đã nêu. Đối với các tài liệu viện dẫn không ghi năm công bố thì áp dụng phiên bản mới nhất, bao gồm cả các sửa đổi (nếu có).
TCVN 318 (ISO 1170), Than và cốc - Tính kết quả phân tích ở những trạng thái khác nhau.
TCVN 1693 (ISO 18283), Than đá và cốc - Lấy mẫu thủ công
TCVN 2690 (ASTM D482), Sản phẩm dầu mỏ - Phương pháp xác định tro.
TCVN 2692 (ASTM D95), Sản phẩm dầu mỏ và bitum - Xác định hàm lượng nước bằng phương pháp chưng cất.
TCVN 4917 (ISO 540) Than đá và cốc - Xác định tính nóng chảy của tro.
TCVN 6594 (ASTM D1298), Dầu thô và sản phẩm dầu mỏ dạng lỏng - Xác định khối lượng riêng, khối lượng riêng tương đối, hoặc khối lượng API - Phương pháp tỷ trọng kế.
TCVN 6777 (ASTM D4057), Dầu mỏ và sản phẩm dầu mỏ - Phương pháp lấy mẫu thủ công.
TCVN 8113 (ISO 5167), Đo dòng lưu chất bằng thiết bị chênh áp gắn vào ống dẫn có mặt cắt ngang tròn chảy đầy
TCVN 9595-3 (ISO/IEC GUIDE 98-3), Độ không đảm bảo đo - Phần 3: Hướng dẫn trình bày độ không đảm bảo đo (GUM:1995).
TCVN 9794 (ASTM D1945), Khí thiên nhiên - Phương pháp phân tích bằng sắc ký khí.
TCVN 12553 (ASTM D3588), Nhiên liệu dạng khí - Xác định nhiệt trị, hệ số nén và tỷ khối.
ASME PTC 4.3, Air Heaters (Thiết bị sấy không khí).
ASME PTC 11, Fans (Quạt).
ASME PTC 19.1, Test Uncertainty (Độ không đảm bảo của thí nghiệm).
ASME PTC 19.2, Pressure Measurement (Đo áp suất).
ASME PTC 19.3, Temperature Measurement (Đo nhiệt độ).
ASME PTC 19.5, Flow Measurement (Đo lưu lượng).
ASME PTC 19.10, Flue and Exhaust Gas Analyses (Phân tích khói và khí thải).
ASTM C25, Standard Test Methods for Chemical Analysis of Limestone, Quicklime, and Hydrated Lime (Các phương pháp thử tiêu chuẩn để phân tích hóa học đá vôi, vôi sống và vôi tôi).
ASTM D240, Standard Test Method for Heat of Combustion of Liquid Hydrocarbon Fuels by Bomb Calorimeter (Phương pháp thử tiêu chuẩn để xác định nhiệt trị nhiên liệu hydrocarbon lỏng bằng bom nhiệt lượng).
ASTM D1552, Standard Test Method for Sulfur in Petroleum Products (High-Temperature Method) [Phương pháp thử tiêu chuẩn để xác định lưu huỳnh trong các sản phẩm dầu mỏ (Phương pháp nhiệt độ cao)].
ASTM D1826, Standard Test Method for Calorific (Heating) Value of Gases in Natural Gas Range by Continuous Recording Calorimeter [Phương pháp thử tiêu chuẩn để xác định nhiệt trị của các khí trong khí đốt thiên nhiên bằng nhiệt lượng kế ghi liên tục].
ASTM D2013, Standard Practice for Preparing Coal Samples for Analysis (Tiêu chuẩn thực hành về chuẩn bị mẫu than để phân tích).
ASTM D2234, Standard Practice for Collection of a Gross Sample of Coal (Tiêu chuẩn thực hành để thu thập mẫu thô của than).
ASTM D3174, Standard Test Method for Ash in the Analysis Sample of Coal and Coke from Coal (Phương pháp thử tiêu chuẩn để xác định độ tro trong mẫu phân tích than và cốc từ than).
ASTM D3177, Standard Test Methods for Total Sulfur in the Analysis Sample of Coal and Coke (Phương pháp thử tiêu chuẩn để xác định tổng lưu huỳnh trong mẫu phân tích than và cốc).
ASTM D3180, Standard Practice for Calculating Coal and Coke Analyses From As-Determined to Different Bases (Tiêu chuẩn thực hành để tính toán chuyển đổi thành phần than và cốc từ giá trị xác định sang các giá trị cơ sở khác).
ASTM D3302, Standard Test Method for Total Moisture in Coal (Phương pháp thử tiêu chuẩn để xác định tổng độ ẩm trong than).
ASTM D4239, Standard Test Method for Sulfur in the Analysis Sample of Coal and Coke Using High Temperature Tube Furnace Combustion (Phương pháp thử tiêu chuẩn để xác định lưu huỳnh trong mẫu phân tích than và cốc bằng cách đốt trong lò ống nhiệt độ cao).
ASTM D4809, Standard Test Method for Heat of Combustion of Liquid Hydrocarbon Fuels by Bomb Calorimeter (Precision Method) [Phương pháp thử tiêu chuẩn để xác định nhiệt nhiệt trị nhiên liệu hydrocarbon lòng bằng bom nhiệt lượng (Phương pháp chính xác)].
ASTM D5142, Standard Test Methods for Proximate Analysis of the Analysis Sample of Coal and Coke by Instrumental Procedures (Phương pháp thử tiêu chuẩn để phân tích gần đúng mẫu phân tích than và cốc bằng các quy trình công cụ).
ASTM D5287, Standard Practice for Automatic Sampling of Gaseous Fuels (Tiêu chuẩn thực hành về lấy mẫu tự động nhiên liệu khí).
ASTM D5373, Standard Test Methods for Instrumental Determination of Carbon, Hydrogen, and Nitrogen in Laboratory Samples of Coal (Phương pháp thử tiêu chuẩn để xác định carbon, hydro và nitơ trong các mẫu than bằng dụng cụ trong phòng thí nghiệm).
ASTM D5865, Standard Test Method for Gross Calorific Value of Coal and Coke (Phương pháp thử tiêu chuẩn để xác định nhiệt trị toàn phần của than và cốc).
ASTM D6316, Standard Test Method for Determination of Total, Combustible, and Carbonate Carbon in Solid Residues From Coal and Coke (Phương pháp thử tiêu chuẩn để xác định tổng carbon, carbon cháy được và chất không cháy được trong xỉ than và cốc).
IEEE 120-1989, IEEE Master Test Guide for Electrical Measurements in Power Circuits (Hướng dẫn kiểm tra tổng thể của IEEE cho các phép đo điện trong các mạch nguồn).
1.3 Thuật ngữ và định nghĩa
Các thuật ngữ và định nghĩa dưới đây được áp dụng trong tiêu chuẩn này. Đối với các tính toán, áp dụng Hệ đơn vị đo lường quốc tế (SI) được quy định trong TCVN 7870 (ISO 80000).
1.3.1
Bã chất hấp thụ (spent sorbent)
Chất rắn còn lại sau khi làm bay hơi độ ẩm trong chất hấp thụ, sau khi nung khô hoặc khử nước và tăng khối lượng do quá trình sunfat hóa.
1.3.2
Buồng đốt (combustion chamber)
Một không gian kín được thiết kế cho quá trình đốt cháy nhiên liệu.
1.3.3
Bộ giảm ôn (desuperheater)
Thiết bị để giảm và kiểm soát nhiệt độ của hơi quá nhiệt.
1.3.4
Bộ sấy không khí (air heater)
Bộ trao đổi nhiệt thực hiện quá trình truyền nhiệt của môi chất có nhiệt độ cao như khói nóng cho dòng không khí cấp vào lò. Bộ sấy không khí hồi nhiệt gồm các kiều hai ngăn và ba ngăn, với các phần tử trao đổi nhiệt cố định hoặc quay. Bộ sấy không khí thu nhiệt gồm các loại ống, tấm và ống nhiệt.
1.3.5
Carbon cố định (fixed carbon)
Phần khối lượng của nhiên liệu rắn còn lại sau khi trừ đi hàm lượng tro, chất bốc và hàm lượng ẩm. Carbon cố định được xác định theo tiêu chuẩn ASTM hoặc TCVN thích hợp. (Xem thêm chất bốc).
1.3.6
Chất bốc (volatile matter)
Hao hụt khối lượng, không tính phần ẩm, khi nhiên liệu rắn được nung trong điều kiện không tiếp xúc không khí dưới các điều kiện xác định. Chất bốc được xác định theo tiêu chuẩn ASTM hoặc TCVN thích hợp.
CHÚ THÍCH: Xem thêm Carbon cố định (1.3.5).
1.3.7
Chất hấp thụ (sorbent)
Chất hoặc hợp chất tạo ra các phản ứng hóa học để giữ lại (hoặc trung hòa) chất gây ô nhiễm.
1.3.8
Chế độ thí nghiệm (run)
Một tập hợp đầy đủ các quan trắc được thực hiện trong một khoảng thời gian với một hoặc nhiều biến độc lập được duy trì hầu như không đổi.
CHÚ THÍCH: Tập hợp các quan trắc được thực hiện trong một khoảng thời gian nhất định còn được gọi là một chuỗi đo.
1.3.9
Công suất (capacity)
Lưu lượng khối lượng lớn nhất của dòng hơi chính mà lò hơi có khả năng tạo ra liên tục với các thông số hơi và cấu hình chu trình xác định (bao gồm cả lưu lượng xả lò và lưu lượng hơi phụ được quy định).
CHÚ THÍCH: Giá trị này còn được gọi là “mức tài liên tục tối đa" (MCR - maximum continuous rating).
1.3.10
Công suất đỉnh (peak capacity)
Lưu lượng khối lượng lớn nhất của dòng hơi chính mà lò hơi có khả năng tạo ra với các thông số hơi và cấu hình chu trình xác định (bao gồm cả lưu lượng xả lò và lưu lượng hơi phụ được quy định) ở chế độ hoạt động không liên tục (tức là trong một khoảng thời gian nhất định mà không ảnh hưởng đến hoạt động sau này của lò hơi).
1.3.11
Dung sai (tolerance)
Mức sai lệch có thể chấp nhận được giữa kết quả thí nghiệm và giá trị danh định hoặc giá trị đảm bảo của đại lượng đo. Dung sai là các giá trị sai lệch được thống nhất theo hợp đồng đối với kết quả thí nghiệm hoặc các thông số đảm bảo và không phải là một phần của Tiêu chuẩn thí nghiệm đặc tính.
1.3.12
Độ không đảm bảo (uncertainty)
Giới hạn sai số ước tính của phép đo hoặc kết quả đối với một phạm vi phủ nhất định. Độ không đảm bảo định ra một dải mà giá trị thực được kỳ vọng sẽ nằm trong đó với một xác suất nhất định. Độ không đảm bảo của thí nghiệm bao gồm cả độ không đảm bảo ngẫu nhiên và độ không đảm bảo hệ thống.
1.3.13
Độ không đảm bảo của thí nghiệm (test uncertainty)
Độ không đảm bảo của thí nghiệm là kết hợp của độ không đảm bảo ngẫu nhiên và hệ thống.
1.3.14
Độ không đảm bảo hệ thống (systematic uncertainty)
Giá trị ước tính cụ thể bằng số của sai số hệ thống.
1.3.15
Độ không đảm bảo ngẫu nhiên (random uncertainty)
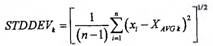
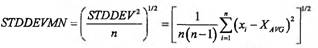
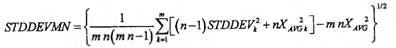
Giá trị ước tính cụ thể bằng số của các sai số ngẫu nhiên. Giá trị này thường được định lượng bằng độ lệch chuẩn của giá trị trung bình đối với một tập hợp dữ liệu thí nghiệm.
1.3.16
Độ lệch chuẩn (standard deviation)
Các loại độ lệch chuẩn được xác định trong phân tích thống kê (ví dụ: độ lệch chuẩn tổng thể, độ lệch chuẩn của Mẫu, độ lệch chuẩn của giá trị trung bình). Trong Tiêu chuẩn này, thuật ngữ “độ lệch chuẩn được sử dụng để chỉ độ lệch chuẩn của giá trị trung bình, trừ khi có quy định khác.
1.3.17
Giá trị ngoại lai (outlier)
Điểm dữ liệu được đánh giá là không hợp lệ.
1.3.18
Giàn ống sấy sơ bộ không khí (air preheater coils)
Bộ trao đổi nhiệt thường sử dụng hơi, nước ngưng hoặc glycol để gia nhiệt không khí cấp vào lò hơi và thường được sử dụng để phòng ngừa sự ăn mòn trong bộ sấy không khí hồi nhiệt và thu nhiệt.
1.3.19
Hàm lượng ẩm (moisture)
Hàm lượng nước (ở pha lỏng hoặc pha hơi) hiện diện trong nhiên liệu. Hàm lượng ẩm trong nhiên liệu được xác định theo tiêu chuẩn ASTM hoặc TCVN thích hợp.
1.3.20
Hàm lượng tro (ash)
Thành phần khoáng chất không cháy được của nhiên liệu còn lại sau khi đốt cháy hoàn toàn mẫu nhiên liệu theo tiêu chuẩn ASTM hoặc TCVN thích hợp.
1.3.21
Hao hụt khi nung (loss on ignition)
Thường được viết tắt là LOI. Là hao hụt về khối lượng của một mẫu bụi (tro) khô, tính bằng phần trăm, xảy ra giữa hai mức nhiệt độ (nhiệt độ trước khi nung và nhiệt độ nung). Thường được sử dụng để tính gần đúng lượng carbon chưa cháy hết trong tro xỉ.
1.3.22
Hiệu suất cháy (combustion efficiency)
Đại lượng để đánh giá mức độ hoàn toàn của quá trình oxy hóa tất cả các hợp chất trong nhiên liệu. Đại lượng này được xác định bằng tỷ số giữa nhiệt lượng thực tế được giải phóng từ quá trình cháy với nhiệt lượng lớn nhất có thể nhận được từ quá trình cháy.
1.3.23
Hiệu suất nhiên liệu (fuel efficiency)
Tỷ lệ giữa năng lượng đầu ra và năng lượng đầu vào dựa trên hóa năng của nhiên liệu.
1.3.24
Hiệu suất thô (gross efficiency)
Tỷ lệ giữa năng lượng đầu ra và tổng năng lượng đi vào phạm vi lò hơi.
1.3.25
Hố tro xỉ (ash pit)
Hố hoặc phễu được bố trí bên dưới buồng đốt, là nơi thu gom và thải tro xỉ.
1.3.26
Hồi lưu (reinjection)
Đưa trở lại hoặc tái tuần hoàn vật chất về lại buồng đốt.
1.3.27
Khói thải (flue gas)
Các sản phẩm dạng khí của quá trình cháy, bao gồm cả không khí thừa.
1.3.28
Không khí cấp một (primary air)
Vận chuyển và làm khô than từ máy nghiền than đến vòi đốt trong các lò hơi đốt than phun. Không khí cấp một thường có nhiệt độ khác với nhiệt độ của không khí cấp hai khi rời khỏi bộ sấy không khí hồi nhiệt trong các lò hơi cỡ lớn và thường chiếm dưới 25% tổng lượng không khí cấp cho quá trình cháy. Lò hơi đốt dầu và đốt khí thường không có không khí cấp một. Không khí cấp một là không khí được sử dụng để tạo lớp sôi cho vật liệu ở đáy buồng đốt trong các lò hơi lớp sôi tuần hoàn.
CHÚ THÍCH: Không khí cấp một còn được gọi là gió cấp một hay gió sơ cấp.
1.3.29
Không khí cấp hai (secondary air)
Phần còn lại của lượng không khí cần thiết cho quá trình cháy mà chưa được cung cấp bằng không khí cấp một trong các lò hơi đốt than phun và đốt lớp sôi. Trong các lò hơi đốt bằng dầu và đốt khí, tất cả không khí cấp cho quá trình cháy đi ra khỏi bộ sấy không khí thường được gọi là “không khí cấp hai’’. Không khí cấp hai có thể được tách thành luồng gió xiết hoặc các luồng khác khi đi vào buồng đốt; tuy nhiên, đó vẫn là không khí cấp hai cho đến khi được cấp đến hộp gió.
CHÚ THÍCH: Không khí cấp hai còn được gọi lá gió cấp hai hay gió thứ cấp.
1.3.30
Không khí khác (other air)
Một số cách bố trí và phân phối không khí cháy khác (ví dụ: gió xiết, không khí cấp ba) có thể gặp phải trong các quá trình cháy được đề cập trong Tiêu chuẩn này.
1.3.31
Không khí lý thuyết (theoretical air)
Lượng không khí cần thiết để cung cấp lượng oxy chính xác cho quá trình đốt cháy hoàn toàn một lượng nhiên liệu nhất định.
1.3.32
Không khí lý thuyết được hiệu chỉnh (corrected theoretical air)
Lượng không khí lý thuyết đã được hiệu chỉnh theo phần carbon chưa cháy hết và lượng oxy bổ sung để hoàn thành phản ứng sunfat hóa.
1.3.33
Không khí rò lọt (infiltration air)
Không khí bị rò lọt vào bản thể lò hơi.
CHÚ THÍCH: Rò lọt không khí còn được gọi là lọt giỏ trong các bộ phận của lò hơi như bộ sấy không khí, buồng đốt...
1.3.34
Không khí thừa (excess air)
Phần không khí được cung cấp thêm để đốt cháy nhiên liệu, ngoài lượng không khí lý thuyết đã được hiệu chỉnh. Không khí thừa được biểu thị bằng phần trăm không khí lý thuyết đã được hiệu chỉnh trong Tiêu chuẩn này.
1.3.35
Khử lưu huỳnh (sulfur capture/retention)
Phần lưu huỳnh đi vào cùng với nhiên liệu nhưng không thoát ra khỏi lò hơi dưới dạng SO2.
1.3.36
Khử nước (dehydration)
Phản ứng hóa học thu nhiệt xảy ra khi nước được giải phóng từ canxi hydroxit để tạo thành canxi oxit, hoặc từ magie hydroxit để tạo magie oxit.
1.3.37
Lớp sôi (fluidized bed)
Một lớp chứa các hạt cháy được và không cháy được có kích thước thích hợp, thông qua lớp đó chất lưu (không khí trong lò hơi lớp sôi) được thổi từ dưới lên trên với vận tốc đủ lớn, truyền chuyển động cho các hạt để tạo ra một lớp hạt lơ lửng giống như một lớp chất lỏng.
1.3.38
Lớp sôi bọt (bubbling fluidized bed)
Lớp sôi mà trong đó vận tốc không khí tạo sôi nhỏ hơn vận tốc giới hạn của hầu hết các hạt đơn. Một phần khí đi qua lớp sôi theo dạng bọt khí. Điều này tạo ra một vùng khác biệt của lớp hạt do một lượng nhỏ của lớp hạt bị cuốn đi bởi không khí tạo sôi.
1.3.39
Lớp sôi tuần hoàn (circulating fluidized bed)
Lớp sôi mà trong đó vận tốc không khí tạo sôi vượt quá vận tốc giới hạn của hầu hết các hạt đơn, để mang chúng ra khỏi buồng đốt và sau đó được tuần hoàn trở lại.
1.3.40
Năng lượng đầu ra (output)
Năng lượng được hấp thụ bởi môi chất làm việc mà không được phục hồi trong phạm vi lò hơi.
1.3.41
Năng lượng đầu vào (input)
Tổng hóa năng có sẵn trong nhiên liệu. Năng lượng đầu vào được tính theo nhiệt trị cao.
1.3.42
Nhiên liệu chưa cháy hết (unburned combustible)
Phần cháy được của nhiên liệu mà chưa bị oxy hóa hoàn toàn.
1.3.43
Nhiên liệu thực đốt (as-fired fuel)
Nhiên liệu ở trạng thái như khi được cấp vào đường bao thí nghiệm lò hơi.
1.3.44
Nhiệt đóng góp (credits)
Các dòng nhiệt đi vào đường bao lò hơi, ngoài hóa năng trong nhiên liệu thực đốt. Các dòng nhiệt đóng góp này bao gồm nhiệt vật lý (là một hàm phụ thuộc vào nhiệt dung riêng và nhiệt độ) trong nhiên liệu, trong không khí đi vào và hơi phun tán sương nhiên liệu; nhiệt năng được chuyển hóa từ điện năng trong máy nghiền, bơm tuần hoàn, quạt cấp một và quạt tuần hoàn khói; và các phản ứng hóa học như sulfat hóa. Nhiệt đóng góp có thể có giá trị âm, ví dụ như khi nhiệt độ không khí thấp hơn nhiệt độ tham chiếu.
1.3.45
Nhiệt độ khói thoát (exit gas temperature)
Nhiệt độ trung bình của khói thải ra khỏi đường bao thí nghiệm lò hơi. Nhiệt độ này có thể có hoặc không được hiệu chỉnh theo mức lọt gió trong bộ sấy không khí.
1.3.46
Nhiệt độ nóng chảy của tro (ash fusion temperatures)
Bốn nhiệt độ (nhiệt độ biến dạng, nhiệt độ hình cầu, nhiệt độ hình bán cầu và nhiệt độ chảy) được xác định đối với tro của nhiên liệu nhất định theo tiêu chuẩn TCVN 4917 (ISO 540) hoặc tiêu chuẩn tích hợp khác.
1.3.47
Nhiệt độ tham chiếu (reference temperature)
Mốc nhiệt độ mà theo đó các dòng nhiệt đi vào và đi ra khỏi phạm vi lò hơi được so sánh để tính toán các dòng nhiệt vật lý đóng góp và các tổn thất nhiệt.
1.3.48
Nhiệt trị cao (higher heating value)
Tổng năng lượng giải phóng trên một đơn vị khối lượng nhiên liệu khi được đốt cháy hoàn toàn, được xác định theo tiêu chuẩn thích hợp. Nhiệt trị cao bao gồm nhiệt ẩn của hơi nước. Nếu nhiệt trị được đo ở điều kiện thể tích không đổi, thì giá trị đo được này phải được chuyển đổi sang nhiệt trị ở áp suất không đổi để sử dụng trong Tiêu chuẩn này.
1.3.49
Nhiệt trị thấp (lower heating value)
Tổng lượng nhiệt được giải phóng trên một đơn vị khối lượng nhiên liệu trừ đi nhiệt ẩn của hơi nước trong sản phẩm cháy, được xác định theo tiêu chuẩn ASTM hoặc TCVN thích hợp.
1.3.50
Nung khô (calcination)
Phản ứng hóa học thu nhiệt xảy ra khi carbon đioxit được giải phóng từ canxi carbonat để tạo thành oxit canxi, hoặc từ magie carbonat để tạo thành oxit magie.
1.3.51
Phạm vi kiểm soát (control range)
Dải công suất mà trong đó nhiệt độ hơi chính và/hoặc nhiệt độ hơi tái nhiệt có thể được duy trì ở điều kiện định mức.
1.3.52
Phạm vi phủ (coverage)
Tỷ lệ phần trăm kết quả quan trắc (đo lường) của một tham số dự kiến có thể sẽ khác với giá trị thực của tham số đó, nhưng không vượt quá độ không đảm bảo.
1.3.53
Phân tích gần đúng (proximate analysis)
Phân tích trong phòng thí nghiệm theo tiêu chuẩn ASTM hoặc TCVN thích hợp của một mẫu nhiên liệu để đưa ra tỷ lệ phần trăm khối lượng của carbon cố định, chất bốc, độ ẩm và chất không cháy được (tro).
CHÚ THÍCH: Phân tích gần đúng còn được gọi là phân tích thành phần công nghệ.
1.3.54
Phân tích các nguyên tố chính (ultimate analysis)
Phân tích trong phòng thí nghiệm theo tiêu chuẩn ASTM hoặc TCVN thích hợp của một mẫu nhiên liệu để đưa ra tỷ phần trăm khối lượng của carbon, hydro, oxy, nitơ, lưu huỳnh, độ ẩm và tro.
CHÚ THÍCH: Phân tích các nguyên tố chính còn được gọi là phân tích thành phần nguyên tố.
1.3.55
Phương pháp cân bằng nghịch (indirect method)
Còn được gọi là “phương pháp cân bằng năng lượng” (energy balance method). Phương pháp xác định hiệu suất lò hơi bằng cách tính toán chi tiết tất cả các dòng năng lượng đi vào và đi ra khỏi phạm vi đường bao thí nghiệm lò hơi.
1.3.56
Phương pháp cân bằng thuận (direct method)
Còn được gọi là ‘‘phương pháp năng lượng đầu vào - đầu ra” (input - output method). Phương pháp xác định hiệu suất lò hơi bằng cách đo trực tiếp năng lượng đầu ra và năng lượng đầu vào.
1.3.57
Sai số ngẫu nhiên (random error)
Sai số ngẫu nhiên là một đại lượng thống kê và được kỳ vọng là có phân bố chuẩn. Sai số ngẫu nhiên là kết quả của việc thực hiện các phép đo lặp lại của cùng một đại lượng, bởi cùng một hệ thống đo, do cùng một người đo, nhưng không mang lại các giá trị giống hệt nhau.
CHÚ THÍCH: Sai số ngẫu nhiên còn được gọi là “Sai số chụm”.
1.3.58
Sai số hệ thống (systematic error)
Sai số hệ thống là sai lệch giữa giá trị trung bình của tập hợp các giá trị đo được so với giá trị thực. Sai số hệ thống thực hay sai số không đổi là đại lượng đặc trưng cho mọi thành phần trong bất kỳ phép đo nào từ tập hợp dữ liệu đo được.
CHÚ THÍCH: Sai số hệ thống còn được gọi là "Sai số chệch".
1.3.59
Sunfat hóa (sulfation)
Phản ứng hóa học tỏa nhiệt xảy ra khi CaO kết hợp với O2 và SO2 để tạo thành CaSO4.
1.3.60
Thí nghiệm (test)
Một chuỗi đo / chế độ thí nghiệm đơn lẻ hoặc kết hợp của một loạt chuỗi đo / chế độ thí nghiệm nhằm mục đích xác định các đặc tính vận hành. Một thí nghiệm thường bao gồm ít nhất hai chuỗi đo / chế độ thí nghiệm.
1.3.61
Tổn thất (losses)
Năng lượng thoát ra khỏi phạm vi đường bao thí nghiệm lò hơi, ngoài năng lượng có trong các dòng nhiệt đầu ra.
1.3.62
Tro bay (fly ash)
Các hạt tro bị cuốn theo khói thải ra khỏi đường bao thí nghiệm lò hơi.
1.3.63
Tro đáy (bottom ash)
Toàn bộ phần tro xỉ được loại bỏ khỏi buồng đốt, ngoài phần bị cuốn theo khói thải.
1.3.64
Tỷ lệ mol canxi trên lưu huỳnh (Ca/S) (calcium-to-sulfur molar ratio)
Tổng số mol canxi từ máy cấp chất hấp thụ chia cho tổng số mol lưu huỳnh trong nhiên liệu.
1.4 Các chữ viết tắt
Trong Tiêu chuẩn này sử dụng các chữ viết tắt dưới đây:
APC: air preheat coils - giàn ống sấy sơ bộ không khí
API: American Petroleum Institute - Viện dầu khí Hoa Kỳ
AQC: air quality control - thiết bị kiểm soát phát thải (kiểm soát chất lượng không khí)
Ar: argon - agon
C: carbon - carbon
Ca(OH)2: calcium hydroxide - canxi hiđroxit
CaO: calcium oxide - canxi oxit
Ca/S: calcium-to-sulfur ratio - tỷ lệ canxi trên lưu huỳnh
CaSO4: calcium sulfate - canxi sunfat
CO: carbon monoxide - carbon monoxit
CO2: carbon dioxide - carbon dioxit
CO3: carbonate-carbonat
CT: current transformer - máy biến dòng
ESP: electrostatic precipitator - bộ lọc bụi tĩnh điện
FID: flame ionization detector- bộ cảm biến ion hóa ngọn lửa / cảm biến giám sát ngọn lửa
H2: hydrogen - hydro
H2S: hydrogen sulfide - hydro sunfua
HAQC: hot air quality control - thiết bị kiểm soát phát thải từ khói nóng
HHV: higher heating value - nhiệt trị cao
HHVF: higher heating value of fuel - nhiệt trị cao của nhiên liệu
HHVGF: higher heating value of gaseous fuels - nhiệt trị cao của các nhiên liệu khí
K2O: potassium oxide - kali oxit
LOI: loss on ignition - hao hụt khi nung
MgCO3: magnesium carbonate - magie carbonat
Mg(OH)2: magnesium hydroxide - magie hydroxit
MgO: magnesium oxide - magie oxit
N2: nitrogen - nitơ
N2O: nitrous oxide - nitơ oxit
Na2O: sodium oxide - natri oxit
NH3: ammonia - amoniac
NIST: National Institute of Standards and Technology - Viện Tiêu chuẩn và Công nghệ Quốc gia (Hoa Kỳ)
NO: nitric oxide - nitơ oxit
NO2: nitrogen dioxide - nitơ dioxit
NOx: nitrogen oxides - các loại oxit nitơ
O2: oxygen - oxy
O3: ozone - ozon
PA: primary air - không khí cấp một
PTC: Performance Test Code - Tiêu chuẩn thí nghiệm đặc tính kỹ thuật
RH: reheater or relative humidity - bộ tái nhiệt hoặc độ ẩm tương đối
RTD: resistance temperature device - thiết bị đo nhiệt độ kiểu điện trở
S: sulfur - lưu huỳnh
SDI: Spatial Distribution Index - Chỉ số phân bố trong không gian
SI: International System of Units - Hệ đơn vị quốc tế
SiO2: silicon dioxide, silica - silic dioxit, silica
SO2: sulfur dioxide - lưu huỳnh dioxit
SO3: sulfur trioxide - lưu huỳnh trioxit
SOx: sulfur oxides - các oxit lưu huỳnh
THC: total hydrocarbons - tổng hydrocarbon
VM: volatile matter - chất bốc
2 Đường bao thí nghiệm lò hơi
2.1 Sơ đồ đường bao thí nghiệm của các lò hơi điển hình
Các đường bao thí nghiệm của các loại lò hơi khác nhau được thể hiện trong các hình từ Hình 1 đến Hình 6, trên đó biểu thị phạm vi các thiết bị thuộc hệ thống lò hơi tham gia vào thí nghiệm.
2.2 Các chỉ số nhận dạng vị trí của các dòng vật chất
Trong các hình thể hiện đường bao thí nghiệm, các chỉ số sau được sử dụng để chỉ định các vị trí cụ thể.
2.2.1 Đường cấp nhiên liệu/chất hấp thụ
1: than ra khỏi máy cắp hoặc phễu chứa
1A: chất hấp thụ ra khỏi máy cấp hoặc phễu chứa
2: than đến vòi đốt (ra khỏi máy nghiền)
3: dầu đến vòi đốt
3A: dầu đến bộ gia nhiệt dầu
4: khí đến vòi đốt
2.2.2 Đường không khí (đường gió)
5: không khí hòa trộn máy nghiền (gió chèn máy nghiền)
6: đầu vào quạt đẩy (quạt gió chính)
6A: đầu vào quạt không khí cấp một (PA fan)
7: đầu ra quạt đẩy (quạt gió chính)
7A: đầu ra quạt không khí cấp một
7B: không khí khác đi vào lò
8: không khí đốt (không khí cấp hai) đi vào đường bao (còn gọi là gió đốt chính)
8A: không khí cấp một đi vào đường bao
8B: không khí cấp hai ra khỏi giàn ống bộ gia nhiệt sơ bộ không khí trong đường bao
8C: không khí cấp một ra khỏi giàn ống bộ gia nhiệt sơ bộ không khí trong đường bao
9: không khí đốt (cấp hai) ra khỏi bộ sấy không khí
9A: không khí cấp một ra khỏi bộ sấy không khí
10: không khí cấp hai đi vào lò hơi
11: không khí đầu vào máy nghiền
11A: hỗn hợp không khí và nhiên liệu ở đầu ra máy nghiền
2.2.3 Đường khói
12: ra khỏi giàn ống sinh hơi (không hiển thị)
13: đi vào bộ hâm nước (không hiển thị)
14: ra khỏi bộ hâm nước
14A: đi vào bộ sấy không khí cấp hai
14B: đi vào bộ sấy không khí cấp một
14C: ra khỏi thiết bị kiểm soát phát thải (AQC) khói nóng
15: ra khỏi các bộ sấy không khí
15A: ra khỏi bộ sấy không khí cấp hai
15B: ra khỏi bộ sấy không khí cấp một
16: đi vào thiết bị kiểm soát phát thải (AQC) khói nguội
17: ra khỏi thiết bị kiểm soát phát thải (AQC) khói nguội
18: đi vào quạt hút / quạt khói
19: ra khỏi quạt hút / quạt khói
20: đi vào bộ trao đổi nhiệt mức thấp (không hiển thị)
21: ra khỏi bộ trao đổi nhiệt mức thấp (không hiển thị)
22: đi vào quạt tuần hoàn khói
23: ra khỏi quạt tuần hoàn khói (vào lò hơi)
2.2.4 Đường nước và hơi
24: nước cấp đi vào
25: nước phun giảm ôn đi vào bộ quá nhiệt
26: nước phun giảm ôn đi vào bộ tái nhiệt cấp một
26A: nước phun giảm ôn đi vào bộ tái nhiệt cấp hai (không hiển thị)
27: nước cấp ra khỏi bộ hâm nước
28: nước cấp đi vào bao hơi
29: nước lò đi vào bơm tuần hoàn lò hơi
30: nước lò ra khỏi bơm tuần hoàn
31: hơi bão hòa ra khỏi bao hơi
31A: đi vào bộ giảm ôn giàn quá nhiệt cấp một
31B: ra khỏi bộ giảm ôn giàn quá nhiệt cấp một
31C: đi vào bộ giảm ôn giàn quá nhiệt cấp hai (không hiển thị)
31D: ra khỏi bộ giảm ôn giàn quá nhiệt cấp hai (không hiển thị)
32: hơi chính
33: hơi tái nhiệt đi vào đường bao thí nghiệm lò hơi
33A: đi vào bộ giảm ôn của bộ tái nhiệt cấp một
33B: ra khỏi bộ giảm ôn của bộ tái nhiệt cấp một
33C: đi vào bộ giảm ôn của bộ tái nhiệt cấp hai (không hiển thị)
33D: ra khỏi bộ giảm ôn của bộ tái nhiệt cấp hai (không hiển thị)
34: ra khỏi bộ tái nhiệt cáp một
34A: ra khỏi bộ tái nhiệt cấp hai (không hiển thị)
35: đường xả
36: nước ngưng ra khỏi giàn ống bộ sấy sơ bộ không khí (bên trong đường bao)
36A: nước ngưng ra khỏi giàn ống bộ sấy sơ bộ không khí cấp một (bên trong đường bao)
2.2.5 Các đường khác
37: xỉ đáy buồng đốt
38: nước đi vào hố tro / thuyền xỉ
39: nước ra khỏi hố tro / thuyền xỉ
40: nước làm mát đi vào
41: nước làm mát đi ra
42: hơi tán sương nhiên liệu
43: hơi đi vào bộ gia nhiệt dầu
44: hơi ra khỏi bộ gia nhiệt dầu
45: tạp vật máy nghiền
46: hơi thổi bụi
46A: hơi phụ
47: nước phun vào bơm tuần hoàn lò hơi
48: rò rỉ từ bơm tuần hoàn lò hơi
49: tuần hoàn không khí nóng (không hiển thị)
50: đường đi tắt không khí nóng (không hiển thị)
51: hòa trộn nhiên liệu / khí đốt
52: tro sau bộ hâm nước
53: tro từ thiết bị kiểm soát phát thải khói nóng
54: tro từ bộ sấy không khí
55: tro từ thiết bị kiểm soát phát thải khói nguội

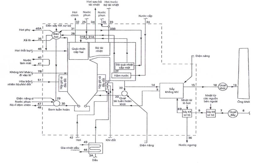
Hình 1 - Lò hơi đốt dầu và đốt khí điển hình

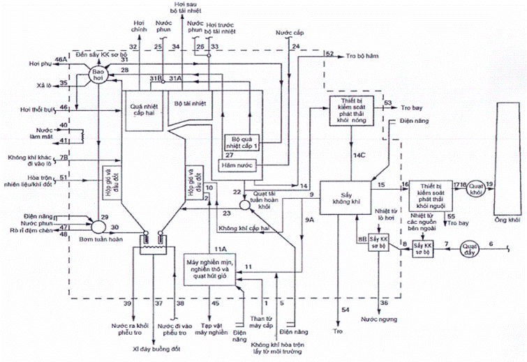
Hình 2 - Lò hơi đốt than phun điển hình
Cấu hình 1: Bộ sấy không khí một cấp

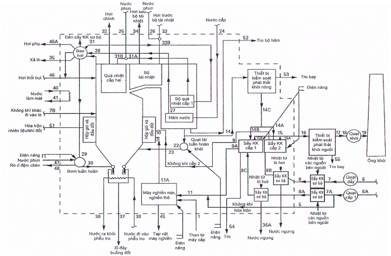
Hình 3 - Lò hơi đốt than phun điển hình
Cấu hình 2: Bộ sấy không khí hai cấp

Hình 4 - Lò hơi đốt than phun điển hình
Cấu hình 3: Bộ sấy không khí ba cấp

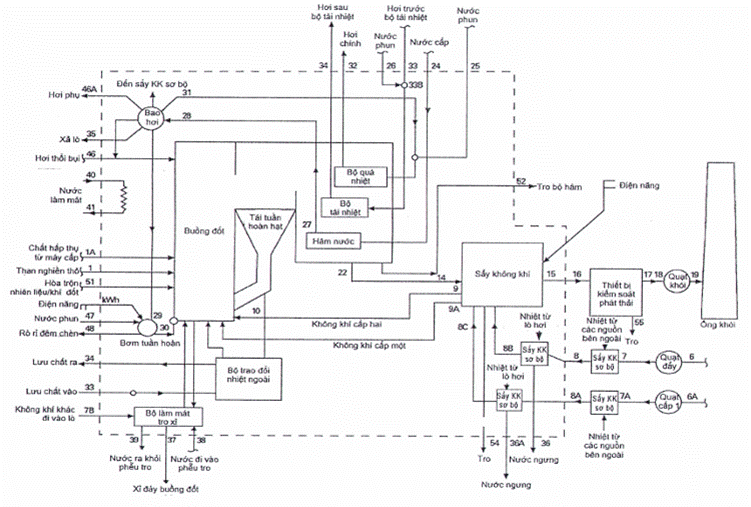
Hình 5 - Lò hơi đốt lớp sôi tuần hoàn điển hình

Hình 6 - Lò hơi đốt lớp sôi bọt điển hình
3 Các nguyên tắc và quy trình thí nghiệm xác định đặc tính kỹ thuật lò hơi
3.1 Nguyên tắc chung
Khi chuẩn bị tiến hành thí nghiệm đặc tính lò hơi, các bên tham gia thí nghiệm phải thiết lập và phê duyệt kế hoạch thí nghiệm.
Tất cả các bên tham gia thí nghiệm có quyền chứng kiến quá trình thí nghiệm để đảm bảo rằng việc thí nghiệm tuân thủ theo Tiêu chuẩn và các kế hoạch đã được thiết lập trước khi thí nghiệm.
3.1.1 Các đặc tính kỹ thuật của lò hơi
Đặc tính kỹ thuật của lò hơi trong điều kiện vận hành cụ thể được định lượng bằng ba thông số đặc trưng, sau đây:
- Công suất: lưu lượng khối lượng lớn nhất của hơi sinh ra ở các điều kiện xác định.
- Hiệu suất: tỷ lệ giữa năng lượng đầu ra và năng lượng đầu vào.
- Năng lượng đầu ra: toàn bộ năng lượng được hấp thụ bởi môi chất làm việc, trừ phần năng lượng đã được phục hồi lại trong phạm vi lò hơi.
CHÚ THÍCH: Năng lượng được phục hồi lại là một phần năng lượng đầu ra được sử dụng để bổ sung năng lượng cho các dòng đầu vào. Ví dụ. phần hơi được cáp từ lò hơi sử dụng để gia nhiệt sơ bộ không khí cấp vào lò tại giàn ống sấy sơ bộ không khí. (Xem thêm 5.4)
Mọi phương pháp xác định hiệu suất lò hơi phải:
(a) Xác định rõ các thông số cần đo và các đặc tính vận hành cần xác định (thông thường là bằng cách tính toán);
(b) Xác định phương pháp khả thi nhất và chính xác nhất để đo các thông số và tính toán các đặc tính vận hành, cũng như xác định độ chính xác cần thiết để đạt chất lượng thí nghiệm theo yêu cầu.
3.1.2 Các loại hiệu suất
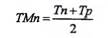
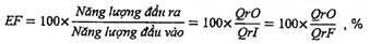
Hiệu suất lò hơi được xác định bằng biểu thức sau:
| Hiệu suất (%) = | Năng lượng đầu ra | x 100 | (1) |
| Năng lượng đầu vào |
Tiêu chuẩn này chấp nhận hai định nghĩa sau đây về hiệu suất của lò hơi:
- Hiệu suất nhiên liệu, trong đó năng lượng đầu ra bao gồm toàn bộ năng lượng được hấp thụ bởi môi chất làm việc, nhưng năng lượng đầu vào chỉ tính hóa năng của nhiên liệu.
- Hiệu suất thô, trong đó năng lượng đầu ra cũng bao gồm toàn bộ năng lượng được hấp thụ bởi môi chất làm việc, còn năng lượng đầu vào thì tính tất cả các đồng năng lượng đi vào đường bao thí nghiệm lò hơi. Do đó, hiệu suất thô thường nhỏ hơn hoặc bằng hiệu suất nhiên liệu.
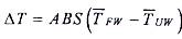
Những dòng năng lượng được tính cho năng lượng đầu ra và năng lượng đầu vào (bao gồm cả năng lượng nhiệt đóng góp trong trường hợp tính hiệu suất thô) được thể hiện trong Hình 7.
CHÚ THÍCH:
Tiêu chuẩn này sử dụng nhiệt trị cao của nhiên liệu để xác định năng lượng đầu vào của nhiên liệu. Nhiệt trị cao (HHV) của nhiên liệu có thể được xác định chính xác bằng các quy trình thí nghiệm, còn nhiệt trị thấp (LHV) phải được tính toán từ giá trị HHV đo được. Do đó độ không đảm bảo hệ thống khi tính theo LHV sẽ lớn hơn độ không đảm bảo hệ thống khi sử dụng HHV.
Phụ lục B trình bày phương pháp tính toán LHV của nhiên liệu và độ không đảm bảo của LHV, tính toán các tổn thất và nhiệt đóng góp được áp dụng theo LHV. Các công thức được trình bày trong phụ lục này coi nhiên liệu rắn và lỏng là có chứa nước ở thể lỏng.
3.1.3 Các phương pháp đo lường và tính toán để xác định hiệu suất
Cả hai phương pháp cân bằng thuận (phương pháp năng lượng đầu vào - đầu ra) và cân bằng nghịch (phương pháp cân bằng năng lượng) đều được chấp nhận để xác định hiệu suất của lò hơi.
Phương pháp cân bằng thuận sử dụng công thức sau:
| Hiệu suất (%) = | Năng lượng đầu ra | x 100 | (2) |
| Năng lượng đầu vào |
Việc xác định hiệu suất theo phương pháp cân bằng thuận yêu cầu phải đo trực tiếp và chính xác tất cả năng lượng đầu ra, cũng như tất cả năng lượng đầu vào. Các phép đo chính được yêu cầu như sau:
(a) Lưu lượng nước cấp vào lò hơi
(b) Lưu lượng nước giảm ôn
(c) Lưu lượng của tất cả các dòng đầu ra thứ cấp như xà lò, hơi phụ, v.v.
(d) Áp suất và nhiệt độ của tất cả các dòng môi chất làm việc như nước cấp đi vào, hơi quá nhiệt đi ra, hơi tái nhiệt đi vào và đi ra, hơi phụ, v.v.
(e) Các phép đo bổ sung trong chu trình tuabin cần thiết để xác định các dòng hơi tái nhiệt bằng các phương pháp cân bằng năng lượng
(f) Lưu lượng nhiên liệu
(g) Nhiệt trị cao của nhiên liệu
(h) Năng lượng từ nhiệt thải đưa vào
Phương pháp cân bằng nghich kết hợp phương trình cân bằng năng lượng
| Năng lượng đầu vào + Nhiệt đóng góp = Năng lượng đầu ra + Các tổn thất | (3) |
với định nghĩa về hiệu suất để suy ra:
|
| (4) |

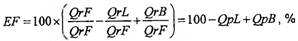
Cân bằng năng lượng:
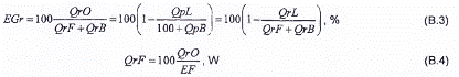
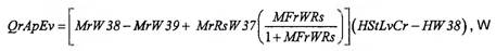
NĂNG LƯỢNG ĐẦU RA = NĂNG LƯỢNG ĐẦU VÀO - TỔN THẤT NHIỆT + NHIỆT ĐÓNG GÓP
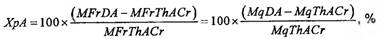
QrO = QrF- QrL + QrB
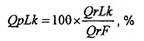
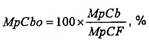
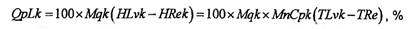
QpL = 100 x (QrL/QrF), %
QpB = 100 x (QrB/QrP), %
Hiệu suất nhiên liệu (%) = EF (%) = 100 x Năng lượng đầu ra / Năng lượng đầu vào = 100 - QpL + QpB
Hình 7 - Cân bằng năng lượng lò hơi
Việc xác định hiệu suất bằng phương pháp cân bằng nghịch yêu cầu phải xác định và đo lường (hoặc ước tính) tất cả các tổn thất và các dòng nhiệt đóng góp. Hình 7 minh họa tất cả các tổn thất và các dòng nhiệt đóng góp được quy định trong Tiêu chuẩn này. Trường hợp có thêm các loại tổn thất hoặc các dòng nhiệt đóng góp khác được nhận diện trong một lò hơi cụ thể thì các bên tham gia thí nghiệm phải thống nhất phương pháp tính toán các đại lượng bổ sung này.
Một số loại tổn thất ảnh hưởng nhỏ đến kết quả thí nghiệm có thể được các bên tham gia thí nghiệm thống nhất xác định bằng cách ước tính thay vì đo lường. Tuy nhiên, độ không đảm bảo của các giá trị ước tính thường lớn hơn so với các giá trị đo. Các tổn thất cũng có thể được xác định theo “phần trăm năng lượng đầu vào” thay vì xác định theo giá trị tuyệt đối.
Các ưu điểm và nhược điểm của phương pháp cân bằng thuận và phương pháp cân bằng nghịch được nêu trong Bảng 1 dưới đây.
Bảng 1 - So sánh các phương pháp xác định hiệu suất
| Ưu điểm | Nhược điểm |
| Phương pháp cân bằng thuận Các thông số chính để xác định hiệu suất (năng lượng đầu ra, năng lượng đầu vào) được đo trực tiếp. Yêu cầu ít phép đo hơn.
Không yêu cầu ước tính các tổn thất không thể đo lường được.
Phương pháp cân bằng nghịch Các phép đo chính (phân tích khói thải và nhiệt độ khói thải) có thể được thực hiện rất chính xác. Cho phép hiệu chỉnh kết quả thí nghiệm theo các điều kiện chuẩn hoặc điều kiện đảm bảo. Hiệu suất được xác định bằng thí nghiệm thường có độ không đảm bảo thấp hơn vì các đại lượng đo được (các tổn thất) chỉ đại diện cho một phần nhỏ trong tổng mức năng lượng. Ảnh hưởng của các sai số trong các phép đo thứ cấp và các giá trị ước tính là tối thiểu. Cho phép xác định các nguyên nhân gây ra tổn thất lớn. |
Lưu lượng nhiên liệu và nhiệt trị nhiên liệu, lưu lượng hơi và đặc tính của hơi cần được đo rất chính xác để giảm thiểu độ không đảm bảo đo. Không hỗ trợ xác định các nguyên nhân có thể gây ra hiệu suất kém. Yêu cầu sử dụng phương pháp tính toán cân bằng năng lượng để hiệu chỉnh kết quả thí nghiệm theo điều kiện chuẩn hoặc điều kiện đảm bảo. Chỉ có thể thực hiện hiệu chỉnh theo các điều kiện chuẩn hoặc điều kiện đảm bảo bằng cách sử dụng phương pháp cân bằng nghịch.
Yêu cầu nhiều phép đo hơn.
Không tự động cung cấp dữ liệu về công suất và năng lượng đầu ra. Một số tổn thất không thể đo lường được trong thực tế và các giá trị này phải ước tính. |
| CHÚ THÍCH: Tiêu chuẩn này khuyến nghị sử dụng phương pháp cân bằng nghịch (cân bằng năng lượng) để xác định hiệu suất lò hơi khi có yêu cầu cần hiệu chỉnh kết quả từ điều kiện thí nghiệm về điều kiện tham chiếu. | |
3.1.4 Xem xét trong quá trình thiết kế và xây lắp lò hơi để tạo điều kiện thuận lợi cho công tác thí nghiệm
Các điều kiện để tiến hành thí nghiệm nghiệm thu và thí nghiệm đặc tính định kỳ của lò hơi cần được xem xét trong quá trình thiết kế của lò hơi.
Các điểm đo, điểm lấy mẫu phục vụ cho công tác thí nghiệm phải được xác định đầy đủ ngay từ khâu thiết kế và phải được giám sát chặt chẽ trong quá trình lắp đặt để đảm bảo việc đo kiểm, lấy mẫu được thực hiện an toàn và tin cậy.
Các ống đo nhiệt độ, ống lấy tín hiệu áp suất và các điểm lấy mẫu trên kênh dẫn để đo không khí và khói phải được bố trí sao cho có thể lắp đặt được các dụng cụ thí nghiệm cần thiết.
Cần bố trí các điểm lấy mẫu cần thiết đối với tro bay, xỉ đáy, tạp vật từ máy nghiền, chất hấp thụ và nhiên liệu. Các thiết bị và quy trình sử dụng để lấy mẫu cần được xem xét khi thiết kế các điểm lấy mẫu.
Cần chuẩn bị sẵn các điều kiện để đo mức tiêu thụ điện năng của các thiết bị phụ trợ nhằm xác định các dòng năng lượng nhiệt đóng góp.
Cần xem xét các nhu cầu về nhân sự và thiết bị đo liên quan đến việc tiến hành thí nghiệm, đồng thời lưu ý các hư hại có thể xảy ra đối với thiết bị đo trong các điều kiện môi trường khắc nghiệt như nhiệt độ cao và rung cơ học.
3.2 Quy trình thí nghiệm đặc tính
3.2.1 Xác định cấp độ thí nghiệm
Cho phép các bên tham gia thí nghiệm lựa chọn các cấp độ thí nghiệm sau đây:
a) Thí nghiệm hoàn chỉnh: tất cả các tổn thất được xác định bằng các phép đo.
b) Thí nghiệm rút gọn: chỉ yêu cầu xác định các tổn thất lớn bằng các phép đo, một số tổn thất nhỏ được bỏ qua hoặc có thể được gộp chung lại thành một đại lượng với tên gọi “tổn thất không đo được” với giá trị ước tính bằng %.
Khi áp dụng bất kỳ cấp độ thí nghiệm nào đều phải tính toán độ không đảm bảo của kết quả để xác định mức chất lượng của thí nghiệm theo các yêu cầu sau đây:
(a) Trước khi tiến hành thí nghiệm, các bên tham gia thí nghiệm phải xác định các giá trị có thể chấp nhận được đối với độ không đảm bảo của kết quả. Các giá trị này được gọi là độ không đảm bảo mục tiêu của kết quả.
(b) Thí nghiệm đặc tính phải được xây dựng sao cho có thể đáp ứng các độ không đảm bảo mục tiêu. Các bên tham gia thí nghiệm phải thống nhất lựa chọn các thông số bắt buộc phải đo, các thông số có thể ước tính và các giá trị ước tính sẽ được áp dụng, các dụng cụ thay thế cho phép sử dụng để thỏa mãn yêu cầu về độ không đảm bảo mục tiêu.
(c) Các bên tham gia thí nghiệm phải thống nhất về độ không đảm bảo của các giá trị không được đo và độ không đảm bảo hệ thống của các dụng cụ và phương pháp đo. Các nội dung này phải được lập thành văn bản theo yêu cầu của nêu trong 3.2.3.
(d) Sau mỗi chuỗi đo, độ không đảm bảo của kết quả phải được tính toán theo Phần 7 của Tiêu chuẩn này hoặc ASME PTC 19.1, tùy theo trường hợp áp dụng. Nếu độ không đảm bảo tính toán lớn hơn giá trị độ không đảm bảo mục tiêu đã thống nhất trước đó thì chuỗi đo đó được xem là không hợp lệ.
3.2.2 Số lượng chuỗi đo
Chuỗi đo là một tập hợp đầy đủ các quan trắc được thực hiện trong một khoảng thời gian với một hoặc nhiều biến độc lập được duy trì hầu như không đổi. Thí nghiệm có thể là một chuỗi đo đơn lẻ hoặc kết hợp của một số chuỗi đo nhằm mục đích xác định các đặc tính lò hơi. Một cuộc thí nghiệm thường bao gồm hai hoặc nhiều chuỗi đo.
Tiến hành nhiều chuỗi đo sẽ kiểm chứng độ lặp lại của các kết quả thí nghiệm. Kết quả có thể không lặp lại do các thay đổi trong phương pháp thí nghiệm (thay đổi phương thức) hoặc các đặc tính thực tế của thiết bị được thí nghiệm (thay đổi quá trình). Sau khi kết thúc mỗi chuỗi đo đáp ứng được các tiêu chí chấp nhận, các dữ liệu cần phải được tổng hợp và tính toán, kiểm tra sơ bộ để đảm bảo rằng kết quả thí nghiệm là hợp lý. Nếu được các bên tham gia thí nghiệm đồng thuận thì thí nghiệm có thể kết thúc sau khi hoàn thành bất kỳ chuỗi đo nào.
3.2.2.1 Độ lặp lại
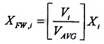
Tiêu chí đối với độ lặp lại giữa các chuỗi đo là các kết quả chuẩn hóa của hai hoặc nhiều chuỗi đo đều phải nằm trong các phạm vi không đảm bảo đo của nhau. Ví dụ về các chuỗi đo đáp ứng hoặc không đáp ứng tiêu chí này được thể hiện trong Hình 8.

Hình 8 - Độ lặp lại của các chuỗi đo
3.2.2.2 Hủy bỏ các chuỗi đo
Nếu phát hiện những mâu thuẫn nghiêm trọng ảnh hưởng đến kết quả trong khi thực hiện một chuỗi đo hoặc trong quá trình tính toán kết quả, thì chuỗi đo đó phải được hủy bỏ hoàn toàn, hoặc có thể chỉ hủy bỏ một phần, nếu như phần bị ảnh hưởng xuất hiện ở giai đoạn đầu hoặc giai đoạn cuối của chuỗi đo.
Trong trường hợp cần thiết, chuỗi đo đã bị hủy bỏ phải được thực hiện lại để đạt được các mục tiêu thí nghiệm. Việc hủy bỏ kết quả chuỗi đo do người chủ trì thí nghiệm quyết định.
3.2.2.3 Thực hiện nhiều chuỗi đo
Kết quả của nhiều chuỗi đo đáp ứng tiêu chí về độ lặp lại và các yêu cầu khác của Tiêu chuẩn này phải được tính trung bình để xác định kết quả của thí nghiệm. Các độ không đảm bảo phải được tính cho từng chuỗi đo riêng lẻ, nhưng không được tính cho kết quả trung bình của thí nghiệm.
3.2.3 Lập kế hoạch trước khi thí nghiệm
Trước khi tiến hành thí nghiệm, các bên tham gia thí nghiệm phải lập kế hoạch thí nghiệm bằng văn bản. Kế hoạch này phải nêu rõ các mục tiêu thí nghiệm cụ thể, bao gồm phạm vi độ không đảm bảo có thể chấp nhận được đối với từng kết quả, cũng như phương pháp vận hành trong quá trình thí nghiệm. Đối với các cuộc thí nghiệm nghiệm thu, bản kế hoạch thí nghiệm phải xác định rõ mọi yêu cầu liên quan đến các mục tiêu thí nghiệm (ví dụ như các thông số đảm bảo), và phải bao gồm các giá trị ước tính hoặc các giải thích khác để làm sáng tỏ những điểm chưa đề cập hoặc không rõ ràng trong hợp đồng.
Bản kế hoạch thí nghiệm phải bao gồm các nội dung dưới đây,
1. Các mục tiêu thí nghiệm (ví dụ: xác định hiệu suất, nhiệt độ hơi).
2. Chỉ định người chủ trì thí nghiệm, là người sẽ chỉ đạo công tác thí nghiệm và có quyền điều hành tất cả các nhân viên thí nghiệm.
3. Chỉ định đại diện của từng bên tham gia thí nghiệm.
4. Cơ cấu tổ chức, trình độ chuyên môn và quá trình huấn luyện của các nhân viên thí nghiệm; phân công trách nhiệm cho các nhân viên thí nghiệm; phương thức tính toán các kết quả thí nghiệm.
5. Diễn giải mọi yêu cầu hợp đồng liên quan.
6. Độ không đảm bảo mục tiêu
7. Có yêu cầu phân tích độ không đảm bảo trước khi thí nghiệm hay không.
8. Số chuỗi đo.
9. Các thủ tục Kiểm tra trước khi thí nghiệm.
10. Thiết lập các điều kiện vận hành có thể chấp nhận, sai lệch cho phép trong các điều kiện vận
hành khi đo (căn cứ theo Bảng 2), số lượng mức phụ tải thí nghiệm, thời lượng của chuỗi đo, cơ
sở để hủy bỏ chuỗi đo và các quy trình cần tuân thủ trong quá trình thí nghiệm.
11. Biện pháp để duy trì các điều kiện ổn định trong quá trình thí nghiệm.
12. Độ lệch tối đa cho phép của giá trị trung bình các thông số kiểm soát so với các giá trị mục tiêu trong quá trình thí nghiệm.
13. Độ sạch của lò hơi trước khi thí nghiệm và cách duy trì độ sạch trong quá trình thí nghiệm (bao gồm chế độ thổi bụi được thực hiện trong quá trình thí nghiệm).
14. Các chỉ số đọc và các quan trắc cần phải thực hiện, số lượng và tần suất thực hiện.
15. Số lượng, vị trí, chủng loại loại và yêu cầu hiệu chuẩn của các thiết bị đo.
16. Độ không đảm bảo hệ thống của các dụng cụ và phương pháp đo lường, các cơ sở được sử dụng để ước tính độ không đảm bảo hệ thống và bất kỳ độ lệch chuẩn nào được quy định theo kế hoạch thí nghiệm.
17. Các thông số chỉ được ước tính mà không được đo, các giá trị ước tính được sử dụng và độ không đảm bảo của các giá trị ước tính.
18. Xác định hiệu suất:
a) Theo phương pháp cân bằng thuận hay cân bằng nghịch
b) Các thông số cần đo
c) Các giá trị ước tính được sử dụng cho các thông số không được đo
d) Các đồng nhiệt phải bao gồm trong giá trị năng lượng đầu ra
e) Đo lưu lượng hơi hay lưu lượng nước
f) Khoảng thời gian đo
19. Xác định công suất:
a) Các dòng nhiệt đầu ra phải bao gồm trong công suất
b) Đo lưu lượng hơi hay lưu lượng nước
c) Khoảng thời gian đo
20. Xác định công suất đỉnh:
a) Giới hạn thời gian hoạt động ở công suất đỉnh
b) Áp suất hơi và nhiệt độ hơi quy định để xác định chế độ hoạt động ở công suất đỉnh
c) Áp suất và nhiệt độ nước cấp
d) Tỷ lệ xả lò
21. Phiên bản của Bảng đặc tính hơi nước ASME được sử dụng. (Ví dụ: phiên bản năm 1967 hay năm 1997, theo IAPWS-IF97).
22. Nhiên liệu đốt, phương pháp và tần suất lấy mẫu nhiên liệu, phòng thí nghiệm sẽ thực hiện phân tích nhiên liệu và phương pháp thí nghiệm nhiên liệu nào sẽ được sử dụng.
23. Tính tương đương của nhiên liệu so với các điều kiện chuẩn hoặc các điều kiện của hợp đồng hoặc các quy trình để hiệu chỉnh theo các điều kiện đó.
24. Các quy trình được sử dụng để lấy mẫu và phân tích chất hấp thụ và tỷ lệ mục tiêu chất hấp thụ trên lưu huỳnh (tỷ lệ mol Ca/S).
25. Phân bố lượng tro xỉ giữa các điểm thu gom khác nhau và các phương pháp lấy mẫu và phân tích tro xỉ.
26. Các quy trình được sử dụng để lấy mẫu và phân tích khói thải.
27. Có cần tính toán hiệu chỉnh lưu lượng theo nhiệt độ khói thải và hàm lượng oxy hay không và sử dụng phương pháp nào để tính toán hiệu chỉnh.
28. Phương pháp xác định các giá trị ngoại lai.
29. Các hiệu chỉnh được sử dụng để so sánh với các điều kiện hợp đồng, bao gồm mọi đặc tuyến hiệu chỉnh.
30. Phương tiện, phương pháp và định dạng được sử dụng để ghi dữ liệu và cung cấp các bản sao dữ liệu cho các bên tham gia thí nghiệm.
Bảng 2 - Sai lệch cho phép của các thông số vận hành
| Thông số kiểm soát | Dao động trong thời gian ngắn (từ đỉnh đến đáy) | Sai lệch so với giá trị trung bình trong thời gian dài (thời gian chuỗi đo) |
| Áp suất hơi (áp suất tương đối) |
|
|
| Áp suất điểm đặt > 3,45 MPa | 4% (0,17 MPa max) | 3% (0,14 MPa max) |
| Áp suất điểm đặt < 3,45 MPa | 0,14 MPa | 0,1 MPa |
| Lưu lượng nước cấp (lò có bao hơi) | 10% | 3% |
| Lưu lượng hơi (lò trực lưu) | 4% | 3% |
| O2 ra khỏi lò hơi/bộ hâm nước (theo thể tích) |
|
|
| Lò hơi đốt dầu và khí | 0,4% (tại điểm đo O2) | 0,2% (tại điểm đo O2) |
| Lò hơi đốt than | 1,0% (tại điểm đo O2) | 0,5% (tại điểm đo O2) |
| Nhiệt độ hơi (nếu có kiểm soát) | 10 °C | 5 °C |
| Lưu lượng nước phun giảm ôn quá nhiệt/tái nhiệt | 40% lưu lượng phun hoặc 2% lưu lượng hơi chính | N/A |
| Lưu lượng nhiên liệu (nếu đo) | 10% | N/A |
| Nhiệt độ nước cấp | 10 °C | 5 °C |
| Tỷ lệ chất hấp thụ / than (tỷ lệ theo tốc độ máy cấp) [Chú thích 1] | 4% | 2% |
| Lưu lượng tro hồi lưu | 20% | 10% |
| Nhiệt độ lớp sôi (giá trị trung bình theo vị trí trong không gian / trong mỗi ngăn) [Chú thích 1] | 30 °C | 15 °C |
| Mức tồn trữ hạt rắn trong lớp sôi / lò hơi khi vận hành [Chú thích 1] |
|
|
| Áp suất lớp sôi | 100 mmH2O | 75 mmH2O |
| Độ chênh áp suất của vùng loãng | 100 mmH2O | 75 mmH2O |
| Các thông số phụ thuộc |
|
|
| Lưu lượng hơi | 4% | 3% |
| SO2 (các lò hơi có khử lưu huỳnh) | 150 ppm | 75 ppm |
| CO (nếu đo) | 150 ppm | 50 ppm |
| Nhiệt độ không gian phía trên lớp sôi (nếu đo) | 30 °C | 15 °C |
| CHÚ THÍCH: (1) Chỉ áp dụng cho lò hơi lớp sôi | N/A = không áp dụng | |
Ngoài các nội dung trên đây, bản kế hoạch thí nghiệm cũng có thể đề cập đến các nội dung khác mà các bên tham gia thí nghiệm cho là phù hợp. Đối với các thí nghiệm đặc tính kỹ thuật định kỳ, một số nội dung có thể không áp dụng và có thể bỏ qua.
3.2.4 Thí nghiệm nghiệm thu
Thí nghiệm nghiệm thu phải được tiến hành sớm nhất có thể sau khi lò hơi được đưa vào vận hành lần đầu, hoặc theo thời gian quy định trong hợp đồng.
Đại diện của các bên liên quan cần tham gia chứng kiến thí nghiệm để đảm bảo rằng thí nghiệm được tiến hành theo đúng Tiêu chuẩn này và theo đúng kế hoạch đã được thiết lập trước khi thí nghiệm.
3.2.5 Chuẩn bị thí nghiệm
3.2.5.1 Phân tích độ không không đảm bảo trước khi thí nghiệm
Cần thực hiện phân tích độ không đảm bảo trước khi thí nghiệm để khẳng định rằng cuộc thí nghiệm theo kế hoạch có khả năng đạt được độ không đảm bảo mục tiêu.
Các hướng dẫn phân tích độ không đảm bảo và xác định hệ số độ nhạy được trình bày trong điều 7.
3.2.5.2 Công tác kiểm tra trước khi thí nghiệm
Trước khi bắt đầu thí nghiệm, phải thực hiện các công việc sau đây để đảm bảo rằng lò hơi đã sẵn sàng cho thí nghiệm và giúp tránh được các sự cố có thể dẫn đến việc phải hủy bỏ cuộc thí nghiệm:
(a) Các bên tham gia thí nghiệm phải thống nhất rằng nhiên liệu, chất hấp thụ và phụ gia được sử dụng trong quá trình thí nghiệm là thỏa mãn yêu cầu của thí nghiệm.
(b) Mọi sai lệch so với các điều kiện chuẩn hoặc các điều kiện đã được quy định trước về tình trạng vật lý của thiết bị, độ sạch của bề mặt tiếp nhiệt, đặc tính nhiên liệu, hoặc độ ổn định của phụ tải phải được ghi lại và điều chỉnh nếu có thể.
(c) Phải lập đầy đủ hồ sơ, định danh chính xác thiết bị sẽ được thí nghiệm và phương pháp thí nghiệm được lựa chọn.
(d) Tất cả các thiết bị đo phải được kiểm tra để đảm bảo tính năng hoạt động và được lắp đặt đúng quy cách.
(e) Các bên tham gia thí nghiệm phải xác nhận rằng lò hơi đã sẵn sàng để thí nghiệm (tức là cấu hình và trạng thái của của lò hơi phù hợp với các điều kiện đã được quy định trong kế hoạch thí nghiệm).
Ngoài các công việc bắt buộc trên đây, toàn bộ lò hơi cần được kiểm tra trực quan để phát hiện các hiện tượng rò lọt không khí bất thường. Mức lọt gió bên trong bộ sấy không khí cũng cần phải kiểm tra (tham khảo ASME PTC 4.3). Các khuyết tật về cơ khí có thể gây ra rò lọt không khí quá mức cần phải được khắc phục trước khi tiến hành thí nghiệm.
3.2.5.3 Chuỗi đo sơ bộ
Cần phải thực hiện chuỗi đo sơ bộ nhằm các mục đích sau:
(a) Xác định lò hơi và tổng thể tổ máy có ở trong điều kiện thích hợp để tiến hành thí nghiệm hay không
(b) Thực hiện các điều chỉnh nhỏ có thể chưa lường trước được trong quá trình chuẩn bị thí nghiệm, thiết lập các chế độ cháy thích hợp với loại nhiên liệu cụ thể và cường độ cháy sẽ được áp dụng, đồng thời để khẳng định rằng các điều kiện vận hành và độ ổn định được quy định trong 3.2.6.1 có thể đạt được
(c) Kiểm tra các dụng cụ đo
(d) Xác nhận khả năng đạt được độ không đảm bảo mục tiêu của thí nghiệm
(e) Để các nhân viên thực hiện thí nghiệm làm quen với với các trang thiết bị, dụng cụ thí nghiệm và các quy trình cụ thể
Chuỗi đo sơ bộ này cũng có thể được xem là một chế độ thí nghiệm nếu được các bên tham gia thí nghiệm đồng ý, với điều kiện là phải đáp ứng được tất cả các yêu cầu của chế độ thí nghiệm.
3.2.6 Phương pháp vận hành trong quá trình thí nghiệm
3.2.6.1 Độ ổn định của các điều kiện thí nghiệm
Trước khi bắt đầu bất kỳ một chế độ thí nghiệm nào, thiết bị phải được vận hành trong một thời gian đủ dài để thiết lập các điều kiện ở trạng thái ổn định. Theo tiêu chuẩn này, trạng thái ổn định là một điều kiện vận hành, trong đó hệ thống ở trạng thái cân bằng nhiệt và cân bằng hóa học.
Tiêu chí cho trạng cân bằng nhiệt là, trong suốt thời gian thí nghiệm, không có bất kỳ sự biến động ròng nào trong tổng năng lượng tồn trữ bên trong đường bao thí nghiệm lò hơi. Năng lượng có thể được tồn trữ trong nước và hơi, kim loại, vật liệu chịu lửa và các vật liệu rắn khác trong phạm vi lò hơi. Nếu lò hơi ở trạng thái cân bằng nhiệt trong quá trình thí nghiệm, năng lượng đầu vào trung bình và năng lượng đầu ra trung bình có thể được tính toán và so sánh một cách chuẩn xác. Đối với các lò hơi lớp sôi tuần hoàn, trạng thái cân bằng nhiệt bao gồm thêm yêu cầu phải thiết lập sự cân bằng về cỡ hạt tái tuần hoàn. Tiêu chí cuối cùng cho trạng thái ổn định là giá trị trung bình của dữ liệu trong quá trình thí nghiệm thể hiện được sự cân bằng giữa năng lượng đầu vào của nhiên liệu và năng lượng đầu ra của lò hơi.
Các lò hơi lớp sôi sử dụng đá vôi hoặc chất hấp thụ khác để giảm phát thải lưu huỳnh (hoặc các chất khác) có một lượng lớn vật liệu tham gia phản ứng phải đạt đến trạng thái cân bằng hóa học, bao gồm cả vật liệu tái tuần hoàn từ các phễu và thùng chứa. Để đạt được trạng thái cân bằng giữa canxi oxit (CaO) trong lò hơi và lưu huỳnh trong nhiên liệu (quá trình sulfat hóa), tỷ lệ chất hấp thụ trên nhiên liệu trong thời gian ổn định phải được duy trì trong khoảng ±5% tỷ lệ mục tiêu của thí nghiệm.
Thời gian chạy ổn định trước thí nghiệm tối thiểu cần thiết đối với các loại lò hơi khác nhau như sau:
(a) Các lò hơi đốt than phun và đốt khí/ đốt dầu: 1 giờ
(b) Các lò hơi lớp sôi sử dụng vật liệu đệm khởi động từ trạng thái nguội: 24 giờ đến 48 giờ
(c) Các lò hơi lớp sôi đang ở trạng thái nóng (đã vận hành ít nhất là 24 giờ): 4 giờ
Cho phép thực hiện các điều chỉnh nhỏ đối với các điều kiện vận hành, với điều kiện là những điều chỉnh đó không ảnh hưởng đến việc vận hành an toàn. Tuy nhiên, về cơ bản toàn bộ lò hơi cần được duy trì trong điều kiện thí nghiệm trong suốt quá trình thiết lập trạng thái ổn định. Thời gian thực tế cần thiết để thiết lập trạng thái ổn định sẽ phụ thuộc vào đặc tính vận hành của lò hơi cụ thể và chất lượng của hệ thống điều khiển. Bảng 2 đưa ra các tiêu chí về độ ổn định của các thông số vận hành, thể hiện khi các lò hơi đã đạt đến trạng thái cân bằng. Đối với các lò hơi lớp sôi đã vận hành ít nhất là 24 giờ với tỷ lệ chất hấp thụ/nhiên liệu được chi định, thì thời gian chạy thiết lập trạng thái ổn định 4 giờ là đủ, miễn là đáp ứng các tiêu chí về sự ổn định trong Bảng 2.
Độ ổn định có thể coi là đạt được sau khi đã hoàn thành thời gian chạy thiết lập trạng thái ổn định trước thí nghiệm theo kế hoạch thí nghiệm, đồng thời qua giám sát cho thấy các thông số cần kiểm soát và các thông số phụ thuộc được duy trì trong phạm vi đã thống nhất về độ lệch lớn nhất đối với các thông số vận hành. Kế hoạch thí nghiệm phải bao gồm một bảng quy định về các thay đổi lớn nhất cho phép đối với các thông số vận hành tương tự như Bảng 2. Các giá trị nêu trong Bảng 2 là các giá trị điển hình, có thể sử dụng trực tiếp hoặc sửa đổi theo sự thống nhất giữa các bên tham gia thí nghiệm. Đối với các lò hơi sử dụng đá vôi hoặc chất hấp thụ khác để giảm phát thải lưu huỳnh, SO2 cần được theo dõi liên tục và được sử dụng như một chỉ số của sự cân bằng hóa học giữa vật liệu trong lớp sôi và vật liệu hồi lưu (nghĩa là xu hướng biến thiên SO2 phải tương đối phẳng). Đối với các lò hơi lớp sôi tuần hoàn, việc tuân thủ giai đoạn chạy ổn định trước thí nghiệm là biện pháp chính để đảm bảo sự cân bằng về hóa học và cơ học. Theo dõi độ chênh áp suất của vùng loãng có thể đưa ra một chỉ báo hữu ích. Do các thay đổi mang tính tương đối nên có thể chấp nhận sử dụng các thiết bị đo kiểm lắp sẵn tại nhà máy để theo dõi các xu hướng thay đổi này.
Đối với tất cả các thông số trong Bảng 2 và mọi điều kiện khác do các bên tham gia thí nghiệm chỉ định, các điều kiện ở cuối chuỗi đo cần phải tương đồng với các điều kiện khi bắt đầu chuỗi đo. Tuy nhiên, tiêu chí cơ bản cho trạng thái ổn định là giá trị trung bình của dữ liệu phản ánh sự cân bằng giữa năng lượng đầu vào từ nhiên liệu và năng lượng đầu ra của lò hơi.
Trong toàn bộ một chế độ thí nghiệm, mỗi giá trị đo liên quan đến điều kiện vận hành không được sai lệch quá giới hạn cho phép trong cột “Độ lệch so với giá trị trung bình trong thời gian dài” của Bảng 2 khi so sánh với giá trị trung bình trong báo cáo đối với chính điều kiện vận hành đó, đồng thời dao động lớn nhất giữa bất kỳ đỉnh và đáy liền kề trong dữ liệu không được vượt quá giới hạn nêu trong cột “Dao động trong thời gian ngắn”. Minh họa về việc áp dụng các giới hạn này được thể hiện trên Hình 9. Các giới hạn này có thể được các bên tham gia thí nghiệm sửa đổi, nhưng trong mọi trường hợp các giới hạn đã thiết lập phải được lập thành bảng trong kế hoạch thí nghiệm. Trong bất kỳ chế độ thí nghiệm nào, nếu các điều kiện vận hành sai lệch quá giới hạn được quy định trong bảng trên, thì chế độ thí nghiệm đó được tính là không hợp lệ, trừ khi các bên tham gia thử nghiệm chấp thuận cho phép sai lệch. Mọi sai lệch cho phép như vậy đều phải được giải thích thỏa đáng trong báo cáo thí nghiệm.

