- Tổng quan
- Nội dung
- Tiêu chuẩn liên quan
- Lược đồ
- Tải về
Tiêu chuẩn quốc gia TCVN 14125:2024 ISO 6237:2017 Keo dán gỗ - Liên kết dán dính gỗ với gỗ - Xác định độ bền kéo trượt
| Số hiệu: | TCVN 14125:2024 | Loại văn bản: | Tiêu chuẩn Việt Nam |
| Cơ quan ban hành: | Bộ Khoa học và Công nghệ | Lĩnh vực: | Công nghiệp , Nông nghiệp-Lâm nghiệp |
| Trích yếu: | ISO 6237:2017 Keo dán gỗ - Liên kết dán dính gỗ với gỗ - Xác định độ bền kéo trượt | ||
|
Ngày ban hành:
Ngày ban hành là ngày, tháng, năm văn bản được thông qua hoặc ký ban hành.
|
29/05/2024 |
Hiệu lực:
|
Đã biết
|
| Người ký: | Đang cập nhật |
Tình trạng hiệu lực:
Cho biết trạng thái hiệu lực của văn bản đang tra cứu: Chưa áp dụng, Còn hiệu lực, Hết hiệu lực, Hết hiệu lực 1 phần; Đã sửa đổi, Đính chính hay Không còn phù hợp,...
|
Đã biết
|
TÓM TẮT TIÊU CHUẨN VIỆT NAM TCVN 14125:2024
Tiêu chuẩn quốc gia TCVN 14125:2024 ISO 6237:2017: Xác định độ bền kéo trượt của keo dán gỗ
Tiêu chuẩn quốc gia TCVN 14125:2024 ISO 6237:2017 về việc xác định độ bền kéo trượt cho liên kết keo dán gỗ được ban hành để giúp nâng cao chất lượng trong ngành công nghiệp gỗ. Văn bản này được công bố bởi Bộ Nông nghiệp và Phát triển nông thôn, có hiệu lực thi hành từ năm 2024.
Tiêu chuẩn này xác định rõ phương pháp thử nghiệm độ bền kéo trượt cho các liên kết gỗ với nhau, cụ thể áp dụng cho các kết cấu gỗ theo dạng song song hoặc vuông góc. TCVN 14125:2024 tương đương với ISO 6237:2017, nhằm đảm bảo tính mạnh mẽ và độ chính xác trong các thử nghiệm.
Về thiết bị, tiêu chuẩn yêu cầu sử dụng nhiều dụng cụ cụ thể bao gồm cân phân tích, máy thử độ kéo với tải trọng tối thiểu 5 kN, cùng các công cụ chuẩn bị khác như thiết bị trộn và máy ép đảm bảo nhiệt độ và áp suất phù hợp. Tất cả thông số này cần được duy trì trong giới hạn sai số cụ thể để đảm bảo độ chính xác trong các kết quả thử nghiệm.
Các mẫu thử nghiệm phải được cắt từ tấm gỗ có chiều dày khoảng (2,5 ± 0,5) mm, với độ ẩm được yêu cầu từ 10% đến 12%, phụ thuộc vào loại keo dán sử dụng. Số lượng mẫu thử tối thiểu yêu cầu là bốn mẫu từ mỗi tấm, và trong trường hợp cần độ chính xác cao hơn, yêu cầu lên đến 40 mẫu từ năm tấm khác nhau.
Khi thực hiện thử nghiệm, cần ghi nhận cá thông số như lực khi kéo đứt, khả năng phá hủy gỗ cũng như các thông số khác liên quan đến điều kiện thử nghiệm như nhiệt độ, độ ẩm. Những kết quả thu được sẽ được tính toán trung bình và độ lệch chuẩn để đảm bảo tính đáng tin cậy của dữ liệu.
