- Tổng quan
- Nội dung
- Quy chuẩn liên quan
- Lược đồ
- Tải về
Quy chuẩn kỹ thuật quốc gia QCVN 37:2024/BGTVT Động cơ xe mô tô, xe gắn máy
| Số hiệu: | QCVN 37:2024/BGTVT | Loại văn bản: | Quy chuẩn Việt Nam |
| Cơ quan ban hành: | Bộ Giao thông Vận tải | Lĩnh vực: | Giao thông , Công nghiệp |
| Trích yếu: | Động cơ xe mô tô, xe gắn máy | ||
|
Ngày ban hành:
Ngày ban hành là ngày, tháng, năm văn bản được thông qua hoặc ký ban hành.
|
15/11/2024 |
Hiệu lực:
|
Đã biết
|
| Người ký: | Đang cập nhật |
Tình trạng hiệu lực:
Cho biết trạng thái hiệu lực của văn bản đang tra cứu: Chưa áp dụng, Còn hiệu lực, Hết hiệu lực, Hết hiệu lực 1 phần; Đã sửa đổi, Đính chính hay Không còn phù hợp,...
|
Đã biết
|
TÓM TẮT QUY CHUẨN VIỆT NAM QCVN 37:2024/BGTVT
Quy chuẩn QCVN 37:2024/BGTVT: Các quy định mới ảnh hưởng đến động cơ xe mô tô, xe gắn máy
Quy chuẩn kỹ thuật quốc gia QCVN 37:2024/BGTVT được Bộ Giao thông vận tải ban hành ngày 15 tháng 11 năm 2024, có hiệu lực từ ngày 01 tháng 01 năm 2025, thay thế cho QCVN 37:2010/BGTVT. Quy chuẩn này quy định các yêu cầu về kỹ thuật, kiểm tra và chứng nhận chất lượng đối với động cơ xe mô tô và xe gắn máy, đảm bảo tiêu chuẩn an toàn kỹ thuật và bảo vệ môi trường trong sản xuất, lắp ráp và nhập khẩu.
Quy chuẩn này áp dụng cho các cơ sở sản xuất, lắp ráp trong nước và các tổ chức, cá nhân nhập khẩu động cơ. Đặc biệt, các tổ chức này cần tuân thủ những yêu cầu khắt khe trong kiểm tra, thử nghiệm và chứng nhận chất lượng an toàn kỹ thuật, bảo vệ môi trường trước khi đưa sản phẩm ra thị trường.
Một trong những điểm nổi bật trong quy định là yêu cầu về kết cấu và thông số kỹ thuật của động cơ phải luôn phù hợp với thông số đăng ký của nhà sản xuất. Động cơ phải hoạt động ổn định mà không có rò rỉ nhiên liệu hay dầu bôi trơn, và phải khởi động dễ dàng theo phương pháp được chỉ định. Điều này có nghĩa rằng các cơ sở sản xuất cần đầu tư vào công nghệ và quy trình sản xuất tốt hơn để đáp ứng tiêu chuẩn này.
Đối với động cơ xe gắn máy và xe mô tô cháy cưỡng bức, quy chuẩn quy định rõ ràng rằng công suất có ích lớn nhất và mô men xoắn lớn nhất của động cơ phải đạt được theo thông số nhà sản xuất với sai số cho phép nhất định. Cụ thể, sai số cho phép đối với mẫu kiểm tra chứng nhận kiểu loại không được vượt quá 10% nếu công suất không quá 1 kW, và 5% nếu lớn hơn 1 kW.
Quy chuẩn cũng quy định rằng suất tiêu hao nhiên liệu khi đo ở chế độ toàn tải không được lớn hơn mức do nhà sản xuất đã đăng ký. Điều này yêu cầu các cơ sở sản xuất phải tối ưu hóa quá trình chế tạo động cơ để giảm thiểu mức tiêu hao nhiên liệu trong quá trình hoạt động.
Một yếu tố quan trọng khác là phương thức kiểm tra, thử nghiệm và chứng nhận. Các cơ sở sản xuất và nhập khẩu động cơ phải cung cấp tài liệu kỹ thuật và mẫu thử cho các cơ quan kiểm tra. Số lượng mẫu thử cần cung cấp tuân thủ theo quy định cụ thể nhằm đảm bảo tính ngẫu nhiên và đại diện cho chất lượng sản xuất.
Quy chuẩn QCVN 37:2024/BGTVT cũng quy định rõ trách nhiệm của Cục Đăng kiểm Việt Nam trong việc tổ chức thực hiện quy chuẩn, cũng như việc tiếp tục áp dụng những kiểu loại động cơ đã được cấp chứng nhận trước thời điểm quy chuẩn có hiệu lực, nhằm đảm bảo tính liên tục trong quy trình kiểm tra và chứng nhận.
Tóm lại, QCVN 37:2024/BGTVT hướng đến việc nâng cao chất lượng và bảo vệ môi trường trong sản xuất động cơ xe mô tô, xe gắn máy, đồng thời yêu cầu các cơ sở sản xuất và nhập khẩu tuân thủ một cách nghiêm ngặt hơn các tiêu chuẩn kỹ thuật, tạo ra môi trường cạnh tranh lành mạnh và an toàn cho người tiêu dùng.
Tải quy chuẩn Việt Nam QCVN 37:2024/BGTVT
QCVN 37:2024/BGTVT
QUY CHUẨN KỸ THUẬT QUỐC GIA
VỀ ĐỘNG CƠ XE MÔ TÔ, XE GẮN MÁY
National technical regulation of motorcycles and mopeds engines
Lời nói đầu
QCVN 37:2024/BGTVT do Cục Đăng kiểm Việt Nam biên soạn, Vụ Khoa học - Công nghệ và Môi trường trình duyệt, Bộ Khoa học và Công nghệ thẩm định, Bộ trưởng Bộ Giao thông vận tải ban hành kèm theo Thông tư số 48/2024/TT- BGTVT ngày 15 tháng 11 năm 2024.
Quy chuẩn QCVN 37:2024/BGTVT thay thế QCVN 37:2010/BGTVT.
QUY CHUẨN KỸ THUẬT QUỐC GIA
VỀ ĐỘNG CƠ XE MÔ TÔ, XE GẮN MÁY
National technical regulation of motorcycles and mopeds engines
1. QUY ĐỊNH CHUNG
1.1. Phạm vi điều chỉnh
Quy chuẩn này quy định về yêu cầu kỹ thuật trong kiểm tra, thử nghiệm, chứng nhận chất lượng an toàn kỹ thuật và bảo vệ môi trường trong sản xuất lắp ráp và nhập khẩu đối với động cơ xe mô tô, xe gắn máy mới (sau đây gọi tắt là động cơ).
1.2. Đối tượng áp dụng
Quy chuẩn này áp dụng đối với: các cơ sở sản xuất, lắp ráp trong nước, tổ chức, cá nhân nhập khẩu động cơ; các tổ chức, cá nhân liên quan đến quản lý, kiểm tra, thử nghiệm, chứng nhận chất lượng an toàn kỹ thuật và bảo vệ môi trường đối với động cơ.
1.3. Giải thích từ ngữ
1.3.1. Công suất có ích (Net power): công suất đo được trên băng thử tại đầu trục khủyu hoặc bộ phận tương đương ở tốc độ quay do nhà sản xuất quy định, với động cơ được lắp các cụm chi tiết như nêu tại Phụ lục A.
Trường hợp không thể tách riêng động cơ với hộp số khi đo công suất thì hiệu suất của hộp số phải được đưa vào trong tính toán công suất có ích của động cơ.
1.3.2. Công suất có ích lớn nhất (Maximum net power): công suất có ích lớn nhất đo được khi động cơ ở chế độ toàn tải.
1.3.3. Mô men xoắn (Torque): mô men xoắn đo được theo các điều kiện quy định tại 1.3.1.
1.3.4. Mô men xoắn lớn nhất (Maximum torque): mô men xoắn lớn nhất đo được khi động cơ ở chế độ toàn tải.
1.3.5. Suất tiêu hao nhiên liệu (specific fuel consumption): Lượng nhiên liệu tiêu thụ cho một đơn vị công suất trong một giờ. Trường hợp động cơ sử dụng hỗn hợp nhiên liệu - dầu bôi trơn thì lượng dầu bôi trơn phải được trừ đi khi tính suất tiêu hao nhiên liệu.
1.3.6. Cụm chi tiết (Accessories): tất cả các thiết bị nêu tại Phụ lục A.
1.3.7. Thiết bị sản xuất chuẩn (Standard production equipment): thiết bị do nhà sản xuất cung cấp để sử dụng động cơ vào từng điều kiện cụ thể.
1.3.8. Kiểu loại động cơ (engine-type): các động cơ được coi là cùng kiểu loại nếu có cùng thiết kế, nhãn hiệu, số loại, nhà sản xuất, địa điểm sản xuất lắp ráp và các đặc tính kỹ thuật như nêu tại Phụ lục D.
2. QUY ĐỊNH VỀ KỸ THUẬT
2.1. Quy định chung
2.1.1. Kết cấu và thông số kỹ thuật của động cơ phải phù hợp với đăng ký của nhà sản xuất.
2.1.2. Động cơ phải hoạt động ổn định ở mọi chế độ, không được rò rỉ nhiên liệu, dung dịch làm mát, dầu bôi trơn ở các mối ghép của động cơ.