Hình 9 - Minh họa về sự dao động trong ngắn hạn (từ đỉnh đến đáy) và độ lệch so với giá trị trung bình trong dài hạn (trong chuỗi đo)
3.2.6.2 Thời lượng của một chế độ thí nghiệm
Thời lượng của một chế độ thí nghiệm phải đủ dài để các dữ liệu phản ánh đúng hiệu suất và các đặc tính kỹ thuật trung bình của lò hơi. Thời lượng này phải tính đến độ trôi của các thông số đo do hệ thống điều khiển, nhiên liệu và các đặc tính vận hành điển hình của lò hơi. Thời lượng thí nghiệm không được ngắn hơn thời lượng nêu trong bảng 3.
Bảng 3 - Thời lượng tối thiểu của một chế độ thí nghiệm
| Loại lò hơi | Phương pháp cân bằng nghịch, giờ | Phương pháp cân bằng thuận, giờ |
| Đốt dầu / đốt khí | 2 | 2 |
| Đốt than phun | 2 | 8 |
| Đốt lớp sôi | 4 | 8 |
Người chủ trì thí nghiệm và các bên tham gia thí nghiệm có thể xác định thời lượng thí nghiệm dài hơn khi cần thiết. Nói chung, thời lượng tối thiểu nêu trong Bảng 3 là dựa trên việc thu thập dữ liệu liên tục và sử dụng các lưới lấy mẫu khí tổng hợp. Tùy thuộc vào nhân sự sẵn có và phương pháp thu thập dữ liệu, có thể phải tăng thời lượng thí nghiệm để thu được đủ số lượng mẫu của các thông số cần đo nhằm đạt được độ không đảm bảo cần thiết. Khi sử dụng phương pháp đo qua từng điểm theo tiết diện ngang trong các kênh dẫn lớn, thời lượng của một chế độ thí nghiệm phải đủ dài để hoàn thành được ít nhất hai lượt đo qua tất cả các điểm. Các chế độ thí nghiệm đối với lò hơi sử dụng nhiên liệu trộn hoặc nhiên liệu thải cũng có thể yêu cầu thời gian dài hơn nếu đặc tính nhiên liệu có sự biến thiên đáng kể.
Thời lượng thí nghiệm để xác định công suất tối đa trong thời gian ngắn, nếu không cần xác định hiệu suất, thì tuân theo sự thống nhất của các bên tham gia thí nghiệm.
Phải ghi lại thời lượng thực tế của tất cả các chế độ thí nghiệm, từ đó thu thập được các dữ liệu thí nghiệm cuối cùng.
3.2.6.3 Các lưu ý khi tiến hành thí nghiệm
Các chế độ thí nghiệm nên được thực hiện khi điều kiện vận hành lò hơi gần với các thông số định mức nhất để tránh phải áp dụng các phép hiệu chỉnh đối với kết quả thí nghiệm. Những thông số chính bao gồm chủng loại nhiên liệu, lưu lượng, áp suất và nhiệt độ. Đối với các lò hơi đốt lớp sôi, cần đặc biệt chú ý duy trì phân bố cỡ hạt than không đổi để đảm bảo tính ổn định của các điều kiện vận hành. Đối với các lò hơi sử dụng chất hấp thụ, tỷ lệ chất hấp thụ trên nhiên liệu (tỷ lệ mol Ca/S) cũng cần được duy trì ổn định.
Phải chỉ định một người điều phối công tác thí nghiệm để đảm bảo liên lạc giữa những người vận hành lò hơi với các bên tham gia thí nghiệm. Người vận hành lò hơi phải được thông tin đầy đủ về thời gian chạy thiết lập trạng thái ổn định trước khi thí nghiệm, cũng như độ sai lệch tối đã được quy định đối với các thông số vận hành trong quá trình thí nghiệm. Người vận hành lò hơi phải hỏi ý kiến người điều phối thí nghiệm trước khi thay đổi các thông số vận hành, ngoại trừ các tình huống khẩn cấp.
Nếu trong chế độ vận hành bình thường của lò hơi có sử dụng hệ thống thổi bụi thì hệ thống này cũng phải được sử dụng trong quá trình thực hiện mỗi chế độ thí nghiệm. Trong bản kế hoạch thí nghiệm phải xác định rõ lịch trình thổi bụi trong mỗi chế độ thí nghiệm. Mọi hoạt động thổi bụi được thực hiện trong chế độ thí nghiệm đều phải được ghi lại và đưa vào phân tích kết quả thí nghiệm.
Trong trường hợp thực hiện chế độ thí nghiệm để xác định công suất tối đa của lò hơi vận hành trong thời gian ngắn, thì chuỗi đo phải được bắt đầu ngay khi lò đạt đến công suất tối đa và tiếp tục cho đến khi đạt đủ thời lượng quy định của chế độ thí nghiệm. Nếu trong quá trình thí nghiệm xảy ra sự cố thì phải dừng ngay thí nghiệm để xử lý và khôi phục lại chế độ thí nghiệm khi điều kiện cho phép.
3.2.6.4 Tần suất đo
Tần suất đo và lấy mẫu dưới đây được khuyến nghị sử dụng trong quá trình thí nghiệm. Tần suất này có thể tăng hoặc giảm dựa trên phân tích độ không đảm bảo trước khi thí nghiệm.
(a) Đọc các giá trị đo trong từng khoảng thời gian 15 phút hoặc ngắn hơn đối với tất cả các phép đo, ngoại trừ các phép đo đếm định lượng. Cho phép sử dụng thiết bị ghi liên tục.
(b) Nếu lượng nhiên liệu hoặc nước cấp được xác định bằng các dụng cụ đo tích phân, thì việc đọc giá trị phải được thực hiện trong từng khoảng thời gian 1 giờ.
(c) Nếu các đại lượng cần xác định được đo bằng phương pháp cân, thì tần suất cân được xác định bởi công suất của cân, nhưng khoảng thời gian giữa các lần cân phải phân bổ sao cho có thể thu được khối lượng tổng cho mỗi giờ thí nghiệm.
(d) Khi sử dụng các thiết bị đo chênh áp với ống venturi, vòi phun hoặc tấm tiết lưu để xác định lưu lượng, thì giá trị hiển thị lưu lượng phải được ghi lại trong từng khoảng thời gian 5 phút hoặc ngắn hơn.
(e) Lấy mẫu nhiên liệu và tro xỉ theo hướng dẫn trong điều 4 của Tiêu chuẩn này.
3.2.6.5 Đặc tuyến làm việc
Nếu các chuỗi đo được thực hiện với các mức công suất khác nhau thì có thể xây dựng các đặc tuyến để xác định mối liên hệ của các thông số thí nghiệm theo mức công suất. Nếu có đủ các thông số thí nghiệm để thiết lập các đặc tuyến, thì các đặc tính vận hành tương ứng với các mức công suất trung gian có thể được nội suy từ các đặc tuyến đó.
3.2.7 Hiệu chỉnh kết quả thí nghiệm
Các điều kiện vận hành tại thời điểm thí nghiệm có thể khác với điều kiện tiêu chuẩn hoặc các điều kiện định mức được sử dụng để thiết lập các thông số thiết kế hoặc thông số bảo hành. Các phương pháp hiệu chỉnh áp dụng trong quá trình tính toán kết quả thí nghiệm để giải quyết những sự khác biệt này được trình bày trong điều 5 của Tiêu chuẩn này.
Các hệ số hiệu chỉnh có thể được lấy từ nhiều nguồn khác nhau như các bảng, các đồ thị hiệu chỉnh hoặc các dữ liệu thiết kế của nhà sản xuất. Các bên tham gia thí nghiệm phải thống nhất bằng văn bản về nguồn dữ liệu được sử dụng đối với mọi hệ số hiệu chỉnh và các phương pháp áp dụng.
3.2.8 Hồ sơ và báo cáo thí nghiệm
Tất cả các điểm dữ liệu cần thiết đều phải được ghi lại bằng máy tính hoặc thủ công. Sau khi hoàn thành thí nghiệm, các bản ghi dữ liệu in từ máy theo định dạng đã được hai bên thống nhất phải được gửi cho tất cả các bên tham gia thí nghiệm.
Mọi dữ liệu ghi thủ công phải được điền vào các biểu mẫu đã chuẩn bị trước, tạo thành các bản ghi gốc và phải được xác thực bằng chữ ký của người quan trắc. Mỗi bên tham gia thí nghiệm phải được cung cấp một bộ đầy đủ các bản ghi, đồ thị hoặc bản in dữ liệu từ máy ghi. Các dữ liệu đều phải thể hiện rõ ngày giờ. Các dữ liệu phải là kết quả đo thực tế, không áp dụng bất kỳ phép hiệu chỉnh nào liên quan đến hiệu chuẩn thiết bị. Tất cả các bản ghi dữ liệu và các đồ thị thu thập được sẽ tạo thành một bộ hồ sơ đầy đủ của cuộc thí nghiệm, cần bố trí sẵn vị trí ở cuối mỗi bản ghi dữ liệu để ghi lại giá trị đo trung bình, kết quả hiệu chỉnh liên quan đến hiệu chuẩn thiết bị và kết quả chuyển đổi sang các đơn vị cần thiết để tính toán.
Hồ sơ được lập trong quá trình thí nghiệm phải thể hiện phạm vi biến thiên các chỉ số (nghĩa là giá trị nhỏ nhất và giá trị lớn nhất của các chỉ số đọc trên thiết bị) để đảm bảo có sẵn dữ liệu sử dụng khi xác định ảnh hưởng của những biến thiên đó đến độ không đảm bảo của kết quả tính toán.
Mọi sự kiện liên quan đến quá trình thí nghiệm có thể xuất hiện tại thời điểm đo phải được ghi lại đầy đủ trên các bản ghi dữ liệu cùng với thời gian xảy ra. Phải ghi lại mọi điều chỉnh được thực hiện đối với mọi thiết bị trong quá trình thí nghiệm, cho dù sự hiệu chỉnh đó được thực hiện trong khi thực hiện một chuỗi đo hoặc giữa các chuỗi đo. Lý do của mỗi lần điều chỉnh phải được nêu rõ trong biên bản thí nghiệm.
3.3 Sai số cho phép và độ không đảm bảo của kết quả thí nghiệm
Sai số cho phép hoặc độ sai lệch của các thông số đảm bảo không quy định trong tiêu chuẩn này. Các kết quả thí nghiệm phải được báo cáo đúng như kết quả được tính toán từ các dữ liệu thí nghiệm, với các phép hiệu chỉnh thích hợp liên quan đến điều kiện hiệu chuẩn thiết bị đo. Độ không đảm bảo của kết quả thí nghiệm phải được tính toán theo điều 5 và điều 7. Độ không đảm bảo của tính toán phải được báo cáo cùng với kết quả thí nghiệm, nội dung phân tích độ không đảm bảo phải là một phần của hồ sơ thí nghiệm. Độ không đảm bảo của thí nghiệm chỉ được sử dụng để đánh giá chất lượng của cuộc thí nghiệm.
4 Các phương tiện và phương pháp đo lường
4.1 Nguyên tắc chung
Khi lập kế hoạch thí nghiệm có thể linh hoạt lựa chọn phương tiện đo lường phù hợp với các nhu cầu và mục tiêu cụ thể của tất cả các bên tham gia thí nghiệm, nhưng phải đảm bảo duy trì được mức chất lượng theo quy định.
Các thiết bị, phương tiện đo sử dụng trong phương pháp đo, phương pháp thí nghiệm thuộc Tiêu chuẩn này phải được kiểm định, hiệu chuẩn theo quy định pháp luật về đo lường.
Đơn vị thực hiện thí nghiệm có trách nhiệm lựa chọn phương pháp để đo từng thông số, sao cho khi kết hợp với tất cả các thông số khác sẽ đưa ra các kết quả nằm trong phạm vi các yêu cầu về độ không đảm bảo của thí nghiệm.
Độ không đảm bảo hệ thống phải được tất cả các bên tham gia thí nghiệm đồng thuận.
Các phương pháp ước tính độ không đảm bảo hệ thống được trình bày trong 7.5.
4.2 Các dữ liệu cần thiết
Tiêu chuẩn này đưa ra phương pháp để xác định các đặc tính vận hành của lò hơi sau đây:
(a) Hiệu suất
(b) Năng lượng đầu ra
(c) Công suất
(d) Nhiệt độ hơi và phạm vi kiểm soát
(e) Nhiệt độ khói thải và không khí vào
(f) Tỷ lệ không khí thừa
(g) Tổn thất áp suất trên đường nước / đường hơi
(h) Tổn thất áp suất trên đường không khí / đường khói
(i) Độ rò lọt không khí
(j) Mức độ khử lưu huỳnh
(k) Tỷ lệ mol canxi trên lưu huỳnh
(l) Lưu lượng nhiên liệu, không khí và khói thải
Các bảng từ Bảng 4 đến Bảng 16 đưa các thông số cần thiết để xác định từng đặc tính vận hành cho các loại lò hơi điển hình thể hiện trên các hình từ Hình 1 đến Hình 6. Các bảng liệt kê các thông số cần thiết, mức độ ảnh hưởng tương đối của các thông số và chỉ dẫn các điều mục tương ứng đề cập đến quy trình đo lường áp dụng cho các mục tiêu đo lường / thí nghiệm cụ thể.
Trên từng dòng tương ứng với thông số chính, các mục “mức độ ảnh hưởng điển hình” và “nguồn dữ liệu điển hình” liên quan đến các thông số đó. Các nguồn dữ liệu điển hình là các dữ liệu được đo lường, tính toán hoặc ước tính. Khái niệm “được đo lường” dùng để chỉ các thông số được xác định bằng cách đo trực tiếp một thông số vật lý. Khái niệm “được tính toán” dùng để chỉ các thông số được suy ra từ các thông số được đo lường khác và được tính toán dựa trên các nguyên lý kỹ thuật. Khái niệm “được ước tính” dùng để chỉ các giá trị của thông số được ước tính hoặc được thống nhất bởi các bên tham gia thí nghiệm. Nói chung, “ước tính” là một giá trị ước lượng hợp lý, dựa trên kinh nghiệm từ các lò hơi tương tự hoặc từ các thí nghiệm trước đây trên chính lò hơi đó.
Trong các bảng này, ở cột “Mức độ ảnh hưởng điển hình” chỉ ra các thông số thường có ảnh hưởng lớn (ảnh hưởng chính yếu, PRI) đến kết quả và các thông số cũng cần thiết nhưng có ảnh hưởng ít hơn (ảnh hưởng thứ yếu, SEC) đến kết quả thí nghiệm.
Bảng 4 - Các thông số cần thiết để xác định hiệu suất bằng phương pháp cân bằng nghịch: Các tổn thất năng lượng
| Ký hiệu đại lượng tính toán | Thông số | Điều mục tham chiếu | Mức độ ảnh hưởng điển hình [xem chú thích (1)] | Nguồn dữ liệu điển hình [xem chú thích (2)] | Ghi chú |
| QpLDFg | Khói khô | 5.14.1 | PRI | M | ... |
|
| Phân tích thành phần nhiên liệu | 4.12.3 | PRI | M | ... |
|
| % O2 trong khói | 4.13.4 | PRI | M | Xem Bảng 10 |
|
| Nhiệt độ khói | 4.4.3 | PRI | M | Xem Bảng 9 |
| QpLH2F | Nước tạo thành do cháy H2 trong nhiên liệu | 5.14.2.1 | PRI | M | ... |
|
| Phân tích thành phần nhiên liệu | 4.12.3 | PRI | M | ... |
|
| Nhiệt độ khói | 4.4.3 | PRI | M | Xem Bảng 9 |
| QpLWF | Nước trong nhiên liệu rắn và lỏng | ... | ... | ... | ... |
|
| Phân tích thành phần nhiên liệu | 5.14.2.2 | PRI | M | ... |
|
| Nhiệt độ khói | 4.12.3 | PRI | M | ... |
|
|
| 4.4.3 | PR1 | M | Xem Bảng 9 |
| QpLWvF | Hơi nước trong nhiên liệu khí | 5.14.2.3 | PRI | M | ... |
|
| Phân tích thành phần nhiên liệu | 4.12.3 | PRI | M | ... |
|
| Nhiệt độ khói | 4.4.3 | PRI | M | Xem Bảng 9 |
| QpLWA | Độ ẩm trong không khí | 5.14.3 | SEC | M/E | ... |
|
| Phân tích thành phần nhiên liệu | 4.12.3 | PRI | M | ... |
|
| %O2 trong khói | 4.13.4 | PRI | M | Xem Bảng 10 |
|
| Nhiệt độ bầu khô | 4.15 | PRI | M | ... |
|
| Nhiệt độ bầu ướt | 4 15 | PRI | M | ... |
|
| hoặc độ ẩm tương đối | 4.15 | PRI | M | ... |
|
| Áp suất khí quyển | 4.5.5 | SEC | M | ... |
|
| Nhiệt độ khói | 4.4.3 | PR1 | M | Xem Bảng 9 |
| QpLUbC | Carbon chưa cháy hết trong tro xỉ | 5.14.4.1 | PRI | M/E | ... |
|
| Phân tích thành phần nhiên liệu | 4.12.3 | PRI | M | ... |
|
| % carbon trong tro xỉ | 4.12.3.5 | PRI | M | ... |
|
| Phân bố tro xỉ | 4.7.8 | PRI | M/E | ... |
|
| Phân tích thành phần chất hấp thụ | 4.12.3 | PRI | M | ... |
|
| Lượng chất hấp thụ | 4.8 | PRI | M | Xem Bảng 16 |
|
| Lượng nhiên liệu | 4.7.5 | PRI | C/M |
|
|
| %CO2 trong tro xỉ | 4.12.3 | PRI | M | Xem Bảng 14 |
|
| SO2/O2 trong khói | 4.13.4 | PRI | M | ... |
| QpLH2Rs | H2 chưa cháy hết trong tro xỉ | 5.14.4.2 | SEC | E | Thường bằng 0 |
|
| Các mục đối với QpLUbC |
| PRI | M | Xem QpLUbC, |
|
| %H2 trong tro xỉ | 4.12.3 | PRI | M | Bảng 4 |
| QpLCO | CO trong khói | 5.14.4.3 | SEC | M/E | ... |
|
| Các mục đối với không khí thừa | ... | PRI | M | Xem Bảng 10 |
|
| CO trong khói | 4.13.3 | PRI | M | ... |
| QpLPr | Tạp vật từ máy nghiền | 5.14.4.4 | SEC | E | ... |
|
| Lượng tạp vật máy nghiền | 4.7.5 | PR1 | M/E | ... |
|
| Phân tích thành phần tạp vật | 4.12.3 | PRI | M/E | ... |
|
| Nhiệt độ đầu ra máy nghiền | 4.4.3 | PRI | M | ... |
|
| Lượng nhiên liệu | 4.7.7 | PRI | C/M | Xem Bảng 16 |
|
| Phân tích thành phần nhiên liệu | 4.12.3 | PRl | M | ... |
| QpLUbHc | Hydrocarbon chưa cháy hết trong khói | 5.14.4.5 | SEC | E | ... |
|
| Hydrocarbon trong khói | 4.13.4 | PRI | M | ... |
|
| Nhiệt trị HHV của khí tham chiếu | ... | PRI | M | ... |
| QpLRs | Nhiệt vật lý trong tro xỉ | 5.14.5 | PRI | M/E | ... |
|
| Phân bố tro xỉ | 4.7.8 | PRI | M/C/E | ... |
|
| Nhiệt độ tro xỉ | 4.4.5.1 | PRI | M | ... |
| QpLAq | Thiết bị kiểm soát phát thải | 5.14.6 | PRI | M |
|
|
| Nhiệt độ khói vào | 4.4.3 | PRI | M |
|
|
| Nhiệt độ khói ra | 4.4 3 | PR1 | M | Xem Bảng 10 |
|
| %O2 trong khói vào | 4.13.4 | PRI | M | Xem Bảng 10 |
|
| % O2 trong khói ra | 4.13.4 | PRI | M | Xem Bảng 16 |
|
| Khối lượng khói ẩm vào | 5.12.9 | PRI | C | Xem Bảng 16 |
|
| Khối lượng khói ẩm ra | 5.12.9 | PRI | C | ... |
| QpLALg | Rò lọt không khí vào lò | 5.14.7 | SEC | M | Thường không áp dụng |
|
| Lưu lượng không khí rò lọt | 5.14.7 | PRI | M | Xem Bảng 16 |
|
| Nhiệt độ không khí rò lọt | 4.4.3 | PRI | M | ... |
|
| Nhiệt độ khói ra | 4.4.3 | PRI | M | Xem Bảng 10 |
| QpLNOx | Hình thành NOx | 5.14.8 | SEC | M/E | ... |
|
| NOx trong khói | 4.13.4 | PRI | M/E | ... |
|
| Khối lượng khói ẩm | 5.12.9 | PRI | C | Xem Bảng 16 |
| QrLSrc | Bức xạ và đối lưu bề mặt vỏ lò | ... | ... | ... | ... |
|
| Diện tích bề mặt vỏ lò hơi | 5.14.9 | PRI | M/E | Thường được ước tính dựa trên diện tích bề mặt trong phạm vi đường bao thí nghiệm. Xem 5.14.9 |
|
| Nhiệt độ không khí xung quanh vỏ lò | ... | PRI | C | |
|
| Nhiệt độ bề mặt vỏ lò | 4.4.3 | PRI | M/E | |
|
| Vận tốc không khí trên bề mặt vỏ lò | 4.4.3 4.7 | PRI PRI | M/E E | |
| QrLWAd | Hàm lượng ẩm bổ sung | 5.14.10 | SEC | M/E | ... |
|
| Lưu lượng khối lượng của hơi ẩm | 4.7.4 | PR1 | M/E | ... |
|
| Nhiệt độ khói | 4.4.3 | PRI | M | Xem Bảng 9 |
|
| Áp suất nước cấp | 4.5.4 | SEC | M | ... |
|
| Nhiệt độ nước cấp | 4.4.4 | PRI | M | ... |
|
| Lượng nhiên liệu | 4.7.5/ 4.7.7 | PRI | C/M | Xem Bảng 16 |
| QrLCIh | Nung khô / khử nước của chất hấp thụ | 5.14.11 | PRI | M | ... |
|
| Phân tích thành phần chất hấp thụ | 4.12.3 | PRI | M | ... |
|
| Lượng nhiên liệu | 4.7.5/ 4.7.7 | PRI | C/M | Xem Bảng 16 |
|
| % carbon trong tro xỉ | 4.12.3 | PRI | M | ... |
|
| %CO2 trong tro xỉ | 4.12.3 | PRI | M | ... |
|
| Phân bố tro xỉ | 4.7.8 | PRI | M/E | ... |
|
| SO2/O2 trong khói | 4.13.4 | PRI | M | Xem Bảng 14 |
| QrLWSb | Nước trong chất hấp thụ | 5.14.12 | SEC | M | ... |
|
| Phân tích thành phần chất hấp thụ | 4.12.3 | PRI | M | ... |
|
| Nhiệt độ khói | 4.4.3 | PRI | M | Xem Bảng 9 |
| QrLAp | Ước tính bức xạ đến phễu thải xỉ ướt | 5.14.13.2 | SEC | E | Thường được ước tính. Xem 5.14.13.1 về các thông số cần thiết khi đo |
| QrLRy | Các dòng tái tuần hoàn | 5.14.14 | SEC | M | . . . |
|
| Lưu lượng tái tuần hoàn | 4.7 | PRI | M/E | ... |
|
| Nhiệt độ tái tuần hoàn đầu vào | 4.4.3 | PRI | M | Xem Bảng 9 |
|
| Nhiệt độ tái tuần hoàn đầu ra | 4.4.3 | PRI | M | ... |
| QrLCw | Nước làm mát | 5.14.15 | SEC | M/E | ... |
|
| Lưu lượng nước làm mát | 4.7.4 | PRI | M/E | ... |
|
| Nhiệt độ đầu vào nước làm mát | 4.4.4 | PRI | M | ... |
|
| Nhiệt độ đầu ra nước làm mát | 4.4.4 | PRI | M | ... |
|
| Lượng nhiên liệu | 4.7.5/ 4.7.7 | PRI | C/M | Xem Bảng 16 |
| QrLAc | Sấy sơ bộ không khí được cấp nhiệt từ nguồn bên trong (APC) | 5.14.16 | SEC | M | ... |
|
| Lưu lượng nước ngưng tại APC | ... | ... | ... | ... |
|
| Nhiệt độ nước ngưng tại APC | 4.7.4 | PRI | M/C | ... |
|
| Áp suất nước ngưng tại APC | 4.4.4 | PRI | M | ... |
|
| Nhiệt độ nước cấp | 4.5.4 | PRI | M | ... |
|
| Áp suất nước cấp | 4.4.4 | PRI | M | ... |
|
|
| 4.5.4 | SEC | M | ... |
| CHÚ THÍCH: (1) Mức độ ảnh hưởng điển hình: PRI = chính yếu, SEC = thứ yếu. (2) Nguồn dữ liệu điển hình: M = được đo lường, C = được tính toán, E = được ước tính. | |||||
Bảng 5 - Các thông số cần thiết để xác định hiệu suất bằng phương pháp cân bằng nghịch: Năng lượng nhiệt đóng góp
| Ký hiệu đại lượng tính toán | Thông số | Điều mục tham chiếu | Mức độ ảnh hưởng điển hình [xem chú thích (1)] | Nguồn dữ liệu điển hình [xem chú thích (2)] | Ghi chú |
| QpBDA | Không khí khô cấp vào Nhiệt độ không khí cấp vào | 5.15.1 4.4.3 | PRI PRI | M M | Xem Bảng 9 |
|
| Không khí thừa | 5.11.4 | PRI | M | Xem Bảng 10 |
|
| Phân tích thành phần nhiên liệu | 4.12.3 | PRI | M | ... |
|
| Carbon chưa cháy hết | 5.10 4 | SEC | M/E | Xem QpLUbC |
|
| Khử lưu huỳnh | 5.9.5 | PRI | M | Bảng 5 Xem Bảng 14 |
| QpBWA | Độ ẩm trong không khí cấp vào | 5.15.2 | SEC | M/E | ... |
|
| Các mục đối với QpBDA |
| PRI | M | ... |
|
| Độ ẩm trong không khí | 4.15 | PRI | M/E | ... |
|
| Nhiệt độ bầu khô | 4.15 | PRI | M | ... |
|
| Nhiệt độ bầu ướt | 4.15 | PRI | M | ... |
|
| hoặc độ ẩm tương đối | 4.15 | PRI | M | ... |
|
| Áp suất khí quyển | 4.5.5 | SEC | M | ... |
| QpBF | Nhiệt vật lý trong nhiên liệu | 5.15.3 | SEC | M | ... |
|
| Phân tích thành phần nhiên liệu | 4.12.3 | PRI | M | ... |
|
| Nhiệt độ nhiên liệu cấp vào | 4.4 | PRI | M/E | ... |
| QpBSIf | Sulfat hóa | 5.14.4 | PRI | M | ... |
|
| SO2/O2 trong khói thải | 4.13 | PRI | M | Xem Bảng 14 |
|
| Phân tích thành phần nhiên liệu | 4.12.3 | PRI | M | ... |
|
| Phân tích thành phần chất hấp thụ | 4.12.3 | PRI | M | ... |
|
| Lượng chất hấp thụ | 4.7.7 | PRI | M | ... |
|
| Lượng nhiên liệu | 4.7.5 | PRI | C/M | Xem Bảng 16 |
|
| % carbon trong tro xỉ | 4.12.3 | PRI | M | ... |
|
| %CO2 trong tro xỉ | 4.12.3 | PRI | M | ... |
| QrBX | Năng lượng của các thiết bị phụ trợ | 5.15.5 | SEC | M/C/E | ... |
|
| Các thiết bị dẫn động bằng hơi | ... | ... | ... | ... |
|
| Lưu lượng khối lượng của hơi | 4.7.4 | PRI | M | ... |
|
| Áp suất hơi đi vào | 4.5.4 | PRI | M | ... |
|
| Nhiệt độ hơi đi vào | 4.4.4 | PRI | M | ... |
|
| Áp suất hơi xả | 4.5.4 | PRI | M | ... |
|
| Hiệu suất dẫn động | - | PRI | E/M | ... |
|
| Các thiết bị dẫn động bằng điện | ... | ... | ... | ... |
|
| Đối với các động cơ lớn: | ... | ... | ... | ... |
|
| Chỉ số Watt giờ | - | PRI | M | ... |
|
| Hiệu suất dẫn động | - | PRI | E/M | ... |
|
| Đối với các động cơ nhỏ: | ... | ... | ... | ... |
|
| Chỉ số Volts | - | SEC | M | ... |
|
| Chỉ số Amps | - | SEC | M | ... |
| QrBSb | Nhiệt vật lý trong chất hấp thụ | 5.15.6 | SEC | M | ... |
|
| Lượng chất hấp thụ | 4.7.5 | PRI | M | ... |
|
| Nhiệt độ chất hấp thụ | 4.4.5 | PRI | M | ... |
| QrBWAd | Hàm lượng ẩm bổ sung | 5.15.7 | SEC | M/E | ... |
|
| Lưu lượng khối lượng | ... | ... | ... | ... |
|
| Nhiệt độ đầu vào | 4.7.4 | PRI | M | ... |
|
| Áp suất đầu vào | 4.4.4 | PRI | M | ... |
|
|
| 4.5.4 | PRI | M | ... |
| CHÚ THÍCH: (1) Mức độ ảnh hưởng điển hình: PRI = chính yếu, SEC = thứ yếu. (2) Nguồn dữ liệu điển hình: M = được đo lường, C = được tính toán, E = được ước tính. | |||||
Bảng 6 - Các thông số cần thiết để xác định hiệu suất bằng phương pháp cân bằng thuận
| Ký hiệu đại lượng tính toán | Thông số | Điều mục tham chiếu | Mức độ ảnh hưởng điển hình [xem chú thích (1)] | Nguồn dữ liệu điển hình [xem chú thích (2)] | Ghi chú |
| QrF | Nhiệt đầu vào từ nhiên liệu | 5.5 | PRI | M | ... |
|
| Lượng nhiên liệu | 4.7.5/ 4.7.7 | PRI | M | ... |
|
| Nhiệt trị của nhiên liệu | 4.12 | PRI | M |
|
|
| Phân tích thành phần nhiên liệu | 4.12.13 | PRI | M | ... |
|
| Năng lượng đầu ra | 5.4 | PRI | C | Xem Bảng 7 |
| CHÚ THÍCH: (1) Mức độ ảnh hưởng điển hình: PRI = chính yếu, SEC = thứ yếu. (2) Nguồn dữ liệu điển hình: M = được đo lường, C = được tính toán, E = được ước tính. | |||||
Bảng 7 - Các thông số cần thiết để xác định công suất
| Ký hiệu đại lượng tính toán | Thông số | Điều mục tham chiếu | Mức độ ảnh hưởng điển hình [xem chú thích (1)] | Nguồn dữ liệu điển hình [xem chú thích (2)] | Ghi chú |
| QrO | Năng lượng đầu ra | 5.4 | PRI | C | ... |
|
| Năng lượng đầu ra trong dòng hơi chính | 5.4.1 | ... | ... | ... |
|
| Lưu lượng hơi chính | 4.7.4 | PRI | M | ... |
|
| Lưu lượng nước cấp | 4.7.4 | PRI | M | ... |
|
| Lưu lượng xả | 4.7.4 | SEC | M/E | ... |
|
| Lưu lượng trích | 4.7.4 | PRI | M | ... |
|
| Lưu lượng nước phun giảm ôn | 4.7.4 | PRI | C/M | ... |
|
| Nhiệt độ hơi chính | 4.4.4 | PRI | M | ... |
|
| Áp suất hơi chính | 4.5.4 | PRI | M | ... |
|
| Nhiệt độ nước cấp | 4.4.4 | PRI | M | ... |
|
| Áp suất nước cấp | 4.5.4 | SEC | M | ... |
|
| Nhiệt độ nước phun giảm ôn | 4.4.4 | PRI | M | ... |
|
| Áp suất nước phun giảm ôn | 4.5.4 | SEC | M | ... |
|
| Lò hơi có hơi tái nhiệt | 5.4.2 | ... | ... | ... |
|
| Lưu lượng hơi tái nhiệt | 5.4.2.1 | PRI | C/M | Xem ASME |
|
| Lưu lượng nước phun giảm ôn tái nhiệt | 4.7.4 | PRI | M | PTC 6 |
|
| Lưu lượng trích gia nhiệt nước cấp | 5.4.2.1 | PRI | C/M | ... |
|
| Nhiệt độ trích gia nhiệt nước cấp | 4.4.4 | PRI | M | ... |
|
| Áp suất trích gia nhiệt nước cấp | 4.5.4 | PRI | M | ... |
|
| Nhiệt độ nước đi vào bộ gia nhiệt nước cấp | 4.4.4 | PRI | M | ... |
|
| Nhiệt độ nước ra khỏi bộ gia nhiệt nước cấp | 4.4.4 | PRI | M | ... |
|
| Áp suất nước tại bộ gia nhiệt nước cấp | 4.5.4 | SEC | M | ... |
|
| Nhiệt độ nước cấp xả bỏ | 4.4.4 | PRI | ... | ... |
|
| Rò rỉ tuabin | - | PRI | ... | ... |
|
| Lưu lượng hơi trích (khác) | 4.7.4 | PRI | M | ... |
|
| Nhiệt độ hơi đầu ra bộ tái nhiệt | 4.4.4 | PRI | M | ... |
|
| Áp suất hơi đầu ra bộ tái nhiệt | 4.5.4 | SEC | M | ... |
|
| Nhiệt độ hơi đầu vào bộ tái nhiệt | 4.4.4 | ... | ... | ... |
|
| Áp suất hơi đầu vào bộ tái nhiệt | 4.5.4 | PRI | M/E | ... |
|
| Nhiệt độ nước phun giảm ôn tái nhiệt | ... | PRI | M | ... |
|
| Áp suất nước phun giảm ôn tái nhiệt | 4.4.4 | PRI | M | ... |
|
| Hơi phụ | 4.5.4 | PRI | M | ... |
|
| Lưu lượng hơi phụ | 5.4.3 | SEC | M | ... |
|
| Nhiệt độ hơi phụ | 4.7.4 | ... | ... | ... |
|
| Áp suất hơi phụ | 4.4.4 | ... | ... | ... |
|
| Nhiệt độ nước cấp | 4.5.4 | ... | ... | ... |
|
| Áp suất nước cấp | 4.4.4 | ... | ... | ... |
|
|
| 4.5.4 | ... | ... | ... |
| CHÚ THÍCH: (1) Mức độ ảnh hưởng điển hình: PRI = chính yếu, SEC = thứ yếu. (2) Nguồn dữ liệu điển hình: M = được đo lường, C = được tính toán, E = được ước tính. | |||||
Bảng 8 - Các thông số cần thiết để xác định nhiệt độ hơi / phạm vi kiểm soát
| Ký hiệu đại lượng tính toán | Thông số | Điều mục tham chiếu | Mức độ ảnh hưởng điển hình [xem chú thích (1)] | Nguồn dữ liệu điển hình [xem chú thích (2)] | Ghi chú |
| ... | Lò hơi cấp hơi quá nhiệt | 5.4.1 | ... | ... | Các phép đo chủ yếu được liệt kê ở đây. Tất cả các thông số cần thiết để xác định năng lượng đầu ra là bắt buộc. |
|
| Lưu lượng hơi chính | 4.7.4 | PRI | M | |
|
| Lưu lượng xả | 4.7.4 | PRI | M/E | |
|
| Lưu lượng trích | 4.7.4 | PRI | M | |
|
| Nhiệt độ hơi chính | 4.4.4 | PRI | M | |
|
| Áp suất hơi chính | 4.5.4 | PRI | M | |
|
| Áp suất bao hơi (nếu áp dụng) | 4.5.4 | PRI | M | |
|
| Mức nước bao hơi | ... | ... | ... | ... |
|
| Nhiệt độ nước cấp | 4.4.4 | PRI | M | ... |
|
| Áp suất nước cấp | 4.5.4 | SEC | M | ... |
|
| Lưu lượng nước phun giảm ôn | 4.7.4 | PRI | M | ... |
|
| Nhiệt độ nước phun giảm ôn | 4.4.4 | PRI | M | ... |
|
| Áp suất nước phun giảm ôn | 4.5.4 | SEC | M | ... |
|
| Các thông số cần thiết khác để xác định năng lượng đầu ra | 5.4 | SEC | M/C/E | ... |
| ... | Lò hơi có hơi tái nhiệt | 5.4.2 | ... | ... | ... |
|
| Lưu lượng hơi tái nhiệt | 54.2.1 | PRI | C/M | Xem Bảng 7 |
|
| Nhiệt độ hơi đầu ra bộ tái nhiệt | 4.4.4 | PRI | M | ... |
|
| Áp suất hơi đầu ra bộ tái nhiệt | 4.5.4 | PRI | M | ... |
|
| Nhiệt độ hơi đầu vào bộ tái nhiệt | 4.4.4 | PRI | M | ... |
|
| Áp suất hơi đầu vào bộ tái nhiệt | 4.5.4 | PRI | M | ... |
|
| Lưu lượng nước phun giảm ôn bộ tái nhiệt | ... | ... | ... | ... |
|
| 4.7.4 | PRI | M |
| |
|
| Nhiệt độ nước phun giảm ôn bộ tái nhiệt | ... | ... | ... | ... |
|
| 4.4.4 | PRI | M |
| |
|
| Nhiệt độ nước phun giảm ôn bộ tái nhiệt | ... | ... | ... | ... |
|
| 4.5.4 | SEC | M |
| |
| ... | Các thông số liên quan | ... | ... | ... | ... |
|
| Không khí thừa | 5.11.4 | ... | M | ... |
|
| Cửa điều tiết lưu lượng khói | ... | ... | M | ... |
|
| Lưu lượng khói tái tuần hoàn | ... | ... | M | ... |
|
| Xả lò | 5.4.4 | ... | ... | ... |
| CHÚ THÍCH: (1) Mức độ ảnh hưởng điển hình: PRI = chính yếu, SEC = thứ yếu. (2) Nguồn dữ liệu điển hình: M = được đo lường, C = được tính toán, E = được ước tính. | |||||
Bảng 9 - Các thông số cần thiết để xác định nhiệt độ khói thải và không khí cấp vào
| Ký hiệu đại lượng tính toán | Thông số | Điều mục tham chiếu | Mức độ ảnh hưởng điển hình [xem chú thích (1)] | Nguồn dữ liệu điển hình [xem chú thích (2)] | Ghi chú |
|
| Bộ sấy không khí đơn kiểu 2 khoang | ... | ... | ... | ... |
|
| O2 đầu vào sấy không khí | 4.10 | PRI | M | ... |
|
| O2 đầu ra sấy không khí | 4.10 | PRI | M | ... |
|
| Nhiệt độ khói vào sấy không khí | 4.4.3 | PRI | M | ... |
|
| Nhiệt độ khói ra khỏi sấy không khí | 4.4.3 | PRI | M | ... |
|
| Nhiệt độ không khí đi vào sấy không khí | 4.4.3 | PRI | M | Nhiệt độ khói đi vào bộ sấy chỉ cần thiết để hiệu chỉnh theo giá trị tham chiếu. |
|
| Bộ sấy không khí cấp 1 / cấp 2 | ... | ... | ... | ... |
|
| Các hạng mục trên đây đối với bộ sấy không khí kiểu 2 khoang | ... | PRI | ... | ... |
|
| Cộng với: | ... | ... | ... | ... |
|
| Nhiệt độ không khí ra khỏi mỗi bộ sấy | 4.4.3 | PRI | M | ... |
|
| Lưu lượng không khí cấp 1 ra khỏi bộ sấy | 4.7.3 | PRI | C/M | ... |
|
| Lưu lượng không khí hòa trộn | 4.7.3 | SEC | C | ... |
|
| Nhiệt độ không khí hòa trộn | 4.4.3 | PRI | M | ... |
|
| Lưu lượng không khí hỗn hợp | 4.7.3 | PRI | C/M | ... |
|
| Nhiệt độ không khí hỗn hợp | 4.4.3 | PR1 | M | ... |
|
| Các hạng mục cần thiết để xác định hiệu suất | ... | PRI | ... | Xem Bảng 4 và Bảng 5 Xem Bảng 7 |
|
| Các hạng mục cần thiết để xác định năng lượng đầu ra | ... | PRI | ... | |
| ... | Bộ sấy không khí kiểu 3 khoang | ... | ... | ... | ... |
|
| Các hạng mục trên đây đối với bộ sấy không khí đơn | ... | PRI | ... | ... |
|
| Nhiệt độ không khí cấp 2 đi vào bộ sấy | 4.4.3 | PRI | M | ... |
|
| Nhiệt độ không khí cấp 2 ra khỏi bộ sấy | 4.4.3 | PRI | M | ... |
|
| Nhiệt độ không khí cấp 1 đi vào bộ sấy | 4.4.3 | PRI | M | ... |
|
| Nhiệt độ không khí cấp 1 ra khỏi bộ sấy | ... | ... | ... | ... |
|
| Lưu lượng không khí cấp 1 ra khỏi bộ sấy | 4.4.3 | PRI | M | ... |
|
| Lưu lượng không khí hòa trộn | 4.7.3 | PRI | C/M | ... |
|
| Nhiệt độ không khí hòa trộn | 4.7.3 | PRI | M | ... |
|
| Lưu lượng không khí hỗn hợp | 4.4.3 | PRI | M | ... |
|
| Nhiệt độ không khí hỗn hợp | 4.7.3 | PRI | M | ... |
|
| Các hạng mục cần thiết để xác định hiệu suất | 4.4.3 | PRI | M | Xem Bảng 4 và Bảng 5 Xem Bảng 7 |
|
| Các hạng mục cần thiết để xác định năng lượng đầu ra | ... | PRI | ... | |
|
|
| ... | PRI | ... | ... |
| CHÚ THÍCH: (1) Mức độ ảnh hưởng điển hình: PRI = chính yếu, SEC = thứ yếu. (2) Nguồn dữ liệu điển hình: M = được đo lường, C = được tính toán, E = được ước tính. | |||||
Bảng 10 - Các thông số cần thiết để xác định không khí thừa
| Ký hiệu đại lượng tính toán | Thông số | Điều mục tham chiếu | Mức độ ảnh hưởng điển hình [xem chú thích (1)] | Nguồn dữ liệu điển hình [xem chú thích (2)] | Ghi chú | |
| XpA | Không khí thừa | 5.11.4 | ... | M | ... | |
|
| Phân tích thành phần nhiên liệu | 4.12.3 | PRI | M | ... | |
|
| %O2 trong khói thải | 4.13.4 | PRI | M/E | ... | |
| MpUbC | Carbon chưa cháy hết | 5.10.4 | PRI | M/E | ... | |
|
| Phần trăm carbon trong tro xỉ | 4.12.3.5 | PRI | M | ... | |
|
| Phân bố tro xỉ | 4.7.8 | PRI | M/E | ... | |
| MFrWA | Độ ẩm trong không khí | ... | ... | ... | ... | |
|
| Nhiệt độ bầu khô | 5.11.2 | PRI | C/E | ... | |
|
| Nhiệt độ bầu ướt | 4.15 | PRI | M | ... | |
|
| hoặc độ ẩm tương đối | 4.15 | PRI | M | ... | |
|
| Áp suất khí quyển | 4.15 | PRI | M | ... | |
|
| Hàm lượng ẩm bổ sung | 4.5.5 | SEC | M | ... | |
|
|
| 4.7.4 | PRI | M | ... | |
| MoFrCaS | Phân tích thành phần chất hấp thụ | 4.12.3 | PRI | M | ... | |
|
| Tỷ lệ mol Ca/S | 5.9.6 | PRI | C/E | ... | |
|
| Lượng chất hấp thụ | 4.7.7 | PRl | M | ... | |
|
| Lượng nhiên liệu | 4.7.5/4. 7.7 | PRI | C/M | Xem Bảng 16 | |
|
| ||||||
| MFrClhk | Nung khô | 5.10.8 | PRI | C/E | ... | |
|
| %CO2 trong tro xỉ | 4.13.4 | PRI | M | ... | |
| MFrSc | Khử lưu huỳnh | 5.9.5 | PRI | C/E | ... | |
|
| SO2/O2 trong khói thải | 4.13.4 | PRI | M | Xem Bảng 14 | |
| CHÚ THÍCH: (1) Mức độ ảnh hưởng điển hình: PRI = chính yếu, SEC = thứ yếu. (2) Nguồn dữ liệu điển hình: M = được đo lường, C = được tính toán, E = được ước tính. |
| |||||
Bảng 11 - Các thông số cần thiết để xác định tổn thất áp suất đường nước / đường hơi
| Ký hiệu đại lượng tính toán | Thông số | Điều mục tham chiếu | Mức độ ảnh hưởng điển hình [xem chú thích (1)] | Nguồn dữ liệu điển hình [xem chú thích (2)] | Ghi chú |
| ... | Tổn thất áp suất qua bộ quá nhiệt | 5.17 | ... | M/C | ... |
|
| Áp suất đầu ra bộ quá nhiệt | 4.5.4 | PRI | M | ... |
|
| Áp suất đầu vào bộ quá nhiệt |
|
|
|
|
|
| (áp suất bao hơi) | 4.5.4 | PR1 | M | ... |
|
| Lưu lượng hơi chính | 4.7.4 | PRI | M | ... |
|
| Lưu lượng nước cấp | 4.7.4 | PRI | M | ... |
|
| Lưu lượng xả | 4.7.4 | SEO | M/E | ... |
|
| Lưu lượng trích | 4.7.4 | PRI | M | ... |
|
| Lưu lượng nước phun giảm ôn bộ quá nhiệt | 4.7.4 | PRI | C/M | ... |
|
| Nhiệt độ hơi đầu ra bộ quá nhiệt | 4.4.4 | SEC | M | ... |
|
| Nhiệt độ hơi đầu vào bộ quá nhiệt | 4.4.4 | SEC | M | Lò siêu tới hạn |
|
| Tổn thất áp suất qua bộ tái nhiệt | 5.17 | ... | M/C | ... |
|
| Áp suất đầu vào bộ tái nhiệt | 4.5.4 | PRI | M | ... |
|
| Áp suất đầu vào bộ tái nhiệt | 4.5.4 | PRI | M | ... |
|
| Lưu lượng hơi qua bộ tái nhiệt | 5.4.2.1 | PRI | C/M | Xem Bảng 7 |
|
| Lưu lượng trích gia nhiệt nước cấp | 5.4.2.1 | PRI | C/M | ... |
|
| Rò rỉ tuabin | NA | SEC | E | ... |
|
| Lưu lượng hơi trích | 4.7.4 | PRI | M | ... |
|
| Lưu lượng nước phun giảm ôn bộ tái nhiệt | 4.7.4 | PRI | M | ... |
|
| Nhiệt độ hơi đầu vào bộ tái nhiệt | 4.4.4 | SEC | M | ... |
|
| Nhiệt độ hơi đầu ra bộ tái nhiệt | 4.4.4 | SEC | M | ... |
| ... | Tổn thất áp suất qua bộ hâm nước | 5.17 | ... | M/C | ... |
|
| Áp suất nước đầu vào bộ hâm nước | 4.5.4 | PRI | M | ... |
|
| Áp suất nước đầu ra bộ hâm nước (áp suất bao hơi) | 4.5.4 | PRI | M | ... |
|
| Lưu lượng nước cấp | 4.7.4 | PRI | M | ... |
|
| Lưu lượng nước phun quá nhiệt | 4.7.4 | PRI | M/C | ... |
|
| Nhiệt độ nước đầu vào bộ hâm nước | 4.4.4 | SEC | M | ... |
|
| Nhiệt độ nước đầu ra bộ hâm nước | 4.4.4 | SEC | M | ... |
| CHÚ THÍCH: (1) Mức độ ảnh hưởng điển hình: PRI = chính yếu, SEC = thứ yếu. (2) Nguồn dữ liệu điển hình: M = được đo lường, C = được tính toán, E = được ước tính. | |||||
Bảng 12 - Các thông số cần thiết để xác định tổn thất áp suất đường không khí / đường khói
| Ký hiệu đại lượng tính toán | Thông số | Điều mục tham chiếu | Mức độ ảnh hưởng điển hình [xem chú thích (1)] | Nguồn dữ liệu điển hình [xem chú thích (2)] | Ghi chú |
| ... | Trở lực phía không khí | 5.17.3 | ... | M/C | ... |
|
| Áp lực đầu thoát của quạt khói | 4.5.3 | PRI | M | ... |
|
| Áp lực không khí tại đầu vào bộ sấy không khí | 4.5.3 | PRI | M | ... |
|
|
|
|
|
| |
|
| Áp lực không khí tại đầu ra bộ sấy không khí | 4.5.3 | PRI | M | ... |
|
|
|
|
|
| |
|
| Áp lực tại hộp gió | 4.5.3 | PRI | M | ... |
|
| Áp lực buồng đốt | 4.5.3 | PRI | M | ... |
|
| Lưu lượng không khí | 5.11.6 | PRI [xem chú thích (4)] | C | Xem Bảng 16 |
|
| Lưu lượng hơi chính | 4.7.4 | SEC | M | ... |
|
| Nhiệt độ không khí | 4.4.3 | SEC | M | ... |
| ... | Trở lực phía khói | 5.17.3 | ... | M/C | ... |
|
| Áp lực buồng đốt | 4.5.3 | PRI | M | ... |
|
| Áp lực đầu vào bộ quá nhiệt | 4.5.3 | PRI | M | ... |
|
| Áp lực đầu ra bộ quá nhiệt | 4.5.3 | PRI | M | ... |
|
| Áp lực đầu vào bộ tái nhiệt | 4.5.3 | PRI | M | ... |
|
| Áp lực đầu ra bộ tái nhiệt | 4.5.3 | PRI | M | ... |
|
| Áp lực đầu vào chùm ống sinh hơi | 4.5.3 | PRI | M | ... |
|
| Áp lực đầu ra chùm ống sinh hơi | 4.5.3 | PRI | M | ... |
|
| Áp lực đầu vào bộ hâm nước | 4.5.3 | PRI | M | ... |
|
| Áp lực đầu ra bộ hâm nước | 4.5.3 | PRI | M | ... |
|
| Áp lực đầu vào thiết bị kiểm soát phát thải | 4.5.3 | PRI | M | ... |
|
| Áp lực đầu ra thiết bị kiểm soát phát thải | 4.5.3 | PRI | M | ... |
|
| Áp lực khói đầu vào bộ sấy không khí | 4.5.3 | PRI | M | ... |
|
| Áp lực khói đầu vào bộ sấy không khí | 4.5.3 | PRI | M | ... |
|
| Lưu lượng khói thải | 5.12.9 | PRI [xem chú thích (4)] | C | Xem Bảng 16 |
|
| Lưu lượng hơi chính | 4.7.4 | SEC | M | ... |
|
| Nhiệt độ khói thải | 4.4.3 | SEC | M | ... |
| CHÚ THÍCH: (1) Các giá trị áp suất trung gian điển hình được biểu thị để đánh giá trở lực của hệ thống. (2) Mức độ ảnh hưởng điển hình: PRI = chính yếu, SEC = thứ yếu. (3) Nguồn dữ liệu điển hình: M = được đo lường, C = được tính toán, E = được ước tính. (4) Các giá trị lưu lượng không khí/khói được yêu cầu để hiệu chỉnh các điều kiện tham chiếu. | |||||
Bảng 13 - Các thông số cần thiết để xác định mức độ rò lọt không khí
| Ký hiệu đại lượng tính toán | Thông số | Điều mục tham chiếu | Mức độ ảnh hưởng điển hình [xem chú thích (1)] | Nguồn dữ liệu điển hình [xem chú thích (2)] | Ghi chú |
| ... | Mức độ rò lọt dựa trên hàm lượng O2 đo được | 5.17.6 | ... | ... | Xem Bảng 10 |
|
| Không khí thừa đi vào bộ phận | 5.11.4 | PRI | C | ... |
|
| Hàm lượng O2 trong khói đi vào bộ phận | 4.13.4 | PRI | M | ... |
|
| Không khí thừa ra khỏi bộ phận | 5.11.4 | PRI | C | Xem Bảng 10 |
|
| Hàm lượng O2 trong khói ra khỏi bộ phận | 4.13.4 | PRI | M | ... |
| ... | Mức độ rò lọt tính theo cân bằng nhiệt | 5.17.6 | ... | C | ... |
|
| Lưu lượng khói đi vào bộ sấy không khí | 5.12.9 | PRI | C | Xem Bảng 16 |
|
| Hàm lượng O2 trong khói đi vào bộ sấy không khí | 4.13.4 | PRI | M | ... |
|
| Phân tích thành phần nhiên liệu | 4.12.3 | SEC | M | ... |
|
| Nhiệt độ khói đi vào sấy không khí | 4.4.3 | PRI | M | ... |
|
| Nhiệt độ khói ra khỏi sấy không khí | 4.4.3 | PRI | M | ... |
|
| Nhiệt độ không khí đi vào sấy không khí | 4.4.3 | PRI | M | ... |
|
| Nhiệt độ không khí ra khỏi sấy không khí | 4.4.3 | PRI | M | ... |
|
| Hàm lượng ẩm trong không khí | 4.15 | SEC | M/E | ... |
| CHÚ THÍCH: (1) Mức độ ảnh hưởng điển hình: PRI = chính yếu, SEC = thứ yếu. (2) Nguồn dữ liệu điển hình: M = được đo lường, C = được tính toán, E = được ước tính. | |||||
Bảng 14 - Các thông số cần thiết để xác định đặc tính khử lưu huỳnh
| Ký hiệu đại lượng tính toán | Thông số | Điều mục tham chiếu | Mức độ ảnh hưởng điển hình [xem chú thích (1)] | Nguồn dữ liệu điển hình [xem chú thích (2)] |
| MFrSc | Khử lưu huỳnh | 5.9.5 | ... | ... |
|
| SO2 trong khói | 4.13.4 | PRI | M |
|
| O2 trong khói (cùng vị trí với SO2) | 4.13.4 | PRI | M |
|
| Hàm lượng ẩm bổ sung | 4.7.4 | PRI | M/E |
|
| Phân tích thành phần nhiên liệu | 4.12.3 | PRI | M/E |
| MFrWA | Hàm lượng ẩm trong không khí | 5.11.2 | PRI | C/E |
|
| Nhiệt độ bầu khô | 4.15 | PRI | M |
|
| Nhiệt độ bầu ướt | 4.15 | PRI | M |
|
| hoặc độ ẩm tương đối | 4.15 | PRI | M |
| MpUbC | Carbon chưa cháy hết | 5.10.4 | PRI | M/E |
|
| % carbon trong tro xỉ | 4.12.3.5 | PRI | M |
|
| Phân bố tro xỉ | 4.7.8 | PRI | M/E |
|
| Phân tích thành phần chất hấp thụ | 4.12.3 | PRI | M |
| MoFrCaS | Tỷ lệ mol Ca/S | 5.9.6 | PRI | C/E |
|
| Lượng chất hấp thụ | 4.7.7 | PRI | M |
|
| Lượng nhiên liệu | 4.7.5 | PRI | C |
| MFrClhk | Nung khô | 5.10.8 | PRI | C/E |
|
| %CO2 trong tro xỉ | 4.12.3 | PRI | M |
| CHÚ THÍCH: (1) Mức độ ảnh hưởng điển hình: PRI = chính yếu, SEC = thứ yếu. (2) Nguồn dữ liệu điển hình: M = được đo lường, C = được tính toán, E = được ước tính. | ||||
Bảng 15 - Các thông số cần thiết để xác định tỷ lệ mol Canxi - Lưu huỳnh
| Ký hiệu đại lượng tính toán | Thông số | Điều mục tham chiếu | Mức độ ảnh hưởng điển hình [xem chú thích (1)] | Nguồn dữ liệu điển hình [xem chú thích (2)] | Ghi chú |
| MoFrCaS | Tỷ lệ mol Ca/S | 5.9.6 | ... | C | ... |
|
| % CO2 trong tro xỉ | 4.12.3 | PRI | M | ... |
|
| % carbon trong tro xỉ | 4.12.3 | PRI | M | ... |
|
| Phân bố tro xỉ | 4.7.8 | PRI | E/M | ... |
|
| Phân tích thành phần nhiên liệu | 4.7.5/ 4.7.7 | PRI | M | ... |
|
| Phân tích thành phần chất hấp thụ | 4.12.3 | PRI | M | ... |
|
| Lượng chất hấp thụ | 4.7.7 | PRI | M | ... |
|
| Lượng nhiên liệu | 4.7.5 | PRI | C | ... |
| ... | Khử lưu huỳnh | 5.9.5 | SEC | C/E | Xem Bảng 14 |
|
| SO2/O2 trong khói | 4.13.4 | PRI | M | ... |
| CHÚ THÍCH: (1) Mức độ ảnh hưởng điển hình: PRI = chính yếu, SEC = thứ yếu. (2) Nguồn dữ liệu điển hình: M = được đo lường, C = được tính toán, E = được ước tính. | |||||
Bảng 16 - Các thông số cần thiết để xác định lưu lượng nhiên liệu, không khí và khói
| Ký hiệu đại lượng tính toán | Thông số | Điều mục tham chiếu | Mức độ ảnh hưởng điển hình [xem chú thích (1)] | Nguồn dữ liệu điển hình [xem chú thích (2)] | Ghi chú | |
| Qrl | Năng lượng đầu vào từ nhiên liệu | 5.5 | ... | ... | ... | |
|
| Lượng nhiên liệu (đo lường) | 4.7.7 | PRI | M | ... | |
|
| Lượng nhiên liệu (tính toán) | 5.7.7 | PRI | C | ... | |
| QrO | Năng lượng đầu ra | 5.4 | PRI | M | Xem Bảng 7 | |
| EF | Hiệu suất nhiên liệu | 5.7.1 | PR1 | C | Xem Bảng 4 và Bảng 5 | |
|
| Phân tích thành phần nhiên liệu | 4.12.3 | PRI | M | ... | |
| MgA | Lưu lượng không khí ẩm | 5.11.6 | ... | C | ... | |
| MrA | Không khí thừa | 5.11.4 | PRI | C | Xem Bảng 10 | |
|
| Hàm lượng ẩm trong không khí | 5.11.2 | PRI | C | Xem Bảng 10 | |
| MqFg | Lưu lượng khói ẩm | 5.12.9 | ... | C | ... | |
| MrFg | Phân tích thành phần nhiên liệu | 4.12.3 | PRI | M | ... | |
|
| Carbon chưa cháy hết | 5.10.3 | PRI | M/E | ... | |
|
| % carbon trong tro xỉ | 4.12.3.5 | PRI | M | ... | |
|
| Phân bố tro xỉ | 4.7.8 | PRI | M/E | ... | |
|
| Không khí thừa | 5.11.4 | PRI | M/E | Xem Bảng 10 | |
|
| Hàm lượng ẩm trong không khí | 5.11.2 | PRI | M/E | ... | |
|
| Hàm lượng ẩm bổ sung | 4.7.4 | PR1 | M/E | ... | |
| ... | Phân tích thành phần chất hấp thụ | 4.12.3 | PRI | M | ... | |
|
| Tỷ lệ mol Ca/S | 5.9.6 | PRI | M/E | ... | |
|
| Nung khô | 5.10.8 | PRI | M/E | ... | |
|
| Khử lưu huỳnh | 5.9.5 | PRI | M/E | ... | |
| CHÚ THÍCH: (1) Mức độ ảnh hưởng điển hình: PRI = chính yếu, SEC = thứ yếu. (2) Nguồn dữ liệu điển hình: M = được đo lường, C = được tính toán, E = được ước tính. | ||||||
4.3 Các yêu cầu chung về đo lường
Hệ thống đo lường được sử dụng để thu thập các dữ liệu thường bao gồm bốn thành phần sau:
(a) Phần tử đo sơ cấp
(b) Thiết bị cảm biến
(c) Thiết bị thu thập dữ liệu / đo lường
(d) Thiết bị lưu trữ dữ liệu
Phần tử đo sơ cấp cho phép truy cập đến điểm đo hoặc gây ra hiệu ứng mà thiết bị cảm biến có thể đo được bằng cách chuyển đổi các hiệu ứng đó thành tín hiệu điện tương ứng. Sau đó tín hiệu điện này được chuyển đổi thành giá trị số và được lưu trữ dưới dạng điện tử, hoặc được gửi đến máy ghi thành biểu đồ hoặc hiển thị bằng đồng hồ analog.
4.3.1 Chủng loại thiết bị / lắp đặt
Thiết bị đo phải có cấp chính xác phù hợp để đạt được độ không đảm bảo mục tiêu. Tất cả các thiết bị đo phải đảm bảo đúng chủng loại được chỉ định, được lắp đặt đúng cách, làm việc theo đúng thiết kế và hoạt động trong dài đo dự kiến.
4.3.2 Hiệu chuẩn
Các thiết bị liên quan trong hệ thống đo phải được hiệu chỉnh ban đầu (sự xê dịch điểm “0” hoặc khoảng đo phải được điều chỉnh theo các thông số kỹ thuật tương ứng của thiết bị).
Hiệu chuẩn các thiết bị đo trước và sau khi thí nghiệm phải dựa trên các chuẩn đã được hiệu chuẩn theo một tiêu chuẩn quốc tế được thừa nhận.
Tất cả các kết quả đo phải được hiệu chỉnh theo các thiết bị đã được hiệu chuẩn trước khi đưa vào tính toán các đặc tính kỹ thuật. Trường hợp không hiệu chỉnh thì giá trị ước tính của độ không đảm bảo hệ thống phải được tăng lên đến giá trị bằng độ chính xác tham chiếu cộng với các yếu tố ảnh hưởng khác đến độ không đảm bảo hệ thống.
CHÚ THÍCH: Độ chính xác tham chiếu là độ không đảm bảo hệ thống mà người sử dụng kỳ vọng có thể đạt được trong trường hợp không hiệu chuẩn, sau khi thiết bị đã được điều chỉnh ban đầu theo các đặc tính kỹ thuật của nhà sản xuất.
Một Số thiết bị đo cần được hiệu chuẩn ngay trước và ngay sau giai đoạn thí nghiệm để xác định độ trôi. Nếu giá trị hiệu chuẩn trước và sau thí nghiệm khác nhau thì phải xác định độ trôi và cộng thêm một nửa giá trị đó vào mức ước tính độ không đảm bảo hệ thống của thiết bị đo.
Bất kỳ phép hiệu chuẩn nào cũng phải được thực hiện tại ít nhất ba điểm khác nhau để tạo ra giá trị cao nhất và thấp nhất trong dải đo dự kiến khi thí nghiệm.
4.3.2.1 Thiết bị đo nhiệt độ
Các cảm biến nhiệt độ phải được hiệu chuẩn dựa trên các chuẩn đã được hiệu chuẩn theo một tiêu chuẩn quốc tế được thừa nhận. Phần tử cảm biến phải được so sánh với ít nhất 4 nhiệt độ khác nhau. Các nhiệt độ được lựa chọn để hiệu chuẩn phải nằm trong dài đo dự kiến khi thí nghiệm. Các cặp nhiệt điện phải được ủ nhiệt trước khi hiệu chuẩn để đảm bảo không xảy ra sai lệch tín hiệu đầu ra sau khi hiệu chuẩn.
4.3.2.2 Thiết bị đo áp suất hoặc hiệu áp suất
Phần tử cảm biến phải được hiệu chuẩn theo các chuẩn đã được hiệu chuẩn theo một tiêu chuẩn quốc tế được thừa nhận ở 5 giá trị áp suất khác nhau. Các điểm áp suất phải được ghi lại ở áp suất khí quyển (0), 25% thang đo, 50% thang đo, 75% thang đo và 100% thang đo. Áp suất phải được ghi lại tại mỗi điểm khi tăng áp suất và ghi lại lần nữa khi giảm áp suất và nên sử dụng giá trị trung bình. Sự khác biệt cần được xem xét khi ước tính độ không đảm bảo hệ thống.
4.3.2.3 Thiết bị phân tích thành phần khói thải
Thiết bị phân tích được sử dụng để đo O2, CO, NOx và tổng hydrocarbon phải được hiệu chuẩn ngay trước khi thí nghiệm và giá trị hiệu chuẩn phải được kiểm tra độ trôi ngay sau khi thí nghiệm. Các hiệu chuẩn này được thực hiện bằng cách sử dụng các khí hiệu chuẩn đã được chứng nhận với các giá trị: điểm 0, điểm cuối dải đo và điểm giữa dải đo. Nếu thiết bị phân tích được hiệu chuẩn trên một phạm vi đo, còn phép đo trong quá trình thí nghiệm được thực hiện trên một phạm vi đo khác, thì việc kiểm tra giá trị hiệu chuẩn sau khi thí nghiệm phải được thực hiện trên phạm vi đo thứ hai.
4.3.3 Tần suất đo
Để giảm thiểu độ không đảm bảo (do tính bất định của nhiên liệu, sự tinh chỉnh của hệ thống điều khiển và các yếu tố khác, sự thay đổi trong các thông số vận hành), cần tăng tần suất đo trong quá trình thí nghiệm để giảm sai số ngẫu nhiên trong các dữ liệu thu thập được.
Các phép đo đếm số lượng (ví dụ: đo lượng nhiên liệu bằng thùng chứa tính theo thể tích hoặc khối lượng) được thực hiện theo tần suất do thiết bị thu thập dữ liệu quy định. Việc thu thập các dữ liệu khác cần được thực hiện trong khoảng thời gian tối đa là 15 phút và khoảng thời gian ưu tiên là 2 phút hoặc ít hơn. Nếu ghi nhận được các biến động đối với bất kỳ thông số quan trọng nào khi thu thập dữ liệu với khoảng thời gian lớn hơn 2 phút, thì khoảng thời gian giữa các lần thu thập dữ liệu phải được giảm xuống dưới 2 phút.
Ưu tiên sử dụng các thiết bị thu thập dữ liệu tự động.
4.3.4 Các phép đo được thực hiện qua tiết diện ngang
Một số thông số cần thiết để tính toán các đặc tính lò hơi (ví dụ: nhiệt độ và thành phần khói, vận tốc không khí hoặc khói) cần được xác định bằng cách đo giá trị tại các điểm trong một tiết diện ngang và sau đó tính giá trị trung bình. Trong mọi trường hợp, giá trị trung bình của các thông số đó phải là giá trị trung bình tích phân.
Trong phép đo theo tiết diện ngang, kênh dẫn được chia nhỏ thành một số tiết diện cơ sở và sử dụng loại đầu dò thích hợp để đo thông số tại mỗi điểm trong từng diện tích cơ sở. Giá trị trung bình của thông số là trung bình tích phân của các giá trị đo được tại từng diện tích cơ sở (có thể sử dụng các trọng số khác nhau cho từng khu vực tùy theo kỹ thuật đo và phương pháp tính toán).
4.3.5 Các giá trị có trọng số
Do tính chất phân tầng của dòng khói nên nhiệt độ khói và hàm lượng O2 trong khói có sự biến thiên trên mặt cắt ngang của kênh dẫn. Vì vậy, khi xác định nhiệt độ và thành phần của khói cần áp dụng các trọng số thích hợp.
Trọng số chính xác đối với nhiệt độ được xác định theo lưu lượng khối lượng (trọng số là tích của khối lượng riêng và vận tốc) và trọng số đối với hàm lượng O2 trong khói được xác định theo lưu lượng thể tích (trọng số là vận tốc).
Ưu tiên thực hiện đo đồng thời vận tốc, hàm lượng O2, áp suất và nhiệt độ tại tất cả các điểm trong lưới lấy mẫu để xác định chính xác trọng số lưu lượng khi tính toán nhiệt độ khói.
Trường hợp không thể thực hiện đo đồng thời vận tốc với nhiệt độ và hàm lượng O2 trong khói thì cho phép sử dụng trọng số vận tốc cho cả hai trường hợp xác định nhiệt độ và hàm lượng O2 trong khói.
4.3.5.1 Áp dụng trọng số lưu lượng
Trọng số lưu lượng được áp dụng khi xác định được có sự phân tầng rõ rệt trong dòng khói thông qua việc khảo sát sơ bộ nhiệt độ và vận tốc qua tiết diện ngang của kênh dẫn khói.
Với dữ liệu nhiệt độ từ lưới đo, có thể sử dụng tỷ lệ nhiệt độ tuyệt đối để tính gần đúng trọng số vận tốc theo công thức sau:
|
| (5) |
Nếu chênh lệch giữa nhiệt độ có trọng số và không có trọng số (∆T) được tính toán bằng cách sử dụng giá trị gần đúng này vượt quá 1 °C (nghĩa là, mức ước tính độ không đảm bảo hệ thống vượt quá 2 °C, xem 7.5.3.3), thì các bên tham gia thí nghiệm có thể xem xét có cần thực hiện khảo sát sơ bộ vận tốc qua tiết diện ngang để làm căn cứ quyết định xem có sử dụng trọng số lưu lượng hay không.
Khi thực hiện khảo sát sơ bộ vận tốc qua tiết diện ngang, từ tỷ lệ vận tốc
có thể xác định mức chênh lệch giữa giá trị trung bình có trọng số lưu lượng và giá trị trung bình không có trọng số như sau:
|
| (6) |
|
| (7) |
trong đó: ABS là hàm giá trị tuyệt đối, chỉ số FW dùng để chỉ giá trị trung bình có trọng số và UW dùng để chỉ giá trị trung bình không có trọng số.
Các mức chênh lệch này đưa ra mức ước tính độ không đảm bảo hệ thống do không tính trọng số lưu lượng. Từ đó các bên tham gia thí nghiệm có thể xem xét xử lý theo các trường hợp sau:
(a) nếu ∆T nhỏ hơn 1,5 °C hoặc ∆O2 nhỏ hơn 0,2% thì không cần sử dụng trọng số lưu lượng.
(b) nếu ∆T lớn hơn 1,5 °C hoặc ∆O2 lớn hơn 0,2%, thì phải thực hiện ít nhất ba lần khảo sát hoàn chỉnh qua tiết diện ngang để kiểm tra. Nếu khẳng định có sự biến thiên vận tốc trong kênh dẫn thì các bên tham gia thí nghiệm phải quyết định xem có sử dụng trọng số lưu lượng để tính toán hay không.
4.3.5.2 Phương pháp trọng số lưu lượng
Trọng số lưu lượng được xác định bằng một trong các phương pháp sau:
a) Sử dụng các giá trị trọng số vận tốc sơ bộ theo công thức (5) từ các phép đo thí nghiệm đối với nhiệt độ hoặc hàm lượng oxy.
b) Đo nhiệt độ, vận tốc và hàm lượng O2 qua từng điểm của lưới đo trong quá trình thí nghiệm.
Để giảm thiểu sai số trong các giá trị trung bình được tính toán từ dữ liệu đo khi thực hiện đồng thời các phép đo vận tốc, nhiệt độ và hàm lượng O2 trong một chế độ thí nghiệm cần áp dụng các quy tắc sau:
(a) Phải thực hiện tối thiểu ba lần đo hoàn chỉnh qua tiết diện ngang trong mỗi chế độ thí nghiệm.
(b) Trọng số lưu lượng đối với hàm lượng O2 chỉ được xem xét nếu ∆O2 lớn hơn 0,2% và có tối thiểu 3 lần đo hoàn chỉnh qua tiết diện ngang được thực hiện trong chuỗi đo nghiệm.
(c) Các giá trị ∆T và ∆O2 phải là giá trị lặp lại trong các chế độ thí nghiệm. Nếu xuất hiện giá trị ∆T hoặc ∆O2 trong bất kỳ lần đo nào qua tiết diện ngang sai lệch quá 33% so với giá trị trung bình của các lần đo, thì dữ liệu của lần đo đó phải bị loại bỏ.
Trong mỗi chế độ thí nghiệm, đầu dò vận tốc phải được đặt tại một điểm cố định ở vị trí mà vận tốc, nhiệt độ và hàm lượng O2 đều xấp xỉ bằng giá trị trung bình. Vận tốc, nhiệt độ và hàm lượng O2 tại điểm này phải được ghi lại với cùng tần suất như tại các điểm đo qua tiết diện ngang (nghĩa là, dữ liệu phải được ghi lại ngay mỗi khi thực hiện ghi dữ liệu tại bất kỳ điểm đo nào qua tiết diện ngang).
Số lượng lớn dữ liệu thu thập được đối với một điểm đo có thể sử dụng để ước tính sai số ngẫu nhiên của giá trị trung bình có trọng số, như mô tả trong 5.2.4.2 và 7.4.1.3.
4.3.6 Xác định độ không đảm bảo hệ thống do ảnh hưởng của các phép đo
Tổng độ không đảm bảo hệ thống liên quan đến một phép đo cụ thể là kết quả của một số độ không đảm bảo hệ thống khác nhau trong hệ thống đo. Quy trình kết hợp các độ không đảm bảo hệ thống được trình bày trong 7.5.
Đối với từng thông số đo trong chương trình thí nghiệm, phải xác định tất cả các nguồn có thể gây ra sai số hệ thống liên quan đến thông số đó.
Tất cả các thành phần của hệ thống đo phải được xem xét để ước tính độ không đảm bảo hệ thống của từng thành phần, sau đó phải được kết hợp thành một giá trị duy nhất đối với thông số cần đo.
Để ước tính độ không đảm bảo hệ thống của một phép đo cần phải đánh giá tất cả các thành phần của hệ thống đo lường, được liệt kê trong các bảng từ Bảng 17 đến Bảng 21.
Ngoài ra, có thể tham khảo các tài liệu khác về các giá trị điển hình của độ không đảm bảo hệ thống như ASME MFC-3M về Đo lưu lượng môi chất trong đường ống sử dụng tấm tiết lưu, vòi phun, và ống Venturi; ASME PTC 19.2 về Đo áp suất; ASME PTC 19.3 về Đo nhiệt độ; TCVN 8113 (ISO 5167) Về Đo dòng lưu chất bằng thiết bị chênh áp gắn vào ống dẫn có mặt cắt ngang tròn chảy đầy và thông số kỹ thuật của nhà sản xuất thiết bị.
Bảng 17 - Độ không đảm bảo hệ thống tiềm ẩn của phương tiện đo lường
| Phương tiện đo lường | Độ không đảm bảo hệ thống [xem chú thích (1)] |
| Phương tiện thu thập dữ liệu | Xem chú thích (2) |
| Bộ ghi dữ liệu kỹ thuật số | Không đáng kể |
| Máy tính điều khiền nhà máy | +0,1% |
| Đồng hồ đo nhiệt độ cầm tay | ±0,25% |
| Đo điện áp cầm tay (bao gồm bộ nối so sánh) | ±0,25% |
| Phương tiện đo nhiệt độ | Xem chú thích (3) |
| Cặp nhiệt điện | ... |
| Hiệu chuẩn theo NIST | Chú thích (4) |
| Kiểu E loại cao cấp | ... |
| 0 °C - 315 °C | ±1 °C |
| 315 °C - 870 °C | ±0,4% |
| Kiểu K loại cao cấp | ... |
| 0 °C - 275 °C | +1 °C |
| 275 °C - 1260 °C | ±0,4% |
| Kiểu E loại tiêu chuẩn | ... |
| 0 °C - 315 °C | ±1,5 °C |
| 315 °C - 870 °C | +0,5% |
| Kiểu K loại tiêu chuẩn | ... |
| 0 °C - 275 °C | ±2 °C |
| 275 °C - 1260 °C | ±0,8% |
| Nhiệt kế điện trở (RTD) | ... |
| Hiệu chuẩn theo NlST | Xem chú thích (4) |
| 0 °C | ±0,03% |
| 100 °C | ±0,08% |
| 200 °C | ±0,13% |
| 300 °C | ±0,18% |
| 400 °C | ±0,23% |
| 500 °C | ±0,28% |
| 600 °C | ±0,33% |
| 700 °C | ±0,38% |
| Đồng hồ đo nhiệt độ | ±2% khoảng đo |
| Nhiệt kế thủy ngân trong ống thủy tinh | ±0,5 vạch chia độ |
| Phương tiện đo áp suất | Xem chú thích (5) |
| Áp kế đàn hồi | ... |
| Loại áp kế kiểm tra | ±0,25% khoảng đo |
| Loại tiêu chuẩn | ±1% khoảng đo |
| Áp kế cột chất lỏng | ±0,5 vạch chia độ |
| Cảm biến áp suất và bộ chuyển đổi áp suất | ... |
| Loại có độ chính xác cao | ±0,1% khoảng đo |
| Loại tiêu chuẩn | ±0,25% khoảng đo |
| Khí áp kế hộp | ±1,25 mmHg |
| Áp kế trạm khí tượng | Xem chú thích (6) |
| Phương tiện đo vận tốc | ... |
| Ống pitot tiêu chuẩn | ... |
| Đã hiệu chuẩn | ±5% [Xem chú thích (7)] |
| Chưa hiệu chuẩn | ±8% [Xem chú thích (7)] |
| Ống pitot kiểu chữ S | ... |
| Đã hiệu chuẩn | ±5% [Xem chú thích (7)] |
| Chưa hiệu chuẩn | ±8% [Xem chú thích (7)] |
| Đầu dò 3 lỗ | ... |
| Đã hiệu chuẩn | ±2% [Xem chú thích (7)] |
| Chưa hiệu chuẩn | ±4% [Xem chú thích (7)] |
| Phong tốc kế dây nhiệt | ±10% |
| Tốc kế tuabin (chong chóng gió) | ±2% |
| Phương tiện đo lưu lượng (Không khí và khói) | ... |
| Ống pitot đa điểm (ống sáo) (trong dài đo) | ... |
| Đã hiệu chuẩn và đã kiểm định (đầu dò vận tốc định hướng) | +5% |
| Đã hiệu chuẩn với kiểu chữ S hoặc tiêu chuẩn | ±10% |
| Chưa hiệu chuẩn và đã kiểm định | ±8% |
| Chưa hiệu chuẩn và chưa kiểm định | ±20% |
| Dạng cánh khí động (airfoil) | ... |
| Đã hiệu chuẩn | ±5% |
| Chưa hiệu chuẩn | ±20% |
| Phương tiện đo lưu lượng (Hơi và nước) | Xem chú thích (8) |
| Vòi phun đo lưu lượng | ... |
| ASME PTC 6 (có chỉnh dòng) | ... |
| Đã hiệu chuẩn và đã kiểm định | ±0,25% |
| Chưa hiệu chuẩn và đã kiểm định | ±0,75% |
| Chưa hiệu chuẩn và chưa kiểm định | ±2% |
| Có lỗ lấy áp trên ống | ... |
| Đã hiệu chuẩn và đã kiểm định | ±0,50% đối với hơi ±0,40% đối với nước |
| Chưa hiệu chuẩn và đã kiểm định | ±2,2% đối với hơi ±2,1% đối với nước |
| Chưa hiệu chuẩn và chưa kiểm định | Lắp đặt mới: như trên Đang hoạt động: có thể thay đổi |
| Ống Venturi | ... |
| Có lỗ lấy áp trên cổ đo | ... |
| Đã hiệu chuẩn và đã kiểm định | ±0,50% hơi ±0,40% nước |
| Chưa hiệu chuẩn và đã kiểm định | ±1,2% đối với hơi ±1,1% đối với nước |
| Chưa hiệu chuẩn và chưa kiểm định | Lắp đặt mới: như trên Đang hoạt động: có thể thay đổi |
| Tấm tiết lưu | Xem chú thích (9) |
| Đã hiệu chuẩn và đã kiểm định | ±0,50% hơi ±0,40% nước |
| Chưa hiệu chuẩn và đã kiểm định | ±0,75% hơi ±0,70% nước |
| Chưa hiệu chuẩn và chưa kiểm định | Lắp đặt mới: như trên Đang hoạt động: có thể thay đổi |
| Tấm tràn | ±5% |
| Van xả | ±15% |
| Lưu lượng kế Coriolis (cho chất lỏng) | ±0,1% |
| Phương tiện đo lưu lượng nhiên liệu lỏng (Hiệu chuẩn) | ... |
| Lưu lượng kế | ... |
| Kiểu thể tích | ±0,5% |
| Kiểu tuabin | ±0,5% |
| Tấm tiết lưu (cho ống lớn, chưa hiệu chuẩn) | ±1,0% |
| Kiểu Coriolis | ±0,1% |
| Thùng cân | ±1% |
| Thùng đo thể tích | ±4% |
| Phương tiện đo lưu lượng nhiên liệu khí | Xem chú thích (9) |
| Lưu lượng kế kiểu tấm tiết lưu | ... |
| Đã hiệu chuẩn và đã kiểm định | ±0,5% |
| Chưa hiệu chuẩn và đã kiểm định | ±2% |
| Chưa hiệu chuẩn và chưa kiểm định | ±0,75% |
| Lưu lượng kế kiểu tuabin | ... |
| Không tự điều chỉnh | ±1,0% |
| Tự điều chỉnh | ±0,75% |
| Lưu lượng kế kiểu Coriolis | ±0,35% |
| Phương tiện đo lưu lượng nhiên liệu rắn và chất hấp thụ | ... |
| Máy cấp liệu kiểu trọng lực | ... |
| Được hiệu chuẩn bằng thùng cân | +2% |
| Hiệu chuẩn bằng quả cân chuẩn | ±5% |
| Chưa được hiệu chuẩn | ±10% |
| Máy cấp liệu kiểu thể tích | ... |
| Băng tải | ... |
| Được hiệu chuẩn bằng thùng cân | ±3% |
| Chưa được hiệu chuẩn | ±15% |
| Vít tải, van xoay, v.v. | ... |
| Được hiệu chuẩn bằng thùng cân | ±5% |
| Chưa được hiệu chuẩn | ±15% |
| Thùng cân |
|
| Cân khối lượng | ±5% |
| Đo biến dạng | ±8% |
| Đo mức | ±10% |
| Máy đo va đập | ±10% |
| Phương tiện đo lưu lượng tro xỉ | ... |
| Lấy mẫu bụi đẳng tốc | ±10% |
| Thùng cân | ... |
| Cân khối lượng | ±5% |
| Đo biến dạng | ±8% |
| Đo mức | ±20% |
| Vít tải, van xoay, v.v. | ... |
| Được hiệu chuẩn bằng thùng cân | ±5% |
| Chưa được hiệu chuẩn | ±15% |
| Phân bố giả định (tro đáy/tro bay) | 10% tổng lượng tro |
| Thiết bị lấy mẫu nhiên liệu rắn và chất hấp thụ | Xem Bảng 18 và Bảng 19 |
| Lấy mẫu từ băng tải đang dừng | ±0% |
| Cắt toàn bộ dòng | ≥1% |
| Ống rút mẫu | ≥ 2% |
| Lấy mẫu theo thời gian trễ | ≥ 5% |
| Thiết bị lấy mẫu nhiên liệu lỏng và khí | Xem Bảng 20 và Bảng 21 |
| Thiết bị lấy mẫu khói | ... |
| Lấy từng điểm cắt ngang qua tiết diện | Xem Phần 7 |
| Lưới hỗn hợp | Xem Phần 7 |
| Thiết bị xác định carbon chưa cháy hết trong tro xỉ | Xem chú thích (10) |
| Lấy mẫu bụi đẳng tốc | ±5% |
| Ống rút mẫu | ±200% |
| Tro đáy | ±50% |
| Tro xả lớp sôi | ±20% |
| Thiết bị vận chuyển và tồn trữ nhiên liệu | -10% độ ẩm |
| Vận chuyển và tồn trữ đá vôi | +5% độ ẩm |
| Tro xỉ | 0 |
| Thiết bị phân tích khói thải | ... |
| Thiết bị phân tích oxy | ... |
| Thiết bị phân tích điện tử liên tục | ±1,0% khoảng đo |
| Thiết bị phân tích Orsat | ±0,2 điểm |
| Thiết bị phân tích cầm tay | ±5% giá trị chỉ thị ±2% khoảng đo |
| Thiết bị được hiệu chuẩn theo không khí | ... |
| Thiết bị được hiệu chuẩn theo khí hiệu chuẩn | ... |
| Thiết bị phân tích carbon monoxit | ... |
| Thiết bị phân tích điện tử liên tục | ±20 ppm |
| Thiết bị phân tích Orsat | ±0,2 điểm |
| Thiết bị phân tích lưu huỳnh đioxit | ... |
| Thiết bị phân tích điện tử liên tục | ±10 ppm |
| Thiết bị phân tích điện tử quan trắc phát thải liên tục | ±50 ppm |
| Thiết bị phân tích nitơ ôxit | ... |
| Phát quang hóa học | ±20 ppm |
| Máy phân tích điện tử quan trắc phát thải liên tục | ±50 ppm |
| Thiết bị phân tích Hydrocarbon | ... |
| Đầu dò ion hóa ngọn lửa | ±5% |
| Phương tiện đo điện năng | Xem chú thích (11) |
| Đo điện áp hoặc dòng điện |
|
| Máy biến dòng (CT), Cấp A/B | 0,3% |
| Máy biến áp (VT), Cấp A/B | 0,3% |
| Kìm đo điện năng | 2% |
| Đo oát | ... |
| Oát kế, Cấp C | 0,5% |
| Phương tiện đo độ ẩm | ... |
| Ẩm kế (Hygrometer) | 2% RH |
| Ẩm kế khô ướt (Sling psychrometer) | 0,5 vạch chia độ |
| Thiết bị đo tại trạm khí tượng | Xem chú thích (6) |
| CHÚ THÍCH: (1) Tất cả các độ không đảm bảo hệ thống đều là phần trăm giá trị chỉ thị, trừ khi có ghi chú khác. (2) Đối với cặp nhiệt điện, sai số có thể xảy ra tùy thuộc vào phương pháp hiệu chỉnh đối với đầu tự do cặp nhiệt. Ngoài ra, thuật toán chuyển đổi milivôn của cặp nhiệt điện thành nhiệt độ cũng có thể gây ra sai số. (3) Xem ASME PTC 19.3 Đo nhiệt độ, về khả năng áp dụng. (4) Phương tiện đo hiệu chuẩn theo NIST (Viện Tiêu chuẩn và Công nghệ Quốc gia Hoa Kỳ) có độ không đảm bảo hệ thống bằng độ chính xác của thiết bị hiệu chuẩn. Các độ không đảm bảo hệ thống này không bao gồm độ lệch. (5) Xem ASME PTC 19.2 Đo áp suất, về khả năng áp dụng. (6) Phải hiệu chỉnh theo độ cao và khoảng cách từ trạm khí tượng. (7) Những độ không đảm bảo hệ thống này bao gồm các lỗi do người dùng gây ra như vị trí của đầu dò. (8) Hiệu chuẩn theo số Reynolds thí nghiệm hoặc sử dụng vòi phun ASME PTC 6 để ngoại suy. Đối với các thiết bị chưa hiệu chuẩn, hệ số dòng chảy và độ không đảm bảo có thể được tính toán theo ASME PTC 19.5. (9) Độ không đảm bảo của lỗ tiết lưu chưa hiệu chỉnh thường không lớn hơn tỷ lệ beta (d/D). (10) Cần giảm thiểu hàm lượng carbon của tất cả các dòng phân bố tro xỉ. (11) Xem ASME PTC 19.6L Các phép đo điện trong mạch điện, về khả năng áp dụng. | |
Tiêu chuẩn này không quy định bắt buộc phải áp dụng bất kỳ giá trị cụ thể nào đối với độ không đảm bảo hệ thống, mà các giá trị đó phải được các bên tham gia thí nghiệm đồng thuận.
Khi xác định các thông số bằng cách ước tính (thay vì đo lường) thì các giá trị ước tính và độ không đảm bảo hệ thống phải được các bên tham gia thí nghiệm đồng thuận. Các giá trị ước tính phải đảm bảo không vượt quá các giới hạn trên và giới hạn dưới, đồng thời phải tuân theo các nguyên tắc vật lý đã được thừa nhận.
Bảng 18 - Độ không đảm bảo hệ thống tiềm ẩn khi xác định các đặc tính của than
| Đặc tính của than | Quy trình phân tích | Độ không đảm bảo hệ thống | Ghi chú |
| Lấy mẫu | ASTM D2234 | ±10% hàm lượng tro | < 5% tro ±0,5%
|
| ±2% các thành phần khác | ... | ||
| Chuẩn bị mẫu | ASTM D2013 | Không | ... |
| Độ ẩm, theo mẫu khô trong không khí | ASTM D3302 | ±0,31% than bitum | ... |
| ±0,33% than á bitum | ... | ||
| Hàm lượng tro | ASTM D3174 | ±0,15% than bitum không có carbonat | ... |
| ±0,25% than á bitum có carbonat | ... | ||
| ± 0,5% >12% tro có carbonat và pyrit | ... | ||
| Thành phần công nghệ | ASTM D5142 | Độ ẩm = 0,12 + 0,017 X | Phương pháp tự động |
| Độ tro = 0,07+ 0,0115 X | ... | ||
| Chất bốc = 0,31+0,0235 X | ... | ||
| Tổng độ ẩm | ASTM D3173 | ±0,15% đối với nhiên liệu có độ ẩm < 5% | ... |
|
|
| ±0,25% đối với nhiên liệu có độ ẩm > 5% |
|
| Carbon | ASTM D5373 | ±1,25% (1 -%H20/100) [Xem chú thích (1)] | >100 mg mẫu
|
| Hydro | ASTM D5373 | ±0,15% (1 - %H2O/100) [Xem chú thích (1)] | >100 mg mẫu |
| Nitơ | ASTM D5373 | ±0,09% (1 - %H2O/100) | >100 mg mẫu Phương pháp B |
| Lưu huỳnh | ASTM D3179 | ±0,205 x- 0,13 | ... |
|
| ASTM D4239 | ±0,05% than bitum | ... |
|
|
| ±0,07% than á bitum | ... |
|
| ASTM D3177 | ±0,5% đối với nhiên liệu có lưu huỳnh< 2% | ... |
|
|
| ±0,1% đối với nhiên liệu có lưu huỳnh > 2% | ... |
| Nhiệt trị cao (HHV) | ASTM D5865 | ±160 kJ/kg mẫu khô: than antraxit/than bitum | ... |
|
|
| ±135 kJ/kg mẫu khô: than á bitum/than non | ... |
| Chuyển đổi kết quả phân tích sang các trạng thái khác nhau | ASTM D3180 | Không | ... |
Bảng 19 - Độ không đảm bảo hệ thống tiềm ẩn khi xác định các đặc tính của đá vôi
| Đặc tính của than | Quy trình phân tích | Độ không đảm bảo hệ thống | Ghi chú |
| Các thành phần đá vôi
| ASTM C25
| Canxi oxit: ±0,16%
| Phương pháp thí nghiệm 31 |
|
|
| Magie oxit: ±0,11%
| Phương pháp thí nghiệm 31 |
|
|
| Độ ẩm tự do: ±10% giá trị | ... |
|
|
| Chất trơ vì các nguyên nhân khác nhau: ±5,0% giá trị | ... |
| Lấy mẫu | Xem 4.8.2 | ±2,0% lấy mẫu bằng ống rút |
|
|
|
| ±5,0% lấy mẫu bằng cách khác | ... |
| CHÚ THÍCH: (a) Tất cả các độ không đảm bảo hệ thống là giá trị tuyệt đối trừ khi có chỉ định khác. (b) Độ ẩm tự do, độ trơ và độ không đảm bảo hệ thống của việc lấy mẫu là các giá trị đề xuất. | |||
Bảng 20 - Độ không đảm bảo hệ thống tiềm ẩn khi xác định các đặc tính của dầu nhiên liệu
| Đặc tính của dầu nhiên liệu | Quy trình phân tích | Độ không đảm bảo hệ thống | Ghi chú | |||||||||||||||||||||
| Lấy mẫu | TCVN 6777 | ±0,5% đối với nhiều mẫu | ... | |||||||||||||||||||||
| ASTM D4057 | ±1% đối với một mẫu | ... | ||||||||||||||||||||||
|
|
| ±2% đối với phân tích của nhà cung cấp | ... | |||||||||||||||||||||
| Tỷ trọng API | TCVN 6594 | ±0,25 API đối với dầu đục (dầu nặng) | ... | |||||||||||||||||||||
|
| ASTM D1298 | ±0,15 API đối với dầu trong (chưng cất) | ... | |||||||||||||||||||||
|
|
| ±5 API nếu ước tính | ... | |||||||||||||||||||||
| Hàm lượng nước | TCVN 2692 | ±0,1% đối với dầu chứa < 1% nước | ... | |||||||||||||||||||||
|
| ASTM D95 | ±5% giá trị đo được đối với dầu chứa > 1% nước | ... | |||||||||||||||||||||
| Độ tro | TCVN 2690 | ±0,003% đối với dầu chứa <0,08% tro | ... | |||||||||||||||||||||
|
| ASTM D482 | ±0,012% đối với dầu chứa 0,08% - 0,18% tro | ... | |||||||||||||||||||||
| Lưu huỳnh | ASTM D1552 |
| ... | |||||||||||||||||||||
| Carbon | ASTM D5291 | ±(x + 48.48) 0,009 [xem chú thích (1)] | ... | |||||||||||||||||||||
|
| ASTM D5373 |
| ... | |||||||||||||||||||||
| Hydro | ASTM D5291 | ±(x0,5) 0,1157 [Xem chú thích (1)] | ... | |||||||||||||||||||||
| Nitơ | ASTM D5291 | ±0,23 | Báo cáo đến 0,00 | |||||||||||||||||||||
|
| ASTM D3228 | ±0,095 N0,5 | ... | |||||||||||||||||||||
| Nhiệt trị | ASTM D240 | 200 kJ/kg | ... | |||||||||||||||||||||
|
| ASTM D4809 | ±115 kJ/kg, cho tất cả các nhiên liệu | ... | |||||||||||||||||||||
|
|
| ±120 kJ/kg, nhiên liệu không bay hơi | ... | |||||||||||||||||||||
|
|
| ±100 kJ/kg, nhiên liệu bay hơi | ... | |||||||||||||||||||||
| CHÚ THÍCH: Tất cả các độ không đảm bảo hệ thống là giá trị tuyệt đối trừ khi có chỉ định khác. (1) Ước tính dựa trên độ lặp lại. | ||||||||||||||||||||||||
Bảng 21 - Độ không đảm bảo hệ thống tiềm ẩn khi xác định các đặc tính của khí đốt thiên nhiên
| Khí đốt thiên nhiên | Quy trình phân tích | Độ không đảm bảo hệ thống | Ghi chú | ||||||||||||
| Lấy mẫu | ASTM D5287 | ±0,5% đối với nhiều mẫu | ... | ||||||||||||
|
|
| ±1,0% đối với một mẫu | ... | ||||||||||||
|
|
| ±2,0% đối với phân tích của nhà cung cấp | ... | ||||||||||||
|
|
| Phân tích trực tuyến: sử dụng theo thông số kỹ thuật của nhà cung cấp |
| ||||||||||||
| Các thành phần của khí | TCVN 9794 |
|
| ||||||||||||
|
| ASTM D1945 | ... | |||||||||||||
|
|
| ... | |||||||||||||
|
|
| ... | |||||||||||||
|
|
| ... | |||||||||||||
|
|
| ... | |||||||||||||
| Nhiệt trị cao, theo tính toán | TCVN 12553 | Không | Dao động theo các thành phần | ||||||||||||
| ASTM D3588 |
| ||||||||||||||
| Nhiệt trị cao | ASTM D182 | 0,3% - 0,55% | ... | ||||||||||||
| CHÚ THÍCH: Tất cả các độ không đảm bảo hệ thống là giá trị tuyệt đối trừ khi có chỉ định khác. | |||||||||||||||
4.4 Đo nhiệt độ
4.4.1 Yêu cầu chung
Các phương tiện đo nhiệt độ [cặp nhiệt điện (TC), nhiệt kế điện trở (RTD), nhiệt kế giãn nở chất rắn hoặc nhiệt kế thủy ngân] đưa ra các chỉ số có thể đọc trực tiếp hoặc các tín hiệu có thể đọc được bằng thiết bị đo cầm tay hoặc thiết bị ghi dữ liệu.
Các thiết bị đo dữ liệu phải được lắp đặt sao cho có thể đạt được trạng thái cân bằng nhiệt trong môi trường thực hiện phép đo. Cáp tín hiệu của cặp nhiệt điện phải được đặt ở vị trí không song song với cáp nguồn điện để tránh gây nhiễu từ nguồn điện.
Tham khảo ASME PTC 19.3 để có thêm thông tin về các kỹ thuật đo nhiệt độ.
4.4.2 Độ không đảm bảo hệ thống đối với phép đo nhiệt độ
Khi ước tính độ không đảm bảo hệ thống của phép đo nhiệt độ phải xem xét các yếu tố có thể ảnh hưởng đến độ không đảm bảo hệ thống được liệt kê dưới đây:
(a) Chủng loại cặp nhiệt điện
(b) Chủng loại nhiệt kế điện trở
(c) Tình trạng hiệu chuẩn
(d) Cáp tín hiệu
(e) Vị trí, dạng hình học và tình trạng của ống đo nhiệt độ (thermowell)
(f) Mối hàn tấm đệm tiếp xúc (có bảo ôn / không có bảo ôn)
(g) Tính chất phân tầng của dòng chảy môi chất
(h) Kích thước lưới đo
(i) Vị trí đặt lưới đo
(j) Điều kiện môi trường xung quanh tại các điểm nối
(k) Điều kiện môi trường xung quanh đồng hồ đo
(l) Các điểm nối trung gian
(m) Tạp nhiễu điện
(n) Dẫn nhiệt và bức xạ nhiệt
(o) Điện thế kế / vôn kế
(p) Độ chính xác của đầu tự do cặp nhiệt
(q) Độ trôi
(r) Tính phi tuyến của nhiệt kế
(s) Sai số đọc
Cần lưu ý rằng không phải tất cả các yếu tố đều được liệt kê trên đây, đồng thời có một số yếu tố được liệt kê nhưng có thể không áp dụng được cho tất cả các phép đo. Các yếu tố này cần được xem xét cùng với các yếu tố được liệt kê trong Bảng 17.
4.4.3 Đo nhiệt độ không khí và khói
Không khí và khói đi qua kênh dẫn có vận tốc, nhiệt độ và thành phần không đồng nhất, đặc biệt khi xảy ra nhiễu động dòng chảy (như tại các vị trí ngoặt dòng hoặc chuyển tiếp). Thực hiện lấy mẫu tại nhiều điểm hoặc cách sử dụng các phương pháp tính toán thích hợp cho phép giảm bớt độ không đảm bảo đối với nhiệt độ.
Do ảnh hưởng của sự phân tầng dòng không khí và khói trong kênh dẫn, phải thực hiện lấy mẫu tại nhiều điểm trên mặt phẳng vuông góc với dòng chảy để có được giá trị trung bình đại diện. Mặt phẳng đo phải được đặt cách xa các vị trí ngoặt dòng hoặc các vị trí thay đổi tiết diện của kênh dẫn. Nếu sự phân tầng xảy ra nghiêm trọng thì cần áp dụng trọng số lưu lượng khối lượng như mô tả trong 4.3.4 để giảm các sai số tiềm ẩn trong giá trị nhiệt độ trung bình.
4.4.3.1 Phương pháp đo
Giá trị trung bình của các mẫu đo từ nhiều điểm được xác định theo phương pháp trình bày trong 5.2.3.
Các điểm lấy mẫu phải được bố trí cụ thể và phải tuân thủ các quy tắc sau đây:
(a) Đối với kênh dẫn hình chữ nhật. Các kênh dẫn hình chữ nhật phải được phân chia để tạo thành một lưới đo có các vùng diện tích bằng nhau. Mẫu phải được lấy ở tâm của mỗi vùng diện tích bằng nhau. Đối với các kênh dẫn lớn hơn 0,8 m2, phải bố trí từ 4 đến 36 điểm lấy mẫu, tùy thuộc vào diện tích mặt cắt ngang của kênh dẫn. Mỗi vùng diện tích bằng nhau không được lớn hơn 0,8 m2. Trường hợp đã bố trí đủ 36 điểm đo thì các vùng diện tích bằng nhau được phép lớn hơn 0,8 m2. Không yêu cầu bố trí nhiều hơn 36 điểm đo trên mặt cắt ngang kênh dẫn.
Phải bố trí ít nhất là hai điểm đo trên mỗi chiều kích thước (chiều cao và chiều rộng) của mặt cắt ngang kênh dẫn. Trong các kênh dẫn có sự phân tầng rõ rệt cần bổ sung thêm các điểm đo theo phương có độ biến thiên lớn nhất.
Dạng hình học của các vùng diện tích bằng nhau phải là một trong những hình sau:
(1) Hình chữ nhật có tỷ lệ chiều cao và chiều rộng tương đương với tỷ lệ của mặt cắt ngang kênh dẫn, sao cho vùng chữ nhật đó đồng dạng với mặt cắt ngang, như thể hiện trong Hình 10 (a). Đây là phương pháp được ưu tiên.
(2) Hình chữ nhật bất kỳ, như thể hiện trong Hình 10 (b), gần với hình vuông hơn so với dạng hình học thể hiện trên Hình 10 (a).
(3) Hình vuông, như thể hiện trong Hình 10 (c).
Nếu hình dạng của vùng diện tích bằng nhau không phải là hình vuông thì kích thước của vùng diện tích bằng nhau phải tỷ lệ với kích thước của mặt cắt ngang. Nếu bố trí nhiều điểm đo hơn số lượng khuyến nghị, thì có thể bổ sung thêm các điểm đo mà không cần quan tâm đến tỷ lệ kích thước.
(b) Đối với kênh dẫn hình tròn. Các kênh dẫn hình tròn cần được chia thành các vùng diện tích bằng nhau không lớn hơn 0,8 m2. Cần bố trí từ 4 đến 36 điểm lấy mẫu (tùy thuộc vào diện tích mặt cắt ngang của kênh dẫn). Các bên tham gia thí nghiệm có thể thống nhất chia mặt cắt thành 4, 6 hoặc 8 khu vực. Vị trí của mỗi điểm lấy mẫu phải nằm ở trọng tâm của mỗi vùng diện tích bằng nhau. Vị trí của các điểm lấy mẫu này có thể được xác định theo phương pháp được đề xuất tại ví dụ trên Hình 11, trong đó thể hiện việc sử dụng 20 điểm đo và 4 khu vực. Mỗi khu vực phải bố trí ít nhất 1 điểm đo.
4.4.3.2 Ước tính độ không đảm bảo hệ thống
Ước tính độ không đảm bảo hệ thống từ một lưới đo nhiệt độ là sự kết hợp của các độ không đảm bảo hệ thống liên quan đến loại cảm biến và phần tử đo sơ cấp, phương pháp thu thập dữ liệu, kích thước lưới, phân bố nhiệt độ, phương pháp tính trung bình và trọng số lưu lượng. Các yếu tố tiềm ẩn có thể ảnh hưởng đến các độ không đảm bảo hệ thống này được mô tả trong 4.3 và 4.4.2. Các mô hình để ước lượng độ không đảm bảo hệ thống theo trọng số lưu lượng, kích thước lưới và phương pháp tính trung bình được đề xuất trong 7.5.
4.4.4 Đo nhiệt độ hơi và nước
Hơi và nước đi trong đường ống thường có sự phân bố nhiệt độ gần như đồng đều. Có thể xảy ra ngoại lệ trong đường ống hơi từ bộ giảm ôn, khi tác động của việc phun nước giảm ôn có thể gây ra sự không đồng đều về nhiệt độ.