Báo cáo kết quả thử nghiệm phải đầy đủ thông tin về loại keo, loại gỗ, điều kiện thử nghiệm, và tỷ lệ phần trăm của gỗ bị phá hủy sau khi thử nghiệm. Các thông tin này sẽ giúp ích rất lớn cho việc tiêu chuẩn hóa chất lượng sản phẩm trong ngành công nghiệp chế biến gỗ, từ đó bảo vệ quyền lợi của người tiêu dùng và doanh nghiệp sản xuất.
Tiêu chuẩn TCVN 14125:2024 không chỉ là một văn bản pháp lý mà còn là tài liệu trực tiếp hướng dẫn cho các doanh nghiệp trong quy trình sản xuất và kiểm nghiệm chất lượng gỗ dán, đảm bảo độ bền cũng như tính an toàn cho người sử dụng.
Tải tiêu chuẩn Việt Nam TCVN 14125:2024
TIÊU CHUẨN QUỐC GIA
TCVN 14125:2024
ISO 6237:2017
KEO DÁN GỖ - LIÊN KẾT DÁN DÍNH GỖ VỚI GỖ - XÁC ĐỊNH ĐỘ BỀN KÉO TRƯỢT
Wood adhesive - Wood-to-wood adhesive bonds - Determination of shear strength
Lời nói đầu
TCVN 14125:2024 hoàn toàn tương đương với ISO 6237:2017
TCVN 14125:2024 do Viện Khoa học Lâm nghiệp Việt Nam biên soạn, Bộ Nông nghiệp và Phát triển nông thôn đề nghị, Tổng cục Tiêu chuẩn Đo lường Chất lượng thẩm định, Bộ Khoa học và Công nghệ công bố.
KEO DÁN GỖ - LIÊN KẾT DÁN DÍNH GỖ VỚI GỖ - XÁC ĐỊNH ĐỘ BỀN KÉO TRƯỢT
Wood adhesive - Wood-to-wood adhesive bonds - Determination of shear strength
1 Phạm vi áp dụng
Tiêu chuẩn này quy định phương pháp xác định độ bền kéo trượt màng keo của liên kết giữa gỗ với gỗ, với mẫu chịu kéo ở các điều kiện chuẩn bị, ổn định và thử nghiệm quy định. Phương pháp này chỉ áp dụng thử nghiệm keo dán gỗ trong liên kết gỗ với gỗ ở dạng kết cấu lớp gỗ song song hoặc vuông góc.
Phương pháp này không áp dụng thử nghiệm các sản phẩm hoàn chỉnh.
2 Tài liệu viện dẫn
Các tài liệu viện dẫn sau là cần thiết cho việc áp dụng tiêu chuẩn này. Đối với tài liệu viện dẫn ghi năm công bố thì áp dụng bàn được nêu. Đối với các tài liệu viện dẫn không ghi năm công bố thì áp dụng bản mới nhất, bao gồm cả các sửa đổi, bổ sung (nếu có).
ISO 472, Plastics - Vocabulary (Chất dẻo - Từ vựng).
3 Thuật ngữ và định nghĩa
Tiêu chuẩn này sử dụng các thuật ngữ và định nghĩa nêu trong ISO 472.
4 Thiết bị, dụng cụ
4.1 Dụng cụ chuẩn bị keo dán
4.1.1 Cân và thiết bị có khả năng cân tỷ lệ hỗn hợp keo dán gỗ trong khoảng sai số ± 1 %.
4.1.2 Thiết bị trộn đảm bảo trộn đồng nhất các thành phần với sự thông khí tối thiểu của keo dán (trừ keo dán có bọt).
4.1.3 Thiết bị trải keo như rulo máy lăn keo, máy trải keo hoặc dụng cụ quét tay thích hợp có khả năng trải keo đồng đều trong phạm vi ± 5 % độ dày mong muốn.