2.1.3. Động cơ phải khởi động được dễ dàng bằng các phương pháp do nhà sản xuất đăng ký.
2.2. Quy định riêng đối với động cơ xe gắn máy cháy cưỡng bức
Ngoài việc đáp ứng các quy định tại 2.1 thì động cơ xe gắn máy cháy cưỡng bức còn phải đáp ứng các quy định 2.2.1 và 2.2.2.
2.2.1. Công suất có ích lớn nhất và mô men xoắn lớn nhất của động cơ do các cơ sở thử nghiệm đo được phải phù hợp với giá trị đăng ký của nhà sản xuất với sai số cho phép theo 2.2.1.1 và 2.2.1.2.
2.2.1.1. Đối với mẫu kiểm tra chứng nhận kiểu loại thì mô men xoắn lớn nhất và công suất có ích lớn nhất của động cơ do các cơ sở thử nghiệm đo có thể sai khác không lớn hơn 10% so với giá trị đăng ký nếu công suất có ích lớn nhất do nhà sản xuất đăng ký không lớn hơn 1 kW và không lớn hơn 5% so với giá trị đăng ký nếu công suất có ích lớn nhất do nhà sản xuất đăng ký lớn hơn 1 kW với sai số tốc độ quay của trục khủyu động cơ không lớn hơn 1,5% so với giá trị đăng ký.
2.2.1.2. Đối với mẫu lấy xác suất trong quá trình sản xuất hàng loạt thì mô men xoắn lớn nhất và công suất có ích lớn nhất của động cơ do các cơ sở thử nghiệm đo có thể sai khác không lớn hơn 20% so với giá trị đăng ký nếu công suất có ích lớn nhất do nhà sản xuất đăng ký không lớn hơn 1 kW và không lớn hơn 10% so với giá trị đăng ký nếu công suất có ích lớn nhất do nhà sản xuất đăng ký lớn hơn 1 kW với sai số tốc độ quay của trục khủyu động cơ không lớn hơn 1,5% so với giá trị đăng ký.
2.2.2. Suất tiêu hao nhiên liệu nhỏ nhất của động cơ khi đo ở chế độ toàn tải không lớn hơn mức do nhà sản xuất đăng ký.
2.3. Quy định riêng đối với động cơ xe mô tô cháy cưỡng bức
Ngoài việc đáp ứng các quy định theo 2.1 thì động cơ xe mô tô cháy cưỡng bức còn phải đáp ứng các quy định 2.3.1 và 2.3.2.
2.3.1. Công suất có ích lớn nhất và mô men xoắn lớn nhất của động cơ do các cơ sở thử nghiệm đo được phải phù hợp với giá trị đăng ký của nhà sản xuất với sai số cho phép theo 2.3.1.1 và 2.3.1.2.
2.3.1.1. Đối với mẫu kiểm tra chứng nhận kiểu loại thì mô men xoắn lớn nhất và công suất có ích lớn nhất của động cơ do các cơ sở thử nghiệm đo có thể sai khác không lớn hơn 5% so với giá trị đăng ký nếu công suất có ích lớn nhất do nhà sản xuất đăng ký không lớn hơn 11 kW và không lớn hơn 2% so với giá trị đăng ký nếu công suất công suất có ích lớn nhất do nhà sản xuất đăng ký lớn hơn 11 kW với sai số tốc độ quay của trục khủyu động cơ không lớn hơn 1,5% so với giá trị đăng ký.
2.3.1.2. Đối với mẫu lấy xác suất trong quá trình sản xuất hàng loạt thì mô men xoắn lớn nhất và công suất có ích lớn nhất của động cơ do các cơ sở thử nghiệm đo có thể sai khác không lớn hơn 10% so với giá trị đăng ký nếu công suất có ích lớn nhất do nhà sản xuất đăng ký không lớn hơn 11 kW và không lớn hơn 5% so với giá trị đăng ký nếu công suất có ích lớn nhất do nhà sản xuất đăng ký lớn hơn 11 kW với sai số tốc độ quay của trục khủyu động cơ là 1,5% so với giá trị đăng ký.
2.3.2. Suất tiêu hao nhiên liệu nhỏ nhất của động cơ khi đo ở chế độ toàn tải không lớn hơn mức do nhà sản xuất đăng ký.
2.4. Quy định riêng đối với động cơ cháy do nén
Ngoài việc đáp ứng các quy định theo 2.1 thì động cơ cháy do nén còn phải đáp ứng các quy định 2.4.1 và 2.4.2.
2.4.1. Công suất có ích lớn nhất và mô men xoắn lớn nhất của động cơ do các cơ sở thử nghiệm đo được phải phù hợp với giá trị đăng ký của nhà sản xuất với sai số cho phép theo 2.4.1.1 và 2.4.1.2.
2.4.1.1. Đối với mẫu kiểm tra chứng nhận kiểu loại thì mô men xoắn lớn nhất và công suất có ích lớn nhất của động cơ do các cơ sở thử nghiệm đo có thể sai khác không lớn hơn 5% so với giá trị đăng ký nếu công suất có ích lớn nhất do nhà sản xuất đăng ký không lớn hơn 11 kW và không lớn hơn 2% so với giá trị đăng ký nếu công suất có ích lớn nhất do nhà sản xuất đăng ký lớn hơn 11 kW với sai số tốc độ quay của trục khủyu động cơ là 1,5% so với giá trị đăng ký.
2.4.1.2. Đối với mẫu lấy xác suất trong quá trình sản xuất hàng loạt thì mô men xoắn lớn nhất và công suất có ích lớn nhất của động cơ do các cơ sở thử nghiệm đo có thể sai khác không lớn hơn 10% so với giá trị đăng ký nếu công suất có ích lớn nhất do nhà sản xuất đăng ký không lớn hơn 11 kW và không lớn hơn 5% so với giá trị đăng ký nếu công suất có ích lớn nhất do nhà sản xuất đăng ký lớn hơn 11 kW với sai số tốc độ quay của trục khủyu động cơ là 1,5% so với giá trị đăng ký.
2.4.2. Suất tiêu hao nhiên liệu nhỏ nhất của động cơ khi đo ở chế độ toàn tải không lớn hơn mức do nhà sản xuất đăng ký.
3. QUY ĐỊNH VỀ QUẢN LÝ
3.1. Phương thức kiểm tra, thử nghiệm, chứng nhận
Động cơ nhập khẩu, sản xuất lắp ráp phải được kiểm tra, thử nghiệm, chứng nhận theo quy định về chất lượng an toàn kỹ thuật và bảo vệ môi trường đối với phụ tùng xe cơ giới.
3.2. Tài liệu kỹ thuật và mẫu thử
Khi có nhu cầu thử nghiệm, nhà sản xuất, tổ chức hoặc cá nhân nhập khẩu động cơ phải cung cấp cho cơ sở thử nghiệm tài liệu kỹ thuật và mẫu thử theo yêu cầu nêu tại mục 3.2.1 và 3.2.2.
3.2.1. Yêu cầu về tài liệu kỹ thuật
3.2.1.1. Đối với động cơ sản xuất lắp ráp
Bản đăng ký thông số kỹ thuật của động cơ gồm các thông tin như tại Phụ lục D.
3.2.1.2. Đối với động cơ nhập khẩu
Tài liệu giới thiệu tính năng kỹ thuật động cơ của nhà sản xuất trong đó thể hiện được một số thông số chủ yếu: công suất lớn nhất, mô men xoắn lớn nhất ứng với tốc độ quay của trục khủyu động cơ, đường kính xy lanh, hành trình pittông, thể tích làm việc của xy lanh động cơ, loại nhiên liệu sử dụng, loại ly hợp, tỉ số truyền của hộp số.
Trường hợp tài liệu nêu trên chưa thể hiện đủ các thông số kỹ thuật theo quy định thì tổ chức hoặc cá nhân nhập khẩu động cơ phải cung cấp bản đăng ký thông số kỹ thuật của động cơ gồm các thông tin như tại Phụ lục D.
3.2.2 . Yêu cầu về mẫu thử
3.2.2.1. Đối với động cơ nhập khẩu
Số lượng mẫu thử: đối với từng lô hàng được quy định tại bảng 1. Mỗi mẫu thử phải kèm theo các cụm chi tiết nêu tại Phụ lục A để động cơ hoạt động bình thường và có thể đo được công suất, mô men xoắn và suất tiêu hao nhiên liệu của động cơ trên thiết bị.
Phương thức lấy mẫu: lấy ngẫu nhiên trong một lô hàng nhập khẩu.
Bảng 1: Số lượng mẫu thử đối với từng lô hàng
| STT | Số lượng động cơ trong một lô hàng | Số lượng mẫu thử |
| 1 | Từ 1 chiếc đến 100 chiếc | 01 chiếc |
| 2 | Từ trên 100 chiếc đến 500 chiếc | 02 chiếc |
| 3 | Từ trên 500 chiếc | 03 chiếc |
3.2.2.2. Đối với động cơ sản xuất lắp ráp trong nước
Số lượng mẫu thử: 02 mẫu kèm theo các cụm chi tiết nêu tại Phụ lục A cho mỗi kiểu loại động cơ để động cơ hoạt động bình thường và có thể đo được công suất, mô men xoắn và suất tiêu hao nhiên liệu của động cơ trên thiết bị.
Phương thức lấy mẫu:
Đối với mẫu kiểm tra chứng nhận kiểu loại: mẫu điển hình của kiểu loại động cơ đăng ký.