| (a) Dạng hình học giống như mặt cắt ngang |
|

| (b) Gần với hình vuông hơn so với hình (a) |
|

(c) Hình vuông (a = b)
Hình 10 - Lưới lấy mẫu cho kênh dẫn hình chữ nhật

Công thức xác định vị trí các điểm trong kênh dẫn hình tròn:
![]()
Trong đó:
| n | là tổng số điểm |
| p | là số thứ tự điểm lấy mẫu. Được đánh số từ giữa kênh dẫn ra ngoài. |
|
| Tất cả bốn điểm trên cùng một đường tròn có cùng một số thứ tự. |
| R | là bán kính của kênh dẫn |
| rp | là khoảng cách từ tâm kênh dẫn đến điểm p |
CHÚ THÍCH:
(a) Các điểm trong hình là vị trí của ống lấy mẫu.
(b) rp có cùng đơn vị với R.
Ví dụ: Bán kính kênh dẫn là R; Tổng cộng 20 điểm; khoảng cách từ tâm đến điểm số 3 là r3.
![]()
Hình 11 - Lưới lấy mẫu cho kênh dẫn hình tròn
4.4.4.1 Phương pháp đo
Nhiệt độ hơi và nước được đo bằng cách đưa thiết bị cảm biến vào một ống đo nhiệt độ đặt trên đường ống dẫn. Ngoài ra, có thể lắp đặt các cặp nhiệt điện kiểu bề mặt xung quanh đường ống và phủ cách nhiệt, tuy nhiên phương pháp này thường làm tăng độ không đảm bảo của phép đo.
4.4.4.2 Ước tính độ không đảm bảo hệ thống
Ước tính độ không đảm bảo hệ thống của phép đo nhiệt độ là sự kết hợp của các độ không đảm bảo hệ thống liên quan đến loại cảm biến, các phần tử đo sơ cấp và phương pháp thu thập dữ liệu. Các yếu tố tiềm ẩn có thể ảnh hưởng đến các độ không đảm bảo hệ thống này được trình bày trong 4.3 và 4.4.2.
4.4.5 Đo nhiệt độ các dòng chất rắn
Các bên tham gia thí nghiệm phải quyết định xem nhiệt độ của các dòng chất rắn này sẽ là giá trị được ấn định hay giá trị phải đo. Nếu cần đo nhiệt độ thì phải đưa đầu dò nhiệt độ vào dòng chất rắn. Nhiệt độ trung bình của nhiều dòng chất rắn cần phải là giá trị có trọng số lưu lượng.
4.4.5.1 Phương pháp đo
Các vị trí đo và phương pháp đo sau đây phải được sử dụng:
Đối với nhiên liệu: đưa một dụng cụ đo nhiệt độ được cố định chắc chắn vào dòng nhiên liệu rắn đến vị trí gần nhất phía trước điểm mà không khí cấp một hoặc không khí vận chuyển được hòa trộn với nhiên liệu.
Đối với chất hấp thụ: đưa một dụng cụ đo nhiệt độ được cố định chắc chắn vào dòng chất hấp thụ rắn đến vị trí gần nhất phía trước điểm mà không khí vận chuyển được hòa trộn với chất hấp thụ hoặc hỗn hợp nhiên liệu và chất hấp thụ.
Đối với tro xỉ: tro xỉ mang theo trong dòng khói (tro bay) có thể được coi là có cùng nhiệt độ với khói tại điểm trích ra, riêng tro bay ở đầu ra bộ sấy không khí phải sử dụng nhiệt độ của khói ra khỏi bộ sấy không khí không bao gồm không khí rò lọt. Đối với tro xỉ thải ra từ lớp sôi trong lò hơi lớp sôi, có thể sử dụng nhiệt độ lớp sôi.. Trường hợp bộ làm nguội tro xỉ thải từ lớp sôi có thu hồi nhiệt và đưa nhiệt thu hồi ngược trở lại vào trong đường bao thí nghiệm thì phải đo nhiệt độ tro xỉ thải ra khỏi bộ làm nguội xỉ. Xem 5.14 về phương pháp ước tính nhiệt độ tro đáy. Khi cần đo nhiệt độ tro xỉ (ví dụ: tro xỉ rời khỏi ghi), thì phải đưa dụng cụ đo nhiệt độ được cố định chắc chắn vào từng đồng tro xỉ tại vị trí gần nhất với điểm tro xỉ rời khỏi đường bao thí nghiệm.
4.4.5.2 Ước tính độ không đảm bảo hệ thống
Ước tính độ không đảm bảo hệ thống từ phép đo nhiệt độ là sự kết hợp của các độ không đảm bảo hệ thống liên quan đến loại cảm biến, các phần từ đo sơ cấp và thiết bị thu thập dữ liệu. Các yếu tố tiềm ẩn có thể ảnh hưởng đến các độ không đảm bảo hệ thống này được trình bày trong 4.3 và 4.4.2. Trường hợp cần ấn định độ không đảm bảo hệ thống cho các thông số giả định thì phải chọn một giá trị lớn hơn so với giá trị được đo trực tiếp. Nếu lưu lượng khối lượng của nhiều dòng không xấp xỉ bằng nhau và nhiệt độ trung bình không tính trọng số lưu lượng thì phải ấn định giá trị độ không đảm bảo hệ thống cao hơn. Trường hợp có hiện tượng phân tầng trong dòng chất rắn thì phải xem xét yếu tố này khi ước lượng độ không đảm bảo hệ thống.
4.4.6 Đo nhiệt độ nhiên liệu lỏng và khí
Nhiên liệu lỏng hoặc khí đi trong đường ống dẫn thường có sự phân bố nhiệt độ gần như đồng đều.
4.4.6.1 Phương pháp đo
Dụng cụ đo nhiệt độ được nhúng vào dòng nhiên liệu ở phía dẫn vào lò hơi, tại vị trí gần nhất có thể với thiết bị đo lưu lượng. Nếu nhiên liệu được gia nhiệt bằng nguồn nhiệt bên ngoài lò hơi thì nhiệt độ đầu vào phải được đo sau bộ gia nhiệt này. Nếu nhiên liệu được gia nhiệt trực tiếp từ lò hơi thì nhiệt độ phải được đo trước bộ gia nhiệt.
4.4.6.2 Ước tính độ không đảm bảo hệ thống
Ước tính độ không đảm bảo hệ thống từ phép đo nhiệt độ là sự kết hợp của các độ không đảm bảo hệ thống liên quan đến loại cảm biến, phần từ đo sơ cấp và phương pháp thu thập dữ liệu. Các yếu tố tiềm ẩn có thể ảnh hưởng đến các độ không đảm bảo hệ thống này được trình bày trong 4.3 và 4.4.2.
4.5 Đo áp suất
4.5.1 Yêu cầu chung
Áp suất toàn phần là tổng của áp suất tĩnh và áp suất động. Sự thay đổi áp suất tĩnh được tính toán dựa trên trạng thái trung bình của môi chất và điều kiện môi trường xung quanh. Áp suất động được tính toán từ vận tốc và khối lượng riêng trung bình của mỗi chất. Xem 4.6 về phương pháp đo vận tốc. Phần này đề cập đến phép đo áp suất tĩnh.
4.5.2 Độ không đảm bảo hệ thống đối với phép đo áp suất
Khi ước tính độ không đảm bảo hệ thống của phép đo áp suất phải xem xét các yếu tố có thể ảnh hưởng đến độ không đảm bảo hệ thống được liệt kê dưới đây:
(a) Chủng loại đồng hồ đo áp suất
(b) Chủng loại áp kế cột chất lỏng (manometer)
(c) Chủng loại cảm biến
(d) Tình trạng hiệu chuẩn
(e) Vị trí ống lấy tín hiệu / dạng hình học / tác động của dòng chảy
(f) Thiết kế của đầu dò
(g) Tính chất phân tầng của dòng chảy môi chất
(h) Số lượng và vị trí điểm đo
(i) Cột chất lỏng
(j) Trọng lượng riêng của chất lỏng trong áp kế cột chất lỏng (manometer)
(k) Điều kiện môi trường xung quanh khu vực cảm biến
(l) Điều kiện môi trường xung quanh đồng hồ đo
(m) Độ trễ
(n) Tạp nhiễu điện
(o) Điện thế kế / vôn kế
(p) Độ trôi
(q) Tính phi tuyến của cảm biến
(r) Sai số đọc
Cần lưu ý rằng không phải tất cả các yếu tố đều được liệt kê trên đây, đồng thời có một số yếu tố được liệt kê nhưng có thể không áp dụng được cho tất cả các phép đo. Các yếu tố này cần được xem xét cùng với các yếu tố được liệt kê trong bảng 17.
4.5.3 Đo áp suất tĩnh và hiệu áp suất của dòng không khí và khói
Áp suất tĩnh trong kênh dẫn khói và dẫn không khí có thể phải đo để xác định mức tổn thất áp suất. Để giảm bớt độ không đảm bảo đo, tổn thất áp suất cần xác định bằng thiết bị đo hiệu áp suất thay vì dùng hai dụng cụ đo áp suất riêng biệt.
4.5.3.1 Phương pháp đo
Áp suất được đo bằng đồng hồ đo áp suất, áp kế cột chất lỏng hoặc bộ chuyển đổi áp suất. Các thiết bị này có thể hiển thị trực quan hoặc đưa ra các tín hiệu có thể đọc được bằng thiết bị đo cầm tay hoặc thiết bị ghi dữ liệu. Tham khảo ASME PTC 19.2 về kỹ thuật đo áp suất.
Các đầu kết nối áp suất tĩnh phải được lắp đặt sao cho có thể giảm thiểu sai số do tác động của vận tốc khí gây ra. Các phép đo phải được thực hiện tại nhiều vị trí bên trong hoặc xung quanh mặt phẳng cắt ngang kênh dẫn.
Đường ống dẫn tín hiệu phải được lắp đặt riêng cho thí nghiệm và phải đảm bảo không rò rỉ, có các điều kiện để làm sạch và xả nước ngưng. Các kết nối từ thiết bị đo đến ống lấy tín hiệu áp suất phải có độ dốc để cho phép nước ngưng chảy ngược vào kênh dẫn. Trường hợp không tạo được độ dốc thì phải có các biện pháp để xả đọng tại các vị trí có nước ngưng. Có thể sử dụng các biện pháp thông thổi ống để đảm bảo cho các đường ống dẫn tín hiệu áp suất được thông suốt bằng cách duy trì một dòng chảy liên tục với lưu lượng thấp.
4.5.3.2 Ước tính độ không đảm bảo hệ thống
Ước tính độ không đảm bảo hệ thống từ phép đo áp suất là sự kết hợp của các độ không đảm bảo hệ thống liên quan đến phần từ đo sơ cấp, ảnh hưởng của việc lắp đặt và phương pháp thu thập dữ liệu. Các yếu tố tiềm ẩn có thể ảnh hưởng đến các độ không đảm bảo hệ thống này được trình bày trong 4.3 và 4.5.2.
4.5.4 Đo áp suất tĩnh và hiệu áp suất của dòng hơi và nước
Có thể cần đo áp suất tĩnh trong đường ống dẫn hơi và nước để xác định đặc tính của môi chất hoặc hiệu áp suất. Để giảm bớt độ không đảm bảo đo, hiệu áp suất cần được xác định bằng thiết bị đo hiệu áp suất chuyên dụng thay vì sử dụng hai dụng cụ đo áp suất riêng biệt.
4.5.4.1 Phương pháp đo
Các thiết bị đo áp suất cần được bố trí sao cho có thể giảm thiểu ảnh hưởng của nhiệt độ và độ rung. Phải tuân thủ những nguyên tắc sau đây khi lắp đặt thiết bị đo áp suất:
(a) Các kết nối đo áp suất phải ngắn nhất có thể và phải là kết nối trực tiếp.
(b) Tất cả các kết nối đo áp suất phải không bị rò rỉ, có các điều kiện để làm sạch và xả nước ngưng.
(c) Các kết nối áp suất phải được định vị và lắp đặt chắc chắn để loại trừ ảnh hưởng của vận tốc.
(d) Các kết nối từ thiết bị đo đến ống lấy tín hiệu áp suất phải được làm sạch và cho phép nước ngưng điền đầy trong đường ống dẫn. Các cột nước ngưng phải được đưa vào tính toán.
4.5.4.2 Ước tính độ không đảm bảo hệ thống
Ước tính độ không đảm bảo hệ thống của phép đo áp suất là sự kết hợp của các độ không đảm bảo hệ thống liên quan đến loại phần tử đo sơ cấp, ống lấy tín hiệu và phương pháp thu thập dữ liệu. Các yếu tố tiềm ẩn có thể ảnh hưởng đến các độ không đảm bảo hệ thống này được trình bày trong 4.3 và 4.5.2.
4.5.5 Đo áp suất khí quyển
Áp suất khí quyển cần phải đo để xác định điều kiện môi trường xung quanh.
4.5.5.1 Phương pháp đo
Phương pháp ưu tiên để xác định áp suất khí quyển là bằng khí áp kế tại địa điểm thí nghiệm. Một phương pháp thay thế là sử dụng áp suất khí quyển (chưa được hiệu chỉnh theo mực nước biển) được báo cáo tại trạm khí tượng gần nhất. Cao độ nêu trong kết quả đo của trạm khí tượng và cao độ của địa điểm thí nghiệm phải được ghi lại và phải thực hiện các hiệu chỉnh đối với bất kỳ sự chênh lệch nào về cao độ.
4.5.5.2 Ước tính độ không đảm bảo hệ thống
Việc sử dụng khí áp kế hoặc thiết bị đo khác tại hiện trường được xem là có độ không đảm bảo hệ thống không đáng kể. Dữ liệu từ một trạm khí tượng được coi là dữ liệu kém chính xác nhất và nếu sử dụng thì cần phải ấn định một độ không đảm bảo hệ thống thích hợp.
4.6 Đo vận tốc qua tiết diện ngang
4.6.1 Yêu cầu chung
Đo vận tốc qua tiết diện ngang bao gồm các phép đo được thực hiện tại nhiều vị trí trong một mặt phẳng vuông góc với dòng chảy. Các phép đo này ít nhất phải bao gồm áp suất động, áp suất tĩnh và nhiệt độ, và có thể bao gồm cả các góc vectơ vận tốc. Tham khảo các 4.4 và 4.5 liên quan đến các phép đo nhiệt độ và áp suất về các hướng dẫn cụ thể.
Đầu dò được đưa vào kênh dẫn và thực hiện các phép đo tại một số vị trí tương ứng với tâm của các vùng có diện tích bằng nhau. Đầu dò thường là một trong số các loại cảm nhận được áp suất động và hiệu áp suất tạo bởi thành phần dọc theo trục kênh dẫn và thành phần vuông góc với nó. Tham khảo thêm các tiêu chuẩn ASME PTC 19.5 và ASME PTC 11 về các kỹ thuật đo vận tốc.
4.6.2 Độ không đảm bảo hệ thống đối với phép đo vận tốc qua tiết diện ngang
Khi ước tính độ không đảm bảo hệ thống của phép đo vận tốc qua tiết diện ngang phải xem xét các yếu tố có thể ảnh hưởng đến độ không đảm bảo hệ thống được liệt kê dưới đây:
(a) Loại đầu dò
(b) Tình trạng hiệu chuẩn
(c) Tính chất phân tầng của dòng môi chất
(d) Chế độ chảy rối / chảy tầng
(e) Độ lệch giữa mặt cắt ngang của ống đo và hướng của dòng chảy
(f) Độ lệch trục của ống đo và hướng của dòng chảy
(g) Kích thước lưới đo
(h) Vị trí lưới đo
(i) Điều kiện môi trường xung quanh tại địa điểm đo
(j) Sai số đọc
(k) Sai số áp suất
(l) Dao động áp suất theo thời gian
(m) Sai số nhiệt độ
Cần lưu ý rằng không phải tất cả các yếu tố đều được liệt kê trên đây, đồng thời có một số yếu tố được liệt kê nhưng có thể không áp dụng được cho tất cả các phép đo. Các yếu tố này cần được xem xét cùng với các yếu tố được liệt kê trong Bảng 17 và các yếu tố nêu trong 4.4.2 và 4.5.2.
4.6.3 Phương pháp đo
Các phép đo phải được thực hiện tại tâm của các vùng diện tích bằng nhau. Các điểm đo qua tiết diện ngang phải tương ứng với các điểm đo nhiệt độ hoặc hàm lượng 02.
4.6.4 Ước tính độ không đảm bảo hệ thống
Ước tính độ không đảm bảo hệ thống của phép đo vận tốc qua tiết diện ngang là sự kết hợp của các độ không đảm bảo hệ thống liên quan đến loại đầu dò, phương pháp đo và thu thập dữ liệu. Các yếu tố tiềm ẩn ảnh hưởng đến các độ không đảm bảo hệ thống này được trình bày trong 4.3 và 4.6.2.
4.7 Đo lưu lượng
4.7.1 Yêu cầu chung
Có nhiều phương pháp được sử dụng để xác định lưu lượng của các dòng chất rắn, chất lỏng hoặc chất khí. Tham khảo các tiêu chuẩn ASME PTC 19.5, ASME PTC 6 và TCVN 8113 (ISO 5167) Về các phép đo lưu lượng. Trường hợp cần xác định lưu lượng một dòng đơn lẻ bằng phương pháp đo vận tốc qua tiết diện ngang thì có thể tham khảo 4.6.
4.7.2 Độ không đảm bảo hệ thống đối với phép đo lưu lượng
Do lưu lượng thường được đo gián tiếp (nghĩa là sử dụng các giá trị hiệu áp suất, áp suất và nhiệt độ đo được), các dữ liệu đo được dùng để tính toán lưu lượng phải xét thêm các yếu tố có thể ảnh hưởng đến độ không đảm bảo hệ thống và tích hợp chúng vào độ không đảm bảo hệ thống của phép đo lưu lượng. Khi ước tính độ không đảm bảo hệ thống của phép đo lưu lượng phải xem xét các yếu tố có thể ảnh hưởng đến độ không đảm bảo hệ thống được liệt kê dưới đây:
(a) Các yếu tố tiềm ẩn có thể ảnh hưởng đến độ không đảm bảo hệ thống của phép đo lưu lượng:
(1) Tình trạng hiệu chuẩn của phần tử đo sơ cấp (ví dụ: tấm tiết lưu, vòi phun, ống Venturi, cánh khí động và các đầu dò cảm biến hiệu áp suất)
(2) Tính chất phân tầng của dòng môi chất
(3) Độ không đảm bảo hệ thống trong phép đo nhiệt độ
(4) Độ không đảm bảo hệ thống trong phép đo áp suất
(5) Điều kiện lắp đặt thiết bị đo
(6) Tình trạng của vòi phun hoặc tấm tiết lưu
(7) hiệu chỉnh (bù) áp suất
(8) Hiệu chỉnh (bù) nhiệt độ
(9) Hiệu chỉnh số Reynolds
(10) Vị trí đo
(11) Đặc tuyến của quạt/bơm
(12) Vị trí của van
(13) Độ chính xác / độ chênh lệch về cao độ
(14) Dữ liệu đầu vào / các phương trình tính toán cân bằng nhiệt
(15) Tấm tràn đo lưu lượng
(16) Vị trí ống lấy tín hiệu
(b) Các yếu tố ảnh hưởng đến độ không đảm bảo của lưu lượng kế kiểu Coriolis. Có thể đo trực tiếp tỷ trọng và lưu lượng khối lượng của môi chất bằng lưu lượng kế kiểu Coriolis. Các yếu tố ảnh hưởng đến độ không đảm bảo của lưu lượng kế kiểu Coriolis bao gồm:
(1) Đặc tính của môi chất
(2) Tỷ lệ rỗng
(3) Dòng chảy có bọt
(4) Xung ở tần số rung
(5) Ảnh hưởng của áp suất và nhiệt độ đến độ ổn định điểm không (zero stability)
Cần lưu ý rằng không phải tất cả các yếu tố đều được liệt kê trên đây, đồng thời có một số yếu tố được liệt kê nhưng có thể không áp dụng được cho tất cả các phép đo. Các yếu tố này cần được xem xét cùng với các yếu tố được liệt kê trong Bảng 17.
4.7.3 Đo lưu lượng không khí và khói
Tổng lưu lượng khối lượng của không khí và khói đi qua đường bao thí nghiệm lò hơi được tính toán theo cân bằng phản ứng cháy. Để tính toán năng lượng trong các dòng không khí hoặc khói đi qua đường bao thí nghiệm lò hơi, ngoài đo nhiệt độ, phải thực hiện đo lưu lượng của các dòng này.
4.7.3.1 Phương pháp đo
Có thể sử dụng nhiều phương pháp để đo lưu lượng không khí và khói thải (ví dụ: ống venturi, cánh khí động, đo vận tốc qua tiết diện ngang, cân bằng nhiệt, v.v.). Trường hợp sử dụng các thiết bị đo kiểm có sẵn tại nhà máy thì các thiết bị đó phải được hiệu chuẩn. Lưu lượng có thể được tính toán từ vận tốc (được đo theo 4.6), khối lượng riêng của môi chất và diện tích mặt cắt ngang của kênh dẫn.
4.7.3.2 Ước tính độ không đảm bảo hệ thống
Cách chính xác nhất để xác định lưu lượng của không khí hoặc khói trong hầu hết các ứng dụng là thông qua tính toán. Phép đo lưu lượng không khí và khói có sai số đáng kể nếu dòng chảy không vuông góc với mặt phẳng đo hoặc diện tích tiết diện của kênh dẫn không thể xác định chính xác do có vật cản bên trong kênh dẫn hoặc kích thước đo không chính xác. Ước tính độ không đảm bảo hệ thống của phép đo lưu lượng không khí hoặc khói là sự kết hợp của các độ không đảm bảo hệ thống liên quan đến phương pháp đo và thu thập dữ liệu. Các yếu tố tiềm ẩn có thể ảnh hưởng đến các độ không đảm bảo hệ thống này được trình bày trong 4.3 và 4.7.2.
4.7.4 Đo lưu lượng hơi và nước
Phương pháp đo lưu lượng được ưu tiên là sử dụng các phần tử đo lưu lượng đã được hiệu chuẩn và kiểm định như vòi phun ASME có có lỗ lấy chênh áp trước và sau điểm thắt tiết diện (xem ASME PTC 6) do vòi phun này có thể đo được lưu lượng dòng chảy có số Reynolds cao. Ngoài ra, có thể sử dụng các phần tử đo lưu lượng khác, với điều kiện phải được hiệu chỉnh theo các trị số Reynolds dự kiến gặp phải trong quá trình thí nghiệm.
Cho phép sử dụng tính toán cân bằng năng lượng để xác định lưu lượng nước phun giảm ôn cho bộ quá nhiệt, nhưng đối với lưu lượng nước phun giảm ôn cho bộ tái nhiệt thì phải đo trực tiếp.
4.7.4.1 Phương pháp đo
Các phương pháp dưới đây có thể được sử dụng để xác định lưu lượng hơi và nước:
(a) Đo lưu lượng bằng vòi phun, ống Venturi hoặc tấm tiết lưu. Phương pháp xác định lưu lượng bằng cách đo hiệu áp suất qua vòi phun, ống Venturi hoặc tấm tiết lưu là phương pháp chính xác nhất và cần ưu tiên sử dụng cho tất cả các phép đo lưu lượng quan trọng.
(b) Tính toán cân bằng năng lượng và cân bằng vật chất. Một số dòng chảy (như các dòng trích từ bộ tái nhiệt đến bộ gia nhiệt nước cấp, dòng phun nước giảm ôn của bộ quá nhiệt) có thể được định lượng bằng các tính toán cân bằng năng lượng. Phương pháp tính toán được trình bày trong 5.4. Các giá trị entanpi sử dụng để tính toán phải được xác định theo Bảng đặc tính hơi nước ASME với các giá trị áp suất và nhiệt độ được đo bằng thiết bị đo lường sử dụng trong thí nghiệm.
(c) Ước tính lưu lượng. Trong trường hợp việc xác định lưu lượng bằng bất kỳ phương pháp nào được liệt kê trên đây không khả thi thì có thể sử dụng các đặc tuyến dòng chảy liên quan đến lưu lượng đã biết hoặc căn cứ theo độ mở của van (ví dụ: lưu lượng hơi được ước tính theo áp suất trong giai đoạn khởi động, mức rò rỉ tuabin được ước tính dựa trên lưu lượng hơi chính, hoặc lưu lượng xả lò được ước tính dựa trên độ mở của van). Tất cả các bên tham gia vào thí nghiệm phải đồng thuận với phương pháp tính toán trước khi thí nghiệm và phải ấn định độ không đảm bảo thích hợp.
4.7.4.2 Ước tính độ không đảm bảo hệ thống
Ước tính độ không đảm bảo hệ thống của phép đo lưu lượng là sự kết hợp của các độ không đảm bảo hệ thống liên quan đến loại phần tử đo sơ cấp, loại cảm biến và phương pháp thu thập dữ liệu. Các yếu tố tiềm ẩn có thể ảnh hưởng đến các độ không đảm bảo hệ thống này được trình bày trong 4.3 và 4.7.2.
4.7.5 Đo lưu lượng nhiên liệu lỏng
Khi xác định hiệu suất lò hơi đốt dầu theo phương pháp cân bằng thuận cần đo lưu lượng khối lượng của nhiên liệu lỏng được đốt cháy.
4.7.5.1 Phương pháp đo
Lượng nhiên liệu có thể được xác định bằng các thiết bị đo lưu lượng, thùng cân hoặc thùng thể tích. Lưu lượng kế Coriolis có khả năng đo trực tiếp lưu lượng khối lượng và tỷ trọng, có độ chính xác cao và hầu như không bị ảnh hưởng bởi các thay đổi về các đặc tính của nhiên liệu lỏng (như khối lượng riêng, độ nhớt, chỉ số tỷ trọng API,...) và vận tốc dòng chảy. Lưu lượng kế Coriolis là phương pháp đo ưu tiên đối với nhiên liệu lỏng khi đánh giá hiệu suất theo phương pháp cân bằng thuận, vì phương pháp này không yêu cầu đo tỷ trọng và độ nhớt, đồng thời có thể loại bỏ những độ không đảm bảo liên quan đến việc xác định các đặc tính này, cũng như các sai số cố hữu của thiết bị.
Nếu sử dụng sự thay đổi mức trong bình thể tích để xác định lưu lượng, thì cần phải xác định tỷ trọng chính xác. Xem TCVN 6594 (ASTM D1298) Về quy trình xác định khối lượng riêng và chỉ số tỷ trọng API.
Sự tái tuần hoàn của nhiên liệu giữa điểm đo và điểm đốt phải được đo đạc và đưa vào tính toán lưu lượng. Các kết nối nhánh trên đường ống nhiên liệu phải được chặn bằng bích bịt hoặc lắp một cặp van khóa.
4.7.5.2 Ước tính độ không đảm bảo hệ thống
Ước tính độ không đảm bảo hệ thống của phép đo lưu lượng là sự kết hợp của các độ không đảm bảo hệ thống liên quan đến loại phần tử đo sơ cấp, loại cảm biến và cách thu thập dữ liệu. Các yếu tố tiềm ẩn có thể ảnh hưởng đến các độ không đảm bảo hệ thống này được trình bày trong 4.3 và 4.7.2.
4.7.6 Đo lưu lượng nhiên liệu khí
Khi xác định hiệu suất lò hơi đốt khí theo phương pháp cân bằng thuận cần đo lưu lượng của nhiên liệu khí được đốt cháy.
4.7.6.1 Phương pháp đo
Việc đo một thể tích tương đối lớn nhiên liệu khí trong quá trình thí nghiệm lò hơi yêu cầu phải sử dụng tấm tiết lưu, vòi phun đo lưu lượng, lưu lượng kế cơ khí, lưu lượng kế siêu âm hoặc lưu lượng kế Coriolis. Lưu lượng kế siêu âm và lưu lượng kế Coriolis mang lại độ chính xác cao. Lưu lượng kế Coriolis có khả năng đo trực tiếp lưu lượng khối lượng và tỷ trọng, hầu như không bị ảnh hưởng bởi các thay đổi về tỷ trọng, độ nhớt của khí và tốc độ dòng chảy.
Giáng áp phải được đo bằng thiết bị đo hiệu áp suất hoặc thiết bị chuyển đổi hiệu áp suất. Đầu ra từ các thiết bị này có thể được đọc thủ công, thông qua máy đo cầm tay hoặc bằng bộ ghi dữ liệu. Khi đo lưu lượng khí, nhiệt độ và áp suất được sử dụng để tính toán tỷ trọng là các thông số quan trọng. Các sai lệch nhỏ cũng có thể làm thay đổi đáng kể tỷ trọng tính toán của khí. Ngoài ra, hệ số siêu nén cũng có ảnh hưởng đáng kể đến việc xác định tỷ trọng khí.
4.7.6.2 Ước tính độ không đảm bảo hệ thống
Ước tính độ không đảm bảo hệ thống của phép đo lưu lượng là sự kết hợp của các độ không đảm bảo hệ thống phụ thuộc vào loại phần từ đo sơ cấp, loại cảm biến và phương thức thu thập dữ liệu. Các yếu tố tiềm ẩn có thể ảnh hưởng đến các độ không đảm bảo hệ thống này được trình bày trong 4.3 và 4.7.2. Ảnh hưởng của áp suất và nhiệt độ đến tỷ trọng khí phải được đánh giá ở các điều kiện vận hành trong thí nghiệm.
4.7.7 Đo lưu lượng nhiên liệu rắn và chất hấp thụ
Việc đo chính xác lưu lượng của chất rắn là rất khó khăn do tính bất định của vật liệu rắn.
4.7.7.1 Phương pháp đo
Để đo lưu lượng của chất rắn có thể sử dụng các phương tiện khác nhau như bộ cấp liệu kiểu trọng lượng, bộ cấp liệu kiểu thể tích, lấy mẫu hạt đẳng tốc, thùng cân, máy đo va đập.
Việc hiệu chuẩn các thiết bị đo lưu lượng chất rắn phải được tiến hành ngay trước khi thí nghiệm và thực hiện thường xuyên theo thời gian thí nghiệm để có được độ không đảm bảo hệ thống nhỏ nhất.
4.7.7.2 Ước tính độ không đảm bảo hệ thống
Độ không đảm bảo hệ thống của phép đo lưu lượng rắn là một trong những thông số khó xác định nhất. Cần xem xét các độ không đảm bảo hệ thống do ảnh hưởng của phân bố cỡ hạt, tải trọng không đồng đều trên cân hoặc các tỷ trọng khác nhau. Các yếu tố tiềm ẩn khác có thể ảnh hưởng đến độ không đảm bảo hệ thống được trình bày trong 4.3 và 4.7.2.
4.7.8 Xác định phân bố tro xỉ
Để xác định tổn thất nhiệt trong các dòng tro xỉ và giá trị trung bình có trọng số của carbon chưa cháy hết (và lượng CO2 đối với các lò hơi sử dụng chất hấp thụ) trong tro xỉ, cần thực hiện đo lượng tro xỉ đi ra khỏi đường bao thí nghiệm lò hơi. Các vị trí điển hình mà tro xỉ được thải định kỳ hoặc liên tục là xỉ đáy buồng đốt, phễu thu tro của bộ hâm nước hoặc lò hơi, đầu xả bộ lọc bụi cơ khí và tro bay đi ra khỏi lò hơi.
4.7.8.1 Phương pháp đo
Đối với lưu lượng khối lượng của tro xỉ, giá trị tính toán thưởng chính xác hơn so với giá trị đo trực tiếp. Do đó, cần phải xác định tỷ lệ phần trăm tại mỗi vị trí thải tro xỉ trong tổng lượng tro xỉ được thải ra của lò hơi. Các phương pháp sau đây có thể được sử dụng để xác định tỷ lệ phân bố tro xỉ giữa các vị trí khác nhau:
(a) Đo lưu lượng khối lượng tro xỉ tại từng vị trí.
(b) Đo lưu lượng tro xỉ tại một hoặc nhiều vị trí (thường là các vị trí có tải lượng lớn nhất), và lượng tro xỉ tại các vị trí còn lại có thể được tính bằng hiệu số giữa tổng lưu lượng và các giá trị được đo. Trường hợp có từ hai vị trí trở lên không được đo thì tỷ lệ phân bố tro xỉ giữa các vị trí này phải được ước tính.
(c) Tỷ lệ phần trăm tro xỉ tại mỗi vị trí có thể được ước tính dựa trên các kết quả điển hình đối với chủng loại nhiên liệu và phương pháp đốt.
Trước khi thí nghiệm, các bên tham gia thí nghiệm phải thống nhất về việc lựa chọn các dòng tro xỉ cần đo và các giá trị ước tính về tỷ lệ phân bố tro xỉ.
Hàm lượng tro bay ra khỏi lò hơi (xác định theo 4.11) được sử dụng để tính toán lưu lượng khối lượng của tro xỉ thoát ra khỏi lò.
Lưu lượng khối lượng của tro xỉ thải ra từ phễu xỉ hoặc ghi lò ở trạng thái khô có thể được xác định bằng thùng cân hoặc cân định thời.
Khi xác định lưu lượng khối lượng của tro xỉ thải ra từ hệ thống thải xỉ ướt phải trừ lượng nước tách ra từ tro xỉ, sau đó lưu lượng đo được phải được hiệu chỉnh theo độ ẩm còn lại trong tro xỉ.
4.7.8.2 Ước tính độ không đảm bảo hệ thống
Khi ước lượng tỷ lệ phân bố tro xỉ thì giá trị trung bình phải được lựa chọn sao cho có thể sử dụng cùng một mức ước tính dương và âm đối với độ không đảm bảo hệ thống. Không được sử dụng các độ không đảm bảo hệ thống có thể tạo ra tỷ lệ phân bố tro xỉ nhỏ hơn 0 hoặc lớn hơn 100%. Xem 4.11 liên quan đến độ không đảm bảo hệ thống đối với tải lượng bụi (lấy mẫu tro xỉ).
4.8 Lấy mẫu nhiên liệu rắn và chất hấp thụ
4.8.1 Yêu cầu chung
Các phương pháp lấy mẫu phải được Tất cả các bên tham gia thí nghiệm đồng thuận và phải được mô tà trong báo cáo thí nghiệm. Phải ấn định độ không đảm bảo thích hợp đối với phương pháp lấy mẫu được sử dụng trong thí nghiệm.