4.1.4 Thiết bị ép, được thiết kế để tạo áp suất cần thiết đồng đều trên toàn bộ diện tích kết dính trong phạm vi ± 5 % giá trị mong muốn, ví dụ như máy ép hoặc vam kẹp. Nếu cần, các mặt ép được gia nhiệt có khả năng duy trì nhiệt độ quy định trong khoảng ± 2°C trong quá trình ép.
4.2 Thiết bị thử
4.2.1 Cân phân tích
4.2.2 Dụng cụ đo chiều dài, có vạch chia đến 0,05 mm, ví dụ thước kẹp hoặc thước panme.
4.2.3 Máy thử, có tải trọng kéo ít nhất là 5 kN với độ chính xác ± 2 %. Lực phải được tác dụng với tốc độ tăng đồng đều trong phạm vi 2,5 kN/min đến 6 kN/min hoặc ở tốc độ con trượt đều trong khoảng từ 0,5 mm/min đến 1,0 mm/min trừ khi có thỏa thuận khác giữa các bên liên quan.
Máy thử phải trang bị các ngàm kẹp phù hợp để mẫu được giữ chặt mà không bị trượt trong quá trình thử nghiệm và giữ thẳng hàng để lực kéo áp dụng như yêu cầu trong Điều 9.
5 Mẫu thử
5.1. Loại gỗ, chất lượng và độ ẩm mẫu theo Phụ lục B.
5.2. Mẫu thử phải có kết cấu hai lớp hoặc ba lớp và phù hợp với hình dạng và kích thước đưa ra trong Hình 1 và Hình 2. Các mẫu thử phải được cắt từ các tấm thử được chuẩn bị như mô tả trong Điều 6.
Kích thước tính theo milimet

CHÚ DẪN:
a. Cắt nhưng không vượt quá mạch keo;
b. Chiều rộng mạch xẻ;
c. Hướng thớ của cả hai loại ván mỏng;
d. Mạch keo;
e. Hướng thớ của ván mỏng lớp mặt (hướng thớ của ván mỏng trung tâm phải vuông góc với thớ của hai lớp mặt).
Hình 1 - Mẫu thử
Kích thước tính theo milimet

CHÚ DẪN:
a. Chiều rộng của vết cắt;
b. Hướng thớ.
Hình 2 - Sơ đồ lấy mẫu
5.2.1 Đối với mẫu có kết cấu hai lớp, thớ của cả hai lớp phải song song với chiều dài của mẫu.
5.2.2 Đối với mẫu có kết cấu ba lớp hoặc nhiều lớp vuông góc, thớ của lớp mặt phải song song với chiều dài của mẫu và thớ của lớp giữa tâm phải song song với chiều rộng của mẫu và vuông góc với thớ của hai lớp ngoài cùng.
CHÚ THÍCH: Cả hai loại nhìn chung đều thích hợp để thử nghiệm đối với keo tiếp xúc kín nhưng không thể so sánh giá trị thu được với hai mẫu thử khác nhau. Các mẫu thử hai lớp thường được sử dụng cho các ứng dụng mà hướng/thớ của vật dán là song song trong khi các mẫu thử ba lớp có thể được ưu tiên cho các keo dán gỗ chủ yếu được sử dụng trong sản xuất ván nhân tạo như gỗ dán hoặc ván dăm.
5.2.3 Đối với mục đích kiểm tra chất lượng keo dán gỗ, thử nghiệm tối thiểu bốn mẫu từ mỗi tấm trong số ba tấm có kết cấu tương tự.
5.2.4 Trong trường hợp yêu cầu độ chính xác cao hơn, cần thử ít nhất 40 mẫu thử, tám mẫu từ năm tấm khác nhau có kết cấu tương tự.