Đối với quá trình sản xuất hàng loạt: lấy ngẫu nhiên trong số các sản phẩm cùng kiểu loại.
3.3. Báo cáo thử nghiệm
Cơ sở thử nghiệm có trách nhiệm lập báo cáo thử nghiệm.
4. TỔ CHỨC THỰC HIỆN
4.1. Cục Đăng kiểm Việt Nam chịu trách nhiệm tổ chức thực hiện Quy chuẩn này.
4.2. Các kiểu loại động cơ đã được tiếp nhận hồ sơ đăng ký kiểm tra, hồ sơ đăng ký thử nghiệm, hồ sơ đăng ký chứng nhận trước thời điểm Quy chuẩn này có hiệu lực được tiếp tục kiểm tra, thử nghiệm, chứng nhận theo quy định về chất lượng an toàn kỹ thuật và bảo vệ môi trường đối với phụ tùng xe cơ giới tại thời điểm tiếp nhận.
4.3. Báo cáo thử nghiệm động cơ cấp trước thời điểm Quy chuẩn này có hiệu lực và báo cáo thử nghiệm động cơ cấp theo điểm 4.2 Quy chuẩn này tiếp tục được sử dụng để chứng nhận chất lượng an toàn kỹ thuật và bảo vệ môi trường sau ngày Quy chuẩn này có hiệu lực.
4.4. Trường hợp các văn bản quy phạm pháp luật, tài liệu được viện dẫn trong Quy chuẩn này có sửa đổi, bổ sung, thay thế thì thực hiện theo các văn bản quy phạm pháp luật, tài liệu được sửa đổi, bổ sung, thay thế đó./.
Phụ lục A
Các cụm chi tiết phải lắp (nếu có) trong quá trình thử nghiệm xác định
công suất có ích, mô men xoắn và suất tiêu hao nhiên liệu của động cơ
| STT | Danh mục cụm chi tiết | Yêu cầu | ||
| Động cơ xe gắn máy cháy cưỡng bức | Động cơ xe mô tô cháy cưỡng bức | Động cơ cháy do nén | ||
| 1 | Hệ thống nạp - Ống nạp - Bộ lọc khí - Bộ giảm âm ống nạp - Thiết bị tuần hoàn khí các te - Thiết bị hạn chế tốc độ - Thiết bị điều khiển điện của hệ thống nạp | x | x | x(1) |
| 2 | Hệ thống sấy khí nạp | x | x | x |
| 3 | Hệ thống xả - Ống dẫn khí thải - Bộ giảm âm - Thiết bị chống ô nhiễm của hệ thống xả - Ống xả khí thải ra môi trường - Cơ cấu tăng áp - Thiết bị điều khiển điện của hệ thống xả - Hệ thống phanh bằng khí thải | x(2) | x(2) | x(2) |
| 4 | Chế hòa khí | x | x | o |
| 5 | Bơm nhiên liệu | x | x | x |
| 6 | Hệ thống phun nhiên liệu - Bộ lọc thô - Bộ lọc tinh - Bơm - Hệ thống ống dẫn - Vòi phun nhiên liệu - Van khí nạp (3) - Bộ điều chỉnh áp suất nhiên liệu - Thiết bị điều khiển điện của hệ thống phun nhiên liệu, thiết bị đo lưu lượng khí | x | x | x |
| 7 | Thiết bị làm mát bằng chất lỏng - Két làm mát - Quạt gió (5) (6) - Bơm - Bộ ổn nhiệt (7) | x (4) | x (4) | x (4) |
| 8 | Làm mát bằng không khí - Nắp đậy - Quạt gió (5) (6) - Bộ ổn nhiệt. - Quạt gió bổ trợ trên thiết bị thử | x | x | x |
| 9 | Thiết bị điện | x(8) | x(8) | x(8) |
| 10 | Thiết bị tăng áp - Máy nén được dẫn động trực tiếp từ động cơ và/ hoặc bằng khí xả. - Bộ làm mát khí nạp. - Bơm chất lỏng hoặc quạt (được dẫn động bởi động cơ). - Thiết bị điều khiển lưu lượng chất làm mát. | x(9) | x(9) | x(9) |
| 11 | Thiết bị chống ô nhiễm | x(10) | x(10) | x(10) |
| 12 | Hệ thống dầu bôi trơn - Bộ phận cấp dầu bôi trơn - Bộ làm mát dầu bôi trơn | x | x | x |
Ghi chú: x : yêu cầu lắp đặt thiết bị sản xuất chuẩn.
o : không yêu cầu lắp đặt.
Chú thích
(1) Hệ thống nạp chuẩn phải lắp đúng quy định trong các trường hợp sau:
- Có thể ảnh hưởng lớn đến công suất động cơ.
- Động cơ hai kỳ.
- Nhà sản xuất yêu cầu.
Đối với các trường hợp khác, cho phép sử dụng hệ thống nạp tương đương nhưng phải đảm bảo áp suất khí nạp không lớn hơn 100 Pa so với giá trị nhà sản xuất quy định.
(2) - Đối với động cơ cháy cưỡng bức:
Nếu không thể lắp được hệ thống xả chuẩn, phải tiến hành thử với một hệ thống xả cho phép đạt được đặc tính làm việc bình thường của động cơ phù hợp với các đặc tính do nhà sản xuất quy định. Trong phòng thử nghiệm, hệ thống xả được trích ra tại điểm nối với hệ thống xả của băng thử, không được tạo ra trong ống xả khi động cơ làm việc một áp suất sai khác với áp suất khí quyển ± 740 Pa (7,4 mbar), trừ khi nhà sản xuất có quy định đặc biệt về áp suất ngược trước khi thử, trong trường hợp này phải sử dụng áp suất thấp hơn trong hai áp suất trên.
- Đối với động cơ cháy do nén:
Hệ thống xả chuẩn phải lắp đúng quy định trong các trường hợp sau:
+ Có thể ảnh hưởng lớn đến công suất động cơ.
+ Động cơ hai kỳ.
+ Nhà sản xuất yêu cầu.
Đối với các trường hợp khác, cho phép sử dụng hệ thống xả tương đương nhưng phải đảm bảo áp suất khí thải không lớn hơn 1000 Pa so với giá trị nhà sản xuất quy định. Áp suất khí thải đo tại điểm cách đầu hệ thống xả lắp vào động cơ 150 mm.
Nếu lắp hệ thống phanh bằng khí thải thì van tiết lưu phải được giữ ở vị trí mở hoàn toàn.
(3) Van khí nạp phải điều khiển được bộ điều chỉnh bơm chân không của hệ thống phun nhiên liệu.
(4) Trên băng thử, quạt gió, bộ tản nhiệt, đầu ống quạt gió, bơm nước và bộ ổn nhiệt phải được đặt như lắp trên xe. Chất lỏng làm mát chỉ được tuần hoàn bằng bơm nước của động cơ. Chất lỏng làm mát có thể được làm mát hoặc bằng két làm mát của động cơ hoặc bằng hệ thống làm mát bên ngoài, miễn là độ giảm áp suất trong hệ thống làm mát đó phải giống như trong hệ thống làm mát của động cơ. Mành che động cơ phải được mở ra nếu đã được lắp.
(5) Nếu quạt gió hoặc quạt làm mát có thể tháo ra được thì phải đo công suất có ích của động cơ với quạt gió (hoặc quạt làm mát) được tháo ra, sau đó đo với quạt gió (hoặc quạt làm mát) được lắp vào.
(6) Nếu quạt hoạt động bằng cơ khí hoặc điện mà không thể lắp vào băng thử thì công suất tổn hao do quạt phải được xác định với cùng tốc độ quay như khi đo công suất động cơ. Công suất này được trừ đi khi tính công suất có ích.
(7) Bộ ổn nhiệt phải được giữ ở vị trí mở hoàn toàn.
(8) Công suất ra của máy phát điện phải ở mức nhỏ nhất: máy phát điện chỉ cung cấp dòng điện cho các bộ phận cần thiết cho hoạt động của động cơ. Không cung cấp dòng điện nạp cho ắc quy trong suốt quá trình thử.
(9) Đối với động cơ có làm mát khí nạp thì phải lắp hệ thống làm mát khí nạp để thử.
Nếu nhà sản xuất chấp thuận, có thể thay hệ thống làm mát khí nạp bằng chất lỏng bởi hệ thống làm mát khí nạp bằng không khí để thử.
Đối với trường hợp khác, cho phép thử với tổn hao dòng khí tương ứng với tổn hao dòng khí đi qua hệ thống làm mát khí nạp theo quy định của nhà sản xuất.
(10) Thiết bị chống ô nhiễm bao gồm: thiết bị tuần hoàn khí thải (EGR), chuyển đổi xúc tác, phản ứng bằng nhiệt, cung cấp không khí bổ sung và hệ thống chống bay hơi nhiên liệu.
Phụ lục B
Điều kiện chỉnh đặt trong quá trình thử nghiệm xác định công suất có ích,
mô men xoắn và suất tiêu hao nhiên liệu của động cơ
| STT | Nội dung | Yêu cầu chỉnh đặt | ||
| Động cơ xe gắn máy cháy cưỡng bức | Động cơ xe mô tô cháy cưỡng bức | Động cơ cháy do nén | ||
| 1 | Chỉnh đặt chế hoà khí | x | x | o |
| 2 | Chỉnh đặt lưu lượng bơm cao áp | x | x | x |
| 3 | Chỉnh đặt thời điểm phun hoặc đánh lửa | x | x | x |
| 4 | Chỉnh đặt thiết bị điều chỉnh | o | o | x |
| 5 | Chỉnh đặt các thiết bị chống ô nhiễm | o | o | x |
x: chỉnh đặt theo chỉ dẫn của nhà sản xuất.
o: không yêu cầu chỉnh đặt.