Hình 12 - Quy trình lấy mẫu vật liệu rắn theo phương pháp cắt toàn bộ dòng

Hình 13 - Ống rút mẫu điển hình để lấy mẫu vật liệu trong dòng chất rắn
4.8.2 Phương pháp lấy mẫu nhiên liệu rắn và chất hấp thụ
4.8.2.1 Thu thập mẫu. Việc lấy mẫu có thể thực hiện bằng một trong các phương pháp sau:
(a) Lấy mẫu từ băng tải đang dừng. Đây là phương pháp được ưu tiên áp dụng. Khi sử dụng kỹ thuật lấy mẫu này độ không đảm bảo hệ thống có thể ấn định bằng 0.
(b) Phương pháp cắt toàn bộ dòng. Việc lấy mẫu được thực hiện bằng cách chuyển hướng hoàn toàn của một dòng đang chuyển động như thể hiện trên Hình 12.
(c) Phương pháp cắt một phần dòng. Đây là phương pháp thực tế nhất nhưng có thể tạo ra độ không đảm bảo hệ thống lớn nhất. Phương pháp này sử dụng một ống rút mẫu thể hiện trên Hình 13 để lấy một phần vật liệu từ dòng đang chuyển động.
Cần thực hiện thử lấy mẫu trước khi thí nghiệm để nhận dạng và giảm thiểu các vấn đề tiềm ẩn trong kỹ thuật lấy mẫu.
4.8.2.2 Vị trí lấy mẫu
Nhiên liệu, chất hấp thụ (nếu có) và tro xỉ rắn phải được lấy mẫu từ các vị trí gần lò hơi nhất có thể để đảm bảo rằng các mẫu được lấy là mẫu đại diện. Nếu không thể hoặc không thuận tiện lấy mẫu gần lò hơi thì có thể phát sinh độ trễ thời gian giữa thời điểm lấy mẫu và thời điểm mẫu thực sự được cấp vào hoặc đưa ra khỏi lò hơi. Độ trễ thời gian này phải được xác định dựa trên lưu lượng ước tính giữa vị trí lấy mẫu và lò hơi.
Việc lấy mẫu từ vị trí phía trước silo, bể chứa và phễu chứa không được áp dụng cho các thí nghiệm nghiệm thu vì các mẫu lấy từ vị trí này có thể không đại diện cho nhiên liệu được đốt thực tế trong quá trình thí nghiệm. Đối với các mục đích thí nghiệm khác, nếu áp dụng cách lấy mẫu này thì các bên tham gia thí nghiệm phải ấn định độ không đảm bảo hệ thống thích hợp.
4.8.2.3 Khoảng thời gian lấy mẫu
Các mẫu phải được thu thập theo các khoảng thời gian đồng nhất, không phải ngẫu nhiên. Mỗi lô mẫu phải có cùng khối lượng. Thời gian thu thập tất cả các mẫu than phải bằng thời gian chạy thí nghiệm.
4.8.2.4 Số lượng mẫu
Tối thiểu phải lấy mẫu mỗi giờ một lần trong suốt quá trình thí nghiệm, đồng thời phải lấy một mẫu ở thời điểm bắt đầu và một mẫu ở thời điểm kết thúc mỗi cuộc thí nghiệm.
Trường hợp có các dòng song song thì số lượng mẫu được nhân với số dòng song song.
Số lượng mẫu có thể tăng lên nếu cần tăng độ chính xác khi xác định các đặc tính nhiên liệu.
4.8.2.5 Khối lượng của mẫu
Đối với việc lấy mẫu thủ công than hoặc chất hấp thụ, các mẫu riêng lẻ được thu thập phải có khối lượng từ 1 kg đến 4 kg. Đối với các thiết bị lấy mẫu tự động, khối lượng mẫu có thể lớn hơn.
4.8.2.6 Các dòng song song
Các dòng song song có thể có sự khác biệt về lưu lượng, cỡ hạt và thành phần hóa học. Do đó, các mẫu phải được thu thập từ từng dòng song song, trừ khi xác định được các đặc tính của các dòng là đồng nhất. Nếu lưu lượng của các dòng song song không bằng nhau thì lượng mẫu của mỗi dòng song song phải được tính thêm trọng số lưu lượng.
4.8.2.7 Xử lý mẫu
Quy trình sử dụng để lấy mẫu phải được xây dựng và tuân thủ nghiêm túc để đảm bảo thu được các mẫu đại diện và ngăn ngừa sự nhiễm bẩn trong các dụng cụ lấy mẫu và thùng chứa. Các mẫu lấy ngoài trời phải được bảo vệ để tránh các ảnh hưởng từ môi trường trong quá trình thu thập mẫu. Cần sử dụng các thùng chứa kín khí, không ăn mòn sẽ ngăn ngừa sự suy giảm tính toàn vẹn của mẫu cho đến khi phân tích. Từng mẫu phải được niêm phong ngay sau khi thu thập. Không trộn mẫu trong không khí trước khi phân tích để xác định độ ẩm.
Các mẫu phải được ghi nhãn và có mô tả thích hợp về ý nghĩa của mẫu đối với thí nghiệm. Trên nhãn tối thiểu phải ghi ngày, giờ, vị trí và loại mẫu được lấy.
Tham khảo TCVN 1693 (ISO 18283) về phương pháp và quy trình lấy mẫu than.
4.8.3 Độ không đảm bảo hệ thống
Khi ước tính độ không đảm bảo hệ thống của quy trình lấy mẫu, cần xem xét các yếu tố tiềm ẩn dưới đây:
(a) Cách bố trí lấy mẫu
(b) Thiết kế của dụng cụ lấy mẫu
(c) Sự phân tầng của dòng nguyên liệu
(d) Số lượng và vị trí của các điểm lấy mẫu
(e) Điều kiện môi trường xung quanh tại vị trí lấy mẫu
(f) Tính bất định nhiên liệu / chất hấp thụ
(g) Cỡ hạt nhiên liệu / chất hấp thụ
(h) Xử lý / lưu trữ mẫu
(i) Thời gian thí nghiệm
(j) Số lượng mẫu thu thập được
Cần lưu ý rằng có thể có thêm các yếu tố ảnh hưởng khác, và không phải tất cả các yếu tố được liệt kê trên đây đều có thể áp dụng cho tất cả các quy trình lấy mẫu.
Ước tính độ không đảm bảo hệ thống của quy trình lấy mẫu là sự kết hợp của các độ không đảm bảo liên quan đến phương pháp thu thập mẫu, vị trí lấy mẫu và tính đồng nhất của dòng nguyên liệu.
Nếu có sai số hệ thống trong quá trình lấy mẫu, thì sai số đó phải được hiệu chỉnh, hoặc các bên tham gia thí nghiệm phải chỉ định độ không đảm bảo hệ thống cao hơn.
4.8.4 Phương pháp xác định giá trị trung bình và độ lệch chuẩn của giá trị trung bình
Ba phương pháp để xác định giá trị trung bình và độ lệch chuẩn của giá trị trung bình đối với các đặc tính nhiên liệu (như hàm lượng ẩm, hàm lượng tro, hàm lượng carbon...) gồm:
(a) Tách biệt
(b) Gộp một phần
(c) Gộp toàn bộ
4.8.4.1 Phương pháp tách biệt
Mẫu phân tích được chuẩn bị từ từng mẫu đơn, hay còn gọi là "mẫu ban đầu”. Từng mẫu được đem phân tích riêng để xác định các đặc tính như nhiệt trị, hàm lượng carbon, hàm lượng ẩm... Giá trị trung bình và độ lệch chuẩn của giá trị trung bình đối với từng đặc tính được tính theo các công thức (10) và (19). Phải sử dụng quy trình này khi không có sẵn các dữ liệu đã được ghi nhận trong quá khứ để ước tính độ không đảm bảo ngẫu nhiên của các mẫu.
4.8.4.2 Phương pháp gộp một phần
Các mẫu được thu thập thành các “bộ mẫu”, từ đó bộ mẫu thứ nhất được đem phân tích riêng để xác định các đặc tính khả biến (đặc tính có thể thay đổi) như hàm lượng tro, hàm lượng ẩm và có thể cả hàm lượng lưu huỳnh (nếu cần xem xét đến quá trình khử SO2). Giá trị trung bình và độ lệch chuẩn của giá trị trung bình đối với từng đặc tính khả biến được tính toán theo các công thức (10) và (19).
Bộ mẫu thứ hai được trộn kỹ (nếu mẫu được lấy từ các dòng song song) và đem phân tích để xác định các đặc tính của hỗn hợp trộn. Giá trị trung bình của mỗi đặc tính khả biến là giá trị đo được của mẫu phân tích gộp. Độ lệch chuẩn của giá trị trung bình đối với các đặc tính của hỗn hợp được lấy theo các dữ liệu hợp lệ đã được ghi nhận trong quá khứ.
Phương pháp này có thể thay thế cho việc phân tích các mẫu đơn để giảm chi phí thí nghiệm và chỉ thực hiện khi có sẵn các dữ liệu hợp lệ đã được ghi nhận trong quá khứ. Các đặc tính được tập hợp và phân nhóm thành các đặc tính “tổng hợp” (ví dụ: carbon, hydro và nitơ) và các đặc tính “khả biến” (ví dụ: hàm lượng nước, tro và có thể cả lưu huỳnh).
Các dữ liệu được ghi nhận trong quá khứ chỉ được xem là hợp lệ để ước tính độ không đảm bảo ngẫu nhiên khi đáp ứng được các tiêu chí sau:
(a) Than (hoặc chất hấp thụ) được ghi nhận trong quá khứ và than (hoặc chất hấp thụ) được sử dụng trong thí nghiệm là từ cùng một nơi khai thác
(b) Dữ liệu được ghi nhận trong quá khứ là dữ liệu phân tích các mẫu đơn ban đầu (không trộn lẫn) của than (hoặc chất hấp thụ)
(c) Các mẫu sử dụng trong thí nghiệm và ghi nhận trong quá khứ được thu thập và chuẩn bị theo cùng một tiêu chuẩn về lấy mẫu và chuẩn bị mẫu để cho phân tích
(d) Các loại mẫu đơn đối với dữ liệu ghi nhận trong quá khứ và dữ liệu sử dụng trong thí nghiệm được lấy theo phương pháp lấy mẫu từ băng tải đang dừng hoặc phương pháp cắt toàn bộ dòng theo khoảng thời gian quy định
(e) Cỡ hạt của các mẫu ghi nhận trong quá khứ tương đương với cỡ hạt của các mẫu được thu thập trong quá trình thí nghiệm
Các kết quả phân tích ghi nhận trong quá khứ được chuyển đổi sang mẫu khô - không tro (daf) bằng cách nhân tỷ lệ phần trăm của thành phần thực nhận (trừ các thành phần khả biến như hàm lượng tro và hàm lượng ẩm) với giá trị:
|
| (8) |
trong đó:
MpAsFi là hàm lượng tro của mẫu ghi nhận trong quá khứ, %
MpH2OFi là hàm lượng ẩm của mẫu ghi nhận trong quá khứ, %
Đối với hàm lượng carbon, công thức chuyển đổi là:
|
| (9) |
trong đó:
MpAsFi là hàm lượng tro của nhiên liệu, theo mẫu thực đốt (giá trị trung bình phân tích trong thí nghiệm), %
MpCFdafi là hàm lượng carbon của nhiên liệu, theo mẫu khô - không tro, %
MpCFi là hàm lượng carbon của nhiên liệu, theo mẫu thực đốt, %
MpH2OFi là hàm lượng ẩm của nhiên liệu, theo mẫu thực đốt (giá trung bình phân tích trong thí
nghiệm), %
Các công thức chuyển đổi nhiệt trị, hydro, nitơ, lưu huỳnh và oxy cũng tương tự như trên. Tham khảo ASTM D3180 hoặc TCVN 318 (ISO 1170) về phương pháp chuyển đổi kết quả phân tích giữa các loại mẫu khác nhau.
Giá trị trung bình và độ lệch chuẩn của giá trị trung bình đối với từng đặc tính được tính theo các công thức (10) và (19).
4.8.4.3 Phương pháp gộp toàn bộ
Phương pháp này cũng có thể thay thế cho việc phân tích các mẫu đơn và áp dụng cho chất hấp thụ và than khi có sẵn các dữ liệu được ghi nhận trong quá khứ, với điều kiện những biến động về độ ẩm hoặc hàm lượng tro là rất nhỏ hoặc có thể bỏ qua (nghĩa là không có đặc tính khả biến).
Mẫu phân tích gộp được chuẩn bị từ các mẫu đơn ban đầu được thu thập trong quá trình thí nghiệm và được phân tích để xác định tất cả các đặc tính. Giá trị trung bình của mỗi đặc tính là giá trị đo được của mẫu phân tích hỗn hợp trộn.
Các tiêu chí và tính toán đối với các mẫu gộp một phần có thể áp dụng cho các mẫu gộp toàn bộ, ngoại trừ hệ số chuyển đổi theo công thức (8) và (9) là không áp dụng.
4.9 Lấy mẫu nhiên liệu lỏng và khí
4.9.1 Yêu cầu chung
Mẫu đại diện của nhiên liệu được đốt trong quá trình thí nghiệm phải được thu thập theo các phương pháp mô tả trong TCVN 6777 (ASTM D4057) hoặc ASTM D5287. Nếu các đặc tính của nhiên liệu có thể thay đổi do các yếu tố bên ngoài (ví dụ như khi thay đổi nguồn nhiên liệu) thì cần phải thiết lập quy trình lấy mẫu nghiêm ngặt hơn để đảm bảo lấy được các mẫu đại diện.
4.9.2 Phương pháp lấy mẫu nhiên lỏng hoặc khí
Phải sử dụng các thiết bị và thực hiện các quy trình lấy mẫu được quy định trong các tiêu chuẩn thích hợp đối với các loại nhiên liệu lỏng và khí khác nhau.
4.9.3 Độ không đảm bảo hệ thống đối với việc lấy mẫu nhiên liệu lỏng hoặc khí
Xem 4.8.3 về các yếu tố tiềm ẩn có thể ảnh hưởng đến độ không đảm bảo hệ thống của việc lấy mẫu nhiên liệu lỏng hoặc khí. Ước tính độ không đảm bảo hệ thống đối với việc lấy mẫu nhiên liệu là sự kết hợp của các độ không đảm bảo hệ thống liên quan đến phương pháp thu thập mẫu, vị trí lấy mẫu và tính đồng nhất của dòng nhiên liệu.
4.10 Lấy mẫu khói
4.10.1 Yêu cầu chung
Khói đi trong kênh dẫn có sự biến động về thành phần theo thời gian (do có những thay đổi trong nhiên liệu và đồng không khí) và theo vị trí trong không gian (do hiện tượng phân tầng). Mục tiêu của việc lấy mẫu khói là thu được giá trị trung bình tích phân của thành phần khói theo cả thời gian và vị trí trong không gian. Do đó, việc lấy mẫu khói phải thực hiện bằng cách lấy mẫu lặp lại nhiều lần tại một số điểm đại diện trên một mặt phẳng cắt ngang của kênh dẫn.
4.10.2 Độ không đảm bảo hệ thống đối với việc lấy mẫu khói
Xem 4.8.3 về các yếu tố tiềm ẩn có thể ảnh hưởng đến độ không đảm bảo hệ thống khi lấy mẫu khói. Ước tính độ không đảm bảo hệ thống đối với việc lấy mẫu khói là sự kết hợp của các độ không đảm bảo hệ thống liên quan đến phương pháp thu thập mẫu, vị trí lấy mẫu và tính đồng nhất của dòng. Các yếu tố tiềm ẩn có thể ảnh hưởng đến các độ không đảm bảo hệ thống này được trình bày trong 4.3. Nếu các quá trình lấy mẫu được thực hiện bằng cách sử dụng mẫu tổng hợp (mẫu gộp), thì độ không đảm bảo hệ thống do tính không đồng nhất theo vị trí trong không gian có thể được ước tính bằng cách thực hiện các phép đo riêng lẻ tại các điểm lấy mẫu trên lưới đo và tính toán chỉ số phân bổ trong không gian theo 5.16.4. Hệ thống lấy mẫu hoạt động dưới mức áp suất khí quyển có thể làm rò lọt không khí vào bên trong, dẫn đến độ không đảm bảo hệ thống một chiều. Nếu dòng khói bị phân tầng nghiêm trọng thì độ không đảm bảo hệ thống cũng có thể tăng lên.
4.10.3 Phương pháp lấy mẫu khói
Phải thực hiện lấy mẫu tại nhiều điểm trên mặt cắt ngang kênh khói để đảm bảo thu được mẫu đại diện trong điều kiện dòng khói có sự phân tầng, số lượng và cách bố trí các điểm lấy mẫu trong lưới phải tương đương với các điểm đo nhiệt độ như quy định trong 4.4.3. Lưu lượng mẫu từ mỗi đầu lấy mẫu phải bằng nhau và hệ thống phải được kiểm tra rò rỉ trước và trong suốt quá trình thí nghiệm.
Để giảm thiểu độ không đảm bảo, các điểm mẫu riêng lẻ phải được kết hợp để tạo thành một mẫu gộp cho mỗi kênh dẫn hoặc mỗi vị trí lấy mẫu, sau đó được phân tích liên tục trong quá trình thí nghiệm.
Cho phép phân tích khói tại các điểm riêng lẻ khi số điểm không quá lớn để giảm bớt số lần đo qua toàn bộ tiết diện ngang, nhưng phải sử dụng độ không đảm bảo hệ thống lớn hơn.
Đối với SO2 và tổng hydrocarbon trong khói, không yêu cầu phải bố trí số lượng lớn các điểm trên lưới lấy mẫu (do các mẫu này yêu cầu các đường ống lấy mẫu phải được gia nhiệt nên có thể hạn chế số lượng). Các bên tham gia thí nghiệm phải thống nhất về quy trình lấy mẫu đối với SO2 và tổng hydrocarbon, cần lưu ý rằng việc lọc mẫu khói có thể gây ra độ không đảm bảo hệ thống đối với giá trị SO2 nếu có CaO hiện diện trong bộ lọc, do đó các bộ lọc phải được làm sạch thường xuyên.
4.11 Lấy mẫu tro xỉ
Do cỡ hạt và hàm lượng carbon trong tro bay thay đổi theo từng vị trí trên đường khói nên phương pháp tốt nhất để thu được mẫu tro bay đại diện là lấy mẫu đẳng tốc của tro trong khói thải ở vị trí phía trước càng nhiều phễu lắng tro càng tốt. Vị trí thích hợp để lấy mẫu tro bay thường là tại đầu ra của bộ hâm nước. Vị trí này cho phép thu được một mẫu tro bay đại diện của cả dải cỡ hạt và hàm lượng carbon.
Khi lấy mẫu xỉ đáy, do xỉ có thể kết thành màng lớn và hàm lượng carbon trong xỉ phân bố không đều nên phải lấy một số mẫu và thực hiện một số phép phân tích của từng mẫu để thu được kết quả đại diện.
4.11.1 Yêu cầu chung
Tro bay có thể được lấy mẫu bằng cách hút mẫu khói qua phin lọc và cân lượng hạt tích tụ lại trên phin lọc, từ đó căn cứ vào khối lượng của mẫu thu được và thể tích khói thải được ghi lại trong quá trình này có thể xác định được nồng độ vật chất dạng hạt trong dòng khói thải. Để tránh làm thay đổi nồng độ của dòng khói, vận tốc của dòng đi vào đầu lấy mẫu phải bằng vận tốc của khói tại điểm đó trên kênh dẫn. Phương pháp này được gọi là lấy mẫu đẳng tốc. Do dòng khói có sự phân bố vận tốc không đồng đều và sự phân tầng của nồng độ hạt nên cần lấy mẫu tại nhiều điểm trên mặt phẳng thí nghiệm.
4.11.2 Độ không đảm bảo hệ thống đối với việc lấy mẫu tro xỉ
Lấy mẫu đẳng tốc là phương pháp chuẩn được quy định theo Tiêu chuẩn này. Độ không đảm bảo hệ thống đối với phương pháp lấy mẫu này có thể được tính bằng 0. Tuy nhiên, quy trình và vị trí lấy mẫu cũng cần được xem xét để xác định xem có thể có các yếu tố khác ảnh hưởng đến độ không đảm bảo hệ thống hay không.
4.11.3 Phương pháp lấy mẫu tro bay
Lấy mẫu đẳng tốc là phương pháp chuẩn và cần ưu tiên sử dụng để lấy mẫu tro bay trong khói. Có thể sử dụng các thiết bị và quy trình lấy mẫu tro bay theo ASME PTC 38, hoặc các tiêu chuẩn quốc tế khác được các bên tham gia thí nghiệm chấp nhận.
ASME PTC 38 trình bày các cấu hình khác nhau của thiết bị lấy mẫu vật chất dạng hạt, bao gồm đầu hút, đầu dò, bộ lọc, bình ngưng, bộ đo khí khô, lưu lượng kế kiểu tiết lưu và bơm chân không hoặc máy hút. Người thực hiện thí nghiệm có thể lựa chọn cấu hình phù hợp với điều kiện lắp đặt. Số lượng các điểm lưới trên mặt phẳng lấy mẫu qua tiết diện ngang phải phù hợp với ASME PTC 38.
4.11.4 Phương pháp lấy mẫu xỉ đáy
Đối với dòng thải xỉ đáy, phương pháp lấy mẫu được ưu tiên là sử dụng một đầu lấy mẫu nhiều lỗ kéo dài suốt chiều rộng của dòng xỉ thải. Tham khảo tài liệu EPRI EA-3610 mô tả về đầu lấy mẫu nhiều lỗ. Ngoài ra, có thể lấy mẫu xỉ đáy bằng cách chuyển hướng một phần của dòng xỉ thải đến một thiết bị thu gom, để tro xỉ lắng xuống và lấy mẫu.
4.12 Phân tích nhiên liệu, chất hấp thụ và tro xỉ
4.12.1 Yêu cầu chung
Các mẫu nhiên liệu, chất hấp thụ và tro xỉ phải được phân tích theo các phương pháp và quy trình mới nhất. Việc chỉ định phòng thí nghiệm thực hiện phân tích các mẫu nhiên liệu, chất hấp thụ và tro xỉ phải được các bên tham gia thí nghiệm đồng thuận.
4.12.2 Độ không đảm bảo hệ thống đối với phép phân tích nhiên liệu, chất hấp thụ và tro xỉ
Các giá trị trong các bảng từ Bảng 18 đến Bảng 21 có thể sử dụng để ước tính độ không đảm bảo hệ thống của phép phân tích mẫu.
4.12.3 Phương pháp phân tích nhiên liệu, chất hấp thụ và tro xỉ
4.12.3.1 Nhiên liệu rắn
Đối với lò hơi đốt nhiên liệu rắn, các thông tin tối thiểu về nhiên liệu cần thiết để xác định hiệu suất là phân tích các nguyên tố chính, phân tích gần đúng và nhiệt trị cao. Các bảng từ Bảng 18 đến Bảng 21 nêu các tiêu chuẩn ASTM được sử dụng cho việc phân tích mẫu. Khi sử dụng các tiêu chuẩn này phải sử dụng các phiên bản mới nhất.
Các đặc tính khác của nhiên liệu rắn như: nhiệt độ nóng chảy của tro, chỉ số trương nở tự do, chỉ số nghiền, hóa tính của tro và cỡ hạt nhiên liệu cũng là các đặc tính quan trọng để đánh giá sự tương đương của nhiên liệu thí nghiệm với nhiên liệu thiết kế và có thể sử dụng để phục vụ các mục tiêu thí nghiệm khác..
4.12.3.2 Chất hấp thụ và các chất phụ gia khác
Các thông tin tối thiểu cần thiết để xác định hiệu quả khử lưu huỳnh là thành phần các nguyên tố chính của chất hấp thụ (canxi, magie, độ ẩm và vật chất trơ). Tùy thuộc vào mục tiêu của thí nghiệm cụ thể, có thể cần thiết phải xác định các đặc tính khác của chất hấp thụ rắn (ví dụ: cỡ hạt của chất hấp thụ).
4.12.3.3 Nhiên liệu lỏng
Đối với lò hơi đốt nhiên liệu lỏng, các thông tin tối thiểu về nhiên liệu cần thiết để xác định hiệu suất là thành phần các nguyên tố chính và nhiệt trị của nhiên liệu. Tùy thuộc vào mục tiêu của thí nghiệm, có thể cần thiết xác định các đặc tính khác của nhiên liệu lỏng (như khối lượng riêng và chỉ số tỷ trọng API). Quy trình xác định các đặc tính này được trình bày trong TCVN 6594 (ASTM D1298).
4.12.3.4 Nhiên liệu khí
Đối với lò hơi đốt nhiên liệu khí, các thông tin tối thiểu về nhiên liệu cần thiết để xác định hiệu suất là thành phần theo thể tích của nhiên liệu (xác định theo TCVN 9794 hoặc ASTM D1945). Phương pháp chuyển đổi thành phần theo thể tích sang thành phần theo khối lượng được được trình bày trong 5.8.2. Nhiệt trị cao có thể được xác định bằng nhiệt lượng kế trực tuyến liên tục (theo ASTM D1826). Các bên tham gia thí nghiệm phải thống nhất về các phương pháp được sử dụng.
4.12.3.5 Tro xỉ
Các mẫu tro xỉ dạng hạt phải được phân tích về hàm lượng carbon tổng, carbon cháy được và carbon dưới dạng carbonat theo ASTM D6316. Không cho phép sử dụng phép phân tích hao hụt khi nung (LOI) để xác định tổn thất do cháy không hoàn toàn, do một số phản ứng có thể xảy ra trong quá trình đốt có thể làm giảm hoặc tăng khối lượng của mẫu mà không sinh ra nhiệt.
4.13 Phân tích khói
4.13.1 Yêu cầu chung
Các mẫu khói phải được phân tích theo các phương pháp và quy trình mới nhất.
4.13.2 Độ không đảm bảo hệ thống đối với việc phân tích khói
Các yếu tố tiềm ẩn có thể ảnh hưởng đến độ không đảm bảo hệ thống đối với việc phân tích khói gồm:
(a) Độ chính xác của thiết bị phân tích
(b) Tạp nhiễu trong hệ thống lấy mẫu
(c) Độ trôi của thiết bị phân tích
(d) Sự thay đổi của đặc tính khói theo vị trí trong không gian
(e) Sự thay đổi của đặc tính khói theo thời gian
(f) Độ chính xác của khí hiệu chuẩn
(g) Ảnh hưởng của nhiệt độ và áp suất mẫu đối với thiết bị phân tích
(h) Sự rò lọt không khí mà không bị phát hiện
(i) Các khí gây nhiễu
(j) Ảnh hưởng của nhiệt độ môi trường xung quanh đối với thiết bị phân tích
(k) Ảnh hưởng của độ ẩm mẫu đối với thiết bị phân tích
(l) Độ chính xác của tỷ lệ pha loãng (nếu có sử dụng)
4.13.3 Phương pháp phân tích khói
Phân tích khói phải xác định được hàm lượng O2, CO, SO2, NOx và tổng hydrocarbon (THC) trong khói.
Thiết bị sử dụng để phân tích khói bằng cách hút mẫu bao gồm hai phần: hệ thống thu thập - vận chuyển mẫu và các thiết bị phân tích khói. Hệ thống thu thập - vận chuyển mẫu bao gồm một mạng lưới các đầu lấy mẫu, đường dẫn mẫu, thiết bị trộn mẫu, bộ lọc, bộ ngưng hoặc máy sấy khí và máy bơm. Mỗi máy phân tích khói đo một thành phần cụ thể của khói thải.
Khi mẫu khói hút ra được loại bỏ hơi nước trước khi phân tích, thì kết quả được gọi là phân tích theo mẫu khói khô. Khi mẫu khói không được hút ra và được phân tích tại chỗ, thì kết quả được gọi là phân tích theo mẫu khói ẩm. Các thành phần khói được phân tích theo thể tích hoặc số mol của thành phần cần xác định trên tổng số mol hiện diện. Sự khác biệt giữa mẫu khói ẩm và mẫu khói khô là trong tổng số mol ở mẫu khói ẩm có bao gồm cả số mol khí khô và số mol hơi nước.
4.13.4 Phân tích khói
Các loại thiết bị sử dụng để phân tích khói có thể là thiết bị phân tích điện tử liên tục hoặc dụng cụ phân tích thủ công như máy phân tích Orsat.
Ưu tiên sử dụng thiết bị phân tích điện tử liên tục vì loại thiết bị này có độ không đảm bảo hệ thống thấp hơn và cho phép theo dõi liên tục thành phần khói trong suốt quá trình thí nghiệm để thể hiện tốt nhất giá trị thực của thành phần trung bình khói.
4.13.4.1 Đo hàm lượng O2
Có thể sử dụng các phương pháp khác nhau để đo hàm lượng O2 như sử dụng chất thuận từ, pin điện hóa, pin nhiên liệu và oxit zirconi. Khi sử dụng pin điện hóa, cần đặc biệt lưu ý để đảm bảo rằng các khí khác như CO2 không gây nhiễu đối với phép đo hàm lượng oxy.
4.13.4.2 Đo hàm lượng CO
Phương pháp phổ biến nhất để phân tích CO là bằng phổ hồng ngoại không phân tán. Để có kết quả đọc CO chính xác, mẫu phải khô và thiết bị phân tích phải bù được nhiễu CO2. Đối với mục đích xác định tổn thất nhiệt do sự hiện diện của CO, thì sai số do bỏ qua nhiễu CO2 ở mức khoảng 20 ppm là tối thiểu.
4.13.4.3 Đo hàm lượng SO2
Đo hàm lượng SO2 có thể thực hiện bằng một trong hai phương pháp: huỳnh quang kiểu xung hoặc tia cực tím. Cần lưu ý rằng SO2 rất dễ phản ứng, do đó chỉ có thể sử dụng thủy tinh, thép không gỉ hoặc teflon trong hệ thống lấy mẫu và phân tích.
4.13.4.4 Đo hàm lượng NOx
Đo hàm lượng NOx có thể được thực hiện bằng máy phân tích phát quang hóa. Hàm lượng NOx được tính theo NO2.
4.13.4.5 Đo tổng hydrocarbon
Đo tổng hydrocarbon (THC) có thể được thực hiện bằng detector ion hóa ngọn lửa (FID). Kết quả phân tích là giá trị tổng hydrocarbon (THC) tính theo metan hoặc propan.
4.14 Đo điện năng
4.14.1 Yêu cầu chung
Đối với việc xác định hiệu suất của lò hơi, cho phép sử dụng các phương pháp khác nhau để đo điện năng với độ chính xác chấp nhận được. Phương pháp tối ưu là đo dòng điện và điện áp trong mỗi pha của mạch điện và tính tổng điện năng trong mỗi pha để xác định tổng công suất.
4.14.2 Độ không đảm bảo hệ thống đối với phép đo điện năng
Khi ước tính độ không đảm bảo hệ thống đối với phép đo điện năng, cần xem xét danh sách các yếu tố tiềm ẩn dưới đây:
(a) Độ chính xác của máy biến dòng (CT)
(b) Độ chính xác của máy biến áp điện thế (PT)
(c) Hệ số công suất trên mỗi pha
(d) Độ chính xác của oát kế
(e) Mất cân bằng phụ tải
(f) Tần suất đo
Cần lưu ý rằng có thể có thêm các yếu tố ảnh hưởng khác, và không phải tất cả các yếu tố được liệt kê trên đây đều có thể áp dụng cho tất cả các phép đo.
4.14.3 Phương pháp đo
Đối với các phép đo điện năng phục vụ cho việc đánh giá hiệu suất lò hơi, thì đo dòng điện và điện áp một pha cùng với giả định phụ tải cân bằng cho các thiết bị phụ trợ là đủ chính xác. Nếu cần phải xác định điện năng tiêu thụ của các thiết bị phụ trợ với độ chính xác cao để phục vụ cho các mục đích khác, thì việc xác định phải được thực hiện theo phương pháp sử dụng 2 oát kế hoặc 3 oát kế. Tham khảo tiêu chuẩn IEEE 120-1989 về các phương pháp sử dụng trong việc đo điện năng.
4.14.4 Ước tính độ không đảm bảo hệ thống
Ước tính độ không đảm bảo hệ thống đối với phép đo điện năng là sự kết hợp các giới hạn về độ không đảm bảo hệ thống của loại cảm biến sơ cấp, oát kế và bộ thu thập dữ liệu.
4.15 Đo độ ẩm không khí
4.15.1 Yêu cầu chung
Độ ẩm do không khí mang vào lò hơi phải được xem xét khi tính toán hiệu suất của lò hơi.
4.15.2 Độ không đảm bảo hệ thống đối với phép đo độ ẩm
Khi ước tính độ không đảm bảo hệ thống đối với phép đo độ ẩm, cần xem xét các yếu tố tiềm ẩn dưới đây:
(a) Ẩm kế
(b) Loại nhiệt kế bầu ướt / bầu khô
(c) Tình trạng hiệu chuẩn
(d) Độ trôi
(e) Tính phi tuyến của nhiệt kế
(f) Sai số đọc
Cần lưu ý rằng có thể có thêm các yếu tố khác, và không phải tất cả các yếu tố được liệt kê trên đây đều có thể áp dụng cho tất cả các phép đo.
4.15.3 Phương pháp đo
Nhiệt độ bầu khô và bầu ướt phải được xác định theo không khí môi trường xung quanh tại đầu cấp vào lò hơi. Vì độ ẩm riêng không thay đổi khi được bổ sung nhiệt (trừ khi có hàm lượng ẩm bổ sung) nên độ ẩm riêng của không khí cấp cho quá trình cháy khi ra khỏi bộ sấy không khí bằng độ ẩm riêng của không khí cấp vào bộ sấy. Độ ẩm có thể được xác định bằng nhiệt ẩm kế kiểu dây treo (sling-type psychrometer), ẩm kế có nhiệt độ hoặc các thiết bị tương tự và chỉ số áp suất khí quyển quan trắc được.
4.16 Đo tổn thất do truyền nhiệt bức xạ và đối lưu trên các bề mặt
4.16.1 Yêu cầu chung
Tiêu chuẩn này đưa ra hai phương pháp sau đây để xác định tổn thất do truyền nhiệt bức xạ và đối lưu trên các bề mặt lò hơi:
(a) Bằng cách đo nhiệt độ bề mặt trung bình của lò hơi và điều kiện môi trường xung quanh lò hơi
(b) Bằng cách sử dụng diện tích thực của các bộ phận với các giá trị tiêu chuẩn đối với điều kiện bề mặt và môi trường xung quanh (xem 5.14.9)
Để xác định tổn thất này bằng phương pháp đo lường thì phải thực hiện các phép đo nhiệt độ bề mặt, nhiệt độ môi trường và vận tốc không khí xung quanh tại một số lượng vị trí đủ để tính toán các giá trị trung bình đại diện. Các phép đo nhiệt độ và vận tốc không khí xung quanh phải được thực hiện trong khoảng cách từ 0,6 m đến 1,5 m tính từ bề mặt.
Trong trường hợp không có điều kiện xác định giá trị tổn thất do truyền nhiệt bức xạ và đối lưu trên bề mặt của lò hơi bằng các phép đo, thì các bên tham gia thí nghiệm có thể thỏa thuận cho phép sử dụng giá trị thiết kế để đưa vào tính toán. Trong trường hợp này trong báo cáo kết quả thí nghiệm phải ghi rõ “Giá trị tổn thất do truyền nhiệt bức xạ và đối lưu được lấy theo giá trị thiết kế".
4.16.2 Phương pháp đo
Đo nhiệt độ bề mặt có thể được thực hiện bằng cặp nhiệt điện, nhiệt kế tiếp xúc, nhiệt kế bức xạ hồng ngoại hoặc camera chụp ảnh nhiệt. Nếu sử dụng cặp nhiệt điện, nên sử dụng một tấm vật liệu cách nhiệt dày từ 25 mm đến 50 mm để phủ lên đầu nóng của cặp nhiệt.
Khi sử dụng nhiệt kế hồng ngoại hoặc camera chụp ảnh nhiệt thì thiết bị phải được hiệu chuẩn theo độ phát xạ bề mặt. Lưu ý các vị trí nóng cục bộ gây ra bởi các phụ kiện lắp bảo ôn lò hơi có thể làm sai lệch kết quả đo nếu các phụ kiện này nằm trong trường nhìn của camera chụp ảnh nhiệt.
Nhiệt độ không khí xung quanh có thể được đo bằng thiết bị đo nhiệt độ cầm tay hoặc nhiệt kế. Vận tốc không khí xung quanh có thể được đo bằng phong tốc kế cầm tay, kiểu dây nhiệt hoặc kiểu cánh quạt.
4.16.3 Ước tính độ không đảm bảo hệ thống
Ước tính độ không đảm bảo hệ thống đối với phép đo nhiệt độ là sự kết hợp của các độ không đảm bảo hệ thống liên quan đến chủng loại phần tử sơ cấp đo nhiệt độ, loại cảm biến và phương pháp thu thập dữ liệu. Các yếu tố tiềm ẩn có thể ảnh hưởng đến các độ không đảm bảo hệ thống này được trình bày trong 4.3 và 4.4.2.
5 Tính toán kết quả thí nghiệm
5.1 Yêu cầu chung
Ký hiệu viết tắt của các biến số trong các công thức tính toán được sử dụng thống nhất trong tiêu chuẩn này. Định dạng của các ký hiệu, định nghĩa các chữ cái hoặc tổ hợp chữ cái và bàn tóm tắt các ký hiệu viết tắt được trình bày trong 5.20. Các chỉ số sử dụng để nhận dạng các vị trí cụ thể của các dòng khí, lỏng và rắn liên quan đến các bộ phận của lò hơi được trình bày trong 2.2 và thể hiện dưới dạng sơ đồ trên các hình từ Hình 1 đến Hình 6.
Các kết quả đo lường được ghi lại trong quá trình thí nghiệm phải được quy về giá trị trung bình trước khi thực hiện các tính toán về đặc tính và độ không đảm bảo của kết quả thí nghiệm.
5.2 Rút gọn các dữ liệu đo
5.2.1 Hiệu chỉnh theo giá trị hiệu chuẩn
Khi các thiết bị đo đã được hiệu chuẩn thì phải thực hiện hiệu chỉnh kết quả đo theo giá trị hiệu chuẩn trước khi rút gọn dữ liệu. Yêu cầu này cũng áp dụng cho mọi biến số phụ thuộc được xác định bằng kết quả của nhiều phép đo.
5.2.2 Các giá trị ngoại lai
Các giá trị ngoại lai là các dữ liệu giả được cho là không hợp lệ (có thể là do lỗi con người khi đọc và ghi dữ liệu, hoặc lỗi của thiết bị do bị nhiễu điện...). Các giá trị ngoại lai phải được loại bỏ trước khi tính toán giá trị trung bình và phân tích độ không đảm bảo của kết quả. Việc loại bỏ các giá trị ngoại lai cần được các bên tham gia thí nghiệm quyết định dựa trên các đánh giá kỹ thuật hoặc kế hoạch thí nghiệm.
5.2.3 Tính giá trị trung bình các dữ liệu đo thí nghiệm
Các tham số đo được trong quá trình thí nghiệm có thể thay đổi theo thời gian và vị trí trong không gian.
Các tham số được đo tại một điểm đơn lẻ để xác định giá trị (ví dụ: nhiệt độ hoặc áp suất hơi) có thể được tính trung bình trên cơ sở giả định là tham số đó dao động quanh một giá trị không đổi. Trong quá trình thí nghiệm ở trạng thái ổn định (như định nghĩa trong 3.2.6.1), các tham số chỉ thay đổi thời gian và được đo tại một điểm đơn lẻ được giả định là có giá trị không đổi bằng giá trị trung bình số học.
Các tham số được đo từ nhiều điểm tại một vị trí nhất định (ví dụ: các tham số không đồng nhất trên một mặt phẳng vuông góc với hướng dòng chảy), có sự thay đổi đồng thời theo thời gian và vị trí trong không gian được tính giá trị trung bình khác với các tham số chỉ thay đổi theo thời gian.
5.2.3.1 Giá trị trung bình đối với các tham số đồng nhất theo vị trí trong không gian
Đối với các tham số không đổi theo vị trí trong không gian (ví dụ: nhiệt độ hoặc áp suất nước cấp) hoặc các giá trị của tham số tại một điểm cố định trong không gian (ví dụ: nhiệt độ khói đi qua tại một điểm trong lưới đo), giá trị trung bình được tính theo công thức sau:
|
| (10) |
trong đó:
| n XAVG
| là số lần đo tham số X là giá trị trung bình số học của tham số được đo là tham số X được đo tại thời điểm i |
5.2.3.2 Dữ liệu tóm tắt
Khi các hệ thống thu thập dữ liệu cho phép in ra (và lưu trữ trên các phương tiện điện tử) các giá trị trung bình và độ lệch chuẩn của các tham số được đo nhiều lần trong khoảng thời gian thí nghiệm thì các dữ liệu này được gọi là dữ liệu tóm tắt.
Khi tổng số phép đo trong một cuộc thí nghiệm bao gồm m tập hợp phép đo, mỗi tập hợp phép đo có n lần đọc kết quả, và giá trị trung bình XAVG k đối với tập hợp phép đo k được xác định bằng công thức (10), thì giá trị trung bình tổng thể của các tham số đo được trong cuộc thí nghiệm là:
|
| (11) |
Khi có sẵn dữ liệu về các tham số đo riêng lẻ và thông tin về độ lệch chuẩn cho mỗi tập hợp phép đo thì độ lệch chuẩn tổng có thể được tính toán theo công thức (17). Trường hợp không có sẵn các thông tin này thì các tập hợp phép đo phải được xử lý như các mẫu riêng lẻ.
5.2.3.3 Giá trị trung bình đối với các tham số không đồng nhất theo vị trí trong không gian
Giá trị trung bình của các tham số thay đổi theo vị trí trong không gian có thể được xác định bằng cách: tính giá trị trung bình của tất cả dữ liệu cho từng điểm xác định trong lưới đo trước, sau đó xác định giá trị trung bình của tất cả các điểm trong lưới đo.
5.2.4 Độ không đảm bảo ngẫu nhiên
Mỗi tham số đo đều có độ lệch chuẩn, độ lệch chuẩn của giá trị trung bình và số bậc tự do nhất định. Ngoài ra còn có độ lệch chuẩn tổng thể của giá trị trung bình và số bậc tự do cho tất cả các tham số đo kết hợp. Các giá trị này chỉ xác định được sau khi đã hoàn tất việc tính toán đặc tính của lò hơi như trình bày trong các mục từ 5.3 đến 5.15. Phương pháp tính toán độ lệch chuẩn của giá trị trung bình và thành phần ngẫu nhiên của độ không đảm bảo cho tổng thể thí nghiệm được trình bày trong 5.16.
Để xác định độ lệch chuẩn của giá trị trung bình và bậc tự do cho một tham số do, trước tiên phải tính giá trị trung bình và độ lệch chuẩn từ các dữ liệu được ghi lại trong quá trình thí nghiệm. Phương pháp tính toán giá trị trung bình, độ lệch chuẩn và bậc tự do đối với các tham số chỉ thay đổi theo thời gian khác với phương pháp tính toán áp dụng cho các tham số thay đổi đồng thời theo cả thời gian và và vị trí trong không gian.
5.2.4.1 Độ không đảm bảo ngẫu nhiên đối với các tham số đồng nhất theo vị trí trong không gian
Khi thực hiện nhiều phép đo đối với một tham số được dự đoán là không thay đổi theo vị trí trong không gian, độ lệch chuẩn và độ lệch chuẩn của giá trị trung bình của tham số này được tính theo công thức:
|
| (12) |
|
| (13) |
hoặc
|
| (14) |
trong đó:
| n PSTDDEV STDDEV STDDEVMN XAVG | là số lần đo tham số là độ lệch chuẩn tổng thể đối với một tham số đo là độ lệch chuẩn mẫu là độ lệch chuẩn của giá trị trung bình đối với một tham số được đo là giá trị trung bình số học của tham số được đo |
|
| là giá trị của tham số i được đo tại bất kỳ thời điểm nào |
Lưu ý: một số máy tính khoa học cầm tay và chương trình tính toán trên máy vi tính có thể tích hợp sẵn các hàm tính toán “độ lệch chuẩn mẫu" (STDDEV), “độ lệch chuẩn tổng thể” (PSTDDEV), “độ lệch chuẩn của giá trị trung bình" (STDDEVMN).
Bậc tự do đối với độ lệch chuẩn của giá trị trung bình cho một tham số đồng nhất theo vị trí trong không gian được xác định theo công thức sau:
| DEGFREE = n-1 | (15) |
trong đó:
| DEGFREE | là số bậc tự do |
Đối với dữ liệu tóm tắt (xem 5.2.3.2), độ lệch chuẩn kết hợp của tập hợp k là:
|
| (16) |
trong đó:
| n | là số phép đo trong mỗi tập hợp |
Độ lệch chuẩn của giá trị trung bình đối với nhiều tập hợp dữ liệu tóm tắt là:
|
| (17) |
trong đó:
| m | là số tập hợp dữ liệu |
Bậc tự do cho độ lệch chuẩn của giá trị trung bình đối với các tập dữ liệu tóm tắt là:
| DEGFREE= m x n - 1 | (18) |
Giá trị trung bình tổng thể và độ lệch chuẩn của giá trị trung bình đối với cả dữ liệu tóm tắt và đối với tổng số
phép đo phải như nhau.
5.2.4.2 Độ không đảm bảo ngẫu nhiên đối với các tham số không đồng nhất theo vị trí trong không gian
Độ lệch chuẩn của giá trị trung bình (độ không đảm bảo ngẫu nhiên) và bậc tự do đối với tham số thay đổi theo vị trí trong không gian phải được xác định phù hợp với các phương pháp trình bày trong 7.4 liên quan đến việc sử dụng các giá trị trung bình có trọng số hoặc không trọng số.
Trước hết, tính toán các giá trị: trung bình, STDDEV, STDDEVMN và DEGFREE đối với từng điểm i trong lưới đo, sau đó tính giá trị trung bình của tất cả các điểm trong lưới đo.
Độ lệch chuẩn của giá trị trung bình đối với một tham số trung bình tích phân là:
|
| (19) |
Các bậc tự do kết hợp là:
|
| (20) |
trong đó:
| DEGFREE DEGFREEi m STDDEVMN STDDEVMNi | là bậc tự do của tham số trung bình là bậc tự do của tham số tại điểm i là số điểm trên lưới đo là độ lệch chuẩn của giá trị trung bình đối với tham số trung bình là độ lệch chuẩn của giá trị trung bình đối với tham số tại điểm i |
Bậc tự do phải nằm trong khoảng giữa giá trị nhỏ nhất và giá trị lớn nhất dựa trên số lần đọc kết quả được thực hiện tại từng điểm trong lưới đo và số điểm trên lưới. Bậc tự do nhỏ nhất có thể nhận được là giá trị nhỏ hơn trong các giá trị sau:
(a) Số điểm trong lưới đo, m
(b) Số lần đọc kết quả được thực hiện tại từng điểm trong lưới đo trừ đi 1, n -1
Bậc tự do lớn nhất có thể nhận được là tích của hai giá trị được liệt kê trên đây.
Các công thức (19) và (20) được sử dụng cho giá trị trung bình không có trọng số. Tuy nhiên, các công thức này cũng có thể sử dụng cho giá trị trung bình có trọng số, với điều kiện các hệ số trọng số được đo đồng thời với các tham số, sao cho độ lệch chuẩn của giá trị trung bình cho các điểm trên lưới đo được tính toán bằng các tham số có trọng số (XFW = Fi Xi). Tính toán này chỉ nên sử dụng cho các giá trị trung bình có trọng số khi có một số lượng đủ lớn các kết quả đọc tại mỗi điểm trên lưới đo.
Trường hợp sử dụng các giá trị trung bình có trọng số trong các tính toán đặc tính mà chỉ thực hiện một số lượng nhỏ các lần đo đồng thời qua tiết diện ngang (ít hơn 6 lần), và chỉ có một số lượng nhỏ các kết quả đo tại mỗi điểm, thì độ lệch chuẩn của giá trị trung bình đối với giá trị trung bình có trọng số được ước tính bằng cách sử dụng một đầu đo đơn lẻ như mô tả trong 7.4. Đầu đo này được bố trí để đo đồng thời vận tốc và tham số cần quan tâm (ví dụ: nhiệt độ hoặc hàm lượng oxy) tại một điểm cố định. Có n lần đọc kết quả tại điểm đơn lẻ. Các kết quả đọc được nhân với hệ số như sau:
|
| (21) |
Độ lệch chuẩn mẫu STDDEV đối với giá trị XFW dược tính theo các công thức (13) hoặc (14). Độ lệch chuẩn của giá trị trung bình đối với của tham số trung bình có trọng số là:
|
| (22) |
trong đó:
|
| là phân bố F |
| N n W | là số lần đo qua tiết diện ngang là số kết quả đo tại một điểm đơn lẻ là giá trị trung bình có trọng số |
Độ lệch chuẩn của giá trị trung bình đối với mỗi điểm trong lưới đo được xác định từ độ lệch chuẩn của điểm tham chiếu đơn lẻ cố định. Bậc tự do đối với điểm đơn lẻ được tính là vô hạn, do đó sẽ sử dụng bảng phân bố F.
Trường hợp trong các tính toán đặc tính sử dụng các giá trị trung bình có trọng số, mà các hệ số trọng số (vận tốc) được xác định không đồng thời với tham số có trọng số, thì độ lệch chuẩn của giá trị trung bình đối với tham số có trọng số được tính theo công thức:
|
| (23) |
trong đó:
| PARAVGFW PARAVGUW STDDEVMNUW STDDEVMNV VAVG | là giá trị trung bình có trọng số của tham số là giá trị trung bình không có trọng số của tham số là độ lệch chuẩn của giá trị trung bình đối với giá trị trung bình không có trọng số là độ lệch chuẩn của giá trị trung bình đối với vận tốc là vận tốc trung bình |
5.3 Công suất
5.3.1 Công suất
Công suất là lưu lượng khối lượng lớn nhất của dòng hơi chính mà lò hơi có khả năng tạo ra liên tục với các thông số hơi và chế độ làm việc được quy định (bao gồm chế độ xả lò và sử dụng hơi phụ được quy định). Thông số này cũng được gọi là công suất liên tục tối đa (MCR).
5.3.2 Công suất đỉnh
Công suất đỉnh là lưu lượng khối lượng lớn nhất của dòng hơi chính mà là hơi có khả năng tạo ra với các thông số hơi và chế độ làm việc được quy định (bao gồm chế độ xả lò và sử dụng hơi phụ được quy định) để vận hành gián đoạn (nghĩa là trong một khoảng thời gian nhất định mà không ảnh hưởng đến hoạt động sau này của lò hơi).
5.4 Năng lượng đầu ra (QrO), W
Năng lượng đầu ra là năng lượng được hấp thụ bởi môi chất làm việc mà không được phục hồi trong phạm vi đường bao thí nghiệm lò hơi. Đại lượng này bao gồm năng lượng được cung cấp cho nước cấp và nước giảm ôn để tạo ra hơi bão hòa hoặc hơi quá nhiệt, hơi tái nhiệt, hơi phụ (xem 5.4.3) và xả lò. Đại lượng này không bao gồm năng lượng được cung cấp để gia nhiệt sơ bộ không khí cấp vào lò, ví dụ như phần hơi được cấp từ lò hơi cho giàn ống gia nhiệt sơ bộ không khí.
Dạng tổng quát của công thức tính năng lượng đầu ra là:
|
| (24) |
trong đó:
| HEnz1 HLvz2 MrStz2 | là entanpi của môi chất đi vào vị trí z1, J/kg là entanpi của môi chất ra khỏi vị trí z2, J/kg là lưu lượng khối lượng của môi chất ra khỏi vị trí z2, kg/s |
5.4.1 Đối với lò hơi cấp hơi quá nhiệt
Năng lượng đầu ra trong dòng hơi chính là năng lượng được bổ sung vào nước cấp áp suất cao đi vào lò (và nước phun giảm ôn cho bộ quá nhiệt). Hơi phụ và xả lò cũng là các dòng năng lượng đầu ra được tạo ra từ nước cấp áp suất cao đi vào lò.
Năng lượng đầu ra trong dòng hơi chính bằng hiệu số giữa lưu lượng khối lượng của hơi chính và lưu lượng khối lượng của nước phun giảm ôn nhân với hiệu số giữa entapi của hơi chính và entanpi của nước cấp, sau đó cộng với lưu lượng khối lượng của nước phun giảm ôn nhân với hiệu số giữa entanpi của hơi chính và entanpi của nước phun giảm ôn.
|
| (25) |
5.4.2 Đối với lò hơi có hơi tái nhiệt
Đối với hơi tái nhiệt, cần phải bổ sung vào công thức tính năng lượng đầu ra thêm một phần năng lượng nữa đối với từng cấp tái nhiệt. Năng lượng đầu ra bổ sung từ bộ tái nhiệt cấp một là lưu lượng khối lượng của hơi tái nhiệt nhân với hiệu số giữa entanpi của hơi tái nhiệt đi vào lò và entanpi của hơi tái nhiệt ra khỏi lò, sau đó cộng với lưu lượng khối lượng của nước phun giảm ôn bộ tái nhiệt nhân với hiệu số giữa entanpi của hơi tái nhiệt và entanpi của nước phun giảm ôn bộ tái nhiệt
|
| (26) |
5.4.2.1 Lưu lượng hơi tái nhiệt
Lưu lượng hơi qua bộ tái nhiệt cấp một được tính bằng cách lấy lưu lượng hơi chính trừ đi tổng lưu lượng của các dòng hơi trích đến các bộ gia nhiệt nước cấp, hơi chèn tuabin, rò rỉ trục tuabin, và bất kỳ dòng hơi nào khác được trích ra sau khi dòng hơi chính rời khỏi đường bao của lò hơi và trước khi quay trở lại bộ tái nhiệt, sau đó cộng thêm lưu lượng nước phun giảm ôn bộ tái nhiệt. Phương pháp được ưu tiên để xác định lưu lượng hơi trích cho bình gia nhiệt nước cấp là tính toán lưu lượng theo cân bằng năng lượng. Rò rỉ trục tuabin và hơi chèn tuabin có thể được ước tính từ cân bằng nhiệt tuabin của nhà sản xuất hoặc dữ liệu thí nghiệm tuabin gần nhất. Các lưu lượng hơi trích không thể tính được bằng cân bằng năng lượng thì phải đo lường, hoặc nếu lưu lượng nhỏ thì có thể ước tính với các hệ số không đảm bảo thích hợp được áp dụng.
Logic để tính toán lưu lượng hơi qua bộ tái nhiệt cấp hai cũng tương tự như lưu lượng hơi qua bộ tái nhiệt cấp một, ngoại trừ việc phải sử dụng lưu lượng tính toán của hơi tái nhiệt cấp một ra khỏi lò hơi thay cho lưu lượng hơi chính.
Tham khảo ASME PTC 6 về cách xác định lưu lượng hơi qua bộ tái nhiệt.
5.4.3 Hơi phụ
Hơi phụ là hơi đi ra khỏi đường bao thí nghiệm lò hơi để phục vụ cho một số mục đích khác nhau (như hơi dùng để tán sương nhiên liệu, hơi dùng để thổi bụi) và được tính vào năng lượng đầu ra của lò hơi. Hơi phụ không bao gồm phần hơi được sử dụng để gia nhiệt cho không khí cấp vào lò. Đối với mỗi điểm lấy hơi, cần bổ sung thêm phần năng lượng sau đây vào công thức tính năng lượng đầu ra:
|
| (27) |
trong đó:
| MrSt46A HSt46A | là lưu lượng khối lượng của hơi tại điểm lấy hơi, kg/s là entanpi của hơi tại điểm lấy hơi, J/kg |
5.4.4 Xả lò
Phần năng lượng được thêm vào công thức tính năng lượng đầu ra khi thực hiện xả lò là:
| QrBd = MrW 35 (HW 35 - HW 24) , W | (28) |
5.5 Năng lượng đầu vào
Năng lượng đầu vào là năng lượng có được do đốt cháy nhiên liệu. Đây là mức năng lượng lớn nhất có được khi nhiên liệu được đốt cháy hoàn toàn.
| QrI = QrF = MrF x HHVF , W | (29) |
trong đó:
| HHVF MrF QrF QrI | là nhiệt trị cao của nhiên liệu, J/kg. (Xem 5.8) là lưu lượng khối lượng của nhiên liệu, kg/s là năng lượng đầu vào từ nhiên liệu, W là năng lượng đầu vào, W |
5.6 Cân bằng năng lượng
Vì lò hơi phải được thí nghiệm trong điều kiện trạng thái ổn định, nghĩa là không có tích lũy năng lượng trong lò hơi, nên cân bằng năng lượng của lò hơi được biểu thị là:
|
| (30) |
trong đó:
| QEn QLv | là năng lượng đi vào hệ thống, W là năng lượng đi ra khỏi hệ thống, W |
Năng lượng đi vào hệ thống là năng lượng liên quan đến các dòng vật chất đi vào và năng lượng dẫn động các thiết bị phụ trợ. Năng lượng ra khỏi hệ thống là năng lượng liên quan đến các dòng vật chất đi ra và nhiệt năng truyền ra môi trường từ bề mặt lò hơi.
Để biểu thị sự cân bằng năng lượng dưới dạng các đại lượng có thể đo được và tính toán được, công thức (30) được viết thành:
| QrF = QrO + Qb, W | (31) |
trong đó:
| Qb | là dòng nhiệt thứ cấp, W. Dòng nhiệt thứ cấp là tổng năng lượng liên quan đến các dòng vật chất đi vào và đi ra (không bao gồm năng lượng đầu vào và năng lượng đầu ra), gồm: năng lượng do các phản ứng hóa học xảy ra bên trong đường bao của lò hơi, năng lượng để dẫn động thiết bị, và năng lượng do truyền nhiệt bức xạ và đối lưu ra môi trường. |
Dòng nhiệt thứ cấp có thể được phân chia thành nhiệt đóng góp và tổn thất nhiệt:
| Qb = QrL - QrB, W | (32) |
trong đó:
| QrB | là nhiệt đóng góp, W. Nhiệt đóng góp là tổng năng lượng thực được truyền cho hệ thống bởi các dòng vật chất đi vào phạm vi lò hơi (không bao gồm năng lượng do đốt cháy nhiên liệu) cộng với các phản ứng hóa học tỏa nhiệt và năng lượng để dẫn động các thiết bị phụ trợ trong đường bao thí nghiệm lò hơi. |
| QrL | là tổn thất nhiệt, W. Tổn thất nhiệt là tổng năng lượng thực được truyền từ hệ thống ra ngoài bởi các dòng vật chất đi ra khỏi phạm vi lò hơi (không bao gồm năng lượng đầu ra của hơi cấp đi) cộng với các phản ứng hóa học thu nhiệt xảy ra trong phạm vi lò hơi và năng lượng do truyền nhiệt bức xạ và đối lưu từ các bề mặt lò hơi ra môi trường. |
Thay các giá trị trên vào công thức (31), cân bằng năng lượng tổng thể là:
| QrF + QrB = QrO + QrL , W | (33) |
trong đó:
| QrF + QrB | là tổng năng lượng được đưa vào hệ thống |
5.7 Hiệu suất
Hiệu suất là tỷ lệ giữa năng lượng đầu ra và năng lượng đầu vào, được biểu thị bằng phần trăm:
|
| (34) |
Khi năng lượng đầu vào (QrI) được định nghĩa là tổng năng lượng có được do đốt cháy nhiên liệu (QrF), thì hiệu suất xác định được còn có thể gọi là hiệu suất nhiên liệu (EF). Trong Tiêu chuẩn này hiệu suất nhiên liệu là đại lượng được ưu tiên để biểu thị hiệu suất lò hơi.
Một phương pháp khác để biểu thị hiệu suất lò hơi là năng lượng đầu vào được tính bằng tổng năng lượng truyền cho hệ thống, bao gồm cả nhiệt đóng góp (QrF + QrB). Đại lượng này được gọi là hiệu suất thô (EGr). Phương pháp tính toán hiệu suất thô được trình bày trong Phụ lục B.
5.7.1 Hiệu suất xác định theo phương pháp cân bằng nghịch
Trong phương pháp cân bằng nghịch, tổn thất nhiệt và nhiệt đóng góp trong dòng nhiệt thứ cấp được sử dụng để tính toán hiệu suất. Công thức (33) có thể được viết lại như sau:
| QrF = QrO + QrL - QrB , W | (35) |
Do đó, hiệu suất nhiên liệu được biểu thị trong mối quan hệ với tổn thất nhiệt và nhiệt đóng góp sẽ là:
|
| (36) |
Hầu hết các tổn thất nhiệt và nhiệt đóng góp có thể được tính theo phần trăm của năng lượng đầu vào từ nhiên liệu theo các công thức sau:
|
| (37) |
Do đó, khi kết hợp các công thức (36) và (37), hiệu suất nhiên liệu cũng có thể được biểu thị bằng:
|
| (38) |
Ngoài các tổn thất nhiệt và nhiệt đóng góp có thể được tính toán theo phần trăm năng lượng đầu vào từ nhiên liệu, có một số tổn thất nhiệt và nhiệt đóng góp khác có thể được xác định theo W. Khi sử dụng chung các đơn vị khác nhau đối với tổn thất nhiệt và nhiệt đóng góp, thì hiệu suất nhiên liệu được xác định theo biểu thức:
|
| (39) |
trong đó:
| SmQpL và SmQpB | là tổng tổn thất nhiệt và nhiệt đóng góp được tính theo phần trăm năng lượng |
| SmQrL và SmQrB | là tổng tổn thất nhiệt và nhiệt đóng góp được tính theo W |
Lưu lượng khối lượng của nhiên liệu (MrF) có thể được tính toán từ năng lượng đầu ra và hiệu suất nhiên liệu xác định bằng phương pháp cân bằng nghịch theo công thức sau:
|
| (40) |
Lưu ý: đối với nhiên liệu rắn, lưu lượng tính toán thường chính xác hơn lưu lượng được xác định bằng đo lường.
Phương pháp cân bằng nghịch là phương pháp ưu tiên để xác định hiệu suất. Phương pháp này thường chính xác hơn so với phương pháp cân bằng thuận (xem 5.7.2) do sai số phép đo các tổn thất nhiệt và nhiệt đóng góp thấp hơn so với sai số phép đo tổng năng lượng. Ngoài ra, việc sử dụng phương pháp cân bằng nghịch còn cho phép xác định được các nguyên nhân dẫn đến sự thay đổi về hiệu suất qua các đợt thí nghiệm, đồng thời cho phép dễ dàng hiệu chỉnh hiệu suất theo các điều kiện tiêu chuẩn hoặc điều kiện hợp đồng khi có các sai lệch so với các điều kiện thí nghiệm.
5.7.2 Hiệu suất xác định theo phương pháp cân bằng thuận
Hiệu suất theo phương pháp cân bằng thuận được xác định dựa trên cơ sở đo lưu lượng nhiên liệu để tính năng lượng đầu vào và các thông số cần thiết về hơi và nước trong lò hơi để tính năng lượng đầu ra. Độ không đảm bảo đối với hiệu suất được tính theo phương pháp cân bằng thuận tỷ lệ thuận với độ không đảm bảo của phép đo lưu lượng nhiên liệu, phân tích nhiên liệu đại diện và năng lượng đầu ra của lò hơi. Do đó, để có được kết quả tin cậy, yêu cầu phải xác định chính xác các đại lượng này.
|
| (41) |
trong đó:
| MrF | là lưu lượng đo được của nhiên liệu cấp vào lò |
5.7.3 Độ hội tụ của tính toán hiệu suất
Đối với hầu hết các loại lò hơi, quá trình tính toán hiệu suất được thực hiện bằng cách sử dụng giá trị ước tính cho hiệu suất hoặc lưu lượng nhiên liệu trong tính toán ban đầu và thực hiện phép tính lặp cho đến khi các giá trị nhận được nằm trong giới hạn chấp nhận.
Đối với các tính toán hiệu suất chỉ yêu cầu kết quả có một hoặc hai chữ số thập phân thì giới hạn hội tụ là 0,1% hiệu suất là được chấp nhận (hoặc 1,0% đối với các tính toán thủ công).
Đối với các tính toán để mở rộng hệ số độ nhạy (xem 5.16) thì giới hạn hội tụ cho tính toán hiệu suất được khuyến nghị ở mức 10-5% hiệu suất.
5.8 Đặc tính nhiên liệu
5.8.1 Nhiệt trị của nhiên liệu
Nhiệt trị cao HHVF sử dụng để tính toán là nhiệt trị cao của mẫu thực đốt ở áp suất không đổi. Giá trị HHVF của nhiên liệu rắn và lỏng được xác định bằng bom nhiệt lượng (ở thể tích không đổi) phải được chuyển đổi về nhiệt trị ở áp suất không đổi.
|
| (42) |
trong đó:
|
| là nhiệt trị cao ở thể tích không đổi của nhiên liệu được xác định bằng bơm nhiệt lượng |
| MpH2F | là tỷ lệ % theo khối lượng của H2 trong nhiên liệu |
Đối với nhiên liệu khí, nhiệt trị cao được xác định ở điều kiện áp suất không đổi nên các giá trị được xác định bằng nhiệt lượng kế không cần chuyển đổi.
Các tính toán trong Tiêu chuẩn này sử dụng nhiệt trị cao theo khối lượng (J/kg). Đối với nhiên liệu khí, nhiệt trị cao theo thể tích HHVGF (J/Nm³) phải được chuyển đổi sang nhiệt trị cao theo khối lượng (J/kg) để tương thích với các đơn vị được sử dụng trong quy trình tính toán bằng công thức sau:
|
| (43) |
trong đó:
| DnGF | là khối lượng riêng của khí đốt ở điều kiện nhiệt độ và áp suất tiêu chuẩn được sử dụng để xác định HHVGF, kg/Nm³ |
Đối với nhiên liệu hóa thạch, có thể kiểm tra tính hợp lý của nhiệt trị cao dựa trên giá trị không khí lý thuyết được tính từ kết quả phân tích nguyên tố chính (xem 5.11.3). Nhiệt trị cao dựa trên các giá trị không khí lý thuyết điển hình có thể được ước tính theo công thức sau:
|
| (44) |
trong đó:
| MFrThA MqThAF | là lượng không khí lý thuyết, kg/kg nhiên liệu thực đốt là giá trị thông thường của lượng không khí lý thuyết đối với nhiên liệu cần kiểm chứng, kg/J. (Xem 5.11.3 về các dải giá trị điển hình) |
5.8.2 Phân tích thành phần hóa học của nhiên liệu
Cần thực hiện phân tích các nguyên tố chính của nhiên liệu rắn và lỏng để xác định khối lượng của các nguyên tố đơn lẻ tham gia vào quá trình cháy, hàm lượng tro, độ ẩm toàn phần của mẫu nhiên liệu thực đốt. Trường hợp phân tích các nguyên tố chính được thực hiện theo mẫu khô trong không khí hoặc mẫu khô, thì kết quả phải được chuyển đổi sang mẫu thực đốt. Đối với nhiên liệu khí, khi kết quả phân tích được báo cáo theo mẫu khô hoặc bão hòa thì phải xác định hàm lượng ẩm của mẫu thực đốt để làm cơ sở chuyển đổi các thành phần hóa học và HHVGF sang mẫu thực đốt.
Các thành phần của nhiên liệu được sử dụng để tính lượng không khí cần thiết và các sản phẩm của quá trình cháy là carbon (CF), hydro (H2F), nitơ (N2F), lưu huỳnh (SF), oxy (O2F), nước (H2OF), tro (AsF), được biểu thị theo phần trăm khối lượng. Lưu ý rằng trong các tính toán, đối với nhiên liệu rắn và lỏng thì ký hiệu sử dụng cho thành phần H2OF là WF, còn đối với nhiên liệu khí thì ký hiệu sử dụng cho H2OvF là WvF). Các nguyên tố vi lượng thể khí không được xem xét trong tính toán (như clo) phải được cộng vào nitơ trong nhiên liệu khi tính toán. Thành phần hydro được tính theo mẫu khô (nghĩa là không bao gồm hydro của nước có trong nhiên liệu).
Khi xác định có một lượng carbon chưa cháy hết thì trong các tính toán quá trình cháy phải sử dụng giá trị carbon được đốt cháy (Cb) thay vì carbon thực tế trong nhiên liệu (xem 5.10.5). Tương tự, nếu xác định chắc chắn rằng có một lượng đáng kể hydro chưa cháy hết (lớn hơn 1% lượng hydro thực tế trong nhiên liệu), thì trong các tính toán thì phải sử dụng hydro được đốt cháy (H2b) thay vì hydro thực tế có sẵn trong nhiên liệu. (Xem 5.10.3).
Đối với nhiên liệu rắn, phân tích gần đúng bao gồm xác định chất bốc, carbon cố định, hàm lượng tro, hàm lượng ẩm và hàm lượng lưu huỳnh của mẫu thực đốt. Để xác định hiệu suất, không nhất thiết phải có đầy đủ các thành phần trong kết quả phân tích gần đúng. Kết quả phân tích gần đúng thường được sử dụng vì những lý do dưới đây:
(a) Đây một phương pháp hiệu quả về chi phí so với phân tích các nguyên tố chính nhằm xác định sự thay đổi về hàm lượng tro, hàm lượng ẩm và hàm lượng lưu huỳnh trong quá trình thí nghiệm.
(b) Hàm lượng chất bốc và carbon cố định là các đặc tính cần thiết để xác định entanpi của than cấp vào lò. Khi không xác định các đặc tính này thì trước khi thí nghiệm có thể thống nhất sử dụng các giá trị theo mẫu khô - không tro, nhưng phải được điều chỉnh theo hàm lượng tro và độ ẩm đo được của nhiên liệu thực đốt.
(c) Chất bốc và carbon cố định (thường được biểu thị bằng tỷ lệ carbon cố định trên chất bốc) là một tiêu chí để đánh giá độ khó cháy của than. Đối với các thí nghiệm thông số đảm bảo, tỷ lệ này có thể được sử dụng để đánh giá mức độ tương đương và tinh phù hợp của nhiên liệu thí nghiệm với loại nhiên liệu được quy định theo hợp đồng.
Kết quả phân tích nhiên liệu khí biểu thị thành phần các hợp chất hydrocarbon riêng lẻ và các thành phần khác theo phần trăm thể tích. Đối với các tính toán về quá trình cháy, các kết quả phân tích nhiên liệu khí phải được chuyển đổi sang đơn vị phần trăm theo khối lượng. Tính toán theo các công thức sau:
|
| (45) |
|
| (46) |
|
| (47) |
trong đó:
| j k | là thành phần nhiên liệu được biểu thị theo thể tích hoặc mol, ví dụ như CH4, C2H6,... là cấu tử nhiên liệu được biểu thị theo khối lượng. Đối với Tiêu chuẩn này, các cấu tử đó là C, H2, N2, S, O2 và H2O. Đối với nhiên liệu khí, giả định rằng nước ở trạng thái hơi và ký hiệu H2Ov được sử dụng trong tất cả các tính toán. |
| Mokj | là số mol của cấu tử k trong thành phần j. Ví dụ: - đối với thành phần j là C2H6 và cấu tử k là C, thì Mokj = 2 - đối với thành phần j là C2H6 và cấu tử k là H2, thì Mokj = 3 |
| MpFk MvFk | là phần trăm theo khối lượng của cấu tử k là khối lượng của thành phần k trên một đơn vị thể tích nhiên liệu, kg/mol hoặc kg/m³ |
| MwGF | là phân tử lượng của nhiên liệu khí, kg/mol. Đây là tổng khối lượng của từng giá trị MvFk trên đơn vị mol (hoặc thể tích), kg/mol |
| Mwk | là phân tử lượng của cấu tử k, kg/mol |
| VpGj | là thành phần nhiên liệu thực đốt (ví dụ: CH4, C2H6), % theo thể tích |
5.8.3 Trường hợp đốt nhiều loại nhiên liệu
Khi đốt nhiều loại nhiên liệu, phân tích các nguyên tố chính và nhiệt trị cao phải được tính theo giá trị trung bình có trọng số dựa trên lưu lượng của từng loại nhiên liệu.
Đối với tính toán ban đầu, tổng lượng nhiên liệu đầu vào được ước tính từ lưu lượng nhiên liệu đo được hoặc tính toán từ năng lượng đầu ra và hiệu suất ước tính. Năng lượng đầu vào của nhiên liệu chính (nhiên liệu có lưu lượng chủ đạo) được tính bằng hiệu số giữa tổng năng lượng đầu vào trừ đi phần năng lượng đầu vào được tính toán cho các nhiên liệu có thể đo được lưu lượng. Sau đó, lưu lượng khối lượng của nhiên liệu không đo được sẽ được tính toán từ nhiệt trị cao HHV và năng lượng đầu vào từ nhiên liệu đó. Các tính toán hiệu suất phải được lặp lại cho đến khi năng lượng đầu vào được ước tính và năng lượng đầu vào được tính toán theo năng lượng đầu ra và hiệu suất đo được nằm trong khoảng dung sai hội tụ được đề cập trong 5.7.3.
5.9 Đặc tính của chất hấp thụ và các chất phụ gia khác
Phần này đề cập đến các vật liệu rắn hoặc khí (không phải là nhiên liệu) được bổ sung vào dòng sản phẩm trong phạm vi lò hơi. Các chất phụ gia có thể ảnh hưởng đến hiệu suất và quá trình cháy theo một số cách khác nhau dưới đây:
(a) Các chất phụ gia có thể làm tăng lượng tro xỉ và tổn thất “nhiệt do tro xỉ mang ra ngoài".
(b) Các chất phụ gia có thể tạo ra hơi ẩm làm tăng tổn thất “do độ ẩm trong khói thải’ và làm thay đổi nhiệt dung riêng của khói thải.
(c) Các chất phụ gia có thể bị biến đổi hóa học và thay đổi thành phần khói hoặc có thể thay đổi lượng không khí cần thiết.
(d) Các phản ứng hóa học thu nhiệt sẽ lấy bớt nhiệt, gây ra thêm tổn thất nhiệt.
(e) Các phản ứng hóa học tỏa nhiệt sẽ bổ sung thêm nhiệt, làm tăng thêm lượng nhiệt đóng góp.
Thuật ngữ “chất hấp thụ” được sử dụng để chỉ bất kỳ vật liệu nào (không phải là nhiên liệu) được bổ sung vào dòng sản phẩm cháy trong phạm vi lò hơi. Các tính toán cho đá vôi thể hiện các nguyên tắc tính toán cần thiết đối với ảnh hưởng của hầu hết các chất phụ gia đến hiệu suất và sản phẩm cháy. Nếu ảnh hưởng của các chất phụ gia khác đối với các thành phần hoặc vật chất dạng hạt trong khói được minh chứng một cách độc lập và có thể đo lường được hoặc tính toán được, thì các bên tham gia thí nghiệm có thể tính thêm vào các dòng nhiệt đóng góp hoặc các tổn thất nhiệt liên quan.
5.9.1 MFrSb, Tỷ lệ khối lượng của chất hấp thụ trên nhiên liệu, kg/kg nhiên liệu
Lưu lượng khối lượng của chất hấp thụ phải được xác định một cách chính xác vì đại lượng này ảnh hưởng đến toán hiệu suất và quá trình cháy.
Để đơn giản hóa việc tính toán hiệu suất và quá trình cháy, lưu lượng khối lượng của chất hấp thụ được chuyển đổi thành tỷ lệ khối lượng chất hấp thụ trên khối lượng nhiên liệu. Lưu lượng khối lượng của nhiên liệu được đo hoặc được ước tính ban đầu. Các phép tính hiệu suất được lặp lại cho đến khi lưu lượng khối lượng của nhiên liệu được ước tính và được tính toán nằm trong khoảng dung sai hội tụ được đề cập trong 5.7.3.
|
| (48) |
trong đó:
| MrF | là lưu lượng khối lượng của nhiên liệu, kg/s. Lặp lại tính toán hiệu suất cho đến khi giá trị tính toán của MrF hội tụ với giá trị ước tính (theo hướng dẫn trong 5.7.3). |
| MrSb | là lưu lượng khối lượng đo được của chất hấp thụ, kg/s |
5.9.2 MFrSbk, Khối lượng các thành phần trong chất hấp thụ, kg/kg nhiên liệu
Các thành phần quan trọng trong chất hấp thụ là các sản phẩm phản ứng, độ ẩm và chất trơ. Khối lượng của mỗi thành phần được chuyển đổi thành khối lượng trên khối lượng nhiên liệu như sau:
|
| (49) |
trong đó:
| k | là thành phần trong chất hấp thụ. Các thành phần phản ứng bao gồm: CaCO3 (Cc) Ca(OH)2 (Ch) MgCO3 (Mc) Mg(OH)2 (Mh) |
| MpSbk | là tỷ lệ phần trăm của thành phần k trong chất hấp thụ |
5.9.3 MqCO2Sb, Khí từ quá trình nung chất hấp thụ, kg/J
Khi cấp nhiệt cho CaCO3 và MgCO3 thì CO2 được giải phóng, làm tăng thêm khối lượng của khí khô.
|
| (50) |
|
| (51) |
|
| (52) |
trong đó:
| k MFrCO2Sb | là các thành phần có chứa carbonat, điển hình là CaCO3 (Cc) và MgCO3 (Mc) là tỷ lệ khối lượng của khí (CO2) từ chất hấp thụ, kg/kg nhiên liệu, trong đó 44,0098 là phân tử lượng của CO2 |
| MoCO2Sb | là số mol khí (CO2) thoát ra từ chất hấp thụ, mol/kg nhiên liệu |
| MoFrClhk | là tỷ lệ nung đối với thành phần k, tính bằng số mol CO2 thoát ra trên số mol của thành phần. Đối với MgCO3 (Mc), tỷ lệ nung có thể được tính bằng 1,0. Đối với CaCO3 (Cc), tỷ lệ nung được xác định theo 5.10.8. |
| MqCO2Sb | là khối lượng khí (CO2) thoát ra từ chất hấp thụ trên tổng năng lượng đầu vào từ nhiên liệu, kg/J |
| Mwk | phân tử lượng của thành phần k, kg/mol |
5.9.4 MqWSb, Nước từ chất hấp thụ, kg/J
Tổng hàm lượng ẩm từ chất hấp thụ là hàm lượng ẩm có sẵn trong chất hấp thụ cộng với độ ẩm thoát ra do sự tách nước của Ca(OH)2 và Mg(OH)2.
|
| (53) |
|
| (54) |
|
| (55) |
|
| (56) |
trong đó:
| k | là các thành phần có chứa nước hoặc hydroxit bị tách nước, điển hình Ca(OH)2 (Ch) và Mg(OH)2 (Mh) |
| MFrH2OSb MFrWSb | là tỷ lệ khối lượng của nước có trong chất hấp thụ, kg/kg nhiên liệu là tỷ lệ khối lượng của tổng lượng nước từ chất hấp thụ, kg/kg nhiên liệu |
| MoFrClhk | là tỷ lệ mol của quá trình tách nước của thành phần k (thường được tính bằng 1,0), số mol H2O được tách ra trên số mol của thành phần đó |
| MoWSb MqWSb | là tổng số mol nước từ chất hấp thụ, mol/kg nhiên liệu là khối lượng của tổng lượng nước từ chất hấp thụ trên một đơn vị năng lượng đầu vào từ nhiên liệu, kg/J |
| MrWSb | lưu lượng khối lượng của tổng lượng nước từ chất hấp thụ, kg/s |
5.9.5 MFrSc, Tỷ lệ khử lưu huỳnh, kg/kg
Tỷ lệ khử lưu huỳnh là khối lượng lưu huỳnh được khử chia cho tổng khối lượng lưu huỳnh hiện hữu. Tỷ lệ khử lưu huỳnh được xác định từ hàm lượng O2 và SO2 đo được trong khói thải. Nếu không sử dụng chất hấp thụ hoặc các thiết bị khử lưu huỳnh trong phạm vi lò hơi thì tỷ lệ khử lưu huỳnh (MFrSc) được tính bằng 0.
5.9.5.1 MFrSc khi SO2 và O2 được đo theo mẫu khói khô
|
| (57) |
|
| (58) |
|
| (59) |
|
| (60) |
trong đó:
| DVpO2 và DVpSO2 | là hàm lượng O2 và SO2 đo được trong khói, % theo thể tích. Các đại lượng này phải được đo tại cùng một vị trí và được biểu thị theo mẫu khói khô. Khi SO2 được đo bằng ppm (phần triệu) thì giá trị này phải chuyển đổi sang giá trị tính theo % |
| MoDPcu | là số mol sản phẩm khô từ quá trình cháy nhiên liệu (CO2, SO2, N2 từ nhiên liệu) với 100% lưu huỳnh chuyển hóa thành SO2 cộng với khí khô (CO2) từ chất hấp thụ, mol/khối lượng nhiên liệu |
| MoSO2 | là số mol của SO2 trên mỗi kg nhiên liệu có thể được tạo ra bằng sự chuyển hóa 100% lưu huỳnh trong nhiên liệu thành SO2, mol/kg nhiên liệu |
5.9.5.2 MFrSc khi SO2 và O2 được đo theo màu khói ẩm
|
| (61) |
|
| (62) |
|
| (63) |
|
| (64) |
trong đó:
| MFrWA MFrWAdz | là khối lượng hơi ẩm trong không khí trên khối lượng không khí khô, kg/kg là hàm lượng ẩm bổ sung tại vị trí z, ví dụ: hơi để tán sương nhiên liệu và hơi thổi bụi kg/kg nhiên liệu thực đốt. Xem 5.12.7 |
| MoWA MoWPcu | là số mol hơi ẩm trên số mol không khí khô, mol/mol. Xem 5.11.4.3 bằng MoDPcu cộng với số mol nước từ nhiên liệu, cộng với số mol nước từ chất hấp thụ, cộng với số mol nước do độ ẩm bổ sung, mol/khối lượng nhiên liệu |
| VpO2 và VpSO2 | hàm lượng O2 và SO2 trong khói thải, % theo thể tích. Các đại lượng này phải được đo tại cùng một vị trí và được biểu thị theo mẫu khói ẩm. Khi SO2 được đo bằng ppm (phần triệu) thì giá trị này phải chuyển đổi sang giá trị theo % |
5.9.6 MoFrCaS, Tỷ lệ mol canxi trên lưu huỳnh, mol/mol
|
| (65) |
trong đó:
| CaCO3 Ca(OH)2 MpCak MwCak MwS | là canxi carbonat (Cc), MW = 100,087 là canxi hydroxit (Ch), MW = 74,0927 là phần trăm canxi trong chất hấp thụ ở dạng cấu tử k, % theo khối lượng là phân tử lượng của hợp chất chứa canxi k, kg/mol phân tử lượng của lưu huỳnh, 32,065 kg/mol |
5.9.7 MFrSsb và MFrO3ACr - Tỷ lệ khối lượng của bã chất hấp thụ và tỷ lệ khối lượng của O3 từ việc hiệu chỉnh không khí, kg/kg nhiên liệu
Bã chất hấp thụ là phần cặn rắn còn lại từ chất hấp thụ sau quá trình bay hơi hàm lượng ẩm trong chất hấp thụ, các quá trình nung khô, khử nước và tăng khối lượng do quá trình Sulfat hóa (quá trình hình thành CaSO4 từ CaO và MgSO4 từ MgO). O3 được lấy từ không khí kết hợp với lưu huỳnh trong nhiên liệu để tạo ra SO3 và sẽ ở lại trong bã chất hấp thụ dưới dạng một hợp chất rắn. Do đó cần phải hiệu chỉnh lưu lượng khói do giảm bớt một lượng O3 từ không khí.
|
| (66) |
|
| (67) |
|
| (68) |
|
| (69) |
|
| (70) |
trong đó:
| MFrO3ACr | là tỷ lệ khối lượng của O3 từ không khí cần thiết để tạo thành SO3 trong quá trình sulfat hóa, kg/kg. Hằng số 0,6 là tỷ số giữa phân tử lượng của O3 và phân tử lượng của SO3. |
| MFrSO3 | tỷ lệ khối lượng của SO3 được tạo thành trong quá trình sulfat hóa (khử lưu huỳnh), kg/kg nhiên liệu. Hằng số 0,025 là tỷ số giữa phân tử lượng của SO3 và phân tử lượng của lưu huỳnh và chia tiếp cho 100 để chuyển đổi từ % sang tỷ lệ theo khối lượng |
| MoO3ACr | là giá trị hiệu chỉnh lưu lượng khói khô đối với lượng O3 trong không khí cần thiết để tạo thành SO3, mol/kg nhiên liệu |
| MqO3ACr | là giá trị hiệu chỉnh lưu lượng khói khô đối VỚI O3 trong không khí cần thiết để tạo thành SO3, kg/J |
| MwO3 | phân tử lượng của O3, 47,9982 kg/mol |
5.10 Đặc tính tro xỉ
Tro xỉ là phần tro và nhiên liệu chưa cháy hết được lấy ra khỏi lò hơi. Khi đưa chất hấp thụ như đá vôi hoặc vật liệu trơ như cát vào lò, thì tro xỉ bao gồm cả bã chất hấp thụ.
5.10.1 MFrRs, Khối lượng tro xỉ, kg/kg nhiên liệu
Tro trong nhiên liệu và bã chất hấp thụ được chuyển đổi thành tỷ lệ khối lượng tro xỉ trên khối lượng nhiên liệu.
|
| (71) |
trong đó:
| MFrSsb MpAsF MpCRs | là tỷ lệ khối lượng của bã chất hấp thụ trên khối lượng nhiên liệu, kg/kg nhiên liệu là hàm lượng tro trong nhiên liệu, % theo khối lượng là carbon chưa cháy hết trong tro xỉ, % theo khối lượng |
5.10.2 MqRsz, Khối lượng tro xỉ tại vị trí z, kg/J
Cần xác định khối lượng tro xỉ được thải ra khỏi phạm vi lò hơi cho các tính toán cân bằng năng lượng và các tính toán tro xỉ trung gian dưới đây.
|
| (72) |
trong đó:
| MpRsz | là tỷ lệ phần trăm của tổng lượng tro xỉ thải ra khỏi phạm vi lò hơi tại vị trí z, % |
Trường hợp không thể đo được lượng tro xỉ tại tất cả các điểm thải ra khỏi lò hơi thì lượng tro xỉ không đo được có thể được xác định bằng cách lấy tổng lượng tro xỉ tính toán trừ đi lượng tro xỉ đo được. Tỷ lệ phân bố tro xỉ ước tính tại các vị trí không đo được phải được các bên tham gia thí nghiệm đồng thuận.
|
| (73) |
trong đó:
| MrF MpRsz MrRsz | là lưu lượng khối lượng của nhiên liệu, kg/s. là tỷ lệ tro xỉ thu được tại vị trí z, % là lưu lượng khối lượng của tro xỉ tại vị trí z, kg/s |
Vị trí thông thường để đo khối lượng tro xỉ rời khỏi lò hơi là các điểm tháo bụi hoặc tro bay (xem 4.11). Kết quả đo tải lượng bụi có thể được tính bằng khối lượng tro trên một đơn vị thể tích khói. Lưu lượng khối lượng của tro xỉ dựa trên kết quả đo tải lượng bụi được tính như sau:
|
| (74) |
trong đó:
| C1 = DnFg MrFg MvRs | 1000 g/kg là khối lượng riêng của khói ẩm ở các điều kiện khi xác định MvRs, kg/m³ là lưu lượng khối lượng của khói ẩm (xem 5.12.9), kg/s là kết quả đo tải lượng bụi được xác định theo 4.11, g/m³ |
5.10.3 MpCRs, Carbon chưa cháy hết trong tro xỉ, %
Carbon chưa cháy hết trong tro xỉ (MpCRs) chỉ bao gồm carbon tự do và giá trị này được sử dụng để xác định lượng carbon từ nhiên liệu chưa được đốt cháy hoàn toàn. Kết quả phân tích trong phòng thí nghiệm phải chỉ rõ giá trị là tổng carbon (MpToCRs) hay carbon tự do (MpCRs).
Trường hợp tro xỉ có chứa cả carbon tự do, carbon ở dạng carbonat và CO2 thì phải tính toán carbon tự do từ tổng carbon (MpToCRs) và hàm lượng carbon đioxit trong tro xỉ (MpCO2Rs) theo công thức sau:
|
| (75) |
Khi tro xỉ được thu gom tại nhiều vị trí, giá trị trung bình có trọng số của carbon và CO2 trong tro xỉ được tính như sau:
|
| (76) |
|
| (77) |
5.10.4 MpUbC, Carbon chưa cháy hết trong nhiên liệu, % theo khối lượng
Carbon chưa cháy hết trong tro xỉ được sử dụng để tính tỷ lệ phần trăm carbon chưa cháy hết trong nhiên liệu theo công thức sau:
|
| (78) |
5.10.5 MpCb, Carbon đã được đốt cháy, % theo khối lượng
Tỷ lệ phần trăm carbon trong nhiên liệu thực tế đã được đốt cháy là hiệu số giữa carbon trong nhiên liệu theo kết quả phân tích các nguyên tố chính trừ đi carbon chưa cháy hết. Trong các tính toán cân bằng phản ứng cháy, phải sử dụng giá trị carbon thực tế đã được đốt cháy (MpCb) thay vì sử dụng giá trị carbon hiện hữu trong nhiên liệu.
|
| (79) |
CHÚ THÍCH: Nếu xác định có lượng hydro chưa cháy (MpUbH2) thì trong các tính toán quá trình cháy và tính toán hiệu suất phải sử dụng giá trị hydro thực tế đã được đốt cháy (MpH2b) thay vì giá trị MpH2F.
|
| (80) |
5.10.6 MpCbo, Tỷ lệ carbon đã cháy hết, %
Tỷ lệ carbon đã cháy hết là lượng carbon đã được đốt cháy chia cho lượng carbon hiện hữu trong nhiên liệu và được biểu thị bằng phần trăm (%).
|
| (81) |
5.10.7 ECm, Hiệu suất cháy, %
Hiệu suất cháy có giá trị bằng 100 trừ đi các tổn thất do cháy không hoàn toàn trong 5.14 (không bao gồm tổn thất do tạp vật từ máy nghiền than).
|
| (82) |
5.10.8 MoFrClhCc, Tỷ lệ nung CaCO3, mol CO2/mol CaCO3
Tỷ lệ nung được xác định từ lượng CO2 đo được trong tro xỉ theo công thức sau:
|
| (83) |
trong đó:
| MFrSb MpCO2Rs MpSbCc MwCc MwCO2 | là tỷ lệ theo khối lượng của chất hấp thụ, kg/kg nhiên liệu là lượng CO2 trong tro xỉ, % theo khối lượng là lượng CaCO3 (Cc) trong chất hấp thụ, % là phân tử lượng của CaCO3 (Cc), 100,087 kg/mol là phân tử lượng của CO2, 44,0098 kg/mol |
5.11 Đặc tính của không khí cấp cho quá trình cháy
5.11.1 Tính chất vật lý
Các tính toán sử dụng trong Tiêu chuẩn này dựa trên thành phần của không khí như sau: 0,20946 mol O2; 0,78102 mol N2; 0,00916 mol Ar; 0,00033 mol CO2 và các nguyên tố vi lượng khác trên một mol không khí có phân tử lượng trung bình là 28,9625.
Để đơn giản hóa việc tính toán, thành phần nitơ (N2) bao gồm cả argon và các nguyên tố vi lượng khác, được gọi là “nitơ khí quyển” (N2a), có phân tử lượng tương đương là 28,158.
Các đặc tính danh nghĩa của không khí được sử dụng trong Tiêu chuẩn này là
(a) Thành phần theo thể tích: oxy chiếm 20,95%, nitơ chiếm 79,05%
(b) Thành phần theo khối lượng: oxy chiếm 23,14%, nitơ chiếm 76,86%
5.11.2 MFrWDA, Hàm lượng ẩm trong không khí, kg/kg không khí khô
Hàm lượng ẩm trong không khí được xác định từ nhiệt độ bầu ướt và bầu khô đo được đối với không khí cấp vào lò hoặc từ nhiệt độ bầu khô và độ ẩm tương đối kết hợp với đồ thị nhiệt ẩm, hoặc được tính toán theo áp suất hơi nước trong không khí theo công thức của Carrier (85) khi đo nhiệt độ bầu ướt, hoặc công thức (86) khi đo độ ẩm tương đối.
|
| (84) |
|
| (85) |
|
| (86) |
|
| (87) |
trong đó:
| C1 | = 610,7 |
| C2 | = 44,445 |
| C3 | = 1,4131 |
| C4 | = 2,763x10-2 |
| C5 | = 2,594x10-4 |
| C6 | = 2,862x10-6 |
| Pa | áp suất khí quyển, Pa. |
| PpWvA | áp suất riêng phần của hơi nước trong không khí, Pa. Giá trị này có thể được tính từ độ ẩm tương đối hoặc nhiệt độ bầu ướt và khô |
| PsWvTz | áp suất bão hòa của hơi nước ở nhiệt độ bầu ướt, PsWvTwb, hoặc nhiệt độ bầu khô, PsWvTdb, Pa. Đa thức tính toán trên đây áp dụng cho dải nhiệt độ từ 0°C đến 60°C. |
| Rhmz | độ ẩm tương đối tại vị trí z |
| Tdbz | nhiệt độ không khí (bầu khô) tại vị trí z, °C |
| Twbz | nhiệt độ không khí (bầu ướt) tại vị trí z, °C |
5.11.3 MqThACr, Không khí lý thuyết (được hiệu chỉnh), kg/J
Không khí lý thuyết là lượng không khí tối thiểu cần thiết trong điều kiện lý tưởng để đốt cháy hoàn toàn nhiên liệu (nghĩa là carbon thành CO2, hydro thành H2O và lưu huỳnh thành SO2).
|
| (88) |
|
| (89) |
trong đó các thành phần MpCF, MpH2F, MpSF và MpO2F trong nhiên liệu được tính bằng phần trăm theo khối lượng.
Đối với các nhiên liệu hóa thạch điển hình, giá trị tính toán của không khí lý thuyết là một giá trị hữu ích để kiểm tra tính hợp lý của kết quả phân tích nhiên liệu. Giá trị không khí lý thuyết được tính theo đơn vị kg/MJ, và nếu kết quả phân tích nhiên liệu hợp lý thì giá trị này phải nằm trong các phạm vi được đưa ra dưới đây:
(a) Than (có VMmaf > 30%): 0,316 kg/MJ đến 0,334 kg/MJ (VMmaf là hàm lượng chất bốc theo mẫu khô không tro)
(b) Dầu: 0,316 kg/MJ đến 0,325 kg/MJ
(c) Khí đốt thiên nhiên: 0,308 kg/MJ đến 0,316 kg/MJ
Không khí lý thuyết cho carbon và hydro lần lượt là 0,351 kg/MJ và 0,222 kg/MJ, và đó cũng là giá trị lớn nhất và nhỏ nhất thực tế đối với nhiên liệu hydrocarbon.
Không khí lý thuyết (được hiệu chỉnh) là lượng không khí cần thiết để hoàn thành quá trình cháy nhiên liệu đã được khí hóa và hỗ trợ các phản ứng hóa học thứ cấp với lượng O2 dư bằng 0. Theo định nghĩa này, các sản phẩm lý thuyết của quá trình cháy sẽ không có CO hoặc hydrocarbon ở thể khí.
|
| (90) |
|
| (91) |
|
| (92) |
trong đó:
| MFrSc | là tỷ lệ khử lưu huỳnh, kg/kg. Giá trị này được tính bằng 0 khi quá trình khử lưu huỳnh xảy ra bên ngoài phạm vi lò hơi. Xem 5.9.5 về phương pháp tính toán. |
| MoThACr MpCsb MqThACr | là không khí lý thuyết (được hiệu chỉnh), mol/khối lượng nhiên liệu thực đốt = MpCF - MpUbC là carbon đã được đốt cháy, % theo khối lượng là không khí lý thuyết (được hiệu chỉnh), kg/J. |
|
| Lưu ý: khi áp dụng quá trình khử lưu huỳnh, các tính toán về lượng không khí thừa và quá trình cháy phụ thuộc vào việc khử lưu huỳnh ở trước hay ở sau vị trí đo thành phần khói thải. |
5.11.4 XpA, Tỷ lệ không khí thừa, %
Tỷ lệ không khí thừa được xác định như sau:
|
| (93) |
Trong Tiêu chuẩn này, không khí lý thuyết đã hiệu chỉnh [công thức (90)] được sử dụng làm cơ sở để tính lượng không khí thừa. Tỷ lệ không khí thừa cũng có thể được xác định dựa trên lượng không khí lý thuyết (trong điều kiện lý tưởng) và được tính toán bằng cách thay thế giá trị không khí lý thuyết lý tưởng [tính theo công thức (88) hoặc (89)] vào công thức (93) trên đây.
Để tính toán hiệu suất, không khí thừa phải được xác định tại các vị trí: đầu ra của bộ hâm nước hoặc đầu ra của bộ sấy không khí (nếu có lắp bộ sấy không khí). Đo hàm lượng O2 trong khói thải là phương pháp được ưu tiên sử dụng để làm cơ sở tính lượng không khí thừa trong Tiêu chuẩn này.
5.11.4.1 Trường hợp hàm lượng O2 được đo theo mẫu khói khô
Phương pháp phân tích theo mẫu khói khô được áp dụng khi hàm lượng ẩm trong khói được ngưng tụ (ví dụ: khi sử dụng hệ thống lấy mẫu kiểu chiết tách).
|
| (94) |
|
| (95) |
trong đó:
| DVpO2 MFrSc MoCOlSb MoDPc | là hàm lượng O2 trong khói, % theo thể tích, xác định theo mẫu khói khô là tỷ lệ khối lượng của lưu huỳnh được khử, kg/kg nhiên liệu là số mol khí từ chất hấp thụ, mol/kg nhiên liệu. Xem 5.9 về phương pháp tính toán là số mol sản phẩm khô từ quá trình cháy nhiên liệu, mol/khối lượng nhiên liệu. |
5.11.4.2 Tính DVpO2, DVpCO2, DVpSO2, DVpN2f và DVpN2a theo mẫu khói khô khi biết tỷ lệ không khí thừa
|
| (96) |
|
| (97) |
|
| (98) |
|
| (99) |
|
| (100) |
|
| (101) |
trong đó:
| DVpCO2 | là hàm lượng CO2 trong khói, %. Lưu ý: để so sánh với phân tích Orsat, phải tính thêm giá trị DVpSO2. |
| DVpN2a DVpN2F | là hàm lượng nitơ khí quyển (từ không khí) trong khói (xem 5.11.1), % theo thể tích là hàm lượng nitơ từ nhiên liệu trong khói, % theo thể tích. Lưu ý: đại lượng này được biểu thị tách biệt với nitơ khí quyển để chỉ ra sự khác biệt về kỹ thuật giữa hai loại. Do lượng nitơ từ nhiên liệu nói chung là không đáng kể so với nitơ khí quyển, nên việc tính toán đại lượng này có thể được bỏ qua. |
| DVpSO2 MoDFg MoO3ACr | là hàm lượng SO2 trong khói, % thể tích là số mol khói khô trên khối lượng nhiên liệu thực đốt, mol/kg nhiên liệu thực đốt là giá trị hiệu chỉnh lưu lượng khói khô đối với lượng O3 trong không khí cần thiết để tạo thành SO3, mol/kg nhiên liệu (xem 5.9.7) |
5.11.4.3 Trường hợp hàm lượng O2 được đo theo mẫu khói ẩm
Phương pháp phân tích theo mẫu khói ẩm được áp dụng khi mẫu khói có bao gồm hàm lượng ẩm (ví dụ như khi thực hiện phân tích trực tiếp và khi hệ thống chiết tách mẫu có gia nhiệt).
|
| (102) |
|
| (103) |
|
| (104) |
trong đó:
| 1,608 | là tỷ số giữa phân tử lượng của không khí khô (28,9625) và phân tử lượng của nước (18,0153) |
| MFrWAdz | là hàm lượng ẩm bổ sung tại vị trí z, (ví dụ: hơi phun để tán sương dầu đốt và hơi thổi bụi, kg/kg nhiên liệu thực đốt). Xem 5.12.7. |
| MFrWDA MoWA MoWPc | là hàm lượng ẩm trong không khí, kg H2O/kg không khí khô là số mol hơi ẩm trong không khí, mol H2O/mol không khí khô bằng giá trị MoDPc cộng với số mol sản phẩm ẩm từ quá trình cháy nhiên liệu, sản phẩm ẩm từ chất hấp thụ và bất kỳ hàm lượng ẩm bổ sung nào, mol/kg nhiên liệu |
| MoWSb MpWF VpO2 | là tổng lượng nước từ chất hấp thụ, mol/kg nhiên liệu. Xem 5.9. là H2O trong nhiên liệu, % theo khối lượng là hàm lượng O2 trong khói, % theo thể tích, xác định theo mẫu khói ẩm |
5.11.4.4 Tính VpO2, VpCO2, VpSO2, VpH2O, VpN2F và VpN2a theo mẫu khói ẩm khi biết tỷ lệ không khí thừa
|
| (105) |
|
| (106) |
|
| (107) |
|
| (108) |
|
| (109) |
|
| (110) |
|
| (111) |
trong đó:
| MoFg | là số mol khói ẩm trên khối lượng nhiên liệu thực đốt, mol/kg nhiên liệu thực đốt |
5.11.5 MqDAz, Lượng không khí khô, kg/J
Lượng không khí khô đi vào lò hơi phía trước vị trí z được tính từ lượng không khí thừa sẽ hiện diện tại vị trí z như sau:
|
| (112) |
|
| (113) |
5.11.6 MrAz, Lưu lượng không khí ẩm, kg/s
Lượng không khí ẩm tại bất kỳ vị trí z là tổng của lượng không khí khô cộng với hàm lượng ẩm trong không khí.
|
| (114) |
|
| (115) |
trong đó:
| QrF | là năng lượng đầu vào từ nhiên liệu, W |
Lưu ý: để xác định lưu lượng khối lượng của không khí ra khỏi bộ sấy không khí (đến đầu đốt), tỷ lệ không khí thừa trong khói đi ra khỏi bộ hâm nước phải giảm bớt lượng ước tính không khí rò lọt vào lò do lắp đặt.
5.11.7 Dn, Khối lượng riêng của không khí, kg/m³
Khối lượng riêng của không khí ẩm được tính toán bằng cách sử dụng phương trình khí lý tưởng.
|
| (116) |
|
| (117) |
|
| (118) |
trong đó:
| C1 = C2 = C3 = MwA Pa PAz R Rk TAz | 1,0 J/m³ 1,0 Pa/Pa 273,2 °C là phân tử lượng của không khí ẩm, kg/mol là áp suất khí quyển, Pa là áp suất tĩnh của không khí tại điểm z, Pa là hằng số khí chung, 8314,5 J/(kg mol K) là hằng số khí riêng đối với khí k, J/(kg K) là nhiệt độ không khí tại điểm z, °C |
5.12 Các sản phẩm trong khói
Lượng khói được tính toán theo cân bằng phản ứng cháy từ thành phần nhiên liệu và tỷ lệ không khí thừa. Lưu ý: các tính toán sẽ không có ý nghĩa nếu có một lượng đáng kể hydro hoặc các hợp chất hydrocarbon khác chưa cháy tồn tại trong khói.
Tổng các sản phẩm dạng khí được gọi là “khói ẩm". Các sản phẩm rắn (như tro từ nhiên liệu, carbon chưa cháy và bã chất hấp thụ) được xem xét riêng và không được tính vào khối lượng khói ẩm. Khói ẩm là đại lượng cần thiết để tính toán mức lọt gió của bộ sấy không khí, tổn thất năng lượng của thiết bị kiểm soát phát thải khói nóng và để hiệu chỉnh trở lực đường khói.
Tổng các sản phẩm dạng khí không bao gồm hàm lượng ẩm được gọi là “khối khô” và được sử dụng trong tính toán hiệu suất theo cân bằng năng lượng.
5.12.1 MqFgF, Lượng khói ẩm từ nhiên liệu, kg/J
|
| (119) |
trong đó:
| MFrSc MpAsF MpSF MpUbC | là tỷ lệ khối lượng của lưu huỳnh được khử, kg/kg là hàm lượng tro trong nhiên liệu, % theo khối lượng là hàm lượng lưu huỳnh trong nhiên liệu, % theo khối lượng là lượng carbon chưa cháy hết, % theo khối lượng |
5.12.2 MqWF, MqWvF, Lượng ẩm từ H2O (nước) trong nhiên liệu, kg/J
|
| (120) |
trong đó:
| MpWF | là hàm lượng nước trong nhiên liệu, % theo khối lượng |
Đối với nhiên liệu khí, hàm lượng ẩm được coi là ở trạng thái hơi. Hơi nước từ nhiên liệu (MpWvF) phải được tính tách biệt với phần nước ở trạng thái lỏng trong các tính toán cân bằng năng lượng.
5.12.3 MqWH2F, Lượng ẩm từ quá trình cháy hydro trong nhiên liệu, kg/J
|
| (121) |
5.12.4 MqCO2Sb, Lượng sản phẩm khí từ chất hấp thụ, kg/J
|
| (122) |
5.12.5 MqWSb, Lượng nước từ chất hấp thụ, kg/J
|
| (123) |
5.12.6 MqWAz, Lượng ẩm trong không khí, kg/J
Lượng ẩm trong không khí tỷ lệ với lượng không khí thừa và phải được tính toán cho từng vị trí z, tại nơi xác định tỷ lệ không khí thừa.
|
| (124) |
5.12.7 MqWAdz, Lượng ẩm bổ sung trong khói, kg/J
Đại lượng này tính cho mọi lượng ẩm được bổ sung vào khói mà chưa được tính ở trên. Các nguồn ẩm bổ sung điển hình là hơi để tán sương nhiên liệu và hơi thổi bụi. Lượng ẩm bổ sung đo theo lưu lượng khối lượng được chuyển đổi thành khối lượng ẩm trên một đơn vị khối lượng nhiên liệu để tính toán theo cân bằng phản ứng cháy.
|
| (125) |
|
| (126) |
trong đó:
| MrStz | là tổng các nguồn ẩm bổ sung đo được đi vào lò hơi ở phía trước vị trí z, kg/s |
Lượng ẩm do bốc hơi nước trong hố thải xỉ được coi là không đáng kể so với lưu lượng khối lượng của khói và có thể được bỏ qua trong tính toán này. Tuy nhiên, nếu có thực hiện đo lường thì lượng ẩm này phải được gộp vào tổng các nguồn ẩm bổ sung trên đây.
5.12.8 MqWFgz, Tổng lượng ẩm trong khói, kg/J
Tổng lượng ẩm trong khói tại vị trí z bất kỳ là tổng các lượng ẩm từ các nguồn riêng lẻ, được xác định như sau:
|
| (127) |
5.12.9 MqFgz, Tổng khối lượng khói ẩm, kg/J
Tổng khối lượng khói ẩm tại vị trí z bất kỳ là tổng lượng không khí khô (trừ đi phần hiệu chỉnh lưu lượng không khí khô đối với lượng O3 trong không khí cần thiết để tạo thành SO3), hàm lượng ẩm trong không khí, khói ẩm từ quá trình đốt nhiên liệu, sản phẩm khí từ chất hấp thụ, nước từ chất hấp thụ, và mọi hàm lượng ẩm bổ sung khác.
|
| (128) |
Lưu lượng khối lượng của khói ẩm tại vị trí z bất kỳ có thể được xác định như sau:
|
| (129) |
5.12.10 MqDFgz, Khối lượng khói khô, kg/J
Khối lượng khói khô là hiệu số giữa lượng khói ẩm và tổng lượng ẩm trong khói tại vị trí z.
|
| (130) |
5.12.11 MpWFgz, Hàm lượng ẩm trong khói, % theo khối lượng
Tỷ lệ % hàm lượng ẩm trong khói ẩm là đại lượng cần thiết để xác định entanpi của khói thải.
|
| (131) |
5.12.12 MpRsFg, Các sản phẩm thể rắn trong khói, % theo khối lượng
Các sản phẩm thể rắn trong khói làm tăng entanpi của khói. Khi khối lượng sản phẩm rắn vượt quá 6,45 kg/GJ năng lượng đầu vào từ nhiên liệu, hoặc khi có sử dụng chất hấp thụ, thì cần phải tính khối lượng sản phẩm rắn trong khói.
|
| (132) |
trong đó:
| MpRsz | là tỷ lệ phần trăm tổng sản phẩm thể rắn trong khói tại vị trí z, % khói ẩm |
5.12.13 DnFg, Khối lượng riêng của khói ẩm, kg/m³
Khối lượng riêng của khói ẩm được tính toán bằng cách sử dụng phương trình khí lý tưởng. Xem 5.11 về phương pháp tính toán thành phần khói theo thể tích và tính toán khối lượng riêng của không khí.
|
| (133) |
|
| (134) |
Khi các thành phần của khói được tính toán theo mẫu khói ẩm thì phân tử lượng của khói ẩm được tính như sau:
|
| (135) |
Khi các thành phần của khói được tính toán theo mẫu khói khô thì phân tử lượng của khói ẩm được tính như sau:
|
| (136) |
|
| (137) |
|
| (138) |
trong đó:
| C1 = C2 = C3 = DVpH2O MoDFg | 1,0 J/m³ 1,0 Pa/Pa 273.2 °C là phần trăm H2O trong khói, mẫu khói khô, % theo thể tích là số mol khói khô. Xem công thức (101) |
| MoFg | là số mol khói ẩm. Xem công thức (111) |
| MwDFg | là phân tử lượng của khói khô, kg/mol |
| MwFg | lả phân tử lượng của khói ẩm, kg/mol |
| Pa | là áp suất khí quyển, Pa |
| PFgz | là áp suất tĩnh của khói tại điểm z, Pa |
| R | là hằng số khí chung, 8314.5 J/(kg mol K) |
| Rk | là hằng số khí riêng đối với khí k, J/(kg K) |
| TFgz | là nhiệt độ khói tại điểm z, °C |
5.13 Nhiệt độ không khí và khói
5.13.1 TRe, Nhiệt độ tham chiếu, °C
Nhiệt độ tham chiếu là nhiệt độ được lấy làm chuẩn để so sánh các dòng nhiệt đi vào và đi ra khỏi phạm vi lò hơi (ví dụ: không khí, nhiên liệu, chất hấp thụ và khói) khi tính toán nhiệt đóng góp và các tổn thất nhiệt. Nhiệt độ tham chiếu đối với Tiêu chuẩn này là 25°C và không liên quan đến bất kỳ nhiệt độ của dòng nhiệt cụ thể nào. Năng lượng nhiệt đóng góp sẽ có giá trị âm đối với bất kỳ dòng nhiệt nào đi vào phạm vi lò hơi với nhiệt độ thấp hơn nhiệt độ tham chiếu.
5.13.2 TMnAEn, Nhiệt độ trung bình của không khí cấp vào lò, °C
Nhiệt độ không khí cấp vào lò là đại lượng cần thiết để tính toán nhiệt đóng góp do sự chênh lệch giữa nhiệt độ không khí cấp vào lò và nhiệt độ tham chiếu TRe. Nhiệt độ không khí đi vào các quạt có thể được lấy bằng nhiệt độ ở điều kiện môi trường thiết kế, trừ khi có quy định khác (ví dụ: khi không khí cấp vào đầu hút của quạt được lấy từ không khí bên trong nhà lò).
Khi sử dụng các giàn ống của bộ gia nhiệt sơ bộ không khí và năng lượng được cung cấp cho giàn ống là từ nguồn bên ngoài phạm vi lò hơi, thì nhiệt độ không khí cấp vào lò là nhiệt độ không khí ra khỏi các giàn ống gia nhiệt sơ bộ. Khi năng lượng cung cấp cho giàn ống gia nhiệt sơ bộ không khí được cung cấp từ bên trong phạm vi lò hơi (tức là dùng hơi từ lò hơi), thì nhiệt độ không khí cấp vào lò là nhiệt độ không khí đi vào các giàn ống gia nhiệt sơ bộ. (Xem vị trí số 8 trong các hình từ Hình 1 đến Hình 6).
Khi có từ hai quạt cùng loại trở lên (ví dụ: khi sử dụng hai quạt đẩy) thì có thể giả định các luồng không khí là cân bằng giữa các quạt và sử dụng giá trị trung bình số học của nhiệt độ không khí trong mỗi luồng không khí cấp vào quạt. Trường hợp không cân bằng thì cần sử dụng giá trị trung bình có trọng số.
Nhiệt độ trung bình có trọng số của không khí đi vào lò hơi TMnAEn được xác định như sau:
|
| (139) |
Khi nhiệt độ không khí đi vào lò tại các vị trí khác nhau có sự chênh lệch đáng kể thì cần xác định nhiệt độ trung bình của không khí đi vào lò theo giá trị entanpi trung bình của không khí.
|
| (140) |
trong đó:
| HAz | là entanpi của không khí ẩm ở nhiệt độ TAz, J/kg |
| HMnAEn | là entanpi trung bình của không khí ẩm đi vào đường bao thí nghiệm lò hơi, J/kg. Nhiệt độ trung bình của không khí được xác định từ entanpi trung bình. |
| MFrAz | là tỷ lệ lưu lượng khối lượng của không khí ẩm đi vào lò tại vị trí z trên tổng lưu lượng không khí ẩm ra khỏi lò hơi dựa trên tỷ lệ không khí thừa tại vị trí (14), kg/kg |
| TAz | là nhiệt độ của không khí ẩm tại vị trí z, °C |
Đối với các lò hơi đốt than phun có quạt không khí lạnh cấp một, phần lưu lượng của không khí cấp một MFrA11 được tính như sau:
|
| (141) |
trong đó:
| MqA14 MrA11 MrF | là tổng lượng không khí ẩm đi vào phạm vi lò hơi ở phía trước vị trí (14), kg/J là lưu lượng đo được của không khí cấp một đến máy nghiền than, kg/s là lưu lượng khối lượng của nhiên liệu, kg/s. |
Phần lưu lượng còn lại của không khí (1 –MFrA11) là không khí cấp hai.
Trong công thức trên, không khí hòa trộn đi vào máy nghiền được giả định là có cùng nhiệt độ với không khí đi vào bộ sấy không khí cấp một.
Trường hợp các lò hơi có quạt không khí nóng cấp một và không khí hòa trộn máy nghiền được cung cấp từ môi trường, thì lưu lượng khối lượng của không khí hòa trộn được tính như sau:
|
| (142) |
|
| (143) |
trong đó:
| MrA5 | là lưu lượng khối lượng của không khí hòa trộn cho máy nghiền, kg/s |
5.13.3 TFgLvCr, Nhiệt độ hiệu chỉnh của khói đầu ra (không tính đến không khí rò lọt), °C
Đối với các lò hơi có bộ sấy không khí, lọt gió trong bộ sấy không khí làm giảm nhiệt độ khói thoát ra mà không thực hiện bất kỳ một công hữu ích nào. Để tính toán hiệu suất, nhiệt độ đo được của khói ra khỏi bộ sấy không khí phải được hiệu chỉnh về giá trị nhiệt độ giả định sẽ đạt được nếu không có sự lọt gió trong bộ sấy không khí TFgLvCr.
Phương pháp tính toán hiệu chỉnh dưới đây sử dụng các ký hiệu và các sản phẩm của quá trình cháy được tính toán trong phần trước. (Tham khảo ASME PTC 4.3 về các phương pháp tính toán thay thế).
Khi có hai hoặc nhiều bộ sấy không khí với lưu lượng khói đi qua mỗi bộ gần như bằng nhau, thì nhiệt độ không khí và khói có thể được tính trung bình, và tính toán một giá trị nhiệt độ hiệu chỉnh của khói. Trường hợp có hai hoặc nhiều bộ sấy không khí với các lưu lượng khói khác nhau (ví dụ: bộ sấy không khí cấp một và cấp hai) thì nhiệt độ khói được hiệu chỉnh phải được tính riêng cho từng bộ và lấy giá trị trung bình có trọng số để tính hiệu suất. Xem 5.13.4.
|
| (144) |
|
| (145) |
trong đó:
| MnCpA | là nhiệt dung riêng trung bình của không khí ẩm giữa các nhiệt độ TAEn và TFgLv, J/(kg∙K). Giá trị này bằng entanpi của không khí ẩm ở nhiệt độ đo được của khói đầu ra trừ đi entanpi của không khí ẩm ở nhiệt độ không khí đầu vào, chia cho hiệu nhiệt độ. |
| MnCpFg | là nhiệt dung riêng trung bình của khói ẩm giữa các nhiệt độ TFgLv và TFgLvCr, J/(kg∙K). Nếu sử dụng các đồ thị trong 5.19 thì cần sử dụng nhiệt dung riêng được tra trực tiếp theo nhiệt độ trung bình. |
| MqFgEn | là khối lượng khói ẩm đi vào bộ sấy không khí (tính theo 5.12.9) với tỷ lệ không khí thừa khi đi vào bộ sấy không khí, kg/J |
| MqFgLv | là khối lượng khói ẩm ra khỏi bộ sấy không khí (tính theo 5.12.9) với tỷ lệ không khí thừa ra khỏi bộ sấy không khí, kg/J |
| TAEn | là nhiệt độ không khí đi vào bộ sấy không khí, °C. Vị trí (7), (7A), (8), hoặc (8A) trong các hình từ Hình 1 đến Hình 6. Đối với bộ sấy không khí có hai đường không khí vào và một đường khói ra (ví dụ: bộ sấy không khí ba ngăn) thì đại lượng này là giá trị trung bình có trọng số của nhiệt độ không khí rò lọt sang phía khói của bộ sấy không khí. Sử dụng tỷ lệ phân bố mức lọt gió ước tính của nhà sản xuất để tính nhiệt độ trung bình của không khí rò lọt. |
| TFgLv | là nhiệt độ khói ra khỏi bộ sấy không khí, °C. Vị trí (15) hoặc (15A) trong các hình từ Hình 1 đến Hình 6. |
Việc xác định giá trị MnCpFg trên đây được lặp lại nhiều lần. TFgLvCr có thể xác định theo HFgLvCr được tính trực tiếp từ công thức sau:
|
| (146) |
5.13.4 TMnFgLvCr, Nhiệt độ trung bình của khói ra khỏi lò hơi (không tính rò lọt không khí), °C
Nhiệt độ trung bình của khói ra khỏi lò hơi (không tính đến rò lọt không khí) được sử dụng để tính toán các tổn thất liên quan đến khói thoát ra khỏi lò hơi như tổn thất theo khói khô, tổn thất do nước từ nhiên liệu, v.v.
Trường hợp khói thoát ra khỏi lò hơi tại nhiều vị trí thì phải xác định nhiệt độ trung bình có trọng số của khói thải. Để xác định tỷ lệ khối lượng của các luồng khói thoát riêng lẻ, có thể đo lưu lượng tất cả các luồng khói, hoặc có thể đo (hoặc tính bằng cân bằng năng lượng) một số luồng khói, sau đó luồng khói còn lại được tính bằng mức chênh lệch so với tổng lượng khói (tính theo cân bằng phản ứng cháy).
Đối với các lò hơi có nhiều bộ sấy không khí cùng loại và cùng kích cỡ, có thể giả định các luồng khói đi qua các bộ sấy bằng nhau và tính giá trị trung bình số học của nhiệt độ khói thoát ra khỏi các bộ sấy không khí (không tính đến lọt gió trong bộ sấy không khí) TFgLvCr. Nếu lưu lượng các luồng khói không bằng nhau thì cần sử dụng giá trị trung bình có trọng số.
Đối với các lò hơi có nhiều bộ sấy không khí không cùng loại, trong đó lưu lượng khối lượng của khói và nhiệt độ khói thoát ra khỏi bộ sấy không khí không bằng nhau thì phải xác định tỷ lệ phân bố dòng khói giữa các bộ sấy không khí để tính toán nhiệt độ trung bình có trọng số (không tính đến rò lọt không khí) của khói thoát ra. Trường hợp khói được trích ra ở phía trước các bộ sấy không khí hoặc dẫn đi qua các thiết bị tận dụng nhiệt khác, thì lượng khói này phải được đưa vào để xác định nhiệt độ trung bình của khói thoát ra.
Phương pháp tính toán đối với lò hơi có hai loại bộ sấy không khí khác nhau (trong đó gồm bộ sấy không khí cấp một sử dụng để gia nhiệt không khí cấp máy nghiền than và các bộ sấy không khí cấp hai) được trình bày dưới đây. Phương pháp này dựa trên việc đo lưu lượng không khí cấp một đến các máy nghiền than và tính toán lưu lượng khói đi qua các bộ sấy không khí cấp một bằng cân bằng năng lượng.
|
| (147) |
Khi có sự chênh lệch đáng kể về nhiệt độ khói tại các vị trí khói thoát ra khác nhau thì nhiệt độ trung bình của khói TMnFgLvCr phải được xác định theo entanpi trung bình của khói ẩm thoát ra.
|
| (148) |
|
| (149) |
trong đó:
| HMnFgLvCr | là entanpi trung bình của khói ẩm rời khỏi đường bao thí nghiệm lò hơi (không tính đến rò lọt không khí), J/kg. Nhiệt độ trung bình được xác định theo entanpi trung bình. | ||
| MFrFg14B | là tỷ lệ khối lượng của khói ẩm đi vào bộ sấy không khí cấp một trên tổng lượng khói ẩm đi vào các bộ sấy không khí, kg/kg | ||
| MqFg14 | là tổng lượng khói ẩm đi vào các bộ sấy không khí, theo 5.12.9, kg/J | ||
| MrF | là lưu lượng khối lượng của nhiên liệu, kg/s. Ước tính hoặc sử dụng lưu lượng khối lượng đo được ban đầu. Xem 5.7.3 về dung sai hội tụ tính toán. | ||
| MrFg14B | là lưu lượng khối lượng của khói ẩm đi vào bộ sấy không khí cấp một, kg/s. Đại lượng này có thể được tính bằng cân bằng năng lượng.
|
trong đó:
| HA11 | là entanpi trung bình của không khí ẩm đi vào máy nghiền. Nếu các máy nghiền không hoạt động ở cùng một lưu lượng không khí cấp một, thì giá trị này phải là giá trị trung bình có trọng số lưu lượng. |
| HFg15BCr | là entanpi của khói ẩm được xác định theo nhiệt độ khói ra khỏi bộ sấy không khí cấp một (giá trị đã hiệu chỉnh không tính đến rò lọt), và sử dụng giá trị hàm lượng ẩm trong khói ẩm đi vào bộ sấy không khí |
| MrA11 | là lưu lượng khối lượng đo được của không khí cấp một, kg/s |
5.14 Các tổn thất
Tùy theo phương pháp xác định (đo lường và tính toán), các tổn thất được chia thành hai loại:
(a) Các tổn thất phụ thuộc vào năng lượng đầu vào từ nhiên liệu. Các tổn thất này được biểu thị bằng phần trăm năng lượng đầu vào từ nhiên liệu. Ví dụ: các tổn thất từ sản phẩm cháy như tổn thất theo khói khô, do nước từ nhiên liệu, v.v.
(b) Các tổn thất không liên quan đến năng lượng đầu vào từ nhiên liệu. Các tổn thất này có thể được tính toán theo mức năng lượng trên một đơn vị thời gian. Ví dụ: tổn thất do truyền nhiệt bức xạ và đối lưu trên bề mặt.
Phương pháp tính toán các tổn thất phụ thuộc vào năng lượng đầu vào từ nhiên liệu như sau:
|
| (151) |
|
| (152) |
trong đó:
| HLvk HRek | là entanpi của thành phần k ở nhiệt độ TLvk, J/kg là entanpi của thành phần k ở nhiệt độ TRe, J/kg. Đối với nước đi vào lò hơi ở thể lỏng và ra khỏi lò hơi ở thể hơi, sử dụng Bảng hơi nước ASME để xác định entanpi theo nhiệt độ tham chiếu là 0°C. Entanpi của nước tại TRe là 105 kJ/kg. Đối với tất cả các thành phần khác, entanpi được xác định theo nhiệt độ tham chiếu 25°C. Do đó, entanpi tham chiếu bằng 0 nên không xuất hiện trong phương trình cân bằng năng lượng đối với tổn thất nhiệt hoặc nhiệt đóng góp. |
| MnCpk | là nhiệt dung riêng trung bình của thành phần k giữa nhiệt độ TRe và TLvk, J/(kg K). Có thể sử dụng entanpi thay cho nhiệt dung riêng trung bình và mức chênh lệch về nhiệt độ. |
| Mqk | là khối lượng của thành phần k trên J năng lượng đầu vào từ nhiên liệu. Đây là hệ đơn vị được sử dụng xuyên suốt trong Tiêu chuẩn này đối với các đại lượng có liên quan đến nhiên liệu như lượng không khí và lượng khói. |
| QpLk | là tổn thất từ thành phần k, % năng lượng đầu vào từ nhiên liệu, J/100 J năng lượng đầu vào từ nhiên liệu |
| TLvk | là nhiệt độ của thành phần k khi ra khỏi phạm vi lò hơi, °C |
| TRe | là nhiệt độ tham chiếu, °C. Nhiệt độ tham chiếu là 25 °C |
5.14.1 QpLDFg, Tổn thất do khói khô, %
|
| (153) |
trong đó:
| HDFgLvCr | là entanpi của khói khô ở nhiệt độ khi rời khỏi đường bao thí nghiệm lò hơi (đã được hiệu chỉnh không tính đến không khí rò lọt). Xem 5.19.2 |
5.14.2 QpLH2F, QpLWF, QpLWvF, Tổn thất do nước từ nhiên liệu, %
5.14.2.1 Tổn thất do nước hình thành từ sự đốt cháy H2 trong nhiên liệu
|
| (154) |
5.14.2.2 Tổn thất do nước (H2O) có trong nhiên liệu rắn hoặc lỏng
Tổn thất này cũng có thể áp dụng cho các nhiên liệu khí được sản xuất từ nhiên liệu rắn hoặc lỏng.
|
| (155) |
5.14.2.3 Tổn thất do hơi nước trong nhiên liệu khí
|
| (156) |
trong đó:
| HStLvCr | là entanpi của hơi nước ở 0,1 MPa (áp suất tuyệt đối) và nhiệt độ TFgLvCr hoặc TMnFgLvCr. Xem 5.19.5 về đa thức tính gần đúng. |
| HWRe | là entanpi của nước ở nhiệt độ tham chiếu TRe = 25 °C, J/kg |
| HWvLvCr | là entanpi của hơi ẩm ở nhiệt độ TFgLvCr hoặc TMnFgLvCr, J/kg. Xem 5.19.4 về đa thức tính gần đúng. |
5.14.3 QpLWA, Tổn thất do hàm lượng ẩm trong không khí, %
|
| (157) |
trong đó:
| MqDA | là khối lượng không khí khô tương ứng với tỷ lệ không khí thừa được sử dụng để xác định tổn thất do khói khô, kg/J |
5.14.4 QpLSmUb, Tổng tổn thất do chưa cháy hết các thành phần có thể cháy được, %
Tổn thất do không cháy hết các thành phần có thể cháy được là tổng các tổn thất tính cho từng thành phần chưa cháy hết.
5.14.4.1 Tổn thất do chưa cháy hết carbon trong tro xỉ, %
|
| (158) |
trong đó:
| HHVCRs | là nhiệt trị của carbon khi xuất hiện trong tro xỉ |
Nếu xác định được lượng hydro chưa cháy hết trong tro xỉ là không đáng kể thì có thể chọn giá trị HHVCRs = 33700 kJ/kg.
5.14.4.2 Tổn thất do hydro không cháy hết trong tro xỉ, %.
Trường hợp xác định được rằng có một lượng hydro chưa cháy hết còn hiện diện trong tro xỉ và không thể loại bỏ bằng các điều chỉnh trong vận hành, thì tổn thất này có thể được tính như sau:
|
| (159) |
trong đó:
| HHVH2 = MpH2Rs | 142120 kJ/kg là tỷ lệ trung bình có trọng số theo khối lượng của hydro chưa cháy hết trong tro xỉ, % |
5.14.4.3 Tổn thất do carbon monoxit (CO) trong khói, %
|
|
|
hoặc
|
| (160) |
trong đó:
| DVpCO HHVCO = MoDFg | là lượng CO đo được theo mẫu khói khô, % theo thể tích 10111 kJ/kg - là nhiệt trị cao của CO là số mol khói khô tương ứng với tỷ lệ không khí thừa đo được ở cùng vị trí đo CO, mol/kg nhiên liệu. Xem 5.11. |
| MoFg | là số mol khói ẩm tương ứng với tỷ lệ không khí thừa đo được ở cùng vị trí với CO, mol/kg nhiên liệu. Xem 5.11. |
| MwCO = | 28,01 kg/mole - là phân tử lượng của CO |
| VpCO | lượng CO đo được theo mẫu khói ẩm, % theo thể tích |
5.14.4.4 Tổn thất do tạp vật từ máy nghiền than, %
Tổn thất này bao gồm tổn thất hóa học và tổn thất nhiệt vật lý trong các tạp vật từ máy nghiền than.
|
| (161) |
|
| (162) |
trong đó:
| HHVPr HPr | là nhiệt trị cao của tạp vật từ máy nghiền theo phân tích mẫu đại diện, J/kg là nhiệt vật lý hoặc entanpi của tạp vật được loại bỏ khỏi máy nghiền, J/kg. Sử dụng giá trị entanpi của tro ở nhiệt độ đầu ra máy nghiền. |
| MrPr | là lưu lượng khối lượng đo được của tạp vật từ máy nghiền, kg/s |
