Danh mục
|
Tổng đài trực tuyến 19006192
|
|
  • Tổng quan
  • Nội dung
  • Tiêu chuẩn liên quan
  • Lược đồ
  • Tải về
Lưu
Đây là tiện ích dành cho tài khoản Tiêu chuẩn hoặc Nâng cao . Vui lòng Đăng nhập tài khoản để xem chi tiết.
Theo dõi VB
Đây là tiện ích dành cho tài khoản Tiêu chuẩn hoặc Nâng cao . Vui lòng Đăng nhập tài khoản để xem chi tiết.
Ghi chú
Báo lỗi
In

Tiêu chuẩn Nhà nước TCVN 365-70 Gỗ - Phương pháp xác định giới hạn bền khi uốn tĩnh

Số hiệu: TCVN 365:1970 Loại văn bản: Tiêu chuẩn Việt Nam
Cơ quan ban hành: Uỷ ban Khoa học và Kỹ thuật Nhà nước Lĩnh vực: Công nghiệp
Ngày ban hành:
Ngày ban hành là ngày, tháng, năm văn bản được thông qua hoặc ký ban hành.
13/11/1970
Hiệu lực:
Đã biết
Tiện ích dành cho tài khoản Tiêu chuẩn hoặc Nâng cao. Vui lòng Đăng nhập tài khoản để xem chi tiết.
Người ký: Đang cập nhật
Tình trạng hiệu lực:
Cho biết trạng thái hiệu lực của văn bản đang tra cứu: Chưa áp dụng, Còn hiệu lực, Hết hiệu lực, Hết hiệu lực 1 phần; Đã sửa đổi, Đính chính hay Không còn phù hợp,...
Đã biết
Tiện ích dành cho tài khoản Tiêu chuẩn hoặc Nâng cao. Vui lòng Đăng nhập tài khoản để xem chi tiết.

TÓM TẮT TIÊU CHUẨN VIỆT NAM TCVN 365:1970

Nội dung tóm tắt đang được cập nhật, Quý khách vui lòng quay lại sau!

Tải tiêu chuẩn Việt Nam TCVN 365:1970

Tải văn bản tiếng Việt (.pdf) Tiêu chuẩn Việt Nam TCVN 365:1970 PDF (Bản có dấu đỏ)

Đây là tiện ích dành cho tài khoản thành viên. Vui lòng Đăng nhập để xem chi tiết. Nếu chưa có tài khoản, Đăng ký tại đây!

Tải văn bản tiếng Việt (.doc) Tiêu chuẩn Việt Nam TCVN 365:1970 DOC (Bản Word)

Đây là tiện ích dành cho tài khoản thành viên. Vui lòng Đăng nhập để xem chi tiết. Nếu chưa có tài khoản, Đăng ký tại đây!

Tình trạng hiệu lực: Đã biết
bgdocquyen
Hiệu lực: Đã biết
Tình trạng hiệu lực: Đã biết

TIÊU CHUẨN VIỆT NAM

TCVN 365 : 1970

GỖ - PHƯƠNG PHÁP XÁC ĐỊNH GIỚI HẠN BỀN KHI UỐN TĨNH
Timber - Method for determination of limits of static bending strength

 

I. Thiết bị và dụng cụ thử

1. Để xác định giới hạn bền của gỗ khi uốn tĩnh, cần dùng các thiết bị và dụng cụ sau đây:

- Máy thử với độ đo lực chính xác đến 10N;

- Thước cặp (hay một dụng cụ đo nào khác) với độ chính xác đến 0,1mm;

- Dụng cụ để xác định độ ẩm của gỗ theo TCVN 358 : 1970

II. Chuẩn bị thử

2. Chuẩn bị mẫu. Mẫu phải có dạng hình hộp chữ nhật mặt cắt vuông, kích thước là 20 x 20 x 300mm, trong đó 300 là kích thước theo phương dọc thớ. Các yêu cầu khác về hình dạng và độ chính xác của mẫu phải theo đúng các điều 15, 16 trong TCVN 356 : 1970, riêng sai lệch về chiều dài không được lớn quá ± 1mm.

III. Tiến hành thử

3. Nếu muốn xác định môđun đàn hồi và giới hạn bền khi uốn tĩnh trên ngay cùng một mẫu thì xác định môđun đàn hồi trước theo các điều 34- 11 TCVN 370 : 1970, sau đó mới xác định giới hạn bền.

4. Đo mẫu. ở mỗi mẫu (tại điểm giữa chiều dài), đo chính xác đến 0,1mm chiều rộng b theo phương xuyên tâm và chiều cao h theo phương tiếp tuyến.