Phụ lục C
Hiệu suất của một số thành phần truyền động
| Thành phần truyền động | Hiệu suất (ηj) | |
| Bánh răng | Răng thẳng | 0,98 |
| Răng xoắn | 0,97 | |
| Răng nghiêng | 0,96 | |
| Xích | Con lăn | 0,95 |
| Xích chống ồn | 0,98 | |
| Đai | Có răng | 0,95 |
| Hình thang | 0,94 | |
| Khớp nối thủy lực hoặc bộ biến đổi thủy lực | Khớp nối thủy lực | 0,92 |
| Bộ biến đổi thủy lực không khoá | 0,92 | |
Phụ lục D
Bản đăng ký thông số kỹ thuật động cơ xe mô tô, xe gắn máy
D.1. Thông tin chung
D.1.1. Tên thương mại/ nhãn hiệu:
D.1.2. Số loại:
D.1.3. Ký hiệu thiết kế:
D.1.4. Nhóm xe sử dụng động cơ: □ xe mô tô; □ xe gắn máy
D.1.5. Tên và địa chỉ nhà sản xuất/ nhập khẩu:
D.1.6. Quy chuẩn/ tiêu chuẩn áp dụng:
D.2. Thông số kỹ thuật
D.2.1. Kiểu động cơ:
D.2.2. Đường kính xy lanh x Hành trình pittông (mm):
D.2.3. Thể tích làm việc của xy lanh động cơ (cm3):
D.2.4. Tỉ số nén:
D.2.5. Tốc độ quay ổn định nhỏ nhất của trục khủyu động cơ ở chế độ không tải (r/min):
D.2.6. Công suất có ích lớn nhất (kW)/ tốc độ quay tương ứng của trục khủyu động cơ (r/min):
D.2.7. Mô men xoắn có ích lớn nhất (N.m)/ tốc độ quay tương ứng của trục khủyu động cơ (r/min):
D.2.8. Suất tiêu hao nhiên liệu nhỏ nhất (g/kW.h)/ tốc độ quay tương ứng của trục khủyu động cơ (r/min):
D.2.9. Loại nhiên liệu:
D.2.10. Hệ thống cung cấp nhiên liệu: bằng bộ chế hoà khí/ bằng vòi phun nhiên liệu:
Tên thương mại/ Nhãn hiệu/ Ký hiệu của bộ chế hoà khí: Tên thương mại/ Nhãn hiệu/ Ký hiệu của bơm nhiên liệu:
Tên thương mại/ Nhãn hiệu/ Ký hiệu của vòi phun nhiên liệu:
D.2.11. Hệ thống đánh lửa
Loại hệ thống đánh lửa:
Góc đánh lửa sớm trước điểm chết trên (°):
Loại bugi:
Khe hở điện cực (mm):
D.2.12. Hệ thống làm mát: bằng không khí/ bằng chất lỏng
D.2.13. Hệ thống bôi trơn: mô tả
Loại dầu bôi trơn:
D.2.14. Hệ thống tăng áp khí nạp: mô tả
D.2.15. Thiết bị tuần hoàn khí các te: mô tả
D.2.16. Thiết bị chống ô nhiễm: mô tả
D.2.17. Ly hợp
Kiểu loại ly hợp:
Dẫn động ly hợp:
D.2.18. Hộp số
Kiểu loại hộp số:
Điều khiển hộp số:
Tỉ số truyền của hộp số:
D.2.19. Phương thức khởi động:
D.2.20. Nồng độ khí thải khi không tải: CO(%) HC(ppm)
D.2.21. Trọng lượng động cơ (kG):
Chúng tôi cam kết bản đăng ký này phù hợp với kiểu loại động cơ đã đăng ký thử nghiệm và chịu trách nhiệm hoàn toàn về các vấn đề phát sinh do khai sai hoặc khai không đủ nội dung trong bản đăng ký này.
|
| Ngày ... tháng ... năm ... |
Phụ lục E
Biên bản thử động cơ xe mô tô, xe gắn máy
Biên bản thử phải trình bày các kết quả và các tính toán cần thiết để đạt được mô men xoắn lớn nhất, công suất có ích lớn, suất tiêu hao nhiên liệu nhỏ nhất cùng với đặc tính kỹ thuật của động cơ được nêu trong Phụ lục D.
Ngoài ra biên bản thử phải có các số liệu sau
| STT | Các thông số | Đơn vị | Giá trị | |
| 1 | Điều kiện thử | Áp suất đo được ở công suất lớn nhất | ||
| Áp suất khí quyển | kPa |
| ||
| Áp suất hơi nước | kPa |
| ||
| Áp suất khí thải trong ống xả động cơ (1) | kPa |
| ||
| Độ giảm áp suất trong hệ thống nạp (1) | kPa |
| ||
| 2 | Hệ thống nạp | Nhiệt độ đo được của khí nạp ở công suất lớn nhất của động cơ | K |
|
| 3 | Nhiệt độ chất lỏng làm mát | Tại đầu ra của chất lỏng làm mát động cơ (2) | K |
|
| Tại điểm chuẩn trong trường hợp làm mát bằng không khí (2) | K |
| ||
| 4 | Nhiệt độ dầu bôi trơn | Tại điểm đo: các te hoặc đầu ra của két làm mát dầu(2) | K |
|
| 5 | Nhiệt độ nhiên liệu | Tại đầu vào chế hoà khí/ hệ thống phun nhiên liệu (2) | K |
|
| Trong thiết bị đo suất tiêu hao nhiên liệu | K |
| ||
| 6 | Nhiệt độ khí thải | Đo tại điểm gần mép ra của cổ xả hoặc lỗ thoát nước (3) | K |
|
| 7 | Thiết bị thử nghiệm | Nhãn hiệu |
|
|
| Kiểu |
|
| ||
| 8 | Nhiên liệu (đối với động cơ cháy cưỡng bức sử dụng nhiên liệu lỏng) | Nhãn hiệu |
|
|
| Đặc tính kỹ thuật |
|
| ||
| Phụ gia chống kích nổ |
|
| ||
| Trị số ốc tan |
|
| ||
| 9 | Dầu bôi trơn | Nhãn hiệu |
|
|
| Đặc tính kỹ thuật |
|
| ||
| Độ nhớt SAE |
|
| ||
(1) Đo khi không sử dụng hệ thống nạp chuẩn
(2) Gạch phần không áp dụng
(3) Chỉ rõ vị trí đo
Phụ lục F
Báo cáo thử nghiệm động cơ xe mô tô, xe gắn máy
Báo cáo thử nghiệm phải có tối thiểu các thông tin sau:
| STT | Thông số | Đơn vị | Giá trị | |
| 1 | Tốc độ quay của động cơ | r/min |
| |
| 2 | Tốc độ quay của thiết bị thử | r/min |
| |
| 3 | Tải trọng phanh của thiết bị thử | N |
| |
| 4 | Mô men xoắn đo tại đầu trục khủyu | N.m |
| |
| 5 | Công suất đo được | kW |
| |
| 6 | Điều kiện thử | Áp suất khí quyển | kPa |
|
| Nhiệt độ khí nạp | K |
| ||
| Áp suất hơi nước | kPa |
| ||
| 7 | Hệ số hiệu chỉnh α1 (*) |
|
| |
| 8 | Hệ số hiệu chỉnh α2 (*) |
|
| |
| 9 | Mô men xoắn đã hiệu chỉnh tại đầu trục khủyu | N.m |
| |
| 10 | Công suất đã hiệu chỉnh | kW |
| |
| 11 | Suất tiêu hao nhiên liệu (1) | g/kW.h |
| |
| 12 | Nhiệt độ chất lỏng làm mát của động cơ (2) | K |
| |
| 13 | Nhiệt độ dầu bôi trơn động cơ | K |
| |
| 14 | Nhiệt độ khí thải | K |
| |
| 15 | Nhiệt độ khí nạp sau bơm tăng áp | K |
| |
| 16 | Áp suất khí nạp sau bơm tăng áp | kPa |
| |
| 17 | Đường kính xy lanh | mm |
| |
| 18 | Hành trình pittông | mm |
| |
| 19 | Thể tích làm việc của xy lanh động cơ | cm3 |
| |
(*) Hệ số hiệu chỉnh khí quyển và cơ khí tương ứng là α1 và α2
(1) Chưa hiệu chỉnh công suất đối với hệ số khí quyển
(2) Chỉ rõ vị trí đo: Phép đo đã được thực hiện (gạch phần không áp dụng)
(a) Tại đầu ra của chất lỏng làm mát
(b) Tại vòng đệm bu gi
(c) Tại vị trí nào đó, phải chỉ rõ vị trí này.
Phụ lục G
Phương pháp thử nghiệm mô men xoắn, công suất có ích và suất tiêu hao
nhiên liệu của động cơ xe gắn máy cháy cưỡng bức
G.1. Yêu cầu về độ chính xác của thiết bị thử nghiệm
G.1.1. Mô men xoắn: sai số không lớn hơn 2% giá trị mô men xoắn được đo.
G.1.2. Tốc độ quay: sai số không lớn hơn 1% giá trị tốc độ quay được đo.