5.14.4.5 Tổn thất do hydrocarbon không cháy hết trong khói, %
Trường hợp xác định được có một lượng hydrocarbon chưa cháy hết còn hiện diện trong khói và không thể loại bỏ bằng các điều chỉnh trong vận hành, thì tổn thất này có thể được tính như sau:
|
|
|
hoặc
|
| (163) |
trong đó:
| DVpHc HHVHc | là lượng hydrocarbon đo được trong khói, xác định theo mẫu khói khô, % theo thể tích là nhiệt trị cao của khí chuẩn được sử dụng để xác định phần trăm theo thể tích của tổng lượng hydrocarbon, J/kg |
| VpHc | là lượng hydrocarbon đo được trong khói, xác định theo mẫu khói ẩm, % theo thể tích |
5.14.5 QpLRs, Tổn thất do nhiệt vật lý của tro xỉ, %
|
| (164) |
trong đó:
| HRsz | là entanpi của tro xỉ tại vị trí z, J/kg. Đối với tro bay, nhiệt độ tro có thể được giả định bằng nhiệt độ khói. Đối với xỉ khô, có thể sử dụng nhiệt độ 1100°C nếu không đo được. (Xem 5.19.3 về đa thức tính gần đúng). Đối với xỉ lỏng (nóng chảy), sử dụng entanpi điển hình là 2095 kJ/kg. |
| MqRsz | là lưu lượng khối lượng của tro xỉ tại vị trí z, kg/J (xác định theo 5.10). |
Đối với các lò hơi có phễu thải xỉ buồng đốt kiểu ướt, xem 5.14.13.
5.14.6 QpLAq, Tổn thất do thiết bị kiểm soát phát thải khói nóng, %
Thiết bị kiểm soát phát thải khói nóng (HAQC - Hot Air Quality Control Equipment) là thiết bị làm sạch khói nằm giữa đầu ra bộ hâm nước và đầu vào bộ sấy không khí, ví dụ: các thiết bị khử bụi cơ học, thiết bị khử bụi nóng hoặc hệ thống khử NOx xúc tác chọn lọc (SCR).
Trường hợp các thiết bị này được xem là một phần của hệ thống lò hơi thì có thể không cần tính toán riêng các tổn thất qua thiết bị HAQC, nhưng diện tích bề mặt của các thiết bị này phải được đưa vào tổng diện tích bề mặt sử dụng để tính toán tổn thất do truyền nhiệt bức xạ và đối lưu cho cả lò hơi. Hàm lượng O2 (tỷ lệ không khí thừa) phải được đo tại đầu vào bộ sấy không khí để xác định hiệu suất và mức lọt gió trong bộ sấy không khí và để đánh giá tính năng của bộ sấy không khí.
Trường hợp cần xác định riêng tổn thất qua thiết bị HAQC thì cần lưu ý các điểm sau:
(a) Tổn thất do truyền nhiệt bức xạ và đối lưu bề mặt của lò hơi không được bao gồm diện tích bề mặt của thiết bị HAQC.
(b) Hàm lượng O2 (tỷ lệ không khí thừa) phải được đo tại đầu ra của bộ hâm nước hoặc đầu vào của thiết bị HAQC để xác định hiệu suất và khối lượng không khí và khói liên quan.
(c) Hàm lượng O2 (tỷ lệ không khí thừa) phải được đo tại điểm khói đi vào bộ sấy không khí để xác định mức độ rò lọt của HAQC (nếu có) và tổn thất liên quan, đồng thời xác định mức lọt gió của bộ sấy không khí và đánh giá tính năng của bộ không khí.
Phương pháp tính toán dưới đây kết hợp các ảnh hưởng của tổn thất khói khô do rò lọt không khí, tổn thất do hàm lượng ẩm trong không khí rò lọt và tổn thất do truyền nhiệt bức xạ và đối lưu từ bề mặt của các thiết bị riêng biệt.
|
| (165) |
trong đó:
| MqFgEn MqFgLv HAAqLv HALvCr | là khối lượng khói ẩm đi vào HAQC tương ứng với tỷ lệ không khí thừa vào HAQC, kg/J là khối lượng khói ẩm ra khỏi HAQC tương ứng với mức không khí ra khỏi HAQC, kg/J là entanpi của không khí ẩm ở nhiệt độ tương ứng với nhiệt độ ra khỏi HAQC, J/kg là entanpi của không khí ẩm ở nhiệt độ trung bình của khói ra khỏi phạm vi lò hơi (không tính đến lọt gió trong bộ sấy không khí), J/kg |
| HFgEn HFgLv | là entanpi của khói ẩm đi vào HAQC dựa trên hàm lượng ẩm đi vào và tro xỉ đi ra, J/kg là entanpi của khói ẩm ra khỏi HAQC dựa trên hàm lượng ẩm đi vào và tro xỉ đi ra, J/kg |
(Hàm lượng tro xỉ chỉ xem xét khi xác định entanpi của khói nếu xét đến các tổn thất khác theo khói).
5.14.7 QpLALg, Tổn thất do rò lọt không khí, %
Đại lượng này đề cập đến mức rò lọt không khí giữa điểm xác định khối lượng khói khô (thường là đầu ra của lò hơi) và điểm khói đi vào bộ sấy không khí, không tính đến mức rò lọt không khí trong HAQC (vì giá trị này được tính riêng).
|
| (166) |
trong đó:
| HALgEn HALvCr | là entanpi của không khí ẩm rò lọt, xác định theo nhiệt độ của không khí đầu vào, J/kg là entanpi của không khí ẩm ở nhiệt độ trung bình của khói ra khỏi lò hơi (không tính đến lọt gió trong bộ sấy không khí), J/kg |
| MqALg | là lưu lượng khối lượng của không khí ẩm rò lọt, kg/J. Xem 5.11.6. |
5.14.8 QpLNOx, Tổn thất do hình thành NOx, %
Đại lượng này đề cập đến tổn thất liên quan đến sự hình thành NOx trong hệ thống lò hơi. Nếu lò hơi có lắp đặt hệ thống SCR thì tổn thất này phải dựa trên mức NOx cuối cùng tại đầu ra.
Trong quá trình thí nghiệm, NOx được đo theo thể tích và công thức (167) được áp dụng để tính toán tổn thất.
Tuy nhiên trong giai đoạn thiết kế, giới hạn thiết kế đối NOx thường được quy định theo mức năng lượng, kg/J. Khi đó công thức (188) có thể được sử dụng để tính toán tổn thất trong trường hợp NOx được xác định theo mức năng lượng.
|
|
|
hoặc
|
| (167) |
|
| (168) |
trong đó:
| DVpNOx | là lượng NOx tính theo NO trong mẫu khói khô, % theo thể tích. (Nếu NOx được đo theo ppm thì chia giá trị đo được cho 10000 để chuyển đổi thành %). |
| HrNOx | là nhiệt tạo thành NOx, kJ/g mol Nhiệt tạo thành NO là 89850 kJ/g mol và nhiệt tạo thành N2O là 82880 kJ/g mol |
| MoDFg | là số mol khói khô tương ứng với tỷ lệ không khí thừa được đo ở cùng vị trí đo NOx, mol/kg nhiên liệu |
| MoFg | là số mol khói ẩm tương ứng với tỷ lệ không khí thừa được đo ở cùng vị trí đo NOx, mol/kg nhiên liệu |
| MqNO2 | là lượng NO2 được biểu thị theo mức năng lượng, kg/J. (Khi giá trị này được biểu thị theo mức năng lượng thì các đơn vị được sử dụng thường là MJ, và phải chia cho 106 để chuyển đổi thành J). |
| MwNO | là phân tử lượng của NO, bằng 30,006 g/g mol |
| MwNO2 | là phân tử lượng của NO2, bằng 46,0055 g/g mol |
| VpNOx | là lượng NOx tính theo NO trong mẫu khói ẩm, % theo thể tích |
5.14.9 QrLSrc, Tổn thất do truyền nhiệt bức xạ và đối lưu trên bề mặt, W
Tổn thất này được xác định gián tiếp bằng cách đo nhiệt độ trung bình của bề mặt lò hơi và các thông số nhiệt độ, vận tốc không khí của môi trường xung quanh, số lượng phép đo và vị trí đo phải đảm bảo xác định được các giá trị trung bình đại diện.
Tổn thất được tính toán như sau:
|
| (169) |
trong đó:
| Hcaz | là giá trị lớn hơn trong hai giá trị:
| ||
| Hraz = |
|
trong đó:
| Afz | là diện tích bề mặt theo hình chiếu phẳng của vỏ lò hoặc lớp bọc bảo ôn (đối với bề mặt tròn là diện tích bao quanh chu vi) tại vị trí z, m². Đối với các chỗ nhô ra như các dầm đỡ thì chỉ tính vào diện tích bề mặt phần diện tích theo hình chiếu bằng của mặt tiếp giáp với bề mặt nóng. Các khu vực được tính là vỏ lò hơi, các kênh dẫn trong phạm vi lò hơi, các đường ống lớn (có kích thước lớn so với lò hơi), và các thiết bị chính (như máy nghiền than). Thiết bị kiểm soát phát thải khói nóng (ví dụ như thiết bị lọc bụi nóng) không đưa vào, nếu tổn thất đó được tính riêng. |
| C1 = | 0,293 W |
| Hcaz | là hệ số truyền nhiệt đối lưu đối với khu vực z, W/m²∙oC. Trường hợp thực hiện đo các thông số cần thiết để xác định Hcaz thì độ không đảm bảo hệ thống được đề xuất cho phép so sánh này là 20%. Trường hợp không đo thì độ không đảm bảo hệ thống được đề xuất đối với tổn thất bức xạ sẽ được bao gồm trong độ không đảm bảo hệ thống đối với tổng tổn thất do truyền nhiệt bức xạ và đối lưu dưới đây. |
| Hraz | là hệ số truyền nhiệt bức xạ đối với khu vực z, W/m²∙oC. Trường hợp thực hiện đo các nhiệt độ cần thiết để xác định Hraz thì độ không đảm bảo hệ thống đề xuất đối với công thức này là 20%. Trường hợp không đo thì độ không đảm bảo hệ thống được đề xuất đối với tổn thất bức xạ được bao gồm trong độ không đảm bảo hệ thống đối với tổng tổn thất do truyền nhiệt bức xạ và đối lưu dưới đây. |
| TDi = TmnAfz TMnAz | (TAfz - TAz) - là mức chênh lệch nhiệt độ giữa bề mặt và môi trường xung quanh, °C là nhiệt độ trung bình bề mặt TAf của khu vực z, °C là nhiệt độ trung bình của không khí xung quanh TAz tại vị trí z, °C. Nhiệt độ cục bộ của không khí xung quanh là nhiệt độ trong phạm vi từ 600 mm đến 1500 mm so với bề mặt. |
| VAz | là vận tốc trung bình của không khí trong phạm vi 600 mm đến 1500 mm so với bề mặt, (m/s) |
Ngoài phương pháp đo, các bên tham gia thí nghiệm cũng có thể quyết định sử dụng diện tích bề mặt thực tế của lò hơi và các giá trị tiêu chuẩn về điều kiện môi trường xung quanh (được quy định dưới đây) để tính toán tổn thất.
Trường hợp các các giá trị TAf, TA và VA không được đo lường thì tổn thất được xác định bằng cách sử dụng các diện tích thực tế của các bộ phận lò hơi và các giá trị tiêu chuẩn sau:
(a) VA = 0,5 m/sec.
(b) TDi - mức chênh lệch nhiệt độ giữa bề mặt và môi trường xung quanh, không được vượt quá ±30°C. Trường hợp điều kiện thực tế đảm bảo các bộ phận nóng trên vỏ lò không ảnh hưởng đến an toàn của con người thì có thể sử dụng một giá trị lớn hơn.
Nếu tổn thất này được ước tính (không được đo lường), thì độ không đảm bảo hệ thống đối với giá trị QrLSrc là ±50%. Sai số hệ thống ước tính bao gồm sai số ngẫu nhiên khi tổn thất không được đo lường.
5.14.10 QrLWAd, Tổn thất do hàm lượng ẩm bổ sung, W
Hàm lượng ẩm bổ sung là nước hoặc hơi nước được đưa vào trong khói thải của lò hơi và không được tính riêng (ví dụ; hơi phun để tán sương nhiên liệu và hơi thổi bụi). Trường hợp sử dụng không khí nén để tán sương nhiên liệu hoặc thổi bụi thì tổn thất được tính vào các tổn thất theo khói khô và hàm lượng ẩm trong không khí, vì giá trị này được tính vào hàm lượng O2 đo được trong khói.
|
| (172) |
trong đó:
| HStLvCr | là entanpi của hơi nước trong khói đi ra khỏi đường bao thí nghiệm lò hơi (không tính đến không khí rò lọt), J/kg. Xem 5.14.2. |
| HWRe MrStEnz | là entanpi của nước ở nhiệt độ tham chiếu, J/kg là lưu lượng khối lượng của hàm lượng ẩm bổ sung tại vị trí z, kg/s |
5.14.11 QrLClh, Tổn thất do quá trình nung khô và khử nước của chất hấp thụ, W
|
| (173) |
trong đó:
| Hrk | là nhiệt của phản ứng nung khô canxi hoặc magie carbonat, hoặc phản ứng khử nước của canxi hoặc magie hydroxit CaCO3 (Cc) = 1782 kJ/kg MgCO3 (Mc) = 1517kJ/kg Ca(OH)2 (Ch) = 1480 kJ/kg Mg(OH)2 (Mh) = 1455 kJ/kg |
| MFrClhk | là tỷ lệ khối lượng được nung khô hoặc khử nước của thành phần k. Xem 5.10.8 đối với thành phần CaCO3. Sử dụng giá trị bằng 1,0 cho các thành phần khác. |
| MrSbk | là lưu lượng khối lượng của các thành phần phản ứng k, kg/s |
5.14.12 QrLWSb, Tổn thất do nước trong chất hấp thụ, W
|
| (174) |
5.14.13 QrLAp, Tổn thất từ hố tro ướt, W
Trong các lò hơi sử dụng hố tro ướt có tổn thất do một lượng nhiệt bị nước hấp thụ bằng truyền nhiệt bức xạ qua họng phễu lò, ngoài ra còn có tổn thất do nhiệt vật lý có trong tro xỉ. Quy trình thí nghiệm đối với tổn thất này yêu cầu các phép đo lưu lượng khối lượng và nhiệt độ của nước đi vào và đi ra khỏi hố tro, lưu lượng của hỗn hợp tro xỉ với nước đi ra khỏi hố tro và kết quả phân tích trong phòng thí nghiệm để xác định lượng nước còn lại trong tro xỉ ra khỏi hố tro.
Do khó khăn trong việc xác định lưu lượng của tro xỉ rời khỏi hố tro và độ không đảm bảo của việc xác định lượng nước trong tro xỉ, các bên tham gia thí nghiệm có thể thống nhất giá trị ước tính đối với tổn thất này. Quy trình ước tính tổn thất này được mô tả trong 5.14.13.2.
5.14.13.1 QrLAp, Tổn thất từ hố tro ướt khi thí nghiệm
Theo cân bằng năng lượng, tổn thất từ hố tro là tổng năng lượng bị nước lấy đi khi rời khỏi hố tro, tổn thất năng lượng do quá trình bốc hơi của nước trong hố tro và nhiệt vật lý trong hỗn hợp tro xỉ với nước khi khi hỗn hợp này rời khỏi hố tro. Lưu ý: nếu được đo lường, thì tổn thất nhiệt vật lý của tro xỉ truyền cho hố tro trong 5.14.5 có thể được bỏ qua.
|
| (175) |
(a) Mức gia tăng năng lượng trong nước hố tro
|
| (176) |
(b) Tổn thất do sự bốc hơi của nước trong hố tro
|
| (177) |
(c) Nhiệt vật lý trong hỗn hợp tro xỉ với nước rời khỏi hố tro
|
| (178) |
trong đó:
| HRs37 HWz MFrWRs | là entanpi của tro xỉ khô ở nhiệt độ của hỗn hợp tro xỉ với nước rời khỏi hố tro, J/kg là entanpi của nước tại vị trí z, J/kg là tỷ lệ khối lượng giữa nước và tro xỉ trong hỗn hợp tro xỉ với nước rời khỏi vị trí (37), kg H2O/kg tro xỉ khô |
| MrRsW37 | là lưu lượng khối lượng của hỗn hợp tro xỉ với nước rời khỏi hố tro, kg/h |
5.14.13.2 QrLAp, Tổn thất ước tính do truyền nhiệt bức xạ xuống hố tro
Tổn thất do truyền nhiệt bức xạ xuống hố tro có thể được ước tính với điều kiện phải được các bên tham gia thí nghiệm đồng thuận. Khi ước tính tổn thất do truyền nhiệt bức xạ xuống hố tro, tổn thất nhiệt vật lý trong tro xỉ (QpLRs) phải được tính toán theo 5.14.5.
|
| (179) |
trong đó:
| ApAf QrAp | là diện tích họng phễu theo hình chiếu phẳng, m² là mật độ dòng nhiệt tương đương được hấp thụ bởi nước trong hố tro qua họng phễu buồng đốt. Giá trị ước tính của mật độ dòng nhiệt tương đương là 31500 W/m². Độ không đảm bảo hệ thống là 50%. |
5.14.14 QLRy, Tổn thất do các dòng tái tuần hoàn, W
Tổn thất do các dòng tái tuần hoàn là tổng tổn thất do chất rắn tái tuần hoàn và khí tái tuần hoàn.
|
| (180) |
5.14.14.1 Chất rắn tái tuần hoàn
Tro xỉ có thể được tái tuần hoàn để tận dụng carbon chưa cháy trong tro xỉ hoặc giảm lượng chất hấp thụ được bổ sung vào lò. Nếu đường ống tái tuần hoàn và phễu chứa đã được bao gồm trong diện tích sử dụng để tính toán tổn thất do truyền nhiệt bức xạ và đối lưu từ bề mặt (QrLSrc) theo 5.14.9 thì tính toán này được bỏ qua.
|
| (181) |
trong đó:
| HRsEn HRsLv MrRyRs | là entanpi của tro xỉ khi được đưa trở lại lò hơi, J/kg là entanpi của tro xỉ tại vị trí thu gom hoặc thoát ra khỏi đường bao của hệ thống, J/kg là lưu lượng khối lượng của tro xỉ tái tuần hoàn, kg/s |
5.14.14.2 Các dòng khí tái tuần hoàn
Dòng khí tái tuần hoàn có thể là khói thải sau bộ sấy không khí được đưa trở lại lò hơi (ví dụ: tái tuần hoàn khói quạt hút). Ngoài ra, loại tổn thất này có thể áp dụng cho cả dòng khí được bổ sung vào lò hơi từ nguồn bên ngoài.
|
| (182) |
trong đó:
| HFgEn HFgLvCr | là entanpi của khói tái tuần hoàn về lò hơi, J/kg là entanpi của khói ẩm ở nhiệt độ trung bình của khói khi rời khỏi lò hơi (không tính đến rò lọt không khí), J/kg |
| MrRyFg | là lưu lượng khối lượng của khói tái tuần hoàn, kg/s |
5.14.15 QrLCw, Tổn thất do nước làm mát, W
Tổn thất này xảy ra khi nước làm mát (bên ngoài lò hơi hoặc ngoài vòng tuần hoàn nước) lấy đi năng lượng từ lò hơi (ví dụ: các cửa lò hơi được làm mát bằng nước, các thiết bị làm nguội tro xỉ...).
Không được xem xét hai lần đối với cùng một tổn thất (ví dụ: nếu tổn thất do nhiệt vật lý trong tro xỉ đã được xác định dựa trên nhiệt độ của tro xỉ đi vào bộ làm nguội tro xỉ thì không tính thêm tổn thất liên quan đến bộ làm nguội tro xỉ). Trường hợp nhiệt độ của tro xỉ được đo sau bộ làm nguội tro xỉ thì năng lượng được hấp thụ bởi bộ làm nguội tro xỉ phải được cộng vào tổn thất của lò hơi.
|
| (183) |
trong đó:
| MrCw | là lưu lượng khối lượng của nước làm mát tại vị trí z, kg/s |
5.14.16 QrLAc, Tổn thất do giàn ống bộ gia nhiệt không khí được cấp nhiệt từ bên trong lò, W
Trường hợp giàn ống gia nhiệt sơ bộ không khí được cấp nhiệt bằng hơi từ lò hơi thì phạm vi lò hơi được xác định bao gồm các giàn ống gia nhiệt sơ bộ không khí. Tổn thất là tích số của lưu lượng nước ngưng từ các giàn ống gia nhiệt sơ bộ không khí nhân với hiệu entanpi giữa nước ngưng từ các giàn ống gia nhiệt sơ bộ không khí và nước cấp đi vào lò. Dòng nước ngưng không được đưa vào phần năng lượng đầu ra của lò hơi.
|
| (184) |
5.14.17 Chuyển đổi tổn thất tính theo mức năng lượng sang tổn thất tính theo % năng lượng đầu vào từ nhiên liệu
Tổn thất tính theo mức năng lượng có thể được chuyển đổi sang tổn thất tính theo % năng lượng đầu vào từ nhiên liệu theo công thức sau:
|
| (185) |
5.15 Nhiệt đóng góp
Tùy thuộc vào phương pháp xác định, các dòng nhiệt đóng góp được chia thành hai loại sau đây:
(a) Các dòng nhiệt đóng góp được biểu thị bằng phần trăm năng lượng đầu vào từ nhiên liệu, ví dụ: năng lượng trong không khí đi vào lò.
(b) Các dòng nhiệt đóng góp được tính toán theo mức năng lượng trên một đơn vị thời gian, ví dụ: năng lượng được cung cấp từ điện năng của các thiết bị phụ trợ.
5.15.1 QpBDA, Nhiệt đóng góp từ không khí khô cấp vào lò, %
|
| (186) |
trong đó:
| HDAEn | là entanpi của không khí khô ở nhiệt độ trung bình của không khí đi vào lò (TMnAEn), J/kg. Đây là giá trị trung bình có trọng số của các nguồn không khí khác nhau đóng góp vào MqDA. |
| MqDA | là tổng lượng không khí khô đi vào lò hơi tương ứng với tỷ lệ không khí thừa tại đầu ra được sử dụng để tính khối lượng khói khô, kg/J |
5.15.2 QpBWA, Nhiệt đóng góp từ hàm lượng ẩm trong không khí cấp vào lò, %
|
| (187) |
trong đó:
| HWvEn | là entanpi của hơi nước ở nhiệt độ trung bình của không khí đi vào phạm vi lò hơi (TMnAEn), J/kg |
5.15.3 QpBF, Nhiệt đóng góp từ nhiệt vật lý trong nhiên liệu, %
|
| (188) |
trong đó:
| HFEn | là entanpi của nhiên liệu ở nhiệt độ nhiên liệu đi vào phạm vi lò hơi tại các vị trí (1), (3), hoặc (4), J/kg |
5.15.4 QpBSlf, Nhiệt đóng góp từ quá trình sunfat hóa, %
Sunfat hóa là phản ứng của SO2 với CaO và oxy để tạo thành CaSO4 và đây là phản ứng tỏa nhiệt.
|
| (189) |
trong đó:
| HrSlf | là nhiệt sinh ra trong phản ứng của SO2, CaO và oxy để tạo thành CaSO4 trên mỗi kg lưu huỳnh được khử, 15660 kJ/kg |
| MFrSc | là tỷ lệ khối lượng của lưu huỳnh được khử, kg/kg |
5.15.5 QrBX, Nhiệt đóng góp từ năng lượng của các thiết bị phụ trợ, W
Các thiết bị phụ trợ điển hình bao gồm máy nghiền than, quạt tuần hoàn khói, quạt không khí nóng cấp một và bơm tuần hoàn lò hơi.
Không được tính nhiệt đóng góp cho quạt đẩy, quạt không khí lạnh cấp một và các thiết bị khác vì nhiệt đóng góp đã được tính toán dựa trên nhiệt độ môi chất đo được khi ra khỏi các thiết bị đó. (Ví dụ: khi nhiệt đóng góp được tính toán cho không khí đi vào lò vào theo 5.15.1 thì năng lượng được bổ sung bởi quạt đẩy và quạt cấp một đã được bao gồm trong đó, vì vậy việc cộng thêm nhiệt đóng góp từ điện năng của quạt sẽ là tính hai lần đối với năng lượng được bổ sung).
5.15.5.1 Đối với các thiết bị được dẫn động bằng hơi nước
|
| (190) |
trong đó:
| EX HStEn HStLv | là hiệu suất truyền động tổng thể, bao gồm hiệu suất tuabin và cơ cấu truyền động, % là entanpi của hơi nước được cung cấp để dẫn động các thiết bị phụ trợ, J/kg là entanpi tại áp suất hơi thoát và entropi ban đầu của hơi nước được cung cấp để dẫn động các thiết bị phụ trợ, J/kg |
5.15.5.2 Đối với các thiết bị được dẫn động bằng điện
|
| (191) |
trong đó:
| C1 = EX | 1 W là hiệu suất truyền động tổng thể, bao gồm các giá trị như hiệu suất động cơ, hiệu suất khớp nối điện và thủy lực, và hiệu suất cơ cấu truyền động, % |
| QX | là năng lượng đầu vào cho các cơ cấu dẫn động, J |
5.15.6 QrBSb, Nhiệt đóng góp từ nhiệt vật lý trong chất hấp thụ, W
|
| (192) |
trong đó:
| HSbEn MrSb | là entanpi của chất hấp thụ đi vào phạm vi lò hơi, J/kg lưu lượng khối lượng của chất hấp thụ, kg/s |
5.15.7 QrBWAd, Nhiệt đóng góp từ năng lượng được cung cấp bởi hàm lượng ẩm bổ sung, W
Các ví dụ điển hình về hàm lượng ẩm bổ sung là hơi dùng để thổi bụi và hơi để tán sương nhiên liệu.
|
| (193) |
trong đó:
| HStEnz HWRe MrStEnz | là entanpi của hàm lượng ẩm bổ sung đi vào phạm vi lò hơi, J/kg là entanpi của nước tại nhiệt độ tham chiếu, J/kg là lưu lượng khối lượng của hàm lượng ẩm bổ sung tại vị trí z, kg/s |
5.15.8 Chuyển đổi nhiệt đóng góp tính theo mức năng lượng sang giá trị tính theo % năng lượng đầu vào từ nhiên liệu
Nhiệt đóng góp được tính theo mức năng lượng có thể được chuyển đổi sang giá trị tính theo % năng lượng đầu vào từ nhiên liệu theo công thức sau:
|
| (194) |
5.16 Tính toán độ không đảm bảo của kết quả thí nghiệm
Các phép tính độ không đảm bảo được trình bày dưới đây cùng với các phép tính trình bày trong 5.2.4, có thể được sử dụng để phân tích độ không đảm bảo trước và sau thí nghiệm.
Phân tích độ không đảm bảo trước thí nghiệm có thể cung cấp những thông tin quan trọng và giảm bớt công sức cần thiết để tính toán độ không đảm bảo sau khi hoàn thành thí nghiệm. Phần lớn các ước tính về độ không đảm bảo hệ thống có thể được thực hiện trước khi bắt đầu tiến hành thí nghiệm.
Để tính toán độ không đảm bảo sau thí nghiệm, phải hoàn thành tất cả các tính toán về đặc tính của lò hơi trước khi bắt đầu tính toán độ không đảm bảo của kết quả.
Dưới đây trình bày các hướng dẫn chung đề tính toán độ không đảm bảo liên quan đến thí nghiệm các đặc tính kỹ thuật của lò hơi.
5.16.1 Hệ số độ nhạy
Các hệ số độ nhạy thể hiện ảnh hưởng tuyệt đối hoặc tương đối của một tham số đo lường đến hiệu suất tính toán của lò hơi hoặc các kết quả tính toán khác.
Hệ số độ nhạy được tính toán bằng cách thay đổi tùy ý giá trị của một tham số. Sự thay đổi giá trị của một tham số đo có thể được tính toán từ công thức sau:
|
| (195) |
trong đó:
| CHGPAR PCHGPAR | là mức thay đổi gia tăng giá trị của một tham số đo là phần trăm thay đổi trong giá trị của một tham số đo. Giá trị khuyến nghị đối với PCHGPAR là 1,0%. Nếu giá trị trung bình của tham số đo được bằng 0, thì có thể nhập vào bất kỳ một mức thay đổi gia tăng giá trị nhỏ nào. |
| U | là giá trị trung bình tích phân của một tham số đo được. Để mở rộng các hệ số độ nhạy, cần lưu ý sử dụng các đơn vị không được bằng 0 (như nhiệt độ tuyệt đối và áp suất tuyệt đối). |
| XAVG | là giá trị trung bình số học của một tham số đo được. Xem định nghĩa đối với giá trị U trên đây để lưu ý về việc sử dụng các đơn vị. |
Trong trường hợp XAVG rất nhỏ hoặc bằng không, thì CHGPAR có thể là bất kỳ gia số nhỏ nào của XAVG
Hệ số độ nhạy tuyệt đối được tính toán cho mỗi tham số đo được từ các công thức như dưới đây, trong đó hiệu suất nhiên liệu được xem xét là kết quả cần quan tâm:
|
| (196) |
trong đó:
| ASENSCO | là hệ số độ nhạy tuyệt đối cho một tham số được đo, % hiệu suất trên mỗi đơn vị tham số đo được |
| EF RECALEF | là hiệu suất nhiên liệu của lò hơi được tính toán theo thông số thực tế (đo được) là hiệu suất nhiên liệu của lò hơi được tính toán lại bằng cách sử dụng giá trị (X+CHGPAR) hoặc (U+CHGPAR) thay cho giá trị X hoặc U trong khi tất cả các tham số đo khác được giữ nguyên |
Trong mọi trường hợp, không được coi hệ số độ nhạy tuyệt đối là nhỏ hơn dung sai hội tụ đối với phép tính hiệu suất. Nếu có giá trị nhỏ hơn, thì hệ số này phải được xem là bằng 0. Xem 5.7.3 về dung sai hội tụ đối với việc tính toán hiệu suất.
Công thức trên thể hiện hệ số độ nhạy liên quan đến hiệu suất của lò hơi. Tuy nhiên, dạng công thức này có thể được sử dụng cho bất kỳ kết quả tính toán nào như năng lượng đầu ra, lưu lượng nhiên liệu, tỷ lệ canxi/lưu huỳnh, v.v., bằng cách thay các giá trị cho EF và RECALEF.
Hệ số độ nhạy tương đối được tính toán cho từng tham số đo được theo công thức sau:
|
| (197) |
trong đó:
| EF RSENSCO | là hiệu suất nhiên liệu của lò hơi, được tính toán theo thông số thực tế (đo được) là hệ số độ nhạy tương đối cho một tham số được đo, % thay đổi trong kết quả trên mỗi % thay đổi trong tham số được đo |
5.16.2 Độ không đảm bảo ngẫu nhiên và bậc tự do đối với độ không đảm bảo ngẫu nhiên
Độ lệch chuẩn của giá trị trung bình (độ không đảm bảo ngẫu nhiên) của hiệu suất tính toán của lò hơi được xác định bằng cách kết hợp độ lệch chuẩn của giá trị trung bình của tất cả các tham số được đo theo quy tắc căn bậc hai của tổng bình phương.
|
| (198) |
trong đó:
| ASENSCOi N | giá trị tuyệt đối của các tham số được đo là số độ không đảm bảo ngẫu nhiên (độ lệch chuẩn của giá trị trung bình) của kết quả |
| STDDEVMNi STDDEVMNR | là độ lệch chuẩn của giá trị trung bình đối với tham số được đo i là hệ số độ nhạy tổng thể đối với tham số được đo i |
Số bậc tự do đối với độ không đảm bảo ngẫu nhiên được tính theo công thức sau:
|
| (199) |
trong đó:
| DEGFREEi DEGFREER | là bậc tự do đối với tham số đo được i là bậc tự do đối với độ không đảm bảo ngẫu nhiên |
5.16.3 Thành phần ngẫu nhiên của độ không đảm bảo
Thành phần ngẫu nhiên của độ không đảm bảo được tính từ độ lệch chuẩn của giá trị trung bình của kết quả theo công thức sau:
|
| (201) |
trong đó:
| STDTVAL | là giá trị t của phân bố Student hai phía được đánh giá đối với bậc tự do của kết quả (DEGFREEUNC) |
| URC | là thành phần ngẫu nhiên của độ không đảm bảo |
5.16.4 Độ không đảm bảo hệ thống
Các tính toán độ không đảm bảo hệ thống được ước tính dựa trên phương pháp xác định giá trị của tham số đo. Các độ không đảm bảo hệ thống cơ sở đối với mỗi tham số đo được kết hợp theo quy tắc căn bậc hai của tổng bình phương.
|
| (201) |
trong đó:
| M SYSi | là số lượng các thành phần trong hệ thống đo lường tham số i là giới hạn độ không đảm bảo hệ thống của tham số đo i. Đơn vị tính độ không đảm bảo hệ thống là cùng đơn vị với tham số được đo. |
| SYSj | là độ không đảm bảo hệ thống của các thành phần riêng lẻ được sử dụng để xác định giá trị tham số j. Lưu ý về đơn vị như trên. |
Bậc tự do đối với độ không đảm bảo hệ thống phải được lấy bằng 50, tương ứng với phạm vi xác suất là 10% trong các ước tính về độ không đảm bảo hệ thống (xem 7.5.5).
|
| (202) |
5.16.4.1 Độ không đảm bảo hệ thống liên quan đến các tham số đo không đồng nhất theo vị trí trong không gian
Các mô hình tính toán để ước tính độ không đảm bảo hệ thống liên quan đến các tham số đo không đồng nhất theo vị trí trong không gian (có giá trị thay đổi theo cả không gian và thời gian) sử dụng một biến gọi là chỉ số phân bố theo không gian (SDI). SDI được tính theo công thức sau:
|
| (203) |
Công thức dưới đây được đề xuất sử dụng cho tích phân số:
|
| (204) |
trong đó:
| N | là số điểm trong lưới đo |
| SDI | là chỉ số phân bố theo không gian |
| SYSNI | là độ không đảm bảo hệ thống theo tích phân số |
| Z | là giá trị trung bình tích phân của z |
| z | là giá trị trung bình theo thời gian của tham số được đo |
Cần lưu ý rằng mặc dù SDI được tính giống như độ lệch chuẩn, nhưng có sự khác biệt đáng kể về ý nghĩa thống kê giữa hai đại lượng này.
5.16.4.2 Độ không đảm bảo hệ thống của kết quả
Độ không đảm bảo hệ thống của kết quả cũng được tính theo quy tắc căn bậc hai của tổng bình phương.
|
| (205) |
trong đó:
| SYSR | là độ không đảm bảo hệ thống tổng thể của kết quả thí nghiệm |
Độ không đảm bảo hệ thống của kết quả có thể có giá trị dương hoặc âm. Nếu độ không đảm bảo hệ thống có các giá trị dương và âm không đối xứng thì các giá trị dương và âm phải được tính toán riêng. Dấu của tích số (ABSENCOi x SYSi) sẽ xác định xem đại lượng này được tính tổng với độ không đảm bảo hệ thống dương hay âm.
5.16.5 Độ không đảm bảo của thí nghiệm
Độ không đảm bảo của thí nghiệm được tính toán từ các thành phần ngẫu nhiên và hệ thống của độ không đảm bảo tổng thể.
|
| (206) |
trong đó:
| UNC | là độ không đảm bảo của thí nghiệm |
Giá trị t của phân bố Student hai phía dựa xác suất tin cậy 95% và bậc tự do của kết quả. Bảng 22 thể hiện giá trị t của phân bố Student phụ thuộc vào bậc tự do. Giá trị bằng 2 được áp dụng đối với 30 bậc tự do trở lên (theo ASME PTC 19.1, giá trị bằng 2 được đề xuất cho các bậc tự do tương đối lớn). Nội suy trong bảng được thực hiện bằng cách sử dụng các bậc tự do nghịch đảo.
Giá trị t của phân bố Student được tính theo công thức sau:
|
| (207) |
Số bậc tự do đối với kết quả tổng thể của thí nghiệm được tính theo công thức sau:
|
| (208) |
Độ không đảm bảo của thí nghiệm phải được tính riêng cho cả dải giá trị dương và dài giá trị âm nếu độ không đảm bảo hệ thống không đối xứng.
Bảng 22 – Bảng giá trị t của phân bố Student hai phía với xác suất tin cậy 95%
| Bậc tự do | t | Bậc tự do | t |
| 1 | 12.706 | 16 | 2.120 |
| 2 | 4.303 | 17 | 2.110 |
| 3 | 3.182 | 18 | 2.101 |
| 4 | 2.776 | 19 | 2.093 |
| 5 | 2.571 | 20 | 2.086 |
| 6 | 2.447 | 21 | 2.080 |
| 7 | 2.365 | 22 | 2.074 |
| 8 | 2.306 | 23 | 2.069 |
| 9 | 2.262 | 24 | 2.064 |
| 10 | 2.228 | 25 | 2.060 |
| 11 | 2.201 | 26 | 2.056 |
| 12 | 2 179 | 27 | 2.052 |
| 13 | 2.160 | 28 | 2.048 |
| 14 | 2.145 | 29 | 2.045 |
| 15 | 2.131 | 30 trở lên | 2 |
5.17 Các thông số vận hành khác
Trong một số trường hợp có thể cần phải tiến hành thí nghiệm lò hơi với các thông số vận hành khác với công suất và hiệu suất định mức. Các thí nghiệm phải tuân thủ các quy định về phương pháp đo lường và các giá trị được chấp nhận đối với độ không đảm bảo của kết quả được các bên tham gia thí nghiệm đồng thuận trước khi thí nghiệm.
Cần đặc biệt lưu ý các khuyến nghị trong 3.2.5.2, 3.2.5.3 và 3.2.6 để đảm bảo điều kiện vận hành và các điều chỉnh trong hệ thống điều khiển không gây ảnh hưởng bất lợi đến các thí nghiệm,
5.17.1 Công suất đỉnh
Công suất đỉnh là lưu lượng hơi lớn nhất mà lò hơi có khả năng tạo ra (bao gồm cả chế độ xả lò và cung cấp hơi phụ được quy định) ở áp suất và nhiệt độ cụ thể trong một khoảng thời gian giới hạn mà không làm hư hỏng các bộ phận của lò hơi.
Công suất đỉnh có thể được đo trực tiếp (giá trị MrSt32) hoặc được tính toán từ lưu lượng khối lượng của nước cấp, nước giảm ôn và nước xả lò.
Lưu lượng nước giảm ôn có thể được đo trực tiếp hoặc được xác định bằng cân bằng năng lượng (nếu không đo).
Trường hợp không đo lưu lượng nước xả lò thì lưu lượng này có thể được xác định từ việc cài đặt van xả đã được hiệu chuẩn hoặc bằng cân bằng năng lượng tại khu vực thu hồi nhiệt xả lò.
Các dữ liệu cần thiết để xác định công suất đỉnh được tóm tắt trong Bảng 7. Trước khi thí nghiệm, những nội dung sau đây phải được các bên tham gia thí nghiệm xác định và thống nhất:
(a) Thời gian chạy tối thiểu trong “khoảng thời gian giới hạn”.
(b) Áp suất hơi và nhiệt độ hơi.
(c) Áp suất và nhiệt độ của nước cấp.
(d) Tỷ lệ xả lò.
5.17.2 Nhiệt độ hơi
Các dữ liệu cần thiết để xác định các đặc tính nhiệt độ hơi của bộ quá nhiệt hoặc bộ tái nhiệt và phạm vi kiểm soát được nêu trong Bảng 8.
5.17.3 Tổn thất áp suất
Phương tiện đo và phương pháp đo để xác định độ chênh áp của hơi và nước (nghĩa là tổn thất áp suất trên lò hơi hoặc một bộ phận cụ thể của lò hơi) được nêu trong 4.5.4. Các phương tiện đo và phương pháp đo để xác định độ chênh áp của dòng không khí hoặc khói (nghĩa là tổn thất áp lực hút trên lò hơi hoặc một bộ phận cụ thể của lò hơi) được nêu trong 4.5.3.
5.17.4 Áp suất tĩnh
Phương tiện đo và phương pháp đo xác định áp suất tĩnh của hơi và nước được nêu trong 4.5.4. Các phương tiện đo và phương pháp đo xác định áp suất tĩnh của không khí và khói được nêu trong 4.5.3.
5.17.5 Nhiệt độ khói đầu ra
Các dữ liệu cần thiết để xác định nhiệt độ khói đầu ra được nêu trong Bảng 9. Phương tiện đo và phương pháp đo nhiệt độ khói được nêu trong 4.4.3. Quy trình tính toán để xác định nhiệt độ khói đầu ra được hiệu chỉnh (TFgLvCr) được trình bày trong 5.18.2.
Quy trình tính toán để xác định nhiệt độ trung bình của khói đầu ra (TMnFgLvCr) được trình bày trong 5.13.3.
5.17.6 Rò lọt không khí
Lượng không khí rò lọt qua vỏ lò tại các vị trí có thể đo thành phần khói thải có thể được xác định bằng cách so sánh mức chênh lệch lượng không khí thừa hoặc lưu lượng dòng không khí trên các bộ phận cần khảo sát. Tổng lượng không khí rò lọt do lắp đặt cũng có thể được xác định bằng cân bằng năng lượng qua bộ sấy không khí. Dữ liệu cần thiết để xác định tỷ lệ không khí thừa được nêu trong Bảng 13. Quy trình tính toán lưu lượng và tỷ lệ không khí thừa được trình bày trong 5.11.
Lượng không khí rò lọt được biểu thị bằng mức gia tăng trong tỷ lệ phần trăm không khí thừa.
|
| (209) |
trong đó:
| MpAl XpAz1 XpAz2 | là tỷ lệ phần trăm theo khối lượng không khí rò lọt là tỷ lệ phần trăm theo khối lượng của không khí thừa tại phía trước vị trí lấy mẫu là tỷ lệ phần trăm theo khối lượng của không khí thừa tại phía sau vị trí lấy mẫu |
Công thức trên đây áp dụng để tính toán mức rò lọt không khí giữa hai điểm có thể đo được hàm lượng O2 trong khói khi đi vào và đi ra khỏi bộ phận cần khảo sát (ví dụ: thiết bị khử bụi trong khói nóng).
Trong các lò hơi có bộ sấy không khí kiểu thu nhiệt (bộ trao đổi nhiệt từ khói đến không khí), độ rò lọt do lắp đặt giữa cửa thoát không khí của bộ sấy không khí và điểm đo hàm lượng O2 trong khói có thể được tính toán bằng cân bằng năng lượng. Lưu lượng không khí cấp đến các đầu đốt (và máy nghiền than, nếu có) có thể được tính toán bằng cân bằng năng lượng tại bộ sấy không khí dựa trên lưu lượng khói đi vào bộ sấy không khí và nhiệt độ đo được của không khí và khói đi vào và đi ra khỏi bộ sấy không khí. Mức rò lọt không khí do lắp đặt giữa cửa thoát không khí của bộ sấy không khí và điểm đo hàm lượng O2 trong khói (thường là vị trí khói ra khỏi cụm sinh hơi hoặc bộ hâm nước) có thể được tính toán từ mức chênh lệch giữa lưu lượng không khí ẩm được xác định tại điểm đo hàm lượng O2 và lưu lượng không khí ẩm ra khỏi bộ sấy không khí.
Tất cả các lưu lượng không khí và lưu lượng khói được tính toán theo cân bằng phản ứng cháy theo các mục 5.11 và 5.12. Khi có từ hai bộ sấy không khí cùng loại trở lên thì có thể giả định lưu lượng giữa các bộ sấy không khí là bằng nhau. Nếu thực hiện đo lưu lượng khói hoặc lưu lượng không khí để xác định sự không cân bằng, thì tỷ lệ của kết quả đo sẽ được sử dụng để hiệu chỉnh lưu lượng khói hoặc lưu lượng không khí được tính toán theo cân bằng phản ứng cháy.
Đối với các lò đốt than phun có hệ thống không khí lạnh cấp một, xem 5.13 về phương pháp tính toán khối lượng không khí và khói.
5.17.6.1 MpAhLg, Mức lọt gió của bộ sấy không khí, %
Mức lọt gió của bộ sấy không khí là tổng lượng không khí rò lọt từ tất cả các dòng không khí sang dòng khói bên trong bộ sấy không khí, tính theo mẫu khói ẩm, và được biểu thị bằng phần trăm lưu lượng khối lượng của khói đi vào (chưa bị pha loãng). Lưu ý: giá trị được tính toán này bao gồm bất kỳ lượng không khí xâm nhập nào có thể xuất hiện giữa cửa khói đi vào bộ sấy không khí và mặt cắt thí nghiệm trên đường ra của khói.
|
| (210) |
trong đó:
| MqFgEn | là khối lượng khói ẩm đi vào bộ sấy không khí theo tỷ lệ không khí thừa (tính theo hàm lượng O2 đo được) trong khói đi vào bộ sấy không khí, kg/J. Xem 5.12.9 |
| MqFgLv | là khối lượng khói ẩm ra khỏi bộ sấy không khí theo tỷ lệ không khí thừa (tính theo hàm lượng O2 đo được) trong khói ra khỏi bộ sấy không khí, kg/J. Xem 5.12.9. |
5.18 Hiệu chỉnh theo các điều kiện tiêu chuẩn hoặc điều kiện thiết kế
Trường hợp không thể thí nghiệm lò hơi với nhiên liệu tiêu chuẩn (hoặc nhiên liệu thiết kế) và ở chính xác điều kiện vận hành tiêu chuẩn (hoặc điều kiện thiết kế) thì phải tính toán hiệu chỉnh các kết quả thí nghiệm theo các điều kiện tiêu chuẩn (hoặc các điều kiện được quy định trong hợp đồng) để so sánh và đánh giá hiệu suất và các đặc tính vận hành một cách xác đáng.
Các hiệu chỉnh đối với hiệu suất bao gồm: sử dụng nhiệt độ không khí đầu vào tiêu chuẩn hoặc đã được hiệu chỉnh; hiệu chỉnh nhiệt độ khói đầu ra của bộ sấy không khí theo các sai lệch giữa điều kiện thí nghiệm và điều kiện tiêu chuẩn; và lặp lại các tính toán hiệu suất với nhiên liệu tiêu chuẩn hoặc thiết kế và các tham biến vận hành khác.
Các hiệu chỉnh chỉ thực hiện đối với các sai lệch giữa điều kiện thí nghiệm với điều kiện thiết kế, không thực hiện đối với các thay đổi về phụ tải. Sai lệch giữa phụ tải mục tiêu và phụ tải thực tế khi thí nghiệm không được vượt quá 5%. Mức chênh lệch giữa hiệu suất thí nghiệm và hiệu suất được hiệu chỉnh dự kiến trong khoảng 2 - 3 %.
5.18.1 TAEnCr, Nhiệt độ không khí đầu vào được hiệu chỉnh
Nếu nhiệt độ không khí đi vào đường bao thí nghiệm (TA8 - nhiệt độ không khí đi vào bộ sấy không khí hoặc lò hơi) được ấn định trước, thì nhiệt độ không khí đầu vào được hiệu chỉnh là nhiệt độ thiết kế của không khí đi vào lò hơi (TA8Ds).
|
| (211) |
Nếu nhiệt độ thiết kế của không khí đi vào lò dựa trên nhiệt độ thiết kế của môi trường xung quanh hoặc nhiệt độ quy định cho không khí đi vào quạt, thì tùy thuộc vào trạng thái hoạt động của giàn ống sấy không khí sơ bộ trong quá trình thí nghiệm, nhiệt độ không khí đầu vào được hiệu chỉnh sẽ được xác định như sau:
(a) Giàn ống sấy không khí sơ bộ không hoạt động. Nhiệt độ không khí đầu vào được hiệu chỉnh là nhiệt độ không khí đi vào lò trong quá trình thí nghiệm cộng với mức chênh lệch giữa nhiệt độ thiết kế của không khí đi vào quạt và nhiệt độ thực tế không khí đi vào quạt trong quá trình thí nghiệm.
|
| (213) |
(b) Giàn ống sấy không khí sơ bộ có hoạt động (hoặc trường hợp thiết kế không có giàn ống sấy sơ bộ không khí). Nhiệt độ không khí đầu vào được hiệu chỉnh là nhiệt độ không khí đầu ra của quạt trong quá trình thí nghiệm cộng với mức chênh lệch giữa nhiệt độ thiết kế của không khí đi vào quạt và nhiệt độ thực tế của không khí đi vào quạt trong quá trình thí nghiệm.
|
| (213) |
trong đó:
| TA6, TA6Ds | là nhiệt độ thiết kế và nhiệt độ thực tế trong thí nghiệm của không khí đi vào quạt, °C |
| TA7 TA8 TA8Ds | là nhiệt độ thực tế trong thí nghiệm của không khí ra khỏi quạt, °C là nhiệt độ thực tế trong thí nghiệm của không khí đi vào bộ sấy không khí, °C là nhiệt độ thiết kế của không khí đi vào bộ sấy không khí, °C |
Hiệu chỉnh nhiệt đóng góp đối với những thay đổi về nhiệt độ thực tế trong thí nghiệm của không khí đầu vào thành nhiệt độ không khí đầu vào được hiệu chỉnh thực hiện bằng cách thay thế giá trị nhiệt độ không khí đầu vào được hiệu chỉnh cho nhiệt độ thực tế trong thí nghiệm trong công thức nhiệt đóng góp được áp dụng. Đối với các lò hơi có bộ sấy không khí, nhiệt độ không khí đầu vào được hiệu chỉnh cũng là một trong các hiệu chỉnh nhiệt độ khói thoát ra khỏi bộ sấy không khí.
5.18.2 Nhiệt độ khói đầu ra
Khi áp dụng hiệu chỉnh nhiệt độ khói đầu ra, việc hiệu chỉnh các tổn thất được thực hiện bằng cách thay thế nhiệt độ khói đầu ra được hiệu chỉnh đối với các điều kiện thí nghiệm trong các công thức tính tổn thất được áp dụng.
5.18.2.1 Các lò hơi không có bộ sấy không khí kiểu trao đổi nhiệt từ khói đến không khí
Nếu được các bên tham gia thí nghiệm đồng thuận thì nhiệt độ khói đầu ra có thể được hiệu chỉnh dựa trên các đồ thị hiệu chỉnh của nhà sản xuất đối với các sai lệch so với điều kiện thiết kế.
5.18.2.2 Các lò hơi có bộ sấy không khí kiểu trao đổi nhiệt từ khói đến không khí
Nhiệt độ khói đầu ra phải được hiệu chỉnh đối với các điều kiện tiêu chuẩn hoặc điều kiện thiết kế dựa trên tính năng của bộ sấy không khí sử dụng trong thí nghiệm. Các bên tham gia thí nghiệm có thể thống nhất sử dụng ASME PTC 4.3 (như mô tả dưới đây) hoặc sử dụng một phương pháp tính toán khác cho phép thực hiện được các hiệu chỉnh cần thiết.
|
| (214) |
trong đó:
| TDiMrFgEn TDiTAEn TDiTFgEn TDiXr TFgLvCr
| là mức hiệu chỉnh nhiệt độ theo lưu lượng khối lượng của khói đi vào, °C là mức hiệu chỉnh nhiệt độ theo nhiệt độ không khí đi vào, °C là mức hiệu chỉnh nhiệt độ theo nhiệt độ khói đi vào, °C là mức hiệu chỉnh nhiệt độ theo X-ratio khác với thiết kế, °C là nhiệt độ khói ra khỏi bộ sấy không khí được hiệu chỉnh với mức lọt gió của bộ sấy không khí bằng 0 và được sử dụng để tính toán hiệu suất (khi thí nghiệm), °C |
| TFgLvCrDs | là nhiệt độ khói ra khỏi bộ sấy không khí được hiệu chỉnh theo điều kiện thiết kế, °C |
Lưu lượng không khí là tổng của các lưu lượng không khí cấp một và không khí cấp hai ra khỏi bộ sấy không khí. Nhiệt độ không khí đầu vào là nhiệt độ trung bình có trọng số của không khí đi vào các ngăn gia nhiệt không khí cấp một và không khí cấp hai, được tính trọng số dựa trên lưu lượng khối lượng của không khí đi ra khỏi các ngăn gia nhiệt không khí cấp một và không khí cấp hai.
Dưới đây trình bày phương pháp tính toán các đại lượng trong công thức (214) và các yếu tố liên quan đến việc để xác định nhiệt độ khói đầu ra được hiệu chỉnh:
(a) Nhiệt độ không khí đi vào:
|
| (215) |
trong đó:
| TAEn TAEnCr TFgEn | là nhiệt độ không khí đi vào bộ sấy không khí, ”C là nhiệt độ không khí đi vào được hiệu chỉnh, °C. Xem 5.18.1 là nhiệt độ khói đi vào bộ sấy không khí, °C. |
(b) Nhiệt độ khói đi vào. Việc hiệu chỉnh nhiệt độ khói đi vào phải được các bên tham gia thí nghiệm đồng thuận. Các trường hợp có thể áp dụng các hiệu chỉnh do nhiệt độ khói đầu vào sai lệch với điều kiện thiết kế bao gồm:
(1) Các thiết bị trong phạm vi lò hơi không phải do nhà sản xuất lò hơi cung cấp (ví dụ: thiết bị kiểm soát phát thải khói nóng - HAQC). Trong trường hợp này phải sử dụng mức giảm nhiệt độ được chỉ định cho các điểm đầu và cuối của thiết bị để xác định nhiệt độ hiệu chỉnh của khói đi vào bộ sấy không khí dựa trên nhiệt độ khói thực tế đo được khi đi vào thiết bị đó.
(2) Nhiệt độ đầu vào của nước cấp, khi nhiệt độ nước cấp vào lò có sự khác biệt đáng kể so với điều kiện tiêu chuẩn hoặc điều kiện thiết kế.
(3) Sai lệch so với nhiên liệu quy định trong hợp đồng, khi nhiên liệu thí nghiệm có sự khác biệt đáng kể so với nhiên liệu quy định trong hợp đồng.
Mức hiệu chỉnh nhiệt độ khói đầu ra do nhiệt độ khói đầu vào không theo đúng thiết kế có thể được tính theo công thức sau:
|
| (216) |
trong đó:
| TFgEnCrDs | là nhiệt độ khói đầu vào được hiệu chỉnh theo điều kiện thiết kế, °C |
(c) Lưu lượng khối lượng của khói đi vào bộ sấy không khí. Để xác định hiệu suất được hiệu chỉnh, nhiệt độ khói đi ra khỏi bộ sấy không khí có thể được hiệu chỉnh do sự sai lệch giữa lưu lượng khói đi vào bộ sấy không khí trong điều kiện thí nghiệm và lưu lượng khói đi vào bộ sấy không khí theo điều kiện hợp đồng. TDiMrFgEn có thể xác định theo đồ thị hiệu chỉnh được cung cấp bởi nhà sản xuất bộ sấy không khí.
(d) Tỷ số nhiệt dung (hay còn gọi là X-ratio). Để xác định hiệu suất được hiệu chỉnh, nhiệt độ khói đầu ra của bộ sấy không khí có thể được hiệu chỉnh đối với sự sai lệch về tỷ số nhiệt dung tính toán cho các điều kiện thí nghiệm và tỷ số nhiệt dung tính toán cho các giá trị được hiệu chỉnh đối với hiệu suất và năng lượng đầu ra của lò hơi theo hợp đồng. TDiXr có thể xác định theo đồ thị hiệu chỉnh được cung cấp bởi nhà sản xuất bộ sấy không khí.
(e) Hiệu chỉnh đối với lưu lượng không khí hòa trộn máy nghiền cho các lò hơi không có bộ sấy không khí cấp một. Trường hợp sử dụng không khí hòa trộn, nhiệt độ hiệu chỉnh của không khí ra khỏi bộ sấy không khí phải được tính toán bằng cân bằng năng lượng dựa trên các điều kiện được hiệu chỉnh. Lưu lượng hiệu chỉnh của không khí hòa trộn và lưu lượng hiệu chỉnh tương ứng của không khí cấp hai phải được xác định theo các giá trị hiệu chỉnh của nhiệt độ không khí ra khỏi bộ sấy không khí và nhiệt độ không khí đầu vào máy nghiền trong thí nghiệm hoặc theo thiết kế (xem 5.18.3). Cần xác định các giá trị thay đổi của mức hiệu chỉnh X-ratio và nhiệt độ hiệu chỉnh của khói ra khỏi bộ sấy không khí. Đây là quá trình tính lặp và phải được lặp lại liên tục cho đến khi nhiệt độ hiệu chỉnh của khói thoát ra nằm trong khoảng 0,3 °C.
(f) Hiệu chỉnh đối với lưu lượng không khí hòa trộn máy nghiền cho các lò hơi có bộ sấy không khí cấp một. Các hiệu chỉnh đối với lưu lượng không khí hòa trộn thường có thể được tính trực tiếp (không cần tính lặp) cho các lò hơi có bộ sấy không khí cấp một riêng biệt được kiểm soát để đạt nhiệt độ khói đầu ra cố định. Các bên tham gia thí nghiệm phải thống nhất về nhiệt độ kiểm soát khói đầu ra bộ sấy không khí cấp một (thường là nhiệt độ thí nghiệm) và nhiệt độ thiết kế của không khí đi vào máy nghiền. Vì lưu lượng không khí cấp một đến máy nghiền là không đổi và nhiệt độ khói tại đầu vào và đầu ra của bộ sấy không khí cấp một đã biết, nên lưu lượng khói cần thiết của bộ sấy không khí cấp một có thể được tính trực tiếp như sau:
|
| (217) |
trong đó:
| HA8BDs | là entanpi theo nhiệt độ thiết kế của không khí đi vào bộ sấy không khí cấp một, J/kg |
| HA11Ds HFg14BDs HFg15BDs | là entanpi theo nhiệt độ thiết kế của không khí đi vào máy nghiền, J/kg là entanpi theo nhiệt độ thiết kế của khói đi vào bộ sấy không khí cấp một, J/kg là entanpi theo nhiệt độ thiết kế của khói ra khỏi bộ sấy không khí cấp một (không tính đến lọt gió trong bộ không khí), J/kg |
| MrA11 MrFg14BCr | là lưu lượng không khí đi vào máy nghiền, kg/s là lưu lượng khối lượng được hiệu chỉnh của khói đi vào bộ sấy không khí cấp một, kg/s |
5.18.3 Thành phần của nhiên liệu
Việc hiệu chỉnh nhiệt đóng góp, các tổn thất (hoặc hiệu suất) và lưu lượng khối lượng của không khí và khói đối với khác biệt về thành phần giữa nhiên liệu thực tế trong thí nghiệm và nhiên liệu quy định theo hợp đồng được thực hiện bằng cách sử dụng kết quả phân tích nhiên liệu theo tiêu chuẩn (hoặc theo hợp đồng) trong các tính toán được áp dụng.
Không yêu cầu hiệu chỉnh bổ sung nếu nhiên liệu thí nghiệm và nhiên liệu quy định theo hợp đồng là tương đương nhau (nghĩa là có phân tích các nguyên tố chính và phân tích gần đúng tương tự như nhau và các đặc tính về kết xỉ, bám bụi và cháy tương tự).
Sự khác biệt về đặc tính kết xỉ và bám bụi có tác động đáng kể nhất đến các đặc tính nhiệt. Sự khác biệt về độ ẩm của nhiên liệu (ở mức ± 5%) và hàm lượng tro (± 10%) có tác động nhỏ đến nhiệt độ khói ra khỏi các bộ phận chịu áp lực, nhưng có thể ảnh hưởng đến sự hấp thụ nhiệt của các bộ phận.
Đối với các loại khí đốt được sản xuất hoặc chế biến hoặc các nhiên liệu tổng hợp, sự khác biệt về thành phần có thể ảnh hưởng đến lưu lượng khói thải, nhưng có tác động nhỏ đến nhiệt độ khói ra khỏi các bộ phận chịu áp lực. Tuy nhiên, nếu lưu lượng khói thải đã hiệu chỉnh chênh lệch quá 2 - 3% thì khả năng hấp thụ nhiệt có thể bị ảnh hưởng.
Các bên tham gia thí nghiệm phải xác định tính tương đương giữa nhiên liệu thí nghiệm với nhiên liệu quy định theo hợp đồng, hoặc phải thống nhất trước khi thí nghiệm về phương pháp hiệu chỉnh các đặc tính nhiệt của lò hơi đối với sự khác biệt giữa nhiên liệu thí nghiệm và nhiên liệu tiêu chuẩn hoặc nhiên liệu được quy định theo hợp đồng.
Đối với lò hơi đốt than phun, nhiệt độ không khí đi vào máy nghiền được kiểm soát để duy trì nhiệt độ đầu ra của hỗn hợp không khí - than theo thiết kế của máy nghiền. Nhiệt độ yêu cầu đối với không khí đầu vào của máy nghiền phụ thuộc vào độ ẩm trong than. Nếu than thí nghiệm không phù hợp với than thiết kế (vượt quá 2 - 3% hàm lượng ẩm trong than) thì lưu lượng không khí hòa trộn của máy nghiền và các đặc tính của bộ sấy không khí phải được hiệu chỉnh theo giá trị nhiệt độ đầu vào cần thiết của máy nghiền cho loại than thiết kế.
5.18.4 Thành phần của chất hấp thụ và các phản ứng của chất hấp thụ
Sự khác biệt giữa tỷ lệ mol canxi trên lưu huỳnh (Ca/S) trong quá trình thí nghiệm so với giá trị mục tiêu đã được thống nhất cho thí nghiệm sẽ ảnh hưởng đến kết quả khử lưu huỳnh. Ngoài ra, sự khác biệt về hàm lượng lưu huỳnh trong than và thành phần chất hấp thụ giữa các giá trị thực tế và giá trị theo thiết kế cũng sẽ ảnh hưởng đến lưu lượng chất hấp thụ và hiệu quả khử lưu huỳnh, đồng thời có thể ảnh hưởng đến hiệu suất và lưu lượng của không khí và khói.
5.18.4.1 Hiệu chỉnh đối với thành phần của chất hấp thụ và phản ứng của chất hấp thụ
Tỷ lệ mol canxi trên lưu huỳnh (Ca/S) và thành phần nhiên liệu tiêu chuẩn hoặc nhiên liệu quy định theo hợp đồng được sử dụng để tính toán tỷ lệ chất hấp thụ được hiệu chỉnh (kg/kg nhiên liệu). Tỷ lệ chất hấp thụ hiệu chỉnh, mức khử lưu huỳnh được thống nhất, thành phần chất hấp thụ tiêu chuẩn hoặc quy định theo hợp đồng, đều phải được thay thế cho các giá trị thí nghiệm để tính toán dữ liệu đầu vào cần thiết cho các tính toán hiệu suất được hiệu chỉnh.
5.18.4.2 Thiết lập tỷ lệ mol Ca/S và khả năng khử lưu huỳnh tiêu chuẩn hoặc theo thiết kế
Lượng chất hấp thụ tương ứng với các đặc tính khử lưu huỳnh của lò hơi cần được xác định trước khi thí nghiệm hiệu suất. Điều này cho phép các bên tham gia thí nghiệm thiết lập giá trị mục tiêu của tỷ lệ Ca/S để vận hành thiết bị trong quá trình thí nghiệm. Giá trị đã được thống nhất này được sử dụng làm giá trị cho việc hiệu chỉnh đối với điều kiện tiêu chuẩn hoặc điều kiện hợp đồng theo kết quả khử lưu huỳnh trong thí nghiệm. Tỷ lệ Ca/S trong thí nghiệm có thể được hiệu chỉnh đối với những thay đổi giữa giá trị trong thí nghiệm và giá trị tiêu chuẩn hoặc theo hợp đồng về khả năng khử lưu huỳnh và hàm lượng lưu huỳnh trong nhiên liệu bằng cách sử dụng các đồ thị hiệu chỉnh hoặc các công thức được các bên tham gia thí nghiệm chấp thuận..
5.18.5 Tro xỉ
Những điểm cần xem xét đối với tro xỉ là các tổn thất liên quan đến các chất chưa cháy hết trong tro xỉ, tổn thất nhiệt vật lý của tro xỉ, sự phân bố tro xỉ giữa các điểm thu gom khác nhau của lò hơi, hàm lượng tro trong nhiên liệu và lượng bã chất hấp thụ.
5.18.5.1 Tổn thất do carbon chưa cháy hết
Trừ khi có quy định khác, tổn thất do carbon chưa cháy hết trong thí nghiệm (QpLUbC) phải được sử dụng cho các điều kiện được hiệu chỉnh. Lượng carbon chưa cháy trên khối lượng nhiên liệu đối với nhiên liệu tiêu chuẩn hoặc nhiên liệu thiết kế (MpUbCCr) được tính bằng cách nhân lượng carbon chưa cháy hết được tính toán cho thí nghiệm (MpUbC) với tỷ lệ giữa nhiệt trị cao của nhiên liệu tiêu chuẩn hoặc thiết kế và nhiệt trị cao của nhiên liệu thí nghiệm.
Hàm lượng tro của nhiên liệu rắn có thể thay đổi, do đó cần hiệu chỉnh tỷ lệ phần trăm carbon chưa cháy đo được trong tro xỉ theo hàm lượng tro của nhiên liệu tiêu chuẩn hoặc thiết kế để đánh giá tính năng của hệ thống đốt. Đối với các điều kiện vận hành của lò hơi cụ thể, tổn thất nhiệt do carbon chưa cháy hết (QpLUbC) được giả định là cố định đối với các thay đổi điển hình của hàm lượng tro trong nhiên liệu (hoặc bã chất hấp thụ). Lượng carbon chưa cháy hết xuất hiện trong tro được tạo ra bởi nhiên liệu (và chất hấp thụ) tiêu chuẩn hoặc thiết kế có thể được tính theo công thức sau:
|
| (218) |
trong đó:
| AsDs HHVDs MFrSsbDs MpCRsDs | là tỷ lệ phần trăm khối lượng của tro từ nhiên liệu tiêu chuẩn hoặc thiết kế,% là nhiệt trị cao của nhiên liệu tiêu chuẩn hoặc thiết kế, J/kg là tỷ lệ khối lượng của bã chất hấp thụ (điều kiện hiệu chỉnh), kg/kg nhiên liệu là tỷ lệ carbon chưa cháy hết trong tro xỉ được hiệu chỉnh theo hàm lượng tro của nhiên liệu tiêu chuẩn hoặc thiết kế (và bã chất hấp thụ), % |
| QpLUbC | tổn thất nhiệt do carbon chưa cháy hết trong điều kiện thí nghiệm, % |
Công thức (218) giả định rằng QpLUbC là không đổi giữa các điều kiện thí nghiệm và thiết kế.
5.18.5.2 Lượng tro xỉ
Lượng tro xỉ được tính từ hàm lượng tro trong nhiên liệu, bã chất hấp thụ và carbon chưa cháy hết trong tro xỉ (MpUbCCr) như được nêu trong 5.10.1, ngoại trừ trường hợp giá trị tiêu chuẩn hoặc giá trị cơ sở thiết kế được thay vào từng thông số.
5.18.5.3 Phân bố tro xỉ
Tỷ lệ phân bố tro xỉ giữa các vị trí thu gom khác nhau phải được giả định là không thay đổi trong quá trình thí nghiệm, trừ khi có quy định khác. Đối với các lò hơi lớp sôi, khi hàm lượng tro trong nhiên liệu và chất hấp thụ ảnh hưởng đáng kể đến tỷ lệ phân bố tro xỉ thì các bên tham gia thí nghiệm phải thống nhất về quy trình hiệu chỉnh.
5.18.5.4 Tổn thất do nhiệt vật lý trong tro xỉ
Tổn thất do nhiệt vật lý trong tro xỉ tại từng vị trí được tính toán dựa trên tổng khối lượng tro xỉ tính toán cho các điều kiện tiêu chuẩn hoặc thiết kế, với việc sử dụng tỷ lệ phân bố tro xỉ theo 5.18.5.3 và nhiệt độ (được hiệu chỉnh theo điều kiện tiêu chuẩn hoặc thiết kế, nếu áp dụng).
5.18.6 Không khí thừa
Sai lệch nhỏ về tỷ lệ không khí thừa giữa giá trị thí nghiệm và giá trị tiêu chuẩn hoặc giá trị quy định theo hợp đồng do một số thay đổi trong việc thiết lập các điều kiện thí nghiệm có thể được hiệu chỉnh theo giá trị tiêu chuẩn hoặc giá trị quy định theo hợp đồng hoặc các giá trị khác được thống nhất bởi các bên tham gia thí nghiệm. Các hiệu chỉnh đối với tổn thất nhiệt hoặc nhiệt đóng góp do sai lệch tỷ lệ không khí thừa được thực hiện bằng cách thay thế giá trị mục tiêu trong các công thức được áp dụng. Trường hợp lò hơi phải hoạt động ở tỷ lệ không khí thừa khác với giá trị tiêu chuẩn hoặc giá trị quy định theo hợp đồng để đáp ứng các thông số liên quan đến các đặc tính khác (như lượng carbon chưa cháy hết, nhiệt độ khói thải, nhiệt độ hơi, v.v.) thì không áp dụng giá trị không khí thừa “như thí nghiệm".
5.18.7 Các dòng nhiệt khác đi vào lò
5.18.7.1 Hàm lượng ẩm trong không khí
Thay giá trị tiêu chuẩn hoặc thiết kế vào giá trị thí nghiệm trong các tính toán được áp dụng.
5.18.7.2 Nhiệt độ nhiên liệu
Thay giá trị tiêu chuẩn hoặc thiết kế vào giá trị thí nghiệm.
5.18.7.3 Nhiệt độ chất hấp thụ.
Thay giá trị tiêu chuẩn hoặc thiết kế vào giá trị thí nghiệm.
5.18.8 Tổn thất do truyền nhiệt bức xạ và đối lưu từ bề mặt lò hơi
Khi tổn thất này được xác định bằng đo lường thì kết quả phải được hiệu chỉnh theo điều kiện môi trường tiêu chuẩn hoặc thiết kế (nhiệt độ và vận tốc không khí). Thực hiện quy trình ba bước sau đây đối với từng diện tích đo được:
(a) Tính hệ số truyền nhiệt của lớp bảo ôn và vỏ bọc bảo ôn (Hwz) dựa trên các tham số đo được
(b) Dựa trên giả định rằng Hwz là không đổi, tính nhiệt độ của bề mặt được hiệu chỉnh (TMnAfCrz) đối với các điều kiện môi trường tiêu chuẩn hoặc thiết kế
(c) Với nhiệt độ hiệu chỉnh của bề mặt và điều kiện môi trường tiêu chuẩn hoặc thiết kế, tính tổn thất được hiệu chỉnh do truyền nhiệt đối lưu và bức xạ bề mặt (QrLSrcCrz)
5.18.8.1 Hệ số truyền nhiệt của lớp bảo ôn và vỏ bọc, Hwz
|
| (219) |
trong đó:
| Thfz | là nhiệt độ bề mặt nóng của lớp bảo ôn và vỏ bọc (tường lò hơi, kênh gió, kênh khói v.v.) |
5.18.8.2 Nhiệt độ bề mặt được hiệu chỉnh, TMnAfCrz
Để xác định nhiệt độ bề mặt được hiệu chỉnh cần phải giải phương trình sau:
|
| (220) |
trong đó:
| Hrcaz | là tổng các hệ số truyền nhiệt bức xạ và đối lưu đối với TMnAfCrz và nhiệt độ thiết kế của không khí môi trường (TMnAd) và vận tốc không khí trên bề mặt theo thiết kế |
Thực hiện tính lặp công thức (220) bằng phương pháp tiêu chuẩn để xác định Hrcaz.
Các tính toán có thể được đơn giản hóa bằng cách sử dụng quan hệ tuyến tính đối với Hrcaz trong phạm vi nhiệt độ hiệu chỉnh của bề mặt và các giá trị thiết kế đối với nhiệt độ không khí môi trường và vận tốc không khí trên bề mặt. Công thức tính gần đúng dưới đây cho phép đưa ra giá trị nhiệt độ bề mặt với sai số khoảng 0,5% trong phạm vi nhiệt độ bề mặt từ 50 °C đến 140 °C đối với các điều kiện môi trường theo thiết kế:
|
| (221) |
Có thể xây dựng công thức tính gần đúng tương tự khi sử dụng các điều kiện tiêu chuẩn khác nhau. Nhiệt độ hiệu chỉnh của bề mặt có thể xác định trực tiếp theo công thức sau:
|
| (222) |
trong đó:
| A = B = C = | 0,0606
| ||||
| TMnADs | là nhiệt độ của không khí môi trường theo thiết kế |
5.18.8.3 Tổn thất được hiệu chỉnh do truyền nhiệt đối lưu và bức xạ bề mặt, QrLSrcCrz
Tính tổn thất được hiệu chỉnh do truyền nhiệt đối lưu và bức xạ bề mặt theo 5.14.9 với việc sử dụng nhiệt độ hiệu chỉnh của bề mặt và điều kiện môi trường tiêu chuẩn hoặc thiết kế.
5.18.9 Các hiệu chỉnh khác đối với hiệu suất
Các tổn thất nhiệt và các dòng nhiệt đóng góp nhỏ khác nếu được đo lường thì phải được các bên tham gia thí nghiệm xem xét và thống nhất về việc có áp dụng các hiệu chỉnh đối với hiệu suất hay không.
5.18.10 Hiệu suất xác định theo phương pháp cân bằng thuận được hiệu chỉnh
Khi hiệu suất được xác định bằng phương pháp cân bằng thuận, kết quả thí nghiệm được hiệu chỉnh theo điều kiện tiêu chuẩn hoặc thiết kế bằng cách cộng mức chênh lệch giữa hiệu suất đã hiệu chỉnh và hiệu suất thí nghiệm (cả hai hiệu suất này đều được tính bằng phương pháp cân bằng nghịch) vào kết quả thí nghiệm theo phương pháp cân bằng thuận. Phải sử dụng các điều kiện biên thiết kế (ví dụ: nhiệt độ không khí đầu vào và nhiệt độ khói đầu ra) nếu các thông số này không được đo lường. Các hiệu chỉnh quan trọng nhất là phân tích thành phần nhiên liệu, nhiệt độ không khí đầu vào và nhiệt độ khói đầu ra được hiệu chỉnh theo nhiệt độ không khí đầu vào (đối với lò hơi có bộ sấy không khí). Việc hiệu chỉnh nhiên liệu thí nghiệm so với nhiên liệu thiết kế đòi hỏi phải có kết quả phân tích các nguyên tố chính và nhiệt trị được xác định cho nhiên liệu thí nghiệm. Đối với các lò hơi có bộ sấy không khí, nếu nhiệt độ không khí đi vào được đo lường, thì nhiệt độ khói thoát ra (nhiệt độ dự kiến nếu không được đo lường) phải được hiệu chỉnh theo quy định tại 5.18.2. Bất kỳ hiệu chỉnh nào khác được trình bày trên đây đều có thể được áp dụng nếu việc đo lường các thông số cần thiết được thực hiện.
5.18.11 Trở lực đường không khí và đường khói
Trở lực đo được phải được hiệu chỉnh theo điều kiện tiêu chuẩn hoặc điều kiện thiết kế đối với sự khác biệt về lưu lượng của môi chất chuyển động và khối lượng riêng của môi chất giữa điều kiện thí nghiệm và điều kiện được hiệu chỉnh theo thiết kế. Các công thức tổng quát để hiệu chỉnh trở lực đường không khí hoặc tổn thất áp lực hút là:
|
| (225) |
|
| (226) |
trong đó:
| C1 C2 DnA DnAFg | là hệ số chuyển đổi đơn vị, C1 = 248,84 là hệ số chuyển đổi đơn vị, C2 = 248,84. là khối lượng riêng của không khí quanh vị trí đo áp suất, kg/m³ khối lượng riêng của không khí hoặc khói, kg/m³. Đối với buồng đốt, sử dụng giá trị 0,20 kg/m³. |
| DnAFgCr | là khối lượng riêng của không khí hoặc khói được hiệu chỉnh theo điều kiện thiết kế, kg/m³. Hiệu chỉnh khối lượng riêng chỉ áp dụng khi khối lượng riêng tại các điều kiện thí nghiệm khác biệt đáng kể so với giá trị được hiệu chỉnh theo điều kiện thiết kế. |
| Ht | là mức chênh lệch về cao độ giữa các vị trí đo áp suất (giữa các vị trí đo áp suất cuối dòng và đầu dòng, m). Ht có giá trị dương nếu môi chất chuyển động từ dưới lên. |
| MrAFg MrAFgCr PDiAFg PDiAFgCr Se | là lưu lượng khối lượng của không khí hoặc khói đối với các điều kiện thí nghiệm, kg/s là lưu lượng khối lượng được hiệu chỉnh của không khí hoặc khói, kg/s là trở lực đo được của đường không khí hoặc tổn thất áp lực hút, Pa là trở lực được hiệu chỉnh của đường không khí hoặc tổn thất áp lực hút, Pa là hiệu ứng tự hút của ống khói hoặc chênh lệch áp suất tĩnh giữa không khí hoặc khói của lò hơi và không khí xung quanh. Se giá trị âm nếu môi chất chuyển động từ dưới lên. |
Các đặc tính về mức tổn thất áp suất của từng hệ thống phải được kiểm tra chi tiết và phải xây dựng quy trình hiệu chỉnh mức tổn thất áp suất chi tiết cho hệ thống cụ thể. Công thức tính tổn thất áp suất tổng quát trên đây có thể không áp dụng được cho tất cả các thiết bị (ví dụ: máy nghiền than) và hệ thống (ví dụ: khi mức tổn thất áp suất được kiểm soát như trong buồng đốt xoáy).
5.18.12 Tổn thất áp suất trên đường hơi hoặc đường nước
Các công thức tổng quát để hiệu chỉnh mức tổn thất áp suất trên đường hơi hoặc đường nước giữa điều kiện thí nghiệm và điều kiện thiết kế hoặc điều kiện quy định theo hợp đồng như sau:
|
| (227) |
trong đó:
| C1 DnSt DnStDs Ht | là hệ số chuyển đổi đơn vị, C1 = 47,88026 là khối lượng riêng của hơi hoặc nước ở các điều kiện thí nghiệm, kg/m³ là khối lượng riêng của hơi hoặc nước ở các điều kiện thiết kế, kg/m³ là mức chênh lệch về cao độ giữa các vị trí đo áp suất (giữa các vị trí đo áp suất cuối dòng và đầu dòng, m). Ht có giá trị dương nếu môi chất chuyển động từ dưới lên. | ||
| MrSt MrStDs | là lưu lượng khối lượng của hơi hoặc nước ở điều kiện thí nghiệm, kg/s là lưu lượng khối lượng của hơi hoặc nước ở điều kiện thiết kế (lưu lượng nước cấp và lưu lượng qua bộ quá nhiệt trung gian được tính toán dựa trên lưu lượng hiệu chỉnh của nước phun giảm ôn), kg/s | ||
| PDiSt PDiStCr VhCr | là mức tổn thất áp suất đo được, Pa là mức tổn thất áp suất hiệu chỉnh, Pa là cột áp đo vận tốc được hiệu chỉnh (nếu áp dụng) được tính như sau:
|
trong đó:
| Aid AidDs C2 VhCf | là diện tích tiết diện đường ống tại vị trí lắp ống lấy mẫu áp suất, m² là diện tích tiết diện đường ống tại điểm cuối theo hợp đồng, m² là hệ số chuyển đổi đơn vị, C2 = 5,741.10-8 là hệ số tổn thất do thay đổi kích thước của tiết diện liên quan dựa trên đường kính ống tại điểm cuối. Các bên tham gia thí nghiệm phải thống nhất giá trị dựa trên kích thước liên quan bằng cách sử dụng tài liệu tham chiếu về lưu lượng môi chất. |
Tổn thất áp suất đo được qua hệ thống lò hơi hoặc một phần của lò hơi phải được hiệu chỉnh theo điều kiện tiêu chuẩn hoặc điều kiện thiết kế do sự khác biệt về lưu lượng khối lượng của môi chất chuyển động và thể tích riêng giữa điều kiện thí nghiệm và điều kiện thiết kế.
5.18.13 Nhiệt độ hơi và lượng nước phun giảm ôn
Các thông số đảm bảo của nhiệt độ hơi và nước phun giảm ôn phải được đánh giá dựa trên mức hấp thụ thực tế và mức hấp thụ theo thiết kế của bộ quá nhiệt (và bộ tái nhiệt, nếu có) thay vì dựa trên nhiệt độ thực do độ sai lệch tiềm ẩn so với nhiệt độ hơi mục tiêu trong quá trình thí nghiệm và hoặc sai lệch so với các điều kiện của chu trình thiết kế. Lưu lượng thực tế của dòng hơi chính và lưu lượng của hơi tái nhiệt được sử dụng để tính toán mức hấp thụ thực tế được hiệu chỉnh đối với các điều kiện thí nghiệm không theo thiết kế. Các nguyên tắc chung là:
(a) Nhiệt độ hơi phải được đánh giá bằng cách so sánh mức hấp thụ thực tế với mức hấp thụ yêu cầu theo thiết kế của bộ quá nhiệt hoặc bộ tái nhiệt.
(b) Lưu lượng nước phun giảm ôn phải được đánh giá dựa trên lượng nước phun giảm ôn tính toán cần thiết cho mức hấp thụ thực tế của bộ quá nhiệt hoặc bộ tái nhiệt so với mức hấp thụ cần thiết theo thiết kế.
(c) Lưu lượng dòng hơi chính và lưu lượng hơi tái nhiệt trong thí nghiệm được sử dụng để tính toán mức hấp thụ thực tế được hiệu chỉnh đối với phụ tải không theo thiết kế bằng cách nhân với tỷ số giữa lưu lượng hơi chính theo thiết kế và lưu lượng hơi chính theo thí nghiệm (MFrStCr).
(d) Nhiệt độ hơi chính và lượng nước phun giảm ôn bộ quá nhiệt đối với lò hơi trực lưu không phụ thuộc vào việc bố trí bề mặt tiếp nhiệt và không cần thiết phải hiệu chỉnh. Kiểm soát nhiệt độ hơi chính là chức năng điều khiển của lò hơi và cần được thừa nhận là luôn có thể đạt được trừ khi có các quy định hạn chế khác theo thiết kế.
(e) Các thiết kế cụ thể (ví dụ: các lò hơi có phân chia dòng khói) có thể yêu cầu các quy trình thí nghiệm hoặc hiệu chỉnh không được đề cập trong Tiêu chuẩn này (cách tiếp cận đơn giản đối với các lò hơi có phân chia dòng khói được trình bày trong 5.18.13.6).
Các giá trị thực tế và giá trị thiết kế đối với mức hấp thụ cần thiết của hơi quá nhiệt và hơi tái nhiệt được xác định dưới đây. Lưu lượng dòng hơi chính và lưu lượng hơi tái nhiệt sử dụng để tính toán mức hấp thụ thực tế được hiệu chỉnh theo dòng hơi chính khác với thiết kế bằng cách nhân lưu lượng hơi chính hoặc hơi tái nhiệt trong thí nghiệm với tỷ lệ giữa lưu lượng hơi chính theo thiết kế và lưu lượng hơi chính theo thí nghiệm (MFrStCr). “Mức hấp thụ thực tế” được xác định như trên sẽ được gọi là “mức hấp thụ hiệu chỉnh” trong các nội dung dưới đây. Các nguyên tắc tương tự cũng được áp dụng cho bộ tái nhiệt cấp hai.
5.18.13.1 Mức hấp thụ hiệu chỉnh của bộ quá nhiệt, QrShCr
Mức hấp thụ hiệu chỉnh của bộ quá nhiệt đối với dòng hơi chính theo thiết kế được tính như sau:
|
| (229) |
trong đó:
| MrSt32Ds MrSt46A MrW25 | là lưu lượng theo thiết kế của dòng hơi chính, kg/s là lưu lượng hơi trích trong các điều kiện thí nghiệm, kg/s là lưu lượng nước giảm ôn trong các điều kiện thí nghiệm, kg/s |
5.18.13.2 Mức hấp thụ cần thiết của bộ quá nhiệt, RqQrSh
Mức hấp thụ cần thiết của bộ quá nhiệt đối với dòng hơi chính theo thiết kế được tính như sau:
|
| (230) |
trong đó:
| HSt31Cr | là entanpi của hơi bão hòa được tính theo áp suất thiết kế đầu ra của bộ quá nhiệt và mức tổn thất áp suất hiệu chỉnh của bộ quá nhiệt, J/kg |
| HSt46A | là entanpi của hơi phụ hoặc hơi trích ở các điều kiện thí nghiệm, J/kg |
Các đại lượng khác dựa trên điều kiện thiết kế.
5.18.13.3 Mức hấp thụ hiệu chỉnh của bộ tái nhiệt, QrRhCr
Mức hấp thụ hiệu chỉnh của bộ tái nhiệt đối với dòng hơi chính theo thiết kế được tính như sau:
|
| (231) |
trong đó:
| MFrStCr | là tỷ lệ giữa lưu lượng hơi chính theo thiết kế với lưu lượng hơi chính trong thí nghiệm |
5.18.13.4 Mức hấp thụ cần thiết của bộ tái nhiệt, RqQrRh
Mức hấp thụ cần thiết của bộ tái nhiệt đối với dòng hơi chính theo thiết kế được tính như sau:
|
| (232) |
trong đó tất cả các đại lượng là theo điều kiện hợp đồng hoặc thiết kế cho dòng hơi chính theo thiết kế.
5.18.13.5 Nhiệt độ hơi quá nhiệt và tái nhiệt và lượng nước phun giảm ôn hiệu chỉnh
Khi mức hấp thụ hiệu chỉnh của bộ phận bằng hoặc vượt quá mức hấp thụ cần thiết của bộ phận đó thì nhiệt độ hiệu chỉnh của hơi được coi là nhiệt độ thiết kế. Lưu lượng nước phun giảm ôn cần thiết cho hơi quá nhiệt và tái nhiệt dựa trên mức hấp thụ vượt quá của bộ phận cụ thể và được tính toán theo các công thức sau:
|
| (233) |
|
| (234) |
Các lò hơi có phân chia dòng khói, trong đó nhiệt độ hơi được kiểm soát bằng cách trao đổi năng lượng giữa bộ tái nhiệt và bộ quá nhiệt, được trình bày trong 5.18.13.6
Nếu mức hấp thụ hiệu chỉnh của bộ phận nhỏ hơn mức hấp thụ cần thiết, thì lưu lượng hiệu chỉnh nước phun giảm ôn bằng 0. Nhiệt độ đầu ra hiệu chỉnh được xác định theo entanpi đầu ra tính toán từ mức hấp thụ hiệu chỉnh của bộ phận, lưu lượng hơi và các dòng hơi trích theo thiết kế, và các điều kiện đầu vào theo thiết kế (hoặc được hiệu chỉnh) như sau:
|
| (235) |
|
| (236) |
|
| (237) |
trong đó:
| QrAxStCr | là năng lượng trong hơi phụ hoặc hơi trích quá nhiệt, W |
5.18.13.6 Giá trị hiệu chỉnh của nhiệt độ hơi quá nhiệt và tái nhiệt và lượng nước phun giảm ôn đối với lò hơi có phân chia dòng khói
Trong lò hơi có phân chia dòng khói, nhiệt độ hơi tái nhiệt được kiểm soát nhờ sự trao đổi năng lượng giữa bộ tái nhiệt và bộ quá nhiệt bằng cách phân chia dòng khói giữa bộ tái nhiệt và bộ quá nhiệt. Các thí nghiệm có thể được tiến hành bằng cách kiểm soát theo nhiệt độ thiết kế của hơi tái nhiệt. Mức hấp thụ của bộ quá nhiệt có thể bị ảnh hưởng nếu điều kiện biên của bộ tái nhiệt khác với điều kiện thiết kế. Do đó, mức hấp thụ của bộ quá nhiệt và tái nhiệt phải được đánh giá cùng với nhau.
Khi độ sai lệch giữa mức hấp thụ hiệu chỉnh của bộ tái nhiệt với mức hấp thụ cần thiết nằm trong khoảng 5%, có thể giả định là có sự trao đổi năng lượng trực tiếp giữa bộ quá nhiệt và tái nhiệt. Các kết quả hiệu chỉnh sau đây là dựa trên giả định này.
Một phương pháp thí nghiệm khác có thể thay thế là kiểm soát nhiệt độ mục tiêu cửa hơi đầu ra bộ tái nhiệt hoặc lượng nước phun giảm ôn của bộ tái nhiệt tương đương với mức hấp thụ cần thiết theo thiết kế của bộ tái nhiệt (RqQrRh). Phương pháp này được sử dụng khi độ sai lệch giữa mức hấp thụ hiệu chỉnh và mức hấp thụ cần thiết lớn hơn 5%. Nhược điểm của phương pháp thí nghiệm này là có thể không xác định được sai lệch giữa mức hấp thụ cần thiết với mức hấp thụ hiệu chỉnh của bộ tái nhiệt tại thời điểm thí nghiệm.
Nhiệt độ hơi chính và hơi tái nhiệt được coi là đạt yêu cầu nếu tổng mức hấp thụ hiệu chỉnh của bộ quá nhiệt và bộ tái nhiệt lớn hơn tổng mức hấp thụ cần thiết của bộ quá nhiệt và bộ tái nhiệt, đồng thời mức hấp thụ của bộ tái nhiệt có thể kiểm soát được.
Mức hấp thụ của bộ tái nhiệt được coi là có thể kiểm soát được nếu cửa điều tiết hướng dòng khói nằm trong phạm vi hoạt động để đủ khả năng đạt được sự thay đổi cần thiết về mức hấp thụ của bộ tái nhiệt. Sự thay đổi cần thiết về mức hấp thụ của bộ tái nhiệt là sự khác biệt giữa mức hấp thụ hiệu chỉnh và mức hấp thụ cần thiết của bộ tái nhiệt, QrRhCr - RqQrRh.
Dựa trên các giả định này, lượng nước phun giảm ôn được hiệu chỉnh có thể tính theo công thức sau:
|
| (238) |
Đối với nhiệt độ hiệu chỉnh của hơi trong các điều kiện hấp thụ, nhiệt độ hơi chính có thể được coi là đạt yêu cầu và nhiệt độ hơi đầu ra của bộ tái nhiệt được xác định từ entanpi tính toán dựa trên các điều kiện đầu vào theo thiết kế của bộ tái nhiệt và độ chênh lệch về tổng mức hấp thụ hiệu chỉnh của bộ tái nhiệt và quá nhiệt trừ đi mức hấp thụ cần thiết bộ quá nhiệt.
|
| (239) |
5.18.14 Độ không đảm bảo của các kết quả hiệu chỉnh
Mục đích của việc hiệu chỉnh kết quả là điều chỉnh các đặc tính vận hành trong thí nghiệm theo các điều kiện thiết kế. Độ không đảm bảo trong các giá trị thí nghiệm của một số thông số (như thành phần nhiên liệu, nhiệt trị nhiên liệu và nhiệt độ nhiên liệu, thành phần chất hấp thụ và nhiệt độ chất hấp thụ, nhiệt độ không khí đi vào lò, không khí thừa và độ ẩm trong không khí) có thể dẫn đến độ không đảm bảo của các thông số tính toán được sử dụng làm đầu vào trong các kết quả hiệu chỉnh. Các thông số tính toán được sử dụng cho các kết quả hiệu chỉnh cần phải xác định độ không đảm bảo là:
(a) Độ không đảm bảo đối với tổn thất do carbon chưa cháy hết (QpLUbC) phụ thuộc vào độ không đảm bảo của các phân tích thành phần nhiên liệu và chất hấp thụ sử dụng trong thí nghiệm cũng như các thông số thí nghiệm khác. Do đó, độ không đảm bảo của tổn thất do carbon chưa cháy hết cần được xác định cho tất cả các thông số thí nghiệm và cần được sử dụng làm độ không đảm bảo của QpLUbC cho các điều kiện hiệu chỉnh.
(b) Thông số thí nghiệm then chốt để xác định giá trị hiệu suất hiệu chỉnh là nhiệt độ khói thoát ra khỏi lò hơi trong quá trình thí nghiệm (đối với các lò hơi có bộ sấy không khí đó là nhiệt độ khói thoát ra khỏi bộ sấy không khí không tính đến lọt gió TFgLvCr). Đối với các lò hơi có bộ sấy không khí, nguyên nhân dẫn đến độ không đảm bảo của giá trị TFgLvCr là do phép đo nhiệt độ khói thoát ra, nhiệt độ không khí đi vào và hàm lượng O2 trong khói đi vào và đi ra bộ sấy không khí. Các thông số thí nghiệm khác như phân tích thành phần nhiên liệu và chất hấp thụ cũng ảnh hưởng đến độ không đảm bảo của TFgLvCr. Do đó, độ không đảm bảo của TFgLvCr cần được xác định cho tất cả các thông số thí nghiệm và được sử dụng làm độ không đảm bảo của khói thoát ra khỏi lò hơi đối với các điều kiện hiệu chỉnh.
Đối với các lò hơi có bộ sấy không khí, nhiệt độ khói ra khỏi bộ sấy không khí trong thí nghiệm được hiệu chỉnh theo nhiệt độ không khí đi vào khác với thiết kế, tỷ số nhiệt dung (X-ratio) và có thể là theo nhiệt độ và lưu lượng khói đi vào bộ sấy không khí. Do việc hiệu chỉnh này dựa trên các nguyên tắc kỹ thuật có cơ sở và mục đích của việc tính toán độ không đảm bảo là để đánh giá chất lượng của thí nghiệm, nên không cần xem xét độ không đảm bảo nào đối với tính toán hiệu chỉnh này.
Dưới đây trình bày các vấn đề liên quan đến độ không đảm bảo của các thông số thiết kế riêng lẻ. Nội dung này chủ yếu đề cập đến các thông số thiết kế được coi là không có độ không đảm bảo. Đối với các thông số đầu vào không được đề cập ở đây thì sử dụng độ không đảm bảo thí nghiệm.
5.18.14.1 Phân tích thành phần nhiên liệu, nhiệt trị nhiên liệu và nhiệt độ nhiên liệu
Độ không đảm bảo của thí nghiệm liên quan đến việc xác định thành phần nhiên liệu đốt thực tế sẽ ảnh hưởng đến tổn thất do carbon chưa cháy hết và nhiệt độ tính toán của khói thoát ra khỏi bộ sấy không khí không bao gồm rò lọt (nếu có), và độ không đảm bảo của các thông số này phải được sử dụng trong các kết quả hiệu chỉnh. Khi đốt nhiên liệu có nhiệt trị rất thấp (nhỏ hơn 11600 kJ/kg), trong đó phân tích thành phần nhiên liệu thí nghiệm khác biệt đáng kể so với giá trị thiết kế, thì việc hiệu chỉnh nhiệt độ khói ra khỏi các bộ phận chịu áp lực cần được sự đồng thuận của các bên, trong trường hợp đó phải thống nhất về độ không đảm bảo của nhiệt độ hiệu chỉnh (có tính đến độ không đảm bảo của nhiệt độ đo được).
5.18.14.2 Phân tích thành phần chất hấp thụ và nhiệt độ chất hấp thụ
Xem các nội dung trên đây về tổn thất do carbon không cháy hết và nhiệt độ khói ra khỏi bộ sấy không khí.
5.18.14.3 Tổn thất do carbon chưa cháy hết
Xác định độ không đảm bảo đối với tổn thất carbon chưa cháy hết bằng cách sử dụng độ không đảm bảo của tất cả các thông số thí nghiệm như đã trình bày trên đây.
5.18.14.4 Năng lượng đầu ra của lò hơi (giá trị thiết kế hoặc hiệu chỉnh)
Không có độ không đảm bảo trong các kết quả hiệu chỉnh liên quan đến các giá trị năng lượng đầu ra. Độ không đảm bảo đối với giá trị hiệu chỉnh năng lượng đầu ra được coi là không đáng kể.
5.18.14.5 Hàm lượng ẩm trong không khí
Không có độ không đảm bảo trong các kết quả hiệu chỉnh liên quan đến các giá trị thiết kế.
5.18.14.6 Nhiệt độ khói đầu ra đối với các lò hơi không có bộ sấy không khí
Sử dụng độ không đảm bảo của nhiệt độ khói đầu ra đo được. Nếu nhiệt độ khói đầu ra được hiệu chỉnh theo các điều kiện khác với thiết kế, thì các bên phải thống nhất về các độ không đảm bảo bổ sung.
5.18.14.7 Nhiệt độ khói đầu ra đối với các lò hơi có bộ sấy không khí
Tính toán độ không đảm bảo của TFgLvCr bằng cách sử dụng độ không đảm bảo của tất cả các thông số thí nghiệm như đã trình bày trên đây. Sử dụng độ không đảm bảo tính được cho nhiệt độ khói đầu ra được hiệu chỉnh theo nhiệt độ không khí đầu vào và tỷ lệ nhiệt dung (cũng như nhiệt độ khói đầu vào và lưu lượng khói, nếu áp dụng).
5.18.14.8 Nhiệt độ không khí đi vào bộ sấy không khí
(a) Đối với các hợp đồng quy định nhiệt độ thiết kế của không khí đi vào lò hơi là nhiệt độ không khí đầu vào bộ sấy không khí, thì không có độ không đảm bảo trong các kết quả hiệu chỉnh liên quan đến các giá trị thiết kế.
(b) Đối với các hợp đồng, trong đó nhiệt độ thiết kế của không khí đầu vào có liên kết với các điều kiện môi trường quy định hoặc nhiệt độ quy định của không khí đi vào quạt, thì sử dụng độ không đảm bảo của nhiệt độ không khí đầu vào, vì nhiệt độ hiệu chỉnh của không khí đầu vào là giá trị tính toán phụ thuộc vào nhiệt độ đo được của không khí đi vào bộ sấy không khí.
5.18.14.9 Nhiệt độ không khí đi vào quạt
Đối với các hợp đồng quy định nhiệt độ không khí đầu vào phụ thuộc vào nhiệt độ không khí đi vào quạt, thì sử dụng độ không đảm bảo của nhiệt độ không khí đi vào quạt trong thí nghiệm.
5.18.14.10 Nhiệt độ không khí ra khỏi quạt
Đối với các hợp đồng quy định nhiệt độ không khí đầu vào phụ thuộc vào nhiệt độ không khí đi vào quạt và giàn ống sấy không khí sơ bộ có hoạt động trong quá trình thí nghiệm (điều kiện thiết kế không bao gồm việc sử dụng giàn ống sấy không khí sơ bộ), thì sử dụng độ không đảm bảo của nhiệt độ không khí ra khỏi quạt khi thí nghiệm.
5.18.14.11 Tỷ lệ không khí thừa trung bình đi vào các bộ sấy không khí (hoặc ra khỏi bộ hâm nước nếu không có bộ sấy không khí)
Không có độ không đảm bảo đối với tính toán các kết quả hiệu chỉnh liên quan đến giá trị không khí thừa được ấn định. Đối với các lò hơi có bộ sấy không khí, độ không đảm bảo của không khí thừa (hàm lượng O2) đi vào bộ sấy không khí đã được xem xét khi xác định độ không đảm bảo của TFgLvCr.
5.18.14.12 Tỷ lệ mol Ca/S
(a) Khi sử dụng giá trị thiết kế. Không có độ không đảm bảo liên quan đến giá trị thiết kế.
(b) Khi sử dụng giá trị trong thí nghiệm. Ước tính độ không đảm bảo đối với tỷ lệ mol Ca/S dựa trên độ không đảm bảo của lưu lượng chất hấp thụ đo được. Ảnh hưởng của các thông số thí nghiệm khác đến độ không đảm bảo của tỷ lệ mol Ca/S được coi là không đáng kể so với ảnh hưởng của lưu lượng chất hấp thụ đo được.
5.18.14.13 Tỷ lệ nung khô
(a) Khi sử dụng giá trị tính toán từ kết quả thí nghiệm (quy trình thông thường). Ước tính độ không đảm bảo đối với tỷ lệ nung khô dựa trên độ không đảm bảo hệ thống đối với CO2 trong tro xỉ và phân bố tro xỉ.
(b) Khi sử dụng giá trị quy ước. Sử dụng giá trị độ không đảm bảo đã được thống nhất bởi các bên tham gia thí nghiệm.
5.18.14.14 Khử lưu huỳnh
Sử dụng giá trị thí nghiệm hoặc giá trị hiệu chỉnh quy ước. Ước tính độ không đảm bảo đối với lượng lưu huỳnh được khử dựa trên sai số đo SO2. Độ không đảm bảo này có thể áp dụng cho cả trường hợp sử dụng giá trị thí nghiệm hay sử dụng giá trị hiệu chỉnh.
5.18.14.15 Mức rò lọt không khí vào thiết bị kiểm soát phát thải khói nóng (HAQC)
(a) Khi có chỉ định độ rò lọt không khí. Không có độ không đảm bảo liên quan đến giá trị thiết kế.
(b) Khi không chỉ định độ rò lọt không khí. Sử dụng độ không đảm bảo đối với hàm lượng O2 đo được trong khói đi vào và đi ra khỏi thiết bị HAQC.
5.18.14.16 Phân bố tro xỉ
Sử dụng giá trị thí nghiệm hoặc giá trị hiệu chỉnh quy ước đối với phân bố tro xỉ. Sử dụng cùng một độ không đảm bảo cho các kết quả đo lường và hiệu chỉnh.
5.18.14.17 Carbon trong tro xỉ
Thông số này được tính toán từ tổn thất do carbon chưa cháy hết được chỉ định. Độ không đảm bảo khi xác định lượng carbon trong tro xỉ được đưa vào độ không đảm bảo đối với carbon chưa cháy hết.
5.18.14.18 CO2 trong tro xỉ
Thông số này được xem xét khi xác định độ không đảm bảo đối với tỷ lệ nung khô được sử dụng cho các kết quả hiệu chỉnh. Xem mục tỷ lệ nung khô trên đây.
5.18.14.19 Hàm lượng SO2 tính theo phần triệu (ppm)
Hàm lượng SO2 trong khói thải được tính toán từ thí nghiệm hoặc quy ước về mức độ khử lưu huỳnh để được sử dụng cho các kết quả hiệu chỉnh. Không có độ không đảm bảo đối với hàm lượng SO2 được tính toán.
5.18.14.20 Nhiệt độ khói đi vào thiết bị HAQC
(a) Khi chênh lệch nhiệt độ khói được chỉ định. Mức chênh lệch nhiệt độ được chỉ định được sử dụng để tính toán tổn thất. Độ không đảm bảo đối với của nhiệt độ khói đi vào thiết bị HAQC trở thành độ không đảm bảo đối với nhiệt độ khói đi ra khỏi lò hơi (đi vào bộ sấy không khí). Thông số này cần được sử dụng để xác định TFgLvCr.
(b) Khi chênh lệch nhiệt độ khói không được chỉ định. Sử dụng độ không đảm bảo đối với nhiệt độ khói trong thí nghiệm.
5.18.14.21 Nhiệt độ khói ra khỏi thiết bị HAQC
(a) Khi chênh lệch nhiệt độ khói được chỉ định. Tính nhiệt độ khói đầu ra theo mức chênh lệch so với nhiệt độ khói đầu vào. Vì chênh lệch nhiệt độ khói là một thông số thiết kế xác định, nên độ không đảm bảo đối với nhiệt độ khói đầu ra được coi là bằng 0 đối với tính toán tổn thất trong thiết bị HAQC.
(b) Khi chênh lệch nhiệt độ khói không được chỉ định. Sử dụng độ không đảm bảo đối với nhiệt độ khói trong thí nghiệm.
5.18.14.22 Nhiệt độ trung bình của không khí đi vào máy nghiền
Sử dụng độ không đảm bảo đối với nhiệt độ đo được. Độ không đảm bảo này có thể áp dụng cho cả trường hợp sử dụng nhiệt độ đo được hoặc sử dụng nhiệt độ hiệu chỉnh của không khí đi vào máy nghiền.
5.18.14.23 Nhiệt độ trung bình của không khí hòa trộn cho máy nghiền
(a) Đối với các hợp đồng, trong đó quy định nhiệt độ thiết kế không khí đi vào lò hơi là nhiệt độ không khí đi vào bộ sấy không khí, thì không độ không đảm bảo đối với các kết quả hiệu chỉnh liên quan đến các giá trị thiết kế.
(b) Đối với các hệ thống không khí nóng cấp một hoặc các máy nghiền có quạt hút không khí, trong đó nhiệt độ không khí hòa trộn được quy định là nhiệt độ không khí xung quanh vị trí đặt máy nghiền, thì không có độ không đảm bảo đối với các kết quả hiệu chỉnh liên quan đến giá trị thiết kế.
(c) Đối với các hợp đồng, trong đó quy định nhiệt độ thiết kế của không khí đi vào lò hơi có liên kết với các điều kiện môi trường quy định hoặc nhiệt độ quy định của không khí đi vào quạt, thì sử dụng độ không đảm bảo đối với nhiệt độ không khí đi vào lò hơi vì nhiệt độ hiệu chỉnh của không khí hòa trộn là giá trị được tính toán phụ thuộc vào nhiệt độ đo được của không khí hòa trộn.
5.18.14.24 Tỷ lệ lượng không khí cấp một với lượng than đối với máy nghiền
Sử dụng tỷ lệ lưu lượng không khí với lưu lượng than theo thiết kế. Không có độ không đảm bảo đối tỷ lệ lưu lượng không khí và lưu lượng than.
5.18.14.25 Nhiệt độ khói ra khỏi bộ sấy không khí cấp một
Có một số phương pháp kiểm soát khói đối với các bộ sấy không khí cấp một riêng biệt, bao gồm:
(a) Kiểm soát nhiệt độ không khí nóng cấp một để giảm thiểu không khí hòa trộn
(b) Kiểm soát theo nhiệt độ tối thiểu của khói thoát ra
(c) Kiểm soát khói thoát ra theo cùng nhiệt độ với bộ sấy không khí cấp hai.
Sử dụng độ không đảm bảo đối với nhiệt độ đo được cho tất cả các trường hợp nêu trên.
5.19 Entanpi của không khí, khói và các dòng vật chất khác được yêu cầu để tính toán cân bằng năng lượng
Năng lượng riêng (năng lượng trên một đơn vị khối lượng) của nhiều dòng vật chất khác nhau phải được xác định để đánh giá tổn thất năng lượng và nhiệt đóng góp khi tính toán hiệu suất. Một số dòng vật chất trong số đó là hơi, nước, không khí, khói, chất hấp thụ, than và tro xỉ (tro xỉ và bã chất hấp). Năng lượng riêng của dòng vật chất được đánh giá bằng entanpi của vật chất trong dòng.
Các đại lượng có thể đo lường để xác định entanpi của các chất là nhiệt độ và áp suất. Entanpi liên quan đến nhiệt độ và áp suất bằng các mối quan hệ đơn giản trong một số phạm vi nhất định của nhiệt độ và áp suất và có thể phức tạp hơn trong các phạm vi khác. Việc xác định chính xác entanpi ở tất cả các giá trị nhiệt độ và áp suất đòi hỏi phải sử dụng bảng, đồ thị hoặc phần mềm máy tính. Entanpi của hơi và nước được xác định bằng cách sử dụng bảng đặc tính hơi nước hoặc phần mềm.
Các thay đổi về năng lượng riêng của các dòng chất (trừ hơi nước) được đánh giá bằng cách sử dụng nhiệt dung riêng và mức chênh lệch nhiệt độ.
|
| (240) |
trong đó:
| MnCpk | là nhiệt dung riêng trung bình giữa hai nhiệt độ |
Nhiệt dung riêng trung bình có thể được lấy theo giá trị ở nhiệt độ trung bình.
|
| (241) |
Trong thực tế, nhiệt dung riêng và entanpi đều là hàm phi tuyến theo nhiệt độ và có quan hệ với nhau như sau:
|
| (242) |
Vì nhiệt dung riêng thường là giá trị phi tuyến nên MnCpk không bằng nhiệt dung riêng ở nhiệt độ TMn.
Để đạt được độ chính xác, Tiêu chuẩn này quy định entanpi của các chất (trừ hơi nước) phải được xác định trực tiếp theo nhiệt độ thông qua đồ thị nhiệt độ - entanpi. Ảnh hưởng của áp suất được bỏ qua vì tất cả các dòng vật chất (trừ nước hoặc hơi) đều ở áp suất thấp và gần như không đổi.
Khi yêu cầu phải xác nhiệt dung riêng trung bình thì đại lượng này được tính theo công thức sau:
|
| (243) |
Quan hệ giữa entanpi với nhiệt độ được sử dụng cho các tính toán truyền nhiệt liên quan đến không khí và khói.
Khi tính toán thủ công có thể sử dụng các đồ thị được cung cấp trong Tiêu chuẩn này để xác định entanpi của không khí, khói, hơi ẩm và tro xỉ. Xem 5.19.12 về cách sử dụng các đồ thị này.
5.19.1 Entanpi của không khí, J/kg
Entanpi của không khí phụ thuộc vào khối lượng của hỗn hợp không khí khô và hơi ẩm trong không khí. Để xác định entanpi của không khí khô, sử dụng hàm lượng hơi ẩm trong không khí bằng 0.
|
| (244) |
|
| (245) |
trong đó:
| HA HDA HWv MFrWDA | là entanpi của không khí ẩm, J/kg là entanpi của không khí khô, J/kg. Xem 5.19.10. là entanpi của hơi ẩm, J/kg. Xem 5.19.4 và 5.19.10. là tỷ lệ khối lượng của hơi ẩm trong không khí khô, kg H2O/kg không khí khô. Đây là phương pháp chuẩn để biểu thị độ ẩm trong không khí. |
| MFrWA | là tỷ lệ khối lượng của hơi ẩm trong không khí ẩm, kg H2O/kg không khí ẩm |
5.19.2 Entanpi của khói thải, J/kg
"Khói ẩm" (theo định nghĩa của Tiêu chuẩn này) bao gồm các sản phẩm khí khô của quá trình cháy và hơi ẩm và tro xỉ ở thể rắn bị cuốn theo dòng khói. Các giá trị entanpi của tất cả các thành phần này đều được tính vào entanpi của khói ẩm. Để tính giá trị entanpi của khói khô thì các thành phần nước và tro xỉ thể rắn được cho bằng 0.
|
| (246) |
trong đó:
| HDFg HFg HRs MFrRsFg | là entanpi của khói khô, J/kg. Xem 5.19.10 dưới đây. là entanpi của khói ẩm, J/kg là entanpi của tro xỉ, J/kg. Xem 5.19.3 và 5.19.10 dưới đây. là tỷ lệ khối lượng của tro xỉ trong khói ẩm, kg/kg khói ẩm. Xem 5.12.12 về cách tính toán. Có thể bỏ qua nhiệt vật lý của tro xỉ khi không sử dụng chất hấp thụ và hàm lượng tro trong nhiên liệu đầu vào nhỏ hơn 6,45 kg/GJ. |
| MFrWFg | là tỷ lệ khối lượng của nước trong khói ẩm, kg H2O/kg khói ẩm. Xem 5.12.11 về cách tính toán. |
5.19.3 Entanpi của tro xỉ khô, J/kg
Tro xỉ bao gồm nhiều hợp chất phức tạp và có thể bao gồm cả các sản phẩm trong bã chất hấp thụ khi lò hơi có sử dụng chất hấp thụ. Entanpi của tro xỉ được xác định bằng cách đo lường hoặc ước tính (bằng tính toán) các thành phần chính trong tro xỉ và sử dụng giá trị trung bình có trọng số của entanpi cho từng thành phần để xác định entanpi trung bình. Để đơn giản hóa, có thể áp dụng đa thức tính dần đúng dưới đây cho tất cả các dòng tro xỉ khô. Công thức này được xây dựng từ dữ liệu với nhiệt độ tham chiếu của SiO2 là 25 °C và có thể áp dụng trong dải từ -20 °C đến 1100 °C. Tiêu chuẩn này chấp nhận giá trị các đa thức bậc 5 nêu trong 5.19.10 đối với tất cả các dòng tro xỉ khô. Công thức rút gọn dưới đây (được xây dựng từ đa thức tính gần đúng bậc 5) có thể được sử dụng để tính toán thủ công:
|
| (247) |
trong đó:
| T | là nhiệt độ, °C |
5.19.4 Entanpi của hơi ẩm, J/kg
Các hệ số sử dụng để xây dựng đa thức tính gần đúng bậc 5 được trình bày trong 5.19.10. Ngoài ra có thể sử dụng công thức được đơn giản hóa dưới đây để tính toán nhiệt đóng góp và tổn thất nhiệt liên quan đến hàm lượng ẩm. Kết quả nằm trong khoảng sai số 0,3% trong dải nhiệt độ từ -20 °C đến 540 °C.
|
| (248) |
trong đó:
| T | là nhiệt độ, °C |
GHI CHÚ: Nhiệt độ tham chiếu là 25 oC.
5.19.5 Entanpi của hơi và nước ở 0,1 MPa (áp suất tuyệt đối), J/kg
Giá trị entanpi của hơi ở 0,1 MPa (áp suất tuyệt đối) được sử dụng để xác định tổn thất do nước trong khói thoát ra khỏi đường bao thí nghiệm lò hơi ở trạng thái hơi (ví dụ: tính toán các tổn thất do hàm lượng nước trong nhiên liệu). Công thức sau có thể được sử dụng thay cho Bảng hơi nước ASME đối với dải nhiệt độ từ 95 °C đến 540 °C:
|
| (249) |
|
| (250) |
trong đó:
| T | là nhiệt độ, °C |
GHI CHÚ: Nhiệt độ tham chiếu là 0 °C.
5.19.6 Entanpi của than, J/kg
Tương quan giữa entanpi và nhiệt độ của than được xây dựng dựa trên các thành phần trong than xác định từ kết quả phân tích gần đúng. Các công thức tính nhiệt dung riêng được tích hợp vào để xác định entanpi ở nhiệt độ tham chiếu là 25 °C. Đa thức cho carbon cố định đã được giảm một bậc để đơn giản hóa. Entanpi của tro được xây dựng từ SiO2 để tạo sự nhất quán với entanpi của tro xỉ.
Tương quan này không áp dụng đối với than có nhiệt độ dưới 0 °C hoặc cao hơn nhiệt độ thoát chất bốc.
|
| (251) |
|
| (252) |
|
| (253) |
|
| (254) |
|
| (255) |
|
| (256) |
|
| (257) |
|
| (258) |
Nếu MFrVmCr ≤ 0,10, thì
|
| (259) |
|
| (260) |
Nếu MFrVmCr > 0,10, thì
|
| (261) |
|
| (262) |
trong đó:
| Hk MFrAsF MFrFc MFrVm MFrVm1 MFrVm2 MFrVmCr MFrWF T | là entanpi của thành phần k trong than, J/kg là tỷ lệ khối lượng của tro, kg/kg than thực đốt là tỷ lệ khối lượng của carbon cố định, kg/kg than thực đốt là tỷ lệ khối lượng của chất bốc, kg/kg than thực đốt là tỷ lệ khối lượng của chất bốc sơ cấp, kg/kg than thực đốt là tỷ lệ khối lượng của chất bốc thứ cấp, kg/kg than thực đốt là tỷ lệ khối lượng của chất bốc theo mẫu khô không tro, kg/kg than khô không tro là tỷ lệ khối lượng của nước, kg/kg than thực đốt là nhiệt độ, °C |
5.19.7 Entanpi của dầu nhiên liệu, J/kg
Entanpi của dầu nhiên liệu theo nhiệt độ, phụ thuộc vào tỷ trọng (tính theo °API) ở 16 °C có thể được xác định theo đa thức tính gần đúng sau:
|
| (263) |
|
| (264) |
|
| (265) |
trong đó:
| API C1 = C2 = C3 = C4 = C5 = C6 = Dn HFo Sg T | là tỷ trọng API ở 16 °C, °API -4,2454x104 -1,4151x102 +1,6572x103 +5,5239x100 +1,6333x100 +5,4445x10-3 là khối lượng riêng ở 16 °C, kg/m³ là entanpi của dầu nhiên liệu, J/kg là tỷ trọng ở 16 °C, kg/kg là nhiệt độ, °C |
5.19.8 Entanpi của khí đốt thiên nhiên, J/kg
Đa thức tính gần đúng dưới đây được xây dựng từ dữ liệu phân tích thành phần nhiên liệu khí đốt thiên nhiên điển hình gồm 90% mêtan (CH4), 5% etan (C2H6) và 5% nitơ. Đa thức này áp dụng trong dải nhiệt độ từ -20 °C đến 260 oC. Nhiệt độ của khí đốt thiên nhiên thường gần với nhiệt độ tham chiếu là 25 °C, do đó việc sử dụng kết quả phân tích thành phần điển hình của khí đốt thiên nhiên là đủ chính xác cho các tính toán hiệu suất. Đối với các khí chế phẩm (khí đốt nhân tạo) đi vào lò hơi ở nhiệt độ cao, entanpi phải được xác định dựa trên các thành phần thực tế trong khí đốt đó.
|
| (266) |
trong đó:
| T | là nhiệt độ, oC |
5.19.9 Entanpi của chất hấp thụ là đá vôi, J/kg
Tương quan entanpi với nhiệt độ dưới đây dựa trên dữ liệu về CaCO3 với sự hiệu chỉnh đối với hàm lượng nước. Tương quan này có thể áp dụng trong dải nhiệt độ từ -20 °C đến 93 °C.
|
| (267) |
|
| (268) |
trong đó:
| MFrH2OSb T | là tỷ lệ khối lượng của nước trong chất hấp thụ, kg/kg chất hấp thụ là nhiệt độ, °C |
5.19.10 Các hệ số trong đa thức tính gần đúng entanpi theo nhiệt độ
Đa thức tổng quát dưới đây có thể áp dụng để tính gần đúng entanpi theo nhiệt độ (với nhiệt độ tham chiếu là 25 °C) cho các trường hợp khác nhau. Các hệ số trong đa thức được trình bày ở bên dưới.
|
| (269) |
|
| (270) |
trong đó:
| Hk T TK | là entanpi của các thành phần, J/kg là nhiệt độ, °C nhiệt độ tuyệt đối, K |
Các hệ số áp dụng để tính entanpi của không khí khô dựa trên thành phần đặc trưng của không khí được nêu trong 5.11.1.
Các hệ số áp dụng để tính entanpi của không khí khô cho dải nhiệt độ từ 255 K đến 1000 K:
C0 = -3.045576x105
C1 = +1.064558x103
C2 = -2.498054x10-1
C3 - +4.133509x10-4
C4 = -2.149112x10-7
C5 = +3.908536x10-11
Các hệ số áp dụng để tính entanpi của không khí khô cho dải nhiệt độ trên 1000 K:
C0 = -2.736675x105
C1 = +8.636696x102
C2 = +2.022062x10-1
C3 = -5.103340x10-5
C4 = +6.923608x10-9
C5 = -3.789562x10-13
Các hệ số áp dụng để tính entanpi của hơi nước cho dải nhiệt độ từ 255 K đến 1000 K:
C0 = -5.563017x105
C1 = +1.922766x103
C2 = -4.176941x10-1
C3 = +9.142863x10-4
C4 = -5.613764x10-7
C5 = +1.410315x10-10
Các hệ số áp dụng để tính entanpi của hơi nước cho dải nhiệt độ trên 1000 K:
C0 = -3.656249x105
C1 = +1.215267x103
C2 = +7.179283x10-1
C3 = -1.388378x10-4
C4 = +1.461727x10-8
C5 = -6.382042x10-13
Các hệ số áp dụng để tính entanpi của khói khô dựa trên thành phần khói gồm 15,3% CO2, 3,5% O2, 0,1% SO2 và 81,1% nitơ khí quyển tính theo thể tích. Entanpi của khói khô không thay đổi đáng kể đối với nhiên liệu hóa thạch vì nitơ khí quyển là thành phần chủ yếu. Thành phần nitơ khí quyển thay đổi trong phạm vi từ khoảng 80% đối với than đến khoảng 88% đối với khí đốt thiên nhiên. Khác biệt chủ yếu là CO2 và O2 - là các thành phần có các nhiệt dung tương tự (không khác biệt đáng kể) với nhiệt dung của nitơ khí quyển. Đối với các nhiên liệu hydrocarbon điển hình được đốt cháy với tỷ lệ không khí thừa nhỏ hơn 300%, có thể áp dụng các hệ số dưới đây để tính entanpi cho hầu hết các tính toán truyền nhiệt. Đối với các loại nhiên liệu đặc thù như khí chế phẩm (nhân tạo), hydro hoặc các quá trình cháy sử dụng môi trường oxy hóa không phải là không khí, thì xem 5.19.11 dưới đây.
Các hệ số áp dụng để tính entanpi của khói khô cho dải nhiệt độ từ 255 K đến 1000 K:
C0 = -2.862564x105
C1 = +9.447160x102
C2 = +1.346596x10-2
C3 = +1.471163x10-4
C4 = -6.795507x10-8
C5= +5.788358x10-12
Các hệ số áp dụng để tính entanpi của khói khô cho dải nhiệt độ trên 1000 K:
C0 = -2.742187x105
C1 = +8.446870x102
C2 = +2.414854x10-1
C3 = -6.324693x10-5
C4= +8.640114x10-9
C5 = -4.718496x10-13
Các hệ số áp dụng để tính entanpi của tro xỉ không rõ thành phần và cát cho dải nhiệt độ từ 255 K đến 1000 K (dựa trên đồ thị entanpi SiO2 với một số điều chỉnh quanh nhiệt độ xấp xỉ 1000 K) như sau:
C0 = -7.506336x104
C1 - -5.649853x102
C2 = +4.154081
C3 = -6.037507x10-3
C4 = +4.774953x10-6
C5 = -1.479473x10-9
Các hệ số áp dụng để tính entanpi của tro xỉ không rõ thành phần và cát cho dải nhiệt độ trên 1000 K:
C0 = +4.235262x104
C1 = +8.379622x101
C2 = +1.005171
C3 = -4.610567x10-4
C4 = +1.124565x10-7
C5 = -1.072176x10-11
5.19.11 Các hệ số áp dụng để tính entanpi đối với các hỗn hợp khí nói chung
Đối với các hỗn hợp khói thông thường, áp dụng các hệ số đối với khói khô trên đây. Các hệ số tính entanpi của các hỗn hợp khí không đề cập ở trên có thể được tính toán từ tỷ lệ khối lượng của các thành phần MFrk trong hỗn hợp khí theo công thức sau:
|
| (271) |
trong đó:
| Cfik | là hệ số i đối với thành phần k như được liệt kê dưới đây hoặc được lấy từ các nguồn trích dẫn phù hợp khác. |
Nếu sử dụng quy trình đầy đủ để tính toán các hệ số đối với hỗn hợp khói từ một nhiên liệu (hoặc chất oxy hóa) cụ thể thì hỗn hợp đó phải lấy theo mẫu khói khô dựa trên tỷ lệ không khí thừa điển hình. Khi đó, hàm lượng ẩm (và hàm lượng tro xỉ, nếu có) tại vị trí được đề cập có thể được sử dụng cùng với khói khô để tính toán entanpi của khói ẩm theo các quy định tại 5.19.2. Hệ số tính entanpi cho khói khô có thể áp dụng cho một phạm vi rộng của tỷ lệ không khí thừa, do đó chỉ cần tính các hệ số khói khô một lần đối với một nhiên liệu trung bình.
Các hệ số áp dụng để tính entanpi của O2 cho dải nhiệt độ từ 255 K đến 1000 K:
C0 = -2.763335x105
C1 = +9.828133x102
C2 = -3.926567x10-1
C3 = +8.614360x10-4
C4 = -6.376114x10-7
C5 = +1.715992x10-10
Các hệ số áp dụng để tính entanpi của O2 cho dải nhiệt độ trên 1000 K:
C0 = -3.111409x105
C1 = +9.382666x102
C2 = +9.721494x10-2
C3 = -1.716127x10-5
C4 = +2.191562x10-9
C5 = -1.241980x10-13
Các hệ số áp dụng để tính entanpi của N2 (nguyên tố) cho dải nhiệt độ từ 255 K đến 1000 K:
C0 = -3.157739x105
C1 = +1.099109x103
C2 = -2.109367x10-1
C3 = +2.835523x10-4
C4 = -8.922490x10-8
C5 = -8.280765x10-13
Các hệ số áp dụng để tính entanpi của N2 (nguyên tố) cho nhiệt độ trên 1000 K:
C0 = -2.641480x105
C1 = +8.465771x102
C2 = +2.376899x10-1
C3 = -6.224504x10-5
C4 = +8.486438x10-9
C5 = -4.631964x10-13
Các hệ số áp dụng để tính entanpi của N2a (khí quyển) cho dải nhiệt độ từ 255 K đến 1000 K:
C0 = -3.130558x105
C1 = +1.089170x103
C2 = -2.067935x10-1
C3 = +2.784348x10-4
C4 = -8.763830x10-8
C5 = -8.139085x10-13
Các hệ số áp dụng để tính entanpi của N2a (khí quyển) cho nhiệt độ trên 1000 K:
C0 = -2.623843x105
C1 = +8.412087x102
C2 = +2.338186x10-1
C3 = -6.123212x10-5
C4 = +8.348403x10-9
C5 = -4.556625x10-13
Các hệ số áp dụng để tính entanpi của CO2 cho dải nhiệt độ từ 255 K đến 1000 K:
C0 = -1.982492x105
C1 = +4.534185x102
C2 = +8.248684x10-1
C3 = -4.159449x10-4
C4 = +9.453474x10-8
C5 = +2.390025x10-14
Các hệ số áp dụng để tính entanpi của CO2 cho dải nhiệt độ trên 1000 K:
C0 = -3.085293x105
C1 = +8.424809x102
C2 = +2.925650x10-1
C3 = -7.801662x10-5
C4 = +1.073749x10-8
C5 = -5.864559x10-13
Các hệ số áp dụng để tính entanpi của Ar cho dải nhiệt độ từ 255 K đến 1000 K:
C0 = -1.550924x105
C1 = +5.201535x102
C2 = +0.000000
C3 = +0.000000
C4 = +0.000000
C5 = +0.000000
Các hệ số áp dụng để tính entanpi của Ar cho dải nhiệt độ trên 1000 K:
C0 = -1.550924x105
C1 = +5.201535x102
C2 = +0.000000
C3 = +0.000000
C4 = +0 000000
C5 = +0.000000
Các hệ số áp dụng để tính entanpi của SO2 cho dải nhiệt độ từ 255 K đến 1000 K:
C0 = -1.566558x105
C1 = +4.238066x102
C2 = +3.453597x10-1
C3 = +2.959741x10-5
C4 = -1.712920x10-7
C5 = +6.640314x10-11
Các hệ số áp dụng để tính entanpi của SO2 cho dải nhiệt độ trên 1000 K:
C0 = -2.409984x105
C1 = +6.805144x102
C2 = +1.278231x10-1
C3 = -3.476037x10-5
C4 = +4.913968x10-9
C5 = -2.739633x10-13
Các hệ số áp dụng để tính entanpi của CO cho dải nhiệt độ từ 255 K đến 1000 K:
C0 = -3.154200x105
C1 = +1.100904x103
C2 = -2.402192x10-1
C3 = +3.652141x10-4
C4 = -1.507376x10-7
C5 = +1.421546x10-11
Các hệ số áp dụng để tính entanpi của CO cho dải nhiệt độ trên 1000 K:
C0 = -2.824583x105
C1 = +8.854698x102
C2 = +2.209378x10-1
C3 = -5.726903x10-5
C4 = +7.688763x10-9
C5 = -4.115888x10-13
Các hệ số áp dụng để tính entanpi của H2 cho dải nhiệt độ từ 255 K đến 1000 K:
C0 = -4.029359x106
C1 = +1.213482x104
C2 = +7.177145
C3 = -1.068036x10-2
C4 = +7.730288x10-6
C5 = -2.078249x10-9
Các hệ số áp dụng để tính entanpi của H2 cho dải nhiệt độ trên 1000 K:
C0 = -3.554108x106
C1 = +1.259899x104
C2 = +1.231536
C3 = -2.301637x10-6
C4 = -2.190068x10-8
C5 = +2.077599x10-12
Các hệ số áp dụng để tính entanpi của H2S cho dải nhiệt độ từ 255 K đến 1000 K:
C0 = -2.889479x105
C1 = +9.590463x102
C2 = -6.128977x10-2
C3 = +3.733777x10-4
C4 = -1.939337x10-7
C5 = +3.243572x10-11
Các hệ số áp dụng để tính entanpi của H2S cho dải nhiệt độ trên 1000 K:
C0 = -2.327097x105
C1 = +6.695219x102
C2 = +4.930726x10-1
C3 = -1.250691x10-4
C4 = +1.677954x10-8
C5 = -9.068723x10-13
5.19.12 Các đồ thị xác định entanpi
Để thuận tiện cho việc tính toán thủ công, tương quan giữa nhiệt dung riêng với nhiệt độ của không khí khô, hơi nước, khói khô và tro xỉ được thể hiện bằng đồ thị trên các hình từ Hình 14 đến Hình 17. Các đồ thị này thể hiện giá trị nhiệt dung riêng trung bình của các thành phần giữa nhiệt độ cần tìm và nhiệt độ tham chiếu là 25 °C. Để xác giá trị entanpi H của bất kỳ thành phần nào (với nhiệt độ tham chiếu là 25 °C), cần nhân nhiệt dung riêng trung bình với hiệu nhiệt độ (T - 25) °C.
|
| (272) |
Độ phân giải của các đồ thị cho phép nhận được kết quả tính toán có sai số trong khoảng 200 J/kg so với giá trị thực tế. Phương pháp tính toán entanpi của các hỗn hợp như không khí ẩm và khói ẩm đã được trình bày trên đây.
Đối với một số tính toán, cần phải xác định nhiệt dung riêng tức thời (là giá trị gần đúng của nhiệt dung riêng trung bình trong một dài nhiệt độ nhỏ) ở nhiệt độ cụ thể (ví dụ: khi tính toán nhiệt độ hiệu chỉnh của khói thoát ra khỏi bộ sấy không khí). Nhiệt dung riêng tức thời có thể được xác định từ các đồ thị nhiệt dung riêng trung bình bằng cách tra theo đồ thị với giá trị nhiệt độ Tc bằng 2 lần nhiệt độ cần tìm T trừ đi nhiệt độ tham chiếu (25 °C).
|
| (273) |
Ví dụ, để tìm nhiệt dung riêng tức thời ở 150oC, cần xác định nhiệt dung riêng trung bình theo đồ thị theo giá trị nhiệt độ là 275 °C.