6 Chuẩn bị mẫu thử
6.1 Cắt ván mỏng thành các kích thước phù hợp và ghép thành nhóm hai hoặc ba tấm (xem 5.2).
6.2 Chuẩn bị keo dán gỗ theo quy trình do nhà sản xuất quy định.
6.3 Bề mặt kết dính có thể được làm nhẵn hoặc không, theo thỏa thuận giữa các bên liên quan. Trải keo dán gỗ lên ván mỏng theo chỉ định của nhà sản xuất keo dán. Sau khi đủ thời gian theo quy định, ghép các tấm ván mỏng thành các tấm ván hai hoặc ba lớp như mô tả trong 5.2.1 hoặc 5.2.2 tương ứng. Sau đỏ đặt ván mẫu theo các điều kiện quy định trong Phụ lục A.
7 Ổn định tấm thử
Ván sau khi ép để ổn định ở độ ẩm tương đối (50 ± 5) % và nhiệt độ (23 ± 2) °C, trong 7 ngày hoặc cho đến khi tấm thử đạt được khối lượng không đổi, sẽ chọn lựa thời gian dài hơn trong 2 khoảng thời gian này. (Khối lượng không đổi được coi là đạt được khi kết quả của hai lần cân liên tiếp, được thực hiện trong khoảng thời gian 6h, không chênh lệch quá 0,1 % khối lượng của tấm thử).
Điều kiện ổn định có thể thay đổi tùy theo sự thỏa thuận giữa các bên có liên quan.
8 Chuẩn bị mẫu thử
8.1 Cắt mẫu thử theo Hình 1, cần chú ý loại bỏ phần rìa để loại trừ các ảnh hưởng của cạnh. Trước tiên, tại vị trí phù hợp trong tấm ván thử, cắt các rãnh có chiều rộng, chiều sâu phù hợp, sử dụng cưa hoặc bất kỳ phương pháp nào cho kết quả chính xác. Vết cắt của các mẫu thử như trong Hình 1 và 2. Vết cắt của tấm mẫu thử phải rộng bằng chiều rộng màng keo dán và phải cắt hết lớp keo dán. Với tấm mẫu thử 3 lớp, vết cắt phải đến màng keo thứ 2. Cắt các mẫu thử từ các tấm mẫu thử đã được xẻ rãnh. Đánh số mẫu thử theo thứ tự từ đầu này đến đầu kia của tấm mẫu thử và định danh mẫu thử theo tấm mẫu thử mà chúng được cắt ra. Chọn các mẫu được thử nghiệm sao cho số lượng mẫu đều và bằng nhau từ mỗi tấm mẫu thử. Ghi lại kích thước của vùng kéo trượt được gia công.
8.2 Bảo quản các mẫu thử trong môi trường ổn định đưa ra trong Điều 7 cho đến khi được thử nghiệm. Các mẫu thử có thể được lấy ra khỏi môi trường ổn định trong thời gian ngắn khi cắt mẫu thử.
9 Cách tiến hành
9.1 Đặt mẫu thử vào các ngàm kẹp của máy thử (4.2.3) sao cho các rãnh cách đầu của ngàm kẹp khoảng 5 mm. Mẫu thử phải được căn chỉnh vừa khít và các cặp ngàm phải nằm thẳng hàng với nhau và ở vị trí sao cho một đường thẳng đứng tưởng tượng sẽ đi qua tâm của lớp lõi và qua các điểm treo của các ngàm kẹp. Thử các mẫu thử từ mỗi tấm mẫu thử theo thứ tự được đánh số và đặt chúng lần lượt vào các ngàm sao cho trong một trường hợp phần khía trên ở bên trái và trong trường hợp còn lại là bên phải. Tốc độ kéo của các bộ gá được chọn để đảm bảo việc phá hủy mẫu xảy ra trong vòng (60 ± 20) s, trừ khi có thỏa thuận về tốc độ khác (xem 4..2.3). Ghi lại tốc độ kéo trong báo cáo thử nghiệm.
9.2 Ghi lại lực khi kéo đứt và tỷ lệ phần trăm gỗ bị phá hủy gỗ đối với từng mặt dán thử nghiệm, ước tính được đưa ra trong 9.3. Biểu thị tất cả các lực bằng kilonewtons chính xác đến 10 N.