G.1.3. Suất tiêu hao nhiên liệu: sai số không lớn hơn 2%.
G.1.4. Nhiệt độ khí nạp: sai số không lớn hơn 2 K.
G.1.5. Áp suất khí quyển: sai số không lớn hơn 70 Pa.
G.1.6. Áp suất khí thải và độ giảm áp suất khí nạp: sai số không lớn hơn 25 Pa.
G.2. Yêu cầu về mẫu thử
G.2.1. Trong suốt quá trình thử nghiệm, các cụm chi tiết cần cho hoạt động của động cơ (như chỉ ra tại Phụ lục A) phải được lắp tại các vị trí đúng như nhà sản xuất quy định.
G.2.2. Các cụm chi tiết không quy định tại G.2.1 thì phải tháo ra khi thử.
Trường hợp không thể tháo ra được thì phải đảm bảo đo được công suất tại đầu trục ra của hộp số một cách dễ dàng và công suất tiêu hao cho các cụm chi tiết đó phải được cộng vào công suất của động cơ.
G.2.3. Trong suốt quá trình thử nghiệm, các điều kiện chỉnh đặt được quy định tại Phụ lục B.
G.3. Điều kiện thử
G.3.1. Thử mô men xoắn lớn nhất, công suất có ích lớn nhất và suất tiêu hao nhiên liệu phải được thực hiện ở chế độ toàn tải. Động cơ phải được lắp đặt các cụm chi tiết theo G.2.1.
G.3.2. Chỉ tiến hành phép thử ở điều kiện động cơ hoạt động bình thường, ổn định và được cung cấp đủ khí nạp. Động cơ phải được khởi động và làm nóng lên phù hợp với quy định của nhà sản xuất. Buồng cháy có thể có muội bám nhưng phải đảm bảo động cơ hoạt động bình thường trong quá trình thử nghiệm.
Có thể thực hiện phép thử trong phòng có điều hoà không khí để điều kiện khí quyển càng gần với điều kiện chuẩn (xem G.5.2) càng tốt để giảm tới mức nhỏ nhất hệ số hiệu chỉnh.
G.3.3. Nhiệt độ khí nạp của động cơ (không khí xung quanh) phải được đo tại vị trí cách đầu vào của bộ lọc khí không quá 0,15 m. Trường hợp không có bộ lọc khí thì đo cách cổ hút không quá 0,15 m.
Đồng hồ đo nhiệt độ hoặc đầu đo phải được bảo vệ chống bức xạ nhiệt và được đặt trực tiếp vào dòng khí nạp, phải được bảo vệ chống nhiên liệu phun vào. Phải có đủ số lượng, vị trí đặt dụng cụ đo để có được nhiệt độ trung bình của khí nạp.
G.3.4. Các số liệu chỉ được ghi lại khi mô men xoắn, tốc độ quay và nhiệt độ đạt được giá trị ổn định ít nhất là 30 giây.
G.3.5. Tốc độ quay của động cơ trong một lần thử không được sai lệch lớn hơn 2% so với tốc độ quay đã chọn.
G.3.6. Các số liệu tải trọng phanh, tiêu thụ nhiên liệu và nhiệt độ của khí nạp phải được ghi lại đồng thời và trong mỗi lần đo phải là giá trị trung bình của ít nhất hai giá trị đã ổn định, các giá trị này không được sai khác nhau lớn hơn 2%.
G.3.7. Khi đo tốc độ quay của động cơ và lượng tiêu thụ nhiên liệu bằng thiết bị đo đồng bộ tự động, thời gian đo phải ít nhất là 10 giây. Nếu sử dụng thiết bị đo bằng tay, thời gian đo phải ít nhất là 20 giây.
G.3.8. Nhiệt độ của chất lỏng làm mát ở đầu ra của hệ thống làm mát trên động cơ phải duy trì ở ± 5 K so với nhiệt độ đã hiệu chỉnh của bộ ổn nhiệt do nhà sản xuất quy định. Trường hợp nhà sản xuất không quy định thì nhiệt độ phải là 353 K ± 5 K.
Đối với động cơ làm mát bằng không khí, nhiệt độ tại điểm đo do nhà sản xuất quy định phải được duy trì với sai số trong khoảng từ -20 K đến 0 K so với nhiệt độ lớn nhất do nhà sản xuất quy định.
G.3.9. Nhiệt độ nhiên liệu đo tại đầu vào chế hoà khí hoặc đầu vào của hệ thống phun nhiên liệu phải nằm trong khoảng quy định của nhà sản xuất.
G.3.10. Nhiệt độ dầu bôi trơn đo tại các te hoặc đầu ra của két làm mát dầu (nếu được lắp) phải nằm trong khoảng quy định của nhà sản xuất.
G.3.11. Nhiệt độ khí xả phải đo tại một điểm trong ống xả gần mép ra của cổ xả hoặc lỗ thoát nước.
G.3.12. Nhiên liệu thử là loại nhiên liệu được cung cấp trên thị trường tương ứng với đăng ký của nhà sản xuất và thỏa mãn các tiêu chuẩn hiện hành.
G.4. Trình tự thử
Phép thử phải thực hiện ở các tốc độ quay đủ để lập được đường cong công suất, mô men xoắn, suất tiêu hao nhiên liệu tương ứng giữa tốc độ quay thấp nhất và tốc độ quay cao nhất do nhà sản xuất quy định. Các tốc độ quay được chọn này phải bao gồm tốc độ quay mà động cơ phát ra mô men xoắn lớn nhất, công suất lớn nhất và suất tiêu hao nhiên liệu nhỏ nhất. Phải thực hiện ít nhất hai phép đo ổn định cho mỗi tốc độ quay được chọn để lấy giá trị trung bình.
Các số liệu ghi trong biên bản được quy định tại Phụ lục E.
G.5. Các hệ số hiệu chỉnh công suất và mô men xoắn
G.5.1. Định nghĩa hệ số α1 và α2
Các hệ số phải nhân với công suất đo được để xác định công suất động cơ trong điều kiện có tính đến hiệu suất của truyền động (hệ số α1) và trong điều kiện khí quyển chuẩn (hệ số α2).
Công thức hiệu chỉnh công suất của động cơ như sau:
Ne = α1.α2.N
Trong đó
Ne - Công suất hiệu chỉnh của động cơ (công suất đo ở điều kiện chuẩn tại đầu trục khủyu)
α1 - Hệ số hiệu chỉnh đối với hiệu suất của truyền động
α2 - Hệ số hiệu chỉnh đối với điều kiện khí quyển chuẩn
N - Công suất đo được
G.5.2. Điều kiện khí quyển chuẩn
Nhiệt độ: 25 °C (298 K).
Áp suất (Pso): 99 kPa (990 mbar).
G.5.3. Điều kiện khí quyển khi thử
Trong suốt quá trình thử, nhiệt độ khí quyển (T) phải thoả mãn yêu cầu: 283 K ≤ T ≤ 318 K
G.5.4. Phạm vi sử dụng công thức hiệu chỉnh
Chỉ áp dụng công thức hiệu chỉnh nếu 0,93 ≤ α2 ≤ 1,07
Trường hợp hệ số điều chỉnh α2 không thoả mãn yêu cầu trên, phải ghi rõ giá trị hiệu chỉnh và điều kiện khí quyển khi thử (nhiệt độ, áp suất) trong biên bản thử.
G.5.5. Xác định các hệ số hiệu chỉnh
- Xác định hệ số hiệu chỉnh α1
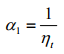
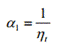
+ Nếu điểm đo là vị trí đầu trục khủyu thì α1 = 1
+ Nếu điểm đo không phải là vị trí đầu trục khủyu thì hệ số này được tính toán theo công thức:

Trong đó ηt là hiệu suất của truyền động giữa trục khủyu và điểm đo.
Hiệu suất truyền động ηt được xác định theo tích số các hiệu suất ηj của mỗi một thành phần truyền động
ηt = η1 x η2 x … x ηj
Hiệu suất ηj của một số thành phần truyền động quy định tại Phụ lục C.
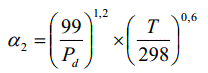
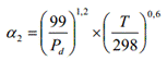
- Xác định hệ số hiệu chỉnh α2:

Trong đó
T - Nhiệt độ khí nạp, K.
Pd - Áp suất khí quyển khô, kPa
Pd = P - Pv
P - Áp suất khí quyển, kPa.
PV - áp suất hơi nước, kPa.
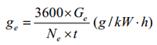
G.5.6. Tính toán suất tiêu hao nhiên liệu của động cơ
Suất tiêu hao nhiên liệu của động cơ được tính theo công thức:
![]()
Trong đó:
Ge là lượng nhiên liệu (g) động cơ tiêu thụ hết trong khoảng thời gian t (s).
Ne (kW) là công suất có ích của động cơ.
G.6. Biên bản thử
Biên bản thử phải trình bày các kết quả và các tính toán cần thiết để xác định được mô men xoắn lớn nhất, công suất có ích lớn nhất và suất tiêu hao nhiên liệu nhỏ nhất theo Phụ lục E.
Phụ lục H
Phương pháp thử nghiệm mô men xoắn, công suất có ích và suất tiêu hao
nhiên liệu của động cơ xe mô tô cháy cưỡng bức
H.1. Yêu cầu về độ chính xác của thiết bị thử nghiệm
H.1.1. Mô men xoắn: sai số không lớn hơn 2% giá trị mô men xoắn được đo đối với phép đo được tiến hành ở trong khoảng nhỏ hơn hoặc bằng 50% mô men xoắn lớn nhất. Ngoài phạm vi trên, sai số phải không lớn hơn 1% giá trị mô men xoắn được đo.