Hình 14 - Nhiệt dung riêng trung bình của không khí khô theo nhiệt độ


Hình 15 - Nhiệt dung riêng trung bình của hơi nước theo nhiệt độ


Hình 15 - Nhiệt dung riêng trung bình của hơi nước theo nhiệt độ (tiếp theo)


Hình 16 - Nhiệt dung riêng trung bình của khói khô theo nhiệt độ


Hình 17 - Nhiệt dung riêng trung bình của tro xỉ khô theo nhiệt độ

Hình 17 - Nhiệt dung riêng trung bình của tro xỉ khô theo nhiệt độ (tiếp theo)
5.20 Các ký hiệu sử dụng trong các công thức tính toán
5.20.1 Nguyên tắc thiết lập các ký hiệu sử dụng trong các công thức tính toán
Các ký hiệu sử dụng trong các công thức tính toán (ngoại trừ các công thức liên quan đến việc xác định độ không đảm bảo) được ghép bởi các ký hiệu và chữ viết tắt (tiếng Anh), được phân thành các nhóm dưới đây và sắp xếp theo trình tự như sau:
THUỘC TÍNH → CHỨC NĂNG → (THIẾT BỊ, DÒNG VẬT CHẤT, HIỆU SUẤT) → (VỊ TRÍ, THÀNH PHẦN) → LOẠI GIÁ TRỊ
5.20.1.1 Các ký hiệu thể hiện thuộc tính
| Af Aid Cp D Dn H Hca HHV HHVcv HHVv Hra Hrca Ht Hw M Mo Mp Mq Mr Mv Mw P Pa Pp Ps Q | = diện tích bề mặt theo hình chiếu phẳng = diện tích theo kích thước bên trong = nhiệt dung riêng trung bình ở áp suất không đổi = theo mẫu khô = khối lượng riêng = entanpi = hệ số truyền nhiệt đối lưu = nhiệt trị cao theo khối lượng = nhiệt trị cao ở thể tích không đổi = nhiệt trị cao theo thể tích = hệ số truyền nhiệt bức xạ = hệ số truyền nhiệt kết hợp bức xạ và đối lưu = chiều cao = hệ số truyền nhiệt lớp bảo ôn = khối lượng = mol = phần trăm khối lượng = khối lượng trên đơn vị năng lượng = lưu lượng khối lượng = khối lượng trên thể tích = phân tử lượng = áp suất = áp suất khí quyển = áp suất riêng phần = áp suất bão hòa = năng lượng |
| Qp Qr R Ra Rhm Rq Se Sg T Tdb Thf Twb V Vh Vp | = phần trăm năng lượng đầu vào từ nhiên liệu = mức truyền nhiệt = hằng số khí riêng = bức xạ = độ ẩm tương đối = cần thiết, được yêu cầu = hiệu ứng ống khói = tỷ trọng = nhiệt độ = nhiệt độ bầu khô = nhiệt độ bề mặt nóng = nhiệt độ bầu ướt = vận tốc = cột áp đo vận tốc = phần trăm thể tích |
5.20.1.2 Các ký hiệu thể hiện chức năng
| Ad Clc Di Fr Mn Ms Sm | = bổ sung, thêm vào = tính toán = chênh lệch (delta) = phần chia, tỷ lệ = trung bình = được đo = tổng |
5.20.1.3 Các ký hiệu thể hiện thiết bị, dòng vật chất và hiệu suất
| A Ac Ah Al Ap Aq As B Bd C Ca Cb Cbo Cc Cf Ch Clh Cm CO CO2 Coal Cw E Ec El Ev F Fc Fg Fo G Gr Hc I In L Lg Mc Mh N2 N2a NOx O O2 Pc Pcu Pr Rh Rs Ry S Sb Sc Sh Slf SO2 Src Ssb St Th To Ub W Wv X Xp Xr | = không khí = giàn ống bộ sấy sơ bộ không khí = bộ sấy không khí = rò lọt không khí = hố tro = thiết bị kiểm soát phát thải = tro = nhiệt đóng góp = xả lò = carbon = canxi = carbon được đốt cháy = carbon cháy hết = canxi carbonat = hệ số = canxi hydroxit = nung khô và/hoặc khử nước = cháy = carbon monoxit = carbon dioxit = than = nước làm mát = hiệu suất tính theo phần trăm = bộ hâm nước = điện = bốc hơi = nhiên liệu = carbon cố định = khói thải = dầu nhiên liệu = nhiên liệu khí = toàn phần, thô = hydrocarbon theo mẫu khô = năng lượng đầu vào = chất trơ = tổn thất = rò lọt = magie carbonat = magie hydroxit = nitơ = nitơ khí quyển = nitơ oxit = năng lượng đầu ra = oxy = sản phẩm cháy = sản phẩm cháy chưa hiệu chỉnh khử lưu huỳnh = tạp vật từ máy nghiền = tái nhiệt = tro xỉ = tái tuần hoàn = lưu huỳnh = chất hấp thụ = khử lưu huỳnh = quá nhiệt = sulfat hóa = lưu huỳnh dioxit = truyền nhiệt bức xạ và đối lưu bề mặt = bã chất hấp thụ = hơi = lý thuyết = tổng = chưa cháy = nước = hơi nước, hơi ẩm = phụ, phụ trợ = phần trăm vượt quá = tỷ số nhiệt dung, X-ratio |
5.20.1.4 Các ký hiệu liên quan đến vị trí, thành phần
| Ds En f j k Lv Re z | = thiết kế = đi vào hoặc đầu vào = nhiên liệu cụ thể hoặc liên quan đến nhiên liệu = thành phần của nhiên liệu, chất hấp thụ = cấu tử của nhiên liệu, chất hấp thụ = ra khỏi, thoát ra hoặc đầu ra = tham chiếu = vị trí (xem các hình từ Hình 1 đến Hình 6 về các vị trí cụ thể) |
5.20.1.5 Các ký hiệu liên quan loại giá trị
| Cr | = giá trị được hiệu chỉnh từ chỉ số đọc hoặc bằng tính toán hiệu chỉnh |
5.20.2 Danh sách các ký hiệu được sử dụng trong các công thức
Xem Bảng 23 và Bảng 24 dưới đây.
Bảng 23 - Các ký hiệu sử dụng trong công thức tính toán
| Ký hiệu | Ý nghĩa | Đơn vị |
| Afz | Diện tích bề mặt theo hình chiếu phẳng tại vị trí z | m² |
| ApAf | Diện tích họng phễu xuống hố tro theo hình chiếu phẳng | m² |
| API | Tỷ trọng API của dầu | độ API |
| DnA | Khối lượng riêng của không khí ẩm | kg/m³ |
| DnAFg | Khối lượng riêng của không khí ẩm hoặc khói ẩm | kg/m³ |
| DnFg | Khối lượng riêng của khói ẩm | kg/m³ |
| DnGF | Khối lượng riêng của nhiên liệu khí | kg/m³ |
| DnSt | Khối lượng riêng của hơi hoặc nước | kg/m³ |
| DVpCO | Phần trăm CO trong khói, đo theo mẫu khói khô | % theo thể tích |
| DVpCO2 | Phần trăm CO2 trong khói, đo theo mẫu khói khô | % theo thể tích |
| DVpHc | Phần trăm hydrocarbon trong khói, đo theo mẫu khói khô | % theo thể tích |
| DVpH2O | Phần trăm H2O trong khói, đo theo mẫu khói khô | % theo thể tích |
| DVpN2a | Phần trăm nitơ (khí quyển) trong khói, đo theo mẫu khói khô | % theo thể tích |
| DVpN2f | Phần trăm nitơ (từ nhiên liệu) trong khói, đo theo mẫu khói khô | % theo thể tích |
| DVpNOx | Phần trăm NOx trong khói, đo theo mẫu khói khô | % theo thể tích |
| DVpO2 | Phần trăm O2 trong khói, đo theo mẫu khói khô | % theo thể tích |
| DVpSO2 | Phần trăm SO2 trong khói, đo theo mẫu khói khô | % theo thể tích |
| ECm | Hiệu suất cháy | % |
| EF | Hiệu suất nhiên liệu | % |
| EGr | Hiệu suất toàn phần (hiệu suất thô) | % |
| EX | Hiệu suất kết hợp các các cơ cấu truyền động, khớp nối trong thiết bị phụ trợ | % |
| HA | Entanpi của không khí ẩm | J/kg |
| HAAqLv | Entanpi của không khí ẩm tại nhiệt độ khói ra khỏi thiết bị AQC | J/kg |
| HAEn | Entanpi của không khí ẩm đi vào nói chung | J/kg |
| HALgEn | Entanpi của không khí ẩm rò lọt vào thiết bị | J/kg |
| HALvCr | Entanpi của không khí ẩm tại nhiệt độ khói ra khỏi phạm vi lò hơi | J/kg |
| HATFgLv | Entanpi của không khí tại nhiệt độ khói đầu ra | J/kg |
| Hcaz | Hệ số truyền nhiệt đối lưu cho khu vực z | W/m² °C |
| Hcc | Entanpi của canxi carbonat (đá vôi) | J/kg |
| HCoal | Entanpi của than | J/kg |
| HDA | Entanpi của không khí khô | J/kg |
| HDAEn | Entanpi của không khí khô tại nhiệt độ không khí đi vào lò | J/kg |
| HDFg | Entanpi của khói khô | J/kg |
| HDFgLvCr | Entanpi của khói khô đi ra, không bao gồm rò lọt | J/kg |
| Hen | Entanpi tại đầu vào nói chung | J/kg |
| HFc | Entanpi của carbon cố định | J/kg |
| HFEn | Entanpi của nhiên liệu tại nhiệt độ nhiên liệu | J/kg |
| HFg | Entanpi của khói ẩm | J/kg |
| HFgEn | Entanpi của khói ẩm đi vào | J/kg |
| HFgLv | Entanpi của khói ẩm đi ra | J/kg |
| HFo | Entanpi của dầu nhiên liệu | J/kg |
| HGF | Entanpi của khí đốt thiên nhiên | J/kg |
| HHVC | Nhiệt trị cao của carbon | J/kg |
| HHVCO | Nhiệt trị cao của carbon monoxit | J/kg |
| HHVCRs | Nhiệt trị cao của carbon trong tro xỉ | J/kg |
| HHVF | Nhiệt trị cao của nhiên liệu ở áp suất không đổi | J/kg |
| HHVFcv | Nhiệt trị cao của nhiên liệu ở thể tích không đổi | J/kg |
| HHVGF | Nhiệt trị cao của nhiên liệu khí, theo thể tích | J/m³ |
| HHVH2 | Nhiệt trị cao của hydro chưa cháy | J/kg |
| HHVHc | Nhiệt trị cao của hydrocarbon chưa cháy | J/kg |
| HHVPr | Nhiệt trị cao của tạp vật từ máy nghiền | J/kg |
| Hk | Entanpi của cấu tử k | J/kg |
| Hkz | Entanpi của cấu tử k tại vị trí z | J/kg |
| HLv | Entanpl đầu ra nói chung | J/kg |
| HMnA | Entanpi trung bình của không khí ẩm | J/kg |
| HMnFg | Entanpi trung bình của khói ẩm | J/kg |
| HMnFgLvCr | Entanpi trung bình của khói ẩm tại nhiệt độ TMnLvCr | J/kg |
| HPr | Entanpi của tạp vật từ máy khi ra khỏi máy nghiền | J/kg |
| Hraz | Hệ số truyền nhiệt bức xạ cho khu vực z | W/m² °C |
| HRe | Entanpi tại nhiệt độ tham chiếu | J/kg |
| Hrk | Nhiệt của phản ứng cho cấu tử k | J/kg |
| HrNOx | Nhiệt tạo thành NO (hoặc N2O) | J/g mol |
| HRs | Entanpi của tro xỉ | J/kg |
| HRsEn | Entanpi của tro xỉ tái tuần hoàn | J/kg |
| HrSlf | Nhiệt sinh ra từ phản ứng sulfat hóa | J/kg |
| HRsLv | Entanpi của tro xỉ đi ra | J/kg |
| HSb | Entanpi của chất hấp thụ | J/kg |
| HSbEn | Entanpi của chất hấp thụ đi vào phạm vi lò hơi | J/kg |
| HStEnz | Entanpi của hàm lượng ẩm bổ sung (từ hơi) vào khói | J/kg |
| HStLvCr | Entanpi của hơi (theo bảng hơi nước ASME) tại nhiệt độ hiệu chỉnh của khói đầu ra | J/kg |
| HStz | Entanpi của hơi tại vị trí z | J/kg |
| HStzDs | Entanpi của hơi tại vị trí z, theo điều kiện thiết kế | J/kg |
| Ht | Độ cao, mức chênh lệch về cao độ giữa các điểm đo áp suất | m |
| HVmi | Entanpi của chất bốc i, trong đó i bằng 1 hoặc 2 | J/kg |
| HW | Entanpi của nước (theo bảng hơi nước ASME) | J/kg |
| HWRe | Entanpi của nước tại nhiệt độ tham chiếu | J/kg |
| HWv | Entanpi của hơi nước (theo JANAF/NASA) | J/kg |
| HWvEn | Entanpi của hơi nước tại nhiệt độ trung bình của không khí đi vào | J/kg |
| Hwz | Hệ số truyền nhiệt đối với lớp bảo ôn và vỏ bọc | W/m² oC |
| HWzDs | Entanpi của nước tại vị trí z, theo điều kiện thiết kế | J/kg |
| MFrasF | Tỷ lệ khối lượng của tro trong nhiên liệu | khối lượng/khối lượng nhiên liệu |
| MFrAz | Tỷ lệ khối lượng của không khí tại điểm z trên tổng lượng không khí | khối lượng/khối lượng |
| MFrClhk | Tỷ lệ khối lượng được nung khô hoặc khử nước của cấu tử k | khối lượng CO2/ khối lượng thành phần |
| MFrCO2Sb | Khối lượng khí (CO2) từ chất hấp thụ trên khối lượng nhiên liệu | khối lượng/khối lượng nhiên liệu |
| MFrFc | Tỷ lệ khối lượng của carbon cố định | khối lượng/khối lượng nhiên liệu |
| MFrFgz | Tỷ lệ khối lượng của khói ẩm tại vị trí z | khối lượng/khối lượng nhiên liệu |
| MFrH2OSb | Tỷ lệ khối lượng của nước trong chất hấp thụ | khối lượng/khối lượng chất hấp thụ |
| MFrInSb | Khối lượng chất trơ trong chất hấp thụ trên khối lượng nhiên liệu | khối lượng/khối lượng nhiên liệu |
| MFrO3ACr | Tỷ lệ khối lượng của O3 từ không khí cần thiết để tạo thành SO3 trong quá trình sulfat hóa | khối lượng/khối lượng nhiên liệu |
| MFrRs | Tổng khối lượng tro xỉ trên khối lượng nhiên liệu | khối lượng/khối lượng nhiên liệu |
| MFrSb | Khối lượng chất hấp thụ trên khối lượng nhiên liệu | khối lượng/khối lượng nhiên liệu |
| MFrSbk | Khối lượng của cấu tử phản ứng k trong chất hấp thụ | khối lượng/khối lượng chất hấp thụ |
| MFrSc | Tỷ lệ khử lưu huỳnh | kg/kg |
| MFrSO3 | Tỷ lệ khối lượng của SO3 được tạo thành trong quá trình sulfat hóa | khối lượng/khối lượng nhiên liệu |
| MFrSsb | Khối lượng bã chất hấp thụ trên khối lượng nhiên liệu | khối lượng/khối lượng nhiên liệu |
| MFrStCr | Tỷ lệ giữa lưu lượng hơi chính theo thiết kế với lưu lượng hơi chính trong thí nghiệm | khối lượng/khối lượng |
| MFrThA | Lượng không khí lý thuyết, lý tưởng | khối lượng/khối lượng nhiên liệu |
| MFrThACr | Khối lượng không khí lý thuyết hiệu chỉnh trên khối lượng nhiên liệu | khối lượng/khối lượng nhiên liệu |
| MFrVm | Tỷ lệ khối lượng của chất bốc | khối lượng/khối lượng nhiên liệu |
| MFrVm1 | Tỷ lệ khối lượng của chất bốc sơ cấp | khối lượng/khối lượng nhiên liệu |
| MFrVm² | Tỷ lệ khối lượng của chất bốc thứ cấp | khối lượng/khối lượng nhiên liệu |
| MFrVmCr | Tỷ lệ khối lượng của chất bốc, mẫu khô không tro | khối lượng/khối lượng nhiên liệu |
| MFrWAdz | Lượng nước bổ sung tại vị trí z trên khối lượng nhiên liệu | khối lượng/khối lượng nhiên liệu |
| MFrWDA | Tỷ lệ khối lượng của hơi ẩm trong không khí khô, khối lượng H2O/khối lượng không khí khô | kg/kg |
| MFrWF | Tỷ lệ khối lượng của nước trong nhiên liệu | khối lượng/khối lượng nhiên liệu |
| MFrWRs | Tỷ lệ khối lượng của nước trong tro xỉ khô | khối lượng/khối lượng tro xỉ |
| MFrWSb | Lượng nước từ chất hấp thụ trên khối lượng nhiên liệu | khối lượng/khối lượng nhiên liệu |
| MnCpA | Nhiệt dung riêng trung bình của không khí ẩm | J/kg K |
| MnCpDFg | Nhiệt dung riêng trung bình của khói khô | J/kg K |
| MnCpFg | Nhiệt dung riêng trung bình của khói ẩm | J/kg K |
| MnCpk | Nhiệt dung riêng trung bình cấu tử k | J/kgK |
| MoCO2Sb | Số mol khói khô (CO2) từ chất hấp thụ trên khối lượng nhiên liệu | mol/khối lượng nhiên liệu |
| MoDFg | Số mol khói khô trên khối lượng nhiên liệu | khối lượng/khối lượng nhiên liệu |
| MoDPc | Số mol sản phẩm khô từ nhiên liệu (CO2, N2F và lượng SO2 thực tế được sản sinh) | mol/khối lượng nhiên liệu |
| MoDPcu | Số mol sản phẩm khô từ nhiên liệu (CO2, N2F và SO2 được chuyển hóa từ tổng lượng lưu huỳnh trong nhiên liệu) | mol/khối lượng nhiên liệu |
| MoFg | Số mol khói ẩm trên khối lượng nhiên liệu | mol/khối lượng nhiên liệu |
| MoFrCaS | Tỷ lệ mol canxi trên lưu huỳnh | mol/mol |
| MoFrClhCc | Tỷ lệ nung khô canxi carbonat | mol CO2/mol CaCO3 |
| MoFrClhk | Tỷ lệ nung khô hoặc khử nước của thành phần k | mol/mol thành phần |
| Mokj | Số mol của cấu tử k trong thành phần j của nhiên liệu khí | mol/khối lượng nhiên liệu |
| MoO3ACr | Giá trị hiệu chỉnh lưu lượng khói khô đối với O3 trong không khí cần thiết để tạo thành SO3 | mol/khối lượng nhiên liệu |
| MoSO2 | Số mol tối đa theo lý thuyết của SO2 được tạo ra trên khối lượng nhiên liệu | mol/khối lượng nhiên liệu |
| MoThACr | Số mol không khí lý thuyết cần thiết (hiệu chỉnh) | mol/khối lượng nhiên liệu |
| MoThAPcu | Số mol không khí lý thuyết cần thiết cho các sản phẩm được khí hóa trong nhiên liệu | mol/khối lượng nhiên liệu |
| MoWA | Số mol hơi ẩm trong không khí | mol/khối lượng không khí |
| MoWPc | MoDPc cộng với số mol H2O từ nhiên liệu, chất hấp thụ và hàm lượng ẩm bổ sung | mol/khối lượng nhiên liệu |
| MoWPcu | MoDPcu cộng với số mol H2O từ nhiên liệu, chất hấp thụ và hàm lượng ẩm bổ sung | mol/khối lượng nhiên liệu |
| MoWSb | Số mol hơi ẩm trong chất hấp thụ | mol/khối lượng nhiên liệu |
| MpAhLg | Mức lọt gió của bộ sấy không khí, phần trăm của khối lượng khói đi vào | % khối lượng |
| MpAl | Mức rò lọt không khí, phần trăm không khí lý thuyết | % khối lượng |
| MpAsF | Phần trăm tro trong nhiên liệu | % khối lượng |
| MpCak | Phần trăm canxi trong chất hấp thụ ở dạng cấu tử k (CO3 hoặc OH) | % khối lượng |
| MpCb | Carbon được đốt cháy | % khối lượng |
| MpCbo | Phần trăm carbon cháy hết | % khối lượng |
| MpCF | Phần trăm carbon trong nhiên liệu | % khối lượng |
| MpCO2Rs | Phần trăm carbon dioxit trong tro xỉ | % khối lượng |
| MpCRs | Phần trăm carbon tự do trong tro xỉ | % khối lượng |
| MpCRsDs | Phần trăm carbon tự do trong tro xỉ được hiệu chỉnh theo điều kiện thiết kế | % khối lượng |
| MpFk | phần trăm của cấu tử k trong nhiên liệu | % khối lượng |
| MpH2b | Phần trăm hydro được đốt cháy | % khối lượng |
| MpH2F | Phần trăm hydro trong nhiên liệu | % khối lượng |
| MpInSb | Phần trăm vật chất trơ trong chất hấp thụ | % khối lượng |
| MpN2F | Nitơ trong nhiên liệu | % khối lượng |
| MpO2F | Oxy trong nhiên liệu | % khối lượng |
| MpRsFgz | Vật chất rắn trong khói tại vị trí z, phần trăm trên khối lượng khói ẩm | % khối lượng |
| MpRsz | Phần trăm tro xỉ được thu gom tại vị trí z | % khối lượng |
| MpSbk | Phần trăm của cấu tử k trong chất hấp thụ | % khối lượng |
| MpSF | Lưu huỳnh trong nhiên liệu | % khối lượng |
| MpToCRs | Tổng thành phần carbon trong mẫu tro xỉ, bao gồm CO2 | % khối lượng |
| MpUbC | Phần trăm carbon chưa cháy | % khối lượng |
| MpUbH2 | Phần trăm hydro chưa cháy | % khối lượng |
| MpWF | Phần trăm nước trong nhiên liệu | % khối lượng |
| MpWFgz | Hàm lượng ẩm trong khói tại vị trí z, phần trăm trong khói ẩm | % khối lượng |
| MqAl | Tỷ lệ khối lượng không khí ẩm rò lọt | kg/J |
| MqAz | Khối lượng không khí ẩm tại vị trí z, tính trên năng lượng đầu vào từ nhiên liệu | kg/J |
| MqCO2Sb | Khối lượng khí khô (CO2) từ chất hấp thụ, tính trên năng lượng đầu vào từ nhiên liệu | kg/J |
| MqDAz | Khối lượng không khí khô tại vị trí z, tính trên năng lượng đầu vào từ nhiên liệu | kg/J |
| MqDFgz | Khối lượng khói khô tại vị trí z, tính trên năng lượng đầu vào từ nhiên liệu | kg/J |
| MqFgEn | Khối lượng khói ẩm đi vào trên năng lượng đầu vào từ nhiên liệu | kg/J |
| MqFgF | Khói ẩm từ nhiên liệu | kg/J |
| MqFgLv | Khối lượng khói ẩm đi vào, tính trên năng lượng đầu vào từ nhiên liệu | kg/J |
| MqFgz | Khối lượng khói ẩm tại vị trí z, tính trên năng lượng đầu vào từ nhiên liệu | kg/J |
| Mqk | Khối lượng cấu tử trên năng lượng đầu vào từ nhiên liệu | kg/J |
| MqNOx | Khối lượng NOx trong khói biểu thị trên năng lượng đầu vào từ nhiên liệu | kg/J |
| MqO3AC | Giá trị hiệu chỉnh lưu lượng khói khô đối với O3 trong không khí cần thiết để tạo thành SO3 | kg/J |
| MqPr | Khối lượng tạp vật từ máy nghiền trên năng lượng đầu vào từ nhiên liệu | kg/J |
| MqRsz | Khối lượng tro xỉ được thu gom từ vị trí z | kg/J |
| MqSb | Khối lượng chất hấp thụ trên năng lượng đầu vào từ nhiên liệu | kg/J |
| MqSbk | Khối lượng cấu tử k trong chất hấp thụ, tính trên năng lượng đầu vào từ nhiên liệu | kg/J |
| MqThA | Lượng không khí lý thuyết (lý tưởng), tính trên năng lượng đầu vào từ nhiên liệu | kg/J |
| MqThACr | Lượng không khí lý thuyết (hiệu chỉnh), tính trên năng lượng đầu vào từ nhiên liệu | kg/J |
| MqThAf | Giá trị đặc trưng/của không khí lý thuyết (lý tưởng) cho nhiên liệu | kg/J |
| MqWA | Nước từ hàm lượng ẩm trong không khí | kg/J |
| MqWAdz | Lượng nước bổ sung tại vị trí z, tính trên năng lượng đầu vào từ nhiên liệu | kg/J |
| MqWF | Nước từ H2O trong nhiên liệu | kg/J |
| MqWFgz | Tổng hàm lượng ẩm trong khói tại vị trí z | kg/J |
| MqWH2F | Nước từ quá trình cháy hydro trong nhiên liệu | kg/J |
| MqWSb | Nước từ chất hấp thụ, tính trên năng lượng đầu vào từ nhiên liệu | kg/J |
| MqWvF | Nước từ H2O ở thể khí trong nhiên liệu | kg/J |
| MrAFg | Lưu lượng khối lượng của không khí hoặc khói nói chung | kg/s |
| MrAFgCr | Lưu lượng khối lượng của không khí hoặc khói, được hiệu chỉnh theo nhiên liệu và hiệu suất | kg/s |
| MrAz | Lưu lượng khối lượng khói ẩm tại vị trí z | kg/s |
| MrCwz | Lưu lượng khối lượng nước làm mát tại vị trí z | kg/s |
| MrDA | Lưu lượng khối lượng của không khí khô | kg/s |
| MrF | Lưu lượng khối lượng của nhiên liệu | kg/s |
| MrFgz | Lưu lượng khối lượng của khói ẩm tại vị trí z | kg/s |
| MrPr | Lưu lượng khối lượng của tạp vật từ máy nghiền | kg/s |
| MrRsW | Lưu lượng khối lượng của hỗn hợp tro xỉ và nước | kg/s |
| MrRsz | Lưu lượng khối lượng của tro xỉ tại vị trí z | kg/s |
| MrRyFg | Lưu lượng khối lượng của khói tái tuần hoàn | kg/s |
| MrRyRs | Lưu lượng khối lượng của tro xỉ tái tuần hoàn | kg/s |
| MrSb | Lưu lượng khối lượng của chất hấp thụ | kg/s |
| MrStDs | Lưu lượng khối lượng của hơi, giá trị thiết kế | kg/s |
| MrStEnz | Lưu lượng khối lượng của hàm lượng ẩm bổ sung (hơi) vào khói | kg/s |
| MrStX | Lưu lượng khối lượng của hơi cho thiết bị phụ trợ | kg/s |
| MrStz | Lưu lượng khối lượng của hơi tại vị trí z | kg/s |
| MrStzDs | Lưu lượng khối lượng của hơi tại vị trí z, giá trị thiết kế | kg/s |
| MrWSb | Lưu lượng khối lượng nước trong chất hấp thụ | kg/s |
| MrWz | Lưu lượng khối lượng của nước tại vị trí z | kg/s |
| MrWzCr | Lưu lượng khối lượng của nước cấp được hiệu chỉnh | kg/s |
| MvFk | Khối lượng của thành phần k trong nhiên liệu trên mol nhiên liệu khí | khối lượng/mol |
| MvRs | Khối lượng trên đơn vị thể tích, sử dụng cho tải lượng bụi | g/m³ |
| MwA | Phân tử lượng của không khí ẩm | khối lượng/mol |
| MwCak | Phân tử lượng của hợp chất canxi k trong chất hấp thụ | khối lượng/mol |
| MwCc | Phân tử lượng của canxi carbonat | khối lượng/mol |
| MwCo | Phân tử lượng của carbon monoxit, CO | khối lượng/mol |
| MwCO2 | Phân tử lượng của carbon dioxit, CO2 | khối lượng/mol |
| MwDFg | Phân tử lượng của khói khô | khối lượng/mol |
| MwFg | Phân tử lượng của khói ẩm | khối lượng/mol |
| MwGF | Phân tử lượng của nhiên liệu khí | khối lượng/mol |
| MwHc | Phân tử lượng của hydrocarbon | khối lượng/mol |
| Mwk | Phân tử lượng của cấu tử k | khối lượng/mol |
| MwNOx | Phân tử lượng của NO | khối lượng/mol |
| MwO3 | Phân tử lượng của O3, 47,9982 | khối lượng/mol |
| MwS | Phân tử lượng của lưu huỳnh | khối lượng/mol |
| Pa | Áp suất khí quyển | Pa |
| Paz | Áp suất tĩnh của không khí tại điểm z | Pa |
| PDiAFg | Chênh lệch áp suất của không khí (trở lực đường gió) hoặc khói (tổn thất áp lực hút) | Pa |
| PDiAFgCr | Chênh lệch áp suất của không khí hoặc khói, được hiệu chỉnh theo hợp đồng | Pa |
| PFgk | Áp suất tĩnh của khói tại điểm k | Pa |
| PpWvA | Áp suất riêng phần của hơi nước trong không khí | Pa |
| PsWTdb | Áp suất bão hòa của hơi nước tại nhiệt độ bầu khô | Pa |
| PsWTwb | Áp suất bão hòa của hơi nước tại nhiệt độ bầu ướt | Pa |
| PsWvTz | Áp suất bão hòa của hơi nước tại nhiệt độ T | Pa |
| Qb | Dòng nhiệt thứ cấp | W |
| QEn | Năng lượng đi vào hệ thống | W |
| QLv | Năng lượng ra khỏi hệ thống | W |
| QpB | Nhiệt đóng góp tính toán theo % năng lượng đầu vào từ nhiên liệu, nói chung | % năng lượng đầu vào từ nhiên liệu |
| QpBDA | Nhiệt đóng góp từ năng lượng trong không khí đầu vào | % năng lượng đầu vào từ nhiên liệu |
| QpBF | Nhiệt đóng góp từ nhiệt vật lý trong nhiên liệu | % năng lượng đầu vào từ nhiên liệu |
| QpBk | Nhiệt đóng góp từ cấu tử k | % năng lượng đầu vào từ nhiên liệu |
| QpBSlf | Nhiệt đóng góp từ quá trình sulfat hóa | % năng lượng đầu vào từ nhiên liệu |
| QpBWA | Nhiệt đóng góp từ hàm lượng ẩm trong không khí đầu vào | % năng lượng đầu vào từ nhiên liệu |
| QpL | Tổn thất tính toán theo % năng lượng đầu vào từ nhiên liệu, nói chung | % năng lượng đầu vào từ nhiên liệu |
| QpLALg | Tổn thất do rò lọt không khí | % năng lượng đầu vào từ nhiên liệu |
| QpLAq | Tổn thất từ thiết bị kiểm soát phát thải khói nóng | % năng lượng đầu vào từ nhiên liệu |
| QpLCO | Tổn thất do carbon monoxit (CO) trong khói | % năng lượng đầu vào từ nhiên liệu |
| QpLDFg | Tổn thất do khói khô | % năng lượng đầu vào từ nhiên liệu |
| QpLH2F | Tổn thất do nước hình thành từ quá trình cháy H2 trong nhiên liệu | % năng lượng đầu vào từ nhiên liệu |
| QpLH2Rs | Tổn thất do hydro chưa cháy hết trong tro xỉ | % năng lượng đầu vào từ nhiên liệu |
| QpLk | Tổn thất do cấu tử k | % năng lượng đầu vào từ nhiên liệu |
| QpLNOx | Tổn thất do sự hình thành NOx | % năng lượng đầu vào từ nhiên liệu |
| QpLPr | Tổn thất do tạp vật từ máy nghiền | % năng lượng đầu vào từ nhiên liệu |
| QpLRs | Tổn thất do nhiệt vật lý trong tro xỉ | % năng lượng đầu vào từ nhiên liệu |
| QpLSmUb | Tổng tổn thất do chưa cháy hết các thành phần cháy được | % năng lượng đầu vào từ nhiên liệu |
| QpLUbC | Tổn thất do carbon chưa cháy hết trong tro xỉ | % năng lượng đầu vào từ nhiên liệu |
| QpLUbHc | Tổn thất do hydrocarbon chưa cháy hết trong khói | % năng lượng đầu vào từ nhiên liệu |
| QpLWA | Tổn thất do hàm lượng ẩm trong không khí | % năng lượng đầu vào từ nhiên liệu |
| QpLWF | Tổn thất do nước trong nhiên liệu | % năng lượng đầu vào từ nhiên liệu |
| QpLWvF | Tổn thất do hơi nước trong nhiên liệu khí | % năng lượng đầu vào từ nhiên liệu |
| QrAp | Mật độ dòng nhiệt tương đương qua họng phễu buồng đốt | W |
| QrApEv | Tổn thất do bay hơi nước trong hố tro | W |
| QrApW | Mức gia tăng năng lượng trong nước hố tro | W |
| QrAxSt | Năng lượng trong hơi phụ | W |
| QrB | Nhiệt đóng góp tính toán theo đơn vị năng lượng, nói chung | W |
| QrBd | Mức gia tăng năng lượng đầu ra cho nước xả lò | W |
| QrBk | Nhiệt đóng góp từ cấu tử k | W |
| QrBSb | Nhiệt đóng góp từ nhiệt vật lý trong chất hấp thụ | W |
| QrBWAd | Nhiệt đóng góp từ năng lượng được cung cấp do hàm lượng ẩm bổ sung | W |
| QrBX | Nhiệt đóng góp từ điện năng của thiết bị phụ trợ | W |
| QrF | Năng lượng từ quá trình cháy của bản thân nhiên liệu | W |
| QRh | Mức hấp thụ của bộ tái nhiệt | W |
| QrI | Năng lượng đầu vào (QrF đối với năng lượng đầu vào từ nhiên liệu) | W |
| QrIGr | Năng lượng đầu vào toàn phần, bằng năng lượng đầu vào từ nhiên liệu cộng với nhiệt đóng góp | W |
| QrL | Tổn thất tính toán theo đơn vị năng lượng, nói chung | W |
| QrLAc | Tổn thất do giàn ống bộ gia nhiệt không khí được cấp nhiệt từ lò hơi | W |
| QrLAp | Tổng tổn thất từ hố tro ướt trong quá trình thí nghiệm | W |
| QrLClh | Tổn thất do nung khô và khử nước chất hấp thụ | W |
| QrLCw | Tổn thất từ nước làm mát | W |
| QrLk | Tổn thất do cấu tử k | W |
| QrLRy | Tổn thất từ các dòng tái tuần hoàn | W |
| QrLRyFg | Tổn thất từ khói tái tuần hoàn | W |
| OrLRvRs | Tổn thất từ tro xỉ tái tuần hoàn | W |
| QrLSrc | Tổn thất do truyền nhiệt bức xạ và đối lưu bề mặt | W |
| QrLWAd | Tổn thất do hàm lượng ẩm bổ sung | W |
| QrLWSb | Tổn thất do nước trong chất hấp thụ | W |
| QrO | Tổng năng lượng đầu ra | W |
| QrRhCr | Mức hấp thụ của bộ tái nhiệt hiệu chỉnh theo điều kiện hợp đồng | W |
| QrRsWLv | Nhiệt vật lý trong hỗn hợp tro xỉ với nước ra khỏi hố tro | W |
| QrShCr | Mức hấp thụ của bộ quá nhiệt hiệu chỉnh theo điều kiện hợp đồng | W |
| QSh | Mức hấp thụ của bộ quá nhiệt | W |
| QX | Năng lượng đầu vào cho các cơ cấu dẫn động thiết bị phụ trợ | J |
| R | Hằng số mol khí chung | J/(kg mol K) |
| Rhmz | Độ ẩm tương đối tại vị trí z | khối lượng/khối lượng |
| Rk | Hằng số khí riêng cho khí k | J/(kg K) |
| RqQrRhDs | Mức hấp thụ cần thiết của bộ tái nhiệt, theo thiết kế | W |
| RqQrShDs | Mức hấp thụ cần thiết của bộ quá nhiệt, theo thiết kế | W |
| Se | Hiệu ứng ống khói | Pa |
| Sg | Tỷ trọng | khối lượng/khối lượng |
| SmQpB | Tổng nhiệt đóng góp tính theo phần trăm năng lượng đầu vào từ nhiên liệu | % năng lượng đầu vào từ nhiên liệu |
| SmQpL | Tổng tổn thất tinh theo phần trăm năng lượng đầu vào từ nhiên liệu | % năng lượng đầu vào từ nhiên liệu |
| SmQrB | Tổng nhiệt đóng góp tính theo đơn vị năng lượng | W |
| SmQrL | Tổng tổn thất tính theo đơn vị năng lượng | W |
| TAEn | Nhiệt độ của không khí đầu vào | °C |
| TAEnCr | Nhiệt độ hiệu chỉnh của không khí đầu vào | °C |
| TAfz | Nhiệt độ bề mặt trung bình của khu vực z | °C |
| TAz | Nhiệt độ của không khí ẩm tại vị trí z | °C |
| Tc | Nhiệt độ trên trục X của đồ thị entanpi | °C |
| TDAz | Nhiệt độ của không khí khô tại vị trí z | °C |
| Tdb | Nhiệt độ bầu khô | °C |
| TDi | Chênh lệch nhiệt độ | °C |
| TDiMrFgEn | Mức hiệu chỉnh nhiệt độ bộ sấy không khí đối với lưu lượng khối lượng của khói đầu vào | °C |
| TDiTAEn | Mức hiệu chỉnh nhiệt độ bộ sấy không khí đối với nhiệt độ không khí đầu vào | °C |
| TDiTFgEn | Mức hiệu chỉnh nhiệt độ bộ sấy không khí đối với nhiệt độ khói đầu vào | °C |
| TDiXr | Mức hiệu chỉnh nhiệt độ bộ sấy không khí đối với X-ratio không theo thiết kế | °C |
| TFg | Nhiệt độ của khói | °C |
| TFgEn | Nhiệt độ của khói đi vào bộ phận | °C |
| TFgEnCrDs | Nhiệt độ khói đi vào bộ sấy không khí được hiệu chỉnh theo điều kiện thiết kế | °C |
| TFgLv | Nhiệt độ của khói thoát ra | °C |
| TFgLvCr | Nhiệt độ hiệu chỉnh của khói đầu ra (không bao gồm rò lọt), | °C |
| TFgLvCrDs | Nhiệt độ của khói đầu ra được hiệu chỉnh theo điều kiện thiết kế | °C |
| Thfz | Nhiệt độ bề mặt nóng (tường lò) tại vị trí z | °C |
| TK | Nhiệt độ tính theo K | K |
| Tkz | Nhiệt độ của cấu tử k tại vị trí z | °C |
| TLvk | Nhiệt độ của cấu tử k khi ra khỏi lò hơi | °C |
| TMnADs | Nhiệt độ thiết kế của không khí môi trường | °C |
| TMnAEn | Nhiệt độ trung bình của không khí đi vào | °C |
| TMnAfCrz | Nhiệt độ trung bình của bề mặt được hiệu chỉnh theo thiết kế tại vị trí z | °C |
| TMnAfz | Nhiệt độ trung bình của bề mặt tại vị trí z | °C |
| TMnAz | Nhiệt độ trung bình của không khí môi trường | °C |
| TMnFgLvCr | Nhiệt độ trung bình được hiệu chỉnh của khói đầu ra | °C |
| TRe | Nhiệt độ tham chiếu | °C |
| TStz | Nhiệt độ của hơi tại vị trí z | °C |
| Twb | Nhiệt độ bầu ướt | °C |
| VAz | Vận tốc trung bình của không khí | m/s |
| VpCO2 | Phần trăm CO2 trong khói, theo mẫu khói ẩm | % theo thể tích |
| VpCOz | Phần trăm CO trong khói tại vị trí z, theo mẫu khói ẩm | % theo thể tích |
| VpGj | Thành phần j của nhiên liệu khí | J/m² |
| VpH2O | Phần trăm của nước trong khói, theo mẫu khói ẩm | % theo thể tích |
| VpHc | Phần trăm hydrocarbon trong khói, theo mẫu khói ẩm | % theo thể tích |
| VpN2a | Phần trăm N2 (khí quyển) trong khói, theo mẫu khói ẩm | % theo thể tích |
| VpN2f | Phần trăm N2 (nhiên liệu) trong khói, theo mẫu khói ẩm | % theo thể tích |
| VpNOx | Phần trăm NOx trong khói, theo mẫu khói ẩm | % theo thể tích |
| VpO2 | Phần trăm O2 trong khói, theo mẫu khói ẩm | % theo thể tích |
| VpSO2 | Phần trăm SO2 trong khói, theo mẫu khỏi ẩm | % theo thể tích |
| XpAz | Phần trăm không khí thừa tại vị trí z | % khối lượng |
Bảng 24 – Các ký hiệu về đo lường và độ không đảm bảo
| Ký hiệu | Ý nghĩa |
| ASENSCO | Hệ số độ nhạy tuyệt đối |
| CHGPAR | Thay đổi gia tăng giá trị của tham số đo |
| DEGFREE | Số bậc tự do |
| F | Hệ số trọng số |
| i | Tham số được đo |
| m | Số tập hợp dữ liệu hoặc số điểm đo trên lưới |
| n | Số lần tham số được đo |
| PARAVG | Giá trị trung bình của thông số |
| PCHGPAR | Phần trăm thay đổi trong giá trị tham số đo |
| PSTDDEV | Độ lệch chuẩn tổng thể |
| Pv | Đo vận tốc bằng áp suất |
| RECALEF | Hiệu suất nhiên liệu được tính toán lại |
| RSENSCO | Hệ số độ nhạy tương đối |
| SDI | Chỉ số phân bố theo không gian |
| STDDEV | Độ lệch chuẩn của mẫu |
| STDDEVMN | Độ lệch chuẩn của giá trị trung bình |
| STDTVAL | Giá trị t của phân bố Student hai phía |
| SYS | Độ không đảm bảo hệ thống |
| SYSR | Độ không đảm bảo hệ thống tổng thể |
| SYSNI | Độ không đảm bảo hệ thống đối với tích phân số |
| U | Giá trị trung bình tích phân của tham số đo |
| Up,q | Giá trị trung bình số học (hoặc có trọng số vận tốc, nếu áp dụng) của các điểm đo trên mỗi hàng p và cột q |
| UNC | Độ không đảm bảo tổng thể |
| URC | Thành phần ngẫu nhiên của độ không đảm bảo |
| V | Vận tốc |
| XAVG | Giá trị trung bình số học |
| Xi | Giá trị của thông số tại thời điểm i |
| Z | Tổng giá trị trung bình tích phân của z |
| z | Giá trị trung bình theo thời gian của tham số đo |
| f | Góc chúc |
| c | Góc lệch |
6 Báo cáo kết quả thí nghiệm
6.1 Yêu cầu chung
Báo cáo thí nghiệm phải ghi lại các dữ liệu, tính toán và quy trình được sử dụng để thực hiện thí nghiệm đặc tính. Báo cáo phải trình bày các thông tin cụ thể để chứng minh rằng tất cả các mục tiêu của thí nghiệm đã được đáp ứng, đồng thời mô tả các quy trình thí nghiệm và đưa ra các kết quả tương ứng. Dưới đây trình bày các hướng dẫn về nội dung và hình thức các thông tin cần phải đưa vào báo cáo này.
6.2 Nội dung báo cáo
Các nội dung của báo cáo thí nghiệm phải được sắp xếp và bao gồm các thông tin như mô tả dưới đây.
6.2.1 Trang tiêu đề
Trang tiêu đề phải ghi tên của thí nghiệm, tên và địa điểm của nhà máy có lò hơi thí nghiệm, mã hiệu lò hơi, tên của những người thực hiện, người phê duyệt và ngày lập báo cáo thí nghiệm.
6.2.2 Bảng mục lục
Bảng mục lục liệt kê các đề mục chính của báo cáo (đến cấp đề mục thứ ba), cũng như tiêu đề của các bảng, các hình và các phụ lục.
6.2.3 Các thông tin chung
Phần này của báo cáo phải cung cấp cho người đọc các thông tin cần thiết để nắm được cơ sở của thí nghiệm và phải bao gồm những nội dung sau:
(a) Tên của thí nghiệm
(b) Chủ sở hữu
(c) Nhà chế tạo lò hơi
(d) Công suất của lò hơi
(e) Ngày bắt đầu vận hành thương mại
(f) Độ cao của vị trí đặt lò hơi so với mực nước biển trung bình
(g) Mô tả về lò hơi
(h) Mô tả các thiết bị phụ trợ, khi hoạt động của các thiết bị này có thể ảnh hưởng đến kết quả thí nghiệm
(i) Bảng dữ liệu của nhà chế tạo về các đặc tính theo thiết kế
(j) Các nghĩa vụ theo hợp đồng và dữ liệu về các thông số đảm bảo
(k) Tên của người chủ trì thí nghiệm
(l) Các nhân viên thí nghiệm, đơn vị công tác và trách nhiệm trong thí nghiệm
(m) Ngày thí nghiệm
6.2.4 Tóm tắt việc thực hiện thí nghiệm
Phần này mô tả ngắn gọn các mục tiêu, kết quả, kết luận của thí nghiệm và bao gồm chữ ký của người chỉ đạo thí nghiệm, người soát xét và người phê duyệt.
6.2.5 Tổng quan về thí nghiệm
Phần giới thiệu nêu rõ mục đích của thí nghiệm và các thông tin cơ bản có liên quan như tuổi thiết bị, các đặc điểm hoạt động bất thường, các vấn đề... về lò hơi được thí nghiệm.
6.2.6 Các mục tiêu và các quy ước
Phần này đề cập đến các mục tiêu của thí nghiệm, độ không đảm bảo được yêu cầu, các thông số đảm bảo, các điều kiện vận hành và bất kỳ các quy định nào khác.
6.2.7 Mô tả và quy trình thí nghiệm
Phần này bao gồm những nội dung sau:
(a) Sơ đồ đường bao thí nghiệm hệ thống lò hơi, trên đó hiển thị vị trí của tất cả các thông số đo
(b) Danh sách các thiết bị chính và các thiết bị phụ trợ được đưa vào thí nghiệm, bao gồm cả dữ liệu ghi trên nhãn thiết bị
(c) Các phương pháp đo lường, danh sách và mô tả của các dụng cụ thí nghiệm được nhận dạng trong sơ đồ hệ thống
(d) Tóm tắt các phép đo và các ghi nhận chính
(e) Độ lớn của độ không đảm bảo sơ cấp trong đo lường và lấy mẫu
(f) Các hệ số hiệu chỉnh được áp dụng do các sai lệch (nếu có) giữa các điều kiện thí nghiệm với các điều kiện quy định
(g) Các phương pháp tính toán từ dữ liệu quan trắc và tính toán độ không đảm bảo có thể xảy ra
(h) Các tính toán mẫu cũng có thể được trình bày trong phần này (nếu cần thiết)
6.2.8 Các kết quả
Các kết quả thí nghiệm được tính toán trên cơ sở các điều kiện vận hành trong quá trình thí nghiệm, các phép hiệu chuẩn thiết bị đo lường được áp dụng, các giá trị hiệu chỉnh theo các điều kiện quy định nếu các điều kiện vận hành trong thí nghiệm có sai lệch so với các điều kiện quy định. Độ không đảm bảo của thí nghiệm cũng phải được nêu trong kết quả. Các kết quả thí nghiệm trình bày dưới dạng bảng và đồ thị cũng có thể đưa vào phần này.
6.2.9 Phân tích độ không đảm bảo
Phần này cung cấp đầy đủ chi tiết để thể hiện độ không đảm bảo mục tiêu và chứng minh rằng thí nghiệm đã đáp ứng được mục tiêu này.
6.2.10 Kết luận và kiến nghị
Phần này tóm lược quá trình thí nghiệm, kết quả thí nghiệm, kết luận hoặc kiến nghị rút ra từ thí nghiệm.
6.2.11 Phụ lục
Phần này bao gồm nhật ký thí nghiệm, các đồ thị thí nghiệm, các bảng dữ liệu, các bảng hiệu chuẩn thiết bị đo và và đồ thị hiệu chỉnh, các hồ sơ ghi chép về các biến động và ghi nhận chính trong quá trình thí nghiệm, các phân tích trong phòng thí nghiệm, các tính toán, các bản in từ máy tính và các kết quả phân tích độ không đảm bảo và các loại tài liệu cần thiết khác liên quan đến thí nghiệm.
7 Phân tích độ không đảm bảo
7.1 Giới thiệu
Phân tích độ không đảm bảo là một quy trình mà qua đó có thể định lượng độ chính xác của kết quả thí nghiệm. Các phân tích độ không đảm bảo trước thí nghiệm và sau thí nghiệm là một phần không thể thiếu của một cuộc thí nghiệm đặc tính để các bên tham gia thí nghiệm có thể đánh giá chất lượng của thí nghiệm (thông qua độ không đảm bảo của thí nghiệm).
ASME PTC 19.1 là tài liệu tham khảo chính để tính toán độ không đảm bảo, và mọi phương pháp phân tích độ không đảm bảo phù hợp với ASME PTC 19.1 đều được chấp nhận. Phần này cung cấp các phương pháp cụ thể, được điều chỉnh để sử dụng trong việc tiến hành phân tích độ không đảm bảo cụ thể theo Tiêu chuẩn này. Phần này đề cập những vấn đề sau:
(a) Xác định độ không đảm bảo ngẫu nhiên
(b) Ước tính độ không đảm bảo hệ thống
(c) Áp dụng các độ không đảm bảo đo ngẫu nhiên và hệ thống vào tính toán
(d) Tính toán độ không đảm bảo của thí nghiệm
Thông tin bổ sung về độ không đảm bảo có trong ASME PTC 19.1 - Độ không đảm bảo của thí nghiệm.
7-1.1 Danh mục tổng hợp các ký hiệu áp dụng trong phân tích độ không đảm bảo
Các ký hiệu sau đây thường được sử dụng trong suốt Chương 7. Một số ký hiệu chỉ được sử dụng trong một đoạn văn bản cụ thể và được định nghĩa hoặc xác định lại tại đoạn văn bản đó.
| A a0, a1 B C f0 m N n O2 R r | là diện tích (tiết diện ngang) là các hệ số của đa thức là độ không đảm bảo hệ thống là hằng số là hàm số (toán học) là số điểm trên lưới đo hoặc số vị trí đo khác nhau là số phép đo hoặc số điểm đo là số điểm dữ liệu được sử dụng để tính toán độ lệch chuẩn là hàm lượng oxy là kết quả (ví dụ: hiệu suất, năng lượng đầu ra) là số lần đọc chỉ số đo hoặc quan trắc |
Sx là độ lệch chuẩn mẫu (
là phương sai mẫu)
là độ lệch chuẩn của giá trị trung bình
SDI là chỉ số phân bố theo không gian
T là nhiệt độ
t là giá trị t theo phân bố Student
U là độ không đảm bảo
u là tham số bất kỳ
V là vận tốc
v là tham số bất kỳ
w là tham số bất kỳ
x là tham số bất kỳ
y là tham số bất kỳ
z là tham số bất kỳ
là mức thay đổi nhỏ của ()
là hệ số độ nhạy cho tham số x trên kết quả R
v là bậc tự do
σ là độ lệch chuẩn tổng thể (σ2 là phương sai tổng thể)
là tổng của ()i từ i = b đến i = a
τ là thời gian
7.1.2 Các chỉ số dưới
B độ không đảm bảo hệ thống
I dụng cụ đo, phương pháp đo
i chỉ số tính tổng, đối với một điểm cụ thể
j chỉ số tính tổng, đối với một điểm cụ thể
k chỉ số tính tổng, đối với một điểm cụ thể
n liên quan đến tích phân số
P độ không đảm bảo ngẫu nhiên
R liên quan đến kết quả R
r giá trị thực
x liên quan đến thông số x
w có trọng số (đối với giá trị trung bình)
7.1.3 Các chỉ số trên
- giá trị trung bình
7.2 Các khái niệm cơ bản
7.2.1 Lợi ích của việc phân tích độ không đảm bảo
Lợi ích của việc thực hiện phân tích độ không đảm bảo như sau:
(a) Phân tích độ không đảm bảo là quy trình tốt nhất để ước tính giới hạn sai số trong một tập hợp các phép đo hoặc kết quả thí nghiệm.
(b) Có một xác suất cao (khoảng 95%) cho thấy rằng một dải được xác định bởi giá trị đo cộng hoặc trừ độ không đảm bảo sẽ bao gồm giá trị thực.
(c) Độ không đảm bảo của kết quả thí nghiệm là thước đo chất lượng của thí nghiệm.
(d) Việc phân tích độ không đảm bảo thực hiện sau một chế độ thí nghiệm cho phép xác định các thông số và phép đo có khả năng lớn nhất gây ra sai số thí nghiệm.
(e) Phân tích độ không đảm bảo được thực hiện trong quá trình lập kế hoạch thí nghiệm (sử dụng giá trị định mức hoặc giá trị ước tính cho độ không đảm bảo của các phép đo sơ cấp) giúp xác định các vấn đề đo lường tiềm ẩn và cho phép thiết kế cuộc thí nghiệm một cách hiệu quả.
(f) Tiêu chuẩn thí nghiệm đặc tính dựa trên độ không đảm bảo quy định cho phép lựa chọn các công nghệ đo lường mới đối với một số loại thiết bị nhất định.
Phân tích độ không đảm bảo giúp các bên tham gia thí nghiệm đưa ra các lựa chọn về phương tiện đo và quy trình thí nghiệm, thậm chí lựa chọn giữa hai phương pháp khác nhau (phương pháp cân bằng thuận hoặc phương pháp cân bằng nghịch) để đánh giá hiệu suất lò hơi.
7.2.2 Nguyên tắc phân tích độ không đảm bảo
Có một nguyên tắc được chấp nhận rằng tất cả các phép đo đều có sai số. Bất kỳ kết quả nào được tính toán từ các dữ liệu đo được (ví dụ: hiệu suất của lò hơi) cũng có sai số, không chỉ do sai số trong dữ liệu đo mà còn do các phép tính gần đúng hoặc sai số trong quá trình tính toán. Các phương pháp phân tích độ không đảm bảo yêu cầu người thực hiện thí nghiệm trước tiên phải xác định các ước tính về sai số (độ không đảm bảo) của các phép đo cơ bản và các quy trình rút gọn dữ liệu, sau đó áp dụng những độ không đảm bảo đó vào độ không đảm bảo của kết quả thí nghiệm.
Khi xác định độ không đảm bảo của thí nghiệm cần lưu ý các định nghĩa sau:
- Sai số: sự khác biệt giữa giá trị thực của một thông số với giá trị đo được hoặc tính toán của thông số đó. Sai số là giá trị không xác định bởi vì giá trị thực cũng không xác định được. Do đó, nếu đã biết sai số, thì kết quả thí nghiệm có thể dựa trên giá trị thực chứ không phải dựa trên giá trị đo được hoặc tính toán.
- Độ không đảm bảo: giới hạn sai số ước tính của một phép đo hoặc kết quả. Lưu ý: độ không đảm bảo đo không phải là dung sai đối với các đặc tính của thiết bị.
- Xác suất phủ: tỷ lệ phần trăm kết quả quan trắc (đo lường) của một thông số dự kiến có thể sẽ khác với giá trị thực của tham số đó, nhưng không vượt quá độ không đảm bảo. Ví dụ: một giá trị điển hình có xác suất phủ là 95%, có nghĩa là giá trị thực sẽ bị giới hạn bởi giá trị đo được cộng hoặc trừ độ không đảm bảo với độ tin cậy 95%.
Giá trị trung bình tính toán của một thông số cộng hoặc trừ độ không đảm bảo sẽ xác định một dải giá trị, trong đó giá trị thực của thông số cần xác định nằm với một phạm vi xác suất phủ nhất định.
Hai loại sai số của các phép đo được minh họa trong Hình 18. Tổng sai số của một phép đo cụ thể là tổng của sai số hệ thống và sai số ngẫu nhiên.
Sai số ngẫu nhiên là sai số xảy ra khi các phép đo lặp lại đối với cùng một đại lượng được thực hiện bởi cùng một hệ thống đo và cùng một nhân viên vận hành nhưng không đưa ra các giá trị giống hệt nhau. Sai số ngẫu nhiên được mô tả bằng phân bố xác suất chuẩn (Gaussian).
Độ không đảm bảo hệ thống là một đặc tính của hệ thống đo lường. Độ không đảm bảo hệ thống không phải là ngẫu nhiên mà là một đại lượng cơ bản là cố định trong bất kỳ thí nghiệm nào có sử dụng một hệ thống phương tiện đo, các quy trình rút gọn dữ liệu và quy trình tính toán cụ thể. Các sai số hệ thống có thể thay đổi chậm trong quá trình thí nghiệm (ví dụ: do độ trôi của thiết bị đo).
Khi đã biết độ lớn và dấu của sai số hệ thống thì phải sử dụng sai số này để hiệu chỉnh giá trị đo được thành giá trị được hiệu chỉnh sử dụng trong tính toán kết quả thí nghiệm. Các sai số hệ thống có thể đưa vào phân tích độ không đảm bảo gồm: độ trôi xác định được khi hiệu chuẩn máy phân tích khói thải, sai số hệ thống do sử dụng lưu lượng kế chưa hiệu chuẩn, sai số hệ thống phát sinh từ tình trạng giảm độ chính xác của lưu lượng kế đã hiệu chuẩn trước đó, sai số từ các phép tính gần đúng trong quy trình tính toán và các sai số tiềm ẩn khi ước tính giá trị cho các thông số không đo được.