9.3 Để xác định mức độ phá hủy gỗ sau khi thử, chiếu sáng mẫu thử bằng đèn chiếu với góc tới từ 10° đến 15°. Nguồn sáng phải có bóng đèn, không phản chiếu. Nên sử dụng bóng đèn sợi đốt 150 w trong suốt hoặc bóng đèn huỳnh quang 15 w. Khoảng cách giữa bóng đèn sợi đốt và mẫu thử phải từ 150 mm đến 250 mm và khoảng cách giữa ống huỳnh quang và mẫu thử từ 25 mm đến 75 mm. Xác định tỷ lệ diện tích được bao phủ bởi gỗ, bất kể độ sâu của mẫu hỏng. Nếu vết đứt gãy do cắt không kéo dài trên toàn bộ diện tích thử nghiệm, thì độ hỏng của gỗ phải được tính theo tỷ lệ của diện tích bị đứt gãy.
Khi đánh giá mức độ phá hủy của gỗ, cả hai mặt của vết đứt gãy phải được đánh giá kết hợp. Tỷ lệ phần trăm diện tích của gỗ bị phá hủy phải được đánh giá chính xác đến 10 %.
9.4 Loại bỏ tất cả các mẫu bị kéo đứt bên ngoài vùng liên kết.
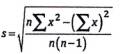
10 Biểu thị kết quả
10.1 Lực phá hủy mẫu tính bằng kilonewtons hoặc ứng suất tính bằng kilopascal khi đứt.
10.2 Tính giá trị trung bình x và độ lệch chuẩn s của lực hoặc ứng suất khi đứt và tỷ lệ phần trăm phá hủy của gỗ đối với các mẫu thử từ mỗi tấm mẫu thử và cho tất cả các mẫu thử, sử dụng Công thức (1) và Công thức (2):
|
| (1) |
và
|
| (2) |
trong đó:
x là kết quả mỗi lần thử;
n là số lượng mẫu thử.
11 Báo cáo kết quả
Báo cáo thử nghiệm phải bao gồm các thông tin sau:
a) viện dẫn tiêu chuẩn này; TCVN 14125:2024;
b) Thông tin đầy đủ về keo dán gỗ được thử nghiệm, bao gồm loại, nguồn, mã số của nhà sản xuất, hình dạng vật lý, v.v ...;
c) loại gỗ được sử dụng, độ ẩm của gỗ tại thời điểm dán và mô tả bề mặt dán dính, bao gồm, tuổi của lớp bề mặt (nếu biết);
d) ứng dụng và các phương pháp dán dính và điều kiện sử dụng để chuẩn bị các mối nối thử nghiệm;
e) loại mẫu được sử dụng, nghĩa là hai lớp hoặc ba lớp, hướng của lớp giữa (xem 5.2.2) và kích thước của vùng cắt liên kết khi được gia công;
f) độ dày của lớp keo được sử dụng (mỗi lớp sử dụng được coi là một lớp keo);
g) không khí, nhiệt độ và quy trình ổn định được sử dụng cho các mẫu thử trước khi thử nghiệm;
h) nhiệt độ và độ ẩm tương đối của phòng thử nghiệm;
i) tốc độ tác dụng lực hoặc tốc độ đầu cắt và mô tả các đầu kẹp;
j) số lượng các mối nối thử nghiệm;
k) số lượng tấm và tải trọng nén;
l) các kết quả thử nghiệm riêng lẻ được xác định liên quan đến bảng xuất xứ và số lượng mẫu thử;
m) lực hoặc ứng suất trung bình khi gãy và độ hỏng trung bình của gỗ đối với từng tấm và đối với tất cả các mẫu thử;
n) độ lệch chuẩn của lực hoặc ứng suất khi đứt đối với từng tấm và đối với tất cả các mẫu thử;
o) tất cả các sửa đổi đối với quy trình thử nghiệm có thể ảnh hưởng đến kết quả.