H.1.2. Tốc độ quay: sai số không lớn hơn 1% giá trị tốc độ quay được đo.
H.1.3. Suất tiêu hao nhiên liệu: sai số không lớn hơn 1%.
H.1.4. Nhiệt độ khí nạp: sai số không lớn hơn 1 K.
H.1.5. Áp suất khí quyển: sai số không lớn hơn 70 Pa.
H.1.6. Áp suất khí thải và độ giảm áp suất khí nạp: sai số không lớn hơn 25 Pa.
H.2. Yêu cầu về mẫu thử
H.2.1. Trong suốt quá trình thử nghiệm, các cụm chi tiết cần cho hoạt động của động cơ (như chỉ ra tại Phụ lục A) phải được lắp tại các vị trí đúng như nhà sản xuất quy định.
H.2.2. Các cụm chi tiết không quy định tại H.2.1 thì phải tháo ra khi thử.
Trường hợp không thể tháo ra được thì phải đảm bảo đo được công suất tại đầu trục ra của hộp số một cách dễ dàng và công suất tiêu hao cho các cụm chi tiết đó phải được cộng vào công suất của động cơ.
H.2.3. Trong suốt quá trình thử nghiệm, các điều kiện chỉnh đặt được quy định tại Phụ lục B.
H.3. Điều kiện thử
H.3.1. Thử mô men xoắn lớn nhất, công suất có ích lớn nhất và suất tiêu hao nhiên liệu phải được thực hiện ở chế độ toàn tải. Động cơ phải được lắp đặt các cụm chi tiết theo H.2.1.
H.3.2. Chỉ tiến hành phép thử ở điều kiện động cơ hoạt động bình thường, ổn định và được cung cấp đủ khí nạp. Động cơ phải được khởi động và làm nóng lên phù hợp với quy định của nhà sản xuất. Buồng cháy có thể có muội bám nhưng phải đảm bảo động cơ hoạt động bình thường trong quá trình thử nghiệm.
Có thể thực hiện phép thử trong phòng có điều hoà không khí để điều kiện khí quyển càng gần với điều kiện chuẩn (xem H.5.2) càng tốt để giảm tới mức nhỏ nhất hệ số hiệu chỉnh.
Khi hệ thống làm mát của băng thử đáp ứng được các điều kiện tối thiểu nhưng không đáp ứng được các điều kiện làm mát của động cơ thì áp dụng điều kiện thử nêu tại Phụ lục J.
Các điều kiện tối thiểu là: v2 ≥ v1 và φ ≥ 0,25 m2, trong đó:
v1 là vận tốc lớn nhất của xe.
v2 là vận tốc lớn nhất của không khí tại cửa ra của quạt làm mát.
φ là diện tích mặt cắt ngang của luồng không khí làm mát.
Khi hệ thống làm mát của băng thử không đáp ứng được các điều kiện tối thiểu (v2 < v1 và/ hoặc φ < 0,25 m2) thì:
- Nếu có thể ổn định được các điều kiện làm việc của động cơ thì áp dụng phương pháp nêu tại H.3.
- Nếu không ổn định được các điều kiện làm việc của động cơ:
+ Nếu v2 ≥ 120 km/h và φ ≥ 0,25 m2, hệ thống làm mát đáp ứng được các điều kiện tối thiểu thì áp dụng phương pháp thử nêu tại Phụ lục G.
+ Nếu v2 < 120 km/h và/ hoặc φ < 0,25 m2, hệ thống làm mát không đáp ứng được các điều kiện tối thiểu, khi đó phải thay hệ thống làm mát.
Trong trường hợp này, có thể áp dụng phương pháp nêu tại Phụ lục J nếu nhà sản xuất đồng ý.
H.3.3. Nhiệt độ khí nạp của động cơ (không khí xung quanh) phải được đo tại vị trí cách đầu vào của bộ lọc khí không quá 0,15 m. Trường hợp không có bộ lọc khí thì đo cách cổ hút không quá 0,15 m.
Đồng hồ đo nhiệt độ hoặc đầu đo phải được bảo vệ chống bức xạ nhiệt và được đặt trực tiếp vào dòng khí nạp, phải được bảo vệ chống nhiên liệu phun vào. Phải có đủ số lượng, vị trí đặt dụng cụ đo để có được nhiệt độ trung bình của khí nạp.
H.3.4. Các số liệu chỉ được ghi lại khi mô men xoắn, tốc độ quay và nhiệt độ đạt được giá trị ổn định ít nhất là 30 giây.
H.3.5. Tốc độ quay của động cơ trong một lần thử không được sai lệch lớn hơn 1% so với tốc độ quay đã chọn.
H.3.6. Các số liệu tải trọng phanh, tiêu thụ nhiên liệu và nhiệt độ của khí nạp phải được ghi lại đồng thời và trong mỗi lần đo phải là giá trị trung bình của ít nhất hai giá trị đã ổn định, các giá trị này không được sai khác nhau lớn hơn 2%.
H.3.7. Khi đo tốc độ quay của động cơ và lượng tiêu thụ nhiên liệu bằng thiết bị đo đồng bộ tự động, thời gian đo phải ít nhất là 10 giây. Nếu sử dụng thiết bị đo bằng tay, thời gian đo phải ít nhất là 20 giây.
H.3.8. Nhiệt độ của chất lỏng làm mát ở đầu ra của hệ thống làm mát trên động cơ phải duy trì ở ± 5 K so với nhiệt độ đã hiệu chỉnh của bộ ổn nhiệt do nhà sản xuất quy định. Trường hợp nhà sản xuất không quy định thì nhiệt độ phải là 353 K ± 5 K.
Đối với động cơ làm mát bằng không khí, nhiệt độ tại điểm đo do nhà sản xuất quy định phải được duy trì với sai số trong khoảng từ -20 K đến 0 K so với nhiệt độ lớn nhất do nhà sản xuất quy định.
H.3.9. Nhiệt độ nhiên liệu đo tại đầu vào chế hoà khí hoặc đầu vào của hệ thống phun nhiên liệu phải nằm trong khoảng quy định của nhà sản xuất.
H.3.10. Nhiệt độ dầu bôi trơn đo tại các te hoặc đầu ra của két làm mát dầu (nếu được lắp) phải nằm trong khoảng quy định của nhà sản xuất.
H.3.11. Nhiệt độ khí xả phải đo tại một điểm trong ống xả gần mép ra của cổ xả hoặc lỗ thoát nước.
H.3.12. Nhiên liệu thử là loại nhiên liệu được cung cấp trên thị trường tương ứng với đăng ký của nhà sản xuất và thỏa mãn các tiêu chuẩn hiện hành.
H.4. Trình tự thử
Phép thử phải thực hiện ở các tốc độ quay đủ để lập được đường cong công suất, mô men xoắn, suất tiêu hao nhiên liệu tương ứng giữa tốc độ quay thấp nhất và tốc độ quay cao nhất do nhà sản xuất quy định. Các tốc độ quay được chọn này phải bao gồm tốc độ quay mà động cơ phát ra mô men xoắn lớn nhất, công suất lớn nhất và suất tiêu hao nhiên liệu nhỏ nhất. Phải thực hiện ít nhất hai phép đo ổn định cho mỗi tốc độ quay được chọn để lấy giá trị trung bình.
Các số liệu ghi trong biên bản được quy định tại Phụ lục E.
H.5. Các hệ số hiệu chỉnh công suất và mô men xoắn
H.5.1. Định nghĩa hệ số α1 và α2
Các hệ số phải nhân với công suất đo được để xác định công suất động cơ trong điều kiện có tính đến hiệu suất của truyền động (hệ số α1) và trong điều kiện khí quyển chuẩn (hệ số α2).
Công thức hiệu chỉnh công suất của động cơ như sau:
Ne = α1.α2.N
Trong đó:
Ne - Công suất hiệu chỉnh của động cơ (công suất đo ở điều kiện chuẩn tại đầu trục khủyu)
α1 - Hệ số hiệu chỉnh đối với hiệu suất của truyền động
α2 - Hệ số hiệu chỉnh đối với điều kiện khí quyển chuẩn
N - Công suất đo được
H.5.2. Điều kiện khí quyển chuẩn
Nhiệt độ: 25 °C (298 K).
Áp suất (Pso): 99 kPa (990 mbar).
H.5.3 Điều kiện khí quyển khi thử
Trong suốt quá trình thử, nhiệt độ khí quyển (T) phải thoả mãn yêu cầu: 283 K ≤ T ≤ 318 K
H.5.4. Phạm vi sử dụng công thức hiệu chỉnh
Chỉ áp dụng công thức hiệu chỉnh nếu 0,93 ≤ α2 ≤ 1,07
Trường hợp hệ số điều chỉnh α2 không thoả mãn yêu cầu trên, phải ghi rõ giá trị hiệu chỉnh và điều kiện khí quyển khi thử (nhiệt độ, áp suất) trong biên bản thử.
H.5.5. Xác định các hệ số hiệu chỉnh
- Xác định hệ số hiệu chỉnh α1
+ Nếu điểm đo là vị trí đầu trục khủyu thì α1 = 1
+ Nếu điểm đo không phải là vị trí đầu trục khủyu thì hệ số này được tính toán theo công thức:

Trong đó ηt là hiệu suất của truyền động giữa trục khủyu và điểm đo.