Hình 18 - Các loại sai số trong các phép đo

Hình 19 - Sự phụ thuộc vào thời gian của các sai số
Các độ không đảm bảo ngẫu nhiên có liên quan đến sự thay đổi theo thời gian, nhưng độ không đảm bảo hệ thống có thể được coi là cố định theo thời gian như thể hiện trong Hình 19. Sự biến thiên theo vị trí trong không gian là một yếu tố tiềm ẩn của độ không đảm bảo hệ thống.
Để phân tích đầy đủ độ không đảm bảo phải xác định cả sai số ngẫu nhiên và sai số hệ thống trong các phép đo cơ bản, áp dụng các giá trị đó vào kết quả tính toán và kết hợp thành độ không đảm bảo tổng thể của kết quả. Phân tích độ không đảm bảo có thể thực hiện trước thí nghiệm hoặc sau thí nghiệm.
7.2.3 Tính giá trị trung bình và các mô hình khảo sát tính biến thiên của tham số
Trong quá trì thí nghiệm, có thể thực hiện các phép đo tại một số điểm trong không gian và tại các thời điểm khác nhau, sau đó sử dụng giá tri trung bình của dữ liệu để tính toán kết quả thí nghiệm. Phương pháp tính giá trị trung bình và phương pháp tính độ không đảm bảo trong giá trị trung bình phụ thuộc vào mô hình được lựa chọn để khảo sát tính biến thiên của tham số. Các mô hình có thể lựa chọn gồm:
(a) Mô hình giá trị không đổi: trong mô hình này tham số được giả định là không đổi theo thời gian, theo vị trí trong không gian, hoặc cả hai
(b) Mô hình biến thiên liên tục: trong mô hình này tham số được giả định là biến đổi liên tục theo thời gian, theo vị trí trong không gian, hoặc cả hai
Tất cả các biến thiên trong dữ liệu thực tế của một tham số đối với mô hình giá trị không đổi được xem là sai số, tuy nhiên đối với mô hình biến thiên liên tục thì chỉ có độ phân tán quanh giá trị biến thiên liên tục được xem là sai số. Hình 20 minh họa các khái niệm này.
Giá trị trung bình thích hợp với mô hình giá trị không đổi là giá trị trung bình số học:
|
| (274) |
và độ lệch chuẩn tổng thể của giá trị trung bình hoặc mức ước tính của độ lệch chuẩn tổng thể đó, độ lệch chuẩn mẫu của giá trị trung bình
|
| (275) |
là chỉ số thích hợp đối với sai số ngẫu nhiên.
Giá trị trung bình thích hợp đối với một tham số theo mô hình biến thiên liên tục là giá trị trung bình tích phân. Đối với các biến thiên theo thời gian, giá trị trung bình tích phân là:
|
| (276) |
và đối với biến thiên theo diện tích tiết diện ngang, giá trị trung bình là:
|
| (277) |
Do chỉ thu thập được dữ liệu tại các điểm rời rạc trong không gian và vào các thời điểm rời rạc theo thời gian, hoặc cả hai, nên có thể được sử dụng các giản đồ tích phân số để tính gần đúng giá trị trung bình tích phân. Khi dữ liệu được lấy mẫu tại các điểm giữa của các khoảng thời gian bằng nhau hoặc khoảng gia tăng diện tích, thì giá trị trung bình tích phân có thể được tính bằng công thức (274), tuy nhiên, độ lệch chuẩn không được tính bằng công thức (276) vì mô hình giá trị không đổi là không phù hợp. Ngoài ra, cũng có thể xây dựng các phương án tích phân số chính xác hơn thay cho công thức (274) để tính giá trị trung bình.
Sai số thực nghiệm trong giá trị trung bình tích phân có thể xảy ra do hai yếu tố sau:
(a) Sai số trong các giá trị của từng điểm trong dữ liệu
(b) Sai số do tích phân số

a) Mô hình giá trị không đổi
Hình 20 - Mô hình giá trị không đổi và mô hình biến thiên liên tục

b) Mô hình biến thiên liên tục
Hình 20 (kết thúc)
Yếu tố đầu tiên là sai số thực nghiệm “thông thường” do các thay đổi của quá trình, sai số thiết bị, v.v. Yếu tố thứ hai là do thể hiện không hoàn chỉnh các giá trị biến thiên liên tục bằng một tập hợp các điểm đo rời rạc và các giá trị gần đúng trong giản đồ tích phân. Trong Tiêu chuẩn này, sai số tích phân số được coi là sai số hệ thống.
7.2.4 Tổng quan về các quy trình xác định độ không đảm bảo ngẫu nhiên, độ không đảm bảo hệ thống và sự áp dụng các độ không đảm bảo này
Các công thức và quy trình sử dụng để tính toán độ không đảm bảo đối với kết quả thí nghiệm lò hơi được nêu trong 7.4, 7.5 và 7.6.
Sai số ngẫu nhiên là kết quả của các thay đổi ngẫu nhiên trong quá trình thí nghiệm. Sai số ngẫu nhiên có thể được ước tính bằng cách thực hiện nhiều lần đo và áp dụng các phương pháp thống kê cho kết quả.
Phân tích các sai số ngẫu nhiên dựa trên giả định rằng các sai số này tuân theo phân bố xác suất Gaussian (phân bố chuẩn), theo đó sử dụng phương pháp căn bậc hai của tổng bình phương để kết hợp các sai số từ các yếu tố riêng lẻ.
Hai khái niệm quan trọng liên quan đến sai số ngẫu nhiên là “tính độc lập” và “bậc tự do”.
Các tham số là độc lập nếu sự thay đổi trong một tham số không kéo theo sự thay đổi của một tham số khác. Ngược lại, nếu sự thay đổi trong một tham số kéo theo sự thay đổi của một tham số khác thì tham số đó là tham số phụ thuộc.
CHÚ THÍCH: Ví dụ: tổn thất do khói khô phụ thuộc vào cả nhiệt độ khói và hàm lượng O2 trong khói, nhưng sai số nào nhiệt độ không liên quan đến hàm lượng O2 nên hai tham số này độc lập với nhau.
Vì tỷ lệ phần trăm của các thành phần trong nhiên liệu cộng lại phải bằng 100%, nên tỷ lệ phần trăm của một thành phần thấp hơn thì tỷ lệ phần trăm của thành phần khác phải cao hơn. Do đó, các tỷ lệ phần trăm của các thành phần trong nhiên liệu là các tham số phụ thuộc.
Sai số đo lường cũng có thể là độc lập hoặc phụ thuộc, nhưng tính độc lập của sai số khác với tính độc lập của các tham số đo được.
CHÚ THÍCH: Ví dụ: nếu các thành phần của một mẫu nhiên liệu được xác định độc lập bằng các quy trình khác nhau thì các sai số là độc lập, mặc dù bản thân các thành phần đó là phụ thuộc. Tuy nhiên, nếu một thành phần được xác định bằng mức chênh lệch (giữa tổng 100% với tổng các thành phần còn lại) thay vì phân tích trực tiếp, thì sai số của thành phần đó phụ thuộc vào sai số của các thành phần còn lại.
Khi các tham số là phụ thuộc thì sự phụ thuộc này phải được tính vào hệ số độ nhạy. Khi các sai số là phụ thuộc thì phải xem xét mối tương quan chéo giữa các sai số này.
Bậc tự do của một tập hợp dữ liệu thể hiện số lượng các thông tin độc lập trong dữ liệu. Số bậc tự do của một thống kê cụ thể được giảm bớt bằng cách trừ đi số lượng của các thống kê khác đã sử dụng để tính toán thống kê cụ thể đó. Ví dụ, nhiệt độ trung bình được tính từ 10 giá trị đo có 10 bậc tự do. Để tính toán độ lệch chuẩn mẫu của nhiệt độ:
|
| (278) |
cần phải sử dụng giá trị trung bình tính toán T, nên độ lệch chuẩn chỉ có 9 bậc tự do (do đó, mẫu số trong công thức trên là N-1 mà không phải là N).
Độ không đảm bảo ngẫu nhiên của một kết quả là tích của độ lệch chuẩn mẫu của giá trị trung bình của kết quả nhân với giá trị t thích hợp của phân bố Student.
Độ lệch chuẩn mẫu của giá trị trung bình được tính theo công thức:
|
| (279) |
Trong Tiêu chuẩn này, thuật ngữ “độ lệch chuẩn” được sử dụng để chỉ độ lệch chuẩn mẫu của giá trị trung bình, trừ khi có ghi chú khác. Độ lệch chuẩn của một tập hợp dữ liệu là độ lệch chuẩn của giá trị trung bình của tập hợp dữ liệu. Độ lệch chuẩn của một kết quả được xác định bằng cách kết hợp các giá trị của độ lệch chuẩn của tất cả các tham số ảnh hưởng đến kết quả theo các công thức được nêu ra trong 7.4.
Trong một số trường hợp cần phải ước tính độ lệch chuẩn (ví dụ: khi phân tích độ không đảm bảo trước thí nghiệm phải sử dụng các giá trị ước tính của độ lệch chuẩn vì lúc này chưa có các dữ liệu thí nghiệm để tính toán độ lệch chuẩn).
Đối với một tập hợp phép đo cùng sử dụng một hệ thống đo lường nhất định thì sai số hệ thống là cố định và không phải là một biến ngẫu nhiên. Sai số hệ thống là những sai số cố định và vẫn tồn tại sau khi đã hiệu chuẩn thiết bị (sai số hệ thống không được nhỏ hơn sai số ngẫu nhiên của thí nghiệm hiệu chuẩn).
Độ không đảm bảo hệ thống có thể xác định bằng thực nghiệm hoặc ước tính. ASME PTC 19.1 cung cấp một số hướng dẫn chung để ước tính độ không đảm bảo hệ thống.
Độ không đảm bảo ngẫu nhiên và độ không đảm bảo hệ thống được xác định riêng rẽ, sau đó kết hợp các đại lượng này để tính toán độ không đảm bảo của kết quả. Quy trình tính toán như sau:
Giả sử kết quả R được biểu diễn bằng công thức:
|
| (280) |
trong đó:
x1 đến xM là các đại lượng đo độc lập
Mỗi giá trị x có cả độ không đảm bảo ngẫu nhiên và độ không đảm bảo hệ thống. Đối với một trong hai loại độ không đảm bảo này, công thức áp dụng cơ bản là:
|
| (281) |
trong đó:
e là độ lệch chuẩn hoặc độ không đảm bảo hệ thống
M là số lượng các đại lượng đo độc lập
Phương pháp căn bậc hai của tổng bình phương của các sai số được áp dụng cho cả độ không đảm bảo ngẫu nhiên và độ không đảm bảo hệ đo thống.
Công thức áp dụng có thể được viết dưới dạng không thứ nguyên như sau:
|
| (282) |
trong đó:
là độ không đảm bảo (ngẫu nhiên hoặc hệ thống) đối với giá trị xi
là hệ số độ nhạy tương đối
Để đơn giản hóa việc tính toán, các đạo hàm riêng có thể được tính bằng phương pháp nhiễu loạn số như sau:
|
| (283) |
Trong mỗi lần tính, tham số xi thay đổi một lượng nhỏ δxi (thông thường từ 0,1% đến 1%), sau đó kết quả được tính toán lại với tham số bị nhiễu loạn thay cho giá trị danh nghĩa. Tất cả các tham số khác được giữ không đổi khi tính toán lại. Hiệu số giữa kết quả tính với giá trị bị nhiễu loạn và kết quả tính với danh nghĩa chia cho mức nhiễu loạn sẽ ước tính giá trị của đạo hàm riêng. Quy trình này yêu cầu tính toán lại kết quả nhiều lần (thực hiện một phép tính lại cho mỗi tham số độc lập), nên cần được thực hiện bằng chương trình tính toán tự động.
Độ không đảm bảo của kết quả là căn bậc hai của tổng bình phương các thành phần ngẫu nhiên và hệ thống của độ không đảm bảo nhân với một giá trị thích hợp của t theo phân bố Student. Theo ASME PTC 19.1, khi bậc tự do của kết quả đủ lớn thì giá trị t theo phân bố Student với xác suất tin cậy 95% có thể được cho bằng 2.
Độ không đảm bảo của kết quả được xác định như sau:
|
| (284) |
trong đó:
2 là giá trị t theo phân bố Student
là mức ước tính độ lệch chuẩn đối với độ không đảm bảo hệ thống của kết quả
Giá trị của BR và SR được xác định theo công thức (281).
7.3 Phân tích độ không đảm bảo trước thí nghiệm và lập kế hoạch thí nghiệm
Các bên tham gia thí nghiệm có thể thực hiện phân tích độ không đảm bảo trước thí nghiệm để hỗ trợ cho việc đưa ra các quyết định cần thiết cho thí nghiệm (ví dụ: số lượng và loại thiết bị đo, số lần đọc chỉ số, số điểm lấy mẫu trong lưới đo, số lượng mẫu nhiên liệu hoặc chất hấp thụ, v.v.). Ngoài ra, việc phân tích độ không đảm bảo trước thí nghiệm có thể giúp kiểm soát chi phí thí nghiệm bằng cách duy trì số lần đọc chỉ số hoặc lấy mẫu ở mức tối thiểu cần thiết để đạt được độ không đảm bảo mục tiêu.
Phương pháp phân tích độ không đảm bảo trước thí nghiệm về hình thức tương tự như phân tích sau thí nghiệm, nhưng có một khác biệt là do chưa có dữ liệu thí nghiệm thực tế nên độ lệch chuẩn cơ bản phải được ước tính thay vì tính toán từ dữ liệu thí nghiệm. Các ước tính về độ không đảm bảo ngẫu nhiên và độ không đảm bảo hệ thống trong phân tích trước thí nghiệm có thể dựa trên kinh nghiệm và các giá trị thu được từ các thí nghiệm tương tự.
7.4 Các công thức và quy trình xác định độ lệch chuẩn để ước tính sai số ngẫu nhiên
Phân tích độ không đảm bảo sau thí nghiệm yêu cầu sử dụng dữ liệu thực tế từ thí nghiệm, trong khi phân tích độ không đảm bảo trước thí nghiệm cần sử dụng các giá trị dự kiến đối với giá trị trung bình của thông số và các ước tính cho độ lệch chuẩn. Các công thức và quy trình dưới đây áp dụng cho phân tích độ không đảm bảo sau thí nghiệm, trong đó sử dụng các dữ liệu thí nghiệm thực tế.
Các thông số quá trình (ví dụ: nhiệt độ khói đầu ra hoặc áp suất hơi) có thể cho thấy một số nhiễu loạn trong các giá trị thực (hoặc giá trị trung bình). Những nhiễu loạn này phản ánh sự thay đổi thực tế của các thông số. Đối với một tập hợp các phép đo của các thông số quá trình, hệ thống thiết bị đo sẽ chồng thêm nhiễu lên giá trị trung bình của các thông số. Các nhiễu loạn dựa trên thiết bị đo lường này được giả định là các biến ngẫu nhiên độc lập có phân phối chuẩn. Phương sai của giá trị đo được cho một thông số là:
|
| (285) |
trong đó:
là phương sai (tổng thể) của hệ thống thiết bị đo
là phương sai (tổng thể) của giá trị đo tham số x
là phương sai (tổng thể) thực tế của tham số x
Độ không đảm bảo ngẫu nhiên của thiết bị đo còn được gọi là khả năng tái lập của thiết bị đo, bao gồm độ trễ, dải chết và độ lặp lại. Phương sai của thiết bị đo có thể căn cứ từ dữ liệu đã công bố.
Đối với phân tích độ không đảm bảo sau thí nghiệm, các phương sai của thiết bị đo không yêu cầu cụ thể, vì các phương sai đó đã được nhúng vào dữ liệu. Trong hầu hết các trường hợp, phương sai của một thiết bị đủ nhỏ so với phương sai thực của tham số nên phương sai của thiết bị có thể được bỏ qua. Nếu phương sai của thiết bị đo nhỏ hơn một phần tư phương sai thục của một thông số đo thì có thể bỏ qua sai số ngẫu nhiên của thiết bị đo.
7.4.1 Độ lệch chuẩn của các thông số riêng lẻ
Độ lệch chuẩn của một tham số riêng lẻ phụ thuộc vào loại tham số (có giá trị trung bình tích phân hay giá trị không đổi) và phương pháp được sử dụng để đo tham số đó. Một số phương pháp như sau:
(a) Nhiều phép đo được thực hiện vào các thời điểm khác nhau tại một vị trí (ví dụ: áp suất hơi chính và nguồn điện đầu vào cho bộ dẫn động động cơ)
(b) Nhiều phép đo được thực hiện tại một số vị trí trong một mặt phẳng nhất định (ví dụ: nhiệt độ khói, các thành phần trong khói và nhiệt độ không khí tại đầu vào của bộ sấy không khí)
(c) Tổng các phép đo được tính trung bình (ví dụ: tổng lưu lượng than khi sử dụng nhiều máy cấp liệu định lượng)
(d) Các phép đo trên các mẫu được gom từ nhiều mẫu đơn (ví dụ: các đặc tính của nhiên liệu và chất hấp thụ)
(e) Nhiều tập hợp phép đo tại thùng cân hoặc bể chứa để xác định lưu lượng trung bình (ví dụ: lưu lượng tro xỉ)
(f) Một phép đo đơn lẻ
(g) Tổng các phép đo đơn lẻ
7.4.1.1 Nhiều phép đo tại một điểm đơn lẻ
Khi nhiều phép đo của một tham số có giá trị không đổi được thực hiện vào các thời điểm khác nhau tại một vị trí, độ lệch chuẩn là:
|
| (286) |
trong đó:
|
| (287) |
Số bậc tự do là:
vx = N - 1 (288)
7.4.1.2 Các tham số có giá trị trung bình tích phân (Giá trị trung bình không có trọng số)
Khi xác định các tham số có giá trị trung bình tích phân (ví dụ: nhiệt độ khói và hàm lượng oxy), nhiều phép đo được thực hiện ở các thời điểm khác nhau tại một số điểm trong lưới đo. Các phép đo ở các thời điểm khác nhau tại mỗi điểm được lấy trung bình để xác định giá trị của tham số tại điểm đó:
|
| (289) |
trong đó:
i là điểm trong lưới đo
N là số lần đọc chỉ số tại các thời điểm khác nhau
Đối với giá trị trung bình không có trọng số thì x là tham số đo được (ví dụ: nhiệt độ hoặc hàm lượng O2).
Độ lệch chuẩn mẫu của giá trị trung bình và bậc tự do được tính toán tại mỗi điểm trong lưới đo với giả định tham số có giá trị không đổi, nghĩa là tính theo các công thức từ (286) đến (288).
Độ lệch chuẩn của tham số có giá trị trung bình tích phân là:
|
| (290) |
Với bậc tự do là:
|
| (291) |
trong đó:
m là điểm trong lưới đo
là độ lệch chuẩn của giá trị trung bình đối với tham số tại điểm i [tính theo công thức (286)]
vi là bậc tự do của
, bằng số lần đọc chỉ số tại điểm i trừ đi 1
Nếu trong một chế độ thí nghiệm thu thập được ít hơn 6 phép đo từ mỗi điểm trong lưới đo (ví dụ: khi thực hiện các phép đo O2 hoặc nhiệt độ của từng điểm đơn lẻ trên lưới đo bằng cách đo thủ công lần lượt từng điểm trên tiết diện ngang) thì độ lệch chuẩn của tham số có giá trị trung bình tích phân phải được xác định bằng nhiều phép đo tại một điểm đại diện duy nhất trong mặt phẳng thí nghiệm. Có thể sử dụng các thiết bị đo của trạm điều khiển để xác định độ lệch chuẩn của tham số có giá trị trung bình tích phân, với điều kiện là thiết bị đo phải được đặt ở vị trí đại diện.
7.4.1.3 Các tham số có giá trị trung bình tích phân (Giá trị trung bình có trọng số)
Khí xác định các tham số (ví dụ: nhiệt độ khói hoặc hàm lượng oxy) dưới dạng giá trị trung bình có trọng số thì hệ số trọng số là tỷ số vận tốc môi chất được đo tại cùng một điểm với phép đo tham số. Việc tính toán (hoặc ước tính) độ lệch chuẩn của giá trị trung bình tích phân có trọng số lưu lượng phụ thuộc vào dữ liệu thu thập được về phân bố vận tốc.
(a) Vận tốc được đo đồng thời với tham số khi thực hiện một số lần đo hoàn chỉnh qua tiết diện ngang. Số lượng các lần đọc chỉ số tại mỗi điểm trong lưới đo phải đủ lớn để đảm bảo ý nghĩa thống kê. Nói chung, cần thực hiện 6 lần đọc chỉ số trở lên. Trong trường hợp này, độ lệch chuẩn và bậc tự do được tính bằng cách sử dụng các công thức từ (286) đến (291), tùy trường hợp áp dụng, với tham số xj,i là giá trị có trọng số. Ví dụ, đối với nhiệt độ:
|
| (292) |
trong đó:
là vận tốc trung bình theo thời gian và vị trí trong không gian
(b) Vận tốc được đo đồng thời với tham số, khi thực hiện một số lượng nhỏ phép đo hoàn chỉnh qua tiết diện ngang. Trong trường hợp này, độ lệch chuẩn có thể ước tính từ một số lượng lớn các lần đọc chỉ số được thực hiện tại một điểm duy nhất. Phải trang bị các thiết bị đo để đo được đồng thời vận tốc và tham số tại một điểm cố định duy nhất. Điểm này cần được lựa chọn sao cho các giá trị kỳ vọng của vận tốc và tham số xấp xỉ với giá trị trung bình. Dữ liệu phải được ghi lại với cùng tần suất.
Các giá trị tức thời từ điểm đo nhân với tỷ số vận tốc để nhận được giá trị của biến xj:
|
| (293) |
Độ lệch chuẩn mẫu đối với x được tính theo công thức (287).
(c) Vận tốc được đo riêng biệt với tham số. Độ lệch chuẩn của giá trị trung bình đối với tham số có trọng số là:
|
| (294) |
trong đó:
FW là giá trị trung bình có trọng số
P là tham số (nhiệt độ hoặc hàm lượng oxy)
UW là giá trị trung bình không có trọng số
được tính theo phương pháp mô tả trong 7.4.1.2
Phương pháp tốt nhất là độ lệch chuẩn của vận tốc được đánh giá từ nhiều lần đọc chỉ số ở các thời điểm khác nhau tại mỗi điểm trong lưới đo vận tốc. Trường hợp không thực hiện được theo cách này thì độ lệch chuẩn của vận tốc có thể được ước tính từ dữ liệu ghi nhận trong quá khứ.
7.4.1.4 Các phép đo trên các mẫu được gộp từ nhiều mẫu đơn lẻ
Mẫu của các dòng vật chất được lấy và phân tích để xác định thành phần hóa học. Các dòng vật chất này có thể ở thể khí (ví dụ: khói thải) hoặc thể rắn (ví dụ: than, tro xỉ, chất hấp thụ). Thông thường, các mẫu này được lấy theo từng mẫu đơn, nghĩa là từng mẫu được lấy với một lượng có hạn trong các khoảng thời gian định kỳ. Trong Tiêu chuẩn này, thành phần chất rắn được coi là một tham số có giá trị không đổi và thành phần khói được coi là một tham số không đồng nhất về vị trí trong không gian.
Có hai phương pháp có thể áp dụng để xác định các đặc tính trung bình của mẫu vật chất rắn được lấy từ các mẫu ban đầu:
(a) Từng mẫu đơn lẻ được phân tích riêng biệt, sau đó giá trị trung bình của các mẫu (giá trị được sử dụng trong tính toán thí nghiệm) được xác định bằng cách tính trung bình tất cả các kết quả phân tích mẫu đơn lẻ.
(b) Các mẫu đơn lẻ được trộn với nhau thành một mẫu tổng hợp và phép phân tích được thực hiện từ mẫu tổng hợp đó.
Trong thực tế có thể kết hợp cả hai phương pháp trên, nghĩa là một số thành phần có thể được xác định bằng một phân tích duy nhất từ mẫu tổng hợp, các thành phần khác được xác định từ phân tích các mẫu đơn lẻ.
CHÚ THÍCH: Ví dụ, đối với than được khai thác từ cùng một vỉa, độ ẩm và độ tro có thể thay đổi nhiều, trong khi các thành phần khác (biểu thị theo mẫu khô không tro) gần như không đổi. Trong trường hợp này, độ ẩm và độ tro của mẫu than thực đốt và độ lệch chuẩn của các giá trị này phải được xác định bằng cách phân tích một số mẫu riêng lẻ, trong khi giá trị trung bình của các thành phần khác (theo mẫu khô không tro) có thể được xác định bằng một phân tích duy nhất từ mẫu trộn tổng hợp.
Dưới đây mô tả việc xác định độ không đảm bảo ngẫu nhiên trong hai trường hợp này:
(a) Các mẫu đơn được phân tích riêng. Nếu từng mẫu đơn được trộn và phân tách theo cách thích hợp, thì giá trị trung bình của thành phần được tính trung bình từ các kết quả phân tích. Độ lệch chuẩn và bậc tự do được xác định theo các công thức (286) và (288).
(b) Các mẫu đơn được trộn lẫn trước khi phân tích. Nếu các mẫu đơn được trộn lẫn (theo các quy trình phù hợp) trước khi phân tích, thì kết quả phân tích mẫu hỗn hợp có thể được coi là giá trị trung bình thích hợp (ví dụ “gom” một số đường lấy mẫu khói vào buồng trộn hoặc bình sục khí trước khi phân tích). Vì chỉ có một tập hợp kết quả nên độ lệch chuẩn không thể được tính toán từ số liệu thống kê, do đó giá trị này phải được ước tính bằng cách sử dụng các dữ liệu được ghi nhận trong quá khứ, hoặc có thể sử dụng một số phép đo nhất định để xác định độ không đảm bảo ngẫu nhiên.
(c) Ước tính từ các dữ liệu được ghi nhận trong quá khứ. Phương pháp này được sử dụng trong trường hợp có sẵn dữ liệu thí nghiệm trước đây, hoặc trong trường hợp nhiên liệu hoặc chất hấp thụ được sử dụng trong quá trình thí nghiệm được cung cấp từ cùng một nguồn có các đặc tính đã được xác định. Khi dữ liệu ghi nhận trong quá khứ và dữ liệu thí nghiệm được xác định theo cùng một phương pháp đo lường thì các dữ liệu này có cùng giá trung bình tổng thể μ và cùng độ lệch chuẩn tổng thể σ. Các thành phần theo mẫu khô không tro của than được khai thác từ một vỉa than cụ thể cũng phải thỏa mãn điều kiện này để các dữ liệu ghi nhận trong quá khứ từ vỉa than đó có thể được sử dụng để ước tính độ không đảm bảo ngẫu nhiên cho dữ liệu thử nghiệm.
Giả sử có sẵn dữ liệu được ghi nhận trong quá khứ về một thông số cụ thể (ví dụ: hàm lượng carbon). Dữ liệu ghi nhận trong quá khứ dựa trên nH kết quả quan trắc và có độ lệch chuẩn mẫu là SX,H.
Độ lệch chuẩn có thể được ước tính theo công thức:
|
| (295) |
trong đó N là số lượng mẫu đơn lẻ đã được trộn lẫn. Bậc tự do cho ước tính này là nH - 1.
(d) Ước tính từ số lượng giới hạn các phép đo. Khi phân tích thành phần khói, các mẫu được lấy từ một số điểm của lưới đo trong một mặt cắt ngang của kênh dẫn, sau đó các mẫu này được trộn lẫn và dẫn đến một thiết bị phân tích duy nhất. Vì thành phần của khói là thông số không đồng nhất theo vị trí trong không gian, nên việc trộn lẫn mẫu là sự mô phỏng quá trình tính trung bình tích phân. Sự thay đổi hàm lượng của các thành phần giữa các điểm (mặc dù không thể hiện trong mẫu gộp) được coi là độ không đảm bảo hệ thống (không phải là độ không đảm bảo ngẫu nhiên).
Sự thay đổi theo thời gian tại mỗi điểm sẽ thể hiện độ không đảm bảo ngẫu nhiên (các thay đổi theo thời gian được thể hiện trong mẫu gộp). Độ lệch chuẩn và bậc tự do được tính toán theo các công thức (286) và (288), kết quả phân tích đối với các mẫu gộp được coi là một tham số có giá trị không đổi (ví dụ: hàm lượng O2 trung bình theo vị trí trong không gian).
7.4.1.5 Một phép đo đơn lẻ hoặc tổng các phép đo đơn lẻ
Đối với các tham số được xác định bằng một phép đo đơn lẻ hoặc tổng các phép đo đơn lẻ thì độ lệch chuẩn là căn bậc hai của mức ước tính phương sai của thiết bị đo. Khi giá trị độ lệch chuẩn là đủ nhỏ thì có thể bỏ qua giá trị này. Sự thay đổi theo vị trí trong không gian và thời gian của các tham số này được coi là độ không đảm bảo hệ thống và được xác định bằng các ước tính thích hợp.
7.4.2 Độ lệch chuẩn và bậc tự do đối với các kết quả trung gian
Tham số có thể là một dữ liệu được đo trực tiếp hoặc được tính toán từ nhiều phép đo sơ cấp (ví dụ: lưu lượng môi chất được xác định từ phép đo độ chênh lệch áp suất; entanpi được xác định từ phép đo nhiệt độ). Hai phương pháp để tính toán độ lệch chuẩn của các kết quả trung gian này là:
(a) Sử dụng công thức (279) cùng với các công thức thể hiện mối liên hệ giữa kết quả trung gian với các phép đo sơ cấp.
(b) Chuyển đổi dữ liệu thành kết quả trung gian trước khi lấy trung bình và sau đó tính độ lệch chuẩn của kết quả.
Dưới đây mô tả các trường hợp cụ thể.
7.4.2.1 Các tham số dạng ![]()
Các kết quả đo xi được chuyển đổi thành zj, sau đó giá trị trung bình và phương sai mẫu của 2 được tính từ zj. Các lưu lượng kế kiểu chênh áp thể hiện mối liên hệ của tham số dưới dạng này.
7.4.2.2 Các tham số dạng ![]()
Công thức (279) có thể áp dụng cho các hàm của một biến, trong trường hợp này biến là x. Hệ số độ nhạy đối với x là:
|
| (296) |
Độ lệch chuẩn của giá trị trung bình là:
|
| (297) |
Bậc tự do đối với z và x là như nhau.
Mối quan hệ giữa nhiệt độ và entanpi được biểu diễn dưới dạng phương trình này.
7.4.2.3 Các tham số dạng ![]()
Đối với loại tham số này, có hai sự lựa chọn:
(a) Chuyển đổi các giá trị dữ liệu sơ cấp (ui, vi) thành các kết quả trung gian (zi), tính trung bình các giá trị của các kết quả trung gian đó và tính toán độ lệch chuẩn và bậc tự do.
(b) Tính z từ giá trị trung bình của u và v:
![]()
và sử dụng công thức (279).
Các hệ số độ nhạy là:
|
| (298) |
Độ lệch chuẩn là:
|
| (299) |
Bậc tự do là:
|
| (300) |
7.4.2.4 Lưu lượng được đo bằng cách sử dụng thùng cân hoặc bình chứa
Thùng cân hoặc bình chứa được sử dụng như một thiết bị lưu trữ để làm phẳng các biến thiên về lưu lượng. Lưu lượng cần đo là lưu lượng ở phía trước thiết bị lưu trữ (ví dụ: lượng bụi thu được của một buồng lọc bụi túi có thể được xác định bằng một thùng cân bố trí trên đường xả từ các phễu của buồng lọc bụi túi). Nếu việc đọc chỉ số về khối lượng và thời gian được thực hiện ở thời điểm đầu và thời điểm cuối thí nghiệm thì lưu lượng trung bình w là:
|
| (301) |
trong đó:
u1, u2 là các chỉ số đọc khối lượng tương ứng với thời điểm đầu và thời điểm cuối
là các chỉ số đọc thời gian tương ứng với thời điểm đầu và thời điểm cuối
Trường hợp nhiều phép đo không được thực hiện theo khối lượng và thời gian thì độ không đảm bảo ngẫu nhiên của w phụ thuộc vào thiết bị đo. Độ lệch chuẩn là:
|
| (302) |
Nói chung, giá trị của các phương sai thiết bị đo là nhỏ và độ lệch chuẩn có thể được bỏ qua. Tuy nhiên, độ không đảm bảo hệ thống của thiết bị đo là một chỉ số quan trọng.
7.4.3 Độ lệch chuẩn và bậc tự do của kết quả thí nghiệm
Nếu kết quả thí nghiệm là một thông số đo được (ví dụ: nhiệt độ của khói ra ra khỏi lò hơi) thì độ lệch chuẩn và bậc tự do của kết quả chỉ là các giá trị liên quan đến chính thông số đó. Nếu kết quả thí nghiệm phải được tính toán từ dữ liệu đo được (ví dụ: hiệu suất của lò hơi) thì độ lệch chuẩn và bậc tự do của kết quả phải được tính toán từ các giá trị độ lệch chuẩn và bậc tự do đối với các thông số riêng lẻ.
7.4.3.1 Kết hợp các độ lệch chuẩn
Độ lệch chuẩn của một kết quả tính toán được xác định bằng cách kết hợp các độ lệch chuẩn của tất cả các tham số ảnh hưởng đến kết quả đó theo quy tắc căn bậc hai của tổng bình phương.
|
| (303) |
trong đó:
là hệ số độ nhạy của tham số xi trên kết quả R và k là tổng số lượng các tham số được sử dụng để tính R
7.4.3.2 Kết hợp các bậc tự do
Bậc tự do của độ lệch chuẩn R được tính bằng công thức:
|
| (304) |
7.4.3.3 Hệ số độ nhạy
Hệ số độ nhạy là đạo hàm riêng của kết quả liên quan đến tham số:
|
| (305) |
theo công thức (279).
Trong một số trường hợp có thể sử dụng hệ số độ nhạy tương đối, được tính như sau:
|
| (306) |
Hệ số độ nhạy tương đối là một đại lượng hữu ích được sử dụng trong việc phân tích độ không đảm bảo trước thí nghiệm để đánh giá ảnh hưởng tương đối của sai số trong một tham số cụ thể đến độ không đảm bảo của kết quả thí nghiệm.
7.4.3.4 Tính hệ số độ nhạy
Hệ số độ nhạy có thể được tính toán bằng phương pháp số với trợ giúp của máy tính thay vì tính toán bằng phương pháp phân tích trên đây. Khi sử dụng một chương trình máy tính để tính toán kết quả thí nghiệm R từ các tham số x1,..., xk thì hệ số độ nhạy có thể được tính gần đúng bằng cách tăng giảm từng tham số (mỗi lần một tham số) với một lượng nhỏ δxi, trong khi giá trị của các tham số khác được giữ không đổi và đánh giá sự thay đổi trong giá trị tính toán của kết quả thí nghiệm δR. Hệ số độ nhạy là:
|
| (307) |
với δxi là một giá trị nhỏ (ví dụ: xi/100 hoặc xi/1000).
Đối với phép phân tích độ không đảm bảo trước thí nghiệm, các dữ liệu dự đoán về đặc tính được sử dụng để tính các giá trị trung bình. Giá trị trung bình thực tế của các thông số đo được sử dụng để phân tích sau thí nghiệm.
7.5 Các công thức và phương pháp xác định độ không đảm bảo hệ thống
Độ không đảm bảo hệ thống là một thành phần cố hữu trong độ không đảm bảo tổng thể. Đại lượng này vẫn tồn tại sau khi đã thực hiện tất cả các biện pháp cần thiết để loại bỏ sai số (ví dụ: hiệu chuẩn các thiết bị đo). Một đặc tính cơ bản của độ không đảm bảo hệ thống là đại lượng này không thể được xác định trực tiếp từ dữ liệu thí nghiệm, do đó đại lượng này luôn phải ước tính.
Dưới đây đưa ra các quy tắc bắt buộc và một số phương pháp sử dụng cho việc ước tính độ không đảm bảo hệ thống. Các bên tham gia thí nghiệm phải thống nhất lựa chọn phương pháp ước tính độ không đảm bảo hệ thống được quy định trong Tiêu chuẩn này hoặc một phương pháp thay thế thích hợp khác.
7.5.1 Quy tắc chung
Độ không đảm bảo hệ thống được sử dụng phải đáp ứng các yêu cầu sau:
(a) Độ không đảm bảo hệ thống phải được các bên tham gia thí nghiệm đồng thuận.
(b) Độ không đảm bảo hệ thống phải được ước tính ở xác suất tin cậy 95%, không nên sử dụng các giá trị tối đa có thể có được đối với độ không đảm bảo hệ thống.
(c) Các ước lượng về độ không đảm bảo hệ thống có thể là một phía (chỉ có giá trị dương hoặc âm), hoặc không đối xứng, nếu bản chất vật lý của quá trình thể hiện đúng đặc điểm này.
Độ không đảm bảo hệ thống thực tế trong các phép đo hoặc kết quả là một giá trị cố định, nhưng không thể xác định chính xác giá trị đó. Dải cộng và trừ chứa khoảng 95% các mức ước tính có thể tồn tại đối với sai số hệ thống là phạm vi được sử dụng làm mức ước tính độ không đảm bảo hệ thống. Trong Tiêu chuẩn này các mức ước tính độ không đảm bảo hệ thống phải được kết hợp với nhau bằng quy tắc căn bậc hai của tổng bình phương.
7.5.2 Độ không đảm bảo hệ thống do các thiết bị đo gây ra đối với các tham số được đo
Các yếu tố gây ra độ không đảm bảo hệ thống liên quan đến các thiết bị đo có thể bao gồm: phần tử đo sơ cấp, cảm biến sơ cấp, bộ chuyển đổi, bộ khuếch đại, bộ chuyển đổi tương tự hoặc kỹ thuật số, thiết bị ghi và các ảnh hưởng môi trường.
Dưới đây cung cấp các hướng dẫn và quy tắc chung để kết hợp các yếu tố ảnh hưởng đến độ không đảm bảo hệ thống.
7.5.2.1 Độ không đảm bảo hệ thống do một thành phần duy nhất gây ra
Trường hợp có sẵn đồ thị hiệu chuẩn điển hình cho một thành phần của thiết bị đo thì có thể ước tính độ không đảm bảo hệ thống của thành phần đó.
Hình 21 thể hiện đồ thị hiệu chuẩn tổng quát của thiết bị đo. Độ lệch là sự khác biệt giữa giá trị đầu vào được đo bằng mẫu chuẩn và giá trị đầu ra của thiết bị đo trong điều kiện trạng thái ổn định.
Độ lệch được thể hiện theo nhiều cách khác nhau như: theo đơn vị của biến đo lường, theo phần trăm khoảng đo, theo phần trăm chỉ số đọc, v.v. Hình 21 thể hiện một đường bao, trong đó các phép đo lặp lại được thực hiện với cùng giá trị đầu vào. Chiều rộng A của đường bao đó thể hiện độ không đảm bảo ngẫu nhiên của thiết bị, và còn được gọi là khả năng tái lập của thiết bị. Khả năng tái lập bao gồm sai số trễ, dải chết, độ lặp lại và trong một số trường hợp là độ trôi giới hạn theo thời gian.
Độ lệch dương hoặc âm lớn nhất C so với đường độ lệch bằng 0 được gọi là “độ chính xác tham chiếu”. Độ chính xác tham chiếu của một thiết bị điển hình có thể được sử dụng như một ước tính về độ không đảm bảo hệ thống tương ứng của các thiết bị tương tự. Độ không đảm bảo hệ thống được ước tính từ độ chính xác tham chiếu không bao gồm các ảnh hưởng của độ trôi, điều kiện lắp đặt, v.v.
Nếu đồ thị là dành cho một thiết bị cụ thể, thì các giá trị B tính đến điểm giữa của đường bao ở các giá trị đầu vào khác nhau sẽ được sử dụng làm mức hiệu chỉnh khi rút gọn dữ liệu. Trong trường hợp này, độ không đảm bảo hệ thống được ước tính là (A/2). Lưu ý rằng các ước tính như vậy có thể không bao gồm độ không đảm bảo hệ thống phát sinh từ độ trôi, ảnh hưởng của môi trường xung quanh, v.v.