Phụ lục A
(Quy định)
Thông tin yêu cầu trước khi thử
Kết quả các lần thử độ bền của liên kết dán dính phụ thuộc vào điều kiện mà quá trình liên kết được thực hiện. Các điều kiện liên kết phải do nhà sản xuất keo dán quy định, trừ khi có thoả thuận khác.
Để đảm bảo rằng thông tin đầy đủ có sẵn cho cá nhân tiến hành thử nghiệm, nhà sản xuất keo dán phải cung cấp các giá trị và thông tin cụ thể khác cho từng biến số/thông số sau:
a) độ ẩm khuyến nghị của gỗ tại thời điểm dán;
b) bề mặt của gỗ được dán có được làm nhẫn trước khi dán hay không;
c) hướng dẫn trộn hoàn chỉnh cho keo dán;
d) các điều kiện để trải keo, bao gồm tốc độ trải, số lớp keo được trải cho một hay cả hai bề mặt, và các điều kiện ổn định;
e) điều kiện xếp gỗ trước khi ép, bao gồm thời gian tráng keo, thời gian xếp phôi và nhiệt độ (xem ISO 472);
f) chế độ ép, bao gồm thời gian, nhiệt độ của màng keo và áp suất;
g) quy trình ổn định mẫu trước khi thử nghiệm, bao gồm thời gian, nhiệt độ và độ ẩm tương đối.
Nếu nhà sản xuất keo quy định một phạm vi cho bất kỳ biến số nào, thì phải đảm bảo rằng, bất kỳ giá trị nào được chọn tùy ý trong phạm vi đó hoặc bất kỳ sự kết hợp nào của các giá trị đó cho một số biến sẽ được chấp nhận.
Phụ lục B
(Quy định)
Loại gỗ, chiều dày, bề mặt, chất lượng và độ ẩm
B.1 Loại gỗ
Loại gỗ tiêu chuẩn để thử keo dán gỗ phải có khối lượng riêng trung bình từ 670 kg/m3 đến 770 kg/m3 tại độ ẩm 12 % và độ bền trượt trung bình song song với thớ nằm trong khoảng từ 13,0 Mpa đến 18,0 MPa ở cùng một độ ẩm. Một số loại thích hợp được liệt kê trong Bảng B.1. Gỗ không nên được xử lý hoặc sơn phủ. Các loại gỗ khác có thể được sử dụng theo thỏa thuận giữa các bên liên quan.
Bảng B.1 - Các loại gỗ thích hợp cho phép thử xác định độ bền kéo trượt màng keo
| Tên thông thường | Tên khoa học | Mật độa Kg/m3 | Tỷ trọng cắtb Mpac | Nguồn gốc |
| Afzelia | Afzelia africana Sm | 730 đến 900 | 14,6 | Châu Phi |
| Gỗ Tần Bì , Châu Âu | Fraxinus excelsior L. | 530 đến 830 | 14,1 | Châu Âu |
| Tần Bì, trắng | Fraxinus americana | 680 | 15,0 | Bắc Mỹ |
| Gỗ Sồi, Châu Âu | Fagus sylvarica L. | 690 | 15,6 | Châu Âu |
| Gỗ Cáng lò, trắng | Betula pubescens EHRH | 650 | 13,1 | Châu Âu |
| Gỗ Cáng lò, vàng | Betula alleghaniensis Conaricum (DHUP) | 700 | 13,4 | Bắc Mỹ |
| Danta | Nesogordonia papavifera | 760 | 15,3 | Châu Phi |
| Hickory Gỗ Mại Châu, pecan | Carya illimoensis | 740 | 16,0 | Bắc Mỹ |
| Kamahi | Weinmannia racemose | 680 | 14,8 | Australasia |
| Makanba | Betula maximowicziana | 680 | 15,5 | Nhật Bản |
| Maple, sugar | Acer saccharum MARSH | 730 | 18,0 | Bắc Mỹ |