Hiệu suất truyền động ηt được xác định theo tích số các hiệu suất ηj của mỗi một thành phần truyền động
ηt = η1 x η2 x … x ηj
Hiệu suất ηj của một số thành phần truyền động quy định tại Phụ lục C.
- Xác định hệ số hiệu chỉnh α2:

Trong đó
T - Nhiệt độ khí nạp, K.
Pd - Áp suất khí quyển khô, kPa
Pd = P - Pv
P - Áp suất khí quyển, kPa.
PV - áp suất hơi nước, kPa.
H.5.6. Tính toán suất tiêu hao nhiên liệu của động cơ
Suất tiêu hao nhiên liệu của động cơ được tính theo công thức:
![]()
Trong đó:
Ge là lượng nhiên liệu (g) động cơ tiêu thụ hết trong khoảng thời gian t (s).
Ne (kW) là công suất có ích của động cơ.
H.6. Biên bản thử
Biên bản thử phải trình bày các kết quả và các tính toán cần thiết để xác định được mô men xoắn lớn nhất, công suất có ích lớn nhất và suất tiêu hao nhiên liệu nhỏ nhất theo Phụ lục E.
Phụ lục I
Phương pháp thử nghiệm mô men xoắn, công suất có ích và suất tiêu hao
nhiên liệu của động cơ cháy do nén
I.1 . Yêu cầu về độ chính xác của thiết bị thử nghiệm
I.1.1. Mô men xoắn: sai số không lớn hơn 2% giá trị mô men xoắn được đo đối với phép đo được tiến hành ở trong khoảng nhỏ hơn hoặc bằng 50% mô men xoắn lớn nhất. Ngoài phạm vi trên, sai số phải không lớn hơn 1% giá trị mô men xoắn được đo.
I.1.2. Tốc độ quay: sai số không lớn hơn 1% giá trị tốc độ quay được đo
I.1.3. Suất tiêu hao nhiên liệu: sai số không lớn hơn 1%.
I.1.4. Nhiệt độ khí nạp và nhiệt độ nhiên liệu: sai số không lớn hơn 2 K.
I.1.5. Áp suất khí quyển: sai số không lớn hơn 100 Pa.
I.1.6. Áp suất khí xả: sai số không lớn hơn 200 Pa.
I.1.7. Áp suất khí nạp: sai số không lớn hơn 50 Pa.
I.2 . Yêu cầu về mẫu thử
I.2.1. Trong suốt quá trình thử nghiệm, các cụm chi tiết cần cho hoạt động của động cơ (như chỉ ra tại Phụ lục A) phải được lắp tại các vị trí đúng như nhà sản xuất quy định.
I.2.2. Các cụm chi tiết không quy định tại I.2.1 thì phải tháo ra khi thử. Ví dụ: máy nén khí cho hệ thống phanh, máy nén khí cho trợ lực lái, máy nén khí cho hệ thống treo, hệ thống điều hoà nhiệt độ.
Trường hợp không thể tháo ra được thì phải đảm bảo đo được công suất tại đầu trục ra của hộp số một cách dễ dàng và công suất tiêu hao cho các cụm chi tiết đó phải được cộng vào công suất của động cơ.
I.2.3. Đối với các cụm chi tiết để khởi động động cơ có hai trường hợp sau:
- Đối với hệ thống khởi động bằng điện: máy phát điện phải được lắp và cung cấp nguồn điện cho các cụm chi tiết cần thiết cho hoạt động của động cơ.
- Đối với hệ thống khởi động khác với khởi động điện: máy phát điện phải được lắp và cung cấp nguồn điện cho các cụm chi tiết cần thiết cho hoạt động của động cơ. Trường hợp không có các cụm chi tiết cần thiết cho hoạt động của động cơ thì phải tháo máy phát điện ra. Trong cả hai trường hợp trên, hệ thống tạo ra và tích luỹ năng lượng cần thiết cho khởi động của động cơ phải được lắp và hoạt động ở chế độ không tải.
I.2.4. Trong suốt quá trình thử nghiệm, các điều kiện chỉnh đặt được quy định tại Phụ lục B.
I.3 . Điều kiện thử
I.3.1. Thử mô men xoắn lớn nhất, công suất có ích lớn nhất và suất tiêu hao nhiên liệu phải được thực hiện ở chế độ toàn tải. Động cơ phải được lắp đặt các cụm chi tiết theo I.2.1.
I.3.2. Chỉ tiến hành phép thử ở điều kiện động cơ hoạt động bình thường, ổn định và được cung cấp đủ khí nạp. Động cơ phải được khởi động và làm nóng lên phù hợp với quy định của nhà sản xuất. Buồng cháy có thể có muội bám nhưng phải đảm bảo động cơ hoạt động bình thường trong quá trình thử nghiệm.
Có thể thực hiện phép thử trong phòng có điều hoà không khí để điều kiện khí quyển càng gần với điều kiện chuẩn (xem I.5.2) càng tốt để giảm tới mức nhỏ nhất hệ số hiệu chỉnh.
I.3.3. Nhiệt độ khí nạp của động cơ (không khí xung quanh) phải được đo tại vị trí cách đầu vào của bộ lọc khí không quá 0,15 m. Trường hợp không có bộ lọc khí thì đo cách cổ hút không quá 0,15 m.
Đồng hồ đo nhiệt độ hoặc đầu đo phải được bảo vệ chống bức xạ nhiệt và được đặt trực tiếp vào dòng khí nạp, phải được bảo vệ chống nhiên liệu phun vào. Phải có đủ số lượng, vị trí đặt dụng cụ đo để có được nhiệt độ trung bình của khí nạp.
I.3.4. Các số liệu chỉ được ghi lại khi mô men xoắn, tốc độ quay và nhiệt độ đạt được giá trị ổn định ít nhất là 30 giây.
I.3.5. Tốc độ quay của động cơ trong một lần thử không được sai lệch lớn hơn 1% hoặc 10 r/min so với tốc độ quay đã chọn, lấy giá trị lớn hơn trong hai trường hợp trên.
I.3.6. Các số liệu tải trọng phanh, tiêu thụ nhiên liệu và nhiệt độ của khí nạp phải được ghi lại đồng thời và trong mỗi lần đo phải là giá trị trung bình của ít nhất hai giá trị đã ổn định, các giá trị này không được sai khác nhau quá 2%.
I.3.7. Khi đo tốc độ quay của động cơ và lượng tiêu thụ nhiên liệu bằng thiết bị đo đồng bộ tự động, thời gian đo phải ít nhất là 10 giây. Nếu sử dụng thiết bị đo bằng tay, thời gian đo phải ít nhất là 20 giây.
I.3.8. Nhiệt độ của chất lỏng làm mát ở đầu ra của hệ thống làm mát trên động cơ phải duy trì ở ± 5 K so với nhiệt độ đã hiệu chỉnh của bộ ổn nhiệt do nhà sản xuất quy định. Trường hợp nhà sản xuất không quy định thì nhiệt độ phải là 353 K ± 5 K.
Đối với động cơ làm mát bằng không khí, nhiệt độ tại điểm đo do nhà sản xuất quy định phải được duy trì với sai số trong khoảng từ -20 K đến 0 K so với nhiệt độ lớn nhất do nhà sản xuất quy định.
I.3.9. Nhiệt độ nhiên liệu đo tại đầu vào chế hoà khí hoặc đầu vào của hệ thống phun nhiên liệu phải nằm trong khoảng quy định của nhà sản xuất.
I.3.10. Nhiệt độ dầu bôi trơn đo tại các te hoặc đầu ra của két làm mát dầu (nếu được lắp) phải nằm trong khoảng quy định của nhà sản xuất.
I.3.11. Các hệ thống điều chỉnh Phụ phải được lắp nếu các hệ thống này cần thiết để duy trì nhiệt độ trong giới hạn quy định tại I.3.8, I.3.9 và I.3.10.
I.3.12. Nhiệt độ khí xả phải đo tại một điểm trong ống xả gần mép ra của cổ xả hoặc lỗ thoát nước.
I.3.13. Nhiên liệu thử là loại nhiên liệu được cung cấp trên thị trường tương ứng với đăng ký của nhà sản xuất và thỏa mãn các tiêu chuẩn hiện hành.
I.4 . Trình tự thử
Phép thử phải thực hiện ở các tốc độ quay đủ để lập được đường cong công suất, mô men xoắn, suất tiêu hao nhiên liệu tương ứng giữa tốc độ quay thấp nhất và tốc độ quay cao nhất do nhà sản xuất quy định. Các tốc độ quay được chọn này phải bao gồm tốc độ quay mà động cơ phát ra mô men xoắn lớn nhất, công suất lớn nhất và suất tiêu hao nhiên liệu nhỏ nhất. Phải thực hiện ít nhất hai phép đo ổn định cho mỗi tốc độ quay được chọn để lấy giá trị trung bình.
Các số liệu ghi trong biên bản được quy định tại Phụ lục E.
I.5. Các hệ số hiệu chỉnh công suất và mô men xoắn
I.5.1. Định nghĩa hệ số α1 và α2
Các hệ số phải nhân với công suất đo được để xác định công suất động cơ trong điều kiện có tính đến hiệu suất của truyền động (hệ số α1) và trong điều kiện khí quyển chuẩn (hệ số α2).