Nếu xác định đồng thời cả môđun đàn hồi thì do mẫu theo điều 36 TCVN 370 : 1970.

5. Thử giới hạn bền khi uốn tĩnh theo sơ đồ dưới đây:

Mẫu đặt trên hai gối tựa sao cho lực gây uốn hướng theo phương tiếp tuyến với vòng năm (uốn tiếp tuyến) còn dao truyền lực và gối tựa thì đối xứng qua trung điểm của mẫu.

Khi thử gỗ ẩm, đặc biệt là loại gỗ mềm, bên dưới gối tựa và dao truyền lực phải đặt miếng lót kích thước20 x0mm, làm bằng gỗ dán dày 5mm (hoặc một vật liệu tương tự).

Đầu máy truyền lực phải di chuyển đều đặn trong suốt quá trình thử, ứng với tốc độ tăng tải 7000 ± 1500 N/phút. Nếu dùng máy truyền động bằng cơ khí thì tốc độ di chuyển của đầu máy là 10 mm/phút.

Tăng tải cho đến khi mẫu bị phá hoại nghĩa là khi kim lực kế quay theo chiều ngược lại. Dạng phá hoại được ghi vào cột "ghi chú” : trong "Biểu” (xem phụ lục).

Trên bảng đo lực, đọc lấy tải trọng cực đại Pmax chính xác đến 10N.

6. Xác định độ ẩm. Sau khi thử, xác định ngay độ ẩm W của từng mẫu theo TCVN 358 : 1970, cắt hai khối vuông kích thước chừng 20 x 20 x 20mm ở gần hai bên chỗ gãy để làm mẫu đo độ ẩm.

IV. Tính toán kết quả thử

7. Giới hạn bền khi uốn tĩnh σw ở độ ẩm (w) lúc thử được tính bằng Pa chính xác 0,5 MPa theo công thức :

 

cho máy thử có 2 dao truyền lực

 

cho máy thừ có 1 dao truyền lực

 

Trong đó :

Pmax - Tải trọng phá hoại, tính bằng N;

l - Khoảng cách giữa hai gối tựa bằng 24 cm;

b - Chiều rộng mẫu, tính bằng m;

h - Chiều cao mẫu, tính bằng m;

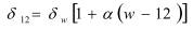
Giới hạn bền δw phải tính được chuyển về độ ẩm 12% với độ chính xác đến 1MPa theo công thức :

Trong đó:

δ12 - Giới hạn bền khi uốn tĩnh ở độ ẩm 12%;

w - Đổ ẩm của mẫu lúc thử

α- Hệ số hiệu chỉnh độ ẩm, tạm thời lấy bằng 0,01

Tất cả số liệu và kết quả tính toán đều ghi vào "Biểu” (xem phụ lục).

 

Phụ lục

Biểu thử uốn tĩnh

t = ….0C; M= …….%; Loại gỗ ………..

Tốc độ tăng tải …N/phút : uốn……

Số hiệu mẫu

Kích thước mặt cắt ngang mm

Tải trọng cực đại PmaxN

Độ ẩm W%

Giới hạn bền Pa

Ghi chú

Chiều rộng b

Chiều dài h

σw

σ12

 

 

 

 

 

 

 

 

 

Ngày tháng năm Người ghi

Ký tên

Bạn chưa Đăng nhập thành viên.

Đây là tiện ích dành cho tài khoản thành viên. Vui lòng Đăng nhập để xem chi tiết. Nếu chưa có tài khoản, vui lòng Đăng ký tại đây!

* Lưu ý: Để đọc được văn bản tải trên Luatvietnam.vn, bạn cần cài phần mềm đọc file DOC, DOCX và phần mềm đọc file PDF.

Văn bản liên quan Tiêu chuẩn Việt Nam TCVN 365:1970

01

Tiêu chuẩn Quốc gia TCVN 8048-3:2009 ISO 3133:1975 Gỗ-Phương pháp thử cơ lý-Phần 3: Xác định độ bền uốn tĩnh

02

Tiêu chuẩn Nhà nước TCVN 356:1970 Gỗ - Phương pháp lấy mẫu và yêu cầu chung khi thử cơ lý

văn bản cùng lĩnh vực

văn bản mới nhất

Chú thích màu chỉ dẫn
Chú thích màu chỉ dẫn:
Các nội dung của VB này được VB khác thay đổi, hướng dẫn sẽ được làm nổi bật bằng các màu sắc:
Sửa đổi, bổ sung, đính chính
Thay thế
Hướng dẫn
Bãi bỏ
Bãi bỏ cụm từ
Bình luận
Click vào nội dung được bôi màu để xem chi tiết.
×