| Messmate stringy- bark | Eucalyptus obliqua L.HERIT | 710 | 13,8 | Australasia |
| Nargusta | Terminalia amazonia (J.F.GMEL.) EXELL | 720 đến 930 | 17,6 | Trung và Nam Mỹ |
| Needlewood | Schima wallichii | 690 | 16,1 | Châu Á |
| Peroba, white | Paratecoma peroba KUMLM | 690 đến 830 | 16,5 | Bắc Mỹ |
| CHÚ THÍCH: giá trị được hiển thị có thể thay đổi theo nguồn gốc của loài và điều kiện phát triển của cây lấy gỗ/ mà từ đó gỗ được lấy ra. a Giá trị trung bình điển hình ở độ ẩm 12 %. b Giá trị trung bình điển hình ở độ ẩm 12 % khi xác định song song với thớ gỗ. c 1 Mpa = 1 N/mm2. | ||||
CHÚ THÍCH:
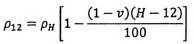
Đối với thanh gỗ ở độ ẩm khác 12 %, có thể xác định giá trị gần đúng của khối lượng riêng ρ12 ở độ ẩm 12 % bằng Công thức (B.1):
|
| (B.1) |
trong đó:
m là khối lượng của thanh gỗ, tính bằng kilôgam (kg);
V là trọng lượng của thanh gỗ, tính bằng mét khối (m3);
H là độ ẩm, tính bằng phần trăm khối lượng (%).
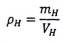
Công thức (B.1) không tính đến sự thay đổi thể tích do thay đổi độ ẩm. Để có phép tính chính xác hơn, sử dụng công thức (B.2):
|
| (B.2) |
trong đó:
![]()
và
![]()
trong đó:
ρH là khối lượng riêng ở tại độ ẩm H;
mH là khối lượng của mẫu thử ở độ ẩm H, tính bằng kilôgam (kg);
VH là thể tích của mẫu thử tại độ ẩm H, tính bằng xăng-ti-mét khối (cm3);
v là hệ số co rút;
H là độ ẩm;
V0 là thể tích của mẫu khô, tính bằng xăng-ti-mét khối (cm3).
B.2 Chiều dày ván
Các tấm ván mỏng để làm mẫu thử có chiều dày (2,5 ± 0,5) mm trừ khi có thỏa thuận khác giữa các bên liên quan.
B.3 Chất lượng và bề mặt ván
Các Tấm ván mỏng để làm mẫu có thể được bóc, lạng, bào hoặc xẻ. Nếu xẻ, ván phải không có vết cưa. Ván phải có độ dày đồng đều, thẳng thớ và không có các khuyết tật có thể ảnh hưởng đến độ bền của liên kết, chẳng hạn như mắt, lỗ mục, vết nứt, vỏ hoặc túi nhựa, xoắn hoặc chéo thớ, mục nát. Ván mỏng phải khít và nhẵn, và độ sâu trung bình của việc kiểm tra ván bóc không được vượt quá 70 % độ dày của ván mỏng.
B.4 Độ ẩm ván
Độ ẩm của các mẫu ngay trước khi trải keo phải nằm trong phạm vi độ ẩm do nhà cung cấp keo khuyến nghị. Trong trường hợp không có khuyến cáo, độ ẩm phải là (10 ± 2) % đối với keo đóng rắn ở nhiệt độ phòng và (7 ± 2) % đối với loại keo dán ở nhiệt độ cao. Trừ khi có thỏa thuận khác, độ ẩm phải được xác định trên ít nhất hai mẫu đại diện bằng phương pháp sấy khô tuyệt đối [khối lượng không đổi ở (103 ± 2) °C.
Bạn chưa Đăng nhập thành viên.
Đây là tiện ích dành cho tài khoản thành viên. Vui lòng Đăng nhập để xem chi tiết. Nếu chưa có tài khoản, vui lòng Đăng ký tại đây!