Công thức hiệu chỉnh công suất của động cơ như sau:
Ne = α1.α2.N
Trong đó:
Ne - Công suất hiệu chỉnh của động cơ (công suất đo ở điều kiện chuẩn tại đầu trục khủyu)
α1 - Hệ số hiệu chỉnh đối với hiệu suất của truyền động
α2 - Hệ số hiệu chỉnh đối với điều kiện khí quyển chuẩn
N - Công suất đo được
I.5.2. Điều kiện khí quyển chuẩn
Nhiệt độ: 25 °C (298 K).
Áp suất (Pso): 99 kPa (990 mbar).
I.5.3. Điều kiện khí quyển khi thử
Trong suốt quá trình thử, nhiệt độ khí quyển (T) và áp suất khí quyển (Ps) phải thoả mãn yêu cầu:
283 K ≤ T ≤ 313 K
80 kPa ≤ Ps ≤ 110 kPa
I.5.4. Phạm vi sử dụng công thức hiệu chỉnh
Chỉ áp dụng công thức hiệu chỉnh nếu 0,9 ≤ α2 ≤ 1,1
Trường hợp hệ số điều chỉnh α1 không thoả mãn yêu cầu trên, phải ghi rõ giá trị hiệu chỉnh và điều kiện khí quyển khi thử (nhiệt độ, áp suất) trong biên bản thử.
I.5.5. Xác định các hệ số hiệu chỉnh α2
![]()
Trong đó:
fa - Hệ số áp suất khí quyển.
fm - Hệ số đặc trưng cho từng loại động cơ.
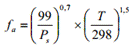
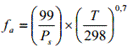
- Xác định fa: hệ số này chỉ rõ ảnh hưởng của điều kiện khí quyển (nhiệt độ, độ ẩm, áp suất) đối với khí nạp của động cơ. Hệ số này tùy thuộc vào từng loại động cơ, được xác định như sau:
+ Đối với động cơ không tăng áp và động cơ tăng áp bằng cơ khí:
![]()
+ Đối với động cơ tăng áp bằng tuốc bin và động cơ tăng áp không làm mát khí nạp:
![]()
- Xác định hệ số fm: fm là hàm số của lưu lượng nhiên liệu đã hiệu chỉnh (qc) được tính như sau:
fm = 0,036 x qc - 1,14
qc = q x r
Trong đó:
q: là lượng nhiên liệu mà động cơ tiêu thụ trong một chu kỳ tính cho một lít dung tích làm việc của động cơ (mg/l.chu kỳ).
r: là tỉ số giữa áp suất khí tại đầu vào với đầu ra của máy nén khí tăng áp khí nạp. Đối với các động cơ không tăng áp thì r = 1.
Chỉ áp dụng công thức trên khi 40 mg/l.chu kỳ ≤ qc ≤ 65 mg/l.chu kỳ.
Trường hợp qc ≤ 40 mg/l.chu kỳ thì chọn fm = 0,3, nếu qc ≥ 65 mg/l.chu kỳ thì chọn fm = 1,2.
I.5.6. Xác định hệ số hiệu chỉnh α1
- Nếu điểm đo là vị trí đầu trục khủyu thì α1 = 1
- Nếu điểm đo không phải là vị trí đầu trục khủyu thì hệ số này được tính toán theo công thức:

Trong đó ηt là hiệu suất của truyền động giữa trục khủyu và điểm đo.
Hiệu suất truyền động ηt được xác định theo tích số các hiệu suất ηj của mỗi một thành phần truyền động
ηt = η1 x η2 x … x ηj
Hiệu suất ηj của một số thành phần truyền động quy định tại Phụ lục C.
I.5.7. Tính toán suất tiêu hao nhiên liệu của động cơ
Suất tiêu hao nhiên liệu của động cơ được tính theo công thức:
![]()
Trong đó:
Ge là lượng nhiên liệu (g) động cơ tiêu thụ hết trong khoảng thời gian t (s).
Ne (kW) là công suất có ích của động cơ.
I.6. Biên bản thử
Biên bản thử phải trình bày các kết quả và các tính toán cần thiết để xác định được mô men xoắn lớn nhất, công suất có ích lớn nhất và suất tiêu hao nhiên liệu nhỏ nhất theo Phụ lục E.
Phụ lục J
Đo mô men xoắn lớn nhất, công suất có ích lớn nhất và suất tiêu hao
nhiên liệu nhỏ nhất của động cơ bằng phương pháp đo nhiệt độ động cơ
J.1. Điều kiện thử
J.1.1. Phép thử phải thực hiện ở chế độ toàn tải, động cơ phải được lắp đặt các cụm chi tiết nêu tại Phụ lục A.
J.1.2. Chỉ tiến hành phép thử ở điều kiện động cơ hoạt động bình thường, ổn định và được cung cấp đủ khí nạp. Động cơ phải được khởi động và làm nóng lên phù hợp với quy định của nhà sản xuất. Buồng cháy có thể có muội bám nhưng với số lượng hạn chế.
Có thể thực hiện phép thử trong phòng có điều hoà không khí để điều kiện khí quyển càng gần với điều kiện chuẩn càng tốt để giảm tới mức nhỏ nhất hệ số hiệu chỉnh.
J.1.3. Nhiệt độ khí nạp của động cơ (không khí xung quanh) phải được đo tại vị trí cách đầu vào của bộ lọc khí không quá 0,15 m. Trường hợp không có bộ lọc khí thì đo cách cổ hút không quá 0,15 m.
Đồng hồ đo nhiệt độ hoặc đầu đo phải được bảo vệ chống bức xạ nhiệt và được đặt trực tiếp vào dòng khí nạp, phải được bảo vệ chống nhiên liệu phun vào. Phải có đủ số lượng vị trí đặt dụng cụ đo để có được nhiệt độ trung bình của khí nạp.
J.1.4. Tốc độ quay của động cơ trong một lần thử không được sai lệch lớn hơn 1% so với tốc độ quay đã chọn.
J.1.5. Các số liệu chỉ được ghi lại khi nhiệt độ động cơ và tốc độ quay của động cơ ổn định.
J.1.6. Các số liệu tải trọng phanh, tiêu thụ nhiên liệu và nhiệt độ của khí nạp phải được ghi lại đồng thời và trong mỗi lần đo phải là giá trị trung bình của ít nhất hai giá trị đã ổn định, các giá trị này không được sai khác nhau lớn hơn 2%.
J.1.7. Việc đo tiệu thụ nhiên liệu phải được bắt đầu sau khi tốc độ quay của động cơ đã đạt tới giá trị quy định
Khi đo tốc độ quay của động cơ và lượng tiêu thụ nhiên liệu bằng thiết bị đo đồng bộ tự động, thời gian đo phải ít nhất là 10 giây. Nếu sử dụng thiết bị đo bằng tay, thời gian đo phải ít nhất là 20 giây.
J.1.8. Nhiệt độ của chất lỏng làm mát ở đầu ra của hệ thống làm mát trên động cơ phải duy trì ở trong khoảng từ -5 K đến 5 K so với nhiệt độ đã hiệu chỉnh của bộ ổn nhiệt do nhà sản xuất quy định. Trường hợp nhà sản xuất không quy định thì nhiệt độ phải là 353 K ± 5 K.
Đối với động cơ làm mát bằng không khí, nhiệt độ đo tại vòng đệm của bu gi phải duy trì ở trong khoảng từ -10 K đến 10 K so với nhiệt độ do nhà sản xuất quy định. Trường hợp nhà sản xuất không quy định thì nhiệt độ phải là 483 K ±10 K.
J.1.9. Nhiệt độ đo tại vòng đệm bu gi của động cơ làm mát bằng không khí phải được đo bằng nhiệt kế kết hợp với cặp nhiệt điện và vòng đệm kín.
J.1.10. Nhiệt độ nhiên liệu đo tại đầu vào hệ thống phun nhiên liệu hoặc chế hoà khí phải nằm trong khoảng quy định của nhà sản xuất.
J.1.11. Nhiệt độ của dầu bôi trơn đo tại các te hoặc đầu ra của két làm mát dầu (nếu được lắp) phải nằm trong khoảng quy định của nhà sản xuất.
J.1.12. Nhiệt độ của khí xả phải đo tại một điểm trong ống xả gần mép ra của cổ xả hoặc lỗ thoát nước.
J.1.13. Nhiên liệu thử là loại nhiên liệu được cung cấp trên thị trường tương ứng với đăng ký của nhà sản xuất và thỏa mãn các tiêu chuẩn hiện hành.
J.1.14. Nếu không thể lắp được hệ thống xả chuẩn, phải tiến hành thử với một hệ thống xả cho phép đạt được đặc tính làm việc bình thường của động cơ phù hợp với các đặc tính do nhà sản xuất quy định. Trong phòng thử nghiệm, hệ thống xả được trích ra tại điểm nối với hệ thống xả của băng thử, không được tạo ra trong ống xả khi động cơ làm việc một áp suất sai khác với áp suất khí quyển ± 740 Pa (7,4 mbar), trừ khi nhà sản xuất có quy định đặc biệt về áp suất ngược trước khi thử, trong trường hợp này phải sử dụng áp suất thấp hơn trong hai áp suất trên.
Bạn chưa Đăng nhập thành viên.
Đây là tiện ích dành cho tài khoản thành viên. Vui lòng Đăng nhập để xem chi tiết. Nếu chưa có tài khoản, vui lòng Đăng ký tại đây!