Hình 21 - Đồ thị hiệu chuẩn tổng quát
Nếu một thiết bị hoặc toàn bộ mạch thiết bị đã được hiệu chuẩn cho thí nghiệm, thì độ không đảm bảo hệ thống được ước tính là căn bậc hai tổng bình phương của độ lệch chuẩn theo đồ thị hiệu chuẩn (sai số chuẩn của mức ước tính theo đồ thị nội suy) và độ không đảm bảo hệ thống của thiết bị chuẩn. Tham khảo ASME PTC 19.1: Độ không đảm bảo của thí nghiệm, để biết thêm thông tin.
7.5.2.2 Kết hợp các độ không đảm bảo hệ thống từ một số thành phần thiết bị đo
Khi một hệ thống thiết bị đo có nhiều thành phần và mỗi thành phần có độ không đảm bảo hệ thống riêng, thì độ không đảm bảo hệ thống kết hợp của phép đo là:
|
| (308) |
trong đó: các chỉ số dưới 1, 2... m thể hiện các thành phần khác nhau của hệ thống.
Do áp dụng quy tắc căn bậc hai của tổng bình phương nên các độ không đảm bảo hệ thống có giá trị nhỏ hơn 1/5 giá trị lớn nhất trong một mạch đo có thể được bỏ qua khi tính độ không đảm bảo hệ thống đối với tham số được đo.
7.5.2.3 Nhiều phép đo được thực hiện bằng một thiết bị đo duy nhất
Đối với nhiều phép đo được thực hiện tại một vị trí bằng một thiết bị duy nhất (ví dụ: đo nhiệt độ tại một số điểm trong mặt cắt ngang kênh dẫn khói bằng cùng một hệ thống cặp nhiệt điện), độ không đảm bảo hệ thống do thiết bị đo gây ra đối với giá trị trung bình của thông số sẽ bằng độ không đảm bảo hệ thống do thiết bị đo gây ra đối với một phép đo đơn lẻ.
|
| (309) |
7.5.2.4 Nhiều phép đo được thực hiện bằng nhiều thiết bị đo tại một số vị trí
Ví dụ về nhiều phép đo được thực hiện bằng nhiều thiết bị đo tại một số vị trí là trường hợp sử dụng một lưới cặp nhiệt điện cố định để đo nhiệt độ (trung bình) của khói. Có thể xảy ra hai tình huống khác nhau:
(a) Tình huống thứ nhất: khi tất cả các mạch đo (mỗi cặp nhiệt điện đi kèm với cáp tín hiệu, bộ ghi dữ liệu, v.v., tạo thành một mạch đo) được đánh giá là có cùng độ không đảm bảo hệ thống. Điều này xảy ra khi tất cả các mạch đo của thiết bị được hiệu chuẩn theo cùng một thiết bị chuẩn. Trong trường hợp này, độ không đảm bảo hệ thống do thiết bị đo gây ra đối với tham số (nhiệt độ) trung bình bằng độ không đảm bảo hệ thống của bất kỳ mạch đo nào.
|
| (310) |
(b) Tình huống thứ hai là khi các mạch đo khác nhau được đánh giá là có độ không đảm bảo hệ thống khác nhau. Điều này xảy ra nếu sử dụng các thiết bị được hiệu chuẩn độc lập với nhau hoặc vì các lý do khác. Trong trường hợp này, độ không đảm bảo hệ thống do thiết bị đo gây ra đối với tham số trung bình là giá trị trung bình của độ không đảm bảo hệ thống đối với từng mạch đo.
|
| (311) |
trong đó:
Bxi là độ không đảm bảo hệ thống của một mạch đo đơn lẻ i
N là số lượng các mạch dụng cụ đo khác nhau
7.5.3 Độ không đảm bảo hệ thống trong các tham số không đồng nhất theo vị trí trong không gian
Trong thí nghiệm đặc tính lò hơi, các thông số nhiệt độ khói và không khí tại đường bao thí nghiệm lò hơi và thành phần khói phải được xác định bằng giá trị trung bình tích phân có trọng số lưu lượng (xem 4.3.4 và 7.2.3).
Các giá trị trung bình tích phân có thể được tính gần đúng từ các mẫu được lấy tại một số điểm nhất định. Ngoài ra, các bên tham gia thí nghiệm có thể thống nhất bỏ qua phép đo vận tốc và bỏ qua trọng số lưu lượng. Trong một số trường hợp nhất định (ví dụ đo thành phần khói), các mẫu khói có thể được trộn trước khi phân tích. Các phép tính gần đúng này có thể tạo ra độ không đảm bảo hệ thống. Những độ không đảm bảo hệ thống này bổ sung vào độ không đảm bảo hệ thống do thiết bị đo gây ra như được trình bày trong 7.5.2.
Trường hợp các phép đo chỉ được thực hiện ở một vài điểm (có thể là một hoặc hai điểm) hoặc các mẫu lấy từ nhiều điểm và được trộn lẫn trước khi phân tích thì không sử dụng phương pháp tính toán dưới đây, mà phải ước tính độ không đảm bảo hệ thống dựa trên dữ liệu từ các thí nghiệm trước trên các lò hơi tương tự.
7.5.3.1 Chỉ số phân bố theo vị trí trong không gian
Độ không đảm bảo hệ thống được giả định tỷ lệ với chỉ số phân bố theo vị trí trong không gian dưới đây:
|
| (312) |
trong đó:
z là giá trị trung bình theo thời gian của tham số phân bố liên tục (nhiệt độ, hàm lượng O2, v.v.)
là giá trị trung bình tích phân của z
Chỉ số SDI cũng có thể được tính gần đúng như sau:
|
| (313) |
trong đó:
m là số điểm trong lưới đo
Trong trường hợp một dòng đơn (ví dụ: khói thải) được chia ra hai hoặc nhiều kênh dẫn tách biệt thì SDI được tính toán cho từng kênh dẫn.
Nếu có sẵn dữ liệu tin cậy được ghi nhận trong quá khứ hoặc dữ liệu từ quá trình đo sơ bộ qua tiết diện ngang thì có thể ước tính SDI cho các tham số dựa trên các dữ liệu này.
7.5.3.2 Độ không đảm bảo hệ thống do tính gần đúng theo tích phân số
Độ không đảm bảo hệ thống được tính như sau:
|
| (314) |
trong đó:
m là số điểm trong lưới đo
Giá trị tính theo công thức (314) phản ánh độ lớn tương đối của độ không đảm bảo hệ thống và sự phụ thuộc của độ không đảm bảo hệ thống vào số điểm trong lưới đo. Trong trường hợp một dòng đơn (ví dụ: khói thải) được chia ra hai hoặc nhiều kênh dẫn tách biệt thì phương pháp này sẽ được áp dụng cho từng kênh dẫn.
7.5.3.3 Độ không đảm bảo hệ thống liên quan đến trọng số lưu lượng
Về mặt lý thuyết, các giá trị trung bình thích hợp đối một số thông số như nhiệt độ khói và hàm lượng O2 cần được tính theo trọng số của lưu lượng, tuy nhiên có thể không sử dụng trọng số lưu lượng trong thí nghiệm đặc tính vì sai số liên quan đến việc xác định vận tốc có thể còn lớn hơn cả sai số do không tính trọng số lưu lượng. Do đó, có hai loại sai số hệ thống khác nhau liên quan đến trọng số lưu lượng:
(a) Nếu sử dụng trọng số lưu lượng trong các tính toán đặc tính thì sẽ có sai số hệ thống do độ không đảm bảo hệ thống trong dữ liệu vận tốc sử dụng để tính trọng số.
(b) Nếu không sử dụng trọng số lưu lượng trong các tính toán đặc tính thì có một sai số (độ không đảm bảo hệ thống) của phương pháp này. Sai số này bằng mức chênh lệch giữa giá trị trung bình có trọng số (được xác định đúng) và giá trị trung bình không có trọng số thực tế được sử dụng trong các phép tính.
Chỉ có một trong hai loại sai số này có thể xuất hiện trong bất kỳ một tập hợp dữ liệu nào (trung bình có trọng số hoặc không có trọng số). Tiêu chuẩn này chấp nhận cả hai loại độ không đảm bảo hệ thống theo trọng số lưu lượng này.
7.5.3.3.1 Độ không đảm bảo hệ thống của trọng số lưu lượng khi có sử dụng loại trọng số này
Có hai lựa chọn trong trường hợp này:
(a) Vận tốc được sử dụng để tính trọng số lưu lượng được đo đồng thời với tham số được tính trọng số (nhiệt độ hoặc hàm lượng O2).
(b) Vận tốc được sử dụng để tính trọng số lưu lượng được đo trong một hoặc nhiều phép đo sơ bộ qua tiết diện ngang.
Trong cả hai trường hợp này đều có thể giả định rằng dữ liệu vận tốc được coi là đủ chính xác và hợp lệ về mặt thống kê (xem 4.3.4 về các quy tắc liên quan đến việc sử dụng dữ liệu vận tốc để tính trọng số lưu lượng).
Trường hợp áp dụng lựa chọn (a) (khi vận tốc được đo đồng thời với tham số cần tính trung bình) thì mức ước tính độ không đảm bảo hệ thống theo trọng số lưu lượng là:
|
| (315) |
trong đó:
Bv là độ không đảm bảo hệ thống đối với vận tốc
FW chỉ giá trị trung bình có trọng số
là giá trị trung bình (tích phân) của tham số (nhiệt độ hoặc hàm lượng O2)
UW chỉ giá trị trung bình không có trọng số
vận tốc trung bình
Trường hợp áp dụng lựa chọn (b) (khi vận tốc được xác định bằng các phép đo sơ bộ qua tiết diện ngang) thì mức ước tính độ không đảm bảo hệ thống theo trọng số lưu lượng là:
|
| (316) |
Các ký hiệu trong công thức này có cùng ý nghĩa như đối với công thức trên.
7.5.3.3.2 Độ không đảm bảo hệ thống theo trọng số lưu lượng khi không sử dụng loại trọng số này
Trong trường hợp không sử dụng trọng số lưu lượng thì mức ước tính độ không đảm bảo hệ thống là mức ước tính độ chênh lệch giữa giá trị trung bình có trọng số và không có trọng số. Có hai trường hợp:
(a) không có dữ liệu tin cậy về vận tốc, hoặc
(b) có dữ liệu sơ bộ về vận tốc được đo ngang qua tiết diện, nhưng các tham số này không có trọng số lưu lượng
Đối với trường hợp (a) (khi không có sẵn dữ liệu tin cậy về vận tốc) thì độ không đảm bảo hệ thống đối với nhiệt độ được ước tính như sau.
Trước tiên, trung bình có trọng số được ước tính bằng:
|
| (317) |
trong đó:
m là số điểm đo trong mặt phẳng qua tiết diện ngang
θ là nhiệt độ tuyệt đối (θ = T °C + 273,2)
Mức ước tính độ không đảm bảo hệ thống là:
|
| (318) |
Độ không đảm bảo hệ thống đối với hàm lượng O2 được lấy bằng tỷ lệ phần trăm của giá trị trung bình theo độ không đảm bảo hệ thống đối với nhiệt độ:
|
| (319) |
Đối với trường hợp (b) (khi dữ liệu vận tốc sơ bộ có sẵn, nhưng không được sử dụng để tính giá trị trung bình có trọng số) thì độ không đảm bảo hệ thống được được tính như sau:
|
| (320) |
trong đó dữ liệu vận tốc được sử dụng để tính mức ước tính giá trị trung bình có trọng số PFW.
7.5.3.4 Độ không đảm bảo hệ thống kết hợp đối với giá trị trung bình tích phân
Độ không đảm bảo hệ thống kết hợp đối với các giá trị trung bình tích phân là:
|
| (321) |
trong đó Bl là độ không đảm bảo hệ thống của thiết bị (xem 7.5.2).
7.5.4 Độ không đảm bảo hệ thống do các giá trị được giả định cho các thông số không được đo
Giá trị bằng 1/2 giá trị “giới hạn” hợp lý của một tham số giả định phải được sử dụng làm giá trị của tham số trong các tính toán đặc tính và 1/2 mức chênh lệch giữa các giá trị “giới hạn” được sử dụng làm độ không đảm bảo hệ thống trong phân tích độ không đảm bảo.
CHÚ THÍCH: Ví dụ, nếu lưu lượng tro xỉ đáy được lấy theo tỷ lệ phần trăm của tổng lượng tro được tạo ra trong lò hơi đốt than phun, thì tỷ lệ phần trăm là một tham số giả định. Do đó, giá trị này bằng 1/2 giá trị “giới hạn” được đặt ra theo phán đoán và được các bên tham gia thí nghiệm đồng thuận.
Trong một số trường hợp, có thể sử dụng độ không đảm bảo hệ thống không đối xứng nếu có các nhận định về vật lý thích hợp.
CHÚ THÍCH: Ví dụ, tỷ lệ phân bố tro không thể là 10% ± 15%, vì giá trị âm 5% là không thực tế.
7.5.5 Bậc tự do cho các mức ước tính độ không đảm bảo hệ thống
Nếu độ không đảm bảo trong việc ước tính độ không đảm bảo hệ thống B được biểu thị bằng ΔB, thì theo TCVN 9595-3:2013 (ISO/IEC GUIDE 98-3:2008) Độ không đảm bảo đo - Phần 3: Hướng dẫn trình bày độ không đảm bảo đo, có thể áp dụng cách tính gần đúng sau đây đối với bậc tự do của B:
|
| (322) |
Biểu thức bậc tự do đối với độ không đảm bảo hệ thống theo công thức (322) áp dụng cho tất cả các mức ước tính độ không đảm bảo hệ thống được trình bày trong 7.5.
7.5.6 Độ không đảm bảo hệ thống đối với kết quả thí nghiệm
Tổng độ không đảm bảo hệ thống đối với một kết quả được tính toán từ các tham số đo được và các tham số giả định là:
|
| (323) |
Bậc tự do của BR được xác định như sau:
|
| (324) |
7.6 Độ không đảm bảo của kết quả thí nghiệm
Độ lệch chuẩn và độ không đảm bảo hệ thống của kết quả thí nghiệm được kết hợp thành độ không đảm bảo của thí nghiệm đo theo công thức:
|
| (326) |
trong đó:
là điểm phân vị của t theo phân bố Student cho bậc tự do v = vR. Giới hạn xác suất tin cậy 95% và lấy theo bảng 22 hoặc tính theo công thức (201).
Bậc tự do vR của kết quả được xác định theo công thức:
|
| (326) |
Trong hầu hết các ứng dụng, giá trị của vR là tương đối lớn (≥9) dựa trên tất cả các yếu tố gây ra sai số có thể ảnh hưởng, do đó giá trị t của phân bố Student đối với kết quả có thể được tính bằng 2 khi mức ước tính xác suất tin cậy là 95%. Độ không đảm bảo trong kết quả được xác định bằng công thức:
|
| (327) |
hoặc
|
| (328) |
Trong báo cáo thí nghiệm, phải nêu rõ độ không đảm bảo UR cùng với các giá trị SR và BR. Nếu sử dụng phương pháp tính xấp xỉ với số lượng mẫu lớn thì trong báo cáo phải nêu rõ giá trị vR là đủ lớn để áp dụng giá trị t của phân bố Student xấp xỉ bằng 2.
Phụ lục A
(Tham khảo)
Các biểu mẫu tính toán
A.1 Giới thiệu
Các biểu mẫu tính toán được cung cấp ở phần cuối Phụ lục này nhằm mục đích hỗ trợ người dùng thực hiện các tính toán theo một trình tự hợp lý. Các biểu mẫu này cũng là công cụ hỗ trợ để hướng dẫn thực hiện tính toán.
Do có nhiều loại lò hơi và nhiên liệu được đề cập trong Tiêu chuẩn này nên các biểu mẫu tính toán được xây dựng cho một số yêu cầu cụ thể đối với các cấu hình lò hơi điển hình. Tên gọi và mục đích của từng biểu mẫu được mô tả ngắn gọn dưới đây.
(a) EFF - Tính toán hiệu suất. Được sử dụng để tính toán hiệu suất theo phương pháp cân bằng nghịch. Cần phải hoàn thành trước các biểu mẫu tính toán quá trình cháy.
(b) CMBSTN - Tính toán quá trình cháy. Được sử dụng cho các tính toán quá trình cháy chung như tính tỷ lệ không khí thừa, khối lượng khói khô, v.v.
(c) GAS - Nhiên liệu khí. Được sử dụng để chuyển đổi kết quả phân tích các thành phần chính của nhiên liệu khí từ đơn vị phần trăm theo thể tích sang đơn vị phần trăm theo khối lượng. Tất cả các tính toán đều yêu cầu phân tích nhiên liệu đều dựa trên phần trăm theo khối lượng.
(d) RES - Tính toán carbon chưa cháy hết và tro xỉ. Được sử dụng để tính giá trị trung bình có trọng số của hàm lượng carbon trong tro xỉ, carbon chưa cháy hết và tổn thất do nhiệt vật lý của tro xỉ. Khi có sử dụng chất hấp thụ thì biểu mẫu này được sử dụng để tính giá trị trung bình có trọng số của carbon và CO2 trong tro xỉ. Các kết quả này được sử dụng cùng với các biểu mẫu tính toán chất hấp thụ để tính carbon chưa cháy hết và tỷ lệ nung CaCO3.
(e) SRB - Bảng tính chất hấp thụ, hàm lượng đo được của C và CO2 trong tro xỉ. Được sử dụng cùng với biểu mẫu tính toán carbon chưa cháy hết và tro xỉ để tính lượng carbon chưa cháy hết trong tro xỉ và tỷ lệ nung đá vôi. Tỷ lệ phần trăm khử lưu huỳnh, tỷ lệ mol canxi trên lưu huỳnh, tổn thất nhiệt và nhiệt đóng góp liên quan đến chất hấp thụ và quá trình khử lưu huỳnh cũng được tính toán trong biểu mẫu này.
(f) OUTPUT - Biểu mẫu tính toán năng lượng đầu ra. Được sử dụng để tính toán năng lượng đầu ra của lò hơi. Có vị trí để tính toán lưu lượng nước phun của bộ quá nhiệt theo cân bằng năng lượng. Đối với các thiết bị có bộ tái nhiệt, có phần tính toán lưu lượng trích hơi cho bộ gia nhiệt nước cấp, lưu lượng hơi tái nhiệt đầu vào và khả năng hấp thụ của bộ tái nhiệt.
(g) MEAS - Bảng tính rút gọn dữ liệu đo. Được sử dụng để tính giá trị trung bình và độ lệch chuẩn cho các thông số đồng nhất theo thời gian và vị trí trong không gian. Việc chuyển đổi từ đơn vị tín hiệu đầu ra của thiết bị đo (mV, mA, v.v.) sang đơn vị đo lường và hệ số hiệu chỉnh hiệu chuẩn cũng được được thực hiện trên biểu mẫu này. Tham khảo Bảng tính độ không đảm bảo INTAVG về các thông số không đồng nhất theo vị trí trong không gian.
(h) SYSUNC - Bảng tính rút gọn dữ liệu độ không đảm bảo hệ thống. Được sử dụng để diễn giải các tính toán độ không đảm bảo hệ thống đối với từng thiết bị đo, bao gồm tất cả các thành phần trong hệ thống đo lường.
(i) UNCERTa - Bảng tính độ không đảm bảo số 1. Chứa các thông tin đầu vào cho việc rút gọn dữ liệu và các thông tin cần thiết để xác định thành phần ngẫu nhiên của độ không đảm bảo. Đối với các tham số đồng nhất theo vị trí trong không gian (nghĩa là các tham số chỉ thay đổi theo thời gian), giá trị trung bình, độ lệch chuẩn và số lần đọc chỉ số được lấy từ Bảng dữ liệu MEAS. Tổng độ không đảm bảo hệ thống có giá trị dương và giá trị âm, bao gồm cả các giá trị tính theo phần trăm và tính theo đơn vị đo lường được lấy từ Bảng tính SYSUNC. Đối với các thông số không đồng nhất theo vị trí trong không gian, giá trị trung bình, độ lệch chuẩn, độ không đảm bảo hệ thống tổng thể có giá trị dương và giá trị âm và số lần đọc chỉ số được lấy từ Bảng tính INTAVG.
(j) UNCERTb - Bảng tính độ không đảm bảo số 2. Chứa các thông tin cần thiết để tính toán độ không đảm bảo tổng thể. Phải lập bảng tính đính kèm để tính toán độ không đảm bảo đối với hiệu suất. Bảng tính này có thể được sử dụng cho mọi hạng mục tính toán như năng lượng đầu ra, lưu lượng nhiên liệu, tổn thất do carbon chưa cháy hết, tỷ lệ Ca/S, v.v.
(k) INTAVG - Bảng tính độ không đảm bảo các thông số có giá trị trung bình tích phân. Bảng tính này chứa thông tin đầu vào cần thiết để rút gọn dữ liệu và xác định các thành phần ngẫu nhiên và hệ thống của độ không đảm bảo đối với các thông số không đồng nhất theo vị trí trong không gian (tức là mọi thông số thay đổi theo cả thời gian và vị trí trong không gian, ví dụ: nhiệt độ khói trong kênh dẫn có tiết diện lớn). Bảng tính bao gồm tính toán độ không đảm bảo hệ thống quy về giá trị trung bình tích phân của các thông số không đồng nhất và trọng số lưu lượng (ước tính). Để đơn giản hóa việc nhập kết quả vào biểu mẫu UNCERTa, độ lệch chuẩn mẫu được tính từ độ lệch chuẩn của giá trị trung bình, và bậc tự do được chuyển đổi thành số lần đọc chỉ số.
A.2 Hệ đơn vị
Hiệu suất nhiên liệu là một hàm phụ thuộc vào phần trăm năng lượng đầu vào từ nhiên liệu. Do đó, các tính toán liên quan đến nhiên liệu, ví dụ như lưu lượng không khí, sử dụng các đơn vị kg/kg nhiên liệu hoặc kg/J năng lượng đầu vào từ nhiên liệu. Đơn vị kg/J năng lượng đầu vào từ nhiên liệu là đơn vị thích hợp hơn, bởi vì trên thực tế đó là một kết quả được chuẩn hóa.
CHÚ THÍCH: Ví dụ, 10% tro trong nhiên liệu chỉ có ý nghĩa khi so sánh các nhiên liệu có nhiệt trị cao (HHV) tương đương nhau. Nếu HHV của nhiên liệu là 20000 kJ/kg nhiên liệu, thì 10% tro sẽ là 5 kg/GJ. Đối với nhiên liệu 10000 kJ/kg, thì 10% tro sẽ là 10 kg/GJ, hay nói cách khác là gấp đôi hàm lượng tro thực tế so với nhiên liệu có nhiệt trị (kJ/kg) cao hơn.
Để phù hợp với khoảng trống trên các biểu mẫu và để thuận tiện khi làm việc với các giá trị số, các đơn vị sử dụng trong các biểu mẫu được viết tắt bằng tỷ lệ khối lượng/khối lượng hoặc khối lượng/đơn vị nhiệt năng đầu vào, tính trên giá trị cơ bản nhân với một bội số nào đó. Cụ thể:
(a) kg/kg. Khối lượng tính theo kg của một thành phần trên một kg khối lượng của một thành phần khác hoặc tổng khối lượng. Ví dụ, kg tro/kg nhiên liệu là tỷ lệ khối lượng của tro trong nhiên liệu.
(b) kg/100 kg. Khối lượng tính theo kg của một thành phần trên 100 kg khối lượng của một thành phần khác hoặc tổng khối lượng. Ví dụ: tro kg/100 kg nhiên liệu, tương đương với hàm lượng tro (%) trong nhiên liệu.
(c) kg/10 kJ. Khối lượng tính theo kg trên 10000 J (hay 10kJ) năng lượng đầu vào từ nhiên liệu. Đây là những đơn vị thích hợp để sử dụng cho các tính toán quá trình cháy.
(d) tấn/h. Khối lượng 1000 kg trên giờ.
(e) MJ/h. Triệu J (megajoul) trên giờ.
A.3 Trình tự tính toán
Trình tự tính toán được mô tả dưới đây dựa trên 3 mức độ phức tạp (tùy thuộc vào chủng loại nhiên liệu). Trước khi thực hiện các tính toán này, phải hoàn thành các tính toán sơ bộ sau:
(a) Tính giá trị trung bình các dữ liệu theo thời gian, Biểu mẫu MEAS.
(b) Năng lượng đầu ra. Tính toán năng lượng đầu ra của lò hơi cho các điều kiện thí nghiệm, Biểu mẫu OUTPUT.
(c) Lưới đo nhiệt độ. Tính nhiệt độ khói và không khí trung bình cho từng lưới đo nhiệt độ không khí và khói như mô tả trong 5.17, Biểu mẫu INTAVG.
(d) Giá trị trung bình của nhiệt độ không khí đi vào lò. Nếu không khí đi vào phạm vi hơi ở các nhiệt độ khác nhau (ví dụ: không khí cấp một và cấp hai có nhiệt độ khác nhau) thì cần tính giá trị trung bình có trọng số của nhiệt độ không khí đi vào lò. Xem 5.13.
(e) Giá trị trung bình của nhiệt độ khói thoát ra (không tính đến rò lọt). Nếu nhiệt độ khói đi ra khỏi phạm vi lò hơi ở các nhiệt độ khác nhau (ví dụ: các lò hơi có bộ sấy không khí cấp một và cấp hai) thì cần tính giá trị trung bình có trọng số của nhiệt độ khói thoát ra. Xem 5.13 và hướng dẫn tính năng lượng đầu vào cho Biểu mẫu EFF. Mục này đòi hỏi trước hết phải hoàn thành các tính toán quá trình cháy và chỉ đề cập ở đây vì tính toán này có thể yêu cầu tính lặp.
(f) Nhiên liệu khí. Tính toán phân tích các thành phần chính theo phần trăm khối lượng và nhiệt trị cao.
(g) Ước tính tổng năng lượng đầu vào từ nhiên liệu. Các tính toán sau đây sẽ yêu cầu lượng nhiên liệu đầu vào ước tính. Xem hướng dẫn ước tính năng lượng đầu vào cho Biểu mẫu CMBSTN. Tổng năng lượng đầu vào ước tính phải được so sánh với kết quả tính toán sau khi đã tính được kết quả hiệu suất và các tính toán phải lặp lại nếu có mức chênh lệch lớn hơn 0,1%. Xem 5.7.3.
(h) Trường hợp đốt nhiều loại nhiên liệu. Tính toán thành phần của nhiên liệu trộn và giá trị trung bình có trọng số của nhiệt trị cao (HHV) dựa trên tỷ lệ phần trăm theo lưu lượng của mỗi loại nhiên liệu. Sử dụng lưu lượng nhiên liệu đo được cho các loại nhiên liệu có năng lượng đầu vào nhỏ hơn và tính lưu lượng nhiên liệu đối với nhiên liệu có năng lượng đầu vào chủ đạo bằng mức chênh lệch giữa tổng năng lượng đầu vào và năng lượng đầu vào từ các dòng nhiên liệu đo được.
A.3.1 Trình tự tính toán đối với nhiên liệu có hàm lượng tro thấp (dầu và khí)
Bước 1: Hoàn thành các biểu mẫu tính toán quá trình cháy CMBSTN.
Bước 2: Hoàn thành các biểu mẫu tính toán hiệu suất EFF.
Bước 3: Nếu cấu hình lò hơi hoặc nhiên liệu yêu cầu phải ước tính tổng năng lượng đầu vào như mô tả trong A.3 trên đây thì phải lặp lại các tính toán cho đến khi đạt được hội tụ.
A.3.2 Trình tự tính toán cho nhiên liệu có hàm lượng tro cao (than), không sử dụng chất hấp thụ
Bước 1: Hoàn thành biểu mẫu tính toán tro xỉ RES.
Bước 2: Hoàn thành các biểu mẫu tính toán quá trình cháy CMBSTN.
Bước 3: Hoàn thành các biểu mẫu tính toán hiệu suất EFF.
Bước 4: Nếu cấu hình lò hơi hoặc nhiên liệu yêu cầu phải ước tính tổng năng lượng đầu vào như mô tả trong A.3 trên đây, hoặc tỷ lệ phân bố tro xỉ được đo tại một số điểm (nhưng không phải tất cả các vị trí) như mô tả trong biểu mẫu RES, thì phải lặp lại các tính toán cho đến khi đạt được hội tụ.
A.3.3 Trình tự tính toán khi có sử dụng chất hấp thụ
Các hướng dẫn này giả định rằng lưu lượng khối lượng của tro xỉ ra khỏi phạm vi lò hơi được đo tại một số vị trí và được tính bằng mức chênh lệch so với vị trí không đo được. (Xem hướng dẫn về biểu mẫu RES).
Bước 1: Hoàn thành các mục từ 1 đến 10 trong biểu mẫu RES.
Bước 2: Hoàn thành các tính toán trong các biểu mẫu SRBa và SRBb. Các tính toán phải được lặp lại cho đến khi đạt được hội tụ về carbon chưa cháy hết và sản phẩm quá trình nung khô.
Bước 3: Lặp lại các bước 1 và 2 cho đến khi đạt được hội tụ về lưu lượng của tro xỉ.
Bước 4: Hoàn thành các mục còn lại trong biểu mẫu RES.
Bước 5: Hoàn thành biểu các mẫu tính toán quá trình cháy CMBSTN.
Bước 6: Hoàn thành biểu các mẫu tính toán hiệu suất EFF.
Bước 7: So sánh lưu lượng nhiên liệu ước tính (năng lượng đầu vào) với lưu lượng được tính theo biểu mẫu EFFb và lặp lại các tính toán trong A.3 (nếu áp dụng) và các Bước từ 1 đến 6 cho đến khi đạt được hội tụ.
A.4 Tính toán hiệu suất: Hướng dẫn thực hiện các biểu mẫu EFF
Các biểu mẫu tính toán hiệu suất được sử dụng để tính toán hiệu suất theo các kết quả thí nghiệm cũng như hiệu suất được hiệu chỉnh theo các điều kiện tiêu chuẩn hoặc điều kiện hợp đồng. Các biểu mẫu tính toán quá trình cháy (CMBSTN) phải được hoàn thành trước khi thực hiện các tính toán hiệu suất. Các hướng dẫn này nhằm hỗ trợ việc hoàn thành biểu mẫu tính toán.
A.4.1 Biểu mẫu EFFa
Biểu mẫu này chứa các dữ liệu đầu vào cần thiết cho các tính toán hiệu suất. Một số tính toán hiệu suất được thực hiện trên các biểu mẫu tính toán khác (nếu áp dụng), do đó sẽ được chú giải trong các mục cụ thể về tính toán nhiệt đóng góp hoặc tổn thất đối với hiệu suất.
| Các mục từ 1 đến 6 | Nhiệt độ, °C. Các mục này yêu cầu nhập nhiệt độ và xác định entanpi cho các thành phần cụ thể. Việc tính toán entanpi cho không khí ẩm và khói ẩm yêu cầu các dữ liệu từ biểu mẫu tính toán quá trình cháy (các mục từ 10 đến 25 dưới đây). Xem 5.19 về tính toán entanpi. |
| Mục 1 | Nhiệt độ tham chiếu. Nhiệt độ tiêu chuẩn tham chiếu để tính toán hiệu suất theo Tiêu chuẩn này là 25°C. |
| Mục 2 | Nhiệt độ trung bình của không khí đi vào lò. Nhập nhiệt độ trung bình của không khí đi vào phạm vi lò hơi. Khi có từ hai nguồn không khí trở lên, ví dụ như không khí cấp một và không khí cấp hai, đi vào lò ở các nhiệt độ khác nhau thì nhiệt độ trung bình của không khí đi vào lò là giá trị trung bình có trọng số của các nguồn không khí khác nhau đó. Xem các mục từ 35 đến 44 dưới đây. |
| Mục 3 | Nhiệt độ trung bình của khói ra khỏi lò (không tính đến rò lọt). Nhập nhiệt độ trung bình của khói đi ra khỏi phạm vi lò hơi. Khi sử dụng bộ sấy không khí và có sự lọt gió từ phía không khí sang phía khói của bộ sấy không khí thì đây phải là nhiệt độ khói được hiệu chỉnh đối với sự rò lọt này (nhiệt độ khói không tính đến lọt gió trong bộ sấy không khí). Khi khói đi ra khỏi phạm vi lò hơi ở các nhiệt độ khác nhau, ví dụ như trên lò hơi có bộ sấy không khí cấp một và cấp hai, thì đây là giá trị trung bình có trọng số của nhiệt độ khói ra khỏi từng vị trí (không tính đến rò lọt khi rời khỏi bộ sấy không khí). Xem các mục từ 45 đến 51 dưới đây. |
| Mục 4 | Nhiệt độ nhiên liệu. Nhập nhiệt độ của nhiên liệu đi vào phạm vi lò hơi. Mục này là bắt buộc để tính toán entanpi của nhiên liệu. Trường hợp đốt nhiều nhiên liệu, cần tính toán entanpi trung bình dựa trên tỷ lệ phần trăm năng lượng đầu vào của mỗi loại nhiên liệu. |
| Các mục 5 và 6 | Thiết bị HAQC. Các mục này đề cập đến các thiết bị như thiết bị lọc bụi khói nóng, trong đó có tổn thất hiệu suất kết hợp do truyền nhiệt bức xạ và đối lưu bề mặt và sự rò lọt của không khí. Nếu có thể, cần nhập nhiệt độ khói đầu vào và đầu ra thiết bị. |
| Các mục từ 10 đến 25 | Kết quả từ biểu mẫu tính toán quá trình cháy CMBSTN. Các hạng mục này được tính toán trên các biểu mẫu tính toán quá trình cháy và số của hạng mục từ các biểu mẫu đó được ghi trong ngoặc đơn. |
| Mục 10 | Khối lượng khói khô [77]. Nhập khối lượng khói khô rời khỏi lò hơi, bộ hâm nước hoặc đi vào bộ sấy không khí (không có thiết bị HAQC). Đây thường là điểm kiểm soát vận hành lò hơi đối với tỷ lệ không khí thừa. Mục này được sử dụng để tính tổn thất từ khói khô. Tổn thất do rò lọt không khí phía sau điểm này sẽ được tính cho nhiệt độ khói ra khỏi bộ sấy không khi được hiệu chỉnh đối với rò lọt, tổn thất cho thiết bị HAQC, hoặc tính riêng như một tổn thất do không khí rò lọt bổ sung. Đây phải là giá trị có trọng số đối với các thiết bị có các bộ sấy không khí riêng biệt. |
| Mục 11 | Khối lượng không khí khô ([69] + [45]). Nhập lượng khí từ khối lượng không khí khô (mục 69 trong Biểu mẫu CMBSTNc) cộng với lượng O3 (để tạo thành SO3) được hiệu chỉnh (mục 45 trong Biểu mẫu CMBSTNb). Các giá trị này phải được xác định tương ứng với cùng một vị trí như mục 10 trên đây. Đây phải là giá trị có trọng số đối với các thiết bị có các bộ sấy không khí riêng biệt. |
| Các mục từ 12 đến 14 | Nước từ nhiên liệu. Nhập kết quả từ biểu mẫu tính toán quá trình cháy được chỉ định. |
| Mục 15 | Hàm lượng ẩm trong không khí, kg/kg không khí khô [7]. Mục này cần thiết để tính entanpi của không khí ẩm. |
| Mục 16 | Hàm lượng ẩm trong không khí, kg/10 KJ [72]. Nhập hàm lượng ẩm trong không khí trên năng lượng đầu vào từ nhiên liệu tương ứng với cùng một vị trí như mục 10 trên đây. |
| Mục 17 | Lượng nhiên liệu ước tính tấn/h [3]. Nhập lưu lượng khối lượng ước tính của nhiên liệu. Xem mục 4a trong Biểu mẫu CMBSTNa. |
| Các mục 18 và 19 | Nhập các giá trị như mô tả. |
| Các mục từ 20 đến 23 | Thiết bị HAQC. Tham khảo mục 5 và 6 về cách áp dụng. Chữ cái “E” theo sau số hạng mục chỉ giá trị tại đầu vào của thiết bị, và chữ cái “L” chỉ giá trị tại đầu ra của thiết bị. |
| Mục 25 | Tỷ lệ không khí thừa khi ra khỏi lò hơi, %. Nhập tỷ lệ không khí thừa tính toán khi ra khỏi bộ hâm nước và đi vào bộ sấy không khí. Đây phải là giá trị có trọng số đối với các thiết bị có các bộ sấy không khí riêng biệt. |
| Mục 30 | Năng lượng đầu ra của lò hơi, MJ/h. Nhập năng lượng đầu ra của lò hơi theo đơn vị MJ/h. |
| Mục 31 | Năng lượng từ thiết bị phụ trợ, MJ/h. Nhập năng lượng được cung cấp vào phạm vi lò hơi từ các thiết bị phụ trợ theo đơn vị MJ/h. Mục này là nhiệt đóng góp từ năng lượng được cung cấp bởi công suất thiết bị phụ trợ. Nếu có áp dụng thì mục này phải được tính toán và nhập kết quả tại đây. Lưu ý rằng năng lượng bổ sung vào phạm vi lò hơi và nhiệt đóng góp, công suất của thiết bị dẫn động phải giảm đi theo hiệu suất dẫn động tổng thể bao gồm hiệu suất dẫn động của động cơ, khớp nối và bộ truyền động. |
| Các mục 32 và 33 | Tổn thất do truyền nhiệt bức xạ và đối lưu bề mặt, %. Các mục từ 33A đến 33D. Nếu không được đo thì phải sử dụng các giá trị tiêu chuẩn hoặc theo thiết kế. |
Việc tính toán các mục từ 35 đến 44 chỉ được yêu cầu khi có từ hai luồng không khí trở lên đi vào lò hơi với các nhiệt độ khác nhau (ví dụ: các lò hơi có luồng không khí cấp một và cấp hai riêng biệt và các lò hơi đốt than phun với không khí hòa trộn lấy từ môi trường).
| Mục 35A | Nhiệt độ không khí cấp một đi vào lò, °C. Đây là nhiệt độ của không khí cấp một khi đi vào đường bao và có cùng giá trị với giá trị ghi trong mục 16B trên Biểu mẫu CMBSTNa. |
| Mục 35B | Tính entanpi của không khí ẩm dựa trên hàm lượng ẩm trong không khí được ghi tại Mục 7 trên Biểu mẫu CMBSTNa. |
| Mục 36A | Nhiệt độ không khí cấp một ra khỏi bộ sấy không khí, °C. Mục này chỉ yêu cầu khi cần có tính toán không khí hòa trộn của máy nghiền than đối với các lò hơi đốt than phun. Xem mục 38A. |
| Mục 36B | Tính entanpi của không khí ẩm. Xem mục 35B. |
| Mục 37A | Nhiệt độ trung bình của không khí đi vào máy nghiền, °C. Mục này chỉ yêu cầu khi cần có các tính toán không khí hòa trộn của máy nghiền than đối với các lò hơi đốt than phun. Xem mục 38A. |
| Mục 37B | Tính entanpi của không khí ẩm. Xem mục 35B. |
| Mục 38A | Nhiệt độ trung bình của không khí hòa trộn cho máy nghiền than, °C. Mục này cần thiết để tính toán lưu lượng không khí hòa trộn cho máy nghiền than đối với các lò hơi đốt than phun. Khi nhiệt độ không khí hòa trộn cho máy nghiền than khác với nhiệt độ của không khí cấp một đi vào lò (mục 35A) thì cần phải tính toán lưu lượng không khí hòa trộn cho máy nghiền để xác định được nhiệt độ trung bình của không khí đi vào lò. Giá trị nhiệt độ của không khí hòa trộn cho máy nghiền than cũng có thể là một giá trị hữu ích trong việc đánh giá hiệu suất của bộ sấy không khí. |
| Mục 38B | Tính entanpi của không khí ẩm. Xem mục 35B. |
| Mục 39 | Nhiệt độ không khí cấp hai đi vào lò, °C. Nhập giá trị từ Biểu mẫu CMBSTNa - mục 16A. |
| Mục 40 | Lưu lượng không khí cấp một (đi vào máy nghiền than), tấn/h. Nhập lưu lượng đo được của không khí cấp một. Đối với các lò hơi đốt than phun thì đây là tổng lưu lượng không khí cấp đến các máy nghiền than, bao gồm cả lưu lượng không khí hòa trộn. |
| Mục 41 | Lưu lượng không khí hòa trộn cho máy nghiền than, tấn/h. Tính toán lưu lượng không khí hòa trộn cho máy nghiền theo cân bằng năng lượng như chỉ dẫn. Lưu ý: các tính toán này giả định lưu lượng không khí cấp một đo được bao gồm lưu lượng không khí hòa trộn. |
| Mục 42 | Tổng lưu lượng không khí, tấn/hr. Nhập giá trị tính toán từ Biểu mẫu CMBSTNc - mục 96, dựa trên tỷ lệ không khí thừa tại vị trí ra khỏi đường bao bộ phận chịu áp lực. |
| Mục 43 | Lưu lượng không khí cấp hai, tấn/hr. Tính lưu lượng không khí cấp hai theo mức chênh lệch. |
| Mục 44 | Nhiệt độ trung bình của không khí đi vào lò, °C. Tính giá trị trung bình có trọng số của nhiệt độ không khí đi vào lò. |
Việc tính toán các mục từ 45 đến 51 chỉ yêu cầu đối với các lò hơi có bộ sấy không khí cấp một và cấp hai riêng biệt.
| Mục 45A | Nhiệt độ khói đi vào bộ sấy không khí cấp một, °C. Nhập nhiệt độ khói đo được từ Biểu mẫu CMBSTNb - mục 50. |
| Mục 45B | Tính entanpi của khói ẩm dựa trên hàm lượng ẩm và hàm lượng vật chất rắn trong khói được xác định theo Biểu mẫu CMBSTNc - mục 78 và 81. |
| Mục 46A | Nhiệt độ khói ra khỏi bộ sấy không khí cấp một. Nhập giá trị tính toán không tính đến lọt gió trong bộ sấy không khí từ Biểu mẫu CMBSTNc - mục 88. |
| Mục 46B | Tính entanpi của khói ẩm. Xem mục 45B. |
| Mục 47 | Nhiệt độ khói ra khỏi bộ sấy không khí cấp hai. Nhập giá trị tính toán không tính đến lọt gió trong bộ sấy không khí từ Biểu mẫu CMBSTNc - mục 88. |
| Mục 48 | Tổng lượng khói đi vào bộ sấy không khí, tấn/h. Nhập giá trị tính toán từ Biểu mẫu CMBSTNc - mục 93. |
| Mục 49 | Lưu lượng khói đi vào bộ sấy không khí cấp một, tấn/h. Tính theo cân bằng năng lượng như đã chỉ dẫn. |
| Mục 50 | Lưu lượng khói đi vào bộ sấy không khí cấp hai. Tính theo mức chênh lệch như chỉ dẫn. |
| Mục 51 | Nhiệt độ trung bình của khói thoát ra, °C. Tính giá trị trung bình có trọng số của nhiệt độ khói thoát ra. |
Các tính toán trên hoặc mục 51 phải thực hiện tính lặp để xác định tỷ lệ phân phối không khí cấp một/ cấp hai. Ban đầu phải giả định một tỷ lệ phân phối không khí và sau đó thực hiện tính lặp cho đến khi đạt được hội tụ.
A.4.2 Biểu mẫu EFFb
Tính toán các tổn thất và dòng nhiệt đóng góp chủ yếu và phổ biến nhất được đưa ra trong biểu mẫu này. Các tổn thất và các dòng nhiệt đóng góp được tách riêng thành những đại lượng có thể tính toán một cách thuận tiện theo phần trăm năng lượng đầu vào từ nhiên liệu và những đại lượng có thể được tính theo W (sử dụng đơn vị MW). Sau đó, hiệu suất được tính trực tiếp theo công thức đối với mục 100. Đối với các tổn thất hoặc dòng nhiệt đóng góp được tính theo phần trăm năng lượng đầu vào từ nhiên liệu, phải nhập kết quả vào cột B, tính bằng %. Đối với các tổn thất hoặc dòng nhiệt đóng góp được theo năng lượng đầu vào, phải nhập kết quả vào cột A, tính bằng MW. Sau khi hoàn thành các tính toán năng lượng đầu vào từ nhiên liệu ở mục 101, những mục được tính toán theo năng lượng đầu vào có thể được chuyển đổi thành % hiệu suất nhiên liệu bằng cách chia kết quả cho năng lượng đầu vào từ nhiên liệu và nhân với 100. Mỗi phần ghi tổn thất và dòng nhiệt đóng góp chứa một mục có tên là “Tổn thất khác” hoặc “Nhiệt đóng góp khác” đề cập đến các kết quả lấy từ Biểu mẫu EFFc.
Việc tính toán các tổn thất và dòng nhiệt đóng góp được thực hiện theo các hướng dẫn đối với biểu mẫu dữ liệu đầu vào EFFa.
| Mục 75 | Tổn thất do truyền nhiệt bức xạ và đối lưu từ bề mặt. Đây là một mục không có biểu mẫu tính toán hoàn chỉnh. Các mục 33A đến 33D trong biểu mẫu EFFa nêu ra các thông số đo cần thiết. Nếu đã thực hiện thí nghiệm thì nhập vào kết quả thí nghiệm vào mục này. Xem thêm hướng dẫn về ước tính giá trị sử dụng đối với các điều kiện được quy định theo hợp đồng hoặc các điều kiện chuẩn trong Phần 5. |
| Mục 100 | Hiệu suất nhiên liệu, %. Tính hiệu suất nhiên liệu theo công thức. Công thức này cho phép tính toán trực tiếp hiệu suất bằng cách sử dụng các tổn thất và các dòng nhiệt đóng góp được tính theo các đơn vị khác nhau. |
| Mục 101 | Năng lượng đầu vào từ nhiên liệu, MJ/h. Tính toán năng lượng đầu vào từ nhiên liệu theo công thức. |
| Mục 102 | Lưu lượng nhiên liệu, tấn/h. Tính lưu lượng của nhiên liệu dựa trên hiệu suất đo được và năng lượng đầu ra đo được. Đối với một số lò hơi, yêu cầu phải có lưu lượng ước tính (hoặc năng lượng đầu vào) của nhiên liệu cho các tính toán. Mục này phải được so sánh với mục 17, trường hợp có sai lệch quá 0,1% (Xem A.3 hoặc 5.7.3 về khoảng dung sai hội tụ căn cứ vào trường hợp áp dụng), thì Biểu mẫu CMBSTN (và các tính toán đi kèm có thể áp dụng) phải được tính lặp lại cho đến khi đạt được hội tụ. Các trường hợp yêu cầu lưu lượng nhiên liệu là: (a) Khi có từ hai giá trị nhiệt độ không khí đi vào lò trở lên mà không thực hiện đo tất cả các giá trị này (sử dụng tổng lưu lượng không khí tính toán của để tính giá trị trung bình có trọng số) (b) Khi có từ hai giá trị nhiệt độ khói thoát ra khỏi lò trở lên mà không thực hiện đo tất cả các giá trị này (sử dụng tổng lưu lượng tính toán của khói để tính giá trị trung bình có trọng số) (c) Khi lưu lượng khối lượng của tro xỉ được đo tại một số vị trí và kết quả tính toán được sử dụng để xác định tổng lưu lượng (d) Khi sử dụng chất hấp thụ (e) Khi đốt nhiều loại nhiên liệu |
A.4.3 Biểu mẫu EFFc
Biểu mẫu này được cung cấp để nhập kết quả tính toán các tổn thất và dòng nhiệt đóng góp khác (thường có giá trị nhỏ và có thể không áp dụng cho tất cả các lò hơi đốt bằng nhiên liệu hóa thạch). Trường hợp áp dụng các tổn thất hoặc dòng nhiệt đóng góp này thì cần chỉ rõ các giá trị đó là kết quả thí nghiệm hay ước tính. Biểu mẫu này cũng có thể sử dụng để ghi lại kết quả của các tổn thất và các dòng nhiệt đóng góp khác có thể chưa được nhận dạng ở thời điểm hiện tại (do công nghệ vẫn đang liên tục thay đổi).
A.5 Tính toán quá trình cháy: Hướng dẫn thực hiện các biểu mẫu CMBSTN
Các biểu mẫu tính toán quá trình cháy được sử dụng để thực hiện tất cả các phép tính về quá trình cháy. Các tính toán này có thể thực hiện bằng chương trình bảng tính hoặc bằng lập trình máy tính.
Các phép tính trên biểu mẫu này bao gồm:
(a) Tỷ lệ không khí thừa, hàm lượng O2 trong khói ẩm hoặc khói khô.
(b) Hàm lượng O2, CO2 và SO2 trong khói ẩm hoặc khói khô theo tỷ lệ không khí thừa (thường dùng để kiểm tra phân tích đối với kết quả của máy Orsat hoặc máy phân tích khói).
(c) Chuyển đổi hàm lượng O2, CO2 và SO2 từ mẫu khói ẩm sang mẫu khói khô hoặc từ mẫu khói khô sang mẫu khói ẩm.
(d) Khối lượng khói khô, sử dụng để tính toán hiệu suất.
(e) Khối lượng khói ẩm, sử dụng để tính toán cân bằng năng lượng.
(f) Khối lượng không khí khô và không khí ẩm.
(g) Xác định mức độ rò lọt không khí.
(h) Tính toán nhiệt độ được hiệu chỉnh của khói thoát ra khỏi bộ sấy không khí (nhiệt độ không tính đến lọt gió trong bộ sấy không khí).
(i) Hàm lượng ẩm (%) trong khói, sử dụng để xác định entanpi của khói.
(j) Hàm lượng vật chất rắn trong khói, sử dụng để xác định entanpi của khói (đối với nhiên liệu có độ tro cao hoặc khi sử dụng chất hấp thụ).
(k) Lưu lượng khối lượng của nhiên liệu, tro xỉ, khói, và không khí khi đã biết năng lượng đầu vào.
(l) Kiểm tra phân tích thành phần nhiên liệu dựa trên lượng không khí lý thuyết. Đây là phép kiểm tra xem phân tích nhiên liệu có hợp lý hay không. Xem Phần 5.
A.5.1 Biểu mẫu CMBSTNa
Biểu mẫu này chứa hầu hết thông tin đầu vào cần thiết để hoàn thành ba biểu mẫu tính toán quá trình cháy. Một số thông tin đầu vào chung và các tính toán về quá trình cháy cần sử dụng cho các biểu mẫu tính toán khác cũng được đưa vào biểu mẫu này.
| Mục 1 | HHV: Nhiệt trị cao của nhiên liệu thực đốt, J/kg. Mục này phải phù hợp với phân tích nhiên liệu trong Mục 30. Khi đốt đồng thời nhiều nhiên liệu thì đây là HHV trung bình có trọng số dựa trên tỷ lệ phần trăm khối lượng từ mỗi loại nhiên liệu. | |
| Mục 2 | UBC: Carbon chưa cháy hết, kg/100 kg nhiên liệu, từ biểu mẫu RES hoặc SRBb. Cũng đưa vào mục 30B. Đối với nhiên liệu khí và nhiên liệu lỏng, mục này có thể để bằng 0. Đối với nhiên liệu rắn có tro hoặc khi sử dụng chất hấp thụ thì cần phải hoàn thành biểu mẫu tính toán tro xỉ RES nếu có thực hiện thí nghiệm để xác định UBC. Đối với các tính toán chung cho quá trình cháy và không khí thừa thì sử dụng giá trị điển hình cho loại lò hơi cụ thể. | |
| Mục 3 | Lưu lượng nhiên liệu, tấn/h [4a] hoặc [4b]. Đối với một số tính toán trung gian (đặc biệt khi đo lưu lượng khối lượng của tro xỉ hoặc khi có sử dụng chất hấp thụ) thì các tính toán đòi hỏi phải xác định lưu lượng nhiên liệu. Đối với bước tính toán ban đầu, lưu lượng nhiên liệu được ước tính. Các tính toán được lặp lại bằng cách sử dụng giá trị lưu lượng nhiên liệu tính toán cho đến khi đạt được hội tụ. Đối với ước tính ban đầu, có thể sử dụng lưu lượng nhiên liệu đo được [4a] hoặc lưu lượng nhiên liệu tính toán [4b] từ năng lượng đầu ra đo được và mức hiệu suất ước tính. Nếu biết các đặc tính vận hành của lò hơi thì giá trị tính toán của lưu lượng nhiên liệu (dựa trên hiệu suất ước tính) thường chính xác hơn giá trị đo được thực tế của lưu lượng nhiên liệu. | |
| Mục 4a | Giá trị đo được của lưu lượng nhiên liệu, tấn/h. Xem mục 3. | |
| Mục 4b | Giá trị tính toán của lưu lượng nhiên liệu, tấn/h. Xem mục 3. Kết quả tính toán (theo tùy chọn 4b) và được sử dụng cho các bước tính lặp hiệu suất tiếp theo khi yêu cầu giá trị lưu lượng nhiên liệu. | |
| Mục 5 | Năng lượng đầu ra, MJ/h. Được yêu cầu để tính toán lưu lượng nhiên liệu (theo tùy chọn 4b) và được sử dụng cho các bước tính lặp hiệu suất tiếp theo khi yêu cầu giá trị lưu lượng nhiên liệu. | |
| Mục 6 | Hiệu suất nhiên liệu, % (được ước tính ban đầu). Được yêu cầu để tính toán lưu lượng nhiên liệu (theo tùy chọn 4b) và được sử dụng cho các bước tính lặp hiệu suất tiếp theo khi yêu cầu giá trị lưu lượng nhiên liệu. | |
| Mục 7 | Hàm lượng ẩm trong không khí, kg/kg không khí khô. Mục này cần thiết cho các tính toán lưu lượng khói và khối lượng không khí nói chung và cần thiết cho các tính toán không khí thừa hoặc hàm lượng O2 trong khói ẩm. Xem các mục từ 8 đến 11. Nếu không đo được hàm lượng ẩm trong không khí thì có thể sử dụng giá trị tiêu chuẩn. | |
| Các mục từ 8 đến 11 | Các mục này cần thiết cho việc tính toán hàm lượng ẩm trong không khí. Hàm lượng ẩm trong không khí có thể được xác định từ độ ẩm tương đối và nhiệt độ bầu khô, hoặc từ nhiệt độ bầu khô và nhiệt độ bầu ướt. | |
| Mục 12 | Tổng hàm lượng ẩm bổ sung đo được, tấn/h. Nhập bật kỳ hàm lượng ẩm bổ sung nào được đưa vào dòng không khí hoặc khói vào các ô bên trên. Khi sử dụng thiết bị thổi bụi bằng hơi thì cần nhập giá trị trung bình trong khoảng thời gian thí nghiệm. | |
| Mục 13 | Hàm lượng ẩm bổ sung, kg/100 kg nhiên liệu. Quy đổi hàm lượng ẩm bổ sung thành hàm lượng ẩm tính theo kg trên 100 kg nhiên liệu. Khi hơi dùng để tán sương nhiên liệu là nguồn duy nhất của hàm lượng ẩm bổ sung thì giá trị này có thể được đo hoặc được thống nhất trước khi thí nghiệm (tính theo kg H2O/100 kg) nhiên liệu. | |
| Mục 14 | Hàm lượng ẩm bổ sung, kg/10 kJ. Quy đổi hàm lượng ẩm bổ sung trên đây sang đơn vị kg/10 kJ. | |
| Mục 15 | Nhiệt độ khói ra khỏi bộ sấy không khí cấp một/cấp hai hoặc bộ sấy chính, °C. Mục này được sử dụng để tính toán nhiệt độ khói ra khỏi các bộ sấy không khí, được hiệu chỉnh theo điều kiện không có rò lọt (không tính đến lọt gió). Nếu không có bộ sấy thì có thể bỏ qua mục này. Nhập nhiệt độ khói đo được (có tính đến lọt gió). Biểu mẫu này cung cấp không gian đủ để điền hai loại sấy không khí. Giá trị của nhiều bộ sấy không khí cùng loại có thể được tính trung bình để tính toán hiệu suất, nhưng có thể được tính riêng để phân tích chi tiết hơn về tính năng và mức độ rò lọt không khí trong từng bộ sấy riêng lẻ và kết quả sau đó được tính trung bình. Xem các mục từ 45 đến 51 trên biểu mẫu EFFa về các bộ sấy không khí riêng biệt có lưu lượng khác nhau. | |
| Mục 16 | Nhiệt độ không khí đi vào bộ sấy không khí cấp một/cấp hai hoặc bộ sấy chính, °C. Xem mục trên về trường hợp có nhiều bộ sấy không khí. Nhập nhiệt độ không khí đi vào từng bộ sấy không khí tương thích với định dạng nêu trên. | |
| Mục 17 | Hàm lượng O2 trong khói đi vào bộ sấy không khí cấp một/cấp hai hoặc bộ sấy chính. Nhập hàm lượng O2 đo được trong khói đi vào từng bộ sấy không khí. | |
| Mục 18 | Hàm lượng O2 trong khói đi ra khỏi bộ sấy không khí cấp một/cấp hai hoặc bộ sấy chính. Nhập hàm lượng O2 đo được trong khói đi ra khỏi từng bộ sấy không khí. | |
| Mục 18D | Nếu sử dụng bộ sấy không khí kiểu hồi nhiệt ba ngăn thì cần nhập mức rò lọt không khí cấp một sang khói theo tỷ lệ phần trăm trên tổng lượng không khi rò lọt sang khói. Giá trị này thường dựa trên dữ liệu của nhà sản xuất. Phân tích nhiên liệu, phần trăm khối lượng theo mẫu thực đốt: Nhập vào cột [30]. Phân tích này phải tương ứng với HHV trong mục 1. Đối với trường hợp đốt nhiều nhiên liệu thì đây là phân tích mẫu gộp. Xem mục 1. | |
| Mục 19 | Khối lượng tro xỉ, kg/10 kJ. Cần có tỷ lệ khối lượng trên tổng lượng tro xỉ tại các vị trí cụ thể để xác định entanpi của khói. Đối với nhiên liệu có độ tro thấp và không sử dụng chất hấp thụ thì có thể bỏ qua dòng nhiệt vật lý này của tro xỉ trong khói khi xác định entanpi của khói. Nếu không sử dụng chất hấp thụ và kết quả tính toán tại mục 19 nhỏ hơn 6,5 kg/GJ thì nhập giá trị bằng 0 cho mục 79 đối với từng cột có giá trị O2. Nếu kết quả tại mục 19 lớn hơn 6,5kg/GJ hoặc khi có sử dụng chất hấp thụ thì nhập tỷ lệ khối lượng của tro xỉ trong khói so với tổng lượng tro xỉ ra khỏi phạm vi lò hơi cho mục 79 đối với từng cột có giá trị O2. Giá trị này có thể được tính toán theo mục 8 trong biểu mẫu tro xỉ (RES) tùy thuộc vào việc có sử dụng chất hấp thụ hay không. Ví dụ: nếu có 75% tro xỉ ra khỏi bộ sấy không khí thì nhập 0,75 vào mục 79 cho đầu vào và đầu ra bộ sấy không khí. | |
| Các mục từ 20 đến 25 | Các mục này chỉ áp dụng nếu có sử dụng chất hấp thụ. Nhập giá trị bằng 0 nếu không sử dụng chất hấp thụ. Lưu ý: khi tính toán, mọi vật chất rắn bổ sung mà không phải nhiên liệu đều được coi là chất hấp thụ. Nếu có áp dụng thì phải thực hiện các biểu mẫu tính toán tro xỉ (RES) và chất hấp thụ (SRB) và nhập kết quả vào các mục này. | |
| A.5.2 Biểu mẫu CMBSTNb | ||
| Các mục từ 30 đến 34 | Thực hiện các tính toán như chỉ dẫn. Chữ “K” ghi trong cột phía dưới số mục là hằng số. Xem Phần 5 để biết ý nghĩa của từng cột riêng lẻ. Nếu sử dụng các biểu mẫu tính toán chất hấp thụ (SRB) thì các mục 31, 32 và 33 giống với các mục 16, 17 và 18 trong biểu mẫu SRBa, và các kết quả đã tính toán trước đó có thể được sao chép lại. | |
| Mục 35 | Kiểm tra tổng lượng nhiên liệu theo không khí lý thuyết, kg/10 kJ. Tất cả các nhiên liệu hóa thạch đều có một dải giá trị không khí lý thuyết qua thống kê, cần kiểm tra để đảm bảo rằng kết quả phân tích nhiên liệu là hợp lý. Xem phần 5. | |
| A.5.2.1 Hiệu chỉnh đối với các phản ứng hấp thụ và lượng lưu huỳnh được khử | ||
| Các mục từ 40 đến 45 | Các công thức tính toán đã được đưa vào trong từng mục. Nhập giá trị 0 cho các mục từ 40 đến 42 và mục 45 nếu không sử dụng chất hấp thụ. | |
| Mục 45 | O3 (SO3) hiệu chỉnh, kg/10 kJ, hiệu chỉnh đối với lượng O2 cần thiết để tạo thành SO3 trong quá trình sulfat hóa (CaO + O3 = CaSO4, là một chất rắn). | |
| Các mục từ 46 đến 48 | Lượng không khí lý thuyết được biểu thị bằng các đơn vị khác nhau. Các tính toán được thực hiện theo một trình tự hợp lý và cần sử dụng các đơn vị phù hợp để thuận tiện cho các tính toán khác. | |
| Mục 49 | Lượng khói ẩm từ nhiên liệu, kg/10 kJ. Đây là khối lượng của các sản phẩm cháy dạng khí từ nhiên liệu tính trên năng lượng đầu vào từ nhiên liệu. | |
| A.5.2.2 Tính lượng không khí thừa dựa trên hàm lượng O2 đo được. | ||
Các mục từ 50 đến 60 trong biểu mẫu CMBSTNb được sử dụng để tính lượng không khí thừa khi đo được hàm lượng O2 trong khói. Các biểu mẫu tính toán CMBSTN cũng có thể được sử dụng để tính khối lượng O2, CO2, SO2, không khí và khói khi biết lượng không khí thừa (ví dụ: khi tính khối lượng khói khô để tính hiệu suất hiệu chỉnh theo điều kiện hợp đồng). Nếu đã biết lượng không khí thừa thì chuyển sang mục 60 trên biểu mẫu CMBSTNc.
| VỊ TRÍ | Nhập các mô tả như "Vào SKK”, “Ra SKK”, “Vào SKK 2”, v.v., phù hợp với các dữ liệu đầu vào theo Mục 16. (“SKK” = Bộ sấy không khí; “1” và “2” = cấp một, cấp hai) |
| Mục 50 | Nhập nhiệt độ đo được của khói đi vào các bộ sấy không khí. |
| Mục 51 | Nhập nhiệt độ đo được của không khí ra khỏi các bộ sấy không khí. |
| Mục 52 | Nhập hàm lượng O2 trong khói đi vào và đi ra khỏi các bộ sấy không khí. Giá trị này phải bằng các giá trị đã nhập trên biểu mẫu CMBSTNa, các mục 17A, 17B, 18A và 18B. |
| Mục 53 | Hàm lượng ẩm trong không khí. Nếu O2 đo tại vị trí đó là theo mẫu khói khô thì nhập giá trị 0. Nếu O2 đo tại vị trí đó là theo mẫu khói ẩm thì nhập giá trị tính toán. |
| Mục 54 | Nhập giá trị thích hợp tùy thuộc vào giá trị O2 đối với vị trí đo là theo mẫu khói ẩm hay mẫu khói khô. |
| Mục 55 | Nếu O2 đo ở vị trí đó là theo mẫu khói khô thì nhập giá trị 0. Nếu là theo mẫu khói ẩm và có hàm lượng ẩm bổ sung (xem mục 13) thì phải thực hiện tính toán. |
| Các mục từ 56 đến 58 | Các phép tính này được rút gọn còn một số bước để đơn giản hóa việc tính lượng không khí thừa bằng cách sử dụng máy tính cầm tay. |
| Mục 60 | Quá trình tính toán sẽ đưa ra giá trị phần trăm không khí thừa. |
A.5.3 Biểu mẫu CMBSTNc
| Mục 60 | Nhập lượng không khí thừa được tính trên biểu mẫu CMBSTNb hoặc, nếu muốn tính toán quá trình cháy với một lượng không khí thừa cụ thể (ví dụ: hiệu chỉnh theo điều kiện hợp đồng) thì nhập lượng không khí thừa đã biết. |
| Các mục từ 61 đến 68 | Những mục này được sử dụng để tính toán CO2 và SO2 theo phương pháp phân tích (ví dụ: để kiểm tra các chỉ số của Orsat hoặc máy phân tích và để tính toán lượng O2 khi biết lượng không khí thừa). Các mục này không cần thiết cho các tính toán quá trình cháy còn lại và có thể được bỏ qua. Nếu cần có kết quả O2, CO2 và SO2 tính theo cân bằng phản ứng cháy thì phải hoàn thành mục 62 và 64 để thu được giá trị O2, CO2 và SO2 theo mẫu khói khô, và mục 63 và 65 để thu được giá trị O2, CO2 và SO2 theo mẫu khói ẩm. (Lưu ý: khi kiểm tra kết quả CO2 bằng Orsat, chỉ số đọc CO2 từ Orsat thực sự là CO2 + SO2, vì chất hấp thụ CO2 của Orsat cũng hấp thụ SO2). |
A.5.3.1 Các sản phẩm trong khói, kg/10 kJ
| Các mục từ 69 đến 74 | Khối lượng của các sản phẩm tạo thành khói ẩm, tính bằng kg/10 kJ năng lượng đầu vào từ nhiên liệu. |
| Mục 69 | Lượng khói tạo thành từ lưu lượng không khí khô đi vào lò hơi được hiệu chỉnh theo lưu lượng không khí khô còn lại trong khói sau khi đã chuyển phần lưu huỳnh được khử thành SO3. Xem 5.11.3. |
| Mục 75 | Khối lượng khói ẩm là tổng các sản phẩm trong khói ẩm, tính bằng kg/10 kJ. |
| Mục 76 | Tổng lượng nước trong khói, tính bằng kg/10 kJ. |
| Mục 77 | Khối lượng của khỏi khô, bằng hiệu số giữa khối lượng của khói ẩm trừ đi tổng khối lượng của nước trong khói ẩm. |
| Mục 78 | Hàm lượng ẩm trong khói ẩm được biểu thị bằng phần trăm khối lượng. Mục này được sử dụng để xác định entanpi hoặc nhiệt dung riêng của khói ẩm. |
| Các mục từ 79 đến 81 | Mục này được yêu cầu để xác định entanpi của khói ẩm. Đối với khí đốt, dầu và các nhiên liệu có độ tro thấp, các tính toán này có thể bỏ qua. Xem mục 19. |
| Mục 79 | Tỷ lệ khối lượng của tro xỉ trong khói tại vị trí khảo sát so với tổng lượng tro xỉ ra khỏi phạm vi lò hơi. Xem mục 19. |
| Mục 80 | Khối lượng tro xỉ ra khỏi phạm vi lò hơi tính bằng kg/10 kJ. Đây là tổng hàm lượng tro trong nhiên liệu, carbon chưa cháy hết và các sản phẩm trong bã chất hấp thụ. Nếu tro xỉ được tái tuần hoàn từ một điểm ở phía sau vị trí khảo sát thì khối lượng tro xỉ tái tuần hoàn phải được cộng thêm vào. |
| Mục 81 | Tỷ lệ khối lượng của tro xỉ trong khói ẩm, kg/kg. |
| Mục 82 | Mức rò lọt, phần trăm lượng khói đi vào. Mục này được sử dụng để tính toán mức rò lọt không khí giữa hai vị trí (ví dụ: khi đã đưa vào các giá trị O2 trong khói đi vào và đi ra khỏi bộ sấy không khí). Mục 75E là khối lượng khói ẩm đi vào, và mục 75L là khối lượng khói ẩm đi ra như đã tính ở trên. |
| Các mục 83-88 | Được sử dụng để tính toán nhiệt độ khói đi ra khỏi bộ sấy không khí được hiệu chỉnh theo điều kiện không có rò lọt (nhiệt độ khói không tính đến lọt gió). Có thể bỏ qua các mục này nếu không có bộ sấy không khí hoặc không đo nhiệt độ. |
| Mục 83 | Nhập nhiệt độ đo được của khói đi ra khỏi bộ sấy không khí (từ mục 15). |
| Mục 84 | Nhập nhiệt độ đo được của không khí đi vào bộ sấy không khí (từ mục 15). |
| Mục 85 | Nhập entanpi của không khí ẩm dựa trên nhiệt độ của khói ra khỏi bộ sấy không khí (mục 83) và hàm lượng ẩm trong không khí (mục 7). |
| Mục 87 | Nhập nhiệt dung riêng của khói ẩm dựa trên nhiệt độ của khói ra khỏi bộ sấy không khí (mục 83), hàm lượng ẩm trong khói đi vào bộ sấy không khí (mục 78E) và tro xỉ trong khói ẩm đi vào bộ sấy không khí (trong mục 81E). Nếu nhiệt độ hiệu chỉnh của khói đi ra khỏi bộ sấy không khí cao hơn đáng kể so với nhiệt độ khói đo được, thì sử dụng giá trị trung bình giữa nhiệt độ khói đo được và nhiệt độ khói được hiệu chỉnh để xác định nhiệt dung riêng trung bình của khói. |
| Mục 88 | Tính toán nhiệt độ được hiệu chỉnh của khói tại đầu ra của bộ sấy không khí (nhiệt độ khói không tính đến lọt gió). Đây là nhiệt độ của khói ra khỏi phạm vi lò hơi được sử dụng để tính toán hiệu suất theo cân bằng nghịch. |
A.5.3.2 Lưu lượng không khí, khói và nhiên liệu, tấn/h
Các mục này được tính toán sau khi đã hoàn thành các tính toán hiệu suất, nhưng được đưa vào biểu mẫu này vì các tính toán này thuộc loại tính toán chung cho quá trình cháy.
| Mục 90 | Nhập năng lượng đầu vào của nhiên liệu từ biểu mẫu tính hiệu suất, tính bằng MJ/h. |
| Các mục từ 91-93 | Tính toán lượng nhiên liệu, lượng tro xỉ và lưu lượng khói ẩm, tính bằng tấn/h. |
| Mục 95 | Nhập phần trăm không khí thừa nếu cần tính tổng khối lượng không khí đi vào lò hơi. Mục này thường được yêu cầu để tính toán giá trị trung bình có trọng số của nhiệt độ đầu vào để xác định hiệu suất khi không khí được cung cấp từ hai nguồn như quạt cấp một và cấp hai. Đại lượng này cũng có thể được yêu cầu để hiệu chỉnh trở lực đường gió theo các điều kiện hợp đồng. |
| Mục 96 | Tính tổng lưu lượng không khí ẩm dựa trên lượng không khí thừa trong mục 95. |
A.6 Nhiên liệu khí: Hướng dẫn thực hiện biểu mẫu GA5
Biểu mẫu tính toán nhiên liệu khí được sử dụng để chuyển đổi kết quả phân tích nhiên liệu khí từ đơn vị % theo thể tích sang đơn vị % theo khối lượng. Phân tích các thành phần chính của nhiên liệu khí được bao gồm các thành phần trong nhiên liệu khí theo mẫu thực đốt (như CH4, C2H6) với đơn vị % theo thể tích. Nhiệt trị cao của nhiên liệu khí được tính bằng đơn vị tính theo thể tích như J/m3. Các tính toán trong Tiêu chuẩn này yêu cầu phân tích các nguyên tố trong nhiên liệu theo % khối lượng và nhiệt trị cao tính theo khối lượng như J/kg. Các thành phần của phân tích nguyên tố là C, H2, O2, N2, S và H2OV.
| Mục 1 | Loại nhiên liệu. Mục này ghi nguồn nhiên liệu. |
| Mục 2 | Phân tích thành phần chính, % theo thể tích. Nhập giá trị % theo thể tích của từng thành phần thể khí vào cột 5. Các dòng còn trống trong biểu mẫu có thể sử dụng cho các thành phần bổ sung. |
| Mục 3 | Khối lượng riêng của từng thành phần, kg/m3. Các điều kiện tham chiếu đối với giá trị khối lượng riêng là 15,6°C và 762 mm Hg phù hợp với nhiệt độ tham chiếu tiêu chuẩn trong các báo cáo nhiệt trị cao của nhiên liệu khí. |
| Mục 4 | Khối lượng riêng của khí thành phần. Nhân cột 2 với cột 3 để có được khối lượng riêng của từng thành phần khí. |
| Mục 5 | Nhập nhiệt trị cao của mỗi thành phần. Xem mục 3. |
| Mục 6 | Nhiệt trị cao của nhiên liệu khí. Nhân cột 2 với cột 5 để có HHV của mỗi thành phần. |
| Các mục từ 7 đến 12 | Thành phần cơ bản, mol/100 mol khí. Tính phần trăm số mol của các thành phần cơ bản và nhập giá trị tổng cho mỗi thành phần tại dòng 14. Hằng số “K” là một hằng số trong mỗi cột và là số mol của mỗi thành phần nguyên tố trong nhiên liệu. Lưu ý: thành phần nước H2OV được tính là nước ở trạng thái hơi. |
| Dòng 14 | MW, kg/mol. Nhập vào dòng này phân tử lượng của mỗi thành phần nguyên tố. |
| Dòng 15 | Khối lượng, kg/100 mol Tính khối lượng của từng thành phần nguyên tố và nhập kết quả vào từng cột của dòng 16. |
| Mục 16 | Giá trị tổng dòng 16. Nhập giá trị tổng dòng 16. |
| Mục 17 | Kết quả phân tích, % theo khối lượng. Tính toán phân tích cuối cùng của từng thành phần nguyên tố và nhập kết quả vào dòng này. Kết quả tính toán của thành phần lớn nhất phải được làm tròn sao cho tổng của các thành phần bằng 100,00%. |
| Mục 18 | Khối lượng riêng ở 15,6°C và 762 mm Hg, kg/m3. Tính toán khối lượng riêng dựa trên giá trị tổng của cột 4. |
| Mục 19 | Nhiệt trị cao, J/m3. Tính nhiệt trị cao theo thể tích. |
| Mục 20 | Nhiệt trị cao, J/kg. Nhiệt trị cao theo khối lượng được tính theo chỉ dẫn. |
A.7 Các tính toán carbon chưa cháy hết và tro xỉ: Hướng dẫn thực hiện biểu mẫu RES
Biểu mẫu này được sử dụng để tính giá trị trung bình có trọng số của carbon trong tro xỉ, carbon chưa cháy hết và tổn thất do nhiệt vật lý có trong tro xỉ. Khi có sử dụng chất hấp thụ thì biểu mẫu này được sử dụng để tính giá trị trung bình có trọng số của carbon và CO2 trong tro xỉ. Các kết quả này được sử dụng cùng với các biểu mẫu tính toán chất hấp thụ để tính toán lượng carbon chưa cháy và tỷ lệ nung khô của CaCO3.
Xác định các vị trí thải tro xỉ ra khỏi lò hơi và nhập mô tả bên dưới chữ “Vị trí”. Các vị trí điển hình là: tro xỉ đáy buồng đốt (thải xỉ từ lớp sôi), bộ hâm nước hoặc các phễu tro của lò hơi, và đường xả của bộ tách bụi kiểu cyclon tổ hợp và tro bay ra khỏi lò hơi.
Cần phải biết được lượng tro xỉ ra khỏi lò hơi tại mỗi vị trí để xác định giá trị trung bình có trọng số của carbon (và CO2 đối với lò hơi có sử dụng chất hấp thụ) trong tro xỉ và tổn thất nhiệt vật lý đối với từng vị trí. Có một số phương pháp khác nhau để xác định lượng tro xỉ ra khỏi lò hơi tại từng vị trí.
(a) Có thể đo khối lượng tro xỉ ra khỏi mỗi vị trí. Trong trường hợp này, các giá trị đo được đối với mỗi vị trí phải được nhập vào cột 5.
(b) Có thể đo lượng tro xỉ tại một số vị trí và lượng tro xỉ tại các vị trí khác được tính bằng hiệu số. Ví dụ: lượng tro xỉ rời khỏi lò hơi có thể được đo bằng tải lượng bụi và ước tính tỷ lệ phân bố tro xỉ còn lại cho các vị trí khác.
(c) Phần trăm tro xỉ được lấy ra mỗi vị trí có thể được ước tính trên cơ sở các kết quả điển hình đối với loại nhiên liệu sử dụng và phương pháp đốt. Ví dụ: đối với lò hơi đốt trên ghi, có thể giả định 90% là tro xỉ đáy và 10% là tro bay trong tổng lượng tro xỉ ra khỏi lò hơi. Trong trường hợp này, tỷ lệ phân bố tro xỉ giả định phải được nhập vào cột 8. Tổng lưu lượng khối lượng của tro xỉ hoặc mức chênh lệch về hàm lượng carbon trong tro xỉ tại mỗi vị trí càng lớn thì độ không đảm bảo đối với carbon chưa cháy hết và tổn thất nhiệt vật lý càng lớn, và do đó độ không đảm bảo của thí nghiệm cũng tăng theo.
| Mục 1 | Hàm lượng tro trong nhiên liệu, %. Nhập hàm lượng tro (%) của nhiên liệu. | |
| Mục 2 | HHV của nhiên liệu, J/kg theo mẫu thực đốt. Nhập nhiệt trị cao của nhiên liệu theo mẫu thực đốt. | |
| Mục 3 | Lưu lượng khối lượng của nhiên liệu, tấn/h. Mục này không yêu cầu nếu đã xác định được tỷ lệ phân bố tro xỉ hoặc đo được ở tất cả các vị trí. Khi đo lượng tro xỉ ở một số vị trí thì tổng lưu lượng tro xỉ phụ thuộc vào lưu lượng nhiên liệu. Sử dụng lưu lượng nhiên liệu đo được hoặc ước tính ban đầu. Xem biểu mẫu CMBSTNa. Cần phải tính toán lại các biểu mẫu về tro xỉ (RES) và chất hấp thụ (SRB) sau khi hoàn thành các tính toán hiệu suất cho đến khi kết quả về hiệu suất đạt hội tụ. Đối với các tính toán hiệu suất, thông thường mức sai lệch về lưu lượng nhiên liệu được chấp nhận trong các tính toán nằm trong khoảng 1%. Xem 5.7.3. | |
| Mục 5 | Lưu lượng khối lượng của tro xỉ, tấn/h. Nếu tỷ lệ phân bố tro xỉ được ước tính hoặc được đo ở tất cả các vị trí thì nhập tỷ lệ phân bố tro xỉ vào mục 8. Khi đo lượng tro xỉ ở một số vị trí thì nhập lưu lượng khối lượng của tro xỉ đo được cho các vị trí tương ứng. Nhập tổng lượng tro xỉ (từ mục 21) vào mục 5F. Ước tính tổng lượng tro xỉ (mục 5F) ban đầu từ tổng lưu lượng chất hấp thụ cộng với (mục 1) x (mục 3)/100. Đối với những vị trí không đo được lưu lượng khối lượng của tro xỉ thì nhập lưu lượng khối lượng ước tính. Giá trị này được tính toán từ mức chênh lệch giữa tổng lưu lượng khối lượng của tro xỉ (mục 5F) và tổng lưu lượng khối lượng đo được nhân với tỷ lệ phân bố tro xỉ ước tính cho các vị trí thải tro xỉ còn lại. Sử dụng cột dành cho lưu lượng khối lượng tính toán của tro xỉ nếu các tỷ lệ phân bố tro xỉ được đưa vào mục 8. | |
| Mục 6 | Tỷ lệ % C trong tro xỉ. Nhập % carbon tự do trong tro xỉ cho từng vị trí. | |
| Mục 7 | Tỷ lệ % CO2 trong tro xỉ. Chỉ yêu cầu đối với các lò hơi có sử dụng chất hấp thụ. Nhập % CO2 cho từng vị trí. | |
| Mục 8 | Tỷ lệ phân bố tro xỉ, %. Nếu lượng tro xỉ được đo ở tất cả các vị trí thì tính tỷ lệ % tro xỉ được phân bố cho từng vị trí. Nếu ước tính tỷ lệ phân bố tro xỉ thì nhập giá trị đó vào cột này. Xem mục 5. | |
| Mục 9 | Giá trị trung bình có trọng số của C, %. Tính lượng carbon chưa cháy hết trong tro xỉ đối với từng vị trí và nhập tổng vào mục 9F. | |
| Mục 10 | Giá trị trung bình có trọng số của CO2, %. Tính lượng CO2 trong tro xỉ đối với từng vị trí và nhập tổng vào mục 10F. | |
| A.7.1 Các lò hơi không sử dụng chất hấp thụ | ||
| Mục 11 | Carbon chưa cháy hết, kg/100 kg nhiên liệu. Tính trung bình lượng carbon chưa cháy hết. Mục này sử dụng trong các biểu mẫu tính toán quá trình cháy và hiệu suất. | |
| Mục 20 | Tổng lượng tro xỉ, kg/100 kg nhiên liệu. Tổng lượng tro xỉ là tổng hàm lượng tro trong nhiên liệu và lượng carbon chưa cháy hết. | |
| A.7.2 Các lò hơi có sử dụng chất hấp thụ | ||
| Nhập giá trị trung bình của C và CO2 trong tro xỉ vào các mục 9F và 10F, từ biểu mẫu SRBa (mục 4 và 5) và hoàn thành các biểu mẫu tính toán chất hấp thụ. | ||
| Mục 11 | Carbon chưa cháy hết, kg/100 kg nhiên liệu. Nhập giá trị tính toán từ biểu mẫu SRBb - mục 49. | |
| Mục 20 | Tổng lượng tro xỉ, kg/100 kg nhiên liệu. Nhập tổng lượng tro xỉ tính toán từ biểu mẫu SRBb - mục 50. | |
| A.7.3 Tổng lượng tro xỉ | ||
| Mục 21 | Tổng lượng tro xỉ, tấn/h. Tính tổng lượng tro xỉ theo tấn/h. So sánh mục 21 với mục 5F. Tính lặp lại các mục từ 5 đến 21 (bao gồm các biểu mẫu tính hấp thụ nếu có) cho đến khi sai lệch giữa mục 5F và mục 21 nằm trong khoảng 2%. | |
| Mục 22 | Tổng lượng tro xỉ, kg/10 kJ. Chuyển đổi lượng tro xỉ sang kg/10 kJ theo năng lượng đầu vào từ nhiên liệu. | |
A.7.4 Tổn thất do nhiệt vật lý trong tro xỉ
| Mục 24 | Nhập nhiệt độ của tro xỉ ra khỏi lò hơi tại từng vị trí và tính entanpi của tro xỉ theo từng nhiệt độ đó. Sử dụng tỷ lệ phân bố tro xỉ ở cột 8, tính tổn thất do nhiệt vật lý của tro xỉ tại từng vị trí. |
| Mục 25 | Tổn thất do nhiệt vật lý trong tro xỉ, phần trăm. Nhập tổng tổn thất cho từng vị trí. |
A.8 Bảng tính chất hấp thụ: C và CO2 đo được trong tro xỉ
Biểu mẫu tính toán chất hấp thụ SRBa và SRBb được sử dụng để tính toán mức độ khử lưu huỳnh, nung khô CaCO3, carbon chưa cháy hết, lưu lượng khối lượng của bã chất hấp thụ và tro xỉ và tỷ lệ mol canxi trên lưu huỳnh Ca/S. Hai biểu mẫu này được sử dụng cùng với biểu mẫu tính toán carbon chưa cháy hết và tro xỉ cho lò hơi có sử dụng chất hấp thụ RES. Biểu mẫu tính chất hấp thụ SRBc được sử dụng để tính toán các tổn thất và nhiệt đóng góp liên quan đến chất hấp thụ, bao gồm các tổn thất và nhiệt đóng góp do phản ứng hóa học của chất hấp thụ và phần lưu huỳnh được khử. Tổn thất do nhiệt vật lý trong tro xỉ, bao gồm bã chất hấp thụ, được tính toán trên Biểu mẫu RES.
Các tính toán dựa trên việc đo carbon trong tro xỉ để xác định lượng carbon chưa cháy hết và CO2 trong tro xỉ để xác định tỷ lệ % được nung khô của CaCO3 trong chất hấp thụ. Do đó, các phép tính trên Biểu mẫu SRBa và SRBb là các phép tính lặp. Cần phải ước tính giá trị ban đầu của lượng carbon chưa cháy hết (mục 15B) và % được nung khô (mục 23A), và tính lặp lại cho đến khi các giá trị ước tính hội tụ với sai lệch không quá 2% giá trị tính toán.
Các mục được đánh dấu sao (*) là các mục được ước tính ban đầu và kết quả được tính lặp bằng cách sử dụng các giá trị tính toán trong bước tính lặp gần nhất.
Các mục được đánh dấu bằng dấu cộng (+) là kết quả tính toán phải được tính lại sau mỗi lần tính lặp.
Kết quả của biểu mẫu tính toán này cũng được sử dụng cho các tính toán chung về quá trình cháy hoặc hiệu suất (ví dụ: để hiệu chỉnh theo các điều kiện hợp đồng hoặc giám sát các đặc tính hoạt động). Đối với các tính toán chung về hiệu suất hoặc quá trình cháy khi không đo được C và CO2 trong tro xỉ thì có thể nhập các giá trị điển hình cho carbon chưa cháy hết (mục 15B) và tỷ lệ nung khô (mục 23A). Có thể sử dụng các giá trị điển hình đối với lượng lưu huỳnh được khử, hoặc các tính toán lượng lưu huỳnh được khử có thể dựa trên SO2 và O2 đo được và phân tích thành phần nhiên liệu điển hình. Xem Phần 5 của Tiêu chuẩn này về hiệu chỉnh theo các điều kiện hợp đồng.
A.8.1 Biểu mẫu SRBa
A.8.1.1 Các dữ liệu cần thiết
| *Mục 1 | Lưu lượng nhiên liệu, tấn/h. Bước đầu nhập lưu lượng khối lượng của nhiên liệu đo được hoặc ước tính. Xem Biểu mẫu CMBSTNa. Cần phải tính toán lại tro xỉ và chất hấp thụ bằng cách sử dụng các biểu mẫu RES và SRB sau khi hoàn thành các tính toán hiệu suất cho đến khi lưu lượng nhiên liệu ước tính được sử dụng cho các tính toán này hội tụ với sai lệch không quá 1% lưu lượng nhiên liệu được tính theo kết quả về hiệu suất. Xem A.3 hoặc 5.7.3 về dung sai hội tụ đối với các tính toán khác nhau. |
| Mục 2 | Lưu lượng chất hấp thụ, tấn/h. Nhập lưu lượng khối lượng đo được của chất hấp thụ. |
| +Mục 3 | Tỷ lệ chất hấp thụ/nhiên liệu. Tỷ lệ chất hấp thụ trên nhiên liệu (kg chất hấp thụ/kg nhiên liệu) được sử dụng để tính chuyển đổi lưu lượng khối lượng của chất hấp phụ thành tỷ lệ trên lưu lượng nhiên liệu hoặc năng lượng đầu vào từ nhiên liệu là giá trị được sử dụng cho tất cả các tính toán liên quan đến năng lượng đầu vào từ nhiên liệu. Giá trị này được tính bằng cách chia mục 2 cho mục 1. |
| Mục 4 | Carbon trong tro xỉ, %. Đây là giá trị trung bình có trọng số của carbon trong tất cả các dòng tro xỉ đi ra khỏi phạm vi lò hơi. Nhập kết quả tính toán cho mục 9F trên biểu mẫu RES. Đối với các tính toán chung về hiệu suất khi không đo C và CO2 trong tro xỉ thì nhập giá trị 0 để thể hiện là không đo. |
| Mục 5 | Hàm lượng CO2 trong tro xỉ, %. Đây là giá trị trung bình có trọng số của CO2 trong tất cả các dòng tro xỉ đi ra khỏi phạm vi lò hơi. Nhập kết quả tính toán cho mục 10F trên biểu mẫu RES. Đối với các tính toán chung về hiệu suất khi không đo C và CO2 trong tro xỉ thì nhập giá trị 0 để thể hiện là không đo. |
| Mục 6 | Hàm lượng ẩm trong không khí, kg/kg không khí khô. Nhập hàm lượng ẩm trong không khí từ biểu mẫu CMBSTNa - mục 7. Mục này không yêu cầu nếu thành phần O2 và SO2 được đo theo mẫu khói khô. |
| Các mục 7 và 8 | Lượng lưu huỳnh được khử được tính từ các giá trị O2 và SO2 đo được ở cùng một vị trí. Phương pháp đo phải theo cùng một loại mẫu khói (tức là theo mẫu khói ẩm hoặc khói khô). Nếu các giá trị này không được đo theo cùng một loại mẫu thì tỷ số chuyển đổi từ mẫu khói ẩm sang mẫu khói khô có thể được giả định để chuyển đổi thành phần được đo từ mẫu khói ẩm sang mẫu khói khô và các phép tính được lặp lại cho đến khi tỷ số giả định để chuyển đổi từ mẫu ẩm sang mẫu khô phù hợp với tỷ số tính toán. |
| Mục 7 | Hàm lượng SO2 trong khói. Nhập giá trị đo được của SO2 theo ppm vào mục 7A và chuyển đổi sang %, sau đó nhập giá trị % vào mục 7B. |
| Mục 8 | Hàm lượng O2 trong khói tại vị trí đo SO2, %. Nhập giá trị của O2 được đo tại cùng vị trí đo SO2 trên đây. |
| Mục 9 | Mẫu khói ẩm hay mẫu khói khô sử dụng để xác định SO2 và O2. Ghi “ẩm” hoặc “khô”, tùy thuộc vào phương pháp lấy mẫu đối với mục 7 và 8. |
| Mục 10 | Hàm lượng ẩm bổ sung, kg/100 kg nhiên liệu. Nhập tổng hàm lượng ẩm bổ sung từ biểu mẫu CMBSTNa - mục 13. Mục này không yêu cầu nếu mục 7 và 8 được đo theo mẫu khói khô. |
| A.8.1.2 Các sản phẩm cháy | |
| Mục 15 | Phân tích các nguyên tố chính, % theo khối lượng. Nhập kết quả phân tích các nguyên tố chính của nhiên liệu. Nhập giá trị ước tính cho carbon chưa cháy hết (mục 15B). Mục 15C là carbon được đốt cháy (bằng 15A trừ đi 15B). Khi lượng carbon trong tro xỉ được đo thì cần phải lặp lại các phép tính cho đến khi giá trị giả định của carbon không cháy hết sai lệch không quá 2% giá trị ước tính. |
| Các mục 16 và 18 | Thực hiện các phép tính theo công thức. Chữ “K” ghi trong cột ở phía dưới số mục là hằng số. Các mục này giống với các mục từ 31 đến 33 của biểu mẫu CMBSTNb. Xem chi tiết trong các hướng dẫn thực hiện biểu mẫu CMBSTNb. |
A.8.1.3 Các sản phẩm chất hấp thụ
| Mục 20 | % khối lượng. Nhập thành phần chất hấp thụ theo phần trăm khối lượng. |
| Mục 21 | MW. Phân tử lượng của các sản phẩm chất hấp thụ, dùng để tính mục 22. |
| Mục 22 | Mol Ca/100 kg. Tính số mol canxi trên 100 kg chất hấp thụ (các ô không tô sẫm) và nhập giá trị tổng vào mục 22I. Mục này được sử dụng để tính tỷ lệ mol canxi trên lưu huỳnh trong mục 52. |
| *Mục 23 | Tỷ lệ nung đá vôi. Nhập tỷ lệ nung khô ước tính của CaCO3 (mục 23A). Khi có đo CO2 trong tro xỉ thì cần lặp lại các phép tính cho đến khi tỷ lệ nung khô giả định sai lệch không quá 2% giá trị tính toán. |
| +Mục 25 | Hàm lượng CO2, kg/100 kg chất hấp thụ. Mục này là lượng CO2 được bổ sung vào khói từ chất hấp thụ. Thực hiện phép tính cho các mục không được tô sẫm và nhập giá trị tổng vào mục 25I. |
| Mục 26 | Hàm lượng H2O, kg/100 kg chất hấp thụ. Mục này là lượng H2O được bổ sung vào khói từ chất hấp thụ. Thực hiện phép tính cho các mục không được tô sẫm và nhập giá trị tổng vào mục 26I. |
A.8.2 Biểu mẫu SRBb
A.8.2.1 Tính lượng lưu huỳnh được được khử dựa trên phân tích khói
| Các mục từ 30 đến 45 | Tính lượng lưu huỳnh được khử dựa trên hàm lượng SO2 và O2 trong khói. Các phép tính này được chia thành nhiều bước để đơn giản hóa việc tính toán lượng lưu huỳnh được khử khi sử dụng máy tính cầm tay. Đối với các tính toán chung về quá trình cháy, nếu lượng lưu huỳnh được khử được ước tính hoặc được ấn định một giá trị để hiệu chỉnh theo các điều kiện hợp đồng thì nhập giá trị được ấn định vào mục 45 và bỏ qua các mục từ 30 đến 40. |
| Các mục từ 30 đến 33 | Nếu O2 và SO2 được đo theo mẫu khói khô thì nhập các giá trị được chỉ ra vào cột “Khô”. Nếu được đo theo mẫu khói ẩm thì thực hiện các phép tính trong cột “Ẩm” |
| Các mục từ 34 đến 40 | Các mục này kèm theo công thức tính và được sắp xếp để thuận tiện cho việc tính toán bằng tay. |
| Mục 45 | Tỷ lệ khối lượng lưu huỳnh được khử dựa trên các kết quả đo O2 và SO2 trong khói thải tại một vị trí đơn lẻ. |
A.8.2.2 Các tính toán về lượng carbon không cháy hết, tỷ lệ nung đá vôi, về chất hấp thụ và tro xỉ khác
| +Mục 47 | Lượng SO3, kg/100 kg nhiên liệu. Tính lượng SO3 được tạo thành trong phản ứng CaO + SO3 để tạo thành CaSO4 tính trên 100 kg nhiên liệu. |
| +Mục 48 | Lượng bã chất hấp thụ, kg/100 kg nhiên liệu. Tính khối lượng bã chất hấp phụ có gia giảm CO2 và H2O được giải phóng cộng với SO3 trong phản ứng khử lưu huỳnh CaO + SO3 để tạo thành CaSO4. |
| +Mục 49 | Lượng carbon chưa cháy hết, kg/100 kg nhiên liệu. Tính lượng carbon chưa cháy hết trong nhiên liệu. Nếu không đo được carbon trong tro xỉ thì nhập giá trị ước tính từ mục 15B. |
| +Mục 50 | Lượng tro xỉ, kg/100 kg nhiên liệu. Tính tổng khối lượng của tro xỉ trên 100 kg nhiên liệu. Lượng tro xỉ là tổng hàm lượng tro trong nhiên liệu, carbon chưa cháy hết và bã chất hấp thụ. |
| +Mục 51 | Tỷ lệ đá vôi được nung, kg/kg CaCo3. Tính phần trăm khối lượng CaCO3 đã chuyển thành CaO. Nếu không đo được CO2 trong tro xỉ thì nhập giá trị ước tính từ mục 23A. |
| Mục 52 | Tỷ lệ mol Ca/S, mol Ca/mol S. Tính tỷ lệ mol canxi trên lưu huỳnh. Đây là một thông số vận hành quan trọng khi có sử dụng chất hấp thụ để khử lưu huỳnh. |
So sánh lượng carbon chưa cháy hết và tỷ lệ nung khô đá vôi được tính toán với các giá trị ước tính. Lặp lại các phép tính của các mục từ 15 đến 51 được đánh dấu “+” cho đến khi giá trị ước tính sai lệch không quá 2% kết quả tính toán.
Tham khảo hướng dẫn thực hiện biểu mẫu RES. Nhập kết quả của mục 50 trên đây vào mục 20 trên biểu mẫu RES và hoàn thành các phép tính trên biểu mẫu RES. Nếu lưu lượng khối lượng của tro xỉ được đo tại một số vị trí và được tính toán bằng hiệu số (bằng cách lấy tổng lưu lượng trừ đi các lưu lượng đo được) cho các vị trí còn lại thì giá trị mục 21 trên biểu mẫu RES phải sai lệch không quá 2% giá trị mục 5F. Nếu không đạt thì lặp lại các tính toán tro xỉ RES (các mục từ 5 đến 10), chỉnh sửa các mục 4 và 5 trên biểu mẫu SRBa, và lặp lại các phép tính trên biểu mẫu chất hấp thụ đối với các mục được đánh dấu “+” cho đến khi đạt được hội tụ.
A.8.3 Biểu mẫu tính toán chất hấp thụ SRBc: Tính toán hiệu suất
Biểu mẫu này thực hiện tính toán các tổn thất nhiệt và nhiệt đóng góp liên quan đến chất hấp thụ, bao gồm cả tổn thất và nhiệt đóng góp do phản ứng hóa học của chất hấp thụ với lượng lưu huỳnh được khử. Tổn thất nhiệt vật lý từ tro xỉ, bao gồm bã chất hấp thụ, được tính toán trên biểu mẫu RES. Việc tính toán nhiệt độ trung bình của khói tại đầu ra yêu cầu phải hoàn thành trước các biểu mẫu tính toán quá trình cháy CMBSTNa và CMBSTNc. Biểu mẫu này nên được thực hiện sau khi đã hoàn thành dữ liệu đầu vào cho các biểu mẫu tính toán hiệu suất.
| Mục 61 | Nhiệt độ chất hấp thụ, °C. Nhập nhiệt độ của chất hấp thụ. Tính toán entanpi của chất hấp thụ (nhiệt độ tham chiếu là 25 °C) dựa trên các thành phần trong chất hấp thụ theo Mục 5. Đối với đá vôi, xem các tính toán ở cuối biểu mẫu SRBc. |
| Mục 62 | Nhiệt độ trung bình của khói đầu ra (không tính đến rò lọt). Xem mục 3 về Biểu mẫu tính toán hiệu suất EFFa. Nhập entanpi của hơi nước ở 0,1 MPa (áp suất tuyệt đối) và nhiệt độ tham chiếu là 0 °C theo mục 62A, giống như mục 3b trên biểu mẫu EFFa. |
| Mục 63 | HHV của nhiên liệu, J/kg nhiên liệu thực đốt. Nhập nhiệt trị cao của nhiên liệu thực đốt. |
| Mục 65 | Tổn thất do nước có trong chất hấp thụ, MJ/h. Tính toán tổn thất do nước có trong chất hấp thụ và nhập kết quả vào biểu mẫu EFFb - mục 59 - cột A. |
| Các mục từ 71 đến 77 | Tổn thất do nung đá vôi/khử nước, MJ/h. Tính toán tổn thất cho từng thành phần riêng lẻ trong chất hấp thụ và nhập giá trị tổng vào mục 77 và trên biểu mẫu EFFb - mục 58, cột A. |
| Mục 80 | Nhiệt đóng góp do quá trình sunfat hóa, % nhiên liệu đầu vào. Tính nhiệt đóng góp do quá trình sulfat hóa và nhập kết quả vào Mẫu EFFb - mục 66 - cột B (%). |
| Mục 85 | Nhiệt đóng góp do nhiệt vật lý từ chất hấp thụ, MJ/h. Tính nhiệt đóng góp do nhiệt vật ký từ chất hấp thụ và nhập kết quả vào biểu mẫu EFFb, mục 73, cột A. |
A.9 Năng lượng đầu ra: Hướng dẫn thực hiện biểu mẫu OUTPUT
Biểu mẫu này được sử dụng để tính toán năng lượng đầu ra của lò hơi. Biểu mẫu bao gồm hai phần. Phần thứ nhất đề cập đến việc tính toán năng lượng đầu ra từ hơi chính hoặc từ các bộ phận áp suất cao của lò hơi. Các quy định được đưa ra để tính toán lưu lượng nước phun giảm ôn bộ quá nhiệt bằng cân bằng năng lượng nếu không đo lưu lượng này. Đối với các lò hơi có bộ tái nhiệt thì phần thứ hai của biểu mẫu này đề cập đến việc tính toán lưu lượng hơi tái nhiệt và năng lượng đầu ra của bộ tái nhiệt. Đối với các lò hơi có hai cấp tái nhiệt thì các tính toán cho cấp hai tương tự như cấp một, ngoại trừ một khác biệt là lưu lượng hơi tái nhiệt cấp hai được tính bằng cách trừ đi lưu lượng các dòng trích từ hơi tái nhiệt cấp hai và lưu lượng hơi chèn tuabin và hơi rò rỉ trục tuabin từ tổng lưu lượng hơi tái nhiệt cấp 1, cộng với lưu lượng nước phun giảm ôn bộ tái nhiệt cấp 1.
Các ô được tô màu ghi đậm thể hiện là không yêu cầu dữ liệu đầu vào hoặc các phép tính bổ sung cho mục đó. Nhập tất cả các giá trị đo được về lưu lượng, nhiệt độ và áp suất được áp dụng vào các ô trống. Xác định entanpi cho từng thông số áp dụng và nhập vào cột H. Đối với các thông số áp suất cao thì tính độ hấp thụ Q đối với nước cấp vào lò.
A.9.1 Năng lượng đầu ra của hơi áp suất cao
| Mục 1 | Nước cấp. Lưu lượng khối lượng của hơi được xác định từ lưu lượng đo được của nước cấp hoặc lưu lượng đo được của hơi, trong đó lưu lượng nước cấp thường có độ không đảm bảo thấp nhất. Để tính toán theo hướng dẫn này, nếu nước phun giảm ôn bộ quá nhiệt được lấy từ nước cấp thì lưu lượng nước cấp trong mục 1 không được bao gồm lưu lượng nước phun giảm ôn bộ quá nhiệt. |
| Mục 2 | Nước phun giảm ôn bộ quá nhiệt. Trong cột Lưu lượng, nhập ký hiệu để thể hiện là lưu lượng nước phun giảm ôn quá nhiệt được đo hay được tính bằng cân bằng năng lượng. Xem các mục từ 3 đến 8. Lưu ý: khi nhiệt độ nước phun giảm ôn thấp hơn nhiệt độ nước cấp thì cần phải thêm năng lượng bổ sung Q vào nước phun giảm ôn phải được tính bằng chênh lệch giữa entanpi của nước cấp và nước phun giảm ôn (H1, H2) thay thay vì theo chỉ dẫn trên biểu mẫu. Mục này không áp dụng đối với các lò hơi mà nước phun giảm ôn được lấy từ thiết bị ngưng hơi đặt bên trong phạm vi lò hơi. |
| Các mục từ 3 đến 8 | Các mục này dùng để tính lượng nước phun giảm ôn bộ quá nhiệt theo cân bằng năng lượng. Nếu không đo được lượng nước phun giảm ôn thì nhập các dữ liệu có thể áp dụng và thực hiện tính toán. |
| Các mục từ 9 đến 14 | Các dòng trích bên trong lò. Đây là các dòng trích hơi hoặc nước bên trong lò hơi và được tính là một phần của năng lượng đầu ra lò hơi, ngoài năng lượng đầu ra từ hơi chính được tính ở mục 18. Các ô màu ghi nhạt được sử dụng để chỉ định vị trí hoặc nguồn cung cấp các dòng trích này. |
| Các mục từ 15 đến 17 | Các dòng trích hơi phụ. Đây là các dòng trích hơi được tính là một phần của năng lượng đầu ra lò hơi, ngoài năng lượng đầu ra từ hơi chính được tính ở mục 18. Các ô màu ghi nhạt chỉ định nguồn cung cấp các dòng trích này. |
| Mục 18 | Hơi chính. Khi có thực hiện đo lưu lượng nước cấp thì lưu lượng hơi chính là tổng của lưu lượng nước cấp và lưu lượng nước phun giảm ôn bộ quá nhiệt, trừ đi lưu lượng xả lò, lưu lượng các dòng trích bên trong lò và các lưu lượng dòng trích hơi phụ khác. |
| Mục 19 | Năng lượng đầu ra của hơi áp suất cao. Năng lượng đầu ra của hơi áp suất cao là tổng năng lượng của hơi chính, các dòng trích bên trong lò, các dòng trích hơi phụ khác và năng lượng được bổ sung vào nước phun giảm ôn bộ quá nhiệt. |
A.9.2 Các lò hơi có bộ tái nhiệt
| Mục 20 | Đầu ra bộ tái nhiệt. Nhập nhiệt độ và áp suất đầu ra của bộ tái nhiệt và tính entanpi. |
| Mục 21 | Hơi trước bộ tái nhiệt đi vào giảm ôn. Nhập nhiệt độ và áp suất của hơi trước giảm ôn bộ tái nhiệt và tính entanpi. |
| Mục 22 | Nước phun giảm ôn bộ tái nhiệt. Nhập lưu lượng, nhiệt độ và áp suất nước phun giảm ôn và tính entanpi. Lưu lượng nên được đo lường thay vì tính toán theo cân bằng năng lượng vì khó xác định được nhiệt độ đại diện ở phía sau bộ giảm ôn. |
| Mục 23 | Lưu lượng trích hơi trước bộ tái nhiệt. Nhập bất kỳ lưu lượng trích nào giữa điểm xác định lưu lượng hơi chính (W18) và đầu vào của bộ giảm ôn tái nhiệt ngoài các lưu lượng trích cho bộ gia nhiệt nước cấp, hơi chèn tuabin và rò rỉ trục tuabin. Lưu lượng này thường là lưu lượng bổ sung được đo. |
| Mục 24 | Lưu lượng hơi chèn tuabin và rò rỉ trục tuabin. Mục này thường được ước tính từ cân bằng nhiệt của nhà sản xuất tuabin hoặc dữ liệu thí nghiệm tuabin. |
| Các mục từ 25 đến 29 | Bộ gia nhiệt nước cấp số 1. Bộ gia nhiệt nước cấp có áp suất cao nhất được tính là bộ gia nhiệt nước cấp số 1. Nhập lưu lượng, nhiệt độ và áp suất nước cấp đo được và tính entanpi. Nhập giá trị “1” vào ô màu ghi nhạt nếu lưu lượng nước cấp có bao gồm lưu lượng nước phun giảm ôn bộ quá nhiệt. Lưu lượng trích hơi được tính bằng cân bằng năng lượng tại mục 29. |
| Các mục từ 30 đến 34 | Bộ gia nhiệt nước cấp số 2. Áp dụng cho các lò hơi mà trong đó hơi trích cho bộ gia nhiệt số 2 được lấy từ hơi trước bộ tái nhiệt (thông thường hơi cấp bộ gia nhiệt số 1 được lấy từ điểm trích trung gian trên phần cao áp của tuabin). Nhập lưu lượng, nhiệt độ và áp suất nước cấp đo được và tính entanpi. Lưu lượng hơi trích được tính bằng cân bằng năng lượng ở mục 34. |
| Mục 35 | Lưu lượng hơi trước bộ tái nhiệt. Lưu lượng hơi trước bộ tái nhiệt được tính toán từ lưu lượng hơi chính trừ đi các lưu lượng trích cho bộ gia nhiệt nước cấp, lưu lượng hơi chèn tuabin và rò rỉ trục tuabin, và bất kỳ lưu lượng hơi trích nào khác. |
| Mục 36 | Năng lượng đầu ra của bộ tái nhiệt. Năng lượng đầu ra của bộ tái nhiệt là tổng năng lượng được bổ sung vào dòng hơi trước bộ tái nhiệt và năng lượng bổ sung vào dòng nước phun giảm ôn của bộ tái nhiệt. |
| Mục 37 | Năng lượng đầu ra của hơi áp suất cao. Năng lượng đầu ra của hơi áp suất cao là tổng năng lượng của hơi chính, các dòng trích bên trong, các dòng trích hơi phụ trợ khác và năng lượng được bổ sung vào nước phun giảm ôn của bộ quá nhiệt. |
A.10 Các bảng tính rút gọn dữ liệu: Hướng dẫn thực hiện các biểu mẫu dữ liệu
A.10.1 Biểu mẫu MEAS, Bảng rút gọn dữ liệu đo
Biểu mẫu này được sử dụng để tính trung bình các thông số đồng nhất theo vị trí trong không gian nhưng có thể thay đổi theo thời gian và tính toán độ lệch chuẩn để sử dụng trong việc xác định thành phần ngẫu nhiên của độ không đảm bảo. Tham khảo biểu mẫu INTAVG về các thông số không đồng nhất theo vị trí trong không gian.
| Các mục từ A đến Z | Nhập từng lần đọc dữ liệu cho một điểm dữ liệu đơn lẻ vào cột đầu tiên. Đây có thể là một giá trị analog hoặc một giá trị digital (ví dụ: milivôn). Nếu giá trị trong cột 1 là giá trị digital thì chuyển đổi nó thành giá trị analog trong cột 2. Nếu thiết bị đo có hệ số hiệu chuẩn thì nhập giá trị này vào cột 3 và tính toán giá trị đã hiệu chuẩn và nhập vào cột 4. |
| Mục 1 | Tổng số lần đọc dữ liệu trong thời gian thí nghiệm. |
| Mục 2 | Tính giá trị trung bình cho khoảng thời gian thí nghiệm. |
| Mục 3 | Tính độ lệch chuẩn đối với điểm dữ liệu này theo chỉ dẫn. Xem 5.2.4.1 để biết thêm thông tin về độ lệch chuẩn. |
A.10.2 Biểu mẫu SYSUNC, Bảng tính rút gọn dữ liệu về độ không đảm bảo hệ thống
Bảng dữ liệu này được sử dụng để diễn giải và tính toán độ không đảm bảo hệ thống cho từng thiết bị đo, bao gồm tất cả các thành phần thiết bị cần thiết cho phép đo. Do đó, nếu áp suất được đo bằng hai đầu dò áp suất có mức chất lượng khác nhau, hoặc một số cặp nhiệt điện được đọc bằng vôn kế tự động còn các cặp khác được đọc bằng điện kế cầm tay, thì sẽ cần thêm một số bảng dữ liệu cho cả áp suất và nhiệt độ.
| Mục 1 | Liệt kê tất cả các yếu tố tiềm ẩn có thể gây ra sai số hệ thống. |
| Các mục 2 và 3 | Nhập các giá trị đã thống nhất về độ không đảm bảo hệ thống, bao gồm cả giá trị dương và giá trị âm. Hai cột được dành sẵn để ghi riêng độ không đảm bảo hệ thống dương và âm. Độ không đảm bảo hệ thống có thể được nhập dưới dạng phần trăm chỉ số đọc hoặc theo cùng đơn vị với thông số đo được. Lưu ý rằng các đơn vị phải cùng đơn vị tính giá trị trung bình của thông số đo được. |
| Các mục 2A, 2B, 3A, 3B | Tính tổng các giá trị độ không đảm bảo hệ thống dương và âm và nhập kết quả. |
A.11 Các tính toán độ không đảm bảo: Hướng dẫn thực hiện các biểu mẫu Bảng tính độ không đảm bảo
Các biểu mẫu Bảng tính độ không đảm bảo được sử dụng để tính toán độ không đảm bảo tổng thể. Các biểu mẫu này có thể được sử dụng để ước tính độ không đảm bảo trước thí nghiệm hoặc để tính độ không đảm bảo thực tế theo thí nghiệm. Tất cả các biểu mẫu tính toán khác phải được hoàn thành trước khi thực hiện các tính toán về độ không đảm bảo. Xem Phần 5 của Tiêu chuẩn về các quy trình tính toán độ không đảm bảo. Xem Phần 4 và Phần 7 của Tiêu chuẩn về phân tích độ không đảm bào và hướng dẫn xác định sai số ngẫu nhiên và sai số hệ thống đối với các thông số đo được.
A.11.1 Biểu mẫu UNCERTa, Bảng tính độ không đảm bảo số 1
Bảng tính được đưa ra ở đây đã được thiết lập để tính hiệu suất. Biểu mẫu bảng tính chứa các thông tin đầu vào để rút gọn dữ liệu và các thông tin cần thiết để xác định thành phần ngẫu nhiên của độ không đảm bảo. Các dữ liệu đầu vào cho các tham số đồng nhất theo vị trí trong không gian (tức là các tham số chỉ thay đổi theo thời gian, được lấy từ Bảng tính dữ liệu MEAS). Dữ liệu đầu vào cho các tham số không đồng nhất theo vị trí trong không gian được lấy từ Biểu mẫu INTAVG.
| Các mục từ a đến z | Các tham số được đo. Các hạng mục này phải bao gồm tất cả các tham số được đo và/hoặc được ước tính để sử dụng trong việc tính toán hiệu suất (hoặc bất kỳ kết quả tính toán nào khác như năng lượng đầu ra, lưu lượng nhiên liệu, v.v.). |
| Mục 1 | Giá trị trung bình. Nhập giá trị trung bình của từng tham số đo được từ Biểu mẫu MEAS - mục 2 hoặc Biểu mẫu INTAVG - mục 52. |
| Mục 2 | Độ lệch chuẩn. Nhập độ lệch chuẩn của từng tham số đo được từ Biểu mẫu MEAS - mục 3 hoặc Biểu mẫu INTAVG - mục 53. |
| Số hiệu bảng tính SYSUNC | Nhập số bảng hiệu tính SYSUNC. Dữ liệu của Biểu mẫu SYSTEMATIC có thể được sử dụng cho các tham số đo được bằng thiết bị đo tương tự. |
| Mục 3 | Tổng các giá trị dương của độ không đảm bảo hệ thống. Nhập các giá trị dương của độ không đảm bảo hệ thống có thể áp dụng từ Bảng tính SYSUNC - mục 2A và 2B hoặc Biểu mẫu INTAVG - mục 48 hoặc 49. |
| Mục 4 | Tổng các giá trị âm của độ không đảm bảo hệ thống. Nhập các giá trị âm của độ không đảm bảo hệ thống có thể áp dụng từ Bảng tính SYSUNC - mục 3A và 3B hoặc Biểu mẫu INTAVG - mục 48 hoặc 49. |
| Mục 5 | Số lần đọc dữ liệu đo. Nhập số lần đọc từng tham số được đo trong thời gian thí nghiệm từ Biểu mẫu MEAS - mục 1 hoặc Biểu mẫu INTAVG - mục 54. |
| Mục 6 | Tính độ lệch chuẩn của giá trị trung bình cho mỗi tham số đo được theo công thức. |
| Mục 7 | Bậc tự do. Bậc tự do cho mỗi tham số được đo bằng số lần đọc dữ liệu trừ đi 1. |
| Mục 8 | Phần trăm thay đổi. Nhập phần trăm thay đổi trong giá trị trung bình của mỗi tham số được đo. Phần trăm thay đổi được khuyến nghị là 1,0% (1,01). |
| Mục 9 | Thay đổi gia tăng. Tính toán mức thay đổi gia tăng cho mỗi tham số đo được theo công thức tính. Nếu giá trị trung bình của thông số đo được bằng 0 thì nhập bất kỳ mức thay đổi gia tăng nhỏ nào. Lưu ý: mức thay đổi gia tăng phải cùng đơn vị với giá trị trung bình. |
A.11.2 Biểu mẫu UNCERTb, Bảng tính độ không đảm bảo số 2
Bảng tính được đưa ra ở đây đã được thiết lập để tính hiệu suất. Biểu mẫu bảng tính chứa các thông tin cần thiết để tính tổng độ không đảm bảo. Các ký hiệu được sử dụng trên các bảng tính này đề cập đến tính toán hiệu suất, tuy nhiên các bảng tính có thể được sử dụng cho bất kỳ tính toán nào như năng lượng đầu ra, lưu lượng nhiên liệu, tỷ lệ canxi/lưu huỳnh, v.v.
| Các mục từ a đến z | Các tham số được đo. Các hạng mục này phải bao gồm tất cả các tham số được đo và/hoặc được ước tính để sử dụng trong việc tính toán hiệu suất (hoặc bất kỳ kết quả tính toán nào khác như năng lượng đầu ra). Các tham số này phải tương ứng với các mục trên Biểu mẫu UNCERTa. |
| Mục 10 | Hiệu suất được tính toán lại. Nhập hiệu suất được tính toán lại (hoặc mục tính toán khác ví dụ như năng lượng đầu ra) dựa trên sự thay đổi gia tăng của tham số đo được từ mục 9. Giá trị trung bình của tất cả các tham số đo khác không được thay đổi trong quá trình tính toán lại từng tham số được đo. |
| Mục 11 | Hệ số độ nhạy tuyệt đối. Tính hệ số độ nhạy tuyệt đối theo công thức. |
| Mục 12 | Hệ số độ nhạy tương đối. Tính hệ số độ nhạy tương đối theo công thức. |
| Mục 13 | Tính độ không đảm bảo ngẫu nhiên của phép tính kết quả. Nhập tích của mục 11 và 6. |
| Mục 14 | Bậc tự do đối với phần đóng góp của độ không đảm bảo ngẫu nhiên. Tính tử số trong công thức (200) theo công thức tính toán. |
| Mục 15 | Độ không đảm bảo hệ thống có giá trị dương của kết quả. Tính độ không đảm bảo hệ thống có giá trị dương của kết quả theo công thức được thể hiện trong cột này. Việc này sẽ chuyển đổi các giá trị % độ không đảm bảo hệ thống thành các đơn vị đo cho mỗi tham số được đo. |
| Mục 16 | Độ không đảm bảo hệ thống có giá trị âm của kết quả. Tính độ không đảm bảo hệ thống có giá trị âm của kết quả theo công thức thể hiện trong cột này. Việc này sẽ chuyển đổi các giá trị % độ không đảm bảo hệ thống thành các đơn vị đo cho mỗi tham số được đo. |
| Mục 20 | Hiệu suất cơ sở. Nhập mục 100 từ Biểu mẫu EFFb, được tính toán với giá trị trung bình của tất cả các thông số đo được hoặc độ không đảm bảo kỳ vọng của mục được tính toán (ví dụ: năng lượng đầu ra). |
| Mục 21 | Thành phần ngẫu nhiên của độ không đảm bảo. Tính thành phần ngẫu nhiên của độ không đảm bảo theo công thức. |
| Mục 22 | Bậc tự do đối với độ không đảm bảo ngẫu nhiên. Tính bậc tự do đối với độ không đảm bảo ngẫu nhiên theo công thức. |
| Các mục 23 và 24 | Độ không đảm bảo hệ thống có giá trị dương và giá trị âm của kết quả. Tính toán theo công thức tính cho từng mục. |
| Mục 25 | Bậc tự do đối với kết quả thí nghiệm tổng thể. Tính bậc tự do có giá trị dương cho kết quả thí nghiệm tổng thể theo công thức tính. Thay mục 24 cho mục 23 để tính bậc tự do có giá trị âm cho kết quả thí nghiệm tổng thể. |
| Mục 26 | Giá trị t của phân bố Sudent cho bậc tự do tổng thể đối với thí nghiệm. Nhập giá trị t của phân bố Student được xác định theo Bảng 22 trong Tiêu chuẩn cho cả bậc tự do có giá trị dương và âm đối với kết quả thí nghiệm tổng thể. |
| Các mục 27 và 28 | Tổng độ không đảm bảo có giá trị dương và âm của thí nghiệm. Tính toán kết quả cuối cùng của độ không đảm bảo có giá trị dương và âm theo công thức tính cho từng mục. |
A.11.3 Biểu mẫu INTAVG, Bảng tính độ không đảm bảo đối với các tham số có giá trị không đồng nhất theo vị trí trong không gian
Biểu mẫu bảng tính này chứa các thông tin đầu vào cần thiết cho việc rút gọn dữ liệu của từng điểm trên lưới đo cũng như các thông tin cần thiết để xác định thành phần ngẫu nhiên của độ không đảm bảo và tổng độ không đảm bảo hệ thống của các tham số không đồng nhất theo vị trí trong không gian. Các thông tin này bao gồm mọi tham số thay đổi theo cả thời gian và vị trí trong không gian (ví dụ: nhiệt độ trong kênh dẫn lớn). Biểu mẫu này cũng áp dụng cho trường hợp có nhiều kênh dẫn thường gặp trên các lò hơi cỡ lớn.
| Mục 30 | Số điểm đo theo chiều rộng. Nhập số điểm trên lưới đo theo phương ngang (X). |
| Mục 31 | Số điểm đo theo chiều cao. Nhập số điểm trên lưới đo theo phương đứng (Y). |
| Mục 32 | Tổng số điểm. Nhập tổng số điểm trên lưới đo. |
| Mục 33 | Số lần đọc dữ liệu tại mỗi điểm. Nhập số lần đọc dữ liệu đo và được ghi lại tại mỗi điểm trên lưới đo MEAS. |
| Mục 34 | Bậc tự do trên mỗi điểm. Bậc tự do trên mỗi điểm bằng số lần đọc dữ liệu tại điểm đó trừ đi 1. |
| Điểm trên lưới đo | Nhận dạng vị trí của từng điểm trên lưới đo. |
| Mục 35 | Giá trị trung bình. Nhập giá trị trung bình theo thời gian cho mỗi điểm trên lưới đo. |
| Mục 36 | Độ lệch chuẩn của giá trị trung bình. Tính độ lệch chuẩn của giá trị trung bình cho mỗi điểm trên lưới đo theo công thức. |
| Mục 37 | Tính bậc tự do. Tính thành phần của công thức bậc tự do cho mỗi điểm trên lưới đo theo công thức. |
| Mục 38 | Tính chỉ số phân bố theo không gian. Tính thành phần của chỉ số phân bố theo vị trí trong không gian theo công thức. |
| Mục 39 | Giá trị ước tính theo trọng số lưu lượng. Tính giá trị ước tính có trọng số lưu lượng của mỗi điểm trên lưới đo theo công thức. |
| Mục 40 | Số điểm làm việc. Nhập số lượng điểm làm việc thực tế cho mỗi lưới đo. |
| Mục 41 | Giá trị trung bình của lưới đo. Tính giá trị trung bình của mỗi lưới đo theo công thức. |
| Mục 42 | Độ lệch chuẩn của giá trung bình cho mỗi lưới đo. Tính độ lệch chuẩn của giá trị trung bình cho mỗi lưới đo theo công thức. |
| Mục 43 | Tính tổng bậc tự do cho mỗi lưới đo. Tính tổng bậc tự do tính toán cho mỗi lưới đo theo công thức tính. |
| Mục 44 | Chỉ số phân bố theo không gian cho lưới đo, SDI. Tính chỉ số phân bố theo không gian cho lưới đo theo công thức tính. |
| Mục 45 | Giá trị trung bình có trọng số lưu lượng của lưới đo (ước tính). Tính toán giá trị trung bình có trọng số lưu lượng ước tính của mỗi lưới đo theo công thức. |
| Mục 46 | Độ không đảm bảo hệ thống do sử dụng giá trị trung bình tích phân, tính theo đơn vị đo. Tính độ không đảm bảo hệ thống do sử dụng giá trị trung bình tích phân theo đơn vị đo cho mỗi lưới đo theo công thức. |
| Mục 47 | Độ không đảm bảo hệ thống do sử dụng giá trị trung bình tích phân (ước tính), tính theo đơn vị đo. Tính độ không đảm bảo hệ thống do sử dụng giá trị trung bình tích phân (ước tính) theo đơn vị đo cho mỗi lưới đo theo công thức. |
| Mục 48 | Tổng độ không đảm bảo hệ thống của do phương tiện đo. Nhập tổng độ không đảm bảo hệ thống có giá trị dương và âm từ Biểu mẫu SYSUNC theo % và theo đơn vị đo. Độ không đảm bảo hệ thống theo % là giá trị được ghi vào cột thích hợp cho mục 3 và 4 trên Biểu mẫu UNCERTa. |
| Mục 49 | Tổng độ không đảm bảo hệ thống kết hợp đối với giá trị trung bình tích phân, tính theo đơn vị đo. Tính toán theo công thức tính. Độ không đảm bảo hệ thống tính theo đơn vị đo là giá trị được ghi vào trong cột thích hợp cho mục 3 và 4 trên Biểu mẫu UNCERTa. |
| Mục 50 | Độ lệch chuẩn của giá trị trung bình đối với vị trí đo. Đây là giá trị trung bình cho tất cả các kênh dẫn riêng lẻ. Để thuận tiện cho việc giao tiếp với Biểu mẫu UNCERTa kết hợp với Biểu mẫu dữ liệu MEAS, độ lệch chuẩn mẫu được tính toán như dưới đây. |
| Mục 51 | Bậc tự do đối với vị trí đo. Đây là giá trị trung bình cho tất cả các kênh dẫn riêng lẻ. Để thuận tiện cho việc giao tiếp với Biểu mẫu UNCERTa kết hợp với Biểu mẫu dữ liệu MEAS, số lần đọc dữ liệu được tính như dưới đây. |
| Mục 52 | Giá trị trung bình cho vị trí đo đối với Biểu mẫu UNCERTa. Đây là giá trị trung bình cho tất cả các kênh dẫn riêng lẻ. |
| Mục 53 | Độ lệch chuẩn đối với vị trí đo cho Biểu mẫu UNCERTa. Chuyển đổi độ lệch chuẩn của giá trị trung bình đối với vị trí đo thành độ lệch chuẩn mẫu để có giao diện thống nhất với Biểu mẫu UNCERTa kết hợp với Biểu mẫu dữ liệu MEAS. |
| Mục 54 | Số lần đọc dữ liệu cho Biểu mẫu UNCERTa. Chuyển đổi bậc tự do đối với vị trí đo thành số lần đọc dữ liệu để giao tiếp thống nhất với Biểu mẫu UNCERTa kết hợp với Biểu mẫu dữ liệu MEAS. |
Biểu mẫu EFFa - Các dữ liệu cần thiết để tính toán hiệu suất

Biểu mẫu EFFb Tính toán hiệu suất

Biểu mẫu EFFc Tính toán hiệu suất
Các tổn thất và các dòng nhiệt đóng góp khác

Biểu mẫu CMBSTNa Tính toán quá trình cháy

Biểu mẫu CMBSTNb Tính toán quá trình cháy

Biểu mẫu CMBSTNc Tính toán quá trình cháy

Biểu mẫu GAS Nhiên liệu khí

Biểu mẫu RES Tính toán carbon chưa cháy hết và tro xỉ

Biểu mẫu SRBa Bảng tính chất hấp thụ C và CO2 đo được trong tro xỉ

Biểu mẫu SRBb Bảng tính chất hấp thụ
Tính lượng lưu huỳnh được khử và các tính toán khác về chất hấp thụ và tro xỉ

Biểu mẫu SRBc Bảng tính chất hấp thụ
Tính hiệu suất

Biểu mẫu OUTPUT Năng lượng đầu ra

Biểu mẫu MEAS Bảng tính rút gọn dữ liệu đo

Biểu mẫu SYSUNC Bảng tính độ không đảm bảo hệ thống

Biểu mẫu UNCERTa Bảng tính độ không đảm bảo số 1

Biểu mẫu UNCERTb Bảng tính độ không đảm bảo số 2

Biểu mẫu INTAVG Bảng tính độ không đảm bảo đối với các tham số có giá trị không đồng nhất theo vị trí trong không gian

Phụ lục B
(Tham khảo)
Xác định hiệu suất thô theo phương pháp cân bằng nghịch và phương pháp cân bằng thuận
Xác định hiệu suất theo nhiệt trị thấp theo phương pháp cân bằng nghịch
B.1 Giới thiệu
Hiệu suất là tỷ lệ giữa năng lượng đầu ra và năng lượng đầu vào, được biểu thị bằng phần trăm (%). Tiêu chuẩn này chấp nhận cả hai khái niệm về hiệu suất của lò hơi: hiệu suất nhiên liệu (hiệu suất tinh) và hiệu suất thô.
Đối với cả hai khái niệm về hiệu suất này, năng lượng đầu ra (QrO) có cùng một giá trị, và theo định nghĩa là năng lượng được hấp thụ bởi môi chất làm việc mà không được phục hồi trong phạm vi lò hơi.
Đối với hiệu suất nhiên liệu (EF), năng lượng đầu vào hệ thống được định nghĩa là tổng nhiệt lượng của quá trình cháy nhiên liệu, hay còn gọi là năng lượng đầu vào từ nhiên liệu (QrF).
Đối với hiệu suất thô (EGr), năng lượng đầu vào hệ thống là tổng năng lượng được cấp vào hệ thống hay năng lượng gộp đầu vào (QrIGr). Năng lượng gộp đầu vào là tổng năng lượng đầu vào từ nhiên liệu (QrF) cộng với nhiệt đóng góp (QrB) hoặc năng lượng được bổ sung vào hệ thống từ các nguồn khác với nhiệt độ tham chiếu là 25°C.

B.2 Phương pháp cân bằng nghịch
Để tính toán hiệu suất thô (EGr) theo phương pháp cân bằng nghịch, trước tiên phải tính hiệu suất nhiên liệu (EF) bằng phương pháp cân bằng nghịch theo Phần 5 của Tiêu chuẩn này. Sau đó, hiệu suất thô có thể được tính từ một trong các công thức sau:

trong đó:
QpB là tổng các dòng nhiệt đóng góp, tính theo %
QpL là tổng các tổn thất, tính theo %
QrB là tổng các dòng nhiệt đóng góp, tính theo W.
QrL là tổng các tổn thất, tính theo W
B.3 Phương pháp cân bằng thuận
Hiệu suất tính toán theo phương pháp cân bằng thuận dựa trên việc đo lưu lượng nhiên liệu và các thông số cần thiết về trạng thái môi chất của lò hơi để tính toán năng lượng đầu ra. Các dòng nhiệt đóng góp được đo lường hoặc tính toán để xác định tổng năng lượng đầu vào như được định nghĩa trên đây. Độ không đảm bảo của hiệu suất tính theo phương pháp cân bằng thuận phụ thuộc độ vào chính xác của việc xác định lưu lượng nhiên liệu, phân tích nhiên liệu đại diện và năng lượng đầu ra của lò hơi do đó để có được kết quả tin cậy, cần phải xác định chính xác các đại lượng này.

trong đó:
HHVF là nhiệt trị cao của nhiên liệu, J/kg. (Xem 5.8).
MrF là lưu lượng khối lượng đo được của nhiên liệu, kg/s
QrF là nhiệt năng đầu vào từ nhiên liệu, W
Để tính được các dòng nhiệt đóng góp từ nhiệt năng trong không khí khô cấp vào lò (QrBDA) và độ ẩm trong không khí khô cấp vào lò (QrBWA) yêu cầu phải xác định lưu lượng khối lượng của không khí khô. Lưu lượng khối lượng của không khí khô được tính theo cân bằng phản ứng cháy từ kết quả phân tích các nguyên tố chính của nhiên liệu và carbon chưa cháy hết trong tro xỉ (xem Phần 5 và Biểu mẫu tính toán quá trình cháy, Phụ lục A). Đối với các lò hơi không sử dụng chất hấp thụ để khử lưu huỳnh, có thể phải tính toán lượng carbon chưa cháy hết trong tro xỉ (xem Biểu mẫu tính toán carbon chưa cháy hết trong tro xỉ, Phụ lục A). Đối với các lò hơi có sử dụng chất hấp thụ, cần phải tính toán % theo khối lượng của lưu huỳnh được khử và carbon chưa cháy hết trong tro xỉ (xem Biểu mẫu tính toán chất hấp thụ, Phụ lục A). Dòng nhiệt đóng góp từ quá trình sulfat hóa (QrBSlf) được tính toán từ tỷ lệ khối lượng của lưu huỳnh được khử như đã tính trên đây. Việc sử dụng chất hấp thụ cũng ảnh hưởng đến lưu lượng của không khí khô.
B.4 Hiệu suất tính theo nhiệt trị thấp (LHV)
Tiêu chuẩn này sử dụng nhiệt trị cao của nhiên liệu làm đại lượng ưu tiên để xác định năng lượng đầu vào từ nhiên liệu. Dưới đây trình bày cách tính hiệu suất theo nhiệt trị thấp (LHV), hay còn gọi là giá trị tỏa nhiệt thực.
Nhiệt trị thấp LHV phải được tính toán từ nhiệt trị cao HHV đo được. Hiện nay có một số tiêu chuẩn khác nhau có thể áp dụng để tính toán nhiệt trị thấp LHV, nhưng các công thức tính toán trong các tiêu chuẩn này không thống nhất, cụ thể là các hằng số sử dụng để tính nhiệt sinh ra từ quá trình cháy và nhiệt độ sử dụng để xác định nhiệt hóa hơi (hFG) còn khác nhau giữa các tiêu chuẩn.
Tiêu chuẩn này quy định nhiệt độ tham chiếu là 25°C. Căn cứ Bảng hơi nước ASME sử dụng trong công nghiệp (IAWPS-IF97), giá trị khuyến nghị của hFG đối với nhiên liệu rắn và lỏng ở 25°C là 2422 kJ/kg. Theo đó, công thức tính toán LHV từ HHV như sau:
![]()
trong đó:
C1 = 2422 kJ/kg
H2F là hàm lượng H2 trong nhiên liệu, % theo khối lượng
H2OF là hàm lượng H2O trong nhiên liệu, % theo khối lượng
Đối với nhiên liệu khí, LHV phải được tính toán dựa trên các giá trị LHV được quy định cho các thành phần riêng lẻ trong nhiên liệu khí theo TCVN 12553 (ASTM D3588).
Lưu ý: LHV và HHV phải được xác định ở cùng điều kiện (áp suất không đổi hoặc thể tích không đổi).
Độ không đảm bảo hệ thống đối với LHV phải bao gồm độ không đảm bảo của việc xác định hàm lượng H2 và H2O trong nhiên liệu cùng với độ không đảm bảo hệ thống.
Hiệu suất theo nhiệt trị thấp được tính toán bằng cách thay thế LHV vào chỗ HHV trong tất cả các công thức tính liên quan.
Do LHV được xác định bằng cách lấy HHV nhiên liệu trừ đi phần nhiệt hóa hơi được tạo thành từ sự đốt cháy của H2 trong nhiên liệu và hàm lượng nước trong nhiên liệu rắn hoặc lỏng, nên phương pháp tính tổn thất theo LHV do nước từ nhiên liệu là khác nhau. Tổn thất năng lượng theo HHV dựa trên mức chênh lệch entanpi của hơi tại nhiệt độ khói thoát ra (HStLvCr) và entanpi của nước (HWRe) tại nhiệt độ tham chiếu. Tổn thất năng lượng theo LHV dựa trên mức chênh lệch entanpi của hơi nước tại nhiệt độ khói thoát ra (HWvLvCr) và entanpi của hơi nước tại nhiệt độ tham chiếu (HWvRe). Do đó, tổn thất theo LHV do nước tạo thành từ quá trình cháy H2 (QpLH2FLHV) được tính toán theo công thức sau:
![]()
trong đó:
MqWH2F là lượng nước được tạo ra từ quá trình đốt cháy H2 trong nhiên liệu, tính bằng khối lượng trên một đơn vị năng lượng đầu vào theo HHV
Để duy trì sự nhận biết các đại lượng đã được chuẩn hóa (ví dụ: không khí lý thuyết), có thể tiếp tục tính toán các thông số liên quan đến nhiên liệu hoặc năng lượng đầu vào từ nhiên liệu theo nhiệt trị cao HHV. Theo đó, tất cả các tổn thất và dòng nhiệt đóng góp (tính bằng phần trăm năng lượng đầu vào từ nhiên liệu) đều được tính theo nhiệt trị cao HHV, sau đó nhân với tỷ số RHV giữa nhiệt trị cao và nhiệt trị thấp:
![]()
Đối với Tiêu chuẩn này, entanpi của tất cả các chất (ngoại trừ hơi nước) đều được xác định theo nhiệt độ tham chiếu của Tiêu chuẩn là 25°C. Do đó, entanpi của hơi nước ở nhiệt độ tham chiếu là bằng không (0,0). Xem 5.19.4 về phương pháp tính toán.
Vì vậy, các công thức về tổn thất do nước tạo thành từ quá trình cháy H2 trong nhiên liệu và hàm lượng nước (H2O) trong nhiên liệu rắn hoặc lỏng như sau:
![]()
Đối với tất cả các tổn thất và dòng nhiệt đóng góp khác (tính bằng phần trăm năng lượng đầu vào từ nhiên liệu) cần phải nhân các giá trị tính theo HHV mới tỷ số RHV.
Kết hợp các tổn thất và các dòng nhiệt đóng góp được tính bằng % năng lượng đầu vào từ nhiên liệu theo LHV với các tổn thất và các dòng nhiệt đóng góp được tính bằng W, biểu thức để tính hiệu suất nhiên liệu có sử dụng các đơn vị hỗn hợp đối với các tổn thất và các dòng nhiệt đóng góp là:
![]()
trong đó:
SmQpLLHV và SmQpBLHV là tổng các tổn thất và dòng nhiệt đóng góp được tính bằng % năng lượng đầu vào từ nhiên liệu theo LHV
SmQrL và SmQrB là tổng các tổn thất và dòng nhiệt đóng góp được tính bằng W
Năng lượng đầu vào từ nhiên liệu tính theo LHV (QrFLHV) và lưu lượng khối lượng của nhiên liệu (MrF) có thể được tính toán từ năng lượng đầu ra và hiệu suất nhiên liệu được xác định bằng phương pháp cân bằng nghịch theo LHV theo các công thức sau:

Bạn chưa Đăng nhập thành viên.
Đây là tiện ích dành cho tài khoản thành viên. Vui lòng Đăng nhập để xem chi tiết. Nếu chưa có tài khoản, vui lòng Đăng ký tại đây!





















































